Изобретение относится к электроизмерительной технике, а конкретно к измерению электрических параметров двухполюсников, используемых в качестве датчиков физических процессов (температуры, давления, уровня, массы (количества) жидких и сыпучих сред и др.) на промышленных объектах, транспортных средствах, а также в системах измерения параметров заправки ракетно-космической техники.
Известный, выбранный в качестве аналога, способ измерения уровня диэлектрического вещества, описанный в книге «Емкостные самокомпенсированные уровнемеры» авторов К.Б. Карандеева, Ф.Б. Гриневича, А.И. Новика, Москва:, издательство «Энергия», 1966, с. 28.
Способ определения уровня диэлектрического вещества, заключающийся в формировании синусоидального напряжения на емкостном датчике уровня, измерении комплексного тока через сухой емкостной датчик уровня и измерении комплексного тока через заполняемый емкостной датчик уровня.
В представленном аналоге способ измерения уровня диэлектрической жидкости базируется на сложении токов датчиков, которое осуществляется при помощи тесно связанных индуктивных плеч моста на суммирующем измерительном трансформаторе. Причем коэффициент, с которым ток входит в общую сумму, определяется числом витков плеча, а знак коэффициента - направлением включения обмотки этого плеча. Условием равновесия измерительной схемы является равенство нулю суммы всех токов, протекающих через датчики. Отношение числа витков тесно связанных индуктивных плеч определяет относительное заполнение (уровень) емкостного датчика уровня диэлектрическим веществом.
Однако специфика эксплуатации изделий ракетно-космической техники для проведения измерения параметров диэлектрического вещества выставляет свои требования, способствующие поиску новых технических решений в области измерений. Обозначим наиболее характерные из них:
- удаленность до 500 метров объекта измерения от средства измерения. Примером тому может служить процесс определения параметров диэлектрического вещества, в том числе массу вещества, заправляемого в бак ракеты, которая находится на стартовом комплексе во время ее заправки компонентами топлива;
- высокая точность измерения параметров диэлектрического вещества, в частности массы. Очевидно, что точность измерения массы заправляемого диэлектрического вещества напрямую связана с объемом гарантийных запасов топлива на борту ракеты. Чем выше точность измерения массы, тем меньше гарантийные запасы топлива, тем выше эффективность ракеты, позволяющей вывести большую полезную нагрузку;
- требование высокой технологичности подготовки ракеты, исключающее процедуру предварительной настройки аппаратуры измерения человеком-оператором, а также позволяющую работу одного средства измерения с несколькими емкостными датчиками уровня ракеты поочередно;
- высокое быстродействие определения параметров диэлектрического вещества, позволяющее расширить функциональные возможности способа измерения, и использовать его аналогичным образом в уровнемере бортовой терминальной системы автоматического управления, которой является система управления расходованием топлива ракеты.
Способ-аналог не обладает полной инвариантностью по отношению к длиной линии связи между средством измерения и емкостным датчиком уровня, т.е. не исключает влияния длиной линии связи на результат определения параметров диэлектрического вещества. Кроме того, аналог не определяет массу диэлектрического вещества.
Емкостный датчик уровня, установленный в верхней части бака жидкостной ракеты, определяет определяет массу диэлектрического вещества;
Наиболее близким по технической сущности и достигаемому 15положительному эффекту к заявляемому способу прототипом является способ определения уровня диэлектрического вещества, представленный в патенте Российской Федерации №2262669 (заявка: 2003129116/28, 01.10.2003), МПК G01F 23/26, G01R 17/00.
Способ определения параметров диэлектрического вещества, заключающийся в формировании синусоидального напряжения на емкостном датчике уровня, расположенном в заправляемом баке, измерении тока через сухой емкостный датчик уровня и измерении тока через заполняемый емкостный датчик уровня, задании схемы замещения емкостного датчика уровня, состоящей из электрической емкости и активного сопротивления, формировании синусоидального напряжения на емкостном датчике уровня на двух заданных частотах, в последовательном измерение тока через сухой датчик уровня и эталон на каждой из двух частот, фиксации результатов измерения, определении и фиксации электрической емкости сухого датчика уровня, вычислении и фиксации приращения электрической емкости емкостного датчика уровня при полном его погружении в диэлектрическое вещество, периодическом последовательном измерении и фиксации тока через заполняемый диэлектрическим веществом емкостный датчик уровня и эталон на каждой из двух заданных частотах, определении для каждого периодического измерения и фиксации электрической емкости емкостного датчика уровня, определении относительного заполнения диэлектрическим веществом емкостного датчика уровня как разность значений электрической емкости заполняемого емкостного датчика уровня и электрической емкости сухого емкостного датчика уровня, отнесенную к приращению электрической емкости полностью погруженного в диэлектрическое вещество емкостного датчика уровня.
Представленный прототип определяет относительное заполнение диэлектрическим веществом емкостного датчика уровня как разность значений электрической емкости заполняемого емкостного датчика уровня и электрической емкости сухого емкостного датчика уровня, отнесенную к приращению электрической уровень диэлектрического вещества без учета деформации бака, вызванной при использовании диэлектрического вещества, охлажденного до криогенной температуры. Тем самым, влиянием криогенной температуры диэлектрического вещества вносится погрешность в измерении уровня, как следствие в определении массы диэлектрического вещества, заправленного в бак.
Кроме того, для выполнения полетной задачи жидкостной ракетой специалистами рассчитывается масса компонентов топлива (диэлектрического вещества), необходимая для вывода заданного полезного груза на заданную орбиту. Поэтому после определения уровня диэлектрического вещества, заправляемого в бак ракеты, специалистам приходится значение уровня заправленного диэлектрического вещества пересчитывать в значение его массы.
Таким образом, недостатками прототипа являются:
- отсутствие возможности определения массы диэлектрического вещества, заправляемого в бак ракеты, что является более важным (существенным) параметром;
- недостаточная точность определения уровня диэлектрического вещества, так как прототип не учитывает влияния криогенной температуры диэлектрического вещества на конструкцию бака.
Техническим результатом способа определения параметров диэлектрического вещества является расширение функциональных возможностей способа, заключающееся в возможности определения не только уровня, но и массы диэлектрического вещества, а также в повышении точности определения массы (уровня) диэлектрического вещества, заключающееся в учете влияния диэлектрического вещества, охлажденного до криогенной температуры на конструкцию заполняемого им бака.
Технический результат достигается тем, что в способе определения параметров диэлектрического вещества, заключающийся в формировании синусоидального напряжения на емкостном датчике уровня, расположенном в заправляемом баке, измерении тока через сухой емкостный датчик уровня и измерении тока через заполняемый емкостный датчик уровня, задании схемы замещения емкостного датчика уровня, состоящей из электрической емкости и активного сопротивления, формировании синусоидального напряжения на емкостном датчике уровня на двух заданных частотах, в последовательном измерение тока через сухой датчик уровня и эталон на каждой из двух частот, фиксации результатов измерения, определении и фиксации электрической емкости сухого датчика уровня, вычислении и фиксации приращения электрической емкости емкостного датчика уровня при полном его погружении в диэлектрическое вещество, периодическом последовательном измерении и фиксации тока через заполняемый диэлектрическим веществом емкостный датчик уровня и эталон на каждой из двух заданных частотах, определении для каждого периодического измерения и фиксации электрической емкости емкостного датчика уровня, определении относительного заполнения диэлектрическим веществом емкостного датчика уровня как разность значений электрической емкости заполняемого емкостного датчика уровня и электрической емкости сухого емкостного датчика уровня, отнесенную к приращению электрической емкости полностью погруженного в диэлектрическое вещество емкостного датчика уровня, отличающийся тем, что, определяют точку, лежащую на пересечении вертикальной оси бака, перпендикулярной днищу бака, и плоскости, касательной к внешней поверхности, наиболее удаленной от днища бака, которую принимают за точку отсчета при определении уровня технологического вещества в процессе его градуировки, и для измерения уровня диэлектрического вещества с помощью емкостного датчика уровня при его заправке, где уровень это граница между жидкой и газообразной фазой диэлектрического вещества, от точки отсчета измерений уровня задают и фиксируют для температуры нормальных условий n-уровней для заправляемого технологического вещества, где n-количество уровней необходимых для градуировки бака, измеряют и фиксируют при температуре нормальных условий соответствие каждому заданному значению уровня технологического вещества, заправленного в бак, значение объема, занимаемого им в баке, затем задают диапазон рабочей температуры диэлектрического вещества, из которого выбирают значение, соответствующее рабочей температуре диэлектрического вещества на момент окончания заправки бака, для каждого заданного при нормальных условиях значения уровня технологического вещества, используемого при градуировке бака, определяют и фиксируют значения уровней для рабочей температуры диэлектрического вещества на момент окончания заправки бака, по измеренным в нормальных условиях при градуировке бака значениям объема, занимаемого технологическим веществом, для заданных n-уровней, определяют и фиксируют объемы, занимаемые диэлектрическим веществом при его рабочей температуре, и определяемые результаты фиксируют, для каждого значения рабочей температуры диэлектрического вещества фиксируют значения плотности диэлектрического вещества, затем определяют значение уровня диэлектрического вещества, путем определения расстояния уровня диэлектрического вещества до точки отсчета измерений, по значению которого определяют значение объема диэлектрического вещества, заправляемого в бак при его рабочей температуре, причем объем диэлектрического вещества определяют с помощью линейной аппроксимации соседних значений объемов при рабочей температуре, полученных при градуировке бака, с учетом пропорциональности расположения измеренного уровня диэлектрического вещества между соседними заданными значениями уровня при рабочей температуре, используемыми при градуировке бака, затем по определенному значению температуры диэлектрического вещества на момент окончания заправки, определяют значение плотности диэлектрического вещества, после чего определяют массу диэлектрического вещества, заправленного в бак.
Выполнение таких признаков как, измеряют и фиксируют при температуре нормальных условий соответствие каждому заданному значению уровня технологического вещества, заправленного в бак, значение объема, занимаемого им в баке, дает возможность провести градуировку топливного бака ракеты при температуре нормальных условий. А задание диапазона рабочей температуры диэлектрического вещества, из которого выбирают значение, соответствующее рабочей температуре диэлектрического вещества на момент окончания заправки бака, для каждого заданного значения уровня технологической жидкости при нормальных условиях, используемой при градуировке бака определяют и фиксируют значения заданных уровней для рабочей температуры диэлектрического вещества на момент окончания заправки бака, определение по измеренным значениям объема диэлектрического вещества, в нормальных условиях, объема, занимаемого диэлектрическим веществом, при его рабочей температуре и фиксацией определяемых результатов обеспечивают определение градуировки бака для рабочей температуры диэлектрического вещества и, учитывая влияние рабочей (криогенной) температуры диэлектрического вещества на конструкцию бака, тем самым, обеспечивать повышение точности определения уровня и массы и определение объема, заправленной в бак, диэлектрической жидкости при его рабочей температуре.
Таким образом, заявленный способ приобретает новое качество определения объема диэлектрического вещества при его рабочей температуре.
По заданному значению температуры диэлектрического вещества на момент окончания заправки, определяют значение плотности диэлектрического вещества, после чего определяют массу диэлектрического вещества, заправляемого в бак, в результате обеспечивают определение массы диэлектрического вещества, заправленного в бак при его рабочей температуре. Таким образом, заявленный способ приобретает новое качество определения массы диэлектрического вещества при его рабочей температуре.
Суть изобретения поясняется графическими материалами, на которых приведены:
На фиг.1 представлено изображение бака с размещенным в нем внутрибаковым устройством, в частности емкостным датчиком уровня.
На фиг.2 представлена схема замещения емкостного датчика уровня;
На фиг.3 представлена векторная диаграмма схемы замещения емкостного датчика уровня.
В качестве примера на фиг.1 изображен бак 1 в виде нижней и верхней полусфер (днищ), между которыми вварена цилиндрическая проставка. Точка, лежащая на пересечении вертикальной оси бака, перпендикулярной днищу бака, и плоскости касательной к внешней поверхности, наиболее удаленной от днища бака, называется верхней теоретической вершиной (ВТВ) бака. К данной точке 2 ВТВ бака конструктивно (геометрически) привязан емкостный датчик уровня 3, соответственно к указанной точке ВТВ привязан диапазон определения уровня 4 и массы диэлектрического вещества, заправленного в данный бак. ВТВ является точкой отсчета измерений, производимых при определении уровня технологического вещества в процессе градуировки, и для измерения уровня диэлектрического вещества с помощью емкостного датчика уровня при заправке диэлектрического вещества в бак изделия ракетно-космической техники (РКТ). Также указанная точка ВТВ бака используется в качестве измерительной базы при проведении градуировки бака.
Градуировка бака проводится на заводе-изготовителе перед монтажом в бак емкостного датчика уровня в качестве внутрибакового устройства. Результаты градуировки бака фиксируются в технологической и эксплуатационной документации на бак, которые впоследствии используются для определения массы заправленного в бак диэлектрического вещества.
В качестве примера осуществления способа рассмотрим процедуру определения уровня заправки диэлектрического вещества в баке изделия ракетно-космической техники. В качестве диэлектрического вещества можно рассмотреть, например, окислитель (жидкий кислород).
Емкостному датчику уровня соответствует схема замещения, приведенная на фиг.2, где: СР есть рабочая 5 электрическая емкость датчика, которая несет полезную информацию об уровне заправки бака; R - сопротивление 6 тока утечки через диэлектрик, которое влияет на погрешность в процесс измерения уровня заправки, если ее не учитывать. На фиг.3 представлена векторная диаграмма емкостного датчика уровня, для которой справедливы следующие соотношения:
В силу специфики эксплуатации изделий ракетно-космической техники емкостный датчик уровня расположен на расстоянии до 500 метров от средства измерения.
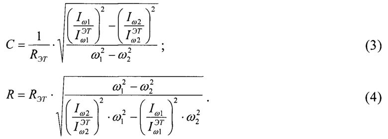
Согласно заданной схеме замещения емкостного датчика уровня имеем следующие выражения для определения его параметров:
Для определения его параметров необходимо произвести измерение токов через сухой емкостный датчик уровня и эталон. Так как емкостный датчик уровня является двухзвенным двухполюсником, то измерение тока необходимо проводить на двух частотах ω1 и ω2.
Для этого производят формирование синусоидального напряжения на сухом емкостном датчике уровня на двух частотах ω1 и ω2. Затем последовательно производят измерение значений токов через сухой емкостный датчик уровня и эталон на каждой из заданных частот. Значения токов через эталон соответствуют выражениям
Согласно векторной диаграмме фиг.3 модули измеряемых токов через емкостный датчик уровня можно записать следующими выражениями:
Следует сразу оговорить, что вышеописанные действия производят для настройки средств измерения перед заправкой бака изделия РКТ, заключающейся в измерении токов через сухой емкостный датчик уровня, подключенный к средствам измерения через линию связи. Измеренные результаты токов фиксируются. С точки зрения практической реализации процедура фиксации может быть выполнена в виде операции сохранения результатов измерения в запоминающем устройстве, построенного по технологии Xillinx.
После этого определяется состояние емкостного датчика уровня в соответствии с зависимостями (3) и (4). Результаты определения параметров сухого емкостного датчика Ср и R фиксируются и представляют собой исходные данные, необходимые для выполнения дальнейшей последовательности действий способа. Процедуру настройки средств измерения завершает действие по определению приращения электрической емкости емкостного датчика уровня полностью погруженного в данном случае в жидкий кислород. Зависимость, по которой вычисляется приращение электрической емкости, имеет вид
- электрическая емкость емкостного датчика уровня, определяемая с учетом влияния линии связи по зависимости (3);
- диэлектрическая проницаемость жидкого кислорода при рабочей температуре, в частности при температуре на момент окончания заправки бака изделия РКТ;
- диэлектрическая проницаемость газовой подушки, расположенной в баке изделия РКТ над кислородом, при рабочей температуре.
Результат определения приращения емкости, выполненный по зависимости (9) фиксируется.
Определение параметров сухого емкостного датчика уровня и приращение электрической емкости при его полном погружении в жидкий кислород с учетом влияния на результаты определения линии связи, позволяет процесс настройки средств измерения автоматизировать. Тем самым, позволяет повысить технологичность и точность измерения за счет исключения инструментальной погрешности человеческого фактора.
При осуществлении заправки бака изделия РКТ периодически производят последовательное измерение тока через заполняемый емкостный датчик уровня и эталон на каждой из двух заданных частот. Причем на результат измерения токов через заполняемый емкостный датчик линия связи оказывает аналогичной влияние, как и при измерении тока через сухой емкостный датчик. Результаты измерений фиксируются. Затем после каждого измерения тока через заполняемый емкостный датчик и эталон осуществляется определение его параметров в соответствии с выражениями (3) и (4). Результат определения параметров датчика фиксируются. Электрическая емкость заполняемого емкостного датчика уровня является величиной переменной, поэтому ее можно назвать текущей СТЕК.
Затем осуществляют определения (уровня) относительного заполнения емкостного датчика уровня диэлектрическим веществом, в частности жидким кислородом при его рабочей температуре, которое осуществляется следующим образом. Сначала определяется разность значений электрической емкости заполняемого емкостного датчика (назовем ее текущей электрической емкостью СТЕК) и электрической емкости сухого емкостного датчика, вычисленная при настройке средств измерения. Эту разность можно определить по выражению
где
значение электрической емкости заполняемого датчика уровня,
вычисленное в соответствии с выражением (3). Аналитическое выражение электрической емкости заполняемого жидким кислородом емкостного датчика уровня можно записать в следующем виде:
где h - текущая высота погружения емкостного датчика уровня в жидкий кислород;
Н - высота полного погружения датчика в жидкий кислород.
Далее определяется отношение разности электрических емкостей согласно выражению (10) и приращения электрической емкости полностью погруженного емкостного датчика уровня в жидкий кислород, которое можно записать в следующем виде
Таким образом, определение относительного заполнения емкостного датчика уровня жидким кислородом как разность значений электрической емкости заполняемого емкостного датчика уровня и электрической емкости сухого емкостного датчика уровня, отнесенную к приращению электрической емкости полностью погруженного в жидкий кислород емкостного датчика уровня, обеспечивает исключение влияния линии связи на результат определения уровня. Из аналитической зависимости (12) это следует очевидным образом,
определялись с учетом влияния линии связи,
также определялось с учетом влияния линии связи. Поэтому в отношении согласно выражению (12) влияние линии связи аналитически исключается.
Процесс определения уровня периодически продолжается до тех про пока бак изделия РКТ не будет заполнен до требуемого уровня.
Определение массы заправленного жидкого кислорода согласно заявленному способу осуществляется следующим образом.
Бак изделия РКТ, предназначенный для заправки жидким кислородом, предварительно проходит градуировку с помощью технологического вещества, в качестве которой может быть использована, например, дистиллированная вода. Процесс градуировки осуществляется при нормальных температурных условиях, в частности при температуре +15°С.
Согласно заявленному способу задают точку отсчета измерения уровня, которая образуется пересечением продольной оси бака и верхней полусферы бака, и которая используется для измерения уровня технологического вещества, при его градуировке, и для измерения уровня диэлектрического вещества при его заправке, от точки отсчета измерений задают и фиксируют для температуры нормальных условий значения n-уровней для заправляемой технологической жидкости, где n - количество уровней необходимых для градуировки бака. В качестве точки отсчета измерения уровня выбрана точка ВТВ, которая образуется пересечением вертикальной оси бака, перпендикулярной днищу бака, и плоскости касательной к внешней поверхности наиболее удаленной от днища бака осевой линии бака. К данной точке ВТВ бака конструктивно (геометрически) привязаны:
- технологический измеритель уровня подаваемой в бак при температуре нормальных условий технологического вещества в процессе градуировки бака;
- емкостный датчик измерения уровня подаваемого в бак жидкого кислорода при рабочей температуре на момент окончания заправки, в частности минус 192°С в процессе заправки бака.
- задают и фиксируют для температуры нормальных условий от точки отсчета измерений значения уровней, необходимых для градуировки бака.
Реализация указанных признаков осуществляется следующим образом. В бак монтируют метрический измеритель уровня на всю высоту бака, задают ряд значений уровня, для которых измеряют объем залитого технологического вещества (дистиллированная вода), и эти значения уровней фиксируют, занося их в эксплуатационный документ, в частности паспорт на бак. После чего начинают заполнять бак дистиллированной водой при температуре, соответствующей нормальным условиям. Значение плотности дистиллированной воды при заданной температуре известно. При достижении каждого заданного значения уровня измеряют объем дистиллированной воды, залитой в бак. Объем залитой жидкости измеряют либо взвешиванием бака, либо измерением объема залитой жидкости с помощью точного расходомера.
Согласно признакам ФИ измеряют и фиксируют при температуре нормальных условий соответствие каждому заданному значению уровня технологического вещества, заправленного в бак, значению объема, занимаемого им в баке. Таким образом, каждому заданному значению уровня соответствует измеренное значение занимаемого объема технологической жидкости в баке. Полученные значения объемов соответствующим образом фиксируют, занося измеренные значения объемов в паспорт на бак.
Затем задают диапазон рабочей температуры диэлектрического вещества, в частности жидкого кислорода. В данном случае диапазон рабочих температур жидкого кислорода для конкретного ракетного блока может быть от минус 189°С до минус 200°С. Из заданного диапазона рабочих температур жидкого кислорода, в зависимости от поставленной задачи выведения полезной нагрузки, выбирают значение, соответствующее рабочей температуре диэлектрического вещества на момент окончания заправки бака, например, для жидкого кислорода это минус 192°С.
Для каждого заданного значения уровня технологической жидкости при нормальных условиях, используемой при градуировке бака рассчитывают значения заданных уровней для рабочей температуры диэлектрического вещества на момент окончания заправки бака. Для чего, производят пересчет заданных значений уровня для температуры нормальных условий в значения уровней для температуры жидкого кислорода на момент окончания заправки, т.е. для температуры минус 192°С. Пересчет заданных значений уровня осуществляют следующим образом:
где
- высота уровня жидкости от ВТВ при фактической температуре, при проведении градуировки, мм;
- высота уровня жидкости при температуре плюс 15°С, мм; α - коэффициент линейного расширения материала оболочки бака (равный 0,000025
для пересчета от температуры жидкости при градуировке к температуре плюс 15°С; t - температура жидкости при градуировке на момент окончания заправки, °С.
Полученные расчетным путем значения уровней для рабочей температуры фиксируют, занося их в паспорт на бак.
По измеренным значениям объема технологического вещества, полученных при градуировке бака при температуре нормальных условий, рассчитывают и фиксируют объем, которое будет занимать диэлектрическое вещество, при его рабочей температуре. Пересчет измеренных значений объемов осуществляют следующим образом:
где
- объем полностью собранного бака «О» для каждого уровня при температуре, к которой ведется пересчет, л;
- объем полностью собранного бака «О» для каждого уровня при температуре плюс 15°С, л; α - коэффициент линейного расширения материала оболочки бака (равный 0,000025
для пересчета от температуры жидкости при градуировке к температуре плюс 15°С; t - температура жидкости при градуировке на момент окончания заправки,, °С.
Полученные расчетным путем значения объемов для рабочей температуры фиксируют, занося их в паспорт на бак.
Значения зависимости V(h) между полученными при градуировке интервалами определяют методом линейной интерполяции:
где: Vинтерп искомое интерполированное значение объема для заданного значения расстояния
находящегося между двумя градуировочными точками
в которых измеренное значение объема составляет V1 и V2 соответственно; h' - расстояние от точки отсчета замера до текущего значения уровня компонента.
Согласно признакам ФИ для каждого значения рабочей температуры диэлектрического вещества из диапазона от минус 189°С до минус 200°С задают и фиксируют значения его плотности.
В процессе заправки бака жидким кислородом определяют значение уровня заполнения бака, по значению которого определяют значение объема жидкого кислорода, заполняемого бак при его рабочей температуре.
Затем по заданному значению температуры диэлектрического вещества на момент окончания заправки, определяют значение плотности диэлектрического вещества, после чего определяют массу диэлектрического вещества, заправляемого в бак. В конкретном случае при температуре жидкого кислорода на момент окончания заправки минус 192°С определяют его плотность, значение которой будет составлять ХХХХ. После чего согласно зависимости
где: m - масса заправленной в бак диэлектрической жидкости; ρ - плотность диэлектрической жидкости при температуре на момент окончания заправки; V - объем заправленной в бак диэлектрической жидкости.
Определяют значение массы жидкого кислорода, заправленного в бак.
Заявленный способ определения уровня диэлектрического вещества может быть реализован с помощью устройства, функциональные блоки которого выполнены на микросхеме 2S200PQ208 фирмы Xilinx. Численные решения представленных выше выражений могут быть реализованы с помощью программного пакета Foundation Series. Данный пакет проектирования включает в себя комплекс средств, позволяющих осуществить разработку программируемой логической интегральной схемы (ПЛИС) фирмы Xilinx, начиная от описания внутреннего содержимого устройства до загрузки конфигурации ПЛИС и отладки непосредственно на печатной плате. Программное обеспечение Foundation Series позволяет реализовать все необходимые функции, включая реализацию численных методов вычисления значений физических величин.
Заявленный способ авторами апробирован на макетном изделии. В настоящий момент авторами создается система измерения параметров жидкого кислорода ракетного блока, которая предназначена для измерения, в том числе массы заправленного жидкого кислорода в бак изделия РКТ и будет использована на одной из стартовых пусковых установок Российского космодрома.
Используемая литература
1. Агамалов Ю.Р., Бобылев Д.А., Кнеллер В.Ю. Измеритель-анализатор параметров комплексных сопротивлений на основе персональной ЭВМ. Измерительная техникаю 1996, №6, с56-60.
2. К.Б. Карандеев, Ф.Б. Гриневич, А.И. Новик. Емкостные самокомпенсированные уровнемеры. М:, издательство «Энергия», 1966, с-135.
3. А.И. Новик. «Системы автоматического уравновешивания цифровых экстремальных мостов переменного тока», Киев:, Наукова Думка, 1983, с. 9-10.
4. Патент РФ №2025666, MIIK:G01F 23/26, «Многоточечный сигнализатор уровня (его варианты)».
5. Патент РФ №2262669 (заявка: 2003129116/28, 01.10.2003), МПК G01F 23/26, G01R 17/00 «Способ определения уровня диэлектрического вещества»
6. Справочник по физико-техническим основам криогеники. Пол ред. Проф. М.П. Малкова. Издание третье переработанное и дополненное. М:, Энергоатомиздат. 1985.
| название | год | авторы | номер документа |
|---|---|---|---|
| УСТРОЙСТВО ДЛЯ ИЗМЕРЕНИЯ ПАРАМЕТРОВ ДИЭЛЕКТРИЧЕСКОГО ВЕЩЕСТВА | 2024 |
|
RU2833179C1 |
| СПОСОБ ОПРЕДЕЛЕНИЯ УРОВНЯ ДИЭЛЕКТРИЧЕСКОГО ВЕЩЕСТВА | 2003 |
|
RU2262669C2 |
| СПОСОБ ОПРЕДЕЛЕНИЯ УРОВНЯ ДИЭЛЕКТРИЧЕСКОГО ВЕЩЕСТВА | 2011 |
|
RU2488783C1 |
| СПОСОБ ОПРЕДЕЛЕНИЯ УРОВНЯ ДИЭЛЕКТРИЧЕСКОГО ВЕЩЕСТВА | 2010 |
|
RU2456552C1 |
| СПОСОБ ОПРЕДЕЛЕНИЯ УРОВНЯ ДИЭЛЕКТРИЧЕСКОГО ВЕЩЕСТВА | 2016 |
|
RU2642166C2 |
| УСТРОЙСТВО ДЛЯ ИЗМЕРЕНИЯ УРОВНЯ ДИЭЛЕКТРИЧЕСКОГО ВЕЩЕСТВА | 2003 |
|
RU2262668C2 |
| СПОСОБ ОПРЕДЕЛЕНИЯ ПАРАМЕТРОВ ДВУХПОЛЮСНИКА | 2014 |
|
RU2583879C2 |
| СИСТЕМА ИЗМЕРЕНИЯ УРОВНЯ ЗАПРАВКИ | 2009 |
|
RU2414687C1 |
| УСТРОЙСТВО ДЛЯ ИЗМЕРЕНИЯ УРОВНЯ ДИЭЛЕКТРИЧЕСКОГО ВЕЩЕСТВА | 2012 |
|
RU2499232C1 |
| УСТРОЙСТВО ДЛЯ ИЗМЕРЕНИЯ УРОВНЯ ДИЭЛЕКТРИЧЕСКОГО ВЕЩЕСТВА | 2010 |
|
RU2445584C1 |
Изобретение относится к электроизмерительной технике, а конкретно к измерению электрических параметров двухполюсников. Сущность заявленного способа заключается в том, что по определенному значению температуры диэлектрического вещества на момент окончания заправки определяют значение плотности диэлектрического вещества, после чего определяют массу диэлектрического вещества, заправленного в бак. Техническим результатом при реализации заявленного изобретения является расширение функциональных возможностей способа определения уровня диэлектрического вещества, а именно определение не только уровня, но и массы диэлектрического вещества. 3 ил.
Способ определения параметров диэлектрического вещества, заключающийся в формировании синусоидального напряжения на емкостном датчике уровня, расположенном в заправляемом баке, измерении тока через сухой емкостный датчик уровня и измерении тока через заполняемый емкостный датчик уровня, задании схемы замещения емкостного датчика уровня, состоящей из электрической емкости и активного сопротивления, формировании синусоидального напряжения на емкостном датчике уровня на двух заданных частотах, в последовательном измерении тока через сухой датчик уровня и эталон на каждой из двух частот, фиксации результатов измерения, определении и фиксации электрической емкости сухого датчика уровня, вычислении и фиксации приращения электрической емкости емкостного датчика уровня при полном его погружении в диэлектрическое вещество, периодическом последовательном измерении и фиксации тока через заполняемый диэлектрическим веществом емкостный датчик уровня и эталон на каждой из двух заданных частотах, определении для каждого периодического измерения и фиксации электрической емкости емкостного датчика уровня, определении относительного заполнения диэлектрическим веществом емкостного датчика уровня как разность значений электрической емкости заполняемого емкостного датчика уровня и электрической емкости сухого емкостного датчика уровня, отнесенную к приращению электрической емкости полностью погруженного в диэлектрическое вещество емкостного датчика уровня, отличающийся тем, что определяют точку, лежащую на пересечении вертикальной оси бака, перпендикулярной днищу бака, и плоскости, касательной к внешней поверхности, наиболее удаленной от днища бака, которую принимают за точку отсчета при определении уровня технологического вещества в процессе его градуировки, и для измерения уровня диэлектрического вещества с помощью емкостного датчика уровня при его заправке, где уровень - это граница между жидкой и газообразной фазой диэлектрического вещества, от точки отсчета измерений уровня задают и фиксируют для температуры нормальных условий n уровней для заправляемого технологического вещества, где n - количество уровней, необходимых для градуировки бака, измеряют и фиксируют при температуре нормальных условий соответствие каждому заданному значению уровня технологического вещества, заправленного в бак, значение объема, занимаемого им в баке, затем задают диапазон рабочей температуры диэлектрического вещества, из которого выбирают значение, соответствующее рабочей температуре диэлектрического вещества на момент окончания заправки бака, для каждого заданного при нормальных условиях значения уровня технологического вещества, используемого при градуировке бака, определяют и фиксируют значения уровней для рабочей температуры диэлектрического вещества на момент окончания заправки бака, по измеренным в нормальных условиях при градуировке бака значениям объема, занимаемого технологическим веществом, для заданных n уровней, определяют и фиксируют объемы, занимаемые диэлектрическим веществом при его рабочей температуре, и определяемые результаты фиксируют, для каждого значения рабочей температуры диэлектрического вещества фиксируют значения плотности диэлектрического вещества, затем определяют значение уровня диэлектрического вещества, путем определения расстояния уровня диэлектрического вещества до точки отсчета измерений, по значению которого определяют значение объема диэлектрического вещества, заправляемого в бак при его рабочей температуре, причем объем диэлектрического вещества определяют с помощью линейной аппроксимации соседних значений объемов при рабочей температуре, полученных при градуировке бака, с учетом пропорциональности расположения измеренного уровня диэлектрического вещества между соседними заданными значениями уровня при рабочей температуре, используемыми при градуировке бака, затем по определенному значению температуры диэлектрического вещества на момент окончания заправки определяют значение плотности диэлектрического вещества, после чего определяют массу диэлектрического вещества, заправленного в бак.
| СПОСОБ ОПРЕДЕЛЕНИЯ УРОВНЯ ДИЭЛЕКТРИЧЕСКОГО ВЕЩЕСТВА | 2003 |
|
RU2262669C2 |
| УСТРОЙСТВО ДЛЯ ИЗМЕРЕНИЯ УРОВНЯ ДИЭЛЕКТРИЧЕСКОГО ВЕЩЕСТВА | 2010 |
|
RU2445584C1 |
| Статья: "МЕТОДЫ ОПРЕДЕЛЕНИЯ ЭЛЕКТРИЧЕСКИХ ХАРАКТЕРИСТИК ДИЭЛЕКТРИЧЕСКИХ ВЕЩЕСТВ В СВЧ ПОЛЕ", Ж | |||
| Кипятильник для воды | 1921 |
|
SU5A1 |
| US 3181557 A1, 04.05.1965 | |||
| CN 0205808503 U, 14.12.2016. | |||
Авторы
Даты
2025-01-13—Публикация
2024-01-10—Подача