Изобретение относится к сельскому хозяйству и может быть использовано в доильных установках. Пульсатор - это переключатель вакуума и атмосферного давления, предназначен для преобразования постоянного разрежения, создаваемого вакуумным насосом, в пульсирующий, при котором вакуум и атмосферное давление в определенные моменты сменяют друг друга и подаются через шланги в межстенные пульсационные камеры доильных стаканов. Без пульсатора не обходится ни одна доильная машина, и от надежности его работы зависят успех и эффективность машинного доения коров и других животных.
Эффективный пульсатор играет основную роль в доильной установке, так как его функциональность непосредственно влияет на качество доения. Простота и, следовательно, надежность и экономичность конструкции пульсатора также важны, учитывая его повсеместное широчайшее применение в агропромышленности.
По порядку воздействия на доильные стаканы существует два класса пульсаторов: одновременного, или синхронного доения, и попеременного, или асинхронного. Работа пульсатора определяется двумя основными параметрами: частотой пульсаций и соотношением фаз разрежения-сжатия.
В настоящее время общепризнано, что пульсаторы асинхронного типа оптимальны по многим критериям. Целый ряд обстоятельств тому причиной. Во-первых, механизм их работы ближе всего к естественному получению молока, не влечет стресса для коровы, обеспечивает ее комфорт и позволяет быстрее приучить к машинному доению. Благодаря этому удои могут повышаться на 20-30%. Во-вторых, такие устройства щадяще воздействуют на соски и вымя, не провоцируют развитие маститов, не создают травм. Наконец, они более стабильны, просто обслуживаются и долговечны. Использование же в прошлом пульсаторов синхронного доения объясняется их дешевизной и тем, что традиционно выпускаемые доильные аппараты были «заточены» именно под такой тип пульсаторов /Королев В.Ф. Доильные машины: Теория, конструкция и расчет. Изд-во «Машиностроение». М., 1969. - 279 с./. Золотниковые пульсаторы попеременного (асинхронного) доения гораздо более функциональны, а также надежны по конструкции, чем широко применяемые ранее мембранно-клапанные, входящие в устройства одновременного (синхронного) доения. Из существующих золотниковых пульсаторов следует отметить более современные пульсаторы для установок попеременного доения /Карташов Л.П., Куранов Ю.Ф. Машинное доение коров. Изд-во «Высшая школа». М., 1980. - 223 с./. Наиболее популярны в настоящее время золотниковые пульсаторы попарного доения, например, итальянской фирмы Интерпульс и их аналоги, производящиеся повсеместно. В них используются высокоскоростные возвратно-поступательные золотники /ЕР 0009282 А1, ЕР 0241763 А2, ЕР 1336335 А2/.
Общепринято использование золотниковых пульсаторов для установок попеременного доения. Все существующие золотниковые пульсаторы совершают быстрые возвратно-поступательные перемещения, циклически соединяя источник вакуума с межстенными пульсационными камерами доильных стаканов. Золотник с высокой частотой скользит по пластине из износостойкого синтетического материала с окнами, сообщающимися с источником вакуума и с пульсационными камерами. Трудноразрешимой проблемой высокочастотных возвратно-поступательных золотниковых пульсаторов является быстрый износ фрикционных покрытий пластин, ведущий к снижению функциональности и уходу технических характеристик пульсатора. Специальные патенты посвящены износостойким покрытиям пластин таких высокоскоростных возвратно-поступательных золотников, обзор которых содержится, например, в /Николини Г., Сикури Р. Пневматический пульсатор для доильных установок. Патент на изобретение РФ №2289239. Приоритет 18.02.2002/. Кроме того, эти высокочастотные пульсаторы являются тяжело нагруженными механизмами из-за возвратно-поступательных колебательных движений, сопровождающихся инерционными нагрузками, амплитуды которых пропорциональны квадрату частоты. Помимо износа и ухода технических характеристик, постоянные ударные нагрузки приводят к усталостным разрушениям, а также являются одним из основных источников шума и вибраций доильной установки.
В изобретении /Свияженинов Е.Д. Мультипликативный золотниковый пульсатор аппарата попеременного доения. Патент на изобретение РФ №2701323. Приоритет 14.11.2018/ также использовался золотниковый принцип создания пульсаций, но не быстрый возвратно-поступательный, а наиболее простой - медленно равномерно вращающийся. Применение равномерно вращающихся золотниковых пульсаторов доильных аппаратов до недавнего времени не имело аналогов, потому что сдерживалось следующим обстоятельством. С ростом частоты вращения золотника увеличивается окружная скорость на его наружной поверхности трения, и механизм скольжения сопрягающихся поверхностей (ротора и статора) осложняется значительной мощностью сил трения. Это сопровождается тепловыделением, трудностями смазки, износом сопрягающихся поверхностей и нарушениями плотности их взаимного прилегания. Следовательно, многократное снижение частоты вращения золотниковых пульсаторов, на порядок и более, при сохранении функциональности, весьма принципиально, ибо подавляет мощность сил трения и открывает возможности их широкого внедрения.
Вращающийся золотниковый пульсатор включает в себя неподвижный статор и вращающийся ротор, расположенный внутри статора по его оси симметрии. Функция статора - равномерное размещение по окружности п окон, воспринимающих и передающих далее по каналам на исполнительные устройства толчки давления, а ротора - последовательная раздача постоянного избыточного давления из его внутренней полости по окнам статора для получения на них переменного во времени пульсирующего давления. Окна статора и ротора выполнены в виде щелевых отверстий. При использовании на роторе только одного окна большая часть времени вращения ротора-золотника расходуется не на выполнение его главной функции - создание пульсирующего давления на окнах статора, а на совершенно непроизводительные холостые повороты своего единственного окна к очередному окну статора. Это влечет высокие обороты ротора и малое время совмещения окон ротора и статора для выполнения основной функции. Недопустимо резко снижается функциональность и надежность устройства из-за значительного механического тепловыделения, трудностей смазки, износа сопрягающихся поверхностей и нарушений плотности их взаимного прилегания.
Таким образом, сдерживающим фактором применения однооконных роторов-золотников являлась высокая частота вращения золотника.
В изобретении /Свияженинов Е.Д. Мультипликативный золотниковый пульсатор аппарата попеременного доения. Патент на изобретение РФ №2701323. Приоритет 14.11.2018/, принятом за прототип, было достигнуто многократное снижение частоты вращения ротора вращающегося золотникового пульсатора за счет использования многооконного ротора, при котором полный цикл пульсаций вакуума в межстенных камерах доильных стаканов осуществляется за время не полного оборота ротора, а только за время весьма малого его поворота, что устраняет перечисленные выше проблемы внедрения вращающихся золотниковых пульсаторов.
Эта задача решалась тем, что устройство по прототипу включает неподвижный статор, снабженный п равномерно распределенными по окружности окнами, и скользящий по нему ротор, содержащий воздух под избыточным давлением, которое может быть как положительным (сжатие), так и отрицательным (разрежение или вакуум), снабженный mn+1 или mn-1 равномерно распределенными по окружности окнами для прямой или обратной пульсации соответственно, где m - любое натуральное число: m=1, 2, 3,…, при этом полный цикл последовательных пульсаций давления по окнам статора осуществляется за время не полного оборота ротора, а только за время его поворота на малый угол 2π/(mn+1) или 2π/(mn-1) соответственно в прямом или обратном направлении относительно направления вращения ротора, что обеспечивает одновременно снижение требуемой частоты вращения ротора в mn+1 или mn-1 раз для достижения малой линейной скорости скольжения поступательно вращающегося золотника и увеличения времени замкнутого состояния в это же число раз. Суммарная угловая величина окон ротора и статора γ=γr+γs, где γr, γs - угловые величины окон ротора и статора соответственно, должна удовлетворять условию γ≤nδ, где δ - универсальная (зависящая только от чисел m, n) характеристика устройства: δ=2π/n/(mn+1) - для прямой пульсации, δ=2π/n/(mn-1) - для обратной, соответственно. Результатом является получение последовательной равномерной по времени пульсации на окнах статора в прямом или обратном направлении. Частота вращения импульсов давления на окнах статора в mn+1 или mn-1 раз выше, чем в пульсаторе с однооконным ротором-золотником при той же частоте его вращения. Следовательно, требуемая частота вращения mn+1 или mn-1-оконного золотника будет соответственно в mn+1 или в mn-1 раз меньше частоты вращения однооконного ротора-золотника, дающего ту же частоту вращения импульсов давления по окнам статора. Поэтому золотник по предложенной схеме устройства выполняет функцию мультипликатора, т.е. умножителя частоты вращения импульсов в mn+1 или в mn-1 раз, и его частота вращения должна быть во столько же раз снижена. Но при сниженной частоте вращения ротора-золотника во столько же раз увеличивается время замкнутого состояния - время работы окна статора, пока мимо него проходит окно ротора. Следовательно, эффект мультипликации приводит к тому же результату, но при существенно сниженной скорости вращения золотника.
Далее, необходимо учесть создание пульсации воздуха на окнах статора с учетом реальных замкнутых оконечных устройств, а именно, в доильном аппарате импульсы вакуума и атмосферного давления с заданной частотой и соотношением фаз должны поочередно поступать через окна статора в межстенные пульсационные камеры доильных стаканов.
Для этого окна статора снабжены шлангами для соединения с пульсационными межстенными камерами доильных стаканов, а вращающийся мультипликаторный золотник ротора выполнен двухсекционным, одна секция которого сообщена с источником вакуума, а другая - с атмосферной средой, при этом обе секции ротора имеют одинаковое число окон, но повернуты относительно друг друга и разделены несущей круговой пластиной. Сопутствующим эффектом является простота, надежность и экономичность конструкции.
Недостатком прототипа являлось то, что окна статора соединялись с пульсационными межстенными камерами доильных стаканов единым шлангом, поток воздуха в котором при смене фаз доения менялся на противоположный. Прямые и обратные потоки частично перемешивались, создавая области турбулентности и затрудняя движение воздуха. В предлагаемом изобретении потоки воздуха, противоположные по направлению, разделены посредством введения для них отдельных шлангов. А именно, от окон атмосферной секции статора на актуаторный шланг идет атмосферный шланг с постоянным направлением воздуха от центра устройства к периферии. После попадания в актуаторный шланг и межстенную камеру доильного стакана этот воздух поступает в вакуумный шланг и идет через него в обратном направлении, от периферии к центру, поступая в вакуумную камеру и удаляясь из нее вакуумным насосом. Таким образом, потоки воздуха противоположных направлений в разных фазах доения идут по отдельным шлангам, не перемешиваясь.
Также, по сравнению с прототипом, предусмотрена возможность работы устройства в синхронном мультипликаторном режиме.
Изложенная сущность поясняется чертежами, где на фиг. 1 изображен продольный разрез устройства, на фиг. 2, 3 - поперечные разрезы по двум сечениям секций, сообщающихся с вакуумной камерой А-А и атмосферной средой В-В соответственно, на фиг. 4-9 - временные развертки периодически открывающихся-закрывающихся окон статора и давлений на актуаторных шлангах для разных соотношений фаз разрежения-сжатия.
Схема мультипликаторного золотникового пульсатора аппарата попеременного доения
Пульсатор аппарата попеременного доения (фиг. 1-3) состоит из вращающегося двухсекционного ротора-золотника 1, каждая секция которого 2, 3 снабжена равномерно распределенными по окружности mn+1 или mn-1 окнами для прямой или обратной пульсации соответственно, где m - коэффициент мультипликации, - любое натуральное число: m=1, 2, 3,…. Эти две секции 2 и 3 ротора 1 показаны в поперечных разрезах А-А (фиг. 2) и В-В (фиг .3). Ротор 1 скользит внутри также двухсекционного статора 4, обе секции которого 5, 6 одинаковы и снабжены п равномерно распределенными по его окружности окнами угловой величины γs. К этим окнам статора присоединены достаточно длинные вакуумные шланги 7 и атмосферные 8, соединяющиеся в приводные, или актуаторные, шланги 9. Именно приводные шланги 9 подсоединяются к межстенным пульсационным камерам доильных стаканов (на фиг. 1 не показаны) и активируют в них требуемые для доения режимы пульсации. Обе секции 2, 3 ротора 1 размещены на несущей круговой пластине 10, которая равномерно вращается с частотой f посредством приводного вала 11. Несущая круговая пластина 10 разделяет полости этих двух секций ротора 1, сообщающихся соответственно с двумя камерами: вакуумной 12 и атмосферной 13. Вакуумная секция 12 ротора 1 имеет окна угловой величины γr=nδ/(1+b/а)-γs, а атмосферная 13 - γr=nδ/(1+а/b)-γs, где ab - соотношение фаз разрежения и сжатия, и эти две секции ротора повернуты относительно друг друга на угол nδ/(1+b/a). Окна двух секций 5, 6 статора 4 также показаны в поперечных разрезах А-А (фиг. 2) и В-В (фиг. 3). Вакуумная камера 12 образована ресивером разрежения 14 с патрубком 15 для подсоединения вакуумного насоса (на фиг. 1 не показан).
Принцип работы мультипликаторного золотникового пульсатора аппарата попеременного доения
Для пояснения принципа работы пульсатора аппарата попеременного доения, анализа переключений вакуумной и атмосферной секций на окнах статора 4, результирующих давлений на приводных шлангах 9, активирующих межстенные пульсационные камеры доильных стаканов, служат фиг. 1-3 и 4-9. На фиг. 4, 5 изображены временные развертки работы пульсатора для соотношения фаз разрежения-сжатия a/b=1, на фиг. 6, 7 - для а/b=1.6, на фиг. 8, 9 - для а/b=2.2. Для определенности показан режим прямой пульсации для 4-оконного статора, n=4. Схемы обратной, синхронной пульсации и/или другого числа окон статора работают совершенно аналогично.
Направление вращения ротора 1 показано круговой стрелкой, помеченной буквой f (фиг. 2, 3). Далее f будет обозначать также частоту вращения ротора 1. Угловая частота вращения ротора 1 обозначена через ω и составляет ω=2πf.
Передние края окон двух секций 2, 3 ротора 1 по ходу его вращения обозначены вращающимися лучами ri (сплошные линии), а передние края окон двух секций 5, 6 статора 4 - неподвижными лучами sj (штриховые линии), с индексами i, j, соответствующими порядковым номерам окон секций ротора 1 и окон секций статора 4.
Ключевая особенность предложенной схемы, как видно из фиг. 2, 3, состоит в том, что:
1. Последовательные углы между лучами ri, si, i=2, 3, 4… составляют (i-1)δ, т.е. образуют натуральную последовательность (1, 2, 3,…)δ.
2. Вращающееся устройство имеет осевую симметрию mn+1 или mn-1 порядка, т.е. при повороте его вокруг оси вращения на угол 2π/(mn+1) или на угол 2π/(mn-1), соответственно, оно совмещается само с собой.
Именно эти два обстоятельства эффективно обеспечивают полный цикл равновременной последовательной пульсации давления на окнах статора не за полный период вращения ротора 1, а только за mn+1 или mn-1 его часть.
Работает устройство следующим образом. Для примера рассмотрен режим прямой пульсации, когда направление вращения импульсов давления на окна двухсекционного статора 4 совпадает с направлением вращения двухсекционного ротора 1. Поочередно открываются (включаются) и закрываются (выключаются) окна вакуумной (сечение А-А) и атмосферной (В-В) секций статора 4. Временные развертки для каждого отдельного окна статора 4 изображены на фиг. 4, а для всех окон вместе - на фиг. 5. Пусть в начальный момент времени включается окно вакуумной секции 5 статора 4 (фиг .4, сверху, для соотношений фаз разрежения-сжатия а/b=1). Переменная во времени площадь S открывающегося окна вакуумной секции 5 статора 4 как функция времени представляет собой трапецеидальный импульс (меандр), расположенный в отрицательной полуплоскости (на фиг. 4 отмечен через А-А). Когда окно вакуумной секции 5 статора 4 выключается, синхронно включается окно атмосферной секции 6 статора 4, дающее трапецеидальный импульс (меандр) в положительной полуплоскости (В-В на фиг. 4).
Временная развертка давления Р на приводном шланге 9, активирующем межстенную пульсационную камеру доильного стакана, представлена на нижнем графике фиг. 4. Это - меандр разрежения, - отрицательного избыточного давления, сменяющийся нулевым избыточным давлением при переключении вакуумной камеры на атмосферную. Временные развертки давлений Р сразу на всех n, n=4, приводных шлангах 9, активирующих свои межстенные пульсационные камеры доильных стаканов, изображены на фиг. 5.
Таким образом, реализуется непрерывный оверлэпный, или перекрывающийся во времени по соседним каналам, режим работы пульсатора с поочередным выключением каждого окна статора при повороте ротора на угол γ=γr+γs и включением следующего за ним соседнего окна статора при повороте ротора на угол δ=2π/n/(mn+1) (при прямой пульсации) или на угол δ=2π/n/(mn-1) (при обратной) / Свияженинов Е.Д. Мультипликативный золотниковый пульсатор. Патент на изобретение РФ №2698385. Приоритет 12.10.2018/.
Аналогичные временные развертки для соотношений фаз разрежения-сжатия а/b=1.6 и а/b=2.2 представлены на фиг. 6,7 и 8,9 соответственно.
Оценка мощности сил трения на всей окружности скольжения ротора по статору
Обозначения:
Р - мощность сил трения вращающегося роторного золотника по неподвижному статору,
μ - коэффициент трения между ротором и статором, образующими пару трения,
р - нормальное давление ротора на единицу длины окружности статора,
R - радиус сопрягающихся поверхностей ротора и статора,
n - число окон статора,
γs - угловая величина окна статора,
v - линейная скорость вращения ротора, v=ωR,
ω - угловая скорость вращения ротора.
На элемент дуги ds сопрягающихся поверхностей ротора и статора действует сила трения:
μpds.
Мощность сил трения на элементе дуги ds=Rdθ:
dP=μpvds=μpωRds=μpωR2dθ.
Мощность сил трения на всей окружности скольжения:
.
Способы подавления мощности сил трения
На основе выведенной рабочей формулы мощности сил трения можно управлять ее подавлением путем выбора конструктивных параметров устройства, использующего вращающийся золотник.
Действительно, из аналитического выражения мощности сил трения при работе вращающегося золотника
следует главный вывод: мощность сил трения Р пропорциональна угловой скорости вращения ротора со и квадрату его внешнего радиуса R2.
Таким образом, подавление мощности сил трения должно обеспечиваться:
1. снижением угловой скорости вращения ротора ω, что и обеспечивается заложенным в изобретение мультипликаторным принципом. Кроме того,
2. уменьшением радиуса ротора R. Поэтому устройство по предлагаемому изобретению должно обладать весьма ограниченными поперечными размерами.
Необходимость большого объема камеры-ресивера разрежения
Камера-ресивер разрежения - это прочный сосуд для накопления разреженного воздуха, предназначенный, главным образом, для сглаживания колебаний низкого давления, вызываемых пульсирующей подачей и прерывистостью расхода воздуха. Покажем, что для выполнения этих функций объемные размеры камеры-ресивера должны быть достаточно велики.
Для разреженного воздуха в камере-ресивере разрежения, являющегося смесью газов переменной массы, справедливо уравнение Менделеева-Клапейрона:
,
где:
р - давление воздуха,
V - постоянный объем вакуумной камеры-ресивера,
m - переменная масса воздуха в камере-ресивере разрежения из-за ее пульсирующей подачи и прерывистости расхода,
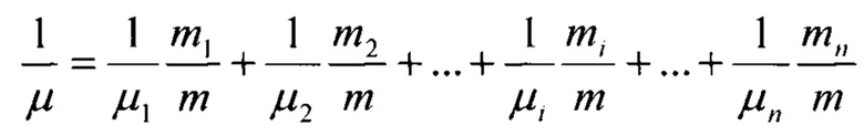
μ - эквивалентная молярная масса воздушной смеси, состоящая из n принятых существенных i-ых компонент со своей молярной массой μi, рассчитываемая по известной формуле:
,
причем все
, i - от 1 до n, при флуктуациях воздушной смеси в ресивере постоянны,
R - универсальная газовая постоянная,
Т - абсолютная температура.
Изменение давления р воздушной смеси из-за изменения ее массы m получаем дифференцированием функции p(m, Т) по m:
.
Откуда следует, что чем больше объем вакуумной камеры-ресивера V, тем меньше изменения давления р из-за пульсирующей подачи и прерывистости расхода массы воздушной смеси m, т.е. тем более постоянно низкое давление р в камере-ресивере разрежения.
Технические характеристики мультипликаторного золотникового пульсатора аппарата попеременного доения. Сводка основных формул
Главными характеристиками пульсаторов доильных аппаратов являются частота пульсаций ν и соотношение периодов, фаз, или тактов, разрежения-сжатия а/b на каждой межстенной пульсационной камере доильного стакана.
Частота пульсаций ν определяется исключительно частотой вращения f ротора-золотника:
ν=(mn+1)f - для прямой пульсации,
ν=(mn-1)f - для обратной,
νb(mn)f - для синхронной.
Соотношение периодов разрежения-сжатия а/b определяется конструктивным углом γ, универсальным (зависящим только от чисел m, n) углом - δ и числом окон статора n:
а/b=γ/(nδ-γ),
b/a=n δ/γ-1,
где γ=γr+γs - суммарная угловая величина окон ротора и статора вакуумной секции,
δ=2π/n/(mn+1) - для прямой пульсации,
δ=2π/n/(mn-1) - для обратной,
δ=2π/n/(mn) - для синхронной.
Таким образом, соотношение длительностей фаз разрежения-сжатия а/b определяется конструктивным углом γ и числами m, n.
Формула для выбора конструктивного угла γ=γr+γs вакуумной секции выглядит следующим образом:
γ=nδ/(1+b/а).
Время замкнутого состояния τ (время перекрытия окон секции ротора и статора) составляет:
τ=a/(a+b)/ ν=(γ/δ)/(nν) - для вакуумной секции,
τ=b/(a+b)/ ν=(n-γ/δ)/(nν) - для атмосферной.
Отсюда следует, что для предельного частного случая полной γ=nδ пульсации соответственно имеем:
τ=1/ν - для вакуумной секции,
τ=0 - для атмосферной.
Для частного случая непрерывной γ=δ пульсации соответственно имеем:
τ=(n-1)/(nν) - для вакуумной секции,
τ=1/(nν) - для атмосферной секции.
Пример расчета мультипликаторного золотникового пульсатора аппарата машинного доения
Итак, основными характеристиками доильных аппаратов являются частота пульсаций ν и соотношение фаз разрежения-сжатия а/b на каждой межстенной пульсационной камере доильного стакана.
Частота пульсаций ν определяется частотой вращения f ротора-золотника, которая допускает простое изменение в рабочем режиме:
ν=(mn+1)f - для прямой пульсации,
ν=(mn-1)f - для обратной,
ν=(mn)f - для синхронной пульсации.
Соотношение периодов разрежения-сжатия а/b определяется конструктивным углом γ, универсальным (зависящим только от чисел m, n) углом - δ и числом окон-патрубков статора n:
а/b=γ/(nδ-γ),
где γ=γr+γs - суммарная угловая величина окон ротора и статора
вакуумной секции,
δ=2π/n/(mn+1) - для прямой пульсации,
δ=2π/n/(mn-1) - для обратной,
δ=2π/n/(mn) - для синхронной.
1. Пример расчета режима прямой пульсации, когда последовательность работы окон статора совпадает с направлением вращения ротора и образует на этих окнах вращающуюся волну, частота вращения которой в mn+1 раз превышает частоту вращения ротора.
В качестве первого примера рассчитаем схему прямой пульсации для 4-оконного статора, n=4, посредством mn+1-оконного золотника ротора, для значений параметра системы - мультипликаторного числа m=1, 2, 3. Пусть требуемая частота пульсаций на каждом из окон статора составляет ν=1 Гц. Тогда период вращения Т и частота вращения f ротора мультипликаторного золотникового пульсатора составят:
Т=(mn+1)/ν, f=ν/(mn+1).
2. Пример расчета режима обратной пульсации, когда последовательность работы окон статора противоположна направлению вращения ротора и образует на них вращающуюся волну, частота вращения которой в mn-1 раз превышает частоту вращения ротора.
В качестве второго примера рассчитаем схему обратной пульсации для 4-оконного статора, n=4, посредством mn-1-оконного ротора, для последовательных значений мультипликаторного коэффициента m=1, 2, 3. Пусть требуемая частота пульсаций на каждом из окон статора составляет ν=1 Гц. Тогда период вращения Т и частота вращения f ротора мультипликативного золотникового пульсатора составят:
T=(mn-1)/ν, f=ν/(mn-1).
3. Пример расчета режима синхронной пульсации, когда работа всех окон статора синфазна и образует на них стоячую волну, частота которой в mn раз превышает частоту вращения ротора.
В качестве третьего примера рассчитаем схему синхронной пульсации для 4-оконного статора, n=4, посредством mn-оконного золотника ротора, для последовательных значений мультипликаторного коэффициента m=1, 2, 3. Пусть требуемая частота пульсаций на каждом из окон статора составляет ν=1 Гц. Тогда период вращения Т и частота вращения f ротора синхронного мультипликаторного золотникового пульсатора составят:
Т=mn/ν, f=ν/(mn).
Общий вывод. Учитывая, что для традиционно применявшегося однооконного ротора период вращения составлял бы 1 с, видим, что для мультипликаторного многооконного ротора период вращения увеличивается на порядок. Таким образом, наглядно виден эффект мультипликации пульсации, проявляющийся в mn+1, mn-1 или mn-кратном снижении требуемых частот вращения ротора многооконного золотника. Это обусловлено тем, что все время вращения многооконного ротора эффективно расходуется на совершение лишь главной его функции - последовательной генерации импульсов разрежения на окнах статора, а непроизводительное холостое вращение ротора только для поворота его единственного окна к следующим окнам статора полностью исключено.
Отметим, что вышеприведенные таблицы для 4-оконного статора при прямой, обратной и синхронной пульсациях - весьма похожи. Это подтверждает, что прямая пульсация mn+1, обратная mn-1, и синхронная mn, с коэффициентом мультипликации m, обладают одинаковой эффективностью по критерию снижения оборотов ротора.
Когда n мало, выгоднее использовать прямую пульсацию, когда же n велико, - обратную или синхронную, потому что конструктивно ширина окон ротора при этом получается приблизительно одна и та же.
Главное, что увеличением коэффициента мультипликации m можно неограниченно снижать скорости скольжения ротора-золотника по поверхности статора, чтобы подавить мощность сил трения и тепловыделение, из-за которых до сих пор равномерно вращающиеся золотники малоупотребительны в машиностроении по сравнению с возвратно-поступательными (начиная с золотников паровых двигателей), несмотря на их большую простоту, надежность и экономичность.
Так пришли к понятию мультипликации, означающему, что малая частота вращения ротора дает высокую частоту волны реакции статора. Эта волна может быть бегущей, как в случаях прямой или обратной пульсации, так и стоячей, как в случае синхронной. Дополнительным «бонусом» является возможность изменения направления вращения волны реакции статора на противоположное при том же направлении вращения ротора.
Анализ результатов
Соотношение периодов разрежения-сжатия а/b:
а/b=γ/(nδ-γ),
где γ=γr+γs - суммарная угловая величина окон ротора и статора вакуумной секции, δ=2π/n/(mn+1) - для прямой пульсации, δ=2π/n/(mn-1) - для обратной, определяется выбором конструктивного угла γ:
γ=nδ/(1+b/a).
Пусть а/b=1. Тогда γ=nδ*.5=2δ.
При а/b=1.6 γ=nδ*.6154=2.46δ, а
при а/b=2.2 γ=nδ*.6875=2.75δ.
Таким образом, с ростом а/b угол γ растет, ограничиваясь верхним пределом γ=nδ=4δ. Эти соотношения периодов разрежения-сжатия а/b для различных значений конструктивного угла γ=γr+γs наглядно проиллюстрированы фиг. 4, 6, 8.
Выводы. Технический результат
1. Благодаря мультипликаторному эффекту удается использовать не быстрые возвратно-поступательные золотники, а наиболее простые и надежные медленно равномерно вращающиеся. Главное, что увеличением коэффициента мультипликации m можно неограниченно снижать скорости скольжения ротора по внутренней поверхности статора, чтобы подавить мощность сил трения и тепловыделение, из-за которых до сих пор равномерно вращающиеся золотники малоупотребительны в машиностроении по сравнению с возвратно-поступательными, несмотря на их большую простоту, надежность, экономичность, отсутствие непрерывных инерционных ударных нагрузок, вибраций, шума, усталостных разрушений и зон залипания ротора в окрестностях его нулевых скоростей, что повышает функциональность, надежность и долговечность пульсаторов.
2. Подавление мощности сил трения и тепловыделения устраняет нарушения плотности прилегания сопряженных вращающихся поверхностей пар трения, снижает износ и уход технических характеристик золотников.
3. Применено не попарное доение, а любое попеременное, например, учетверенное, при n=4, за одну операцию сразу обрабатывающее каждое животное. Более того, предложенное устройство простейшим частным случаем включает в себя и синхронное машинное доение, традиционно применяемое до внедрения попеременного.
4. Предусмотрена простая возможность варьирования частоты пульсаций и соотношения фаз разрежения-сжатия путем простого изменения частоты вращения двухсекционного ротора-золотника и выбором угловой величины его окон.
5. Посредством внешнего привода вращения устройства пневматическая энергия расходуется исключительно на работу пульсационных камер доильных стаканов, а не на активацию быстрых возвратно-поступательных перемещений золотникового механизма, что оптимизирует форму кривых давления в межстенных пульсационных камерах доильных стаканов и повышает эффективность пульсатора.
Использованная литература
1. Королев В.Ф. Доильные машины: Теория, конструкция и расчет. Изд-во «Машиностроение». М., 1969. - 279 с.
2. Карташов Л.П., Куранов Ю.Ф. Машинное доение коров. Изд-во «Высшая школа». М., 1980. - 223 с.
3. ЕР 0009282 А1. Pulsator device for use in milking machines.
4. EP 0241763 A2. Automatic pulsator apparatus for milking.
5. EP 1336335 A2. Pneumatic pulsator for milking plants.
6. Николини Г., Сикури P. Пневматический пульсатор для доильных установок. Патент на изобретение РФ №2289239. Приоритет 18.02.2002.
7. Свияженинов Е.Д. Мультипликативный золотниковый пульсатор аппарата попеременного доения. Патент на изобретение РФ №2701323. Приоритет 14.11.2018. (прототип).
8. Свияженинов Е.Д. Мультипликативный золотниковый пульсатор. Патент на изобретение РФ №2698385. Приоритет 12.10.2018.
Изобретение относится к сельскому хозяйству, в частности к доильному оборудованию. Пульсатор аппарата попеременного доения включает неподвижный статор (4) с равномерно распределенными по окружности окнами и скользящий по нему ротор (1), содержащий воздух под разрежением, с равномерно распределенными по окружности окнами для прямой или обратной мультипликаторной пульсации. Вращающийся ротор-золотник выполнен двухсекционным, одна секция которого сообщена с источником вакуума, а другая - с атмосферной средой. Эти секции ротора-золотника повернуты относительно друг друга и разделены несущей круговой пластиной (10). Статор также выполнен двухсекционным с двумя рядами одинаковых окон, снабженных вакуумными (7) и атмосферными шлангами (8), соединяющимися в приводные шланги (9), которые и активируют в межстенных пульсационных камерах доильных стаканов режимы прямой или обратной пульсации. Повышается функциональность, надежность и долговечность пульсаторов. 1 з.п. ф-лы, 9 ил.
1. Пульсатор аппарата попеременного доения, включающий неподвижный статор, снабженный n равномерно распределенными по окружности окнами, и скользящий по нему ротор, содержащий воздух под разрежением, снабженный mn+1 или mn-1 равномерно распределенными по окружности окнами для прямой или обратной мультипликаторной пульсации соответственно, где m - любое натуральное число: m=1, 2, 3,…, а суммарная угловая величина окон ротора и статора γ=γr+γs, где γr, γs - угловые величины окон ротора и статора соответственно, должна удовлетворять условию γ≤nδ, где δ - универсальная, зависящая только от чисел m, n, характеристика устройства: δ=2π/n/(mn+1) - для прямой пульсации, δ=2π/n/(mn-1) - для обратной, соответственно, окна статора угловой величины γs снабжены n шлангами для соединения с пульсационными камерами доильных стаканов, а вращающийся ротор-золотник выполнен двухсекционным, одна секция которого сообщена с источником вакуума, а другая - с атмосферной средой, при этом вакуумная секция имеет окна угловой величины γr=nδ/(1+b/а)-γs, а атмосферная - γr=nδ/(1+а/b)-γs, где а/b - соотношение фаз разрежения и сжатия, эти секции ротора-золотника повернуты друг относительно друга на угол nδ/(1+b/a) и разделены несущей круговой пластиной, отличающийся тем, что статор, как и ротор, также выполнен двухсекционным, с двумя рядами n одинаковых окон угловой величины γs, снабженных вакуумными и атмосферными шлангами, соединяющимися в приводные шланги, которые и активируют в межстенных пульсационных камерах доильных стаканов режимы прямой или обратной пульсации.
2. Пульсатор аппарата попеременного доения по п. 1, отличающийся тем, что ротор снабжен mn равномерно распределенными по окружности окнами для мультипликаторной синхронной пульсации, где m - любое натуральное число: m=1, 2, 3,…, n - число окон статора.
| МУЛЬТИПЛИКАТИВНЫЙ ЗОЛОТНИКОВЫЙ ПУЛЬСАТОР АППАРАТА ПОПЕРЕМЕННОГО ДОЕНИЯ | 2018 |
|
RU2701323C1 |
| МУЛЬТИПЛИКАТИВНЫЙ ЗОЛОТНИКОВЫЙ ПУЛЬСАТОР | 2018 |
|
RU2698385C1 |
| ПНЕВМАТИЧЕСКИЙ ПУЛЬСАТОР ДЛЯ ДОИЛЬНЫХ УСТАНОВОК | 2003 |
|
RU2289239C2 |
| US 4041904 A1, 16.08.1977 | |||
| Приспособление для стрельбы из ружья | 1928 |
|
SU9282A1 |
Авторы
Даты
2025-02-21—Публикация
2024-03-19—Подача