Настоящее раскрытие испрашивает приоритет согласно заявке на патент Китая CN 202010928912.0, поданной 7 сентября 2020 г. и озаглавленной «Способ и устройство прогнозирования параметров резервуара на основе ограничения геологических характеристик, и среда хранения данных»,
и приоритет согласно заявке на патент Китая CN 202010931370.2, поданной 7 сентября 2020 г. и озаглавленной «Способ и устройство прогнозирования параметров резервуара, среда хранения данных и электронное устройство», полное содержание которых включено в настоящий документ посредством ссылки.
ОБЛАСТЬ ТЕХНИКИ
Настоящее раскрытие относится к технической области геофизической разведки и, в частности, к способу и устройству прогнозирования параметров резервуара, основанным на ограничении геологических характеристик, компьютерной среде хранения данных и компьютерному устройству.
УРОВЕНЬ ТЕХНИКИ
С развитием технологии глубинной миграции до суммирования и ее все более широким применением в обработке сейсмических данных большое значение приобретает прогнозирование параметров резервуара, выполняемое непосредственно в области глубины. Технологии сейсмического прогнозирования резервуаров в области глубины включают три основные отечественные и зарубежные технологии. Первым является метод картирования в качестве репрезентативной технологии в компании-разработчике программного обеспечения Hampson-Russell, компании Geophysical Insight и компании BGP. Технология в основном включает в себя установление комплексной взаимосвязи сетевого картирования между данными множества атрибутов и данными каротажа скважины с помощью нейронной сети для прямого прогнозирования параметров резервуара. Однако в различных средах седиментации использование одной и той же модели для прогнозирования может привести к низкой точности прогнозирования. Более того, из-за отсутствия ограничений по геологическим характеристикам, способность модели прогнозирования к обобщению является плохой, а результат прогноза подвержен переоснащению и не соответствует макроскопическому геологическому закону. Второй - метод инверсии, основанный на извлечении «вейвлета» в глубинной области, как репрезентативная технология в компании Paradigm, северо-западном отделении CNPC и нефтяном месторождении Шэнли. Технология в основном включает в себя прямое прогнозирование параметров упругости путем извлечения «вейвлета» в области глубины в сочетании с традиционной технологией инверсии. Однако теоретическая модель, основанная на данных в области глубины, не была создана, и поэтому ее базовая теория недостаточна. Третий метод прогнозирования параметров резервуара в области глубины на основе высокоточного преобразования скорости, как репрезентативная технология компании Jason. Технология включает преобразование данных в области глубины в данные во временной области для выполнения обычного прогнозирования параметров резервуара.
Однако преобразование глубины во время имеет определенную накопительную ошибку преобразования, требует много времени и труда, а также не способствует повышению точности прогноза резервуара.
СУЩНОСТЬ ИЗОБРЕТЕНИЯ
Для вышеупомянутых технических проблем настоящее раскрытие обеспечивает способ и устройство прогнозирования параметров резервуара на основе ограничения геологических характеристик, компьютерную среду хранения данных и компьютерное устройство.
В соответствии с первым аспектом настоящего раскрытия способ прогнозирования параметров резервуара на основе ограничения геологических характеристик, представленный в настоящем раскрытии, включает в себя: S100, выбор доминирующих сейсмических атрибутов из сейсмических атрибутов разных типов в соответствии с релевантностью между сейсмическими атрибутами разных типов целевого пласта и параметров резервуара;
S200, на основе доминирующих сейсмических атрибутов, классифицируя формы сейсмических волн целевого пласта с помощью заданной сетевой модели классификации форм волн и в соответствии с характеристиками форм волн, чтобы получить результат классификации форм волн, формы волн разных типов, соответственно представляющие разные геологические характеристики; S300, построение различных моделей глубокой нейронной сети, соответствующих различным геологическим характеристикам, с сейсмическими атрибутами в качестве входных данных, параметрами резервуара в качестве выходных данных и результатом классификации формы волны в качестве ограничения; S400, обучение различных моделей глубокой нейронной сети с помощью сейсмических данных и данных каротажа целевого пласта в качестве данных обучения и прогнозных данных, чтобы оптимизировать параметры модели каждой из моделей глубокой нейронной сети; S500, объединяющий различные обученные модели глубокой нейронной сети в набор моделей прогнозирования нейронной сети с пространственным изменением; и S600, прогнозирование параметров резервуара целевого пласта с помощью набора модели прогнозирования нейронной сети с пространственным изменением.
В соответствии с вариантом осуществления настоящего изобретения вышеуказанный этап S100 включает в себя: определение релевантности между сейсмическими атрибутами различных типов целевого пласта и параметрами резервуара посредством перекрестного анализа по сейсмическим данным и данным каротажа целевого пласта, и выбор сейсмических атрибутов, релевантность между которыми и параметрами резервуара превышает заданное пороговое значение релевантности, из сейсмических атрибутов различных типов в качестве доминирующих сейсмических атрибутов в соответствии с величиной релевантности; и разложение и реконструкция данных каждого из доминирующих сейсмических атрибутов посредством анализа сингулярного спектра. Компонент последовательности в реконструированной последовательности, который имеет степень вклада, превышающую предварительно заданное пороговое значение вклада, резервируется как доминирующий компонент доминирующего сейсмического атрибута в соответствии со степенью вклада в доминирующий сейсмический атрибут.
Согласно варианту осуществления настоящего раскрытия, на вышеуказанном этапе S200 сетевая модель классификации формы волны представляет собой неконтролирующуюся сетевую модель SOM, которая разработана на основе алгоритма неконтролирующейся кластеризации SOM, и сетевая модель включает в себя входной слой сейсмических атрибутов и выходной слой результатов классификации.
В соответствии с вариантом осуществления настоящего изобретения геологические характеристики включают характеристику седиментации.
Согласно варианту осуществления настоящего раскрытия, на вышеуказанном этапе S300 каждая из моделей глубокой нейронной сети представляет собой модель LSTM-RNN, и сетевая модель включает в себя входной слой сейсмических атрибутов, выходной слой параметров резервуара и скрытый слой, расположенный между входным слоем сейсмических атрибутов и выходным слоем параметров резервуара. Скрытый слой включает в себя: модуль LSTM, выполненный с возможностью резервирования временных характеристик сейсмических данных и данных каротажа; полносвязный слой как классификатор модели обучения сети; слой отсева, выполненный с возможностью устранения переобучения в процессе обучения сетевой модели; и слой регрессии как результат модели обучения сети.
В соответствии с вариантом осуществления настоящего раскрытия вышеописанный этап S400 дополнительно включает в себя: выполнение процесса сглаживания каротажных данных таким образом, чтобы спектр каротажных данных, подвергнутых процессу сглаживания, совпадал со спектром сейсмических данных; выполнение процесса нормализации сопоставленных сейсмических данных и данных каротажа; с верхом и низом целевого пласта в качестве границ, вычленение сейсмических данных и данных каротажа в пределах диапазона целевого пласта из сейсмических данных и данных каротажа скважин, подвергнутых процессу нормализации; и обучение различных моделей глубокой нейронной сети по сейсмическим данным и данным каротажа скважины в диапазоне целевого пласта, чтобы оптимизировать параметры модели каждой из моделей глубокой нейронной сети.
Согласно варианту осуществления настоящего раскрытия, на вышеописанном этапе S500 коэффициент пространственной вариации каждой из обученных моделей глубокой нейронной сети в наборе моделей предсказания пространственной вариации нейронной сети определяется на основе сходства формы волны и пространственного расстояния.
Согласно варианту осуществления настоящего раскрытия, на вышеописанном этапе S600 различные обученные модели глубокой нейронной сети объединяются для формирования набора моделей предсказания пространственной вариации нейронной сети в соответствии со следующей формулой:
В формуле
представляет параметр резервуара,
представляет модель глубокой нейронной сети при k-м типе геологических характеристик,
представляет коэффициент пространственной вариации модели глубокой нейронной сети при k-м типе геологических характеристик и
представляет различные типы сейсмических атрибутов.
Согласно варианту осуществления настоящего раскрытия, коэффициент пространственной вариации каждой из обученных моделей глубокой нейронной сети в наборе моделей предсказания пространственной вариации нейронной сети определяется в соответствии со следующей формулой:
В этой формуле
представляет собой коэффициент пространственной вариации,
представляет сейсмическую трассу построенной модели глубинной нейронной сети,
представляет сейсмическую трассу модели глубинной нейронной сети, которая будет построена,
представляет интерполяционный коэффициент сходства между сейсмической трассой построенной модели глубинной нейронной сети и сейсмической трассой модели глубокой нейронной сети, которая будет построена,
представляет собой коэффициент интерполяции расстояния между сейсмической трассой построенной модели глубокой нейронной сети и сейсмической трассой модели глубокой нейронной сети, которая будет построена,
представляет корреляцию между
и
, d12 представляет собой расстояние между
и
, xv1 и xv2 соответственно представляют пространственные положения
и
,
представляет собой поправочный фактор, и
и
представляют экспоненциальные факторы.
Согласно варианту осуществления настоящего раскрытия, вышеуказанные параметры резервуара целевого пласта включают в себя пространственный трехмерный упругий параметр s целевого пласта, и способ дополнительно включает в себя вывод графика распределения пространственных трехмерных упругих параметров целевого пласта.
Согласно второму аспекту настоящего раскрытия настоящее раскрытие дополнительно обеспечивает устройство прогнозирования параметров резервуара на основе ограничения геологических характеристик. Устройство прогнозирования параметров резервуара включает в себя: модуль скрининга атрибутов, выполненный с возможностью анализа соответствия между сейсмическими атрибутами различных типов целевого пласта и параметрами резервуара по сейсмическим данным и данным каротажа целевого пласта, а также для выбора доминирующих сейсмических атрибутов из сейсмических атрибутов разных типов по степени актуальности; модуль классификации формы волны, выполненный с возможностью классификации на основе доминирующих сейсмических атрибутов, сейсмические формы волн целевого пласта с помощью предварительно заданной модели сети классификации формы волны и в соответствии с характеристиками формы волны, чтобы получить результат классификации формы волны с формами волн различных типов, соответственно представляющие различные геологические характеристики; модель построения модели, выполненную с возможностью построения различных моделей глубокой нейронной сети, соответствующих различным геологическим характеристикам, с сейсмическими атрибутами в качестве входных данных, параметрами резервуара в качестве выходных данных и результатом классификации формы волны в качестве ограничения; модуль обучения модели, выполненный с возможностью обучения различных моделей глубокой нейронной сети по сейсмическим данным и данным каротажа целевого пласта в качестве обучающих данных и прогнозных данных, чтобы оптимизировать параметры модели каждой из моделей глубокой нейронной сети; модель объединения моделей, которая выполнена с возможностью объединения различных обученных моделей глубокой нейронной сети в набор моделей прогнозирования нейронной сети с пространственным изменением; и модуль прогнозирования параметров, выполненный с возможностью прогнозирования параметров резервуара целевого пласта с помощью набора моделей прогнозирования нейронной сети с пространственным изменением.
В соответствии с третьим аспектом настоящего раскрытия настоящее раскрытие дополнительно обеспечивает компьютерную среду хранения данных, где хранится компьютерная программа, исполняемая процессором, и компьютерная программа, когда она исполняется процессором, выполняется для реализации вышеуказанного способа прогнозирования параметров резервуара на основе ограничения геологических характеристик.
В соответствии с четвертым аспектом настоящего раскрытия, настоящее раскрытие дополнительно обеспечивает компьютерное устройство, включающее в себя память и процессор. Процессор используется для выполнения компьютерной программы, которая хранится в памяти, чтобы реализовать описанный выше способ прогнозирования параметров резервуара на основе ограничения геологических характеристик.
По сравнению с родственной технологией, технология классификации видеозаписи силовых действий, интегрированная с внутренними и внешними знаниями, представленными в настоящем раскрытии, имеет следующие преимущества или полезные эффекты.
1. В настоящем описании взаимосвязь нелинейного отображения между сейсмическим атрибутом и параметром резервуара описывается моделью нейронной сети LSTM-RNN. Учитываются вертикальная связь в сейсмических данных и вертикальная связь в данных каротажа, и в то же время учитываются временные особенности сейсмических данных и данных каротажа, так что устанавливается более точное отношение отображения, чем в родственной технологии.
2. В настоящем раскрытии вводится кластеризация формы волны и одна и та же геологическая характеристика (например, характеристика седиментации) соответствует одной модели глубокой сети. Строится набор моделей прогнозирования нейронной сети с пространственным изменением, в качестве входных данных используются данные множества типов сейсмических атрибутов, геологическая характеристика является ограничением, и для выполнения прогнозирования параметров резервуара используются различные модели сети с различными характеристиками формы волны, тем самым эффективно повышая точность предсказания.
3. Настоящее раскрытие относится к технологии нелинейного прогнозирования параметров резервуара, основанной на ограничении геологических характеристик. С помощью технологии нелинейного прогнозирования параметров резервуара можно реализовать прогнозирование направления, в частности, для параметра резервуара в области глубины, можно повысить точность и пространственную стабильность прогнозирования параметров резервуара, тем самым способствуя дальнейшему повышению успешности бурения, снижению затрат на разведку и разработку нефтяного месторождения и увеличение производственной выгоды нефтяного месторождения.
Другие особенности и преимущества настоящего раскрытия будут описаны в последующем описании, а некоторые станут очевидными из описания или станут понятны при реализации настоящего раскрытия. Цель и другие преимущества настоящего изобретения реализуются и достигаются конструкциями, указанными в описании, формуле изобретения и прилагаемых чертежах.
КРАТКОЕ ОПИСАНИЕ ЧЕРТЕЖЕЙ
Фиг. 1 представляет собой блок-схему способа прогнозирования параметров резервуара на основе ограничения геологических характеристик, предусмотренного в первом варианте осуществления настоящего раскрытия;
Фиг. 2 представляет собой схематическую диаграмму модели сети неконтролирующейся кластеризации SOM в способе прогнозирования параметров резервуара, предусмотренном в первом варианте осуществления настоящего раскрытия;
Фиг. 3 представляет собой схематическую диаграмму модели LSTM-RNN в способе прогнозирования параметров резервуара, предусмотренном в первом варианте осуществления настоящего раскрытия;
Фиг. 4 представляет собой схематическую диаграмму ворот забвения в модели LSTM-RNN, представленной в первом варианте осуществления настоящего раскрытия;
Фиг. 5 представляет собой схематическую диаграмму входных ворот модели LSTM-RNN, предусмотренной в первом варианте осуществления настоящего раскрытия;
Фиг. 6 представляет собой схематическую диаграмму выходных ворот модели LSTM-RNN, представленной в первом варианте осуществления настоящего раскрытия;
Фиг. 7 представляет собой схематическую диаграмму коэффициента пространственной вариации в сконструированном наборе моделей предсказания нейронной сети с пространственной вариацией, предоставленных в первом варианте осуществления настоящего раскрытия;
Фиг. 8 представляет собой схематическую диаграмму входных данных классификации формы волны, предоставленных во втором варианте осуществления настоящего раскрытия;
Фиг. 9 представляет собой схематическую диаграмму среза, взятого по линии 072, результата классификации формы волны, предоставленного во втором варианте осуществления настоящего раскрытия;
Фиг.10 представляет собой схематическую диаграмму входных данных в глубокую нейронную сеть, предусмотренную во втором варианте осуществления настоящего раскрытия;
Фиг. 11 представляет собой схематическую диаграмму построения модели глубокой нейронной сети, представленной во втором варианте осуществления настоящего раскрытия;
Фиг. 12(а) представляет собой схематическую диаграмму среза, взятого вдоль пласта, результата мультимодельного прогнозирования параметров упругости на основе глубокой нейронной сети, представленной во втором варианте осуществления настоящего раскрытия;
Фиг. 12(b) представляет собой схематическую диаграмму среза, взятого вдоль пласта, результата мультимодельного прогнозирования параметров упругости на основе глубокой нейронной сети, представленной во втором варианте осуществления настоящего раскрытия;
Фиг. 12(c) представляет собой схематическую диаграмму среза, взятого вдоль пласта, результата инверсии во временной области, предоставленного во втором варианте осуществления настоящего раскрытия;
Фиг. 12(d) представляет собой схематическую диаграмму решения по развертыванию инженерных разработок, предусмотренного во втором варианте осуществления настоящего раскрытия;
Фиг. 13(а) представляет собой сравнительный график исходной кривой каротажа скважины PU_IA и результата мультимодельного прогнозирования, предоставленного во втором варианте осуществления настоящего раскрытия;
Фиг. 13(b) представляет собой сравнительный график исходной кривой каротажа скважины PU_IB и результата мультимодельного прогнозирования, предоставленного во втором варианте осуществления настоящего раскрытия;
Фиг. 13(c) представляет собой сравнительный график исходной кривой каротажа скважины PU_IC и результата мультимодельного прогнозирования, предоставленного во втором варианте осуществления настоящего раскрытия; и
Фиг. 13(d) представляет собой сравнительный график исходной кривой каротажа скважины PU_IC и результата одномодельного прогнозирования, предоставленного во втором варианте осуществления настоящего раскрытия.
ПОДРОБНОЕ ОПИСАНИЕ ВАРИАНТОВ ОСУЩЕСТВЛЕНИЯ
Поскольку распространенный в настоящее время способ прогнозирования резервуара в области глубины имеет недостатки, связанные с низкой точностью прогнозирования, низкой эффективностью прогнозирования, несоответствием макроскопическим геологическим характеристикам и т. д., настоящее раскрытие обеспечивает технологию прямого прогнозирования параметров резервуара в области глубины, основанную на ограничении геологических характеристик, таким образом, для повышения точности прогнозирования, в частности, параметра резервуара в области глубины, и для повышения стабильности пространственного прогнозирования, тем самым обеспечивая разумное понимание и данные высокой точности для последующего бурения и моделирования резервуара для поддержки эффективной разведки и разработки.
Основная концепция настоящего раскрытия заключается в следующем: для проблемы относительно низкой точности прогнозирования, которая может быть вызвана выполнением прогнозирования с использованием одной и той же модели, например, в различных средах осадконакопления, прогнозирование параметров резервуара выполняется с помощью глубокой сети и путем введения кластеризации формы волны в одной и той же характеристике седиментации для повышения точности прогноза. Схема основного метода показана на Фиг. 1. Сначала устанавливается макроскопическая геологическая характерная зональность. Атрибуты области глубины из множества типов, таких как динамика, кинематика и геометрия, рассчитываются и сравниваются с макроскопическим геологическим фоном и данными каротажа скважин, а сейсмические атрибуты, имеющие высокую корреляцию, предпочтительно выбираются в качестве разделения и основы для классификации характеристики формы волны, а также в качестве последующих параметров резервуара для обеспечения базы данных. Затем реализуется автоматическое разделение характеристик формы волны путем объединения алгоритма автоматической кластеризации на основе неуправляющегося обучения SOM, и различные геологические характеристики представляются результатом классификации формы волны в качестве основы для зонирования геологических характеристик. Затем строятся различные модели прогнозирования параметров резервуара в соответствии с различными геологическими характеристиками. При зонировании с различными геологическими характеристиками нелинейные сетевые прогнозные модели в различных положениях скважин строятся с помощью рекуррентной нейронной сети с долгой краткосрочной памятью (LSTM-RNN) в сочетании с данными каротажа скважин и данными сейсмических атрибутов. Регулировка параметров и оптимизация параметров модели выполняются непрерывно, так что модуль одноточечного прогнозирования обобщается и сходится. Наконец, строится набор моделей предсказания нейронной сети с пространственным изменением.
Используя данные сейсмических атрибутов множества типов в качестве входных данных и геологические характеристики в качестве ограничений, прогнозирование параметров резервуара выполняется с помощью различных сетевых моделей при различных характеристиках формы волны, чтобы в конечном итоге получить всесторонний результат прогнозирования трехмерных пространственных параметров.
Чтобы сделать цели, технические решения и преимущества настоящего раскрытия более ясными, настоящее раскрытие будет дополнительно подробно описано ниже в сочетании с вариантами осуществления и сопровождающими чертежами, чтобы обеспечить процесс реализации того, как применять технические средства для решения технических проблем и достижения технических эффектов, которые должны быть полностью поняты и реализованы.
Первый вариант осуществления
Как показано на Фиг. 1, способ прогнозирования параметров резервуара, основанный на ограничении геологических характеристик, представленный в настоящем раскрытии, включает следующие этапы.
На этапе S100 доминирующие сейсмические атрибуты выбираются из сейсмических атрибутов различных типов в соответствии с соответствием между сейсмическими атрибутами различных типов целевого пласта и параметрами резервуара.
В частности, сначала определяется соответствие между сейсмическими атрибутами различных типов целевого пласта и параметрами резервуара посредством перекрестного анализа и с использованием сейсмических данных и данных каротажа целевого пласта; и сейсмические атрибуты, релевантность между которыми и параметрами резервуара превышает заданное пороговое значение релевантности, выбираются в качестве доминирующих сейсмических атрибутов из сейсмических атрибутов различных типов на основании величины релевантности. Затем данные каждого из сейсмических атрибутов разлагаются и реконструируются с помощью сингулярного спектрального анализа. В соответствии с вкладом в сейсмический атрибут компонент последовательности, степень вклада которого превышает предварительно заданное пороговое значение вклада в реконструированную последовательность, резервируется как доминирующий компонент доминирующего сейсмического атрибута.
Преобладающие сейсмические атрибуты, которые были разложены и реконструированы, будут использоваться для анализа кластеризации волновых форм и обработки на этапе S200.
На S200 на основе доминирующих сейсмических атрибутов сейсмические формы волны целевого пласта классифицируются с помощью заданной модели сети классификации формы волны и в соответствии с особенностями формы волны, чтобы получить результат классификации формы волны, а разные формы волны соответствуют разным геологическим характеристикам.
На этапе S300 с сейсмическими атрибутами в качестве входных данных, параметрами резервуара в качестве выходных данных и результатом классификации формы волны в качестве ограничения строятся различные модели глубокой нейронной сети, соответствующие различным геологическим характеристикам.
На этапе S400 различные модели глубокой нейронной сети обучаются по сейсмическим данным и данным каротажа целевого пласта в качестве обучающих данных и прогнозных данных, чтобы оптимизировать параметры модели каждой из моделей глубокой нейронной сети.
В конкретном приложении сейсмические данные и данные каротажа скважины могут дополнительно сначала предварительно обрабатываться для дальнейшего повышения точности результата прогнозирования. Например, процесс сглаживания выполняется для данных каротажа скважины, так что спектр данных каротажа скважины, которые были подвергнуты процессу сглаживания, соответствует спектру сейсмических данных. Процесс нормализации выполняется на сопоставленных сейсмических данных и данных каротажа. С верхней и нижней частью целевого пласта в качестве границ сейсмические данные и данные каротажа в пределах диапазона целевого пласта выделяются из сейсмических данных и данных каротажа скважины, которые были подвергнуты процессу нормализации. Затем различные модели глубокой нейронной сети обучаются по сейсмическим данным и данным каротажа скважины в диапазоне целевого пласта, чтобы оптимизировать параметры модели каждой из моделей глубокой нейронной сети.
На S500 различные обученные модели глубокой нейронной сети объединяются для формирования набора моделей прогнозирования нейронной сети с пространственным изменением. Коэффициент пространственной вариации каждой из обученных моделей глубокой нейронной сети в наборе моделей предсказания нейронной сети с пространственной вариацией определяется сходством формы волны и пространственным расстоянием.
На этапе S600 параметры резервуара целевого пласта прогнозируются набором моделей прогнозирования нейронной сети с пространственным изменением.
Этапы будут подробно описаны ниже.
(1) Этап S100 относится к технологии предпочтительного выбора сейсмических атрибутов на основе перекрестного анализа и анализа сингулярного спектра. На этом этапе сначала выполняется перекрестный анализ сейсмических атрибутов различных типов целевого пласта и параметров резервуара, и предпочтительно выбираются атрибуты, которые имеют более высокую корреляцию или больший вклад. Затем предпочтительно выбранные сейсмические атрибуты представляются в виде одномерных данных и строится матрица траекторий. Далее матрица траекторий разлагается и реконструируется, а различные элементы и различные компоненты атрибутов пересортировываются в соответствии со степенью вклада. Наконец, определяются доминирующие компоненты доминирующих сейсмических атрибутов, чтобы обеспечить базу данных для последующей классификации формы волны и прямого прогнозирования параметров резервуара. Алгоритм сингулярного спектрального анализа состоит в следующем.
1. Выполняется встраивание, и предпочтительно выбранные атрибутивные данные представляются как одномерные данные:
где N представляет собой
длину последовательности.
Во-первых, выбирается подходящая длина окна L, и исходная временная последовательность упорядочивается с запаздыванием, чтобы получить матрицу траектории:
В общем,
, и при условии
, матрица траектории
представляет собой матрицу
:
2. Выполняется декомпозиция и вычисляется ковариационная матрица матрицы траектории:
(3)
Затем выполняется декомпозиция по собственным значениям
для получения
и соответствующих собственных векторов
. В этом случае
,
является сингулярным спектром исходной последовательности, и:
где собственный вектор
, соответствующий
, отражает тип эволюции временной последовательности.
3. Выполняется группировка, и предполагается, что все элементы L сгруппированы в c число групп, не пересекающихся друг с другом, на основе определенной формулы следующим образом:
4. Выполняется реконструкция, в которой сначала вычисляется проекция на
запаздывающей последовательности
:
где
представляет i-й столбец матрицы траектории
, и
представляет собой вес типа эволюции во времени, отраженный
, в периодах времени исходной последовательности
.
Затем один восстанавливается по эмпирической ортогональной функции времени и главному элементу времени, и конкретный процесс реконструкции выглядит следующим образом.
Таким образом, реконструированная последовательность равна исходной последовательности, то есть:
где
представляет k-й сигнал, отсортированный по важности.
Таким образом, с помощью перекрестного анализа и анализа сингулярного спектра получают доминирующие атрибуты и основные компоненты доминирующих атрибутов, тем самым обеспечивая базу данных для последующего прогнозирования резервуара.
(2) На основе предпочтительного выбора множества атрибутов реализовано автоматическое разделение характеристик формы волны с помощью алгоритма неконтролирующейся кластеризации SOM (Фиг. 2). В качестве входных данных предпочтительно выбирают множество сейсмических атрибутов, разрабатывают неконтролирующуюся обучающую модель сети SOM и топологическую структуру, и выводят результат классификации формы волны, тем самым предоставляя ограничивающие данные для последующего прогнозирования параметров резервуара. Конкретный алгоритм SOM выглядит следующим образом.
1. Инициализация выполняется так, чтобы случайным образом инициализировать каждым узлом параметры самого узла. Количество параметров каждого узла совпадает с количеством измерений входных данных.
2. Найден узел, который лучше всего соответствует соответствующей части входных данных. Предполагая, что вводятся D-мерные данные, то есть X = {x_i, i=1,…,D}, функцией дискриминации может быть евклидово расстояние:
3. Ожидается, что после того, как активный узел I(x) будет найден, смежные с ним узлы будут обновлены. S_ij создан для указания расстояния между узлом i и узлом j, а обновленные веса присваиваются узлам, смежным с узлом I(x):
4. Далее параметры узлов обновляются. Обновление производится по методу градиентного спуска:
Итерация выполняется до тех пор, пока не будет реализована сходимость.
Таким образом, автоматическое разделение признаков формы волны реализуется посредством технологии неконтролирующейся автоматической кластеризации SOM в сочетании с технологией предпочтительного выбора множества атрибутов на основе перекрестного анализа и анализа сингулярного спектра SSA.
(3) На основе классификации формы волны дополнительно строятся различные глубокие нейронные сети с учетом различных характеристик формы волны. Поскольку сейсмические данные имеют характеристику сигнала синхронизации, а данные каротажа также имеют определенную ассоциацию в вертикальном направлении, рекуррентная нейронная сеть с долговременной краткосрочной памятью (LSTM-RNN) предпочтительно выбирается для построения нелинейной многосетевой прогнозной модели в различных геологических характеристиках (Фиг. 3).
Фиг. 3 представляет собой схематическое представление модели LSTM-RNN. Один блок LSTM состоит из трех пороговых структур и одной линии передачи вектора состояния. Пороговые структуры представляют собой три ворота, включая ворота забвения, входные ворота и выходные ворота. Линия передачи вектора состояния отвечает за долговременную память и просто используется для выполнения некоторых простых линейных операций. Три вороти отвечают за краткосрочный выбор, а операция удаления или добавления выполняется над входным вектором путем установки пороговых значений для ворот.
Ворота забвения (Фиг. 4) реализованы сигмовидным нейронным слоем, и функция ворот забвения состоит в том, чтобы решить, какая информация может пройти через блок. 0 означает, что «прохождение информации запрещено», а 1 означает, что «прохождение всей информации разрешено».
Функция входных ворот (Фиг. 5) состоит в том, чтобы решить, сколько новой информации разрешено состоянию блока. Реализация входных ворот требует двух шагов. Во-первых, предоставляется сигмовидный уровень для принятия решения о том, какую информацию необходимо обновить, и тангенциальный уровень предоставляется для генерирования информации-кандидата для обновления содержимого. Затем векторы двух слоев объединяются скалярным произведением, чтобы обновить состояние блока.
Выходные ворота (Фиг. 6) предназначены для вывода окончательного результата. Реализация выходных ворот требует двух шагов. Первое, какая информация может быть выведена, определяется сигмовидным слоем. Затем вектор состояния проходит через тангенциальный слой, а выходные данные тангенциального слоя затем умножаются на вес, вычисленный сигмовидным слоем, так что получается окончательный результат, который необходимо вывести.
Конкретный математический процесс в блоке LSTM выглядит следующим образом:
где
представляет собой входные ворота;
представляет собой логическую сигмовидную функцию;
,
и
соответственно представляют весовые матрицы между входным собственным вектором и входными воротами, между элементом скрытого слоя и входными воротами и между вектором активации элемента и входными воротами;
представляет смещение входных ворот;
представляет собой ворота забвения;
,
и
соответственно представляют весовые матрицы между входным собственным вектором и воротами забвения, между элементом скрытого слоя и воротами забвения, а также вектором активации элемента и воротами забвения;
представляет собой смещение ворот забвения;
представляет вектор активации элемента;
и
представляют соответственно весовые матрицы между входным собственным вектором и вектором активации элемента и между элементом скрытого слоя и вектором активации элемента, весовые матрицы являются диагональными матрицами;
представляет смещение выходных ворот;
представляет собой выходные ворота;
,
и
соответственно указывают весовые матрицы между входным собственным вектором и выходными воротами, между элементом скрытого слоя и выходными воротами и между вектором активации элемента и выходными воротами;
представляет собой смещение ворот забвения;
, как нижний индекс, представляет момент выборки; и tanh представляет собой функцию активации.
4) Модель глубокой нейронной сети на основе LSTM-RNN обучается, а параметры сетевой модели оптимизируются и настраиваются таким образом, чтобы модель была обобщена и сходилась. Данные множества атрибутов со стороны скважины вводятся во входной слой модели; соответствующие упругие параметры каротажа, такие как скорость продольной волны, выводятся из выходного слоя модели; а скрытый слой модели состоит из блока LSTM, полносвязного слоя, выпадающего слоя и слоя регрессии. Блок LSTM выполнен с возможностью резервирования временных характеристик данных каротажа скважин и сейсмических данных. Полносвязный слой служит классификатором всей обучающей сети. Слой отсева настроен так, чтобы уменьшить возникновение переобучения во время процесса обучения сети, чтобы иметь эффект регуляризации. Слой регрессии служит выходом модели обучения сети.
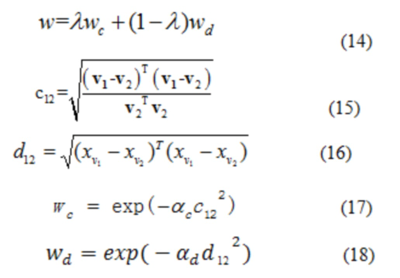
(5) Строится набор моделей предсказания нейронной сети пространственной вариации. На основе построения набора нейросетевых моделей пространственной вариации строятся коэффициенты пространственной вариации каждой из нейросетевых моделей по сходству формы волны и пространственному расстоянию (Фиг. 7), чтобы реализовать построение набора моделей прогнозирования нейронной сети с пространственным изменением. Формула построения для коэффициентов пространственной вариации:
В формуле
представляет собой коэффициент пространственной вариации;
представляет собой сейсмическую трассу построенной нейросетевой модели;
представляет собой сейсмическую трассу модели нейронной сети, которая будет построена;
представляет собой интерполяционный коэффициент подобия между сейсмической трассой построенной нейросетевой модели и сейсмической трассой нейросетевой модели, которая будет построена;
представляет собой интерполяционный коэффициент расстояния между сейсмической трассой построенной нейросетевой модели и сейсмической трассой нейросетевой модели, которая будет построена;
представляет корреляцию между
и
; d12 представляет собой расстояние между
и
; xv1 и xv2 соответственно представляют пространственные положения
и
;
представляет собой поправочный фактор; и
представляют собой экспоненциальные факторы.
В конечном итоге реализуется построение набора нейросетевых прогнозирующих моделей пространственной вариации.
(6) Прогнозируются пространственные упругие параметры. Принимая множество атрибутов в качестве входных данных, упругие параметры в качестве выходных данных и результат классификации формы волны в качестве ограничения, прогнозирование пространственных упругих параметров реализуется с помощью набора моделей прогнозирования нейронной сети с пространственным изменением.
где
представляет собой параметр резервуара;
представляет модель прогнозирования нейронной сети, соответствующую k-му типу геологических характеристик; представляет собой коэффициент пространственной вариации нейросетевой прогнозирующей модели,
соответствующий k-му типу геологических характеристик; и
представляет сейсмические атрибуты разных типов.
Второй вариант осуществления
Эффективность способа по настоящему раскрытию будет описана ниже посредством фактических данных определенной рабочей области. Рабочий участок относится к типу резервуаров обломочных пород, с двумя резервуарами, разработанными соответственно для слоев 072 и слоев 073. Слой 072 представляет собой пластинчатый песчаник канала мутности. Развитие по рабочему участку стабильное. Всего в рабочей зоне находятся три эффективные каротажные скважины, соответственно скважина PU_IA, скважина PU_IB и скважина PU_IC. Сначала, предпочтительно выбирают множество атрибутов на основе перекрестного анализа и анализа сингулярного спектра (Фиг. 8). Предпочтительно выбранными атрибутами для ввода являются, соответственно, атрибут огибающий, относительный волновой импеданс и атрибут мгновенной амплитуды, и они используются для выполнения классификации формы волны в сочетании с алгоритмом неконтролирующейся кластеризации SOM (Фиг. 9). Формы волн подразделяются на три класса, а именно: форма волны с относительно низкой энергией, форма волны со средней энергией и форма волны с высокой энергией соответственно, соответствующие скважине PU_IC, скважине PU_IB и скважине PU_IA. На основе классификации формы волны глубокая нейронная сеть обучается различным характеристикам формы волны. Предпочтительно входные данные (Фиг. 10) включают в себя: сейсмическую трассу, огибающий атрибут, фактор тонкого слоя, относительное волновое сопротивление, атрибут Гильберта, мгновенную частоту, доминирующую частоту и мгновенный фазовый атрибут. Выходными данными является скорость продольной волны. Пятислойная глубокая нейронная сеть (Фиг. 11) предназначена для построения прогностической модели, а в качестве данных ограничений рассматривается результат классификации формы волны. В итоге, реализуется мультимодельное предсказание упругих параметров на основе глубокой рекуррентной нейронной сети.
Результат мультимодельного прогнозирования упругих параметров на основе глубокой нейронной сети сравнивается с результатом одномодельного прогнозирования упругих параметров на основе глубокой нейронной сети, результатом инверсии во временной области и решением развертывания инженерной разработки (Фиг. 12). Из плоской тенденции видно, что по сравнению со скоростью продольной волны на основе одномодельного предсказания настоящее изобретение имеет более высокую точность пространственного предсказания и лучше сохраняет общие макроскопические характеристики. Из сравнения между настоящим изобретением и результатом инверсии во временной области видно, что, поскольку результат инверсии во временной области ограничен скважиной и исходной моделью, результат инверсии не может в значительной степени отражать макроскопические геологические характеристики. Благодаря всестороннему анализу a, b, c и d на Фиг. 12 технология прямого прогнозирования параметров упругости, основанная на множестве моделей, имеет более высокую точность пространственного прогнозирования и лучше согласуется с решением развертывания разработки.
При сравнении результатов мультимодельного прогнозирования скважин PU_IA, PU_IB и PU_IC с исходными кривыми каротажа (a, b и c на Фиг. 13) видно, что результат прогноза скорости продольной волны согласуется с общей тенденцией исходной кривой каротажа и хорошо согласуется со скважиной. Кроме того, результат многомодельного прогнозирования скважины PU_IC сравнивается с ее результатом одномодельного прогнозирования. Можно видеть, что точность прогноза скорости продольных волн на основе мультимодельного прогноза выше, чем точность прогноза скорости продольных волн на основе одномодельного прогноза.
Таким образом, на основе технологии прогнозирования направления параметров резервуара на основе LSTM-RNN, разработанной в настоящем раскрытии, реализуется прямое прогнозирование параметров резервуара на основе набора моделей нейронных сетей с пространственным изменением, тем самым эффективно поддерживая структуру геологического пласта и дальнейшее повышение точности прогнозирования параметров резервуара.
Третий вариант осуществления
На основе предыдущего варианта осуществления настоящий вариант осуществления обеспечивает устройство прогнозирования параметров резервуара. Устройство прогнозирования параметров резервуара включает в себя модуль скрининга атрибутов, модуль классификации форм волны, модель построения модели, модуль обучения модели, модель объединения моделей и модуль прогнозирования параметров.
Модуль скрининга атрибутов выполнен с возможностью анализа релевантности между сейсмическими атрибутами различных типов целевого пласта и параметрами резервуара с использованием сейсмических данных и данных каротажа целевого пласта, а также на выбор доминирующих сейсмических атрибутов из сейсмических атрибутов различных типов по степени релевантности.
Модуль классификации формы волны выполнен с возможностью классификации на основе доминирующих сейсмических атрибутов, сейсмических форм волн целевого пласта с помощью заданной модели сети классификации формы волны и в соответствии с особенностями формы волны, чтобы получить результат классификации формы волны с различными типами форм волны, соответственно представляя различные геологические характеристики.
Модель построения модели выполнена с возможностью построения различных моделей глубокой нейронной сети, соответствующих различным геологическим характеристикам, с сейсмическими атрибутами в качестве входных данных, параметрами резервуара в качестве выходных данных и результатом классификации формы волны в качестве ограничения.
Модуль обучения модели выполнен с возможностью обучения различных моделей глубокой нейронной сети с использованием сейсмических данных и данных каротажа целевого пласта в качестве данных обучения и прогнозных данных, чтобы оптимизировать параметры модели каждой из моделей глубокой нейронной сети.
Модель слияния моделей выполнена с возможностью объединения различных обученных моделей глубоких нейронных сетей в набор моделей прогнозирования нейронных сетей с пространственными вариациями.
Модуль прогнозирования параметров выполнен с возможностью прогнозирования параметров резервуара целевого пласта с использованием набора моделей прогнозирования нейронной сети с пространственным изменением.
Четвертый вариант осуществления
В дополнение, настоящий вариант осуществления обеспечивает компьютерную среду хранения данных. В компьютерной среде хранения данных хранится компьютерная программа.
Компьютерная программа, когда она выполняется одним или несколькими компьютерными процессорами, выполнена с возможностью реализации упомянутого выше способа прогнозирования параметров резервуара.
Вышеупомянутая среда хранения данных может быть флэш-памятью, жестким диском, мультимедийной картой, памятью карточного типа (например, памятью SD или DX и т.д.), оперативной памятью (RAM), статической оперативной памятью (SRAM), только для счтитывания памятью (ROM), электрически стираемой программируемой только для счтитывания памятью (EEPROM), программируемой только для счтитывания памятью (PROM), магнитной памятью, магнитным диском, оптическим диском, сервером, магазином приложений (APP) и т.п.
Пятый вариант осуществления
Кроме того, настоящий вариант осуществления обеспечивает компьютерное устройство. Компьютерное устройство включает в себя память и процессор.
В памяти хранится компьютерная программа, и компьютерная программа при исполнении процессором выполняет вышеупомянутый способ прогнозирования параметров резервуара.
Процессор может быть реализован в виде специализированной интегральной схемы (ASIC), процессора цифровых сигналов (DSP), устройства обработки цифровых сигналов (DSPD), программируемого логического устройства (PLD), программируемой пользователем вентильной матрицы (FPGA), контроллера, микроконтроллера, микропроцессора или других электронных элементов, и процессор может использоваться для выполнения способа прогнозирования параметров резервуара в любом из вариантов осуществления с первого по пятый.
Память может быть реализована как энергозависимое или энергонезависимое запоминающее устройство любого типа или их комбинация, например, статическая оперативная память (SRAM), электрически стираемая программируемая только для чтения память (EEPROM), стираемая программируемая память только для чтения (EPROM), программируемая только для чтения память (PROM), только для чтения память (ROM), магнитная память, флэш-память, магнитный диск или оптический диск.
Следует понимать, что варианты осуществления устройства и способа, описанные в приведенных выше вариантах осуществления, являются просто иллюстративными. Например, схемы последовательности и блок-схемы на прилагаемых чертежах отображают архитектуру системы, функцию и операцию, которые могут быть реализованы устройством, способом и продуктом компьютерной программы в соответствии с различными вариантами осуществления настоящего раскрытия. В связи с этим каждый блок на схемах последовательности и блок-схемах может представлять собой часть модуля, программный раздел или код, а часть модуля, программный раздел или код содержит одну или несколько исполняемых инструкций, которые используются для реализации заданной логической функции. Следует также отметить, что в некоторых альтернативных реализациях, функция, указанная в блоке, также может быть реализована в порядке, отличном от указанного на прилагаемых чертежах. Например, два непрерывных блока фактически могут выполняться в основном одновременно, а иногда они также могут выполняться в противоположном порядке, который определяется в соответствии с задействованной функцией. Также необходимо отметить, что каждый блок на блок-схемах и/или схемах последовательности и комбинация блоков в блок-схемах и/или схемах последовательности также могут быть осуществлены с помощью конкретной аппаратной системы, которая выполняет назначенную функцию или действие, или также могут быть осуществлены комбинацией специального аппаратного оборудования и компьютерной инструкции.
Кроме того, различные функциональные модули в различных вариантах осуществления настоящего раскрытия могут быть интегрированы в одну независимую часть, или различные модули могут присутствовать отдельно, или два или более модулей могут быть интегрированы в одну независимую часть.
Если функция реализована в виде программного функционального модуля и продается или используется как самостоятельный продукт, функция может храниться в машиночитаемой среде хранения данных. Исходя из такого понимания, техническое решение настоящего раскрытия, по существу, или по вкладу в уровень техники, или по части технического решения, может быть воплощено в виде программного продукта. Компьютерный программный продукт хранится в среде хранения данных и включает в себя множество инструкций, используемых для обеспечения выполнения компьютерным устройством (которым может быть персональный компьютер, сервер или сетевое устройство и т. д.) всех или части этапов способа, описанного в различных вариантах осуществления настоящего раскрытия.
Также необходимо отметить, что приведенное выше описание представляет собой просто предпочтительные варианты осуществления настоящего раскрытия и не используется для ограничения настоящего раскрытия, и специалисты в данной области техники могут вносить в настоящее раскрытие различные изменения и модификации. В соответствии с духом и принципом раскрытия любые модификации, эквивалентные замены, улучшения и т.д. должны находиться в пределах объема охраны настоящего раскрытия. Следует отметить, что аналогичные ссылочные обозначения и буквы относятся к аналогичным элементам на следующих чертежах. Следовательно, после того как конкретный элемент определен на одном из чертежей, нет необходимости в его дальнейшем определении и объяснении на последующих чертежах.
| название | год | авторы | номер документа |
|---|---|---|---|
| СПОСОБ ОПРЕДЕЛЕНИЯ ПРОДУКТИВНОСТИ НЕФТЯНОГО ПЛАСТА В ТРЕХМЕРНОМ МЕЖСКВАЖИННОМ ПРОСТРАНСТВЕ | 2004 |
|
RU2259575C1 |
| СПОСОБ ОПРЕДЕЛЕНИЯ НЕФТЕГАЗОПРОДУКТИВНОСТИ ТРЕЩИННЫХ ГЛИНИСТЫХ КОЛЛЕКТОРОВ В ТРЕХМЕРНОМ МЕЖСКВАЖИННОМ ПРОСТРАНСТВЕ | 2004 |
|
RU2255359C1 |
| СПОСОБ ГЕОФИЗИЧЕСКОЙ РАЗВЕДКИ ДЛЯ ВЫЯВЛЕНИЯ НЕФТЕГАЗОВЫХ ОБЪЕКТОВ | 2005 |
|
RU2289829C1 |
| Способ реконструкции тонкой структуры геологических объектов и их дифференциации на трещиноватые и кавернозные | 2020 |
|
RU2758416C1 |
| СПОСОБ ОПРЕДЕЛЕНИЯ МЕСТ ЗАЛОЖЕНИЯ ЭКСПЛУАТАЦИОННЫХ СКВАЖИН ПРИ РАЗРАБОТКЕ МЕСТОРОЖДЕНИЙ УГЛЕВОДОРОДОВ | 2011 |
|
RU2477499C2 |
| ПРОГНОЗИРОВАНИЕ СВОЙСТВ ПОДЗЕМНОЙ ФОРМАЦИИ | 2008 |
|
RU2462755C2 |
| СПОСОБ ОПРЕДЕЛЕНИЯ НЕФТЕПРОДУКТИВНОСТИ ПОРИСТЫХ КОЛЛЕКТОРОВ В ТРЕХМЕРНОМ МЕЖСКВАЖИННОМ ПРОСТРАНСТВЕ | 2004 |
|
RU2253885C1 |
| СПОСОБ ГЕОФИЗИЧЕСКОЙ РАЗВЕДКИ ДЛЯ ОПРЕДЕЛЕНИЯ НЕФТЕПРОДУКТИВНОСТИ ТРЕЩИННЫХ КАРБОНАТНЫХ КОЛЛЕКТОРОВ В ТРЕХМЕРНОМ МЕЖСКВАЖИННОМ ПРОСТРАНСТВЕ | 2004 |
|
RU2253886C1 |
| Способ выявления и картирования флюидонасыщенных анизотропных каверново-трещинных коллекторов в межсолевых карбонатных пластах осадочного чехла | 2018 |
|
RU2690089C1 |
| СИСТЕМА И СПОСОБЫ ДЛЯ ПРОГНОЗИРОВАНИЯ ПОВЕДЕНИЯ СКВАЖИНЫ | 2011 |
|
RU2573746C2 |
Изобретение относится к области геофизики. Предлагаются основанный на геологических характеристиках способ прогнозирования параметров резервуара, устройство, компьютерная среда хранения данных и компьютерное устройство. Способ включает в себя: выбор доминирующих сейсмических атрибутов в соответствии с релевантностью между различными типами сейсмических атрибутов целевого пласта и параметрами резервуара (S100); на основе доминирующих сейсмических атрибутов, классифицирование сейсмических форм волны целевого пласта с помощью предварительно заданной модели сети классификации формы волны и в соответствии с признаками формы волны, чтобы получить результат классификации формы волны (S200); принятие результата классификации формы волны в качестве ограничения, и построение различных моделей глубокой нейронной сети, соответствующих различным геологическим характеристикам (S300); обучение различных моделей глубокой нейронной сети по сейсмическим данным и данным каротажа целевого пласта, чтобы оптимизировать параметры модели каждой из моделей глубокой нейронной сети (S400); объединение различных обученных моделей глубокой нейронной сети в набор пространственно изменяющихся моделей прогнозирования нейронной сети (S500); и прогнозирование параметров резервуара целевого пласта с помощью набора пространственно изменяющихся моделей прогнозирования нейронной сети (S600). Технический результат – повышение точности и информативности получаемых данных. 4 н. и 9 з.п. ф-лы, 13 ил.
1. Способ прогнозирования параметров резервуара, основанный на ограничении геологических характеристик, включающий:
S100, выбор с использованием модуля скрининга атрибутов доминирующих сейсмических атрибутов из сейсмических атрибутов разных типов в соответствии с релевантностью между сейсмическими атрибутами разных типов целевого пласта и параметрами резервуара;
S200, классифицирование с использованием модуля классификации формы волны формы сейсмических волн целевого пласта с помощью заданной сетевой модели классификации форм волн в соответствии с особенностями формы волны и на основе доминирующих сейсмических атрибутов, чтобы получить результат классификации формы волны, формы волн разных типов, соответственно представляющие разные геологические характеристики;
S300, построение с использованием модуля построения модели различных моделей глубокой нейронной сети, соответствующих различным геологическим характеристикам, с сейсмическими атрибутами в качестве входных данных, параметрами резервуара в качестве выходных данных и результатом классификации формы волны в качестве ограничения;
S400, обучение с использованием модуля обучения модели различных моделей глубокой нейронной сети по сейсмическим данным и данным каротажа целевого пласта, чтобы оптимизировать параметры модели каждой из моделей глубокой нейронной сети;
S500, объединение с использованием модуля слияния моделей различных обученных моделей глубокой нейронной сети в набор моделей прогнозирования нейронной сети с пространственным изменением; и
S600, прогнозирование с использованием модуля прогнозирования параметров резервуара целевого пласта с помощью набора моделей прогнозирования нейронной сети с пространственным изменением.
2. Способ прогнозирования параметров резервуара по п. 1, в котором этап S100 содержит:
определение релевантности между сейсмическими атрибутами различных типов целевого пласта и параметрами резервуара путем кросс-анализа по сейсмическим данным и данным каротажа целевого пласта и выбор сейсмических атрибутов, релевантность между которыми и параметрами резервуара превышает заданное пороговое значение релевантности из сейсмических атрибутов различных типов в качестве доминирующих сейсмических атрибутов в соответствии с величиной релевантности; и
разделение и реконструкцию данных каждого из доминирующих сейсмических атрибутов посредством анализа сингулярного спектра, при этом компонент последовательности в реконструированной последовательности, который имеет степень вклада, превышающую заданное пороговое значение вклада, резервируется в качестве доминирующего компонента доминирующего сейсмического атрибута в соответствии с степенью вклада в доминирующий сейсмический атрибут.
3. Способ прогнозирования параметров резервуара по п. 1, в котором на этапе S200 сетевая модель классификации формы волны представляет собой неконтролирующуюся сетевую модель SOM, разработанную на основе алгоритма неконтролирующейся кластеризации SOM, а сетевая модель классификации формы волны содержит входной слой сейсмического атрибута и выходной слой результатов классификации.
4. Способ прогнозирования параметров резервуара по п. 1, в котором геологические характеристики содержат характеристику седиментации.
5. Способ прогнозирования параметров резервуара по п. 1, в котором на этапе S300 каждая из моделей глубокой нейронной сети представляет собой модель LSTM-RNN, и каждая из моделей глубокой нейронной сети содержит входной слой сейсмических атрибутов, выходной слой параметра резервуара и скрытый слой между входным слоем сейсмических атрибутов и выходным слоем параметров резервуара, причем скрытый слой содержит:
блок LSTM, выполненный с возможностью резервирования временных характеристик сейсмических данных и данных каротажа скважин;
полносвязный слой как классификатор модели обучения сети;
слой отсева, выполненный с возможностью устранения переобучения в процессе обучения сетевой модели; и
слой регрессии как результат модели обучения сети.
6. Способ прогнозирования параметров резервуара по п. 1, в котором этап S400 дополнительно включает:
выполнение процесса сглаживания каротажных данных таким образом, чтобы спектр каротажных данных, подвергнутых процессу сглаживания, совпадал со спектром сейсмических данных;
выполнение процесса нормализации сопоставленных сейсмических данных и данных каротажа;
с верхом и низом целевого пласта в качестве границ, вычленение сейсмических данных и данных каротажа в пределах диапазона целевого пласта из сейсмических данных и данных каротажа скважин, подвергнутых процессу нормализации; и
обучение различных моделей глубокой нейронной сети по сейсмическим данным и данным каротажа скважины в диапазоне целевого пласта, чтобы оптимизировать параметры модели каждой из моделей глубокой нейронной сети.
7. Способ прогнозирования параметров резервуара по п. 1, в котором на этапе S500 коэффициент пространственной вариации каждой из обученных моделей глубокой нейронной сети в наборе моделей прогнозирования пространственной вариации нейронной сети определяется на основе сходства формы волны и пространственного расстояния.
8. Способ прогнозирования параметров резервуара по п. 1, в котором на этапе S600 различные обученные модели глубокой нейронной сети объединяются для формирования набора моделей прогнозирования пространственной изменчивости нейронной сети в соответствии со следующей формулой:
где Vp представляет параметр резервуара, fk(x1, x2,… xN) представляет модель глубокой нейронной сети при k-м типе геологических характеристик, Wk,i,j представляет коэффициент пространственной вариации модели глубокой нейронной сети при k-м типе геологических характеристик и xl, x2,… xN представляет сейсмические атрибуты разных типов.
9. Способ прогнозирования параметров резервуара по п. 1, в котором коэффициент пространственной вариации каждой из обученных моделей глубокой нейронной сети в наборе моделей прогнозирования пространственной вариации нейронной сети определяют в соответствии со следующей формулой:
где в формуле W представляет собой коэффициент пространственной вариации, v1 представляет собой сейсмическую трассу построенной модели глубокой нейронной сети, v2 представляет собой сейсмическую трассу модели глубокой нейронной сети, которая будет построена, wc представляет собой интерполяционный коэффициент подобия между сейсмической трассой построенной модели глубокой нейронной сети и сейсмической трассой модели глубокой нейронной сети, которая будет построена, wd представляет собой коэффициент интерполяции расстояния между сейсмической трассой построенной модели глубокой нейронной сети и сейсмической трассой модели глубокой нейронной сети, которая будет построена, C12 представляет собой корреляцию между v1 и v2, d12 представляет собой расстояние между v1 и v2, xv1 и xv2 соответственно представляют пространственное положение v1 и v2, λ представляет собой поправочный фактор, и αс и αd представляют собой экспоненциальные факторы.
10. Способ прогнозирования параметров резервуара по п. 1, в котором параметры резервуара целевого пласта содержат пространственные трехмерные упругие параметры целевого пласта, и
способ дополнительно включает вывод графика распределения пространственных трехмерных упругих параметров целевого пласта.
11. Устройство прогнозирования параметров резервуара на основе ограничения геологических характеристик, содержащее:
модуль скрининга атрибутов, выполненный с возможностью анализа соответствия между сейсмическими атрибутами разных типов целевого пласта и параметрами резервуара по сейсмическим данным и данным каротажа целевого пласта, а также для выбора доминирующих сейсмических атрибутов из сейсмических атрибутов разных типов по степени актуальности;
модуль классификации формы волны, выполненный с возможностью классификации на основе доминирующих сейсмических атрибутов, сейсмических форм волн целевого пласта с помощью предварительно заданной модели сети классификации формы волны и в соответствии с характеристиками формы волны, чтобы получить результат классификации формы волны с формами волн разных типов, соответственно представляющие различные геологические характеристики;
модуль построения модели, выполненный с возможностью построения различных моделей глубокой нейронной сети, соответствующих различным геологическим характеристикам, с сейсмическими атрибутами в качестве входных данных, параметрами резервуара в качестве выходных данных и результатом классификации формы волны в качестве ограничения;
модуль обучения модели, выполненный с возможностью обучения различных моделей глубокой нейронной сети по сейсмическим данным и данным каротажа целевого пласта, чтобы оптимизировать параметры модели каждой из моделей глубокой нейронной сети;
модуль слияния моделей, выполненный с возможностью слияния различных обученных моделей глубокой нейронной сети в набор моделей предсказания нейронной сети с пространственным изменением; и
модуль прогнозирования параметров, выполненный с возможностью прогнозирования параметров резервуара целевого пласта с помощью набора моделей прогнозирования нейронной сети с пространственным изменением.
12. Компьютерная среда хранения данных, где хранится компьютерная программа, исполняемая процессором, при этом при исполнении процессором компьютерная программа выполняется для реализации способа прогнозирования параметров резервуара на основе ограничения геологических характеристик по любому из пп. 1-10.
13. Компьютерное устройство, содержащее память и процессор, в котором компьютерная программа, хранящаяся в памяти, выполняется процессором, и компьютерная программа выполняется для реализации способа прогнозирования параметров резервуара на основе ограничения геологических характеристик по любому из пп. 1-10.
| CN 111025384 A 17.04.2020 | |||
| CN 102650702 A 29.08.2012 | |||
| CN 111581890 A 25.08.2020 | |||
| CN 109799533 A 24.05.2019 | |||
| US 20200160173 A1 21.05.2020 | |||
| US 20190383965 A1 19.12.2019. |
Авторы
Даты
2025-03-21—Публикация
2021-06-30—Подача