Область изобретения
Изобретение относится к способу, предназначенному для перезаправки контейнера, где контейнер содержит горлышко, дно и внутренний объем, при этом контейнер содержит дозирующий насос, собранный на горлышке. Предпочтительно, чтобы дозирующий насос был собран на горлышке необратимым образом, то есть так, чтобы не была предусмотрена разборка насоса пользователем и повторная его сборка на контейнере. Дозирующий насос содержит:
[a] корпус насоса с:
[а. 1] нижним впускным каналом,
[а.2] цилиндрической внутренней боковой поверхностью, определяющей продольное направление,
[а.3] боковым каналом, расположенным на внутренней боковой поверхности, и [а.4] верхним каналом,
где корпус насоса формирует насосную камеру во внутреннем объеме насоса, и когда насос находится в собранном положении, верхний канал выступает из горлышка, нижнее входное отверстие находится внутри контейнера и боковое отверстие сообщает внутреннюю боковую поверхность с внутренним пространством;
[b] входной клапан, размещенный между входным отверстием и насосной камерой, обеспечивающий возможность поступления жидкости во внутреннее пространство насосной камеры через входное отверстие и блокировки выхода жидкости во внутреннее пространство насосной камеры через входное отверстие;
[c] всасывающую трубку, один конец которой подключен к входному отверстию, выступающую в направлении дна;
[d] нагнетательный поршень:
[d.1] с нижней частью, расположенной внутри корпуса насоса и содержащей
[d. 1.1] внешнюю боковую поверхность, расположенную напротив внутренней боковой поверхности,
[d.1.2] ограничительную верхнюю уплотнительную кромку,
[d. 1.3] ограничительную нижнюю уплотнительную кромку; и
[d.2] с верхней частью со средством выпуска, содержащим выходное отверстие и выходной клапан, размещенной между выходным отверстием и насосной камерой, обеспечивающей возможность выхода жидкости из внутреннего пространства насосной камеры через выходное отверстие и блокирование поступления воздуха во внутреннее пространство насосной камеры через выходное отверстие;
[e] упругим элементом, предназначенным для создания усилия в продольном направлении, имеющем тенденцию отделить поршень от корпуса насоса; и
[f] средством фиксации для закрепления насоса в горлышке,
где в процессе перемещения, приводящего в действие насос, поршень перемещается в продольном направлении между выдвинутым положением и убранным положением, при этом, когда поршень находится в убранном положении, боковое отверстие размещено поверх ограничительной верхней уплотнительной кромки, и между поршнем, корпусом насоса и средством фиксации имеется воздушный канал, пригодный для формирования жидкостного соединения между внешним пространством контейнера и боковым отверстием, а когда поршень находится в выдвинутом положении, то воздушный канал перекрывается ограничительной верхней уплотнительной кромкой.
По общему правилу, когда в настоящем описании и формуле изобретения делается ссылка на цилиндрическую поверхность, эта цилиндрическая поверхность является цилиндрической поверхностью в самом широком смысле, то есть может рассматриваться любая поверхность, образованная при движении прямой линии вдоль образующей кривой. Однако конкретный случай, когда цилиндрическая поверхность является круговой цилиндрической поверхностью (или цилиндром с круговым поперечным сечением), является предпочтительным вариантом настоящего изобретения.
Еще одним объектом изобретения является картридж для перезаправки, предназначенный для перезаправки контейнера, пригодного для размещения во внутреннем пространстве картриджа, для заправки жидкостью, предназначенной для доливки в контейнер, содержащий боковую стенку, основание и верхнюю часть. Картридж для перезаправки согласно изобретению может не содержать жидкость (например, перед заправкой) или может быть полностью заполнен жидкостью.
Еще одним объектом изобретения является аппарат для осуществления способа согласно изобретению.
Уровень техники
Контейнеры (например, флаконы), имеющие дозирующий насос, собранный на горлышке, широко используются во множестве областей применения. В частности, широко известны контейнеры с дозирующими насосами, такими, как показан выше. Обычно они используются для дозирования парфюмерных, косметических, гигиенических и подобных продуктов. В конкретных случаях предусматривается, что пользователь может открутить дозирующий насос от горлышка контейнера и наполнить контейнер. Однако во многих случаях повторное наполнение контейнера не предусмотрено, поскольку указанный контейнер задумывается как одноразовый. Это особенно верно в том случае, когда дозирующий насос собран на контейнере несъемным способом.
Объектом интереса является предложение решений, позволяющих перезаправлять такие контейнеры, в том числе с целью предотвращения негативного экологического воздействия, вызванного пустыми контейнерами, всеми аксессуарами, используемыми в их оформлении, а также самим процессом производства таких контейнеров.
В US 10399103 В2 описана система заправки контейнера, содержащая собранный на контейнере дозирующий насос. Для заправки контейнер располагается вверх дном, и его воздушный канал сообщается с внутренним пространством флакона, содержащего жидкость для заправки, через интерфейс заполнения таким образом, что образуется канал для перемещения жидкости. Также формируется второй канал, то есть канал выпуска газа, который позволяет выходить газу, содержащемуся во внутреннем пространстве контейнера.
В US9834369 В2 описан способ извлечения жидкости из контейнера, имеющего собранный на нем дозирующий насос. Способ заключается в нагнетании воздуха под давлением в контейнер и принудительном выводе жидкости через дозирующий насос, который имеет систему клапанов, которые открыты при наличии избыточного давления на выходе.
Краткое описание изобретения
Объектом изобретения является разработка системы, позволяющей перезаправлять контейнеры (предпочтительно, флаконы), имеющие собранный на них дозирующий насос. Эта цель достигается путем использования способа указанного выше типа, отличающегося тем, что он содержит следующие этапы:
[1] установка контейнера таким образом, чтобы дно находилось в нижнем положении, и формирование жидкостного соединения внутреннего объема картриджа для перезаправки, содержащего жидкость для заправки, с воздушным каналом;
[2] перемещение поршня откачки из выдвинутого положения с открытием тем самым воздушного канала и установлением жидкостного соединения между внутренней частью картриджа для заправки и внутренним объемом;
[3] повышение давления, которое приложено к жидкости для заправки во внутреннем пространстве картриджа для перезаправки, с обеспечением прохождения части жидкости во внутренний объем, что обеспечивает повышение давления, которое приложено к внутреннему объему;
[4] снижение давления, под которым находится жидкость для заправки во внутреннем пространстве картриджа для перезаправки до значения меньшего, чем давление во внутреннем пространстве, что обеспечивает возможность прохождения части воздуха под давлением во внутреннее пространство картриджа для перезаправки через воздушный канал;
[5] повторение этапов [3] и [4] по крайней мере однократно;
[6] отсоединение картриджа для перезаправки.
Таким образом, в способе согласно изобретению воздушный канал, имеющийся в насосе, используется как для введения жидкости в контейнер, так и для удаления воздуха, скопившегося во внутреннем пространстве контейнера. На этапе [3] жидкость постепенно заполняет внутренний объем контейнера, но воздух во внутреннем объеме контейнера не может никуда выйти, поскольку контейнер находится «правильной стороной вверх», то есть дно находится в нижнем положении, а свободный конец всасывающей трубки находится ниже свободной поверхности жидкости. По этой причине давление во внутреннем пространстве контейнера постепенно увеличивается, и, соответственно, необходимо также увеличить давление, которому подвергается жидкость во внутреннем пространстве картриджа для перезаправки, чтобы она продолжала течь во внутренний объем контейнера. Для предотвращения повышения давления до нежелательных значений заполнение контейнера прерывается путем снижения давления во внутреннем пространстве картриджа для перезаправки до значения меньшего, чем давление во внутреннем пространстве контейнера. Затем воздух во внутреннем пространстве контейнера может проходить через воздушный канал в направлении внутреннего пространства картриджа для перезаправки, тем самым снижая давление во внутреннем пространстве контейнера до желаемого значения. Этапы повышения давления во внутреннем пространстве картриджа для перезаправки и понижения давления далее повторяются несколько раз до достижения желаемого уровня заполнения.
В предпочтительном варианте реализации изобретения нижняя часть поршня содержит:
- внешнюю боковую поверхность, которая является цилиндрической, в соответствии с продольным направлением, расположенную напротив внутренней боковой поверхности, простирающейся между верхним краем и нижним краем, где боковое отверстие расположено напротив внешней боковой поверхности;
- ограничительную верхнюю уплотнительную кромку, расположенную в верхней части внешней боковой поверхности; и
- ограничительную нижнюю уплотнительную кромку, расположенную в нижней части внешней боковой поверхности.
В этом предпочтительном решении в процессе перемещения, приводящего в действие насос, поршень перемещается в продольном направлении между выдвинутым положением и убранным положением, проходя через промежуточное положение, где, когда поршень находится в любом положении между выдвинутым положением и промежуточным положением, боковое отверстие размещено между ограничительной верхней уплотнительной кромкой и ограничительной нижней уплотнительной кромкой, и, когда поршень находится в любом положении между промежуточным положением и убранным положением, боковое отверстие размещено в продольном направлении выше ограничительной верхней уплотнительной кромки. Между поршнем, корпусом насоса и средством фиксации расположен воздушный канал, пригодный для формирования жидкостного соединения между внешним пространством и боковым отверстием, когда поршень находится в любом положении между промежуточным положением и убранным положением. В этом предпочтительном варианте реализации этап [2] осуществляется именно путем перемещения поршня к любому положению между промежуточным положением и убранным положением, что обеспечивает установление жидкостного соединения между внутренним пространством картриджа для перезаправки и внутренним объемом.
Указанные этапы необязательно должны быть выполнены в указанной последовательности, более того, другие последовательности также возможны. Например, этапы [1] и [2] и/или по крайней мере части дополнительных этапов, которые они содержат (установка контейнера таким образом, чтобы дно находилось в нижнем положении; формирование жидкостного соединения внутреннего пространства и картриджа для перезаправки, содержащего жидкость для заправки с воздушным каналом; перемещение поршня из выдвинутого положения для открытия воздушного канала), могут быть удовлетворительным образом выполнены с использованием нескольких различных последовательностей, и/или некоторые из них могут быть выполнены одновременно. Поэтому указанный порядок не является жестким определением последовательности, в которой осуществляются этапы и дополнительные этапы, и просто указывает на то, какие этапы содержатся в способе согласно изобретению.
Предпочтительно, чтобы на этапе [3] давление повышалось до значения между 0,5 и 2 бар выше атмосферного давления. Такое давление является достаточно высоким, чтобы обеспечить возможность дозаправки меньшим количеством этапов, но не подвергая контейнер такому высокому избыточному давлению, которое может привести к разрушению указанного контейнера.
Преимущественно этапы [3] и [4] выполняются от 2 до 4 раз, в предпочтительном варианте, от 3 до 4 раз.
Предпочтительно, чтобы способ также содержал этап [2а] определения значения давления, на котором давление, под которым находится жидкость для заправки во внутреннем пространстве картриджа для перезаправки, повышают до оценочного давления. Этап определения значения выполняется перед этапами [3] и [4] и не является частью этапа [5]. Этот этап определения значения [2а] выполняется для того, чтобы убедиться, что контейнер выдержит давление.
Предпочтительно, чтобы повышение и понижение давления, под которым находится жидкость для заправки во внутреннем пространстве картриджа для перезаправки, выполнялось с использованием сжимающего поршня, где указанный поршень выполнен с возможностью перемещения внутри втулки. Это надежная и простая в обслуживании система.
Предпочтительно, чтобы этап определения значения [2а] был выполнен определяющим объем воздуха в картридже для перезаправки согласно приведенной ниже формуле:
где
- объем воздуха картриджа для перезаправки (м3);
- объем воздуха, который будет сжимать поршень внутри втулки (м3);
- начальное давление, которое является давлением перед началом повышения давления, под которым находится жидкость для заправки во внутреннем пространстве картриджа для перезаправки (Па);
- оценочное давление (Па);
- перемещение поршня в ходе указанного этапа определения значения (м); и
- площадь сечения поршня (м2).
Это позволяет определить объем воздуха в заправочном картридже и, следовательно, определить перемещение х поршня для следующих циклов поршня. Это перемещение х таково, что позволяет не превысить давление в контейнере и создать давление в контейнере, близкое к максимальному целевому давлению.
Еще более предпочтительно, чтобы способ, кроме этого, содержал этап вычисления количества повторений, на которых выполняются этапы [3] и [4], по следующей формуле:
где n - количество повторений, на которых будут выполняться этапы [3] и [4];
Р - начальное давление, которое является давлением перед началом повышения давления, под которым находится жидкость для заправки во внутреннем пространстве картридж для перезаправки (Па);
Р' - конечное давление, которое является давлением перед снижением давления, под которым находится жидкость для заправки во внутреннем пространстве картриджа для перезаправки;и
Ratio - это отношение конечного объема воздуха контейнера, подлежащего заправке, к общему объему воздуха, который содержится в контейнере, подлежащем заправке, когда контейнер пуст. Это позволяет определить количество циклов, которые поршень должен выполнить для перезаправки контейнера независимо от типа контейнера или жидкости, оставшейся в картридже для перезаправки.
Более того, предпочтительно, чтобы способ дополнительно содержал этап вычисления объема воздуха в контейнере согласно приведенной ниже формуле:
где
- начальный объем воздуха контейнера 26 (м3);
- начальное давление (Па);
- конечное давление (Па);
- начальный объем воздуха внутри втулки 63, который будет сжимать поршень 58 (м3);
- начальный объем воздуха картриджа для перезаправки (м3);
х - перемещение поршня 58 (м);
S - площадь сечения указанного поршня 58 (м2);
Это позволяет определить воздушный объем контейнера, что, в свою очередь, позволяет определить, достаточно ли жидкости внутри картриджа для перезаправки контейнера.
Предпочтительно, чтобы в способе согласно изобретению впускной клапан представлял собой шаровой клапан.
Предпочтительно, чтобы в способе согласно изобретению картридж для перезаправки содержал идентификатор, индивидуальный для каждого картриджа для перезаправки, и способ включал этап верификации пользователем индивидуального идентификатора полного картриджа для перезаправки, выполняющийся перед формированием жидкостного соединения внутреннего пространства картриджа для перезаправки, содержащего жидкость для заправки с воздушным каналом. Существует преимущественная альтернатива, когда способ выполняется с использованием аппарата, содержащего устройство считывания индивидуального идентификатора и средство коммуникации, пригодное для установления связи с субъектом проверки индивидуального идентификатора (и, преимущественно, также с другими внешними базами данных), а этап проверки выполняется автоматически аппаратом, и в этом случае, в частности, предпочтительно, чтобы: [а] если указанная верификация дает положительный результат, аппарат продолжает осуществлять способ перезаправки и деактивирует индивидуальный идентификатор (уведомляя субъекта проверки, что он использован), и/или [b] если верификация дает отрицательный результат, аппарат прерывает способ перезаправки. Существует другая преимущественная альтернатива, когда этап верификации выполняется пользователем с помощью других средств, предпочтительно с помощью мобильного телефона.
Предпочтительно, чтобы в способе согласно изобретению входной клапан являлся шаровым клапаном.
Еще одним объектом изобретения является картридж для перезаправки показанного выше типа, отличающийся тем, что он содержит впуск с входным клапаном, расположенным в указанной верхней части, и выпуск, выполненный на указанном основании.
Предпочтительно, чтобы входной клапан был трехпозиционным клапаном, и крайне предпочтительно, чтобы он содержал: [а] канал, определяющий продольное направление, с первым участком, имеющим первое поперечное сечение, вторым участком, имеющим второе поперечное сечение, отличающееся от первого поперечного сечения, и третий участок с третьим поперечным сечением, отличающимся от второго поперечного сечения, и [b] запор, расположенный в канале, с таким поперечным сечением, что, когда запор находится в первом участке или в третьем участке, клапан открыт, а когда запор находится во втором участке, клапан закрыт. Преимущественно первое поперечное сечение и третье поперечное сечение являются многоугольными и запор имеет круглое поперечное сечение, которое имеет диаметр больший, чем диаметр окружности, вписанной в любое из многоугольных сечений, и, в частности, предпочтительно, чтобы первое поперечное сечение и третье поперечное сечение были треугольными. В свою очередь, предпочтительно, чтобы второе поперечное сечение было круглым, а запор также имел круглое поперечное сечение, причем круглое поперечное сечение запора имело диаметр, превышающий диаметр второго сечения. Входной клапан такого типа может быть изготовлен полностью из одного и того же материала, кроме того, его использование в производстве не связано с большими финансовыми затратами. Клапан очень просто переводится из открытого положения в закрытое, а затем снова в открытое.
Предпочтительно, чтобы запор входного клапана имел сферическую форму.
Преимущественно выпуск содержит перфорируемую пленку. В альтернативном преимущественном варианте выпуск имеет выходной клапан, содержащий: [а] канал, определяющий продольное направление, имеющий первый участок с первым поперечным сечением и второй участок со вторым поперечным сечением, отличающимся от первого поперечного сечения, где первый участок ориентирован в направлении внутреннего пространства картриджа для перезаправки, а второй участок ориентирован в направлении внешнего пространства картриджа для перезаправки, и [b] запор, размещенный в канале, с таким поперечным сечением, что, когда запор находится в первом участке, клапан открыт, и, когда запор находится во втором участке, клапан закрыт.В этом варианте предпочтительно, чтобы первое поперечное сечение было многоугольным, а запор имел круглое поперечное сечение, причем круглое поперечное сечение имеет диаметр, превышающий диаметр окружности, вписанной в многоугольное поперечное сечение, и особенно предпочтительно, чтобы первое поперечное сечение было треугольным. В этом альтернативном варианте также предпочтительно, чтобы второе поперечное сечение было круглым, а запор также имел круглое поперечное сечение, причем круглое поперечное сечение запора имело диаметр, превышающий диаметр второго поперечного сечения.
Предпочтительно, чтобы запор выходного клапана имел сферическую форму.
В предпочтительном варианте реализации картриджа для перезаправки согласно изобретению, верхняя часть имеет ослабленную область, ограничивающую центральную область, где ослабленная область имеет форму такую, что центральная область имеет периметр, совпадающий с внутренней поверхностью боковой стенки таким образом, что центральная область пригодна для использования в качестве поршня, проходящего вдоль боковой стенки. Картриджи для перезаправки такого типа могут быть использованы с аппаратами, содержащими толкатель, который толкает центральную область, разрывая верхнюю часть в ослабленной области, и затем выталкивает жидкость через выпускное отверстие. Как будет показано ниже, еще один предпочтительный вариант реализации включает нагнетание воздуха (или любого газа) во внутреннее пространство картриджа для перезаправки.
В еще одном предпочтительном варианте реализации изобретения входной клапан и/или выходной клапан являются самозапорными клапанами. Более того, предпочтительно, чтобы самозапорный клапан содержал пружину, где пружина прижимает запорный элемент к седлу клапана. Таким образом, картридж для перезаправки, содержащий эти клапаны, может быть использован повторно.
Предпочтительно, чтобы картридж для перезаправки содержал средство обеспечения продольной жесткости. Предпочтительно, чтобы это средство обеспечения продольной жесткости содержало пустотелую стойку с боковым каналом, где стойка простирается от основания до верхней части и преимущественно прикреплена к верхней части.
Предпочтительно, чтобы картридж для перезаправки содержал средства придания радиальной жесткости. Преимущественно эти средства придания радиальной жесткости содержат множество ребер, простирающихся между боковой стенкой и основанием, и/или содержат множество ребер, простирающихся радиально вдоль верхней части.
Действительно, эти картриджи для перезаправки подвергаются высокому давлению, поэтому в них также необходимо поддерживать высокое давление. Все это делает удобным усиление картриджа для перезаправки как в продольном направлении для предотвращения деформаций при фиксации аппаратом, так и в радиальном направлении для предотвращения деформаций из-за высокого внутреннего давления в процессе наполнения контейнера.
Предпочтительно, чтобы основание и боковая стенка представляли собой единую деталь, а верхняя часть являлась независимой деталью, собранной на боковой стенке. Таким образом оптимизируется процесс производства, что позволяет снизить затраты.
Предпочтительно, чтобы картридж для перезаправки был выполнен полностью из одного или схожих полимерных материалов. Таким образом сборка может быть переработана без необходимости выполнения процессов разделения.
Предпочтительно, чтобы картридж для перезаправки содержал идентификатор, индивидуальный для каждого из картриджей для перезаправки. Индивидуальный идентификатор является преимущественно штрих кодом, предпочтительно, матричным штрих кодом и наиболее предпочтительно QR-кодом.
Изобретение может быть использовано совместно с управляющей системой для управления картриджем для перезаправки, содержащим индивидуальный идентификатор согласно изобретению, где управляющая система включает следующие этапы:
[a] присвоение отдельного индивидуального идентификатора отдельному картриджу для перезаправки в процессе производства картриджа для перезаправки и маркировку картриджа для перезаправки индивидуальным идентификатором;
[b] валидацию индивидуального идентификатора в процессе заполнения картриджа для перезаправки;
[c] проверку индивидуального идентификатора полного картриджа для перезаправки пользователем и, предпочтительно, маркировку индивидуального идентификатора после использования в способе для перезаправки, а также блокировку индивидуального идентификатора для последующего использования.
Предпочтительно, чтобы система включала дополнительный этап, на котором после этапа блокировки идентификатора соответствующее лицо информируется о выполненном этапе блокировки, предпочтительно, с информацией о типе картриджа для перезаправки, дате, когда произошла блокировка, и о месте, где блокировка имела место.
В завершение еще одним объектом изобретения является аппарат для осуществления способа согласно изобретению, отличающийся тем, что он содержит:
- корпус для установки контейнера с ориентированным вниз дном;
- средство подключения картриджа для перезаправки согласно изобретению к флакону и установления жидкостного соединения между внутренним пространством картриджа для перезаправки и воздушным каналом;
- средство повышения давления, которое приложено ко внутреннему пространству картриджа для перезаправки, выше атмосферного давления;
- средство сброса давления во внутреннем пространстве картриджа для перезаправки;
- средство управления для осуществления по крайней мере двух циклов повышения давления и циклов сброса давления один за другим и автоматически.
Предпочтительно, чтобы аппарат содержал средство регулирования расстояния между контейнером и средством соединения. С учетом того, что на рынке существует множество конструкций контейнеров и дозирующих насосов, которые имеют различную высоту, наличие регулировочного средства позволяет использовать аппарат для множества различных конструкций.
Предпочтительно, чтобы средство соединения являлось съемным. В общем случае интерес представляет аппарат, совместимый со множеством контейнеров, которые отличаются друг от друга и которые будут иметь дозирующие насосы, отличающиеся друг от друга. Действительно, хотя дозирующий насос всегда должен иметь одни и те же элементы, требуемые для изобретения, он может отличаться в отношении других элементов, которые не являются обязательными для изобретения. Однако эти различия могут потребовать, чтобы средства соединения различались в опорной зоне насоса (диаметры, высота) в зависимости от конкретного насоса. Может также оказаться целесообразным, чтобы средства соединения были совместимы с различными семействами картриджей для перезаправки. Поэтому представляет интерес возможность предоставить семейство средств соединения и возможность использовать то или другое средство соединения в зависимости от заправляемого контейнера (с соответствующим насосом).
Предпочтительно, чтобы средство соединения содержало в своей верхней части средство формирования канала выпуска, размещенное на основании картриджа для перезаправки. В предпочтительном варианте реализации средство формирования канала содержит трубку и крайне предпочтительно содержит съемную защиту трубки. В еще одном предпочтительном варианте реализации средство формирования канала содержит стержень, пригодный для толкания запора, размещенного в канале, находящемся в выпуске картриджа для перезаправки.
Преимущественно средство соединения содержит в своей нижней части опорную поверхность, предназначенную для перемещения поршня, и уплотнительную поверхность, предназначенную для установки на насос и формирующую герметичное уплотнение между воздушным каналом и внешним пространством таким образом, что воздушный канал находится в жидкостном соединении только с внутренним пространством картриджа для перезаправки.
Предпочтительно, чтобы средство соединения, кроме того, содержало кольцевое уплотнение для крепления указанного основания указанного картриджа для перезаправки. Кольцевое уплотнение предохраняет картридж от падения, когда продольное усилие прикладывается к картриджу для перезаправки.
Предпочтительно, чтобы аппарат содержал считывающее устройство для считывания индивидуального идентификатора и средство связи, пригодное для установления связи с субъектом проверки индивидуального идентификатора.
Предпочтительно, чтобы средство управления содержало средство для выполнения этапа определения значения [2а]. Таким образом аппарат может определять максимальное давление, которому может быть подвергнут контейнер.
Предпочтительно, чтобы средство повышения давления содержало сжимающий поршень и втулку, а поршень был выполнен с возможностью перемещения внутри втулки. В этом случае особенно предпочтительно, чтобы средство управления содержало средство для определения объема воздуха указанного картриджа для перезаправки согласно приведенной ниже формуле:
где
- объем воздуха картриджа для перезаправки (м3);
- объем воздуха, который будет сжимать поршень внутри втулки (63) (м3);
- начальное давление, которое является давлением перед началом повышения давления, под которым находится жидкость для заправки во внутреннем пространстве картриджа для перезаправки (Па);
- оценочное давление (Па);
- перемещение поршня в ходе указанного этапа определения значения (м); и
- площадь сечения поршня (м2).
Это позволяет аппарату определять объем воздуха картриджа для перезаправки и, таким образом, определять также количество циклов, которые поршень должен выполнить для заправки контейнера.
Еще более предпочтительно, чтобы средство управления содержало средство для вычисления количества повторений, на которых выполняются этапы [3] и [4] по следующей формуле:
где n - количество повторений, на которых будут выполнены этапы [3] и [4];
Р - начальное давление, которое является давлением перед началом повышения давления, под которым находится жидкость для заправки во внутреннем пространстве картриджа для перезаправки;
Р' - конечное давление, которое является давлением перед снижением давления, под которым находится жидкость для заправки во внутреннем пространстве картриджа для перезаправки;и
Ratio - отношение между конечным объемом воздуха в перезаправляемом контейнере и общим объемом воздуха, который содержит перезаправляемый контейнер, когда контейнер пуст. Это позволяет аппарату определить количество циклов, которые поршень должен выполнить для заправки контейнера независимо от типа контейнера или жидкости, оставшейся в картридже для перезаправки.
Более того, предпочтительно, чтобы средство управления содержало средство для вычисления объема воздуха в контейнере согласно приведенной ниже формуле:
где
- начальный объем воздуха контейнера 26 (м3);
- начальное давление (Па);
- конечное давление (Па);
- начальный объем воздуха, который будет сжимать поршень 58 внутри втулки 63 (м3);
- начальный объем воздуха картриджа для перезаправки (м3);
х - перемещение поршня 58 (м);
S - площадь сечения указанного поршня 58 (м2).
Это позволяет определить воздушный объем контейнера, что, в свою очередь, позволяет определить, будет ли жидкости внутри картриджа для перезаправки достаточно для перезаправки контейнера.
Краткое описание графических материалов
Дополнительные преимущества и особенности изобретения станут очевидными из следующего описания, в котором без каких-либо ограничений раскрыты предпочтительные варианты осуществления изобретения со ссылкой на сопроводительные фигуры, где на фигурах:
Фиг. 1-4 показывают продольное сечение дозирующего насоса в четырех положениях цикла перекачивания.
Фиг. 5-8 показывают последовательность этапов способа согласно изобретению.
Фиг. 9-11 показывают продольное сечение, вид в перспективе и вид сверху основного корпуса первого варианта реализации картриджа для перезаправки согласно изобретению.
Фиг. 12-14 показывают продольное сечение, разрез в перспективе и детальный вид сверху крышки картриджа для перезаправки согласно изобретению.
Фиг. 15 показывает частичный разрез вида сверху узла, образованного основным корпусом, показанным на фиг.9-11, и крышкой, показанной на фиг.12-14.
Фиг. 16 показывает увеличенный вид средства соединения, показанного на фиг.8.
Фиг. 17 показывает продольное сечение входного клапана картриджа для перезаправки согласно изобретению со стержнем, толкающим запор.
Фиг.18 показывает продольное сечение средства соединения, подключенного к картриджу для перезаправки.
Фиг. 19 и 20 показывают продольное сечение входного клапана картриджа для перезаправки с запором, расположенным в двух положениях.
Фиг. 21 показывает продольное сечение основного корпуса второго варианта реализации картриджа для перезаправки согласно изобретению.
Фиг. 22 показывает вид снизу картриджа для перезаправки с индивидуальным идентификатором.
Фиг. 23-26 показывают первый вариант реализации аппарата согласно изобретению.
Фиг. 27 показывает второй вариант реализации аппарата согласно изобретению.
Фиг. 28 показывает продольное сечение еще одного варианта реализации картриджа для перезаправки согласно изобретению.
Фиг. 29 показывает увеличенный вид области прилегания верхней части к боковой стенке картриджа для перезаправки, показанного на фиг.28.
Фиг. 30 показывает продольное сечение картриджа для перезаправки, показанного на фиг.28, с центральной областью верхней части, расположенной в промежуточном положении, по отношению к боковой стенке.
Фиг. 31 показывает вид, эквивалентный виду, показанному на фиг.30, но с отображением внешнего толкателя, перемещающего центральную область.
Фиг. 32 показывает продольное сечение еще одного варианта реализации картриджа для перезаправки согласно изобретению.
Фиг. 33 показывает самозапорный клапан картриджа для перезаправки, показанного на фиг.32.
Фиг. 34 показывает продольное сечение картриджа для перезаправки, показанного на фиг.32, соединенного с контейнером с использованием средства соединения.
Фиг. 35 показывает продольное сечение еще одного насоса контейнера согласно изобретению.
Фиг. 36 показывает корпус насоса, показанного на фиг.35.
Фиг. 37 показывает начальный и конечный объемы в системе при заправке контейнера.
Фиг. 38 показывает изменение давления в процессе нескольких циклов поршня.
Детальное описание вариантов реализации изобретения
В общем случае способ согласно изобретению, осуществляется с целью перезаправки контейнеров, имеющих дозирующие насосы определенного типа, как это показано выше. Фиг. 1-4 показывают работу этих насосов. Несмотря на то, что существует множество подобных конструкций насосов, различающихся между собой, все они имеют общие элементы, существенные для изобретения, как показано выше. Остальные детали не имеют значения для изобретения и поэтому могут отличаться от показанных на фиг.1-4.
Дозирующий насос содержит:
[a] корпус насоса 1 с:
[а. 1] нижним входным отверстием 2,
[а.2] цилиндрической внутренней боковой поверхностью 3, определяющей продольное направление,
[а.3] боковым отверстием 4, выполненным на внутренней боковой поверхностью 3, и
[а.4] верхним каналом 5,
где корпус насоса 1 формирует насосную камеру 6 в своей внутренней части, где, когда насос находится в собранном положении, верхний канал выступает из горлышка 7 контейнера 26, на котором собран насос, и нижнее входное отверстие 2 находится внутри контейнера 26, а боковое отверстие 4 сообщает внутреннюю боковую поверхность 3 с внутренним объемом 8 контейнера 26;
[b] входной клапан 9 (который предпочтительно является шаровым клапаном вне зависимости от других элементов, описанных для указанного насоса), размещенный между входным отверстием 2 и насосной камерой 6, предназначенный для обеспечения возможности поступления жидкости во внутреннее пространство насосной камеры 6 через входное отверстие 2 и блокировки выхода жидкости во внутреннее пространство насосной камеры 6 через входное отверстие 2;
[c] всасывающую трубку 10, один конец которой подключен к входному отверстию 2, выступающую в направлении дна 61 контейнера 26;
[d] поршень 11 с:
[d.1] нижней частью, расположенной внутри корпуса насоса 1 и содержащей:
[d.1.1] внешнюю боковую поверхность 12, которая является цилиндрической, в соответствии с продольным направлением, расположенную напротив внутренней боковой поверхности 3, простирающуюся между верхним краем 13 и нижним краем 14, где боковое отверстие 4 расположено напротив внешней боковой поверхности 12;
[d.1.2] ограничительную верхнюю уплотнительную кромку 15, расположенную в верхней части внешней боковой поверхности 12;
[d.1.3] ограничительную нижнюю уплотнительную кромку 16, расположенную в нижней части внешней боковой поверхности 12; и
[d.2] верхней частью со средством выпуска 17 (совокупность элементов насоса, соответствующих всему, что связано с выходом жидкости из насосной камеры 6 во внешнее пространство, называется «средство выпуска»), содержащим выходное отверстие 18 и выходной клапан 19, размещенный между выходным отверстием 18 и насосной камерой 6, выполненный с обеспечением возможности выхода жидкости из внутреннего пространства насосной камеры 6 через выходное отверстие 18 и для блокирования поступления воздуха во внутреннее пространство насосной камеры 6 через выходное отверстие 18;
[e] упругий элемент, предназначенный для создания усилия в продольном направлении, имеющего тенденцию отделить поршень от корпуса насоса; и
[f] средство фиксации для закрепления насоса в горлышке,
где в процессе перемещения, приводящего в действие насос, поршень перемещается в продольном направлении между выдвинутым положением и убранным положением, при этом, когда поршень находится в убранном положении, боковое отверстие размещено поверх ограничительной верхней уплотнительной кромки, и между поршнем, корпусом насоса и средством фиксации имеется воздушный канал, пригодный для формирования жидкостного соединения между внешним пространством контейнера и боковым отверстием, а когда поршень находится в выдвинутом положении, воздушный канал перекрывается ограничительной верхней уплотнительной кромкой.
Во время движения, приводящего в действие насос, поршень 11 перемещается в продольном направлении между выдвинутым положением (показанным на фиг.1) и убранным положением (показанным на фиг.3), проходя через промежуточное положение (приблизительно показанное на фиг.2), где когда поршень 11 находится в любом положении между выдвинутым положением и промежуточным положением, боковое отверстие 4 размещено между ограничительной верхней уплотнительной кромкой 15 и ограничительной нижней уплотнительной кромкой 16, и когда поршень 11 находится в любом положении между промежуточным положением и убранным положением, боковое отверстие 4 размещено в продольном направлении выше ограничительной верхней уплотнительной кромки 15. Между поршнем 11, корпусом насоса 1 и средством фиксации расположен воздушный канал 22, пригодный для формирования жидкостного соединения между внешним пространством и боковым отверстием 4, когда поршень 11 находится в любом положении между промежуточным положением и убранным положением.
Средство выпуска 17 расположено в верхней части поршня 11 и содержит трубку 23 (обычно называемую «ствол»), подвижную заглушку 24 и головку 25. Ствол 23 полый, его нижняя часть расположена внутри поршня 11, а верхняя часть выступает за пределы поршня 11. Головка 25 собрана на верхней части ствола 23. Полая внутренняя часть ствола 23 формирует проход между насосной камерой 6 и головкой 25, которая, в свою очередь, имеет проход, позволяющий выходить перекачиваемой жидкости во внешнее пространство через выходное отверстие 18. Подвижная заглушка 24 расположена внутри ствола 23. Нижний край подвижной заглушки 24 выступает под стволом 23 и расположен внутри поршня 11. Нижний край подвижной заглушки 24 имеет кольцевой край, подходящий для размещения в кольцевой канавке, имеющейся в поршне 11, причем оба элемента образуют таким образом выходной клапан 19.
Насос крепится к контейнеру 26 с помощью крепежной части 27 и втулки 28. Эти два элемента образуют средство фиксации и крепят корпус насоса 1 к горлышку 7 флакона герметично (благодаря прокладке 29), но допускают движение поршня 11. Более детально, между поршнем 11 и крепежной частью 27 имеется проход, пропускающий воздух между внешним пространством и промежуточной камерой, размещенной между верхней частью корпуса насоса 1 и поршнем 11 над ограничительной верхней уплотнительной кромкой 15.
Поэтому, когда дозирующий насос находится в своем убранном положении (см. фиг.3), формируется воздушный канал 22, сообщающий внутреннее пространство контейнера 26 с внешним пространством. В таких дозирующих насосах указанный воздушный канал 22 предусмотрен для обеспечения доступа воздуха в контейнер 26 и, таким образом, компенсации вакуума, сформированного перекачиваемой жидкостью, что препятствует созданию пониженного давления во внутреннем контейнере 26. Однако, как подробно описано ниже, в настоящем изобретении этот воздушный канал 22 используется для введения жидкости из картриджа для перезаправки 30 во внутренний контейнер 26 с целью его пополнения. Он также будет служить для выхода воздуха из внутреннего контейнера 26, который при дозаправке находится под избыточным давлением. Таким образом, воздушный канал 22 выполняет тройную функцию: обеспечивает вход воздуха при нормальном использовании насоса, обеспечивает поступление жидкости во время заправки, обеспечивает выпуск воздуха во время заправки. Как указывалось ранее, дозирующий насос, раскрытый на представленных изображениях, является лишь примером среди существующего множества насосов, и между ними могут быть различия в деталях. Для настоящего изобретения важно, что упомянутый воздушный канал 22 (предусмотренный для обеспечения входа воздуха для компенсации выхода перекачиваемой жидкости) существует, поскольку именно этот воздушный канал 22 будет использоваться в изобретении для заправки контейнера 26.
Последовательность этапов способа согласно изобретению может быть рассмотрена на фиг.5-8.
Первоначально контейнер 26 расположен в нормальном положении, то есть с дном 61 в нижнем положении, таким образом, что жидкость в его внутреннем объеме 8 аккумулируется на дне 61, а свободный конец всасывающей трубки 10 расположен ниже свободной поверхности жидкости или, по крайней мере в случае, если она расположена выше указанной свободной поверхности, трубка так близка к ней, что может немедленно оказаться ниже указанной поверхности после осуществления заправки незначительного количества жидкости. Наконечник 25, который будет повторно установлен по окончании процесса заправки, будет удален.
Внутренний объем картриджа для перезаправки 30, содержащий жидкость для заправки, жидкостно соединен с воздушным каналом 22. С этой целью используется средство соединения 31. Средство соединения 31 имеет в верхней части средство формирования канала 32 для открытия выпуска 33, размещенного на основании 34 картриджа для перезаправки 30. На примере, изображенном на фиг.5-8, выпуск 33 представляет собой перфорируемую пленку 35, а средство формирования канала 32 содержит трубку 36 и съемную защиту 37 трубки 36. Средство соединения 31 имеет в своей нижней части опорную поверхность 38, предназначенную для установки на ствол 23 и толкания поршня 11 по направлению вниз, и уплотнительную поверхность 39, предназначенную для установки на крепежную часть 27, формирующую герметичное уплотнение таким образом, что воздушный канал 22 больше не сообщается с внешним пространством, а только с внутренним пространством картриджа для перезаправки 30.
Поршень 11 перемещается в любое положение между промежуточным положением (см. фиг.2) и убранным положением (см фиг.3), то есть в любое положение, в котором боковое отверстие 4 расположено в продольном направлении выше ограничительной верхней уплотнительной кромки 15, и, таким образом, воздушный канал 22 находится в жидкостном соединении с внутренним объемом 8 контейнера 26. Как обсуждалось ранее, существует несколько этапов способа согласно изобретению, которые могут быть выполнены в последовательности, отличной от описанной. Так, например, указанный этап перемещения поршня 11 предпочтительно выполняется параллельно с этапом жидкостного соединения для жидкостного соединения внутреннего объема заправляемого картриджа 30 с воздушным каналом 22.
После того как жидкостные соединения установлены (см. фиг.6 и 16), давление повышается до давления, под которым находится жидкость во внутреннем пространстве картриджа для перезаправки 30, что вызывает тем самым прохождение части жидкости во внутренний объем 8, что, в свою очередь, обеспечивает повышение давления, которое приложено ко внутреннему объему 8 (воздух во внутреннем объеме 8 не может никуда выйти, поскольку свободный конец всасывающей трубки 10 расположен ниже поверхности жидкости). Для повышения давления, которое приложено к жидкости во внутреннем пространстве картриджа для перезаправки 30, воздух (или любой другой газ) может быть введен во внутреннее пространство картриджа для перезаправки 30, например, через входной клапан 40 картриджа для перезаправки 30, как это показано на фиг.7. Однако возможны также другие решения, такие как выполнение верхней части картриджа для перезаправки 30 в виде плунжера, который может быть перемещен, (см. фиг. с 28 по 31). В картридже для перезаправки, показанном на фиг. с 28 по 31, верхняя часть 42 имеет ослабленную область 65, ограничивающую центральную область 66. Указанная центральная область 66 имеет периметр, совпадающий с внутренней поверхностью боковой стенки 41, таким образом, что она пригодна для использования в качестве поршня, движущегося вдоль боковой стенки 41. Фиг. 31 показывает внешний толкатель 67 (например, являющийся частью аппарата согласно изобретению), который толкает центральную область 66, в результате чего увеличивается давление в жидкости во внутреннем пространстве картриджа для перезаправки, таким образом, что она выходит через выпуск 33.
Если контейнер 26 заполняется одной порцией жидкости, объем воздуха, который изначально находился в контейнере 26, сжимается до очень малого объема, что значительно повышает давление во внутреннем пространстве контейнера 26. Для предотвращения этих чрезмерных повышений давления, на которые не был рассчитан контейнер, способ, согласно изобретению предусматривает этап, на котором давление, под которым находится жидкость для заправки во внутреннем пространстве картриджа для перезаправки 30, уменьшается до значения меньшего, чем давление во внутреннем объеме 8, что обеспечивает возможность прохождения части воздуха под давлением во внутренний объем 8 картриджа для перезаправки 30 через воздушный канал 22 (см. фиг.8). Затем цикл закачки жидкости и сброса давления в контейнере 26 повторяется несколько раз до достижения желаемого уровня заполнения, после чего картридж для перезаправки 30 может быть отсоединен.
Фиг. 9-15 показывают картридж для перезаправки 30 согласно изобретению. Картридж для перезаправки 30 имеет основной корпус (фиг.9-11) с боковой стенкой 41 и основанием 34, а также крышку (фиг.12-14), которая устанавливается на основной корпус (см. фиг.15), в результате чего формируется верхняя часть 42 картриджа для перезаправки 30. Предпочтительно, чтобы крышка была приварена к боковой стенке. В еще одном преимущественном варианте реализации картриджа для перезаправки согласно изобретению крышка изготавливается как единая деталь с боковой стенкой 41, а основание 34 выполняется в виде независимой детали, прикрепленной (предпочтительно, сваркой) к боковой стенке 41.
В крышке картриджа для перезаправки 30 расположен впуск с входным клапаном 40. Входной клапан 40 картриджа для перезаправки 30 (см. фиг.12-14, 17, 19 и 20) содержит: [а] канал 43, определяющий продольное направление, с первым участком 44, имеющим первое треугольное сечение, вторым участком 45 со вторым круглым сечением и третьим участком 46 с третьим сечением, которое также является треугольным и эквивалентно первому сечению, и [b] сферический запор 47, размещенный в канале 43. Диаметр запора 47 больше диаметра окружности, вписанной в треугольные сечения, таким образом, что запор удерживается как в первом сечении, так и в третьем сечении, за исключением случаев, когда к нему прикладывается сила, превышающая заранее определенное значение. Однако диаметр запора 47 достаточно мал, чтобы оставить свободные проходы в вершинах треугольников (см. фиг.14), поэтому, когда запор 47 находится в первом участке 44 или в третьем участке 46, клапан открыт.Запор 47 также имеет диаметр больше, чем диаметр круглого сечения, поэтому входной клапан 40 закрыт, когда запор 47 находится во втором участке 45. Таким образом, картридж для перезаправки 30 изготавливается с запорным элементом 47 в первом участке 44 (входной клапан 40 открыт, см. фиг.19). Картридж для перезаправки 30 может быть заполнен жидкостью, после чего запор 47 выталкивается таким образом, чтобы переместить его во второй участок 45, где картридж для перезаправки 30 закрывается (см. фиг.20). Когда контейнер 26 должен быть заполнен жидкостью из картриджа для перезаправки 30, запор 47 снова проталкивается до третьего участка 46, в это время входной клапан 40 снова открывается (см. фиг.17) и, например, воздух (или любой другой газ) может быть введен во внутреннее пространство картриджа для перезаправки 30 с целью повышения давления, которое приложено к нему и заставляет выходить жидкость через выпуск 33. Запор 47 может быть вытолкнут с помощью стержня 62, как показано на фиг.17.
На основании 34 картриджа для перезаправки 30 расположен выпуск 33, который в варианте реализации, представленном на фиг.9-11, 15, 16, 18 и 28-31, является перфорируемой пленкой 35. Эта перфорируемая пленка 35 будет перфорирована трубкой 36 вышеупомянутого средства соединения 31 (см. фиг.6-8 и 18).Вариант реализации на фиг.21 показывает выпуск 33, который не является перфорируемой пленкой, но в первую очередь содержит выходной клапан 48, сходный с входным клапаном 40, однако только с двумя участками. В частности, выходной клапан 48 содержит: [а] канал 143, определяющий продольное направление, содержащий первый участок 144 (ориентированный в направлении внутреннего пространства картриджа для перезаправки 30) с первым треугольным поперечным сечением и второй участок 145 (ориентированный в направлении внешнего пространства картриджа для перезаправки 30) со вторым круглым поперечным сечением, и [b] сферический запор, расположенный в канале 143. По аналогии с входным клапаном 40, когда запор находится в первом участке 144, выходной клапан 48 открыт, и, когда запор находится во втором участке участок 145, выходной клапан 48 закрыт.В случае, если картридж для перезаправки 30 содержит выходной клапан 48, сходный с описанным, средство формирования канала будет содержать не трубку, а скорее стержень 62, аналогичный показанному на фиг.17.
Картридж для перезаправки 30 содержит средства обеспечения продольной жесткости 49 в виде пустотелой стойки 50 с боковым каналом 51. Стойка 50 выступает из основания 34 к верхней части 42, что обеспечивает усиление по отношению к нагрузкам в продольном направлении, в частности, к нагрузкам, прилагаемым к картриджу для перезаправки 30 в процессе реализации способа перезаправки. Предпочтительно, чтобы пустотелую стойку 50 окружал край выпуска 33 картриджа для перезаправки 30. Боковой канал 51, начало которого находится на основании 34, позволяет жидкости, находящейся в картридже для перезаправки 30, полностью протекать в направлении выпуска 33.
Картридж для перезаправки 30 также содержит средства придания радиальной жесткости 52 в форме ребер, проходящих, с одной стороны, между указанной боковой стенкой 41 и указанным основанием 34 и, с другой стороны, простирающихся радиально вдоль указанной верхней части 42.
Фиг. 22 показывает картридж для перезаправки 30 с индивидуальным идентификатором 53.
Фиг. 23-26 показывают вариант реализации аппарата согласно изобретению. Аппарат содержит корпус 54, предназначенный для установки контейнера 26 с дном 61, ориентированным вниз, средство соединения 31, предназначенное для подключения картриджа для перезаправки 30 к контейнеру 26, с установлением жидкостного соединения между внутренним пространством картриджа для перезаправки 30 и воздушным каналом 22, средства повышения давления и сброса давления 55, предназначенные для изменения давления во внутреннем пространстве картриджа для перезаправки 30, и средство управления, предназначенное для осуществления по крайней мере двух циклов повышения давления и сброса давления один за другим и автоматически. Аппарат также содержит средство регулирования 56 для регулирования расстояния между контейнером 26 и средством соединения 31. Фактически средства 55 повышения давления и сброса давления, а также средство регулирования 56 являются устройствами с несколькими общими элементами, такими как: установленный на корпусе 54 сервомотор 57, управляющий перемещением поршня 58 с втулкой 63 вдоль вертикальной оси. К втулке 63 снизу прикреплен держатель 59 картриджа для перезаправки, предназначенный для крепления картриджа для перезаправки 30. Средство соединения 31 размещено между картриджем для перезаправки 30 и контейнером 26. Активация сервомотора 57 вызывает перемещение сборки, состоящей из поршня + втулки +держателя картриджа для перезаправки до тех пор, пока картридж для перезаправки 30 не окажется под давлением средства соединения 31, которое, в свою очередь, оказывает давление на дозирующий насос. Таким образом, сборка подстраивается под высоту контейнера 26. После прохождения этой точки поршень 58, который был прикреплен к втулке 63 в начале своего хода, освобождается и начинает двигаться вдоль втулки 63, сжимая находящейся в ней воздух, который будет нагнетаться во внутреннее пространство картриджа для перезаправки 30. В определенном положении поршень 58 останавливается, и через некоторое время, в течение которого стабилизируется давление, то есть выравниваются давление в камере, давление в заправочном картридже и давление в контейнере, серводвигатель 57 перемещает поршень вверх. Это приводит к падению давления, что обеспечивает выход воздуха под давлением, который находится во внутреннем объеме 8 контейнера 26 в направлении внутреннего пространства картриджа для перезаправки 30, как это было показано выше.
Фиг. 27 показывает еще один вариант реализации аппарата согласно изобретению. В этом случае аппарат содержит компрессор 60, который формирует воздух под давлением, который будет направлен в картридж для перезаправки 30. В свою очередь, резьбовая система 64 выполняет функцию регулировочных средств 56.
Фиг. 32 показывает еще один картридж для перезаправки 30 согласно изобретению. Этот картридж для перезаправки 30 является многопорционным картриджем для перезаправки 30, то есть он может быть использован для заправки нескольких контейнеров 26. Картридж для перезаправки 30 имеет входной клапан 40 и выходной клапан 48. Указанные входной клапан 40 и выходной клапан 48 являются самозапорными клапанами, которые содержат пружину 70 и запирающий элемент (см., также фиг.33 и 34). Пружина 70 прижимает запорный элемент к седлу клапана, что обеспечивает прекращение перетока жидкости между картриджем для перезаправки 30 и контейнером 26, предназначенным для заправки. Этот картридж для перезаправки 30 не содержит средств повышения жесткости, поэтому, чтобы выдержать давление, под которым он находится в процессе использования, картридж для перезаправки расположен на кольцевом уплотнении 72, выполненном на средстве соединения 31. Основание 34 картриджа для перезаправки 30 расположено на кольцевом уплотнении 72, в связи с чем силы лучше распределяются по картриджу для перезаправки 30.
Контейнер 26 может также содержать другой насос, такой как показан на фиг.35. Как можно увидеть на фиг.35, этот насос имеет другие пути жидкостного соединения. Боковое отверстие 4 корпуса насоса выполнено на верхней части корпуса насоса (см. также фиг.36). Нижняя часть нагнетательного поршня 11 содержит внешнюю боковую поверхность 12, расположенную напротив внутренней боковой поверхности 3, ограничительную верхнюю уплотнительную кромку 15 и ограничительную нижнюю уплотнительную кромку 16. Во время движения приведения в действие насоса поршень 11 перемещается в продольном направлении между выдвинутым положением и убранным положением. Когда поршень 11 находится в убранном положении, боковое отверстие 4 размещено над ограничительной верхней уплотнительной кромкой 15, а между поршнем 11, корпусом насоса 1 и средством фиксации расположен воздушный канал 22 (обозначенный стрелкой на фиг.35), пригодный для формирования жидкостного соединения между внешним пространством контейнера 26 и боковым отверстием 4, а когда поршень 11 находится в выдвинутом положении, воздушный канал 22 перекрывается ограничительной верхней уплотнительной кромкой 15. В этом случае этап [2] осуществляется перемещением поршня 11 из выдвинутого положения, что обеспечивает открытие воздушного канала 22 и установление жидкостного соединения между внутренним пространством картриджа для перезаправки 30 и внутренним объемом 8.
В еще одном варианте реализации изобретения способ перезаправки, предназначенный для перезаправки контейнера 26, дополнительно содержит этап определения значения [2а], который выполняется перед раскрытыми выше этапами [3] и [4]. Более того, этап определения значения [2а] не является частью раскрытого выше этапа [5]. Целью выполняемого этапа определения значения [2а] является определение объема воздуха картриджа для перезаправки 30. Поскольку картриджи для перезаправки 30 могут быть использованы для заправки нескольких контейнеров 26, важно знать начальный объем воздуха картриджа для перезаправки 30, который может быть использован для перезаправки контейнера 26.
Этот способ заправки предпочтительно осуществляется с помощью сжимающего поршня 58, однако можно использовать и другие средства сжатия газа. На каждом цикле поршня поршень 58 проходит одно и то же расстояние х вдоль его втулки 63, за исключением последнего хода поршня, когда ход поршня уменьшен. Соответствующие пояснения будут даны ниже. Когда ход поршня 58 для каждого цикла поршня всегда один и тот же, равновесное давление системы (поршень + картридж для перезаправки + контейнер) неизменно для любого цикла. Равновесие системы достигается, когда больше не происходит переноса жидкости из картриджа 30 в контейнер 26. При отсутствии переноса жидкости достигается равновесие. Когда равновесие достигнуто, все значения давления (давление поршня, давление картриджа для перезаправки и давление контейнера) равны (см. фиг.37).
Фиг. 38 показывает график изменений давления во времени в течение нескольких циклов поршня. По практическим соображениям давление измеряется только в камере сжатия, образованной сжимающим поршнем 58 втулкой 63. На каждом цикле поршня давление внутри камеры сжатия повышается относительно определенного начального значения (точка А на графике), преимущественно атмосферного давления, до максимального давления (точка С на графике), когда поршень проходит расстояние х. После этого быстрого повышения давления поршень остается в финальном в конечном положении. Значения давления внутри камеры сжатия и картриджа для перезаправки одинаковы. Заправка внутри картриджа для перезаправки 30 начинает перетекать в контейнер. Таким образом, значения давления внутри картриджа для перезаправки и камеры сжатия медленно снижаются в процессе перетока жидкости для заправки из картриджа для перезаправки в контейнер. Одновременно давление внутри контейнера растет, поскольку жидкость для заправки перетекает в контейнер. В определенной точке давление внутри контейнера выравнивается с давлением внутри картриджа для перезаправки и камеры сжатия - этот момент соответствует точке D на диаграмме. В завершение поршень перемещается в начальное положение (проходя расстояние х при перемещении назад). Это вызывает снижение давления внутри камеры сжатия и картриджа для перезаправки, что обеспечивает возможность перетока сжатого газа внутри контейнера во внутреннее пространство картриджа для перезаправки камеры сжатия. В завершение давление внутри камеры сжатия, картриджа для перезаправки и контейнера достигает того же начального значения (точка А следующего цикла), поскольку сумма трех объемов газа (предпочтительно, воздуха) трех объектов (камеры сжатия + картриджа для перезаправки + контейнера) является постоянной.
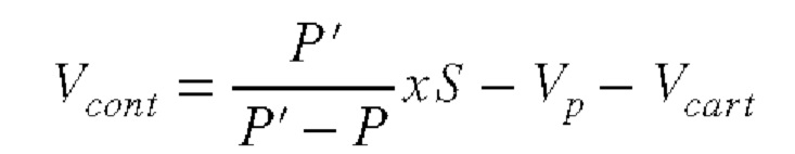
Общий объем воздуха и жидкости во всей системе (камера сжатия + картридж для перезаправки + контейнер) всегда одинаков, и, поскольку температура остается постоянной, можно применить закон Бойля:
где Р - начальное давление (Па);
Vp - начальный объем воздуха, который будет сжимать поршень 58 внутри втулки 63 (м3);
Vcart - начальный объем воздуха картриджа для перезаправки (м3);
Vcont - начальный объем воздуха контейнера 26 (м3);
Р' - конечное давление (Па);
х - перемещение поршня 58 (м);
S - площадь сечения указанного поршня 58 (м2);
V'cart - конечный объем воздуха картриджа для перезаправки 30 (м3); и
V'cont - конечный объем воздуха контейнера 26 (м3).
Подразумевается, что «начальное» относится к состоянию, в котором поршень 58 не совершил свой ход (точка А графика на фиг.38). Таким образом, начальное давление - это давление перед началом повышения давления, под которым находится указанная жидкость для заправки в указанном внутреннем пространстве картриджа для перезаправки 30, а «конечное» относится к состоянию, когда поршень 58 совершил свой ход и где давление еще не понижается (точка D графика, показанного ниже). Таким образом, финальное давление является давлением перед снижением давления, под которым находится указанная жидкость для заправки в указанном внутреннем пространстве картриджа для перезаправки 30 (см. фиг.36).
На указанном этапе определения значения [2а] давление, под которым находится указанная жидкость для заправки в указанном внутреннем пространстве картриджа для перезаправки 30, повышается до оценочного давления Pev (точка В графика на фиг.38). Этап определения значения выполняется при быстром повышении давления, поэтому перенос жидкости из картриджа для перезаправки в контейнер ничтожно мал. Таким образом, этот этап определения значения [2а] позволяет определять объем воздуха картриджа для перезаправки 30 согласно приведенной ниже формуле:
где Vcart - начальный объем воздуха картриджа для перезаправки 30 (мл);
Vp - начальный объем воздуха, который будет сжимать поршень 58, внутри втулки 63 (м3);
Р - начальное давление (Па);
Pev - оценочное давление (Па);
Xev - перемещение поршня 58 в ходе указанного этапа определения значения (м); и
S - площадь сечения указанного поршня 58 (м2).
Кроме того, способ также содержит этап вычисления количества повторений или циклов, на которых должны быть выполнены раскрытые выше этапы [3] и [4] для осуществления полной заправки контейнера 30. С использованием приведенной ниже формулы для каждого цикла можно определить их количество, которое необходимо для перезаправки контейнера 30:
где Р - начальное давление;
Vcont - начальный объем воздуха внутри контейнера;
Р' - конечное давление;
Vcont - конечный объем воздуха внутри контейнера.
Количество ходов поршня, то есть количество требуемых выполнений этапов [3] и [4], может быть также определено с использованием приведенной ниже формулы:
где n - количество повторений, на которых будут выполняться этапы [3] и [4];
Р - начальное давление;
Р' - конечное давление; и
Ratio - это отношение конечного объема воздуха контейнера 26, подлежащего заправке, к общему объему воздуха, который содержится в контейнере 26, подлежащем заправке, когда контейнер пуст.
Конечным объемом воздуха является объем воздуха в контейнере 26, когда он является пустым, за исключением объема по воздуху жидкости внутри контейнера 26.
После оценки объема воздуха в картридже для перезаправки 30 можно определить объем воздуха в контейнере 26. Это важно, поскольку картриджи для перезаправки 30 могут использоваться для заправки нескольких контейнеров 26, и процесс заправки контейнера 26 может начаться с частично пустого картриджа для перезаправки 30. Более того, важно также знать, является ли контейнер 26 частично или полностью пустым. Таким образом, можно определить, будет ли жидкости в картридже для перезаправки 30 достаточно для заполнения контейнера 30. Объем воздуха контейнера 26 может быть определен следующим образом:
где Vcont - начальный объем воздуха контейнера 26 (м3);
Р - начальное давление (Па);
Р' - конечное давление (Па);
Vp - начальный объем воздуха, который будет сжимать поршень 58, внутри втулки 63 (м3);
Vcart - начальный объем воздуха картриджа для перезаправки (м3);
х - перемещение поршня 58 (м);
S - площадь сечения указанного поршня 58 (м2).
Так, в качестве примера можно привести наполнение контейнера 26, имеющего емкость 113 мл в пустом состоянии, с использованием 100 мл жидкости, зная, что начальное давление составляет 1 бар, а конечное - 2 бар (оба абсолютные):
Ниже приведены такие же уравнения для каждого цикла:
Соответственно, цикл номер 4 будет дробным, а ход поршня 58 должен составлять 1,1/7,06=15,5% от предыдущего хода. Таким образом, поршень 58 выполнит три хода при одинаковом ходе и один ход при 15,5% от хода. Таким образом, поршень 58 совершит количество полных ходов, равное целой части n, и дополнительный, более короткий ход, соответствующий дробной части n.
Как было указано ранее, количество циклов или раз, которые должны быть выполнены на этапах [3] и [4] для заправки контейнера 26, также может быть определено следующим образом:
.
| название | год | авторы | номер документа |
|---|---|---|---|
| ЧЕРНИЛЬНЫЙ КАРТРИДЖ И СПОСОБ ПОВТОРНОЙ ЗАПРАВКИ ЧЕРНИЛЬНОГО КАРТРИДЖА | 2005 |
|
RU2517758C2 |
| ЗАПРАВОЧНАЯ СИСТЕМА ЗАПРАВКИ И СПОСОБ | 2011 |
|
RU2571658C2 |
| ИНИЦИАЛИЗАЦИЯ АМБУЛАТОРНОЙ ИНФУЗИОННОЙ СИСТЕМЫ | 2017 |
|
RU2755697C2 |
| МОДУЛЬ ДОСТАВКИ ВЕЩЕСТВА | 2014 |
|
RU2677011C2 |
| АППЛИКАТОР | 2012 |
|
RU2599863C2 |
| СПОСОБ ЗАПРАВКИ КАРТРИДЖА ЖИДКОСТЬЮ, УСТРОЙСТВО ДЛЯ ЗАПРАВКИ ЖИДКОСТИ И ПОВТОРНО ЗАПРАВЛЯЕМЫЙ КАРТРИДЖ | 2005 |
|
RU2377131C2 |
| СИСТЕМА ДЛЯ ДОЗИРОВАНИЯ МЯГКИХ ЛЕКАРСТВЕННЫХ ФОРМ | 2012 |
|
RU2630719C2 |
| КОНТЕЙНЕР ДЛЯ ПОДАЧИ ПРОЯВИТЕЛЯ И СИСТЕМА ДЛЯ ПОДАЧИ ПРОЯВИТЕЛЯ | 2021 |
|
RU2765257C1 |
| ТОНИРОВОЧНАЯ МАШИНА И СПОСОБ ДОЗИРОВАНИЯ КРАСИТЕЛЯ В КОНТЕЙНЕР ДЛЯ КРАСКИ С БАЗОВОЙ КРАСКОЙ | 2016 |
|
RU2669849C1 |
| Гидроимпульсатор | 1987 |
|
SU1654577A1 |
Изобретение относится к способу, предназначенному для перезаправки контейнера. Способ предназначен для перезаправки контейнера (26) с дозирующим насосом, собранным на его горлышке (7), и содержит следующие этапы: [1] установка контейнера (26) в перевернутом положении и формирование гидравлического соединения внутреннего пространства картриджа для перезаправки (30) с жидкостью для заправки с использованием воздушного канала (22), который имеется в насосе и сообщает внутренний объем (8) контейнера с внешним пространством при определенном положении поршня (11) насоса; [2] перемещение поршня до установления гидравлического соединения между внутренним пространством картриджа для перезаправки и внутренним объемом (8) через воздушный канал; [3] повышение давления, которое приложено к жидкости во внутреннем пространстве картриджа для перезаправки, с обеспечением прохождения части жидкости во внутреннее пространство, что обеспечивает повышение давления, которое приложено к внутреннему пространству; [4] снижение давления во внутреннем пространстве картриджа для перезаправки до значения меньшего, чем давление во внутреннем пространстве, что дает возможность прохождения воздуха из внутреннего пространства во внутреннее пространство картриджа для перезаправки через воздушный канал; [5] повторение этапов [3] и [4] по крайней мере однократно; [6] отсоединение картриджа для перезаправки. Технический результат заключается в разработке системы, позволяющей перезаправлять контейнеры (предпочтительно, флаконы), имеющие собранный на них дозирующий насос. 3 н. и 17 з.п. ф-лы, 38 ил.
1. Способ, предназначенный для перезаправки контейнера (26), где указанный контейнер (26) содержит горлышко (7), дно (61) и внутреннее пространство (8), где указанный контейнер (26) содержит дозирующий насос, собранный на указанном горлышке (7), где указанный насос содержит:
[a] корпус насоса (1) с:
[а.1] нижним входным отверстием (2),
[а.2] цилиндрической внутренней боковой поверхностью (3), определяющей продольное направление,
[а.3] боковым отверстием (4), выполненным на указанной внутренней боковой поверхности (3),
[а.4] верхним каналом (5),
где корпус насоса (1) формирует насосную камеру (6) в своем внутреннем пространстве, где, когда насос находится в собранном положении, указанный верхний канал выступает из указанного горлышка (7) и указанное нижнее входное отверстие (2) расположено внутри указанного контейнера (26), а указанное боковое отверстие (4) сообщает указанную внутреннюю боковую поверхность (3) с указанным внутренним пространством (8);
[b] входной клапан (9), размещенный между указанным нижним входным отверстием (2) и указанной насосной камерой (6), выполненной с возможностью обеспечения поступления жидкости во внутреннее пространство указанной насосной камеры (6) через указанное нижнее входное отверстие (2) и блокировки выхода жидкости во внутреннем пространстве указанной насосной камеры (6) через указанное нижнее входное отверстие (2);
[c] всасывающую трубку (10), один конец которой подключен к указанному нижнему входному отверстию (2), выступающую в направлении указанного дна (61);
[d] поршень (11) с:
[d.1] нижней частью, расположенной внутри указанного корпуса насоса (1) и содержащей:
[d.1.1] внешнюю боковую поверхность (12), расположенную напротив указанной внутренней боковой поверхности (3),
[d.1.2] ограничительную верхнюю уплотнительную кромку (15),
[d.1.3] ограничительную нижнюю уплотнительную кромку (16),
[d.2] и верхней частью со средством выпуска (17), содержащим выходное отверстие (18) и выходной клапан (19), размещенный между указанным выходным отверстием (18) и указанной насосной камерой (6), выполненным с обеспечением возможности выхода жидкости внутреннего пространства указанной насосной камеры (6) через указанное выходное отверстие (18) и блокирования поступления воздуха во внутреннее пространство указанной насосной камеры (6) через указанное выходное отверстие (18);
[e] упругий элемент (20), предназначенный для создания усилия в указанном продольном направлении, имеющего тенденцию отделить указанный поршень (11) от указанного корпуса насоса (1); и
[f] средство фиксации для закрепления указанного насоса в горлышке (7),
где в процессе перемещения, приводящего в действие указанный насос, указанный поршень (11) перемещается в соответствии с указанным продольным направлением между выдвинутым положением и убранным положением, при этом, когда указанный поршень (11) находится в указанном убранном положении, указанное боковое отверстие (4) размещено поверх указанной ограничительной верхней уплотнительной кромки (15), и между указанным поршнем (11), указанным корпусом насоса (1) и указанным средством фиксации имеется воздушный канал (22), пригодный для формирования жидкостного соединения между внешним пространством указанного контейнера (26) и указанным боковым отверстием (4), а когда указанный поршень (11) находится в указанном выдвинутом положении, указанный воздушный канал (22) перекрывается указанной ограничительной верхней уплотнительной кромкой (15),
отличающийся тем, что он содержит следующие этапы:
[1] установка указанного контейнера (26) таким образом, что указанное дно (61) находится в нижнем положении, и формирование жидкостного соединения внутреннего пространства картриджа для перезаправки (30), содержащего жидкость для заправки, с указанным воздушным каналом (22);
[2] перемещение указанного поршня (11) из указанного выдвинутого положения, что обеспечивает открытие указанного воздушного канала (22) и установление жидкостного соединения между указанным внутренним пространством указанного картриджа для перезаправки (30) и указанным внутренним объемом (8);
[3] повышение давления, которое приложено к указанной жидкости для заправки в указанном внутреннем пространстве картриджа для перезаправки (30), с обеспечением прохождения части указанной жидкости в указанный внутренний объем (8), что обеспечивает повышение давления, которое приложено к указанному внутреннему объему (8);
[4] снижение давления, под которым находится указанная жидкость для заправки в указанном внутреннем пространстве картриджа для перезаправки (30), до значения меньшего, чем давление в указанном внутреннем объеме (8), что обеспечивает возможность прохождения части воздуха под давлением в указанный внутренний объем (8) картриджа для перезаправки (30) через указанный воздушный канал (22);
[5] повторение этапов [3] и [4] по крайней мере однократно;
[6] отсоединение указанного картриджа для перезаправки (30).
2. Способ по п. 1, отличающийся тем, что он дополнительно содержит этап определения значения [2а], на котором давление, под которым находится указанная жидкость для заправки в указанном внутреннем пространстве картриджа для перезаправки, повышается до оценочного давления (Pev), указанный этап определения значения выполняется перед этапами [3] и [4] и не является частью этапа [5].
3. Способ по любому из пп. 1 или 2, отличающийся тем, что указанные повышение и понижение давления, под которым находится указанная жидкость для заправки в указанном внутреннем пространстве картриджа для перезаправки, выполняются с использованием поршня (58), указанный поршень (58) выполнен с возможностью перемещения внутри втулки (63).
4. Способ по п. 2, отличающийся тем, что указанные повышение и понижение давления, под которым находится указанная жидкость для заправки в указанном внутреннем пространстве картриджа для перезаправки, выполняются с использованием поршня (58), указанный поршень (58) выполнен с возможностью перемещения внутри втулки (63), при этом указанный этап определения значения [2а] выполняется для определения воздушного объема указанного картриджа для перезаправки согласно приведенной ниже формуле:
,
где Vcart - объем воздуха картриджа для перезаправки (м3);
Vp - объем воздуха внутри указанной втулки (63), который будет сжимать указанный поршень (58) (м3);
Р - начальное давление, которое является давлением перед началом повышения давления, под которым находится жидкость для заправки во внутреннем пространстве картриджа для перезаправки (30) (Па);
Pev - указанное оценочное давление (Па);
xev - перемещение указанного поршня в ходе указанного этапа определения значения (м); и
S - площадь сечения указанного поршня (м2).
5. Способ по любому из пп. 3 или 4, отличающийся тем, что он дополнительно содержит этап вычисления количества повторений, на которых выполняются этапы [3] и [4], который будет выполняться по следующей формуле:
,
где n - количество повторений, на которых будут выполняться этапы [3] и [4];
Р - начальное давление, которое является давлением перед началом повышения давления, под которым находится указанная жидкость для заправки в указанном внутреннем пространстве картриджа для перезаправки (30);
Р' - конечное давление, которое является давлением перед снижением давления, под которым находится указанная жидкость для заправки в указанном внутреннем пространстве картриджа для перезаправки (30); и
Ratio - отношение конечного объема воздуха контейнера (26), подлежащего заправке, к общему объему воздуха, который содержится в контейнере, подлежащем заправке, когда указанный контейнер (26) пуст.
6. Способ по любому из пп. 1-5, отличающийся тем, что указанный картридж для перезаправки (30) содержит индивидуальный идентификатор (53) для каждого картриджа для перезаправки (30), и тем, что указанный способ содержит этап верификации пользователем указанного индивидуального идентификатора (53) указанного полного картриджа для перезаправки (30), который выполняется перед формированием жидкостного соединения внутреннего пространства указанного картриджа для перезаправки (30), содержащего жидкость для заправки, с указанным воздушным каналом (22).
7. Способ по п. 6, отличающийся тем, что указанный способ выполняется с использованием аппарата, содержащего устройство, считывающее указанный индивидуальный идентификатор (53), и средство связи, выполненное с возможностью установления связи с субъектом проверки указанного индивидуального идентификатора (53), и указанный этап верификации выполняется автоматически указанным аппаратом.
8. Картридж для перезаправки (30), предназначенный для перезаправки контейнера (26), выполненный с возможностью размещения жидкости, заправляемой в указанный контейнер (26), во внутреннем пространстве указанного картриджа для перезаправки (30), содержащий боковую стенку (41), основание (34) и верхнюю часть (42), отличающийся тем, что он содержит впуск с входным клапаном (40), расположенным в указанной верхней части (42), и выпуск (33), выполненный на указанном основании (34), и тем, что указанная верхняя часть (42) имеет ослабленную область (65), ограничивающую центральную область (66), указанная центральная область (66) имеет периметр, совпадающий с внутренней поверхностью указанной боковой стенки (41), и пригодна для использования в качестве поршня, перемещающегося вдоль указанной боковой стенки (41).
9. Картридж для перезаправки (30) по п. 8, отличающийся тем, что указанный входной клапан (40) и/или указанный выходной клапан (48) являются самозапорными клапанами, где предпочтительно самозапорный клапан содержит пружину (70) и запорный элемент, где указанная пружина прижимает указанный запорный элемент к седлу клапана.
10. Картридж для перезаправки (30) по п. 8, отличающийся тем, что указанный выпуск (33) содержит перфорируемую пленку (35).
11. Картридж для перезаправки (30) по любому из пп. 8-10, отличающийся тем, что он содержит идентификатор (53), индивидуальный для каждого картриджа для перезаправки (30), где указанный идентификатор предпочтительно является штрихкодом и особенно предпочтительно является QR-кодом.
12. Аппарат для осуществления способа по любому из пп. 1-7, отличающийся тем, что он содержит:
- корпус (54) для установки указанного контейнера (26) с указанным дном (61), ориентированным вниз;
- средство соединения (31) для подключения картриджа для перезаправки (30) к указанному контейнеру (26) с установлением жидкостного соединения между внутренним пространством указанного картриджа для перезаправки (30) и указанным воздушным каналом (22), указанный картридж для перезаправки (30) предназначен для перезаправки контейнера (26), выполнен с возможностью размещения жидкости, заправляемой в указанный контейнер (26), во внутреннем пространстве указанного картриджа для перезаправки (30), указанный картридж (30) содержит боковую стенку (41), основание (34), верхнюю часть (42), впуск с входным клапаном (40), расположенным в указанной верхней части (42), и выпуск (33), выполненный на указанном основании (34);
- средство повышения давления (55), которое приложено к указанному внутреннему объему указанного картриджа для перезаправки (30), выше атмосферного давления;
- средство сброса давления (55) для снижения давления в указанном внутреннем пространстве указанного картриджа для перезаправки (30);
- средство управления для осуществления по крайней мере двух циклов повышения давления и сброса давления один за другим и автоматически.
13. Аппарат по п. 12, отличающийся тем, что указанное средство соединения (31) содержит в своей верхней части средство формирования канала (32) на выпуске (33), размещенном на указанном основании (34) указанного картриджа для перезаправки (30), где указанное средство формирования канала (32) предпочтительно содержит: [а] трубку (36) и более предпочтительно съемную защиту (37) указанной трубки (36) или [b] стержень (62), выполненный с возможностью проталкивания запора, расположенного в канале (143), расположенном в указанном выпуске (33).
14. Аппарат по одному из пп. 12 или 13, отличающийся тем, что указанное средство соединения (31) содержит в своей нижней части опорную поверхность (38), выполненную с возможностью перемещения указанного поршня (11), и уплотнительную поверхность (39), предназначенную для установки на указанный насос и формирующую герметичное уплотнение между указанным воздушным каналом (22) и внешним пространством.
15. Аппарат по любому из пп. 12-14, отличающийся тем, что указанное средство соединения (31) дополнительно содержит кольцевое уплотнение (72) для крепления указанного основания (34) указанного картриджа для перезаправки (30).
16. Аппарат по любому из пп. 12-15, отличающийся тем, что он содержит считывающее устройство для считывания указанного индивидуального идентификатора (53) и средство связи, пригодное для установления соединения с субъектом проверки указанного индивидуального идентификатора (53).
17. Аппарат по любому из пп. 12-16, отличающийся тем, что указанное средство управления содержит средство для выполнения указанного этапа определения значения [2а].
18. Аппарат по любому из пп. 12-17, отличающийся тем, что указанное средство повышения давления (55) содержит поршень (58) и втулку (63), указанный поршень (58) выполнен с возможностью перемещения внутри указанной втулки (63).
19. Аппарат по п. 17, отличающийся тем, что указанное средство повышения давления (55) содержит поршень (58) и втулку (63), указанный поршень (58) выполнен с возможностью перемещения внутри указанной втулки (63), при этом указанное средство управления содержит средство для определения объема воздуха указанного картриджа для перезаправки согласно приведенной ниже формуле:
,
где Vc - объем воздуха картриджа для перезаправки (м3);
Vp - объем воздуха, который будет сжимать указанный поршень (58) внутри указанной втулки (63) (м3);
Р - начальное давление, которое является давлением перед началом повышения давления, под которым находится указанная жидкость для заправки в указанном внутреннем пространстве картриджа для перезаправки (30) (Па);
Pev - указанное оценочное давление (Па);
xev - перемещение указанного поршня в ходе указанного этапа определения значения (м); и
S - площадь сечения указанного поршня (м2).
20. Аппарат по любому из пп. 12-19, отличающийся тем, что указанное средство управления содержит средство для вычисления количества повторений, на которых выполняются этапы [3] и [4] по следующей формуле:
,
где n - количество повторений, на которых выполняются этапы [3] и [4];
Р - начальное давление, которое является давлением перед началом повышения давления, под которым находится указанная жидкость для заправки в указанном внутреннем пространстве картриджа для перезаправки (30);
Р' - конечное давление, которое является давлением перед снижением давления, под которым находится указанная жидкость для заправки в указанном внутреннем пространстве картриджа для перезаправки (30); и
Ratio - отношение конечного объема воздуха контейнера, подлежащего заправке, к общему объему воздуха, который содержится в контейнере, подлежащем заправке, когда указанный контейнер пуст.
| FR 3034031 A1, 30.09.2016 | |||
| WO 2016203167 A1, 22.12.2016 | |||
| FR 3049267 A1, 29.09.2017 | |||
| КОМПЕНСАТОР НАПРЯЖЕНИЯ ИЛИ ТОКА | 0 |
|
SU265270A1 |
| US 2013068796 A1, 21.03.2013. | |||
Авторы
Даты
2025-03-21—Публикация
2021-12-21—Подача