Заявляемое изобретение относится к измерительной технике, а именно к узлам установки первичных преобразователей импульсных рефлектометрических уровнемеров, предназначенных для связи чувствительного элемента уровнемера с внешним оборудованием, и может быть использовано в импульсных рефлектометрических уровнемерах, работающих в условиях высоких давлений и температур, вибраций и радиации.
Известен узел установки первичного преобразователя чувствительного элемента уровнемера, который может быть использован, в частности, в импульсных рефлектометрических уровнемерах (Патент США №7401511, МПК G01D21/00, 2008 г.). Узел установки включает в себя корпус, внутри которого соосно с ним размещен внутренний проводник (адаптер). Герметичная изоляция внутреннего проводника обеспечивается за счет применения сборного уплотнения, содержащего диэлектрическую втулку с механическими нажимными и фиксирующими деталями, а также за счет придания контактирующим поверхностям корпуса узла установки, сборного уплотнения и внутреннего проводника конической или сужающейся формы и точной подгонки указанных поверхностей друг к другу.
Недостатками известного узла установки являются быстрый износ сборного уплотнения в условиях высоких температур, давлений и уровня вибрации, а также пониженная надежность, так как при повреждении уплотнения прорыв начинает развиваться быстро, в то время как для остановки оборудования и изменения теплового режима в резервуаре может требоваться значительное время.
В качестве прототипа заявляемого технического решения принят узел установки первичного преобразователя импульсного рефлектометрического уровнемера, описанный в заявке США №2022276084, МПК G01F 23/284, 2022 г. В данном техническом решении узел установки включает соединительный адаптер, связанный как с электроникой уровнемера, так и с его чувствительным элементом (зондом). Внешняя ребристая поверхность адаптера содержит множество расположенных по окружности гребней и канавок, при этом упомянутая ребристая поверхность контактирует с диэлектрической изолирующей втулкой, иначе говоря, внутренняя поверхность диэлектрической втулки находится в зацеплении с ребристой поверхностью, образованной множеством чередующихся гребней и канавок, и охватывает ее таким образом, чтобы соответствовать форме гребней и канавок. Таким образом, развитая внешняя поверхность соединительного адаптера способствует формированию плотного, герметичного контакта с изолирующей втулкой.
Отметим, что какие-либо параметры, характеризующие геометрию гребней и канавок, в описании прототипа не приведены, поскольку для задачи, решаемой в патенте, они не принципиальны, важен только факт развитой внешней поверхности соединительного адаптера.
Адаптер вместе с изолирующей втулкой герметично размещен в сквозном отверстии фланца, механически соединенного с резервуаром, содержащего среду, уровень которой требуется измерить.
Недостатком известного узла установки является недостаточная надежность работы в тяжелых условиях - при высоких давлении и температуре, а также при наличии значительного уровня радиации, обусловленная наличием только одного уплотнительного элемента.
Задача, решаемая заявляемым техническим решением - создание узла установки первичного преобразователя рефлектометрического уровнемера, обеспечивающего повышенную надежность работы при компактной конструкции узла.
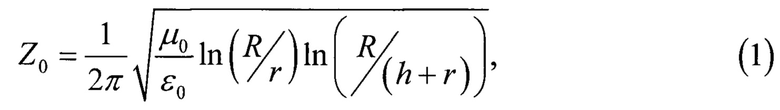
Указанная задача решается тем, что в узле установки первичного преобразователя импульсного рефлектометрического уровнемера, содержащем адаптер с внешней развитой поверхностью, связывающий чувствительный элемент уровнемера с электроникой уровнемера, упомянутый адаптер размещен в корпусе посредством двух диэлектрических втулок, установленных в упомянутом корпусе на противоположных концах адаптера с образованием межизоляционного промежутка; внешней развитой поверхности адаптера придана форма упорядоченной последовательности гребней и канавок с формированием замедляющей структуры, при этом параметры гребней и канавок выбираются из условий:
толщина гребней b=(0,15 - 0,25) × (R-r),
ширина канавок с=(0,35 - 0,45) × (R-r),
высота гребней h определяется из нелинейного уравнения (1)
         
      
где:
Z0 - волновое сопротивление замедляющей структуры,
μ0 - магнитная постоянная,
ε0 - электрическая постоянная,
R- внутренний радиус корпуса адаптера,
r - радиус адаптера.
Указанная задача решается также тем, что диэлектрические втулки выполнены из боросиликатного стекла.
Изобретение иллюстрируется чертежами. На фиг. 1 схематически изображен заявляемый узел установки первичного преобразователя рефлектометрического уровнемера, на фиг. 2 иллюстрируется геометрия замедляющей структуры.
Узел установки первичного преобразователя содержит полый трубчатый корпус 1, закрепленный на крышке резервуара 2, содержащего среду, уровень которой необходимо измерить. Крепление корпуса 1 к резервуару 2 выполняется с помощью сварки или механическим путем. Внутри корпуса 1, коаксиально ему, находится адаптер (центральный проводник) 3, размещенный между двумя диэлектрическими втулками 4 и 5. В промежутке между втулками 4 и 5 внешней развитой поверхности адаптера 3 придана форма упорядоченной последовательности гребней 7 и канавок (расстояний между гребнями) 8 с формированием ребристой замедляющей структуры, образованной упорядоченной последовательности гребней и канавок.
Полый трубчатый корпус адаптера 1 конструктивно представляет собой отрезок жесткой фазостабильной коаксиальной линии, изготовленный из нержавеющей стали или титана достаточной толщины, чтобы выдержать давление в резервуаре 2; диэлектрические изолирующие втулки 4 и 5 выполнены из радиационностойкого боросиликатного стекла, обеспечивающего возможность эксплуатации уровнемера в тяжелых условиях - при наличии высоких давлений и температур, а также вибраций и значительного уровня радиации.
Ребристая замедляющая структура 6 является осесимметричной, при этом геометрия гребней 7 и канавок 8 характеризуется следующими параметрами:
толщина гребней b=(0,15 - 0,25) × (R-r),
ширина канавок с=(0,35 - 0,45) × (R-r),
высота гребней h определяется из нелинейного уравнения (1)
         
      
где:
Z0 - заданное волновое сопротивление замедляющей структуры,
μ0 - магнитная постоянная,
ε0 - электрическая постоянная,
R - внутренний радиус корпуса адаптера;
r - радиус адаптера.
В своей верхней части (перед втулкой 4) адаптер подсоединен к электронному узлу уровнемера (на фиг. не показан), в своей нижней части (после втулки 5) адаптер 3 подсоединен к чувствительному элементу (зонду) 9 рефлектометрического уровнемера и выполняет роль метки начала чувствительного элемента 9.
Электрическая протяженность межизоляционного промежутка -расстояние между втулками 4 и 5 - составляет не менее одной длины волны несущей частоты зондирующего сигнала. При таком условии отражения от изолирующих втулок не будут накладываться друг на друга и позволят различать изоляторы на рефлектограмме уровнемера.
Применение двух изолирующих втулок (двойного изолятора) дает возможность обеспечить герметичность и повысить надежность работы узла установки первичного преобразователя; в случае разрушения одной из изолирующих втулок изменяется конфигурация рефлектограммы уровнемера, и информация о повреждении оперативно поступает на пульт оператора для принятия соответствующего решения.
Применение двух втулок (двойного изолятора) ведет, при этом, к увеличению протяженности узла установки и, как следствие, затрудняет его использование в реальных условиях эксплуатации. Для устранения этого недостатка адаптер 3 в межизоляционном промежутке выполнен в виде замедляющей линии; выбранная геометрия гребней и канавок позволяет удлинить электрический путь сигнала (увеличить время его прохождения) и, соответственно, уменьшить длину межизоляционного промежутка в 2-2,5 раза, по сравнению с гладким адаптером. Замедление волны в коаксиальной линии (в адаптере) и ликвидация «слепой зоны» для эхо-сигнала позволяет сократить общую длину узла установки, что, как следствие, расширяет возможности его применения в реальных условиях эксплуатации, в первую очередь, в условиях работы уровнемера при высоких давлении и температуре, вибрации и высоком уровне радиации.
Следует отметить, что прохождение сигнала по замедляющей структуре происходит без его искажения, с сохранением волнового сопротивления и обеспечивает хорошее согласование как с подводящей линией, так и непосредственно с чувствительным элементом уровнемера.
Таким образом, предлагаемое техническое решение позволяет создать узел установки первичного преобразователя импульсного рефлектометрического уровнемера, обеспечивающий повышенную надежность работы при компактной конструкции узла.
| название | год | авторы | номер документа | 
|---|---|---|---|
| РЕФЛЕКТОМЕТРИЧЕСКИЙ УРОВНЕМЕР | 2023 | 
 | RU2810705C1 | 
| РЕФЛЕКТОМЕТРИЧЕСКИЙ ВЛАГОМЕР | 2003 | 
 | RU2269766C2 | 
| УПЛОТНИТЕЛЬНЫЙ УЗЕЛ ЗОНДА ДЛЯ ЭЛЕКТРИЧЕСКОГО КАРОТАЖА | 2011 | 
 | RU2488851C2 | 
| ПЕРВИЧНЫЙ ПРЕОБРАЗОВАТЕЛЬ ДЛЯ ИЗМЕРЕНИЯ ДИАМЕТРОВ ДЕТАЛЕЙ И ОТВЕРСТИЙ | 1995 | 
 | RU2134439C1 | 
| УПЛОТНИТЕЛЬНЫЙ УЗЕЛ ЗОНДА ДЛЯ ЭЛЕКТРИЧЕСКОГО КАРОТАЖА И ЗОНД, СОДЕРЖАЩИЙ УПЛОТНИТЕЛЬНЫЙ УЗЕЛ | 2020 | 
 | RU2733101C1 | 
| МУФТА ДЛЯ ОПТОВОЛОКОННОГО КОННЕКТОРА, ИМЕЮЩАЯ КРИВОЛИНЕЙНУЮ ВНЕШНЮЮ ПОВЕРХНОСТЬ ДЛЯ ВЫРАВНИВАНИЯ | 2013 | 
 | RU2642534C2 | 
| ПОГРУЖНОЙ ДАТЧИК ЛОКАЛЬНОЙ СКОРОСТИ | 2017 | 
 | RU2652649C1 | 
| МАГНИТОСТРИКЦИОННЫЙ УРОВНЕМЕР | 2012 | 
 | RU2517919C2 | 
| УНИВЕРСАЛЬНЫЙ ЭЛЕКТРОШАРИКОВЫЙ ПЕРВИЧНЫЙ ПРЕОБРАЗОВАТЕЛЬ РАСХОДА ЭЛЕКТРОПРОВОДНОЙ ЖИДКОСТИ | 2014 | 
 | RU2566428C1 | 
| Уровнемер | 1983 | 
 | SU1151829A1 | 
 
		
         
         
            Заявляемое изобретение относится к измерительной технике, а именно к узлам установки первичных преобразователей импульсных рефлектометрических уровнемеров, предназначенных для связи чувствительного элемента уровнемеров с внешним оборудованием, и может быть использовано в импульсных рефлектометрических уровнемерах, эксплуатирующихся в условиях высоких давлений и температур, вибраций и радиации. Технический результат, достигаемый изобретением - создание узла установки первичного преобразователя рефлектометрического уровнемера, обеспечивающего повышенную надежность работы при компактной конструкции узла. Узел установки первичного преобразователя импульсного рефлектометрического уровнемера содержит полый корпус 1, закрепленный на крышке резервуара 2. Внутри корпуса 1, между диэлектрическими втулками 4 и 5, коаксиально корпусу 1 размещен адаптер 3. В промежутке между втулками 4 и 5 адаптер 3 имеет вид упорядоченной последовательности гребней 7 и канавок 8 с формированием осесимметричной ребристой замедляющей структуры 6. В своей верхней части адаптер 3 подсоединен к электронному узлу уровнемера, а в своей нижней части подсоединен к чувствительному элементу 9 уровнемера. Диэлектрические изолирующие втулки 4 и 5 выполнены из радиационностойкого боросиликатного стекла. 1 з.п. ф-лы, 2 ил.
1. Узел установки первичного преобразователя импульсного рефлектометрического уровнемера, содержащий адаптер с внешней развитой поверхностью, связывающий чувствительный элемент уровнемера с электроникой уровнемера, отличающийся тем, что упомянутый адаптер размещен в корпусе посредством двух диэлектрических втулок, установленных в упомянутом корпусе на противоположных концах адаптера с образованием межизоляционного промежутка; внешней развитой поверхности адаптера придана форма упорядоченной последовательности гребней и канавок с формированием замедляющей структуры, при этом параметры гребней и канавок выбираются из условий:
толщина гребней b=(0,15 - 0,25) × (R-r),
ширина канавок с=(0,35 - 0,45) × (R-r),
высота гребней h определяется из нелинейного уравнения (1)
               
            
где:
Z0 - заданное волновое сопротивление замедляющей структур,
μ0 - магнитная постоянная,
ε0 - электрическая постоянная,
R - внутренний радиус корпуса адаптера,
r - радиус адаптера.
2. Узел установки первичного преобразователя импульсного рефлектометрического уровнемера по п. 1, отличающийся тем, что диэлектрические втулки выполнены из боросиликатного стекла.
| МНОГОКАНАЛЬНЫЙ ВОЛНОВОДНЫЙ РАДАРНЫЙ УРОВНЕМЕР | 2015 | 
 | RU2678931C2 | 
| РАДИОЛОКАЦИОННЫЙ УРОВНЕМЕР | 2014 | 
 | RU2656027C2 | 
| УЗЕЛ ВВОДА В РЕЗЕРВУАР ДЛЯ РАДИОЛОКАЦИОННОГО УРОВНЕМЕРА | 2014 | 
 | RU2656026C2 | 
| СИСТЕМА РАДАРНОГО УРОВНЕМЕРА С ОДНОПРОВОДНЫМ ЗОНДОМ И РЕЗЕРВУАРНАЯ КОНСТРУКЦИЯ | 2015 | 
 | RU2676395C2 | 
| US 6642807 B1, 04.11.2003 | |||
| US 7965087 B2, 21.06.2011. | |||
Авторы
Даты
2025-03-25—Публикация
2024-10-15—Подача