Сдвоенный датчик составляющих вектора напряженности электрического поля с двуугольными чувствительными электродами Российский патент 2025 года по МПК G01R29/12 

Описание патента на изобретение RU2837848C1

Изобретение относится к области измерительной технике и может быть использовано для одновременного измерения двух составляющих вектора напряженности электрического поля в полном пространственном диапазоне измерения с малой погрешностью.

Известен сферический датчик напряженности электрического поля с двуугольными чувствительными элементами [Патент RU № 217326, МКИ G01 R 29/12], содержащим проводящее сферическое основание, на поверхности которого изолировано друг от друга и от проводящего основания, на двух координатных осях попарно расположены четыре проводящих электрода в форме сферических двуугольников, из которых формируются две пары чувствительных элементов, расположенных по двум координатным осям, причем каждый чувствительный элемент состоит из двух электродов, образующих полусферу, а измерительная ось датчика лежит в плоскости его координатных осей и проходит на равных угловых расстояниях от них.

Достоинствами датчика является, то, что он выполнен двухкоординатным и двойным. Двухкоординатный датчик позволяет одновременно измерять две составляющие вектора напряженности электрического поля. Двойной датчик позволяет использовать дифференциальное включение его в измерительную цепь. При дифференциальном включении повышается точность измерений, за счет уменьшения влияния синфазных составляющих, вызванных внешними электрическими помехами.

К недостаткам датчика можно отнести высокую погрешность измерения напряженности неоднородных электрических полей. Так, в пространственном диапазоне 0≤a≤0,9 датчик имеет знакопеременную погрешность от неоднородности поля не превышающую ±2,1%.

Под пространственным диапазоном измерения понимается область пространства от источника поля до бесконечности. Вблизи источника поле обладает большой неоднородностью, приводящей к большой дополнительной погрешности при измерении. В бесконечности поле приближается к однородному, поэтому дополнительная погрешность от неоднородности поля стремится к нулю. Пространственный диапазон измерения задается параметром a=R/d , где R - радиус сферического основания датчика, а d - расстояние от центра датчика до источника поля. При a=1 датчик находится в контакте с источником поля, а при a=0 датчик находится в бесконечности. Таким образом, полный диапазон измерения параметра a лежит в интервале 0≤a<1.

Наиболее близким датчиком к заявляемому, является однокоординатный сферический датчик напряженности электрического поля [Патент RU № 2807952, МКИ G01 R 29/12], содержащий проводящее сферическое основание, на поверхности которого изолировано друг от друга и от проводящего основания, на одной координатной оси попарно расположены три пары электродов, выполненных в форме сферических двуугольников, три дифференциальных преобразователя и два сумматора, первый сумматор имеет два не инвертирующих и один инвертирующий входы, а второй сумматор имеет два входа, первые электроды соответствующей пары выполнены с возможностью соединения с первыми входами дифференциальных преобразователей, а вторые чувствительные электроды этой же пары выполнены с возможностью соединения с вторыми входами дифференциальных преобразователей, причем первый вход второго сумматора соединен с первым не инвертирующим входом первого сумматора и выходом первого дифференциального преобразователя, а второй вход второго сумматора соединен с выходом первого сумматора, второй, не инвертирующий вход которого соединен с выходом второго дифференциального преобразователя, а третьи инвертирующий вход соединен с выходом третьего дифференциального преобразователя, при этом выход второго сумматора является выходом датчика, а чувствительные элементы каждой пары выполнены с угловыми размерами α0=90° и β0=30°.

Достоинством датчика является то, что он выполнен сдвоенным, содержащим два двойных датчика. Использование сдвоенного датчика позволило уменьшить погрешность датчика в пространственном диапазоне 0≤а≤1 до ±1%.

Недостатком датчика является то, что он выполнен однокоординатным, позволяющим только поочередно измерять составляющие модуля вектора напряженности электрического поля.

Задача изобретения - расширение функциональных возможностей датчика, позволяющих одновременно измерять две составляющие вектора напряженности электрического поля за счет доведения числа координат сдвоенного датчика до двух при сохранении погрешности измерения в полном пространственном диапазоне измерения.

Задача достигается тем, что в известный датчик для измерения напряженности электрического поля, содержащий проводящее сферическое основание, на поверхности которого изолировано друг от друга и от проводящего основания расположены три пары проводящих электродов, выполненные в форме сферических двуугольников, три дифференциальных преобразователя и два сумматора, первые чувствительные элементы соответствующей пары элементов выполнены с возможностью соединения с первыми входами дифференциальных преобразователей выходных сигналов датчика, а вторые чувствительные элементы этой же пары выполнены с возможностью соединения с вторыми входами дифференциальных преобразователей выходных сигналов датчика, согласно заявляемому техническому решению, в датчик дополнительно введены три пары проводящих электродов, выполненных в форме сферических двуугольников, три дифференциальных преобразователя, а сумматоры имеет шесть входов, причем у первого сумматора первый и второй входы имеют коэффициент суммирования равный трем, а третий - шестой входы имеют коэффициент суммирования равный единицы, причем четвертый вход инвертирующий, а у второго сумматора первый, второй, пятый, шестой входы имеют коэффициент суммирования равный единицы, причем второй и шестой входы инвертирующие, при этом выходы первого - шестого дифференциальных преобразователей соответственно и поочередно соединены с первым-шестым входами первого и второго сумматора, а выходы сумматоров, соответственно являются выходами составляющих вектора напряженности электрического поля по координатным осям X и Z, при этом электроды каждой пары датчика выполнены с угловыми размерами α0=90° и β0=15°.

Предлагаемое изобретение поясняется чертежами, где на фиг.1 изображена механическая часть датчика напряженности электрического поля, на фиг.2 показана измерительная цепь датчика (на входах измерительной цепи указаны номера электродов механической части датчика, с которыми соединяется измерительная цепь), а на фиг.3 представлен график погрешности от неоднородности поля для заявляемого датчика в зависимости от пространственного диапазона измерения a.

Заявляемый датчик напряженности электрического поля содержит проводящее сферическое основание 1, двенадцать проводящих электродов 2-13, шесть дифференциальный измерительных преобразователя (ДИП) 14-19, два сумматора 20 и 21; сумматоры 20 и 21 имеет шесть. У сумматора 20 первый и второй входы имеют коэффициент суммирования равный трем, а третий, четвертый пятый и шестой входы имеют коэффициенты суммирования равные единицы, причем четвертый вход инвертирующий обозначен минусом «-»).У сумматора 21 первый, второй, пятый и шестой входы имеют коэффициент суммирования равный единицы, а третий и четвертый входы имеют коэффициенты суммирования равные трем, причем второй и шестой входы инвертирующие обозначены минусом «-»).

Двенадцать проводящих электродов 2-13, выполненных в форме сферических двуугольников равных размеров, симметрично расположены изолированно друг от друга и от сферической поверхности основания 1 датчика. Из двенадцати проводящих электродов 2-13 формируются четыре двойных датчика, два по координатной оси X и два по координатной оси Z.

Первый двойной датчик, расположенный на координатной оси X, состоит из диаметрально противоположных пар проводящих электродов 7-13 и 8-2 (см. фиг. 1, а). Второй двойной датчик, расположенный на координатной оси X, состоит и диаметрально противоположных пар проводящих электродов 5-11, 6-12, 7-13, 8-2, 9-3 и 10-4. Чувствительные элементы первого и второго двойных датчиков являются составными. Первый и второй чувствительные элементы первого двойного датчика соответственно состоят из электродов 7+8 и 2+13 с угловым размером α0=90° и β01=2⋅β0=30°, а чувствительные элементы второго датчика состоят из электродов 5+6+7+8+9+10 и 4+3+2+13+12+11 с угловым размером α0=90° и β02=6⋅β0=90° (полусфера).

Первый двойной датчик, расположенный на координатной оси Z, состоит из диаметрально противоположных пар проводящих электродов 4-10 и 5-11 (см. фиг. 1, а). Второй двойной датчик, расположенный на координатной оси Z, состоит и диаметрально противоположных пар проводящих электродов 2-8, 3-9, 4-10, 5-11, 6-12 и 7-13. Чувствительные элементы первого и второго двойных датчиков также являются составными. Первый и второй чувствительные элементы первого двойного датчика соответственно состоят из электродов 4+5 и 10+11 с угловым размером α0=90° и β01=2⋅β0=30°, а чувствительные элементы второго двойного датчика состоят из электродов 2+3+4+5+6+7 и 8+9+10+11+12+13 с суммарным угловым размером α0=90° и β02=6⋅β0 =90° (полусфера).

Чувствительные элементы 2-8, 3-9, 4-10, 5-11, 6-12 и 13-7 попарно подключены к первым и вторым входам дифференциальных измерительных преобразователей 14-19 (см. рис. 2), выходы дифференциальных преобразователей 14-19 соответственно соединены с первым, вторым, третьим, четвертым, пятым и шестым входами сумматоров 20 и 21, при этом выходы сумматоров 20 и 21, являются выходами составляющих вектора напряженности электрического поля по координатным осям X и Z соответственно.

Поскольку проводящие части датчика, такие как проводящее сферическое основание 1, проводящие электроды 2-13 изолированы между собой тонким слоем диэлектрика (слой диэлектрика на фиг. 1 не показан) и имеют малую толщину в виде напыления, то всю конструкцию датчика можно считать сплошной проводящей сферической поверхностью, а каждая проводящая часть датчика в электрическом поле будет иметь практически одинаковый электрический потенциал. Кроме этого для обеспечения равного потенциала всех частей датчика, его проводящие электроды подключаются к измерительным преобразователям с низкоомным входом. В качестве измерительных преобразователей с низкоомным входом могут быть использованы измерители тока, интеграторы тока (усилители заряда). Предпочтение следует отдавать интеграторам тока, т.к. его выходное напряжение не зависит от частоты поля и пропорционально зарядам, индуцированным на чувствительных элементах датчика. Проводящее сферическое основание 1 может являться средней точкой датчика для измерительной цепи.

Датчик напряженности электрического поля работает следующим образом. В исследуемую точку электрического поля помещают датчик. Под действием поля на проводящих электродах 2-13 индуцируются электрические заряды. С помощью дифференциальных измерительных преобразователей 14-19 заряды с пар 7-13, 8-2, 5-11, 4-10, 6-12 и 9-3 проводящих электродов преобразуются в напряжения U1, U2, U3, U4, U5 и U6. Эти напряжения пропорциональны разности зарядов с пар проводящих электродов 7-13, 8-2, 5-11, 4-10, 6-12 и 9-3 соответственно равны

; ; ;

; ; .

Из этих напряжений формируются напряжения выходных сигналов четырех двойных датчиков, снимаемых с проводящих электродов 2-13.

По координатной оси X из проводящих электродов формируются два двойных датчика. Выходные сигналы этих датчиков складываются из напряжений U1÷U6. Так, выходной сигнал первого двойного датчика будет формироваться напряжениями U1 и U2

. (1)

А, выходной сигнал второго двойного датчика будет формироваться напряжениями U1÷U6

(2)

Из выражения (1) видно, что при суммировании напряжений U1 и U2 происходит объединение сигналов с электродов 7, 8 и 2, 13 (заряды с этих электродов суммируются) и формируются диаметрально противоположные чувствительные элементы первого датчика, состоящие из электродов 7+8 и 2+13. Таким образом, чувствительные элементы первого двойного датчика, расположенные по оси X представляют собой двуугольники с угловыми размерами α0=90° и β01=30°.

Выражение (2) показывает, что при суммировании напряжений U1÷U6 происходит объединение сигналов с электродов 5, 6, 7, 8, 8, 10 и 2, 3, 4, 11, 12, 13 (заряды с этих электродов суммируются) и формируются диаметрально противоположные чувствительные элементы второго двойного датчика, состоящие из электродов 4+6+7+8+9+10 и 2+3+4+11+12+13. Таким образом, чувствительные элементы второго двойного датчика по оси X представляют собой полусферы с угловыми размерами α0=90° и β02=90°.

По координатной оси Z из проводящих электродов также формируются два двойных датчика. Выходные сигналы этих датчиков складываются из напряжений U1÷U6. Так, выходной сигнал первого двойного датчика будет определяться суммой напряжений U3 и U4

. (3)

А, выходной сигнал второго двойного датчика будет определяться суммой напряжений U1÷U6 с учетом их знаков

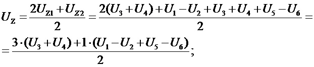
(4)

Из выражений (3) видно, что при суммировании напряжений U3 и U4 происходит объединение сигналов с электродов 4, 5 и 10, 11 (заряды с этих электродов суммируются) и формируются диаметрально противоположные чувствительные элементы первого датчика, состоящие из электродов 4+5 и 10+11. Таким образом, чувствительные элементы первого двойного датчика, расположенные по оси Z представляют собой двуугольники с угловыми размерами α0=90° и β01=30°.

Выражение (2) показывает, что при суммировании напряжений U1÷U6 происходит объединение сигналов с электродов 5, 6, 7, 8, 8, 10 и 2, 3, 4, 11, 12, 13 (заряды с этих электродов суммируются) и формируются диаметрально противоположные чувствительные элементы второго двойного датчика, состоящие из электродов 4+6+7+8+9+10 и 2+3+4+11+12+13. Таким образом, чувствительные элементы второго двойного датчика по оси X представляют собой полусферы с угловыми размерами α0=90° и β02=90°.

Суммарные напряжения Ux1 и Ux2, определяемые выражениями (1) и (2) по оси X соответственно пропорциональны напряженностям измеряемого электрического поля E1x и E2x, а выходные напряжения UZ1 и UZ2, определяемые выражениями (3) и (4) по оси Z соответственно пропорциональны напряженностям измеряемого электрического поля E1z и E2z. В однородном электрическом поле должны выполняться условия равенства напряженностей E1x=E2x и E1z=E2z, а, следовательно и напряжений Ux1=Ux2 и UZ1=UZ2. Из-за разного числа проводящих электродов, участвующих в формировании выходных напряжений первых и вторых двойных датчиков в однородном поле напряжения Ux1Ux2 и напряжения UZ1UZ2. Следовательно, E1xE2x и E1zE2z. Для нормального функционирования сдвоенного датчика необходимо обеспечить в однородном поле выполнение условий Ux1=Ux2 (E1x=E2x) и UZ1=UZ2 (E1z =E2z). Выполнение этих условий можно обеспечить, если учесть [Патент RU № 217326, МКИ G01 R 29/12], что

. (5)

Из выражения (5) можно установить, что для первых двойных датчиков, для которых β=β01=30°, а , а для вторых двойных датчиков, для которых β=β02=90°, а . Отсюда следует, что

и . (6)

Заявляемый сдвоенный двухкоординатный датчик реализует метод измерения по среднему значению [Патент RU № 2773868, МКИ G01 R 29/12].

С учетом этого и выражений (6) для выходных напряжений, пропорциональных составляющим вектора напряженности электрического поля можно записать

(7)

(8)

В выражениях (7) и (8) можно исключить деление на два и тем самым поднять чувствительность выходных сигналов датчика. Тогда суммирование выходных напряжений дифференциальных измерительных преобразователей 14-19 по составляющим вектора напряженности электрического поля необходимо производить с учетом их знаков и с соответствующими коэффициентами суммирования равными, согласно выражениям (7) и (8), трем и единицы.

Напряжения UX и UZ пропорциональны измеряемым составляющим вектора напряженности электрического поля и .

Таким образом, датчик измеряет средние из двух значений, определяемых первым и вторым двойными датчиками, расположенными на координатных осях X и Z. Эти средние значения соответствуют двум составляющим вектора напряженности электрического поля.

Возможность измерения двух составляющих вектора напряженности электрического поля позволило расширить функциональные возможностей датчика при сохранении погрешности измерения напряженности неоднородного электрического поля и полный пространственный диапазон измерения. Таким образом, задача изобретения решена.

Похожие патенты RU2837848C1

название год авторы номер документа
Двухкоординатный датчик напряженность электрического поля с двуугольными чувствительными электродами 2024
  • Бирюков Сергей Владимирович
  • Тюкина Людмила Владимировна
RU2839563C1
Однокоординатный сферический датчик напряженности электрического поля 2024
  • Бирюков Сергей Владимирович
  • Тюкина Людмила Владимировна
RU2832407C1
ОДНОКООРДИНАТНЫЙ СФЕРИЧЕСКИЙ ДАТЧИК НАПРЯЖЕННОСТИ ЭЛЕКТРИЧЕСКОГО ПОЛЯ 2023
  • Бирюков Сергей Владимирович
  • Тюкина Людмила Владимировна
RU2807952C1
Способ измерения напряженности электрического поля по равенству двух составляющих 2023
  • Бирюков Сергей Владимирович
  • Потеряев Илья Константинович
RU2799972C1
Двойной сферический датчик напряженности электрического поля 2024
  • Бирюков Сергей Владимирович
RU2839543C1
Устройство для измерения напряженности электростатического поля 1983
  • Аксельрод Валентин Самуилович
  • Щигловский Константин Борисович
  • Шервуд Лев Яковлевич
  • Дальнов Аполлон Сергеевич
  • Панов Арнольд Викторович
  • Иерусалимский Александр Павлович
  • Портнов Фома Григорьевич
SU1163285A1
ДАТЧИК НАПРЯЖЕННОСТИ ЭЛЕКТРИЧЕСКОГО ПОЛЯ СДВОЕННОГО ТИПА 2023
  • Бирюков Сергей Владимирович
  • Тюкина Людмила Владимировна
RU2814188C1
СДВОЕННЫЙ ДАТЧИК СОСТАВЛЯЮЩИХ ВЕКТОРА НАПРЯЖЕННОСТИ ЭЛЕКТРИЧЕСКОГО ПОЛЯ 2021
  • Бирюков Сергей Владимирович
  • Тюкина Людмила Владимировна
RU2768200C1
СПОСОБ ИЗМЕРЕНИЯ ПАРАМЕТРОВ ЭЛЕКТРИЧЕСКОГО ПОЛЯ 2001
  • Бирюков С.В.
RU2190232C1
СПОСОБ ИЗМЕРЕНИЯ НАПРЯЖЕННОСТИ ЭЛЕКТРИЧЕСКОГО ПОЛЯ 2020
  • Бирюков Сергей Владимирович
RU2749335C1

Иллюстрации к изобретению RU 2 837 848 C1

Реферат патента 2025 года Сдвоенный датчик составляющих вектора напряженности электрического поля с двуугольными чувствительными электродами

Изобретение относится к области измерительной техники и может быть использовано для одновременного измерения двух составляющих вектора напряженности электрического поля в полном пространственном диапазоне измерения с малой погрешностью. Согласно заявленному техническому решению в датчик дополнительно введены три пары проводящих электродов, выполненных в форме сферических двуугольников, три дифференциальных преобразователя, а сумматоры имеет шесть входов, причем у первого сумматора первый и второй входы имеют коэффициент суммирования, равный трем, а третий - шестой входы имеют коэффициент суммирования, равный единице, причем четвертый вход - инвертирующий, а у второго сумматора первый, второй, пятый, шестой входы имеют коэффициент суммирования, равный единице, причем второй и шестой входы - инвертирующие, при этом выходы первого - шестого дифференциальных преобразователей соответственно и поочередно соединены с первым - шестым входами первого и второго сумматора, а выходы сумматоров соответственно являются выходами составляющих вектора напряженности электрического поля по координатным осям X и Z, при этом электроды каждой пары датчика выполнены с угловыми размерами α0=90° и β0=15°. Технический результат заключается в расширении функциональных возможностей датчика, позволяющих одновременно измерять две составляющие вектора напряженности электрического поля за счет доведения числа координат сдвоенного датчика до двух при сохранении погрешности измерения в полном пространственном диапазоне измерения. 3 ил.

Формула изобретения RU 2 837 848 C1

Сдвоенный датчик составляющих вектора напряженности электрического поля с двуугольными чувствительными электродами, содержащий проводящее сферическое основание, на поверхности которого изолировано друг от друга и от проводящего основания расположены три пары проводящих электродов, выполненные в форме сферических двуугольников, три дифференциальных преобразователя и два сумматора, первые чувствительные элементы соответствующей пары элементов выполнены с возможностью соединения с первыми входами дифференциальных преобразователей выходных сигналов датчика, а вторые чувствительные элементы этой же пары выполнены с возможностью соединения с вторыми входами дифференциальных преобразователей выходных сигналов датчика, отличающийся тем, что в датчик дополнительно введены три пары проводящих электродов, выполненных в форме сферических двуугольников, три дифференциальных преобразователя, а сумматоры имеет шесть входов, причем у первого сумматора первый и второй входы имеют коэффициент суммирования, равный трем, а третий - шестой входы имеют коэффициент суммирования, равный единице, причем четвертый вход - инвертирующий, а у второго сумматора первый, второй, пятый, шестой входы имеют коэффициент суммирования, равный единице, причем второй и шестой входы - инвертирующие, при этом выходы первого - шестого дифференциальных преобразователей соответственно и поочередно соединены с первым - шестым входами первого и второго сумматора, а выходы сумматоров соответственно являются выходами составляющих вектора напряженности электрического поля по координатным осям X и Z, при этом электроды каждой пары датчика выполнены с угловыми размерами α0=90° и β0=15°.

Документы, цитированные в отчете о поиске Патент 2025 года RU2837848C1

ОДНОКООРДИНАТНЫЙ СФЕРИЧЕСКИЙ ДАТЧИК НАПРЯЖЕННОСТИ ЭЛЕКТРИЧЕСКОГО ПОЛЯ 2023
  • Бирюков Сергей Владимирович
  • Тюкина Людмила Владимировна
RU2807952C1
RU 215001 U1, 23.11.2022
СПОСОБ ИЗМЕРЕНИЯ НАПРЯЖЕННОСТИ ЭЛЕКТРИЧЕСКОГО ПОЛЯ 2008
  • Бирюков Сергей Владимирович
  • Тимонина Евгения Викторовна
RU2388003C1
US 10712378 B2, 14.07.2020
CN 106443213 A, 22.02.2017.

RU 2 837 848 C1

Авторы

Бирюков Сергей Владимирович

Тюкина Людмила Владимировна

Даты

2025-04-07Публикация

2024-11-08Подача