Изобретения относятся к областям радиосвязи, радиолокации, радионавигации и радиоэлектронной борьбы и могут быть использованы для создания устройств генерации и частотной модуляции с увеличенным линейным участком частотной модуляционной характеристики при произвольных частотных характеристиках нагрузки.
Известен способ генерации и частотной модуляции высокочастотного сигнала, основанный на преобразовании энергии источника постоянного напряжения в энергию высокочастотного сигнала, организации внутренней обратной связи в первом нелинейном элементе путем использования в качестве него двухполюсного нелинейного элемента с отрицательным дифференциальным сопротивлением, выполнении условий возбуждения в виде баланса амплитуд и баланса фаз, определяющих соответственно амплитуду и частоту генерируемого высокочастотного сигнала, и условий согласования первого нелинейного элемента с нагрузкой, изменении частоты генерируемого высокочастотного сигнала путем изменения баланса фаз за счет изменения параметра второго нелинейного элемента, включенного в избирательную нагрузку, по закону изменения амплитуды низкочастотного управляющего (первичного, информационного) сигнала [Гоноровский И.С. Радиотехнические цепи и сигналы - М: «Дрофа», 2006, с. 414-417, 434-437].
Известно устройство генерации и частотной модуляции высокочастотного сигнала, состоящее из источника постоянного напряжения, устанавливающего рабочую точку на середине падающего участка вольтамперной характеристики двухполюсного нелинейного элемента с отрицательным дифференциальным сопротивлением, реактивного четырехполюсника, нагрузки в виде параллельного колебательного контура с включенным варикапом, подключенным к источнику управляющего сигнала, при этом параметры контура, двухполюсного нелинейного элемента и варикапа выбраны из условия обеспечения заданных амплитуды и диапазона изменения частоты генерируемого высокочастотного сигнала по закону изменения амплитуды низкочастотного управляющего (первичного, информационного) сигнала [Гоноровский И.С. Радиотехнические цепи и сигналы - М:«Дрофа», 2006, с. 414-417, 434-437].
Принцип действия этого устройства состоит в следующем. При включении источника постоянного напряжения (тока) в силу скачкообразного изменения амплитуды во всей цепи возникают колебания, спектр которых занимает весь частотный радиодиапазон. Амплитуды этих колебаний быстро затухают. Однако, благодаря наличию внутренней обратной связи в двухполюсном нелинейном элементе на участке с падающей вольтамперной характеристикой возникает отрицательное дифференциальное сопротивление, которое в силу согласования с помощью реактивного четырехполюсника компенсирует потери в контуре. Благодаря этому, колебание с частотой, равной резонансной частоте колебательного контура, усиливается до момента увеличения амплитуды этого колебания до уровня, при котором амплитуда выходит за пределы падающего участка вольтамперной характеристики. Наступает стационарный режим. В этом режиме изменение емкости варикапа под действием управляющего сигнала приводит к изменению частоты генерируемого сигнала по закону изменения амплитуды низкочастотного сигнала.
Недостатком способа и устройства является наличие двух нелинейных элементов, один из которых работает в качестве усилителя и ограничителя, а второй используется для изменения частоты генерируемого высокочастотного сигнала.
Наиболее близким по технической сущности и достигаемому результату (прототипом) является способ генерации и частотной модуляции высокочастотного сигнала, основанный на преобразовании энергии источника постоянного напряжения в энергию высокочастотного сигнала, построении цепи прямой передачи между выходным электродом трехполюсного нелинейного элемента и нагрузкой, организации внешней положительной обратной связи между нагрузкой и управляющим электродом трехполюсного нелинейного элемента, выполнении условий возбуждения в виде баланса амплитуд и баланса фаз, определяющих соответственно амплитуду и частоту генерируемого высокочастотного сигнала, и условий согласования трехполюсного нелинейного элемента с нагрузкой, изменении частоты генерируемого высокочастотного сигнала путем изменения баланса фаз за счет изменения параметра двухполюсного нелинейного элемента, включенного в избирательную нагрузку, по закону изменения амплитуды низкочастотного управляющего (первичного, информационного) сигнала [Гоноровский И.С. Радиотехнические цепи и сигналы - М: «Дрофа», 2006, с. 434-437].
Наиболее близким по технической сущности и достигаемому результату (прототипом) является устройство генерации и частотной модуляции высокочастотного сигнала, состоящее из источника постоянного напряжения, устанавливающего рабочую точку на середине квазилинейного участка проходной вольтамперной характеристики транзистора, цепи прямой передачи в виде первого четырехполюсника для согласования выходного электрода транзистора и нагрузки, нагрузки в виде параллельного колебательного контура, в который включен варикап, подключенный к источнику управляющего сигнала, RC - цепи внешней положительной обратной связи (в общем виде - второго четырехполюсника для согласования управляющего электрода транзистора и нагрузки) между нагрузкой и управляющим электродом транзистора, при этом параметры контура, цепи прямой передачи, цепи обратной связи, транзистора и варикапа выбраны из условия обеспечения заданных амплитуды и диапазона изменения частоты генерируемого высокочастотного сигнала по закону изменения амплитуды низкочастотного управляющего (первичного, информационного) сигнала [Гоноровский И.С. Радиотехнические цепи и сигналы - М: «Дрофа», 2006, с. 434-437].
Принцип действия этого устройства состоит в следующем. При включении источника постоянного напряжения (тока) в силу скачкообразного изменения амплитуды во всей цепи возникают колебания, спектр которых занимает весь частотный радиодиапазон. Амплитуды этих колебаний быстро затухают. Однако, благодаря наличию цепи внешней положительной обратной связи, колебание с частотой, равной резонансной частоте колебательного контура, поступает на управляющий электрод транзистора, который в силу согласования с помощью двух четырехполюсников начинает работать в режиме усиления до момента увеличения амплитуды этого колебания до уровня, при котором наступает режим насыщения (ограничения амплитуды). Наступает стационарный режим. В этом режиме изменение емкости варикапа под действием управляющего сигнала приводит к изменению частоты генерируемого сигнала по закону изменения амплитуды низкочастотного сигнала.
Недостатки этих способа и устройства состоят в необходимости использования двух нелинейных элементов (одного для усиления и ограничения амплитуды, второго для изменения частоты) и малом линейном участке модуляционной характеристики в силу малости линейного участка вольт-фарадной характеристики варикапа. Кроме того, не указывается, каким образом необходимо выбирать значения параметров обоих четырехполюсников, при которых наступает режим возбуждения и стационарный режим. Особенно остро возникает этот вопрос при проектировании устройств генерации и частотной модуляции в диапазонах ВЧ и УВЧ, на которых обязательно нужно учитывать реактивные составляющие параметров нелинейных элементов. В настоящее время классическая теория радиотехнических цепей это не учитывает. Кроме того, частотную модуляцию можно обеспечить при любых сопротивлениях нагрузки, что приводит к расширению области использования частотных модуляторов.
Техническим результатом изобретения является генерация и частотная модуляция высокочастотного сигнала с увеличенным линейным участком частотной модуляционной характеристики при использовании одного нелинейного элемента и произвольных комплексных сопротивлениях нагрузки, что позволяет создавать эффективные устройства генерации и частотной модуляции, а также повышать диапазон генерируемых колебаний при использовании реактивного базиса с сосредоточенными параметрами и любых заданных частотных характеристиках нагрузки, например, антенны. Возможность использования различных вариантов включения трехполюсного нелинейного элемента относительно согласующего четырехполюсника и различных видов обратной связи расширяет возможности физической реализуемости этого результата.
1. Указанный результат достигается тем, что в известном способе генерации и частотной модуляции высокочастотных сигналов, основанном на преобразовании энергии источника постоянного напряжения в энергию высокочастотного сигнала, взаимодействии высокочастотного сигнала с цепью прямой передачи, трехполюсным нелинейным элементом, реактивным четырехполюсником, нагрузкой и цепью внешней обратной связи, выполнении условий возбуждения в виде баланса амплитуд и баланса фаз, определяющих соответственно амплитуду и частоту генерируемых высокочастотных сигналов, условий согласования цепи прямой передачи с нагрузкой и условий согласования нагрузки с управляющим электродом трехполюсного нелинейного элемента, изменении частоты генерируемых колебаний по закону изменения амплитуды низкочастотного управляющего сигнала путем соответствующего изменения баланса фаз, дополнительно в качестве цепи внешней обратной связи используют произвольный четырехполюсник, подключенный к трехполюсному нелинейному элементу по параллельно- последовательной схеме, трехполюсный нелинейный элемент и цепь обратной связи как единый узел каскадно включают между выходом реактивного четырехполюсника и нагрузкой, нагрузку выполняют в виде первого двухполюсника с комплексным сопротивлением, к входу реактивного четырехполюсника в поперечную цепь подключают второй двухполюсник с комплексным сопротивлением, имитирующим сопротивление источника сигнала генератора в режиме усиления, условия возбуждения в виде баланса амплитуд и баланса фаз и условия согласования выполняют за счет выбора зависимостей параметров реактивного четырехполюсника от частоты из условия обеспечения стационарного режима генерации в виде равенства нулю знаменателя коэффициента передачи в режиме усиления последовательно на всех частотах заданной полосы частот при соответствующем изменении амплитуды низкочастотного сигнала в соответствии со следующими математическими выражениями:
где 
- оптимальные зависимости отношений соответствующих элементов классической матрицы передачи от частоты в заданной полосе частот;
- заданные зависимости отношений соответствующих элементов классической матрицы передачи от частоты в заданной полосе частот; а, b, с, d - элементы классической матрицы передачи; r0,x0 - заданные зависимости действительной и мнимой составляющих сопротивления источника входного высокочастотного сигнала генератора в режиме усиления от частоты в заданной полосе частот; rн,xн - заданные зависимости действительной мнимой составляющей сопротивления нагрузки от частоты в заданной полосе частот; r11,x11, r12,x12, r21,x21, r22,x22 - заданные суммы зависимостей действительных и мнимых составляющих элементов смешанной матрицы F трехполюсного нелинейного элемента от частоты в заданной полосе частот при соответствующем изменении амплитуды низкочастотного управляющего сигнала и зависимостей соответствующих действительных и мнимых составляющих элементов смешанной матрицы F цепи внешней обратной связи ƒ11=r11+jx11, ƒ12=r12+jx12, ƒ21=r21+jx21, ƒ22=r22+jx22 от частоты в заданной полосе частот.
2. Указанный результат достигается тем, что в устройстве генерации высокочастотных сигналов, состоящем из источника постоянного напряжения и низкочастотного управляющего сигнала, цепи прямой передачи из трехполюсного нелинейного элемента и реактивного четырехполюсника, нагрузки и цепи внешней обратной связи, дополнительно цепь внешней обратной связи выполнена в виде произвольного четырехполюсника, соединенного с трехполюсным нелинейным элементом по параллельно-последовательной схеме, трехполюсный нелинейный элемент и цепь обратной связи как единый узел каскадно включены между выходом реактивного четырехполюсника и нагрузкой, нагрузка выполнена в виде первого двухполюсника с комплексным сопротивлением, к входу реактивного четырехполюсника в поперечную цепь подключен второй двухполюсник с комплексным сопротивлением, которое имитирует сопротивление источника входного высокочастотного сигнала генератора в режиме усиления, реактивный четырехполюсник выполнен в виде каскадно-соединенных двух Г-образных соединений четырех реактивных двухполюсников с сопротивлениями x1m, x2m, x3m, x4m, причем двухполюсники с сопротивлениями x2m,x4m сформированы в виде параллельно соединенных параллельного колебательного контура из элементов с параметрами L1k, C1k и последовательного колебательного контура из элементов с параметрами L2k, C2k, а значения параметров определены из условия согласования по критерию обеспечения стационарного режима генерации на четырех частотах и соответствующих четырех значениях амплитуды низкочастотного управляющего сигнала с помощью следующих математических выражений:
- заданные значения действительной и мнимой составляющих сопротивления источника входного высокочастотного сигнала генератора в режиме усиления на четырех частотах ωm=2πƒm; m=1, 2, 3, 4 - номер частоты; rnm, xнm - заданные значения действительной составляющей сопротивления нагрузки на четырех частотах; r11m,x11m, r12m,x12m, r21m,x21m, r22m,x22m - заданные суммарные значения действительных и мнимых составляющих элементов смешанной матрицы F трехполюсного нелинейного элемента на заданных четырех частотах и заданных четырех значениях амплитуды низкочастотного управляющего сигнала и соответствующих действительных и мнимых составляющих элементов смешанной матрицы F цепи внешней обратной связи ƒ11m=r11m+jx11m, ƒ12m=r12m+jx12m, ƒ21m=r21m+jx21m, ƒ22m=r22m+jx22m на заданных четырех частотах; k=2,4 - индекс, характеризующий соответствующие номера реактивных двухполюсников с сопротивлениями x2m, x4m; x1m, x3m - заданные равные значения сопротивлений первого и третьего двухполюсников реактивного четырехполюсника в виде каскадно-соединенных двух Г-образных соединений четырех реактивных двухполюсников на заданных четырех частотах.
На фиг. 1 показана схема устройства генерации высокочастотных сигналов (прототип), реализующего способ-прототип.
На фиг. 2 показана структурная схема предлагаемого устройства по п. 2, реализующая предлагаемый способ генерации по п. 1 в режиме усиления.
На фиг. 3 приведена структурная схема согласующего реактивного четырехполюсника, входящего в предлагаемое устройство по п. 2.
На фиг. 4. приведена схема реактивного двухполюсника, реализующего второй и четвертый двухполюсники согласующего реактивного четырехполюсника в виде каскадно-соединенных двух Г-образных соединений четырех реактивных двухполюсников (фиг. 3).
Устройство-прототип (фиг. 1), реализующее способ-прототип, содержит цепь прямой передачи в виде трехполюсного нелинейного элемента VT-1, подключенного к источнику постоянного напряжения-2, первого согласующе-фильтрующего устройства СФУ-3 (первого реактивного четырехполюсника или первого согласующего четырехполюсника) и нагрузки в виде колебательного контура на элементах L-4, R-5, С(t)-6. Первое СФУ-3 включено между выходным электродом трехполюсного нелинейного элемента и нагрузкой. Управляемая емкость C(t), реализуемая варикапом-6, подключена к источнику низкочастотного управляющего (информационного) сигнала-7. Между нагрузкой и управляющим электродом трехполюсного нелинейного элемента включено второе СФУ-9 (второй реактивный четырехполюсник или второй согласующий четырехполюсник) с подключенными к ее входу первым двухполюсником-8 и к выходу вторым двухпоюсником-10 с комплексными сопротивлениями в поперечные цепи. Все это вместе образует цепь внешней обратной связи. Первый двухполюсник-8 подключен к нагрузке. Второй двухполюсник-10 подключен к управляющему электроду трехполюсного нелинейного элемента.
Принцип действия устройства генерации и модуляции высокочастотных сигналов (прототипа), реализующего способ-прототип, состоит в следующем.
При включении источника постоянного напряжения-2 в силу скачкообразного изменения амплитуды во всей цепи возникают колебания, спектр которых занимает весь частотный радиодиапазон. Амплитуды этих колебаний быстро затухают. Однако, благодаря наличию внешней обратной связи, согласования с помощью первого реактивного четырехполюсника-3 выходного электрода трехполюсного нелинейного элемента и нагрузки (цепи прямой передачи), согласования с помощью цепи обратной связи (первого двухполюсника-8 с комплексным сопротивлением, второго реактивного четырехполюсника-9 и второго двухполюсника-10 с комплексным сопротивлением) нагрузки и управляющего электрода трехполюсного нелинейного элемента компенсируются потери в контуре L-4,R-5,C(t)-6. Благодаря этому обратная связь становится положительной и реализуются условия баланса фаз и амплитуд - условия возбуждения электромагнитных колебаний. В результате колебание с частотой, равной резонансной частоте колебательного контура, подается на управляющий электрод трехполюсного нелинейного элемента, который на начальном этапе работает в режиме усиления. Амплитуда этого колебания усиливается до момента ее увеличения до уровня, при котором наступает режим ограничения трехполюсного нелинейного элемента. Наступает стационарный режим генерации. В этом режиме изменение емкости варикапа C(t) - 6 под действием управляющего сигнала источника-7 приводит к изменению частоты генерируемого сигнала по закону изменения амплитуды этого сигнала.
Недостатки способа-прототипа и устройства его реализации описаны выше. Предлагаемое устройство по п. 2 (фиг. 2), реализующее предлагаемый способ по п. 1, содержит трехполюсный нелинейный элемент-1 с известными элементами матрицы смешанной матрицы
на заданных частотах генерируемых сигналов (соответствующих заданным значениям амплитуды низкочастотного управляющего сигнала), подключенный к источнику постоянного напряжения (постоянной составляющей) и низкочастотного управляющего сигнала-2 и подключенный по высокой частоте параллельно-последовательно (входы соединены параллельно, а выходы - последовательно) к цепи внешней обратной связи, выполненной в виде произвольного четырехполюсника-14, сформированного в общем случае на двухполюсниках с комплексными сопротивлениями. Четырехполюсник-14 тоже характеризуется известными значениями элементов смешанной матрицы
на заданных частотах (m=1, 2, 3, 4 - номер частоты). Трехполюсный нелинейный элемент и цепь обратной связи как единое целое каскадно включены между выходом согласующего реактивного четырехполюсника-12 и нагрузкой-13 с заданными сопротивлениями zнm=rнm+jxнm на заданных частотах. К входу четырехполюсника-12 подключен источник входного высокочастотного сигнала в режиме усиления с сопротивлением z0m=r0m+jx0m-11 на заданных частотах, имитирующим сопротивление источника высокочастотных колебаний, возникающих при включении источника постоянного напряжения-2 в момент скачкообразного изменения амплитуды его напряжения в режиме генерации. Четырехполюсник-12 выполнен в виде каскадно-соединенных двух Г-образных соединений четырех реактивных двухполюсников с сопротивлениями x1m, x2m, x3m, x4m (фиг. 3). Синтез генератора (выбор значений сопротивлений x2m, x4m и схем формирования этих двухполюсников (фиг. 4) осуществлен по критерию обеспечения баланса амплитуд и баланса фаз путем реализации равенства нулю знаменателя коэффициента передачи устройства генерации в режиме усиления последовательно на заданных четырех частотах генерируемых сигналов при соответствующих четырех значениях амплитуды низкочастотного управляющего сигнала. В интересах упрощения формул для сопротивлений x2m, x4m сопротивления x1m, x3m выбраны равными друг другу. Выбор сопротивлений четырехполюсника-14 можно осуществлять произвольно или исходя из каких-либо других физических соображений. В данном изобретении значения сопротивлений комплексных двухполюсников четырехполюсника-14 выбираются из условий физической реализуемости. В режиме генерации источник входного высокочастотного сигнала отключается и вместо него устанавливается короткозамыкающая перемычка.
Предлагаемое устройство функционирует следующим образом.
При включении источника постоянного напряжения-2 в силу скачкообразного изменения амплитуды во всей цепи возникают колебания, спектр которых занимает весь частотный радиодиапазон. Амплитуды этих колебаний быстро затухают. Однако, благодаря наличию внешней обратной связи и в силу указанного выбора значений сопротивлений x2m, x4m второго и четвертого двухполюсников согласующего реактивного четырехполюсника и схем формирования этих двухполюсников обратная связь становится положительной, что эквивалентно возникновению в цепи отрицательного сопротивления или проводимости (r11 или r22), которое компенсирует потери во всей цепи последовательно на всех частотах заданной полосы частот при соответствующем изменении амплитуды низкочастотного управляющего сигнала. Поэтому амплитуды колебаний с заданными частотами усиливаются до определенных уровней и затем ограничиваются. Благодаря этому, колебания с заданными четырьмя частотами усиливаются до момента увеличения амплитуд этих колебаний до уровня, при котором амплитуда выходит за пределы квазилинейного участка проходной вольтамперной характеристики. Наступает стационарный режим. Окончательно это приводит к увеличению квазилинейного участка частотной модуляционной характеристики, а в динамике - к изменению частоты генерируемого сигнала по закону изменения амплитуды низкочастотного управляющего сигнала.
Докажем возможность реализации указанных свойств. Введем обозначения исходных зависимостей сопротивления источника сигнала в режиме усиления z0=r0+jx0, нагрузки zn=rn+jxn от частоты. Исходными являются также зависимости элементов смешанной матрицы F трехполюсного нелинейного элемента
и цепи обратной связи
от частоты, которые можно определить по известным (например, измеренным или рассчитанным) элементам матриц сопротивлений, проводимостей или передачи. Кроме того, элементы матриц параметров трехполюсного нелинейного элемента зависят от амплитуды низкочастотного управляющего сигнала. Таким образом, каждой высокой частоте соответствует определенная амплитуда низкочастотного управляющего сигнала. Для простоты аргументы (частота и амплитуда) опущены. При параллельно-последовательном соединении четырехполюсников элементы их матриц F складываются. Суммарные зависимости элементов матриц F цепи прямой передачи в виде нелинейного элемента и цепи обратной связи от частоты: ƒ11=r11+jx11, ƒ12=r12+jx12, ƒ21=r21+jx21, ƒ22=r22+jx22. Для простоты аргумент (частота) опущен. Размерности элементов матрицы F : ƒ11(проводимость), ƒ12(безразмерный), ƒ21(безразмерный), ƒ22(сопротивление). Общая смешанная матрица F нелинейного элемента (VT) и четырехполюсника цепи обратной связи (ОС) и соответствующая ей классическая матрица передачи:
где 
Пусть реактивный четырехполюсник (РЧ) описывается матрицей передачи:
где
- элементы классической матрицы передачи.
Общая нормированная классическая матрица передачи генератора/модулятора получается путем перемножения матриц передачи (2) и (1) с учетом условий нормировки:
Используя известную связь элементов матрицы рассеяния с элементами классической матрицы передачи (Фельдштейн А.Л., Явич Л.Р. Синтез четырехполюсников и восьмиполюсников на СВЧ. М.: Связь, 1971. с. 34-36) и матрицу передачи (3), с учетом условий нормировки получим выражение для коэффициента передачи генератора в режиме усиления:
Преобразуем знаменатель коэффициента передачи и запишем его в виде, соответствующем иммитансному критерию устойчивости (Куликовский А.А. Устойчивость активных линеаризованных цепей с усилительными приборами нового типа. М-Л.: ГЭИ, 1962. 192 с):
где первое слагаемое - это сопротивление z0 пассивной части генератора; второе слагаемое с учетом матриц передачи (1) и (2) - это входное сопротивление активной части генератора в виде реактивного четырехполюсника, нагруженного на входное сопротивление
трехполюсного нелинейного элемента со смешанной матрицей (1), нагруженного на сопротивление нагрузки zn. Если это условие возникновения стационарного режима генерации записать в виде другого равенства
то ее можно трактовать как условие баланса амплитуд и баланса фаз 1-KB=0 (Гоноровский И.С. Радиотехнические цепи и сигналы - М: «Дрофа»., - 2006, с. 383-401) для эквивалентной цепи с внешней положительной обратной связью. При этом четырехполюсники цепи обратной связи и схемы замещения трехполюсного нелинейного элемента соединяются параллельно-последовательно, а в коэффициенте передачи (9) вместо элементов матрицы F нелинейного элемента необходимо использовать суммы элементов этой матрицы и элементов матрицы F цепи обратной связи. Для данного вида генератора и частотного модулятора
- коэффициент передачи цепи обратной связи;
- коэффициент усиления цепи прямой передачи. Возможны и другие варианты представления этих коэффициентов, но для изобретения это не имеет значения. При любых представлениях этих величин равенство нулю коэффициента передачи соответствует условию стационарного режима генерации согласно иммитансному критерию устойчивости и условию баланса амплитуд и баланса фаз.
Приравняем знаменатель коэффициента передачи нулю и разделим между собой действительную и мнимую части. Получим систему двух алгебраических уравнений:
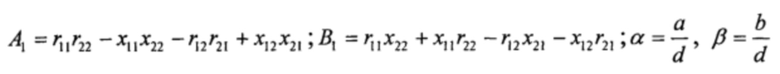
где 
Решение системы (5) имеет вид оптимальных частотных зависимостей взаимосвязей между элементами классической матрицы передачи РЧ:
где 
Для отыскания оптимальных зависимостей реактивных сопротивлений двухполюсников, составляющих согласующий четырехполюсник, от частоты необходимо выбрать типовую схему четырехполюсника, найти его матрицу передачи, представить ее элементы в виде (2), определенные таким образом коэффициенты α,β,γ подставить в (6) и решить полученную систему уравнений относительно некоторых двух параметров реактивного согласующего четырехполюсника. Здесь приводится решение задачи синтеза для каскадно-соединенных двух Г-образных схем (фиг. 3):
Реализация оптимальных аппроксимирующих функций частотных зависимостей сопротивлений двухполюсников (7) может быть осуществлена различными способами, например, с помощью метода интерполяции путем отыскания значений параметров выбранных реактивных двухполюсников, при которых их сопротивления на заданных частотах совпадают с оптимальными. Значения параметров остальных двухполюсников могут быть выбраны произвольно или из обеспечения каких-либо других условий. Здесь приводится пример построения этих двухполюсников для четырех частот интерполяции, которые использовались для синтеза рассматриваемых вариантов генераторов.
Параллельный колебательный контур, параллельно соединенный с последовательным колебательным контуром (фиг. 4):
При k=2 имеем значения параметров для второго двухполюсника, а при k=4 - для четвертого двухполюсника схемы в виде каскадно-соединенных двух Г-образных звеньев. Индекс т необходимо ввести в обозначения и других явным образом зависящих от частоты величин.
Реализация оптимальных аппроксимаций частотных характеристик параметров согласующего четырехполюсника (6) и (7) с помощью (8) обеспечивает реализацию условия согласования, баланса амплитуд и баланса фаз последовательно на четырех заданных частотах и четырех значениях амплитуды низкочастотного управляющего сигнала заданной модуляционной характеристики или заданного диапазона изменения частоты, соответствующего заданному диапазону изменения амплитуды низкочастотного сигнала. Это позволяет при разумном выборе положений заданных частот относительно друг друга ω1-ω2, ω1-ω3, ω1-ω4, ω2-ω3, ω2-ω4, ω3-ω4 и заданных амплитуд расширить линейный участок модуляционной характеристики. Окончательно в динамике это приводит к изменению частоты генерируемого сигнала по закону изменения амплитуды низкочастотного управляющего сигнала.
Предлагаемые технические решения имеют изобретательский уровень, поскольку из опубликованных научных данных и известных технических решений явным образом не следует, что заявленная последовательность операций (выполнение цепи внешней обратной связи в виде произвольного четырехполюсника, соединенного с трехполюсным нелинейным элементом по параллельно-последовательной схеме, включение трехполюсного нелинейного элемента и цепи обратной связи как единого узла между выходом реактивного четырехполюсника и нагрузкой, выполнение нагрузки в виде первого двухполюсника с комплексным сопротивлением, подключение к входу реактивного четырехполюсника в поперечную цепь второго двухполюсника с комплексным сопротивлением, которое имитирует сопротивление источника входного высокочастотного сигнала генератора в режиме усиления (фиг. 2), выполнение реактивного четырехполюсника в виде каскадно-соединенных двух Г-образных звеньев (фиг. 3), выбор частотных характеристик второго и четвертого двухполюсников каскадно-соединенных двух Г-образных звеньев, в виде которых выполнен реактивный четырехполюсник, формирование их схем в указанном виде (фиг. 4), выбор значений их параметров из условия обеспечения стационарного режима генерации последовательно на четырех частотах и соответствующих четырех значениях амплитуды низкочастотного сигнала, обеспечивает в динамике изменение частоты генерируемого сигнала по закону изменения амплитуды низкочастотного управляющего сигнала на увеличенном квазилинейном участке частотной модуляционной характеристики.
Предлагаемые технические решения практически применимы, так как для их реализации могут быть использованы серийно выпускаемые промышленностью трехполюсные нелинейные элементы (транзисторы или лампы), реактивные элементы, сформированные в заявленные схемы реактивных двухполюсников (фиг. 4). Значения параметров индуктивностей и емкостей этих схем могут быть однозначно определены с помощью математических выражений, приведенных в формуле изобретения.
Технико-экономическая эффективность предложенного устройства заключается в последовательном обеспечении генерации высокочастотного сигнала в заданной полосе частот и соответствующем диапазоне изменения амплитуды низкочастотного управляющего сигнала за счет выбора схем и значений параметров двух реактивных двухполюсников согласующего четырехполюсника по критерию последовательного обеспечения условий баланса фаз и амплитуд, что обеспечивает в динамике изменение частоты генерируемого сигнала по закону изменения амплитуды низкочастотного управляющего сигнала на увеличенном квазилинейном участке частотной модуляционной характеристики при заданных частотных характеристиках всех остальных двухполюсников и четырехполюсников.
| название | год | авторы | номер документа |
|---|---|---|---|
| СПОСОБ ГЕНЕРАЦИИ И ЧАСТОТНОЙ МОДУЛЯЦИИ ВЫСОКОЧАСТОТНЫХ СИГНАЛОВ И УСТРОЙСТВО ЕГО РЕАЛИЗАЦИИ | 2021 |
|
RU2777750C1 |
| СПОСОБ ГЕНЕРАЦИИ ВЫСОКОЧАСТОТНЫХ СИГНАЛОВ И УСТРОЙСТВО ДЛЯ ЕГО РЕАЛИЗАЦИИ | 2011 |
|
RU2487444C2 |
| СПОСОБ ГЕНЕРАЦИИ И ЧАСТОТНОЙ МОДУЛЯЦИИ ВЫСОКОЧАСТОТНЫХ СИГНАЛОВ И УСТРОЙСТВО ЕГО РЕАЛИЗАЦИИ | 2021 |
|
RU2777751C1 |
| СПОСОБ ГЕНЕРАЦИИ ВЫСОКОЧАСТОТНЫХ СИГНАЛОВ И УСТРОЙСТВО ЕГО РЕАЛИЗАЦИИ | 2014 |
|
RU2568928C1 |
| СПОСОБ ГЕНЕРАЦИИ ВЫСОКОЧАСТОТНЫХ СИГНАЛОВ И УСТРОЙСТВО ЕГО РЕАЛИЗАЦИИ | 2014 |
|
RU2592401C1 |
| СПОСОБ ГЕНЕРАЦИИ И ЧАСТОТНОЙ МОДУЛЯЦИИ ВЫСОКОЧАСТОТНЫХ СИГНАЛОВ И УСТРОЙСТВО ЕГО РЕАЛИЗАЦИИ | 2021 |
|
RU2777748C1 |
| СПОСОБ ГЕНЕРАЦИИ И ЧАСТОТНОЙ МОДУЛЯЦИИ ВЫСОКОЧАСТОТНЫХ СИГНАЛОВ И УСТРОЙСТВО ЕГО РЕАЛИЗАЦИИ | 2021 |
|
RU2777749C1 |
| СПОСОБ ГЕНЕРАЦИИ ВЫСОКОЧАСТОТНЫХ СИГНАЛОВ И УСТРОЙСТВО ЕГО РЕАЛИЗАЦИИ | 2014 |
|
RU2592403C2 |
| СПОСОБ ГЕНЕРАЦИИ ВЫСОКОЧАСТОТНЫХ СИГНАЛОВ И УСТРОЙСТВО ЕГО РЕАЛИЗАЦИИ | 2014 |
|
RU2599348C2 |
| СПОСОБ ГЕНЕРАЦИИ ВЫСОКОЧАСТОТНЫХ СИГНАЛОВ | 2011 |
|
RU2475934C1 |
Изобретения относятся к областям радиосвязи, радиолокации, радионавигации и радиоэлектронной борьбы. Техническим результатом изобретения является генерация и частотная модуляция высокочастотного сигнала с увеличенным линейным участком частотной модуляционной характеристики при использовании одного нелинейного элемента и произвольных комплексных сопротивлениях нагрузки. Представлена возможность использования различных вариантов включения трехполюсного нелинейного элемента относительно согласующего четырехполюсника и различных видов обратной связи. Значения параметров индуктивностей и емкостей предложенных схем могут быть однозначно определены с помощью математических выражений, приведенных в формуле изобретения. 2 н.п. ф-лы, 4 ил.
1. Способ генерации и частотной модуляции высокочастотных сигналов, основанный на преобразовании энергии источника постоянного напряжения в энергию высокочастотного сигнала, взаимодействии высокочастотного сигнала с цепью прямой передачи, трехполюсным нелинейным элементом, реактивным четырехполюсником, нагрузкой и цепью внешней обратной связи, выполнении условий возбуждения в виде баланса амплитуд и баланса фаз, определяющих соответственно амплитуду и частоту генерируемых высокочастотных сигналов, условий согласования цепи прямой передачи с нагрузкой и условий согласования нагрузки с управляющим электродом трехполюсного нелинейного элемента, изменении частоты генерируемых колебаний по закону изменения амплитуды низкочастотного управляющего сигнала путем соответствующего изменения баланса фаз, отличающийся тем, что в качестве цепи внешней обратной связи используют произвольный четырехполюсник, подключенный к трехполюсному нелинейному элементу по параллельно-последовательной схеме, трехполюсный нелинейный элемент и цепь обратной связи как единый узел каскадно включают между выходом реактивного четырехполюсника и нагрузкой, нагрузку выполняют в виде первого двухполюсника с комплексным сопротивлением, к входу реактивного четырехполюсника в поперечную цепь подключают второй двухполюсник с комплексным сопротивлением, имитирующим сопротивление источника сигнала генератора в режиме усиления, условия возбуждения в виде баланса амплитуд и баланса фаз и условия согласования выполняют за счет выбора зависимостей параметров реактивного четырехполюсника от частоты из условия обеспечения стационарного режима генерации в виде равенства нулю знаменателя коэффициента передачи в режиме усиления последовательно на всех частотах заданной полосы частот при соответствующем изменении амплитуды низкочастотного сигнала в соответствии со следующими математическими выражениями:
где
- оптимальные зависимости отношений соответствующих элементов классической матрицы передачи от частоты в заданной полосе частот;
- заданные зависимости отношений соответствующих элементов классической матрицы передачи от частоты в заданной полосе частот; а, b, с, d - элементы классической матрицы передачи; r0, x0 - заданные зависимости действительной и мнимой составляющих сопротивления источника входного высокочастотного сигнала генератора в режиме усиления от частоты в заданной полосе частот; rн, xн - заданные зависимости действительной мнимой составляющей сопротивления нагрузки от частоты в заданной полосе частот; r11, x11; r12, x12; r21, x21; r22, x22 - заданные суммы зависимостей действительных и мнимых составляющих элементов смешанной матрицы F трехполюсного нелинейного элемента от частоты в заданной полосе частот при соответствующем изменении амплитуды низкочастотного управляющего сигнала и зависимостей соответствующих действительных и мнимых составляющих элементов смешанной матрицы F цепи внешней обратной связи ƒ11=r11+jx11, ƒ12=r12+jx12, ƒ21=r21+jx21, ƒ22=r22+jx22 от частоты в заданной полосе частот.
2. Устройство генерации высокочастотных сигналов, состоящее из источника постоянного напряжения и низкочастотного управляющего сигнала, цепи прямой передачи из трехполюсного нелинейного элемента и реактивного четырехполюсника, нагрузки и цепи внешней обратной связи, отличающееся тем, что цепь внешней обратной связи выполнена в виде произвольного четырехполюсника, соединенного с трехполюсным нелинейным элементом по параллельно-последовательной схеме, трехполюсный нелинейный элемент и цепь обратной связи как единый узел каскадно включены между выходом реактивного четырехполюсника и нагрузкой, нагрузка выполнена в виде первого двухполюсника с комплексным сопротивлением, к входу реактивного четырехполюсника в поперечную цепь подключен второй двухполюсник с комплексным сопротивлением, которое имитирует сопротивление источника входного высокочастотного сигнала генератора в режиме усиления, реактивный четырехполюсник выполнен в виде каскадно-соединенных двух Г-образных соединений четырех реактивных двухполюсников с сопротивлениями x1m, x2m, x3m, x4m, причем двухполюсники с сопротивлениями x2m, x4m сформированы в виде параллельно соединенных параллельного колебательного контура из элементов с параметрами L1k, C1k и последовательного колебательного контура из элементов с параметрами L2k, C2k, а значения параметров определены из условия согласования по критерию обеспечения стационарного режима генерации на четырех частотах и соответствующих четырех значениях амплитуды низкочастотного управляющего сигнала с помощью следующих математических выражений:
- заданные значения действительной и мнимой составляющих сопротивления источника входного высокочастотного сигнала генератора в режиме усиления на четырех частотах ωm=2πƒm; m=1, 2, 3, 4 - номер частоты; rnm, xнm - заданные значения действительной составляющей сопротивления нагрузки на четырех частотах; r11m,x11m, r12m,x12m, r21m,x21m, r22m,x22m - заданные суммарные значения действительных и мнимых составляющих элементов смешанной матрицы F трехполюсного нелинейного элемента на заданных четырех частотах и заданных четырех значениях амплитуды низкочастотного управляющего сигнала и соответствующих действительных и мнимых составляющих элементов смешанной матрицы F цепи внешней обратной связи ƒ11m=r11m+jx11m, ƒ12m=r12m+jx12m, ƒ21m=r21m+jx21m, ƒ22m=r22m+jx22m на заданных четырех частотах; k=2,4 - индекс, характеризующий соответствующие номера реактивных двухполюсников с сопротивлениями x2m, x4m; x1m, x3m - заданные равные значения сопротивлений первого и третьего двухполюсников реактивного четырехполюсника в виде каскадно-соединенных двух Г-образных соединений четырех реактивных двухполюсников на заданных четырех частотах.
| Гоноровский И.С | |||
| Радиотехнические цепи и сигналы - М.: "Дрофа", 2006, с | |||
| Мяльная машина для лубовых растений | 1923 |
|
SU414A1 |
| СПОСОБ ГЕНЕРАЦИИ И ЧАСТОТНОЙ МОДУЛЯЦИИ ВЫСОКОЧАСТОТНЫХ СИГНАЛОВ И УСТРОЙСТВО ЕГО РЕАЛИЗАЦИИ | 2015 |
|
RU2599533C2 |
| СПОСОБ ГЕНЕРАЦИИ И ЧАСТОТНОЙ МОДУЛЯЦИИ ВЫСОКОЧАСТОТНЫХ СИГНАЛОВ И УСТРОЙСТВО ЕГО РЕАЛИЗАЦИИ | 2011 |
|
RU2496192C2 |
| СПОСОБ ГЕНЕРАЦИИ И ЧАСТОТНОЙ МОДУЛЯЦИИ ВЫСОКОЧАСТОТНЫХ СИГНАЛОВ И УСТРОЙСТВО ЕГО РЕАЛИЗАЦИИ | 2021 |
|
RU2777748C1 |
| EP 1935089 B1, 07.01.2009. | |||
Авторы
Даты
2025-05-28—Публикация
2024-08-19—Подача