Область техники
Изобретение относится к области радиотехники, средствам вычислительной техники, устройствам хранения и помехоустойчивой скрытной передачи подвергнутых шифрованию данных при наличии шумов с использованием конечного множества шумоподобных сигналов (ШПС).
Уровень техники
Известно устройство хранения данных [1], содержащее блок управления, блок памяти, блок коммутации и блок защиты ключевых цепей и обеспечивающее надежность и безопасность хранения данных при наличии опасного внешнего воздействия (статического электричества). Недостатком аналога является отсутствие системы шифрования и возможности скрытной передачи сохраненных данных пользователю по линии связи (ЛС) оптимальным образом при наличии (на фоне) шумов.
Известна когерентная система передачи информации [2]. В качестве ШПС используется конечное множество хаотических сигналов. Система содержит передающую и приемную части. В передающей части формируются хаотические сигналы, которые перемножаются на информационные последовательности так, что каждый бит однократно передается своим отрезком хаотического сигнала, при этом требуется вхождение в синхронизм передающей и приемной части. На приемной стороне формируются копии хаотических сигналов для выделения информационной последовательности. Недостатком аналога является необходимость обеспечения синхронизма хаотических сигналов в приемной и передающих частях, что требует использования сигналов достаточного уровня, а это приводит к отсутствию энергетической скрытности работы системы (имеется скрытность структуры сигналов). Обеспечение синхронизма требует затрат времени, что снижает быстродействие системы (чем шире спектр ШПС, тем большее время затрачивается). Также отсутствует система шифрования, запоминающее устройство (ЗУ) для хранения данных. Здесь когерентность системы означает наличие синхронности сигналов в передающей и приемной частях и не обеспечивает оптимальность передачи и обработки сигналов (обнаружение и различение) при наличии шумов.
В качестве аналога рассмотрено устройство шифрования [3, с. 51, рис. 2.5], в котором входные последовательности символов преобразуются в выходные последовательности в соответствии с ключом преобразования. Недостатком устройства является отсутствие ЗУ и возможности передачи данных.
Аналогом выбрано устройство [4], содержащее ЗУ (указано энергонезависимое ЗУ), линию связи (указана проводная или беспроводная секция приема/передачи данных), генератор случайных чисел, являющихся ключами шифрования/восстановления переданных данных, выполненный в виде одной/нескольких интегральных схем либо "смарт-карты", главный блок управления, представляющий собой программируемую интегральную схему, основанную на программном обеспечении, загружаемом специальным образом. Недостатком является отсутствие возможности скрытной передачи зашифрованных данных из ЗУ пользователю по ЛС оптимальным образом при наличии (на фоне) шумов.
Прототипом выбрано устройство [5], содержащее ЗУ, линию связи, генератор ключей шифрования, шифрователь, дешифрователь, устройство управления, генератор кодов ансамбля, приемное устройство, формирователь данных, генератор ключей дешифрования. Входные данные шифруются по ключам шифрования и записываются в ЗУ. По сигналам управления данные считываются и передаются по линии связи на вход приемного устройства. Далее формируются (восстанавливаются) зашифрованные данные, которые дешифруются по ключам дешифрования. Недостатком является отсутствие возможности оперативного, поинтервального варьирования ключей шифрования/дешифрования с целью повышения защищенности операции передачи данных пользователю.
Краткое изложение сущности и состава предлагаемого устройства
На вход заявляемого устройства хранения и передачи данных с системой синхронизируемого шифрования (УХПДШС) подаются входные данные Хвх, состоящие их множества байтов, каждый из которых является совокупностью бит (комбинации логических единиц "1" и нулей "0"). Задача устройства состоит в сохранении входных данных в защищенном от несанкционированной корректировки виде и восстановлении данных в необходимом для пользователя месте в требуемый момент времени, так чтобы в результате Хвых=Хвх. Каждому байту соответствует числовое значение и некоторый символ выбранной системы кодирования данных. Перед запоминанием чисел, соответствующих входным байтам, осуществляется изменение их числовых значений (шифрование) на новые величины в соответствии с выбранным пользователем правилом (ключом шифрования). В работе [3] упоминаются методы перенумерования символов. Шифрование путем перенумерования осуществляется благодаря управляющим сигналам, являющимся результатом сравнения байтов выбранной (эталонной) системы кодирования с ключами шифрования. Байты с новыми, перенумерованными значениями сохраняются в ЗУ. Задача передачи данных по ЛС для их воспроизведения в первоначальном виде в нужном для пользователя месте реализуется с использованном ансамбля кодированных сигналов, относящихся к классу ШПС, с использование оптимальных устройств обработки. При передаче данных из ЗУ каждый зашифрованный байт передается одним из этих сигналов ансамбля. Задача восстановления данных в первоначальном виде проводится путем обратной замены числовых значений байтов, сохраненных в ЗУ, на первоначальные номера (дешифрование) согласно правилу преобразования номеров байтов (ключу дешифрования), задаваемому пользователем. Шифрование и дешифрование осуществляются в шифрователе и дешифрователе. Ключи шифрования и дешифрования синхронно изменяются (варьируются) по величине на разных интервалах времени, задаваемых пользователем посредством программатора. Шифрование, хранение, передача и восстановление данных реализуется в пределах одного временного интервала, в котором указанные ключи неизменны. Другие циклы шифрования, хранения, передачи и восстановления могут реализовываться в пределах иного временного интервала, с измененными ключами. Интервалы постоянства ключей (слоты) выбираются достаточно короткими, возможный доступ к данным на одном из слотов не означает наличие доступа на других слотах, длительности которых непостоянны и фактически также кодируются.
Отличие от прототипа [5] заключается в конкретизации начала и окончания интервалов хранения и передачи данных, в многократном проведении требуемых операций при задании пользователем разных ключей в пределах этих временных интервалов (слотов).
Таким образом, входные данные могут быть сохранены, защищены, скрытно переданы по ЛС при наличии (на фоне) шумов посредством ШПС и обработаны оптимальным образом, после чего восстановлены в первоначальном виде. Используются R-коды [6, 7] и сигналы на их основе, например, фазоманипулированные сигналы (ФМС).
Скрытность передачи сигналов означает [8, с. 8, 9], что требуется использовать специальные методы и устройства для обнаружения факта передачи сигналов при наличии шумов, а также нужно измерять основные параметры сигналов. Чем больше база сигнала, тем выше энергетическая и параметрическая скрытность. Оптимальность обработки сигналов при наличии шумов остается справедливой и в условиях наличия широкого круга помех (узкополосных, импульсных, структурных) [8, с. 7].
Некоторые сведения о R-кодах и ансамблях
В системах управления, связи и радиолокации широко используются ШПС [8], которые обладают известными достоинствами. Разновидностью ШПС являются ФМС. Они состоят из последовательности N радиоимпульсов с одинаковой частотой и амплитудой (считаем ее равной единице). Очередность следования радиоимпульсов с различными начальными фазами характеризуется бинарной кодовой последовательностью или просто кодом G. При этом ФМС на основе этих кодов [6], у которых автокорреляционная функция (АКФ) в области боковых пиков меняется в пределах ±R (0≤R≤N-1, R-целое), называют сигналами R-го рода (ФМС-R). Вместе с тем, множество из g кодов G=GxR,N (x=1,…,g), соответствующее таким сигналам, названо R-кодами (это бинарные коды, у которых АКФ в области боковых пиков изменяется в пределах ±R, то есть R - наибольшее допустимое значение боковых пиков модуля АКФ).
Для немногочисленных кодов Баркера R-1. Наибольшее значение, пик модуля АКФ таких N-элементных кодов обозначен um=N, относительный уровень боковых пиков (УБП) АКФ равен В1=R/N. База ФМС равна B=N. Признаком шумоподобности сигнала является верность условия, что база велика (В>>1) [8]. Пары кодов характеризуются наибольшим значением модуля взаимной корреляционной функции (ВКФ) W.
ФМС-R на основе бинарных R-кодов являются импульсными сигналами. Для оптимального обнаружения и различения между собой этих кодов и сигналов при наличии шумов используются известные способы и схемы (согласованные фильтры и корреляторы) [8].
Некоторые совокупности ШПС обладают определенными свойствами, которые позволяют рассматривать их совместно, как ансамбли для построения алфавитов. В работах [9-11] рассмотрены вопросы нахождения R-кодов.
Символом Т обозначена длительность каждого из N радиоимпульсов ФМС-R. Начальные фазы могут быть равны 0 или π (180°), а коды принято представлять последовательностью коэффициентов соответственно (+1,-1), например, (1,-1,-1,-1,-1,1) для N=6; R=2. В общем случае начальные фазы радиоимпульсов могут быть равны ϕ0+0, когда коэффициент кода равен (+1), или ϕ0+π, в случае, когда коэффициент кода равен (-1), где ϕ0 - фиксированная составляющая указанной начальной фазы (главное, что разность фаз равна 0 или π).
Далее сигналами на основе бинарных кодов считаются ШПС, состоящие из радиоимпульсов, начальных фазы которых равны (ϕ0+0) либо (ϕ0+π), причем на изменения амплитуд и частот радиоимпульсов ограничения не накладываются, введены требования к УБП АКФ и ВКФ.
Представлено множество бинарных импульсных кодов, у которых УБП АКФ и ВКФ удовлетворяют определенным требованиям, в виде
где
- бинарный код;
j=1,…,N - коэффициенты х-го кода ансамбля; x - индекс нумерации кодов, x=1,…,g;
g - количество кодов в множестве или сигналов на их основе;
R - наибольшее допустимое значение боковых пиков модуля АКФ, 0≤R≤N-1, R- целое;
N - количество коэффициентов в кодах и в сигналах на их основе.
Ансамблем названо множество кодов с введенными ограничениями на УБП АКФ и ВКФ. Например, для кодов с Pxj=±1, R=3,N=30, W≤29, g=256: G13,30=(1,1,-1,-1,-1,1...1),G23,30=(1,-1,-1,-1,-1,1…1),…, G2563,30=(1,-1,-1,-1,1,1…1).
Ограничения на УБП АКФ и ВКФ сформулированы аналитически [6, 7]. В моменты tk=k⋅Т, где k=1,…,N-1, отсчитываемые от начала АКФ (k=0), величины модуля АКФ принимают экстремальные или нулевые значения и при k=N равны N.
Значения модуля ВКФ пар кодов ансамбля с индексами "x" и "у" рассмотрены в моменты tk=k⋅T, отсчитываемые от начала ВКФ. Коды ансамбля с ограничениями на УБП АКФ и ВКФ согласно [6,7,9-11] представимы в виде неравенств относительно коэффициентов кодов:
где Pij, PiN+j-k, j=1,…,N - коэффициенты i-го кода ансамбля;
N - количество коэффициентов в кодах ансамбля или в сигналах на их основе;
k - индекс нумерации отсчетов моментов времени автокорреляционной функции;
R - допустимый УБП АКФ, задаваемый пользователем, 0≤R≤N-1, R - целое;
g - количество кодов в ансамбле или сигналов на их основе;
где Pxj, PyN+j-k, j=1,…,N - коэффициенты х-го и у-го кодов ансамбля;
x, y (x≠y) - индексы различных кодов в ансамбле, принимающие значения от 1 до g;
g - количество кодов в ансамбле или сигналов на их основе;
N - количество коэффициентов в кодах ансамбля или в сигналах на их основе;
k - индекс нумерации отсчетов моментов времени взаимной корреляционной функции;
W - допустимый уровень боковых пиков взаимной корреляционной функции задаваемый пользователем, N>W≥1,
g=g1 - количество символов в системе кодирования данных.
Условие (3) устанавливает отношение каждого из g кодов в ансамбле и сигналов на их основе со всеми другими (g-1) кодами и сигналами. Коды ансамбля вырабатываются генератором кодов ансамбля. Параметры N, R, W и g взаимозависимы.
При передаче данных в информатике и компьютерной технике каждый байт соответствует определенному символу системы кодирования. Если каждому символу и соответственно байту поставить в соответствие код из ансамбля, то получится алфавит. При использовании известной системы кодирования ASCII (American Standard Code for Information Interchange-стандартный код информационного обмена), состоящей из g1=256 символов, требуется ансамбль кодов такой же численности g=g1 [9, 10]. Символам соответствуют числовые значения, изменяющиеся от 0 до 255, которые, как известно, представляются набором из восьми бит, составляющих байт.
В общем случае для системы кодирования из g1 символов требуется использовать g2=log2 g1 элементов (бит), поэтому наборы из g2 бит (не обязательно равные восьми) названы блоками. Для системы кодирования из двух символов (g1=2) блок состоит из единственного бита (g2=1), принимающего два значения, нужен ансамбль из двух кодов.
Система кодирования может определять соответствие уровней аналогового сигнала в определенные моменты времени и их кодовые значения в виде блоков (байтов). Далее для определенности в описании упоминается система ASCII.
Некоторые термины, использованные для упрощения описания
Алфавит - взаимно-однозначное соответствие между элементами системы кодирования и кодами или сигналами, составляющими ансамбль.
Ансамбль - множество бинарных кодов или импульсных сигналов на их основе, для которых введены ограничения на УБП АКФ (R) и ВКФ (W).
Сигналы на основе бинарных кодов - это импульсные сигналы, состоящие из радиоимпульсов, начальные фазы которых равны (ϕ0+0) либо (ϕ0+π), где ϕ0 - фиксированная составляющая указанной начальной фазы, причем на изменения амплитуды и частоты радиоимпульсов требования не накладываются, для этих сигналов введены ограничения (2), (3) на УБП АКФ и ВКФ. Если амплитуды и частоты постоянны, то имеются ансамбли ФМС-R.
Блок - совокупность g2=log2 g1 элементов (бит), где g1 - количество символов в системе кодирования, в которой каждому символу взаимно-однозначно соответствует определенный набор бит.
L - данные - блоки (байты) входных данных, перенумерованные в шифрователе в соответствии с ключами шифрования, обозначенными символом L.
Запись данных - занесение в ячейки ЗУ бит зашифрованных блоков (L - данных).
Восстановление данных - преобразование переданных по ЛС кодов ансамбля в L - данные и их последующее дешифрование.
Линганум - установленная пользователем функция (правило, формула, таблица), определяющая взаимно-однозначное соответствие между множествами чисел (0;1;…;g1-1) и множеством символов выбранной системы кодирования. ASCII - частный случай линганума.
Перенумерование блоков (байтов) - изменение порядка следования элементов (бит), например, логических единиц и нулей, либо положительных и отрицательных логических единиц, входящих в блок (байт) так, чтобы числовое значение, определяемое элементами блока (байта), стало равным назначенному числу (ключу).
Числовые значения блоков определяются последовательностью элементов, которые рассматриваются в качестве цифр двоичной системы исчисления, причем, если элементами выбраны положительные и отрицательные логические единицы, то при подсчете числовых значений блока отрицательные логические единицы заменяются на нули.
Формуляр - это такой набор кодов, для которого задано взаимно-однозначное соответствие целых чисел по порядку от 1 до g и кодов ансамбля (1), например, (G13,30;…;G2563,30) при g=256.
Слот - временной интервал, в пределах которого ключи шифрования и дешифрования неизменны.
Сортировка - операция преобразования одной конечной последовательности числовых значений в другую так, что индексы порядковых номеров элементов исходной последовательности уменьшаются на единицу и меняются местами с значениями элементов этой последовательности, порядковые номера новой числовой последовательности увеличиваются на единицу и элементы полученной последовательности со своими измененными порядковыми номерами расставляются в порядке возрастания этих номеров.
Сортировка используется для определения линганума восстановления данных и ключей дешифрования, исходя из вида линганума записи и ключей шифрования, что позволяет при дешифровании использовать те же операции и схемы, что и при шифровании.
Порядок сортировки определяется тем, что величины первоначальной последовательности надо поменять на новые, а также учесть, что эти величины и их индексы различаются на единицу (например, в ASCII индексы варьируются как 1, 2, 3, …, а числовые значения символов изменяются по возрастанию 0, 1, 2, …). Для этого величины индексов первоначальной последовательности перед указанной заменой уменьшаются на единицу, а индексы новой последовательности должны быть увеличены на единицу.
Пример проведения сортировки: задана первоначальная последовательность
записанная с учетом порядкового номера и значения элементов, с использованием знака соответствия "→". То есть (порядковый номер (первоначальное значение → новое значение)): 1(0→5); 2(1→0); 3(2→3); 4(3→2); 5(4→1); 6(5→4). Возможна иная запись:
=(51;02; 33; 24; 15; 46). Сортировка для определения искомой последовательности
: уменьшение индекса порядкового номера на единицу - (50;01;32;23;14;45); замена местами индексов и значений - (05;10;23;32;41;54); увеличение индексов новой последовательности на единицу - (06;11;24,33;42;55); расстановка элементов в порядке возрастания индексов -
=(11;42,33;24;55;06). Можно переписать это через знак соответствия для проведения проверки: 1(0→1); 2(1→4); 3(2→3); 4(3→2); 5(4→5); 6(5→0). Видна однозначная взаимосвязь полученного результата с первоначальной последовательностью, представленной выше через знак соответствия, перенумерования ("→").
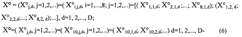
Представление операции шифрования путем перенумерования байтов. Представлен вариант, когда блок соответствует байту. Шифрование проводится путем замены числовых значений байтов (способом перенумерования) на слотах. Обозначено:
последовательность варьируемых значений линганума записи данных в двоичном и десятичном представлении (выписаны первые два и последний байты) для любого из d=1, 2, …, D слотов, каждое значение в скобках является одним из целых положительных чисел от 0 до (g1-1), используемым при составлении этой последовательности лишь однажды (g1-количество символов в системе кодирования данных, например, g1=256);
td=td-1+Λd - окончание d-го слота длительностью Λd≥0;
ψ=(Λd, d=1,2,…,D) - последовательность ключей шифрования длительностей слот;
tD - сумма Λd длительностей всех D слотов;
t0, tD - начальное и конечное значения первого и последнего слотов.
Для двоичной системы представления Li,j,d принимают значения логических "1" или "0" и задают i-й бит j-го байта для d-го слота. Значения Ld в формуле (4) устанавливают ключи шифрования. На фиг.1(a) графически представлены слоты различной длительности.
Введены входные и зашифрованные данные для каждого d-го слота:
входные данные в двоичной и десятичной системе (записаны лишь первые два байта);
данные после шифрования на d-м слоте в двоичной и десятичной системах (записаны только первые два байта);
i, j, d - индексы нумерации бит, байтов, слот.
При табличной записи значений
(фиг.4, 6) индекс j не вводится (его роль выполняют номера строк), индекс слота в примерах таблиц для их упрощения не конкретизируется. Перенумерование байтов (5) в выражении (6) осуществляется в шифрователе и в дешифрователе (при восстановлении данных) путем выполнения операции проверки выполнимости определенных условий и осуществлении операции присвоения:
операция шифрования путем замены числовых значений, где j=1, 2,…, d=1, 2, …, D - индексы нумерации байтов и слот;
Xвхj,d - значение j-го байта входных данных на d-м слоте;
- значение j-го байта после шифрования на d-м слоте;
L1,d; L2,d; ..., Lg1,d - последовательность значений ключей шифрования на d-м слоте;
g1 - количество символов в системе кодирования данных.
Заметим, что если j>(g1-1), например, j=1000, то "Если"Хвх1000=0 "ТО"Х°1000=L1 или "Если" Хвх1000=1 "ТО" Х°1000=L2 или … "Если" Хвх1000=(g1-1) "ТО" X°1000=Lg1, следовательно выражение (7) применимо (важно значение, а не индекс). Индекс слота для простоты не записан.
Для любого слота выходные данные после восстановления обозначены:
выходные данные в двоичной и десятичной системах (приведены первые два байта).
Восстановление данных производится при дешифровании путем замены числовых значений байтов (перенумерованием) на всех слотах. Аналогично выражению (4) имеем:
последовательность варьируемых значений линганума восстановления данных в двоичном и десятичном представлении (выписаны первые два и последний байты) для любого из d=1, 2, …, D слот, каждое значение в скобках является одним из целых положительных чисел от 0 до (g1-1), используемым при составлении этой последовательности лишь однажды (g1-количество символов в системе кодирования данных, например, g1=256);
t'd=t'd-1+Λd -момент времени окончания d-го слота длительностью Λ'd≥0;
ψ'=(Λ'd, d=1,2,…,D) - последовательность ключей шифрования длительностей слот;
t'D - сумма Λ'd длительностей всех D слот;
t'0, t'D - начальное и конечное значения первого и последнего слота.
Для двоичной системы представления L'i,j,d в выражении (9) принимают значения логических "1" или "0" и задают i-й бит j-го байта для d-го слота. Этот линганум дешифрования используется в качестве ключей дешифрования. На фиг.1(б) графически представлены слоты различной длительности. Для верного восстановления данных слоты и ключи шифрования и дешифрования должны соответствовать друг другу.
При восстановлении данных значения Х° из (6) преобразуются в Хвых из (8):
операции дешифрования путем замены числовых значений,
где j=1, 2, …, d=1, 2, …, D-индексы нумерации байтов и слот;
X°j,d - значение j-го байта до дешифрования;
Xвыхj,d - значение j-го байта выходных данных;
L'1,d; L'2,d; …; L'g1,d - последовательность значений ключей дешифрования (линганума восстановления данных);
g1 - количество символов в системе кодирования данных.
Значения L(t) в формуле (4) и L'(t) в выражении (9) используются для установки сигналов управления работой ключей инверторов, применяемых для получения логических функций (ЛФ), которые обеспечивают перенумерование данных при шифровании и дешифровании. Такие ЛФ реализуются, например, на логических элементах [12,13]. Шифрование проводится в соответствии с ЛФ, строящейся на основании таблицы истинности. Для реализации требуемых инверсий аргументов ЛФ применяются инверторы. После формирования сигналов управления инверторами УХПДШС готово к работе.
Генератор ключей шифрования формирует сигналы, соответствующие числовым значениям последовательности (4). При восстановлении данных используется сортировка, то есть последовательность (9) линганума восстановления получается после сортировки последовательности (4) линганума записи. Генератор ключей дешифрования формирует сигналы, соответствующие значениям последовательности (9).
Для реализации операций с данными в заявленном УХПДШС используются устройства, имеющие несколько входов либо выходов, для которых с целью удобства изложения введена следующая нумерация. Шифрователь - первых вход есть вход УХПДШС; второй вход тот, что соединен с выходом генератора ключей шифрования; запоминающее устройство - первый вход тот, что соединен с выходом шифрователя; второй вход тот, что соединен с вторым выходом устройства управления; устройство управления - первый выход тот, что соединен с входом генератора кодов ансамбля; второй выход тот, что соединен во вторых входом запоминающего устройства; дешифрователь - первый вход тот, что соединен с выходом генератора ключей дешифрования; второй вход тот, что соединен с выходом формирователя данных; логическое устройство шифрования - первый вход тот, что соединен с выходом сопрягающего устройства шифрователя; второй вход тот, что соединен с выходом преобразователя ключей шифрования; логическое устройство дешифрования - первый вход тот, что соединен с выходом преобразователя ключей дешифрования; второй вход тот, что соединен с вторым входом дешифрователя; программатор слот - первый выход тот, что подключен к линии связи шифратора, второй - тот, что соединен с линией связи дешифратора; генератор слот - первый и второй выходы соединены с соответствующими выходами программатора слот; синхронизатор-первый выход связан с входом генератора слотов, второй выход подключен к второму выходу программатора слот, третий выход соединен с первым выходом программатора слот.
Сущность изобретения
Задачей, на решение которой направлено заявляемое изобретение, является обеспечение дополнительной защищенности данных от внешних воздействий при их хранении и передаче.
Поставленная задача решается за счет того, что в устройство хранения и передачи данных с системой шифрования, содержащее запоминающее устройство, линию связи, генератор ключей шифрования, шифрователь, дешифрователь, устройство управления, генератор кодов ансамбля, приемное устройство, формирователь данных, генератор ключей дешифрования, вместе с этим первый вход шифрователя соединен с входом всего устройства, второй вход шифрователя подключен к выходу генератора ключей шифрования, выход шифрователя соединен с первым входом запоминающего устройства, второй вход запоминающего устройства подключен к второму выходу устройству управления, вход устройства управления соединен с выходом запоминающего устройства, первый выход устройства управления соединен с входом генератора кодов ансамбля, выход генератора кодов ансамбля подключен к входу линии связи, а выход линии связи соединен с входом приемного устройства, выход приемного устройства подключен к входу формирователя данных, выход которого соединен с вторым входом дешифрователя, выход дешифрователя является выходом всего устройства, первый вход дешифрователя соединен с выходом генератора ключей дешифрования, кроме того, генератор кодов ансамбля формирует множество кодов (1) или сигналов на их основе, коэффициенты также удовлетворяют соотношениям (2), коды ансамбля удовлетворяют ограничениям (3), как новые признаки введены линия связи шифрователя, линия связи дешифрователя, программатор слотов, причем вход линии связи шифрователя соединен с первым выходом программатора слотов, выход линии связи шифрователя подключен к входу генератора ключей шифрования, вход линии связи дешифрователя соединен с вторым выходом программатора слотов, выход линии связи дешифрователя подключен к входу генератора ключей дешифрования, шифрователь формирует сигналы X°j,d, j=1, 2, …, d=1, 2, D исходя из условий (7), дешифрователь формирует сигналы Xвыхj,d, j=1, 2, …, d=1, 2, D исходя из условий (10), генератор ключей шифрования формирует сигналы, соответствующие элементам последовательностей L(t) выражения (4), генератор ключей дешифрования формирует сигналы, соответствующие элементам последовательности L'(t) выражения (9), полученных так, что порядковые номера j-x элементов последовательности ключей шифрования Lj,d, j=1, 2, …, g1 для d=1, 2, …, D формулы (4) уменьшаются на единицу и меняются местами с значениями элементов этой последовательности, порядковые номера новой числовой последовательности увеличиваются на единицу и элементы полученной последовательность со своими измененными порядковыми номерами расставляются в порядке возрастания этих номеров, образуя L'j,d, j=1, 2, …, g1, d=1, 2, …, D формулы (9), при этом
программатор слотов включает генератор слот и синхронизатор, первый выход программатора слот соединен с первым выходом генератора слот и третьим выходом синхронизатора, второй выход программатора слотов подключен к вторым выходам генератора слот и синхронизатора, первый выход которого соединен с входом генератора слот, обеспечивается синхронная работа генераторов на каждом d-м слоте;
шифрователь содержит преобразователь ключей шифрования, логическое устройство шифрования и сопрягающее устройство шифрователя,
вход преобразователя ключей шифрования является вторым входом шифрователя, а выход преобразователя ключей шифрования подключен к второму входу логического устройства шифрования, первый вход логического устройства шифрования подключен к выходу сопрягающего устройства шифрователя, вход сопрягающего устройства шифрователя является первым входом шифрователя и всего устройства, выход логического устройства шифрования является выходом шифрователя;
дешифрователь содержит преобразователь ключей дешифрования, логическое устройство дешифрования и сопрягающее устройство дешифрователя,
вход преобразователя ключей дешифрования является первым входом дешифрователя, выход преобразователя ключей дешифрования соединен с первым входом логического устройства дешифрования, второй вход логического устройства дешифрования является вторым входом дешифрователя, выход логического устройства дешифрования связан с входом сопрягающего устройства дешифрователя, выход которого является выходом дешифрователя и всего устройства;
устройство управления содержит формирователь импульсов запуска и генератор адресов и режимов, выход генератора адресов и режимов является вторым выходом устройства управления, вход формирователя импульсов запуска связан с входом устройства управления, выход формирователя импульсов запуска подключен к первому выходу устройства управления.
Представленная совокупность существенных признаков позволяет получить технический результат и достичь цели изобретения, которые заключаются в дополнительном повышении защищенности хранения данных за счет синхронного временного изменения ключей шифрования и дешифрования и в обеспечении энергетически скрытной передачи зашифрованных данных пользователю по линии связи, в том числе при наличии шумов оптимальным образом. Предложенное устройство иллюстрируется схемой (фиг.2).
Перечень фигур графического изображения
Фиг.1 - различные слоты ключей шифрования и дешифрования.
Фиг.2 - структурная схема устройства хранения и передачи данных с системой синхронизируемого шифрования. Расшифровка числовых обозначений: 1. Запоминающее устройство. 2. Линия связи. 3. Генератор ключей шифрования. 4. Шифрователь. 5. Дешифрователь. 6. Устройство управления. 7. Генератор кодов ансамбля. 8. Приемное устройство. 9. Формирователь данных. 10. Генератор ключей дешифрования. 11. Линия связи дешифратора. 12. Программатор слот. 13. Линия связи шифратора. 14. Преобразователь ключей шифрования. 15. Логическое устройство шифрования. 16. Сопрягающее устройство шифрователя. 17. Формирователь импульсов запуска. 18. Генератор адресов и режимов. 19. Преобразователь ключей дешифрования. 20. Логическое устройство дешифрования. 21. Сопрягающее устройство дешифрователя. 22. Генератор слот. 23. Синхронизатор.
Фиг.3 - таблица двоичных значений аргументов ЛФ шифрования.
Фиг.4 - таблица двоичных значений зашифрованных данных и ЛФ шифрования.
Фиг.5 - таблица десятичных значений линганума записи и шифрования данных.
Фиг.6 - таблица значений ЛФ управления генератором кодов ансамбля.
Сведения, подтверждающие возможность осуществления изобретения.
1. Использованные логические функции, операция сортировки для проведения дешифрования. Рассмотрены ЛФ, на которых базируется работа УХПДШС, подвергнута разбору применяемая при дешифровании операция сортировки.
1.1 ЛФ для логического устройства (ЛУ) шифрования
Для записи ЛФ (как и в прототипе [5]) составлена таблица истинности, в которой указаны номера символов и байтов до шифрования и после проведения этой операции на основе линганума записи. Если в таблицу истинности ввести неявно заданные значения линганума записи (4), то ЛФ в явном виде выразить невозможно. Поэтому в качестве примера дан один из возможных вариантов линганума, что позволяет записать ЛФ в явной форме. Этот пример рассмотрен для случая, когда блоки соответствуют байтам, верен для любого слота, поэтому индекс слота не записывается.
Аргументами искомой ЛФ шифрования являются входные байты (5), а значениями функции являются зашифрованные байты (6). Размещение входных и выходных байтов в одной таблице затруднительно, поэтому использованы две таблицы. На фиг.3 приведены значения таблицы аргументов ЛФ шифрования для выбранного в качестве примера лингамума записи. В ней отсутствуют символы системы кодирования, но даны их порядковые номера, указаны значения двоичных разрядов и десятичные значения этих двоичных чисел (нумерация по порядку следует с единицы, а величины начинаются с нуля). Например, символу "Е" соответствуют двоичное и десятичное числа 10001012=6910, порядковый номер в таблице равен 70. В первой колонке записаны номера по порядку следования, далее восемь колонок со значениями бит для всех вариантов байтов (двоичное представление числа) и в последней колонке заданы десятичные значения Х10 (от 0 до 255 для g 1=256).
На фиг.4 представлена таблица значений аргументов и таблица истинности для ЛФ шифрования, которая позволяет посредством знака соответствия "→" записать операцию перевода числовых значений аргументов (фиг.3) в определенные значения функции. Тогда на примере линганума (4) при g1=256 имеем: L=(Lj, j=1,2,…,256)=(01,12,…,16970,…,18485,…,11122,…,255256) получим: 1(0→0); 2(1→1); …; 70(69→169); …; 85(84→184); …, 122(121→11); …; 256(255→255).
Первая колонка таблицы на фиг.4 - номера байтов по порядку; вторая - новые десятичные значения в соответствии с заданным линганумом; 3…10 колонки - зашифрованные двоичные значения; 11…18 колонки - новые двоичные значения в соответствии с линганумом (они совпадают со значениями колонок 3…10, но выделены для удобства построения ЛФ по правилам [12, с. 31; 13, с. 18]).
Пояснение к обозначению. ЛФ шифрования есть совокупность компонент, обозначенных F0ij, i=1,…,8; j=1,…,256, которые совместно с Xi,j индексируются построчно и по колонкам. Варьирование по индексу i осуществлено путем введения колонок для компонент ЛФ, а варьирование по j в обозначении компонент в указанной таблице фиг.4 не показано, так как оно проводится в соответствии с известными правилами построения ЛФ. То есть зашифрованные значения данных в двоичной форме j-й строки равны значениям компонент F°8,…,F°1 (индекс строк j опущен). Операция инверсии обозначена символом (…)*. На частном примере таблиц фиг.4 приведены старшие компоненты ЛФ шифрования F°8, F°7, которые равны:
Многоточие в суммах означает возможное наличие других слагаемых (на фиг.4 представлена часть строк полной таблицы для всех возможных байтов). Также составляются и другие компоненты ЛФ. Примеры выражений определяют ЛФ записи с шифрованием для любого набора аргументов - числовых величин всевозможных байтов до шифрования.
1.2 Операция сортировки
При восстановлении данных применяется линганум дешифрования (9), числовые значения которого являются результатом проведения сортировки линганума записи (4). Как и в прототипе [5] вариант такой операции рассмотрен на примере величин таблицы фиг.5 (дана расширенная таблица по сравнению с таблицей на фиг.4).
Обозначения в таблице: j - индекс нумерации по порядку следования числовых значений символов системы кодирования; Х10 - десятичные числовое значения байтов системы кодирования; Lj - десятичные числа линганума перенумерования (новое числовое значение байтов, которые требуется получить после шифрования). Справедливо соотношение: j=1+X10. Для краткости изложения примера в указанной таблице дана лишь часть числовых значений системы кодирования для g1=256. Например, j=111-й символ системы кодирования описывается байтом, соответствующим десятичному числу 11010, а в соответствии с линганумом записи символ перенумеруется и ему соответствует десятичное число 14910 и так далее.
На основании данных таблицы фиг.5 линганум записи имеет вид:
Например, элемент j=55 равен десятичному числу L55=54 и перенумеруется в число 250.
Восстановление путем дешифрования происходит в обратном порядке. Требуется первые и вторые числа поменять местами (либо изменить направление стрелок знака соответствия "→"), провести сортировку (перестановку, изменение порядка записи) этих пар чисел так, чтобы ставшими после перестановки первыми числа (левые) возрастали.
На основании ранее изложенной процедуры сортировки получим пошаговые результаты выполнения операций нахождения требуемой последовательности L':
(00,11,22,…,25054,…,16969,…,17878,…,17979,…,18383,…,18484,…,149110,…,11121,…,160188,…,254254, 255255) - уменьшение индексов на единицу;
(00,11,22,…,54250,…,69169,…,78178,…,79179,…,83183,…,84184,…,110149,…,12111,…,188160,…,254254, 255255) - замена индексов и значений;
(01,12,23,…,12112,…,110150,…,188161,…,69170,…,78179,…,79180,…,83184,…,84185,…,54251,…,254255, 255256) - увеличение индексов в новой последовательности на единицу и расстановка элементов по возрастанию индексов.
Следовательно, линганум восстановления, определяющий ключи дешифрования:
Показана процедура сортировки значений линганума записи для построения линганума восстановления данных (13), определяющего ключи дешифрования.
1.3 ЛФ управления генератором кодов ансамбля
Для определенности выбрана система ASCII (g1=256). Рассмотрен вид логических функций
n=1,…,g1, которые надо использовать для получения импульсов запуска генератора кодов ансамбля. Так как в ЗУ сохраняются байты L - данных (зашифрованные байты входных данных)
i=1,…,8; j=1,2,…,256, то каждому из них соответствует десятичное число, которое обозначено ŵ.
Требуется получить импульс (значение ЛФ отмечены в виде "1") только на
выходе из всех имеющихся g1=256 выходов, а на остальных выходах должно формироваться значение "0". Полученный сигнал позволяет далее с помощью формирователя кодов ансамбля генерировать только
код ансамбля из всех возможных g1=256 вариантов. То есть, если из ЗУ извлекается байт L - данных, который соответствует, например, десятичному числу 184, то рассматриваемая схема формирователя команд создает импульс "1" лишь на своем
выходе. Это дает возможность запустить устройство, формирующее исключительно лишь 185-й код из формуляра кодов ансамбля.
Обозначено: (X°i,j, i=1,…,8; j=1,2,…,256) - аргументы, (
n=1,…,256) - ЛФ от этих аргументов, причем, значение ЛФ равно " 1" (фиг.6) только для
набора аргументов
а для остальных вариантов величина равна "0". Составлена таблица истинности (фиг.6), причем для простоты указано лишь несколько числовых значений. В первой колонке - номера по порядку, в колонках со второй по десятую - десятичные и двоичные числовые значения бит, соответствующие символам системы ASCII. В остальных колонках - требуемые значения ЛФ.
Если сигнал есть на первом выходе устройства, реализующего ЛФ, то на всех других выходах функция равна нулю, если сигнал есть на втором выходе, то на всех других равен нулю и так далее (
лишь для n-го байта, n=1,…,g1). Применяя известные правила [12, с. 31; 13, с. 18], получим требуемые ЛФ. Например:
где n=g1=256, j=1, 2,… - индекс нумерации байтов.
Если подставить двоичные значения чисел, последовательно, например, для j=1, 185, 256 (А и
) из таблицы фиг.6 в формулы (14), то получим соответственно
(другие компоненты равны нулю),
(прочие компоненты равны нулю),
(остальные компоненты равны нулю). Эти величины определяют ЛФ управления формирователями ШПС. В общем случае применения блоков ЛФ содержит g=g1 компонент. Эти величины определяют ЛФ управления формирователями кодов ансамбля применительно к любому слоту.
2. Пример формуляра кодов ансамбля GxR,N(N=30; R=3; W=29; х=1,…,g; g=256)
Может быть применен ансамбль, представленный в прототипе [5], приведена часть кодов.
1) 1,1,-1,1,1,1,1,1,-1,1,1,-1,-1,1,-1,-1,-1,1,1,1,-1,1,-1,-1,1,-1,1,-1,1,1
2) 1,1,-1,1,1,1,1,-1,1,1,1,-1,-1,-1,-1,1,-1,-1,1,-1,1,1,1,-1,-1,-1,1,-1,1,1
…,
120) 1,-1,1,-1,-1,1,-1,1,-1,-1,-1,-1,-1,-1,-1,1,1,1,-1,-1,-1,1,1,-1,-1,1,-1,-1,1,1
121) 1,-1,1,1,1,-1,-1,1,1,1,1,-1,1,-1,1,-1,1,1,-1,-1,1,-1,-1,1,-1,1,1,1,1,1
254) 1,1,1,-1,1,1,1,1,-1,-1,-1,1,-1,-1,-1,1,1,-1,1,-1,-1,-1,-1,1,1,-1,1,-1,-1,-1
255) 1,1,1,-1,1,1,1,-1,-1,-1,-1,1,-1,-1,-1,1,1,-1,1,-1,-1,-1,-1,1,1,-1,1,-1,-1,-1
256) 1,1,1,-1,1,-1,-1,1,1,1,1,-1,1,-1,-1,1,1,1,-1,1,1,1,1,-1,-1,-1,1,-1,-1,-1
Наибольшее значение ВКФ всегда меньше наибольшего значения (пика) АКФ, поэтому для любого множества кодов W<N. Следовательно, коды представленного формуляра составляют ансамбль с параметрами N, R, W и условия (2), (3) выполняются. Это позволяет путем анализа УБП АКФ и ВКФ различить друг от друга коды и сигналы на их основе и восстановить переданные по ЛС зашифрованные блоки данных и исходные входные данные после их хранения в ЗУ. Необходимо использовать ансамбли кодов и сигналов на их основе с максимально низкими значениями УБП АКФ и ВКФ [6, 7].
3. Описание предлагаемого устройства
Устройство хранения и передачи данных с системой шифрования и синхронизацией представлено на структурной схеме фиг.2, дана расшифровка числовых обозначений элементов схемы, при этом
первый вход шифрователя 4 соединен с входом всего устройства, второй вход шифрователя 4 подключен к выходу генератора ключей шифрования 3, выход шифрователя 4 соединен с первым входом запоминающего устройства 1, второй вход которого подключен к второму выходу устройству управления 6, вход устройства управления 6 соединен с выходом запоминающего устройства 1, первый выход устройства управления 6 подключен к входу генератора кодов ансамбля 7, выход генератора кодов ансамбля 7 подключен входу линии связи 2, а выход линии связи 2 соединен с входом приемного устройства 8, выход дешифрователя 5 является выходом всего устройства, первый вход дешифрователя 5 соединен с выходом генератора ключей дешифрования 10, выход приемного устройства 8 подключен к входу формирователя данных 9, выход которого соединен с вторым входом дешифрователя 5,
вход линии связи шифрователя 13 соединен с первым выходом программатора слот 12, выход линии связи шифрователя 13 подключен к входу генератора ключей шифрования 3, вход линии связи дешифрователя 11 соединен с вторым выходом программатора слот 12, выход линии связи дешифрователя 11 подключен к входу генератора ключей дешифрования 10, вместе с тем
программатор слот 12 включает генератор слот 22 и синхронизатор 23, первый выход программатора слот 12 соединен с первым выходом генератора слот 22 и третьим выходом синхронизатора 23, второй выход программатора слот 12 подключен к второму выходу синхронизатора 23, первый выход которого соединен с входом генератора слот 22, шифрователь 4 содержит преобразователь ключей шифрования 14, логическое устройство шифрования 15, сопрягающее устройство шифрователя 16,
вход преобразователя ключей шифрования 14 является вторым входом шифрователя 4, а выход преобразователя ключей шифрования 14 подключен к второму входу логического устройства шифрования 15, первый вход логического устройства шифрования 15 соединен с выходом сопрягающего устройства шифрователя 16, вход которого является первым входом шифрователя 4 и всего устройства, выход логического устройства шифрования 15 является выходом шифрователя 4;
устройство управления 6 содержит формирователь импульсов запуска 17 и генератор адресов и режимов 18,
выход генератора адресов и режимов 18 является вторым выходом устройства управления 6, вход формирователя импульсов запуска 17 связан с входом устройства управления 6, выход формирователя импульсов запуска 17 подключен к первому выходу устройства управления 6;
дешифрователь 5 содержит преобразователь ключей дешифрования 19, логическое устройство дешифрования 20 и сопрягающее устройства дешифрователя 21, вход преобразователя ключей дешифрования 19 является первым входом дешифрователя 5, выход преобразователя ключей дешифрования 19 соединен с первым входом логического устройства дешифрования 20, второй вход логического устройства дешифрования 20 является вторым входом дешифрователя 5, выход логического устройства дешифрования 20 соединен с входом сопрягающего устройства дешифрователя 21, выход которого является выходом дешифрователя 5 и всего устройства.
4. Состав и работа отдельных устройств, входящих в заявляемое устройство
Устройства 1, 3, 4, 6, 7 из схемы на фиг.2 отнесены для удобства изложения к запоминающей части, а устройства 5, 8, 9, 10, 16-18 причислены к восстанавливающей части, обе части соединены ЛС 2 (программатор является общим) и составляют УХПДШС. Представлено описание устройств применительно к блокам в виде байтов.
4.1 Запоминающее устройство
ЗУ 1 предназначено для записи, хранения и воспроизведения на своем выходе сохраненных L - данных. ЗУ 1 является энергонезависимым и многократно перепрограммируемым. Этим требованиям, в частности, удовлетворяют твердотельные интегральные перепрограммируемые ЗУ с электрическим стиранием (без снятия микросхемы от контактных площадок) или EEPROM [14, с. 231, 233] и жесткие диски (с большим объемом памяти при стационарном режиме использования УХПДШС или малогабаритные при мобильном варианте применения).
Имеется матрица, состоящая из запоминающих ячеек (ЗЯ), дешифраторов выбора строк и столбцов, адресных шин для записи и считывания сигналов из ячеек [14, с.237, 239]. Сигналы выбора ячеек подаются из устройства управления 6 (фиг.2). Режимы работы: чтение, запись, стирание.
В рабочем режиме байты L - данных заносятся в ЗЯ. Последовательность записи и считывания регулируется сигналами управления адресами ЗЯ и режимом работы. Сигналы поступают на второй вход ЗУ 1 с второго выхода устройства 6. После окончания записи генератор ключей шифрования 3 может быть выключен (или отсоединен от всего устройства). При отключении питания от всего устройства ЗУ 1 переходит в режим хранения. Схожим образом реализуется считывание данных из ЗУ 1. Удаление данных из ЗУ 1 возможно путем подачи с генератор ключей шифрования одинаковых по значению сигналов (4). Все варианты позволяют получить один и тот же технический результат.
4.2 Линия связи
ЛС 2 предназначена для осуществления передачи кодов ансамбля или сигналов на их основе в ту часть заявляемого устройства, где данные восстанавливаются (от контакта G к Н фиг.2). ЛС 2 представляет собой совокупность технических средств и физическую среду, обеспечивающих распространение сигналов данных [15, с. 189]. Технические средства могут включать модулятор (например, смеситель с усилителем), передатчик (например, усилители и антенны), приемник (например, преобразователь частоты с усилителем), демодулятор. Физические среды: твердая, жидкая, газообразная, вакуум. Различают линии электрической связи (проводной и радиосвязи), звуковой (акустической) и световой (оптической) связи.
Данные могут передаваться при использовании электромагнитных волн, распространяющихся через провода, кабели, волноводы, световоды, а также в воздушном и безвоздушном пространстве. В частности посредством витой пары, волоконно-оптического кабеля (ВОК), коаксиального кабеля, радиоканала наземной либо спутниковой связи [16].
Примером твердой физической среды являются звукопроводы поверхностных и объемных акустических волн из, например, пьезокварца и ниобата лития. Длина звукопроводов невелика, но они практически нечувствительны к внешним воздействиям, исключая прямое физическое разрушение. Устройства на объемных и поверхностных акустический волнах для звуковых (акустических) линий связи представлены в [17].
Звуковые (акустические) линии связи в жидкой среде рассмотрены в [18], где указаны особенности звукоподводной связи. Линии световой (оптической) связи представлены в [19].
При непосредственном соединении контактов G и Н (фиг.2) линия связи 2 состоит из проводников элементов схем соответствующих устройств. Вспомогательное оборудование (преобразователи, усилители, антенны и так далее) здесь не рассмотрено. Изложенное относится также к ЛС шифрователя 13 и ЛС дешифрователя 11. Все варианты линий связи обеспечивают одинаковый технический результат.
4.3 Генератор ключей шифрования
Генератор 3 предназначен для формирования сигналов, соответствующих лингануму шифрования (4) для каждого слота. Эти сигналы представляют набор из g1=g байтов для каждого слота, числовые значения каждого из которых соответствуют величинам Lj,d, j=1,2,…, g1, d=1,2,…,D в выражении (4) и показаны в общем виде на фиг.1, наборы байтов, состоит из совокупности бит, параметры g, g1 - количество кодов в ансамбле и в выбранной системе кодирования. Устройство может быть выполнен на элементах дискретной схемотехники, например, на регистрах сдвига с отводами [8], так что к соответствующим отводам подключены инверторы, что позволяет получить на сумматоре сигналы от всех отводов требуемую числовую комбинацию бит, то есть необходимые байты ключей шифрования.
Возможен вариант выполнения в виде запоминающего устройства, в которое записаны все требуемые сигналы последовательности слотов и из которого они могут быть извлечены. Эти сигналы являются выходными для генератора ключей шифрования 3.
Генератор ключей шифрования 3 может быть выполнен в виде программируемой логической интегральной схемы (ПЛИС) [13, 14, с. 494, 534] или ее разновидности либо варианта ПЛИС, который может быть создан в будущем. Сигналы управления, подаваемые на ПЛИС, позволяют реализовать должные ЛФ, получить требуемые последовательности байтов. В любом случае обеспечивается один и тот же технический результат.
4.4 Шифрователь
Устройство 4 предназначено для шифрования входных данных путем перенумерования байтов в соответствии с линганумом записи (на основании выражения (4)) для любого слота, задаваемым генератором ключей шифрования 3.
Для этого используются ЛФ, схожие с выражением (11), построение дано в представленном примере. ЛФ могут быть реализованы, например, на логических элементах "И", "ИЛИ", "НЕ" [12, 13]. В состав шифрователя входит преобразователь ключей шифрования 14, ЛУ шифрования 15 и сопрягающее устройство шифрователя 16.
Краткое изложение сущности операций шифрования для произвольного слота (индекс слота опущен)
Для реализации ЛФ шифрования требуется выполнить операции инверсии (11), что возможно посредством инверторов, регулируемых управляющими сигналами. Операции осуществляются в ЛУ шифрования 15, указанные управляющие сигналы вырабатываются преобразователем ключей шифрования 14. Управляющие сигналы зависят от результатов сравнения (по определенному правилу) байтов, формируемых генератором ключей шифрования 3 (они задаются пользователем для каждого слота), с байтами выбранной системы кодирования (они выполняют роль эталонов) на каждом слоте.
Назначение инверторов - осуществление операции инвертирования (отрицания) двоичной переменной (обозначим ее "А") при воздействии внешнего сигнала управления U. Например, переменная А преобразуется в А*, если U равно логической "1" и не преобразуется, если U равно логическому "0".
Например, инвертор может быть построен из двух электронных ключей (Кл. 1,2) и схемы, выполняющей функцию инверсии "НЕ". Общая схема состоит из двух параллельных ветвей. В первой расположен Кл. 1, во второй - элемент "НЕ" и последовательно с ним Кл. 2. Входы и выходы ветвей являются также входами и выходами инвертора. Кл.1 размыкается, когда на управляющий вход ключа подается положительный сигнал U (обозначим его "+1"), а Кл. 2 при подаче этого сигнала замыкается. В этом случае входная переменная А проходит на выход через Кл.2 и инвертируется ("+1" - инверсия есть). Если подается противоположный сигнал управления (обозначим "0"), то Кл. 1 замыкается, а Кл. 2 размыкается. Входная переменная А проходит на выход без инверсии ("0" - инверсии нет). Меняя значение U, можно получить аргументы ЛФ в требуемом инвертируемом или нет виде. ЛФ для управления инверторами задается следующим образом: устройство управления инверторами имеет два входа, на которые подаются логические величины "В" и "С", тогда на выходе формируются значения сигналов управления в виде соотношения U=С⋅В*. Эта ЛФ принимает ненулевое значение лишь для набора аргументов (В;С)=(0;1).
Устройства управления инверторами посредством сигналов U могут быть реализованы на логических элементах "И", "НЕ" [12,13].
Исходя из установленных значений U (величина принимает единичное значение лишь для пары аргументов (0;1)) для проведения операции инверсии требуется сформировать следующий набор значений: переменная "С" (значение функции преобразования) равна "1", а аргумент "В"(входной сигнал) равен "0".
Обозначено: F°1,j; F°2,j; …; F°7,j; F°8,j - j-e компоненты ЛФ шифрования, каждая из которых равна произведению бит, часть из которых может быть инвертирована. Эти значения должны быть сформированы схемотехнически, они соответствуют лингануму записи. ЛФ шифрования - это набор величин F°1; F°2; …, F°7; F°8, являющихся суммами указанных компонент ЛФ для всех значений j=1,…,g1 (например, g1=256).
В соотношении U=C⋅B* считаем, что переменная "С" аналогична значениям компонент ЛФ шифрования и одновременно значениям линганума записи (таблица фиг.4), а "В" является аргументом этой функции (таблица фиг.3). Тогда для проведения операции инвертирования сигнал управления U в виде логической "+1" будет создаваться, когда "С" равно "+1" и "В" равно "0". Для всех других наборов переменных (В;С) на выходе схемы формирования сигнала управления U будет формироваться "0". Сигнал U определяется по указанному правилу для каждого i-го бита любого j-го байта применительно к каждой функции F°k, k=1, …, 8 (фиг.4). Следовательно, сигналы управления инверторами в общем виде зависят от трех указанных индексов (i, j, k) и поэтому обозначены Ui,j,k. То есть величина "С" (компоненты ЛФ и значения линганума записи) является разрешающим сигналом проведения инвертирования величины "В" (аргументов ЛФ).
Преобразователь ключей шифрования 14, входящий в шифрователь 4, формирует управляющие сигналы Ui,j,k для инверторов на основе выбранного пользователем линганума, который реализуется в виде сигналов генератора ключей шифрования 3, а ЛУ шифрования 15 позволяет получить компоненты и построить требуемую ЛФ шифрования.
Схема реализации преобразователя ключей шифрования 14 для любого слота. В возможной схеме для формирования Ui,j,k имеется вход для значений линганума L(t), передаваемых на второй вход шифрователя 4 от генератора ключей шифрования 3, а также имеется генератор байтов системы кодирования. Байты системы известны и неизменны для выбранной системы кодирования, для всех слотов. При g1=256 по аналогии с (5) эти байты обозначены (X'i,j,i=1,…,8;j=1,2,…,256)=[(X'1,1;X'2,1;…;Х'8,1); (X'1,2;X'2,2;…;X'8,2); …; (X'1,256;X'2,256;Х'8,256)] - Величины принимают значения целых десятичных чисел от 0 до 255, а в двоичной системе исчисления они совпадают с числами в строках таблицы на фиг.3, 4 от набора (0,…,0) до (1,…,1)), играют роль эталонов. Генератор байтов Х'i,j системы кодирования может быть выполнен на регистрах с весовыми отводами и сумматорами [8] или в виде запоминающего устройства. Этот генератор байтов запускается при подключении напряжения питания. Величины Х'i,j есть значения номеров байтов (эталонов), используемые в подготовительном режиме для получения сигналов установки инверторов в любом слоте (регулируются сигналами от программатора слот через линию связи). Сигналы установки далее применяются в ЛУ шифрования 15 для формирования ЛФ шифрования в рабочем режиме.
Схемы для реализации ЛФ U=С⋅В* и генератор байтов системы кодирования входят в состав преобразователя ключей шифрования 14 и могут быть построены на логических элементах "НЕ", "И" для всех бит (i=1,…,8) j-го байта в любом слоте. Аналогичные схемы нужны для всех разных значений j=1,…,g1 с целью создания напряжений управления всеми инверторами, что позволяет получить требуемые ЛФ шифрования.
Для демонстрации примера зафиксируем номер слота и вычеркнем из обозначений, тогда, например, L1,j последовательно умножается на инверсии значений Х'1,j, X'2,j, …, X'8,j и получаются сигналы U1,j,1, U2,j,1, …, U8,j,1. Если же L8,j умножается на X'1,j, X'2,j, …, X'8,j, в результате формируются величины U1,j,8, U2,j,8, …,U8,j,8 и так для всех байтов j=1, …, g1. Для ASCII индексы величин Ui,j,k характеризуют: i=1, …, 8 - зависимость от номера бит в байте; j=1, …, 256 - подчиненность от номера байта; k=1, …, 8 - связанность с номером компонент ЛФ (F°1, j; …; F°8,j) шифрования. Такими же по назначению индексами нумеруются инверторы, то есть Ii,j,k. Во все величины в общем виде надо ввести индекс слота, который не влияет на результаты и порядок изложенных действий.
Работа преобразователя ключей шифрования 14. После подключения электропитания запускается генератор ключей шифрования 3 и генератор байтов системы кодирования. В соответствии с указанными правилами создаются напряжения управления инверторами U. В результате преобразователь ключей шифрования 14 трансформирует ключи шифрования конкретного слота в управляющие напряжения для инверторов ЛУ шифрования 15 для этого слота.
ЛУ шифрования 15 предназначено для выполнения операции шифрования входных байтов путем их перенумерования в соответствии с линганумом записи, с использованием напряжений управления инверторами. Для воплощения этой задачи можно использовать схемы для реализации ЛФ, сходных с выражением (11), применяя логические элементы "И", "ИЛИ", "НЕ" [12, 13].
В структуре ЛФ выражения (11) отметим особенности, верные для любого слота (индекс слотов не записан). Ранее аргументы обозначались Xi,j, i=1, …, 8; j=1, 2, …, а в приведенном примере выражений для F°8 и F°7 используется одноиндексная нумерация Xi, i=1, …, 8. Это связано с тем, что каждое слагаемое в ЛФ соответствует определенному значению индекса], то есть вариация этого индекса при построении ЛФ учтена, поэтому для упрощения записей введена одноиндексная нумерация. При построении схемы ЛУ шифрования 12 это обстоятельство учтено в том, что в схеме имеются две части: одна формирует компоненты сумм различных ЛФ, а другая осуществляет их объединение, образуя в результате требуемую функцию целиком.
Каждая из указанных ЛФ представляется суммой произведений аргументов (Xi,j, i=1,…,8; j=1,2,…), как в формуле (11), некоторые из них инвертированы. Количество слагаемых для g1=256 равно количеству строк в таблицах фиг.3, 4. В зависимости от вида линганума записи часть слагаемых указанной суммы произведений равна нулю, поэтому они отсутствуют в (11). В общем случае для каждой из восьми компонент ЛФ (рассматривается блок из восьми бит) требуется при их схемотехнической реализации формировать все g1 слагаемых (например, g1=256).
По правилам [12, с. 31; 13, с. 18] формирования любой ЛФ выделяются наборы аргументов, при которых функция равна единице (отмечены на фиг.4 знаком (*)). Для инвертирования нулевых значений из этого набора аргументов используются инверторы. Инверторы в каждом слоте Ii,j,k управляются сигналами Ui,j,k, вырабатываемыми преобразователями ключей шифрования 14. В подготовительном режиме формируются напряжения управления инверторами, в рабочем режиме на входы соответствующих устройств подаются байты данных для дальнейшего шифрования, сохранения и восстановления.
То есть ЛУ шифрования 15 состоит из формирователей компонент F°1,j;F°2,j; …; F°7,j; F°8,j каждого j-го байта (это произведение бит, часть которых может быть инвертирована) и слота, а также сумматоров для получения набора ЛФ шифрования слота (F°1;F°2;…;F°7;F°8).
Состав схем одного из возможных вариантов реализации формирователей компонент для любого слота может включать инверторы Ii,j, k, i=1, …, 8; j=1, …, g1 (например, g1=256); k=1, …, 8 и перемножители двоичных сигналов (8-ми входовые элементы "И). В режиме записи на входы формирователей компонент подаются значения входных данных (аргументы ЛФ) (X1,j,Х2,j,…,X8,j). На выходе имеются значения компонент ЛФ (F°1,j;F°2,j;…;F°8,j) для каждого значения j=1,…,g1, причем эти компоненты являются произведениями значений входных данных (аргументов ЛФ) и некоторые из них инвертированы. В результате формируются слагаемые для компонент каждой из ЛФ, соответствующие всем j=1,…,g1. Далее проводится суммирование по всем значениям индекса j.
В схеме реализации формирователя компонент ЛФ также имеется вход для сигналов управления инверторами Ui,j,k (i - индекс для изменения бит входных байтов; j - индекс вариации входных байтов; k - индекс нумерации компонент ЛФ F°1,j; …; F°8j).
Например, на инверторы I1j,1; I2,j,1; …, I8,j,1, позволяющие получить инвертированные или нет входные биты, подаются 1, 2, …, 8-й биты j-го байта входных данных X1,j, X2,j, …, X8,j, а также сигналы управления записью U1,j,1; U2,j,1; …, U8,j,1. В результате перемножения сигналов на выходах инверторов получается компонента ЛФ F°1,j. Таким же образом применяются другие инверторы, в частности, если на инверторы I1,j,8; I2,j,8; …; I8,j,8, подать сигналы управления записью U1,j,8; U2,j,8; …, U8,j,8, то будет найдена компонента ЛФ F°8, j. Такие операции проводятся для всех значений индекса j=1,…,g1 (например, g1=256). Применяются схемы для каждого указанного значения] в отдельности, которые отличаются состоянием инверторов (подаются различающиеся управляющие сигналы, зависящие от линганума).
Имеются схемы суммирования слагаемых, составляющих компоненты ЛФ для различных j и схемы для формирования набора ЛФ. Пусть примером является выражение (11) для одной из функций набора, допустим F°8. На каждую схему суммирования компонент (элементы "ИЛИ") поступают сигналы от формирователей этих компонент для различных j. Компоненты, относящиеся к одной и той же ЛФ, но для разных значений], суммируются на g1 - входовых элементах "ИЛИ" (например, g1=256), что позволяет получить требуемые ЛФ.
На выходе схемы суммирования компонент имеются значения набора ЛФ шифрования (F°1;F°2;…;F°8), которые соответствуют разрядам зашифрованных посредством перенумерования байтов (6). То есть шифрователь 4 позволяет реализовать операции преобразования входных данных в зашифрованные байты, которые сохраняются в ЗУ 1.
Все операции реализуются в любом слоте, различия состоят в величинах задаваемых ключей шифрования.
Сопрягающее устройство шифрователя 16 предназначено для согласования ЛУ шифрования 15 с линией передачи, по которой на УХПДШС подаются входные данные, или для согласования формы представления данных или для применения известных правил, которые требуется реализовать для работоспособности ЛУ шифрования 15.
Согласование в сопрягающем устройстве шифрователя 16 позволяет энергетически эффективно и без искажений передать на ЛУ шифрования 15 входные данные. Функция согласования формы данных может заключаться, например, в преобразовании последовательной передачи байтов в параллельное следование байтов или в использовании некоторых протоколов, стандартов передачи/приема данных.
В несогласованных линиях связи возможны искажения данных [14, с. 29-32]. Они могут быть снижены путем применения устройства согласования [14, с. 32-40] или стандартов ввода/вывода данных [14, с. 43-53], что также относится к функции сопрягающего устройства. Оно может быть выполнено на пассивных или активных элементах (транзисторах, микросхемах) или в виде универсальной последовательной шины USB как в [4]. Все варианты обеспечивают одинаковый технический результат.
Работа шифрователя 4 на любом слоте (индекс слота не указан, так как он произволен) начинается с подачи байтов входных данных (Х1,j,Х2,j,…,X8,j - это разряды двоичных чисел j-й строки таблицы фиг.3). Инверторы установлены сигналами управления в подготовительном режиме, поэтому требуемые ЛФ шифрования имеются. Это позволяет задать новый номер каждому из входных символов (входных байтов) согласно этой ЛФ шифрования, что и нужно получить.
Схемы шифрователя 4 могут быть осуществлены на логических элементах или в виде ПЛИС [13, 14, с. 494, 534] или на ее разновидности либо на таком варианте ПЛИС, который может быть создан в будущем. Все варианты выполнения обеспечивают один и тот же технический результат.
4.5 Дешифрователь
Устройство 5 предназначено для дешифрования полученных из ЗУ 1 зашифрованных путем перенумерования байтов данных (согласно значениям линганума восстановления), то есть в соответствии с величинами (9), формируемыми генератором ключей дешифрования 10 для каждого слота. Используются схемы и формируются ЛФ, сходные с теми, которые предназначены для проведения шифрования и записи (примером является выражение (11)), с тем отличием, что линганум восстановления имеет другой вид. Указанные схемы могут быть реализованы, например, на логических элементах "И", "ИЛИ", "НЕ" [12, 13] либо на ПЛИС. Операция дешифрования реализуется с помощью преобразователя ключей дешифрования 19, ЛУ дешифрования 20 и сопрягающего устройства дешифрователя 21.
Преобразователь ключей дешифрования 19 сходен с преобразователем ключей шифрования 14. Разница между ключами шифрования и дешифрования связана с отличиями линганумов. Величины L'(t) формулы (9), формируемые генератором ключей дешифрования 10 для любого слота, получаются в результате сортировки значений сигналов генератора ключей шифрования 3 (дан пример, получены выражения (12), (13)).
Сортировка позволяет добиться унификации путем использования одинаковых операций и схем при дешифровании и при шифровании (различия заключаются в сигналах управления инверторами). Составление ЛФ восстановления байтов путем дешифрования осуществляется таким же образом, как и при реализации операции шифрования.
Приведены операции, выполняемые для любого слота, индексы слот не указаны, а присовокупляются к другим индексам. Введено обозначение V=Vi,j,k - сигналы управления инверторами дешифрователя, используемые в ЛУ дешифрования 20, где i - индекс для нумерации бит; j - индекс вариации байтов; к - индекс компонент ЛФ.
Схема реализации преобразователя ключей дешифрования 19. В этой схеме для формирования V=Vi,j,k имеется вход для значений линганума конкретного слота L'(t), передаваемых на первый вход дешифрователя 5 от генератора ключей дешифрования 10, а также используется генератор байтов системы кодирования. Эти заранее известные байты для g1=256 по аналогии с (5) обозначены (X'ij, i=1,…,8; j=1,2,…,256)=[(X'1,1;X'2,1;…;Х'8,1); (X'1,2;X'2,2;…;X'8,2); …; (X'1,256;X'2,256;…;Х'8,256)]. Величины этих байтов принимают значения целых десятичных чисел от 0 до 255, а в двоичной системе исчисления они совпадают с числами в строках таблицы на фиг.3, 4 (от набора (0,…,0) до (1,…,1)). Генератор байтов Х'i,j системы кодирования может быть выполнен на регистрах с весовыми отводами и сумматорами [8] или в виде запоминающего устройства. Этот генератор байтов запускается после изменения ключей дешифрования слота. Величины Х'i,j - эталонные числовые значения байтов, используемые в коротком подготовительном режиме в начале любого слота для получения сигналов Vi,j,k установки инверторов, которые далее применяются в рабочем режиме в ЛУ дешифрования 20. Все генераторы запускаются одновременно для синхронизации выполнения операций на любых слотах посредством сигналов, подаваемых с соответствующих выходов программатора 12.
Далее на логических элементах "НЕ" и "И" многократно реализуется ЛФ V=С⋅В* для всех бит (i=1,…,8) каждого j-го байта. Аналогичные схемы для разных значений j=1,…,g1 позволяют получить требуемые ЛФ для сигналов управления всеми инверторами ЛУ дешифрования 20.
Сопрягающее устройство дешифрователя 21 предназначено для согласования сопротивлений ЛУ дешифрования 20 с линией передачи, по которой из УХПДШС подаются выходные данные или для согласования формы представления данных.
Согласование, обеспечивающееся сопрягающем устройстве дешифрователя 21, позволяет энергетически эффективно и без искажений передать данные на выход УХПДШС. Согласование формы данных может заключаться, например, в преобразовании последовательной передачи байтов в паралельное следование байтов или в использовании известных протоколов либо стандартов передачи/приема данных.
В несогласованных линиях связи возможны искажения данных [14, с. 29-32]. Они могут быть снижены путем применения устройств согласования [14, с. 32-40] или стандартов ввода/вывода данных [14, с. 43-53], что также обеспечивается сопрягающим устройством 21. Оно может быть выполнено на пассивных или на активных элементах (транзисторах, микросхемах) или в виде универсальной последовательной шины USB как в [4]. Для любого варианта обеспечивается одинаковый технический результат.
Работа преобразователя ключей дешифрования 19. После подключения электропитания в начале работы и при смене слота запускается генератор ключей дешифрования 10 и генератор байтов системы кодирования. Далее устанавливаются сигналы управления инверторами. В итоге преобразователь ключей дешифрования 19 трансформирует ключи дешифрования слота в управляющие сигналы инверторов, расположенных в ЛУ дешифрования 20.
ЛУ дешифрования 20 предназначено для выполнения операции дешифрования принятых из ЗУ 1 зашифрованных байтов путем их перенумерования в соответствии с линганумом восстановления данных для этого слота, с использованием напряжений управления инверторами в данном слоте. Для воплощения этой задачи требуется использовать схемы, реализующие ЛФ, ранее рассмотренные на примере выражения (11). Схемотехнически ЛУ дешифрования 20 может быть реализовано на логических элементах "И", "ИЛИ", "НЕ" или на ПЛИС.
Инверторы I'i,j,k, посредством которых осуществляется инвертирование требуемых аргументов ЛФ по правилам [12, 13], управляются сигналами Vi,j,k, вырабатываемыми преобразователями ключей дешифрования 19 в подготовительном режиме на любом слоте. В результате предварительной установки инвертируются лишь необходимые для проведения дешифрования данных биты. В рабочем режиме на входы инверторов поступают байты зашифрованных данных (6).
ЛУ дешифрования 20 состоит из формирователей компонент F'1, j; F'2,j; …; F'8,j каждого j-го байта (это произведение бит, часть которых может быть инвертирована) и сумматоров указанных компонент для получения набора ЛФ дешифрования (F'1;F'2;…;F'8) для всех значений j=1, …, g1 (например, g1=256).
Сущность операций ЛУ дешифрования 20. Схема одного из возможных вариантов реализации формирователя компонент ЛФ состоит из инверторов I'i,j,k, i=1, …, 8; j=1, …, g1 (например, g1=256); k=1, …, 8 и перемножителей двоичных сигналов (8-ми входовых элементов "И" для получения произведения восьми значений бит каждого из байтов, некоторые из которых инвертированы). В режиме восстановления данных на любом слоте на вход формирователей компонент ЛФ подаются значения принятых из ЗУ 1 зашифрованных данных, которые являются в этом случае входными сигналами и аргументами ЛФ. У инверторов, как и при шифровании, имеется вход для сигналов управления Vi,j,k (i - индекс для изменения бит входных байтов; j - индекс вариации входных байтов; k - индекс компонент ЛФ). В результате на выходе этих схем имеются значения компонент ЛФ дешифрования (F'1,j;F'2,j;…;F'8,j) для каждого слота.
Для получения набора ЛФ дешифрования для любого слота проводится суммирование этих слагаемых по всем возможным значениям индекса j, что реализуется сумматорами компонент (схемами "ИЛИ"). На каждую из таких схем поступают сигналы от формирователей этих компонент, то есть слагаемые ЛФ для различных значений индекса j. В результате компоненты, относящиеся к одной и той же ЛФ, но для разных значений j, суммируются на g1 - входовых элементах "ИЛИ" (например, g1=256). После суммирования компонент вырабатывается набор ЛФ дешифрования F'=(F'1;F'2;…;F'8), которые в рабочем режиме соответствуют разрядам восстановленных при дешифровании байтов (8).
В рабочем режиме на любом слоте на вход ЛУ дешифрования 20 подаются сигналы управления инверторами Vi,j,k и зашифрованные данные (6). В соответствии с ЛФ дешифрования F' реализуются операции перенумерования принятых из ЗУ 1 зашифрованных L-байтов, в результате чего происходит восстановление данных (8) в исходном виде (Хвых=Хвх).
Схемы дешифрователя 5 могут быть выполнены на логических элементах или в виде ПЛИС [13, 14, с. 494, 534] или на ее разновидности. Все варианты выполнения обеспечивают один и тот же технический результат.
4.6 Устройство управления
Это устройство 6 является генератором сигналов управления следующими действиями: операциями записи/чтения зашифрованных данных в ячейки ЗУ 1 или из них; формированием импульсов запуска генератора кодов ансамбля 7. Один из возможных вариантов реализации устройства 6 предполагает генерирование следующих сигналов: 1) импульсов адресов строк и колонок ЗЯ (
m, n=1,2,… - сигналы управления перебором номеров соответственно строк и колонок матрицы ЗЯ, в которые побайтно заносятся L-данные для хранения в ЗУ 1 и дальнейшего их чтения); 2) сигналов задания режима записи/чтения данных в/из ЗУ 1 (этот сигнал обозначен
). Он управляет операцией записи зашифрованных данных в ЗУ 1 и чтением этих данных для дальнейшей их передачи на восстанавливающую часть УХПДШС (это происходит после начала работы преобразователя ключей дешифрования 19 на каждом слоте); 3) импульсов запуска генератора кодов ансамбля 7.
Устройство, вырабатывающее импульсы запуска генератора кодов ансамбля 7, именован формирователем импульсов запуска 17 (импульсы подаются на первый выход устройства управления 6). Устройство, создающее импульсы адресов строк и колонок и сигналы задания режимов, названо генератором адресов и режимов 18 (создаваемые сигналы могут подаваться последовательно на второй выход устройства управления 6).
Генератор адресов и режимов 18 является стандартным. Запись, чтение и управление этими режимами осуществляется с помощью разрядных шин, подключенных ко всем ЗЯ. Формирование сигналов
возможно известными методами и устройствами [12-14]. Устройство может работать в автоколебательном режиме, формируя сигналы такой длительности, которая определяет временные интервалы для записи и восстановления данных. Сигнал
может запускаться, например, вручную переключателем, подключающим генератор 18 к источнику питания. В результате начинается процесс восстановления данных, относящихся к текущему слоту. Генератор 6 может быть выполнен в виде запоминающего устройства, содержащего сигналы запуска интервалов записи и чтения байт из ЗЯ на всех слотах, может запускаться одновременно со всеми ключами шифрования и дешифрования. Все варианты обеспечивают одинаковый результат. Сигналы адресов и режимов поступают на второй вход ЗУ 1 и показаны для простоты на схеме фиг.2 одиночной линией.
Вход формирователя импульсов запуска 17 является входом устройства управления записью 6 и подключен к выходу ЗУ1. Выход этого формирователя 17 есть совокупность g1 выходов (например, g1=256), составляющих первый выход устройства управления 6. При поступлении из ЗУ 1 одного из возможных байтов L-данных, лишь на одном из всех этих g1 выходов появляется сигнал реакции (импульс запуска), который передается на выход 1 устройства управления 6 и далее на вход генератора кодов ансамбля 7, что приводит к генерированию соответствующего кода или сигнала на основе этого кода.
Формирователь импульсов запуска 17 реализует ЛФ (14) и может быть построен, например, на логических элементах "И", "ИЛИ", "НЕ" [12, 13]. Принцип работы формирователя подобен тому, что использован в шифрователе 4 (одна комбинация входных сигналов преобразовать в другую совокупность выходных значений посредством использования ЛФ). Формирователь импульсов запуска 17 может быть выполнен в виде ПЛИС [13, 14, с. 494, 534] или на ее разновидности либо варианта ПЛИС, который может быть создан в будущем. Все варианты обеспечивают один и тот же технический результат.
В примере (14) ЛФ являются произведением аргументов, которые входят в это произведение с инверсией либо без нее. Поэтому схема формирователя импульсов запуска 17 должна состоять из g1 (например, g1=256 - по числу ЛФ) восьми входовых (по числу бит в байтах входных сигналов этого формирователя) перемножителей, на которые передаются входные сигналы напрямую или после инвертирования, в зависимости от величины индекса ЛФ
n=1,…,g1. Подключение инверторов к перемножителям выполняется при изготовлении и неизменно, сигналы управления не требуются в отличие от операций шифрования и дешифрования.
Работа устройства управления 6. В зависимости от режима работы генератором адресов и режимов 18 формируются импульсы записи, чтения, стирания байтов ЗУ 1. Считанные из ЗУ 1 байты трансформируются в импульсы запуска одного из кодов ансамбля. Это реализуется формирователем импульсов запуска 17. В рабочем режиме на его вход подаются различные байты L-данных из ЗУ 1. Например, если подан первый байт из таблицы фиг.6, то на первом выходе будет получен импульс запуска
(на других выходах - нуль). В случае подачи байта последней строки таблицы фиг.6 получим импульс запуска
(остальные выходные сигналы - нули) и так далее. Каждый выход формирователя импульсов запуска соединен с входом соответствующего формирователя кодов ансамбля, которые входят в состав генератора кодов ансамбля 7. Импульсы запуска позволяют получить соответствующие коды ансамбля и преобразовать каждый байт L-данных из ЗУ 1 в определенный код ансамбля из формуляра либо сигнал на его основе.
4.7 Генератор кодов ансамбля
Это устройство 7 предназначено для формирования кодов ансамбля или сигналов на их основе с теми же порядковыми номерами из формуляра, что и соответствующие числовые значения байтов L-данных, сохраняемых в ЗУ 1.
Генератор 7 является совокупностью g формирователей кодов ансамбля, которые могут быть построены на микросхемах [8, рис. 3.11, с. 47 пример для КБ, с. 357] или в виде устройств на поверхностных акустических волнах (ПАВ) [15, 17]. Последовательность чередования символов в кодах (1) определяет геометрическое расположение электродов преобразователей ПАВ в указанных устройствах. Устройства на ПАВ позволяют использовать коды и сигналы на их основе с коэффициентами (+1, -1) (1), что обеспечивает высокую энергетическую эффективность и микроминиатюрность УХПДШС.
Для формирователей кодов ансамбля имеются индивидуальные входы, которые совокупно подключены к первому выходу устройства управления 6 (количество таких выходов равно количеству формирователей кодов g=g1, но для простоты в схеме фиг.2 показана одна линия на выходе). Соответственно в генераторе 7 имеется g=g1 входов. Выходы формирователей генератора 7 подключены к g-входовому сумматору, объединяющему коды ансамбля или сигналы на их основе, далее - выход генератора кодов 7.
В рабочем режиме на одном из входов формирователей генератора кодов 7 имеется тактовый импульс запуска, переданный с первого выхода устройства управления 6, а на всех других входах такой импульс отсутствует. Поэтому один из формирователей откликается соответствующим кодом (1), появляющимся на выходе сумматора и всего генератора 7. В итоге каждому байту данных ставится в соответствие требуемый код ансамбля или сигнала на основе этого кода, представленного в формуляре. Коды передаются по ЛС 2 для дальнейшего преобразования и проведения операции восстановления данных.
Устройства на ПАВ позволяют сразу получить сигналы на основе выбранных кодов ансамбля. Возможен вариант формирования вначале кодов ансамбля, а потом посредством модулятора выработать сигналы на основе выбранных кодов на требуемой несущей частоте, подходящей для конкретной ЛС 2.
Генератор кодов 7 может быть выполнены в виде формирователей кодов и сигналов на их основе и в виде модулятора несущих колебаний для передачи по каналу связи, причем модулирующими сигналами являются эти коды и сигналы.
Этот же генератор может быть выполнен в виде запоминающего устройства, в которое записаны и из которого могут быть извлечены все требуемые сигналы. Эти сигналы являются выходными для указанного генератора. Генератор кодов ансамбля 7 может быть выполнен в виде ПЛИС [13, 14, с. 494, 534] или ее разновидности или варианта ПЛИС, который может быть создан в будущем. Тогда выходной сигнал определяется соответствующей ЛФ и сигналами управления каждого слота.
Все варианты реализации обеспечивают один и тот же технический результат.
4.8 Приемное устройство
Приемное устройство (ПУ) 8 предназначено для оптимального (при наличии шумов) приема кодов ансамбля или сигналов на их основе, переданных по ЛС 2. Оптимальным приемником является совокупность согласованных фильтров (СФ) или корреляторов [8, с. 26, 159]. Оба варианта обеспечивают один и тот же технический результат. Рассмотрен вариант с применением СФ. Каждый из них согласован с одним из кодов или сигналов, формируемым генератором кодов ансамбля 7.
Возможный вариант схемы ПУ 8 может состоять из ветвей с параллельно соединенными входами. Любая ветвь включает СФ для одного из кодов ансамбля (1,2,…,g, например g=256) из формуляра и пороговое устройство. СФ в ветвях нумеруются так же, как сами коды. Пороговое устройство вырабатывает сигнал в случае, когда выходной сигнал СФ превосходит установленное пороговое значение, что означает поступление на вход ПУ 8 кода с определенным номером из формуляра, согласованного с СФ данной ветви. Эти сигналы распознавания кодов и выходы ПУ 8 обозначены
Выход каждой ветви является одним из выходов ПУ 8 (на фиг.2 выходы показаны для простоты одиночной линией, всего g выходов, например, g=256). Для каждого байта принятых данных один из сигналов распознавания равен, например, "1", а все другие равны "0".
СФ могут быть реализованы на микросхемах [8, с. 48, рис. 3.13, с. 366, рис. 22.5] либо на ПАВ-устройствах [8, с. 357, рис. 21], [15, 17]. Структура встречно-штыревых преобразователей ПАВ СФ связана с чередованием "1" и "-1" в кодах ансамбля (1).
Вход ПУ 8 соединен с ЛС 2 (фиг.2), выходы ПУ 8 связаны с входами формирователя данных 9. При работе на все параллельные ветви подается входной сигнал, поступивший с ЛС 2 (один из возможных кодов (1) из формуляра либо сигналов на их основе). На выходе СФ соответствующей ветви будет формироваться сигнал АКФ того кода, который был использован для передачи соответствующего L-байта. АКФ представляет собой две области боковых пиков, между которыми имеется главный пик с высоким уровнем сигнала. На всех выходах прочих СФ имеется сигнал ВКФ, который может иметь несколько пиков, но наибольший из них всегда ниже главного пика АКФ. Необходимо использовать ансамбли кодов с низким уровнем пиков ВКФ, что повышает качество различения одного кода от другого, то есть разных символов системы кодирования. Далее в пороговом устройстве сравнивается полученный от СФ сигнал и уровень порога. Если он превышен, то формирует импульс распознавания (
например, g=256) на соответствующем выходе ПУ 8, означающий принятие конкретного кода формуляра (то есть поступление на вход вполне определенного символа данных в силу взаимно однозначного соответствия кодов и байтов). Также принимаются и различаются все L-байты.
В качестве устройства сравнения может быть использована схема дифференциального каскада или цифровой компаратор [13]. Порог должен быть установлен выше уровня боковых пиков АКФ и наибольшего значения W всех ВКФ кодов, но ниже уровня главного пика АКФ всех кодов ансамбля. Должна быть реакция лишь на пик АКФ, без отклика на сигналы ВКФ. В результате в рабочем режиме ПУ 8 различает коды формуляра и далее полученные сигналы передаются на формирователь данных.
4.9 Формирователь данных
Это устройство 9 предназначено для преобразования принятых по ЛС 2 кодов в каждом слоте в байты данных, аналогичных хранящимся в ЗУ 1. Представлен вариант работы для любого слота, индекс слота опущен. Восстановленные байты и биты обозначим соответственно
и при корректной работе они равны за шифрованным данным X°i,j, где i=1,…,8; j=1,2,…,g1 (например, g1=256).
Состав возможного варианта схемы может включать параллельные ветви, каждая из которых состоит из формирователя байтов выбранной системы кодирования. Например, первая ветвь состоит из формирователя первого байта с числовым значением нуль, вторая ветвь - второго байта с числовым значением один и так до последней 256-й ветви для формирования 256-го байта, соответствующего числу 255. Числовые значения представлены в двоичной системе исчисления. Каждая ветвь активизируется только соответствующим этой ветви сигналом распознавания.
Вход формирователя данных 9 - это раздельные входы всех ветвей, обозначенные на фиг.2 для простоты одиночной линией. Этот вход подключен к выходу ПУ 8, с которого поступают сигналы распознавания кодов
Выход формирователя данных 9 соединен со вторым входом дешифрователя 5, на который передаются восстановленные байты данных
Для простоты изображения схемы на фиг.2 выход формирователя данных 9 изображен одиночной линией, по которой передаются все биты
i=1,…,8; j=1,2… каждого j -го восстановленного байта в пределах одного из слотов.
Формирователь данных 9 состоит из g1 формирователей всевозможных байтов, каждый из формирователей байтов соединен с соответствующим входом формирователя данных 9. Каждый формирователь байтов является генератором последовательности импульсов. Последовательности состоят из логических "1" или "0" и образуют наборы бит каждого
байта восстановленных после передачи по линии связи данных, j=1, 2, …, (соотношение индекса] и набора бит байтов представлено в таблицах фиг.3, 4). Эти генераторы могут быть выполнены на элементах дискретной схемотехники, например, на регистрах сдвига с отводами [8]. К соответствующим отводам подключены инверторы, что позволяет получить на сумматоре сигналов от всех отводов требуемую комбинацию сигналов. Формирователем данных 9 может быть постоянное запоминающее устройство, содержащее значения всех байтов, каждый из которых извлекается при появлении сигналов распознавания кодов 
В рабочем режиме из ПУ 8 на один из входов формирователя данных 9, например h-й, поступает сигнал распознавания кодов
Он запускает формирователь импульсов этой ветви, который формирует один набор бит, соответствующих h-му байту восстановленных данных. Эти байты следуют в том же порядке, в каком они были записаны в ЗУ 1. Восстановленные L-данные имеют тот же вид, что был на выходе шифрователя 4, то есть
i=1,…,8; j=1, 2… (6). Далее байты передаются на вход дешифрователя 5.
Формирователь данных 9 может быть выполнен в виде запоминающего устройства, содержащего все требуемые сигналы и из которого они могут быть извлечены по соответствующим входным сигналам управления. Формирователь данных 9 может быть выполнен в виде ПЛИС [13, 14, с. 494, 534] или ее разновидности либо варианта ПЛИС, который может быть создан в будущем. Сигналы управления, подаваемые на ПЛИС, позволяют реализовать должные ЛФ, получить требуемые последовательности байтов. Все варианты выполнения обеспечивают один и тот же технический результат.
4.10 Генератор ключей дешифрования
Этот генератор 10 предназначен для формирования сигналов, соответствующих лингануму дешифрования (9) на любом слоте. Его сигналы представляют набор из g1=g байтов, числовые значения каждого из которых соответствуют j-му элементу в выражении (9), представленному в двоичной системе (g, g1 - количество кодов в ансамбле и в выбранной системе кодирования).
Генератор 10 может быть выполнен на элементах дискретной схемотехники, например, на регистрах сдвига с отводами [8]. К соответствующим отводам подключены инверторы, что позволяет получить на сумматоре сигналы от всех отводов, соответствующие требуемой числовой комбинации бит (необходимые байты линганума дешифрования). Генератор 10 может быть выполнен в виде запоминающего устройства, в которое записаны все требуемые сигналы и из которого они могут быть извлечены.
Генератор ключей дешифрования 10 может быть выполнен в виде ПЛИС [13, 14, с. 494, 534] или ее разновидности либо варианта ПЛИС, который может быть создан в будущем. Сигналы управления, подаваемые на ПЛИС, позволяют реализовать должные ЛФ для любого слота, получить требуемые последовательности байтов. Все варианты выполнения обеспечивают один и тот же технический результат.
4.11 Программатор слот
Это устройство 12 генерирует импульсные сигналы, которые предназначены для определения порядка выполнения требуемых для управления работой заявленного устройства действий и режимов работы. Программатор 12 содержит генератор слот 22 и синхронизатор 23.
Режим блокировки (до окончания интервала времени приема/передачи данных) может быть реализован сдвигом слот шифрования и дешифрования, чтобы они не пересекались. Это возможно подачей через одну из ЛС 12, 13 импульса приостановки на некоторое время формирования одного из видов ключей. При ином варианте блокировки подаются ключи, состоящие из одинаковых значений.
В режиме работы, когда генераторы ключей выполнены в виде запоминающих устройств с записанными в них ключами шифрования и дешифрования, синхронизатор 23 на выходах 2 и 3 формирует одновременно импульсы запуска, то есть t0=t'0 (фиг.1). Они передаются на выходы 1, 2 программатора слот 12, далее по ЛС 11, 13 поступают на генераторы 3, 10 и одновременно, синхронно начинают вырабатываться ключи для соответствующих слот, реализуются изложенные ранее операции. В качестве управляющих импульсов могут быть применены разные ФМС не входящие в формуляр. Формируются сигналы установки эталонных систем кодирования для проведения шифрования и дешифрования. Генератор слот 22 формирует ключи для передачи на генераторы 3, 10.
Рабочим является также режим, когда осуществляется приостановка варьирования ключей шифрования и дешифрования, то есть происходит фиксация ключей на некоторый срок. Это может быть связано с необходимостью передачи данных большего объема, для чего требуется слот большой длительности. При этом приостанавливается работа генераторов 3, 10 путем подачей соответствующих сигналов, но при этом напряжения управления и состояния инверторов в шифрователе 4 и дешифрователе 5 не меняется.
Аналогично периодически может реализовываться режим синхронизации начала воспроизведения слот, так чтобы слоты шифрования и дешифрования совпадали по времени. При движении объекта, на котором установлена приемная часть УХПДШС, тоже при необходимости реализуется требуемый режим синхронизации слот.
Возможен вариант работы, в котором генераторы ключей 3,10 выполнены в виде, например, регистров с отводами и инверторами (п.4.3, 4.10, [8]). Тогда генератор слотов 22 формирует последовательность знаков кодов, которые передаются с выходов 1, 2 программатора на указанные генераторы, которые формируют сами ключи.
Ключи шифрования и дешифрования могут быть в виде повторяющихся наборов ключей, заданных для ограниченного множества слот.
Генератор слот 22 и синхронизатор 23 могут быть выполнены на элементах дискретной схемотехники, ПЛИС, либо в виде запоминающего устройства (в зависимости от назначения и режимов работы). Все варианты выполнения обеспечивают один и тот же технический результат.
5. Работа заявленного устройства
На подготовительном этапе для каждого слота выставляются напряжения управления инверторами логических устройств шифрователей и дешифрователей на основе систем кодирования, действующих на слоте, устанавливаются сигналы управления блоками коммутаторов и переключателей. В режиме работы входные блоки перенумеруются в соответствии с ключами шифрования и передаются по линии связи на приемную сторону заявленного устройства, где реализуется дешифрование и восстановление выходных сигналов, тождественных входным данным.
На примере текстов рассмотрены операции записи, хранения и восстановления данных, реализуемые на заданных слотах. Применен вариант линганума записи из таблицы фиг.5 для двух однословных текстов со словами yES и NOT. В полной таблице системы кодирования символ "у" соответствует числу 121 (в [20] используется термин код) с номером по порядку j=122. Из таблицы фиг.5 следует, что указанный символ перенумеруется в число 11. Для символа "у" имеем соответствие 121→11. Аналогично для других символов: "Е" - 69→169; "S" - 83→183; "N" - 78→178; "О" - 79→179; "Т" - 84→184.
При восстановлении данных с помощью случайно выбранного из всех возможных вариантов линганума восстановления данных (кодов дешифрования), применим, например, тот, в котором значения следуют в порядке возрастания (фиг.5), без сортировки. Зашифрованные символы со значениями 121, 69, 83 будут расшифрованы как знаки со значениями 11,169,183 (по порядку номеров это символы 12,170, 184). Отмечалось, что число и индекс в таблицах различаются на единицу. В результате вместо текста yES, будут получены символы
Буквы со значениями 78, 79, 84 (текст NOT) будут расшифрованы как символы со значениями 178, 179, 184 (по порядку номеров это 179, 180, 185), то есть
[20]. Использование ложного линганума приводит к искаженному восстановлению данных. В случае применения верного линганума восстановления, как было показано ранее (выражение (13)), данные воспроизводятся без искажений.
Работа заявленного устройства на любом слоте начинается с подготовительного этапа и задания пользователем в генераторе ключей шифрования 3 (п.4.3) значений линганума записи (4) (всех бит каждого из g1 байтов). Это позволяет в преобразователе ключей шифрования 14, входящего в шифрователь 4, определить величины сигналов управления инверторами Ui,j,k (i - индекс нумерации бит входных байтов; j - индекс вариации входных байтов; к - индекс нумерации компонентов ЛФ шифрования), по которым устанавливаются режимы работы инверторов (всех бит каждого байтов и для всех ЛФ) ЛУ шифрования 15 (п.4.4). В рабочем режиме записи и сохранения на вход шифрователя 4 подаются данные (5), которые шифруются (6) и записываются в ЗУ 1 (п.4.1).
Восстановление данных также начинается с задания пользователем в генераторе ключей дешифрования 10 (п.4.10) значений линганума (ключей) восстановления (9) (всех бит каждого из g1 байтов, полученных предварительно в результате проведения операции сортировки (13)). На подготовительном этапе в преобразователе ключей дешифрования 19, входящим в дешифрователь 5 (п.4.5), определяются величины сигналов управления инверторами дешифрователя Vi,j,k (i - индекс бит каждого байта; j - индекс вариации байтов; k - индекс нумерации компонент ЛФ), по которым устанавливаются режимы работы инверторов I'i,j, k (всех бит любого байта, для каждой ЛФ дешифрования).
Далее в устройстве управления 6 генерируются сигналы задания режима
для начала считывания данных из ЗУ 1 (п.4.6), запускается генератор импульсов адресов, управляющий считыванием байтов из ЗЯ (п.4.1). Сигналы поступают на второй вход ЗУ 1 со второго выхода устройства управления 6. После окончания считывания процесс завершается до прихода следующего сигнала
который предназначается для начала процедуры восстановления данных на выходе УХПДШС и может создаваться различным образом. Например, нужный сигнал может запускаться вручную пользователем, получающим выходные данные (путем сдвига переключателя), вручную администратором УХПДШС либо путем использования генератора сигналов режимов, работающего в автоколебательном режиме и устанавливающего периодичность восстановления данных, например, через каждую минуту, час, сутки и так далее.
После считывания данных из ЗУ 1 устройство управления 6 (п.4.6) формирует импульсы запуска генератора кодов ансамбля 7 (п.4.7), которые позволяют сформировать коды ансамбля с такими же порядковыми номерами из формуляра, что и соответствующие числовые значения байтов L-данных, сохраненных в ЗУ 1. Полученные коды направляются в ЛС 2 (от контакта G к Н, фиг.2) и далее на вход ПУ 8 (п.4.8), которое формирует сигналы распознавания кодов ансамбля, подаваемые далее на один из входов формирователя данных 9 (п.4.9). Формирователь воспроизводит структуру байтов, хранящихся в ЗУ 1 и перенаправляет байты на вход дешифрователя 5 (п.4.5). Зашифрованные данные (6) воссоздаются в дешифрователе в исходном виде (8) и поступают на выход (фиг.2). Операция восстановления данных на каждом слоте завершается.
Требуется заметить, что после формирования необходимых сигналов управления генераторы ключей шифрования 3 и дешифрования 10 могут быть отключены. При отключенном питании всего УХПДШС сигналы установки инверторов не сохраняются и без ввода ключей шифрования и дешифрования использовать заявляемое устройство в рабочем режиме невозможно (сохраняются лишь Z-данные в энергонезависимом ЗУ 1), несанкционированный доступ исключен. Сбросить настройки инверторов можно путем задания ключей шифрования (дешифрования), которые равны одной и той же величине.
Сопрягающие устройства 13 и 18 могут работать по стандарту USB или любому другому более быстродействующему стандарту, который может быть создан в будущем.
6. Обоснование достижения технического результата
Технический результат, заключающийся в обеспечении энергетически скрытной передачи зашифрованных данных пользователю по ЛС 2, обеспечивается передачей кодов ансамбля на уровне ниже уровня шумов (ρ2<<1, где ρ2 - отношение мощностей ШПС и помех) [8]. Отношения сигнал/шум на выходе СФ или коррелятора при оптимальном приеме в 2⋅В раз больше, чем на входе [8, с. 6]. Необходимо использовать коды ансамбля с базой В>>1 (представлены коды с В=N=30), так как чем больше база, тем больше превышение над шумами и выше скрытность [8, с. 9]. При несанкционированном доступе потребуется использование специальных методов и устройств для решения вопроса передаются ли какие-то сигналы, либо имеется только шум [8, с. 6]. Кроме того, применение приемного устройства, состоящего из совокупности СФ для каждого кода ансамбля, позволяет осуществить оптимальное обнаружение и различение сигналов при наличии шумов [8].
7. Защищенность заявляемого устройства от несанкционированного доступа
Количество вариантов линганума, которые могут быть использованы при шифровании/дешифровании, определяется числом перестановок (g1)! на каждом слоте. Несанкционированный доступ может осуществляться лишь путем перебора всех возможных вариантов преобразования номеров байтов и выбора версии ШПС, а также анализа получаемых при этом результатов. Для каждого варианта требуется затрачивать интервал времени, определяемый факториальной функцией от g1 (для g1=256 это существенная величина), чтобы установить наличие информативной значимости в полученных данных (определить имеется ли в них смысл), для чего требуется быстродействующая интеллектуальная система, что увеличивает затраты времени. Статистические методы нахождения ключей дешифрования в данном случае не применимы. Для любого набора ключей дешифрования будут получены выходные данные, они верны лишь для единственного набора ключей дешифрования.
Длительности слот должны быть меньше оценочного интервала времени, требуемого для перебора всех вариантов и несанкционированного дешифрования с учетом имеющихся вычислительных возможностей. Следовательно, для достижения требуемой защищенности данных всегда возможно выбрать необходимо малую длительность слот. Доказано, что в случае, когда для каждого символа сообщения (в нашем случае блока) используется одноразовый ключ, то система является нераскрываемой (идеальной) [3, с. 66]. Однако надо учитывать также длительности требуемого времени в конкретных случаях при решении всей задачи хранения и передачи данных.
Предотвращение возможности несанкционированного доступа повышает безопасности передачи информации от источника к пользователю. Ключи шифрования необходимо держать в секрете, часто обновлять, а генераторы ключей шифрования и дешифрования целесообразно выполнить отключаемыми от электропитания.
8. Некоторые варианты применения заявляемого устройства
1. Для сбора и передачи данных об обратной стороне Луны. Спутник, находясь над невидимой стороной Луны, получает данные от датчиков, видеокамер и сохраняет их в ЗУ. При пролете над видимой стороной данные в зашифрованном виде, скрытно, оптимальным образом передаются на ретранслятор или на Землю. Длительность слот выбирается равной длительности полного оборота (по половине на сбор и передачу данных). Для каждого оборота задаются варьируемые от слота к слоту ключи. Длительность всех слотов выбирается равной максимальной оценке времени работы спутника. В отличие от корреляционных систем, передача данных возможна сразу после входа спутника в видимую часть, что позволяет транслировать больший объем данных. Загрузить слоты целесообразно на Земле, а синхронно запустить на орбите Луны.
2. Для сбора и передачи данных о части пространства, из которого невозможно либо нежелательно (чтобы не осуществить демаскировку местонахождения) передать данные пользователю. Например, шахта, область под водой, аномальная часть суши. Тогда данные накапливаются в ЗУ, а потом из области пространства, откуда по ЛС может быть осуществлена передача данных (на поверхности земли, над водой, в безопасном пространстве), осуществляется скрытная передача зашифрованных данных оптимальным образом непосредственно пользователю или через ретранслятор. Для сокрытия координат места передачи возможно размещение одно- или многоразовых передатчиков хаотических сигналов на некотором отдалении от места передачи данных, что дополнительно маскирует отправку полезных сигналов. Ключи могут быть записаны для всего периода эксплуатации (годы, до появления обновленной версии устройства).
При наличии опасности перехвата заявленного устройства целесообразно некоторые устройства, входящих в приемную часть, расположить непосредственно у пользователя данных. Без знания ключей дешифрования, длительностей слот, времени начального запуска затруднительно воспроизвести данные из ЗУ. Вместе с тем законный пользователь это реализует благодаря соответствующим сигналам программатора. Указана возможность блокировки заявленного устройства при потере контроля над ним (п.4.11).
3. Заявленное устройство может использоваться в дистанционных системах управления объектами, предназначенными для перемещения и выполнения требуемых операций в различных физических средах в назначенное время. Объектами могут быть, например, робототехнические системы, летательные и плавательные аппараты.
При проектировании размер слот удобно измерять в количестве блоков (с учетом переходных процессов), которые могут быть записаны (считаны) на каждом слоте.
Контакты G и Н (фиг.2) могут быть соединены напрямую (непосредственное соединение запоминающей и восстанавливающей частей для передачи данных после хранения). Тогда линией связи 2 являются соединительные проводники выхода конечного элемента схемы генератора кодов ансамбля 7 и входные проводники схемы ПУ 8.
9. Электропитание, разъемы
Энергообеспечение может обеспечиваться от стационарных источников и от малогабаритных аккумуляторов. Типы разъемов зависят от соединителей источников входных и выходных данных, типа линий связи (соединители типа USB, штекеры, высокочастотные разъемы с экранированием и заземлением).
Библиографический список
1. Патент RU №2506633, "Устройство хранения данных"; МПК G06F 12/14, G11C 16/22, G06F 21/60; опубл. 10.02.2014, Бюл. №4.
2. Патент RU №2326500, "Когерентная система передачи информации хаотическими сигналами"; МПК H04L 9/00; опубл. 10.06.2008, Бюл. №16.
3. Романец Ю.В., Тимофеев П.А., Шаньгин В.Ф. Защита информации в компьютерных системах и сетях. - М.: Радио и связь, 2001. - 376 с.
4. Патент RU №2342697, "Портативное устройство хранения данных с системой шифрования"; МПК G06F 12/14; опубл. 27.12.2008, Бюл. №36.
5. Патент RU №2791560, "Устройство хранения и передачи данных с системой шифрования"; СПК H04L 9/00 (2022.08); H04L 9/12 (2022.08); опубл. 10.03.2023, Бюл. №7.
6. Чепруков Ю.В., Соколов М.А Синтез фазоманипулированных сигналов с требуемым уровнем боковых пиков АКФ// Радиотехника. 1991. №5. С.68-70.
7. Чепруков Ю.В., Соколов М.А. Бинарные R2-коды, их характеристики и применение// Информационно-управляющие системы. 2014. №1. С.76 - 82.
8. Варакин Л.Е. Системы связи с шумоподобными сигналами. - М.: Радио и связь, 1985. - 384 с.
9. Чепруков Ю.В., Соколов М.А. Корреляционные характеристики и применение некоторых бинарных R3-кодов // Информационно-управляющие системы.2014. №3.С.93-102.
10. Чепруков Ю.В., Соколов М.А. Корреляционные характеристики некоторых бинарных R4-кодов и ансамблей сигналов на их основе // Информационно-управляющие системы. 2014. №5. С.87-96.
11. Чепруков Ю.В. Синтез бинарных R-кодов // Информационно-управляющие системы. 2015. №1. С.59-67.
12. Бойко В.И. и др. Схемотехника электронных систем. Цифровые устройства. - СПб: БХВ-Петербург, 2004.-512 с.
13. Лехин С.Н. Схемотехника ЭВМ. - СПб: БХВ-Петербург, 2010. - 672 с.
14. Угрюмов Е.П. Цифровая схемотехника.- СПб.: БХВ-Петербург, 2004. - 800 с.
15. Электроника. Энциклопедический словарь. Гл. ред. Колесников В.Г., - М. Сов. энциклопедия, 1991, - 688 с.
16. Олифер В.Г., Олифер Н.А. Компьютерные сети. Принципы, технологии, протоколы. - СПб.: Питер, 2002. - 672 с.
17. Бугаев А.С., Дмитриев В.Ф., Кулаков С.В. Устройства на поверхностных акустических волнах: учеб. пособие / А.С. Бугаев, В.Ф. Дмитриев, С.В. Кулаков. - СПб.: ГУАП, 2009. - 188 с.
18. https://www.booksite.ru/fulltext/1 /001 /008/045/201.htm, 28.03.2023 г.
19. https://www.booksite.rU/fulltext/1/001/008/084/692.htm, 28.03.2023 г.
20. https://www.industrialnets.ru/files/misc/ascii.pdf, 31.03.2023 г.
Изобретение относится к устройствам хранения и помехоустойчивой скрытной передачи подвергнутых шифрованию данных при наличии шумов с использованием конечного множества шумоподобных сигналов. Технический результат заключается в повышении защищенности хранения данных за счет синхронного временного варьирования ключей шифрования и дешифрования. Устройство содержит запоминающее устройство, линии связи, генераторы ключей шифрования и дешифрования, шифрователь, дешифрователь, устройство управления, генератор кодов ансамбля, приемное устройство, формирователь данных, программатор. 10 з.п. ф-лы, 6 ил. 
1. Устройство хранения и передачи данных с системой синхронизируемого шифрования, содержащее запоминающее устройство, линию связи, генератор ключей шифрования, шифрователь, дешифрователь, устройство управления, генератор кодов ансамбля, приемное устройство, формирователь данных, генератор ключей дешифрования, вместе с этим первый вход шифрователя соединен с входом всего устройства, второй вход шифрователя подключен к выходу генератора ключей шифрования, выход шифрователя соединен с первым входом запоминающего устройства, второй вход запоминающего устройства подключен к второму выходу устройству управления, вход устройства управления соединен с выходом запоминающего устройства, первый выход устройства управления соединен с входом генератора кодов ансамбля, выход генератора кодов ансамбля подключен к входу линии связи, а выход линии связи соединен с входом приемного устройства, выход приемного устройства подключен к входу формирователя данных, выход которого соединен с вторым входом дешифрователя, выход дешифрователя является выходом всего устройства, первый вход дешифрователя соединен с выходом генератора ключей дешифрования, кроме того,
генератор кодов формирует множество g импульсных кодов или сигналов на их основе, удовлетворяющих таким условиям, что уровень боковых пиков автокорреляционной функции каждого из них не превышает положительного числа R, где R<um - наибольшее значение модуля автокорреляционных функций этих кодов или шумоподобных сигналов, а уровень боковых пиков взаимной корреляционной функции каждого кода или шумоподобного сигнала на их основе со всеми другими (g-1) генерируемыми кодами или сигналами тоже не превосходит положительного числа W, где W<um,
отличающееся тем, что дополнительно введены
линия связи шифрователя, линия связи дешифрователя, программатор слот, причем вход линии связи шифрователя соединен с первым выходом программатора слот, выход линии связи шифрователя подключен к входу генератора ключей шифрования,
вход линии связи дешифрователя соединен с вторым выходом программатора слот, выход линии связи дешифрователя подключен к входу генератора ключей дешифрования, шифрователь формирует сигналы X°j,d, j=1,2,…, d=1,2,…,D исходя из условий:
"Если" Хвхj,d=0 "ТО" X°j,d=L1,d или
"Если" Xвxj,d=1 "ТО" X°j,d=L2,d или
"Если" Xвxj,d=2 "ТО" X°j,d=L3,d или...
"Если" Xвxj,d=(g1-1) "ТО" X°j,d=Lg1,d,
где j=1, 2,…, d=1, 2, …, D - индексы нумерации байтов и слот;
Xвхj,d - значение j-го байта входных данных на d-м слоте;
X°j,d - значение j-й байта после шифрования на d-м слоте;
L1,d; L2,d; …, Lg1,d - последовательность значений ключей шифрования на d-м слоте;
g1 - количество символов в системе кодирования данных, при этом g1=g, дешифрователь формирует сигналы Хвых j,d, j=1,2,…, d=1,2,…, D исходя из условий;
"Если" X°j,d=0 "ТО" Xвыхj,d=L'1,d или
"Если" X°j,d=1 "ТО" Xвыкj,d=L'2,d или
"Если" X°j,d=2 "ТО" Xвыкj,d=L'3,d или …
"Если" X0j,d=(g1-1) "ТО" Хвыхj,d=L'g1,d,
где j=1,2,…, d=1,2,…, D-индексы нумерации байтов и слот;
X°j,d - значение j-го байта до дешифрования;
Xвыхj,d - значение j-го байта выходных данных;
L'1,d, L'2,d; …; L'g1,d - последовательность значений ключей дешифрования на d-м слоте;
g1 - количество символов в системе кодирования данных, генератор ключей шифрования формирует сигналы, соответствующие элементам последовательностей ключей шифрования для каждого слота:
где j=1, 2,…, d=1,2,…, D-индексы нумерации байтов и слот;
g1 - количество символов в системе кодирования данных;
td=td-1+Λd - окончание d-го слота длительностью Λd, Λd≥0;
ψ=(Λd, d=1,2,…, D) - последовательность ключей шифрования длительностей слот,
при этом каждое значение элемента последовательности является одним из целых положительных чисел от 0 до (g1-1), используемым при составлении этой последовательности лишь однажды,
генератор ключей дешифования формирует сигналы, соответствующие элементам последовательностей ключей дешифрования для каждого слота:
где j=1, 2, …, d=1,2,…, D-индексы нумерации байтов и слот;
g1 - количество символов в системе кодирования данных; t'd=t'd-1+Λd - окончание d-го слота длительностью Λd, Λd≥0;
ψ'=(Λd, d=1,2,…,D) - последовательность ключей шифрования длительностей слот,
t'D - сумма Λd длительностей всех D слот;
t'0, t'D- начальное и конечное значения первого и последнего слота, вместе с этим элементы последовательности ключей дешифрования получены так, что порядковые номера j-x элементов последовательности ключей шифрования каждого слота L(t)=Li,j,d, i=1,…,8; j=1,2,…, g1 уменьшаются на единицу и меняются местами с значениями элементов этой последовательности, порядковые номера этой новой созданной числовой последовательности увеличиваются на единицу и элементы полученной последовательности со своими измененными порядковыми номерами расставляются в порядке возрастания этих номеров.
2. Устройство по п. 1, отличающееся тем, что шифрователь содержит преобразователь ключей шифрования, логическое устройство шифрования и сопрягающее устройство шифрователя,
вход преобразователя ключей шифрования соединен с вторым входом шифрователя, а выход преобразователя ключей шифрования подключен к второму входу логического устройства шифрования, первый вход логического устройства шифрования соединен с выходом сопрягающего устройства шифрователя, вход сопрягающего устройства шифрователя соединен с первым входом шифрователя и всего устройства, выход логического устройства шифрования подключен к выходу шифрователя;
шифрователь выполнен на логических элементах или программируемых логических матрицах;
сопрягающее устройство шифрователя выполнено на пассивных элементах, или на транзисторах, или на микросхемах или в виде универсальной последовательной шины USB.
3. Устройство по п. 1, отличающееся тем, что дешифрователь содержит сопрягающее устройство дешифрователя, преобразователь ключей дешифрования и логическое устройство дешифрования,
вход преобразователя ключей дешифрования является первым входом дешифрователя, выход преобразователя ключей дешифрования соединен с первым входом логического устройства дешифрования, второй вход логического устройства дешифрования является вторым входом дешифрователя, выход логического устройства дешифрования соединен с входом сопрягающего устройства дешифрователя, выход которого подключен к выходу дешифрователя и всего устройства;
дешифрователь выполнен на логических элементах или программируемых логических матрицах;
сопрягающее устройство дешифрователя выполнено на пассивных элементах или на транзисторах или на микросхемах или как универсальная последовательная шина USB.
4. Устройство по п. 1, отличающееся тем, что устройство управления содержит генератор адресов и режимов, формирователь импульсов запуска,
выход генератора адресов и режимов соединен с вторым выходом устройства управления, вход формирователя импульсов запуска подключен к входу устройства управления, выход формирователя импульсов запуска подсоединен к первому выходу устройства управления;
формирователь импульсов запуска выполнен на логических элементах или программируемых логических матрицах.
5. Устройство по п. 1, отличающееся тем, что линии связи представляют собой совокупность технических средств, таких как модулятор, передатчик, приемник, демодулятор и физическую среду, такую как газ или жидкость или твердое тело или вакуум; линия связи является линией проводной электрической связи или радиосвязи, или линией звуковой акустической связи, или линией световой оптической связи;
линии связи выполнены в виде проводников элементов схем, или волоконно-оптического кабеля, или коаксиального кабеля, или волновода, или звукопровода, или витой пары, или радиоканала наземной либо спутниковой связи.
6. Устройство по п. 1, отличающееся тем, что генератор ключей шифрования выполнен на элементах дискретной схемотехники или в виде запоминающего устройства или на программируемых логических матрицах.
7. Устройство по п. 1, отличающееся тем, что генератор кодов ансамбля выполнен в виде устройств на поверхностных акустических волнах или элементах дискретной схемотехники или в виде запоминающего устройства или на программируемых логических матрицах для непосредственной передачи по каналу связи; генератор кодов ансамбля выполнен в виде устройств для формирования кодов и сигналов на их основе и в виде модулятора несущих колебаний для передачи по каналу связи, причем модулирующими сигналами являются эти коды и сигналы.
8. Устройство по п. 1, отличающееся тем, что приемное устройство выполнено в виде функциональной группы согласованных фильтров или корреляторов для каждого кода генератора кодов ансамбля или каждого сигнала на их основе.
9. Устройство по п. 1, отличающееся тем, что формирователь данных выполнен на элементах дискретной схемотехники или в виде запоминающего устройства или на программируемых логических матрицах.
10. Устройство по п. 1, отличающееся тем, что генератор ключей дешифрования выполнен на элементах дискретной схемотехники или в виде запоминающего устройства или на программируемых логических матрицах.
11. Устройство по п. 1, отличающееся тем, что программатор слот содержит генератор слот и синхронизатор,
первый выход синхронизатора подключен к входу генератора слот, второй выход синхронизатора соединен с вторым выходом генератора слот и с вторым выходом программатора слот, третий выход синхронизатора соединен с первым выходом генератора слот и с первым выходом программатора слот;
программатор слот выполнен на логических элементах или программируемых логических матрицах или в виде запоминающего устройства.
| СПОСОБ ПЕРЕДАЧИ ИНФОРМАЦИИ ПО КАНАЛАМ СВЯЗИ В РЕАЛЬНОМ ВРЕМЕНИ И СИСТЕМА ДЛЯ ЕГО ОСУЩЕСТВЛЕНИЯ | 2009 |
|
RU2423004C2 |
| КОГЕРЕНТНАЯ СИСТЕМА ПЕРЕДАЧИ ИНФОРМАЦИИ ХАОТИЧЕСКИМИ СИГНАЛАМИ | 2006 |
|
RU2326500C1 |
| ВАРАКИН Л.Е | |||
| СИСТЕМЫ СВЯЗИ С ШУМОПОДОБНЫМИ СИГНАЛАМИ, МОСКВА, РАДИО И СВЯЗЬ, 1985 г., 384 c | |||
| WO 00/54222 A1, 19.09.2000. | |||
Авторы
Даты
2024-12-25—Публикация
2024-01-10—Подача