Изобретение относится к области сельского хозяйства, в частности к земледелию и агрохимии, и может найти применение в улучшении плодородия почв в условиях биологического земледелия. Существует способ подготовки почвы к севу, который включает ежегодное крошение и вспашку почвы, внесение органических и минеральных удобрений (Заявка: 95121716/13, 22.12.1995). Однако он является энергозатратным в силу применения вспашки. Кроме того, данный способ предусматривает внесение минеральных удобрений, что является причиной снижения биологической активности почвы по причине резко возрастающего краткосрочного повышения концентрации почвенного раствора.
Известна смесь для стимулирования образования почвы [RU 2408562 C1, C05F 11/02 (2006.01), 10.01.2011] и способ получения сапропелевого удобрения, включающий извлечение сапропеля из озера и смешение его с высушенным до влажности 10% и измельченным до 100 мкм торфом [RU 2336253 C1, C05F 7/00 (2006.01), 20.10.2008]. Способы имеют общий недостаток. Введение в смесь торфа повышает кислотность (рН торфа=2,5-3).
Цель изобретения - увеличение плодородия почвы при получении высоких урожаев сельскохозяйственных культур.
Совершенствование биологических агротехнологий в условиях Центрально-Черноземного региона, обеспечивающее повышение содержания органического вещества (гумуса), азота, фосфора и калия в почве, снижение плотности, увеличение коэффициента структурности, активацию биологической составляющей почвы, снижение засоренности посевов и, как следствие, увеличение продуктивности сельскохозяйственных культур.
Поставленная цель достигается тем, что осуществляют компостирование сапропеля речного с птичьим пометом в течение 2 месяцев в соотношении 1:1, при этом полученное сапропель-компостное удобрение вносят на производственный участок и заделывают в почву в первый год в норме 0,3 т/га дисковыми боронами на глубину до 15 см, осуществляют посев смеси сидеральных культур из 50% люпина белого и 50% горчицы желтой, по достижении созревания, заделывание сидератов в почву и парование до времени посева сои в качестве основной культуры, при этом после уборки сои производят внесение и заделку в почву дисковыми боронами на глубину до 15 см 0,6 т/га сапропель-компостного удобрения и посев озимой пшеницы. При этом на третий год после уборки озимой пшеницы сапропель-компостное удобрение вносят на производственный участок и заделывают в почву в норме 1 т/га дисковыми боронами на глубину до 15 см, далее происходит посев смеси сидеральных культур из 50% люпина белого и 50% горчицы желтой, по достижении созревания сидераты заделывают в почву и оставляют паровать до времени посева зерновой кукурузы в качестве основной культуры.
В качестве органических удобрений используется компост на основе речного сапропеля и куриного помета, что позволяет без применения минеральных удобрений повышать в почве содержание минеральных элементов и гумуса. Далее эту смесь вносят на посевную площадь в дозе 0,5 т/га, после чего участок засевают смесью сидеральных трав люпина белого и горчицы желтой по 50% соответственно. Это позволит активизировать в почве накопление биологического атмосферного азота в короткий период и за счет аллелопатического воздействия горчицы, подавить активный рост сорных растений. Последующее измельчение и заделка сидеральных трав обеспечит снижение плотности почвы. К моменту посева основной культуры сидераты заделывают в почву дисковыми боронами на глубину 25 см. После реализованных операций необходимо произвести посев культуры без внесения удобрения.
Способ представляет собой разработанные и апробированные рекомендации сельскохозяйственному растениеводческому производству продукции культуры озимой пшеницы, сои, кукурузы по внедрению нетрадиционных органических удобрений как элементов биологизации земледелия, что позволит получать стабильные высокие урожаи зерновых и зернобобовых культур при одновременном расширенном воспроизводстве почвенного плодородия. Разработана оптимальная рецептура удобрительного материала на основе речного сапропеля и технология подготовки почвы к посеву зерновых и зернобобовых культур (сои, озимой пшеницы, зерновой кукурузы в качестве основной культуры) на черноземе типичном тяжелосуглинистом Центрально-Черноземного региона. Технология соответствует экологическому подходу ведения хозяйства и позволяет повысить содержание органического вещества, азота, фосфора и калия в почве, улучшить ее агрофизические свойства за 45-55 дней. Разработка заключается в компостировании сапропеля речного с птичьим пометом в течение 2 месяцев в соотношении 1:1 после чего полученное удобрение, содержащее порядка 15% азота 8% фосфора и 5% калия, вносится на производственный участок и заделывается в норме 0,5 т/га в почву дисковыми боронами на глубину до 15 см. Далее происходит посев смеси сидеральных культур из 50% люпина белого и 50% горчицы желтой. По достижении созревания сидераты заделываются в почву и остаются паровать до времени посева основной культуры. Технологию почвоподготовки можно применять как до посева озимых культур (июль-сентябрь), так и перед посевом поздних яровых (март-май).
Осуществление способа
Варианты опыта:
Фактор А - сельскохозяйственная культура:
1. Соя в качестве основной культуры;
2. Озимая пшеница в качестве основной культуры;
3. Кукуруза на зерно в качестве основной культуры.
Фактор Б - доза сапропель-компостного удобрения:
1. Контроль без компоста;
2. 0,3 т/га (45 кг/га N, 24 кг/га Р, 15 кг/га К);
3. 0,5 т/га (75 кг/га N, 40 кг/га Р, 25 кг/га К);
4. 0,6 т/га (90 кг/га N, 48 кг/га Р, 30 кг/га К);
5. 0,7 т/га (105 кг/га N, 56 кг/га Р, 35 кг/га К);
6. 1,0 т/га (150 кг/га N, 80 кг/га Р, 50 кг/га К).
Планируемая урожайность культур:
Соя - 30 ц/га; Озимая пшеница - 60 ц/га; Кукуруза на зерно - 120 ц/га.
Во внимание берутся следующие показатели почвенного плодородия:
1. Плотность почвы в слое 0-30 см;
2. Гидролитическая кислотность;
3. Обменная кислотность;
4. Скорость разложения льняного полотна;
5. Содержание органического вещества почвы - гумуса;
6. Запасы минерального азота в слое 0-30;
7. Урожайность сельскохозяйственных культур.
Результаты полевого опыта, проводимые в течение 3 лет в Ракитянском районе Белгородской области на полях Агропромышленного холдинга «БЭЗРК-Белгранкорм», обработанные математически по методу Б.А. Доспехова, представлены на фиг. 1-3 и в таблицах 1-6.
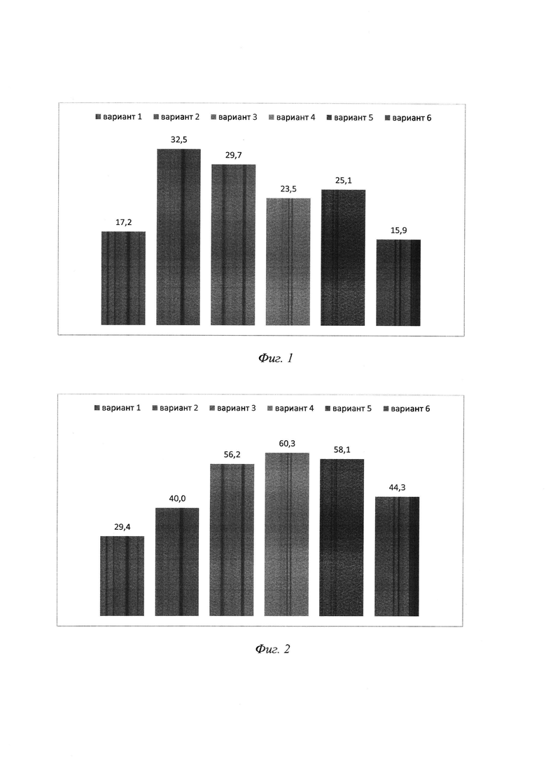
Наиважнейшим показателем эффективности внедрения той или иной технологии является продуктивность культур. На фиг. 1-3 отражена урожайность озимой пшеницы, сои, кукурузы при различных вариантах удобренности.
Наилучшим вариантом для сои оказалось применения сапропель-компостного удобрения в дозе 0,3 т/га. Фактическая урожайность находилась на уровне 32,5 ц/га (Фиг. 1).
Максимальный урожай озимой пшеницы получен при внесении 0,6 т/га сапропель-компостного удобрения. Фактическая урожайность составила 60,3 ц/га (Фиг. 2).
По итогу учета урожайности зерновой кукурузы определено, что наилучшим вариантом является применения 1 т/га сапропель-компостного удобрения. При этой дозе органического компоста получено 117,6 ц/га зерна кукурузы (Фиг. 3).
Из таблицы 1 видно, что варианты 2-6 понижают плотность сложения почвы до оптимальных величин для всех трех культур.
Из таблицы 2 видно, что варианты 2-6 снижают гидролитическую кислотность почвы по всем трем культурам, причем с увеличением дозы действующего вещества, наблюдается увеличение эффекта.
Из таблицы 3 видна аналогичная закономерность, которая прослеживается для гидролитической кислотности. 
Из таблицы 4 видно, что варианты 2,3 оказывают несущественное влияние на биологическую активность почвы. Увеличение данного показателя в вариантах 4-6 относительно варианта 1 является достоверным.
Одним из наиболее значимых агрохимических показателей является содержание азота в почве. Этот показатель зачастую выступает лимитирующим фактором в формировании высококачественного урожая. Для определения агрохимического эффекта был выбран метод определения легкогидролизуемого азота (по Тюрину и Кононовой) в почве на момент уборки сельскохозяйственной культуры.
Из таблиц 5 и 6 видно, что с повышением дозы сапропель-компостного удобрения повышается и содержание органического вещества в почве по всем вариантам относительно варианта 1. С увеличением органического вещества в почве отмечается возрастание содержания легкогидролизуемого азота.
На основании полученных результатов исследований были достигнуты высокие показатели урожайности культур, при этом подробный анализ почвы показал улучшение агрофизических, агрохимических и биологических параметров.
Таким образом, предлагаемый способ почвоподготовки позволяет получать высокие урожаи сельскохозяйственных культур, не истощая почву, и имеет право на успешное внедрение в производство в условиях Центрально-Черноземного региона.
| название | год | авторы | номер документа |
|---|---|---|---|
| СПОСОБ ОБОГАЩЕНИЯ ЧЕРНОЗЕМНОЙ ПОЧВЫ ПРИ ВОЗДЕЛЫВАНИИ СЕЛЬСКОХОЗЯЙСТВЕННЫХ КУЛЬТУР | 2006 |
|
RU2309571C1 |
| СПОСОБ ОБОГАЩЕНИЯ ПОЧВЫ ПРИ ВОЗДЕЛЫВАНИИ КАРТОФЕЛЯ В ЗЕРНО-ПРОПАШНОМ СЕВООБОРОТЕ | 2015 |
|
RU2576859C1 |
| СПОСОБ ВОЗДЕЛЫВАНИЯ СИДЕРАТОВ | 2009 |
|
RU2391807C1 |
| СПОСОБ ОБОГАЩЕНИЯ ПОЧВЫ ПРИ ВОЗДЕЛЫВАНИИ ГРЕЧИХИ | 2010 |
|
RU2452162C1 |
| СПОСОБ ОБОГАЩЕНИЯ ПОЧВЫ ПРИ ВОЗДЕЛЫВАНИИ СЕЛЬСКОХОЗЯЙСТВЕННЫХ КУЛЬТУР | 2007 |
|
RU2357392C2 |
| СПОСОБ ПОВЫШЕНИЯ УРОЖАЙНОСТИ КАРТОФЕЛЯ | 2024 |
|
RU2829354C1 |
| Способ использования сидерального пара в трехпольном зернопаровом севообороте в засушливых районах степного Крыма | 2023 |
|
RU2828862C1 |
| СПОСОБ ВЫРАЩИВАНИЯ КАРТОФЕЛЯ С ИСПОЛЬЗОВАНИЕМ БИОЛОГИЗАЦИИ | 2021 |
|
RU2785455C1 |
| СПОСОБ ВОСПРОИЗВОДСТВА ПЛОДОРОДИЯ ПОЧВ ЧЕРНОЗЕМОВ | 2015 |
|
RU2599555C1 |
| СПОСОБ ОБОГАЩЕНИЯ ПОЧВЫ ПРИ ВОЗДЕЛЫВАНИИ СЕЛЬСКОХОЗЯЙСТВЕННЫХ КУЛЬТУР | 2003 |
|
RU2246196C2 |
Изобретение относится к области сельского хозяйства, в частности к земледелию и агрохимии, и может найти применение в улучшении плодородия почв в условиях биологического земледелия. Способ заключается в компостировании сапропеля речного с птичьим пометом в течение 2 месяцев в соотношении 1:1. При этом полученное сапропель-компостное удобрение вносят на производственный участок и заделывают в почву в первый год в норме 0,3 т/га дисковыми боронами на глубину до 15 см. Осуществляют посев смеси сидеральных культур из 50% люпина белого и 50% горчицы желтой, по достижении созревания заделывание сидератов в почву и парование до времени посева сои в качестве основной культуры. После уборки сои проводят внесение и заделку в почву дисковыми боронами на глубину до 15 см 0,6 т/га сапропель-компостного удобрения и посев озимой пшеницы. На третий год после уборки озимой пшеницы сапропель-компостное удобрение вносят на производственный участок и заделывают в почву в норме 1 т/га дисковыми боронами на глубину до 15 см. Далее проводят посев смеси сидеральных культур из 50% люпина белого и 50% горчицы желтой, по достижении созревания сидераты заделывают в почву и оставляют паровать до времени посева зерновой кукурузы в качестве основной культуры. Способ обеспечивает увеличение плодородия почвы при получении высоких урожаев сельскохозяйственных культур. 3 ил., 6 табл.
Способ подготовки почвы при использовании речного сапропеля в качестве удобрительного материала, заключающийся в компостировании сапропеля речного с птичьим пометом в течение 2 месяцев в соотношении 1:1, при этом полученное сапропель-компостное удобрение вносят на производственный участок и заделывают в почву в первый год в норме 0,3 т/га дисковыми боронами на глубину до 15 см, посеве смеси сидеральных культур из 50% люпина белого и 50% горчицы желтой, по достижении созревания заделывании сидератов в почву и паровании до времени посева сои в качестве основной культуры, при этом после уборки сои производят внесение и заделку в почву дисковыми боронами на глубину до 15 см 0,6 т/га сапропель-компостного удобрения и посев озимой пшеницы, при этом на третий год после уборки озимой пшеницы сапропель-компостное удобрение вносят на производственный участок и заделывают в почву в норме 1 т/га дисковыми боронами на глубину до 15 см, далее происходит посев смеси сидеральных культур из 50% люпина белого и 50% горчицы желтой, по достижении созревания сидераты заделывают в почву и оставляют паровать до времени посева зерновой кукурузы в качестве основной культуры.
| МОСТОВИЧ Е.А | |||
| Состояние и перспективы использования и добычи сапропелей // Московский экономический журнал, N8, 2020, c | |||
| Способ получения бензидиновых оснований | 1921 |
|
SU116A1 |
| Способ подготовки почвы для возделывания зерновых культур | 2017 |
|
RU2655855C1 |
| УСТРОЙСТВО ДЛЯ ПОЛУЧЕНИЯ ОБОСТРЕННОЙ КРИВОЙ РЕЗОНАНСА | 1930 |
|
SU24009A1 |
| WO 2014171912 A1, 23.10.2014. | |||
Авторы
Даты
2025-02-24—Публикация
2024-06-17—Подача