Изобретение относится к электроизмерительной технике, а именно к определению индуктивности индуктивного датчика, и может быть использовано для преобразования параметров индуктивных датчиков в код.
Ожидаемый технический результат при осуществлении изобретения – повышение точности измерения и расширение функциональных возможностей достигается формированием двух ортогональных гармонических напряжений с периодом Т, одно из которых подается на измеряемый элемент датчика, а второе – на образцовый резистор измерительной цепи, второй вывод которого подключен ко входу усилителя, между входом и выходом которого включен образцовый элемент датчика, при этом компенсацию погрешности от конечного значения комплексного коэффициента усиления усилителя, ёмкости кабеля связи и активных составляющих сопротивлений измеряемого и образцового элемента датчика осуществляют путем измерения двух напряжений с выхода усилителя для двух моментов времени t = 0 и t = T/4, причем такие измерения проводятся дважды с переключением во втором такте подаваемых напряжений с измеряемого элемента на образцовый, а с образцового на измеряемый, а числовые значения измеряемой индуктивности определяются по результатам полученных значений напряжений без изменения схемы подключения датчика.
Известен преобразователь емкости датчика в частоту, в котором на измеряемую и образцовую емкости датчика, подключенные к входу усилителя, подаются гармонические напряжения, сдвинутые друг относительно друга на 90 градусов [1]. Синфазный и квадратурный фазочувствительные выпрямители выделяют действительную и мнимую составляющие выходного напряжения усилителя, а по сигналу с выхода схемы сравнения изменяется частота генератора до тех пор, пока эти составляющие не станут равны. Значение частоты на выходе генератора зависит от постоянной времени используемого фазовращателя, измеряемой и образцовой емкостей датчика.
К недостаткам аналога относится отсутствие возможности коррекции погрешности преобразования для комплексного значения коэффициента усиления используемого операционного усилителя (ОУ). Также в аналоге не учитывается влияние на результат измерения ёмкости кабеля связи датчика с измерительной цепью, активных составляющих сопротивлений измеряемой и образцовой емкостей датчика, и, кроме того, не реализуется возможность измерения индуктивности индуктивного датчика при его подключении к измерительной цепи.
Наиболее близким по техническому существу и достигаемому положительному эффекту к заявляемому является способ определения ёмкости датчика [2], заключающийся в формировании двух гармонических напряжений на измеряемой и образцовой емкостях датчика, сдвинутых относительно друг друга на 90°, в котором компенсацию погрешности от конечности комплексного коэффициента усиления усилителя выполняют за счет измерения двух входных напряжений, подаваемых на емкости, при равенстве нулю выходного напряжения усилителя, причем такие измерения проводятся дважды с переключением во втором такте входных напряжений с измеряемой емкости на образцовую, а с образцовой на измеряемую, а числовое значение измеряемой емкости определяется по результатам полученных значений напряжений.
К недостаткам прототипа относится отсутствие возможности коррекции погрешности измерения от наличия: ёмкости кабеля связи датчика с измерительной цепью, активных составляющих сопротивлений измеряемой и образцовой индуктивностей датчика, а также указанный способ не позволяет измерять индуктивность индуктивного датчика при его подключении к предложенной измерительной цепи.
Целью предлагаемого способа определения индуктивности индуктивного датчика является повышение точности измерения и расширение функциональных возможностей при использовании схемы прямого преобразования на любой рабочей частоте.
Это достигается за счет того, что в известном способе определения емкости датчика в частоту формируются два гармонических напряжения с периодом Т, сдвинутых относительно друг друга на 90°, одно из которых подается на измеряемый элемент датчика, а второе – на образцовый резистор измерительной цепи, второй вывод которого подключен ко входу усилителя, между входом и выходом которого включен образцовый элемент датчика, при этом компенсацию погрешности от конечного значения комплексного коэффициента усиления усилителя, ёмкости кабеля связи и активных составляющих сопротивлений измеряемого и образцового элемента датчика осуществляют путем измерения двух напряжений с выхода усилителя для двух моментов времени t = 0 и t = T/4, причем такие измерения проводятся дважды с переключением во втором такте подаваемых напряжений с измеряемого элемента на образцовый, а с образцового на измеряемый, а числовые значения измеряемой индуктивности определяются по результатам измеренных значений напряжений без изменения схемы подключения датчика к измерительной цепи.
Совокупность признаков, позволяющих в заявляемом способе использовать двухтактные переключения подаваемых напряжений на датчик и образцовый элемент, и измерения двух напряжений с выхода усилителя в моменты времени t = 0 и t = T/4 в каждом из тактов, позволяют, в отличие от прототипа, получить существенные преимущества в коррекции погрешности определения индуктивности датчика.
При практической реализации заявляемого способа предложено процедуры измерения выходных напряжений и определения значений измеряемых параметров датчика осуществлять на основе микроконтроллера. Последний также управляет всеми режимами работы: процессом формирования двух гармонических напряжений и их переключением; определением моментов времени измерения напряжений, а также расчетом значений измеряемых параметров датчиков по заданному алгоритму.
На фиг.1 приведена схема измерительной цепи, к которой подключается индуктивный датчик. Здесь: БФН – блок формирования ортогональных гармонических напряжений, У – усилитель, МК – микроконтроллер, R0 – образцовое сопротивление измерительной цепи, имеющее высокую температурную и временную стабильности. К измерительной цепи может быть подключен индуктивный датчик.
Индуктивный датчик на переменном токе можно представить двухэлементной последовательной схемой замещения, состоящей из непосредственно измеряемой индуктивности L и ее активной составляющей сопротивления RL, являющейся паразитным влияющим параметром. Внутри корпуса индуктивного датчика формируют образцовую индуктивность L0, которая так же содержит активную составляющую сопротивления R0L. Измеряемым параметром в индуктивном датчике является только индуктивность L. Остальные параметры, такие как активная составляющая сопротивления RL измеряемой индуктивности, образцовая индуктивность L0 и ее активная составляющая сопротивление R0L, являются паразитными влияющими параметрами, и от их влияния необходимо отстранится.
Итак, имеет место шесть неизвестных, причем одна из них является измеряемой, а остальные – влияющими.
Рассмотрим реализацию способа. Прежде всего, МК обеспечивает в первом такте работы формирование на выходе БФН двух ортогональных комплексных напряжений
и
на датчике и образцовом сопротивлении измерительной цепи соответственно
,
,
где
– амплитудное значение гармонических напряжений
и
.
При формировании указанных напряжений осуществляется фазовое управление по шине управления изменением напряжений на выходе БФН.
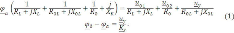
При подключении к измерительной цепи датчика исходные уравнения для расчёта выходного напряжения ОУ будут иметь вид
Здесь:
,
,
– сопротивления измеряемой, образцовой индуктивностей, а также кабеля связи датчика с измерительной цепью, соответственно. Коэффициент усиления усилителя является мнимой величиной и рассчитывается из выражения
(2)
где:
– модуль коэффициента усиления.
Подставим второе уравнение системы (1) в первое и учтем, что коэффициент усиления имеет комплексное значение согласно уравнению (2), а значение потенциала на неинвертирующем входе усилителя 
где: 
.
После некоторых преобразований выходное напряжение усилителя будет определяться выражением
Здесь:
.
Значения действительной составляющей A и мнимой составляющей B комплексного числа являются неизвестными. Однако их введение позволило снизить число неизвестных с шести до четырех. После приведения подобных членов получим математическое выражение для комплексного значения выходного напряжения усилителя
Производится измерение выходного напряжения ОУ с помощью аналого-цифрового преобразователя AD0 микроконтроллера в два момента времени: при t = 0 и t = T/4. На фиг.2, а проиллюстрирована векторная диаграмма для случая t = 0. Анализ векторной диаграммы показывает, что при этом складываются мнимая составляющая, пропорциональная
и действительная составляющая, пропорциональная
, а измеряемое напряжение равно
В момент времени t = T/4 (фиг.2, б) будут складываться, согласно векторной диаграмме, действительная составляющая, пропорциональная
и мнимая составляющая, пропорциональная
. Необходимо обратить внимание, что мнимая составляющая, пропорциональная
, будет с отрицательным знаком. Измеряемое напряжение равно
После этого производится переключение подаваемых напряжений: на датчик будет подаваться
, а на образцовый элемент –
. Повторно производятся два измерения: одно в момент времени t = 0, а второе – t = T/4.
Анализ векторной диаграммы показывает, что при t = 0 будут складываться мнимая составляющая, пропорциональная
, и действительная, пропорциональная
, а при t = T/4 – действительная составляющая, пропорциональная
и мнимая, пропорциональная
причем с отрицательным знаком. Измеренные напряжения при этом определяются уравнениями
Решение системы из четырех уравнений для U1, U2, U3 и U4 позволяет определить как активную составляющую сопротивления RL, так и индуктивное сопротивление XL датчика
Откуда значение индуктивности датчика, рассчитанное микроконтроллером, равно
где
– рабочая частота БФН.
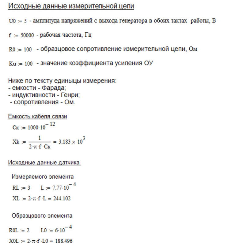
Для подтверждения заявляемого свойства предложенного способа преобразования в программе Mathcad было проведено моделирование процесса преобразования. Результаты приведены ниже.
Источники информации
1. Патент РФ на изобретение №1827647, кл. G01R 27/26, опубл. 15.07.1993.
2. Патент РФ на изобретение №2795381, кл. G01R 27/26, опубл. 03.05.2023.
| название | год | авторы | номер документа |
|---|---|---|---|
| Способ определения индуктивности индуктивного и ёмкости ёмкостного датчиков и измерительная цепь для его осуществления | 2023 |
|
RU2825079C1 |
| Способ определения емкости датчика и измерительная цепь для его осуществления | 2022 |
|
RU2795381C1 |
| Способ определения параметров трехэлементного резонансного двухполюсника и измерительная цепь для его осуществления | 2021 |
|
RU2770299C1 |
| Способ определения параметров комплексных двухполюсников и устройство для его осуществления | 1986 |
|
SU1377752A1 |
| Цифровой измеритель емкости, индуктивности и сопротивления | 1989 |
|
SU1629880A1 |
| Цифровой измеритель @ -параметров | 1983 |
|
SU1120254A1 |
| Мост с индуктивно связаннымиплЕчАМи | 1979 |
|
SU819729A1 |
| Измеритель частотных свойств диэлектриков | 1982 |
|
SU1041922A1 |
| СПОСОБ ТЕМПЕРАТУРНОЙ КОМПЕНСАЦИИ ИНДУКТИВНОГО ДАТЧИКА ПОЛОЖЕНИЯ И УСТРОЙСТВО ДЛЯ ЕГО РЕАЛИЗАЦИИ | 2013 |
|
RU2555200C2 |
| Устройство для измерения параметров пассивного комплексного двухполюсника | 1983 |
|
SU1244598A1 |
Изобретение относится к электроизмерительной технике, а именно к определению индуктивности индуктивного датчика, и может быть использовано для преобразования параметров индуктивных датчиков в код. Сущность заявленного решения заключается в формировании двух ортогональных гармонических напряжений с периодом Т, одно из которых подается на измеряемый элемент датчика, а второе – на образцовый резистор измерительной цепи, второй вывод которого подключен ко входу усилителя, между входом и выходом которого включен образцовый элемент датчика, при этом компенсацию погрешности от конечного значения комплексного коэффициента усиления усилителя, ёмкости кабеля связи и активных составляющих сопротивлений измеряемого и образцового элемента датчика осуществляют путем измерения двух напряжений с выхода усилителя для двух моментов времени t = 0 и t = T/4, причем такие измерения проводятся дважды с переключением во втором такте подаваемых напряжений с измеряемого элемента на образцовый, а с образцового на измеряемый, а числовые значения измеряемой индуктивности определяются по результатам полученных значений напряжений без изменения схемы подключения датчика по одному из следующих выражений: 
где: U1, U2 – измеренные напряжения на выходе усилителя в первом такте при t = 0 и t = T/4; U3, U4 – измеренные напряжения на выходе усилителя во втором такте при t = 0 и t = T/4. Техническим результатом при реализации заявленного решения является повышение точности измерения и расширение функциональных возможностей способа определения индуктивности индуктивного датчика. 2 ил.
Способ определения индуктивности индуктивного датчика, заключающийся в формировании двух гармонических напряжений с периодом Т, сдвинутых относительно друг друга на 90°, одно из которых подается на измеряемый элемент датчика, с целью повышения точности измерения и расширения функциональных возможностей, второе напряжение подается на образцовый резистор измерительной цепи, второй вывод которого подключен ко входу усилителя, между входом и выходом которого включен образцовый элемент датчика, отличающийся тем, что с целью компенсации погрешности от комплексного коэффициента усиления усилителя, ёмкости кабеля связи и активных сопротивлений измеряемого и образцового элемента датчика осуществляют измерение двух напряжений с выхода усилителя в два момента времени t = 0 и t = T/4, причем такие измерения проводятся дважды с переключением во втором такте подаваемых напряжений с измеряемого элемента на образцовый, а с образцового на измеряемый, а числовые значения измеряемой индуктивности определяются по результатам полученных значений напряжений без изменения схемы подключения датчика выражения:
где: U1, U2 – измеренные напряжения на выходе усилителя в первом такте при t = 0 и
t = T/4; U3, U4 – измеренные напряжения на выходе усилителя во втором такте при t = 0 и t = T/4.
| Преобразователь емкости датчика в частоту | 1991 |
|
SU1827647A1 |
| Способ определения емкости датчика и измерительная цепь для его осуществления | 2022 |
|
RU2795381C1 |
| CN 107153137 B, 29.11.2019 | |||
| US 9601997 B2, 21.03.2017. | |||
Авторы
Даты
2025-04-04—Публикация
2024-07-21—Подача