Изобретения относятся к областям радиосвязи, радиолокации, радионавигации и радиоэлектронной борьбы и могут быть использованы для создания многофункциональных устройств усиления амплитуды и демодуляции частотно-модулированных сигналов с увеличенным квазилинейным участком частотной демодуляционной характеристики при произвольных заданных характеристиках нелинейного элемента, цепи внешней обратной связи и нагрузки.
Известен способ усиления и частотной демодуляции высокочастотного сигнала, основанный на использовании энергии источника постоянного напряжения, организации внутренней обратной связи в нелинейном элементе путем использования в качестве него двухполюсного нелинейного элемента с отрицательным дифференциальным сопротивлением [Радиоприемные устройства. Под общей редакцией В.И. Сифорова, М.: «Сов. Радио», 1974, с. 137-150], выполнении условий усиления путем согласования с заданным допуском отрицательного сопротивления с сопротивлением остальной части усилителя. Входную часть выполняют из параллельного колебательного контура. Выходную часть усилителя выполняют из фильтра нижних частот (ФНЧ), разделительной емкости и низкочастотной нагрузки [Гоноровский И.С. Радиотехнические цепи и сигналы – М: «Советское радио»,1977, с. 190-193, 290-293, 311-316]. Если средняя частота входного частотно-модулированного сигнала (ЧМС) совпадает со средней частотой левого склона амплитудно-частотной характеристики (АЧХ) колебательного контура, то ЧМС преобразуется в амплитудно-модулированный ЧМС (АЧМС). Нелинейный элемент разрушает (расщепляет) спектр АЧМС на высокочастотные и низкочастотные составляющие, ФНЧ выделяет низкочастотные составляющие, а остальные подавляет. Разделительная емкость устраняет постоянную составляющую. На низкочастотную нагрузку поступает низкочастотный сигнал, амплитуда которого изменяется по закону изменения частоты входного ЧМС. В результате одновременно обеспечивается усиление и демодуляция ЧМС.
Известно устройство усиления и частотной модуляции, состоящее из источника постоянного напряжения, устанавливающего рабочую точку на середине падающего участка вольтамперной характеристики двухполюсного нелинейного элемента с отрицательным дифференциальным сопротивлением [Радиоприемные устройства. Под общей редакцией В.И. Сифорова. М.: «Сов. Радио», 1974, с. 137-150], входной цепи из параллельного колебательного контура и реактивного четырехполюсника, при этом параметры контура, двухполюсного нелинейного элемента и четырехполюсника выбраны из условия совпадения средней частоты левого склона АЧХ и средней частоты входного ЧМС и одновременного усиления амплитуды ЧМС [Гоноровский И.С. Радиотехнические цепи и сигналы - М.: «Советское радио»., 1977, с. 190-193, 290-293, 311-316]. Принцип действия этого устройства состоит в следующем. При включении источника постоянного напряжения (тока) рабочая точка нелинейного элемента устанавливается на падающем участке его вольт-амперной характеристики. Благодаря наличию внутренней обратной связи в двухполюсном нелинейном элементе на участке с падающей вольт-амперной характеристикой возникает отрицательное дифференциальное сопротивление, которое в силу согласования с помощью реактивного четырехполюсника компенсирует потери в во всей цепи с заданным допуском. Благодаря этому входной ЧМС со средней частотой, равной средней частоте левого склона колебательного контура, усиливается до уровня, при котором амплитуда выходит за пределы падающего участка вольтамперной характеристики, а входной ЧМС преобразуется в АЧМС. Нелинейный элемент расщепляет (разрушает) спектр АЧМС на составляющие, ФНЧ выделяет НЧ составляющую, а остальные подавляет, разделительная емкость устраняет постоянную составляющую. НЧ составляющая, амплитуда которой изменяется по закону изменения частоты входного ЧМС, поступает на низкочастотную нагрузку. Происходит демодуляция ЧМС. Недостатком способа и устройства является простое суммирование функций усиления и частотной демодуляции. Если устройство эффективно в режиме усиления, то оно не эффективно в режиме частотной модуляции, и наоборот, если устройство эффективно в режиме частотной модуляции, то оно не эффективно в режиме усиления. Поэтому в общем случае возникают нежелательные частотные или нелинейные искажения в одном из режимов.
Наиболее близким по технической сущности и достигаемому результату (прототипом) является способ усиления и частотной демодуляции высокочастотного сигнала, основанный на использовании энергии источника постоянного напряжения, организации цепи прямой передачи (ЦПП) и цепи внешней обратной связи (ОС), выполнении условий усиления путем согласования с заданным допуском ОС и ЦПП с остальной части усилителя. Если средняя частота входного ЧМС совпадает со средней частотой левого склона АЧХ, а выходом остальной части усилителя является фильтр нижних частот и низкочастотная нагрузка, то одновременно с усилением произойдет преобразование ЧМС в АЧМС, амплитуда которого будет изменяться по закону изменения частоты входного ЧМС, а также амплитудная демодуляция АЧМС с формированием на низкочастотной нагрузке НЧ сигнала, амплитуда которого изменяется по закону изменения частоты входного ЧМС [Гоноровский И.С. Радиотехнические цепи и сигналы - М: «Советское радио».,1977, с. 190-193, 290-293, 311-316].
Наиболее близким по технической сущности и достигаемому результату (прототипом) является устройство усиления и частотной демодуляции высокочастотного сигнала, состоящее из источника постоянного напряжения, устанавливающего рабочую точку на середине квазилинейного участка проходной вольтамперной характеристики транзистора, цепи прямой передачи в виде первого четырехполюсника для согласования выходного электрода транзистора и нагрузки, входной цепи в виде параллельного колебательного контура, RC-цепи внешней положительной обратной связи (в общем виде - второго четырехполюсника для согласования управляющего электрода транзистора и нагрузки) между нагрузкой и управляющим электродом транзистора, выходной цепи в виде ФНЧ, разделительной емкости и низкочастотной нагрузки, при этом параметры контура, цепи прямой передачи, цепи обратной связи и транзистора выбраны из условия совпадения средней частоты левого склона АЧХ всего устройства и средней частоты входного ЧМС и одновременного усиления амплитуды ЧМС [Гоноровский И.С. Радиотехнические цепи и сигналы – М.: «Советское радио»., 1977, с. 190-193, 290-293, 311-316].
Принцип действия этого устройства состоит в следующем. При включении источника постоянного напряжения (тока) рабочая точка нелинейного элемента устанавливается на середине квазилинейного участка его проходной вольт - амперной характеристики. Благодаря наличию внешней обратной связи, согласования с помощью реактивных четырехполюсников выходного электрода с нагрузкой и нагрузки с управляющим электродом, потери во всей цепи компенсируются с определенным допуском, необходимым для устранения возможности возбуждения устройства. Благодаря этому, входной ЧМС со средней частотой, равной средней частоте левого склона колебательного контура, усиливается до уровня, при котором амплитуда выходит за пределы квазилинейного участка вольтамперной характеристики, а входной ЧМС преобразуется в АЧМС. Нелинейный элемент расщепляет (разрушает) спектр АЧМС на составляющие, ФНЧ выделяет НЧ составляющую, а остальные подавляет, разделительная емкость устраняет постоянную составляющую, НЧ составляющая, амплитуда которой изменяется по закону изменения частоты входного ЧМС, поступает на низкочастотную нагрузку. Происходит демодуляция ЧМС. Недостатком способа и устройства является простое совмещение функций усиления и частотной демодуляции. Общим недостатком всех известных способов и устройств является то, что отсутствуют технические решения, способствующие обеспечению режима усиления и режима частотной демодуляции с помощью одного радиотехнического устройства. Если в режиме частотной демодуляции достигнут минимум нелинейных и частотных искажений, то в режиме усиления эти искажения будут максимальными, и наоборот, если в режиме усиления достигнут минимум нелинейных и частотных искажений, то в режиме частотной демодуляции эти искажения будут максимальными. Особенно остро возникает этот вопрос при проектировании устройств усиления и частотной демодуляции в диапазонах ВЧ и УВЧ, на которых, кроме того, обязательно нужно учитывать реактивные составляющие параметров нелинейных элементов. В настоящее время классическая теория радиотехнических цепей это не учитывает. Кроме того, не определены условия, способствующие увеличению квазилинейного участка частотной демодуляционной характеристики, обеспечению заданного коэффициента усиления и увеличение динамического диапазона, при которых достигается минимум нелинейных и частотных искажений одновременно в обоих режимах. Основой для данного изобретения является определение указанных условий.
Техническим результатом изобретения является усиление и частотная демодуляция высокочастотного сигнала с помощью устройства с увеличенным динамическим диапазоном и квазилинейным участком частотной демодуляционной характеристики благодаря специальному согласованию с помощью реактивного четырехполюсника. Возможность использования различных вариантов включения трехполюсного нелинейного элемента относительно реактивного четырехполюсника и различных видов обратной связи расширяет возможности физической реализуемости этого результата.
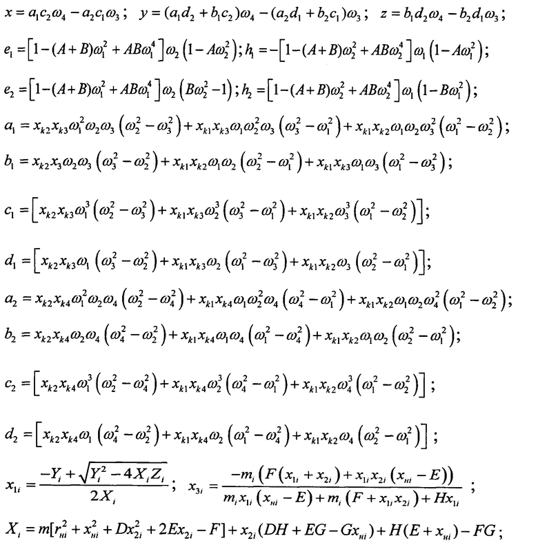
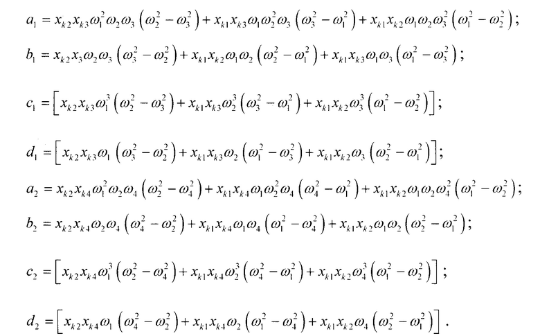
1. Указанный результат достигается тем, что в известном способе усиления и демодуляции частотно-модулированных сигналов, основанном на использовании энергии источника постоянного напряжения, взаимодействии частотно - модулированного сигнала с устройством, которое выполняют из цепи прямой передачи в виде трехполюсного нелинейного элемента, реактивного четырехполюсника, цепи внешней обратной связи, фильтра нижних частот, разделительной емкости и низкочастотной нагрузки, выполнении условий согласования цепи прямой передачи с цепью внешней обратной связи, условий согласования цепи внешней обратной связи с управляющим электродом трехполюсного нелинейного элемента, условий согласования цепи прямой передачи и цепи внешней обратной связи с остальной частью устройства с заданным допуском, преобразовании частотно-модулированного сигнала в амплитудно-частотно-модулированный сигнал на левом склоне амплитудно-частотной характеристики, расщеплении спектра амплитудно-частотно-модулированного сигнала на низкочастотные и высокочастотные составляющие с помощью трехполюсного нелинейного элемента, выделении низкочастотной составляющей с помощью фильтра нижних частот, устранении постоянной составляющей с помощью разделительной емкости и получении на низкочастотной нагрузке низкочастотного сигнала, амплитуда которого изменяется по закону изменения частоты частотно-модулированного сигнала, дополнительно в качестве цепи внешней обратной связи используют произвольный комплексный четырехполюсник, подключенный к трехполюсному нелинейному элементу по параллельно-последовательной схеме, трехполюсный нелинейный элемент и цепь обратной связи как единый узел каскадно включают между источником частотно - модулированного сигнала с комплексным сопротивлением и входом реактивного четырехполюсника, между выходом реактивного четырехполюсника и фильтром нижних частот включают высокочастотную нагрузку в виде двухполюсника с комплексным сопротивлением, условия согласования по критерию одновременного обеспечения усиления и частотной демодуляции выполняют за счет выбора частотных зависимостей параметров реактивного четырехполюсника в соответствии со следующими математическими выражениями:
где 
- оптимальные зависимости отношений соответствующих элементов классической матрицы передачи реактивного четырехполюсника a, b, c, d от частоты;
- заданные зависимости действительных и мнимых составляющих сопротивлений источника входного частотно-модулированного сигнала и высокочастотной нагрузки от частоты;
- заданные суммарные зависимости действительных и мнимых составляющих элементов смешанной матрицы F трехполюсного нелинейного элемента от частоты и соответствующих зависимостей действительных и мнимых составляющих элементов смешанной матрицы F цепи внешней обратной связи от частоты; m, ϕ - заданные зависимости величин модуля и фазы передаточной функции из условия формирования заданной крутизны квазилинейного участка левого склона амплитудно-частотной характеристики устройства в заданной полосе частот, совпадающей с диапазоном изменения частоты входного частотно-модулированного сигнала.
2. Указанный результат достигается тем, что в известном устройстве усиления и демодуляции частотно - модулированных сигналов, выполненном из источника постоянного напряжения, цепи прямой передачи в виде трехполюсного нелинейного элемента, реактивного четырехполюсника, цепи внешней обратной связи, фильтра нижних частот, разделительной емкости и низкочастотной нагрузки, дополнительно в качестве цепи внешней обратной связи использован произвольный комплексный четырехполюсник, подключенный к трехполюсному нелинейному элементу по параллельно-последовательной схеме, трехполюсный нелинейный элемент и цепь обратной связи как единый узел каскадно включены между источником частотно-модулированного сигнала с комплексным сопротивлением и входом реактивного четырехполюсника, между выходом реактивного четырехполюсника и фильтром нижних частот включена высокочастотная нагрузка в виде двухполюсника с комплексным сопротивлением, реактивный четырехполюсник выполнен в виде П-образного соединения трех реактивных двухполюсников с сопротивлениями
причем первый и третий двухполюсники выполнены в виде параллельно соединенных двух последовательных колебательных контуров с параметрами
, значения которых выбраны из условия согласования по критерию одновременного обеспечения усиления и частотной демодуляции в соответствии со следующими математическими выражениями:
где 

- заданные значения действительных и мнимых составляющих сопротивлений источника входного частотно-модулированного сигнала и высокочастотной нагрузки на заданных четырех частотах
- заданные суммарные значения действительных и мнимых составляющих элементов смешанной матрицы F трехполюсного нелинейного элемента на заданных четырех частотах и соответствующих значений действительных и мнимых составляющих элементов смешанной матрицы F цепи внешней обратной связи на заданных четырех частотах;
- заданные значения величин модуля и фазы передаточной функции из условия формирования заданной крутизны квазилинейного участка левого склона амплитудно-частотной характеристики устройства на заданных четырех частотах в заданной полосе частот, совпадающей с диапазоном изменения частоты входного частотно - модулированного сигнала; k=1,3 - индекс, характеризующий параметры первого и третьего двухполюсников согласующего реактивного четырехполюсника;
- оптимальные значения сопротивлений первого и третьего двухполюсников согласующего реактивного четырехполюсника на заданных четырех частотах;
- заданные значения сопротивлений второго двухполюсника согласующего реактивного четырехполюсника на заданных четырех частотах.
На фиг. 1 показана схема устройства усиления и демодуляции частотно-модулированных сигналов (прототип), реализующего способ-прототип.
На фиг. 2 изображена структурная схема предлагаемого устройства по п. 2, реализующая предлагаемый способ усиления и демодуляции частотно-модулированных сигналов по п. 1.
На фиг. 3 приведена схема согласующего реактивного четырехполюсника, входящего в состав предлагаемого устройства (фиг. 2).
На фиг. 4 приведена схема формирования первого и третьего двухполюсников согласующего реактивного четырехполюсника (фиг. 3), входящего в состав предлагаемого устройства (фиг. 2).
Устройство-прототип (Фиг. 1), реализующее способ-прототип, содержит цепь прямой передачи в виде трехполюсного нелинейного элемента VT - 1, подключенного к источнику постоянного напряжения 2, согласующего устройства СУ - 3 в виде реактивного четырехполюсника. К цепи прямой передачи (ЦПП) подключена цепь обратной связи ОС - 4. К выходу узла из ЦПП и ОС как единого целого подключены ФНЧ - 5, разделительная емкость СР - 6 и низкочастотная нагрузка Rн - 7. Между источником ЧМС с сопротивлением z0 - 8 и входом ЦПП и ОС параллельно включен параллельный колебательный контур КК - 9 на элементах L, R, C.
Принцип действия устройства усиления и демодуляции ЧМС (прототипа), реализующего способ-прототип, состоит в следующем.
При включении источника постоянного напряжения (тока) 2 рабочая точка нелинейного элемента 1 устанавливается на середине квазилинейного участка его проходной вольт-амперной характеристики. Благодаря согласованию с помощью СУ 3 выходного электрода с ОС 4 и ОС 4 с управляющим электродом, в цепи возникает отрицательное сопротивление и потери во всей цепи компенсируются с определенным допуском, необходимым для устранения возможности возбуждения устройства. Благодаря этому входной ЧМС со средней частотой, равной средней частоте левого склона КК 9, усиливается до уровня, при котором амплитуда выходит за пределы квазилинейного участка вольтамперной характеристики, а входной ЧМС преобразуется в АЧМС. Нелинейный элемент 1 расщепляет (разрушает) спектр АЧМС на составляющие, ФНЧ 5 выделяет НЧ составляющую, а остальные подавляет, разделительная емкость СР 6 устраняет постоянную составляющую, НЧ составляющая, амплитуда которой изменяется по закону изменения частоты входного ЧМС, поступает на низкочастотную нагрузку 7. Происходит демодуляция ЧМС.
Недостатки способа-прототипа и устройства его реализации описаны выше.
Предлагаемое устройство по п. 2 (фиг. 2), реализующее предлагаемый способ по п. 1, содержит трехполюсный нелинейный элемент-1 с известными элементами смешанной матрицы
на заданных частотах, подключенный к источнику постоянного напряжения 2 и соединенный по высокой частоте с цепью внешней ОС по параллельно-последовательной схеме (входы соединены параллельно, а выходы - последовательно), выполненной в виде произвольного четырехполюсника 10, сформированного в общем случае на двухполюсниках с комплексными сопротивлениями. Источник входного ЧМС с сопротивлением
на заданных частотах подключен к входу узла из нелинейного элемента 1 и четырехполюсника 10. К выходу этого узла подключен согласующий реактивный четырехполюсник СРЧ 11, между выходом СРЧ 11 и ФНЧ 5 параллельно включена высокочастотная нагрузка 12 с заданными сопротивлениями
на заданных частотах. Произвольный четырехполюсник 10 тоже характеризуется известными значениями элементов смешанной матрицы
на заданных частотах (i=1,2… - номер частоты). Четырехполюсник 11 может быть выполнен в виде произвольного соединения произвольного количества реактивных двухполюсников. В данном изобретении этот четырехполюсник выполнен в виде П-образного соединения трех двухполюсников с сопротивлениями х1 13, х2 14, х3 15 (фиг. 3). Синтез усилителя и частотного демодулятора (выбор оптимальных частотных зависимостей сопротивлений первого х1 13 и третьего х3 15 двухполюсников СРЧ 11, выполнение каждого из них в виде параллельно соединенных двух последовательных колебательных контуров с параметрами
(фиг. 4), выбор значений этих параметров в соответствии с определенными математическими выражениями) осуществлен по критерию обеспечения заданной крутизны квазилинейного участка левого склона АЧХ в заданной полосе частот, совпадающей с диапазоном изменения частоты входного ЧМС. В результате реализуется увеличенный квазилинейный участок частотной демодуляционной характеристики и динамический диапазон.
Предлагаемое устройство функционирует следующим образом.
При включении источника постоянного напряжения (тока) 2 рабочая точка нелинейного элемента 1 устанавливается на начальном участке его проходной вольт-амперной характеристики (режим работы с отсечкой, позволяющий разрушать спектр сигнала). Благодаря согласованию ЦПП и ОС как единого целого с помощью СРЧ 11 с остальной частью устройства в цепи возникает отрицательное сопротивление и потери во всей цепи компенсируются с определенным допуском, необходимым для усиления амплитуды и устранения возможности возбуждения устройства, а также формируется левый склон АЧХ с заданной крутизной в заданной полосе частот. Происходит увеличение квазилинейного участка левого склона АЧХ. Благодаря этому входной ЧМС со средней частотой, равной средней частоте левого склона АЧХ, усиливается до уровня, при котором амплитуда выходит за пределы квазилинейного участка левого склона АЧХ, а входной ЧМС преобразуется в АЧМС. Происходит увеличение амплитуды АЧМС на квазилинейном участке левого склона АЧХ, что равносильно увеличению динамического диапазона. Нелинейный элемент 1 расщепляет (разрушает) спектр АЧМС на составляющие, ФНЧ 5 выделяет НЧ составляющую, а остальные подавляет, разделительная емкость СР 6 устраняет постоянную составляющую, НЧ составляющая, амплитуда которой изменяется по закону изменения частоты входного ЧМС, поступает на низкочастотную нагрузку 7. Происходит демодуляция ЧМС, частотные и нелинейные искажения уменьшаются. Коэффициент детектирования увеличивается в число раз, равное коэффициенту усиления - модулю передаточной функции высокочастотной части (до фильтра нижних частот) предлагаемого устройства. Докажем возможность реализации указанных свойств. Введем обозначения зависимостей сопротивления источника сигнала
, нагрузки
и зависимостей элементов смешанной матрицы F нелинейного элемента (VT)
и элементов смешанной матрицы F цепи внешней обратной связи (ОС)
от частоты. При параллельно-последовательном соединении четырехполюсников элементы их матриц F складываются. Суммарные зависимости элементов смешанной матрицы F от частоты: 
Размерности элементов матрицы F:
(проводимость),
(безразмерный),
(безразмерный),
(сопротивление). Параметры нелинейного элемента зависят, кроме того, от амплитуды низкочастотного управляющего сигнала. Для простоты аргументы (амплитуда и частота) опущены. Требуется определить частотные зависимости сопротивлений
(аппроксимирующие функции) первого и третьего реактивных двухполюсников СРЧ 11, оптимальные по критерию обеспечения условий формирования левого склона АЧХ и усиления амплитуды ЧМС в режиме частотной демодуляции и усиления.
Общая смешанная матрица F нелинейного элемента (VT) и четырехполюсника цепи обратной связи (ОС) и соответствующая ей классическая матрица передачи:
где
Реактивный четырехполюсник (СРЧ) характеризуется матрицей передачи:
где
- элементы классической матрицы передачи.
Общая нормированная классическая матрица передачи высокочастотной части усилителя и частотного демодулятора получается перемножением матрицы передачи (1) и матрицы (2) и учетом условий нормировки:
Используя известную связь элементов матрицы рассеяния с элементами классической матрицы передачи (Фельдштейн А.Л., Явич Л.Р. Синтез четырехполюсников и восьмиполюсников на СВЧ. М.: Связь, 1971, с. 34-36) и матрицу передачи (3), получим выражение для коэффициента передачи высокочастотной части усилителя и частотного демодулятора:
Можно показать, что коэффициент передачи (4) связан с физически реализуемой передаточной функцией простым соотношением
. Поэтому
Передаточная функция (5) приводится к известному виду для коэффициента усиления усилителя с обратной связью:
где
- коэффициенты усиления цепи прямой передачи и цепи обратной связи.
Пусть требуется обеспечить требуемые зависимости модуля m (АЧХ) и фазы ϕ (ФЧХ) передаточной функции усилителя и частотного модулятора от частоты:
Подставим (5) или (6) в (7). После разделения между собой мнимых и действительных частей получим систему двух уравнений, эквивалентных (7):
где 
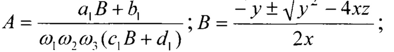
Решение (8) имеет вид оптимальных по критерию (7) взаимосвязей между элементами классической матрицы передачи СФУ:
где 
- оптимальные отношения соответствующих элементов классической матрицы передачи резистивного четырехполюсника
- заданные зависимости действительных и мнимых составляющих сопротивлений источника входного частотно-модулированного сигнала и высокочастотной нагрузки от частоты;
- заданные суммарные зависимости действительных и мнимых составляющих элементов смешанной матрицы F трехполюсного нелинейного элемента от частоты и соответствующих зависимостей действительных и мнимых составляющих элементов смешанной матрицы F цепи внешней обратной связи от частоты.
Оптимальные характеристики (9), обеспечивающие заданную крутизну и линейность левого склона АЧХ во всем диапазоне частот, теоретически реализуются следующим образом. Выбираем типовую схему реактивного четырехполюсника с известной классической матрицей передачи. Находим отношения элементов классической матрицы передачи. Определенные таким образом коэффициенты
;
подставляем в (9) и решаем полученную систему уравнений относительно двух выбранных параметров выбранной схемы СРЧ. Если в СРЧ 11 количество двухполюсников больше двух, то сопротивления остальных двухполюсников могут быть выбраны произвольно или исходя из каких-либо других физических соображений. В соответствии с этим алгоритмом получены выражения для определения оптимальных по критерию (9) сопротивлений первого и третьего двухполюсников СРЧ в виде П-образного звена (фиг. 3):
где 
Оптимальные характеристики (10), эквивалентные (11) и тоже обеспечивающие заданную крутизну и линейность левого склона АЧХ во всем диапазоне частот, практически реализовать невозможно. Здесь предлагается реализация квазиоптимальных характеристик, приблизительно совпадающих с оптимальными характеристиками (10) в определенной полосе частот. Такая реализация может быть осуществлена различными способами, например, с помощью метода интерполяции. Для этого необходимо сформировать двухполюсники с сопротивлениями х1, х3 из не менее чем N (числа частот интерполяции) реактивных элементов,
найти выражения для их сопротивлений, приравнять их оптимальным значениям сопротивлений двухполюсников на заданных частотах, определенным по формулам (10), и решить сформированную таким образом систему N уравнений относительно N выбранных параметров реактивных элементов. Значения параметров остальных элементов могут быть выбраны произвольно или исходя из каких-либо других физических соображений, например, из условия физической реализуемости.
В соответствии с этим алгоритмом получены математические выражения для определения значений параметров реактивного двухполюсника в виде параллельно соединенных первого
и второго
последовательных контуров (фиг. 4), оптимальных по критерию обеспечения оптимальных величин модулей и фаз передаточной функции (1) на четырех частотах ωi=2 πfi; i=1. 2. 3. 4.
Исходная система уравнений:
Решение, полученное для четырех частот интерполяции:
где

Обобщенный индекс k введен для определения параметров первого и третьего двухполюсников. При k=1 имеем параметры для первого двухполюсника, при k=3 - для третьего, i=1, 2, 3, 4 - номера частот. Индекс i можно ввести и для других величин, которые зависят от частоты явным образом.
Реализация оптимальных аппроксимаций частотных характеристик х1, х3 (10) с помощью характеристик (11), которые при параметрах (12) являются квазиоптимальными характеристиками, обеспечивает в окрестности этих четырех частот заданную крутизну левого склона АЧХ (m) в интересах усиления и преобразования ЧМС в АЧМС в режиме усиления и частотной демодуляции. Если частоты
располагаются в порядке возрастания, то величины m1, m2, m3, m4 надо задавать возрастающими и с заданной крутизной. При разумном выборе положений задаваемых частот
относительно друг друга квазилинейный склон АЧХ в окрестности этих четырех частот будет незначительно отличаться от линейного при их полном совпадении на четырех частотах. Если рабочую точку устанавливать на середине квазилинейного участка проходной вольт-амперной характеристики нелинейного элемента, то описанный алгоритм позволяет синтезировать устройство, функционирующее только в режиме усиления (без демодуляции). В этом случае выходной сигнал необходимо снимать с высокочастотной нагрузки 12, АЧХ (m) задавать плоской (величины
а входной сигнал может быть произвольным, а не только ЧМС.
Предлагаемые технические решения имеют изобретательский уровень, поскольку из опубликованных научных данных и известных технических решений явным образом не следует, что заявленная последовательность операций (использование в качестве цепи внешней обратной связи произвольного четырехполюсника, подключенного к трехполюсному нелинейному элементу по параллельно-последовательной схеме, включение трехполюсного нелинейного элемента и цепи обратной связи как единого узла между источником сигнала и входом реактивного четырехполюсника, включение высокочастотной нагрузки между выходом реактивного четырехполюсника и низкочастотной частью, выполненной из ФНЧ, разделительной емкости и низкочастотной нагрузки (фиг. 2), выполнение согласующего реактивного четырехполюсника в виде П-образного соединения трех двухполюсников, выбор значений сопротивлений первого и третьего реактивных двухполюсников х1 и х3 (фиг. 3) и их формирование указанным образом (фиг. 4)) обеспечивает одновременно усиление, преобразование ЧМС в АЧМС на левом склоне АЧХ, демодуляцию АЧМС, что эквивалентно частотной демодуляции.
Предлагаемые технические решения практически применимы, так как для их реализации могут быть использованы серийно выпускаемые промышленностью трехполюсные нелинейные элементы (транзисторы или лампы), реактивные элементы (индуктивности и емкости), сформированные в П-образную схему реактивного четырехполюсника (фиг. 3, 4). Значения параметров реактивных элементов могут быть однозначно определены с помощью математических выражений, приведенных в формуле изобретения.
Технико-экономическая эффективность предложенного устройства заключается в обеспечении усиления и частотной демодуляции высокочастотного сигнала за счет выбора схемы и значений сопротивлений реактивных элементов согласующего реактивного четырехполюсника по критерию формирования левого склона АЧХ с заданными крутизной и коэффициентом усиления, что унифицирует устройство, увеличивает квазилинейный участок частотной демодуляционной характеристики и динамический диапазон в режиме усиления и частотной демодуляции.
| название | год | авторы | номер документа |
|---|---|---|---|
| СПОСОБ УСИЛЕНИЯ И ДЕМОДУЛЯЦИИ ЧАСТОТНО-МОДУЛИРОВАННЫХ СИГНАЛОВ И УСТРОЙСТВО ЕГО РЕАЛИЗАЦИИ | 2024 |
|
RU2840775C1 |
| СПОСОБ УСИЛЕНИЯ И ДЕМОДУЛЯЦИИ ЧАСТОТНО-МОДУЛИРОВАННЫХ СИГНАЛОВ И УСТРОЙСТВО ЕГО РЕАЛИЗАЦИИ | 2015 |
|
RU2598797C1 |
| СПОСОБ УСИЛЕНИЯ И ДЕМОДУЛЯЦИИ ЧАСТОТНО-МОДУЛИРОВАННЫХ СИГНАЛОВ И УСТРОЙСТВО ЕГО РЕАЛИЗАЦИИ | 2015 |
|
RU2605675C2 |
| СПОСОБ УСИЛЕНИЯ И ДЕМОДУЛЯЦИИ ЧАСТОТНО-МОДУЛИРОВАННЫХ СИГНАЛОВ И УСТРОЙСТВО ЕГО РЕАЛИЗАЦИИ | 2015 |
|
RU2598792C1 |
| СПОСОБ УСИЛЕНИЯ И ДЕМОДУЛЯЦИИ ЧАСТОТНО-МОДУЛИРОВАННЫХ СИГНАЛОВ И УСТРОЙСТВО ЕГО РЕАЛИЗАЦИИ | 2014 |
|
RU2577913C2 |
| СПОСОБ ЧАСТОТНОЙ МОДУЛЯЦИИ И ДЕМОДУЛЯЦИИ ВЫСОКОЧАСТОТНЫХ СИГНАЛОВ И УСТРОЙСТВО ЕГО РЕАЛИЗАЦИИ | 2011 |
|
RU2463689C1 |
| СПОСОБ УСИЛЕНИЯ И ДЕМОДУЛЯЦИИ ЧАСТОТНО-МОДУЛИРОВАННЫХ СИГНАЛОВ И УСТРОЙСТВО ЕГО РЕАЛИЗАЦИИ | 2015 |
|
RU2599347C1 |
| СПОСОБ ЧАСТОТНОЙ МОДУЛЯЦИИ И ДЕМОДУЛЯЦИИ ВЫСОКОЧАСТОТНЫХ СИГНАЛОВ И УСТРОЙСТВО ЕГО РЕАЛИЗАЦИИ | 2011 |
|
RU2483436C2 |
| СПОСОБ УСИЛЕНИЯ И ДЕМОДУЛЯЦИИ ЧАСТОТНО-МОДУЛИРОВАННЫХ СИГНАЛОВ И УСТРОЙСТВО ЕГО РЕАЛИЗАЦИИ | 2015 |
|
RU2599965C1 |
| СПОСОБ УСИЛЕНИЯ И ДЕМОДУЛЯЦИИ ЧАСТОТНО-МОДУЛИРОВАННЫХ СИГНАЛОВ И УСТРОЙСТВО ЕГО РЕАЛИЗАЦИИ | 2015 |
|
RU2599964C1 |
Изобретение относится к области радиосвязи. Способ усиления и демодуляции частотно-модулированных сигналов заключается в использовании источника постоянного напряжения, взаимодействии частотно-модулированного сигнала с устройством, которое выполняют из цепи прямой передачи в виде трехполюсного нелинейного элемента, реактивного четырехполюсника, цепи внешней обратной связи, фильтра нижних частот, разделительной емкости и низкочастотной нагрузки, выполнении условий согласования, преобразовании частотно-модулированного сигнала в амплитудно-частотно-модулированный сигнал на левом склоне амплитудно-частотной характеристики, расщеплении спектра амплитудно-частотно-модулированного сигнала, выделении низкочастотной составляющей, устранении постоянной составляющей, использовании в качестве цепи внешней обратной связи четырехполюсника, подключенного к трехполюсному нелинейному элементу по параллельно-последовательной схеме, условия согласования по критерию одновременного обеспечения усиления и частотной демодуляции выполняют за счет выбора частотных зависимостей параметров реактивного четырехполюсника. Технический результат - усиление и частотная демодуляция высокочастотного сигнала с помощью устройства с увеличенным динамическим диапазоном и квазилинейным участком частотной демодуляционной характеристики. 2 н.п. ф-лы, 4 ил. 
1. Способ усиления и демодуляции частотно-модулированных сигналов, основанный на использовании энергии источника постоянного напряжения, взаимодействии частотно-модулированного сигнала с устройством, которое выполняют из цепи прямой передачи в виде трехполюсного нелинейного элемента, реактивного четырехполюсника, цепи внешней обратной связи, фильтра нижних частот, разделительной емкости и низкочастотной нагрузки, выполнении условий согласования цепи прямой передачи с цепью внешней обратной связи, условий согласования цепи внешней обратной связи с управляющим электродом трехполюсного нелинейного элемента, условий согласования цепи прямой передачи и цепи внешней обратной связи с остальной частью устройства с заданным допуском, преобразовании частотно-модулированного сигнала в амплитудно-частотно-модулированный сигнал на левом склоне амплитудно-частотной характеристики, расщеплении спектра амплитудно-частотно-модулированного сигнала на низкочастотные и высокочастотные составляющие с помощью трехполюсного нелинейного элемента, выделении низкочастотной составляющей с помощью фильтра нижних частот, устранении постоянной составляющей с помощью разделительной емкости и получении на низкочастотной нагрузке низкочастотного сигнала, амплитуда которого изменяется по закону изменения частоты частотно-модулированного сигнала, отличающийся тем, что в качестве цепи внешней обратной связи используют произвольный комплексный четырехполюсник, подключенный к трехполюсному нелинейному элементу по параллельно-последовательной схеме, трехполюсный нелинейный элемент и цепь обратной связи как единый узел каскадно включают между источником частотно-модулированного сигнала с комплексным сопротивлением и входом реактивного четырехполюсника, между выходом реактивного четырехполюсника и фильтром нижних частот включают высокочастотную нагрузку в виде двухполюсника с комплексным сопротивлением, условия согласования по критерию одновременного обеспечения усиления и частотной демодуляции выполняют за счет выбора частотных зависимостей параметров реактивного четырехполюсника в соответствии со следующими математическими выражениями:
где
- оптимальные зависимости отношений соответствующих элементов классической матрицы передачи реактивного четырехполюсника a, b, c, d от частоты;
- заданные зависимости действительных и мнимых составляющих сопротивлений источника входного частотно-модулированного сигнала и высокочастотной нагрузки от частоты;
- заданные суммарные зависимости действительных и мнимых составляющих элементов смешанной матрицы F трехполюсного нелинейного элемента от частоты и соответствующих зависимостей действительных и мнимых составляющих элементов смешанной матрицы F цепи внешней обратной связи от частоты; m, ϕ - заданные зависимости величин модуля и фазы передаточной функции из условия формирования заданной крутизны квазилинейного участка левого склона амплитудно-частотной характеристики устройства в заданной полосе частот, совпадающей с диапазоном изменения частоты входного частотно-модулированного сигнала.
2. Устройство усиления и демодуляции частотно-модулированных сигналов, выполненное из источника постоянного напряжения, цепи прямой передачи в виде трехполюсного нелинейного элемента, реактивного четырехполюсника, цепи внешней обратной связи, фильтра нижних частот, разделительной емкости и низкочастотной нагрузки, отличающееся тем, что в качестве цепи внешней обратной связи использован произвольный комплексный четырехполюсник, подключенный к трехполюсному нелинейному элементу по параллельно-последовательной схеме, трехполюсный нелинейный элемент и цепь обратной связи как единый узел каскадно включены между источником частотно-модулированного сигнала с комплексным сопротивлением и входом реактивного четырехполюсника, между выходом реактивного четырехполюсника и фильтром нижних частот включена высокочастотная нагрузка в виде двухполюсника с комплексным сопротивлением, реактивный четырехполюсник выполнен в виде П-образного соединения трех реактивных двухполюсников с сопротивлениями
, причем первый и третий двухполюсники выполнены в виде параллельно соединенных двух последовательных колебательных контуров с параметрами
и
значения которых выбраны из условия согласования по критерию одновременного обеспечения усиления и частотной демодуляции в соответствии со следующими математическими выражениями:
где
- заданные значения действительных и мнимых составляющих сопротивлений источника входного частотно-модулированного сигнала и высокочастотной нагрузки на заданных четырех частотах
- заданные суммарные значения действительных и мнимых составляющих элементов смешанной матрицы F трехполюсного нелинейного элемента на заданных четырех частотах и соответствующих значений действительных и мнимых составляющих элементов смешанной матрицы F цепи внешней обратной связи на заданных четырех частотах; mi, ϕi - заданные значения величин модуля и фазы передаточной функции из условия формирования заданной крутизны квазилинейного участка левого склона амплитудно-частотной характеристики устройства на заданных четырех частотах в заданной полосе частот, совпадающей с диапазоном изменения частоты входного частотно-модулированного сигнала; k=1,3 - индекс, характеризующий параметры первого и третьего двухполюсников согласующего реактивного четырехполюсника;.
- оптимальные значения сопротивлений первого и третьего двухполюсников согласующего реактивного четырехполюсника на заданных четырех частотах;
- заданные значения сопротивлений второго двухполюсника согласующего реактивного четырехполюсника на заданных четырех частотах.
| СПОСОБ УСИЛЕНИЯ И ДЕМОДУЛЯЦИИ ЧАСТОТНО-МОДУЛИРОВАННЫХ СИГНАЛОВ И УСТРОЙСТВО ЕГО РЕАЛИЗАЦИИ | 2015 |
|
RU2599965C1 |
| СПОСОБ УСИЛЕНИЯ И ДЕМОДУЛЯЦИИ ЧАСТОТНО-МОДУЛИРОВАННЫХ СИГНАЛОВ И УСТРОЙСТВО ЕГО РЕАЛИЗАЦИИ | 2015 |
|
RU2605675C2 |
| СПОСОБ ЧАСТОТНОЙ МОДУЛЯЦИИ И ДЕМОДУЛЯЦИИ ВЫСОКОЧАСТОТНЫХ СИГНАЛОВ И УСТРОЙСТВО ЕГО РЕАЛИЗАЦИИ | 2011 |
|
RU2463689C1 |
| СПОСОБ УСИЛЕНИЯ И ДЕМОДУЛЯЦИИ ЧАСТОТНО-МОДУЛИРОВАННЫХ СИГНАЛОВ И УСТРОЙСТВО ЕГО РЕАЛИЗАЦИИ | 2014 |
|
RU2591014C2 |
| СПОСОБ УСИЛЕНИЯ И ДЕМОДУЛЯЦИИ ЧАСТОТНО-МОДУЛИРОВАННЫХ СИГНАЛОВ И УСТРОЙСТВО ЕГО РЕАЛИЗАЦИИ | 2014 |
|
RU2577913C2 |
| СПОСОБ УСИЛЕНИЯ И ДЕМОДУЛЯЦИИ ЧАСТОТНО-МОДУЛИРОВАННЫХ СИГНАЛОВ И УСТРОЙСТВО ЕГО РЕАЛИЗАЦИИ | 2014 |
|
RU2568387C1 |
| СПОСОБ УСИЛЕНИЯ И ДЕМОДУЛЯЦИИ ЧАСТОТНО-МОДУЛИРОВАННЫХ СИГНАЛОВ И УСТРОЙСТВО ЕГО РЕАЛИЗАЦИИ | 2014 |
|
RU2568389C1 |
| СПОСОБ УСИЛЕНИЯ И ДЕМОДУЛЯЦИИ ЧАСТОТНО-МОДУЛИРОВАННЫХ СИГНАЛОВ И УСТРОЙСТВО ЕГО РЕАЛИЗАЦИИ | 2015 |
|
RU2599964C1 |
| СПОСОБ УСИЛЕНИЯ И ДЕМОДУЛЯЦИИ ЧАСТОТНО-МОДУЛИРОВАННЫХ СИГНАЛОВ И УСТРОЙСТВО ЕГО РЕАЛИЗАЦИИ | 2014 |
|
RU2552175C1 |
| СПОСОБ УСИЛЕНИЯ И ДЕМОДУЛЯЦИИ ЧАСТОТНО-МОДУЛИРОВАННЫХ СИГНАЛОВ И УСТРОЙСТВО ЕГО РЕАЛИЗАЦИИ | 2015 |
|
RU2598797C1 |
| СПОСОБ УСИЛЕНИЯ И ДЕМОДУЛЯЦИИ ЧАСТОТНО-МОДУЛИРОВАННЫХ СИГНАЛОВ И УСТРОЙСТВО ЕГО РЕАЛИЗАЦИИ | 2015 |
|
RU2598792C1 |
| СПОСОБ УСИЛЕНИЯ И ДЕМОДУЛЯЦИИ ЧАСТОТНО-МОДУЛИРОВАННЫХ СИГНАЛОВ И УСТРОЙСТВО ЕГО РЕАЛИЗАЦИИ | 2015 |
|
RU2599347C1 |
| US 5392009 A, 21.02.1995. | |||
Авторы
Даты
2025-04-16—Публикация
2024-07-09—Подача