[Область техники, к которой относится изобретение]
[0001]
Настоящее изобретение относится к устройству томографии на рассеянном излучении и подобным устройствам, которые формируют изображение внутренней структуры объекта с использованием рассеянных волн от радиоволн.
[Уровень техники изобретения]
[0002]
Патентный документ (PTL) 1, PTL 2 и PTL 3 раскрывают методики, связанные с устройством томографии на рассеянном излучении и подобными устройствами, которые формируют изображение внутренней структуры объекта с использованием рассеянных волн от радиоволн.
[0003]
Например, в методике, описанной в PTL 1, пучок, посланный микроволновым излучателем, падает на цель исследования, и амплитуда и фаза рассеянных пучков обнаруживаются микроволновым датчиком. Затем, по выходному сигналу микроволнового датчика вычисляется распределение диэлектрической постоянной и формируется изображение сечения объекта исследования.
[Список литературы]
[Патентные документы]
[0004]
[PTL 1] Публикация нерассмотренной заявки на японский патент № S62-66145
[PTL 2] WO 2014/125815
[PTL 3] WO 2015/136936
[Сущность изобретения]
[Техническая проблема]
[0005]
К сожалению, создание высокоточного изображения внутренней структуры объекта с использованием рассеянных волн от радиоволн, таких как микроволны, является непростой задачей.
[0006]
В частности, когда состояние внутренней структуры объекта известно, вычисление измерительных данных, которые являются данными, измеряемыми в качестве рассеянных волн, связанных с радиоволнами, падающими на объект, выполняется несложно, так как является прямой задачей. Однако, когда известны измерительные данные, вычислять состояние внутренней структуры объекта сложно потому, что такое вычисление является обратной задачей.
[0007]
Радиоволны, падающие на объект, могут содержать большое число частотных составляющих. Разные частоты радиоволн дают в результате разные диэлектрические постоянные в объекте и различаются по скоростям распространения радиоволны. Иначе говоря, радиоволны характеризуются множеством скоростей распространения, соответствующих множеству частотных составляющих. Поскольку измерительные данные зависят от этого, то состояние внутренней структуры объекта сложно вычислять по измерительным данным.
[0008]
Ввиду этого, настоящее изобретение предлагает устройство томографии на рассеянном излучении и подобные устройства, которые могут формировать высокоточное изображение внутренней структуры объекта с использованием рассеянных волн от радиоволн.
[Решение проблемы]
[0009]
Устройство томографии на рассеянном излучении в соответствии с одним аспектом настоящего изобретения включает в себя: излучающий антенный элемент, который излучает радиоволны извне объекта внутрь объекта; приемный антенный элемент, который принимает снаружи объекта, рассеянные волны от радиоволн, излучаемых внутрь объекта; и схему обработки информации, которая формирует изображение внутренней структуры объекта с использованием измерительных данных, отображающих рассеянные волны, принятые приемным антенным элементом. Схема обработки информации: выводит с использованием измерительных данных реляционное выражение, которое удовлетворяет уравнению, решением которого является функция поля рассеяния, которая принимает положение излучения радиоволн и положение приема рассеянных волн в качестве входных данных и выдает уровень рассеянных волн в положении приема; выводит с использованием реляционного выражения функцию изображения, которая предназначена для формирования изображения и включает в себя один или более параметров, выражающих соответствие между изменением частоты радиоволн и изменением диэлектрической постоянной объекта в соответствии с дебаевской релаксацией; и формирует изображение с использованием функции изображения.
[0010]
Приведенные общие или конкретные аспекты можно реализовать в виде системы, устройства или аппаратуры, способа, интегральной схемы, компьютерной программы или долговременного компьютерно-читаемого носителя информации, такого как постоянное запоминающее устройство на компакт-диске (CD-ROM), или в виде любой комбинации из вышеперечисленного.
[Полезные эффекты изобретения]
[0011]
В соответствии с одним аспектом настоящего изобретения можно формировать высокоточное изображение внутренней структуры объекта с использованием рассеянных волн от радиоволн.
[Краткое описание чертежей]
[0012]
[Фиг. 1]
Фиг. 1 - график, изображающий частотную зависимость диэлектрической постоянной и дебаевской релаксации воды при 30°C в соответствии с вариантом осуществления настоящего изобретения.
[Фиг. 2A]
Фиг. 2A - график, изображающий относительную диэлектрическую постоянную жировой ткани молочной железы для каждой частоты в соответствии с вариантом осуществления настоящего изобретения.
[Фиг. 2B]
Фиг. 2B - график, изображающий эффективную проводимость жировой ткани молочной железы для каждой частоты в соответствии с вариантом осуществления настоящего изобретения.
[Фиг. 3]
Фиг. 3 - схематическое изображение измерительного устройства, применяемого для измерения диэлектрической постоянной вырезанного образца в соответствии с вариантом осуществления настоящего изобретения.
[Фиг. 4]
Фиг. 4 - изображение примера антенной решетки, сканирующей по криволинейной поверхности, для измерения данных рассеяния в соответствии с вариантом осуществления настоящего изобретения.
[Фиг. 5]
Фиг. 5 - схематическая диаграмма взаимосвязи между положением излучающего антенного элемента, положением приемного антенного элемента и положением объекта исследования в соответствии с вариантом осуществления настоящего изобретения.
[Фиг. 6]
Фиг. 6 - пример моностатической антенны, сканирующей по криволинейной поверхности, для измерения данных рассеяния в соответствии с вариантом осуществления настоящего изобретения.
[Фиг. 7]
Фиг. 7 - схематическая диаграмма взаимосвязи между положением излучения и приема и положением объекта исследования в соответствии с вариантом осуществления настоящего изобретения.
[Фиг. 8]
Фиг. 8 - общая конфигурация системы мультистатической радарной антенной решетки в соответствии с вариантом осуществления настоящего изобретения.
[Фиг. 9]
Фиг. 9 - изображение антенной решетки, расположенной в один ряд на прямой или кривой линии в соответствии с вариантом осуществления настоящего изобретения.
[Фиг. 10]
Фиг. 10 - изображение способа сканирования, выполняемого антенной решеткой, в соответствии с вариантом осуществления настоящего изобретения.
[Фиг. 11]
Фиг. 11 - изображение точек измерения в способе сканирования, выполняемом антенной решеткой, в соответствии с вариантом осуществления настоящего изобретения.
[Фиг. 12]
Фиг. 12 - изображение примера реализации моностатической антенны, способной измерять радиоволны с учетом обоих направлений поляризации, в соответствии с вариантом осуществления настоящего изобретения.
[Фиг. 13]
Фиг. 13 - изображение зависимости между относительной диэлектрической постоянной и частотой, когда дисперсия диэлектрической постоянной имеет большое значение.
[Фиг. 14A]
Фиг. 14A - результат моделирования радиоволны при t=0 наносекунд.
[Фиг. 14B]
Фиг. 14B - результат моделирования радиоволны при t=0,2 наносекунд.
[Фиг. 14C]
Фиг. 14C - результат моделирования радиоволны при t=0,4 наносекунд.
[Фиг. 14D]
Фиг. 14D - результат моделирования радиоволны при t=0,6 наносекунд.
[Фиг. 14E]
Фиг. 14E - результат моделирования радиоволны при t=0,8 наносекунд.
[Фиг. 15]
Фиг. 15 - вычислительная модель для моделирования реконструкции.
[Фиг. 16A]
Фиг. 16A - вид в плане в плоскости XY результата моделирования в первом случае.
[Фиг. 16B]
Фиг. 16B - общий вид результата моделирования в первом случае.
[Фиг. 17A]
Фиг. 17A - вид в плане в плоскости XY результата моделирования во втором случае.
[Фиг. 17B]
Фиг. 17B - общий вид результата моделирования во втором случае.
[Фиг. 18A]
Фиг. 18A - вид в плане в плоскости XY результата моделирования в третьем случае.
[Фиг. 18B]
Фиг. 18B - общий вид результата моделирования в третьем случае.
[Фиг. 19]
Фиг. 19 - блок-схема базовой конфигурации устройства томографии на рассеянном излучении в соответствии с вариантом осуществления настоящего изобретения.
[Фиг. 20]
Фиг. 20 - блок-схема последовательности операций базовой работы устройства томографии на рассеянном излучении в соответствии с вариантом осуществления настоящего изобретения.
[Описание вариантов осуществления]
[0013]
Устройство томографии на рассеянном излучении в соответствии с одним аспектом настоящего изобретения включает в себя: излучающий антенный элемент, который излучает радиоволны извне объекта внутрь объекта; приемный антенный элемент, который принимает снаружи объекта рассеянные волны от радиоволн, излучаемых внутрь объекта; и схему обработки информации, которая формирует изображение внутренней структуры объекта с использованием измерительных данных, отображающих рассеянные волны, принятые приемным антенным элементом. Схема обработки информации: выводит с использованием измерительных данных реляционное выражение, которое удовлетворяет уравнению, решением которого является функция поля рассеяния, которая принимает положение излучения радиоволн и положение приема рассеянных волн в качестве входных данных и выдает уровень рассеянных волн в месте приема; выводит с использованием реляционного выражения функцию изображения, которая предназначена для формирования изображения и включает в себя один или более параметров, выражающих соответствие между изменением частоты радиоволн и изменением диэлектрической постоянной объекта в соответствии с дебаевской релаксацией; и формирует изображение с использованием функции изображения.
[0014]
Это дает возможность устройству томографии на рассеянном излучении выводить реляционное выражение для вывода функции изображения на основе функции поля рассеяния, которая указывает уровень рассеянных волн, в зависимости от положения излучения и положения приема, и измерительных данных рассеянных волн, принятых приемным антенным элементом. Кроме того, функция изображения включает в себя один или более параметров, которые выражают соответствие между изменением частоты радиоволн и изменением диэлектрической постоянной объекта. Соответствующую зависимость между изменением частоты и изменением диэлектрической постоянной можно отразить при формировании изображения, представляющего внутреннюю структуру объекта, посредством устройства томографии на рассеянном излучении.
[0015]
Иначе говоря, устройство томографии на рассеянном излучении может формировать высокоточное изображение внутренней структуры объекта с использованием рассеянных волн от радиоволн.
[0016]
Например, в трехмерном пространстве X-координат, Y-координат и Z-координат, X-координата положения излучающего антенного элемента идентична X-координате положения приемного антенного элемента, и
функция поля рассеяния определяется как:
[выражение 1]
где x является X-координатой положения излучения и положения приема, y1 является Y-координатой положения излучения, y2 является Y-координатой положения приема, z1 является Z-координатой положения излучения, z2 является Z-координатой положения приема, ω означает круговую частоту радиоволн, D означает область, включающую в себя объект исследования, который создает рассеянные волны посредством отражения радиоволн, ξ является X-координатой положения в области, η является Y-координатой положения в области, ζ является Z-координатой положения в области, ε(ξ,η,ζ) является коэффициентом отражения, i является мнимой единицей, и k означает волновое число радиоволн.
[0017]
Это дает возможность устройству томографии на рассеянном излучении правильно выводить реляционное выражение для получения функции изображения на основе вышеописанной функции поля рассеяния, которое определяется на основе X-координаты положения излучающего антенного элемента, являющейся такой же как X-координата положения приемного антенного элемента.
[0018]
Например, уравнение задается в виде:
[выражение 2]
[0019]
Это дает возможность устройству томографии на рассеянном излучении правильно выводить реляционное выражение для получения функции изображения на основе вышеприведенного дифференциального уравнения в частных производных, которое определяется как уравнение, решение которого является вышеупомянутой функцией поля рассеяния.
[0020]
Например, реляционное выражение определяется в виде:
[выражение 3]
где kx означает волновое число, соответствующее x в функции поля рассеяния, ky1 означает волновое число, соответствующее y1 в функции поля рассеяния, и ky2 означает волновое число, соответствующее y2 в функции поля рассеяния,
a(kx, ky1, ky2, k) определяется в виде:
[выражение 4]
где I является индексом положения излучения, в котором находится излучающий антенный элемент, J является индексом положения приема в котором находится приемный антенный элемент, yI является Y-координатой положения излучения, в котором находится излучающий антенный элемент, yJ является Y-координатой положения приема, в котором находится приемный антенный элемент, aI, J(kx, ky1, ky2, k) является коэффициентом, определяемым по измерительным данным при kx, ky1, ky2 и k, и Φ(kx, yI, yJ, k) представляет измерительные данные при kx, yI, yJ и k.
[0021]
Это дает возможность устройству томографии на рассеянном излучении правильно выводить функцию изображения на основе вышеприведенного реляционного выражения, которая определяется по измерительным данным, соответствующим положению излучения, в котором находится излучающий антенный элемент, и положению приема, в котором находится приемный антенный элемент.
[0022]
Например, функция изображения определяется в виде:
[выражение 5]
где x в функции изображения является X-координатой изображения, y в функции изображения является Y-координатой изображения, and z в функции изображения является Z-координатой изображения, и
переменные, входящие в подынтегральное выражение в функции изображения, определяются в виде:
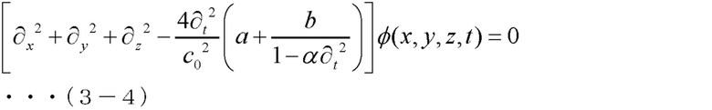
[выражение 6]
где c0 является скоростью распространения радиоволн в вакууме, и a, b и α являются одним или более параметрами.
[0023]
Это дает возможность устройству томографии на рассеянном излучении правильно формировать изображение с использованием вышеописанной функции изображения, которая включает в себя один или более параметров, выражающих соответствие между изменением частоты радиоволн и изменением диэлектрической постоянной объекта.
[0024]
Например, схема обработки информации формирует изображение с использованием измерительных данных, полученных в положении излучающего антенного элемента и положении приемного антенного элемента, а также данных, полученных при перестановке положения излучающего антенного элемента и положения приемного антенного элемента.
[0025]
Это дает возможность устройству томографии на рассеянном излучении сократить число изменений положения излучающего антенного элемента и положения приемного антенного элемента с целью получения измерительных данных.
[0026]
Например, устройство томографии на рассеянном излучении включает в себя a множество приемных антенных элементов, каждый из которых является приемным антенным элементом, и схема обработки информации формирует изображение с использованием измерительных данных, отображающих рассеянные волны, принятые каждым из множества приемных антенных элементов, содержащихся в устройстве томографии на рассеянном излучении.
[0027]
Это дает возможность устройству томографии на рассеянном излучении получать измерительные данные во множестве положений приема для одного акта излучения из одного положения излучения. Следовательно, устройство томографии на рассеянном излучении может сократить число излучений и число изменений положения приема.
[0028]
Например, излучающий антенный элемент и множество приемных антенных элементов расположены в один ряд, излучающий антенный элемент располагается на конце одного ряда, в который выстроены излучающий антенный элемент и множество приемных антенных элементов, и между (i) излучающим антенным элементом и (ii) множеством приемных антенных элементов располагается поглотитель радиоволн.
[0029]
Это позволяет излучающему антенному элементу и множеству приемных антенных элементов располагаться на прямой или кривой линии. Соответственно, можно снизить сложность вычислительного процесса и сложность сканирования. Кроме того, поглотитель радиоволн препятствует прямому прохождению радиоволн от излучающего антенного элемента к приемному антенному элементу, без падения на объект.
[0030]
Например, в трехмерном пространстве X-координат, Y-координат и Z-координат, X-координата, Y-координата и Z-координата положения излучающего антенного элемента идентичны X-координате, Y-координате и Z-координате положения приемного антенного элемента, соответственно, и
функция поля рассеяния определяется в виде:
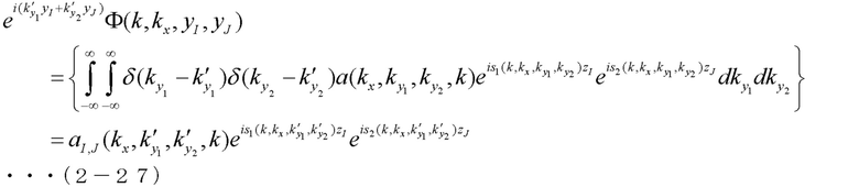
[выражение 7]
где x является X-координатой положения излучения и положения приема, y является Y-координатой положения излучения и положения приема, z является Z-координатой положения излучения и положения приема, D означает область, включающую в себя объект исследования, который создает рассеянные волны посредством отражения радиоволн, ξ является X-координатой положения в области, η является Y-координатой положения в области, ζ является Z-координатой положения в области, ε(ξ,η,ζ) является коэффициентом отражения, i является мнимой единицей, и k означает волновое число радиоволн.
[0031]
Это дает возможность устройству томографии на рассеянном излучении правильно выводить реляционное выражение для получения функции изображения на основе вышеописанной функции поля рассеяния, которое определяется на основе положения излучающего антенного элемента, являющегося таким же как положение приемного антенного элемента.
[0032]
Например, уравнение определяется в виде:
[выражение 8]
.
[0033]
Это дает возможность устройству томографии на рассеянном излучении правильно выводить реляционное выражение для получения функции изображения на основе вышеприведенного дифференциального уравнения в частных производных, которое определяется как уравнение, решение которого является вышеупомянутой функцией поля рассеяния.
[0034]
Например, реляционное выражение определяется в виде:
[выражение 9]
где kx означает волновое число, соответствующее x в функции поля рассеяния, и ky означает волновое число, соответствующее y в функции поля рассеяния,
a(kx, ky, k) определяется в виде:
[выражение 10]
где I является индексом положения излучения и положения приема, в которых находятся излучающий антенный элемент и приемный антенный элемент, xI является X-координатой положения излучения и положения приема, в которых находятся излучающий антенный элемент и приемный антенный элемент, и zI и f(xI) являются Z-координатой положения излучения и положения приема, в которых находятся излучающий антенный элемент и приемный антенный элемент, и
[выражение 11]
выражает измерительные данные при xI, ky и k.
[0035]
Это дает возможность устройству томографии на рассеянном излучении правильно выводить функцию изображения на основе вышеприведенного реляционного выражения, которая определяется по измерительным данным, соответствующим положению излучения, в котором находится излучающий антенный элемент, и положению приема, в котором находится приемный антенный элемент.
[0036]
Например, функция изображения определяется в виде:
[выражение 12]
где x в функции изображения является X-координатой изображения, y в функции изображения является Y-координатой изображения, и z в функции изображения является Z-координатой изображения, и
переменные, содержащиеся в подынтегральном выражении в функции изображения, определяются в виде:
[выражение 13]
где c0 является скоростью распространения радиоволн в вакууме, и a, b, и α являются одним или более параметрами.
[0037]
Это дает возможность устройству томографии на рассеянном излучении правильно формировать изображение с использованием вышеописанной функции изображения, которая включает в себя один или более параметров, выражающих соответствие между изменением частоты радиоволн и изменением диэлектрической постоянной объекта.
[0038]
Например, устройство томографии на рассеянном излучении включает в себя множество излучающих антенных элементов, каждый из которых является упомянутым излучающим антенным элементом, и множество приемных антенных элементов, каждый из которых является упомянутым приемным антенным элементом, при этом множество излучающих антенных элементов, содержащихся в устройстве томографии на рассеянном излучении, соответственно соответствует множеству направлений поляризации радиоволн, и множество приемных антенных элементов, содержащихся в устройстве томографии на рассеянном излучении, соответственно соответствует множеству направлений поляризации радиоволн.
[0039]
Это дает возможность устройству томографии на рассеянном излучении осуществлять излучение и прием с учетом множества направлений поляризации. Следовательно, устройство томографии на рассеянном излучении может получать информацию, соответствующую направлению поляризации.
[0040]
Например, один или более параметров определяют путем измерения множества диэлектрических постоянных объекта такого же типа, как исследуемый объект, для множества частот радиоволн.
[0041]
Это дает возможность устройству томографии на рассеянном излучении правильно формировать изображение на основе одного или более параметров, надлежащим образом заданных как один или более параметров, выражающих соответствие между изменением частоты радиоволн и изменением диэлектрической постоянной объекта.
[0042]
Например, радиоволны являются импульсными волнами.
[0043]
Это дает возможность устройству томографии на рассеянном излучении формировать высокоточное изображение внутренней структуры объекта с использованием импульсных волн, включающих в себя большое число частотных составляющих.
[0044]
Например, способ томографии на рассеянном излучении в соответствии с одним аспектом настоящего изобретения заключается в том, что: излучают посредством излучающего антенного элемента радиоволны извне объекта внутрь объекта; принимают, снаружи объекта, посредством приемного антенного элемента, рассеянные волны от радиоволн, излучаемых внутрь объекта; и формируют изображение внутренней структуры объекта с использованием измерительных данных, отображающих рассеянные волны, принятые приемным антенным элементом. Формирование включает в себя: вывод, с использованием измерительных данных, реляционного выражения, которое удовлетворяет уравнению, решением которого является функция поля рассеяния, которая принимает положение излучения радиоволн и положение приема рассеянных волн в качестве входных данных и выдает уровень рассеянных волн в месте приема; вывод, с использованием реляционного выражения, функции изображения, которая предназначена для формирования изображения и включает в себя один или более параметров, выражающих соответствие между изменением частоты радиоволн и изменением диэлектрической постоянной объекта в соответствии с дебаевской релаксацией; и формирование изображения с использованием функции изображения.
[0045]
Это позволяет выводить реляционное выражение для вывода функции изображения на основе функция поля рассеяния, которая указывает уровень рассеянных волн в зависимости от положения излучения и положения приема, и измерительных данных рассеянных волн, принятых приемным антенным элементом. Кроме того, функция изображения включает в себя один или более параметров, которые выражают соответствие между изменением частоты радиоволн и изменением диэлектрической постоянной объекта. Соответствующую зависимость между изменением частоты и изменением диэлектрической постоянной можно отразить при формировании изображения, представляющего внутреннюю структуру объекта.
[0046]
Соответственно, с использованием рассеянных волн от радиоволн можно формировать высокоточное изображение внутренней структуры объекта.
[0047]
В дальнейшем, со ссылками на чертежи будут описаны варианты осуществления. Каждый из следующих вариантов осуществления описывает общий или конкретный пример. Численные значения, формы, материалы, элементы, расположение и соединение элементов, этапы, порядок этапов и т.п., представленные в последующих вариантах осуществления, являются просто примерами и не ограничивают объем притязаний.
[0048]
[Вариант осуществления]
Устройство томографии на рассеянном излучении в соответствии с настоящим вариантом осуществления формирует изображение внутренней структуры объекта с использованием рассеянных волн от радиоволн. В дальнейшем будет подробно описано устройство томографии на рассеянном излучении в соответствии с настоящим вариантом осуществления, включая базовые методики и теоретические основы. В дальнейшем методики будут описаны на базовом примере микроволновой маммографии, в котором радиоволны представлены, например, микроволнами, и объект представляет собой, например, молочную железу, но область применения не ограничивается микроволновой маммографией; и можно применять другие радиоволны и другие объекты, кроме микроволн и молочной железы.
[0049]
I. Частотная зависимость диэлектрической постоянной
Сначала следует рассмотреть частотную зависимость диэлектрической постоянной, которая действует на радиоволны, применяемые в устройстве томографии на рассеянном излучении. Уравнения Максвелла для электромагнитного поля выражаются как показано ниже в (1-1).
[0050]
[выражение 14]
[0051]
E является напряженностью электрического поля, B является магнитной индукцией, t означает время, H является напряженностью магнитного поля, j является током, D является электрической индукцией, μ является проницаемостью, и ε является диэлектрической постоянной. В данном случае, обычно исследуют волны (радиоволны), распространяющиеся в диэлектрическом материале, например, живом организме. Соответственно, хотя диэлектрическая постоянная изменяется, проницаемость имеет значение, равное значению в вакууме. Следовательно, диэлектрическую постоянную, проницаемость и ток можно выразить как показано ниже в (1-2).
[0052]
[выражение 15]
[0053]
Здесь, ε0 является диэлектрической постоянной вакуума, εr является относительной диэлектрической постоянной, и μ0 является проницаемостью вакуума. Уравнение, приведенное ниже в (1-3), получается из вышеприведенных уравнений в (1-1) и (1-2).
[0054]
[выражение 16]
[0055]
Далее рассмотрим одномерную волну. Поскольку ∇×E=0, когда направление распространения волны соответствует x-оси, и направление напряженности (E) электрического поля соответствует y-оси, то получаются уравнения, приведенные в (1-3) и (1-4).
[0056]
[выражение 17]
[0057]
Когда составляющая по направлению y напряженности (E) электрического поля выражается как ϕ(t, x), волновое уравнение для одномерной волны можно записать, как показано в (1-5). Иначе говоря, данное волновое уравнение получается из уравнений Максвелла.
[0058]
[выражение 18]
[0059]
С учетом разрешения и расстояния излучения, частотный диапазон, применяемый для микроволновой маммографии, составляет, например, от 1 ГГц до 20 ГГц. Однако вода, которая составляет значительную долю живого организма, вызывает диэлектрическую дисперсию в данном диапазоне.
[0060]
Фиг. 1 является графиком, изображающим частотную зависимость диэлектрической постоянной и дебаевской релаксации воды при 30°C. На фиг. 1, εr’ означает действительную часть комплексной диэлектрической постоянной, и εr” означает мнимую часть комплексной диэлектрической постоянной. Чем выше частота, тем меньше диэлектрическая постоянная.
[0061]
Фиг. 2A и фиг. 2B представляют диэлектрическую дисперсию в жировой ткани молочной железы. В частности, фиг. 2A представляет относительную диэлектрическую постоянную жировой ткани молочной железы для каждой частоты, и фиг. 2B представляет эффективную проводимость жировой ткани молочной железы для каждой частоты.
[0062]
Например, в диапазоне от 14 ГГц до 20 ГГц диэлектрическая постоянная составляет около 60% от диэлектрической постоянной в диапазоне от 1 ГГц до 5 ГГц. В соответствии с дебаевской релаксацией, частотную зависимость диэлектрической постоянной можно выразить как показано ниже в (1-6), (1-7), (1-8) и (1-9).
[0063]
[выражение 19]
[0064]
[выражение 20]
[0065]
[выражение 21]
[0066]
[выражение 22]
[0067]
Здесь, ω является круговой частотой; ε(ω) является комплексной диэлектрической постоянной при ω; i является мнимой единицей; τ является временем релаксации; ε(ω) является действительной частью комплексной диэлектрической постоянной при ω; a, b и α являются постоянными; c(ω) является скоростью распространения при ω, c0 является скоростью распространения в вакууме, и k является волновым числом. Как показано в (1-8), скорость распространения зависит от диэлектрической постоянной, и диэлектрическая постоянная зависит от частоты (круговой частоты). Поэтому, скорость распространения зависит от частоты (круговой частоты).
[0068]
Когда частоту обозначают как f, ω можно выразить в виде ω=2πf. Когда уравнение (1-9) решают, f можно выразить, как показано ниже в (1-10).
[0069]
[выражение 23]
[0070]
Когда частота, определяемая как ω=2πf, является фиксированной, волновое уравнение формулируется, как показано ниже в (1-11).
[0071]
[выражение. 24]
[0072]
Здесь, x, y и z являются координатами положений, и ϕ(t, x, y, z) означает смещение колебания при t, x, y и z.
[0073]
Однако, когда существует диэлектрическая дисперсия, волны, которые не имеют фиксированную частоту, трудно описать единственным волновым уравнением. Причина в том, что вместе с тем следует учитывать движение молекул (диполей), ответственное за диэлектрическую дисперсию. Например, в микроволновой маммографии применяются импульсные волны, включающие в себя большое число частотных составляющих. Для получения высокоточных данных, полезно применять импульсные волны с крутыми формами волновых импульсов. Однако большое число частотных составляющих распространяется с изменяющимися скоростями распространения, что приводит к плавной форме волнового импульса. Это затрудняет получение высокоточных данных.
[0074]
Следовательно, уравнение в (1-10), где частота f выражается через волновое число k пространства, имеет большое значение для решения обратной задачи рассеяния в среде с диэлектрической дисперсией. Кроме того, a, b и α в (1-7) являются, в частности, параметрами модели Дебая, показывающими соответствие между изменением частоты и изменением диэлектрической постоянной. Параметры задаются предварительным измерением диэлектрической постоянной образца такого же типа, как подлежащий тестированию объект, для каждой частоты.
[0075]
Фиг. 3 изображает измерительное устройство, применяемое для измерения диэлектрической постоянной вырезанного образца. Измерительное устройство 300, изображенное на фиг. 3, является устройством для фактического измерения частотной зависимости диэлектрической постоянной и включает в себя векторный анализатор 301 цепей, компьютер 302 и датчик 306 для измерения диэлектрической постоянной.
[0076]
Векторный анализатор 301 цепей и компьютер 302 соединяются по кабелю 303 интерфейсной шины общего назначения (GPIB). Векторный анализатор 301 цепей и датчик 306 для измерения диэлектрической постоянной соединяются по высокочастотному коаксиальному кабелю 304.
[0077]
Например, вырезанный образец 305, полученный в ходе хирургической процедуры, измеряют с использованием коаксиального датчика 306 для измерения диэлектрической постоянной. Датчик 306 для измерения диэлектрической постоянной подключен к порту S11 (порту для получения прямых отражений) векторного анализатора 301 цепей. Данные передаются по кабелю 303 GPIB в компьютер 302 для сохранения в нем. Параметры a, b и α в (1-7) определяются по множеству вырезанных образцов. Данные параметры важны для последующего обратного анализа.
[0078]
<II. Обратная задача рассеяния в среде с диэлектрической дисперсией>
Далее приведено описание вычислительного процесса, который формирует изображение внутренней структуры объекта с использованием рассеянных волн от радиоволн. Следует отметить, что, когда целесообразно, можно использовать части вычислительного процесса, описанного в документах PTL 2 или PTL 3.
[0079]
<II-1. Теория мультистатического обратного рассеяния на криволинейной поверхности>
Сначала будет рассмотрена обратная задача рассеяния в среде с диэлектрической дисперсией, с использованием мультистатического измерения на криволинейной поверхности в качестве одного типичного примера. В данном случае будет предполагаться, что антенная решетка, расположенная на кривой, имеющей постоянную X-координату, сканирует по криволинейной поверхности. Данное предположение является вполне подходящим для применения к микроволновой маммографии.
[0080]
Фиг. 4 изображает пример антенной решетки, сканирующей по криволинейной поверхности, для измерения данных рассеяния. На фиг. 4, антенная решетка 401 является мультистатической антенной, включающей в себя излучающий антенный элемент и приемный антенный элемент, который сканирует вдоль криволинейной поверхности, определяемой как z=f(x, y). Следует отметить, что антенная решетка 401 может включать в себя множество излучающих антенных элементов и/или множество приемных антенных элементов.
[0081]
Например, P1(x, y1, z1) указывает положение излучающего антенного элемента, P2(x, y2, z2) указывает положение приемного антенного элемента, и P(ξ,η,ζ) указывает положение объекта исследования, который отражает микроволну. Например, микроволны излучаются из P1(x, y1, z1), отражаются в P(ξ,η,ζ) и принимаются в P2(x, y2, z2).
[0082]
Поскольку объект исследования проявляет диэлектрическую дисперсию, то ω=c(ω)k. Здесь, c(ω) является скоростью распространения, и k является волновым числом. Когда длина волны равна λ, то справедливо выражение k=2π/λ. Здесь вводится такая функция поля рассеяния, ϕ, которая представлена ниже.
[0083]
[выражение 25]
[0084]
В (2-1) принят временной коэффициент, пропорциональный exp(-iωt). Волновое число представляется как k, и коэффициент отражения в P(ξ,η,ζ) представляется как ε(ξ,η,ζ).
[0085]
Функцию поля рассеяния, ϕ(x, y1, y2, z1, z2, ω), в (2-1) можно интерпретировать как функцию, которая принимает произвольное положение излучения и произвольное положение приема, имеющие одинаковую X-координату в плоскости YZ, в качестве входных данных и выдает уровень рассеянных волн в месте приема. Если положение излучения и положение приема, вводимые в функцию поля рассеяния, соответствуют в приведенном порядке положению излучающего антенного элемента и положению приемного антенного элемента, то выходное значение функции поля рассеяния, ϕ будет соответствовать измерительным данным, полученным из приемного антенного элемента.
[0086]
Когда в функцию поля рассеяния подставляют t → 0, x → x, y1 → y2 (=y), и z1 → z2 (=z), после излучения радиоволн предполагается, что функция поля рассеяния показывает уровень рассеянных волн, которые немедленно принимаются в положении (x, y, z), т.е. величину отражения в (x, y, z). Функция изображения для формирования изображения внутренней структуры объекта выводится как функция, указывающая такую величину, как указано далее.
[0087]
Поскольку ε(ξ,η,ζ) сначала является неизвестным, то функция поля рассеяния, ϕ(x, y1, y2, z1, z2, ω), неизвестна. Для вычисления конкретного содержания функции поля рассеяния, ϕ(x, y1, y2, z1, z2, ω), вычисляется уравнение, которому удовлетворяет функция поля рассеяния, ϕ(x, y1, y2, z1, z2, ω), как следует ниже.
[0088]
Сначала ядро в интегрируемом члене в (2-1) выражают, как показано (2-2).
[0089]
[выражение 26]
[0090]
Для вычисления уравнения, которому удовлетворяет функция поля рассеяния, ϕ(x, y1, y2, z1, z2, ω), вычисляется дифференциальное уравнение в частных производных, решением которого является ядро ϕ в (2-2). Для этого достаточно игнорировать члены более высокого порядка относительно 1/ρ среди множества членов, возникающих в результате дифференцирования. Здесь сокращенное обозначение для дифференцирования определяется, как показано ниже в (2-3).
[0091]
[выражение 27]
[0092]
С использованием (2-3), результаты дифференцирования каждого порядка ядра ϕ выражаются, как показано ниже в (2-4).
[0093]
[выражение 28]
[0094]
В (2-4), ρ соответствует ρ1 и ρ2. Кроме того, ο является символом Ландау, и, если ρ является достаточно большим, то ο(ρ-3) намного меньше, чем ρ-3. Поскольку предполагается, что ο(ρ-3) является достаточно малым, то ничтожно малый член ο(ρ-3) ниже опускают. Суммирование пяти уравнений, относящихся к дифференциалу второго порядка в уравнении (2-4), приводит к (2-5), как показано ниже.
[0095]
[выражение. 29]
[0096]
Кроме того, из (2-5) получается нижеприведенное (2-6).
[0097]
[выражение 30]
[0098]
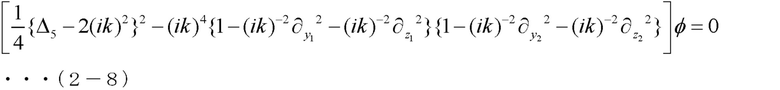
Применение оператора дважды к левой части уравнения в (2-6) приводит к (2-7), как показано ниже.
[0099]
[выражение 31]
[0100]
Соответственно, ядро ϕ удовлетворяет уравнению в (2-8) ниже.
[0101]
[выражение 32]
[0102]
Данное уравнение перестраивается, как показано ниже в (2-9).
[0103]
[выражение 33]
[0104]
В (2-9) представлено уравнение, решением которого является ядро ϕ, показанное в (2-2). Иначе говоря, ядро ϕ удовлетворяет (2-9). В (2-9), ядро ϕ можно заменить функцией поля рассеяния, ϕ, показанной в (2-1). Соответственно можно сказать, что (2-9) представляет уравнение, решение которого является функцией поля рассеяния, ϕ, показанной в (2-1). Иначе говоря, функция поля рассеяния, ϕ, удовлетворяет (2-9).
[0105]
С другой стороны, из (2-9) нельзя легко вывести нестационарное волновое уравнение, так как скорость распространения радиоволн изменяется с частотой. Поэтому выводится нестационарное дифференциальное уравнение в частных производных с помощью метода, который использует псевдодифференциальный оператор, который описан в дальнейшем. При этом подставляются переменные, как показано ниже в (2-10) и (2-11).
[0106]
[выражение 34]
[0107]
[выражение 35]
[0108]
Применение подстановок, показанных в (2-10) и (2-11), к (2-9) приводит к нижеприведенному (2-12) в качестве уравнения для поля рассеяния в среде с диэлектрической дисперсией.
[0109]
[выражение 36]
[0110]
В (2-11) и (2-12) применяется псевдодифференциальный оператор, который описан в дальнейшем. Уравнение в (2-12) является линейным дифференциальным уравнением и является фундаментальным уравнением для поля рассеяния, когда существует диэлектрическая дисперсия. Данное уравнение может иметь своим решением нестационарную функцию общего вида, которую можно построить сложением решения при фиксированной частоте, удовлетворяющего (2-9), с кратными гармоническими частотами, на каждой частоте.
[0111]
Непосредственное вычисление решения уравнения в (2-12) является нелегкой задачей. Поэтому, фиксируют частоту и находят решение уравнение поля рассеяния из (2-9). Поскольку фиксация частоты фиксирует скорость распространения, то из (2-9) можно получить нестационарное волновое уравнение. В частности, переменные в (2-9) подставляются, как показано ниже в (2-13). Здесь c является скоростью распространения радиоволн с фиксированной частотой.
[0112]
[выражение 37]
[0113]
Эти подстановки дают (2-14) в качестве нестационарного волнового уравнения при фиксированной частоте.
[0114]
[выражение 38]
[0115]
Чтобы решить (2-9) для каждого волнового числа k, к ϕ в (2-14), полученной из (2-9), применяется несколько преобразований Фурье относительно t, x, y1 и y2, как показано ниже в (2-15).
[0116]
[выражение 39]
[0117]
Замена ∂z1 и ∂z2 на Dz1 и Dz2 приводить к уравнению в (2-16), исходя из (2-14) и (2-15).
[0118]
[выражение 40]
[0119]
Фундаментальное решение (2-16) выводится, как показано ниже в (2-17).
[0120]
[выражение 41]
[0121]
Здесь s1 и s2 являются функциями, определяемыми, как показано ниже в (2-18).
[0122]
[выражение 42]
[0123]
C использованием s1(kx, ky1, ky2) и s2(kx, ky1, ky2) из (2-18), решение (2-9) для каждого волнового числа k можно сформулировать как показано ниже в (2-19).
[0124]
[выражение 43]
[0125]
Затем функцию a(kx, ky1, ky2, k) в (2-19) связывают с измерительными данными.
[0126]
Фиг. 5 схематически представляет взаимосвязь между положением излучающего антенного элемента, положением приемного антенного элемента и положением объекта исследования. Например, микроволны излучаются в положении PI(x, yI, zJ), которое является положением излучающего антенного элемента, отражаются в положении P(ξ,η,ζ), которое является положением объекта исследования, и принимаются в положении PJ(x, yJ, zJ), которое является положением приемного антенного элемента. Профильная кривая S на фиг. 5 представляет поперечное сечение y-z поверхности сканирования антенной решетки 401, показанной на фиг. 4.
[0127]
Например, полагают, что уравнение для профильной кривой S, имеющей фиксированное значение x, подобно нижеприведенному уравнению в (2-20). Здесь предполагается, что поверхность сканирования антенной решетки 401, показанной на фиг. 4, не изгибается в направлении x, и что поперечное сечение y-z поверхности сканирования определяется следующим уравнением.
[0128]
[выражение 44]
[0129]
Предположив, что значения ϕ(x, y1, y2, f(y1), f(y2), k) получены на криволинейной поверхности, из (2-19) получается интегральное уравнение, показанное ниже в (2-21).
[0130]
[выражение 45]
[0131]
Затем вычисляется решение для интегрального уравнения в (2-21). Функцию Φ(kx, yI, yJ, k), полученную преобразованием Фурье из ϕ(x, yI, yJ, zI, zJ, t), измеренной в точках PI и PJ на криволинейной поверхности, можно выразить, как показано ниже в (2-22).
[0132]
[выражение 46]
[0133]
Здесь, поскольку zI и zJ находятся на профильной кривой, то их можно представить, как показано ниже в (2-23).
[0134]
[выражение 47]
[0135]
Нижеприведенное выражение (2-24) получают путем объединения (2-21), (2-22) и (2-23).
[0136]
[выражение 48]
[0137]
Выражение (2-24) можно преобразовать, как показано в (2-25), путем направления на yI, Y-координату излучающего антенного элемента, и yJ, Y-координату приемного антенного элемента. Здесь (x, yI, zI) и (x, yJ, zJ) являются положениями точек измерения (положениями излучающего антенного элемента и приемного антенного элемента) в опорной декартовой системе координат, и δ означает дельта-функцию.
[0138]
[выражение 49]
[0139]
Взятие преобразования Фурье обеих сторон уравнения (2-25) приводит к (2-26).
[0140]
[выражение 50]
[0141]
Это интегрирование приводит к (2-27).
[0142]
[выражение 51]
[0143]
Из уравнения (2-27) можно вычислить aI, J, как показано ниже в (2-28).
[0144]
[выражение 52]
[0145]
Суммирование (2-28) по всем I и J приводит к (2-29).
[0146]
[выражение 53]
[0147]
Реляционные выражения в (2-19) и (2-29) получены как решение (2-9). Иначе говоря, реляционные выражения в (2-19) и (2-29) являются реляционными выражениями, которые удовлетворяют (2-9) и представляют собой решение (2-9). Хотя в (2-19) использовано k, k можно преобразовать в ω, исходя из (1-9).
[0148]
Когда к реляционным выражениям в (2-19) и (2-29) применяются t → 0, x → x, y1 → y2 (=y), и z1 → z2 (=z), после излучения радиоволн получают функцию, показывающую уровень рассеянных волн, которые немедленно принимаются. Нижеприведенное (2-30) соответствует такой функции. Реконструированное изображение вычисляется интегрированием (2-30) по k или ω.
[0149]
[выражение 54]
[0150]
Соответственно, вводится переменная kz, как показано в (2-31). Следует отметить, что (2-31) представляет также выражение для k через kz и функцию, полученную дифференцированием k по kz.
[0151]
[выражение 55]
[0152]
Исходя из (1-10), зависимость между волновым числом k и частотой ω дается представленными ниже выражениями (2-32) и (2-33).
[0153]
[выражение 56]
[0154]
[выражение 57]
[0155]
Измерительные данные Φ(kx, yI, yJ, k), включенные в определение a(kx, ky1, ky2, k), задаются с помощью ω, а не k, поэтому необходимо вышеописанное преобразование k-ω. Это включает в себя уравнение диэлектрической дисперсии в (1-9). Реконструированное изображение, полученное интегрированием (2-30) по ω, получают, как показано ниже в (2-34). (2-34) можно также назвать функцией изображения для формирования реконструированного изображения.
[0156]
[выражение 58]
[0157]
Переменные в подынтегральном выражении в (2-34) определяются, как показано ниже в (2-35).
[0158]
[выражение 59]
[0159]
На этом завершается подробное описание теоретических основ реконструкции, когда измеряют данные рассеяния на криволинейной поверхности, чтобы получить трехмерное изображение внутренней структуры области.
[0160]
<II-2. Теория моностатического обратного рассеяния на криволинейной поверхности>
Фиг. 6 представляет пример моностатической антенны, сканирующей по криволинейной поверхности, для измерения данных рассеяния. В данном примере, моностатическая антенна 601 объединяет излучающий антенный элемент с приемным антенным элементом и сканирует по криволинейной поверхности. Предполагается, что излучающий антенный элемент и приемный антенный элемент моностатической антенны 601 располагаются в одной точке. Иначе говоря, моностатическая антенна 601 излучает и принимает в одной и той же точке.
[0161]
Моностатическая антенна 601 сканирует по кривой в направлении x-оси, затем смещается в направлении y-оси и снова сканирует по кривой в направлении x-оси. Моностатическая антенна 601 повторяет данные шаги для сканирования по криволинейной поверхности. Например, данные берутся на прямой линии относительно направления y-оси и на кривой, заданной как z=f(x), относительно направления x-оси. Граничное условие задается в таком случае на поверхности.
[0162]
По существу, вышеописанную теорию, относящуюся к антенной решетке 401, можно также применить к моностатической антенне 601. Однако, формула для моностатической антенны 601 отличается, так как излучение и прием происходят в одной точке.
[0163]
Фиг. 7 схематически представляет взаимосвязь между положением излучения и приема и положением объекта исследования. Профильная кривая S на фиг. 7 представляет поперечное сечение y-z поверхности сканирования моностатической антенны 601, показанной на фиг. 6. Моностатическая антенна 601 сканирует по кривой S, заданной как z=f(x), в направлении x-оси. Иначе говоря, положение PI(xI, y, zI), которое является положением излучения и приема, а также положением точки измерения, перемещается по профильной кривой S.
[0164]
Рассмотрим волну, излученную из точки PI на профильной кривой S, отраженную в точке P и принятую снова в точке PI. Например, микроволны испускаются из PI(xI, y, zI), отражаются в P(ξ,η,ζ) и принимаются в PI(xI, y, zI). Функцию поля рассеяния, ϕ, которая показывает интенсивность рассеяния, можно записать как показано ниже в (3-1).
[0165]
[выражение 60]
[0166]
Функция поля рассеяния в (3-1) удовлетворяет уравнению в (3-2) ниже. Иначе говоря, функция поля рассеяния в (3-1) удовлетворяет (3-2).
[0167]
[выражение 61]
[0168]
Соотношение между k и ω дается в нижеприведенном (3-3).
[0169]
[выражение 62]
[0170]
Уравнение нестационарного поля рассеяния имеет вид, показанный ниже в (3-4).
[0171]
[выражение 63]
[0172]
Общее решение уравнения поля рассеяния при фиксированной частоте дается ниже в (3-5). Здесь kx является волновым числом, соответствующим x в функции поля рассеяния, ϕ, и ky is the волновое число related to y в функции поля рассеяния ϕ.
[0173]
[выражение 64]
[0174]
Уравнение для криволинейной поверхности, которая соответствует поверхности сканирования, записывается, как показано ниже в (3-6).
[0175]
[выражение 65]
[0176]
Здесь a(kx, ky, k) можно вычислить, как показано в (3-7), с использованием значения, измеренного на поверхности, в качестве граничного условия.
[0177]
[выражение 66]
[0178]
Выражение 67 является измеренным значением данных рассеяния при xI, ky и k.
[выражение 67]
[0179]
Принимая Φ(x, y, ω) как Фурье-образ данных рассеяния по времени, получаем функцию визуализации, выражаемую, как показано ниже в (3-8).
[0180]
[выражение 68]
[0181]
Имеют силу зависимости, представленные ниже в (3-9). Дисперсность диэлектрической постоянной появляется в связи между ω и k.
[0182]
[выражение 69]
[0183]
<III. Основные принципы сверхширокополосного (UWB) радиолокационного устройства микроволнового диапазона>
Далее приведены общие сведения о системе мультистатической радарной антенной решетки.
[0184]
Фиг. 8 представляет общую конфигурацию системы мультистатической радарной антенной решетки.
[0185]
Микроволновый сигнал является сигналом псевдослучайной временной последовательности (псевдошумовым кодом (PN-кодом)) с частотной составляющей от DC до 20 ГГц. Данный сигнал выдается платой 1002 программируемой логической интегральной схемы (FPGA) для генерации PN-кода. В частности, существуют два типа данного сигнала. Сигнал одного типа (гетеродинный сигнал (LO-сигнал)) передается в схему обнаружения радиочастотных излучений (плату 1007 РЧ обнаружения) через цепь задержки (плату 1003 цифрового управления).
[0186]
Сигнал другого типа (радиочастотный сигнал (РЧ-сигнал)) передается в и излучается излучающую(ей) микроволновую(ой) UWB-антенну(ой) мультистатической антенной решетки 1008. Сигналы рассеянных микроволн принимаются приемной UWB-антенной мультистатической антенной решетки 1008 и передаются в схему РЧ обнаружения (плату 1007 РЧ обнаружения). При этом, сигналы, подлежащие излучению и приему, пропускаются через селекторный переключатель антенных элементов (радиочастотный переключатель (РЧ-переключатель) UWB-антенны 1004).
[0187]
Сигнал, подлежащий задержке, (LO-сигнал) задерживается на умноженный на 1/2n (n является целым числом больше 2) интервал времени, который требуется для изменения значения PN-кода. Обнаруженный сигнал подвергается аналого-цифровому (АЦ) преобразованию в вычислительном устройстве 1005 для обработки сигналов в качестве сигнала промежуточной частоты (ПЧ-сигнала) и сохраняется. Информация, показывающая обнаруженный сигнал, может отображаться на устройстве 1006 контроля сигналов.
[0188]
Управление временной привязкой упомянутой последовательности операций выполняется микропроцессором на плате 1003 цифрового управления таким образом, чтобы обеспечивать синхронизацию с сигналом (сигналом дальности или свободно распространившимся сигналом) из дальномера 1001. Например, микропроцессор на плате 1003 цифрового управления передает сигнал переключения, сигнал запуска PN-кода и подобные сигналы.
[0189]
Вычислительное устройство 1005 для обработки сигналов выполняет трехмерную реконструкцию с использованием сигналов, подвергнутых АЦ-преобразованию и сохраненных в памяти, и отображает трехмерные изображения. Вычислительное устройство 1005 для обработки сигналов может также выполнять калибровку сигналов. Вычислительное устройство 1005 для обработки сигналов может также отображать исходную форму волнового импульса.
[0190]
Далее приведено описание UWB-антенны.
[0191]
На фиг. 9 показанная антенная решетка, расположенная в один ряд на прямой или кривой линии. Антенная решетка на фиг. 9 является линейной антенной решеткой с n+1 антенными элементами, расположенными в линию. Один из n+1 антенных элементов предназначен для излучения, и n элементов предназначены для приема. Один излучающий антенный элемент на фиг. 9 обозначен буквой T, и n антенных элементов для приема обозначены буквой R (R1, R2, …, Rn).
[0192]
Зона, обозначенная A на фиг. 9, соответствует поглотителю радиоволн. При размещении поглотителя радиоволн между излучающим антенным элементом и приемным антенным элементом повышаются характеристики UWB-антенны. T и R являются взаимно заменимыми, так что n антенных элементов из n+1 могут быть предназначены для излучения, и один может быть предназначен для приема. Эквивалентные данные рассеяния могут быть получены, даже если переменить T и R.
[0193]
Число n можно изменять в зависимости от подлежащего исследованию объекта. Направление сканирования соответствует направлению стрелки на фиг. 9. Например, в проекции на плоскость с z=0, направление, по которому располагается множество антенных элементов антенной решетки, определяется как направление y-оси, и направление сканирования определяется как направление x-оси. В данном примере, данные рассеяния измеряются путем сдвига небольшими шагами линии, сканируемой антенной решеткой (например, путем сдвига линии в направлении y-оси на 1/2 размера антенного элемента), что требует больше времени для измерения, но повышает разрешение.
[0194]
На фиг. 10 показан способ сканирования, выполняемый антенной решеткой, изображенной на фиг. 9. Антенная решетка на фиг. 10 включает в себя один излучающий антенный элемент и три приемных антенных элемента. Сканирование антенной решеткой выполняется сдвигом линии в направлении y-оси на 1/2 размера антенного элемента, например, сдвига от линии LINE1 сканирования к линии LINE2 сканирования, к линии LINE3 сканирования и так далее, вплоть до линии LINEn сканирования.
[0195]
На фиг. 11 показаны точки измерения в способе сканирования, представленном на фиг. 10. В частности, комбинация Y-координаты положения излучения и Y-координаты положения приема, в котором измеряются данные рассеяния путем сдвига линии сканирования антенной решетки, включающей в себя один излучающий антенный элемент и три приемных антенных элемента, на 1/2 размера антенного элемента в направлении y-оси, показана линииями штриховки. Y-координата положения излучения обозначена y1, и Y-координата положения приема обозначена y2.
[0196]
Длина одной стороны одного квадратика соответствует 1/2 размера антенного элемента, и числовые значения, представляющие каждую из координат y1 и y2, представлены в единицах 1/2 размера антенного элемента. Таким образом, например, если Y-координата излучающего антенного элемента равна 1, то три Y-координаты трех приемных антенных элементов равны 5, 7 и 9. Например, если Y-координата излучающего антенного элемента равна 2, то три Y-координаты трех приемных антенных элементов равны 6, 8 и 10.
[0197]
Такие же данные рассеяния можно получить, даже если взаимно заменить положения излучающего антенного элемента и приемного антенного элемента. Поэтому матрица (y1, y2) является симметричной. Левая сторона от диагонали также заполняется в виде точек измерения. Данные рассеяния, получаемые таким способом, используются для реконструкции изображения.
[0198]
На фиг. 12 показан пример реализации моностатической антенны, способной измерять радиоволны по обоим из двух ортогональных направлений поляризации.
[0199]
Поглотитель радиоволн, обозначенный A, на фиг. 12 расположен как между излучающим антенным элементом, обозначенным T1, и приемным антенным элементом, обозначенным R1, так и между излучающим антенным элементом, обозначенным T2, и приемным антенным элементом, обозначенным R2. В таком случае, для измерения данных рассеяния применяются комбинация из T1 и R1 и комбинация из T2 и R2.
[0200]
Вышеописанная конфигурация дает возможность измерять данные рассеяния, соответствующие двум направлениям поляризации. Например, можно получать информацию об объекте исследования, который реагирует на конкретное направление поляризации. Вышеописанная конфигурация может обеспечивать моностатическую антенну, в которой множество излучающих антенных элементов и множество приемных антенных элементов находятся во взаимно-однозначном соответствии.
[0201]
Следует отметить, что направление сканирования может соответствовать двум ортогональным направлениям, как показано стрелками на фигуре.
[0202]
<IV. Псевдодифференциальный оператор>
Далее приведено описание псевдодифференциальных операторов в теории дифференциальных уравнений в частных производных. В данном разделе имеют дело с функциями в n-мерном эвклидовом пространстве Rn. Соответственно, применяются обозначения, показанные ниже в (4-1).
[0203]
[выражение 70]
[0204]
Линейный дифференциальный оператор постоянного коэффициента предполагается таким, который показан ниже в (4-2).
[0205]
[выражение 71]
[0206]
Допущение, что линейный дифференциальный оператор в (4-2) применяется к гладкой функции u с компактным носителем на Rn, приводит к нижеприведенному (4-3).
[0207]
[выражение 72]
[0208]
Общеизвестно, что преобразование Фурье от (4-3) приводит к простому умножению на многочлен, называемый символом. Данный многочлен показан ниже в (4-4).
[0209]
[выражение 73]
[0210]
Обратное преобразование Фурье обеих сторон уравнения в (4-4) дает (4-5).
[0211]
[выражение 74]
[0212]
Обобщим (4-5) и определим оператор P(x, D), что можно применить к случаю, когда символ является многочленом общего вида, включающим в себя x, как показано ниже в (4-6).
[0213]
[выражение 75]
[0214]
P(x, D) в (4-6) называется псевдодифференциальным оператором. Дифференциальное уравнение в частных производных, имеющее вид, показанный в (4-7), решается для u(x).
[0215]
[выражение 76]
[0216]
Преобразование Фурье обеих сторон уравнения в (4-7) приводит к (4-8).
[0217]
[выражение 77]
[0218]
Из (4-8) можно получить реляционное выражение, подобное тому, которое приведено ниже в (4-9).
[0219]
[выражение 78]
[0220]
Обратное преобразование Фурье от (4-9) представляется в виде, показанном ниже в (4-10).
[0221]
[выражение 79]
[0222]
P(D) в (4-10) также является псевдодифференциальным оператором, который можно записать, как показано ниже в (4-11).
[0223]
[выражение 80]
[0224]
Как показано выше, псевдодифференциальный оператор позволяет ввести такие понятия как рациональные многочлены и нецелые степени обыкновенных дифференциальных операторов.
[0225]
<V. Моделирование диэлектрической дисперсии>
Далее представлено моделирование, связанное с эффектами диэлектрической дисперсии.
[0226]
<V-1. Волновое уравнение для среды с дисперсией>
Рассмотрим случай, когда дисперсность среды можно записать с использованием модели Дебая при моделировании.
[0227]
Моделирование выполняется для моностатических случаев. Распространение электромагнитных волн (радиоволн) в одномерном пространстве с дисперсией диэлектрической постоянной можно описать с использованием псевдодифференциального уравнения, подобного уравнению в (5-1) ниже.
[0228]
[выражение 81]
[0229]
Здесь c0 является скоростью электромагнитных волн (радиоволн) в вакууме. (Коэффициент) 4 члена производной по времени назначен, исходя из того, что волна проходит по одному и тому же пути дважды при моностатическом обратном рассеянии.
[0230]
На фиг. 13 показана зависимость между относительной диэлектрической постоянной и частотой, когда дисперсия диэлектрической постоянной является значительной. Зависимость между относительной диэлектрической постоянной и частотой, показанная на фиг. 13, вычислена при a=1, b=7, и α=0,0001.
[0231]
Фиг. 14A, фиг. 14B, фиг. 14C, фиг. 14D и фиг. 14E представляют результаты моделирования радиоволн при наличии диэлектрической дисперсии. Амплитуда показана на вертикальной оси, и расстояние x (см) показано на горизонтальной оси. На каждой фигуре, время t=0,2n наносекунд (где n=0, 1, 2, 3 и 4 для соответствующих фигур). На фиг. 14A, фиг. 14B, фиг. 14C, фиг. 14D и фиг. 14E можно видель, что колоколообразная форма волнового импульса со временем нарушается.
[0232]
<V-2. Реконструкция в среде с диэлектрической дисперсией>
Далее рассматривается анализ моностатического обратного рассеяния. Уравнение для обратной задачи рассеяния приведено ниже в (6-1).
[0233]
[выражение 82]
[0234]
Соотношение между волновым числом k и круговой частотой ω приведено ниже в (6-2).
[0235]
[выражение 83]
[0236]
Далее показано, что происходит, когда диэлектрическая дисперсия не учитывается, и выполняется анализ обратного рассеяния на основании результатов измерения данных рассеяния, при излучении радиоволн в среде с диэлектрической дисперсией.
[0237]
На фиг. 15 представлена вычислительная модель. Модели, подлежащие анализу в вычислительной модели, являются тремя точками, разнесенными на 0,8 см друг от друга в плоскости на глубине 1 см в трехмерном пространстве. В данной вычислительной модели, число точек измерения в направлении x-оси равно NX=128, число точек измерения в направлении y-оси равно NY=64, расстояние между точками измерения в направлении x-оси равно dx=0,1 см, и расстояние между точками измерения в направлении y-оси равно dy=0,1 см.
[0238]
Фиг. 16A является видом в плане в плоскости XY, при z=1 см (глубине), результата моделирования в первом случае, и фиг. 16B является общим видом результата моделирования в первом случае. В частности, фиг. 16A и фиг. 16B показывают результат моделирования с относительной диэлектрической постоянной 7,5 при 5 ГГц и относительной диэлектрической постоянной 5,0 при 14 ГГц.
[0239]
Фиг. 17A является видом в плане в плоскости XY, при z=1 см (глубине), результата моделирования во втором случае, и фиг. 17B является общим видом результата моделирования во втором случае. В частности, фиг. 17A и фиг. 17B показывают результат моделирования с относительной диэлектрической постоянной 6,5 при 5 ГГц и относительной диэлектрической постоянной 5,5 при 14 ГГц.
[0240]
Фиг. 18A является видом в плане в плоскости XY, при z=1 см (глубине), результата моделирования в третьем случае, и фиг. 18B является общим видом результата моделирования в третьем случае. В частности, фиг. 18A и фиг. 18B показывают результат моделирования с относительной диэлектрической постоянной 6 при 5 ГГц и относительной диэлектрической постоянной 6 при 14 ГГц.
[0241]
Результат третьего моделирования соответствует результату анализа обратного рассеяния в среде без диэлектрической дисперсии. Результат измерения диэлектрической постоянной в ткани нормального живого организма (молочной железы) аналогичен дисперсии во втором случае. Пренебрежение диэлектрической дисперсией заметно снижает разрешение в изображении.
[0242]
Вышеприведенный анализ соответствует анализу поля моностатического рассеяния. Однако, то же самое применимо к анализу поля мультистатического рассеяния. Поэтому, при анализе поля рассеяния важно учитывать диэлектрическую дисперсию.
[0243]
<VI. Вывод>
Далее, на основании того, что изложено выше, приведено краткое описание конфигурации и работы устройства томографии на рассеянном излучении, которое формирует изображение внутренней структуры объекта с использованием рассеянных волн от радиоволн.
[0244]
На фиг. 19 показана базовая конфигурация устройства томографии на рассеянном излучении в соответствии с настоящим вариантом осуществления. Устройство 100 томографии на рассеянном излучении, показанное на фиг. 19, включает в себя излучающий антенный элемент 101, приемный антенный элемент 102 и схему 103 обработки информации.
[0245]
Излучающий антенный элемент 101 является схемой, которая излучает радиоволны. В частности, излучающий антенный элемент 101 излучает радиоволны извне объекта внутрь объекта. Например, радиоволны могут быть микроволнами, миллиметровыми волнами или волнами терагерцового диапазона. Например, живой организм может быть синтетическим объектом или натуральным материалом. В частности, объект может быть молочной железой. Устройство 100 томографии на рассеянном излучении может включать в себя множество излучающих антенных элементов 101.
[0246]
Приемный антенный элемент 102 является схемой, которая принимает радиоволны, которые являются, например, рассеянными волнами от радиоволн. В частности, приемный антенный элемент 102 принимает, снаружи объекта, рассеянные волны от радиоволн, излучаемых внутрь объекта. Устройство 100 томографии на рассеянном излучении может включать в себя множество приемных антенных элементов 102. Приемный антенный элемент 102 может располагаться, по существу, в том же положении, что и излучающий антенный элемент 101, и, в альтернативном варианте, может располагаться в ином положении, чем излучающий антенный элемент 101.
[0247]
Излучающий антенный элемент 101 и приемный антенный элемент 102 могут составлять мультистатическую антенну и, в альтернативном варианте, могут составлять моностатическую антенну.
[0248]
Схема 103 обработки информации является схемой, которая выполняет обработку информации. В частности, схема 103 обработки информации формирует изображение внутренней структуры объекта с использованием измерительных данных, отображающих рассеянные волны, принятые приемным антенным элементом 102. Схема 103 обработки информации может быть компьютером или процессором, включенным в состав компьютера. Схема 103 обработки информации может выполнять обработку информации посредством считывания программы из памяти и выполнения программы. Схема 103 обработки информации может быть специализированной схемой, которая формирует изображение внутренней структуры объекта с использованием измерительных данных.
[0249]
Например, схема 103 обработки информации может соответствовать одному или более из множества элементов, показанных на фиг. 8. В частности, например, схема 103 обработки информации может соответствовать вычислительному устройству 1005 для обработки сигналов. Схема 103 обработки информации может также отображать сформированное изображение на устройстве отображения, такое как жидкокристаллический дисплей.
[0250]
Фиг. 20 является блок-схемой последовательности операций, представляющей базовый режим работы устройства 100 томографии на рассеянном излучении, показанного на фиг. 19. А именно, излучающий антенный элемент 101, приемный антенный элемент 102 и схема 103 обработки информации, содержащиеся в устройстве 100 томографии на рассеянном излучении, показанном на фиг. 19, работают, как показано на фиг. 20.
[0251]
Сначала, излучающий антенный элемент 101 излучает радиоволны извне объекта внутрь объекта (S201). Затем приемный антенный элемент 102 принимает, снаружи объекта, рассеянные волны от радиоволн, излучаемых внутрь объекта (S202). Схема обработки информации 103 формирует изображение внутренней структуры объекта с использованием измерительных данных, отображающих рассеянные волны, принятые приемным антенным элементом 102 (S203).
[0252]
При формировании изображения с использованием измерительных данных, схема 103 обработки информации сначала выводит, с использованием измерительных данных, реляционное выражение, которое удовлетворяет уравнению, решением которого является функция поля рассеяния. Входными данными функции поля рассеяния являются положение приема рассеянных волн и положение излучения радиоволн, и выходным значением функции поля рассеяния является уровень рассеянных волн в месте приема. Иначе говоря, функция поля рассеяния является функцией, которая показывает уровень рассеянных волн в месте приема при независимо заданных положениях излучения и приема.
[0253]
Затем схема 103 обработки информации выводит функцию изображения с использованием выведенного реляционного выражения. Функция изображения является функцией, предназначенной для формирования изображения, и функцией, которая включает в себя один или более параметров, которые выражают соответствие между изменением частоты радиоволн и изменением диэлектрической постоянной объекта в соответствии с дебаевской релаксацией. Затем схема 103 обработки информации формирует изображение внутренней структуры объекта с использованием функции изображения.
[0254]
Это дает возможность устройству 100 томографии на рассеянном излучении выводить реляционное выражение для вывода функции изображения на основе функции поля рассеяния, которая указывает уровень рассеянных волн в зависимости от положения излучения и положения приема, и измерительных данных рассеянных волн, принятых приемным антенным элементом 102. Кроме того, функция изображения включает в себя один или более параметров, которые выражают соответствие между изменением частоты радиоволн и изменением диэлектрической постоянной объекта. Соответствующую зависимость между изменением частоты и изменением диэлектрической постоянной можно отразить при формировании изображения, представляющего внутреннюю структуру объекта, посредством устройства 100 томографии на рассеянном излучении.
[0255]
Иначе говоря, устройство 100 томографии на рассеянном излучении может формировать высокоточное изображение внутренней структуры объекта с использованием рассеянных волн от радиоволн.
[0256]
Например, элементы, уравнения, переменные и тому подобное, представленные в настоящем варианте осуществления можно применить к излучающему антенному элементу 101, приемному антенному элементу 102, схеме 103 обработки информации, функциям полей рассеяния, уравнениям, реляционным выражениям, функциям изображения, параметрам и тому подобное, представленным в вышеописанных базовой конфигурации и базового режима работы.
[0257]
Функции полей рассеяния, уравнения, реляционные выражения и функции изображения, представленные в настоящем варианте осуществления можно применять в видоизмененной форме, в подходящем случае. Например, можно использовать другие формулы, которые, по существу, идентичны по содержанию вышеописанным формулам, и другие формулы, которые выводятся на основе вышеописанных теоретических положений.
[0258]
Например, радиоволны содержат множество частотных составляющих. Радиоволны могут быть импульсными волнами и, в альтернативном варианте, могут и не быть импульсными волнами.
[0259]
Дополнительная информация
Выше в данном документе, на примере варианта осуществления описана конфигурация устройства томографии на рассеянном излучении, но конфигурации устройства томографии на рассеянном излучении не ограничены данным вариантом осуществления. В данный вариант осуществления можно вносить различные модификации, очевидные для специалистов в данной области техники, и элементы в данном варианте осуществления можно объединять произвольным образом. Например, процесс, выполняемый конкретным элементом в варианте осуществления, может вместо него выполняться другим элементом. Кроме того, порядок процессов обработки данных можно изменять, и процессы могут выполняться параллельно.
[0260]
Способ томографии на рассеянном излучении, включающий в себя этапы, выполняемые элементами, содержащимися в устройстве томографии на рассеянном излучении, может выполняться произвольным устройством или системой. Например, способ томографии на рассеянном излучении частично или полностью может выполняться компьютером, включающим в себя, например, процессор, память и схему ввода/вывода. В таких случаях, способ томографии на рассеянном излучении может выполняться программой для назначения компьютеру задачи выполнять способ томографии на рассеянном излучении, выполняемый компьютером.
[0261]
Программа может быть записана на долговременном компьютерно-читаемом носителе информации.
[0262]
Каждый из элементов устройства томографии на рассеянном излучении может быть сконфигурирован в форме специализированной аппаратуры, в форме универсальной аппаратуры, которая выполняет вышеупомянутую программу, или чего-то подобного, или любой их комбинации. Например, универсальная аппаратура может быть сконфигурирована в форме памяти, на которой записана программа, и универсального процессора, который считывает программу из памяти и выполняет программу. В данном случае, память может быть полупроводниковой памятью или жестким диском, и универсальный процессор может быть центральным процессором (ЦП) или чем-то подобным.
[0263]
Специализированная аппаратура может быть сконфигурирована в форме памяти и специализированного процессора или чего-то подобного. Например, специализированный процессор может обращаться к памяти для записи измерительных данных и выполнять вышеописанный способ томографии на рассеянном излучении.
[0264]
Каждый из элементов устройства томографии на рассеянном излучении может быть электрической схемой. Электрические схемы могут совместно формировать единую электрическую схему и, в альтернативном варианте, могут формировать отдельные электрические схемы. Данные электрические схемы могут соответствовать специализированной аппаратуре или универсальной аппаратуре, которая выполняет, например, вышеупомянутую программу.
[Промышленная применимость]
[0265]
Один аспект настоящего изобретения может найти применение в виде устройства томографии на рассеянном излучении и подобного устройства, которое формирует изображение внутренней структуры объекта с использованием рассеянных волн от радиоволн и может применяться, например, при геофизической разведке или медицинской диагностике.
[Перечень позиций]
[0266]
100 устройство томографии на рассеянном излучении
101 излучающий антенный элемент
102 приемный антенный элемент
103 схема обработки информации
300 измерительное устройство
301 векторный анализатор цепей
302 компьютер
303 кабель интерфейсной шины общего назначения (GPIB)
304 высокочастотный коаксиальный кабель
305 вырезанный образец
306 датчик для измерения диэлектрической постоянной
401 антенная решетка
601 моностатическая антенна
1001 дальномер
1002 плата FPGA для генерации PN-кода
1003 плата цифрового управления
1004 Радиочастотный переключатель (РЧ-переключатель) UWB-антенны
1005 вычислительное устройство для обработки сигналов
1006 устройство контроля сигналов
1007 плата РЧ обнаружения
1008 мультистатическая антенная решетка.
| название | год | авторы | номер документа |
|---|---|---|---|
| УСТРОЙСТВО ТОМОГРАФИИ НА РАССЕЯННОМ ИЗЛУЧЕНИИ И СПОСОБ ТОМОГРАФИИ НА РАССЕЯННОМ ИЗЛУЧЕНИИ | 2020 |
|
RU2817057C1 |
| Способ микроволновой томографии сверхвысокого разрешения | 2017 |
|
RU2662079C1 |
| СПОСОБ ИЗМЕРЕНИЯ ЭФФЕКТИВНОЙ ПОВЕРХНОСТИ РАССЕЯНИЯ ОБЪЕКТОВ | 2001 |
|
RU2210789C2 |
| НОСИМАЯ/ПЕРЕНОСНАЯ УСТАНОВКА ЭЛЕКТРОМАГНИТНОЙ ТОМОГРАФИИ | 2014 |
|
RU2603613C1 |
| СПОСОБ МОДУЛЯЦИОННОЙ ОПТИЧЕСКОЙ ТОМОГРАФИИ И УСТРОЙСТВО ДЛЯ ЕГО ОСУЩЕСТВЛЕНИЯ | 2009 |
|
RU2401061C1 |
| НОСИМАЯ/ПЕРЕНОСНАЯ УСТАНОВКА ЭЛЕКТРОМАГНИТНОЙ ТОМОГРАФИИ | 2014 |
|
RU2735283C2 |
| СПОСОБ УЛЬТРАЗВУКОВОЙ ТОМОГРАФИИ | 2023 |
|
RU2817123C1 |
| УСТРОЙСТВО ДЛЯ ИЗМЕРЕНИЯ ЭФФЕКТИВНОЙ ПЛОЩАДИ РАССЕЯНИЯ РАДИОЛОКАЦИОННЫХ ОБЪЕКТОВ | 2023 |
|
RU2815895C1 |
| СПОСОБ И УСТРОЙСТВО ИЗМЕРЕНИЯ МАТРИЦЫ РАССЕЯНИЯ | 2006 |
|
RU2338218C2 |
| СПОСОБ И УСТРОЙСТВО ИЗМЕРЕНИЯ МАТРИЦЫ РАССЕЯНИЯ | 2006 |
|
RU2331895C1 |
Изобретение относится к области формирования изображения внутренней структуры объекта с использованием рассеянных волн от радиоволн. Технический результат – повышение точности формирования изображения. Устройство (100) томографии на рассеянном излучении включает в себя: излучающий антенный элемент (101), который излучает радиоволны в объект снаружи; приемный антенный элемент (102), который принимает, снаружи объекта, рассеянные волны от радиоволн, излучаемых в объект; и схему (103) обработки информации, которая формирует изображение внутренней структуры объекта с использованием измерительных данных, отображающих рассеянные волны, принятые приемным антенным элементом (102). Схема (103) обработки информации: выводит с использованием измерительных данных реляционное выражение, которое удовлетворяет уравнению, решением которого является функция поля рассеяния; выводит с использованием реляционного выражения функцию изображения, которая предназначена для формирования изображения и включает в себя один или более параметров, выражающих соответствие между изменением частоты радиоволн и изменением диэлектрической постоянной объекта в соответствии с дебаевской релаксацией; и формирует изображение с использованием функции изображения. 2 н. и 5 з.п. ф-лы, 20 ил. 
1. Устройство томографии на рассеянном излучении, содержащее:
излучающий антенный элемент, который излучает радиоволны извне объекта внутрь объекта;
приемный антенный элемент, который принимает снаружи объекта, рассеянные волны от радиоволн, излучаемых внутрь объекта; и
схему обработки информации, которая формирует изображение внутренней структуры объекта с использованием измерительных данных, отображающих рассеянные волны, принятые приемным антенным элементом,
при этом схема обработки информации:
выводит с использованием измерительных данных реляционное выражение, которое удовлетворяет уравнению, решением которого является функция поля рассеяния, которая принимает положение излучения радиоволн и положение приема рассеянных волн в качестве входных данных и выдает уровень рассеянных волн в положении приема;
выводит с использованием реляционного выражения функцию изображения, которая предназначена для формирования изображения и включает в себя один или более параметров, выражающих соответствие между изменением частоты радиоволн и изменением диэлектрической постоянной объекта в соответствии с дебаевской релаксацией; и
формирует изображение с использованием функции изображения,
причем в трехмерном пространстве Х-координат, Y-координат и Z-координат, Х-координата положения излучающего антенного элемента идентична Х-координате положения приемного антенного элемента, и
функция поля рассеяния определяется в форме: [выражение 1]
где х является Х-координатой положения излучения и положения приема, y1 является Y-координатой положения излучения, y2 является Y-координатой положения приема, z1 является z-координатой положения излучения, z2 является Z-координатой положения приема, ω означает круговую частоту радиоволн, D означает область, содержащую объект исследования, который создает рассеянные волны посредством отражения радиоволн, ξ является Х-координатой положения в области, η является Y-координатой положения в области (является Z-координатой положения в области, ε(ξ, η, ζ) является коэффициентом отражения, i означает мнимую единицу, и k означает волновое число радиоволн,
причем уравнение определяется в форме:
[выражение 2]
причем реляционное выражение определяется в форме:
[выражение 3]
где kx означает волновое число, соответствующее х в функции поля рассеяния, ky1 означает волновое число, соответствующее y1 в функции поля рассеяния, и ky2 означает волновое число, соответствующее y2 в функции поля рассеяния,
a(kx, ky1, ky2, k) определяется в форме:
[выражение 4]
где I является индексом положения излучения, в котором находится излучающий антенный элемент, J является индексом положения приема, в котором находится приемный антенный элемент, yI является Y-координатой положения излучения, в котором находится излучающий антенный элемент, yJ является Y-координатой положения приема, в котором находится приемный антенный элемент, aI, J(kx, ky1, ky2, k) является коэффициентом, определяемым по измерительным данным при kx, ky1, kу2 и k, и Ф(kx, yI, yJ, k) представляет измерительные данные при kx, yI, yJ и k,
причем функция изображения определяется в форме:
[выражение 5]
где х в функции изображения является Х-координатой изображения, у в функции изображения является Y-координатой изображения, и z в функции изображения является Z-координатой изображения, и
переменные, содержащиеся в подынтегральном выражении в функции изображения, определяются в форме:
[выражение 6]
где с0 является скоростью распространения радиоволн в вакууме, и a, b и α являются одним или более параметрами,
причем схема обработки информации формирует изображение с использованием измерительных данных, полученных в положении излучающего антенного элемента и положении приемного антенного элемента, которые также используются в качестве данных, полученных при взаимной замене положения излучающего антенного элемента и положения приемного антенного элемента.
2. Устройство томографии на рассеянном излучении по п. 1,
причем устройство томографии на рассеянном излучении содержит множество приемных антенных элементов, каждый из которых является упомянутым приемным антенным элементом, и
схема обработки информации формирует изображение с использованием измерительных данных, отображающих рассеянные волны, принятые каждым из множества приемных антенных элементов, содержащихся в устройстве томографии на рассеянном излучении.
3. Устройство томографии на рассеянном излучении по п. 2,
в котором излучающий антенный элемент и множество приемных антенных элементов расположены в один ряд,
излучающий антенный элемент расположен на конце одного ряда, в который выстроены излучающий антенный элемент и множество приемных антенных элементов, и
между (i) излучающим антенным элементом и (ii) множеством приемных антенных элементов располагается поглотитель радиоволн.
4. Устройство томографии на рассеянном излучении по п. 1,
в котором устройство томографии на рассеянном излучении содержит множество излучающих антенных элементов, каждый из которых является упомянутым излучающим антенным элементом, и множество приемных антенных элементов, каждый из которых является упомянутым приемным антенным элементом,
множество излучающих антенных элементов, содержащихся в устройстве томографии на рассеянном излучении, соответственно соответствует множеству направлений поляризации радиоволн, и
множество приемных антенных элементов, содержащихся в устройстве томографии на рассеянном излучении, соответственно соответствует множеству направлений поляризации радиоволн.
5. Устройство томографии на рассеянном излучении по любому из пп. 1-4,
в котором один или более параметров определяют путем измерения множества диэлектрических постоянных объекта такого же типа, как упомянутый объект, для множества частот радиоволн.
6. Устройство томографии на рассеянном излучении по любому из пп. 1-4,
в котором радиоволны являются импульсными волнами.
7. Способ томографии на рассеянном излучении, содержащий этапы, на которых:
излучают посредством излучающего антенного элемента радиоволны извне объекта внутрь объекта;
принимают снаружи объекта посредством приемного антенного элемента рассеянные волны от радиоволн, излучаемых внутрь объекта; и
формируют изображение внутренней структуры объекта с использованием измерительных данных, отображающих рассеянные волны, принятые приемным антенным элементом,
при этом этап формирования включает в себя:
вывод, с использованием измерительных данных, реляционного выражения, которое удовлетворяет уравнению, решением которого является функция поля рассеяния, которая принимает положение излучения радиоволн и положение приема рассеянных волн в качестве входных данных и выдает уровень рассеянных волн в месте приема;
вывод, с использованием реляционного выражения, функции изображения, которая предназначена для формирования изображения и включает в себя один или более параметров, выражающих соответствие между изменением частоты радиоволн и изменением диэлектрической постоянной объекта в соответствии с дебаевской релаксацией; и
формирование изображения с использованием функции изображения,
причем в трехмерном пространстве Х-координат, Y-координат и Z-координат, Х-координата положения излучающего антенного элемента идентична Х-координате положения приемного антенного элемента, и
функция поля рассеяния определяется в форме:
[выражение 7]
где х является Х-координатой положения излучения и положения приема, y1 является Y-координатой положения излучения, y2 является Y-координатой положения приема, z1 является Z-координатой положения излучения, Z2 является Z-координатой положения приема, ω означает круговую частоту радиоволн, D означает область, содержащую объект исследования, который создает рассеянные волны посредством отражения радиоволн, ξ является x-координатой положения в области, η является Y-координатой положения в области, ζ является Z-координатой положения в области, ε(ξ, η, ζ) является коэффициентом отражения, i означает мнимую единицу, и k означает волновое число радиоволн,
причем уравнение определяется в форме:
[выражение 8]
причем реляционное выражение определяется в форме:
[выражение 9]
где kx означает волновое число, соответствующее х в функции поля рассеяния, ky1 означает волновое число, соответствующее y1 в функции поля рассеяния, и ky2 означает волновое число, соответствующее y2 в функции поля рассеяния,
a(kx, ky1 ky2, k) определяется в форме:
[выражение 10]
где I является индексом положения излучения, в котором находится излучающий антенный элемент, J является индексом положения приема, в котором находится приемный антенный элемент, yI является Y-координатой положения излучения, в котором находится излучающий антенный элемент, yJ является Y-координатой положения приема, в котором находится приемный антенный элемент, aI, J(kx, ky1, ky2, k) является коэффициентом, определяемым по измерительным данным при kx, ky1, ky2 и k, и Ф(kx, yI, yJ, k) представляет измерительные данные при kx, yI, yJ и k,
причем функция изображения определяется в форме:
[выражение 11]
где х в функции изображения является Х-координатой изображения, у в функции изображения является Y-координатой изображения, и z в функции изображения является Z-координатой изображения, и
переменные, содержащиеся в подынтегральном выражении в функции изображения, определяются в форме:
[выражение 12]
где с0 является скоростью распространения радиоволн в вакууме, и a, b и α являются одним или более параметрами,
изображение формируется с использованием измерительных данных, полученных в положении излучающего антенного элемента и положении приемного антенного элемента, которые также используются в качестве данных, полученных при взаимной замене положения излучающего антенного элемента и положения приемного антенного элемента.
| US 2006241409 A1, 26.10.2006 | |||
| US 2019021626 A1, 24.01.2019 | |||
| US 10101282 B2, 16.10.2018 | |||
| US 2019096044 A1, 28.03.2019 | |||
| US 2015377778 A1, 31.12.2015 | |||
| УСТРОЙСТВО ДЛЯ ГАММА-ДЕФЕКТОСКОПИИ | 1992 |
|
RU2080589C1 |
Авторы
Даты
2025-04-24—Публикация
2020-07-28—Подача