Изобретение относится к интегральной/нейроморфной фотонике, в частности к оптическим фазовым модуляторам, используемым в качестве логических элементов оптических сопроцессоров - модулей умножения матрицы на вектор.
Прогнозируется, что глобальный рынок искусственных нейронных сетей, обусловленный растущим интересом к искусственному интеллекту (ИИ), будет расти значительными темпами. Искусственные нейронные сети (ИНС) и алгоритмы обучения способны обучаться на больших наборах данных, что позволяет создать машину, обладающую человеческими возможностями принятия решений, с низкой задержкой и высокой энергоэффективностью. Нейроморфные фотонные системы потенциально обеспечивают скорость работы на несколько порядков выше, чем у нейроморфной электроники, а также более высокую эффективность.
Из уровня техники известны оптические фазовые модуляторы, выполненные в виде участка волновода, ограниченного оптическими входом и выходом, между которыми размещен сплиттер, соединяющий волновод с управляемым кольцевым резонатором (см., например, В.М. Петров, А.В. Шамрай. СВЧ ИНТЕГРАЛЬНО-ОПТИЧЕСКИЕ МОДУЛЯТОРЫ. ТЕОРИЯ И ПРАКТИКА. Университет ИТМО, Санкт-Петербург, 2021, с. 73-97; П.О. Якушенков, Фотонные интегральные схемы, Фотоника №8/68/2017, с. 58-66). Означенные оптические модуляторы обладают компактным размером (типичный диаметр кольцевого резонатора составляет 10-20 мкм), характеризуются низким управляющим напряжением (менее 0.5 В) и высокой скоростью модуляции (типичное время переключения составляет несколько десятков пикосекунд).
К недостаткам известных технических решений следует отнести низкое качество, обусловленное наличием паразитной амплитудной модуляции, сопутствующей фазовой модуляции.
Наиболее близким к заявленному техническому решению - прототипом -является оптический фазовый модулятор на основе кремния с уменьшенной остаточной амплитудной модуляцией, выполненный в виде участка волновода, ограниченного оптическими входом и выходом, между которыми размещен сплиттер, соединяющий волновод с управляемым кольцевым резонатором (Патент US №7167293 В2, зарегистрирован 23.01.2007). Для устранения нежелательной амплитудной модуляции с выходного сигнала электрооптического фазового модулятора, прототип включает в себя резонансные фильтры, которые смещены по положительному и отрицательному наклонам ответного сигнала, за счет чего по мере уменьшения амплитудной характеристики одного фильтра амплитудная характеристика другого фильтра увеличивается, что приводит к балансировке выходного сигнала и существенному уменьшению амплитудной модуляции в выходном сигнале с фазовой модуляцией, при этом, чем больше количество резонансных фильтров, тем меньше амплитудная модуляция в выходном сигнале с фазовой модуляцией.
К недостаткам прототипа следует отнести его недостаточно высокое качество, обусловленное неспособностью такого технического решения полностью исключить амплитудную модуляцию в выходном сигнале с фазовой модуляцией.
Выявленная проблема - наличие остаточной амплитудной модуляции в выходном сигнале с фазовой модуляцией электрооптического фазового модулятора.
Технический результат - повышение качества оптического фазового модулятора за счет устранения остаточной амплитудной модуляции в выходном сигнале с фазовой модуляцией.
Проблема решается, а заявленный технический результат достигается тем, что оптический фазовый модулятор, содержащий оптический волновод, ограниченный оптическими входом и выходом, между которыми размещен сплиттер, соединяющий оптический волновод с управляемым кольцевым резонатором, содержащим кольцевой волновод с фазомодулирующим средством, вносящим управляемую внешним сигналом фазовую задержку, снабжен дополнительным оптическим волноводом, ограниченным входным и выходным сплиттерами, соединяющими дополнительный оптический волновод с оптическим волноводом соответственно между оптическим входом и управляемым кольцевым резонатором и оптическим выходом и управляемым кольцевым резонатором, при этом сплиттеры выполнены с коэффициентами
деления, определяемыми выражением:
где qвх и qвых - коэффициенты деления соответственно входного и выходного сплиттеров; qрез - коэффициент деления сплиттера, соединяющего оптический волновод с управляемым кольцевым резонатором; а - коэффициент пропускания (по амплитуде) управляемого кольцевого резонатора, при этом целесообразно оптический фазовый модулятор выполнять по технологии «кремний на изоляторе» (SOI), коэффициенты деления входного и выходного сплиттеров выполнять одинаковыми, кроме того оптический фазовый модулятор может быть снабжен аттенюатором с переменным коэффициентом пропускания, возможно выполнение фазомодулирующего средства в виде кремниевого волновода, совмещенного с электродами, создающими управляющее электрическое поле, или в виде кремниевого волновода, совмещенного с микро-нагревателем, управляющим температурой кремниевого волновода (в более широком смысле для модуляции фазового набега кольцевой резонатор может быть изготовлен из материала, обладающего электрооптическим, термооптическим, упругооптическим или иным применимым эффектом, а управляющий элемент - с возможностью соответственно электрического, теплового, механического или иного воздействия на волокно кольцевого резонатора), а аттенюатор может быть встроен в дополнительный оптический волновод между входным и выходным сплиттерами, или в оптический волновод между входным сплиттером и сплиттером, соединяющим оптический волновод с управляемым кольцевым резонатором, или в оптический волновод между выходным сплиттером и сплиттером, соединяющим оптический волновод с управляемым кольцевым резонатором, или в кольцевой волновод управляемого кольцевого резонатора.
Изобретение поясняется изображениями, на которых представлены:
Фиг. 1 - схема заявленного оптического фазового модулятора;
Фиг. 2 - расчетная схема кольцевого резонатора;
Фиг. 3 - экспериментальные графики зависимости модулируемой амплитуды и набега фазы ϕ в кремниевом кольцевом волноводе от сдвига фазы Ψ.
Обозначения на изображении означают следующее:
1 - оптический волновод;
2 - оптический вход;
3 - оптический выход;
4,5,6 - сплиттеры;
7 - управляемый кольцевой резонатор;
8 - кольцевой волновод;
9 - фазомодулирующее средство;
10 - дополнительный оптический волновод;
11 - аттенюатор;
а - коэффициент пропускания (по амплитуде) управляемого кольцевого резонатора;
- параметр, введенный для удобства расчетов, где qрез - коэффициент деления сплиттера, соединяющего оптический волновод с управляемым кольцевым резонатором;
j - мнимая единица;
- параметр, введенный для удобства расчетов;
E1 - амплитуда входного сигнала;
Е2 - амплитуда выходного сигнала;
Е3 - амплитуда входного сигнала на входе в кольцо (после сплитера);
Е4 - амплитуда выходного сигнала на выходе из кольца (перед сплитером).
Согласно заявленному техническому решению, оптический фазовый модулятор содержит оптический волновод (фрагмент оптического волновода) 1, ограниченный оптическими входом 2 и выходом 3, между которыми размещен сплиттер 4, соединяющий оптический волновод 1 с управляемым кольцевым резонатором 7. Управляемый кольцевой резонатор 7, в свою очередь, выполнен в виде кольцевого волновода 8 с фазомодулирующим средством 9. В этой части заявленное техническое решение совпадает с приведенными выше аналогами и прототипом. В отличие от прототипа, заявленный оптический фазовый модулятор снабжен дополнительным оптическим волноводом (фрагментом оптического волновода) 10, ограниченным входным сплиттером 5 (входной сплиттер также может именоваться «разветвитель») и выходным сплиттером 6 (выходной сплиттер также может именоваться «комбайнер»), соединяющими дополнительный оптический волновод 10 с оптическим волноводом 1 соответственно между оптическим входом 2 и управляемым кольцевым резонатором 7 и оптическим выходом 3 и управляемым кольцевым резонатором 7. Возможно использование как Y-сплиттеров (Фиг. 1), так и Х-сплиттеров. При этом сплиттеры 5 и 6 выполнены с коэффициентами деления, определяемыми выражением:
где qвх и qвых - коэффициенты деления входного 5 и выходного 6 сплиттеров соответственно; qрез - коэффициент деления сплиттера 4, соединяющего оптический волновод 1 с управляемым кольцевым резонатором 7; а - коэффициент пропускания (по амплитуде) управляемого кольцевого резонатора 7. Корректировка погрешности, обусловленной возможными отклонениями параметров оптического фазового модулятора и/или его компонентов, вызванными внешними факторами или технологическим несовершенством, возможна посредством снабжения заявленного оптического фазового модулятора аттенюатором 11 с переменным коэффициентом пропускания, при этом аттенюатор может быть встроен в дополнительный оптический волновод 10 между входным 5 и выходным 6 сплиттерами или в оптический волновод 1 между входным сплиттером 5 и сплиттером 4, соединяющим оптический волновод 1 с управляемым кольцевым резонатором 7 или в оптический волновод 1 между выходным сплиттером 6 и сплиттером 4, соединяющим оптический волновод 1 с управляемым кольцевым резонатором 7 или в кольцевой волновод 8 управляемого кольцевого резонатора 7 в любой из участков между фазомодулирующим средством 9 и сплиттером 4, соединяющим оптический волновод 1 с управляемым кольцевым резонатором 7. Для управления набегом фазы, как это отмечалось выше, кольцевой волновод 8 кольцевого резонатора 7 может быть изготовлен из материала, обладающего электрооптическим, магнитооптическим, термооптическим, упругооптическим или иным применимым эффектом, а управляющий элемент - с возможностью соответственно электрического, магнитного, теплового, механического или иного воздействия на волокно кольцевого резонатора. Соответствующие примеры исполнения нашли отражение в п. 5 и п. 6 формулы изобретения.
Изобретение основано на следующем. Задача оптического фазового модулятора - вносить задаваемый пользователем сдвиг фазы Ψ без амплитудной модуляции выходного сигнала. В качестве такого модулятора предложена конструкция, состоящая из кольцевого резонатора (MRR) 7 и фрагмента оптического волокна 1. Набег фазы ϕ в кремниевом кольцевом волноводе 8 управляется внешним сигналом через фазомодулирующее средство 9. В таком элементе, за счет резонансных свойств кольцевого резонатора (MRR), изменение ϕ в малом диапазоне дает возможность менять Ψ в широких пределах (обычно требуется изменение Ψ от -0,9π до 0,9π). Однако модуль амплитуды сигнала на выходе |Еоout| будет иметь резонансный провал. Требуется линеаризовать эту функцию - привести зависимость к виду |Еоout|=const. Для решения этой проблемы предложено, по сути, использовать фрагмент схемы модулятора Маха-Цендера (MZM) для работы с одной квадратурой в одной поляризации, и поместить MRR в одно из его плеч, что соответствующим образом отражено в п. 1 формулы изобретения. Тогда, подобрав коэффициенты деления сплиттеров, возможно получить на выходе Р(ϕ)=const, что соответствует |Еоout|=const. Ниже представлены соответствующие преобразования и расчеты.
Точки на комплексной плоскости описываются комплексными числами, поэтому для сокращения далее, говоря «точка», будем иметь в виду соответствующее ей комплексное число. Рассмотрим преобразование комплексной плоскости:
z - точка на комплексной плоскости, принадлежащая окружности с центром в точке z0;
- комплексное число связанное с z преобразованием (1). Покажем, что окружность переходит в окружность при таком преобразовании. Введем обозначения:
где х и у - соответственно действительная и мнимая части комплексного числа z;
i - мнимая единица;
- комплексно сопряженное числу z. Уравнение окружности радиуса r с центром на комплексной плоскости в точке z0=х0+iy0 (х0 и у0 - соответственно действительная и мнимая части комплексного числа z0):
где введено обозначение
- комплексно сопряженное числу z0. Мы получили уравнение произвольной окружности в комплексной форме. Поделим это уравнение на
и запишем слагаемые в обратном порядке:
и найдем уравнение для кривой в комплексной плоскости, к множеству точек которой принадлежит точка
(u0 и ν0 - соответственно действительная и мнимая части комплексного числа
):
с параметрами уравнения
Это есть уравнение окружности с центром в точке
(u0 и ν0 - соответственно действительная и мнимая части
;
- комплексно сопряженное числу
) и некоторым радиусом R. Найдем центр и радиус этой окружности:
Канонический вид дробно-линейного преобразования комплексной плоскости:
где А, В, С и D - параметры. Дополнительное ограничение состоит в том, что параметры - действительные числа. Каноническое преобразование состоит из суперпозиции элементарных сдвигов, растяжений и инверсий. Каждое из элементарных преобразований переводит окружность в окружность, причем центр окружности остается на действительной оси. Надо найти связь параметров А В С и D, при которой единичная окружность с центром в нуле переходит в окружность некоторого радиуса с центром в нуле. Для этого достаточно рассмотреть, куда переходят точки z=±1:
Рассмотрим кольцевой резонатор 7 (его схема изображена на Фиг. 2) и найдем его трансфер-функцию. В месте соединения кольца 8 с волноводом 1 расположен сплиттер 4, его трансфер-матрица:
причем r2+t2=1.
Напишем систему уравнений, описывающих резонатор в линейном режиме. Два уравнения вытекают из трансфер-матрицы сплиттера:
где а - это затухание амплитуды поля при движении по кольцу и ϕ - набег фазы при этом движении. Обозначим z=exp(j ϕ). Тогда система уравнений выглядит следующим образом:
Умножаем уравнение (1) на az и используем уравнение (3), находим связь Е3 и Е1.
Подставляем Е3 в уравнение (2) и находим связь Е2 и Е1:
Таким образом, трансфер-функция кольцевого резонатора 7 имеет вид:
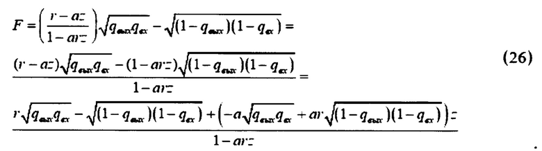
Далее найдем трансфер-функцию кольцевого резонатора 7 на MZM с одним входом и одним выходом (соответствует заявленному техническому решению). Перед кольцевым резонатором 7 и после него расположены сплиттеры 5 и 6 с соответственно входной (Твх) и выходной (Твых) трансфер-матрицами:
где qвх и qвых - коэффициенты деления входного 5 и выходного 6 сплиттеров по мощности. Тогда искомая трансфер-функция находится по формуле:
Подставляя выражение (23) для трансфер-функции кольцевого резонатора 7, получаем:
Приведем трансфер-функцию к каноническому виду дробно-линейного преобразования:
где
Далее, чтобы выполнить такое дробно-линейное преобразование, переводящее единичную окружность в окружность некоторого радиуса с центром в нуле, нам нужно воспользоваться формулой (16):
Из выражения (29), учитывая, что
получим заявленную формулу искомого коэффициента деления сплиттеров 5 и 6, позволяющую организовать оптический фазовый модулятор с постоянной выходной мощностью/амплитудой, не меняющейся при сдвигании фазы:
Заявленный оптический фазовый модулятор был реализован и протестирован посредством компьютерного моделирования, значения параметров кольцевого резонатора 7: а=0,95; r=0,9. При этом моделировались и сравнивались схемы простого кольцевого резонатора в качестве оптического фазового модулятора (обозначение - ring, соответствует схеме на Фиг. 2) и заявленного оптического фазового модулятора (обозначение - ring+MZM, соответствует схеме на Фиг. 1). Для упрощения коэффициенты деления сплиттеров 5 и 6 принимались равными: qвх=qвых=q, что соответствует п. 3 формулы изобретения. Расчетную формулу (30) в этом случае можно преобразовать следующим образом:
Результаты тестирования представлены на Фиг. 3 и ниже, в табличном виде.
Данные Табл. и графически представленные на Фиг. 3 свидетельствуют, что оба тестируемых устройства обеспечивают фазовую модуляцию высокого качества, при этом амплитудная модуляция в выходном сигнале с фазовой модуляцией заявленного оптического фазового модулятора полностью отсутствует в отличие от аналога (представлен на Фиг. 3 с обозначением - ring) и прототипа (свидетельство о наличии остаточной амплитудной модуляции в выходном сигнале с фазовой модуляцией содержится в материалах патента US №7167293 В2, зарегистрированого 23.01.2007).
Изложенное позволяет сделать вывод о том, что выявленная проблема - наличие остаточной амплитудной модуляции в выходном сигнале с фазовой модуляцией оптического фазового модулятора - решена, а заявленный технический результат - повышение качества оптического фазового модулятора за счет устранения остаточной амплитудной модуляции в выходном сигнале с фазовой модуляцией - достигнут.
| название | год | авторы | номер документа |
|---|---|---|---|
| Полностью оптическое устройство реализации нелинейной функции активации (девять вариантов) | 2024 |
|
RU2835763C1 |
| Преобразователь фазомодулированных сигналов в частотно-модулированные сигналы | 1987 |
|
SU1501249A1 |
| СИСТЕМА И СПОСОБ ДЛЯ ИСТОЧНИКА СВЕТОВОГО СИГНАЛА С ЛИНЕЙНОЙ ЧАСТОТНОЙ МОДУЛЯЦИЕЙ | 2006 |
|
RU2363105C2 |
| СПОСОБ УПРАВЛЕНИЯ ИЗЛУЧЕНИЕМ ПОЛУПРОВОДНИКОВОГО ЛАЗЕРА И УСТРОЙСТВО ДЛЯ ЕГО ОСУЩЕСТВЛЕНИЯ | 1990 |
|
SU1820806A1 |
| ВОЛОКОННО-ОПТИЧЕСКИЙ ГИРОСКОП | 2015 |
|
RU2589450C1 |
| МНОГОЛУЧЕВОЙ КЛИСТРОН | 2003 |
|
RU2239256C1 |
| ПОЛНОСТЬЮ ОПТИЧЕСКАЯ ПАМЯТЬ НА ОСНОВЕ ОПТИЧЕСКИ СВЯЗАННЫХ ЛАЗЕРОВ | 2021 |
|
RU2826375C2 |
| ТВЕРДОТЕЛЬНЫЙ ЛАЗЕРНЫЙ ГИРОСКОП | 2009 |
|
RU2421689C1 |
| СПОСОБ ВСТРОЕННОГО КОНТРОЛЯ ХАРАКТЕРИСТИК ЦИФРОВОЙ АКТИВНОЙ ФАЗИРОВАННОЙ АНТЕННОЙ РЕШЕТКИ | 2020 |
|
RU2752553C1 |
| АМПЛИТУДНО-ФАЗОВЫЙ МОДУЛЯТОР НА ПОЛУПРОВОДНИКОВЫХ ЛАЗЕРАХ С ОПТИЧЕСКОЙ ИНЖЕКЦИЕЙ И СПОСОБ ЕГО ПРИМЕНЕНИЯ ДЛЯ КВАНТОВОГО РАСПРЕДЕЛЕНИЯ КЛЮЧЕЙ | 2021 |
|
RU2813164C1 |
Изобретение относится к области фотоники и касается оптического фазового модулятора. Фазовый модулятор содержит оптический волновод, ограниченный оптическими входом и выходом, между которыми размещен сплиттер, соединяющий оптический волновод с управляемым кольцевым резонатором. Фазовый модулятор снабжен дополнительным оптическим волноводом, ограниченным входным и выходным сплиттерами, соединяющими дополнительный оптический волновод с оптическим волноводом соответственно между оптическим входом и управляемым кольцевым резонатором и оптическим выходом и управляемым кольцевым резонатором. При этом сплиттеры выполнены с коэффициентами деления, определяемыми выражением:
где qвх и qвых - коэффициенты деления соответственно входного и выходного сплиттеров; qрез - коэффициент деления сплиттера, соединяющего оптический волновод с управляемым кольцевым резонатором; а - коэффициент пропускания по амплитуде управляемого кольцевого резонатора. Технический результат заключается в устранении остаточной амплитудной модуляции в выходном сигнале с фазовой модуляцией. 9 з.п. ф-лы, 3 ил., 1 табл.
1. Оптический фазовый модулятор, содержащий оптический волновод, ограниченный оптическими входом и выходом, между которыми размещен сплиттер, соединяющий оптический волновод с управляемым кольцевым резонатором, содержащим кольцевой волновод с фазомодулирующим средством, вносящим управляемую внешним сигналом фазовую задержку, отличающийся тем, что он снабжен дополнительным оптическим волноводом, ограниченным входным и выходным сплиттерами, соединяющими дополнительный оптический волновод с оптическим волноводом соответственно между оптическим входом и управляемым кольцевым резонатором и оптическим выходом и управляемым кольцевым резонатором, при этом сплиттеры выполнены с коэффициентами деления, определяемыми выражением:
где
qвх и qвых - коэффициенты деления соответственно входного и выходного сплиттеров;
qрез - коэффициент деления сплиттера, соединяющего оптический волновод с управляемым кольцевым резонатором;
а - коэффициент пропускания по амплитуде управляемого кольцевого резонатора.
2. Оптический фазовый модулятор по п. 1, отличающийся тем, что он выполнен по технологии «кремний на изоляторе».
3. Оптический фазовый модулятор по п. 1, отличающийся тем, что коэффициенты деления входного и выходного сплиттеров выполнены одинаковыми.
4. Оптический фазовый модулятор по п. 1, отличающийся тем, что он снабжен аттенюатором с переменным коэффициентом пропускания.
5. Оптический фазовый модулятор по п. 2, отличающийся тем, что фазомодулирующее средство выполнено в виде кремниевого волновода, совмещенного с электродами, создающими управляющее электрическое поле.
6. Оптический фазовый модулятор по п. 2, отличающийся тем, что фазомодулирующее средство выполнено в виде кремниевого волновода, совмещенного с микро-нагревателем, управляющим температурой кремниевого волновода.
7. Оптический фазовый модулятор по п. 4, отличающийся тем, что аттенюатор встроен в дополнительный оптический волновод между входным и выходным сплиттерами.
8. Оптический фазовый модулятор по п. 4, отличающийся тем, что аттенюатор встроен в оптический волновод между входным сплиттером и сплиттером, соединяющим оптический волновод с управляемым кольцевым резонатором.
9. Оптический фазовый модулятор по п. 4, отличающийся тем, что аттенюатор встроен в оптический волновод между выходным сплиттером и сплиттером, соединяющим оптический волновод с управляемым кольцевым резонатором.
10. Оптический фазовый модулятор по п. 4, отличающийся тем, что аттенюатор встроен в кольцевой волновод управляемого кольцевого резонатора.
| US 7167293 B2, 23.01.2007 | |||
| US 6943931 B1, 13.09.2005 | |||
| US 8254732 B2, 28.08.2012 | |||
| RU 94046063 A1, 10.09.1996. |
Авторы
Даты
2024-12-09—Публикация
2024-06-11—Подача