СПОСОБЫ ЛЕЧЕНИЯ И ПРЕДУПРЕЖДЕНИЯ БОЛЕЗНИ АЛЬЦГЕЙМЕРА Российский патент 2024 года по МПК A61K39/395 C07K16/18 A61P25/28 

Описание патента на изобретение RU2832167C2

[1] Настоящая заявка испрашивает преимущество приоритета на основании предварительной заявки на патент США № 62/702659, поданной 24 июля 2018 года; предварительной заявки на патент США № 62/749614, поданной 23 октября 2018 года; предварительной заявки на патент США № 62/824162, поданной 26 марта 2019 года; предварительной заявки на патент США № 62/846902, поданной 13 мая 2019 года; и предварительной заявки на патент США № 62/874684, поданной 16 июля 2019 года, полное содержание каждой из которых включено в данный документ посредством ссылки.

[2] Болезнь Альцгеймера (AD) является прогрессирующим нейродегенеративным нарушением неизвестной этиологии и наиболее распространенной формой деменции среди пожилых людей. В 2006 году в мире имело место 26,6 миллиона случаев AD (диапазон: 11,4-59,4 миллиона) (Brookmeyer, R., et al., Forecasting the global burden of Alzheimer's Disease. Alzheimer Dement. 2007; 3:186-91), при этом по сообщениям более 5 миллионов человек в США жили с AD (Alzheimer's Association. Alzheimer's Association report. 2010 Alzheimer's disease facts and figures. Alzheimer Dement. 2010; 6:158-94). К 2050 году прогнозируется рост распространенности AD до 106,8 миллиона случаев во всем мире (диапазон: 47,2-221,2 миллиона), тогда как в одних только США распространенность по оценкам будет составлять 11-16 миллионов случаев. (Brookmeyer, см. выше, и 2010 Alzheimer's disease facts and figures, см. выше).

[3] Данное заболевание обычно предполагает глобальное ухудшение когнитивной функции, которое медленно прогрессирует и приводит к тому, что пациенты на конечной стадии заболевания являются прикованными к постели. Выживаемость пациентов с AD обычно составляет всего от 3 до 10 лет после начала проявления симптомов, хотя известны крайние значения 2 и 20 лет. (Hebert, L.E., et al., Alzheimer disease in the U.S. population: prevalence estimates using the 2000 census. Arch Neurol. 2003; 60:1119-1122.) AD является седьмой ведущей причиной всех случаев смерти в США и пятой ведущей причиной смерти среди американцев старше 65 лет, несмотря на то, что смертность от AD сильно недооценивается, поскольку в свидетельствах о смерти редко указывается AD как причина смерти. (Alzheimer's Association. Alzheimer's Association report. 2010 Alzheimer's disease facts and figures. Alzheimer Dement. 2010; 6:158-94)

[4] AD представляет собой серьезное экономическое бремя для промышленно развитых стран, оказывая существенное влияние на системы здравоохранения и государственный бюджет, а также на пациентов и их семьи. Только в США общие выплаты за 2010 год были оценены в 172 миллиарда долларов, включая 123 миллиарда долларов на программы Medicare и Medicaid.

[5] Насколько известно авторам настоящего изобретения, в настоящее время не существует лекарства от AD и не существует способа замедлить прогрессирование этого заболевания. Существующие терапевтические средства для лечения AD включают средства симптоматической терапии, такие как ингибиторы ацетилхолинэстеразы (AChEI), такие как донепезил, и антагонисты рецепторов N-метил-D-аспартата (NMDA), такие как мемантин. Хотя эти средства могут улучшить симптомы AD, такие как ухудшение когнитивных функций и ухудшение активности в повседневной жизни и поведении, не имеется сообщений о том, что они изменяют прогрессирование заболевания. Таким образом, существует неудовлетворенная потребность в способах лечения прогрессирования и/или предупреждения AD.

[6] В некоторых вариантах осуществления в данном документе предусмотрен способ уменьшения клинического ухудшения у субъекта с болезнью Альцгеймера на ранней стадии, включающий введение композиции, содержащей терапевтически эффективное количество по меньшей мере одного антитела к протофибриллам Aβ. В некоторых вариантах осуществления субъект является носителем ApoE4. В некоторых вариантах осуществления по меньшей мере одно антитело к протофибриллам Aβ представляет собой BAN2401.

[7] В некоторых вариантах осуществления по меньшей мере одно антитело к протофибриллам Aβ, такое как BAN2401, предупреждает отложение Aβ до начала формирования бляшек в головном мозге. В некоторых вариантах осуществления по меньшей мере одно антитело к протофибриллам Aβ, такое как BAN2401, уменьшает количество протофибрилл и существующих бляшек в головном мозге. В некоторых вариантах осуществления по меньшей мере одно антитело к протофибриллам Aβ, такое как BAN2401, предупреждает отложение Aβ до начала формирования бляшек и уменьшает количество протофибрилл и существующих бляшек в головном мозге.

[8] В некоторых вариантах осуществления в данном документе предусмотрен способ превращения амилоид-положительного субъекта с болезнью Альцгеймера на ранней стадии в амилоид-отрицательного субъекта с болезнью Альцгеймера на ранней стадии, включающий введение композиции, содержащей терапевтически эффективное количество по меньшей мере одного антитела к протофибриллам Aβ. В некоторых вариантах осуществления субъект является носителем ApoE4. В некоторых вариантах осуществления по меньшей мере одно антитело к протофибриллам Aβ представляет собой BAN2401.

[9] В некоторых вариантах осуществления в данном документе предусмотрен способ снижения уровня амилоида в головном мозге у субъекта с болезнью Альцгеймера на ранней стадии, включающий введение композиции, содержащей терапевтически эффективное количество по меньшей мере одного антитела к протофибриллам Aβ. В некоторых вариантах осуществления субъект является носителем ApoE4. В некоторых вариантах осуществления по меньшей мере одно антитело к протофибриллам Aβ представляет собой BAN2401.

[10] В некоторых вариантах осуществления в данном документе предусмотрен способ предупреждения болезни Альцгеймера у ApoE4-положительных субъектов. В некоторых вариантах осуществления указанный способ включает определение уровня амилоида в головном мозге субъекта до введения и введение терапевтически эффективного количества по меньшей мере одного антитела к протофибриллам Aβ в случае, если уровень амилоида в головном мозге субъекта превышает первый предварительно определенный уровень. В некоторых вариантах осуществления по меньшей мере одно антитело к протофибриллам Aβ представляет собой BAN2401.

КРАТКОЕ ОПИСАНИЕ ГРАФИЧЕСКИХ МАТЕРИАЛОВ

[11] На фиг. 1 показано замедление ухудшения когнитивных функций по сравнению с плацебо в течение 18 месяцев, определенное с помощью ADCOMS, для доз BAN2401 2,5 мг/кг один раз в две недели, 5 мг/кг один раз в месяц, 5 мг/кг один раз в две недели, 10 мг/кг один раз в месяц и 10 мг/кг один раз в две недели.

[12] На фиг. 2 показано замедление ухудшения когнитивных функций по сравнению с плацебо в течение 18 месяцев, определенное с помощью ADCOMS, для дозы BAN2401 10 мг/кг один раз в месяц и дозы BAN2401 10 мг/кг один раз в две недели.

[13] На фиг. 3 показано замедление ухудшения когнитивных функций по сравнению с плацебо в течение 18 месяцев, определенное с помощью ADCOMS, для дозы BAN2401 10 мг/кг один раз в месяц и дозы BAN2401 10 мг/кг один раз в две недели у субъектов с легким когнитивным нарушением, с умеренной вероятностью обусловленным деменцией при болезни Альцгеймера.

[14] На фиг. 4 показано замедление ухудшения когнитивных функций по сравнению с плацебо в течение 18 месяцев, определенное с помощью ADCOMS, для дозы BAN2401 10 мг/кг один раз в месяц и дозы BAN2401 10 мг/кг один раз в две недели у субъектов с легкой деменцией при болезни Альцгеймера.

[15] На фиг. 5 показано замедление ухудшения когнитивных функций по сравнению с плацебо в течение 18 месяцев, определенное с помощью ADCOMS, для дозы BAN2401 10 мг/кг один раз в месяц и дозы BAN2401 10 мг/кг один раз в две недели у ApoE4-положительных субъектов.

[16] На фиг. 6 показано замедление ухудшения когнитивных функций по сравнению с плацебо в течение 18 месяцев, определенное с помощью ADCOMS, для дозы BAN2401 10 мг/кг один раз в месяц и дозы BAN2401 10 мг/кг один раз в две недели у ApoE4-отрицательных субъектов.

[17] На фиг. 7 показано замедление ухудшения когнитивных функций по сравнению с плацебо в течение 18 месяцев, определенное с помощью ADAS-Cog, для доз BAN2401 2,5 мг/кг один раз в две недели, 5 мг/кг один раз в месяц, 5 мг/кг один раз в две недели, 10 мг/кг один раз в месяц и 10 мг/кг один раз в две недели.

[18] На фиг. 8 показано замедление ухудшения когнитивных функций по сравнению с плацебо в течение 18 месяцев, определенное с помощью ADAS-Cog, для дозы BAN2401 10 мг/кг один раз в месяц и дозы BAN2401 10 мг/кг один раз в две недели.

[19] На фиг. 9 показано замедление ухудшения когнитивных функций по сравнению с плацебо в течение 18 месяцев, определенное с помощью CDR-SB, для доз BAN2401 2,5 мг/кг один раз в две недели, 5 мг/кг один раз в месяц, 5 мг/кг один раз в две недели, 10 мг/кг один раз в месяц и 10 мг/кг один раз в две недели.

[20] На фиг. 10 показано замедление ухудшения когнитивных функций по сравнению с плацебо в течение 18 месяцев, определенное с помощью CDR-SB, для дозы BAN2401 10 мг/кг один раз в месяц и дозы BAN2401 10 мг/кг один раз в две недели.

[21] На фиг. 11 показано снижение уровня амилоида в головном мозге, определенное с помощью PET, в виде общего среднего показателя для коры головного мозга по сравнению с эталонным показателем для всего мозжечка в течение 18 месяцев для доз BAN2401 2,5 мг/кг один раз в две недели, 5 мг/кг один раз в месяц, 5 мг/кг один раз в две недели, 10 мг/кг один раз в месяц и 10 мг/кг один раз в две недели.

[22] На фиг. 12 показано снижение уровня амилоида в головном мозге, определенное с помощью визуализации с использованием радиоактивных индикаторов, связывающих амилоид Аβ головного мозга, и визуализированное с помощью PET, в течение 18 месяцев для доз BAN2401 2,5 мг/кг один раз в две недели, 5 мг/кг один раз в месяц, 5 мг/кг один раз в две недели, 10 мг/кг один раз в месяц и 10 мг/кг один раз в две недели.

[23] На фиг. 13 показано превращение амилоид-положительных субъектов в амилоид-отрицательных субъектов, определенное с помощью визуального считывания, после 12 и 18 месяцев лечения для доз BAN2401 2,5 мг/кг один раз в две недели, 5 мг/кг один раз в месяц, 5 мг/кг один раз в две недели, 10 мг/кг один раз в месяц и 10 мг/кг один раз в две недели.

[24] На фиг. 14 показано изменение уровня Aβ1-42 в спинномозговой жидкости в течение 18 месяцев для доз BAN2401 2,5 мг/кг один раз в две недели, 5 мг/кг один раз в месяц, 5 мг/кг один раз в две недели, 10 мг/кг один раз в месяц и 10 мг/кг один раз в две недели.

[25] На фиг. 15 показано изменение уровня общего тау-белка в спинномозговой жидкости в течение 18 месяцев для дозы BAN2401 10 мг/кг один раз в месяц и дозы BAN2401 10 мг/кг один раз в две недели.

[26] На фиг. 16 показано замедление ухудшения когнитивных функций по сравнению с плацебо в течение 18 месяцев, определенное с помощью ADCOMS, для доз BAN2401 2,5 мг/кг один раз в две недели, 5 мг/кг один раз в месяц, 5 мг/кг один раз в две недели, 10 мг/кг один раз в месяц и 10 мг/кг один раз в две недели у ApoE4-положительных субъектов.

[27] На фиг. 17 показано замедление ухудшения когнитивных функций по сравнению с плацебо в течение 18 месяцев, определенное с помощью ADCOMS, для дозы BAN2401 10 мг/кг один раз в месяц и дозы BAN2401 10 мг/кг один раз в две недели у ApoE4-положительных субъектов с легким когнитивным нарушением, с промежуточной вероятностью обусловленным болезнью Альцгеймера.

[28] На фиг. 18 показано замедление ухудшения когнитивных функций по сравнению с плацебо в течение 18 месяцев, определенное с помощью ADCOMS, для дозы BAN2401 10 мг/кг один раз в месяц и дозы BAN2401 10 мг/кг один раз в две недели у ApoE4-положительных субъектов с легкой деменцией при болезни Альцгеймера.

[29] На фиг. 19 показано замедление ухудшения когнитивных функций по сравнению с плацебо в течение 18 месяцев, определенное с помощью ADAS-Cog, для доз BAN2401 2,5 мг/кг один раз в две недели, 5 мг/кг один раз в месяц, 5 мг/кг один раз в две недели, 10 мг/кг один раз в месяц и 10 мг/кг один раз в две недели у ApoE4-положительных субъектов.

[30] На фиг. 20 показано замедление ухудшения когнитивных функций по сравнению с плацебо в течение 18 месяцев, определенное с помощью ADAS-Cog, для доз BAN2401 10 мг/кг один раз в месяц и 10 мг/кг один раз в две недели у ApoE4-положительных субъектов.

[31] На фиг. 21 показано замедление ухудшения когнитивных функций по сравнению с плацебо в течение 18 месяцев, определенное с помощью ADAS-Cog, для дозы BAN2401 10 мг/кг один раз в месяц и дозы BAN2401 10 мг/кг один раз в две недели у ApoE4-положительных субъектов с легким когнитивным нарушением, с промежуточной вероятностью обусловленным болезнью Альцгеймера.

[32] На фиг. 22 показано замедление ухудшения когнитивных функций по сравнению с плацебо в течение 18 месяцев, определенное с помощью ADAS-Cog, для дозы BAN2401 10 мг/кг один раз в месяц и дозы BAN2401 10 мг/кг один раз в две недели у ApoE4-положительных субъектов с легкой деменцией при болезни Альцгеймера.

[33] На фиг. 23 показано замедление ухудшения когнитивных функций по сравнению с плацебо в течение 18 месяцев, определенное с помощью CDR-SB, для доз BAN2401 2,5 мг/кг один раз в две недели, 5 мг/кг один раз в месяц, 5 мг/кг один раз в две недели, 10 мг/кг один раз в месяц и 10 мг/кг один раз в две недели у ApoE4-положительных субъектов.

[34] На фиг. 24 показано замедление ухудшения когнитивных функций по сравнению с плацебо в течение 18 месяцев, определенное с помощью CDR-SB, для доз BAN2401 10 мг/кг один раз в месяц и 10 мг/кг один раз в две недели у ApoE4-положительных субъектов.

[35] На фиг. 25 показано замедление ухудшения когнитивных функций по сравнению с плацебо в течение 18 месяцев, определенное с помощью CDR-SB, для дозы BAN2401 10 мг/кг один раз в месяц и дозы BAN2401 10 мг/кг один раз в две недели у ApoE4-положительных субъектов с легким когнитивным нарушением, с промежуточной вероятностью обусловленным болезнью Альцгеймера.

[36] На фиг. 26 показано замедление ухудшения когнитивных функций по сравнению с плацебо в течение 18 месяцев, определенное с помощью CDR-SB, для дозы BAN2401 10 мг/кг один раз в месяц и дозы BAN2401 10 мг/кг один раз в две недели у ApoE4-положительных субъектов с легкой деменцией при болезни Альцгеймера.

[37] На фиг. 27 показано снижение уровня амилоида в головном мозге, определенное с помощью визуальных считываний PET-изображений амилоида, в виде общего среднего показателя для коры головного мозга по сравнению с эталонным показателем для всего мозжечка в течение 18 месяцев для доз BAN2401 2,5 мг/кг один раз в две недели, 5 мг/кг один раз в месяц, 5 мг/кг один раз в две недели, 10 мг/кг один раз в месяц и 10 мг/кг один раз в две недели у ApoE4-положительных субъектов.

[38] На фиг. 28 показано снижение уровня амилоида в головном мозге, определенное с помощью визуализации с использованием радиоактивных индикаторов, связывающих амилоид Аβ головного мозга, и визуализированное с помощью PET, в течение 18 месяцев для доз BAN2401 2,5 мг/кг один раз в две недели, 5 мг/кг один раз в месяц, 5 мг/кг один раз в две недели, 10 мг/кг один раз в месяц и 10 мг/кг один раз в две недели у ApoE4-положительных субъектов.

[39] На фиг. 29 показано превращение амилоид-положительных ApoE4-положительных субъектов в амилоид-отрицательных ApoE4-положительных субъектов после 12 и 18 месяцев лечения.

[40] На фиг. 30 показано изменение уровня Aβ1-42 в спинномозговой жидкости в течение 18 месяцев для доз BAN2401 2,5 мг/кг один раз в две недели, 5 мг/кг один раз в месяц, 5 мг/кг один раз в две недели, 10 мг/кг один раз в месяц и 10 мг/кг один раз в две недели у ApoE4-положительных субъектов.

[41] На фиг. 31 показано изменение уровня общего тау-белка в спинномозговой жидкости в течение 18 месяцев для дозы BAN2401 10 мг/кг один раз в месяц и дозы BAN2401 10 мг/кг один раз в две недели у ApoE4-положительных субъектов.

[42] На фиг. 32 показано замедление ухудшения когнитивных функций по сравнению с плацебо в течение 18 месяцев, определенное с помощью ADCOMS, для доз BAN2401 2,5 мг/кг один раз в две недели, 5 мг/кг один раз в месяц, 5 мг/кг один раз в две недели, 10 мг/кг один раз в месяц и 10 мг/кг один раз в две недели у ApoE4-отрицательных субъектов.

[43] На фиг. 33 показано замедление ухудшения когнитивных функций по сравнению с плацебо в течение 18 месяцев, определенное с помощью ADCOMS, для дозы BAN2401 10 мг/кг один раз в месяц и дозы BAN2401 10 мг/кг один раз в две недели у ApoE4-отрицательных субъектов с легким когнитивным нарушением, с промежуточной вероятностью обусловленным болезнью Альцгеймера.

[44] На фиг. 34 показано замедление ухудшения когнитивных функций по сравнению с плацебо в течение 18 месяцев, определенное с помощью ADCOMS, для дозы BAN2401 10 мг/кг один раз в месяц и дозы BAN2401 10 мг/кг один раз в две недели у ApoE4-отрицательных субъектов с легкой деменцией при болезни Альцгеймера.

[45] На фиг. 35 показано замедление ухудшения когнитивных функций по сравнению с плацебо в течение 18 месяцев, определенное с помощью ADAS-Cog, для доз BAN2401 2,5 мг/кг один раз в две недели, 5 мг/кг один раз в месяц, 5 мг/кг один раз в две недели, 10 мг/кг один раз в месяц и 10 мг/кг один раз в две недели у ApoE4-отрицательных субъектов.

[46] На фиг. 36 показано замедление ухудшения когнитивных функций по сравнению с плацебо в течение 18 месяцев, определенное с помощью ADAS-Cog, для доз BAN2401 10 мг/кг один раз в месяц и 10 мг/кг один раз в две недели у ApoE4-отрицательных субъектов.

[47] На фиг. 37 показано замедление ухудшения когнитивных функций по сравнению с плацебо в течение 18 месяцев, определенное с помощью ADAS-Cog, для дозы BAN2401 10 мг/кг один раз в месяц и дозы BAN2401 10 мг/кг один раз в две недели у ApoE4-отрицательных субъектов с легким когнитивным нарушением, с промежуточной вероятностью обусловленным болезнью Альцгеймера.

[48] На фиг. 38 показано замедление ухудшения когнитивных функций по сравнению с плацебо в течение 18 месяцев, определенное с помощью ADAS-Cog, для дозы BAN2401 10 мг/кг один раз в месяц и дозы BAN2401 10 мг/кг один раз в две недели у ApoE4-отрицательных субъектов с легкой деменцией при болезни Альцгеймера.

[49] На фиг. 39 показано замедление ухудшения когнитивных функций по сравнению с плацебо в течение 18 месяцев, определенное с помощью CDR-SB, для доз BAN2401 2,5 мг/кг один раз в две недели, 5 мг/кг один раз в месяц, 5 мг/кг один раз в две недели, 10 мг/кг один раз в месяц и 10 мг/кг один раз в две недели у ApoE4-отрицательных субъектов.

[50] На фиг. 40 показано замедление ухудшения когнитивных функций по сравнению с плацебо в течение 18 месяцев, определенное с помощью CDR-SB, для доз BAN2401 10 мг/кг один раз в месяц и 10 мг/кг один раз в две недели у ApoE4-отрицательных субъектов.

[51] На фиг. 41 показано замедление ухудшения когнитивных функций по сравнению с плацебо в течение 18 месяцев, определенное с помощью CDR-SB, для дозы BAN2401 10 мг/кг один раз в месяц и дозы BAN2401 10 мг/кг один раз в две недели у ApoE4-отрицательных субъектов с легким когнитивным нарушением, с промежуточной вероятностью обусловленным болезнью Альцгеймера.

[52] На фиг. 42 показано замедление ухудшения когнитивных функций по сравнению с плацебо в течение 18 месяцев, определенное с помощью CDR-SB, для дозы BAN2401 10 мг/кг один раз в месяц и дозы 10 мг/кг один раз в две недели у ApoE4-отрицательных субъектов с легкой деменцией при болезни Альцгеймера.

[53] На фиг. 43 показано снижение уровня амилоида в головном мозге, определенное с помощью визуальных считываний PET-изображений амилоида, в виде общего среднего показателя для коры головного мозга по сравнению с эталонным показателем для всего мозжечка в течение 18 месяцев для доз BAN2401 2,5 мг/кг один раз в две недели, 5 мг/кг один раз в месяц, 5 мг/кг один раз в две недели, 10 мг/кг один раз в месяц и 10 мг/кг один раз в две недели у ApoE4-отрицательных субъектов.

[54] На фиг. 44 показано снижение уровня амилоида в головном мозге, определенное с помощью визуализации с использованием радиоактивных индикаторов, связывающих амилоид Аβ головного мозга, и визуализированное с помощью PET, в течение 18 месяцев для доз BAN2401 2,5 мг/кг один раз в две недели, 5 мг/кг один раз в месяц, 5 мг/кг один раз в две недели, 10 мг/кг один раз в месяц и 10 мг/кг один раз в две недели у ApoE4-отрицательных субъектов.

[55] На фиг. 45 показано превращение амилоид-положительных ApoE4-отрицательных субъектов в амилоид-отрицательных ApoE4-отрицательных субъектов после 12 и 18 месяцев лечения.

[56] На фиг. 46 показано изменение уровня Aβ1-42 в спинномозговой жидкости в течение 18 месяцев для доз BAN2401 2,5 мг/кг один раз в две недели, 5 мг/кг один раз в месяц, 5 мг/кг один раз в две недели, 10 мг/кг один раз в месяц и 10 мг/кг один раз в две недели у ApoE4-отрицательных субъектов.

[57] На фиг. 47 показано изменение уровня общего тау-белка в спинномозговой жидкости в течение 18 месяцев для дозы 10 мг/кг один раз в месяц и дозы 10 мг/кг один раз в две недели у ApoE4-отрицательных субъектов.

[58] На фиг. 48 показано замедление ухудшения когнитивных функций по сравнению с плацебо через 18 месяцев, определенное с помощью ADCOMS, ADAS-Cog или CDR-SB, для дозы BAN2401 10 мг/кг один раз в две недели у ApoE4-положительных и ApoE4-отрицательных субъектов и для всех субъектов независимо от генотипа.

[59] На фиг. 49 показано замедление ухудшения когнитивных функций по сравнению с плацебо через 18 месяцев, определенное с помощью ADCOMS, ADAS-Cog или CDR-SB, для дозы BAN2401 10 мг/кг один раз в две недели у субъектов с легким когнитивным нарушением, с умеренной вероятностью обусловленным деменцией при болезни Альцгеймера, или с легкой деменцией при болезни Альцгеймера и для всех субъектов независимо от типа или состояния заболевания.

[60] На фиг. 50 показано замедление ухудшения когнитивных функций по сравнению с плацебо через 18 месяцев, определенное с помощью ADCOMS, ADAS-Cog или CDR-SB, для дозы BAN2401 10 мг/кг один раз в две недели у субъектов, которым параллельно вводят по меньшей мере один лекарственный препарат для лечения болезни Альцгеймера, отличный от BAN2401, и у субъектов, которым не вводят параллельно по меньшей мере один лекарственный препарат для лечения болезни Альцгеймера, отличный от BAN2401, и для всех субъектов независимо от того, вводят ли субъекту параллельно по меньшей мере один лекарственный препарат для лечения болезни Альцгеймера, отличный от BAN2401.

[61] На фиг. 51 показан клиренс амилоида головного мозга по сравнению с плацебо через 18 месяцев, определенный с помощью PET, для дозы BAN2401 10 мг/кг один раз в две недели в следующих субпопуляциях: ApoE4-положительные субъекты; ApoE4-отрицательные субъекты; субъекты с легким когнитивным нарушением, с умеренной вероятностью обусловленным деменцией при болезни Альцгеймера; субъекты с легкой деменцией при болезни Альцгеймера; субъекты, которым параллельно вводят по меньшей мере один лекарственный препарат для лечения болезни Альцгеймера, отличный от BAN2401; и субъекты, которым не вводят параллельно по меньшей мере один лекарственный препарат для лечения болезни Альцгеймера, отличный от BAN2401.

[62] На фиг. 52 показано замедление ухудшения когнитивных функций по сравнению с плацебо через 18 месяцев, определенное с помощью ADCOMS, для дозы BAN2401 10 мг/кг один раз в две недели в следующих субпопуляциях: ApoE4-положительные субъекты; ApoE4-отрицательные субъекты; субъекты с легким когнитивным нарушением, с умеренной вероятностью обусловленным деменцией при болезни Альцгеймера; субъекты с легкой деменцией при болезни Альцгеймера; субъекты, которым параллельно вводят по меньшей мере один лекарственный препарат для лечения болезни Альцгеймера, отличный от BAN2401; и субъекты, которым не вводят параллельно по меньшей мере один лекарственный препарат для лечения болезни Альцгеймера, отличный от BAN2401.

[63] На фиг. 53 показано изменение уровня нейрогранина в спинномозговой жидкости через 18 месяцев по сравнению с плацебо в виде среднего показателя для субъектов, получавших дозу BAN2401 10 мг/кг один раз в две недели или дозу BAN2401 10 мг/кг один раз в месяц.

[64] На фиг. 54 показано изменение уровня фосфо-тау-белка в спинномозговой жидкости через 18 месяцев по сравнению с плацебо в виде среднего показателя для субъектов, получавших дозу BAN2401 10 мг/кг один раз в две недели или дозу BAN2401 10 мг/кг один раз в месяц.

[65] На фиг. 55 показано изменение уровня легких цепей нейрофиламентов в спинномозговой жидкости через 18 месяцев по сравнению с плацебо в виде среднего показателя для субъектов, получавших дозу BAN2401 10 мг/кг один раз в две недели или дозу BAN2401 10 мг/кг один раз в месяц.

[66] На фиг. 56 показано замедление ухудшения когнитивных функций по сравнению с плацебо через 18 месяцев, определенное с помощью ADCOMS и PET, для дозы BAN2401 10 мг/кг один раз в две недели или дозы BAN2401 10 мг/кг один раз в месяц.

[67] На фиг. 57 показана корреляция между снижением уровня амилоида в головном мозге и увеличением клинического улучшения, определенным с помощью ADCOMS, ADAS-Cog и CDR-SB.

[68] На фиг. 58 показано, что у ApoE4-положительных и ApoE4-отрицательных субъектов, которым не вводили BAN2401, наблюдались сходные скорости прогрессирования заболевания.

[69] На фиг. 59 показано влияние различных факторов на прогрессирование заболевания, определенное с помощью ADCOMS.

[70] На фиг. 60 показано изменение концентрации BAN2401 в зависимости от времени после введения дозы BAN2401 10 мг/кг один раз в месяц и BAN2401 10 мг/кг один раз в две недели.

[71] На фиг. 61 изображено, что BAN2401 преимущественно связывается с более крупными протофибриллами Aβ по сравнению с мономерами, димерами и олигомерами пептидов Aβ.

[72] На фиг. 62 показана доля субъектов, которые испытывали явление ARIA-E, в зависимости от максимальной концентрации BAN2401 в плазме крови.

[73] На фиг. 63 показано, что при введении BAN2401 значительно снижаются значения количества амилоида согласно PET при всех дозах.

[74] На фиг. 64 показан схематичный план исследования раннего вмешательства при болезни Альцгеймера и ее предупреждения.

[75] На фиг. 65 показано скорректированное среднее изменение (среднее значение, рассчитанное по методу наименьших квадратов, "LSM") уровня фосфо-тау-белка в спинномозговой жидкости относительно исходного уровня в течение 18 месяцев по сравнению с плацебо для доз BAN2401 2,5 мг/кг один раз в две недели, 5 мг/кг один раз в месяц, 5 мг/кг один раз в две недели, 10 мг/кг один раз в месяц и 10 мг/кг один раз в две недели.

[76] На фиг. 66 показано скорректированное среднее изменение (LSM) уровня нейрогранина в спинномозговой жидкости относительно исходного уровня в течение 18 месяцев по сравнению с плацебо для доз BAN2401 2,5 мг/кг один раз в две недели, 5 мг/кг один раз в месяц, 5 мг/кг один раз в две недели, 10 мг/кг один раз в месяц и 10 мг/кг один раз в две недели.

[77] На фиг. 67 показано скорректированное среднее изменение (LSM) уровня легких цепей нейрофиламентов в спинномозговой жидкости относительно исходного уровня в течение 18 месяцев по сравнению с плацебо для доз BAN2401 2,5 мг/кг один раз в две недели, 5 мг/кг один раз в месяц, 5 мг/кг один раз в две недели, 10 мг/кг один раз в месяц и 10 мг/кг один раз в две недели.

[78] На фиг. 68 показано скорректированное среднее изменение (LSM) уровня фосфо-тау-белка в спинномозговой жидкости относительно исходного уровня в течение 18 месяцев по сравнению с плацебо для доз BAN2401 10 мг/кг в совокупности (10 мг/кг один раз в месяц и 10 мг/кг один раз в две недели).

[79] На фиг. 69 показано скорректированное среднее изменение (LSM) уровня фосфо-тау-белка в спинномозговой жидкости относительно исходного уровня в течение 18 месяцев по сравнению с плацебо для доз BAN2401 10 мг/кг в совокупности (10 мг/кг один раз в месяц и 10 мг/кг один раз в две недели) у ApoE4-положительных субъектов.

[80] На фиг. 70 показано скорректированное среднее изменение (LSM) уровня фосфо-тау-белка в спинномозговой жидкости относительно исходного уровня в течение 18 месяцев по сравнению с плацебо для доз BAN2401 10 мг/кг в совокупности (10 мг/кг один раз в месяц и 10 мг/кг один раз в две недели) у ApoE4-отрицательных субъектов.

[81] На фиг. 71 показано скорректированное среднее изменение (LSM) уровня нейрогранина в спинномозговой жидкости относительно исходного уровня в течение 18 месяцев по сравнению с плацебо для доз BAN2401 10 мг/кг в совокупности (10 мг/кг один раз в месяц и 10 мг/кг один раз в две недели).

[82] На фиг. 72 показано скорректированное среднее изменение (LSM) уровня нейрогранина в спинномозговой жидкости относительно исходного уровня в течение 18 месяцев по сравнению с плацебо для доз BAN2401 10 мг/кг в совокупности (10 мг/кг один раз в месяц и 10 мг/кг один раз в две недели) у ApoE4-положительных субъектов.

[83] На фиг. 73 показано скорректированное среднее изменение (LSM) уровня нейрогранина в спинномозговой жидкости относительно исходного уровня в течение 18 месяцев по сравнению с плацебо для доз BAN2401 10 мг/кг в совокупности (10 мг/кг один раз в месяц и 10 мг/кг один раз в две недели) у ApoE4-отрицательных субъектов.

[84] На фиг. 74 показано скорректированное среднее изменение (LSM) уровня легких цепей нейрофиламентов в спинномозговой жидкости относительно исходного уровня в течение 18 месяцев по сравнению с плацебо для доз BAN2401 10 мг/кг в совокупности (10 мг/кг один раз в месяц и 10 мг/кг один раз в две недели).

[85] На фиг. 75 показано скорректированное среднее изменение (LSM) уровня легких цепей нейрофиламентов в спинномозговой жидкости относительно исходного уровня в течение 18 месяцев по сравнению с плацебо для доз BAN2401 10 мг/кг в совокупности (10 мг/кг один раз в месяц и 10 мг/кг один раз в две недели) у ApoE4-положительных субъектов.

[86] На фиг. 76 показано скорректированное среднее изменение (LSM) уровня легких цепей нейрофиламентов в спинномозговой жидкости относительно исходного уровня в течение 18 месяцев по сравнению с плацебо для доз BAN2401 10 мг/кг в совокупности (10 мг/кг один раз в месяц и 10 мг/кг один раз в две недели) у ApoE4-отрицательных субъектов.

[87] На фиг. 77 показана корреляция между изменением показателя стандартизированного значения накопления согласно PET (нормализованного относительно маски всего мозжечка) относительно исходного уровня и когнитивным исходом, определенным с помощью ADCOMS, через 12 и 18 месяцев для плацебо и доз BAN2401 2,5 мг/кг один раз в две недели, 5 мг/кг один раз в месяц, 5 мг/кг один раз в две недели, 10 мг/кг один раз в месяц и 10 мг/кг один раз в две недели.

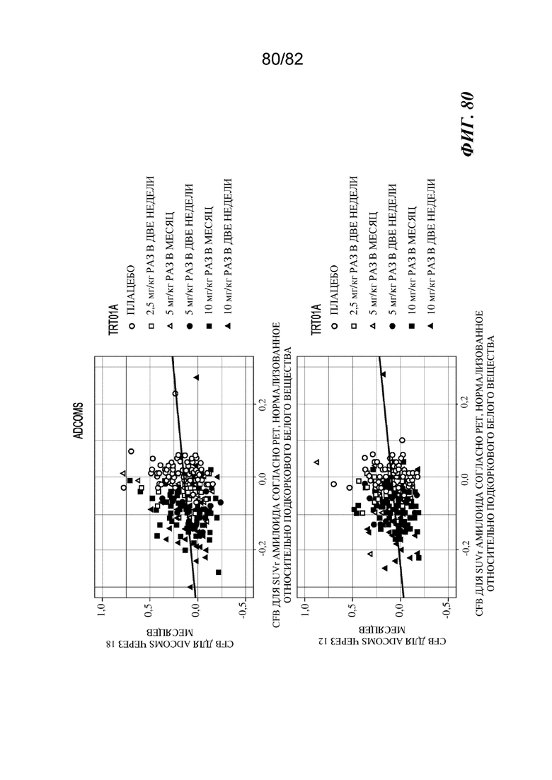
[88] На фиг. 78 показана корреляция между изменением показателя стандартизированного значения накопления согласно PET (нормализованного относительно маски всего мозжечка) относительно исходного уровня и когнитивным исходом, определенным с помощью CDR-SB, через 12 и 18 месяцев для плацебо и доз BAN2401 2,5 мг/кг один раз в две недели, 5 мг/кг один раз в месяц, 5 мг/кг один раз в две недели, 10 мг/кг один раз в месяц и 10 мг/кг один раз в две недели.

[89] На фиг. 79 показана корреляция между изменением показателя стандартизированного значения накопления согласно PET (нормализованного относительно маски всего мозжечка) относительно исходного уровня и когнитивным исходом, определенным с помощью ADAS-Cog, через 12 и 18 месяцев для плацебо и доз BAN2401 2,5 мг/кг один раз в две недели, 5 мг/кг один раз в месяц, 5 мг/кг один раз в две недели, 10 мг/кг один раз в месяц и 10 мг/кг один раз в две недели.

[90] На фиг. 80 показана корреляция между изменением показателя стандартизированного значения накопления согласно PET (нормализованного относительно подкоркового белого вещества) относительно исходного уровня и когнитивным исходом, определенным с помощью ADCOMS, через 12 и 18 месяцев для плацебо и доз BAN2401 2,5 мг/кг один раз в две недели, 5 мг/кг один раз в месяц, 5 мг/кг один раз в две недели, 10 мг/кг один раз в месяц и 10 мг/кг один раз в две недели.

[91] На фиг. 81 показана корреляция между изменением показателя стандартизированного значения накопления согласно PET (нормализованного относительно подкоркового белого вещества) относительно исходного уровня и когнитивным исходом, определенным с помощью CDR-SB, через 12 и 18 месяцев для плацебо и доз BAN2401 2,5 мг/кг один раз в две недели, 5 мг/кг один раз в месяц, 5 мг/кг один раз в две недели, 10 мг/кг один раз в месяц и 10 мг/кг один раз в две недели.

[92] На фиг. 82 показана корреляция между изменением показателя стандартизированного значения накопления согласно PET (нормализованного относительно подкоркового белого вещества) относительно исходного уровня и когнитивным исходом, определенным с помощью ADAS-Cog, через 12 и 18 месяцев для плацебо и доз BAN2401 2,5 мг/кг один раз в две недели, 5 мг/кг один раз в месяц, 5 мг/кг один раз в две недели, 10 мг/кг один раз в месяц и 10 мг/кг один раз в две недели.

"Амилоидная гипотеза"

[93] "Амилоидная гипотеза" предполагает, что β-амилоидные пептиды (Aβ) играют центральную роль в патогенезе AD. В частности, выдвинута гипотеза о том, что нейродегенерация при AD может быть вызвана отложением бляшек Aβ в ткани головного мозга вследствие дисбаланса между выработкой Aβ и клиренсом Aβ, что приводит к образованию нейрофибриллярных клубков, содержащих тау-белок. Пептиды Aβ, как правило, существуют в динамическом континууме конформационных состояний, так что соединения имеют тенденцию трансформироваться из мономерных Aβ в растворимые скопления Aβ, которые включают в себя спектр от низкомолекулярных олигомеров до протофибрилл с более высокой молекулярной массой и, наконец, до нерастворимых фибрилл (бляшек). Был разработан ряд средств иммунотерапии с целью снижения количества нерастворимых фибрилл Aβ, откладывающихся в головном мозге. Однако простая корреляция между количеством и прогрессирующим накоплением нерастворимых амилоидных бляшек и клиническим течением AD не была установлена. В то время как терапевтические стратегии по-прежнему сосредоточены на удалении нерастворимых амилоидных бляшек, дополнительный подход к терапии может включать снижение количества токсичных агрегатов Aβ, таких как протофибриллы, которые могут способствовать дегенерации нейронов, характерной для AD. (См., например, Dodort, J.-C. and May, P., "Overview on rodent models of Alzheimer's disease." Curr. Protocols Neurosci. 2005; 9.22-1-9.22-6; Englund, H. et al., "Sensitive ELISA detection of amyloid-β protofibrils in biological samples." J. Neurochem. 2007; 103:334-45; и Gotz, J. et al., "Transgenic animal models of Alzheimer's disease and related disorders: histopathology, behavior and therapy." Mol. Psychiat. 2004; 9:664-83)

[94] Была выдвинута гипотеза, что BAN2401 и другие антитела к протофибриллам Аβ можно применять для замедления прогрессирования AD у субъектов на ранних стадиях заболевания, когда амилоид уже отложился в головном мозге, но при этом последующий нейродегенеративный каскад, который согласно предположениям запускается отложением амилоида, по-прежнему находился на относительно ранней стадии своего течения (т.е. произошла ограниченная потеря ткани головного мозга, и ассоциированные с ней клинические дефициты являются минимальными). Как раскрыто в данном документе, при использовании BAN2401 в качестве иллюстративного антитела к протофибриллам Аβ авторы настоящего изобретения обнаружили новый способ снижения уровней амилоида в головном мозге у амилоид-положительных субъектов с AD на ранней стадии. Кроме того, в данном документе раскрыт новый способ превращения амилоид-положительных субъектов с AD на ранней стадии в амилоид-отрицательных, включающий введение композиции, содержащей терапевтически эффективное количество по меньшей мере одного антитела к протофибриллам Aβ. В данном документе также раскрыт способ уменьшения клинического ухудшения у амилоид-положительных субъектов с AD на ранней стадии, включающий введение композиции, содержащей терапевтически эффективное количество по меньшей мере одного антитела к протофибриллам Аβ. Как будет обсуждаться, были достигнуты непредсказуемо благоприятные результаты, когда субъекты являлись ApoE4-положительными.

[95] Неожиданно и непредсказуемо авторы настоящего изобретения также обнаружили способ предупреждения и/или задержки начала проявления AD у субъектов с AD на ранней стадии, включающий введение композиции, содержащей терапевтически эффективное количество по меньшей мере одного антитела к протофибриллам Аβ. В некоторых вариантах осуществления субъект является ApoE4-положительным. В некоторых вариантах осуществления по меньшей мере одно антитело к протофибриллам Aβ представляет собой BAN2401.

Определения

[96] Ниже приведены определения терминов, используемых в настоящей заявке.

[97] Используемые в данном документе формы существительного единственного числа включают ссылку на формы множественного числа, если контекст явно не указывает на иное.

[98] Фраза "и/или", используемая в данном документе, означает "любой или оба" из элементов, соединенных таким образом, т.е. означает элементы, которые в некоторых случаях присутствуют совместно, а в других случаях присутствуют раздельно. Таким образом, в качестве неограничивающего примера "А и/или В" при использовании в сочетании с открытой формулировкой, такой как "содержащий", может относиться в некоторых вариантах осуществления только к А (необязательно включая элементы, отличные от В); в других вариантах осуществления только к B (необязательно включая элементы, отличные от A); еще в некоторых других вариантах осуществления как к A, так и к B (необязательно включая другие элементы); и т.д.

[99] Используемый в данном документе термин "по меньшей мере один" означает один или несколько элементов из перечня элементов, но не обязательно включая по меньшей мере один из всех без исключения элементов, конкретно перечисленных в перечне элементов, и не исключая любые комбинации элементов из перечня элементов. Это определение также допускает, что могут необязательно присутствовать элементы, отличные от элементов, конкретно идентифицированных в перечне элементов, к которым относится фраза "по меньшей мере один", независимо от того, связаны они или не связаны с данными конкретно идентифицированными элементами. Таким образом, в качестве неограничивающего примера "по меньшей мере один из A и B" (или, что эквивалентно, "по меньшей мере один из A или B", или, что эквивалентно, "по меньшей мере один из A и/или B") может относиться в одном варианте осуществления по меньшей мере к одному, необязательно включая более одного, A без присутствия B (и необязательно включая элементы, отличные от B); в другом варианте осуществления по меньшей мере к одному, необязательно включая более одного, B без присутствия A (и необязательно включая элементы, отличные от A); в еще одном варианте осуществления по меньшей мере к одному, необязательно включая более одного, A и по меньшей мере к одному, необязательно включая более одного, B (и необязательно включая другие элементы); и т.д.

[100] При упоминании числа отдельно либо в качестве части числового диапазона следует понимать, что числовое значение может отличаться в большую и меньшую стороны от указанного значения с отклонением в 10% от указанного значения.

[101] Если в данном документе указан диапазон значений, предполагается, что он охватывает каждое значение и поддиапазон в этом диапазоне. Например, предполагается, что "от 2,5 мг/кг до 10 мг/кг" охватывает, например, 2,5 мг/кг, 3 мг/кг, 3,5 мг/кг, 4 мг/кг, 4,5 мг/кг, 5 мг/кг, 5,5 мг/кг, 6 мг/кг, 6,5 мг/кг, 7 мг/кг, 7,5 мг/кг, 8 мг/кг, 8,5 мг/кг, 9 мг/кг, 9,5 мг/кг, 10 мг/кг, от 2,5 мг/кг до 3 мг/кг, от 2,5 мг/кг до 4,5 мг/кг, от 3 мг/кг до 4,5 мг/кг, от 4,5 мг/кг до 8 мг/кг, от 2,5 мг/кг до 9 мг/кг и т.п.

[102] "AD на ранней стадии" или "болезнь Альцгеймера на ранней стадии", как используется в данном документе, представляет собой континуум тяжести AD от легкого когнитивного нарушения, с промежуточной вероятностью обусловленного AD, до легкой деменции при болезни Альцгеймера. Субъекты с AD на ранней стадии включают субъектов с легкой деменцией при болезни Альцгеймера, определенных в данном документе, и субъектов с MCI, с промежуточной вероятностью обусловленным AD, определенных в данном документе. В некоторых вариантах осуществления субъекты с AD на ранней стадии имеют балл по шкале MMSE от 22 до 30 и общий балл по шкале CDR в диапазоне от 0,5 до 1,0.

[103] Субъекты с "легкой деменцией при болезни Альцгеймера", как используется в данном документе, являются субъектами, соответствующими ключевым клиническим критериям NIA-AA для вероятной деменции при болезни Альцгеймера согласно McKhann, G.M. et al., "The diagnosis of dementia due to Alzheimer's disease: Recommendations from the National Institute on Aging - Alzheimer's Association workgroups on diagnostic guidelines for Alzheimer's disease." Alzheimer Dement. 2011; 7:263-9. Также сюда включены субъекты, которые имеют балл по шкале CDR от 0,5 до 1,0 и балл ячейки памяти 0,5 или выше при скрининге и на исходном уровне.

[104] Субъекты с "MCI, с промежуточной вероятностью обусловленным AD", как используется в данном документе, являются субъектами, идентифицированными в качестве таковых в соответствии с ключевыми клиническими критериями NIA-AA для легкого когнитивного нарушения, с промежуточной вероятностью обусловленного болезнью Альцгеймера (см. McKhann, выше). Например, это относится к субъектам с симптоматической болезнью Альцгеймера, но не страдающим деменцией, у которых имеются свидетельства амилоидной патологии головного мозга, что делает их менее неоднородными и более сходными с субъектами с легкой деменцией при болезни Альцгеймера в том, что касается когнитивного и функционального ухудшения, измеряемого с помощью суммарного клинического балла по шкале ADCOMS, определенного в данном документе. Также включены субъекты, которые имеют балл по шкале CDR 0,5 и балл ячейки памяти 0,5 или выше при скрининге и на исходном уровне. Кроме того, сюда также включены субъекты, которые сообщают о субъективном ухудшении памяти с постепенным началом проявления и медленным прогрессированием в анамнезе в течение последнего 1 года перед скринингом, что подтверждается информантом.

[105] Используемый в данном документе термин "MMSE" относится к краткой шкале оценки психического статуса - когнитивному инструменту, обычно используемому в целях скрининга, но также часто используемому для продольных измерений в клинических испытаниях при AD, который имеет 30-балльную шкалу, где более высокие баллы указывают на менее тяжелое нарушение, а более низкие баллы указывают на более тяжелое нарушение. В контексте данного документа оценивались семь пунктов, позволяющие измерить ориентацию во времени и пространстве, восприятие, память, внимание, речь и рисование. (Folstein, M.F. et al., "Mini-mental state. A practical method for grading the cognitive state of patients for the clinician." J. Psychiatr. Res. 1975; 12:189-98)

[106] Используемый в данном документе термин "ADAS-Cog" относится к когнитивной подшкале шкалы оценки болезни Альцгеймера. ADAS-Cog представляет собой когнитивную шкалу, широко используемую в испытаниях при болезни Альцгеймера, которая имеет структурированную шкалу, позволяющую оценивать память (воспроизведение слов, отсроченное воспроизведение слов и распознавание слов), мышление (выполнение команд), речь (называние, понимание), ориентацию, идеаторный праксис (помещение письма в конверт) и конструктивный праксис (копирование геометрических рисунков). (Rosen, W.G. et al., "A new rating scale for Alzheimer's disease." Am. J. Psychiatry 1984; 141:1356-64.) Также оценивали устную речь, понимание речи, затруднения с подбором слов, способность запоминать инструкции теста, прохождение лабиринта и зачеркивание цифр. Модифицированная версия, используемая в данном документе, предполагает оценивание в баллах от 0 до 90 единиц, при этом балл 0 указывает на отсутствие нарушения, а балл 90 указывает на максимальное нарушение.

[107] Используемый в данном документе термин "CDR-SB" относится к шкале оценки клинической деменции по сумме ячеек. CDR представляет собой клиническую шкалу, описывающую 5 степеней нарушения работоспособности по каждой из 6 категорий функций, включая память, ориентацию, рассуждение и решение задач, социальную деятельность, домашние дела и хобби, а также уход за собой. (Berg, L. et al., "Mild senile dementia of the Alzheimer type: 2. Longitudinal assessment." Ann. Neurol. 1988; 23:477-84.) Оценки степени нарушения, полученные по каждой из 6 категорий функций, объединяются в 1 общую оценку по шкале деменции CDR (в диапазоне от 0 до 3). Балл суммы ячеек представляет собой дополнительную меру изменения, где каждая категория имеет максимально возможный балл 3 единицы, а итоговый балл представляет собой сумму баллов категорий, дающую итоговый возможный балл от 0 до 18, причем более высокие баллы указывают на более тяжелое нарушение. Общий балл может использоваться как клинический показатель тяжести деменции.

[108] Используемый в данном документе термин "ADCOMS" относится к суммарному баллу оценки болезни Альцгеймера - суммарному клиническому баллу, определенному на основании анализа четырех пунктов шкалы ADAS-Cog (отсроченное воспроизведение слов, ориентация, распознавание слов и затруднения с подбором слов), двух пунктов шкалы MMSE (ориентация во времени и рисование), а также всех шести пунктов шкалы CDR-SB (уход за собой, социальная деятельность, домашние дела и хобби, память, ориентация, а также рассуждение и решение задач), как обсуждается в примерах и в Wang, J. et al., "ADCOMS: a composite clinical outcome for prodromal Alzheimer's disease trials." J. Neurol. Neurosurg. Psychiatry. 2016; 87:993-999. Шкала ADCOMS была разработана так, чтобы она была особенно чувствительна к прогрессированию заболевания на ранних стадиях AD, то есть в продромальном периоде и при легкой AD.

[109] Используемые в данном документе термины "ApoE4-положительные субъекты" и "носители ApoE4" относятся к субъектам, несущим ε4-вариант гена аполипопротеина. ε4-вариант является одним из нескольких основных аллелей гена аполипопротеина. Данный ген главным образом отвечает за метаболизм жиров. Было обнаружено, что носители аполипопротеина ε4 демонстрируют значительно более высокие показатели удержания амилоида по сравнению с теми, кто не является его носителями. (Drzezga, A. et al., "Effect of APOE genotype on amyloid plaque load and gray matter volume in Alzheimer disease." Neurology. 2009; 72:1487-94.) В некоторых вариантах осуществления субъект является гетерозиготным носителем аллеля ε4 гена аполипопротеина E. В некоторых вариантах осуществления субъект является гомозиготным носителем аллеля ε4 гена аполипопротеина E.

[110] В контексте данного документа то, является ли субъект с AD на ранней стадии "амилоид-положительным" или "амилоид-отрицательным", определяется на основании того, имеет ли пациент положительную амилоидную нагрузку, на что указывает продольная PET-оценка захвата средства, визуализирующего амилоид, в головном мозге и/или оценка CSF в отношении наличия амилоидной патологии с использованием оценок маркеров, таких как Aβ1-42 (анализ растворимых биомаркеров CSF). В некоторых вариантах осуществления качественное визуальное считывание результатов PET-сканирования будет использоваться для определения амилоид-положительного и амилоид-отрицательного статуса путем классификации субъектов как имеющих "нормальное" или "аномальное" поглощение на основании картины PET-визуализации. Интерпретаторы будут обучены и сертифицированы для распознавания PET-изображений головного мозга с аномальными или нормальными картинами поглощения, или выявление амилоида выполняется с помощью полуколичественного или количественного подхода.

[111] Используемый в данном документе термин "лечить" относится к получению благоприятных или желаемых результатов, включая без ограничения терапевтически благоприятный эффект, под которым подразумевается устранение или облегчение первопричинного состояния, лечение которого осуществляется, или одного или нескольких физиологических симптомов, ассоциированных с ним.

[112] Используемый в данном документе термин "предупреждать" относится к получению благоприятных или желаемых результатов, включая без ограничения профилактически благоприятный эффект. Для достижения профилактически благоприятного эффекта композицию можно вводить субъекту с риском развития болезни Альцгеймера, субъекту, имеющему один или несколько доклинических симптомов, но не клинических симптомов болезни Альцгеймера, или субъекту, сообщающему об одном или нескольких физиологических симптомах болезни Альцгеймера, даже если клинический диагноз наличия болезни Альцгеймера не был поставлен. Используемый в данном документе термин "предупреждение" может дополнительно включать терапевтически благоприятный эффект, под которым подразумевается устранение или облегчение первопричинного состояния, лечение которого осуществляется, или одного или нескольких физиологических симптомов, ассоциированных с ним.

[113] Уровни биомаркеров до AD, которые могут позволять предположить развитие болезни Альцгеймера, включают без ограничения уровень амилоида в головном мозге, уровень Aβ1-42 в спинномозговой жидкости, уровень общего тау-белка в спинномозговой жидкости, уровень нейрогранина в спинномозговой жидкости и уровень легких цепей нейрофиламентов в спинномозговой жидкости. Например, было обнаружено, что субъекты, которые получали лечение с помощью ингибитора BACE эленбецестата (E2609), у которых показатели стандартизированного значения накопления амилоида согласно PET (значения SUVr) на исходном уровне составляли от 1,4 до 1,9, демонстрировали наибольшее замедление ухудшения когнитивных функций во время лечения. См. Lynch, S. Y. et al. "Elenbecestat, a BACE inhibitor: results from a Phase 2 study in subjects with mild cognitive impairment and mild-to-moderate dementia due to Alzheimer's disease." Poster P4-389, Alzheimer's Association International Conference, July 22-26, 2018, Chicago, IL, USA. Аналогичным образом, было обнаружено, что субъекты, у которых уровни SUVr амилоида согласно PET с использованием флорбетапира на исходном уровне были ниже 1,2, не демонстрируют ухудшения когнитивных функций, достаточного для выявления, тогда как наличие у субъектов уровней SUVr выше 1,6, по-видимому, коррелирует с эффектом плато, при котором уровень амилоида достигает уровня насыщения, и лечение не приводит к изменению когнитивных показателей. См. Dhadda, S. et al., "Baseline florbetapir amyloid PET standard update value ratio (SUVr) can predict clinical progression in prodromal Alzheimer's disease (pAD)." Poster P4-291, Alzheimer's Association International Conference, July 22-26, 2018, Chicago, IL, USA.

[114] Используемые в данном документе термины "серьезное нежелательное явление" или "SAE" означают явление, которое (1) приводит к смерти; (2) угрожает жизни; (3) требует госпитализации в стационар или продления существующей госпитализации; (4) приводит к стойкой или значительной инвалидности/нетрудоспособности и/или (5) представляет собой врожденную аномалию/врожденный порок развития, которые наблюдаются после введения композиции, описанной в данном документе.

[115] Тяжесть серьезного нежелательного явления можно оценить по единой шкале, используемой в данной области техники. Например, серьезность серьезного нежелательного явления у субъекта может быть оценена в соответствии с "Общими терминологическими критериями для нежелательных явлений" или "CTCAE" Национального института рака. Описание различных степеней нежелательных явлений в соответствии с CTCAE представлено ниже.

- 1 степень: легкое; бессимптомное или с легкими симптомами; только клинические или диагностические наблюдения; вмешательство не показано.

- 2 степень: умеренное; показано минимальное, местное или неинвазивное вмешательство; ограничение соответствующей возрасту инструментальной деятельности в повседневной жизни.

- 3 степень: тяжелое или значимое с медицинской точки зрения, но непосредственно не угрожающее жизни; показана госпитализация или продление госпитализации; потеря трудоспособности; ограничение деятельности по уходу за собой в повседневной жизни.

- 4 степень: последствия, угрожающие жизни; показано неотложное вмешательство.

- 5 степень: смерть, связанная с нежелательным явлением.

[116] Используемый в данном документе термин "эленбецестат" относится к соединению, представляющему собой N-[3-((4aS,5R,7aS)-2-амино-5-метил-4a,5,7,7a-тетрагидро-4H-фуро[3,4-d][1,3]тиазин-7a-ил)-4-фторфенил]-5-дифторметилпиразин-2-карбоксамид или его фармацевтически приемлемую соль. Эленбецестат представляет собой ингибитор фермента 1, расщепляющего бета-сайт белка-предшественника амилоида (ВАСЕ1) (см., например, патенты США №№ 8158620 и 8426584), и он также известен как E2609.

[117] По меньшей мере одно антитело к протофибриллам Aβ

[118] В контексте данного документа по меньшей мере одно антитело к протофибриллам Aβ выбрано из моноклональных антител (mAb), которые преимущественно связываются с крупными растворимыми олигомерами и/или агрегатами амилоида β (Aβ) (также называемыми протофибриллами) по сравнению, например, с мономерами Aβ. См., например, фиг. 61. Используемый в данном документе термин "преимущественно связывает(ся)" относится к антителу, которое связывается с олигомерами и/или протофибриллами Aβ с в по меньшей мере 10 раз, по меньшей мере 20 раз, по меньшей мере 30 раз, по меньшей мере 40 раз, по меньшей мере 50 раз, по меньшей мере 60 раз, по меньшей мере 70 раз, по меньшей мере 80 раз, по меньшей мере 90 раз, по меньшей мере 100 раз, по меньшей мере 125 раз, по меньшей мере 150 раз, по меньшей мере 175 раз, по меньшей мере 200 раз, по меньшей мере 225 раз, по меньшей мере 250 раз, по меньшей мере 275 раз, по меньшей мере 300 раз, по меньшей мере 325 раз, по меньшей мере 350 раз, по меньшей мере 375 раз, по меньшей мере 400 раз, по меньшей мере 425 раз, по меньшей мере 450 раз, по меньшей мере 475 раз, по меньшей мере 500 раз, по меньшей мере 550 раз, по меньшей мере 600 раз, по меньшей мере 650 раз, по меньшей мере 700 раз, по меньшей мере 750 раз, по меньшей мере 800 раз, по меньшей мере 850 раз, по меньшей мере 900 раз, по меньшей мере 950 раз, по меньшей мере 1000 раз или по меньшей мере 1050 раз большей активностью, чем его активность при связывании других форм пептидов Aβ (например, фибрилл и мономеров соответственно). Активность связывания различных форм Aβ можно определить с помощью способа, хорошо известного из уровня техники, например, анализа методом ELISA и поверхностного плазмонного резонанса (SPR).

[119] В некоторых вариантах осуществления избирательность по меньшей мере одного антитела к протофибриллам Aβ измеряют с помощью анализа методом ELISA. В некоторых вариантах осуществления преимущественное связывание по меньшей мере одного антитела к протофибриллам Aβ измеряют с помощью поверхностного плазмонного резонанса.

[120] В некоторых вариантах осуществления преимущественное связывание BAN2401 измеряют с помощью анализа методом ELISA. В некоторых вариантах осуществления избирательность BAN2401 измеряют с помощью поверхностного плазмонного резонанса.

[121] Например, было обнаружено, что BAN2401 связывается с протофибриллами Aβ с в 200-1000 раз большей активностью, чем с мономерами Aβ, и что BAN2401 связывается с протофибриллами Aβ с более чем в 40 раз большей активностью, чем с фибриллами Aβ. Об этом говорится в публикации международной заявки на патент № WO 2007/108756 A1, стр. 13 и фиг. 2; см. также Lord, A. et al., "An amyloid-β protofibril-selective antibody prevents amyloid formation in a mouse model of Alzheimer's disease." 2009; 26: 425-34; и Swanson, C. J. et al. "Pharmacology of BAN2401: A Monoclonal Antibody Selective for Aβ Protofibrils." Poster P4-286, Alzheimer's Association International Conference, July 13-18, 2013. Это различие в активности определяли с помощью анализа методом сэндвич-ELISA, в котором BAN2401 наносили на лунки планшета с лунками, и в лунки добавляли различные формы Aβ в возрастающих концентрациях. Там же. Измерение связанных форм Aβ проводили путем добавления биотинилированного mAb158 и стрептавидина, меченного HRP, и измерения проявления цвета в соответствии с процедурой производителя. Аналогичным образом, было обнаружено, что BAN2401 характеризуется слабой аффинностью к N-концевой части пептида Aβ и мономеров Aβ, и не наблюдалось связывание с С-концевым фрагментом Aβ. Там же. Аффинность определяли с помощью конкурентного анализа методом ELISA, где планшет для ELISA был покрыт протофибриллами Aβ человека, и BAN2401 затем инкубировали с возрастающими количествами различных форм Aβ. Там же. Смесь для инкубации добавляли в лунки титрационного микропланшета, и свободному антителу давали возможность связываться с иммобилизованными протофибриллами в лунке, и связанное антитело BAN2401 измеряли с помощью второго антитела. Там же.

[122] В некоторых вариантах осуществления по меньшей мере одно антитело к протофибриллам Aβ содержит три определяющие комплементарность области тяжелой цепи (HCDR1, HCDR2 и HCDR3), содержащие аминокислотные последовательности под SEQ ID NO: 5 (HCDR1), SEQ ID NO: 6 (HCDR2) и SEQ ID NO: 7 (HCDR3); и три определяющие комплементарность области легкой цепи (LCDR1, LCDR2 и LCDR3), содержащие аминокислотные последовательности под SEQ ID NO: 8 (LCDR1), SEQ ID NO: 9 (LCDR2) и SEQ ID NO: 10 (LCDR3).

[123] Отнесение аминокислот к каждому домену, как правило, соответствует определениям в SEQUENCES OF PROTEINS OF IMMUNOLOGICAL INTEREST (Kabat et al., 5th ed., U.S. Department of Health and Human Services, NIH Publication No. 91-3242, 1991, которая далее в данном документе упоминается как "сообщение Kabat").

[124] В некоторых вариантах осуществления по меньшей мере одно антитело к протофибриллам Aβ содержит константную область человека. В некоторых вариантах осуществления константная область человека из по меньшей мере одного антитела к протофибриллам Aβ содержит константную область тяжелой цепи, выбранную из IgG1, IgG2, IgG3, IgG4, IgM, IgA, IgE и любых их аллельных вариантов, раскрытых в сообщении Kabat. В настоящем изобретении можно использовать любую одну или несколько таких последовательностей. В некоторых вариантах осуществления константная область тяжелой цепи выбрана из IgG1 и его аллельных вариантов. Аминокислотная последовательность константной области IgG1 человека известна из уровня техники и представлена под SEQ ID NO: 3.

[125] В некоторых вариантах осуществления константная область человека из по меньшей мере одного антитела к Aβ содержит константную область легкой цепи, выбранную из константных областей κ/λ-цепей и любых их аллельных вариантов, обсуждаемых в сообщении Kabat. В настоящем изобретении можно использовать любую одну или несколько таких последовательностей. В некоторых вариантах осуществления константная область легкой цепи выбрана из κ и ее аллельных вариантов. Аминокислотная последовательность константной области κ-цепи человека известна из уровня техники и представлена под SEQ ID NO: 4.

[126] В некоторых вариантах осуществления по меньшей мере одно антитело к протофибриллам Aβ содержит каркасные области вариабельных областей тяжелой и легкой цепей человека. В некоторых вариантах осуществления по меньшей мере одно антитело к протофибриллам Aβ содержит вариабельную область тяжелой цепи, содержащую аминокислотную последовательность под SEQ ID NO: 1, и вариабельную область легкой цепи, содержащую аминокислотную последовательность под SEQ ID NO: 2. В некоторых вариантах осуществления по меньшей мере одно антитело к протофибриллам Aβ содержит константную область тяжелой цепи IgG1 человека и константную область легкой каппа-цепи Ig человека. В некоторых вариантах осуществления по меньшей мере одно антитело к протофибриллам Aβ содержит константную область тяжелой цепи, содержащую аминокислотную последовательность под SEQ ID NO: 3, и константную область легкой цепи, содержащую аминокислотную последовательность под SEQ ID NO: 4.

[127] В некоторых вариантах осуществления по меньшей мере одно антитело к протофибриллам Aβ представляет собой BAN2401. BAN2401 представляет собой гуманизированный моноклональный IgG1-вариант mAb158, которое представляет собой мышиное моноклональное антитело, вырабатываемое для нацеливания на протофибриллы и раскрытое в WO 2007/108756 и Journal of Alzheimer's Disease 43: 575-588 (2015). BAN2401 представляет собой по меньшей мере одно антитело к протофибриллам Aβ, демонстрирующее низкую аффинность к мономерам Aβ и при этом связывающееся с высокой избирательностью с соединениями, представляющими собой растворимые агрегаты Aβ. Например, сообщалось, что BAN2401 демонстрирует в примерно 1000 раз большую и в от 5 раз до 10 раз большую избирательность в отношении растворимых протофибрилл Aβ, чем в отношении мономеров Aβ или нерастворимых фибрилл Aβ соответственно.

[128] BAN2401 содержит (а) вариабельный домен тяжелой цепи, содержащий аминокислотную последовательность под SEQ ID NO: 1, и (b) вариабельный домен легкой цепи, содержащий аминокислотную последовательность под SEQ ID NO: 2. Полноразмерная последовательность BAN2401 представлена под SEQ ID NO: 11 и SEQ ID NO: 12 и описана в WO 2007/108756 и в Journal of Alzheimer's Disease 43:575-588 (2015).

[129] Другие неограничивающие примеры подходящих антител для применения в качестве по меньшей мере одного антитела к протофибриллам Aβ в настоящем изобретении включают антитела, раскрытые в WO 2002/003911, WO 2005/123775, WO 2007/108756, WO 2011/001366, WO 2011/104696 и WO 2016/005466.

Терапевтически эффективное количество по меньшей мере одного антитела к протофибриллам Aβ

[130] Способы по настоящему изобретению включают введение субъекту композиции, содержащей терапевтически эффективное количество по меньшей мере одного антитела к протофибриллам Aβ. Используемый в данном документе термин "терапевтически эффективное количество" относится к количеству соединения или фармацевтической композиции, достаточному для достижения желаемого терапевтического эффекта.

[131] Средний специалист в данной области поймет, что терапевтически эффективное количество по меньшей мере одного антитела к протофибриллам Aβ, вводимое субъекту, может зависеть от ряда факторов, включающих фармакодинамические характеристики, путь введения, частоту лечения, а также состояние здоровья, возраст и массу субъекта, подлежащего лечению, и с помощью информации, раскрытой в данном документе, сможет определить соответствующее количество для каждого субъекта.

[132] В некоторых вариантах осуществления терапевтически эффективное количество представляет собой дозу, выбранную для улучшения эффективности и/или поддержания эффективности и улучшения по меньшей мере одного из безопасности и переносимости. В некоторых вариантах осуществления терапевтически эффективное количество выбрано для снижения интенсивности по меньшей мере одного побочного эффекта и одновременного улучшения эффективности и/или поддержания эффективности.

[133] В некоторых вариантах осуществления субъекту вводят от 0,5 мг/кг до 45 мг/кг, от 0,5 мг/кг до 40 мг/кг, от 0,5 мг/кг до 35 мг/кг, от 0,5 мг/кг до 30 мг/кг, от 0,5 мг/кг до 25 мг/кг, от 0,5 мг/кг до 20 мг/кг, от 0,5 мг/кг до 15 мг/кг, от 0,5 мг/кг до 10 мг/кг, от 0,5 мг/кг до 5 мг/кг или от 0,5 мг/кг до 2,5 мг/кг по меньшей мере одного антитела к протофибриллам Aβ по отношению к массе тела субъекта.

[134] В некоторых вариантах осуществления субъекту вводят от 2,5 мг/кг до 45 мг/кг, от 2,5 мг/кг до 40 мг/кг, от 2,5 мг/кг до 35 мг/кг, от 2,5 мг/кг до 30 мг/кг, от 2,5 мг/кг до 25 мг/кг, от 2,5 мг/кг до 20 мг/кг, от 2,5 мг/кг до 15 мг/кг, от 2,5 мг/кг до 10 мг/кг или от 2,5 мг/кг до 5 мг/кг по меньшей мере одного антитела к протофибриллам Aβ по отношению к массе тела субъекта.

[135] В некоторых вариантах осуществления субъекту вводят от 5 мг/кг до 45 мг/кг, от 5 мг/кг до 40 мг/кг, от 5 мг/кг до 35 мг/кг, от 5 мг/кг до 30 мг/кг, от 5 мг/кг до 25 мг/кг, от 5 мг/кг до 20 мг/кг, от 5 мг/кг до 15 мг/кг или от 5 мг/кг до 10 мг/кг по меньшей мере одного антитела к протофибриллам Aβ по отношению к массе тела субъекта.

[136] В некоторых вариантах осуществления субъекту вводят от 7,5 мг/кг до 45 мг/кг, от 7,5 мг/кг до 40 мг/кг, от 7,5 мг/кг до 35 мг/кг, от 7,5 мг/кг до 30 мг/кг, от 7,5 мг/кг до 25 мг/кг, от 7,5 мг/кг до 20 мг/кг, от 7,5 мг/кг до 15 мг/кг или от 7,5 мг/кг до 10 мг/кг по меньшей мере одного антитела к протофибриллам Aβ по отношению к массе тела субъекта.

[137] В некоторых вариантах осуществления субъекту вводят от 0,5 мг/кг, 1 мг/кг, 2 мг/кг, 3 мг/кг, 4 мг/кг, 5 мг/кг, 6 мг/кг, 7 мг/кг, 8 мг/кг, 9 мг/кг, 10 мг/кг, 11 мг/кг, 12 мг/кг, 13 мг/кг, 14 мг/кг, 15 мг/кг, 16 мг/кг, 17 мг/кг, 18 мг/кг, 19 мг/кг, 20 мг/кг по меньшей мере одного антитела к протофибриллам Aβ по отношению к массе тела субъекта. В некоторых вариантах осуществления субъекту вводят до 20 мг/кг, 19 мг/кг, 18 мг/кг, 17 мг/кг, 16 мг/кг, 15 мг/кг, 14 мг/кг, 13 мг/кг, 12 мг/кг, 11 мг/кг, 10 мг/кг, 9 мг/кг, 8 мг/кг, 7 мг/кг, 6 мг/кг, 5 мг/кг, 4 мг/кг, 3 мг/кг, 2 мг/кг, 1 мг/кг или 0,5 мг/кг по меньшей мере одного антитела к протофибриллам Aβ по отношению к массе тела субъекта.

[138] В некоторых вариантах осуществления субъекту вводят 0,5 мг/кг по меньшей мере одного антитела к протофибриллам Aβ по отношению к массе тела субъекта. В некоторых вариантах осуществления субъекту вводят 1 мг/кг по меньшей мере одного антитела к протофибриллам Aβ по отношению к массе тела субъекта. В некоторых вариантах осуществления субъекту вводят 2 мг/кг по меньшей мере одного антитела к протофибриллам Aβ по отношению к массе тела субъекта. В некоторых вариантах осуществления субъекту вводят 2,5 мг/кг по меньшей мере одного антитела к протофибриллам Aβ по отношению к массе тела субъекта. В некоторых вариантах осуществления субъекту вводят 3 мг/кг по меньшей мере одного антитела к протофибриллам Aβ по отношению к массе тела субъекта. В некоторых вариантах осуществления субъекту вводят 4 мг/кг по меньшей мере одного антитела к протофибриллам Aβ по отношению к массе тела субъекта. В некоторых вариантах осуществления субъекту вводят 5 мг/кг по меньшей мере одного антитела к протофибриллам Aβ по отношению к массе тела субъекта. В некоторых вариантах осуществления субъекту вводят 6 мг/кг по меньшей мере одного антитела к протофибриллам Aβ по отношению к массе тела субъекта. В некоторых вариантах осуществления субъекту вводят 7 мг/кг по меньшей мере одного антитела к протофибриллам Aβ по отношению к массе тела субъекта. В некоторых вариантах осуществления субъекту вводят 7,5 мг/кг по меньшей мере одного антитела к протофибриллам Aβ по отношению к массе тела субъекта. В некоторых вариантах осуществления субъекту вводят 8 мг/кг по меньшей мере одного антитела к протофибриллам Aβ по отношению к массе тела субъекта. В некоторых вариантах осуществления субъекту вводят 9 мг/кг по меньшей мере одного антитела к протофибриллам Aβ по отношению к массе тела субъекта. В некоторых вариантах осуществления субъекту вводят 10 мг/кг по меньшей мере одного антитела к протофибриллам Aβ по отношению к массе тела субъекта. В некоторых вариантах осуществления субъекту вводят 11 мг/кг по меньшей мере одного антитела к протофибриллам Aβ по отношению к массе тела субъекта. В некоторых вариантах осуществления субъекту вводят 12 мг/кг по меньшей мере одного антитела к протофибриллам Aβ по отношению к массе тела субъекта. В некоторых вариантах осуществления субъекту вводят 12,5 мг/кг по меньшей мере одного антитела к протофибриллам Aβ по отношению к массе тела субъекта. В некоторых вариантах осуществления субъекту вводят 13 мг/кг по меньшей мере одного антитела к протофибриллам Aβ по отношению к массе тела субъекта. В некоторых вариантах осуществления субъекту вводят 14 мг/кг по меньшей мере одного антитела к протофибриллам Aβ по отношению к массе тела субъекта. В некоторых вариантах осуществления субъекту вводят 15 мг/кг по меньшей мере одного антитела к протофибриллам Aβ по отношению к массе тела субъекта. В некоторых вариантах осуществления субъекту вводят 16, 17, 18, 19 или 20 мг/кг по меньшей мере одного антитела к протофибриллам Aβ по отношению к массе тела субъекта. В некоторых вариантах осуществления субъекту вводят 21, 22, 23, 24 или 25 мг/кг по меньшей мере одного антитела к протофибриллам Aβ по отношению к массе тела субъекта.

[139] В некоторых вариантах осуществления субъекту вводят 27,5 мг/кг, 30 мг/кг, 32,5 мг/кг, 35 мг/кг, 37,5 мг/кг, 40 мг/кг, 42,5 мг/кг, 45 мг/кг, 47,5 мг/кг или 50 мг/кг по меньшей мере одного антитела к протофибриллам Aβ по отношению к массе тела субъекта.

[140] Как упоминалось, в некоторых вариантах осуществления по меньшей мере одно антитело к протофибриллам Aβ представляет собой BAN2401. Соответственно, в некоторых вариантах осуществления субъекту вводят от 0,5 мг/кг до 45 мг/кг, от 0,5 мг/кг до 40 мг/кг, от 0,5 мг/кг до 35 мг/кг, от 0,5 мг/кг до 30 мг/кг, от 0,5 мг/кг до 25 мг/кг, от 0,5 мг/кг до 20 мг/кг, от 0,5 мг/кг до 15 мг/кг, от 0,5 мг/кг до 10 мг/кг, от 0,5 мг/кг до 5 мг/кг или от 0,5 мг/кг до 2,5 мг/кг BAN2401 по отношению к массе тела субъекта.

[141] В некоторых вариантах осуществления субъекту вводят от 2,5 мг/кг до 45 мг/кг, от 2,5 мг/кг до 40 мг/кг, от 2,5 мг/кг до 35 мг/кг, от 2,5 мг/кг до 30 мг/кг, от 2,5 мг/кг до 25 мг/кг, от 2,5 мг/кг до 20 мг/кг, от 2,5 мг/кг до 15 мг/кг, от 2,5 мг/кг до 10 мг/кг или от 2,5 мг/кг до 5 мг/кг BAN2401 по отношению к массе тела субъекта.

[142] В некоторых вариантах осуществления субъекту вводят от 5 мг/кг до 45 мг/кг, от 5 мг/кг до 40 мг/кг, от 5 мг/кг до 35 мг/кг, от 5 мг/кг до 30 мг/кг, от 5 мг/кг до 25 мг/кг, от 5 мг/кг до 20 мг/кг, от 5 мг/кг до 15 мг/кг или от 5 мг/кг до 10 мг/кг BAN2401 по отношению к массе тела субъекта.

[143] В некоторых вариантах осуществления субъекту вводят от 7,5 мг/кг до 45 мг/кг, от 7,5 мг/кг до 40 мг/кг, от 7,5 мг/кг до 35 мг/кг, от 7,5 мг/кг до 30 мг/кг, от 7,5 мг/кг до 25 мг/кг, от 7,5 мг/кг до 20 мг/кг, от 7,5 мг/кг до 15 мг/кг или от 7,5 мг/кг до 10 мг/кг BAN2401 по отношению к массе тела субъекта.

[144] В некоторых вариантах осуществления субъекту вводят от 0,5 мг/кг, 1 мг/кг, 2 мг/кг, 3 мг/кг, 4 мг/кг, 5 мг/кг, 6 мг/кг, 7 мг/кг, 8 мг/кг, 9 мг/кг, 10 мг/кг, 11 мг/кг, 12 мг/кг, 13 мг/кг, 14 мг/кг, 15 мг/кг, 16 мг/кг, 17 мг/кг, 18 мг/кг, 19 мг/кг, 20 мг/кг BAN2401 по отношению к массе тела субъекта. В некоторых вариантах осуществления субъекту вводят до 20 мг/кг, 19 мг/кг, 18 мг/кг, 17 мг/кг, 16 мг/кг, 15 мг/кг, 14 мг/кг, 13 мг/кг, 12 мг/кг, 11 мг/кг, 10 мг/кг, 9 мг/кг, 8 мг/кг, 7 мг/кг, 6 мг/кг, 5 мг/кг, 4 мг/кг, 3 мг/кг, 2 мг/кг, 1 мг/кг или 0,5 мг/кг BAN2401 по отношению к массе тела субъекта.

[145] В некоторых вариантах осуществления субъекту вводят 0,5 мг/кг BAN2401 по отношению к массе тела субъекта. В некоторых вариантах осуществления субъекту вводят 1 мг/кг BAN2401 по отношению к массе тела субъекта. В некоторых вариантах осуществления субъекту вводят 2 мг/кг BAN2401 по отношению к массе тела субъекта. В некоторых вариантах осуществления субъекту вводят 2,5 мг/кг BAN2401 по отношению к массе тела субъекта. В некоторых вариантах осуществления субъекту вводят 3 мг/кг BAN2401 по отношению к массе тела субъекта. В некоторых вариантах осуществления субъекту вводят 4 мг/кг BAN2401 по отношению к массе тела субъекта. В некоторых вариантах осуществления субъекту вводят 5 мг/кг BAN2401 по отношению к массе тела субъекта. В некоторых вариантах осуществления субъекту вводят 6 мг/кг BAN2401 по отношению к массе тела субъекта. В некоторых вариантах осуществления субъекту вводят 7 мг/кг BAN2401 по отношению к массе тела субъекта. В некоторых вариантах осуществления субъекту вводят 7,5 мг/кг BAN2401 по отношению к массе тела субъекта. В некоторых вариантах осуществления субъекту вводят 8 мг/кг BAN2401 по отношению к массе тела субъекта. В некоторых вариантах осуществления субъекту вводят 9 мг/кг BAN2401 по отношению к массе тела субъекта. В некоторых вариантах осуществления субъекту вводят 10 мг/кг BAN2401 по отношению к массе тела субъекта. В некоторых вариантах осуществления субъекту вводят 11 мг/кг BAN2401 по отношению к массе тела субъекта. В некоторых вариантах осуществления субъекту вводят 12 мг/кг BAN2401 по отношению к массе тела субъекта. В некоторых вариантах осуществления субъекту вводят 12,5 мг/кг BAN2401 по отношению к массе тела субъекта. В некоторых вариантах осуществления субъекту вводят 13 мг/кг BAN2401 по отношению к массе тела субъекта. В некоторых вариантах осуществления субъекту вводят 14 мг/кг BAN2401 по отношению к массе тела субъекта. В некоторых вариантах осуществления субъекту вводят 15 мг/кг BAN2401 по отношению к массе тела субъекта. В некоторых вариантах осуществления субъекту вводят 16, 17, 18, 19 или 20 мг/кг BAN2401 по отношению к массе тела субъекта. В некоторых вариантах осуществления субъекту вводят 21, 22, 23, 24 или 25 мг/кг BAN2401 по отношению к массе тела субъекта. В некоторых вариантах осуществления субъекту вводят 27,5 мг/кг, 30 мг/кг, 32,5 мг/кг, 35 мг/кг, 37,5 мг/кг, 40 мг/кг, 42,5 мг/кг, 45 мг/кг, 47,5 мг/кг или 50 мг/кг BAN2401 по отношению к массе тела субъекта.

[146] В некоторых вариантах осуществления субъекту вводят от 2,5 мг/кг до 10 мг/кг BAN2401 по отношению к массе тела субъекта. В некоторых вариантах осуществления субъекту вводят от 5 мг/кг до 10 мг/кг BAN2401 по отношению к массе тела субъекта. В некоторых вариантах осуществления субъекту вводят 2,5 мг/кг BAN2401 по отношению к массе тела субъекта. В некоторых вариантах осуществления субъекту вводят 5 мг/кг BAN2401 по отношению к массе тела субъекта. В некоторых вариантах осуществления субъекту вводят 7,5 мг/кг BAN2401 по отношению к массе тела субъекта. В некоторых вариантах осуществления субъекту вводят 10 мг/кг BAN2401 по отношению к массе тела субъекта.

[147] Схемы введения доз по меньшей мере одного антитела к протофибриллам Aβ

[148] Способы по настоящему изобретению включают введение субъекту композиции, содержащей терапевтически эффективное количество по меньшей мере одного антитела к протофибриллам Aβ. Средний специалист в данной области поймет, что любое из терапевтически эффективных количеств по меньшей мере одного антитела к протофибриллам Aβ, раскрытых выше, можно вводить один или несколько раз в соответствии с одной или несколькими схемами введения доз. Средний специалист в данной области сможет определить соответствующую (соответствующие) схему(схемы) введения доз для каждого субъекта в зависимости от ряда факторов, включающих фармакодинамические характеристики, путь введения, дозу, а также состояние здоровья, возраст и массу субъекта, подлежащего лечению, и с помощью информации, раскрытой в данном документе.

[149] В некоторых вариантах осуществления композицию, содержащую по меньшей мере одно антитело к протофибриллам Aβ, вводят ежедневно, один раз в два дня, один раз в три дня, один раз в неделю, один раз в две недели ("каждые две недели"), один раз в четыре недели ("с четырехнедельным интервалом"), один раз в месяц, один раз в шесть недель, один раз в восемь недель, один раз в два месяца, один раз в десять недель, один раз в двенадцать недель, один раз в три месяца, один раз в четырнадцать недель, один раз в шестнадцать недель, один раз в четыре месяца, один раз в восемнадцать недель, один раз в двадцать недель, один раз в пять месяцев, один раз в 22 недели, один раз в 24 недели, один раз в шесть месяцев, один раз в семь месяцев, один раз в восемь месяцев, один раз в девять месяцев, один раз в десять месяцев, один раз в одиннадцать месяцев, один раз в двенадцать месяцев, один раз в тринадцать месяцев, один раз в четырнадцать месяцев, один раз в пятнадцать месяцев, один раз в шестнадцать месяцев, один раз в семнадцать месяцев или один раз в восемнадцать месяцев. В некоторых вариантах осуществления композицию, содержащую по меньшей мере одно антитело к протофибриллам Aβ, вводят ежедневно, один раз в два дня, один раз в три дня, один раз в неделю, один раз в две недели ("каждые две недели"), один раз в четыре недели ("с четырехнедельным интервалом") или один раз в месяц. В некоторых вариантах осуществления композицию, содержащую терапевтически эффективное количество по меньшей мере одного антитела к протофибриллам Aβ, вводят один раз в две недели или один раз в четыре недели. В некоторых вариантах осуществления композицию, содержащую терапевтически эффективное количество по меньшей мере одного антитела к протофибриллам Aβ, вводят один раз в две недели. В некоторых вариантах осуществления композицию, содержащую терапевтически эффективное количество по меньшей мере одного антитела к протофибриллам Aβ, вводят один раз в четыре недели.

[150] В некоторых вариантах осуществления композицию, содержащую терапевтически эффективное количество по меньшей мере одного антитела к протофибриллам Aβ, вводят один раз в неделю. В некоторых вариантах осуществления композицию, содержащую терапевтически эффективное количество по меньшей мере одного антитела к протофибриллам Aβ, вводят один раз в две недели. В некоторых вариантах осуществления композицию, содержащую терапевтически эффективное количество по меньшей мере одного антитела к протофибриллам Aβ, вводят один раз в три недели. В некоторых вариантах осуществления композицию, содержащую терапевтически эффективное количество по меньшей мере одного антитела к протофибриллам Aβ, вводят один раз в четыре недели. В некоторых вариантах осуществления композицию, содержащую терапевтически эффективное количество по меньшей мере одного антитела к протофибриллам Aβ, вводят один раз в месяц.

[151] В некоторых вариантах осуществления композицию, содержащую терапевтически эффективное количество BAN2401, вводят один раз в неделю. В некоторых вариантах осуществления композицию, содержащую терапевтически эффективное количество BAN2401, вводят один раз в две недели. В некоторых вариантах осуществления композицию, содержащую терапевтически эффективное количество BAN2401, вводят один раз в три недели. В некоторых вариантах осуществления композицию, содержащую терапевтически эффективное количество BAN2401, вводят один раз в четыре недели. В некоторых вариантах осуществления композицию, содержащую терапевтически эффективное количество BAN2401, вводят один раз в месяц.

[152] В некоторых вариантах осуществления композицию, содержащую 2,5 мг/кг, 5 мг/кг, 7,5 мг/кг или 10 мг/кг по меньшей мере одного антитела к протофибриллам Aβ по отношению к массе тела субъекта, вводят субъекту один раз в неделю. В некоторых вариантах осуществления композицию, содержащую 2,5 мг/кг, 5 мг/кг, 7,5 мг/кг или 10 мг/кг по меньшей мере одного антитела к протофибриллам Aβ по отношению к массе тела субъекта, вводят субъекту один раз в две недели. В некоторых вариантах осуществления композицию, содержащую 2,5 мг/кг, 5 мг/кг, 7,5 мг/кг или 10 мг/кг по меньшей мере одного антитела к протофибриллам Aβ по отношению к массе тела субъекта, вводят субъекту один раз в три недели. В некоторых вариантах осуществления композицию, содержащую 2,5 мг/кг, 5 мг/кг, 7,5 мг/кг или 10 мг/кг по меньшей мере одного антитела к протофибриллам Aβ по отношению к массе тела субъекта, вводят субъекту один раз в четыре недели. В некоторых вариантах осуществления композицию, содержащую 2,5 мг/кг, 5 мг/кг, 7,5 мг/кг или 10 мг/кг по меньшей мере одного антитела к протофибриллам Aβ по отношению к массе тела субъекта, вводят субъекту один раз в месяц.

[153] В некоторых вариантах осуществления композицию, содержащую 10 мг/кг по меньшей мере одного антитела к протофибриллам Aβ по отношению к массе тела субъекта, вводят субъекту один раз в две недели. В некоторых вариантах осуществления композицию, содержащую 10 мг/кг по меньшей мере одного антитела к протофибриллам Aβ по отношению к массе тела субъекта, вводят субъекту один раз в месяц.

[154] В некоторых вариантах осуществления композицию, содержащую 2,5 мг/кг, 5 мг/кг, 7,5 мг/кг или 10 мг/кг BAN2401 по отношению к массе тела субъекта, вводят субъекту один раз в неделю. В некоторых вариантах осуществления композицию, содержащую 2,5 мг/кг, 5 мг/кг, 7,5 мг/кг или 10 мг/кг BAN2401 по отношению к массе тела субъекта, вводят субъекту один раз в две недели. В некоторых вариантах осуществления композицию, содержащую 2,5 мг/кг, 5 мг/кг, 7,5 мг/кг или 10 мг/кг BAN2401 по отношению к массе тела субъекта, вводят субъекту один раз в три недели. В некоторых вариантах осуществления композицию, содержащую 2,5 мг/кг, 5 мг/кг, 7,5 мг/кг или 10 мг/кг BAN2401 по отношению к массе тела субъекта, вводят субъекту один раз в четыре недели. В некоторых вариантах осуществления композицию, содержащую 2,5 мг/кг, 5 мг/кг, 7,5 мг/кг или 10 мг/кг BAN2401 по отношению к массе тела субъекта, вводят субъекту один раз в месяц.

[155] В некоторых вариантах осуществления композицию, содержащую 10 мг/кг BAN2401 по отношению к массе тела субъекта, вводят субъекту один раз в две недели. В некоторых вариантах осуществления композицию, содержащую 10 мг/кг BAN2401 по отношению к массе тела субъекта, вводят субъекту один раз в месяц.

Композиция, содержащая по меньшей мере одно антитело к протофибриллам Aβ

[156] В некоторых вариантах осуществления в композиции содержится по меньшей мере одно антитело к протофибриллам Aβ. В некоторых вариантах осуществления композиция состоит из по меньшей мере одного антитела к протофибриллам Aβ. В некоторых вариантах осуществления композиция содержит по меньшей мере одно антитело к протофибриллам Aβ и дополнительно содержит по меньшей мере один дополнительный компонент. По меньшей мере один дополнительный компонент может быть выбран из подходящих физиологически приемлемых вспомогательных веществ для применения в медицине и/или ветеринарии.

[157] Композиции по настоящему изобретению могут быть представлены в форме таблетки, пилюли, капсулы, раствора и/или любой другой подходящей формы, которую средний специалист в данной области сочтет подходящей. Путь введения композиций по настоящему изобретению может представлять собой любой подходящий путь, в том числе внутривенный, подкожный, пероральный и назальный. В некоторых вариантах осуществления композиция составлена​в виде стерильной апирогенной жидкости для внутривенного введения. В некоторых вариантах осуществления композиция представляет собой солевой раствор.

[158] В некоторых вариантах осуществления по меньшей мере один дополнительный компонент в композиции выбран из буферов. В некоторых вариантах осуществления по меньшей мере один дополнительный компонент в композиции выбран из эмульгаторов. В некоторых вариантах осуществления по меньшей мере один дополнительный компонент в композиции выбран из цитрата натрия, хлорида натрия и полисорбата 80. В некоторых вариантах осуществления цитрат натрия может присутствовать в концентрации в диапазоне от 1 мМ до 150 мМ. В некоторых вариантах осуществления цитрат натрия может присутствовать в концентрации 25 мМ. В некоторых вариантах осуществления хлорид натрия может присутствовать в концентрации в диапазоне от 25 мМ до 250 мМ. В некоторых вариантах осуществления цитрат натрия может присутствовать в концентрации 125 мМ. В некоторых вариантах осуществления полисорбат 80 может присутствовать в концентрации в диапазоне от 0,001% (вес/об.) до 2% (вес/об.). В некоторых вариантах осуществления полисорбат 80 может присутствовать в концентрации 0,02% (вес/об.).

[159] В некоторых вариантах осуществления композиция представляет собой жидкую лекарственную форму, содержащую по меньшей мере одно антитело к протофибриллам Aβ, такое как BAN2401, и дополнительно содержащую, например, цитрат натрия, хлорид натрия и полисорбат 80. В некоторых вариантах осуществления композиция содержит 10 мг/мл по меньшей мере одного антитела к протофибриллам Aβ, такого как BAN2401, 25 мМ цитрата натрия, 125 мМ хлорида натрия и 0,2% (вес/об.) полисорбата 80 и имеет pH 5,7.

Терапевтический эффект

Уменьшение клинического ухудшения

[160] В данном документе предусмотрен способ уменьшения клинического ухудшения у субъекта с болезнью Альцгеймера на ранней стадии, включающий введение указанному субъекту композиции, содержащей терапевтически эффективное количество по меньшей мере одного антитела к протофибриллам Aβ, раскрытого в данном документе. В некоторых вариантах осуществления у субъекта с болезнью Альцгеймера на ранней стадии было диагностировано наличие легкого когнитивного нарушения, с промежуточной вероятностью обусловленного болезнью Альцгеймера, и/или было диагностировано наличие легкой деменции при болезни Альцгеймера. В некоторых вариантах осуществления субъект с болезнью Альцгеймера на ранней стадии является ApoE4-положительным.

[161] Любое из антител к протофибриллам Aβ, их терапевтически приемлемых количеств, схем введения их доз и содержащих их композиций, которые раскрыты в данном документе, можно применять в способе уменьшения клинического ухудшения у субъекта с болезнью Альцгеймера на ранней стадии. Например, в некоторых вариантах осуществления композицию, содержащую 2,5 мг/кг, 5 мг/кг, 7,5 мг/кг или 10 мг/кг по меньшей мере одного антитела к протофибриллам Aβ, такого как BAN2401, по отношению к массе тела субъекта, вводят субъекту один раз в неделю, один раз в две недели, один раз в три недели, один раз в четыре недели или один раз в месяц. В некоторых вариантах осуществления клиническое ухудшение уменьшается на по меньшей мере 1%, по меньшей мере 2%, по меньшей мере 3%, по меньшей мере 4%, по меньшей мере 5%, по меньшей мере 6%, по меньшей мере 7%, по меньшей мере 8%, по меньшей мере 9%, по меньшей мере 10%, по меньшей мере 11%, по меньшей мере 12%, по меньшей мере 13%, по меньшей мере 14%, по меньшей мере 15%, по меньшей мере 16%, по меньшей мере 17%, по меньшей мере 18%, по меньшей мере 19%, по меньшей мере 20%, по меньшей мере 21%, по меньшей мере 22%, по меньшей мере 23%, по меньшей мере 24%, по меньшей мере 25%, по меньшей мере 26%, по меньшей мере 27%, по меньшей мере 28%, по меньшей мере 29%, по меньшей мере 30%, по меньшей мере 31%, по меньшей мере 32%, по меньшей мере 33%, по меньшей мере 34%, по меньшей мере 35%, по меньшей мере 36%, по меньшей мере 37%, по меньшей мере 38%, по меньшей мере 39%, по меньшей мере 40%, по меньшей мере 41%, по меньшей мере 42%, по меньшей мере 43%, по меньшей мере 44%, по меньшей мере 45% или по меньшей мере 46% по сравнению с плацебо, как определяется с помощью ADCOMS. В некоторых вариантах осуществления вышеупомянутое уменьшение клинического ухудшения определяется после 1 месяца, 6 месяцев, 12 месяцев, 18 месяцев, 60 месяцев и/или 63 месяцев введения композиции, содержащей терапевтически эффективное количество по меньшей мере одного антитела к протофибриллам Aβ.

[162] В некоторых вариантах осуществления клиническое ухудшение уменьшается на 20-35% по сравнению с плацебо, как определяется с помощью ADCOMS. В некоторых вариантах осуществления клиническое ухудшение уменьшается на 20-30% по сравнению с плацебо, как определяется с помощью ADCOMS. В некоторых вариантах осуществления клиническое ухудшение уменьшается на 27-35% по сравнению с плацебо, как определяется с помощью ADCOMS. В некоторых вариантах осуществления клиническое ухудшение уменьшается на по меньшей мере 20% по сравнению с плацебо, как определяется с помощью ADCOMS. В некоторых вариантах осуществления клиническое ухудшение уменьшается на по меньшей мере 35% по сравнению с плацебо, как определяется с помощью ADCOMS. В некоторых вариантах осуществления клиническое ухудшение уменьшается на по меньшей мере 20%, как определяется с помощью ADCOMS. В некоторых вариантах осуществления клиническое ухудшение уменьшается на по меньшей мере 30%, как определяется с помощью ADCOMS. В некоторых вариантах осуществления вышеупомянутое уменьшение клинического ухудшения определяется после 1 месяца, 6 месяцев, 12 месяцев, 18 месяцев, 60 месяцев и/или 63 месяцев введения композиции, содержащей терапевтически эффективное количество по меньшей мере одного антитела к протофибриллам Aβ.

[163] В некоторых вариантах осуществления клиническое ухудшение уменьшается на по меньшей мере 45% по сравнению с плацебо, как определяется с помощью ADCOMS, после 6 месяцев введения композиции, содержащей терапевтически эффективное количество по меньшей мере одного антитела к протофибриллам Aβ. В некоторых вариантах осуществления клиническое ухудшение уменьшается на по меньшей мере 35% по сравнению с плацебо, как определяется с помощью ADCOMS, после 12 месяцев введения композиции, содержащей терапевтически эффективное количество по меньшей мере одного антитела к протофибриллам Aβ. В некоторых вариантах осуществления клиническое ухудшение уменьшается на по меньшей мере 30% по сравнению с плацебо, как определяется с помощью ADCOMS, после 18 месяцев введения композиции, содержащей терапевтически эффективное количество по меньшей мере одного антитела к протофибриллам Aβ. В некоторых вариантах осуществления клиническое ухудшение уменьшается на по меньшей мере 46% по сравнению с плацебо, как определяется с помощью ADCOMS, после 18 месяцев введения композиции, содержащей терапевтически эффективное количество по меньшей мере одного антитела к протофибриллам Aβ. В некоторых вариантах осуществления композиция содержит 10 мг/кг по меньшей мере одного антитела к протофибриллам Aβ и вводится один раз в две недели или один раз в месяц. В некоторых вариантах осуществления по меньшей мере одно антитело к протофибриллам Aβ представляет собой BAN2401.

[164] В некоторых вариантах осуществления клиническое ухудшение уменьшается на по меньшей мере 1%, по меньшей мере 2%, по меньшей мере 3%, по меньшей мере 4%, по меньшей мере 5%, по меньшей мере 6%, по меньшей мере 7%, по меньшей мере 8%, по меньшей мере 9%, по меньшей мере 10%, по меньшей мере 11%, по меньшей мере 12%, по меньшей мере 13%, по меньшей мере 14%, по меньшей мере 15%, по меньшей мере 16%, по меньшей мере 17%, по меньшей мере 18%, по меньшей мере 19%, по меньшей мере 20%, по меньшей мере 21%, по меньшей мере 22%, по меньшей мере 23%, по меньшей мере 24%, по меньшей мере 25%, по меньшей мере 26%, по меньшей мере 27%, по меньшей мере 28%, по меньшей мере 29%, по меньшей мере 30%, по меньшей мере 31%, по меньшей мере 32%, по меньшей мере 33%, по меньшей мере 34%, по меньшей мере 35%, по меньшей мере 36%, по меньшей мере 37%, по меньшей мере 38%, по меньшей мере 39%, по меньшей мере 40%, по меньшей мере 41%, по меньшей мере 42%, по меньшей мере 43%, по меньшей мере 44%, по меньшей мере 45%, по меньшей мере 46%, по меньшей мере 47%, по меньшей мере 48%, по меньшей мере 49%, по меньшей мере 50%, по меньшей мере 51% или по меньшей мере 52% по сравнению с плацебо, как определяется с помощью ADCOMS, где у субъекта было диагностировано наличие легкого когнитивного нарушения, с промежуточной вероятностью обусловленного болезнью Альцгеймера. В некоторых вариантах осуществления вышеупомянутое уменьшение клинического ухудшения определяется после 1 месяца, 6 месяцев, 12 месяцев, 18 месяцев, 60 месяцев и/или 63 месяцев введения композиции, содержащей терапевтически эффективное количество по меньшей мере одного антитела к протофибриллам Aβ.

[165] В некоторых вариантах осуществления клиническое ухудшение уменьшается на 28-33% по сравнению с плацебо, как определяется с помощью ADCOMS, где у субъекта было диагностировано наличие легкого когнитивного нарушения, с промежуточной вероятностью обусловленного болезнью Альцгеймера. В некоторых вариантах осуществления клиническое ухудшение уменьшается на по меньшей мере 20%, как, например, на 25% или по меньшей мере 28%, по сравнению с плацебо, как определяется с помощью ADCOMS, где у субъекта было диагностировано наличие легкого когнитивного нарушения, с промежуточной вероятностью обусловленного болезнью Альцгеймера. В некоторых вариантах осуществления клиническое ухудшение уменьшается на по меньшей мере 25%, как, например, на по меньшей мере 30% или по меньшей мере 33%, по сравнению с плацебо, как определяется с помощью ADCOMS, где у субъекта было диагностировано наличие легкого когнитивного нарушения, с промежуточной вероятностью обусловленного болезнью Альцгеймера. В некоторых вариантах осуществления клиническое ухудшение уменьшается на по меньшей мере 25%, как, например, на по меньшей мере 30%, по меньшей мере 35%, по меньшей мере 40%, по меньшей мере 45%, по меньшей мере 50% или по меньшей мере 52%, по сравнению с плацебо, как определяется с помощью ADCOMS, где у субъекта было диагностировано наличие легкого когнитивного нарушения, с промежуточной вероятностью обусловленного болезнью Альцгеймера. В некоторых вариантах осуществления клиническое ухудшение уменьшается на по меньшей мере 52% по сравнению с плацебо, как определяется с помощью ADCOMS, где у субъекта было диагностировано наличие легкого когнитивного нарушения, с промежуточной вероятностью обусловленного болезнью Альцгеймера. В некоторых вариантах осуществления вышеупомянутое уменьшение клинического ухудшения определяется после 1 месяца, 6 месяцев, 12 месяцев, 18 месяцев, 60 месяцев и/или 63 месяцев введения композиции, содержащей терапевтически эффективное количество по меньшей мере одного антитела к протофибриллам Aβ.

[166] В некоторых вариантах осуществления клиническое ухудшение у субъекта, у которого диагностировано наличие легкого когнитивного нарушения, с промежуточной вероятностью обусловленного болезнью Альцгеймера, уменьшается на по меньшей мере 30% по сравнению с плацебо, как определяется с помощью ADCOMS, после 6 месяцев введения композиции, содержащей терапевтически эффективное количество по меньшей мере одного антитела к протофибриллам Aβ. В некоторых вариантах осуществления клиническое ухудшение у субъекта, у которого диагностировано наличие легкого когнитивного нарушения, с промежуточной вероятностью обусловленного болезнью Альцгеймера, уменьшается на по меньшей мере 25% по сравнению с плацебо, как определяется с помощью ADCOMS, после 12 месяцев введения композиции, содержащей терапевтически эффективное количество по меньшей мере одного антитела к протофибриллам Aβ. В некоторых вариантах осуществления клиническое ухудшение у субъекта, у которого диагностировано наличие легкого когнитивного нарушения, с промежуточной вероятностью обусловленного болезнью Альцгеймера, уменьшается на по меньшей мере 30% по сравнению с плацебо, как определяется с помощью ADCOMS, после 18 месяцев введения композиции, содержащей терапевтически эффективное количество по меньшей мере одного антитела к протофибриллам Aβ. В некоторых вариантах осуществления клиническое ухудшение у субъекта, у которого диагностировано наличие легкого когнитивного нарушения, с промежуточной вероятностью обусловленного болезнью Альцгеймера, уменьшается на по меньшей мере 52% по сравнению с плацебо, как определяется с помощью ADCOMS, после 18 месяцев введения композиции, содержащей терапевтически эффективное количество по меньшей мере одного антитела к протофибриллам Aβ. В некоторых вариантах осуществления композиция содержит 10 мг/кг по меньшей мере одного антитела к протофибриллам Aβ и вводится один раз в две недели или один раз в месяц. В некоторых вариантах осуществления по меньшей мере одно антитело к протофибриллам Aβ представляет собой BAN2401.

[167] В некоторых вариантах осуществления клиническое ухудшение уменьшается на по меньшей мере 1%, по меньшей мере 2%, по меньшей мере 3%, по меньшей мере 4%, по меньшей мере 5%, по меньшей мере 6%, по меньшей мере 7%, по меньшей мере 8%, по меньшей мере 9%, по меньшей мере 10%, по меньшей мере 11%, по меньшей мере 12%, по меньшей мере 13%, по меньшей мере 14%, по меньшей мере 15%, по меньшей мере 16%, по меньшей мере 17%, по меньшей мере 18%, по меньшей мере 19%, по меньшей мере 20%, по меньшей мере 21%, по меньшей мере 22%, по меньшей мере 23%, по меньшей мере 24%, по меньшей мере 25%, по меньшей мере 26%, по меньшей мере 27%, по меньшей мере 28%, по меньшей мере 29%, по меньшей мере 30%, по меньшей мере 31%, по меньшей мере 32% или по меньшей мере 33% по сравнению с плацебо, как определяется с помощью ADCOMS, где у субъекта было диагностировано наличие легкого когнитивного нарушения, с промежуточной вероятностью обусловленного болезнью Альцгеймера. В некоторых вариантах осуществления вышеупомянутое уменьшение клинического ухудшения определяется после 1 месяца, 6 месяцев, 12 месяцев, 18 месяцев, 60 месяцев и/или 63 месяцев введения композиции, содержащей терапевтически эффективное количество по меньшей мере одного антитела к протофибриллам Aβ.

[168] В некоторых вариантах осуществления клиническое ухудшение уменьшается на 28-38% по сравнению с плацебо, как определяется с помощью ADCOMS, где у субъекта было диагностировано наличие легкого когнитивного нарушения, с промежуточной вероятностью обусловленного болезнью Альцгеймера. В некоторых вариантах осуществления клиническое ухудшение уменьшается на по меньшей мере 20%, как, например, на по меньшей мере 25%, по меньшей мере 28% или по меньшей мере 33%, по сравнению с плацебо, как определяется с помощью ADCOMS, где у субъекта было диагностировано наличие легкого когнитивного нарушения, с промежуточной вероятностью обусловленного болезнью Альцгеймера. В некоторых вариантах осуществления клиническое ухудшение уменьшается на по меньшей мере 25%, как, например, на по меньшей мере 30% или по меньшей мере 33%, по сравнению с плацебо, как определяется с помощью ADCOMS, где у субъекта было диагностировано наличие легкого когнитивного нарушения, с промежуточной вероятностью обусловленного болезнью Альцгеймера. В некоторых вариантах осуществления клиническое ухудшение уменьшается на по меньшей мере 33% по сравнению с плацебо, как определяется с помощью ADCOMS, где у субъекта было диагностировано наличие легкого когнитивного нарушения, с промежуточной вероятностью обусловленного болезнью Альцгеймера. В некоторых вариантах осуществления вышеупомянутое уменьшение клинического ухудшения определяется после 1 месяца, 6 месяцев, 12 месяцев, 18 месяцев, 60 месяцев и/или 63 месяцев введения композиции, содержащей терапевтически эффективное количество по меньшей мере одного антитела к протофибриллам Aβ.

[169] В некоторых вариантах осуществления клиническое ухудшение у субъекта, у которого диагностировано наличие легкого когнитивного нарушения, с промежуточной вероятностью обусловленного болезнью Альцгеймера, уменьшается на по меньшей мере 33% по сравнению с плацебо, как определяется с помощью ADCOMS, после 18 месяцев введения композиции, содержащей терапевтически эффективное количество по меньшей мере одного антитела к протофибриллам Aβ. В некоторых вариантах осуществления композиция содержит 10 мг/кг по меньшей мере одного антитела к протофибриллам Aβ и вводится один раз в две недели или один раз в месяц. В некоторых вариантах осуществления по меньшей мере одно антитело к протофибриллам Aβ представляет собой BAN2401.

[170] В некоторых вариантах осуществления клиническое ухудшение уменьшается на по меньшей мере 1%, по меньшей мере 2%, по меньшей мере 3%, по меньшей мере 4%, по меньшей мере 5%, по меньшей мере 6%, по меньшей мере 7%, по меньшей мере 8%, по меньшей мере 9%, по меньшей мере 10%, по меньшей мере 11%, по меньшей мере 12%, по меньшей мере 13%, по меньшей мере 14%, по меньшей мере 15%, по меньшей мере 16%, по меньшей мере 17%, по меньшей мере 18%, по меньшей мере 19%, по меньшей мере 20%, по меньшей мере 21%, по меньшей мере 22%, по меньшей мере 23%, по меньшей мере 24%, по меньшей мере 25%, по меньшей мере 26%, по меньшей мере 27%, по меньшей мере 28%, по меньшей мере 29%, по меньшей мере 30%, по меньшей мере 31%, по меньшей мере 32%, по меньшей мере 33%, по меньшей мере 34%, по меньшей мере 35%, по меньшей мере 36%, по меньшей мере 37%, по меньшей мере 38%, по меньшей мере 39%, по меньшей мере 40%, по меньшей мере 41%, по меньшей мере 42%, по меньшей мере 43%, по меньшей мере 44%, по меньшей мере 45%, по меньшей мере 46%, по меньшей мере 47%, по меньшей мере 48%, по меньшей мере 49%, по меньшей мере 50%, по меньшей мере 51%, по меньшей мере 52%, по меньшей мере 53%, по меньшей мере 54%, по меньшей мере 55%, по меньшей мере 56%, по меньшей мере 57%, по меньшей мере 58%, по меньшей мере 59%, по меньшей мере 60%, по меньшей мере 61%, по меньшей мере 62%, по меньшей мере 63%, по меньшей мере 64%, по меньшей мере 65%, по меньшей мере 66%, по меньшей мере 67%, по меньшей мере 68%, по меньшей мере 69%, по меньшей мере 70%, по меньшей мере 71%, по меньшей мере 72%, по меньшей мере 73%, по меньшей мере 74%, по меньшей мере 75%, по меньшей мере 76%, по меньшей мере 77% или по меньшей мере 78% по сравнению с плацебо, как определяется с помощью ADCOMS, где у субъекта было диагностировано наличие легкой деменции при болезни Альцгеймера. В некоторых вариантах осуществления вышеупомянутое уменьшение клинического ухудшения определяется после 1 месяца, 6 месяцев, 12 месяцев, 18 месяцев, 60 месяцев и/или 63 месяцев введения композиции, содержащей терапевтически эффективное количество по меньшей мере одного антитела к протофибриллам Aβ.

[171] В некоторых вариантах осуществления клиническое ухудшение уменьшается на 20-80% по сравнению с плацебо, как определяется с помощью ADCOMS, где у субъекта было диагностировано наличие деменции при болезни Альцгеймера. В некоторых вариантах осуществления клиническое ухудшение уменьшается на 35-78% по сравнению с плацебо, как определяется с помощью ADCOMS, где у субъекта было диагностировано наличие деменции при болезни Альцгеймера. В некоторых вариантах осуществления клиническое ухудшение уменьшается на по меньшей мере 35% по сравнению с плацебо, как определяется с помощью ADCOMS, где у субъекта было диагностировано наличие легкой деменции при болезни Альцгеймера. В некоторых вариантах осуществления клиническое ухудшение уменьшается на по меньшей мере 50%, как, например, на по меньшей мере 52% или по меньшей мере 53%, по сравнению с плацебо, как определяется с помощью ADCOMS, где у субъекта было диагностировано наличие легкой деменции при болезни Альцгеймера. В некоторых вариантах осуществления клиническое ухудшение уменьшается на по меньшей мере 70%, как, например, на по меньшей мере 75% или по меньшей мере 78%, по сравнению с плацебо, как определяется с помощью ADCOMS, где у субъекта было диагностировано наличие легкой деменции при болезни Альцгеймера. В некоторых вариантах осуществления вышеупомянутое уменьшение клинического ухудшения определяется после 1 месяца, 6 месяцев, 12 месяцев, 18 месяцев, 60 месяцев и/или 63 месяцев введения композиции, содержащей терапевтически эффективное количество по меньшей мере одного антитела к протофибриллам Aβ.

[172] В некоторых вариантах осуществления клиническое ухудшение у субъекта, у которого диагностировано наличие легкой деменции при болезни Альцгеймера, уменьшается на по меньшей мере 70% по сравнению с плацебо, как определяется с помощью ADCOMS, после 6 месяцев введения композиции, содержащей терапевтически эффективное количество по меньшей мере одного антитела к протофибриллам Aβ. В некоторых вариантах осуществления клиническое ухудшение у субъекта, у которого диагностировано наличие легкой деменции при болезни Альцгеймера, уменьшается на по меньшей мере 50% по сравнению с плацебо, как определяется с помощью ADCOMS, после 12 месяцев введения композиции, содержащей терапевтически эффективное количество по меньшей мере одного антитела к протофибриллам Aβ. В некоторых вариантах осуществления клиническое ухудшение у субъекта, у которого диагностировано наличие легкой деменции при болезни Альцгеймера, уменьшается на по меньшей мере 30% по сравнению с плацебо, как определяется с помощью ADCOMS, после 18 месяцев введения композиции, содержащей терапевтически эффективное количество по меньшей мере одного антитела к протофибриллам Aβ. В некоторых вариантах осуществления клиническое ухудшение у субъекта, у которого диагностировано наличие легкой деменции при болезни Альцгеймера, уменьшается на по меньшей мере 52% по сравнению с плацебо, как определяется с помощью ADCOMS, после 18 месяцев введения композиции, содержащей терапевтически эффективное количество по меньшей мере одного антитела к протофибриллам Aβ. В некоторых вариантах осуществления композиция содержит 10 мг/кг по меньшей мере одного антитела к протофибриллам Aβ и вводится один раз в две недели или один раз в месяц. В некоторых вариантах осуществления по меньшей мере одно антитело к протофибриллам Aβ представляет собой BAN2401.

[173] В некоторых вариантах осуществления клиническое ухудшение уменьшается на по меньшей мере 1%, по меньшей мере 2%, по меньшей мере 3%, по меньшей мере 4%, по меньшей мере 5%, по меньшей мере 6%, по меньшей мере 7%, по меньшей мере 8%, по меньшей мере 9%, по меньшей мере 10%, по меньшей мере 11%, по меньшей мере 12%, по меньшей мере 13%, по меньшей мере 14%, по меньшей мере 15%, по меньшей мере 16%, по меньшей мере 17%, по меньшей мере 18%, по меньшей мере 19%, по меньшей мере 20%, по меньшей мере 21%, по меньшей мере 22%, по меньшей мере 23%, по меньшей мере 24%, по меньшей мере 25%, по меньшей мере 26%, по меньшей мере 27%, по меньшей мере 28%, по меньшей мере 29%, по меньшей мере 30%, по меньшей мере 31%, по меньшей мере 32%, по меньшей мере 33%, по меньшей мере 34% или по меньшей мере 35% по сравнению с плацебо, как определяется с помощью ADCOMS, где у субъекта было диагностировано наличие легкой деменции при болезни Альцгеймера. В некоторых вариантах осуществления вышеупомянутое уменьшение клинического ухудшения определяется после 1 месяца, 6 месяцев, 12 месяцев, 18 месяцев, 60 месяцев и/или 63 месяцев введения композиции, содержащей терапевтически эффективное количество по меньшей мере одного антитела к протофибриллам Aβ.

[174] В некоторых вариантах осуществления клиническое ухудшение уменьшается на 28-38% по сравнению с плацебо, как определяется с помощью ADCOMS, где у субъекта было диагностировано наличие легкой деменции при болезни Альцгеймера. В некоторых вариантах осуществления клиническое ухудшение уменьшается на по меньшей мере 20%, как, например, на по меньшей мере 25%, по меньшей мере 28% или по меньшей мере 35%, по сравнению с плацебо, как определяется с помощью ADCOMS, где у субъекта было диагностировано наличие легкой деменции при болезни Альцгеймера. В некоторых вариантах осуществления клиническое ухудшение уменьшается на по меньшей мере 25%, как, например, на по меньшей мере 30% или по меньшей мере 35%, по сравнению с плацебо, как определяется с помощью ADCOMS, где у субъекта было диагностировано наличие легкой деменции при болезни Альцгеймера. В некоторых вариантах осуществления клиническое ухудшение уменьшается на по меньшей мере 35% по сравнению с плацебо, как определяется с помощью ADCOMS, где у субъекта было диагностировано наличие легкой деменции при болезни Альцгеймера. В некоторых вариантах осуществления вышеупомянутое уменьшение клинического ухудшения определяется после 1 месяца, 6 месяцев, 12 месяцев, 18 месяцев, 60 месяцев и/или 63 месяцев введения композиции, содержащей терапевтически эффективное количество по меньшей мере одного антитела к протофибриллам Aβ.

[175] В некоторых вариантах осуществления клиническое ухудшение у субъекта, у которого диагностировано наличие легкой деменции при болезни Альцгеймера, уменьшается на по меньшей мере 35% по сравнению с плацебо, как определяется с помощью ADCOMS, после 18 месяцев введения композиции, содержащей терапевтически эффективное количество по меньшей мере одного антитела к протофибриллам Aβ. В некоторых вариантах осуществления композиция содержит 10 мг/кг по меньшей мере одного антитела к протофибриллам Aβ и вводится один раз в две недели или один раз в месяц. В некоторых вариантах осуществления по меньшей мере одно антитело к протофибриллам Aβ представляет собой BAN2401.

[176] В некоторых вариантах осуществления клиническое ухудшение уменьшается на по меньшей мере 1%, по меньшей мере 2%, по меньшей мере 3%, по меньшей мере 4%, по меньшей мере 5%, по меньшей мере 6%, по меньшей мере 7%, по меньшей мере 8%, по меньшей мере 9%, по меньшей мере 10%, по меньшей мере 11%, по меньшей мере 12%, по меньшей мере 13%, по меньшей мере 14%, по меньшей мере 15%, по меньшей мере 16%, по меньшей мере 17%, по меньшей мере 18%, по меньшей мере 19%, по меньшей мере 20%, по меньшей мере 21%, по меньшей мере 22%, по меньшей мере 23%, по меньшей мере 24%, по меньшей мере 25%, по меньшей мере 26%, по меньшей мере 27%, по меньшей мере 28%, по меньшей мере 29%, по меньшей мере 30%, по меньшей мере 31%, по меньшей мере 32%, по меньшей мере 33%, по меньшей мере 34%, по меньшей мере 35%, по меньшей мере 36%, по меньшей мере 37%, по меньшей мере 38%, по меньшей мере 39%, по меньшей мере 40%, по меньшей мере 41%, по меньшей мере 42%, по меньшей мере 43%, по меньшей мере 44%, по меньшей мере 45%, по меньшей мере 46%, по меньшей мере 47%, по меньшей мере 48%, по меньшей мере 49%, по меньшей мере 50%, по меньшей мере 51%, по меньшей мере 52%, по меньшей мере 53%, по меньшей мере 54%, по меньшей мере 55%, по меньшей мере 56%, по меньшей мере 57%, по меньшей мере 58%, по меньшей мере 59%, по меньшей мере 60%, по меньшей мере 61%, по меньшей мере 62%, по меньшей мере 63%, по меньшей мере 64%, по меньшей мере 65%, по меньшей мере 66%, по меньшей мере 67%, по меньшей мере 68%, по меньшей мере 69%, по меньшей мере 70%, по меньшей мере 75%, по меньшей мере 80%, по меньшей мере 85%, по меньшей мере 90%, по меньшей мере 95%, по меньшей мере 100%, по меньшей мере 110%, по меньшей мере 120%, по меньшей мере 130%, по меньшей мере 140% или по меньшей мере 150% по сравнению с плацебо, как определяется с помощью ADAS-Cog. В некоторых вариантах осуществления вышеупомянутое уменьшение клинического ухудшения определяется после 1 месяца, 6 месяцев, 12 месяцев, 18 месяцев, 60 месяцев и/или 63 месяцев введения композиции, содержащей терапевтически эффективное количество по меньшей мере одного антитела к протофибриллам Aβ.

[177] В некоторых вариантах осуществления клиническое ухудшение уменьшается на 40-150% по сравнению с плацебо, как определяется с помощью ADAS-Cog. В некоторых вариантах осуществления клиническое ухудшение уменьшается на 45-145% по сравнению с плацебо, как определяется с помощью ADAS-Cog. В некоторых вариантах осуществления клиническое ухудшение уменьшается на 45-55% по сравнению с плацебо, как определяется с помощью ADAS-Cog. В некоторых вариантах осуществления клиническое ухудшение уменьшается на по меньшей мере 30% по сравнению с плацебо, как определяется с помощью ADAS-Cog. В некоторых вариантах осуществления клиническое ухудшение уменьшается на по меньшей мере 35% по сравнению с плацебо, как определяется с помощью ADAS-Cog. В некоторых вариантах осуществления клиническое ухудшение уменьшается на по меньшей мере 40%, как определяется с помощью ADAS-Cog. В некоторых вариантах осуществления клиническое ухудшение уменьшается на по меньшей мере 45%, как определяется с помощью ADAS-Cog. В некоторых вариантах осуществления клиническое ухудшение уменьшается на по меньшей мере 47%, как определяется с помощью ADAS-Cog. В некоторых вариантах осуществления вышеупомянутое уменьшение клинического ухудшения определяется после 1 месяца, 6 месяцев, 12 месяцев, 18 месяцев, 60 месяцев и/или 63 месяцев введения композиции, содержащей терапевтически эффективное количество по меньшей мере одного антитела к протофибриллам Aβ.

[178] В некоторых вариантах осуществления клиническое ухудшение уменьшается на по меньшей мере 100%, как, например, на по меньшей мере 120% или по меньшей мере 140%, по сравнению с плацебо, как определяется с помощью ADAS-Cog, после 6 месяцев введения композиции, содержащей терапевтически эффективное количество по меньшей мере одного антитела к протофибриллам Aβ. В некоторых вариантах осуществления клиническое ухудшение уменьшается на по меньшей мере 40%, как, например, на по меньшей мере 45%, по сравнению с плацебо, как определяется с помощью ADAS-Cog, после 12 месяцев введения композиции, содержащей терапевтически эффективное количество по меньшей мере одного антитела к протофибриллам Aβ. В некоторых вариантах осуществления клиническое ухудшение уменьшается на по меньшей мере 40%, как, например, на по меньшей мере 45%, по сравнению с плацебо, как определяется с помощью ADAS-Cog, после 18 месяцев введения композиции, содержащей терапевтически эффективное количество по меньшей мере одного антитела к протофибриллам Aβ. В некоторых вариантах осуществления клиническое ухудшение уменьшается на по меньшей мере 47% по сравнению с плацебо, как определяется с помощью ADAS-Cog, после 18 месяцев введения композиции, содержащей терапевтически эффективное количество по меньшей мере одного антитела к протофибриллам Aβ. В некоторых вариантах осуществления композиция содержит 10 мг/кг по меньшей мере одного антитела к протофибриллам Aβ и вводится один раз в две недели или один раз в месяц. В некоторых вариантах осуществления по меньшей мере одно антитело к протофибриллам Aβ представляет собой BAN2401.

[179] В некоторых вариантах осуществления клиническое ухудшение уменьшается на по меньшей мере 1%, по меньшей мере 2%, по меньшей мере 3%, по меньшей мере 4%, по меньшей мере 5%, по меньшей мере 6%, по меньшей мере 7%, по меньшей мере 8%, по меньшей мере 9%, по меньшей мере 10%, по меньшей мере 11%, по меньшей мере 12%, по меньшей мере 13%, по меньшей мере 14%, по меньшей мере 15%, по меньшей мере 16%, по меньшей мере 17%, по меньшей мере 18%, по меньшей мере 19%, по меньшей мере 20%, по меньшей мере 21%, по меньшей мере 22%, по меньшей мере 23%, по меньшей мере 24%, по меньшей мере 25%, по меньшей мере 26%, по меньшей мере 27%, по меньшей мере 28%, по меньшей мере 29%, по меньшей мере 30%, по меньшей мере 31%, по меньшей мере 32%, по меньшей мере 33%, по меньшей мере 34%, по меньшей мере 35%, по меньшей мере 36%, по меньшей мере 37%, по меньшей мере 38%, по меньшей мере 39%, по меньшей мере 40%, по меньшей мере 41%, по меньшей мере 42%, по меньшей мере 43%, по меньшей мере 44%, по меньшей мере 45%, по меньшей мере 56%, по меньшей мере 47%, по меньшей мере 48%, по меньшей мере 49%, по меньшей мере 50%, по меньшей мере 51%, по меньшей мере 52%, по меньшей мере 53%, по меньшей мере 54%, по меньшей мере 55%, по меньшей мере 56%, по меньшей мере 57% или по меньшей мере 58% по сравнению с плацебо, как определяется с помощью ADAS-Cog, где у субъекта было диагностировано наличие легкого когнитивного нарушения, с промежуточной вероятностью обусловленного болезнью Альцгеймера. В некоторых вариантах осуществления вышеупомянутое уменьшение клинического ухудшения определяется после 1 месяца, 6 месяцев, 12 месяцев, 18 месяцев, 60 месяцев и/или 63 месяцев введения композиции, содержащей терапевтически эффективное количество по меньшей мере одного антитела к протофибриллам Aβ.

[180] В некоторых вариантах осуществления клиническое ухудшение уменьшается на 50-70% по сравнению с плацебо, как определяется с помощью ADAS-Cog, где у субъекта было диагностировано наличие легкого когнитивного нарушения, с промежуточной вероятностью обусловленного болезнью Альцгеймера. В некоторых вариантах осуществления клиническое ухудшение уменьшается на по меньшей мере 50%, как, например, на по меньшей мере 52%, по меньшей мере 55% или по меньшей мере 58%, по сравнению с плацебо, как определяется с помощью ADAS-Cog, где у субъекта было диагностировано наличие легкого когнитивного нарушения, с промежуточной вероятностью обусловленного болезнью Альцгеймера. В некоторых вариантах осуществления клиническое ухудшение уменьшается на по меньшей мере 58% по сравнению с плацебо, как определяется с помощью ADAS-Cog, где у субъекта было диагностировано наличие легкого когнитивного нарушения, с промежуточной вероятностью обусловленного болезнью Альцгеймера. В некоторых вариантах осуществления вышеупомянутое уменьшение клинического ухудшения определяется после 1 месяца, 6 месяцев, 12 месяцев, 18 месяцев, 60 месяцев и/или 63 месяцев введения композиции, содержащей терапевтически эффективное количество по меньшей мере одного антитела к протофибриллам Aβ.

[181] В некоторых вариантах осуществления клиническое ухудшение у субъекта, у которого диагностировано наличие легкого когнитивного нарушения, с промежуточной вероятностью обусловленного болезнью Альцгеймера, уменьшается на по меньшей мере 58% по сравнению с плацебо, как определяется с помощью ADAS-Cog, после 18 месяцев введения композиции, содержащей терапевтически эффективное количество по меньшей мере одного антитела к протофибриллам Aβ. В некоторых вариантах осуществления композиция содержит 10 мг/кг по меньшей мере одного антитела к протофибриллам Aβ и вводится один раз в две недели или один раз в месяц. В некоторых вариантах осуществления по меньшей мере одно антитело к протофибриллам Aβ представляет собой BAN2401.

[182] В некоторых вариантах осуществления клиническое ухудшение уменьшается на по меньшей мере 1%, по меньшей мере 2%, по меньшей мере 3%, по меньшей мере 4%, по меньшей мере 5%, по меньшей мере 6%, по меньшей мере 7%, по меньшей мере 8%, по меньшей мере 9%, по меньшей мере 10%, по меньшей мере 11%, по меньшей мере 12%, по меньшей мере 13%, по меньшей мере 14%, по меньшей мере 15%, по меньшей мере 16%, по меньшей мере 17%, по меньшей мере 18%, по меньшей мере 19%, по меньшей мере 20%, по меньшей мере 21%, по меньшей мере 22%, по меньшей мере 23%, по меньшей мере 24%, по меньшей мере 25%, по меньшей мере 26%, по меньшей мере 27%, по меньшей мере 28%, по меньшей мере 29%, по меньшей мере 30%, по меньшей мере 31%, по меньшей мере 32%, по меньшей мере 33%, по меньшей мере 34%, по меньшей мере 35%, по меньшей мере 36%, по меньшей мере 37%, по меньшей мере 38%, по меньшей мере 39%, по меньшей мере 40% или по меньшей мере 41% по сравнению с плацебо, как определяется с помощью ADAS-Cog, где у субъекта было диагностировано наличие легкой деменции при болезни Альцгеймера. В некоторых вариантах осуществления вышеупомянутое уменьшение клинического ухудшения определяется после 1 месяца, 6 месяцев, 12 месяцев, 18 месяцев, 60 месяцев и/или 63 месяцев введения композиции, содержащей терапевтически эффективное количество по меньшей мере одного антитела к протофибриллам Aβ.

[183] В некоторых вариантах осуществления клиническое ухудшение уменьшается на 30-50% по сравнению с плацебо, как определяется с помощью ADAS-Cog, где у субъекта было диагностировано наличие легкой деменции при болезни Альцгеймера. В некоторых вариантах осуществления клиническое ухудшение уменьшается на по меньшей мере 35%, как, например, на по меньшей мере 38%, по меньшей мере 40% или по меньшей мере 41%, по сравнению с плацебо, как определяется с помощью ADAS-Cog, где у субъекта было диагностировано наличие легкой деменции при болезни Альцгеймера. В некоторых вариантах осуществления клиническое ухудшение уменьшается на по меньшей мере 41% по сравнению с плацебо, как определяется с помощью ADAS-Cog, где у субъекта было диагностировано наличие легкой деменции при болезни Альцгеймера. В некоторых вариантах осуществления вышеупомянутое уменьшение клинического ухудшения определяется после 1 месяца, 6 месяцев, 12 месяцев, 18 месяцев, 60 месяцев и/или 63 месяцев введения композиции, содержащей терапевтически эффективное количество по меньшей мере одного антитела к протофибриллам Aβ.

[184] В некоторых вариантах осуществления клиническое ухудшение у субъекта, у которого диагностировано наличие легкой деменции при болезни Альцгеймера, уменьшается на по меньшей мере 41% по сравнению с плацебо, как определяется с помощью ADAS-Cog, после 18 месяцев введения композиции, содержащей терапевтически эффективное количество по меньшей мере одного антитела к протофибриллам Aβ. В некоторых вариантах осуществления композиция содержит 10 мг/кг по меньшей мере одного антитела к протофибриллам Aβ и вводится один раз в две недели или один раз в месяц. В некоторых вариантах осуществления по меньшей мере одно антитело к протофибриллам Aβ представляет собой BAN2401.

[185] В некоторых вариантах осуществления клиническое ухудшение уменьшается на по меньшей мере 1%, по меньшей мере 2%, по меньшей мере 3%, по меньшей мере 4%, по меньшей мере 5%, по меньшей мере 6%, по меньшей мере 7%, по меньшей мере 8%, по меньшей мере 9%, по меньшей мере 10%, по меньшей мере 11%, по меньшей мере 12%, по меньшей мере 13%, по меньшей мере 14%, по меньшей мере 15%, по меньшей мере 16%, по меньшей мере 17%, по меньшей мере 18%, по меньшей мере 19%, по меньшей мере 20%, по меньшей мере 21%, по меньшей мере 22%, по меньшей мере 23%, по меньшей мере 24%, по меньшей мере 25%, по меньшей мере 26%, по меньшей мере 27%, по меньшей мере 28%, по меньшей мере 29%, по меньшей мере 30%, по меньшей мере 31%, по меньшей мере 32%, по меньшей мере 33%, по меньшей мере 34%, по меньшей мере 35%, по меньшей мере 36%, по меньшей мере 37%, по меньшей мере 38%, по меньшей мере 39% или по меньшей мере 40% по сравнению с плацебо, как определяется с помощью CDR-SB. В некоторых вариантах осуществления вышеупомянутое уменьшение клинического ухудшения определяется после 1 месяца, 6 месяцев, 12 месяцев, 18 месяцев, 60 месяцев и/или 63 месяцев введения композиции, содержащей терапевтически эффективное количество по меньшей мере одного антитела к протофибриллам Aβ.

[186] В некоторых вариантах осуществления клиническое ухудшение уменьшается на 20-60% по сравнению с плацебо, как определяется с помощью CDR-SB. В некоторых вариантах осуществления клиническое ухудшение уменьшается на 25-60% по сравнению с плацебо, как определяется с помощью CDR-SB. В некоторых вариантах осуществления клиническое ухудшение уменьшается на 25-50% по сравнению с плацебо, как определяется с помощью CDR-SB. В некоторых вариантах осуществления клиническое ухудшение уменьшается на по меньшей мере 20% по сравнению с плацебо, как определяется с помощью CDR-SB. В некоторых вариантах осуществления клиническое ухудшение уменьшается на по меньшей мере 30% по сравнению с плацебо, как определяется с помощью CDR-SB. В некоторых вариантах осуществления клиническое ухудшение уменьшается на по меньшей мере 25%, как, например, на по меньшей мере 26% или по меньшей мере 28%, как определяется с помощью CDR-SB. В некоторых вариантах осуществления клиническое ухудшение уменьшается на по меньшей мере 30%, как, например, на по меньшей мере 35% или по меньшей мере 38%, как определяется с помощью CDR-SB. В некоторых вариантах осуществления вышеупомянутое уменьшение клинического ухудшения определяется после 1 месяца, 6 месяцев, 12 месяцев, 18 месяцев, 60 месяцев и/или 63 месяцев введения композиции, содержащей терапевтически эффективное количество по меньшей мере одного антитела к протофибриллам Aβ.

[187] В некоторых вариантах осуществления клиническое ухудшение уменьшается на по меньшей мере 30%, как, например, на по меньшей мере 35% или по меньшей мере 40%, по сравнению с плацебо, как определяется с помощью CDR-SB, после 6 месяцев введения композиции, содержащей терапевтически эффективное количество по меньшей мере одного антитела к протофибриллам Aβ. В некоторых вариантах осуществления клиническое ухудшение уменьшается на по меньшей мере 30%, как, например, на по меньшей мере 35% или по меньшей мере 45%, по сравнению с плацебо, как определяется с помощью CDR-SB, после 12 месяцев введения композиции, содержащей терапевтически эффективное количество по меньшей мере одного антитела к протофибриллам Aβ. В некоторых вариантах осуществления клиническое ухудшение уменьшается на по меньшей мере 20%, как, например, на по меньшей мере 25%, по сравнению с плацебо, как определяется с помощью CDR-SB, после 18 месяцев введения композиции, содержащей терапевтически эффективное количество по меньшей мере одного антитела к протофибриллам Aβ. В некоторых вариантах осуществления композиция содержит 10 мг/кг по меньшей мере одного антитела к протофибриллам Aβ и вводится один раз в две недели или один раз в месяц. В некоторых вариантах осуществления по меньшей мере одно антитело к протофибриллам Aβ представляет собой BAN2401.

[188] В некоторых вариантах осуществления клиническое ухудшение уменьшается на по меньшей мере 1%, по меньшей мере 2%, по меньшей мере 3%, по меньшей мере 4%, по меньшей мере 5%, по меньшей мере 6%, по меньшей мере 7%, по меньшей мере 8%, по меньшей мере 9%, по меньшей мере 10%, по меньшей мере 11%, по меньшей мере 12%, по меньшей мере 13% или по меньшей мере 14% по сравнению с плацебо, как определяется с помощью CDR-SB, где у субъекта было диагностировано наличие легкого когнитивного нарушения, с промежуточной вероятностью обусловленного болезнью Альцгеймера. В некоторых вариантах осуществления вышеупомянутое уменьшение клинического ухудшения определяется после 1 месяца, 6 месяцев, 12 месяцев, 18 месяцев, 60 месяцев и/или 63 месяцев введения композиции, содержащей терапевтически эффективное количество по меньшей мере одного антитела к протофибриллам Aβ.

[189] В некоторых вариантах осуществления клиническое ухудшение уменьшается на 10-20% по сравнению с плацебо, как определяется с помощью CDR-SB, где у субъекта было диагностировано наличие легкого когнитивного нарушения, с промежуточной вероятностью обусловленного болезнью Альцгеймера. В некоторых вариантах осуществления клиническое ухудшение уменьшается на по меньшей мере 5%, как, например, на по меньшей мере 10%, по меньшей мере 12% или по меньшей мере 14%, по сравнению с плацебо, как определяется с помощью CDR-SB, где у субъекта было диагностировано наличие легкого когнитивного нарушения, с промежуточной вероятностью обусловленного болезнью Альцгеймера. В некоторых вариантах осуществления клиническое ухудшение уменьшается на по меньшей мере 14% по сравнению с плацебо, как определяется с помощью CDR-SB, где у субъекта было диагностировано наличие легкого когнитивного нарушения, с промежуточной вероятностью обусловленного болезнью Альцгеймера. В некоторых вариантах осуществления вышеупомянутое уменьшение клинического ухудшения определяется после 1 месяца, 6 месяцев, 12 месяцев, 18 месяцев, 60 месяцев и/или 63 месяцев введения композиции, содержащей терапевтически эффективное количество по меньшей мере одного антитела к протофибриллам Aβ.

[190] В некоторых вариантах осуществления клиническое ухудшение у субъекта, у которого диагностировано наличие легкого когнитивного нарушения, с промежуточной вероятностью обусловленного болезнью Альцгеймера, уменьшается на по меньшей мере 14% по сравнению с плацебо, как определяется с помощью CDR-SB, после 18 месяцев введения композиции, содержащей терапевтически эффективное количество по меньшей мере одного антитела к протофибриллам Aβ. В некоторых вариантах осуществления композиция содержит 10 мг/кг по меньшей мере одного антитела к протофибриллам Aβ и вводится один раз в две недели или один раз в месяц. В некоторых вариантах осуществления по меньшей мере одно антитело к протофибриллам Aβ представляет собой BAN2401.

[191] В некоторых вариантах осуществления клиническое ухудшение уменьшается на по меньшей мере 1%, по меньшей мере 2%, по меньшей мере 3%, по меньшей мере 4%, по меньшей мере 5%, по меньшей мере 6%, по меньшей мере 7%, по меньшей мере 8%, по меньшей мере 9%, по меньшей мере 10%, по меньшей мере 11%, по меньшей мере 12%, по меньшей мере 13%, по меньшей мере 14%, по меньшей мере 15%, по меньшей мере 16%, по меньшей мере 17%, по меньшей мере 18%, по меньшей мере 19%, по меньшей мере 20%, по меньшей мере 21%, по меньшей мере 22%, по меньшей мере 23%, по меньшей мере 24%, по меньшей мере 25%, по меньшей мере 26%, по меньшей мере 27%, по меньшей мере 28%, по меньшей мере 29%, по меньшей мере 30%, по меньшей мере 31%, по меньшей мере 32%, по меньшей мере 33%, по меньшей мере 34%, по меньшей мере 35%, по меньшей мере 36%, по меньшей мере 37%, по меньшей мере 38%, по меньшей мере 39%, по меньшей мере 40%, по меньшей мере 41%, по меньшей мере 42%, по меньшей мере 43%, по меньшей мере 44%, по меньшей мере 45%, по меньшей мере 46%, по меньшей мере 47%, по меньшей мере 48%, по меньшей мере 49%, по меньшей мере 50% или по меньшей мере 51% по сравнению с плацебо, как определяется с помощью CDR-SB, где у субъекта было диагностировано наличие легкой деменции при болезни Альцгеймера. В некоторых вариантах осуществления вышеупомянутое уменьшение клинического ухудшения определяется после 1 месяца, 6 месяцев, 12 месяцев, 18 месяцев, 60 месяцев и/или 63 месяцев введения композиции, содержащей терапевтически эффективное количество по меньшей мере одного антитела к протофибриллам Aβ.

[192] В некоторых вариантах осуществления клиническое ухудшение уменьшается на 40-60% по сравнению с плацебо, как определяется с помощью CDR-SB, где у субъекта было диагностировано наличие легкой деменции при болезни Альцгеймера. В некоторых вариантах осуществления клиническое ухудшение уменьшается на по меньшей мере 45%, как, например, на по меньшей мере 48%, по меньшей мере 50% или по меньшей мере 51%, по сравнению с плацебо, как определяется с помощью CDR-SB, где у субъекта было диагностировано наличие легкой деменции при болезни Альцгеймера. В некоторых вариантах осуществления клиническое ухудшение уменьшается на по меньшей мере 51% по сравнению с плацебо, как определяется с помощью CDR-SB, где у субъекта было диагностировано наличие легкой деменции при болезни Альцгеймера. В некоторых вариантах осуществления вышеупомянутое уменьшение клинического ухудшения определяется после 1 месяца, 6 месяцев, 12 месяцев, 18 месяцев, 60 месяцев и/или 63 месяцев введения композиции, содержащей терапевтически эффективное количество по меньшей мере одного антитела к протофибриллам Aβ.

[193] В некоторых вариантах осуществления клиническое ухудшение у субъекта, у которого диагностировано наличие легкой деменции при болезни Альцгеймера, уменьшается на по меньшей мере 51% по сравнению с плацебо, как определяется с помощью CDR-SB, после 18 месяцев введения композиции, содержащей терапевтически эффективное количество по меньшей мере одного антитела к протофибриллам Aβ. В некоторых вариантах осуществления композиция содержит 10 мг/кг по меньшей мере одного антитела к протофибриллам Aβ и вводится один раз в две недели или один раз в месяц. В некоторых вариантах осуществления по меньшей мере одно антитело к протофибриллам Aβ представляет собой BAN2401.

[194] В некоторых вариантах осуществления уменьшение клинического ухудшения определяется после 1 месяца, 2 месяцев, 3 месяцев, 4 месяцев, 5 месяцев, 6 месяцев, 7 месяцев, 8 месяцев, 9 месяцев, 10 месяцев, 11 месяцев, 12 месяцев, 13 месяцев, 14 месяцев, 15 месяцев, 16 месяцев, 17 месяцев, 18 месяцев, 19 месяцев, 20 месяцев, 21 месяца, 22 месяцев, 23 месяцев, 24 месяцев, 30 месяцев, 36 месяцев, 42 месяцев, 48 месяцев, 54 месяцев, 60 месяцев, 63 месяцев, 66 месяцев и/или 72 месяцев введения композиции, содержащей терапевтически эффективное количество по меньшей мере одного антитела к протофибриллам Aβ. В некоторых вариантах осуществления уменьшение клинического ухудшения определяется после 1 месяца, 6 месяцев, 12 месяцев, 18 месяцев, 60 месяцев и/или 63 месяцев введения композиции, содержащей терапевтически эффективное количество по меньшей мере одного антитела к протофибриллам Aβ.

[195] В некоторых вариантах осуществления уменьшение клинического ухудшения определяется после 1 месяца введения композиции, содержащей терапевтически эффективное количество по меньшей мере одного антитела к протофибриллам Aβ. В некоторых вариантах осуществления уменьшение клинического ухудшения определяется после 6 месяцев введения композиции, содержащей терапевтически эффективное количество по меньшей мере одного антитела к протофибриллам Aβ. В некоторых вариантах осуществления уменьшение клинического ухудшения определяется после 12 месяцев введения композиции, содержащей терапевтически эффективное количество по меньшей мере одного антитела к протофибриллам Aβ. В некоторых вариантах осуществления уменьшение клинического ухудшения определяется после 18 месяцев введения композиции, содержащей терапевтически эффективное количество по меньшей мере одного антитела к протофибриллам Aβ. В некоторых вариантах осуществления уменьшение клинического ухудшения определяется после 60 месяцев введения композиции, содержащей терапевтически эффективное количество по меньшей мере одного антитела к протофибриллам Aβ. В некоторых вариантах осуществления уменьшение клинического ухудшения определяется после 63 месяцев введения композиции, содержащей терапевтически эффективное количество по меньшей мере одного антитела к протофибриллам Aβ.

[196] В некоторых вариантах осуществления уменьшение клинического ухудшения определяется после введения композиции, содержащей терапевтически эффективное количество BAN2401.

[197] В некоторых вариантах осуществления уменьшение клинического ухудшения определяется после 1 месяца, 2 месяцев, 3 месяцев, 4 месяцев, 5 месяцев, 6 месяцев, 7 месяцев, 8 месяцев, 9 месяцев, 10 месяцев, 11 месяцев, 12 месяцев, 13 месяцев, 14 месяцев, 15 месяцев, 16 месяцев, 17 месяцев, 18 месяцев, 19 месяцев, 20 месяцев, 21 месяца, 22 месяцев, 23 месяцев, 24 месяцев, 30 месяцев, 36 месяцев, 42 месяцев, 48 месяцев, 54 месяцев, 60 месяцев, 63 месяцев, 66 месяцев и/или 72 месяцев введения композиции, содержащей терапевтически эффективное количество BAN2401. В некоторых вариантах осуществления уменьшение клинического ухудшения определяется после 1 месяца, 6 месяцев, 12 месяцев, 18 месяцев, 60 месяцев и/или 63 месяцев введения композиции, содержащей терапевтически эффективное количество BAN2401. В некоторых вариантах осуществления уменьшение клинического ухудшения определяется после 1 месяца введения композиции, содержащей терапевтически эффективное количество BAN2401. В некоторых вариантах осуществления уменьшение клинического ухудшения определяется после 6 месяцев введения композиции, содержащей терапевтически эффективное количество BAN2401. В некоторых вариантах осуществления уменьшение клинического ухудшения определяется после 12 месяцев введения композиции, содержащей терапевтически эффективное количество BAN2401. В некоторых вариантах осуществления уменьшение клинического ухудшения определяется после 18 месяцев введения композиции, содержащей терапевтически эффективное количество BAN2401. В некоторых вариантах осуществления уменьшение клинического ухудшения определяется после 60 месяцев введения композиции, содержащей терапевтически эффективное количество BAN2401. В некоторых вариантах осуществления уменьшение клинического ухудшения определяется после 63 месяцев введения композиции, содержащей терапевтически эффективное количество BAN2401.

[198] В некоторых вариантах осуществления субъект является ApoE4-положительным.

[199] В некоторых вариантах осуществления клиническое ухудшение уменьшается на по меньшей мере 1%, по меньшей мере 2%, по меньшей мере 3%, по меньшей мере 4%, по меньшей мере 5%, по меньшей мере 6%, по меньшей мере 7%, по меньшей мере 8%, по меньшей мере 9%, по меньшей мере 10%, по меньшей мере 11%, по меньшей мере 12%, по меньшей мере 13%, по меньшей мере 14%, по меньшей мере 15%, по меньшей мере 16%, по меньшей мере 17%, по меньшей мере 18%, по меньшей мере 19%, по меньшей мере 20%, по меньшей мере 21%, по меньшей мере 22%, по меньшей мере 23%, по меньшей мере 24%, по меньшей мере 25%, по меньшей мере 26%, по меньшей мере 27%, по меньшей мере 28%, по меньшей мере 29%, по меньшей мере 30%, по меньшей мере 31%, по меньшей мере 32%, по меньшей мере 33%, по меньшей мере 34%, по меньшей мере 35%, по меньшей мере 36%, по меньшей мере 37%, по меньшей мере 38%, по меньшей мере 39%, по меньшей мере 40%, по меньшей мере 41%, по меньшей мере 42%, по меньшей мере 43%, по меньшей мере 44%, по меньшей мере 45%, по меньшей мере 46%, по меньшей мере 47%, по меньшей мере 48%, по меньшей мере 49%, по меньшей мере 50%, по меньшей мере 51%, по меньшей мере 52%, по меньшей мере 53%, по меньшей мере 54%, по меньшей мере 55%, по меньшей мере 56%, по меньшей мере 57%, по меньшей мере 58%, по меньшей мере 59%, по меньшей мере 60%, по меньшей мере 61%, по меньшей мере 62%, по меньшей мере 63%, по меньшей мере 64%, по меньшей мере 65%, по меньшей мере 66%, по меньшей мере 67%, по меньшей мере 68%, по меньшей мере 69%, по меньшей мере 70%, по меньшей мере 71%, по меньшей мере 72%, по меньшей мере 73% или по меньшей мере 74% по сравнению с плацебо, как определяется с помощью ADCOMS, где субъект является ApoE4-положительным. В некоторых вариантах осуществления вышеупомянутое уменьшение клинического ухудшения определяется после 1 месяца, 6 месяцев, 12 месяцев, 18 месяцев, 60 месяцев и/или 63 месяцев введения композиции, содержащей терапевтически эффективное количество по меньшей мере одного антитела к протофибриллам Aβ.

[200] В некоторых вариантах осуществления клиническое ухудшение уменьшается на 60-80%, как, например, на 63-74%, по сравнению с плацебо, как определяется с помощью ADCOMS, где субъект является ApoE4-положительным. В некоторых вариантах осуществления клиническое ухудшение уменьшается на по меньшей мере 60%, как, например, на по меньшей мере 63%, по сравнению с плацебо, как определяется с помощью ADCOMS, где субъект является ApoE4-положительным. В некоторых вариантах осуществления клиническое ухудшение уменьшается на по меньшей мере 65%, как, например, на по меньшей мере 67%, по сравнению с плацебо, как определяется с помощью ADCOMS, где субъект является ApoE4-положительным. В некоторых вариантах осуществления клиническое ухудшение уменьшается на по меньшей мере 70%, как, например, на по меньшей мере 74%, по сравнению с плацебо, как определяется с помощью ADCOMS, где субъект является ApoE4-положительным.

[201] В некоторых вариантах осуществления клиническое ухудшение у ApoE4-положительного субъекта уменьшается на по меньшей мере 70% по сравнению с плацебо, как определяется с помощью ADCOMS, после 6 месяцев введения композиции, содержащей терапевтически эффективное количество по меньшей мере одного антитела к протофибриллам Aβ. В некоторых вариантах осуществления клиническое ухудшение у ApoE4-положительного субъекта уменьшается на по меньшей мере 60% по сравнению с плацебо, как определяется с помощью ADCOMS, после 12 месяцев введения композиции, содержащей терапевтически эффективное количество по меньшей мере одного антитела к протофибриллам Aβ. В некоторых вариантах осуществления клиническое ухудшение у ApoE4-положительного субъекта уменьшается на по меньшей мере 50%, как, например, на по меньшей мере 55% или по меньшей мере 60%, по сравнению с плацебо, как определяется с помощью ADCOMS, после 18 месяцев введения композиции, содержащей терапевтически эффективное количество по меньшей мере одного антитела к протофибриллам Aβ. В некоторых вариантах осуществления клиническое ухудшение у ApoE4-положительного субъекта уменьшается на по меньшей мере 63% по сравнению с плацебо, как определяется с помощью ADCOMS, после 18 месяцев введения композиции, содержащей терапевтически эффективное количество по меньшей мере одного антитела к протофибриллам Aβ. В некоторых вариантах осуществления композиция содержит 10 мг/кг по меньшей мере одного антитела к протофибриллам Aβ и вводится один раз в две недели или один раз в месяц. В некоторых вариантах осуществления по меньшей мере одно антитело к протофибриллам Aβ представляет собой BAN2401.

[202] В некоторых вариантах осуществления клиническое ухудшение уменьшается на по меньшей мере 1%, по меньшей мере 2%, по меньшей мере 3%, по меньшей мере 4%, по меньшей мере 5%, по меньшей мере 6%, по меньшей мере 7%, по меньшей мере 8%, по меньшей мере 9%, по меньшей мере 10%, по меньшей мере 11%, по меньшей мере 12%, по меньшей мере 13%, по меньшей мере 14%, по меньшей мере 15%, по меньшей мере 16%, по меньшей мере 17%, по меньшей мере 18%, по меньшей мере 19%, по меньшей мере 20%, по меньшей мере 21%, по меньшей мере 22%, по меньшей мере 23%, по меньшей мере 24%, по меньшей мере 25%, по меньшей мере 26%, по меньшей мере 27%, по меньшей мере 28%, по меньшей мере 29%, по меньшей мере 30%, по меньшей мере 31%, по меньшей мере 32%, по меньшей мере 33%, по меньшей мере 34%, по меньшей мере 35%, по меньшей мере 36%, по меньшей мере 37%, по меньшей мере 38%, по меньшей мере 39%, по меньшей мере 40%, по меньшей мере 41%, по меньшей мере 42%, по меньшей мере 43%, по меньшей мере 44%, по меньшей мере 45%, по меньшей мере 46%, по меньшей мере 47%, по меньшей мере 48%, по меньшей мере 49%, по меньшей мере 50%, по меньшей мере 51%, по меньшей мере 52%, по меньшей мере 53%, по меньшей мере 54%, по меньшей мере 55%, по меньшей мере 56%, по меньшей мере 57%, по меньшей мере 58%, по меньшей мере 59%, по меньшей мере 60%, по меньшей мере 61%, по меньшей мере 62%, по меньшей мере 63%, по меньшей мере 64%, по меньшей мере 65%, по меньшей мере 66%, по меньшей мере 67%, по меньшей мере 68%, по меньшей мере 69%, по меньшей мере 70%, по меньшей мере 71%, по меньшей мере 72%, по меньшей мере 73%, по меньшей мере 74%, по меньшей мере 75%, по меньшей мере 76%, по меньшей мере 77%, по меньшей мере 78%, по меньшей мере 79%, по меньшей мере 80%, по меньшей мере 81%, по меньшей мере 82%, по меньшей мере 83%, по меньшей мере 84%, по меньшей мере 85%, по меньшей мере 86%, по меньшей мере 87%, по меньшей мере 88%, по меньшей мере 89%, по меньшей мере 90%, по меньшей мере 91%, по меньшей мере 92%, по меньшей мере 93%, по меньшей мере 94%, по меньшей мере 95%, по меньшей мере 96%, по меньшей мере 97%, по меньшей мере 98%, по меньшей мере 99%, по меньшей мере 100%, по меньшей мере 101%, по меньшей мере 102%, по меньшей мере 103%, по меньшей мере 104%, по меньшей мере 105%, по меньшей мере 106%, по меньшей мере 107%, по меньшей мере 108%, по меньшей мере 109%, по меньшей мере 110%, по меньшей мере 115%, по меньшей мере 120%, по меньшей мере 125%, по меньшей мере 130%, по меньшей мере 135%, по меньшей мере 140%, по меньшей мере 145%, по меньшей мере 150%, по меньшей мере 155%, по меньшей мере 160%, по меньшей мере 165%, по меньшей мере 170%, по меньшей мере 175%, по меньшей мере 180%, по меньшей мере 185%, по меньшей мере 190%, по меньшей мере 195%, по меньшей мере 200%, по меньшей мере 205%, по меньшей мере 210%, по меньшей мере 215%, по меньшей мере 220%, по меньшей мере 225%, по меньшей мере 230%, по меньшей мере 235%, по меньшей мере 240%, по меньшей мере 245%, по меньшей мере 250%, по меньшей мере 255%, по меньшей мере 260%, по меньшей мере 265%, по меньшей мере 270%, по меньшей мере 275%, по меньшей мере 280%, по меньшей мере 290%, по меньшей мере 295%, по меньшей мере 300%, по меньшей мере 305%, по меньшей мере 310%, по меньшей мере 315%, по меньшей мере 320%, по меньшей мере 325%, по меньшей мере 330% или по меньшей мере 331% по сравнению с плацебо, как определяется с помощью ADAS-Cog, где субъект является ApoE4-положительным. В некоторых вариантах осуществления вышеупомянутое уменьшение клинического ухудшения определяется после 1 месяца, 6 месяцев, 12 месяцев, 18 месяцев, 60 месяцев и/или 63 месяцев введения композиции, содержащей терапевтически эффективное количество по меньшей мере одного антитела к протофибриллам Aβ.

[203] В некоторых вариантах осуществления клиническое ухудшение уменьшается на 70-400%, как, например, на 80-350%, по сравнению с плацебо, как определяется с помощью ADAS-Cog, где субъект является ApoE4-положительным. В некоторых вариантах осуществления клиническое ухудшение уменьшается на по меньшей мере 70%, как, например, на по меньшей мере 75% или по меньшей мере 80%, по сравнению с плацебо, как определяется с помощью ADAS-Cog, где субъект является ApoE4-положительным. В некоторых вариантах осуществления клиническое ухудшение уменьшается на по меньшей мере 80%, как, например, на по меньшей мере 90% или по меньшей мере 100%, по сравнению с плацебо, как определяется с помощью ADAS-Cog, где субъект является ApoE4-положительным. В некоторых вариантах осуществления клиническое ухудшение уменьшается на по меньшей мере 300%, как, например, на по меньшей мере 330%, по сравнению с плацебо, как определяется с помощью ADAS-Cog, где субъект является ApoE4-положительным. В некоторых вариантах осуществления вышеупомянутое уменьшение клинического ухудшения определяется после 1 месяца, 6 месяцев, 12 месяцев, 18 месяцев, 60 месяцев и/или 63 месяцев введения композиции, содержащей терапевтически эффективное количество по меньшей мере одного антитела к протофибриллам Aβ.

[204] В некоторых вариантах осуществления клиническое ухудшение у ApoE4-положительного субъекта уменьшается на по меньшей мере 300% по сравнению с плацебо, как определяется с помощью ADAS-Cog, после 6 месяцев введения композиции, содержащей терапевтически эффективное количество по меньшей мере одного антитела к протофибриллам Aβ. В некоторых вариантах осуществления клиническое ухудшение у ApoE4-положительного субъекта уменьшается на по меньшей мере 80%, как, например, на по меньшей мере 90% или по меньшей мере 100%, по сравнению с плацебо, как определяется с помощью ADAS-Cog, после 12 месяцев введения композиции, содержащей терапевтически эффективное количество по меньшей мере одного антитела к протофибриллам Aβ. В некоторых вариантах осуществления клиническое ухудшение у ApoE4-положительного субъекта уменьшается на по меньшей мере 70%, как, например, на по меньшей мере 75%, по меньшей мере 80% или по меньшей мере 84%, по сравнению с плацебо, как определяется с помощью ADAS-Cog, после 18 месяцев введения композиции, содержащей терапевтически эффективное количество по меньшей мере одного антитела к протофибриллам Aβ. В некоторых вариантах осуществления клиническое ухудшение у ApoE4-положительного субъекта уменьшается на по меньшей мере 84% по сравнению с плацебо, как определяется с помощью ADAS-Cog, после 18 месяцев введения композиции, содержащей терапевтически эффективное количество по меньшей мере одного антитела к протофибриллам Aβ. В некоторых вариантах осуществления композиция содержит 10 мг/кг по меньшей мере одного антитела к протофибриллам Aβ и вводится один раз в две недели или один раз в месяц. В некоторых вариантах осуществления по меньшей мере одно антитело к протофибриллам Aβ представляет собой BAN2401.

[205] В некоторых вариантах осуществления клиническое ухудшение уменьшается на по меньшей мере 1%, по меньшей мере 2%, по меньшей мере 3%, по меньшей мере 4%, по меньшей мере 5%, по меньшей мере 6%, по меньшей мере 7%, по меньшей мере 8%, по меньшей мере 9%, по меньшей мере 10%, по меньшей мере 11%, по меньшей мере 12%, по меньшей мере 13%, по меньшей мере 14%, по меньшей мере 15%, по меньшей мере 16%, по меньшей мере 17%, по меньшей мере 18%, по меньшей мере 19%, по меньшей мере 20%, по меньшей мере 21%, по меньшей мере 22%, по меньшей мере 23%, по меньшей мере 24%, по меньшей мере 25%, по меньшей мере 26%, по меньшей мере 27%, по меньшей мере 28%, по меньшей мере 29%, по меньшей мере 30%, по меньшей мере 31%, по меньшей мере 32%, по меньшей мере 33%, по меньшей мере 34%, по меньшей мере 35%, по меньшей мере 36%, по меньшей мере 37%, по меньшей мере 38%, по меньшей мере 39%, по меньшей мере 40%, по меньшей мере 41%, по меньшей мере 42%, по меньшей мере 43%, по меньшей мере 44%, по меньшей мере 45%, по меньшей мере 46%, по меньшей мере 47%, по меньшей мере 48%, по меньшей мере 49%, по меньшей мере 50%, по меньшей мере 51%, по меньшей мере 52%, по меньшей мере 53%, по меньшей мере 54%, по меньшей мере 55%, по меньшей мере 56%, по меньшей мере 57%, по меньшей мере 58%, по меньшей мере 59%, по меньшей мере 60%, по меньшей мере 61%, по меньшей мере 62%, по меньшей мере 63%, по меньшей мере 64%, по меньшей мере 65%, по меньшей мере 66%, по меньшей мере 67%, по меньшей мере 68%, по меньшей мере 69%, по меньшей мере 70%, по меньшей мере 71%, по меньшей мере 72%, по меньшей мере 73%, по меньшей мере 74%, по меньшей мере 75%, по меньшей мере 76%, по меньшей мере 77%, по меньшей мере 78%, по меньшей мере 79%, по меньшей мере 80%, по меньшей мере 81%, по меньшей мере 82%, по меньшей мере 83%, по меньшей мере 84%, по меньшей мере 85%, по меньшей мере 86% или по меньшей мере 87% по сравнению с плацебо, как определяется с помощью CDR-SB, где субъект является ApoE4-положительным. В некоторых вариантах осуществления вышеупомянутое уменьшение клинического ухудшения определяется после 1 месяца, 6 месяцев, 12 месяцев, 18 месяцев, 60 месяцев и/или 63 месяцев введения композиции, содержащей терапевтически эффективное количество по меньшей мере одного антитела к протофибриллам Aβ.

[206] В некоторых вариантах осуществления клиническое ухудшение уменьшается на 35-150%, как, например, на 40-100% или 45-90%, по сравнению с плацебо, как определяется с помощью CDR-SB, где субъект является ApoE4-положительным. В некоторых вариантах осуществления клиническое ухудшение уменьшается на по меньшей мере 35%, как, например, на по меньшей мере 40% или по меньшей мере 45%, по сравнению с плацебо, как определяется с помощью CDR-SB, где субъект является ApoE4-положительным. В некоторых вариантах осуществления клиническое ухудшение уменьшается на по меньшей мере 50%, как, например, на по меньшей мере 55% или по меньшей мере 60%, по сравнению с плацебо, как определяется с помощью CDR-SB, где субъект является ApoE4-положительным. В некоторых вариантах осуществления клиническое ухудшение уменьшается на по меньшей мере 70%, как, например, на по меньшей мере 80% или по меньшей мере 85%, по сравнению с плацебо, как определяется с помощью CDR-SB, где субъект является ApoE4-положительным. В некоторых вариантах осуществления вышеупомянутое уменьшение клинического ухудшения определяется после 1 месяца, 6 месяцев, 12 месяцев, 18 месяцев, 60 месяцев и/или 63 месяцев введения композиции, содержащей терапевтически эффективное количество по меньшей мере одного антитела к протофибриллам Aβ.

[207] В некоторых вариантах осуществления клиническое ухудшение у ApoE4-положительного субъекта уменьшается на по меньшей мере 35%, как, например, на по меньшей мере 40% или по меньшей мере 45%, по сравнению с плацебо, как определяется с помощью CDR-SB, после 6 месяцев введения композиции, содержащей терапевтически эффективное количество по меньшей мере одного антитела к протофибриллам Aβ. В некоторых вариантах осуществления клиническое ухудшение у ApoE4-положительного субъекта уменьшается на по меньшей мере 70%, как, например, на по меньшей мере 75% или по меньшей мере 80%, по сравнению с плацебо, как определяется с помощью CDR-SB, после 12 месяцев введения композиции, содержащей терапевтически эффективное количество по меньшей мере одного антитела к протофибриллам Aβ. В некоторых вариантах осуществления клиническое ухудшение у ApoE4-положительного субъекта уменьшается на по меньшей мере 50%, как, например, на по меньшей мере 55% или по меньшей мере 60%, по сравнению с плацебо, как определяется с помощью CDR-SB, после 18 месяцев введения композиции, содержащей терапевтически эффективное количество по меньшей мере одного антитела к протофибриллам Aβ. В некоторых вариантах осуществления клиническое ухудшение у ApoE4-положительного субъекта уменьшается на по меньшей мере 60% по сравнению с плацебо, как определяется с помощью CDR-SB, после 18 месяцев введения композиции, содержащей терапевтически эффективное количество по меньшей мере одного антитела к протофибриллам Aβ. В некоторых вариантах осуществления композиция содержит 10 мг/кг по меньшей мере одного антитела к протофибриллам Aβ и вводится один раз в две недели или один раз в месяц. В некоторых вариантах осуществления по меньшей мере одно антитело к протофибриллам Aβ представляет собой BAN2401.

[208] В некоторых вариантах осуществления клиническое ухудшение уменьшается на по меньшей мере 1%, по меньшей мере 2%, по меньшей мере 3%, по меньшей мере 4%, по меньшей мере 5%, по меньшей мере 6%, по меньшей мере 7%, по меньшей мере 8%, по меньшей мере 9%, по меньшей мере 10%, по меньшей мере 11%, по меньшей мере 12%, по меньшей мере 13%, по меньшей мере 14%, по меньшей мере 15%, по меньшей мере 16%, по меньшей мере 17%, по меньшей мере 18%, по меньшей мере 19%, по меньшей мере 20%, по меньшей мере 21%, по меньшей мере 22%, по меньшей мере 23%, по меньшей мере 24%, по меньшей мере 25%, по меньшей мере 26%, по меньшей мере 27%, по меньшей мере 28%, по меньшей мере 29%, по меньшей мере 30%, по меньшей мере 31%, по меньшей мере 32%, по меньшей мере 33%, по меньшей мере 34%, по меньшей мере 35%, по меньшей мере 36%, по меньшей мере 37%, по меньшей мере 38%, по меньшей мере 39%, по меньшей мере 40%, по меньшей мере 41%, по меньшей мере 42%, по меньшей мере 43%, по меньшей мере 44%, по меньшей мере 45%, по меньшей мере 46%, по меньшей мере 47%, по меньшей мере 48%, по меньшей мере 49%, по меньшей мере 50%, по меньшей мере 51%, по меньшей мере 52%, по меньшей мере 53%, по меньшей мере 54%, по меньшей мере 55%, по меньшей мере 56%, по меньшей мере 57%, по меньшей мере 58% или по меньшей мере 59% по сравнению с плацебо, как определяется с помощью ADCOMS, где субъект является ApoE4-положительным и где у субъекта было диагностировано наличие легкого когнитивного нарушения, с промежуточной вероятностью обусловленного болезнью Альцгеймера. В некоторых вариантах осуществления вышеупомянутое уменьшение клинического ухудшения определяется после 1 месяца, 6 месяцев, 12 месяцев, 18 месяцев, 60 месяцев и/или 63 месяцев введения композиции, содержащей терапевтически эффективное количество по меньшей мере одного антитела к протофибриллам Aβ.

[209] В некоторых вариантах осуществления клиническое ухудшение уменьшается на 30-70%, как, например, на 38-59%, по сравнению с плацебо, как определяется с помощью ADCOMS, где субъект является ApoE4-положительным и где у субъекта было диагностировано наличие легкого когнитивного нарушения, с промежуточной вероятностью обусловленного болезнью Альцгеймера. В некоторых вариантах осуществления клиническое ухудшение уменьшается на по меньшей мере 30%, как, например, на по меньшей мере 35% или по меньшей мере 38%, по сравнению с плацебо, как определяется с помощью ADCOMS, где субъект является ApoE4-положительным и где у субъекта было диагностировано наличие легкого когнитивного нарушения, с промежуточной вероятностью обусловленного болезнью Альцгеймера. В некоторых вариантах осуществления клиническое ухудшение уменьшается на по меньшей мере 45%, как, например, на по меньшей мере 50% или по меньшей мере 53%, по сравнению с плацебо, как определяется с помощью ADCOMS, где субъект является ApoE4-положительным и где у субъекта было диагностировано наличие легкого когнитивного нарушения, с промежуточной вероятностью обусловленного болезнью Альцгеймера. В некоторых вариантах осуществления клиническое ухудшение уменьшается на по меньшей мере 50%, как, например, на по меньшей мере 55% или по меньшей мере 59%, по сравнению с плацебо, как определяется с помощью ADCOMS, где субъект является ApoE4-положительным и где у субъекта было диагностировано наличие легкого когнитивного нарушения, с промежуточной вероятностью обусловленного болезнью Альцгеймера. В некоторых вариантах осуществления вышеупомянутое уменьшение клинического ухудшения определяется после 1 месяца, 6 месяцев, 12 месяцев, 18 месяцев, 60 месяцев и/или 63 месяцев введения композиции, содержащей терапевтически эффективное количество по меньшей мере одного антитела к протофибриллам Aβ.

[210] В некоторых вариантах осуществления клиническое ухудшение у ApoE4-положительного субъекта, у которого диагностировано наличие легкого когнитивного нарушения, с промежуточной вероятностью обусловленного болезнью Альцгеймера, уменьшается на по меньшей мере 50%, как, например, на по меньшей мере 55%, по сравнению с плацебо, как определяется с помощью ADCOMS, после 6 месяцев введения композиции, содержащей терапевтически эффективное количество по меньшей мере одного антитела к протофибриллам Aβ. В некоторых вариантах осуществления клиническое ухудшение у ApoE4-положительного субъекта, у которого диагностировано наличие легкого когнитивного нарушения, с промежуточной вероятностью обусловленного болезнью Альцгеймера, уменьшается на по меньшей мере 30%, как, например, на по меньшей мере 35%, по сравнению с плацебо, как определяется с помощью ADCOMS, после 12 месяцев введения композиции, содержащей терапевтически эффективное количество по меньшей мере одного антитела к протофибриллам Aβ. В некоторых вариантах осуществления клиническое ухудшение у ApoE4-положительного субъекта, у которого диагностировано наличие легкого когнитивного нарушения, с промежуточной вероятностью обусловленного болезнью Альцгеймера, уменьшается на по меньшей мере 45%, как, например, на по меньшей мере 50% или по меньшей мере 55%, по сравнению с плацебо, как определяется с помощью ADCOMS, после 18 месяцев введения композиции, содержащей терапевтически эффективное количество по меньшей мере одного антитела к протофибриллам Aβ. В некоторых вариантах осуществления композиция содержит 10 мг/кг по меньшей мере одного антитела к протофибриллам Aβ и вводится один раз в две недели или один раз в месяц. В некоторых вариантах осуществления по меньшей мере одно антитело к протофибриллам Aβ представляет собой BAN2401.

[211] В некоторых вариантах осуществления клиническое ухудшение уменьшается на по меньшей мере 1%, по меньшей мере 2%, по меньшей мере 3%, по меньшей мере 4%, по меньшей мере 5%, по меньшей мере 6%, по меньшей мере 7%, по меньшей мере 8%, по меньшей мере 9%, по меньшей мере 10%, по меньшей мере 11%, по меньшей мере 12%, по меньшей мере 13%, по меньшей мере 14%, по меньшей мере 15%, по меньшей мере 16%, по меньшей мере 17%, по меньшей мере 18%, по меньшей мере 19%, по меньшей мере 20%, по меньшей мере 21%, по меньшей мере 22%, по меньшей мере 23%, по меньшей мере 24%, по меньшей мере 25%, по меньшей мере 26%, по меньшей мере 27%, по меньшей мере 28%, по меньшей мере 29%, по меньшей мере 30%, по меньшей мере 31%, по меньшей мере 32%, по меньшей мере 33%, по меньшей мере 34%, по меньшей мере 35%, по меньшей мере 36%, по меньшей мере 37%, по меньшей мере 38%, по меньшей мере 39%, по меньшей мере 40%, по меньшей мере 41%, по меньшей мере 42%, по меньшей мере 43%, по меньшей мере 44%, по меньшей мере 45%, по меньшей мере 46%, по меньшей мере 47%, по меньшей мере 48%, по меньшей мере 49%, по меньшей мере 50%, по меньшей мере 51%, по меньшей мере 52%, по меньшей мере 53%, по меньшей мере 54%, по меньшей мере 55%, по меньшей мере 56%, по меньшей мере 57%, по меньшей мере 58%, по меньшей мере 59%, по меньшей мере 60%, по меньшей мере 61%, по меньшей мере 62%, по меньшей мере 63%, по меньшей мере 64%, по меньшей мере 65%, по меньшей мере 66%, по меньшей мере 67%, по меньшей мере 68%, по меньшей мере 69%, по меньшей мере 70%, по меньшей мере 71%, по меньшей мере 72%, по меньшей мере 73%, по меньшей мере 74%, по меньшей мере 75%, по меньшей мере 76%, по меньшей мере 77%, по меньшей мере 78%, по меньшей мере 79%, по меньшей мере 80%, по меньшей мере 81%, по меньшей мере 82%, по меньшей мере 83%, по меньшей мере 84%, по меньшей мере 85%, по меньшей мере 86%, по меньшей мере 87%, по меньшей мере 88%, по меньшей мере 89%, по меньшей мере 90%, по меньшей мере 91%, по меньшей мере 92%, по меньшей мере 93%, по меньшей мере 94%, по меньшей мере 95%, по меньшей мере 96%, по меньшей мере 97%, по меньшей мере 98%, по меньшей мере 99%, по меньшей мере 100%, по меньшей мере 101%, по меньшей мере 102%, по меньшей мере 103%, по меньшей мере 104%, по меньшей мере 105%, по меньшей мере 106%, по меньшей мере 107%, по меньшей мере 108%, по меньшей мере 109%, по меньшей мере 110%, по меньшей мере 115%, по меньшей мере 120%, по меньшей мере 125%, по меньшей мере 130%, по меньшей мере 135%, по меньшей мере 140%, по меньшей мере 145%, по меньшей мере 150%, по меньшей мере 155%, по меньшей мере 160%, по меньшей мере 165%, по меньшей мере 170%, по меньшей мере 175%, по меньшей мере 180%, по меньшей мере 185%, по меньшей мере 190%, по меньшей мере 195%, по меньшей мере 200%, по меньшей мере 205%, по меньшей мере 210% или по меньшей мере 211% по сравнению с плацебо, как определяется с помощью ADCOMS, где субъект является ApoE4-положительным и где у субъекта было диагностировано наличие легкой деменции при болезни Альцгеймера. В некоторых вариантах осуществления вышеупомянутое уменьшение клинического ухудшения определяется после 1 месяца, 6 месяцев, 12 месяцев, 18 месяцев, 60 месяцев и/или 63 месяцев введения композиции, содержащей терапевтически эффективное количество по меньшей мере одного антитела к протофибриллам Aβ.

[212] В некоторых вариантах осуществления клиническое ухудшение у ApoE4-положительного субъекта, у которого диагностировано наличие легкой деменции при болезни Альцгеймера, уменьшается на по меньшей мере 100%, как, например, на по меньшей мере 110%, по сравнению с плацебо, как определяется с помощью ADCOMS, после 6 месяцев введения композиции, содержащей терапевтически эффективное количество по меньшей мере одного антитела к протофибриллам Aβ. В некоторых вариантах осуществления клиническое ухудшение у ApoE4-положительного субъекта, у которого диагностировано наличие легкой деменции при болезни Альцгеймера, уменьшается на по меньшей мере 100%, как, например, на по меньшей мере 110%, по сравнению с плацебо, как определяется с помощью ADCOMS, после 12 месяцев введения композиции, содержащей терапевтически эффективное количество по меньшей мере одного антитела к протофибриллам Aβ. В некоторых вариантах осуществления клиническое ухудшение у ApoE4-положительного субъекта, у которого диагностировано наличие легкой деменции при болезни Альцгеймера, уменьшается на по меньшей мере 65%, как, например, на по меньшей мере 70% или по меньшей мере 75%, по сравнению с плацебо, как определяется с помощью ADCOMS, после 18 месяцев введения композиции, содержащей терапевтически эффективное количество по меньшей мере одного антитела к протофибриллам Aβ. В некоторых вариантах осуществления композиция содержит 10 мг/кг по меньшей мере одного антитела к протофибриллам Aβ и вводится один раз в две недели или один раз в месяц. В некоторых вариантах осуществления по меньшей мере одно антитело к протофибриллам Aβ представляет собой BAN2401.

[213] В некоторых вариантах осуществления клиническое ухудшение уменьшается на по меньшей мере 1%, по меньшей мере 2%, по меньшей мере 3%, по меньшей мере 4%, по меньшей мере 5%, по меньшей мере 6%, по меньшей мере 7%, по меньшей мере 8%, по меньшей мере 9%, по меньшей мере 10%, по меньшей мере 11%, по меньшей мере 12%, по меньшей мере 13%, по меньшей мере 14%, по меньшей мере 15%, по меньшей мере 16%, по меньшей мере 17%, по меньшей мере 18%, по меньшей мере 19%, по меньшей мере 20%, по меньшей мере 21%, по меньшей мере 22%, по меньшей мере 23%, по меньшей мере 24%, по меньшей мере 25%, по меньшей мере 26%, по меньшей мере 27%, по меньшей мере 28%, по меньшей мере 29%, по меньшей мере 30%, по меньшей мере 31%, по меньшей мере 32%, по меньшей мере 33%, по меньшей мере 34%, по меньшей мере 35%, по меньшей мере 36%, по меньшей мере 37%, по меньшей мере 38%, по меньшей мере 39%, по меньшей мере 40%, по меньшей мере 41%, по меньшей мере 42%, по меньшей мере 43%, по меньшей мере 44%, по меньшей мере 45%, по меньшей мере 46%, по меньшей мере 47%, по меньшей мере 48%, по меньшей мере 49%, по меньшей мере 50%, по меньшей мере 51%, по меньшей мере 52%, по меньшей мере 53%, по меньшей мере 54%, по меньшей мере 55%, по меньшей мере 56%, по меньшей мере 57%, по меньшей мере 58%, по меньшей мере 59%, по меньшей мере 60%, по меньшей мере 61%, по меньшей мере 62%, по меньшей мере 63%, по меньшей мере 64%, по меньшей мере 65%, по меньшей мере 66%, по меньшей мере 67%, по меньшей мере 68%, по меньшей мере 69%, по меньшей мере 70%, по меньшей мере 71%, по меньшей мере 72%, по меньшей мере 73%, по меньшей мере 74%, по меньшей мере 75%, по меньшей мере 76%, по меньшей мере 77%, по меньшей мере 78%, по меньшей мере 79%, по меньшей мере 80%, по меньшей мере 81%, по меньшей мере 82%, по меньшей мере 83%, по меньшей мере 84%, по меньшей мере 85%, по меньшей мере 86%, по меньшей мере 87%, по меньшей мере 88%, по меньшей мере 89%, по меньшей мере 90%, по меньшей мере 91%, по меньшей мере 92%, по меньшей мере 93%, по меньшей мере 94%, по меньшей мере 95%, по меньшей мере 96%, по меньшей мере 97%, по меньшей мере 98%, по меньшей мере 99%, по меньшей мере 100%, по меньшей мере 101%, по меньшей мере 102%, по меньшей мере 103%, по меньшей мере 104%, по меньшей мере 105%, по меньшей мере 106%, по меньшей мере 107%, по меньшей мере 108%, по меньшей мере 109%, по меньшей мере 110%, по меньшей мере 115%, по меньшей мере 120%, по меньшей мере 125%, по меньшей мере 130%, по меньшей мере 135%, по меньшей мере 140%, по меньшей мере 145%, по меньшей мере 150%, по меньшей мере 155%, по меньшей мере 160%, по меньшей мере 165%, по меньшей мере 170%, по меньшей мере 175%, по меньшей мере 180%, по меньшей мере 185%, по меньшей мере 190%, по меньшей мере 195%, по меньшей мере 200%, по меньшей мере 205%, по меньшей мере 210% или по меньшей мере 211% по сравнению с плацебо, как определяется с помощью ADAS-Cog, где субъект является ApoE4-положительным и где у субъекта было диагностировано наличие легкого когнитивного нарушения, с промежуточной вероятностью обусловленного болезнью Альцгеймера. В некоторых вариантах осуществления вышеупомянутое уменьшение клинического ухудшения определяется после 1 месяца, 6 месяцев, 12 месяцев, 18 месяцев, 60 месяцев и/или 63 месяцев введения композиции, содержащей терапевтически эффективное количество по меньшей мере одного антитела к протофибриллам Aβ.

[214] В некоторых вариантах осуществления клиническое ухудшение уменьшается на 40-300%, как, например, на 45-250% или 50-250%, по сравнению с плацебо, как определяется с помощью ADAS-Cog, где субъект является ApoE4-положительным и где у субъекта было диагностировано наличие легкого когнитивного нарушения, с промежуточной вероятностью обусловленного болезнью Альцгеймера. В некоторых вариантах осуществления клиническое ухудшение уменьшается на по меньшей мере 40%, как, например, на по меньшей мере 45% или по меньшей мере 50%, по сравнению с плацебо, как определяется с помощью ADAS-Cog, где субъект является ApoE4-положительным и где у субъекта было диагностировано наличие легкого когнитивного нарушения, с промежуточной вероятностью обусловленного болезнью Альцгеймера. В некоторых вариантах осуществления клиническое ухудшение уменьшается на по меньшей мере 60%, как, например, на по меньшей мере 70%, по меньшей мере 75% или по меньшей мере 80%, по сравнению с плацебо, как определяется с помощью ADAS-Cog, где субъект является ApoE4-положительным и где у субъекта было диагностировано наличие легкого когнитивного нарушения, с промежуточной вероятностью обусловленного болезнью Альцгеймера. В некоторых вариантах осуществления клиническое ухудшение уменьшается на по меньшей мере 100%, как, например, на по меньшей мере 150% или по меньшей мере 200%, по сравнению с плацебо, как определяется с помощью ADAS-Cog, где субъект является ApoE4-положительным и где у субъекта было диагностировано наличие легкого когнитивного нарушения, с промежуточной вероятностью обусловленного болезнью Альцгеймера. В некоторых вариантах осуществления вышеупомянутое уменьшение клинического ухудшения определяется после 1 месяца, 6 месяцев, 12 месяцев, 18 месяцев, 60 месяцев и/или 63 месяцев введения композиции, содержащей терапевтически эффективное количество по меньшей мере одного антитела к протофибриллам Aβ.

[215] В некоторых вариантах осуществления клиническое ухудшение у ApoE4-положительного субъекта, у которого диагностировано наличие легкого когнитивного нарушения, с промежуточной вероятностью обусловленного болезнью Альцгеймера, уменьшается на по меньшей мере 100%, как, например, на по меньшей мере 150% или по меньшей мере 200%, по сравнению с плацебо, как определяется с помощью ADAS-Cog, после 6 месяцев введения композиции, содержащей терапевтически эффективное количество по меньшей мере одного антитела к протофибриллам Aβ. В некоторых вариантах осуществления клиническое ухудшение у ApoE4-положительного субъекта, у которого диагностировано наличие легкого когнитивного нарушения, с промежуточной вероятностью обусловленного болезнью Альцгеймера, уменьшается на по меньшей мере 40%, как, например, на по меньшей мере 45% или по меньшей мере 50%, по сравнению с плацебо, как определяется с помощью ADAS-Cog, после 12 месяцев введения композиции, содержащей терапевтически эффективное количество по меньшей мере одного антитела к протофибриллам Aβ. В некоторых вариантах осуществления клиническое ухудшение у ApoE4-положительного субъекта, у которого диагностировано наличие легкого когнитивного нарушения, с промежуточной вероятностью обусловленного болезнью Альцгеймера, уменьшается на по меньшей мере 50%, как, например, на по меньшей мере 60%, по меньшей мере 70% или по меньшей мере 75%, по сравнению с плацебо, как определяется с помощью ADAS-Cog, после 18 месяцев введения композиции, содержащей терапевтически эффективное количество по меньшей мере одного антитела к протофибриллам Aβ. В некоторых вариантах осуществления композиция содержит 10 мг/кг по меньшей мере одного антитела к протофибриллам Aβ и вводится один раз в две недели или один раз в месяц. В некоторых вариантах осуществления по меньшей мере одно антитело к протофибриллам Aβ представляет собой BAN2401.

[216] В некоторых вариантах осуществления клиническое ухудшение уменьшается на по меньшей мере 1%, по меньшей мере 2%, по меньшей мере 3%, по меньшей мере 4%, по меньшей мере 5%, по меньшей мере 6%, по меньшей мере 7%, по меньшей мере 8%, по меньшей мере 9%, по меньшей мере 10%, по меньшей мере 11%, по меньшей мере 12%, по меньшей мере 13%, по меньшей мере 14%, по меньшей мере 15%, по меньшей мере 16%, по меньшей мере 17%, по меньшей мере 18%, по меньшей мере 19%, по меньшей мере 20%, по меньшей мере 21%, по меньшей мере 22%, по меньшей мере 23%, по меньшей мере 24%, по меньшей мере 25%, по меньшей мере 26%, по меньшей мере 27%, по меньшей мере 28%, по меньшей мере 29%, по меньшей мере 30%, по меньшей мере 31%, по меньшей мере 32%, по меньшей мере 33%, по меньшей мере 34%, по меньшей мере 35%, по меньшей мере 36%, по меньшей мере 37%, по меньшей мере 38%, по меньшей мере 39%, по меньшей мере 40%, по меньшей мере 41%, по меньшей мере 42%, по меньшей мере 43%, по меньшей мере 44% или по меньшей мере 45% по сравнению с плацебо, как определяется с помощью CDR-SB, где субъект является ApoE4-положительным и где у субъекта было диагностировано наличие легкого когнитивного нарушения, с промежуточной вероятностью обусловленного болезнью Альцгеймера. В некоторых вариантах осуществления вышеупомянутое уменьшение клинического ухудшения определяется после 1 месяца, 6 месяцев, 12 месяцев, 18 месяцев, 60 месяцев и/или 63 месяцев введения композиции, содержащей терапевтически эффективное количество по меньшей мере одного антитела к протофибриллам Aβ.

[217] В некоторых вариантах осуществления клиническое ухудшение уменьшается на 20-90%, как, например, на 25-80% или 30-75%, по сравнению с плацебо, как определяется с помощью CDR-SB, где субъект является ApoE4-положительным и где у субъекта было диагностировано наличие легкого когнитивного нарушения, с промежуточной вероятностью обусловленного болезнью Альцгеймера. В некоторых вариантах осуществления клиническое ухудшение уменьшается на по меньшей мере 25%, как, например, на по меньшей мере 30%, по сравнению с плацебо, как определяется с помощью CDR-SB, где субъект является ApoE4-положительным и где у субъекта было диагностировано наличие легкого когнитивного нарушения, с промежуточной вероятностью обусловленного болезнью Альцгеймера. В некоторых вариантах осуществления клиническое ухудшение уменьшается на по меньшей мере 30%, как, например, на по меньшей мере 35% или 40%, по сравнению с плацебо, как определяется с помощью CDR-SB, где субъект является ApoE4-положительным и где у субъекта было диагностировано наличие легкого когнитивного нарушения, с промежуточной вероятностью обусловленного болезнью Альцгеймера. В некоторых вариантах осуществления клиническое ухудшение уменьшается на по меньшей мере 35%, как, например, на по меньшей мере 40% или 45%, по сравнению с плацебо, как определяется с помощью CDR-SB, где субъект является ApoE4-положительным и где у субъекта было диагностировано наличие легкого когнитивного нарушения, с промежуточной вероятностью обусловленного болезнью Альцгеймера. В некоторых вариантах осуществления вышеупомянутое уменьшение клинического ухудшения определяется после 1 месяца, 6 месяцев, 12 месяцев, 18 месяцев, 60 месяцев и/или 63 месяцев введения композиции, содержащей терапевтически эффективное количество по меньшей мере одного антитела к протофибриллам Aβ.

[218] В некоторых вариантах осуществления клиническое ухудшение у ApoE4-положительного субъекта, у которого диагностировано наличие легкого когнитивного нарушения, с промежуточной вероятностью обусловленного болезнью Альцгеймера, уменьшается на по меньшей мере 35%, как, например, на по меньшей мере 40% или по меньшей мере 45%, по сравнению с плацебо, как определяется с помощью CDR-SB, после введения композиции, содержащей терапевтически эффективное количество по меньшей мере одного антитела к протофибриллам Aβ. В некоторых вариантах осуществления клиническое ухудшение у ApoE4-положительного субъекта, у которого диагностировано наличие легкого когнитивного нарушения, с промежуточной вероятностью обусловленного болезнью Альцгеймера, уменьшается на по меньшей мере 20%, как, например, на по меньшей мере 25% или по меньшей мере 30%, по сравнению с плацебо, как определяется с помощью CDR-SB, после 12 месяцев введения композиции, содержащей терапевтически эффективное количество по меньшей мере одного антитела к протофибриллам Aβ. В некоторых вариантах осуществления клиническое ухудшение у ApoE4-положительного субъекта, у которого диагностировано наличие легкого когнитивного нарушения, с промежуточной вероятностью обусловленного болезнью Альцгеймера, уменьшается на по меньшей мере 35%, как, например, на по меньшей мере 40%, по сравнению с плацебо, как определяется с помощью CDR-SB, после 18 месяцев введения композиции, содержащей терапевтически эффективное количество по меньшей мере одного антитела к протофибриллам Aβ. В некоторых вариантах осуществления композиция содержит 10 мг/кг по меньшей мере одного антитела к протофибриллам Aβ и вводится один раз в две недели или один раз в месяц. В некоторых вариантах осуществления по меньшей мере одно антитело к протофибриллам Aβ представляет собой BAN2401.

[219] В некоторых вариантах осуществления клиническое ухудшение уменьшается на по меньшей мере 1%, по меньшей мере 2%, по меньшей мере 3%, по меньшей мере 4%, по меньшей мере 5%, по меньшей мере 6%, по меньшей мере 7%, по меньшей мере 8%, по меньшей мере 9%, по меньшей мере 10%, по меньшей мере 11%, по меньшей мере 12%, по меньшей мере 13%, по меньшей мере 14%, по меньшей мере 15%, по меньшей мере 16%, по меньшей мере 17%, по меньшей мере 18%, по меньшей мере 19%, по меньшей мере 20%, по меньшей мере 21%, по меньшей мере 22%, по меньшей мере 23%, по меньшей мере 24%, по меньшей мере 25%, по меньшей мере 26%, по меньшей мере 27%, по меньшей мере 28%, по меньшей мере 29%, по меньшей мере 30%, по меньшей мере 31%, по меньшей мере 32%, по меньшей мере 33%, по меньшей мере 34%, по меньшей мере 35%, по меньшей мере 36%, по меньшей мере 37%, по меньшей мере 38%, по меньшей мере 39%, по меньшей мере 40%, по меньшей мере 41%, по меньшей мере 42%, по меньшей мере 43%, по меньшей мере 44%, по меньшей мере 45%, по меньшей мере 46%, по меньшей мере 47%, по меньшей мере 48%, по меньшей мере 49%, по меньшей мере 50%, по меньшей мере 51%, по меньшей мере 52%, по меньшей мере 53%, по меньшей мере 54%, по меньшей мере 55%, по меньшей мере 56%, по меньшей мере 57%, по меньшей мере 58%, по меньшей мере 59%, по меньшей мере 60%, по меньшей мере 61%, по меньшей мере 62%, по меньшей мере 63%, по меньшей мере 64%, по меньшей мере 65%, по меньшей мере 66%, по меньшей мере 67%, по меньшей мере 68%, по меньшей мере 69%, по меньшей мере 70%, по меньшей мере 71%, по меньшей мере 72%, по меньшей мере 73%, по меньшей мере 74%, по меньшей мере 75%, по меньшей мере 76%, по меньшей мере 77%, по меньшей мере 78%, по меньшей мере 79%, по меньшей мере 80%, по меньшей мере 81%, по меньшей мере 82%, по меньшей мере 83%, по меньшей мере 84%, по меньшей мере 85%, по меньшей мере 86%, по меньшей мере 87%, по меньшей мере 88%, по меньшей мере 89%, по меньшей мере 90%, по меньшей мере 91%, по меньшей мере 92%, по меньшей мере 93%, по меньшей мере 94%, по меньшей мере 95%, по меньшей мере 96%, по меньшей мере 97%, по меньшей мере 98%, по меньшей мере 99%, по меньшей мере 100%, по меньшей мере 101%, по меньшей мере 102%, по меньшей мере 103%, по меньшей мере 104%, по меньшей мере 105%, по меньшей мере 106%, по меньшей мере 107%, по меньшей мере 108%, по меньшей мере 109%, по меньшей мере 110%, по меньшей мере 111%, по меньшей мере 112%, по меньшей мере 113%, по меньшей мере 114%, по меньшей мере 115%, по меньшей мере 116%, по меньшей мере 117%, по меньшей мере 118% или по меньшей мере 119% по сравнению с плацебо, как определяется с помощью ADCOMS, где субъект является ApoE4-положительным и где у субъекта было диагностировано наличие легкой деменции при болезни Альцгеймера. В некоторых вариантах осуществления вышеупомянутое уменьшение клинического ухудшения определяется после 1 месяца, 6 месяцев, 12 месяцев, 18 месяцев, 60 месяцев и/или 63 месяцев введения композиции, содержащей терапевтически эффективное количество по меньшей мере одного антитела к протофибриллам Aβ.

[220] В некоторых вариантах осуществления клиническое ухудшение уменьшается на 76-119% по сравнению с плацебо, как определяется с помощью ADCOMS, где субъект является ApoE4-положительным и где у субъекта было диагностировано наличие легкой деменции при болезни Альцгеймера. В некоторых вариантах осуществления клиническое ухудшение уменьшается на 76% по сравнению с плацебо, как определяется с помощью ADCOMS, где субъект является ApoE4-положительным и где у субъекта было диагностировано наличие легкой деменции при болезни Альцгеймера. В некоторых вариантах осуществления клиническое ухудшение уменьшается на 113% по сравнению с плацебо, как определяется с помощью ADCOMS, где субъект является ApoE4-положительным и где у субъекта было диагностировано наличие легкой деменции при болезни Альцгеймера. В некоторых вариантах осуществления клиническое ухудшение уменьшается на 119% по сравнению с плацебо, как определяется с помощью ADCOMS, где субъект является ApoE4-положительным и где у субъекта было диагностировано наличие легкой деменции при болезни Альцгеймера. В некоторых вариантах осуществления вышеупомянутое уменьшение клинического ухудшения определяется после 1 месяца, 6 месяцев, 12 месяцев, 18 месяцев, 60 месяцев и/или 63 месяцев введения композиции, содержащей терапевтически эффективное количество по меньшей мере одного антитела к протофибриллам Aβ.

[221] В некоторых вариантах осуществления клиническое ухудшение уменьшается на по меньшей мере 1%, по меньшей мере 2%, по меньшей мере 3%, по меньшей мере 4%, по меньшей мере 5%, по меньшей мере 6%, по меньшей мере 7%, по меньшей мере 8%, по меньшей мере 9%, по меньшей мере 10%, по меньшей мере 11%, по меньшей мере 12%, по меньшей мере 13%, по меньшей мере 14%, по меньшей мере 15%, по меньшей мере 16%, по меньшей мере 17%, по меньшей мере 18%, по меньшей мере 19%, по меньшей мере 20%, по меньшей мере 21%, по меньшей мере 22%, по меньшей мере 23%, по меньшей мере 24%, по меньшей мере 25%, по меньшей мере 26%, по меньшей мере 27%, по меньшей мере 28%, по меньшей мере 29%, по меньшей мере 30%, по меньшей мере 31%, по меньшей мере 32%, по меньшей мере 33%, по меньшей мере 34%, по меньшей мере 35%, по меньшей мере 36%, по меньшей мере 37%, по меньшей мере 38%, по меньшей мере 39%, по меньшей мере 40%, по меньшей мере 41%, по меньшей мере 42%, по меньшей мере 43%, по меньшей мере 44%, по меньшей мере 45%, по меньшей мере 46%, по меньшей мере 47%, по меньшей мере 48%, по меньшей мере 49%, по меньшей мере 50%, по меньшей мере 51%, по меньшей мере 52%, по меньшей мере 53%, по меньшей мере 54%, по меньшей мере 55%, по меньшей мере 56%, по меньшей мере 57%, по меньшей мере 58%, по меньшей мере 59%, по меньшей мере 60%, по меньшей мере 61%, по меньшей мере 62%, по меньшей мере 63%, по меньшей мере 64%, по меньшей мере 65%, по меньшей мере 66%, по меньшей мере 67%, по меньшей мере 68%, по меньшей мере 69%, по меньшей мере 70%, по меньшей мере 71%, по меньшей мере 72%, по меньшей мере 73%, по меньшей мере 74%, по меньшей мере 75%, по меньшей мере 76%, по меньшей мере 77%, по меньшей мере 78%, по меньшей мере 79%, по меньшей мере 80%, по меньшей мере 81%, по меньшей мере 82%, по меньшей мере 83%, по меньшей мере 84%, по меньшей мере 85%, по меньшей мере 86%, по меньшей мере 87%, по меньшей мере 88%, по меньшей мере 89%, по меньшей мере 90%, по меньшей мере 91%, по меньшей мере 92%, по меньшей мере 93%, по меньшей мере 94%, по меньшей мере 95%, по меньшей мере 96%, по меньшей мере 97%, по меньшей мере 98%, по меньшей мере 99%, по меньшей мере 100%, по меньшей мере 101%, по меньшей мере 102%, по меньшей мере 103%, по меньшей мере 104%, по меньшей мере 105%, по меньшей мере 106%, по меньшей мере 107%, по меньшей мере 108%, по меньшей мере 109%, по меньшей мере 110%, по меньшей мере 111%, по меньшей мере 112%, по меньшей мере 113%, по меньшей мере 114%, по меньшей мере 115%, по меньшей мере 116%, по меньшей мере 117%, по меньшей мере 118%, по меньшей мере 119%, по меньшей мере 120%, по меньшей мере 121%, по меньшей мере 122%, по меньшей мере 123%, по меньшей мере 124%, по меньшей мере 125%, по меньшей мере 126%, по меньшей мере 127%, по меньшей мере 128%, по меньшей мере 129%, по меньшей мере 130%, по меньшей мере 131%, по меньшей мере 132%, по меньшей мере 133%, по меньшей мере 134%, по меньшей мере 135%, по меньшей мере 136%, по меньшей мере 137%, по меньшей мере 138%, по меньшей мере 139%, по меньшей мере 140%, по меньшей мере 141%, по меньшей мере 142%, по меньшей мере 143%, по меньшей мере 144%, по меньшей мере 145%, по меньшей мере 146%, по меньшей мере 147%, по меньшей мере 148%, по меньшей мере 149%, по меньшей мере 150%, по меньшей мере 151%, по меньшей мере 152%, по меньшей мере 153%, по меньшей мере 154%, по меньшей мере 155%, по меньшей мере 156%, по меньшей мере 157%, по меньшей мере 158%, по меньшей мере 159%, по меньшей мере 160%, по меньшей мере 161%, по меньшей мере 162%, по меньшей мере 163%, по меньшей мере 164%, по меньшей мере 165%, по меньшей мере 166%, по меньшей мере 167%, по меньшей мере 168%, по меньшей мере 169%, по меньшей мере 170%, по меньшей мере 171%, по меньшей мере 172%, по меньшей мере 173%, по меньшей мере 174%, по меньшей мере 175%, по меньшей мере 176%, по меньшей мере 177%, по меньшей мере 178%, по меньшей мере 179%, по меньшей мере 180%, по меньшей мере 190%, по меньшей мере 200%, по меньшей мере 210%, по меньшей мере 220%, по меньшей мере 230%, по меньшей мере 240%, по меньшей мере 250%, по меньшей мере 275%, по меньшей мере 300%, по меньшей мере 325%, по меньшей мере 350%, по меньшей мере 375%, по меньшей мере 400%, по меньшей мере 425%, по меньшей мере 450%, по меньшей мере 475%, по меньшей мере 500%, по меньшей мере 550%, по меньшей мере 600%, по меньшей мере 650%, по меньшей мере 700%, по меньшей мере 750%, по меньшей мере 800%, по меньшей мере 850%, по меньшей мере 900%, по меньшей мере 950%, по меньшей мере 1000%, по меньшей мере 1001%, по меньшей мере 1002%, по меньшей мере 1003%, по меньшей мере 1004%, по меньшей мере 1005%, по меньшей мере 1006%, по меньшей мере 1007%, по меньшей мере 1008%, по меньшей мере 1009%, по меньшей мере 1010%, по меньшей мере 1011%, по меньшей мере 1012%, по меньшей мере 1013%, по меньшей мере 1014%, по меньшей мере 1015%, по меньшей мере 1016%, по меньшей мере 1017%, по меньшей мере 1018%, по меньшей мере 1019%, по меньшей мере 1020%, по меньшей мере 1021%, по меньшей мере 1022% или по меньшей мере 1023% по сравнению с плацебо, как определяется с помощью ADAS-Cog, где субъект является ApoE4-положительным и где у субъекта было диагностировано наличие легкой деменции при болезни Альцгеймера. В некоторых вариантах осуществления вышеупомянутое уменьшение клинического ухудшения определяется после 1 месяца, 6 месяцев, 12 месяцев, 18 месяцев, 60 месяцев и/или 63 месяцев введения композиции, содержащей терапевтически эффективное количество по меньшей мере одного антитела к протофибриллам Aβ.

[222] В некоторых вариантах осуществления клиническое ухудшение уменьшается на 58-1023% по сравнению с плацебо, как определяется с помощью ADAS-Cog, где субъект является ApoE4-положительным и где у субъекта было диагностировано наличие легкой деменции при болезни Альцгеймера. В некоторых вариантах осуществления клиническое ухудшение уменьшается на 58% по сравнению с плацебо, как определяется с помощью ADAS-Cog, где субъект является ApoE4-положительным и где у субъекта было диагностировано наличие легкой деменции при болезни Альцгеймера. В некоторых вариантах осуществления клиническое ухудшение уменьшается на 171% по сравнению с плацебо, как определяется с помощью ADAS-Cog, где субъект является ApoE4-положительным и где у субъекта было диагностировано наличие легкой деменции при болезни Альцгеймера. В некоторых вариантах осуществления клиническое ухудшение уменьшается на 1023% по сравнению с плацебо, как определяется с помощью ADAS-Cog, где субъект является ApoE4-положительным и где у субъекта было диагностировано наличие легкой деменции при болезни Альцгеймера. В некоторых вариантах осуществления вышеупомянутое уменьшение клинического ухудшения определяется после 1 месяца, 6 месяцев, 12 месяцев, 18 месяцев, 60 месяцев и/или 63 месяцев введения композиции, содержащей терапевтически эффективное количество по меньшей мере одного антитела к протофибриллам Aβ.

[223] В некоторых вариантах осуществления клиническое ухудшение уменьшается на по меньшей мере 1%, по меньшей мере 2%, по меньшей мере 3%, по меньшей мере 4%, по меньшей мере 5%, по меньшей мере 6%, по меньшей мере 7%, по меньшей мере 8%, по меньшей мере 9%, по меньшей мере 10%, по меньшей мере 11%, по меньшей мере 12%, по меньшей мере 13%, по меньшей мере 14%, по меньшей мере 15%, по меньшей мере 16%, по меньшей мере 17%, по меньшей мере 18%, по меньшей мере 19%, по меньшей мере 20%, по меньшей мере 21%, по меньшей мере 22%, по меньшей мере 23%, по меньшей мере 24%, по меньшей мере 25%, по меньшей мере 26%, по меньшей мере 27%, по меньшей мере 28%, по меньшей мере 29%, по меньшей мере 30%, по меньшей мере 31%, по меньшей мере 32%, по меньшей мере 33%, по меньшей мере 34%, по меньшей мере 35%, по меньшей мере 36%, по меньшей мере 37%, по меньшей мере 38%, по меньшей мере 39%, по меньшей мере 40%, по меньшей мере 41%, по меньшей мере 42%, по меньшей мере 43%, по меньшей мере 44%, по меньшей мере 45%, по меньшей мере 46%, по меньшей мере 47%, по меньшей мере 48%, по меньшей мере 49%, по меньшей мере 50%, по меньшей мере 51%, по меньшей мере 52%, по меньшей мере 53%, по меньшей мере 54%, по меньшей мере 55%, по меньшей мере 56%, по меньшей мере 57%, по меньшей мере 58%, по меньшей мере 59%, по меньшей мере 60%, по меньшей мере 61%, по меньшей мере 62%, по меньшей мере 63%, по меньшей мере 64%, по меньшей мере 65%, по меньшей мере 66%, по меньшей мере 67%, по меньшей мере 68%, по меньшей мере 69%, по меньшей мере 70%, по меньшей мере 71%, по меньшей мере 72%, по меньшей мере 73%, по меньшей мере 74%, по меньшей мере 75%, по меньшей мере 76%, по меньшей мере 77%, по меньшей мере 78%, по меньшей мере 79%, по меньшей мере 80%, по меньшей мере 81%, по меньшей мере 82%, по меньшей мере 83%, по меньшей мере 84%, по меньшей мере 85%, по меньшей мере 86%, по меньшей мере 87%, по меньшей мере 88%, по меньшей мере 89%, по меньшей мере 90%, по меньшей мере 91%, по меньшей мере 92%, по меньшей мере 93%, по меньшей мере 94%, по меньшей мере 95%, по меньшей мере 96%, по меньшей мере 97%, по меньшей мере 98%, по меньшей мере 99%, по меньшей мере 100%, по меньшей мере 101%, по меньшей мере 102%, по меньшей мере 103%, по меньшей мере 104%, по меньшей мере 105%, по меньшей мере 106%, по меньшей мере 107%, по меньшей мере 108%, по меньшей мере 109%, по меньшей мере 110%, по меньшей мере 111%, по меньшей мере 112%, по меньшей мере 113%, по меньшей мере 114%, по меньшей мере 115%, по меньшей мере 116%, по меньшей мере 117%, по меньшей мере 118%, по меньшей мере 119%, по меньшей мере 120%, по меньшей мере 121%, по меньшей мере 122%, по меньшей мере 123%, по меньшей мере 124%, по меньшей мере 125%, по меньшей мере 126%, по меньшей мере 127%, по меньшей мере 128%, по меньшей мере 129%, по меньшей мере 130%, по меньшей мере 131%, по меньшей мере 132%, по меньшей мере 133%, по меньшей мере 134%, по меньшей мере 135%, по меньшей мере 136%, по меньшей мере 137%, по меньшей мере 138%, по меньшей мере 139%, по меньшей мере 140%, по меньшей мере 141%, по меньшей мере 142%, по меньшей мере 143%, по меньшей мере 144%, по меньшей мере 145%, по меньшей мере 146%, по меньшей мере 147%, по меньшей мере 148%, по меньшей мере 149%, по меньшей мере 150%, по меньшей мере 151%, по меньшей мере 152%, по меньшей мере 153%, по меньшей мере 154%, по меньшей мере 155%, по меньшей мере 156%, по меньшей мере 157%, по меньшей мере 158%, по меньшей мере 159%, по меньшей мере 160%, по меньшей мере 161%, по меньшей мере 162%, по меньшей мере 163%, по меньшей мере 164%, по меньшей мере 165%, по меньшей мере 166%, по меньшей мере 167%, по меньшей мере 168%, по меньшей мере 169%, по меньшей мере 170%, по меньшей мере 171%, по меньшей мере 172%, по меньшей мере 173% или по меньшей мере 174% по сравнению с плацебо, как определяется с помощью CDR-SB, где субъект является ApoE4-положительным и где у субъекта было диагностировано наличие легкой деменции при болезни Альцгеймера. В некоторых вариантах осуществления вышеупомянутое уменьшение клинического ухудшения определяется после 1 месяца, 6 месяцев, 12 месяцев, 18 месяцев, 60 месяцев и/или 63 месяцев введения композиции, содержащей терапевтически эффективное количество по меньшей мере одного антитела к протофибриллам Aβ.

[224] В некоторых вариантах осуществления клиническое ухудшение уменьшается на 70-200%, как, например, на 75-180% или 82-174%, по сравнению с плацебо, как определяется с помощью CDR-SB, где субъект является ApoE4-положительным и где у субъекта было диагностировано наличие легкой деменции при болезни Альцгеймера. В некоторых вариантах осуществления клиническое ухудшение уменьшается на по меньшей мере 70%, как, например, на по меньшей мере 80%, по сравнению с плацебо, как определяется с помощью CDR-SB, где субъект является ApoE4-положительным и где у субъекта было диагностировано наличие легкой деменции при болезни Альцгеймера. В некоторых вариантах осуществления клиническое ухудшение уменьшается на по меньшей мере 75%, как, например, на по меньшей мере 80% или по меньшей мере 85%, по сравнению с плацебо, как определяется с помощью CDR-SB, где субъект является ApoE4-положительным и где у субъекта было диагностировано наличие легкой деменции при болезни Альцгеймера. В некоторых вариантах осуществления клиническое ухудшение уменьшается на по меньшей мере 150%, как, например, на по меньшей мере 160% или 170%, по сравнению с плацебо, как определяется с помощью CDR-SB, где субъект является ApoE4-положительным и где у субъекта было диагностировано наличие легкой деменции при болезни Альцгеймера. В некоторых вариантах осуществления вышеупомянутое уменьшение клинического ухудшения определяется после 1 месяца, 6 месяцев, 12 месяцев, 18 месяцев, 60 месяцев и/или 63 месяцев введения композиции, содержащей терапевтически эффективное количество по меньшей мере одного антитела к протофибриллам Aβ.

[225] В некоторых вариантах осуществления клиническое ухудшение у ApoE4-положительного субъекта, у которого диагностировано наличие легкой деменции при болезни Альцгеймера, уменьшается на по меньшей мере 70%, как, например, на по меньшей мере 75%, по меньшей мере 80% или по меньшей мере 85%, по сравнению с плацебо, как определяется с помощью CDR-SB, после введения композиции, содержащей терапевтически эффективное количество по меньшей мере одного антитела к протофибриллам Aβ. В некоторых вариантах осуществления клиническое ухудшение у ApoE4-положительного субъекта, у которого диагностировано наличие легкой деменции при болезни Альцгеймера, уменьшается на по меньшей мере 130%, как, например, на по меньшей мере 140%, по меньшей мере 150%, по меньшей мере 160% или по меньшей мере 170%, по сравнению с плацебо, как определяется с помощью CDR-SB, после 12 месяцев введения композиции, содержащей терапевтически эффективное количество по меньшей мере одного антитела к протофибриллам Aβ. В некоторых вариантах осуществления клиническое ухудшение у ApoE4-положительного субъекта, у которого диагностировано наличие легкой деменции при болезни Альцгеймера, уменьшается на по меньшей мере 65%, как, например, на по меньшей мере 70%, по меньшей мере 75% или по меньшей мере 80%, по сравнению с плацебо, как определяется с помощью CDR-SB, после 18 месяцев введения композиции, содержащей терапевтически эффективное количество по меньшей мере одного антитела к протофибриллам Aβ. В некоторых вариантах осуществления композиция содержит 10 мг/кг по меньшей мере одного антитела к протофибриллам Aβ и вводится один раз в две недели или один раз в месяц. В некоторых вариантах осуществления по меньшей мере одно антитело к протофибриллам Aβ представляет собой BAN2401.

[226] В некоторых вариантах осуществления субъект является ApoE4-отрицательным.

[227] В некоторых вариантах осуществления клиническое ухудшение уменьшается на по меньшей мере 1%, по меньшей мере 2%, по меньшей мере 3%, по меньшей мере 4%, по меньшей мере 5%, по меньшей мере 6%, по меньшей мере 7%, по меньшей мере 8%, по меньшей мере 9%, по меньшей мере 10%, по меньшей мере 11% или по меньшей мере 12% по сравнению с плацебо, как определяется с помощью ADCOMS, где субъект является ApoE4-отрицательным. В некоторых вариантах осуществления вышеупомянутое уменьшение клинического ухудшения определяется после 1 месяца, 6 месяцев, 12 месяцев, 18 месяцев, 60 месяцев и/или 63 месяцев введения композиции, содержащей терапевтически эффективное количество по меньшей мере одного антитела к протофибриллам Aβ.

[228] В некоторых вариантах осуществления клиническое ухудшение уменьшается на 5-15% по сравнению с плацебо, как определяется с помощью ADCOMS, где субъект является ApoE4-отрицательным. В некоторых вариантах осуществления клиническое ухудшение уменьшается на по меньшей мере 5%, как, например, на по меньшей мере 7%, по сравнению с плацебо, как определяется с помощью ADCOMS, где субъект является ApoE4-отрицательным. В некоторых вариантах осуществления клиническое ухудшение уменьшается на по меньшей мере 10%, как, например, на по меньшей мере 12%, по сравнению с плацебо, как определяется с помощью ADCOMS, где субъект является ApoE4-отрицательным. В некоторых вариантах осуществления вышеупомянутое уменьшение клинического ухудшения определяется после 1 месяца, 6 месяцев, 12 месяцев, 18 месяцев, 60 месяцев и/или 63 месяцев введения композиции, содержащей терапевтически эффективное количество по меньшей мере одного антитела к протофибриллам Aβ.

[229] В некоторых вариантах осуществления клиническое ухудшение у ApoE4-отрицательного субъекта уменьшается на по меньшей мере -2% по сравнению с плацебо, как определяется с помощью ADCOMS, после 6 месяцев введения композиции, содержащей терапевтически эффективное количество по меньшей мере одного антитела к протофибриллам Aβ. В некоторых вариантах осуществления клиническое ухудшение у ApoE4-отрицательного субъекта уменьшается на по меньшей мере 10% по сравнению с плацебо, как определяется с помощью ADCOMS, после 12 месяцев введения композиции, содержащей терапевтически эффективное количество по меньшей мере одного антитела к протофибриллам Aβ. В некоторых вариантах осуществления клиническое ухудшение у ApoE4-отрицательного субъекта уменьшается на по меньшей мере 5%, как, например, на по меньшей мере 7%, по сравнению с плацебо, как определяется с помощью ADCOMS, после 18 месяцев введения композиции, содержащей терапевтически эффективное количество по меньшей мере одного антитела к протофибриллам Aβ. В некоторых вариантах осуществления клиническое ухудшение у ApoE4-отрицательного субъекта уменьшается на по меньшей мере 7% по сравнению с плацебо, как определяется с помощью ADCOMS, после 18 месяцев введения композиции, содержащей терапевтически эффективное количество по меньшей мере одного антитела к протофибриллам Aβ. В некоторых вариантах осуществления композиция содержит 10 мг/кг по меньшей мере одного антитела к протофибриллам Aβ и вводится один раз в две недели или один раз в месяц. В некоторых вариантах осуществления по меньшей мере одно антитело к протофибриллам Aβ представляет собой BAN2401.

[230] В некоторых вариантах осуществления клиническое ухудшение уменьшается на по меньшей мере 1%, по меньшей мере 2%, по меньшей мере 3%, по меньшей мере 4%, по меньшей мере 5%, по меньшей мере 6%, по меньшей мере 7%, по меньшей мере 8%, по меньшей мере 9%, по меньшей мере 10%, по меньшей мере 11%, по меньшей мере 12%, по меньшей мере 13%, по меньшей мере 14%, по меньшей мере 15%, по меньшей мере 16%, по меньшей мере 17%, по меньшей мере 18%, по меньшей мере 19%, по меньшей мере 20%, по меньшей мере 21%, по меньшей мере 22%, по меньшей мере 23%, по меньшей мере 24%, по меньшей мере 25%, по меньшей мере 26%, по меньшей мере 27%, по меньшей мере 28%, по меньшей мере 29%, по меньшей мере 30%, по меньшей мере 31%, по меньшей мере 32%, по меньшей мере 33%, по меньшей мере 34%, по меньшей мере 35%, по меньшей мере 36%, по меньшей мере 37%, по меньшей мере 38%, по меньшей мере 39%, по меньшей мере 40%, по меньшей мере 41%, по меньшей мере 42%, по меньшей мере 43%, по меньшей мере 44%, по меньшей мере 45%, по меньшей мере 46%, по меньшей мере 47%, по меньшей мере 48%, по меньшей мере 49%, по меньшей мере 50%, по меньшей мере 51%, по меньшей мере 52%, по меньшей мере 53%, по меньшей мере 54%, по меньшей мере 55%, по меньшей мере 56%, по меньшей мере 57%, по меньшей мере 58%, по меньшей мере 59%, по меньшей мере 60%, по меньшей мере 61%, по меньшей мере 62%, по меньшей мере 63%, по меньшей мере 64%, по меньшей мере 65%, по меньшей мере 66%, по меньшей мере 67%, по меньшей мере 68%, по меньшей мере 69%, по меньшей мере 70%, по меньшей мере 71% или по меньшей мере 72% по сравнению с плацебо, как определяется с помощью ADAS-Cog, где субъект является ApoE4-отрицательным. В некоторых вариантах осуществления вышеупомянутое уменьшение клинического ухудшения определяется после 1 месяца, 6 месяцев, 12 месяцев, 18 месяцев, 60 месяцев и/или 63 месяцев введения композиции, содержащей терапевтически эффективное количество по меньшей мере одного антитела к протофибриллам Aβ.

[231] В некоторых вариантах осуществления клиническое ухудшение уменьшается на 40-80% по сравнению с плацебо, как определяется с помощью ADAS-Cog, где субъект является ApoE4-отрицательным. В некоторых вариантах осуществления клиническое ухудшение уменьшается на по меньшей мере 35%, как, например, на по меньшей мере 40% или по меньшей мере 43%, по сравнению с плацебо, как определяется с помощью ADAS-Cog, где субъект является ApoE4-отрицательным. В некоторых вариантах осуществления клиническое ухудшение уменьшается на по меньшей мере 40%, как, например, на по меньшей мере 45% или по меньшей мере 46%, по сравнению с плацебо, как определяется с помощью ADAS-Cog, где субъект является ApoE4-отрицательным. В некоторых вариантах осуществления клиническое ухудшение уменьшается на по меньшей мере 65%, как, например, на по меньшей мере 70% или по меньшей мере 72%, по сравнению с плацебо, как определяется с помощью ADAS-Cog, где субъект является ApoE4-отрицательным. В некоторых вариантах осуществления клиническое ухудшение уменьшается на по меньшей мере 43% по сравнению с плацебо, как определяется с помощью ADAS-Cog, где субъект является ApoE4-отрицательным. В некоторых вариантах осуществления вышеупомянутое уменьшение клинического ухудшения определяется после 1 месяца, 6 месяцев, 12 месяцев, 18 месяцев, 60 месяцев и/или 63 месяцев введения композиции, содержащей терапевтически эффективное количество по меньшей мере одного антитела к протофибриллам Aβ.

[232] В некоторых вариантах осуществления клиническое ухудшение увеличивается на 7%, 6%, 5%, 4%, 3%, 2% или 1% по сравнению с плацебо, как определяется с помощью CDR-SB, где субъект является ApoE4-отрицательным. В некоторых вариантах осуществления клиническое ухудшение уменьшается на по меньшей мере 1%, по меньшей мере 2% или по меньшей мере 3% по сравнению с плацебо, как определяется с помощью CDR-SB, где субъект является ApoE4-отрицательным. В некоторых вариантах осуществления вышеупомянутое уменьшение клинического ухудшения определяется после 1 месяца, 6 месяцев, 12 месяцев, 18 месяцев, 60 месяцев и/или 63 месяцев введения композиции, содержащей терапевтически эффективное количество по меньшей мере одного антитела к протофибриллам Aβ.

[233] В некоторых вариантах осуществления клиническое ухудшение уменьшается на 3% по сравнению с плацебо, как определяется с помощью CDR-SB, где субъект является ApoE4-отрицательным. В некоторых вариантах осуществления вышеупомянутое уменьшение клинического ухудшения определяется после 1 месяца, 6 месяцев, 12 месяцев, 18 месяцев, 60 месяцев и/или 63 месяцев введения композиции, содержащей терапевтически эффективное количество по меньшей мере одного антитела к протофибриллам Aβ. В некоторых вариантах осуществления клиническое ухудшение уменьшается на по меньшей мере 1%, по меньшей мере 2%, по меньшей мере 3%, по меньшей мере 4%, по меньшей мере 5%, по меньшей мере 6%, по меньшей мере 7%, по меньшей мере 8%, по меньшей мере 9%, по меньшей мере 10%, по меньшей мере 11%, по меньшей мере 12%, по меньшей мере 13%, по меньшей мере 14%, по меньшей мере 15%, по меньшей мере 16%, по меньшей мере 17%, по меньшей мере 18%, по меньшей мере 19%, по меньшей мере 20%, по меньшей мере 21%, по меньшей мере 22%, по меньшей мере 23%, по меньшей мере 24%, по меньшей мере 25% или по меньшей мере 26% по сравнению с плацебо, как определяется с помощью ADCOMS, где субъект является ApoE4-отрицательным и где у субъекта было диагностировано наличие легкого когнитивного нарушения, с промежуточной вероятностью обусловленного болезнью Альцгеймера. В некоторых вариантах осуществления вышеупомянутое уменьшение клинического ухудшения определяется после 1 месяца, 6 месяцев, 12 месяцев, 18 месяцев, 60 месяцев и/или 63 месяцев введения композиции, содержащей терапевтически эффективное количество по меньшей мере одного антитела к протофибриллам Aβ.

[234] В некоторых вариантах осуществления клиническое ухудшение уменьшается на 15-26% по сравнению с плацебо, как определяется с помощью ADCOMS, где субъект является ApoE4-отрицательным и где у субъекта было диагностировано наличие легкого когнитивного нарушения, с промежуточной вероятностью обусловленного болезнью Альцгеймера. В некоторых вариантах осуществления клиническое ухудшение уменьшается на 15% по сравнению с плацебо, как определяется с помощью ADCOMS, где субъект является ApoE4-отрицательным и где у субъекта было диагностировано наличие легкого когнитивного нарушения, с промежуточной вероятностью обусловленного болезнью Альцгеймера. В некоторых вариантах осуществления клиническое ухудшение уменьшается на 26% по сравнению с плацебо, как определяется с помощью ADCOMS, где субъект является ApoE4-отрицательным и где у субъекта было диагностировано наличие легкого когнитивного нарушения, с промежуточной вероятностью обусловленного болезнью Альцгеймера. В некоторых вариантах осуществления вышеупомянутое уменьшение клинического ухудшения определяется после 1 месяца, 6 месяцев, 12 месяцев, 18 месяцев, 60 месяцев и/или 63 месяцев введения композиции, содержащей терапевтически эффективное количество по меньшей мере одного антитела к протофибриллам Aβ.

[235] В некоторых вариантах осуществления клиническое ухудшение уменьшается на по меньшей мере 1%, по меньшей мере 2%, по меньшей мере 3%, по меньшей мере 4%, по меньшей мере 5%, по меньшей мере 6%, по меньшей мере 7%, по меньшей мере 8%, по меньшей мере 9%, по меньшей мере 10%, по меньшей мере 11%, по меньшей мере 12%, по меньшей мере 13%, по меньшей мере 14%, по меньшей мере 15%, по меньшей мере 16%, по меньшей мере 17%, по меньшей мере 18%, по меньшей мере 19%, по меньшей мере 20%, по меньшей мере 21%, по меньшей мере 22%, по меньшей мере 23%, по меньшей мере 24%, по меньшей мере 25%, по меньшей мере 26%, по меньшей мере 27%, по меньшей мере 28%, по меньшей мере 29%, по меньшей мере 30%, по меньшей мере 31%, по меньшей мере 32%, по меньшей мере 33%, по меньшей мере 34%, по меньшей мере 35%, по меньшей мере 36%, по меньшей мере 37%, по меньшей мере 38%, по меньшей мере 39%, по меньшей мере 40%, по меньшей мере 41%, по меньшей мере 42%, по меньшей мере 43%, по меньшей мере 44%, по меньшей мере 45%, по меньшей мере 46%, по меньшей мере 47%, по меньшей мере 48%, по меньшей мере 49%, по меньшей мере 50%, по меньшей мере 51%, по меньшей мере 52%, по меньшей мере 53%, по меньшей мере 54%, по меньшей мере 55%, по меньшей мере 56%, по меньшей мере 57%, по меньшей мере 58%, по меньшей мере 59%, по меньшей мере 60%, по меньшей мере 61%, по меньшей мере 62%, по меньшей мере 63%, по меньшей мере 64%, по меньшей мере 65%, по меньшей мере 66%, по меньшей мере 67%, по меньшей мере 68%, по меньшей мере 69%, по меньшей мере 70%, по меньшей мере 71%, по меньшей мере 72%, по меньшей мере 73%, по меньшей мере 74%, по меньшей мере 75%, по меньшей мере 76%, по меньшей мере 77%, по меньшей мере 78%, по меньшей мере 79%, по меньшей мере 80%, по меньшей мере 81%, по меньшей мере 82%, по меньшей мере 83%, по меньшей мере 84%, по меньшей мере 85%, по меньшей мере 86%, по меньшей мере 87%, по меньшей мере 88%, по меньшей мере 89%, по меньшей мере 90%, по меньшей мере 91%, по меньшей мере 92%, по меньшей мере 93%, по меньшей мере 94%, по меньшей мере 95%, по меньшей мере 96%, по меньшей мере 97%, по меньшей мере 98%, по меньшей мере 99%, по меньшей мере 100%, по меньшей мере 101%, по меньшей мере 102%, по меньшей мере 103%, по меньшей мере 104%, по меньшей мере 105%, по меньшей мере 106%, по меньшей мере 107%, по меньшей мере 108%, по меньшей мере 109%, по меньшей мере 110%, по меньшей мере 115%, по меньшей мере 120%, по меньшей мере 125%, по меньшей мере 130%, по меньшей мере 135%, по меньшей мере 140%, по меньшей мере 145%, по меньшей мере 150%, по меньшей мере 155%, по меньшей мере 160%, по меньшей мере 165% или по меньшей мере 166% по сравнению с плацебо, как определяется с помощью ADAS-Cog, где субъект является ApoE4-отрицательным и где у субъекта было диагностировано наличие легкого когнитивного нарушения, с промежуточной вероятностью обусловленного болезнью Альцгеймера. В некоторых вариантах осуществления вышеупомянутое уменьшение клинического ухудшения определяется после 1 месяца, 6 месяцев, 12 месяцев, 18 месяцев, 60 месяцев и/или 63 месяцев введения композиции, содержащей терапевтически эффективное количество по меньшей мере одного антитела к протофибриллам Aβ.

[236] В некоторых вариантах осуществления клиническое ухудшение уменьшается на 50-200%, как, например, на 60-180% или 65-170%, по сравнению с плацебо, как определяется с помощью ADAS-Cog, где субъект является ApoE4-отрицательным и где у субъекта было диагностировано наличие легкого когнитивного нарушения, с промежуточной вероятностью обусловленного болезнью Альцгеймера. В некоторых вариантах осуществления клиническое ухудшение уменьшается на по меньшей мере 50%, как, например, на по меньшей мере 55% или по меньшей мере 65%, по сравнению с плацебо, как определяется с помощью ADAS-Cog, где субъект является ApoE4-отрицательным и где у субъекта было диагностировано наличие легкого когнитивного нарушения, с промежуточной вероятностью обусловленного болезнью Альцгеймера. В некоторых вариантах осуществления клиническое ухудшение уменьшается на по меньшей мере 70%, как, например, на по меньшей мере 75% или по меньшей мере 80%, по сравнению с плацебо, как определяется с помощью ADAS-Cog, где субъект является ApoE4-отрицательным и где у субъекта было диагностировано наличие легкого когнитивного нарушения, с промежуточной вероятностью обусловленного болезнью Альцгеймера. В некоторых вариантах осуществления клиническое ухудшение уменьшается на по меньшей мере 150%, как, например, на по меньшей мере 160%, по сравнению с плацебо, как определяется с помощью ADAS-Cog, где субъект является ApoE4-отрицательным и где у субъекта было диагностировано наличие легкого когнитивного нарушения, с промежуточной вероятностью обусловленного болезнью Альцгеймера. В некоторых вариантах осуществления вышеупомянутое уменьшение клинического ухудшения определяется после 1 месяца, 6 месяцев, 12 месяцев, 18 месяцев, 60 месяцев и/или 63 месяцев введения композиции, содержащей терапевтически эффективное количество по меньшей мере одного антитела к протофибриллам Aβ.

[237] В некоторых вариантах осуществления клиническое ухудшение у ApoE4-отрицательного субъекта уменьшается на по меньшей мере 150%, как, например, на по меньшей мере 160%, по сравнению с плацебо, как определяется с помощью ADAS-Cog, после 6 месяцев введения композиции, содержащей терапевтически эффективное количество по меньшей мере одного антитела к протофибриллам Aβ. В некоторых вариантах осуществления клиническое ухудшение у ApoE4-отрицательного субъекта уменьшается на по меньшей мере 70%, как, например, на по меньшей мере 75% или по меньшей мере 80%, по сравнению с плацебо, как определяется с помощью ADAS-Cog, после 12 месяцев введения композиции, содержащей терапевтически эффективное количество по меньшей мере одного антитела к протофибриллам Aβ. В некоторых вариантах осуществления клиническое ухудшение у ApoE4-отрицательного субъекта уменьшается на по меньшей мере 50%, как, например, на по меньшей мере 60% или по меньшей мере 65%, по сравнению с плацебо, как определяется с помощью ADAS-Cog, после 18 месяцев введения композиции, содержащей терапевтически эффективное количество по меньшей мере одного антитела к протофибриллам Aβ. В некоторых вариантах осуществления композиция содержит 10 мг/кг по меньшей мере одного антитела к протофибриллам Aβ и вводится один раз в две недели или один раз в месяц. В некоторых вариантах осуществления по меньшей мере одно антитело к протофибриллам Aβ представляет собой BAN2401.

[238] В некоторых вариантах осуществления клиническое ухудшение уменьшается на по меньшей мере 1%, по меньшей мере 2%, по меньшей мере 3%, по меньшей мере 4% или по меньшей мере 5% по сравнению с плацебо, как определяется с помощью CDR-SB, где субъект является ApoE4-отрицательным и где у субъекта было диагностировано наличие легкого когнитивного нарушения, с промежуточной вероятностью обусловленного болезнью Альцгеймера. В некоторых вариантах осуществления вышеупомянутое уменьшение клинического ухудшения определяется после 1 месяца, 6 месяцев, 12 месяцев, 18 месяцев, 60 месяцев и/или 63 месяцев введения композиции, содержащей терапевтически эффективное количество по меньшей мере одного антитела к протофибриллам Aβ.

[239] В некоторых вариантах осуществления клиническое ухудшение уменьшается на по меньшей мере 5% по сравнению с плацебо, как определяется с помощью CDR-SB, где субъект является ApoE4-отрицательным и где у субъекта было диагностировано наличие легкого когнитивного нарушения, с промежуточной вероятностью обусловленного болезнью Альцгеймера. В некоторых вариантах осуществления вышеупомянутое уменьшение клинического ухудшения определяется после 1 месяца, 6 месяцев, 12 месяцев, 18 месяцев, 60 месяцев и/или 63 месяцев введения композиции, содержащей терапевтически эффективное количество по меньшей мере одного антитела к протофибриллам Aβ.

[240] В некоторых вариантах осуществления клиническое ухудшение уменьшается на по меньшей мере 1%, по меньшей мере 2%, по меньшей мере 3%, по меньшей мере 4%, по меньшей мере 5%, по меньшей мере 6%, по меньшей мере 7%, по меньшей мере 8%, по меньшей мере 9%, по меньшей мере 10%, по меньшей мере 11%, по меньшей мере 12% по сравнению с плацебо, как определяется с помощью CDR-SB, где субъект является ApoE4-отрицательным и где у субъекта было диагностировано наличие легкой деменции при болезни Альцгеймера. В некоторых вариантах осуществления вышеупомянутое уменьшение клинического ухудшения определяется после 1 месяца, 6 месяцев, 12 месяцев, 18 месяцев, 60 месяцев и/или 63 месяцев введения композиции, содержащей терапевтически эффективное количество по меньшей мере одного антитела к протофибриллам Aβ.

[241] В некоторых вариантах осуществления клиническое ухудшение уменьшается на по меньшей мере 10%, как, например, на по меньшей мере 12%, по сравнению с плацебо, как определяется с помощью CDR-SB, где субъект является ApoE4-отрицательным и где у субъекта было диагностировано наличие легкой деменции при болезни Альцгеймера. В некоторых вариантах осуществления вышеупомянутое уменьшение клинического ухудшения определяется после 1 месяца, 6 месяцев, 12 месяцев, 18 месяцев, 60 месяцев и/или 63 месяцев введения композиции, содержащей терапевтически эффективное количество по меньшей мере одного антитела к протофибриллам Aβ.

Превращение субъекта из амилоид-положительного в амилоид-отрицательного

[242] В данном документе также предусмотрен способ превращения амилоид-положительного субъекта в амилоид-отрицательного субъекта. В некоторых вариантах осуществления указанный способ включает введение указанному субъекту композиции, содержащей по меньшей мере одно антитело к протофибриллам Aβ, раскрытое в данном документе. В некоторых вариантах осуществления у указанного субъекта с болезнью Альцгеймера на ранней стадии было диагностировано наличие легкого когнитивного нарушения, с промежуточной вероятностью обусловленного болезнью Альцгеймера, и/или было диагностировано наличие легкой деменции при болезни Альцгеймера.

[243] Любое из антител к протофибриллам Aβ, их терапевтически приемлемых количеств, схем введения их доз и содержащих их композиций, которые раскрыты в данном документе, можно применять в способе превращения амилоид-положительного субъекта в амилоид-отрицательного субъекта. Например, в некоторых вариантах осуществления композицию, содержащую 2,5 мг/кг, 5 мг/кг, 7,5 мг/кг или 10 мг/кг по меньшей мере одного антитела к протофибриллам Aβ, такого как BAN2401, по отношению к массе тела субъекта, вводят субъекту один раз в неделю, один раз в две недели, один раз в три недели, один раз в четыре недели или один раз в месяц.

[244] В некоторых вариантах осуществления введение композиции приводит к превращению по меньшей мере 1%, по меньшей мере 2%, по меньшей мере 3%, по меньшей мере 4%, по меньшей мере 5%, по меньшей мере 6%, по меньшей мере 7%, по меньшей мере 8%, по меньшей мере 9%, по меньшей мере 10%, по меньшей мере 11%, по меньшей мере 12%, по меньшей мере 13%, по меньшей мере 14%, по меньшей мере 15%, по меньшей мере 16%, по меньшей мере 17%, по меньшей мере 18%, по меньшей мере 19%, по меньшей мере 20%, по меньшей мере 21%, по меньшей мере 22%, по меньшей мере 23%, по меньшей мере 24%, по меньшей мере 25%, по меньшей мере 26%, по меньшей мере 27%, по меньшей мере 28%, по меньшей мере 29%, по меньшей мере 30%, по меньшей мере 31%, по меньшей мере 32%, по меньшей мере 33%, по меньшей мере 34%, по меньшей мере 35%, по меньшей мере 36%, по меньшей мере 37%, по меньшей мере 38%, по меньшей мере 39%, по меньшей мере 40%, по меньшей мере 41%, по меньшей мере 42%, по меньшей мере 43%, по меньшей мере 44%, по меньшей мере 45%, по меньшей мере 46%, по меньшей мере 47%, по меньшей мере 48%, по меньшей мере 49%, по меньшей мере 50%, по меньшей мере 51%, по меньшей мере 52%, по меньшей мере 53%, по меньшей мере 54%, по меньшей мере 55%, по меньшей мере 56%, по меньшей мере 57%, по меньшей мере 58%, по меньшей мере 59%, по меньшей мере 60%, по меньшей мере 61%, по меньшей мере 62%, по меньшей мере 63%, по меньшей мере 64%, по меньшей мере 65%, по меньшей мере 66%, по меньшей мере 67%, по меньшей мере 68%, по меньшей мере 69%, по меньшей мере 70%, по меньшей мере 71%, по меньшей мере 72%, по меньшей мере 73%, по меньшей мере 74%, по меньшей мере 75%, по меньшей мере 76%, по меньшей мере 77%, по меньшей мере 78%, по меньшей мере 79%, по меньшей мере 80% или по меньшей мере 81% субъектов из амилоид-положительных в амилоид-отрицательных, как определяется с помощью визуальных считываний PET-изображений амилоида.

[245] В некоторых вариантах осуществления введение композиции приводит к превращению от 50% до 100%, как, например, от 60% до 90%, субъектов из амилоид-положительных в амилоид-отрицательных, как определяется с помощью визуальных считываний PET-изображений амилоида. В некоторых вариантах осуществления введение композиции приводит к тому, что по меньшей мере 55%, как, например, по меньшей мере 60% или по меньшей мере 65%, субъектов становятся амилоид-отрицательными, как определяется с помощью визуальных считываний PET-изображений амилоида, после 12 месяцев введения композиции, содержащей терапевтически эффективное количество по меньшей мере одного антитела к протофибриллам Aβ. В некоторых вариантах осуществления введение композиции приводит к тому, что по меньшей мере 70%, как, например, по меньшей мере 75% или по меньшей мере 80%, субъектов становятся амилоид-отрицательными, как определяется с помощью визуальных считываний PET-изображений амилоида, после 18 месяцев введения композиции, содержащей терапевтически эффективное количество по меньшей мере одного антитела к протофибриллам Aβ. В некоторых вариантах осуществления композиция содержит 10 мг/кг по меньшей мере одного антитела к протофибриллам Aβ и вводится один раз в две недели или один раз в месяц. В некоторых вариантах осуществления по меньшей мере одно антитело к протофибриллам Aβ представляет собой BAN2401.

[246] В некоторых вариантах осуществления введение композиции приводит к тому, что по меньшей мере 1%, по меньшей мере 2%, по меньшей мере 3%, по меньшей мере 4%, по меньшей мере 5%, по меньшей мере 6%, по меньшей мере 7%, по меньшей мере 8%, по меньшей мере 9%, по меньшей мере 10%, по меньшей мере 11%, по меньшей мере 12%, по меньшей мере 13%, по меньшей мере 14%, по меньшей мере 15%, по меньшей мере 16%, по меньшей мере 17%, по меньшей мере 18%, по меньшей мере 19%, по меньшей мере 20%, по меньшей мере 21%, по меньшей мере 22%, по меньшей мере 23%, по меньшей мере 24%, по меньшей мере 25%, по меньшей мере 26%, по меньшей мере 27%, по меньшей мере 28%, по меньшей мере 29%, по меньшей мере 30%, по меньшей мере 31%, по меньшей мере 32%, по меньшей мере 33%, по меньшей мере 34%, по меньшей мере 35%, по меньшей мере 36%, по меньшей мере 37%, по меньшей мере 38%, по меньшей мере 39%, по меньшей мере 40%, по меньшей мере 41%, по меньшей мере 42%, по меньшей мере 43%, по меньшей мере 44%, по меньшей мере 45%, по меньшей мере 46%, по меньшей мере 47%, по меньшей мере 48%, по меньшей мере 49%, по меньшей мере 50%, по меньшей мере 51%, по меньшей мере 52%, по меньшей мере 53%, по меньшей мере 54%, по меньшей мере 55%, по меньшей мере 56%, по меньшей мере 57%, по меньшей мере 58%, по меньшей мере 59%, по меньшей мере 60%, по меньшей мере 61%, по меньшей мере 62%, по меньшей мере 63%, по меньшей мере 64%, по меньшей мере 65%, по меньшей мере 66%, по меньшей мере 67%, по меньшей мере 68%, по меньшей мере 69%, по меньшей мере 70%, по меньшей мере 71%, по меньшей мере 72%, по меньшей мере 73%, по меньшей мере 74%, по меньшей мере 75%, по меньшей мере 76%, по меньшей мере 77%, по меньшей мере 78%, по меньшей мере 79%, по меньшей мере 80%, по меньшей мере 81%, по меньшей мере 82%, по меньшей мере 83%, по меньшей мере 84%, по меньшей мере 85%, по меньшей мере 86%, по меньшей мере 87%, по меньшей мере 88%, по меньшей мере 89%, по меньшей мере 90%, по меньшей мере 91%, по меньшей мере 92%, по меньшей мере 93%, по меньшей мере 94%, по меньшей мере 95%, по меньшей мере 96%, по меньшей мере 97%, по меньшей мере 98%, по меньшей мере 99% или 100% субъектов становятся амилоид-отрицательными, как определяется с помощью визуальных считываний PET-изображений амилоида, где субъекты являются ApoE4-положительными.

[247] В некоторых вариантах осуществления введение композиции приводит к тому, что от 75% до 100%, как, например, от 80% до 100% или от 85% до 100%, субъектов становятся амилоид-отрицательными, как определяется с помощью визуальных считываний PET-изображений амилоида, где субъекты являются ApoE4-положительными. В некоторых вариантах осуществления введение композиции приводит к тому, что по меньшей мере 75%, как, например, по меньшей мере 80% или по меньшей мере 85%, субъектов становятся амилоид-отрицательными, как определяется с помощью визуальных считываний PET-изображений амилоида, где субъекты являются ApoE4-положительными. В некоторых вариантах осуществления введение композиции приводит к тому, что 100% субъектов становятся амилоид-отрицательными, как определяется с помощью визуальных считываний PET-изображений амилоида, где субъекты являются ApoE4-положительными.

[248] В некоторых вариантах осуществления по меньшей мере 75%, как, например, по меньшей мере 80% или по меньшей мере 85%, ApoE4-положительных субъектов являются амилоид-отрицательными, как определяется с помощью визуальных считываний PET-изображений амилоида, после 12 месяцев введения композиции, содержащей терапевтически эффективное количество по меньшей мере одного антитела к протофибриллам Aβ. В некоторых вариантах осуществления по меньшей мере 75%, как, например, по меньшей мере 80%, по меньшей мере 85%, по меньшей мере 90% или по меньшей мере 95%, ApoE4-положительных субъектов являются амилоид-отрицательными, как определяется с помощью визуальных считываний PET-изображений амилоида, после 18 месяцев введения композиции, содержащей терапевтически эффективное количество по меньшей мере одного антитела к протофибриллам Aβ. В некоторых вариантах осуществления композиция содержит 10 мг/кг по меньшей мере одного антитела к протофибриллам Aβ и вводится один раз в две недели или один раз в месяц. В некоторых вариантах осуществления по меньшей мере одно антитело к протофибриллам Aβ представляет собой BAN2401.

[249] В некоторых вариантах осуществления введение композиции приводит к тому, что по меньшей мере 1%, по меньшей мере 2%, по меньшей мере 3%, по меньшей мере 4%, по меньшей мере 5%, по меньшей мере 6%, по меньшей мере 7%, по меньшей мере 8%, по меньшей мере 9%, по меньшей мере 10%, по меньшей мере 11%, по меньшей мере 12%, по меньшей мере 13%, по меньшей мере 14%, по меньшей мере 15%, по меньшей мере 16%, по меньшей мере 17%, по меньшей мере 18%, по меньшей мере 19%, по меньшей мере 20%, по меньшей мере 21%, по меньшей мере 22%, по меньшей мере 23%, по меньшей мере 24%, по меньшей мере 25%, по меньшей мере 26%, по меньшей мере 27%, по меньшей мере 28%, по меньшей мере 29%, по меньшей мере 30%, по меньшей мере 31%, по меньшей мере 32%, по меньшей мере 33%, по меньшей мере 34%, по меньшей мере 35%, по меньшей мере 36%, по меньшей мере 37%, по меньшей мере 38%, по меньшей мере 39%, по меньшей мере 40%, по меньшей мере 41%, по меньшей мере 42%, по меньшей мере 43%, по меньшей мере 44%, по меньшей мере 45%, по меньшей мере 46%, по меньшей мере 47%, по меньшей мере 48%, по меньшей мере 49%, по меньшей мере 50%, по меньшей мере 51%, по меньшей мере 52%, по меньшей мере 53%, по меньшей мере 54%, по меньшей мере 55%, по меньшей мере 56%, по меньшей мере 57%, по меньшей мере 58%, по меньшей мере 59%, по меньшей мере 60%, по меньшей мере 61%, по меньшей мере 62%, по меньшей мере 63%, по меньшей мере 64%, по меньшей мере 65%, по меньшей мере 66%, по меньшей мере 67%, по меньшей мере 68%, по меньшей мере 69%, по меньшей мере 70%, по меньшей мере 71%, по меньшей мере 72%, по меньшей мере 73%, по меньшей мере 74%, по меньшей мере 75%, по меньшей мере 76%, по меньшей мере 77%, по меньшей мере 78% или по меньшей мере 79% субъектов становятся амилоид-отрицательными, как определяется с помощью визуальных считываний PET-изображений амилоида, где субъекты являются ApoE4-отрицательными.

[250] В некоторых вариантах осуществления введение композиции приводит к тому, что от 50% до 100%, как, например, от 55% до 90%, субъектов становятся амилоид-отрицательными, как определяется с помощью визуальных считываний PET-изображений амилоида, где субъекты являются ApoE4-отрицательными. В некоторых вариантах осуществления введение композиции приводит к тому, что по меньшей мере 50% субъектов становятся амилоид-отрицательными, как определяется с помощью визуальных считываний PET-изображений амилоида, где субъекты являются ApoE4-отрицательными. В некоторых вариантах осуществления введение композиции приводит к тому, что по меньшей мере 70% субъектов становятся амилоид-отрицательными, как определяется с помощью визуальных считываний PET-изображений амилоида, где субъекты являются ApoE4-отрицательными.

[251] В некоторых вариантах осуществления клиническое ухудшение уменьшается на 35-50% по сравнению с плацебо, как определяется с помощью ADCOMS, где субъекту не вводят параллельно по меньшей мере один лекарственный препарат для лечения болезни Альцгеймера, отличный от BAN2401. В некоторых вариантах осуществления клиническое ухудшение уменьшается на по меньшей мере 35%, как, например, на по меньшей мере 38%, по меньшей мере 40% или по меньшей мере 41%, по сравнению с плацебо, как определяется с помощью ADCOMS, где субъекту не вводят параллельно по меньшей мере один лекарственный препарат для лечения болезни Альцгеймера, отличный от BAN2401. В некоторых вариантах осуществления клиническое ухудшение уменьшается на по меньшей мере 41% по сравнению с плацебо, как определяется с помощью ADCOMS, где субъекту не вводят параллельно по меньшей мере один лекарственный препарат для лечения болезни Альцгеймера, отличный от BAN2401. В некоторых вариантах осуществления вышеупомянутое уменьшение клинического ухудшения определяется после 1 месяца, 6 месяцев, 12 месяцев, 18 месяцев, 60 месяцев и/или 63 месяцев введения композиции, содержащей терапевтически эффективное количество по меньшей мере одного антитела к протофибриллам Aβ, отличного от BAN2401.

[252] В некоторых вариантах осуществления клиническое ухудшение у субъекта, которому не вводят параллельно по меньшей мере один лекарственный препарат для лечения болезни Альцгеймера, уменьшается на по меньшей мере 41% по сравнению с плацебо, как определяется с помощью ADCOMS, после 18 месяцев введения композиции, содержащей терапевтически эффективное количество по меньшей мере одного антитела к протофибриллам Aβ. В некоторых вариантах осуществления композиция содержит 10 мг/кг по меньшей мере одного антитела к протофибриллам Aβ и вводится один раз в две недели или один раз в месяц. В некоторых вариантах осуществления по меньшей мере одно антитело к протофибриллам Aβ представляет собой BAN2401.

[253] В некоторых вариантах осуществления клиническое ухудшение уменьшается на по меньшей мере 1%, по меньшей мере 2%, по меньшей мере 3%, по меньшей мере 4%, по меньшей мере 5%, по меньшей мере 6%, по меньшей мере 7%, по меньшей мере 8%, по меньшей мере 9%, по меньшей мере 10%, по меньшей мере 11%, по меньшей мере 12%, по меньшей мере 13%, по меньшей мере 14%, по меньшей мере 15%, по меньшей мере 16%, по меньшей мере 17%, по меньшей мере 18%, по меньшей мере 19%, по меньшей мере 20%, по меньшей мере 21%, по меньшей мере 22%, по меньшей мере 23%, по меньшей мере 24%, по меньшей мере 25%, по меньшей мере 26%, по меньшей мере 27%, по меньшей мере 28%, по меньшей мере 29%, по меньшей мере 30%, по меньшей мере 31%, по меньшей мере 32%, по меньшей мере 33%, по меньшей мере 34%, по меньшей мере 35%, по меньшей мере 36%, по меньшей мере 37%, по меньшей мере 38%, по меньшей мере 39%, по меньшей мере 40%, по меньшей мере 41%, по меньшей мере 42%, по меньшей мере 43%, по меньшей мере 44%, по меньшей мере 45%, по меньшей мере 46%, по меньшей мере 47%, по меньшей мере 48%, по меньшей мере 49%, по меньшей мере 50%, по меньшей мере 51%, по меньшей мере 52%, по меньшей мере 53%, по меньшей мере 54%, по меньшей мере 55%, по меньшей мере 56%, по меньшей мере 57%, по меньшей мере 58% или по меньшей мере 59% по сравнению с плацебо, как определяется с помощью ADAS-Cog, где субъекту не вводят параллельно по меньшей мере один лекарственный препарат для лечения болезни Альцгеймера. В некоторых вариантах осуществления вышеупомянутое уменьшение клинического ухудшения определяется после 1 месяца, 6 месяцев, 12 месяцев, 18 месяцев, 60 месяцев и/или 63 месяцев введения композиции, содержащей терапевтически эффективное количество по меньшей мере одного антитела к протофибриллам Aβ.

[254] В некоторых вариантах осуществления клиническое ухудшение уменьшается на 50-70% по сравнению с плацебо, как определяется с помощью ADAS-Cog, где субъекту не вводят параллельно по меньшей мере один лекарственный препарат для лечения болезни Альцгеймера. В некоторых вариантах осуществления клиническое ухудшение уменьшается на по меньшей мере 50%, как, например, на по меньшей мере 55%, по меньшей мере 57% или по меньшей мере 59%, по сравнению с плацебо, как определяется с помощью ADAS-Cog, где субъекту не вводят параллельно по меньшей мере один лекарственный препарат для лечения болезни Альцгеймера. В некоторых вариантах осуществления клиническое ухудшение уменьшается на по меньшей мере 59% по сравнению с плацебо, как определяется с помощью ADAS-Cog, где субъекту не вводят параллельно по меньшей мере один лекарственный препарат для лечения болезни Альцгеймера. В некоторых вариантах осуществления вышеупомянутое уменьшение клинического ухудшения определяется после 1 месяца, 6 месяцев, 12 месяцев, 18 месяцев, 60 месяцев и/или 63 месяцев введения композиции, содержащей терапевтически эффективное количество по меньшей мере одного антитела к протофибриллам Aβ.

[255] В некоторых вариантах осуществления клиническое ухудшение у субъекта, которому не вводят параллельно по меньшей мере один лекарственный препарат для лечения болезни Альцгеймера, уменьшается на по меньшей мере 59% по сравнению с плацебо, как определяется с помощью ADAS-Cog, после 18 месяцев введения композиции, содержащей терапевтически эффективное количество по меньшей мере одного антитела к протофибриллам Aβ. В некоторых вариантах осуществления композиция содержит 10 мг/кг по меньшей мере одного антитела к протофибриллам Aβ и вводится один раз в две недели или один раз в месяц. В некоторых вариантах осуществления по меньшей мере одно антитело к протофибриллам Aβ представляет собой BAN2401.

[256] В некоторых вариантах осуществления клиническое ухудшение уменьшается на по меньшей мере 1%, по меньшей мере 2%, по меньшей мере 3%, по меньшей мере 4%, по меньшей мере 5%, по меньшей мере 6%, по меньшей мере 7%, по меньшей мере 8%, по меньшей мере 9%, по меньшей мере 10%, по меньшей мере 11%, по меньшей мере 12%, по меньшей мере 13%, по меньшей мере 14%, по меньшей мере 15%, по меньшей мере 16%, по меньшей мере 17%, по меньшей мере 18%, по меньшей мере 19%, по меньшей мере 20%, по меньшей мере 21%, по меньшей мере 22%, по меньшей мере 23%, по меньшей мере 24%, по меньшей мере 25%, по меньшей мере 26%, по меньшей мере 27%, по меньшей мере 28%, по меньшей мере 29%, по меньшей мере 30%, по меньшей мере 31%, по меньшей мере 32%, по меньшей мере 33%, по меньшей мере 34%, по меньшей мере 35%, по меньшей мере 36%, по меньшей мере 37%, по меньшей мере 38%, по меньшей мере 39%, по меньшей мере 40%, по меньшей мере 41%, по меньшей мере 42%, по меньшей мере 43%, по меньшей мере 44% или по меньшей мере 45% по сравнению с плацебо, как определяется с помощью CDR-SB, где субъекту не вводят параллельно по меньшей мере один лекарственный препарат для лечения болезни Альцгеймера. В некоторых вариантах осуществления вышеупомянутое уменьшение клинического ухудшения определяется после 1 месяца, 6 месяцев, 12 месяцев, 18 месяцев, 60 месяцев и/или 63 месяцев введения композиции, содержащей терапевтически эффективное количество по меньшей мере одного антитела к протофибриллам Aβ.

[257] В некоторых вариантах осуществления клиническое ухудшение уменьшается на 50-70% по сравнению с плацебо, как определяется с помощью ADAS-Cog, где субъекту не вводят параллельно по меньшей мере один лекарственный препарат для лечения болезни Альцгеймера. В некоторых вариантах осуществления клиническое ухудшение уменьшается на по меньшей мере 35%, как, например, на по меньшей мере 40%, по меньшей мере 42% или по меньшей мере 45%, по сравнению с плацебо, как определяется с помощью CDR-SB, где субъекту не вводят параллельно по меньшей мере один лекарственный препарат для лечения болезни Альцгеймера. В некоторых вариантах осуществления клиническое ухудшение уменьшается на по меньшей мере 45% по сравнению с плацебо, как определяется с помощью CDR-SB, где субъекту не вводят параллельно по меньшей мере один лекарственный препарат для лечения болезни Альцгеймера. В некоторых вариантах осуществления вышеупомянутое уменьшение клинического ухудшения определяется после 1 месяца, 6 месяцев, 12 месяцев, 18 месяцев, 60 месяцев и/или 63 месяцев введения композиции, содержащей терапевтически эффективное количество по меньшей мере одного антитела к протофибриллам Aβ.

[258] В некоторых вариантах осуществления клиническое ухудшение у субъекта, которому не вводят параллельно по меньшей мере один лекарственный препарат для лечения болезни Альцгеймера, уменьшается на по меньшей мере 45% по сравнению с плацебо, как определяется с помощью CDR-SB, после 18 месяцев введения композиции, содержащей терапевтически эффективное количество по меньшей мере одного антитела к протофибриллам Aβ. В некоторых вариантах осуществления композиция содержит 10 мг/кг по меньшей мере одного антитела к протофибриллам Aβ и вводится один раз в две недели или один раз в месяц. В некоторых вариантах осуществления по меньшей мере одно антитело к протофибриллам Aβ представляет собой BAN2401.

Параллельное введение по меньшей мере одного антитела к протофибриллам Aβ и по меньшей мере одного лекарственного препарата для лечения болезни Альцгеймера, отличного от BAN2401

[259] В некоторых вариантах осуществления в данном документе предусмотрен способ уменьшения клинического ухудшения у субъекта с болезнью Альцгеймера на ранней стадии, включающий параллельное введение терапевтически эффективного количества по меньшей мере одного антитела к протофибриллам Aβ и терапевтически эффективного количества по меньшей мере одного лекарственного препарата для лечения болезни Альцгеймера, отличного от BAN2401. В некоторых вариантах осуществления клиническое ухудшение уменьшается на по меньшей мере 1%, по меньшей мере 2%, по меньшей мере 3%, по меньшей мере 4%, по меньшей мере 5%, по меньшей мере 6%, по меньшей мере 7%, по меньшей мере 8%, по меньшей мере 9%, по меньшей мере 10%, по меньшей мере 11%, по меньшей мере 12%, по меньшей мере 13%, по меньшей мере 14%, по меньшей мере 15%, по меньшей мере 16%, по меньшей мере 17%, по меньшей мере 18%, по меньшей мере 19%, по меньшей мере 20%, по меньшей мере 21%, по меньшей мере 22% или по меньшей мере 23% по сравнению с плацебо, как определяется с помощью ADCOMS. В некоторых вариантах осуществления вышеупомянутое уменьшение клинического ухудшения определяется после 1 месяца, 6 месяцев, 12 месяцев, 18 месяцев, 60 месяцев и/или 63 месяцев введения композиции, содержащей терапевтически эффективное количество по меньшей мере одного антитела к протофибриллам Aβ.

[260] В некоторых вариантах осуществления клиническое ухудшение уменьшается на 15-30% по сравнению с плацебо, как определяется с помощью ADCOMS. В некоторых вариантах осуществления клиническое ухудшение уменьшается на по меньшей мере 15%, как, например, на по меньшей мере 20%, по меньшей мере 21% или по меньшей мере 23%, по сравнению с плацебо, как определяется с помощью ADCOMS. В некоторых вариантах осуществления клиническое ухудшение уменьшается на по меньшей мере 23% по сравнению с плацебо, как определяется с помощью ADCOMS. В некоторых вариантах осуществления вышеупомянутое уменьшение клинического ухудшения определяется после 1 месяца, 6 месяцев, 12 месяцев, 18 месяцев, 60 месяцев и/или 63 месяцев введения композиции, содержащей терапевтически эффективное количество по меньшей мере одного антитела к протофибриллам Aβ.

[261] В некоторых вариантах осуществления клиническое ухудшение у субъекта, которому параллельно вводят терапевтически эффективное количество по меньшей мере одного антитела к протофибриллам Aβ и терапевтически эффективное количество по меньшей мере одного лекарственного препарата для лечения болезни Альцгеймера, отличного от BAN2401, уменьшается на по меньшей мере 23% по сравнению с плацебо, как определяется с помощью ADCOMS, после 18 месяцев введения терапевтически эффективного количества по меньшей мере одного антитела к протофибриллам Aβ. В некоторых вариантах осуществления 10 мг/кг по меньшей мере одного антитела к протофибриллам Aβ вводят один раз в две недели или один раз в месяц. В некоторых вариантах осуществления по меньшей мере одно антитело к протофибриллам Aβ представляет собой BAN2401. В некоторых вариантах осуществления по меньшей мере один лекарственный препарат для лечения болезни Альцгеймера выбран из эленбецестата, донепезила, галантамина, мемантина и ривастигмина. В некоторых вариантах осуществления по меньшей мере один лекарственный препарат для лечения болезни Альцгеймера представляет собой комбинацию донепезила и мемантина.

[262] В некоторых вариантах осуществления донепезил можно вводить в его одобренной дозе. В некоторых вариантах осуществления галантамин можно вводить в его одобренной дозе. В некоторых вариантах осуществления мемантин можно вводить в его одобренной дозе. В некоторых вариантах осуществления ривастигмин можно вводить в его одобренной дозе.

[263] В некоторых вариантах осуществления эленбецестат можно вводить в дозе в диапазоне от 5 мг/день до 100 мг/день, от 10 мг/день до 75 мг/день, от 5 мг/день до 50 мг/день или от 15 мг/день до 50 мг/день. В некоторых вариантах осуществления эленбецестат можно вводить в дозе в диапазоне от приблизительно 5 мг/день до приблизительно 100 мг/день, от приблизительно 10 мг/день до приблизительно 75 мг/день, от приблизительно 5 мг/день до приблизительно 50 мг/день или от приблизительно 15 мг/день до приблизительно 50 мг/день. В некоторых вариантах осуществления эленбецестат можно вводить в дозе 5 мг/день, 10 мг/день, 15 мг/день, 20 мг/день, 25 мг/день, 30 мг/день или 50 мг/день. В некоторых вариантах осуществления эленбецестат можно вводить в дозе 5 мг/день. В некоторых вариантах осуществления эленбецестат можно вводить в дозе 15 мг/день. В некоторых вариантах осуществления эленбецестат можно вводить в дозе 50 мг/день.

[264] В некоторых вариантах осуществления клиническое ухудшение уменьшается на по меньшей мере 1%, по меньшей мере 2%, по меньшей мере 3%, по меньшей мере 4%, по меньшей мере 5%, по меньшей мере 6%, по меньшей мере 7%, по меньшей мере 8%, по меньшей мере 9%, по меньшей мере 10%, по меньшей мере 11%, по меньшей мере 12%, по меньшей мере 13%, по меньшей мере 14%, по меньшей мере 15%, по меньшей мере 16%, по меньшей мере 17%, по меньшей мере 18%, по меньшей мере 19%, по меньшей мере 20%, по меньшей мере 21%, по меньшей мере 22%, по меньшей мере 23%, по меньшей мере 24%, по меньшей мере 25%, по меньшей мере 26%, по меньшей мере 27%, по меньшей мере 28%, по меньшей мере 29%, по меньшей мере 30%, по меньшей мере 31%, по меньшей мере 32%, по меньшей мере 33%, по меньшей мере 34%, по меньшей мере 35%, по меньшей мере 36%, по меньшей мере 37%, по меньшей мере 38%, по меньшей мере 39%, по меньшей мере 40% или по меньшей мере 41% по сравнению с плацебо, как определяется с помощью ADCOMS. В некоторых вариантах осуществления вышеупомянутое уменьшение клинического ухудшения определяется после 1 месяца, 6 месяцев, 12 месяцев, 18 месяцев, 60 месяцев и/или 63 месяцев введения терапевтически эффективного количества по меньшей мере одного антитела к протофибриллам Aβ.

[265] В некоторых вариантах осуществления клиническое ухудшение уменьшается на по меньшей мере 1%, по меньшей мере 2%, по меньшей мере 3%, по меньшей мере 4%, по меньшей мере 5%, по меньшей мере 6%, по меньшей мере 7%, по меньшей мере 8%, по меньшей мере 9%, по меньшей мере 10%, по меньшей мере 11%, по меньшей мере 12%, по меньшей мере 13%, по меньшей мере 14%, по меньшей мере 15%, по меньшей мере 16%, по меньшей мере 17%, по меньшей мере 18%, по меньшей мере 19%, по меньшей мере 20%, по меньшей мере 21%, по меньшей мере 22%, по меньшей мере 23%, по меньшей мере 24%, по меньшей мере 25%, по меньшей мере 26%, по меньшей мере 27%, по меньшей мере 28%, по меньшей мере 29%, по меньшей мере 30%, по меньшей мере 31%, по меньшей мере 32%, по меньшей мере 33%, по меньшей мере 34%, по меньшей мере 35%, по меньшей мере 36%, по меньшей мере 37%, по меньшей мере 38% или по меньшей мере 39% по сравнению с плацебо, как определяется с помощью ADAS-Cog, где субъекту параллельно вводят по меньшей мере один лекарственный препарат для лечения болезни Альцгеймера, отличный от BAN2401. В некоторых вариантах осуществления вышеупомянутое уменьшение клинического ухудшения определяется после 1 месяца, 6 месяцев, 12 месяцев, 18 месяцев, 60 месяцев и/или 63 месяцев введения композиции, содержащей терапевтически эффективное количество по меньшей мере одного антитела к протофибриллам Aβ.

[266] В некоторых вариантах осуществления клиническое ухудшение уменьшается на 30-50% по сравнению с плацебо, как определяется с помощью ADAS-Cog, где субъекту параллельно вводят по меньшей мере один лекарственный препарат для лечения болезни Альцгеймера, отличный от BAN2401. В некоторых вариантах осуществления клиническое ухудшение уменьшается на по меньшей мере 30%, как, например, на по меньшей мере 35%, по меньшей мере 37% или по меньшей мере 39%, по сравнению с плацебо, как определяется с помощью ADAS-Cog, где субъекту параллельно вводят по меньшей мере один лекарственный препарат для лечения болезни Альцгеймера, отличный от BAN2401. В некоторых вариантах осуществления клиническое ухудшение уменьшается на по меньшей мере 39% по сравнению с плацебо, как определяется с помощью ADAS-Cog, где субъекту параллельно вводят по меньшей мере один лекарственный препарат для лечения болезни Альцгеймера, отличный от BAN2401. В некоторых вариантах осуществления вышеупомянутое уменьшение клинического ухудшения определяется после 1 месяца, 6 месяцев, 12 месяцев, 18 месяцев, 60 месяцев и/или 63 месяцев введения композиции, содержащей терапевтически эффективное количество по меньшей мере одного антитела к протофибриллам Aβ.

[267] В некоторых вариантах осуществления клиническое ухудшение у субъекта, которому параллельно вводят по меньшей мере один лекарственный препарат для лечения болезни Альцгеймера, уменьшается на по меньшей мере 39% по сравнению с плацебо, как определяется с помощью ADAS-Cog, после 18 месяцев введения композиции, содержащей терапевтически эффективное количество по меньшей мере одного антитела к протофибриллам Aβ. В некоторых вариантах осуществления композиция содержит 10 мг/кг по меньшей мере одного антитела к протофибриллам Aβ и вводится один раз в две недели или один раз в месяц. В некоторых вариантах осуществления по меньшей мере одно антитело к протофибриллам Aβ представляет собой BAN2401. В некоторых вариантах осуществления по меньшей мере один лекарственный препарат для лечения болезни Альцгеймера выбран из эленбецестата, донепезила, галантамина, мемантина и ривастигмина. В некоторых вариантах осуществления по меньшей мере один лекарственный препарат для лечения болезни Альцгеймера представляет собой комбинацию донепезила и мемантина.

[268] В некоторых вариантах осуществления донепезил можно вводить в его одобренной дозе. В некоторых вариантах осуществления галантамин можно вводить в его одобренной дозе. В некоторых вариантах осуществления мемантин можно вводить в его одобренной дозе. В некоторых вариантах осуществления ривастигмин можно вводить в его одобренной дозе.

[269] В некоторых вариантах осуществления эленбецестат можно вводить в дозе в диапазоне от 5 мг/день до 100 мг/день, от 10 мг/день до 75 мг/день, от 5 мг/день до 50 мг/день или от 15 мг/день до 50 мг/день. В некоторых вариантах осуществления эленбецестат можно вводить в дозе в диапазоне от приблизительно 5 мг/день до приблизительно 100 мг/день, от приблизительно 10 мг/день до приблизительно 75 мг/день, от приблизительно 5 мг/день до приблизительно 50 мг/день или от приблизительно 15 мг/день до приблизительно 50 мг/день. В некоторых вариантах осуществления эленбецестат можно вводить в дозе 5 мг/день, 10 мг/день, 15 мг/день, 20 мг/день, 25 мг/день, 30 мг/день или 50 мг/день. В некоторых вариантах осуществления эленбецестат можно вводить в дозе 5 мг/день. В некоторых вариантах осуществления эленбецестат можно вводить в дозе 15 мг/день. В некоторых вариантах осуществления эленбецестат можно вводить в дозе 50 мг/день.

[270] В некоторых вариантах осуществления клиническое ухудшение уменьшается на по меньшей мере 1%, по меньшей мере 2%, по меньшей мере 3%, по меньшей мере 4%, по меньшей мере 5%, по меньшей мере 6%, по меньшей мере 7%, по меньшей мере 8%, по меньшей мере 9%, по меньшей мере 10%, по меньшей мере 11%, по меньшей мере 12%, по меньшей мере 13%, по меньшей мере 14%, по меньшей мере 15%, по меньшей мере 16%, по меньшей мере 17%, по меньшей мере 18%, по меньшей мере 19% или по меньшей мере 20% по сравнению с плацебо, как определяется с помощью CDR-SB, где субъекту параллельно вводят по меньшей мере один лекарственный препарат для лечения болезни Альцгеймера, отличный от BAN2401. В некоторых вариантах осуществления вышеупомянутое уменьшение клинического ухудшения определяется после 1 месяца, 6 месяцев, 12 месяцев, 18 месяцев, 60 месяцев и/или 63 месяцев введения композиции, содержащей терапевтически эффективное количество по меньшей мере одного антитела к протофибриллам Aβ.

[271] В некоторых вариантах осуществления клиническое ухудшение уменьшается на 10-30% по сравнению с плацебо, как определяется с помощью CDR-SB, где субъекту параллельно вводят по меньшей мере один лекарственный препарат для лечения болезни Альцгеймера, отличный от BAN2401. В некоторых вариантах осуществления клиническое ухудшение уменьшается на по меньшей мере 10%, как, например, на по меньшей мере 15%, по меньшей мере 17% или по меньшей мере 20%, по сравнению с плацебо, как определяется с помощью CDR-SB, где субъекту параллельно вводят по меньшей мере один лекарственный препарат для лечения болезни Альцгеймера, отличный от BAN2401. В некоторых вариантах осуществления клиническое ухудшение уменьшается на по меньшей мере 20% по сравнению с плацебо, как определяется с помощью CDR-SB, где субъекту параллельно вводят по меньшей мере один лекарственный препарат для лечения болезни Альцгеймера, отличный от BAN2401. В некоторых вариантах осуществления вышеупомянутое уменьшение клинического ухудшения определяется после 1 месяца, 6 месяцев, 12 месяцев, 18 месяцев, 60 месяцев и/или 63 месяцев введения композиции, содержащей терапевтически эффективное количество по меньшей мере одного антитела к протофибриллам Aβ.

[272] В некоторых вариантах осуществления клиническое ухудшение у субъекта, которому параллельно вводят по меньшей мере один лекарственный препарат для лечения болезни Альцгеймера, уменьшается на по меньшей мере 20% по сравнению с плацебо, как определяется с помощью CDR-SB, после 18 месяцев введения композиции, содержащей терапевтически эффективное количество по меньшей мере одного антитела к протофибриллам Aβ. В некоторых вариантах осуществления композиция содержит 10 мг/кг по меньшей мере одного антитела к протофибриллам Aβ и вводится один раз в две недели или один раз в месяц. В некоторых вариантах осуществления по меньшей мере одно антитело к протофибриллам Aβ представляет собой BAN2401. В некоторых вариантах осуществления по меньшей мере один лекарственный препарат для лечения болезни Альцгеймера выбран из эленбецестата, донепезила, галантамина, мемантина и ривастигмина. В некоторых вариантах осуществления по меньшей мере один лекарственный препарат для лечения болезни Альцгеймера представляет собой комбинацию донепезила и мемантина.

[273] В некоторых вариантах осуществления донепезил можно вводить в его одобренной дозе. В некоторых вариантах осуществления галантамин можно вводить в его одобренной дозе. В некоторых вариантах осуществления мемантин можно вводить в его одобренной дозе. В некоторых вариантах осуществления ривастигмин можно вводить в его одобренной дозе.

[274] В некоторых вариантах осуществления эленбецестат можно вводить в дозе в диапазоне от 5 мг/день до 100 мг/день, от 10 мг/день до 75 мг/день, от 5 мг/день до 50 мг/день или от 15 мг/день до 50 мг/день. В некоторых вариантах осуществления эленбецестат можно вводить в дозе в диапазоне от приблизительно 5 мг/день до приблизительно 100 мг/день, от приблизительно 10 мг/день до приблизительно 75 мг/день, от приблизительно 5 мг/день до приблизительно 50 мг/день или от приблизительно 15 мг/день до приблизительно 50 мг/день. В некоторых вариантах осуществления эленбецестат можно вводить в дозе 5 мг/день, 10 мг/день, 15 мг/день, 20 мг/день, 25 мг/день, 30 мг/день или 50 мг/день. В некоторых вариантах осуществления эленбецестат можно вводить в дозе 5 мг/день. В некоторых вариантах осуществления эленбецестат можно вводить в дозе 15 мг/день. В некоторых вариантах осуществления эленбецестат можно вводить в дозе 50 мг/день.

Снижение уровня амилоида в головном мозге

[275] В данном документе также предусмотрен способ снижения уровня амилоида в головном мозге у субъекта, нуждающегося в этом, включающий введение композиции, содержащей терапевтически эффективное количество по меньшей мере одного антитела к протофибриллам Aβ, раскрытого в данном документе.

[276] В некоторых вариантах осуществления у субъекта имеется болезнь Альцгеймера на ранней стадии. В некоторых вариантах осуществления у субъекта имеются болезнь Альцгеймера, синдром Дауна, хроническая травматическая энцефалопатия, церебральная амилоидная ангиопатия, деменция с тельцами Леви или другие заболевание или состояния головного мозга, связанные с растворимыми и/или нерастворимыми агрегатами Aβ, содержащими пептиды Aβ.

[277] Средний специалист в данной области поймет, что, помимо субъектов с болезнью Альцгеймера, отложения бляшек Aβ присутствуют в головном мозге субъектов, у которых имеются другие нейродегенеративные заболевания и состояния, и что поэтому описанные в данном документе способы будут иметь благоприятный эффект у субъектов, у которых имеются такие нейродегенеративные заболевания и/или состояния. Известно, что такие заболевания и состояния включают, например, синдром Дауна, хроническую травматическую энцефалопатию, церебральную амилоидную ангиопатию и деменцию с тельцами Леви. (См., например, Catafau et al., "Amyloid PET imaging: applications beyond Alzheimer's disease", Clin. Transl. Imaging 3(1): 39-55 (2015); и Banerjee, G. et al., "The increasing impact of cerebral amyloid angiopathy: essential new insights for clinical practice", J. Neurol. Neurosurg. Psychiatry 88: 982-994 (2017).)

[278] В некоторых вариантах осуществления у субъекта с болезнью Альцгеймера на ранней стадии было диагностировано наличие легкого когнитивного нарушения, с промежуточной вероятностью обусловленного болезнью Альцгеймера, и/или было диагностировано наличие легкой деменции при болезни Альцгеймера. В некоторых вариантах осуществления субъект с болезнью Альцгеймера на ранней стадии является ApoE4-положительным.

[279] Любое из антител к протофибриллам Aβ, их терапевтически приемлемых количеств, схем введения их доз и содержащих их композиций, которые раскрыты в данном документе, можно применять в способе снижения уровня амилоида в головном мозге у субъекта с болезнью Альцгеймера на ранней стадии. Например, в некоторых вариантах осуществления композицию, содержащую 2,5 мг/кг, 5 мг/кг, 7,5 мг/кг или 10 мг/кг по меньшей мере одного антитела к протофибриллам Aβ, такого как BAN2401, по отношению к массе тела субъекта, вводят субъекту один раз в неделю, один раз в две недели, один раз в три недели, один раз в четыре недели или один раз в месяц.

[280] В некоторых вариантах осуществления по меньшей мере одно антитело к протофибриллам Aβ представляет собой BAN2401.

[281] В некоторых вариантах осуществления указанный способ приводит к снижению уровня амилоида в головном мозге после введения по сравнению с уровнем амилоида в головном мозге до указанного введения. В некоторых вариантах осуществления уровень амилоида в головном мозге снижается на по меньшей мере 1%, по меньшей мере 2%, по меньшей мере 3%, по меньшей мере 4%, по меньшей мере 5%, по меньшей мере 6%, по меньшей мере 7%, по меньшей мере 8%, по меньшей мере 9%, по меньшей мере 10%, по меньшей мере 11%, по меньшей мере 12%, по меньшей мере 13%, по меньшей мере 14%, по меньшей мере 15%, по меньшей мере 16%, по меньшей мере 17%, по меньшей мере 18%, по меньшей мере 19%, по меньшей мере 20%, по меньшей мере 21%, по меньшей мере 22%, по меньшей мере 23%, по меньшей мере 24%, по меньшей мере 25%, по меньшей мере 26%, по меньшей мере 27%, по меньшей мере 28%, по меньшей мере 29%, по меньшей мере 30%, по меньшей мере 31%, по меньшей мере 32%, по меньшей мере 33%, по меньшей мере 34%, по меньшей мере 35%, по меньшей мере 36%, по меньшей мере 37%, по меньшей мере 38%, по меньшей мере 39%, по меньшей мере 40%, по меньшей мере 41%, по меньшей мере 42%, по меньшей мере 43%, по меньшей мере 44%, по меньшей мере 45%, по меньшей мере 46%, по меньшей мере 47%, по меньшей мере 48%, по меньшей мере 49%, по меньшей мере 50%, по меньшей мере 51%, по меньшей мере 52%, по меньшей мере 53%, по меньшей мере 54%, по меньшей мере 55%, по меньшей мере 56%, по меньшей мере 57%, по меньшей мере 58%, по меньшей мере 59%, по меньшей мере 60%, по меньшей мере 61%, по меньшей мере 62%, по меньшей мере 63%, по меньшей мере 64%, по меньшей мере 65%, по меньшей мере 66%, по меньшей мере 67%, по меньшей мере 68%, по меньшей мере 69%, по меньшей мере 70%, по меньшей мере 71%, по меньшей мере 72%, по меньшей мере 73%, по меньшей мере 74%, по меньшей мере 75%, по меньшей мере 76%, по меньшей мере 77%, по меньшей мере 78%, по меньшей мере 79%, по меньшей мере 80%, по меньшей мере 81%, по меньшей мере 82%, по меньшей мере 83%, по меньшей мере 84%, по меньшей мере 85%, по меньшей мере 86%, по меньшей мере 87%, по меньшей мере 88%, по меньшей мере 89%, по меньшей мере 90%, по меньшей мере 91%, по меньшей мере 92%, по меньшей мере 93%, по меньшей мере 94%, по меньшей мере 95%, по меньшей мере 96%, по меньшей мере 97%, по меньшей мере 98%, по меньшей мере 99% или 100% по сравнению с уровнем амилоида в головном мозге до указанного введения. В некоторых вариантах осуществления вышеупомянутое снижение уровней амилоида в головном мозге определяется с помощью визуальных считываний PET-изображений амилоида и выражаются в виде показателей стандартизированного значения накопления согласно PET (значений SUVr).

[282] Визуализацию амилоида методом позитронно-эмиссионной томографии (PET) можно применять для подтверждения наличия амилоидной патологии в головном мозге субъектов с AD на ранней стадии в скрининговой фазе исследования и/или для оценивания эффектов по меньшей мере одного антитела к AB в отношении уровней амилоида в головном мозге как при анализе всего головного мозга (например, по среднему показателю для 5-6 областей коры головного мозга), так и при анализе областей головного мозга. В некоторых вариантах осуществления скорректированное среднее изменение значения SUVr согласно PET у субъекта относительно исходного уровня уменьшается на по меньшей мере -0,10, по меньшей мере -0,15, по меньшей мере -0,20, по меньшей мере -0,25, по меньшей мере -0,30, по меньшей мере -0,35, по меньшей мере -0,40, по меньшей мере -0,45, по меньшей мере -0,50, по меньшей мере -0,55, по меньшей мере -0,60, по меньшей мере -0,65, по меньшей мере -0,70, по меньшей мере -0,75, по меньшей мере -0,80, по меньшей мере -0,85, по меньшей мере -0,90 или по меньшей мере -0,95 по сравнению с исходным уровнем. В некоторых вариантах осуществления скорректированное среднее изменение значения SUVr согласно PET у субъекта относительно исходного уровня уменьшается на величину от -0,20 до -0,30.

[283] В некоторых вариантах осуществления при сравнении общего среднего показателя для коры головного мозга и эталонного показателя для всего мозжечка скорректированное среднее изменение значения SUVr согласно PET у субъекта относительно исходного уровня уменьшается на по меньшей мере -0,20, как, например, на по меньшей мере -0,25, после 12 месяцев введения композиции, содержащей терапевтически эффективное количество по меньшей мере одного антитела к протофибриллам Aβ. В некоторых вариантах осуществления скорректированное среднее изменение значения SUVr согласно PET у субъекта относительно исходного уровня уменьшается на по меньшей мере -0,25, как, например, на по меньшей мере -0,30, после 18 месяцев введения композиции, содержащей терапевтически эффективное количество по меньшей мере одного антитела к протофибриллам Aβ.

[284] В некоторых вариантах осуществления снижение уровня амилоида в головном мозге определяют с помощью визуализации с использованием радиоактивных индикаторов, связывающих амилоид Аβ головного мозга, и визуализируют с помощью PET. В некоторых вариантах осуществления уменьшение скорректированного среднего изменения относительно исходного уровня составляет по меньшей мере -50, как, например, по меньшей мере -55 или по меньшей мере -59, центилоидов после 12 месяцев введения композиции, содержащей терапевтически эффективное количество по меньшей мере одного антитела к протофибриллам Aβ. В некоторых вариантах осуществления уменьшение скорректированного среднего изменения относительно исходного уровня составляет по меньшей мере -60, как, например, по меньшей мере -65 или по меньшей мере -70, центилоидов после 18 месяцев введения композиции, содержащей терапевтически эффективное количество по меньшей мере одного антитела к протофибриллам Aβ.

[285] В некоторых вариантах осуществления указанный способ приводит к снижению уровня Aβ1-42 в спинномозговой жидкости по сравнению с уровнем Aβ1-42 в спинномозговой жидкости до указанного введения. В некоторых вариантах осуществления указанный способ приводит к снижению уровня Aβ1-42 в спинномозговой жидкости по сравнению с уровнем Aβ1-42 в спинномозговой жидкости до указанного введения, составляющему по меньшей мере 1%, по меньшей мере 2%, по меньшей мере 3%, по меньшей мере 4%, по меньшей мере 5%, по меньшей мере 6%, по меньшей мере 7%, по меньшей мере 8%, по меньшей мере 9%, по меньшей мере 10%, по меньшей мере 11%, по меньшей мере 12%, по меньшей мере 13%, по меньшей мере 14%, по меньшей мере 15%, по меньшей мере 16%, по меньшей мере 17%, по меньшей мере 18%, по меньшей мере 19%, по меньшей мере 20%, по меньшей мере 21%, по меньшей мере 22%, по меньшей мере 23%, по меньшей мере 24%, по меньшей мере 25%, по меньшей мере 26%, по меньшей мере 27%, по меньшей мере 28%, по меньшей мере 29%, по меньшей мере 30%, по меньшей мере 31%, по меньшей мере 32%, по меньшей мере 33%, по меньшей мере 34%, по меньшей мере 35%, по меньшей мере 36%, по меньшей мере 37%, по меньшей мере 38%, по меньшей мере 39%, по меньшей мере 40%, по меньшей мере 41%, по меньшей мере 42%, по меньшей мере 43%, по меньшей мере 44%, по меньшей мере 45%, по меньшей мере 46%, по меньшей мере 47%, по меньшей мере 48%, по меньшей мере 49%, по меньшей мере 50%, по меньшей мере 51%, по меньшей мере 52%, по меньшей мере 53%, по меньшей мере 54%, по меньшей мере 55%, по меньшей мере 56%, по меньшей мере 57%, по меньшей мере 58%, по меньшей мере 59%, по меньшей мере 60%, по меньшей мере 61%, по меньшей мере 62%, по меньшей мере 63%, по меньшей мере 64%, по меньшей мере 65%, по меньшей мере 66%, по меньшей мере 67%, по меньшей мере 68%, по меньшей мере 69%, по меньшей мере 70%, по меньшей мере 71%, по меньшей мере 72%, по меньшей мере 73%, по меньшей мере 74%, по меньшей мере 75%, по меньшей мере 76%, по меньшей мере 77%, по меньшей мере 78%, по меньшей мере 79%, по меньшей мере 80%, по меньшей мере 81%, по меньшей мере 82%, по меньшей мере 83%, по меньшей мере 84%, по меньшей мере 85%, по меньшей мере 86%, по меньшей мере 87%, по меньшей мере 88%, по меньшей мере 89%, по меньшей мере 90%, по меньшей мере 91%, по меньшей мере 92%, по меньшей мере 93%, по меньшей мере 94%, по меньшей мере 95%, по меньшей мере 96%, по меньшей мере 97%, по меньшей мере 98%, по меньшей мере 99% или 100%.

[286] В некоторых вариантах осуществления введение композиции приводит к снижению уровня амилоида в головном мозге, составляющему от -0,20 до -0,45, как, например, от -0,25 до -0,35, как определяется с помощью визуальных считываний PET-изображений амилоида, где субъект является ApoE4-положительным. В некоторых вариантах осуществления введение композиции приводит к снижению уровня амилоида в головном мозге, составляющему по меньшей мере -0,25, как определяется с помощью визуальных считываний PET-изображений амилоида, где субъект является ApoE4-положительным. В некоторых вариантах осуществления введение композиции приводит к снижению уровня амилоида в головном мозге, составляющему по меньшей мере 0,30, как определяется с помощью визуальных считываний PET-изображений амилоида, где субъект является ApoE4-положительным.

[287] В некоторых вариантах осуществления введение композиции приводит к снижению уровня амилоида в головном мозге, составляющему по меньшей мере -0,01, по меньшей мере -0,02, по меньшей мере -0,03, по меньшей мере -0,04, по меньшей мере -0,05, по меньшей мере -0,06, по меньшей мере -0,07, по меньшей мере -0,08, по меньшей мере -0,09, по меньшей мере -0,10, по меньшей мере -0,11, по меньшей мере -0,12, по меньшей мере -0,13, по меньшей мере -0,14, по меньшей мере -0,15, по меньшей мере -0,16, по меньшей мере -0,17, по меньшей мере -0,18, по меньшей мере -0,19, по меньшей мере -0,20, по меньшей мере -0,21, по меньшей мере -0,22, по меньшей мере -0,23, по меньшей мере -0,24, по меньшей мере -0,25, по меньшей мере -0,26, по меньшей мере -0,27, по меньшей мере -0,28 или по меньшей мере -0,29 по сравнению с плацебо, как определяется с помощью визуальных считываний PET-изображений амилоида, где субъект является ApoE4-положительным.

[288] В некоторых вариантах осуществления введение композиции приводит к снижению уровня амилоида в головном мозге, составляющему от -0,10 до -0,40, как определяется с помощью визуальных считываний PET-изображений амилоида, где субъект является ApoE4-отрицательным. В некоторых вариантах осуществления введение композиции приводит к снижению уровня амилоида в головном мозге, составляющему по меньшей мере -0,20, как определяется с помощью визуальных считываний PET-изображений амилоида, где субъект является ApoE4-отрицательным. В некоторых вариантах осуществления введение композиции приводит к снижению уровня амилоида в головном мозге, составляющему по меньшей мере -0,25, как определяется с помощью визуальных считываний PET-изображений амилоида, где субъект является ApoE4-отрицательным.

Изменения уровней биомаркеров

Уровень нейрогранина в спинномозговой жидкости

[289] В некоторых вариантах осуществления введение субъекту композиции, содержащей терапевтически эффективное количество по меньшей мере одного антитела к протофибриллам Aβ, раскрытого в данном документе, приводит к снижению уровня нейрогранина в спинномозговой жидкости у субъекта. В некоторых вариантах осуществления введение субъекту композиции, содержащей терапевтически эффективное количество по меньшей мере одного антитела к протофибриллам Aβ, раскрытого в данном документе, приводит к снижению уровня нейрогранина в спинномозговой жидкости по сравнению с исходным уровнем, составляющему по меньшей мере 1%, по меньшей мере 2%, по меньшей мере 3%, по меньшей мере 4%, по меньшей мере 5%, по меньшей мере 6%, по меньшей мере 7%, по меньшей мере 8%, по меньшей мере 9% или по меньшей мере 10%.

[290] В некоторых вариантах осуществления введение субъекту композиции, содержащей терапевтически эффективное количество по меньшей мере одного антитела к протофибриллам Aβ, раскрытого в данном документе, приводит к снижению уровня нейрогранина в спинномозговой жидкости после 18 месяцев введения композиции, содержащей терапевтически эффективное количество по меньшей мере одного антитела к протофибриллам Aβ. В некоторых вариантах осуществления введение субъекту композиции, содержащей терапевтически эффективное количество по меньшей мере одного антитела к протофибриллам Aβ, раскрытого в данном документе, приводит к снижению уровня нейрогранина в спинномозговой жидкости по сравнению с исходным уровнем, составляющему по меньшей мере 1%, по меньшей мере 2%, по меньшей мере 3%, по меньшей мере 4%, по меньшей мере 5%, по меньшей мере 6%, по меньшей мере 7%, по меньшей мере 8%, по меньшей мере 9% или по меньшей мере 10%, после 18 месяцев введения композиции.

[291] В некоторых вариантах осуществления введение субъекту композиции, содержащей терапевтически эффективное количество по меньшей мере одного антитела к протофибриллам Aβ, раскрытого в данном документе, приводит к снижению уровня нейрогранина в спинномозговой жидкости по сравнению с исходным уровнем, составляющему по меньшей мере приблизительно 25 пг/мл, по меньшей мере приблизительно 30 пг/мл, по меньшей мере приблизительно 35 пг/мл, по меньшей мере приблизительно 40 пг/мл, по меньшей мере приблизительно 45 пг/мл, по меньшей мере приблизительно 50 пг/мл, по меньшей мере приблизительно 55 пг/мл, по меньшей мере приблизительно 60 пг/мл или по меньшей мере приблизительно 65 пг/мл. В некоторых вариантах осуществления введение субъекту композиции, содержащей терапевтически эффективное количество по меньшей мере одного антитела к протофибриллам Aβ, раскрытого в данном документе, приводит к снижению уровня нейрогранина в спинномозговой жидкости по сравнению с исходным уровнем, составляющему по меньшей мере приблизительно 65 пг/мл.

[292] В некоторых вариантах осуществления введение субъекту композиции, содержащей терапевтически эффективное количество по меньшей мере одного антитела к протофибриллам Aβ, раскрытого в данном документе, приводит к снижению уровня нейрогранина в спинномозговой жидкости по сравнению с исходным уровнем, составляющему по меньшей мере приблизительно 25 пг/мл, по меньшей мере приблизительно 30 пг/мл, по меньшей мере приблизительно 35 пг/мл, по меньшей мере приблизительно 40 пг/мл, по меньшей мере приблизительно 45 пг/мл, по меньшей мере приблизительно 50 пг/мл, по меньшей мере приблизительно 55 пг/мл, по меньшей мере приблизительно 60 пг/мл или по меньшей мере приблизительно 65 пг/мл, после 18 месяцев введения композиции, содержащей терапевтически эффективное количество по меньшей мере одного антитела к протофибриллам Aβ. В некоторых вариантах осуществления введение субъекту композиции, содержащей терапевтически эффективное количество по меньшей мере одного антитела к протофибриллам Aβ, раскрытого в данном документе, приводит к снижению уровня нейрогранина в спинномозговой жидкости по сравнению с исходным уровнем, составляющему по меньшей мере 65 пг/мл, после 18 месяцев введения композиции.

[293] В некоторых вариантах осуществления по меньшей мере одно антитело к протофибриллам Aβ представляет собой BAN2401.

[294] В некоторых вариантах осуществления терапевтически эффективное количество по меньшей мере одного антитела к протофибриллам Aβ составляет 10 мг/кг. В некоторых вариантах осуществления композицию, содержащую терапевтически эффективное количество по меньшей мере одного антитела к протофибриллам Aβ, раскрытого в данном документе, вводят один раз в две недели или один раз в месяц. В некоторых вариантах осуществления композицию, содержащую 10 мг/кг BAN2401, вводят один раз в две недели. В некоторых вариантах осуществления композицию, содержащую 10 мг/кг BAN2401, вводят один раз в месяц.

Уровень легких цепей нейрофиламентов в спинномозговой жидкости

[295] В некоторых вариантах осуществления введение субъекту композиции, содержащей терапевтически эффективное количество по меньшей мере одного антитела к протофибриллам Aβ, раскрытого в данном документе, приводит к снижению уровня легких цепей нейрофиламентов в спинномозговой жидкости по сравнению с плацебо. В некоторых вариантах осуществления введение субъекту композиции, содержащей терапевтически эффективное количество по меньшей мере одного антитела к протофибриллам Aβ, раскрытого в данном документе, приводит к снижению уровня легких цепей нейрофиламентов в спинномозговой жидкости по сравнению с плацебо, составляющему по меньшей мере 5%, по меньшей мере 10%, по меньшей мере 15%, по меньшей мере 20%, по меньшей мере 25%, по меньшей мере 30%, по меньшей мере 35%, по меньшей мере 40%, по меньшей мере 45% или по меньшей мере 50%.

[296] В некоторых вариантах осуществления введение субъекту композиции, содержащей терапевтически эффективное количество по меньшей мере одного антитела к протофибриллам Aβ, раскрытого в данном документе, приводит к снижению уровня легких цепей нейрофиламентов в спинномозговой жидкости по сравнению с плацебо после 18 месяцев введения композиции. В некоторых вариантах осуществления введение субъекту композиции, содержащей терапевтически эффективное количество по меньшей мере одного антитела к протофибриллам Aβ, раскрытого в данном документе, приводит к снижению уровня легких цепей нейрофиламентов в спинномозговой жидкости по сравнению с плацебо, составляющему по меньшей мере 5%, по меньшей мере 10%, по меньшей мере 15%, по меньшей мере 20%, по меньшей мере 25%, по меньшей мере 30%, по меньшей мере 35%, по меньшей мере 40%, по меньшей мере 45% или по меньшей мере 50%, после 18 месяцев введения композиции.

[297] В некоторых вариантах осуществления введение субъекту композиции, содержащей терапевтически эффективное количество одного антитела к протофибриллам Aβ, раскрытого в данном документе, приводит к выработке уровня легких цепей нейрофиламентов в спинномозговой жидкости, более чем на приблизительно 35 пг/мл, приблизительно 40 пг/мл, приблизительно 45 пг/мл, приблизительно 50 пг/мл, приблизительно 55 пг/мл, приблизительно 60 пг/мл, приблизительно 65 пг/мл, приблизительно 70 пг/мл, приблизительно 75 пг/мл более высокого по сравнению с исходным уровнем. В некоторых вариантах осуществления введение субъекту композиции, содержащей терапевтически эффективное количество по меньшей мере одного антитела к протофибриллам Aβ, раскрытого в данном документе, приводит к выработке уровня легких цепей нейрофиламентов в спинномозговой жидкости, не более чем на приблизительно 75 пг/мл более высокого по сравнению с исходным уровнем.

[298] В некоторых вариантах осуществления введение субъекту композиции, содержащей терапевтически эффективное количество по меньшей мере одного антитела к протофибриллам Aβ, раскрытого в данном документе, приводит к выработке уровня легких цепей нейрофиламентов в спинномозговой жидкости, более чем на приблизительно 35 пг/мл, приблизительно 40 пг/мл, приблизительно 45 пг/мл, приблизительно 50 пг/мл, приблизительно 55 пг/мл, приблизительно 60 пг/мл, приблизительно 65 пг/мл, приблизительно 70 пг/мл, приблизительно 75 пг/мл более высокого по сравнению с исходным уровнем, после 18 месяцев введения композиции. В некоторых вариантах осуществления введение субъекту композиции, содержащей терапевтически эффективное количество по меньшей мере одного антитела к протофибриллам Aβ, раскрытого в данном документе, приводит к выработке уровня легких цепей нейрофиламентов в спинномозговой жидкости, не более чем на приблизительно 75 пг/мл более высокого по сравнению с исходным уровнем, после 18 месяцев введения композиции.

[299] В некоторых вариантах осуществления по меньшей мере одно антитело к протофибриллам Aβ представляет собой BAN2401.

[300] В некоторых вариантах осуществления терапевтически эффективное количество по меньшей мере одного антитела к протофибриллам Aβ, раскрытого в данном документе, составляет 10 мг/кг. В некоторых вариантах осуществления композицию, содержащую терапевтически эффективное количество по меньшей мере одного антитела к протофибриллам Aβ, раскрытого в данном документе, вводят один раз в две недели или один раз в месяц. В некоторых вариантах осуществления композицию, содержащую 10 мг/кг BAN2401, вводят один раз в две недели. В некоторых вариантах осуществления композицию, содержащую 10 мг/кг BAN2401, вводят один раз в месяц.

Уровень фосфо-тау-белка в спинномозговой жидкости

[301] В некоторых вариантах осуществления введение субъекту композиции, содержащей терапевтически эффективное количество по меньшей мере одного антитела к протофибриллам Aβ, раскрытого в данном документе, приводит к снижению уровня фосфо-тау-белка в спинномозговой жидкости. В некоторых вариантах осуществления введение субъекту композиции, содержащей терапевтически эффективное количество по меньшей мере одного антитела к протофибриллам Aβ, раскрытого в данном документе, приводит к снижению уровня фосфо-тау-белка в спинномозговой жидкости по сравнению с исходным уровнем, составляющему по меньшей мере 1%, по меньшей мере 2%, по меньшей мере 3%, по меньшей мере 4%, по меньшей мере 5%, по меньшей мере 6%, по меньшей мере 7%, по меньшей мере 8%, по меньшей мере 9%, по меньшей мере 10%, по меньшей мере 11%, по меньшей мере 12% или по меньшей мере 13%.

[302] В некоторых вариантах осуществления введение субъекту композиции, содержащей терапевтически эффективное количество по меньшей мере одного антитела к протофибриллам Aβ, раскрытого в данном документе, приводит к снижению уровня фосфо-тау-белка в спинномозговой жидкости после 18 месяцев введения композиции. В некоторых вариантах осуществления введение субъекту композиции, содержащей терапевтически эффективное количество по меньшей мере одного антитела к протофибриллам Aβ, раскрытого в данном документе, приводит к снижению уровня фосфо-тау-белка в спинномозговой жидкости по сравнению с исходным уровнем, составляющему по меньшей мере 1%, по меньшей мере 2%, по меньшей мере 3%, по меньшей мере 4%, по меньшей мере 5%, по меньшей мере 6%, по меньшей мере 7%, по меньшей мере 8%, по меньшей мере 9%, по меньшей мере 10%, по меньшей мере 11%, по меньшей мере 12% или по меньшей мере 13%, после 18 месяцев введения композиции, содержащей терапевтически эффективное количество по меньшей мере одного антитела к протофибриллам Aβ.

[303] В некоторых вариантах осуществления введение субъекту композиции, содержащей терапевтически эффективное количество по меньшей мере одного антитела к протофибриллам Aβ, раскрытого в данном документе, приводит к снижению уровня фосфо-тау-белка в спинномозговой жидкости по сравнению с исходным уровнем, составляющему по меньшей мере приблизительно 65 пг/мл, по меньшей мере приблизительно 70 пг/мл, по меньшей мере приблизительно 75 пг/мл, по меньшей мере приблизительно 80 пг/мл, по меньшей мере приблизительно 85 пг/мл, по меньшей мере приблизительно 90 пг/мл или по меньшей мере приблизительно 95 пг/мл. В некоторых вариантах осуществления введение субъекту композиции, содержащей терапевтически эффективное количество по меньшей мере одного антитела к протофибриллам Aβ, раскрытого в данном документе, приводит к снижению уровня фосфо-тау-белка в спинномозговой жидкости по сравнению с исходным уровнем, составляющему по меньшей мере приблизительно 95 пг/мл.

[304] В некоторых вариантах осуществления введение субъекту композиции, содержащей терапевтически эффективное количество по меньшей мере одного антитела к протофибриллам Aβ, раскрытого в данном документе, приводит к снижению уровня фосфо-тау-белка в спинномозговой жидкости по сравнению с исходным уровнем, составляющему по меньшей мере приблизительно 65 пг/мл, по меньшей мере приблизительно 70 пг/мл, по меньшей мере приблизительно 75 пг/мл, по меньшей мере приблизительно 80 пг/мл, по меньшей мере приблизительно 85 пг/мл, по меньшей мере приблизительно 90 пг/мл или по меньшей мере приблизительно 95 пг/мл, после 18 месяцев введения композиции, содержащей терапевтически эффективное количество по меньшей мере одного антитела к протофибриллам Aβ. В некоторых вариантах осуществления введение субъекту композиции, содержащей терапевтически эффективное количество по меньшей мере одного антитела к протофибриллам Aβ, раскрытого в данном документе, приводит к снижению уровня фосфо-тау-белка в спинномозговой жидкости по сравнению с исходным уровнем, составляющему по меньшей мере 95 пг/мл, после 18 месяцев введения композиции, содержащей терапевтически эффективное количество по меньшей мере одного антитела к протофибриллам Aβ.

[305] В некоторых вариантах осуществления по меньшей мере одно антитело к протофибриллам Aβ представляет собой BAN2401.

[306] В некоторых вариантах осуществления терапевтически эффективное количество по меньшей мере одного антитела к протофибриллам Aβ составляет 10 мг/кг. В некоторых вариантах осуществления композицию, содержащую терапевтически эффективное количество по меньшей мере одного антитела к протофибриллам Aβ, раскрытого в данном документе, вводят один раз в две недели или один раз в месяц. В некоторых вариантах осуществления композицию, содержащую 10 мг/кг BAN2401, вводят один раз в две недели. В некоторых вариантах осуществления композицию, содержащую 10 мг/кг BAN2401, вводят один раз в месяц.

Способы лечения болезни Альцгеймера

Уменьшение клинического ухудшения

[307] В данном документе предусмотрен способ лечения субъекта с болезнью Альцгеймера на ранней стадии, включающий введение указанному субъекту композиции, содержащей терапевтически эффективное количество по меньшей мере одного антитела к протофибриллам Aβ, раскрытого в данном документе, где клиническое ухудшение у субъекта уменьшается на по меньшей мере 35% по сравнению с плацебо, как определяется с помощью ADCOMS, после 6 месяцев введения композиции, на по меньшей мере 30% по сравнению с плацебо, как определяется с помощью ADCOMS, после 12 месяцев введения композиции и/или на по меньшей мере 25% по сравнению с плацебо, как определяется с помощью ADCOMS, после 18 месяцев введения композиции. В некоторых вариантах осуществления у субъекта с болезнью Альцгеймера на ранней стадии было диагностировано наличие легкого когнитивного нарушения, с промежуточной вероятностью обусловленного болезнью Альцгеймера, и/или было диагностировано наличие легкой деменции при болезни Альцгеймера. В некоторых вариантах осуществления субъект с болезнью Альцгеймера на ранней стадии является ApoE4-положительным.

[308] Любое из антител к протофибриллам Aβ, их терапевтически приемлемых количеств, схем введения их доз и содержащих их композиций, которые раскрыты в данном документе, можно применять в способе уменьшения клинического ухудшения у субъекта с болезнью Альцгеймера на ранней стадии. Например, в некоторых вариантах осуществления композицию, содержащую 2,5 мг/кг, 5 мг/кг, 7,5 мг/кг или 10 мг/кг по меньшей мере одного антитела к протофибриллам Aβ, такого как BAN2401, по отношению к массе тела субъекта, вводят субъекту один раз в неделю, один раз в две недели, один раз в три недели, один раз в четыре недели или один раз в месяц. В некоторых вариантах осуществления клиническое ухудшение уменьшается на по меньшей мере 25%, по меньшей мере 26%, по меньшей мере 27%, по меньшей мере 28%, по меньшей мере 29%, по меньшей мере 30%, по меньшей мере 31%, по меньшей мере 32%, по меньшей мере 33%, по меньшей мере 34%, по меньшей мере 35%, по меньшей мере 36%, по меньшей мере 37%, по меньшей мере 38%, по меньшей мере 39%, по меньшей мере 40%, по меньшей мере 41%, по меньшей мере 42%, по меньшей мере 43%, по меньшей мере 44%, по меньшей мере 45% или по меньшей мере 46% по сравнению с плацебо, как определяется с помощью ADCOMS. В некоторых вариантах осуществления вышеупомянутое уменьшение клинического ухудшения определяется после 1 месяца, 6 месяцев, 12 месяцев, 18 месяцев, 60 месяцев и/или 63 месяцев введения композиции, содержащей терапевтически эффективное количество по меньшей мере одного антитела к протофибриллам Aβ.

[309] В некоторых вариантах осуществления клиническое ухудшение уменьшается на 20-35% по сравнению с плацебо, как определяется с помощью ADCOMS. В некоторых вариантах осуществления клиническое ухудшение уменьшается на 20-30% по сравнению с плацебо, как определяется с помощью ADCOMS. В некоторых вариантах осуществления клиническое ухудшение уменьшается на 27-35% по сравнению с плацебо, как определяется с помощью ADCOMS. В некоторых вариантах осуществления клиническое ухудшение уменьшается на по меньшей мере 20% по сравнению с плацебо, как определяется с помощью ADCOMS. В некоторых вариантах осуществления клиническое ухудшение уменьшается на по меньшей мере 35% по сравнению с плацебо, как определяется с помощью ADCOMS. В некоторых вариантах осуществления клиническое ухудшение уменьшается на по меньшей мере 20%, как определяется с помощью ADCOMS. В некоторых вариантах осуществления клиническое ухудшение уменьшается на по меньшей мере 30%, как определяется с помощью ADCOMS. В некоторых вариантах осуществления вышеупомянутое уменьшение клинического ухудшения определяется после 1 месяца, 6 месяцев, 12 месяцев, 18 месяцев, 60 месяцев и/или 63 месяцев введения композиции, содержащей терапевтически эффективное количество по меньшей мере одного антитела к протофибриллам Aβ.

[310] В некоторых вариантах осуществления клиническое ухудшение уменьшается на по меньшей мере 45% по сравнению с плацебо, как определяется с помощью ADCOMS, после 6 месяцев введения композиции, содержащей терапевтически эффективное количество по меньшей мере одного антитела к протофибриллам Aβ. В некоторых вариантах осуществления клиническое ухудшение уменьшается на по меньшей мере 35% по сравнению с плацебо, как определяется с помощью ADCOMS, после 12 месяцев введения композиции, содержащей терапевтически эффективное количество по меньшей мере одного антитела к протофибриллам Aβ. В некоторых вариантах осуществления клиническое ухудшение уменьшается на по меньшей мере 30% по сравнению с плацебо, как определяется с помощью ADCOMS, после 18 месяцев введения композиции, содержащей терапевтически эффективное количество по меньшей мере одного антитела к протофибриллам Aβ. В некоторых вариантах осуществления клиническое ухудшение уменьшается на по меньшей мере 46% по сравнению с плацебо, как определяется с помощью ADCOMS, после 18 месяцев введения композиции, содержащей терапевтически эффективное количество по меньшей мере одного антитела к протофибриллам Aβ. В некоторых вариантах осуществления композиция содержит 10 мг/кг по меньшей мере одного антитела к протофибриллам Aβ и вводится один раз в две недели или один раз в месяц. В некоторых вариантах осуществления по меньшей мере одно антитело к протофибриллам Aβ представляет собой BAN2401.

[311] В некоторых вариантах осуществления клиническое ухудшение уменьшается на по меньшей мере 1%, по меньшей мере 2%, по меньшей мере 3%, по меньшей мере 4%, по меньшей мере 5%, по меньшей мере 6%, по меньшей мере 7%, по меньшей мере 8%, по меньшей мере 9%, по меньшей мере 10%, по меньшей мере 11%, по меньшей мере 12%, по меньшей мере 13%, по меньшей мере 14%, по меньшей мере 15%, по меньшей мере 16%, по меньшей мере 17%, по меньшей мере 18%, по меньшей мере 19%, по меньшей мере 20%, по меньшей мере 21%, по меньшей мере 22%, по меньшей мере 23%, по меньшей мере 24%, по меньшей мере 25%, по меньшей мере 26%, по меньшей мере 27%, по меньшей мере 28%, по меньшей мере 29%, по меньшей мере 30%, по меньшей мере 31%, по меньшей мере 32%, по меньшей мере 33%, по меньшей мере 34%, по меньшей мере 35%, по меньшей мере 36%, по меньшей мере 37%, по меньшей мере 38%, по меньшей мере 39%, по меньшей мере 40%, по меньшей мере 41%, по меньшей мере 42%, по меньшей мере 43%, по меньшей мере 44%, по меньшей мере 45%, по меньшей мере 46%, по меньшей мере 47%, по меньшей мере 48%, по меньшей мере 49%, по меньшей мере 50%, по меньшей мере 51% или по меньшей мере 52% по сравнению с плацебо, как определяется с помощью ADCOMS, где у субъекта было диагностировано наличие легкого когнитивного нарушения, с промежуточной вероятностью обусловленного болезнью Альцгеймера. В некоторых вариантах осуществления вышеупомянутое уменьшение клинического ухудшения определяется после 1 месяца, 6 месяцев, 12 месяцев, 18 месяцев, 60 месяцев и/или 63 месяцев введения композиции, содержащей терапевтически эффективное количество по меньшей мере одного антитела к протофибриллам Aβ.

[312] В некоторых вариантах осуществления клиническое ухудшение уменьшается на 28-33% по сравнению с плацебо, как определяется с помощью ADCOMS, где у субъекта было диагностировано наличие легкого когнитивного нарушения, с промежуточной вероятностью обусловленного болезнью Альцгеймера. В некоторых вариантах осуществления клиническое ухудшение уменьшается на по меньшей мере 20%, как, например, на 25% или по меньшей мере 28%, по сравнению с плацебо, как определяется с помощью ADCOMS, где у субъекта было диагностировано наличие легкого когнитивного нарушения, с промежуточной вероятностью обусловленного болезнью Альцгеймера. В некоторых вариантах осуществления клиническое ухудшение уменьшается на по меньшей мере 25%, как, например, на по меньшей мере 30% или по меньшей мере 33%, по сравнению с плацебо, как определяется с помощью ADCOMS, где у субъекта было диагностировано наличие легкого когнитивного нарушения, с промежуточной вероятностью обусловленного болезнью Альцгеймера. В некоторых вариантах осуществления клиническое ухудшение уменьшается на по меньшей мере 25%, как, например, на по меньшей мере 30%, по меньшей мере 35%, по меньшей мере 40%, по меньшей мере 45%, по меньшей мере 50% или по меньшей мере 52%, по сравнению с плацебо, как определяется с помощью ADCOMS, где у субъекта было диагностировано наличие легкого когнитивного нарушения, с промежуточной вероятностью обусловленного болезнью Альцгеймера. В некоторых вариантах осуществления клиническое ухудшение уменьшается на по меньшей мере 52% по сравнению с плацебо, как определяется с помощью ADCOMS, где у субъекта было диагностировано наличие легкого когнитивного нарушения, с промежуточной вероятностью обусловленного болезнью Альцгеймера. В некоторых вариантах осуществления вышеупомянутое уменьшение клинического ухудшения определяется после 1 месяца, 6 месяцев, 12 месяцев, 18 месяцев, 60 месяцев и/или 63 месяцев введения композиции, содержащей терапевтически эффективное количество по меньшей мере одного антитела к протофибриллам Aβ.

[313] В некоторых вариантах осуществления клиническое ухудшение у субъекта, у которого диагностировано наличие легкого когнитивного нарушения, с промежуточной вероятностью обусловленного болезнью Альцгеймера, уменьшается на по меньшей мере 30% по сравнению с плацебо, как определяется с помощью ADCOMS, после 6 месяцев введения композиции, содержащей терапевтически эффективное количество по меньшей мере одного антитела к протофибриллам Aβ. В некоторых вариантах осуществления клиническое ухудшение у субъекта, у которого диагностировано наличие легкого когнитивного нарушения, с промежуточной вероятностью обусловленного болезнью Альцгеймера, уменьшается на по меньшей мере 25% по сравнению с плацебо, как определяется с помощью ADCOMS, после 12 месяцев введения композиции, содержащей терапевтически эффективное количество по меньшей мере одного антитела к протофибриллам Aβ. В некоторых вариантах осуществления клиническое ухудшение у субъекта, у которого диагностировано наличие легкого когнитивного нарушения, с промежуточной вероятностью обусловленного болезнью Альцгеймера, уменьшается на по меньшей мере 30% по сравнению с плацебо, как определяется с помощью ADCOMS, после 18 месяцев введения композиции, содержащей терапевтически эффективное количество по меньшей мере одного антитела к протофибриллам Aβ. В некоторых вариантах осуществления клиническое ухудшение у субъекта, у которого диагностировано наличие легкого когнитивного нарушения, с промежуточной вероятностью обусловленного болезнью Альцгеймера, уменьшается на по меньшей мере 52% по сравнению с плацебо, как определяется с помощью ADCOMS, после 18 месяцев введения композиции, содержащей терапевтически эффективное количество по меньшей мере одного антитела к протофибриллам Aβ. В некоторых вариантах осуществления композиция содержит 10 мг/кг по меньшей мере одного антитела к протофибриллам Aβ и вводится один раз в две недели или один раз в месяц. В некоторых вариантах осуществления по меньшей мере одно антитело к протофибриллам Aβ представляет собой BAN2401.

[314] В некоторых вариантах осуществления клиническое ухудшение уменьшается на по меньшей мере 1%, по меньшей мере 2%, по меньшей мере 3%, по меньшей мере 4%, по меньшей мере 5%, по меньшей мере 6%, по меньшей мере 7%, по меньшей мере 8%, по меньшей мере 9%, по меньшей мере 10%, по меньшей мере 11%, по меньшей мере 12%, по меньшей мере 13%, по меньшей мере 14%, по меньшей мере 15%, по меньшей мере 16%, по меньшей мере 17%, по меньшей мере 18%, по меньшей мере 19%, по меньшей мере 20%, по меньшей мере 21%, по меньшей мере 22%, по меньшей мере 23%, по меньшей мере 24%, по меньшей мере 25%, по меньшей мере 26%, по меньшей мере 27%, по меньшей мере 28%, по меньшей мере 29%, по меньшей мере 30%, по меньшей мере 31%, по меньшей мере 32% или по меньшей мере 33% по сравнению с плацебо, как определяется с помощью ADCOMS, где у субъекта было диагностировано наличие легкого когнитивного нарушения, с промежуточной вероятностью обусловленного болезнью Альцгеймера. В некоторых вариантах осуществления вышеупомянутое уменьшение клинического ухудшения определяется после 1 месяца, 6 месяцев, 12 месяцев, 18 месяцев, 60 месяцев и/или 63 месяцев введения композиции, содержащей терапевтически эффективное количество по меньшей мере одного антитела к протофибриллам Aβ.

[315] В некоторых вариантах осуществления клиническое ухудшение уменьшается на 28-38% по сравнению с плацебо, как определяется с помощью ADCOMS, где у субъекта было диагностировано наличие легкого когнитивного нарушения, с промежуточной вероятностью обусловленного болезнью Альцгеймера. В некоторых вариантах осуществления клиническое ухудшение уменьшается на по меньшей мере 20%, как, например, на по меньшей мере 25%, по меньшей мере 28% или по меньшей мере 33%, по сравнению с плацебо, как определяется с помощью ADCOMS, где у субъекта было диагностировано наличие легкого когнитивного нарушения, с промежуточной вероятностью обусловленного болезнью Альцгеймера. В некоторых вариантах осуществления клиническое ухудшение уменьшается на по меньшей мере 25%, как, например, на по меньшей мере 30% или по меньшей мере 33%, по сравнению с плацебо, как определяется с помощью ADCOMS, где у субъекта было диагностировано наличие легкого когнитивного нарушения, с промежуточной вероятностью обусловленного болезнью Альцгеймера. В некоторых вариантах осуществления клиническое ухудшение уменьшается на по меньшей мере 33% по сравнению с плацебо, как определяется с помощью ADCOMS, где у субъекта было диагностировано наличие легкого когнитивного нарушения, с промежуточной вероятностью обусловленного болезнью Альцгеймера. В некоторых вариантах осуществления вышеупомянутое уменьшение клинического ухудшения определяется после 1 месяца, 6 месяцев, 12 месяцев, 18 месяцев, 60 месяцев и/или 63 месяцев введения композиции, содержащей терапевтически эффективное количество по меньшей мере одного антитела к протофибриллам Aβ.

[316] В некоторых вариантах осуществления клиническое ухудшение у субъекта, у которого диагностировано наличие легкого когнитивного нарушения, с промежуточной вероятностью обусловленного болезнью Альцгеймера, уменьшается на по меньшей мере 33% по сравнению с плацебо, как определяется с помощью ADCOMS, после 18 месяцев введения композиции, содержащей терапевтически эффективное количество по меньшей мере одного антитела к протофибриллам Aβ. В некоторых вариантах осуществления композиция содержит 10 мг/кг по меньшей мере одного антитела к протофибриллам Aβ и вводится один раз в две недели или один раз в месяц. В некоторых вариантах осуществления по меньшей мере одно антитело к протофибриллам Aβ представляет собой BAN2401.

[317] В некоторых вариантах осуществления клиническое ухудшение уменьшается на по меньшей мере 1%, по меньшей мере 2%, по меньшей мере 3%, по меньшей мере 4%, по меньшей мере 5%, по меньшей мере 6%, по меньшей мере 7%, по меньшей мере 8%, по меньшей мере 9%, по меньшей мере 10%, по меньшей мере 11%, по меньшей мере 12%, по меньшей мере 13%, по меньшей мере 14%, по меньшей мере 15%, по меньшей мере 16%, по меньшей мере 17%, по меньшей мере 18%, по меньшей мере 19%, по меньшей мере 20%, по меньшей мере 21%, по меньшей мере 22%, по меньшей мере 23%, по меньшей мере 24%, по меньшей мере 25%, по меньшей мере 26%, по меньшей мере 27%, по меньшей мере 28%, по меньшей мере 29%, по меньшей мере 30%, по меньшей мере 31%, по меньшей мере 32%, по меньшей мере 33%, по меньшей мере 34%, по меньшей мере 35%, по меньшей мере 36%, по меньшей мере 37%, по меньшей мере 38%, по меньшей мере 39%, по меньшей мере 40%, по меньшей мере 41%, по меньшей мере 42%, по меньшей мере 43%, по меньшей мере 44%, по меньшей мере 45%, по меньшей мере 46%, по меньшей мере 47%, по меньшей мере 48%, по меньшей мере 49%, по меньшей мере 50%, по меньшей мере 51%, по меньшей мере 52%, по меньшей мере 53%, по меньшей мере 54%, по меньшей мере 55%, по меньшей мере 56%, по меньшей мере 57%, по меньшей мере 58%, по меньшей мере 59%, по меньшей мере 60%, по меньшей мере 61%, по меньшей мере 62%, по меньшей мере 63%, по меньшей мере 64%, по меньшей мере 65%, по меньшей мере 66%, по меньшей мере 67%, по меньшей мере 68%, по меньшей мере 69%, по меньшей мере 70%, по меньшей мере 71%, по меньшей мере 72%, по меньшей мере 73%, по меньшей мере 74%, по меньшей мере 75%, по меньшей мере 76%, по меньшей мере 77% или по меньшей мере 78% по сравнению с плацебо, как определяется с помощью ADCOMS, где у субъекта было диагностировано наличие легкой деменции при болезни Альцгеймера. В некоторых вариантах осуществления вышеупомянутое уменьшение клинического ухудшения определяется после 1 месяца, 6 месяцев, 12 месяцев, 18 месяцев, 60 месяцев и/или 63 месяцев введения композиции, содержащей терапевтически эффективное количество по меньшей мере одного антитела к протофибриллам Aβ.

[318] В некоторых вариантах осуществления клиническое ухудшение уменьшается на 20-80% по сравнению с плацебо, как определяется с помощью ADCOMS, где у субъекта было диагностировано наличие деменции при болезни Альцгеймера. В некоторых вариантах осуществления клиническое ухудшение уменьшается на 35-78% по сравнению с плацебо, как определяется с помощью ADCOMS, где у субъекта было диагностировано наличие деменции при болезни Альцгеймера. В некоторых вариантах осуществления клиническое ухудшение уменьшается на по меньшей мере 35% по сравнению с плацебо, как определяется с помощью ADCOMS, где у субъекта было диагностировано наличие легкой деменции при болезни Альцгеймера. В некоторых вариантах осуществления клиническое ухудшение уменьшается на по меньшей мере 50%, как, например, на по меньшей мере 52% или по меньшей мере 53%, по сравнению с плацебо, как определяется с помощью ADCOMS, где у субъекта было диагностировано наличие легкой деменции при болезни Альцгеймера. В некоторых вариантах осуществления клиническое ухудшение уменьшается на по меньшей мере 70%, как, например, на по меньшей мере 75% или по меньшей мере 78%, по сравнению с плацебо, как определяется с помощью ADCOMS, где у субъекта было диагностировано наличие легкой деменции при болезни Альцгеймера. В некоторых вариантах осуществления вышеупомянутое уменьшение клинического ухудшения определяется после 1 месяца, 6 месяцев, 12 месяцев, 18 месяцев, 60 месяцев и/или 63 месяцев введения композиции, содержащей терапевтически эффективное количество по меньшей мере одного антитела к протофибриллам Aβ.

[319] В некоторых вариантах осуществления клиническое ухудшение у субъекта, у которого диагностировано наличие легкой деменции при болезни Альцгеймера, уменьшается на по меньшей мере 70% по сравнению с плацебо, как определяется с помощью ADCOMS, после 6 месяцев введения композиции, содержащей терапевтически эффективное количество по меньшей мере одного антитела к протофибриллам Aβ. В некоторых вариантах осуществления клиническое ухудшение у субъекта, у которого диагностировано наличие легкой деменции при болезни Альцгеймера, уменьшается на по меньшей мере 50% по сравнению с плацебо, как определяется с помощью ADCOMS, после 12 месяцев введения композиции, содержащей терапевтически эффективное количество по меньшей мере одного антитела к протофибриллам Aβ. В некоторых вариантах осуществления клиническое ухудшение у субъекта, у которого диагностировано наличие легкой деменции при болезни Альцгеймера, уменьшается на по меньшей мере 30% по сравнению с плацебо, как определяется с помощью ADCOMS, после 18 месяцев введения композиции, содержащей терапевтически эффективное количество по меньшей мере одного антитела к протофибриллам Aβ. В некоторых вариантах осуществления клиническое ухудшение у субъекта, у которого диагностировано наличие легкой деменции при болезни Альцгеймера, уменьшается на по меньшей мере 52% по сравнению с плацебо, как определяется с помощью ADCOMS, после 18 месяцев введения композиции, содержащей терапевтически эффективное количество по меньшей мере одного антитела к протофибриллам Aβ. В некоторых вариантах осуществления композиция содержит 10 мг/кг по меньшей мере одного антитела к протофибриллам Aβ и вводится один раз в две недели или один раз в месяц. В некоторых вариантах осуществления по меньшей мере одно антитело к протофибриллам Aβ представляет собой BAN2401.

[320] В некоторых вариантах осуществления клиническое ухудшение уменьшается на по меньшей мере 1%, по меньшей мере 2%, по меньшей мере 3%, по меньшей мере 4%, по меньшей мере 5%, по меньшей мере 6%, по меньшей мере 7%, по меньшей мере 8%, по меньшей мере 9%, по меньшей мере 10%, по меньшей мере 11%, по меньшей мере 12%, по меньшей мере 13%, по меньшей мере 14%, по меньшей мере 15%, по меньшей мере 16%, по меньшей мере 17%, по меньшей мере 18%, по меньшей мере 19%, по меньшей мере 20%, по меньшей мере 21%, по меньшей мере 22%, по меньшей мере 23%, по меньшей мере 24%, по меньшей мере 25%, по меньшей мере 26%, по меньшей мере 27%, по меньшей мере 28%, по меньшей мере 29%, по меньшей мере 30%, по меньшей мере 31%, по меньшей мере 32%, по меньшей мере 33%, по меньшей мере 34% или по меньшей мере 35% по сравнению с плацебо, как определяется с помощью ADCOMS, где у субъекта было диагностировано наличие легкой деменции при болезни Альцгеймера. В некоторых вариантах осуществления вышеупомянутое уменьшение клинического ухудшения определяется после 1 месяца, 6 месяцев, 12 месяцев, 18 месяцев, 60 месяцев и/или 63 месяцев введения композиции, содержащей терапевтически эффективное количество по меньшей мере одного антитела к протофибриллам Aβ.

[321] В некоторых вариантах осуществления клиническое ухудшение уменьшается на 28-38% по сравнению с плацебо, как определяется с помощью ADCOMS, где у субъекта было диагностировано наличие легкой деменции при болезни Альцгеймера. В некоторых вариантах осуществления клиническое ухудшение уменьшается на по меньшей мере 20%, как, например, на по меньшей мере 25%, по меньшей мере 28% или по меньшей мере 35%, по сравнению с плацебо, как определяется с помощью ADCOMS, где у субъекта было диагностировано наличие легкой деменции при болезни Альцгеймера. В некоторых вариантах осуществления клиническое ухудшение уменьшается на по меньшей мере 25%, как, например, на по меньшей мере 30% или по меньшей мере 35%, по сравнению с плацебо, как определяется с помощью ADCOMS, где у субъекта было диагностировано наличие легкой деменции при болезни Альцгеймера. В некоторых вариантах осуществления клиническое ухудшение уменьшается на по меньшей мере 35% по сравнению с плацебо, как определяется с помощью ADCOMS, где у субъекта было диагностировано наличие легкой деменции при болезни Альцгеймера. В некоторых вариантах осуществления вышеупомянутое уменьшение клинического ухудшения определяется после 1 месяца, 6 месяцев, 12 месяцев, 18 месяцев, 60 месяцев и/или 63 месяцев введения композиции, содержащей терапевтически эффективное количество по меньшей мере одного антитела к протофибриллам Aβ.

[322] В некоторых вариантах осуществления клиническое ухудшение у субъекта, у которого диагностировано наличие легкой деменции при болезни Альцгеймера, уменьшается на по меньшей мере 35% по сравнению с плацебо, как определяется с помощью ADCOMS, после 18 месяцев введения композиции, содержащей терапевтически эффективное количество по меньшей мере одного антитела к протофибриллам Aβ. В некоторых вариантах осуществления композиция содержит 10 мг/кг по меньшей мере одного антитела к протофибриллам Aβ и вводится один раз в две недели или один раз в месяц. В некоторых вариантах осуществления по меньшей мере одно антитело к протофибриллам Aβ представляет собой BAN2401.

[323] В некоторых вариантах осуществления клиническое ухудшение уменьшается на по меньшей мере 1%, по меньшей мере 2%, по меньшей мере 3%, по меньшей мере 4%, по меньшей мере 5%, по меньшей мере 6%, по меньшей мере 7%, по меньшей мере 8%, по меньшей мере 9%, по меньшей мере 10%, по меньшей мере 11%, по меньшей мере 12%, по меньшей мере 13%, по меньшей мере 14%, по меньшей мере 15%, по меньшей мере 16%, по меньшей мере 17%, по меньшей мере 18%, по меньшей мере 19%, по меньшей мере 20%, по меньшей мере 21%, по меньшей мере 22%, по меньшей мере 23%, по меньшей мере 24%, по меньшей мере 25%, по меньшей мере 26%, по меньшей мере 27%, по меньшей мере 28%, по меньшей мере 29%, по меньшей мере 30%, по меньшей мере 31%, по меньшей мере 32%, по меньшей мере 33%, по меньшей мере 34%, по меньшей мере 35%, по меньшей мере 36%, по меньшей мере 37%, по меньшей мере 38%, по меньшей мере 39%, по меньшей мере 40%, по меньшей мере 41%, по меньшей мере 42%, по меньшей мере 43%, по меньшей мере 44%, по меньшей мере 45%, по меньшей мере 46%, по меньшей мере 47%, по меньшей мере 48%, по меньшей мере 49%, по меньшей мере 50%, по меньшей мере 51%, по меньшей мере 52%, по меньшей мере 53%, по меньшей мере 54%, по меньшей мере 55%, по меньшей мере 56%, по меньшей мере 57%, по меньшей мере 58%, по меньшей мере 59%, по меньшей мере 60%, по меньшей мере 61%, по меньшей мере 62%, по меньшей мере 63%, по меньшей мере 64%, по меньшей мере 65%, по меньшей мере 66%, по меньшей мере 67%, по меньшей мере 68%, по меньшей мере 69%, по меньшей мере 70%, по меньшей мере 75%, по меньшей мере 80%, по меньшей мере 85%, по меньшей мере 90%, по меньшей мере 95%, по меньшей мере 100%, по меньшей мере 110%, по меньшей мере 120%, по меньшей мере 130%, по меньшей мере 140% или по меньшей мере 150% по сравнению с плацебо, как определяется с помощью ADAS-Cog. В некоторых вариантах осуществления вышеупомянутое уменьшение клинического ухудшения определяется после 1 месяца, 6 месяцев, 12 месяцев, 18 месяцев, 60 месяцев и/или 63 месяцев введения композиции, содержащей терапевтически эффективное количество по меньшей мере одного антитела к протофибриллам Aβ.

[324] В некоторых вариантах осуществления клиническое ухудшение уменьшается на 40-150% по сравнению с плацебо, как определяется с помощью ADAS-Cog. В некоторых вариантах осуществления клиническое ухудшение уменьшается на 45-145% по сравнению с плацебо, как определяется с помощью ADAS-Cog. В некоторых вариантах осуществления клиническое ухудшение уменьшается на 45-55% по сравнению с плацебо, как определяется с помощью ADAS-Cog. В некоторых вариантах осуществления клиническое ухудшение уменьшается на по меньшей мере 30% по сравнению с плацебо, как определяется с помощью ADAS-Cog. В некоторых вариантах осуществления клиническое ухудшение уменьшается на по меньшей мере 35% по сравнению с плацебо, как определяется с помощью ADAS-Cog. В некоторых вариантах осуществления клиническое ухудшение уменьшается на по меньшей мере 40%, как определяется с помощью ADAS-Cog. В некоторых вариантах осуществления клиническое ухудшение уменьшается на по меньшей мере 45%, как определяется с помощью ADAS-Cog. В некоторых вариантах осуществления клиническое ухудшение уменьшается на по меньшей мере 47%, как определяется с помощью ADAS-Cog. В некоторых вариантах осуществления вышеупомянутое уменьшение клинического ухудшения определяется после 1 месяца, 6 месяцев, 12 месяцев, 18 месяцев, 60 месяцев и/или 63 месяцев введения композиции, содержащей терапевтически эффективное количество по меньшей мере одного антитела к протофибриллам Aβ.

[325] В некоторых вариантах осуществления клиническое ухудшение уменьшается на по меньшей мере 100%, как, например, на по меньшей мере 120% или по меньшей мере 140%, по сравнению с плацебо, как определяется с помощью ADAS-Cog, после 6 месяцев введения композиции, содержащей терапевтически эффективное количество по меньшей мере одного антитела к протофибриллам Aβ. В некоторых вариантах осуществления клиническое ухудшение уменьшается на по меньшей мере 40%, как, например, на по меньшей мере 45%, по сравнению с плацебо, как определяется с помощью ADAS-Cog, после 12 месяцев введения композиции, содержащей терапевтически эффективное количество по меньшей мере одного антитела к протофибриллам Aβ. В некоторых вариантах осуществления клиническое ухудшение уменьшается на по меньшей мере 40%, как, например, на по меньшей мере 45%, по сравнению с плацебо, как определяется с помощью ADAS-Cog, после 18 месяцев введения композиции, содержащей терапевтически эффективное количество по меньшей мере одного антитела к протофибриллам Aβ. В некоторых вариантах осуществления клиническое ухудшение уменьшается на по меньшей мере 47% по сравнению с плацебо, как определяется с помощью ADAS-Cog, после 18 месяцев введения композиции, содержащей терапевтически эффективное количество по меньшей мере одного антитела к протофибриллам Aβ. В некоторых вариантах осуществления композиция содержит 10 мг/кг по меньшей мере одного антитела к протофибриллам Aβ и вводится один раз в две недели или один раз в месяц. В некоторых вариантах осуществления по меньшей мере одно антитело к протофибриллам Aβ представляет собой BAN2401.

[326] В некоторых вариантах осуществления клиническое ухудшение уменьшается на по меньшей мере 1%, по меньшей мере 2%, по меньшей мере 3%, по меньшей мере 4%, по меньшей мере 5%, по меньшей мере 6%, по меньшей мере 7%, по меньшей мере 8%, по меньшей мере 9%, по меньшей мере 10%, по меньшей мере 11%, по меньшей мере 12%, по меньшей мере 13%, по меньшей мере 14%, по меньшей мере 15%, по меньшей мере 16%, по меньшей мере 17%, по меньшей мере 18%, по меньшей мере 19%, по меньшей мере 20%, по меньшей мере 21%, по меньшей мере 22%, по меньшей мере 23%, по меньшей мере 24%, по меньшей мере 25%, по меньшей мере 26%, по меньшей мере 27%, по меньшей мере 28%, по меньшей мере 29%, по меньшей мере 30%, по меньшей мере 31%, по меньшей мере 32%, по меньшей мере 33%, по меньшей мере 34%, по меньшей мере 35%, по меньшей мере 36%, по меньшей мере 37%, по меньшей мере 38%, по меньшей мере 39%, по меньшей мере 40%, по меньшей мере 41%, по меньшей мере 42%, по меньшей мере 43%, по меньшей мере 44%, по меньшей мере 45%, по меньшей мере 56%, по меньшей мере 47%, по меньшей мере 48%, по меньшей мере 49%, по меньшей мере 50%, по меньшей мере 51%, по меньшей мере 52%, по меньшей мере 53%, по меньшей мере 54%, по меньшей мере 55%, по меньшей мере 56%, по меньшей мере 57% или по меньшей мере 58% по сравнению с плацебо, как определяется с помощью ADAS-Cog, где у субъекта было диагностировано наличие легкого когнитивного нарушения, с промежуточной вероятностью обусловленного болезнью Альцгеймера. В некоторых вариантах осуществления вышеупомянутое уменьшение клинического ухудшения определяется после 1 месяца, 6 месяцев, 12 месяцев, 18 месяцев, 60 месяцев и/или 63 месяцев введения композиции, содержащей терапевтически эффективное количество по меньшей мере одного антитела к протофибриллам Aβ.

[327] В некоторых вариантах осуществления клиническое ухудшение уменьшается на 50-70% по сравнению с плацебо, как определяется с помощью ADAS-Cog, где у субъекта было диагностировано наличие легкого когнитивного нарушения, с промежуточной вероятностью обусловленного болезнью Альцгеймера. В некоторых вариантах осуществления клиническое ухудшение уменьшается на по меньшей мере 50%, как, например, на по меньшей мере 52%, по меньшей мере 55% или по меньшей мере 58%, по сравнению с плацебо, как определяется с помощью ADAS-Cog, где у субъекта было диагностировано наличие легкого когнитивного нарушения, с промежуточной вероятностью обусловленного болезнью Альцгеймера. В некоторых вариантах осуществления клиническое ухудшение уменьшается на по меньшей мере 58% по сравнению с плацебо, как определяется с помощью ADAS-Cog, где у субъекта было диагностировано наличие легкого когнитивного нарушения, с промежуточной вероятностью обусловленного болезнью Альцгеймера. В некоторых вариантах осуществления вышеупомянутое уменьшение клинического ухудшения определяется после 1 месяца, 6 месяцев, 12 месяцев, 18 месяцев, 60 месяцев и/или 63 месяцев введения композиции, содержащей терапевтически эффективное количество по меньшей мере одного антитела к протофибриллам Aβ.

[328] В некоторых вариантах осуществления клиническое ухудшение у субъекта, у которого диагностировано наличие легкого когнитивного нарушения, с промежуточной вероятностью обусловленного болезнью Альцгеймера, уменьшается на по меньшей мере 58% по сравнению с плацебо, как определяется с помощью ADAS-Cog, после 18 месяцев введения композиции, содержащей терапевтически эффективное количество по меньшей мере одного антитела к протофибриллам Aβ. В некоторых вариантах осуществления композиция содержит 10 мг/кг по меньшей мере одного антитела к протофибриллам Aβ и вводится один раз в две недели или один раз в месяц. В некоторых вариантах осуществления по меньшей мере одно антитело к протофибриллам Aβ представляет собой BAN2401.

[329] В некоторых вариантах осуществления клиническое ухудшение уменьшается на по меньшей мере 1%, по меньшей мере 2%, по меньшей мере 3%, по меньшей мере 4%, по меньшей мере 5%, по меньшей мере 6%, по меньшей мере 7%, по меньшей мере 8%, по меньшей мере 9%, по меньшей мере 10%, по меньшей мере 11%, по меньшей мере 12%, по меньшей мере 13%, по меньшей мере 14%, по меньшей мере 15%, по меньшей мере 16%, по меньшей мере 17%, по меньшей мере 18%, по меньшей мере 19%, по меньшей мере 20%, по меньшей мере 21%, по меньшей мере 22%, по меньшей мере 23%, по меньшей мере 24%, по меньшей мере 25%, по меньшей мере 26%, по меньшей мере 27%, по меньшей мере 28%, по меньшей мере 29%, по меньшей мере 30%, по меньшей мере 31%, по меньшей мере 32%, по меньшей мере 33%, по меньшей мере 34%, по меньшей мере 35%, по меньшей мере 36%, по меньшей мере 37%, по меньшей мере 38%, по меньшей мере 39%, по меньшей мере 40% или по меньшей мере 41% по сравнению с плацебо, как определяется с помощью ADAS-Cog, где у субъекта было диагностировано наличие легкой деменции при болезни Альцгеймера. В некоторых вариантах осуществления вышеупомянутое уменьшение клинического ухудшения определяется после 1 месяца, 6 месяцев, 12 месяцев, 18 месяцев, 60 месяцев и/или 63 месяцев введения композиции, содержащей терапевтически эффективное количество по меньшей мере одного антитела к протофибриллам Aβ.

[330] В некоторых вариантах осуществления клиническое ухудшение уменьшается на 30-50% по сравнению с плацебо, как определяется с помощью ADAS-Cog, где у субъекта было диагностировано наличие легкой деменции при болезни Альцгеймера. В некоторых вариантах осуществления клиническое ухудшение уменьшается на по меньшей мере 35%, как, например, на по меньшей мере 38%, по меньшей мере 40% или по меньшей мере 41%, по сравнению с плацебо, как определяется с помощью ADAS-Cog, где у субъекта было диагностировано наличие легкой деменции при болезни Альцгеймера. В некоторых вариантах осуществления клиническое ухудшение уменьшается на по меньшей мере 41% по сравнению с плацебо, как определяется с помощью ADAS-Cog, где у субъекта было диагностировано наличие легкой деменции при болезни Альцгеймера. В некоторых вариантах осуществления вышеупомянутое уменьшение клинического ухудшения определяется после 1 месяца, 6 месяцев, 12 месяцев, 18 месяцев, 60 месяцев и/или 63 месяцев введения композиции, содержащей терапевтически эффективное количество по меньшей мере одного антитела к протофибриллам Aβ.

[331] В некоторых вариантах осуществления клиническое ухудшение у субъекта, у которого диагностировано наличие легкой деменции при болезни Альцгеймера, уменьшается на по меньшей мере 41% по сравнению с плацебо, как определяется с помощью ADAS-Cog, после 18 месяцев введения композиции, содержащей терапевтически эффективное количество по меньшей мере одного антитела к протофибриллам Aβ. В некоторых вариантах осуществления композиция содержит 10 мг/кг по меньшей мере одного антитела к протофибриллам Aβ и вводится один раз в две недели или один раз в месяц. В некоторых вариантах осуществления по меньшей мере одно антитело к протофибриллам Aβ представляет собой BAN2401.

[332] В некоторых вариантах осуществления клиническое ухудшение уменьшается на по меньшей мере 1%, по меньшей мере 2%, по меньшей мере 3%, по меньшей мере 4%, по меньшей мере 5%, по меньшей мере 6%, по меньшей мере 7%, по меньшей мере 8%, по меньшей мере 9%, по меньшей мере 10%, по меньшей мере 11%, по меньшей мере 12%, по меньшей мере 13%, по меньшей мере 14%, по меньшей мере 15%, по меньшей мере 16%, по меньшей мере 17%, по меньшей мере 18%, по меньшей мере 19%, по меньшей мере 20%, по меньшей мере 21%, по меньшей мере 22%, по меньшей мере 23%, по меньшей мере 24%, по меньшей мере 25%, по меньшей мере 26%, по меньшей мере 27%, по меньшей мере 28%, по меньшей мере 29%, по меньшей мере 30%, по меньшей мере 31%, по меньшей мере 32%, по меньшей мере 33%, по меньшей мере 34%, по меньшей мере 35%, по меньшей мере 36%, по меньшей мере 37%, по меньшей мере 38%, по меньшей мере 39% или по меньшей мере 40% по сравнению с плацебо, как определяется с помощью CDR-SB. В некоторых вариантах осуществления вышеупомянутое уменьшение клинического ухудшения определяется после 1 месяца, 6 месяцев, 12 месяцев, 18 месяцев, 60 месяцев и/или 63 месяцев введения композиции, содержащей терапевтически эффективное количество по меньшей мере одного антитела к протофибриллам Aβ.

[333] В некоторых вариантах осуществления клиническое ухудшение уменьшается на 20-60% по сравнению с плацебо, как определяется с помощью CDR-SB. В некоторых вариантах осуществления клиническое ухудшение уменьшается на 25-60% по сравнению с плацебо, как определяется с помощью CDR-SB. В некоторых вариантах осуществления клиническое ухудшение уменьшается на 25-50% по сравнению с плацебо, как определяется с помощью CDR-SB. В некоторых вариантах осуществления клиническое ухудшение уменьшается на по меньшей мере 20% по сравнению с плацебо, как определяется с помощью CDR-SB. В некоторых вариантах осуществления клиническое ухудшение уменьшается на по меньшей мере 30% по сравнению с плацебо, как определяется с помощью CDR-SB. В некоторых вариантах осуществления клиническое ухудшение уменьшается на по меньшей мере 25%, как, например, на по меньшей мере 26% или по меньшей мере 28%, как определяется с помощью CDR-SB. В некоторых вариантах осуществления клиническое ухудшение уменьшается на по меньшей мере 30%, как, например, на по меньшей мере 35% или по меньшей мере 38%, как определяется с помощью CDR-SB. В некоторых вариантах осуществления вышеупомянутое уменьшение клинического ухудшения определяется после 1 месяца, 6 месяцев, 12 месяцев, 18 месяцев, 60 месяцев и/или 63 месяцев введения композиции, содержащей терапевтически эффективное количество по меньшей мере одного антитела к протофибриллам Aβ.

[334] В некоторых вариантах осуществления клиническое ухудшение уменьшается на по меньшей мере 30%, как, например, на по меньшей мере 35% или по меньшей мере 40%, по сравнению с плацебо, как определяется с помощью CDR-SB, после 6 месяцев введения композиции, содержащей терапевтически эффективное количество по меньшей мере одного антитела к протофибриллам Aβ. В некоторых вариантах осуществления клиническое ухудшение уменьшается на по меньшей мере 30%, как, например, на по меньшей мере 35% или по меньшей мере 45%, по сравнению с плацебо, как определяется с помощью CDR-SB, после 12 месяцев введения композиции, содержащей терапевтически эффективное количество по меньшей мере одного антитела к протофибриллам Aβ. В некоторых вариантах осуществления клиническое ухудшение уменьшается на по меньшей мере 20%, как, например, на по меньшей мере 25%, по сравнению с плацебо, как определяется с помощью CDR-SB, после 18 месяцев введения композиции, содержащей терапевтически эффективное количество по меньшей мере одного антитела к протофибриллам Aβ. В некоторых вариантах осуществления композиция содержит 10 мг/кг по меньшей мере одного антитела к протофибриллам Aβ и вводится один раз в две недели или один раз в месяц. В некоторых вариантах осуществления по меньшей мере одно антитело к протофибриллам Aβ представляет собой BAN2401.

[335] В некоторых вариантах осуществления клиническое ухудшение уменьшается на по меньшей мере 1%, по меньшей мере 2%, по меньшей мере 3%, по меньшей мере 4%, по меньшей мере 5%, по меньшей мере 6%, по меньшей мере 7%, по меньшей мере 8%, по меньшей мере 9%, по меньшей мере 10%, по меньшей мере 11%, по меньшей мере 12%, по меньшей мере 13% или по меньшей мере 14% по сравнению с плацебо, как определяется с помощью CDR-SB, где у субъекта было диагностировано наличие легкого когнитивного нарушения, с промежуточной вероятностью обусловленного болезнью Альцгеймера. В некоторых вариантах осуществления вышеупомянутое уменьшение клинического ухудшения определяется после 1 месяца, 6 месяцев, 12 месяцев, 18 месяцев, 60 месяцев и/или 63 месяцев введения композиции, содержащей терапевтически эффективное количество по меньшей мере одного антитела к протофибриллам Aβ.

[336] В некоторых вариантах осуществления клиническое ухудшение уменьшается на 10-20% по сравнению с плацебо, как определяется с помощью CDR-SB, где у субъекта было диагностировано наличие легкого когнитивного нарушения, с промежуточной вероятностью обусловленного болезнью Альцгеймера. В некоторых вариантах осуществления клиническое ухудшение уменьшается на по меньшей мере 5%, как, например, на по меньшей мере 10%, по меньшей мере 12% или по меньшей мере 14%, по сравнению с плацебо, как определяется с помощью CDR-SB, где у субъекта было диагностировано наличие легкого когнитивного нарушения, с промежуточной вероятностью обусловленного болезнью Альцгеймера. В некоторых вариантах осуществления клиническое ухудшение уменьшается на по меньшей мере 14% по сравнению с плацебо, как определяется с помощью CDR-SB, где у субъекта было диагностировано наличие легкого когнитивного нарушения, с промежуточной вероятностью обусловленного болезнью Альцгеймера. В некоторых вариантах осуществления вышеупомянутое уменьшение клинического ухудшения определяется после 1 месяца, 6 месяцев, 12 месяцев, 18 месяцев, 60 месяцев и/или 63 месяцев введения композиции, содержащей терапевтически эффективное количество по меньшей мере одного антитела к протофибриллам Aβ.

[337] В некоторых вариантах осуществления клиническое ухудшение у субъекта, у которого диагностировано наличие легкого когнитивного нарушения, с промежуточной вероятностью обусловленного болезнью Альцгеймера, уменьшается на по меньшей мере 14% по сравнению с плацебо, как определяется с помощью CDR-SB, после 18 месяцев введения композиции, содержащей терапевтически эффективное количество по меньшей мере одного антитела к протофибриллам Aβ. В некоторых вариантах осуществления композиция содержит 10 мг/кг по меньшей мере одного антитела к протофибриллам Aβ и вводится один раз в две недели или один раз в месяц. В некоторых вариантах осуществления по меньшей мере одно антитело к протофибриллам Aβ представляет собой BAN2401.

[338] В некоторых вариантах осуществления клиническое ухудшение уменьшается на по меньшей мере 1%, по меньшей мере 2%, по меньшей мере 3%, по меньшей мере 4%, по меньшей мере 5%, по меньшей мере 6%, по меньшей мере 7%, по меньшей мере 8%, по меньшей мере 9%, по меньшей мере 10%, по меньшей мере 11%, по меньшей мере 12%, по меньшей мере 13%, по меньшей мере 14%, по меньшей мере 15%, по меньшей мере 16%, по меньшей мере 17%, по меньшей мере 18%, по меньшей мере 19%, по меньшей мере 20%, по меньшей мере 21%, по меньшей мере 22%, по меньшей мере 23%, по меньшей мере 24%, по меньшей мере 25%, по меньшей мере 26%, по меньшей мере 27%, по меньшей мере 28%, по меньшей мере 29%, по меньшей мере 30%, по меньшей мере 31%, по меньшей мере 32%, по меньшей мере 33%, по меньшей мере 34%, по меньшей мере 35%, по меньшей мере 36%, по меньшей мере 37%, по меньшей мере 38%, по меньшей мере 39%, по меньшей мере 40%, по меньшей мере 41%, по меньшей мере 42%, по меньшей мере 43%, по меньшей мере 44%, по меньшей мере 45%, по меньшей мере 46%, по меньшей мере 47%, по меньшей мере 48%, по меньшей мере 49%, по меньшей мере 50% или по меньшей мере 51% по сравнению с плацебо, как определяется с помощью CDR-SB, где у субъекта было диагностировано наличие легкой деменции при болезни Альцгеймера. В некоторых вариантах осуществления вышеупомянутое уменьшение клинического ухудшения определяется после 1 месяца, 6 месяцев, 12 месяцев, 18 месяцев, 60 месяцев и/или 63 месяцев введения композиции, содержащей терапевтически эффективное количество по меньшей мере одного антитела к протофибриллам Aβ.

[339] В некоторых вариантах осуществления клиническое ухудшение уменьшается на 40-60% по сравнению с плацебо, как определяется с помощью CDR-SB, где у субъекта было диагностировано наличие легкой деменции при болезни Альцгеймера. В некоторых вариантах осуществления клиническое ухудшение уменьшается на по меньшей мере 45%, как, например, на по меньшей мере 48%, по меньшей мере 50% или по меньшей мере 51%, по сравнению с плацебо, как определяется с помощью CDR-SB, где у субъекта было диагностировано наличие легкой деменции при болезни Альцгеймера. В некоторых вариантах осуществления клиническое ухудшение уменьшается на по меньшей мере 51% по сравнению с плацебо, как определяется с помощью CDR-SB, где у субъекта было диагностировано наличие легкой деменции при болезни Альцгеймера. В некоторых вариантах осуществления вышеупомянутое уменьшение клинического ухудшения определяется после 1 месяца, 6 месяцев, 12 месяцев, 18 месяцев, 60 месяцев и/или 63 месяцев введения композиции, содержащей терапевтически эффективное количество по меньшей мере одного антитела к протофибриллам Aβ.

[340] В некоторых вариантах осуществления клиническое ухудшение у субъекта, у которого диагностировано наличие легкой деменции при болезни Альцгеймера, уменьшается на по меньшей мере 51% по сравнению с плацебо, как определяется с помощью CDR-SB, после 18 месяцев введения композиции, содержащей терапевтически эффективное количество по меньшей мере одного антитела к протофибриллам Aβ. В некоторых вариантах осуществления композиция содержит 10 мг/кг по меньшей мере одного антитела к протофибриллам Aβ и вводится один раз в две недели или один раз в месяц. В некоторых вариантах осуществления по меньшей мере одно антитело к протофибриллам Aβ представляет собой BAN2401.

[341] В некоторых вариантах осуществления уменьшение клинического ухудшения определяется после 1 месяца, 2 месяцев, 3 месяцев, 4 месяцев, 5 месяцев, 6 месяцев, 7 месяцев, 8 месяцев, 9 месяцев, 10 месяцев, 11 месяцев, 12 месяцев, 13 месяцев, 14 месяцев, 15 месяцев, 16 месяцев, 17 месяцев, 18 месяцев, 19 месяцев, 20 месяцев, 21 месяца, 22 месяцев, 23 месяцев, 24 месяцев, 30 месяцев, 36 месяцев, 42 месяцев, 48 месяцев, 54 месяцев, 60 месяцев, 63 месяцев, 66 месяцев и/или 72 месяцев введения композиции, содержащей терапевтически эффективное количество по меньшей мере одного антитела к протофибриллам Aβ. В некоторых вариантах осуществления уменьшение клинического ухудшения определяется после 1 месяца, 6 месяцев, 12 месяцев, 18 месяцев, 60 месяцев и/или 63 месяцев введения композиции, содержащей терапевтически эффективное количество по меньшей мере одного антитела к протофибриллам Aβ.

[342] В некоторых вариантах осуществления уменьшение клинического ухудшения определяется после 1 месяца введения композиции, содержащей терапевтически эффективное количество по меньшей мере одного антитела к протофибриллам Aβ. В некоторых вариантах осуществления уменьшение клинического ухудшения определяется после 6 месяцев введения композиции, содержащей терапевтически эффективное количество по меньшей мере одного антитела к протофибриллам Aβ. В некоторых вариантах осуществления уменьшение клинического ухудшения определяется после 12 месяцев введения композиции, содержащей терапевтически эффективное количество по меньшей мере одного антитела к протофибриллам Aβ. В некоторых вариантах осуществления уменьшение клинического ухудшения определяется после 18 месяцев введения композиции, содержащей терапевтически эффективное количество по меньшей мере одного антитела к протофибриллам Aβ. В некоторых вариантах осуществления уменьшение клинического ухудшения определяется после 60 месяцев введения композиции, содержащей терапевтически эффективное количество по меньшей мере одного антитела к протофибриллам Aβ. В некоторых вариантах осуществления уменьшение клинического ухудшения определяется после 63 месяцев введения композиции, содержащей терапевтически эффективное количество по меньшей мере одного антитела к протофибриллам Aβ.

[343] В некоторых вариантах осуществления уменьшение клинического ухудшения определяется после введения композиции, содержащей терапевтически эффективное количество BAN2401.

[344] В некоторых вариантах осуществления уменьшение клинического ухудшения определяется после 1 месяца, 2 месяцев, 3 месяцев, 4 месяцев, 5 месяцев, 6 месяцев, 7 месяцев, 8 месяцев, 9 месяцев, 10 месяцев, 11 месяцев, 12 месяцев, 13 месяцев, 14 месяцев, 15 месяцев, 16 месяцев, 17 месяцев, 18 месяцев, 19 месяцев, 20 месяцев, 21 месяца, 22 месяцев, 23 месяцев, 24 месяцев, 30 месяцев, 36 месяцев, 42 месяцев, 48 месяцев, 54 месяцев, 60 месяцев, 63 месяцев, 66 месяцев и/или 72 месяцев введения композиции, содержащей терапевтически эффективное количество BAN2401. В некоторых вариантах осуществления уменьшение клинического ухудшения определяется после 1 месяца, 6 месяцев, 12 месяцев, 18 месяцев, 60 месяцев и/или 63 месяцев введения композиции, содержащей терапевтически эффективное количество BAN2401. В некоторых вариантах осуществления уменьшение клинического ухудшения определяется после 1 месяца введения композиции, содержащей терапевтически эффективное количество BAN2401. В некоторых вариантах осуществления уменьшение клинического ухудшения определяется после 6 месяцев введения композиции, содержащей терапевтически эффективное количество BAN2401. В некоторых вариантах осуществления уменьшение клинического ухудшения определяется после 12 месяцев введения композиции, содержащей терапевтически эффективное количество BAN2401. В некоторых вариантах осуществления уменьшение клинического ухудшения определяется после 18 месяцев введения композиции, содержащей терапевтически эффективное количество BAN2401. В некоторых вариантах осуществления уменьшение клинического ухудшения определяется после 60 месяцев введения композиции, содержащей терапевтически эффективное количество BAN2401. В некоторых вариантах осуществления уменьшение клинического ухудшения определяется после 63 месяцев введения композиции, содержащей терапевтически эффективное количество BAN2401.

[345] В некоторых вариантах осуществления субъект является ApoE4-положительным.

[346] В некоторых вариантах осуществления клиническое ухудшение уменьшается на по меньшей мере 1%, по меньшей мере 2%, по меньшей мере 3%, по меньшей мере 4%, по меньшей мере 5%, по меньшей мере 6%, по меньшей мере 7%, по меньшей мере 8%, по меньшей мере 9%, по меньшей мере 10%, по меньшей мере 11%, по меньшей мере 12%, по меньшей мере 13%, по меньшей мере 14%, по меньшей мере 15%, по меньшей мере 16%, по меньшей мере 17%, по меньшей мере 18%, по меньшей мере 19%, по меньшей мере 20%, по меньшей мере 21%, по меньшей мере 22%, по меньшей мере 23%, по меньшей мере 24%, по меньшей мере 25%, по меньшей мере 26%, по меньшей мере 27%, по меньшей мере 28%, по меньшей мере 29%, по меньшей мере 30%, по меньшей мере 31%, по меньшей мере 32%, по меньшей мере 33%, по меньшей мере 34%, по меньшей мере 35%, по меньшей мере 36%, по меньшей мере 37%, по меньшей мере 38%, по меньшей мере 39%, по меньшей мере 40%, по меньшей мере 41%, по меньшей мере 42%, по меньшей мере 43%, по меньшей мере 44%, по меньшей мере 45%, по меньшей мере 46%, по меньшей мере 47%, по меньшей мере 48%, по меньшей мере 49%, по меньшей мере 50%, по меньшей мере 51%, по меньшей мере 52%, по меньшей мере 53%, по меньшей мере 54%, по меньшей мере 55%, по меньшей мере 56%, по меньшей мере 57%, по меньшей мере 58%, по меньшей мере 59%, по меньшей мере 60%, по меньшей мере 61%, по меньшей мере 62%, по меньшей мере 63%, по меньшей мере 64%, по меньшей мере 65%, по меньшей мере 66%, по меньшей мере 67%, по меньшей мере 68%, по меньшей мере 69%, по меньшей мере 70%, по меньшей мере 71%, по меньшей мере 72%, по меньшей мере 73% или по меньшей мере 74% по сравнению с плацебо, как определяется с помощью ADCOMS, где субъект является ApoE4-положительным. В некоторых вариантах осуществления вышеупомянутое уменьшение клинического ухудшения определяется после 1 месяца, 6 месяцев, 12 месяцев, 18 месяцев, 60 месяцев и/или 63 месяцев введения композиции, содержащей терапевтически эффективное количество по меньшей мере одного антитела к протофибриллам Aβ.

[347] В некоторых вариантах осуществления клиническое ухудшение уменьшается на 60-80%, как, например, на 63-74%, по сравнению с плацебо, как определяется с помощью ADCOMS, где субъект является ApoE4-положительным. В некоторых вариантах осуществления клиническое ухудшение уменьшается на по меньшей мере 60%, как, например, на по меньшей мере 63%, по сравнению с плацебо, как определяется с помощью ADCOMS, где субъект является ApoE4-положительным. В некоторых вариантах осуществления клиническое ухудшение уменьшается на по меньшей мере 65%, как, например, на по меньшей мере 67%, по сравнению с плацебо, как определяется с помощью ADCOMS, где субъект является ApoE4-положительным. В некоторых вариантах осуществления клиническое ухудшение уменьшается на по меньшей мере 70%, как, например, на по меньшей мере 74%, по сравнению с плацебо, как определяется с помощью ADCOMS, где субъект является ApoE4-положительным.

[348] В некоторых вариантах осуществления клиническое ухудшение у ApoE4-положительного субъекта уменьшается на по меньшей мере 70% по сравнению с плацебо, как определяется с помощью ADCOMS, после 6 месяцев введения композиции, содержащей терапевтически эффективное количество по меньшей мере одного антитела к протофибриллам Aβ. В некоторых вариантах осуществления клиническое ухудшение у ApoE4-положительного субъекта уменьшается на по меньшей мере 60% по сравнению с плацебо, как определяется с помощью ADCOMS, после 12 месяцев введения композиции, содержащей терапевтически эффективное количество по меньшей мере одного антитела к протофибриллам Aβ. В некоторых вариантах осуществления клиническое ухудшение у ApoE4-положительного субъекта уменьшается на по меньшей мере 50%, как, например, на по меньшей мере 55% или по меньшей мере 60%, по сравнению с плацебо, как определяется с помощью ADCOMS, после 18 месяцев введения композиции, содержащей терапевтически эффективное количество по меньшей мере одного антитела к протофибриллам Aβ. В некоторых вариантах осуществления клиническое ухудшение у ApoE4-положительного субъекта уменьшается на по меньшей мере 63% по сравнению с плацебо, как определяется с помощью ADCOMS, после 18 месяцев введения композиции, содержащей терапевтически эффективное количество по меньшей мере одного антитела к протофибриллам Aβ. В некоторых вариантах осуществления композиция содержит 10 мг/кг по меньшей мере одного антитела к протофибриллам Aβ и вводится один раз в две недели или один раз в месяц. В некоторых вариантах осуществления по меньшей мере одно антитело к протофибриллам Aβ представляет собой BAN2401.

[349] В некоторых вариантах осуществления клиническое ухудшение уменьшается на по меньшей мере 1%, по меньшей мере 2%, по меньшей мере 3%, по меньшей мере 4%, по меньшей мере 5%, по меньшей мере 6%, по меньшей мере 7%, по меньшей мере 8%, по меньшей мере 9%, по меньшей мере 10%, по меньшей мере 11%, по меньшей мере 12%, по меньшей мере 13%, по меньшей мере 14%, по меньшей мере 15%, по меньшей мере 16%, по меньшей мере 17%, по меньшей мере 18%, по меньшей мере 19%, по меньшей мере 20%, по меньшей мере 21%, по меньшей мере 22%, по меньшей мере 23%, по меньшей мере 24%, по меньшей мере 25%, по меньшей мере 26%, по меньшей мере 27%, по меньшей мере 28%, по меньшей мере 29%, по меньшей мере 30%, по меньшей мере 31%, по меньшей мере 32%, по меньшей мере 33%, по меньшей мере 34%, по меньшей мере 35%, по меньшей мере 36%, по меньшей мере 37%, по меньшей мере 38%, по меньшей мере 39%, по меньшей мере 40%, по меньшей мере 41%, по меньшей мере 42%, по меньшей мере 43%, по меньшей мере 44%, по меньшей мере 45%, по меньшей мере 46%, по меньшей мере 47%, по меньшей мере 48%, по меньшей мере 49%, по меньшей мере 50%, по меньшей мере 51%, по меньшей мере 52%, по меньшей мере 53%, по меньшей мере 54%, по меньшей мере 55%, по меньшей мере 56%, по меньшей мере 57%, по меньшей мере 58%, по меньшей мере 59%, по меньшей мере 60%, по меньшей мере 61%, по меньшей мере 62%, по меньшей мере 63%, по меньшей мере 64%, по меньшей мере 65%, по меньшей мере 66%, по меньшей мере 67%, по меньшей мере 68%, по меньшей мере 69%, по меньшей мере 70%, по меньшей мере 71%, по меньшей мере 72%, по меньшей мере 73%, по меньшей мере 74%, по меньшей мере 75%, по меньшей мере 76%, по меньшей мере 77%, по меньшей мере 78%, по меньшей мере 79%, по меньшей мере 80%, по меньшей мере 81%, по меньшей мере 82%, по меньшей мере 83%, по меньшей мере 84%, по меньшей мере 85%, по меньшей мере 86%, по меньшей мере 87%, по меньшей мере 88%, по меньшей мере 89%, по меньшей мере 90%, по меньшей мере 91%, по меньшей мере 92%, по меньшей мере 93%, по меньшей мере 94%, по меньшей мере 95%, по меньшей мере 96%, по меньшей мере 97%, по меньшей мере 98%, по меньшей мере 99%, по меньшей мере 100%, по меньшей мере 101%, по меньшей мере 102%, по меньшей мере 103%, по меньшей мере 104%, по меньшей мере 105%, по меньшей мере 106%, по меньшей мере 107%, по меньшей мере 108%, по меньшей мере 109%, по меньшей мере 110%, по меньшей мере 115%, по меньшей мере 120%, по меньшей мере 125%, по меньшей мере 130%, по меньшей мере 135%, по меньшей мере 140%, по меньшей мере 145%, по меньшей мере 150%, по меньшей мере 155%, по меньшей мере 160%, по меньшей мере 165%, по меньшей мере 170%, по меньшей мере 175%, по меньшей мере 180%, по меньшей мере 185%, по меньшей мере 190%, по меньшей мере 195%, по меньшей мере 200%, по меньшей мере 205%, по меньшей мере 210%, по меньшей мере 215%, по меньшей мере 220%, по меньшей мере 225%, по меньшей мере 230%, по меньшей мере 235%, по меньшей мере 240%, по меньшей мере 245%, по меньшей мере 250%, по меньшей мере 255%, по меньшей мере 260%, по меньшей мере 265%, по меньшей мере 270%, по меньшей мере 275%, по меньшей мере 280%, по меньшей мере 290%, по меньшей мере 295%, по меньшей мере 300%, по меньшей мере 305%, по меньшей мере 310%, по меньшей мере 315%, по меньшей мере 320%, по меньшей мере 325%, по меньшей мере 330% или по меньшей мере 331% по сравнению с плацебо, как определяется с помощью ADAS-Cog, где субъект является ApoE4-положительным. В некоторых вариантах осуществления вышеупомянутое уменьшение клинического ухудшения определяется после 1 месяца, 6 месяцев, 12 месяцев, 18 месяцев, 60 месяцев и/или 63 месяцев введения композиции, содержащей терапевтически эффективное количество по меньшей мере одного антитела к протофибриллам Aβ.

[350] В некоторых вариантах осуществления клиническое ухудшение уменьшается на 70-400%, как, например, на 80-350%, по сравнению с плацебо, как определяется с помощью ADAS-Cog, где субъект является ApoE4-положительным. В некоторых вариантах осуществления клиническое ухудшение уменьшается на по меньшей мере 70%, как, например, на по меньшей мере 75% или по меньшей мере 80%, по сравнению с плацебо, как определяется с помощью ADAS-Cog, где субъект является ApoE4-положительным. В некоторых вариантах осуществления клиническое ухудшение уменьшается на по меньшей мере 80%, как, например, на по меньшей мере 90% или по меньшей мере 100%, по сравнению с плацебо, как определяется с помощью ADAS-Cog, где субъект является ApoE4-положительным. В некоторых вариантах осуществления клиническое ухудшение уменьшается на по меньшей мере 300%, как, например, на по меньшей мере 330%, по сравнению с плацебо, как определяется с помощью ADAS-Cog, где субъект является ApoE4-положительным. В некоторых вариантах осуществления вышеупомянутое уменьшение клинического ухудшения определяется после 1 месяца, 6 месяцев, 12 месяцев, 18 месяцев, 60 месяцев и/или 63 месяцев введения композиции, содержащей терапевтически эффективное количество по меньшей мере одного антитела к протофибриллам Aβ.

[351] В некоторых вариантах осуществления клиническое ухудшение у ApoE4-положительного субъекта уменьшается на по меньшей мере 300% по сравнению с плацебо, как определяется с помощью ADAS-Cog, после 6 месяцев введения композиции, содержащей терапевтически эффективное количество по меньшей мере одного антитела к протофибриллам Aβ. В некоторых вариантах осуществления клиническое ухудшение у ApoE4-положительного субъекта уменьшается на по меньшей мере 80%, как, например, на по меньшей мере 90% или по меньшей мере 100%, по сравнению с плацебо, как определяется с помощью ADAS-Cog, после 12 месяцев введения композиции, содержащей терапевтически эффективное количество по меньшей мере одного антитела к протофибриллам Aβ. В некоторых вариантах осуществления клиническое ухудшение у ApoE4-положительного субъекта уменьшается на по меньшей мере 70%, как, например, на по меньшей мере 75%, по меньшей мере 80% или по меньшей мере 84%, по сравнению с плацебо, как определяется с помощью ADAS-Cog, после 18 месяцев введения композиции, содержащей терапевтически эффективное количество по меньшей мере одного антитела к протофибриллам Aβ. В некоторых вариантах осуществления клиническое ухудшение у ApoE4-положительного субъекта уменьшается на по меньшей мере 84% по сравнению с плацебо, как определяется с помощью ADAS-Cog, после 18 месяцев введения композиции, содержащей терапевтически эффективное количество по меньшей мере одного антитела к протофибриллам Aβ. В некоторых вариантах осуществления композиция содержит 10 мг/кг по меньшей мере одного антитела к протофибриллам Aβ и вводится один раз в две недели или один раз в месяц. В некоторых вариантах осуществления по меньшей мере одно антитело к протофибриллам Aβ представляет собой BAN2401.

[352] В некоторых вариантах осуществления клиническое ухудшение уменьшается на по меньшей мере 1%, по меньшей мере 2%, по меньшей мере 3%, по меньшей мере 4%, по меньшей мере 5%, по меньшей мере 6%, по меньшей мере 7%, по меньшей мере 8%, по меньшей мере 9%, по меньшей мере 10%, по меньшей мере 11%, по меньшей мере 12%, по меньшей мере 13%, по меньшей мере 14%, по меньшей мере 15%, по меньшей мере 16%, по меньшей мере 17%, по меньшей мере 18%, по меньшей мере 19%, по меньшей мере 20%, по меньшей мере 21%, по меньшей мере 22%, по меньшей мере 23%, по меньшей мере 24%, по меньшей мере 25%, по меньшей мере 26%, по меньшей мере 27%, по меньшей мере 28%, по меньшей мере 29%, по меньшей мере 30%, по меньшей мере 31%, по меньшей мере 32%, по меньшей мере 33%, по меньшей мере 34%, по меньшей мере 35%, по меньшей мере 36%, по меньшей мере 37%, по меньшей мере 38%, по меньшей мере 39%, по меньшей мере 40%, по меньшей мере 41%, по меньшей мере 42%, по меньшей мере 43%, по меньшей мере 44%, по меньшей мере 45%, по меньшей мере 46%, по меньшей мере 47%, по меньшей мере 48%, по меньшей мере 49%, по меньшей мере 50%, по меньшей мере 51%, по меньшей мере 52%, по меньшей мере 53%, по меньшей мере 54%, по меньшей мере 55%, по меньшей мере 56%, по меньшей мере 57%, по меньшей мере 58%, по меньшей мере 59%, по меньшей мере 60%, по меньшей мере 61%, по меньшей мере 62%, по меньшей мере 63%, по меньшей мере 64%, по меньшей мере 65%, по меньшей мере 66%, по меньшей мере 67%, по меньшей мере 68%, по меньшей мере 69%, по меньшей мере 70%, по меньшей мере 71%, по меньшей мере 72%, по меньшей мере 73%, по меньшей мере 74%, по меньшей мере 75%, по меньшей мере 76%, по меньшей мере 77%, по меньшей мере 78%, по меньшей мере 79%, по меньшей мере 80%, по меньшей мере 81%, по меньшей мере 82%, по меньшей мере 83%, по меньшей мере 84%, по меньшей мере 85%, по меньшей мере 86% или по меньшей мере 87% по сравнению с плацебо, как определяется с помощью CDR-SB, где субъект является ApoE4-положительным. В некоторых вариантах осуществления вышеупомянутое уменьшение клинического ухудшения определяется после 1 месяца, 6 месяцев, 12 месяцев, 18 месяцев, 60 месяцев и/или 63 месяцев введения композиции, содержащей терапевтически эффективное количество по меньшей мере одного антитела к протофибриллам Aβ.

[353] В некоторых вариантах осуществления клиническое ухудшение уменьшается на 35-150%, как, например, на 40-100% или 45-90%, по сравнению с плацебо, как определяется с помощью CDR-SB, где субъект является ApoE4-положительным. В некоторых вариантах осуществления клиническое ухудшение уменьшается на по меньшей мере 35%, как, например, на по меньшей мере 40% или по меньшей мере 45%, по сравнению с плацебо, как определяется с помощью CDR-SB, где субъект является ApoE4-положительным. В некоторых вариантах осуществления клиническое ухудшение уменьшается на по меньшей мере 50%, как, например, на по меньшей мере 55% или по меньшей мере 60%, по сравнению с плацебо, как определяется с помощью CDR-SB, где субъект является ApoE4-положительным. В некоторых вариантах осуществления клиническое ухудшение уменьшается на по меньшей мере 70%, как, например, на по меньшей мере 80% или по меньшей мере 85%, по сравнению с плацебо, как определяется с помощью CDR-SB, где субъект является ApoE4-положительным. В некоторых вариантах осуществления вышеупомянутое уменьшение клинического ухудшения определяется после 1 месяца, 6 месяцев, 12 месяцев, 18 месяцев, 60 месяцев и/или 63 месяцев введения композиции, содержащей терапевтически эффективное количество по меньшей мере одного антитела к протофибриллам Aβ.

[354] В некоторых вариантах осуществления клиническое ухудшение у ApoE4-положительного субъекта уменьшается на по меньшей мере 35%, как, например, на по меньшей мере 40% или по меньшей мере 45%, по сравнению с плацебо, как определяется с помощью CDR-SB, после 6 месяцев введения композиции, содержащей терапевтически эффективное количество по меньшей мере одного антитела к протофибриллам Aβ. В некоторых вариантах осуществления клиническое ухудшение у ApoE4-положительного субъекта уменьшается на по меньшей мере 70%, как, например, на по меньшей мере 75% или по меньшей мере 80%, по сравнению с плацебо, как определяется с помощью CDR-SB, после 12 месяцев введения композиции, содержащей терапевтически эффективное количество по меньшей мере одного антитела к протофибриллам Aβ. В некоторых вариантах осуществления клиническое ухудшение у ApoE4-положительного субъекта уменьшается на по меньшей мере 50%, как, например, на по меньшей мере 55% или по меньшей мере 60%, по сравнению с плацебо, как определяется с помощью CDR-SB, после 18 месяцев введения композиции, содержащей терапевтически эффективное количество по меньшей мере одного антитела к протофибриллам Aβ. В некоторых вариантах осуществления клиническое ухудшение у ApoE4-положительного субъекта уменьшается на по меньшей мере 60% по сравнению с плацебо, как определяется с помощью CDR-SB, после 18 месяцев введения композиции, содержащей терапевтически эффективное количество по меньшей мере одного антитела к протофибриллам Aβ. В некоторых вариантах осуществления композиция содержит 10 мг/кг по меньшей мере одного антитела к протофибриллам Aβ и вводится один раз в две недели или один раз в месяц. В некоторых вариантах осуществления по меньшей мере одно антитело к протофибриллам Aβ представляет собой BAN2401.

[355] В некоторых вариантах осуществления клиническое ухудшение уменьшается на по меньшей мере 1%, по меньшей мере 2%, по меньшей мере 3%, по меньшей мере 4%, по меньшей мере 5%, по меньшей мере 6%, по меньшей мере 7%, по меньшей мере 8%, по меньшей мере 9%, по меньшей мере 10%, по меньшей мере 11%, по меньшей мере 12%, по меньшей мере 13%, по меньшей мере 14%, по меньшей мере 15%, по меньшей мере 16%, по меньшей мере 17%, по меньшей мере 18%, по меньшей мере 19%, по меньшей мере 20%, по меньшей мере 21%, по меньшей мере 22%, по меньшей мере 23%, по меньшей мере 24%, по меньшей мере 25%, по меньшей мере 26%, по меньшей мере 27%, по меньшей мере 28%, по меньшей мере 29%, по меньшей мере 30%, по меньшей мере 31%, по меньшей мере 32%, по меньшей мере 33%, по меньшей мере 34%, по меньшей мере 35%, по меньшей мере 36%, по меньшей мере 37%, по меньшей мере 38%, по меньшей мере 39%, по меньшей мере 40%, по меньшей мере 41%, по меньшей мере 42%, по меньшей мере 43%, по меньшей мере 44%, по меньшей мере 45%, по меньшей мере 46%, по меньшей мере 47%, по меньшей мере 48%, по меньшей мере 49%, по меньшей мере 50%, по меньшей мере 51%, по меньшей мере 52%, по меньшей мере 53%, по меньшей мере 54%, по меньшей мере 55%, по меньшей мере 56%, по меньшей мере 57%, по меньшей мере 58% или по меньшей мере 59% по сравнению с плацебо, как определяется с помощью ADCOMS, где субъект является ApoE4-положительным и где у субъекта было диагностировано наличие легкого когнитивного нарушения, с промежуточной вероятностью обусловленного болезнью Альцгеймера. В некоторых вариантах осуществления вышеупомянутое уменьшение клинического ухудшения определяется после 1 месяца, 6 месяцев, 12 месяцев, 18 месяцев, 60 месяцев и/или 63 месяцев введения композиции, содержащей терапевтически эффективное количество по меньшей мере одного антитела к протофибриллам Aβ.

[356] В некоторых вариантах осуществления клиническое ухудшение уменьшается на 30-70%, как, например, на 38-59%, по сравнению с плацебо, как определяется с помощью ADCOMS, где субъект является ApoE4-положительным и где у субъекта было диагностировано наличие легкого когнитивного нарушения, с промежуточной вероятностью обусловленного болезнью Альцгеймера. В некоторых вариантах осуществления клиническое ухудшение уменьшается на по меньшей мере 30%, как, например, на по меньшей мере 35% или по меньшей мере 38%, по сравнению с плацебо, как определяется с помощью ADCOMS, где субъект является ApoE4-положительным и где у субъекта было диагностировано наличие легкого когнитивного нарушения, с промежуточной вероятностью обусловленного болезнью Альцгеймера. В некоторых вариантах осуществления клиническое ухудшение уменьшается на по меньшей мере 45%, как, например, на по меньшей мере 50% или по меньшей мере 53%, по сравнению с плацебо, как определяется с помощью ADCOMS, где субъект является ApoE4-положительным и где у субъекта было диагностировано наличие легкого когнитивного нарушения, с промежуточной вероятностью обусловленного болезнью Альцгеймера. В некоторых вариантах осуществления клиническое ухудшение уменьшается на по меньшей мере 50%, как, например, на по меньшей мере 55% или по меньшей мере 59%, по сравнению с плацебо, как определяется с помощью ADCOMS, где субъект является ApoE4-положительным и где у субъекта было диагностировано наличие легкого когнитивного нарушения, с промежуточной вероятностью обусловленного болезнью Альцгеймера. В некоторых вариантах осуществления вышеупомянутое уменьшение клинического ухудшения определяется после 1 месяца, 6 месяцев, 12 месяцев, 18 месяцев, 60 месяцев и/или 63 месяцев введения композиции, содержащей терапевтически эффективное количество по меньшей мере одного антитела к протофибриллам Aβ.

[357] В некоторых вариантах осуществления клиническое ухудшение у ApoE4-положительного субъекта, у которого диагностировано наличие легкого когнитивного нарушения, с промежуточной вероятностью обусловленного болезнью Альцгеймера, уменьшается на по меньшей мере 50%, как, например, на по меньшей мере 55%, по сравнению с плацебо, как определяется с помощью ADCOMS, после 6 месяцев введения композиции, содержащей терапевтически эффективное количество по меньшей мере одного антитела к протофибриллам Aβ. В некоторых вариантах осуществления клиническое ухудшение у ApoE4-положительного субъекта, у которого диагностировано наличие легкого когнитивного нарушения, с промежуточной вероятностью обусловленного болезнью Альцгеймера, уменьшается на по меньшей мере 30%, как, например, на по меньшей мере 35%, по сравнению с плацебо, как определяется с помощью ADCOMS, после 12 месяцев введения композиции, содержащей терапевтически эффективное количество по меньшей мере одного антитела к протофибриллам Aβ. В некоторых вариантах осуществления клиническое ухудшение у ApoE4-положительного субъекта, у которого диагностировано наличие легкого когнитивного нарушения, с промежуточной вероятностью обусловленного болезнью Альцгеймера, уменьшается на по меньшей мере 45%, как, например, на по меньшей мере 50% или по меньшей мере 55%, по сравнению с плацебо, как определяется с помощью ADCOMS, после 18 месяцев введения композиции, содержащей терапевтически эффективное количество по меньшей мере одного антитела к протофибриллам Aβ. В некоторых вариантах осуществления композиция содержит 10 мг/кг по меньшей мере одного антитела к протофибриллам Aβ и вводится один раз в две недели или один раз в месяц. В некоторых вариантах осуществления по меньшей мере одно антитело к протофибриллам Aβ представляет собой BAN2401.

[358] В некоторых вариантах осуществления клиническое ухудшение уменьшается на по меньшей мере 1%, по меньшей мере 2%, по меньшей мере 3%, по меньшей мере 4%, по меньшей мере 5%, по меньшей мере 6%, по меньшей мере 7%, по меньшей мере 8%, по меньшей мере 9%, по меньшей мере 10%, по меньшей мере 11%, по меньшей мере 12%, по меньшей мере 13%, по меньшей мере 14%, по меньшей мере 15%, по меньшей мере 16%, по меньшей мере 17%, по меньшей мере 18%, по меньшей мере 19%, по меньшей мере 20%, по меньшей мере 21%, по меньшей мере 22%, по меньшей мере 23%, по меньшей мере 24%, по меньшей мере 25%, по меньшей мере 26%, по меньшей мере 27%, по меньшей мере 28%, по меньшей мере 29%, по меньшей мере 30%, по меньшей мере 31%, по меньшей мере 32%, по меньшей мере 33%, по меньшей мере 34%, по меньшей мере 35%, по меньшей мере 36%, по меньшей мере 37%, по меньшей мере 38%, по меньшей мере 39%, по меньшей мере 40%, по меньшей мере 41%, по меньшей мере 42%, по меньшей мере 43%, по меньшей мере 44%, по меньшей мере 45%, по меньшей мере 46%, по меньшей мере 47%, по меньшей мере 48%, по меньшей мере 49%, по меньшей мере 50%, по меньшей мере 51%, по меньшей мере 52%, по меньшей мере 53%, по меньшей мере 54%, по меньшей мере 55%, по меньшей мере 56%, по меньшей мере 57%, по меньшей мере 58%, по меньшей мере 59%, по меньшей мере 60%, по меньшей мере 61%, по меньшей мере 62%, по меньшей мере 63%, по меньшей мере 64%, по меньшей мере 65%, по меньшей мере 66%, по меньшей мере 67%, по меньшей мере 68%, по меньшей мере 69%, по меньшей мере 70%, по меньшей мере 71%, по меньшей мере 72%, по меньшей мере 73%, по меньшей мере 74%, по меньшей мере 75%, по меньшей мере 76%, по меньшей мере 77%, по меньшей мере 78%, по меньшей мере 79%, по меньшей мере 80%, по меньшей мере 81%, по меньшей мере 82%, по меньшей мере 83%, по меньшей мере 84%, по меньшей мере 85%, по меньшей мере 86%, по меньшей мере 87%, по меньшей мере 88%, по меньшей мере 89%, по меньшей мере 90%, по меньшей мере 91%, по меньшей мере 92%, по меньшей мере 93%, по меньшей мере 94%, по меньшей мере 95%, по меньшей мере 96%, по меньшей мере 97%, по меньшей мере 98%, по меньшей мере 99%, по меньшей мере 100%, по меньшей мере 101%, по меньшей мере 102%, по меньшей мере 103%, по меньшей мере 104%, по меньшей мере 105%, по меньшей мере 106%, по меньшей мере 107%, по меньшей мере 108%, по меньшей мере 109%, по меньшей мере 110%, по меньшей мере 115%, по меньшей мере 120%, по меньшей мере 125%, по меньшей мере 130%, по меньшей мере 135%, по меньшей мере 140%, по меньшей мере 145%, по меньшей мере 150%, по меньшей мере 155%, по меньшей мере 160%, по меньшей мере 165%, по меньшей мере 170%, по меньшей мере 175%, по меньшей мере 180%, по меньшей мере 185%, по меньшей мере 190%, по меньшей мере 195%, по меньшей мере 200%, по меньшей мере 205%, по меньшей мере 210% или по меньшей мере 211% по сравнению с плацебо, как определяется с помощью ADCOMS, где субъект является ApoE4-положительным и где у субъекта было диагностировано наличие легкой деменции при болезни Альцгеймера. В некоторых вариантах осуществления вышеупомянутое уменьшение клинического ухудшения определяется после 1 месяца, 6 месяцев, 12 месяцев, 18 месяцев, 60 месяцев и/или 63 месяцев введения композиции, содержащей терапевтически эффективное количество по меньшей мере одного антитела к протофибриллам Aβ.

[359] В некоторых вариантах осуществления клиническое ухудшение у ApoE4-положительного субъекта, у которого диагностировано наличие легкой деменции при болезни Альцгеймера, уменьшается на по меньшей мере 100%, как, например, на по меньшей мере 110%, по сравнению с плацебо, как определяется с помощью ADCOMS, после 6 месяцев введения композиции, содержащей терапевтически эффективное количество по меньшей мере одного антитела к протофибриллам Aβ. В некоторых вариантах осуществления клиническое ухудшение у ApoE4-положительного субъекта, у которого диагностировано наличие легкой деменции при болезни Альцгеймера, уменьшается на по меньшей мере 100%, как, например, на по меньшей мере 110%, по сравнению с плацебо, как определяется с помощью ADCOMS, после 12 месяцев введения композиции, содержащей терапевтически эффективное количество по меньшей мере одного антитела к протофибриллам Aβ. В некоторых вариантах осуществления клиническое ухудшение у ApoE4-положительного субъекта, у которого диагностировано наличие легкой деменции при болезни Альцгеймера, уменьшается на по меньшей мере 65%, как, например, на по меньшей мере 70% или по меньшей мере 75%, по сравнению с плацебо, как определяется с помощью ADCOMS, после 18 месяцев введения композиции, содержащей терапевтически эффективное количество по меньшей мере одного антитела к протофибриллам Aβ. В некоторых вариантах осуществления композиция содержит 10 мг/кг по меньшей мере одного антитела к протофибриллам Aβ и вводится один раз в две недели или один раз в месяц. В некоторых вариантах осуществления по меньшей мере одно антитело к протофибриллам Aβ представляет собой BAN2401.

[360] В некоторых вариантах осуществления клиническое ухудшение уменьшается на по меньшей мере 1%, по меньшей мере 2%, по меньшей мере 3%, по меньшей мере 4%, по меньшей мере 5%, по меньшей мере 6%, по меньшей мере 7%, по меньшей мере 8%, по меньшей мере 9%, по меньшей мере 10%, по меньшей мере 11%, по меньшей мере 12%, по меньшей мере 13%, по меньшей мере 14%, по меньшей мере 15%, по меньшей мере 16%, по меньшей мере 17%, по меньшей мере 18%, по меньшей мере 19%, по меньшей мере 20%, по меньшей мере 21%, по меньшей мере 22%, по меньшей мере 23%, по меньшей мере 24%, по меньшей мере 25%, по меньшей мере 26%, по меньшей мере 27%, по меньшей мере 28%, по меньшей мере 29%, по меньшей мере 30%, по меньшей мере 31%, по меньшей мере 32%, по меньшей мере 33%, по меньшей мере 34%, по меньшей мере 35%, по меньшей мере 36%, по меньшей мере 37%, по меньшей мере 38%, по меньшей мере 39%, по меньшей мере 40%, по меньшей мере 41%, по меньшей мере 42%, по меньшей мере 43%, по меньшей мере 44%, по меньшей мере 45%, по меньшей мере 46%, по меньшей мере 47%, по меньшей мере 48%, по меньшей мере 49%, по меньшей мере 50%, по меньшей мере 51%, по меньшей мере 52%, по меньшей мере 53%, по меньшей мере 54%, по меньшей мере 55%, по меньшей мере 56%, по меньшей мере 57%, по меньшей мере 58%, по меньшей мере 59%, по меньшей мере 60%, по меньшей мере 61%, по меньшей мере 62%, по меньшей мере 63%, по меньшей мере 64%, по меньшей мере 65%, по меньшей мере 66%, по меньшей мере 67%, по меньшей мере 68%, по меньшей мере 69%, по меньшей мере 70%, по меньшей мере 71%, по меньшей мере 72%, по меньшей мере 73%, по меньшей мере 74%, по меньшей мере 75%, по меньшей мере 76%, по меньшей мере 77%, по меньшей мере 78%, по меньшей мере 79%, по меньшей мере 80%, по меньшей мере 81%, по меньшей мере 82%, по меньшей мере 83%, по меньшей мере 84%, по меньшей мере 85%, по меньшей мере 86%, по меньшей мере 87%, по меньшей мере 88%, по меньшей мере 89%, по меньшей мере 90%, по меньшей мере 91%, по меньшей мере 92%, по меньшей мере 93%, по меньшей мере 94%, по меньшей мере 95%, по меньшей мере 96%, по меньшей мере 97%, по меньшей мере 98%, по меньшей мере 99%, по меньшей мере 100%, по меньшей мере 101%, по меньшей мере 102%, по меньшей мере 103%, по меньшей мере 104%, по меньшей мере 105%, по меньшей мере 106%, по меньшей мере 107%, по меньшей мере 108%, по меньшей мере 109%, по меньшей мере 110%, по меньшей мере 115%, по меньшей мере 120%, по меньшей мере 125%, по меньшей мере 130%, по меньшей мере 135%, по меньшей мере 140%, по меньшей мере 145%, по меньшей мере 150%, по меньшей мере 155%, по меньшей мере 160%, по меньшей мере 165%, по меньшей мере 170%, по меньшей мере 175%, по меньшей мере 180%, по меньшей мере 185%, по меньшей мере 190%, по меньшей мере 195%, по меньшей мере 200%, по меньшей мере 205%, по меньшей мере 210% или по меньшей мере 211% по сравнению с плацебо, как определяется с помощью ADAS-Cog, где субъект является ApoE4-положительным и где у субъекта было диагностировано наличие легкого когнитивного нарушения, с промежуточной вероятностью обусловленного болезнью Альцгеймера. В некоторых вариантах осуществления вышеупомянутое уменьшение клинического ухудшения определяется после 1 месяца, 6 месяцев, 12 месяцев, 18 месяцев, 60 месяцев и/или 63 месяцев введения композиции, содержащей терапевтически эффективное количество по меньшей мере одного антитела к протофибриллам Aβ.

[361] В некоторых вариантах осуществления клиническое ухудшение уменьшается на 40-300%, как, например, на 45-250% или 50-250%, по сравнению с плацебо, как определяется с помощью ADAS-Cog, где субъект является ApoE4-положительным и где у субъекта было диагностировано наличие легкого когнитивного нарушения, с промежуточной вероятностью обусловленного болезнью Альцгеймера. В некоторых вариантах осуществления клиническое ухудшение уменьшается на по меньшей мере 40%, как, например, на по меньшей мере 45% или по меньшей мере 50%, по сравнению с плацебо, как определяется с помощью ADAS-Cog, где субъект является ApoE4-положительным и где у субъекта было диагностировано наличие легкого когнитивного нарушения, с промежуточной вероятностью обусловленного болезнью Альцгеймера. В некоторых вариантах осуществления клиническое ухудшение уменьшается на по меньшей мере 60%, как, например, на по меньшей мере 70%, по меньшей мере 75% или по меньшей мере 80%, по сравнению с плацебо, как определяется с помощью ADAS-Cog, где субъект является ApoE4-положительным и где у субъекта было диагностировано наличие легкого когнитивного нарушения, с промежуточной вероятностью обусловленного болезнью Альцгеймера. В некоторых вариантах осуществления клиническое ухудшение уменьшается на по меньшей мере 100%, как, например, на по меньшей мере 150% или по меньшей мере 200%, по сравнению с плацебо, как определяется с помощью ADAS-Cog, где субъект является ApoE4-положительным и где у субъекта было диагностировано наличие легкого когнитивного нарушения, с промежуточной вероятностью обусловленного болезнью Альцгеймера. В некоторых вариантах осуществления вышеупомянутое уменьшение клинического ухудшения определяется после 1 месяца, 6 месяцев, 12 месяцев, 18 месяцев, 60 месяцев и/или 63 месяцев введения композиции, содержащей терапевтически эффективное количество по меньшей мере одного антитела к протофибриллам Aβ.

[362] В некоторых вариантах осуществления клиническое ухудшение у ApoE4-положительного субъекта, у которого диагностировано наличие легкого когнитивного нарушения, с промежуточной вероятностью обусловленного болезнью Альцгеймера, уменьшается на по меньшей мере 100%, как, например, на по меньшей мере 150% или по меньшей мере 200%, по сравнению с плацебо, как определяется с помощью ADAS-Cog, после 6 месяцев введения композиции, содержащей терапевтически эффективное количество по меньшей мере одного антитела к протофибриллам Aβ. В некоторых вариантах осуществления клиническое ухудшение у ApoE4-положительного субъекта, у которого диагностировано наличие легкого когнитивного нарушения, с промежуточной вероятностью обусловленного болезнью Альцгеймера, уменьшается на по меньшей мере 40%, как, например, на по меньшей мере 45% или по меньшей мере 50%, по сравнению с плацебо, как определяется с помощью ADAS-Cog, после 12 месяцев введения композиции, содержащей терапевтически эффективное количество по меньшей мере одного антитела к протофибриллам Aβ. В некоторых вариантах осуществления клиническое ухудшение у ApoE4-положительного субъекта, у которого диагностировано наличие легкого когнитивного нарушения, с промежуточной вероятностью обусловленного болезнью Альцгеймера, уменьшается на по меньшей мере 50%, как, например, на по меньшей мере 60%, по меньшей мере 70% или по меньшей мере 75%, по сравнению с плацебо, как определяется с помощью ADAS-Cog, после 18 месяцев введения композиции, содержащей терапевтически эффективное количество по меньшей мере одного антитела к протофибриллам Aβ. В некоторых вариантах осуществления композиция содержит 10 мг/кг по меньшей мере одного антитела к протофибриллам Aβ и вводится один раз в две недели или один раз в месяц. В некоторых вариантах осуществления по меньшей мере одно антитело к протофибриллам Aβ представляет собой BAN2401.

[363] В некоторых вариантах осуществления клиническое ухудшение уменьшается на по меньшей мере 1%, по меньшей мере 2%, по меньшей мере 3%, по меньшей мере 4%, по меньшей мере 5%, по меньшей мере 6%, по меньшей мере 7%, по меньшей мере 8%, по меньшей мере 9%, по меньшей мере 10%, по меньшей мере 11%, по меньшей мере 12%, по меньшей мере 13%, по меньшей мере 14%, по меньшей мере 15%, по меньшей мере 16%, по меньшей мере 17%, по меньшей мере 18%, по меньшей мере 19%, по меньшей мере 20%, по меньшей мере 21%, по меньшей мере 22%, по меньшей мере 23%, по меньшей мере 24%, по меньшей мере 25%, по меньшей мере 26%, по меньшей мере 27%, по меньшей мере 28%, по меньшей мере 29%, по меньшей мере 30%, по меньшей мере 31%, по меньшей мере 32%, по меньшей мере 33%, по меньшей мере 34%, по меньшей мере 35%, по меньшей мере 36%, по меньшей мере 37%, по меньшей мере 38%, по меньшей мере 39%, по меньшей мере 40%, по меньшей мере 41%, по меньшей мере 42%, по меньшей мере 43%, по меньшей мере 44% или по меньшей мере 45% по сравнению с плацебо, как определяется с помощью CDR-SB, где субъект является ApoE4-положительным и где у субъекта было диагностировано наличие легкого когнитивного нарушения, с промежуточной вероятностью обусловленного болезнью Альцгеймера. В некоторых вариантах осуществления вышеупомянутое уменьшение клинического ухудшения определяется после 1 месяца, 6 месяцев, 12 месяцев, 18 месяцев, 60 месяцев и/или 63 месяцев введения композиции, содержащей терапевтически эффективное количество по меньшей мере одного антитела к протофибриллам Aβ.

[364] В некоторых вариантах осуществления клиническое ухудшение уменьшается на 20-90%, как, например, на 25-80% или 30-75%, по сравнению с плацебо, как определяется с помощью CDR-SB, где субъект является ApoE4-положительным и где у субъекта было диагностировано наличие легкого когнитивного нарушения, с промежуточной вероятностью обусловленного болезнью Альцгеймера. В некоторых вариантах осуществления клиническое ухудшение уменьшается на по меньшей мере 25%, как, например, на по меньшей мере 30%, по сравнению с плацебо, как определяется с помощью CDR-SB, где субъект является ApoE4-положительным и где у субъекта было диагностировано наличие легкого когнитивного нарушения, с промежуточной вероятностью обусловленного болезнью Альцгеймера. В некоторых вариантах осуществления клиническое ухудшение уменьшается на по меньшей мере 30%, как, например, на по меньшей мере 35% или 40%, по сравнению с плацебо, как определяется с помощью CDR-SB, где субъект является ApoE4-положительным и где у субъекта было диагностировано наличие легкого когнитивного нарушения, с промежуточной вероятностью обусловленного болезнью Альцгеймера. В некоторых вариантах осуществления клиническое ухудшение уменьшается на по меньшей мере 35%, как, например, на по меньшей мере 40% или 45%, по сравнению с плацебо, как определяется с помощью CDR-SB, где субъект является ApoE4-положительным и где у субъекта было диагностировано наличие легкого когнитивного нарушения, с промежуточной вероятностью обусловленного болезнью Альцгеймера. В некоторых вариантах осуществления вышеупомянутое уменьшение клинического ухудшения определяется после 1 месяца, 6 месяцев, 12 месяцев, 18 месяцев, 60 месяцев и/или 63 месяцев введения композиции, содержащей терапевтически эффективное количество по меньшей мере одного антитела к протофибриллам Aβ.

[365] В некоторых вариантах осуществления клиническое ухудшение у ApoE4-положительного субъекта, у которого диагностировано наличие легкого когнитивного нарушения, с промежуточной вероятностью обусловленного болезнью Альцгеймера, уменьшается на по меньшей мере 35%, как, например, на по меньшей мере 40% или по меньшей мере 45%, по сравнению с плацебо, как определяется с помощью CDR-SB, после введения композиции, содержащей терапевтически эффективное количество по меньшей мере одного антитела к протофибриллам Aβ. В некоторых вариантах осуществления клиническое ухудшение у ApoE4-положительного субъекта, у которого диагностировано наличие легкого когнитивного нарушения, с промежуточной вероятностью обусловленного болезнью Альцгеймера, уменьшается на по меньшей мере 20%, как, например, на по меньшей мере 25% или по меньшей мере 30%, по сравнению с плацебо, как определяется с помощью CDR-SB, после 12 месяцев введения композиции, содержащей терапевтически эффективное количество по меньшей мере одного антитела к протофибриллам Aβ. В некоторых вариантах осуществления клиническое ухудшение у ApoE4-положительного субъекта, у которого диагностировано наличие легкого когнитивного нарушения, с промежуточной вероятностью обусловленного болезнью Альцгеймера, уменьшается на по меньшей мере 35%, как, например, на по меньшей мере 40%, по сравнению с плацебо, как определяется с помощью CDR-SB, после 18 месяцев введения композиции, содержащей терапевтически эффективное количество по меньшей мере одного антитела к протофибриллам Aβ. В некоторых вариантах осуществления композиция содержит 10 мг/кг по меньшей мере одного антитела к протофибриллам Aβ и вводится один раз в две недели или один раз в месяц. В некоторых вариантах осуществления по меньшей мере одно антитело к протофибриллам Aβ представляет собой BAN2401.

[366] В некоторых вариантах осуществления клиническое ухудшение уменьшается на по меньшей мере 1%, по меньшей мере 2%, по меньшей мере 3%, по меньшей мере 4%, по меньшей мере 5%, по меньшей мере 6%, по меньшей мере 7%, по меньшей мере 8%, по меньшей мере 9%, по меньшей мере 10%, по меньшей мере 11%, по меньшей мере 12%, по меньшей мере 13%, по меньшей мере 14%, по меньшей мере 15%, по меньшей мере 16%, по меньшей мере 17%, по меньшей мере 18%, по меньшей мере 19%, по меньшей мере 20%, по меньшей мере 21%, по меньшей мере 22%, по меньшей мере 23%, по меньшей мере 24%, по меньшей мере 25%, по меньшей мере 26%, по меньшей мере 27%, по меньшей мере 28%, по меньшей мере 29%, по меньшей мере 30%, по меньшей мере 31%, по меньшей мере 32%, по меньшей мере 33%, по меньшей мере 34%, по меньшей мере 35%, по меньшей мере 36%, по меньшей мере 37%, по меньшей мере 38%, по меньшей мере 39%, по меньшей мере 40%, по меньшей мере 41%, по меньшей мере 42%, по меньшей мере 43%, по меньшей мере 44%, по меньшей мере 45%, по меньшей мере 46%, по меньшей мере 47%, по меньшей мере 48%, по меньшей мере 49%, по меньшей мере 50%, по меньшей мере 51%, по меньшей мере 52%, по меньшей мере 53%, по меньшей мере 54%, по меньшей мере 55%, по меньшей мере 56%, по меньшей мере 57%, по меньшей мере 58%, по меньшей мере 59%, по меньшей мере 60%, по меньшей мере 61%, по меньшей мере 62%, по меньшей мере 63%, по меньшей мере 64%, по меньшей мере 65%, по меньшей мере 66%, по меньшей мере 67%, по меньшей мере 68%, по меньшей мере 69%, по меньшей мере 70%, по меньшей мере 71%, по меньшей мере 72%, по меньшей мере 73%, по меньшей мере 74%, по меньшей мере 75%, по меньшей мере 76%, по меньшей мере 77%, по меньшей мере 78%, по меньшей мере 79%, по меньшей мере 80%, по меньшей мере 81%, по меньшей мере 82%, по меньшей мере 83%, по меньшей мере 84%, по меньшей мере 85%, по меньшей мере 86%, по меньшей мере 87%, по меньшей мере 88%, по меньшей мере 89%, по меньшей мере 90%, по меньшей мере 91%, по меньшей мере 92%, по меньшей мере 93%, по меньшей мере 94%, по меньшей мере 95%, по меньшей мере 96%, по меньшей мере 97%, по меньшей мере 98%, по меньшей мере 99%, по меньшей мере 100%, по меньшей мере 101%, по меньшей мере 102%, по меньшей мере 103%, по меньшей мере 104%, по меньшей мере 105%, по меньшей мере 106%, по меньшей мере 107%, по меньшей мере 108%, по меньшей мере 109%, по меньшей мере 110%, по меньшей мере 111%, по меньшей мере 112%, по меньшей мере 113%, по меньшей мере 114%, по меньшей мере 115%, по меньшей мере 116%, по меньшей мере 117%, по меньшей мере 118% или по меньшей мере 119% по сравнению с плацебо, как определяется с помощью ADCOMS, где субъект является ApoE4-положительным и где у субъекта было диагностировано наличие легкой деменции при болезни Альцгеймера. В некоторых вариантах осуществления вышеупомянутое уменьшение клинического ухудшения определяется после 1 месяца, 6 месяцев, 12 месяцев, 18 месяцев, 60 месяцев и/или 63 месяцев введения композиции, содержащей терапевтически эффективное количество по меньшей мере одного антитела к протофибриллам Aβ.

[367] В некоторых вариантах осуществления клиническое ухудшение уменьшается на 76-119% по сравнению с плацебо, как определяется с помощью ADCOMS, где субъект является ApoE4-положительным и где у субъекта было диагностировано наличие легкой деменции при болезни Альцгеймера. В некоторых вариантах осуществления клиническое ухудшение уменьшается на 76% по сравнению с плацебо, как определяется с помощью ADCOMS, где субъект является ApoE4-положительным и где у субъекта было диагностировано наличие легкой деменции при болезни Альцгеймера. В некоторых вариантах осуществления клиническое ухудшение уменьшается на 113% по сравнению с плацебо, как определяется с помощью ADCOMS, где субъект является ApoE4-положительным и где у субъекта было диагностировано наличие легкой деменции при болезни Альцгеймера. В некоторых вариантах осуществления клиническое ухудшение уменьшается на 119% по сравнению с плацебо, как определяется с помощью ADCOMS, где субъект является ApoE4-положительным и где у субъекта было диагностировано наличие легкой деменции при болезни Альцгеймера. В некоторых вариантах осуществления вышеупомянутое уменьшение клинического ухудшения определяется после 1 месяца, 6 месяцев, 12 месяцев, 18 месяцев, 60 месяцев и/или 63 месяцев введения композиции, содержащей терапевтически эффективное количество по меньшей мере одного антитела к протофибриллам Aβ.

[368] В некоторых вариантах осуществления клиническое ухудшение уменьшается на по меньшей мере 1%, по меньшей мере 2%, по меньшей мере 3%, по меньшей мере 4%, по меньшей мере 5%, по меньшей мере 6%, по меньшей мере 7%, по меньшей мере 8%, по меньшей мере 9%, по меньшей мере 10%, по меньшей мере 11%, по меньшей мере 12%, по меньшей мере 13%, по меньшей мере 14%, по меньшей мере 15%, по меньшей мере 16%, по меньшей мере 17%, по меньшей мере 18%, по меньшей мере 19%, по меньшей мере 20%, по меньшей мере 21%, по меньшей мере 22%, по меньшей мере 23%, по меньшей мере 24%, по меньшей мере 25%, по меньшей мере 26%, по меньшей мере 27%, по меньшей мере 28%, по меньшей мере 29%, по меньшей мере 30%, по меньшей мере 31%, по меньшей мере 32%, по меньшей мере 33%, по меньшей мере 34%, по меньшей мере 35%, по меньшей мере 36%, по меньшей мере 37%, по меньшей мере 38%, по меньшей мере 39%, по меньшей мере 40%, по меньшей мере 41%, по меньшей мере 42%, по меньшей мере 43%, по меньшей мере 44%, по меньшей мере 45%, по меньшей мере 46%, по меньшей мере 47%, по меньшей мере 48%, по меньшей мере 49%, по меньшей мере 50%, по меньшей мере 51%, по меньшей мере 52%, по меньшей мере 53%, по меньшей мере 54%, по меньшей мере 55%, по меньшей мере 56%, по меньшей мере 57%, по меньшей мере 58%, по меньшей мере 59%, по меньшей мере 60%, по меньшей мере 61%, по меньшей мере 62%, по меньшей мере 63%, по меньшей мере 64%, по меньшей мере 65%, по меньшей мере 66%, по меньшей мере 67%, по меньшей мере 68%, по меньшей мере 69%, по меньшей мере 70%, по меньшей мере 71%, по меньшей мере 72%, по меньшей мере 73%, по меньшей мере 74%, по меньшей мере 75%, по меньшей мере 76%, по меньшей мере 77%, по меньшей мере 78%, по меньшей мере 79%, по меньшей мере 80%, по меньшей мере 81%, по меньшей мере 82%, по меньшей мере 83%, по меньшей мере 84%, по меньшей мере 85%, по меньшей мере 86%, по меньшей мере 87%, по меньшей мере 88%, по меньшей мере 89%, по меньшей мере 90%, по меньшей мере 91%, по меньшей мере 92%, по меньшей мере 93%, по меньшей мере 94%, по меньшей мере 95%, по меньшей мере 96%, по меньшей мере 97%, по меньшей мере 98%, по меньшей мере 99%, по меньшей мере 100%, по меньшей мере 101%, по меньшей мере 102%, по меньшей мере 103%, по меньшей мере 104%, по меньшей мере 105%, по меньшей мере 106%, по меньшей мере 107%, по меньшей мере 108%, по меньшей мере 109%, по меньшей мере 110%, по меньшей мере 111%, по меньшей мере 112%, по меньшей мере 113%, по меньшей мере 114%, по меньшей мере 115%, по меньшей мере 116%, по меньшей мере 117%, по меньшей мере 118%, по меньшей мере 119%, по меньшей мере 120%, по меньшей мере 121%, по меньшей мере 122%, по меньшей мере 123%, по меньшей мере 124%, по меньшей мере 125%, по меньшей мере 126%, по меньшей мере 127%, по меньшей мере 128%, по меньшей мере 129%, по меньшей мере 130%, по меньшей мере 131%, по меньшей мере 132%, по меньшей мере 133%, по меньшей мере 134%, по меньшей мере 135%, по меньшей мере 136%, по меньшей мере 137%, по меньшей мере 138%, по меньшей мере 139%, по меньшей мере 140%, по меньшей мере 141%, по меньшей мере 142%, по меньшей мере 143%, по меньшей мере 144%, по меньшей мере 145%, по меньшей мере 146%, по меньшей мере 147%, по меньшей мере 148%, по меньшей мере 149%, по меньшей мере 150%, по меньшей мере 151%, по меньшей мере 152%, по меньшей мере 153%, по меньшей мере 154%, по меньшей мере 155%, по меньшей мере 156%, по меньшей мере 157%, по меньшей мере 158%, по меньшей мере 159%, по меньшей мере 160%, по меньшей мере 161%, по меньшей мере 162%, по меньшей мере 163%, по меньшей мере 164%, по меньшей мере 165%, по меньшей мере 166%, по меньшей мере 167%, по меньшей мере 168%, по меньшей мере 169%, по меньшей мере 170%, по меньшей мере 171%, по меньшей мере 172%, по меньшей мере 173%, по меньшей мере 174%, по меньшей мере 175%, по меньшей мере 176%, по меньшей мере 177%, по меньшей мере 178%, по меньшей мере 179%, по меньшей мере 180%, по меньшей мере 190%, по меньшей мере 200%, по меньшей мере 210%, по меньшей мере 220%, по меньшей мере 230%, по меньшей мере 240%, по меньшей мере 250%, по меньшей мере 275%, по меньшей мере 300%, по меньшей мере 325%, по меньшей мере 350%, по меньшей мере 375%, по меньшей мере 400%, по меньшей мере 425%, по меньшей мере 450%, по меньшей мере 475%, по меньшей мере 500%, по меньшей мере 550%, по меньшей мере 600%, по меньшей мере 650%, по меньшей мере 700%, по меньшей мере 750%, по меньшей мере 800%, по меньшей мере 850%, по меньшей мере 900%, по меньшей мере 950%, по меньшей мере 1000%, по меньшей мере 1001%, по меньшей мере 1002%, по меньшей мере 1003%, по меньшей мере 1004%, по меньшей мере 1005%, по меньшей мере 1006%, по меньшей мере 1007%, по меньшей мере 1008%, по меньшей мере 1009%, по меньшей мере 1010%, по меньшей мере 1011%, по меньшей мере 1012%, по меньшей мере 1013%, по меньшей мере 1014%, по меньшей мере 1015%, по меньшей мере 1016%, по меньшей мере 1017%, по меньшей мере 1018%, по меньшей мере 1019%, по меньшей мере 1020%, по меньшей мере 1021%, по меньшей мере 1022% или по меньшей мере 1023% по сравнению с плацебо, как определяется с помощью ADAS-Cog, где субъект является ApoE4-положительным и где у субъекта было диагностировано наличие легкой деменции при болезни Альцгеймера. В некоторых вариантах осуществления вышеупомянутое уменьшение клинического ухудшения определяется после 1 месяца, 6 месяцев, 12 месяцев, 18 месяцев, 60 месяцев и/или 63 месяцев введения композиции, содержащей терапевтически эффективное количество по меньшей мере одного антитела к протофибриллам Aβ.

[369] В некоторых вариантах осуществления клиническое ухудшение уменьшается на 58-1023% по сравнению с плацебо, как определяется с помощью ADAS-Cog, где субъект является ApoE4-положительным и где у субъекта было диагностировано наличие легкой деменции при болезни Альцгеймера. В некоторых вариантах осуществления клиническое ухудшение уменьшается на 58% по сравнению с плацебо, как определяется с помощью ADAS-Cog, где субъект является ApoE4-положительным и где у субъекта было диагностировано наличие легкой деменции при болезни Альцгеймера. В некоторых вариантах осуществления клиническое ухудшение уменьшается на 171% по сравнению с плацебо, как определяется с помощью ADAS-Cog, где субъект является ApoE4-положительным и где у субъекта было диагностировано наличие легкой деменции при болезни Альцгеймера. В некоторых вариантах осуществления клиническое ухудшение уменьшается на 1023% по сравнению с плацебо, как определяется с помощью ADAS-Cog, где субъект является ApoE4-положительным и где у субъекта было диагностировано наличие легкой деменции при болезни Альцгеймера. В некоторых вариантах осуществления вышеупомянутое уменьшение клинического ухудшения определяется после 1 месяца, 6 месяцев, 12 месяцев, 18 месяцев, 60 месяцев и/или 63 месяцев введения композиции, содержащей терапевтически эффективное количество по меньшей мере одного антитела к протофибриллам Aβ.

[370] В некоторых вариантах осуществления клиническое ухудшение уменьшается на по меньшей мере 1%, по меньшей мере 2%, по меньшей мере 3%, по меньшей мере 4%, по меньшей мере 5%, по меньшей мере 6%, по меньшей мере 7%, по меньшей мере 8%, по меньшей мере 9%, по меньшей мере 10%, по меньшей мере 11%, по меньшей мере 12%, по меньшей мере 13%, по меньшей мере 14%, по меньшей мере 15%, по меньшей мере 16%, по меньшей мере 17%, по меньшей мере 18%, по меньшей мере 19%, по меньшей мере 20%, по меньшей мере 21%, по меньшей мере 22%, по меньшей мере 23%, по меньшей мере 24%, по меньшей мере 25%, по меньшей мере 26%, по меньшей мере 27%, по меньшей мере 28%, по меньшей мере 29%, по меньшей мере 30%, по меньшей мере 31%, по меньшей мере 32%, по меньшей мере 33%, по меньшей мере 34%, по меньшей мере 35%, по меньшей мере 36%, по меньшей мере 37%, по меньшей мере 38%, по меньшей мере 39%, по меньшей мере 40%, по меньшей мере 41%, по меньшей мере 42%, по меньшей мере 43%, по меньшей мере 44%, по меньшей мере 45%, по меньшей мере 46%, по меньшей мере 47%, по меньшей мере 48%, по меньшей мере 49%, по меньшей мере 50%, по меньшей мере 51%, по меньшей мере 52%, по меньшей мере 53%, по меньшей мере 54%, по меньшей мере 55%, по меньшей мере 56%, по меньшей мере 57%, по меньшей мере 58%, по меньшей мере 59%, по меньшей мере 60%, по меньшей мере 61%, по меньшей мере 62%, по меньшей мере 63%, по меньшей мере 64%, по меньшей мере 65%, по меньшей мере 66%, по меньшей мере 67%, по меньшей мере 68%, по меньшей мере 69%, по меньшей мере 70%, по меньшей мере 71%, по меньшей мере 72%, по меньшей мере 73%, по меньшей мере 74%, по меньшей мере 75%, по меньшей мере 76%, по меньшей мере 77%, по меньшей мере 78%, по меньшей мере 79%, по меньшей мере 80%, по меньшей мере 81%, по меньшей мере 82%, по меньшей мере 83%, по меньшей мере 84%, по меньшей мере 85%, по меньшей мере 86%, по меньшей мере 87%, по меньшей мере 88%, по меньшей мере 89%, по меньшей мере 90%, по меньшей мере 91%, по меньшей мере 92%, по меньшей мере 93%, по меньшей мере 94%, по меньшей мере 95%, по меньшей мере 96%, по меньшей мере 97%, по меньшей мере 98%, по меньшей мере 99%, по меньшей мере 100%, по меньшей мере 101%, по меньшей мере 102%, по меньшей мере 103%, по меньшей мере 104%, по меньшей мере 105%, по меньшей мере 106%, по меньшей мере 107%, по меньшей мере 108%, по меньшей мере 109%, по меньшей мере 110%, по меньшей мере 111%, по меньшей мере 112%, по меньшей мере 113%, по меньшей мере 114%, по меньшей мере 115%, по меньшей мере 116%, по меньшей мере 117%, по меньшей мере 118%, по меньшей мере 119%, по меньшей мере 120%, по меньшей мере 121%, по меньшей мере 122%, по меньшей мере 123%, по меньшей мере 124%, по меньшей мере 125%, по меньшей мере 126%, по меньшей мере 127%, по меньшей мере 128%, по меньшей мере 129%, по меньшей мере 130%, по меньшей мере 131%, по меньшей мере 132%, по меньшей мере 133%, по меньшей мере 134%, по меньшей мере 135%, по меньшей мере 136%, по меньшей мере 137%, по меньшей мере 138%, по меньшей мере 139%, по меньшей мере 140%, по меньшей мере 141%, по меньшей мере 142%, по меньшей мере 143%, по меньшей мере 144%, по меньшей мере 145%, по меньшей мере 146%, по меньшей мере 147%, по меньшей мере 148%, по меньшей мере 149%, по меньшей мере 150%, по меньшей мере 151%, по меньшей мере 152%, по меньшей мере 153%, по меньшей мере 154%, по меньшей мере 155%, по меньшей мере 156%, по меньшей мере 157%, по меньшей мере 158%, по меньшей мере 159%, по меньшей мере 160%, по меньшей мере 161%, по меньшей мере 162%, по меньшей мере 163%, по меньшей мере 164%, по меньшей мере 165%, по меньшей мере 166%, по меньшей мере 167%, по меньшей мере 168%, по меньшей мере 169%, по меньшей мере 170%, по меньшей мере 171%, по меньшей мере 172%, по меньшей мере 173% или по меньшей мере 174% по сравнению с плацебо, как определяется с помощью CDR-SB, где субъект является ApoE4-положительным и где у субъекта было диагностировано наличие легкой деменции при болезни Альцгеймера. В некоторых вариантах осуществления вышеупомянутое уменьшение клинического ухудшения определяется после 1 месяца, 6 месяцев, 12 месяцев, 18 месяцев, 60 месяцев и/или 63 месяцев введения композиции, содержащей терапевтически эффективное количество по меньшей мере одного антитела к протофибриллам Aβ.

[371] В некоторых вариантах осуществления клиническое ухудшение уменьшается на 70-200%, как, например, на 75-180% или 82-174%, по сравнению с плацебо, как определяется с помощью CDR-SB, где субъект является ApoE4-положительным и где у субъекта было диагностировано наличие легкой деменции при болезни Альцгеймера. В некоторых вариантах осуществления клиническое ухудшение уменьшается на по меньшей мере 70%, как, например, на по меньшей мере 80%, по сравнению с плацебо, как определяется с помощью CDR-SB, где субъект является ApoE4-положительным и где у субъекта было диагностировано наличие легкой деменции при болезни Альцгеймера. В некоторых вариантах осуществления клиническое ухудшение уменьшается на по меньшей мере 75%, как, например, на по меньшей мере 80% или по меньшей мере 85%, по сравнению с плацебо, как определяется с помощью CDR-SB, где субъект является ApoE4-положительным и где у субъекта было диагностировано наличие легкой деменции при болезни Альцгеймера. В некоторых вариантах осуществления клиническое ухудшение уменьшается на по меньшей мере 150%, как, например, на по меньшей мере 160% или 170%, по сравнению с плацебо, как определяется с помощью CDR-SB, где субъект является ApoE4-положительным и где у субъекта было диагностировано наличие легкой деменции при болезни Альцгеймера. В некоторых вариантах осуществления вышеупомянутое уменьшение клинического ухудшения определяется после 1 месяца, 6 месяцев, 12 месяцев, 18 месяцев, 60 месяцев и/или 63 месяцев введения композиции, содержащей терапевтически эффективное количество по меньшей мере одного антитела к протофибриллам Aβ.

[372] В некоторых вариантах осуществления клиническое ухудшение у ApoE4-положительного субъекта, у которого диагностировано наличие легкой деменции при болезни Альцгеймера, уменьшается на по меньшей мере 70%, как, например, на по меньшей мере 75%, по меньшей мере 80% или по меньшей мере 85%, по сравнению с плацебо, как определяется с помощью CDR-SB, после введения композиции, содержащей терапевтически эффективное количество по меньшей мере одного антитела к протофибриллам Aβ. В некоторых вариантах осуществления клиническое ухудшение у ApoE4-положительного субъекта, у которого диагностировано наличие легкой деменции при болезни Альцгеймера, уменьшается на по меньшей мере 130%, как, например, на по меньшей мере 140%, по меньшей мере 150%, по меньшей мере 160% или по меньшей мере 170%, по сравнению с плацебо, как определяется с помощью CDR-SB, после 12 месяцев введения композиции, содержащей терапевтически эффективное количество по меньшей мере одного антитела к протофибриллам Aβ. В некоторых вариантах осуществления клиническое ухудшение у ApoE4-положительного субъекта, у которого диагностировано наличие легкой деменции при болезни Альцгеймера, уменьшается на по меньшей мере 65%, как, например, на по меньшей мере 70%, по меньшей мере 75% или по меньшей мере 80%, по сравнению с плацебо, как определяется с помощью CDR-SB, после 18 месяцев введения композиции, содержащей терапевтически эффективное количество по меньшей мере одного антитела к протофибриллам Aβ. В некоторых вариантах осуществления композиция содержит 10 мг/кг по меньшей мере одного антитела к протофибриллам Aβ и вводится один раз в две недели или один раз в месяц. В некоторых вариантах осуществления по меньшей мере одно антитело к протофибриллам Aβ представляет собой BAN2401.

[373] В некоторых вариантах осуществления субъект является ApoE4-отрицательным.

[374] В некоторых вариантах осуществления клиническое ухудшение уменьшается на по меньшей мере 1%, по меньшей мере 2%, по меньшей мере 3%, по меньшей мере 4%, по меньшей мере 5%, по меньшей мере 6%, по меньшей мере 7%, по меньшей мере 8%, по меньшей мере 9%, по меньшей мере 10%, по меньшей мере 11% или по меньшей мере 12% по сравнению с плацебо, как определяется с помощью ADCOMS, где субъект является ApoE4-отрицательным. В некоторых вариантах осуществления вышеупомянутое уменьшение клинического ухудшения определяется после 1 месяца, 6 месяцев, 12 месяцев, 18 месяцев, 60 месяцев и/или 63 месяцев введения композиции, содержащей терапевтически эффективное количество по меньшей мере одного антитела к протофибриллам Aβ.

[375] В некоторых вариантах осуществления клиническое ухудшение уменьшается на 5-15% по сравнению с плацебо, как определяется с помощью ADCOMS, где субъект является ApoE4-отрицательным. В некоторых вариантах осуществления клиническое ухудшение уменьшается на по меньшей мере 5%, как, например, на по меньшей мере 7%, по сравнению с плацебо, как определяется с помощью ADCOMS, где субъект является ApoE4-отрицательным. В некоторых вариантах осуществления клиническое ухудшение уменьшается на по меньшей мере 10%, как, например, на по меньшей мере 12%, по сравнению с плацебо, как определяется с помощью ADCOMS, где субъект является ApoE4-отрицательным. В некоторых вариантах осуществления вышеупомянутое уменьшение клинического ухудшения определяется после 1 месяца, 6 месяцев, 12 месяцев, 18 месяцев, 60 месяцев и/или 63 месяцев введения композиции, содержащей терапевтически эффективное количество по меньшей мере одного антитела к протофибриллам Aβ.

[376] В некоторых вариантах осуществления клиническое ухудшение у ApoE4-отрицательного субъекта уменьшается на по меньшей мере -2% по сравнению с плацебо, как определяется с помощью ADCOMS, после 6 месяцев введения композиции, содержащей терапевтически эффективное количество по меньшей мере одного антитела к протофибриллам Aβ. В некоторых вариантах осуществления клиническое ухудшение у ApoE4-отрицательного субъекта уменьшается на по меньшей мере 10% по сравнению с плацебо, как определяется с помощью ADCOMS, после 12 месяцев введения композиции, содержащей терапевтически эффективное количество по меньшей мере одного антитела к протофибриллам Aβ. В некоторых вариантах осуществления клиническое ухудшение у ApoE4-отрицательного субъекта уменьшается на по меньшей мере 5%, как, например, на по меньшей мере 7%, по сравнению с плацебо, как определяется с помощью ADCOMS, после 18 месяцев введения композиции, содержащей терапевтически эффективное количество по меньшей мере одного антитела к протофибриллам Aβ. В некоторых вариантах осуществления клиническое ухудшение у ApoE4-отрицательного субъекта уменьшается на по меньшей мере 7% по сравнению с плацебо, как определяется с помощью ADCOMS, после 18 месяцев введения композиции, содержащей терапевтически эффективное количество по меньшей мере одного антитела к протофибриллам Aβ. В некоторых вариантах осуществления композиция содержит 10 мг/кг по меньшей мере одного антитела к протофибриллам Aβ и вводится один раз в две недели или один раз в месяц. В некоторых вариантах осуществления по меньшей мере одно антитело к протофибриллам Aβ представляет собой BAN2401.

[377] В некоторых вариантах осуществления клиническое ухудшение уменьшается на по меньшей мере 1%, по меньшей мере 2%, по меньшей мере 3%, по меньшей мере 4%, по меньшей мере 5%, по меньшей мере 6%, по меньшей мере 7%, по меньшей мере 8%, по меньшей мере 9%, по меньшей мере 10%, по меньшей мере 11%, по меньшей мере 12%, по меньшей мере 13%, по меньшей мере 14%, по меньшей мере 15%, по меньшей мере 16%, по меньшей мере 17%, по меньшей мере 18%, по меньшей мере 19%, по меньшей мере 20%, по меньшей мере 21%, по меньшей мере 22%, по меньшей мере 23%, по меньшей мере 24%, по меньшей мере 25%, по меньшей мере 26%, по меньшей мере 27%, по меньшей мере 28%, по меньшей мере 29%, по меньшей мере 30%, по меньшей мере 31%, по меньшей мере 32%, по меньшей мере 33%, по меньшей мере 34%, по меньшей мере 35%, по меньшей мере 36%, по меньшей мере 37%, по меньшей мере 38%, по меньшей мере 39%, по меньшей мере 40%, по меньшей мере 41%, по меньшей мере 42%, по меньшей мере 43%, по меньшей мере 44%, по меньшей мере 45%, по меньшей мере 46%, по меньшей мере 47%, по меньшей мере 48%, по меньшей мере 49%, по меньшей мере 50%, по меньшей мере 51%, по меньшей мере 52%, по меньшей мере 53%, по меньшей мере 54%, по меньшей мере 55%, по меньшей мере 56%, по меньшей мере 57%, по меньшей мере 58%, по меньшей мере 59%, по меньшей мере 60%, по меньшей мере 61%, по меньшей мере 62%, по меньшей мере 63%, по меньшей мере 64%, по меньшей мере 65%, по меньшей мере 66%, по меньшей мере 67%, по меньшей мере 68%, по меньшей мере 69%, по меньшей мере 70%, по меньшей мере 71% или по меньшей мере 72% по сравнению с плацебо, как определяется с помощью ADAS-Cog, где субъект является ApoE4-отрицательным. В некоторых вариантах осуществления вышеупомянутое уменьшение клинического ухудшения определяется после 1 месяца, 6 месяцев, 12 месяцев, 18 месяцев, 60 месяцев и/или 63 месяцев введения композиции, содержащей терапевтически эффективное количество по меньшей мере одного антитела к протофибриллам Aβ.

[378] В некоторых вариантах осуществления клиническое ухудшение уменьшается на 40-80% по сравнению с плацебо, как определяется с помощью ADAS-Cog, где субъект является ApoE4-отрицательным. В некоторых вариантах осуществления клиническое ухудшение уменьшается на по меньшей мере 35%, как, например, на по меньшей мере 40% или по меньшей мере 43%, по сравнению с плацебо, как определяется с помощью ADAS-Cog, где субъект является ApoE4-отрицательным. В некоторых вариантах осуществления клиническое ухудшение уменьшается на по меньшей мере 40%, как, например, на по меньшей мере 45% или по меньшей мере 46%, по сравнению с плацебо, как определяется с помощью ADAS-Cog, где субъект является ApoE4-отрицательным. В некоторых вариантах осуществления клиническое ухудшение уменьшается на по меньшей мере 65%, как, например, на по меньшей мере 70% или по меньшей мере 72%, по сравнению с плацебо, как определяется с помощью ADAS-Cog, где субъект является ApoE4-отрицательным. В некоторых вариантах осуществления клиническое ухудшение уменьшается на по меньшей мере 43% по сравнению с плацебо, как определяется с помощью ADAS-Cog, где субъект является ApoE4-отрицательным. В некоторых вариантах осуществления вышеупомянутое уменьшение клинического ухудшения определяется после 1 месяца, 6 месяцев, 12 месяцев, 18 месяцев, 60 месяцев и/или 63 месяцев введения композиции, содержащей терапевтически эффективное количество по меньшей мере одного антитела к протофибриллам Aβ.

[379] В некоторых вариантах осуществления клиническое ухудшение увеличивается на 7%, 6%, 5%, 4%, 3%, 2% или 1% по сравнению с плацебо, как определяется с помощью CDR-SB, где субъект является ApoE4-отрицательным. В некоторых вариантах осуществления клиническое ухудшение уменьшается на по меньшей мере 1%, по меньшей мере 2% или по меньшей мере 3% по сравнению с плацебо, как определяется с помощью CDR-SB, где субъект является ApoE4-отрицательным. В некоторых вариантах осуществления вышеупомянутое уменьшение клинического ухудшения определяется после 1 месяца, 6 месяцев, 12 месяцев, 18 месяцев, 60 месяцев и/или 63 месяцев введения композиции, содержащей терапевтически эффективное количество по меньшей мере одного антитела к протофибриллам Aβ.

[380] В некоторых вариантах осуществления клиническое ухудшение уменьшается на 3% по сравнению с плацебо, как определяется с помощью CDR-SB, где субъект является ApoE4-отрицательным. В некоторых вариантах осуществления вышеупомянутое уменьшение клинического ухудшения определяется после 1 месяца, 6 месяцев, 12 месяцев, 18 месяцев, 60 месяцев и/или 63 месяцев введения композиции, содержащей терапевтически эффективное количество по меньшей мере одного антитела к протофибриллам Aβ. В некоторых вариантах осуществления вышеупомянутое уменьшение клинического ухудшения определяется после 1 месяца, 6 месяцев, 12 месяцев, 18 месяцев, 60 месяцев и/или 63 месяцев введения композиции, содержащей терапевтически эффективное количество по меньшей мере одного антитела к протофибриллам Aβ.

[381] В некоторых вариантах осуществления клиническое ухудшение уменьшается на по меньшей мере 1%, по меньшей мере 2%, по меньшей мере 3%, по меньшей мере 4%, по меньшей мере 5%, по меньшей мере 6%, по меньшей мере 7%, по меньшей мере 8%, по меньшей мере 9%, по меньшей мере 10%, по меньшей мере 11%, по меньшей мере 12%, по меньшей мере 13%, по меньшей мере 14%, по меньшей мере 15%, по меньшей мере 16%, по меньшей мере 17%, по меньшей мере 18%, по меньшей мере 19%, по меньшей мере 20%, по меньшей мере 21%, по меньшей мере 22%, по меньшей мере 23%, по меньшей мере 24%, по меньшей мере 25%, по меньшей мере 26%, по меньшей мере 27%, по меньшей мере 28%, по меньшей мере 29%, по меньшей мере 30%, по меньшей мере 31%, по меньшей мере 32%, по меньшей мере 33%, по меньшей мере 34%, по меньшей мере 35%, по меньшей мере 36%, по меньшей мере 37%, по меньшей мере 38%, по меньшей мере 39%, по меньшей мере 40%, по меньшей мере 41%, по меньшей мере 42%, по меньшей мере 43%, по меньшей мере 44%, по меньшей мере 45%, по меньшей мере 46%, по меньшей мере 47%, по меньшей мере 48%, по меньшей мере 49%, по меньшей мере 50%, по меньшей мере 51%, по меньшей мере 52%, по меньшей мере 53%, по меньшей мере 54%, по меньшей мере 55%, по меньшей мере 56%, по меньшей мере 57%, по меньшей мере 58%, по меньшей мере 59%, по меньшей мере 60%, по меньшей мере 61%, по меньшей мере 62%, по меньшей мере 63%, по меньшей мере 64%, по меньшей мере 65%, по меньшей мере 66%, по меньшей мере 67%, по меньшей мере 68%, по меньшей мере 69%, по меньшей мере 70%, по меньшей мере 71%, по меньшей мере 72%, по меньшей мере 73%, по меньшей мере 74%, по меньшей мере 75%, по меньшей мере 76%, по меньшей мере 77%, по меньшей мере 78%, по меньшей мере 79%, по меньшей мере 80%, по меньшей мере 81%, по меньшей мере 82%, по меньшей мере 83%, по меньшей мере 84%, по меньшей мере 85%, по меньшей мере 86%, по меньшей мере 87%, по меньшей мере 88%, по меньшей мере 89%, по меньшей мере 90%, по меньшей мере 91%, по меньшей мере 92%, по меньшей мере 93%, по меньшей мере 94%, по меньшей мере 95%, по меньшей мере 96%, по меньшей мере 97%, по меньшей мере 98%, по меньшей мере 99%, по меньшей мере 100%, по меньшей мере 101%, по меньшей мере 102%, по меньшей мере 103%, по меньшей мере 104%, по меньшей мере 105%, по меньшей мере 106%, по меньшей мере 107%, по меньшей мере 108%, по меньшей мере 109%, по меньшей мере 110%, по меньшей мере 115%, по меньшей мере 120%, по меньшей мере 125%, по меньшей мере 130%, по меньшей мере 135%, по меньшей мере 140%, по меньшей мере 145%, по меньшей мере 150%, по меньшей мере 155%, по меньшей мере 160%, по меньшей мере 165% или по меньшей мере 166% по сравнению с плацебо, как определяется с помощью ADAS-Cog, где субъект является ApoE4-отрицательным и где у субъекта было диагностировано наличие легкого когнитивного нарушения, с промежуточной вероятностью обусловленного болезнью Альцгеймера. В некоторых вариантах осуществления вышеупомянутое уменьшение клинического ухудшения определяется после 1 месяца, 6 месяцев, 12 месяцев, 18 месяцев, 60 месяцев и/или 63 месяцев введения композиции, содержащей терапевтически эффективное количество по меньшей мере одного антитела к протофибриллам Aβ.

[382] В некоторых вариантах осуществления клиническое ухудшение уменьшается на 50-200%, как, например, на 60-180% или 65-170%, по сравнению с плацебо, как определяется с помощью ADAS-Cog, где субъект является ApoE4-отрицательным и где у субъекта было диагностировано наличие легкого когнитивного нарушения, с промежуточной вероятностью обусловленного болезнью Альцгеймера. В некоторых вариантах осуществления клиническое ухудшение уменьшается на по меньшей мере 50%, как, например, на по меньшей мере 55% или по меньшей мере 65%, по сравнению с плацебо, как определяется с помощью ADAS-Cog, где субъект является ApoE4-отрицательным и где у субъекта было диагностировано наличие легкого когнитивного нарушения, с промежуточной вероятностью обусловленного болезнью Альцгеймера. В некоторых вариантах осуществления клиническое ухудшение уменьшается на по меньшей мере 70%, как, например, на по меньшей мере 75% или по меньшей мере 80%, по сравнению с плацебо, как определяется с помощью ADAS-Cog, где субъект является ApoE4-отрицательным и где у субъекта было диагностировано наличие легкого когнитивного нарушения, с промежуточной вероятностью обусловленного болезнью Альцгеймера. В некоторых вариантах осуществления клиническое ухудшение уменьшается на по меньшей мере 150%, как, например, на по меньшей мере 160%, по сравнению с плацебо, как определяется с помощью ADAS-Cog, где субъект является ApoE4-отрицательным и где у субъекта было диагностировано наличие легкого когнитивного нарушения, с промежуточной вероятностью обусловленного болезнью Альцгеймера. В некоторых вариантах осуществления вышеупомянутое уменьшение клинического ухудшения определяется после 1 месяца, 6 месяцев, 12 месяцев, 18 месяцев, 60 месяцев и/или 63 месяцев введения композиции, содержащей терапевтически эффективное количество по меньшей мере одного антитела к протофибриллам Aβ.

[383] В некоторых вариантах осуществления клиническое ухудшение у ApoE4-отрицательного субъекта уменьшается на по меньшей мере 150%, как, например, на по меньшей мере 160%, по сравнению с плацебо, как определяется с помощью ADAS-Cog, после 6 месяцев введения композиции, содержащей терапевтически эффективное количество по меньшей мере одного антитела к протофибриллам Aβ. В некоторых вариантах осуществления клиническое ухудшение у ApoE4-отрицательного субъекта уменьшается на по меньшей мере 70%, как, например, на по меньшей мере 75% или по меньшей мере 80%, по сравнению с плацебо, как определяется с помощью ADAS-Cog, после 12 месяцев введения композиции, содержащей терапевтически эффективное количество по меньшей мере одного антитела к протофибриллам Aβ. В некоторых вариантах осуществления клиническое ухудшение у ApoE4-отрицательного субъекта уменьшается на по меньшей мере 50%, как, например, на по меньшей мере 60% или по меньшей мере 65%, по сравнению с плацебо, как определяется с помощью ADAS-Cog, после 18 месяцев введения композиции, содержащей терапевтически эффективное количество по меньшей мере одного антитела к протофибриллам Aβ. В некоторых вариантах осуществления композиция содержит 10 мг/кг по меньшей мере одного антитела к протофибриллам Aβ и вводится один раз в две недели или один раз в месяц. В некоторых вариантах осуществления по меньшей мере одно антитело к протофибриллам Aβ представляет собой BAN2401.

[384] В некоторых вариантах осуществления клиническое ухудшение уменьшается на по меньшей мере 1%, по меньшей мере 2%, по меньшей мере 3%, по меньшей мере 4% или по меньшей мере 5% по сравнению с плацебо, как определяется с помощью CDR-SB, где субъект является ApoE4-отрицательным и где у субъекта было диагностировано наличие легкого когнитивного нарушения, с промежуточной вероятностью обусловленного болезнью Альцгеймера. В некоторых вариантах осуществления вышеупомянутое уменьшение клинического ухудшения определяется после 1 месяца, 6 месяцев, 12 месяцев, 18 месяцев, 60 месяцев и/или 63 месяцев введения композиции, содержащей терапевтически эффективное количество по меньшей мере одного антитела к протофибриллам Aβ.

[385] В некоторых вариантах осуществления клиническое ухудшение уменьшается на по меньшей мере 5% по сравнению с плацебо, как определяется с помощью CDR-SB, где субъект является ApoE4-отрицательным и где у субъекта было диагностировано наличие легкого когнитивного нарушения, с промежуточной вероятностью обусловленного болезнью Альцгеймера. В некоторых вариантах осуществления вышеупомянутое уменьшение клинического ухудшения определяется после 1 месяца, 6 месяцев, 12 месяцев, 18 месяцев, 60 месяцев и/или 63 месяцев введения композиции, содержащей терапевтически эффективное количество по меньшей мере одного антитела к протофибриллам Aβ.

[386] В некоторых вариантах осуществления клиническое ухудшение уменьшается на по меньшей мере 1%, по меньшей мере 2%, по меньшей мере 3%, по меньшей мере 4%, по меньшей мере 5%, по меньшей мере 6%, по меньшей мере 7%, по меньшей мере 8%, по меньшей мере 9%, по меньшей мере 10%, по меньшей мере 11%, по меньшей мере 12% по сравнению с плацебо, как определяется с помощью CDR-SB, где субъект является ApoE4-отрицательным и где у субъекта было диагностировано наличие легкой деменции при болезни Альцгеймера. В некоторых вариантах осуществления вышеупомянутое уменьшение клинического ухудшения определяется после 1 месяца, 6 месяцев, 12 месяцев, 18 месяцев, 60 месяцев и/или 63 месяцев введения композиции, содержащей терапевтически эффективное количество по меньшей мере одного антитела к протофибриллам Aβ.

[387] В некоторых вариантах осуществления клиническое ухудшение уменьшается на по меньшей мере 10%, как, например, на по меньшей мере 12%, по сравнению с плацебо, как определяется с помощью CDR-SB, где субъект является ApoE4-отрицательным и где у субъекта было диагностировано наличие легкой деменции при болезни Альцгеймера. В некоторых вариантах осуществления вышеупомянутое уменьшение клинического ухудшения определяется после 1 месяца, 6 месяцев, 12 месяцев, 18 месяцев, 60 месяцев и/или 63 месяцев введения композиции, содержащей терапевтически эффективное количество по меньшей мере одного антитела к протофибриллам Aβ.

[388] В некоторых вариантах осуществления клиническое ухудшение уменьшается на 35-50% по сравнению с плацебо, как определяется с помощью ADCOMS, где субъекту не вводят параллельно по меньшей мере один лекарственный препарат для лечения болезни Альцгеймера, отличный от BAN2401. В некоторых вариантах осуществления клиническое ухудшение уменьшается на по меньшей мере 35%, как, например, на по меньшей мере 38%, по меньшей мере 40% или по меньшей мере 41%, по сравнению с плацебо, как определяется с помощью ADCOMS, где субъекту не вводят параллельно по меньшей мере один лекарственный препарат для лечения болезни Альцгеймера, отличный от BAN2401. В некоторых вариантах осуществления клиническое ухудшение уменьшается на по меньшей мере 41% по сравнению с плацебо, как определяется с помощью ADCOMS, где субъекту не вводят параллельно по меньшей мере один лекарственный препарат для лечения болезни Альцгеймера, отличный от BAN2401. В некоторых вариантах осуществления вышеупомянутое уменьшение клинического ухудшения определяется после 1 месяца, 6 месяцев, 12 месяцев, 18 месяцев, 60 месяцев и/или 63 месяцев введения композиции, содержащей терапевтически эффективное количество по меньшей мере одного антитела к протофибриллам Aβ, отличного от BAN2401.

[389] В некоторых вариантах осуществления клиническое ухудшение у субъекта, которому не вводят параллельно по меньшей мере один лекарственный препарат для лечения болезни Альцгеймера, отличный от BAN2401, уменьшается на по меньшей мере 41% по сравнению с плацебо, как определяется с помощью ADCOMS, после 18 месяцев введения композиции, содержащей терапевтически эффективное количество по меньшей мере одного антитела к протофибриллам Aβ. В некоторых вариантах осуществления композиция содержит 10 мг/кг по меньшей мере одного антитела к протофибриллам Aβ и вводится один раз в две недели или один раз в месяц. В некоторых вариантах осуществления по меньшей мере одно антитело к протофибриллам Aβ представляет собой BAN2401.

[390] В некоторых вариантах осуществления клиническое ухудшение уменьшается на по меньшей мере 1%, по меньшей мере 2%, по меньшей мере 3%, по меньшей мере 4%, по меньшей мере 5%, по меньшей мере 6%, по меньшей мере 7%, по меньшей мере 8%, по меньшей мере 9%, по меньшей мере 10%, по меньшей мере 11%, по меньшей мере 12%, по меньшей мере 13%, по меньшей мере 14%, по меньшей мере 15%, по меньшей мере 16%, по меньшей мере 17%, по меньшей мере 18%, по меньшей мере 19%, по меньшей мере 20%, по меньшей мере 21%, по меньшей мере 22%, по меньшей мере 23%, по меньшей мере 24%, по меньшей мере 25%, по меньшей мере 26%, по меньшей мере 27%, по меньшей мере 28%, по меньшей мере 29%, по меньшей мере 30%, по меньшей мере 31%, по меньшей мере 32%, по меньшей мере 33%, по меньшей мере 34%, по меньшей мере 35%, по меньшей мере 36%, по меньшей мере 37%, по меньшей мере 38%, по меньшей мере 39%, по меньшей мере 40%, по меньшей мере 41%, по меньшей мере 42%, по меньшей мере 43%, по меньшей мере 44%, по меньшей мере 45%, по меньшей мере 46%, по меньшей мере 47%, по меньшей мере 48%, по меньшей мере 49%, по меньшей мере 50%, по меньшей мере 51%, по меньшей мере 52%, по меньшей мере 53%, по меньшей мере 54%, по меньшей мере 55%, по меньшей мере 56%, по меньшей мере 57%, по меньшей мере 58% или по меньшей мере 59% по сравнению с плацебо, как определяется с помощью ADAS-Cog, где субъекту не вводят параллельно по меньшей мере один лекарственный препарат для лечения болезни Альцгеймера, отличный от BAN2401. В некоторых вариантах осуществления вышеупомянутое уменьшение клинического ухудшения определяется после 1 месяца, 6 месяцев, 12 месяцев, 18 месяцев, 60 месяцев и/или 63 месяцев введения композиции, содержащей терапевтически эффективное количество по меньшей мере одного антитела к протофибриллам Aβ.

[391] В некоторых вариантах осуществления клиническое ухудшение уменьшается на 50-70% по сравнению с плацебо, как определяется с помощью ADAS-Cog, где субъекту не вводят параллельно по меньшей мере один лекарственный препарат для лечения болезни Альцгеймера, отличный от BAN2401. В некоторых вариантах осуществления клиническое ухудшение уменьшается на по меньшей мере 50%, как, например, на по меньшей мере 55%, по меньшей мере 57% или по меньшей мере 59%, по сравнению с плацебо, как определяется с помощью ADAS-Cog, где субъекту не вводят параллельно по меньшей мере один лекарственный препарат для лечения болезни Альцгеймера, отличный от BAN2401. В некоторых вариантах осуществления клиническое ухудшение уменьшается на по меньшей мере 59% по сравнению с плацебо, как определяется с помощью ADAS-Cog, где субъекту не вводят параллельно по меньшей мере один лекарственный препарат для лечения болезни Альцгеймера. В некоторых вариантах осуществления вышеупомянутое уменьшение клинического ухудшения определяется после 1 месяца, 6 месяцев, 12 месяцев, 18 месяцев, 60 месяцев и/или 63 месяцев введения композиции, содержащей терапевтически эффективное количество по меньшей мере одного антитела к протофибриллам Aβ.

[392] В некоторых вариантах осуществления клиническое ухудшение у субъекта, которому не вводят параллельно по меньшей мере один лекарственный препарат для лечения болезни Альцгеймера, отличный от BAN2401, уменьшается на по меньшей мере 59% по сравнению с плацебо, как определяется с помощью ADAS-Cog, после 18 месяцев введения композиции, содержащей терапевтически эффективное количество по меньшей мере одного антитела к протофибриллам Aβ. В некоторых вариантах осуществления композиция содержит 10 мг/кг по меньшей мере одного антитела к протофибриллам Aβ и вводится один раз в две недели или один раз в месяц. В некоторых вариантах осуществления по меньшей мере одно антитело к протофибриллам Aβ представляет собой BAN2401.

[393] В некоторых вариантах осуществления клиническое ухудшение уменьшается на по меньшей мере 1%, по меньшей мере 2%, по меньшей мере 3%, по меньшей мере 4%, по меньшей мере 5%, по меньшей мере 6%, по меньшей мере 7%, по меньшей мере 8%, по меньшей мере 9%, по меньшей мере 10%, по меньшей мере 11%, по меньшей мере 12%, по меньшей мере 13%, по меньшей мере 14%, по меньшей мере 15%, по меньшей мере 16%, по меньшей мере 17%, по меньшей мере 18%, по меньшей мере 19%, по меньшей мере 20%, по меньшей мере 21%, по меньшей мере 22%, по меньшей мере 23%, по меньшей мере 24%, по меньшей мере 25%, по меньшей мере 26%, по меньшей мере 27%, по меньшей мере 28%, по меньшей мере 29%, по меньшей мере 30%, по меньшей мере 31%, по меньшей мере 32%, по меньшей мере 33%, по меньшей мере 34%, по меньшей мере 35%, по меньшей мере 36%, по меньшей мере 37%, по меньшей мере 38%, по меньшей мере 39%, по меньшей мере 40%, по меньшей мере 41%, по меньшей мере 42%, по меньшей мере 43%, по меньшей мере 44% или по меньшей мере 45% по сравнению с плацебо, как определяется с помощью CDR-SB, где субъекту не вводят параллельно по меньшей мере один лекарственный препарат для лечения болезни Альцгеймера, отличный от BAN2401. В некоторых вариантах осуществления вышеупомянутое уменьшение клинического ухудшения определяется после 1 месяца, 6 месяцев, 12 месяцев, 18 месяцев, 60 месяцев и/или 63 месяцев введения композиции, содержащей терапевтически эффективное количество по меньшей мере одного антитела к протофибриллам Aβ.

[394] В некоторых вариантах осуществления клиническое ухудшение уменьшается на 50-70% по сравнению с плацебо, как определяется с помощью ADAS-Cog, где субъекту не вводят параллельно по меньшей мере один лекарственный препарат для лечения болезни Альцгеймера, отличный от BAN2401. В некоторых вариантах осуществления клиническое ухудшение уменьшается на по меньшей мере 35%, как, например, на по меньшей мере 40%, по меньшей мере 42% или по меньшей мере 45%, по сравнению с плацебо, как определяется с помощью CDR-SB, где субъекту не вводят параллельно по меньшей мере один лекарственный препарат для лечения болезни Альцгеймера, отличный от BAN2401. В некоторых вариантах осуществления клиническое ухудшение уменьшается на по меньшей мере 45% по сравнению с плацебо, как определяется с помощью CDR-SB, где субъекту не вводят параллельно по меньшей мере один лекарственный препарат для лечения болезни Альцгеймера, отличный от BAN2401. В некоторых вариантах осуществления вышеупомянутое уменьшение клинического ухудшения определяется после 1 месяца, 6 месяцев, 12 месяцев, 18 месяцев, 60 месяцев и/или 63 месяцев введения композиции, содержащей терапевтически эффективное количество по меньшей мере одного антитела к протофибриллам Aβ.

[395] В некоторых вариантах осуществления клиническое ухудшение у субъекта, которому не вводят параллельно по меньшей мере один лекарственный препарат для лечения болезни Альцгеймера, отличный от BAN2401, уменьшается на по меньшей мере 45% по сравнению с плацебо, как определяется с помощью CDR-SB, после 18 месяцев введения композиции, содержащей терапевтически эффективное количество по меньшей мере одного антитела к протофибриллам Aβ. В некоторых вариантах осуществления композиция содержит 10 мг/кг по меньшей мере одного антитела к протофибриллам Aβ и вводится один раз в две недели или один раз в месяц. В некоторых вариантах осуществления по меньшей мере одно антитело к протофибриллам Aβ представляет собой BAN2401.

Лечение субъекта с болезнью Альцгеймера на ранней стадии, приводящее к уменьшению тяжести симптома по сравнению с тяжестью до лечения

[396] В данном документе предусмотрен способ лечения субъекта с болезнью Альцгеймера на ранней стадии, включающий введение указанному субъекту композиции, содержащей терапевтически эффективное количество по меньшей мере одного антитела к протофибриллам Aβ, раскрытого в данном документе, где тяжесть по меньшей мере одного симптома, ассоциированного с болезнью Альцгеймера, уменьшается на по меньшей мере 10%, 20%, 30%, 40%, 50%, 60%, 70%, 80%, 90% или 95% по сравнению с тяжестью того же симптома у того же субъекта до лечения. В некоторых вариантах осуществления у субъекта с болезнью Альцгеймера на ранней стадии было диагностировано наличие легкого когнитивного нарушения, с промежуточной вероятностью обусловленного болезнью Альцгеймера, и/или было диагностировано наличие легкой деменции при болезни Альцгеймера. В некоторых вариантах осуществления субъект с болезнью Альцгеймера на ранней стадии является ApoE4-положительным.

[397] В некоторых вариантах осуществления тяжесть по меньшей мере одного симптома, ассоциированного с болезнью Альцгеймера, уменьшается на по меньшей мере 1%. В некоторых вариантах осуществления тяжесть по меньшей мере одного симптома, ассоциированного с болезнью Альцгеймера, уменьшается на по меньшей мере 10%. В некоторых вариантах осуществления тяжесть по меньшей мере одного симптома, ассоциированного с болезнью Альцгеймера, уменьшается на по меньшей мере 20%. В некоторых вариантах осуществления тяжесть по меньшей мере одного симптома, ассоциированного с болезнью Альцгеймера, уменьшается на по меньшей мере 30%. В некоторых вариантах осуществления тяжесть по меньшей мере одного симптома, ассоциированного с болезнью Альцгеймера, уменьшается на по меньшей мере 40%. В некоторых вариантах осуществления тяжесть по меньшей мере одного симптома, ассоциированного с болезнью Альцгеймера, уменьшается на по меньшей мере 50%. В некоторых вариантах осуществления тяжесть по меньшей мере одного симптома, ассоциированного с болезнью Альцгеймера, уменьшается на по меньшей мере 60%. В некоторых вариантах осуществления тяжесть по меньшей мере одного симптома, ассоциированного с болезнью Альцгеймера, уменьшается на по меньшей мере 70%. В некоторых вариантах осуществления тяжесть по меньшей мере одного симптома, ассоциированного с болезнью Альцгеймера, уменьшается на по меньшей мере 80%. В некоторых вариантах осуществления тяжесть по меньшей мере одного симптома, ассоциированного с болезнью Альцгеймера, уменьшается на по меньшей мере 90%. В некоторых вариантах осуществления тяжесть по меньшей мере одного симптома, ассоциированного с болезнью Альцгеймера, уменьшается на по меньшей мере 95%.

[398] В некоторых вариантах осуществления вышеупомянутое уменьшение тяжести определяется после 1 месяца, 6 месяцев, 12 месяцев, 18 месяцев, 60 месяцев и/или 63 месяцев введения композиции, содержащей терапевтически эффективное количество по меньшей мере одного антитела к протофибриллам Aβ.

[399] В некоторых вариантах осуществления тяжесть по меньшей мере одного симптома, ассоциированного с болезнью Альцгеймера, определяется с помощью ADCOMS, PET, MMSE, CDR-SB и/или ADAS-Cog.

[400] В некоторых вариантах осуществления по меньшей мере один симптом, ассоциированный с болезнью Альцгеймера, выбран из клинического ухудшения и уровня амилоида в головном мозге.

[401] Любое из антител к протофибриллам Aβ, их терапевтически приемлемых количеств, схем введения их доз и содержащих их композиций, которые раскрыты в данном документе, можно применять в способе лечения субъекта с болезнью Альцгеймера на ранней стадии. Например, в некоторых вариантах осуществления композицию, содержащую 2,5 мг/кг, 5 мг/кг, 7,5 мг/кг или 10 мг/кг по меньшей мере одного антитела к протофибриллам Aβ, такого как BAN2401, по отношению к массе тела субъекта, вводят субъекту один раз в неделю, один раз в две недели, один раз в три недели, один раз в четыре недели или один раз в месяц.

[402] В некоторых вариантах осуществления по меньшей мере один симптом, ассоциированный с болезнью Альцгеймера, представляет собой клиническое ухудшение.

[403] В некоторых вариантах осуществления по меньшей мере один симптом, ассоциированный с болезнью Альцгеймера, представляет собой уровень амилоида в головном мозге.

[404] В некоторых вариантах осуществления уменьшение клинического ухудшения определяется после 1 месяца, 2 месяцев, 3 месяцев, 4 месяцев, 5 месяцев, 6 месяцев, 7 месяцев, 8 месяцев, 9 месяцев, 10 месяцев, 11 месяцев, 12 месяцев, 13 месяцев, 14 месяцев, 15 месяцев, 16 месяцев, 17 месяцев, 18 месяцев, 19 месяцев, 20 месяцев, 21 месяца, 22 месяцев, 23 месяцев, 24 месяцев, 30 месяцев, 36 месяцев, 42 месяцев, 48 месяцев, 54 месяцев, 60 месяцев, 63 месяцев, 66 месяцев и/или 72 месяцев введения композиции, содержащей терапевтически эффективное количество BAN2401. В некоторых вариантах осуществления уменьшение клинического ухудшения определяется после 1 месяца, 6 месяцев, 12 месяцев, 18 месяцев, 60 месяцев и/или 63 месяцев введения композиции, содержащей терапевтически эффективное количество BAN2401. В некоторых вариантах осуществления уменьшение клинического ухудшения определяется после 1 месяца введения композиции, содержащей терапевтически эффективное количество BAN2401. В некоторых вариантах осуществления уменьшение клинического ухудшения определяется после 6 месяцев введения композиции, содержащей терапевтически эффективное количество BAN2401. В некоторых вариантах осуществления уменьшение клинического ухудшения определяется после 12 месяцев введения композиции, содержащей терапевтически эффективное количество BAN2401. В некоторых вариантах осуществления уменьшение клинического ухудшения определяется после 18 месяцев введения композиции, содержащей терапевтически эффективное количество BAN2401. В некоторых вариантах осуществления уменьшение клинического ухудшения определяется после 60 месяцев введения композиции, содержащей терапевтически эффективное количество BAN2401. В некоторых вариантах осуществления уменьшение клинического ухудшения определяется после 63 месяцев введения композиции, содержащей терапевтически эффективное количество BAN2401.

[405] В некоторых вариантах осуществления субъект является ApoE4-положительным.

В некоторых вариантах осуществления субъект является ApoE4-отрицательным.

Лечение субъекта с болезнью Альцгеймера на ранней стадии, приводящее к уменьшению тяжести симптома по сравнению с тяжестью симптома у субъекта, получавшего лечение с помощью плацебо

[406] В данном документе предусмотрен способ лечения субъекта с болезнью Альцгеймера на ранней стадии, включающий введение указанному субъекту композиции, содержащей терапевтически эффективное количество по меньшей мере одного антитела к протофибриллам Aβ, раскрытого в данном документе, где тяжесть по меньшей мере одного симптома, ассоциированного с болезнью Альцгеймера, уменьшается на по меньшей мере 10%, 20%, 30%, 40%, 50%, 60%, 70%, 80%, 90% или 95% по сравнению с тяжестью того же симптома у субъектов, получавших плацебо. В некоторых вариантах осуществления у субъекта с болезнью Альцгеймера на ранней стадии было диагностировано наличие легкого когнитивного нарушения, с промежуточной вероятностью обусловленного болезнью Альцгеймера, и/или было диагностировано наличие легкой деменции при болезни Альцгеймера. В некоторых вариантах осуществления субъект с болезнью Альцгеймера на ранней стадии является ApoE4-положительным.

[407] В некоторых вариантах осуществления тяжесть по меньшей мере одного симптома, ассоциированного с болезнью Альцгеймера, уменьшается на по меньшей мере 1%. В некоторых вариантах осуществления тяжесть по меньшей мере одного симптома, ассоциированного с болезнью Альцгеймера, уменьшается на по меньшей мере 10%. В некоторых вариантах осуществления тяжесть по меньшей мере одного симптома, ассоциированного с болезнью Альцгеймера, уменьшается на по меньшей мере 20%. В некоторых вариантах осуществления тяжесть по меньшей мере одного симптома, ассоциированного с болезнью Альцгеймера, уменьшается на по меньшей мере 30%. В некоторых вариантах осуществления тяжесть по меньшей мере одного симптома, ассоциированного с болезнью Альцгеймера, уменьшается на по меньшей мере 40%. В некоторых вариантах осуществления тяжесть по меньшей мере одного симптома, ассоциированного с болезнью Альцгеймера, уменьшается на по меньшей мере 50%. В некоторых вариантах осуществления тяжесть по меньшей мере одного симптома, ассоциированного с болезнью Альцгеймера, уменьшается на по меньшей мере 60%. В некоторых вариантах осуществления тяжесть по меньшей мере одного симптома, ассоциированного с болезнью Альцгеймера, уменьшается на по меньшей мере 70%. В некоторых вариантах осуществления тяжесть по меньшей мере одного симптома, ассоциированного с болезнью Альцгеймера, уменьшается на по меньшей мере 80%. В некоторых вариантах осуществления тяжесть по меньшей мере одного симптома, ассоциированного с болезнью Альцгеймера, уменьшается на по меньшей мере 90%. В некоторых вариантах осуществления тяжесть по меньшей мере одного симптома, ассоциированного с болезнью Альцгеймера, уменьшается на по меньшей мере 95%.

[408] В некоторых вариантах осуществления вышеупомянутое уменьшение тяжести определяется после 1 месяца, 6 месяцев, 12 месяцев, 18 месяцев, 60 месяцев и/или 63 месяцев введения композиции, содержащей терапевтически эффективное количество по меньшей мере одного антитела к протофибриллам Aβ.

[409] В некоторых вариантах осуществления тяжесть по меньшей мере одного симптома, ассоциированного с болезнью Альцгеймера, определяется с помощью ADCOMS, PET, MMSE, CDR-SB и/или ADAS-Cog.

[410] В некоторых вариантах осуществления по меньшей мере один симптом, ассоциированный с болезнью Альцгеймера, выбран из клинического ухудшения и уровня амилоида в головном мозге.

[411] Любое из антител к протофибриллам Aβ, их терапевтически приемлемых количеств, схем введения их доз и содержащих их композиций, которые раскрыты в данном документе, можно применять в способе лечения субъекта с болезнью Альцгеймера на ранней стадии. Например, в некоторых вариантах осуществления композицию, содержащую 2,5 мг/кг, 5 мг/кг, 7,5 мг/кг или 10 мг/кг по меньшей мере одного антитела к протофибриллам Aβ, такого как BAN2401, по отношению к массе тела субъекта, вводят субъекту один раз в неделю, один раз в две недели, один раз в три недели, один раз в четыре недели или один раз в месяц.

[412] В некоторых вариантах осуществления по меньшей мере один симптом, ассоциированный с болезнью Альцгеймера, представляет собой клиническое ухудшение.

[413] В некоторых вариантах осуществления по меньшей мере один симптом, ассоциированный с болезнью Альцгеймера, представляет собой уровень амилоида в головном мозге.

[414] В некоторых вариантах осуществления клиническое ухудшение уменьшается на по меньшей мере 1%, по меньшей мере 2%, по меньшей мере 3%, по меньшей мере 4%, по меньшей мере 5%, по меньшей мере 6%, по меньшей мере 7%, по меньшей мере 8%, по меньшей мере 9%, по меньшей мере 10%, по меньшей мере 11%, по меньшей мере 12%, по меньшей мере 13%, по меньшей мере 14%, по меньшей мере 15%, по меньшей мере 16%, по меньшей мере 17%, по меньшей мере 18%, по меньшей мере 19%, по меньшей мере 20%, по меньшей мере 21%, по меньшей мере 22%, по меньшей мере 23%, по меньшей мере 24%, по меньшей мере 25%, по меньшей мере 26%, по меньшей мере 27%, по меньшей мере 28%, по меньшей мере 29%, по меньшей мере 30%, по меньшей мере 31%, по меньшей мере 32%, по меньшей мере 33%, по меньшей мере 34%, по меньшей мере 35%, по меньшей мере 36%, по меньшей мере 37%, по меньшей мере 38%, по меньшей мере 39%, по меньшей мере 40%, по меньшей мере 41%, по меньшей мере 42%, по меньшей мере 43%, по меньшей мере 44%, по меньшей мере 45% или по меньшей мере 46% по сравнению с плацебо, как определяется с помощью ADCOMS. В некоторых вариантах осуществления вышеупомянутое уменьшение клинического ухудшения определяется после 1 месяца, 6 месяцев, 12 месяцев, 18 месяцев, 60 месяцев и/или 63 месяцев введения композиции, содержащей терапевтически эффективное количество по меньшей мере одного антитела к протофибриллам Aβ.

[415] В некоторых вариантах осуществления клиническое ухудшение уменьшается на 20-35% по сравнению с плацебо, как определяется с помощью ADCOMS. В некоторых вариантах осуществления клиническое ухудшение уменьшается на 20-30% по сравнению с плацебо, как определяется с помощью ADCOMS. В некоторых вариантах осуществления клиническое ухудшение уменьшается на 27-35% по сравнению с плацебо, как определяется с помощью ADCOMS. В некоторых вариантах осуществления клиническое ухудшение уменьшается на по меньшей мере 20% по сравнению с плацебо, как определяется с помощью ADCOMS. В некоторых вариантах осуществления клиническое ухудшение уменьшается на по меньшей мере 35% по сравнению с плацебо, как определяется с помощью ADCOMS. В некоторых вариантах осуществления клиническое ухудшение уменьшается на по меньшей мере 20%, как определяется с помощью ADCOMS. В некоторых вариантах осуществления клиническое ухудшение уменьшается на по меньшей мере 30%, как определяется с помощью ADCOMS. В некоторых вариантах осуществления вышеупомянутое уменьшение клинического ухудшения определяется после 1 месяца, 6 месяцев, 12 месяцев, 18 месяцев, 60 месяцев и/или 63 месяцев введения композиции, содержащей терапевтически эффективное количество по меньшей мере одного антитела к протофибриллам Aβ.

[416] В некоторых вариантах осуществления клиническое ухудшение уменьшается на по меньшей мере 45% по сравнению с плацебо, как определяется с помощью ADCOMS, после 6 месяцев введения композиции, содержащей терапевтически эффективное количество по меньшей мере одного антитела к протофибриллам Aβ. В некоторых вариантах осуществления клиническое ухудшение уменьшается на по меньшей мере 35% по сравнению с плацебо, как определяется с помощью ADCOMS, после 12 месяцев введения композиции, содержащей терапевтически эффективное количество по меньшей мере одного антитела к протофибриллам Aβ. В некоторых вариантах осуществления клиническое ухудшение уменьшается на по меньшей мере 30% по сравнению с плацебо, как определяется с помощью ADCOMS, после 18 месяцев введения композиции, содержащей терапевтически эффективное количество по меньшей мере одного антитела к протофибриллам Aβ. В некоторых вариантах осуществления клиническое ухудшение уменьшается на по меньшей мере 46% по сравнению с плацебо, как определяется с помощью ADCOMS, после 18 месяцев введения композиции, содержащей терапевтически эффективное количество по меньшей мере одного антитела к протофибриллам Aβ. В некоторых вариантах осуществления композиция содержит 10 мг/кг по меньшей мере одного антитела к протофибриллам Aβ и вводится один раз в две недели или один раз в месяц. В некоторых вариантах осуществления по меньшей мере одно антитело к протофибриллам Aβ представляет собой BAN2401.

[417] В некоторых вариантах осуществления клиническое ухудшение уменьшается на по меньшей мере 1%, по меньшей мере 2%, по меньшей мере 3%, по меньшей мере 4%, по меньшей мере 5%, по меньшей мере 6%, по меньшей мере 7%, по меньшей мере 8%, по меньшей мере 9%, по меньшей мере 10%, по меньшей мере 11%, по меньшей мере 12%, по меньшей мере 13%, по меньшей мере 14%, по меньшей мере 15%, по меньшей мере 16%, по меньшей мере 17%, по меньшей мере 18%, по меньшей мере 19%, по меньшей мере 20%, по меньшей мере 21%, по меньшей мере 22%, по меньшей мере 23%, по меньшей мере 24%, по меньшей мере 25%, по меньшей мере 26%, по меньшей мере 27%, по меньшей мере 28%, по меньшей мере 29%, по меньшей мере 30%, по меньшей мере 31%, по меньшей мере 32%, по меньшей мере 33%, по меньшей мере 34%, по меньшей мере 35%, по меньшей мере 36%, по меньшей мере 37%, по меньшей мере 38%, по меньшей мере 39%, по меньшей мере 40%, по меньшей мере 41%, по меньшей мере 42%, по меньшей мере 43%, по меньшей мере 44%, по меньшей мере 45%, по меньшей мере 46%, по меньшей мере 47%, по меньшей мере 48%, по меньшей мере 49%, по меньшей мере 50%, по меньшей мере 51% или по меньшей мере 52% по сравнению с плацебо, как определяется с помощью ADCOMS, где у субъекта было диагностировано наличие легкого когнитивного нарушения, с промежуточной вероятностью обусловленного болезнью Альцгеймера. В некоторых вариантах осуществления вышеупомянутое уменьшение клинического ухудшения определяется после 1 месяца, 6 месяцев, 12 месяцев, 18 месяцев, 60 месяцев и/или 63 месяцев введения композиции, содержащей терапевтически эффективное количество по меньшей мере одного антитела к протофибриллам Aβ.

[418] В некоторых вариантах осуществления клиническое ухудшение уменьшается на 28-33% по сравнению с плацебо, как определяется с помощью ADCOMS, где у субъекта было диагностировано наличие легкого когнитивного нарушения, с промежуточной вероятностью обусловленного болезнью Альцгеймера. В некоторых вариантах осуществления клиническое ухудшение уменьшается на по меньшей мере 20%, как, например, на 25% или по меньшей мере 28%, по сравнению с плацебо, как определяется с помощью ADCOMS, где у субъекта было диагностировано наличие легкого когнитивного нарушения, с промежуточной вероятностью обусловленного болезнью Альцгеймера. В некоторых вариантах осуществления клиническое ухудшение уменьшается на по меньшей мере 25%, как, например, на по меньшей мере 30% или по меньшей мере 33%, по сравнению с плацебо, как определяется с помощью ADCOMS, где у субъекта было диагностировано наличие легкого когнитивного нарушения, с промежуточной вероятностью обусловленного болезнью Альцгеймера. В некоторых вариантах осуществления клиническое ухудшение уменьшается на по меньшей мере 25%, как, например, на по меньшей мере 30%, по меньшей мере 35%, по меньшей мере 40%, по меньшей мере 45%, по меньшей мере 50% или по меньшей мере 52%, по сравнению с плацебо, как определяется с помощью ADCOMS, где у субъекта было диагностировано наличие легкого когнитивного нарушения, с промежуточной вероятностью обусловленного болезнью Альцгеймера. В некоторых вариантах осуществления клиническое ухудшение уменьшается на по меньшей мере 52% по сравнению с плацебо, как определяется с помощью ADCOMS, где у субъекта было диагностировано наличие легкого когнитивного нарушения, с промежуточной вероятностью обусловленного болезнью Альцгеймера. В некоторых вариантах осуществления вышеупомянутое уменьшение клинического ухудшения определяется после 1 месяца, 6 месяцев, 12 месяцев, 18 месяцев, 60 месяцев и/или 63 месяцев введения композиции, содержащей терапевтически эффективное количество по меньшей мере одного антитела к протофибриллам Aβ.

[419] В некоторых вариантах осуществления клиническое ухудшение у субъекта, у которого диагностировано наличие легкого когнитивного нарушения, с промежуточной вероятностью обусловленного болезнью Альцгеймера, уменьшается на по меньшей мере 30% по сравнению с плацебо, как определяется с помощью ADCOMS, после 6 месяцев введения композиции, содержащей терапевтически эффективное количество по меньшей мере одного антитела к протофибриллам Aβ. В некоторых вариантах осуществления клиническое ухудшение у субъекта, у которого диагностировано наличие легкого когнитивного нарушения, с промежуточной вероятностью обусловленного болезнью Альцгеймера, уменьшается на по меньшей мере 25% по сравнению с плацебо, как определяется с помощью ADCOMS, после 12 месяцев введения композиции, содержащей терапевтически эффективное количество по меньшей мере одного антитела к протофибриллам Aβ. В некоторых вариантах осуществления клиническое ухудшение у субъекта, у которого диагностировано наличие легкого когнитивного нарушения, с промежуточной вероятностью обусловленного болезнью Альцгеймера, уменьшается на по меньшей мере 30% по сравнению с плацебо, как определяется с помощью ADCOMS, после 18 месяцев введения композиции, содержащей терапевтически эффективное количество по меньшей мере одного антитела к протофибриллам Aβ. В некоторых вариантах осуществления клиническое ухудшение у субъекта, у которого диагностировано наличие легкого когнитивного нарушения, с промежуточной вероятностью обусловленного болезнью Альцгеймера, уменьшается на по меньшей мере 52% по сравнению с плацебо, как определяется с помощью ADCOMS, после 18 месяцев введения композиции, содержащей терапевтически эффективное количество по меньшей мере одного антитела к протофибриллам Aβ. В некоторых вариантах осуществления композиция содержит 10 мг/кг по меньшей мере одного антитела к протофибриллам Aβ и вводится один раз в две недели или один раз в месяц. В некоторых вариантах осуществления по меньшей мере одно антитело к протофибриллам Aβ представляет собой BAN2401.

[420] В некоторых вариантах осуществления клиническое ухудшение уменьшается на по меньшей мере 1%, по меньшей мере 2%, по меньшей мере 3%, по меньшей мере 4%, по меньшей мере 5%, по меньшей мере 6%, по меньшей мере 7%, по меньшей мере 8%, по меньшей мере 9%, по меньшей мере 10%, по меньшей мере 11%, по меньшей мере 12%, по меньшей мере 13%, по меньшей мере 14%, по меньшей мере 15%, по меньшей мере 16%, по меньшей мере 17%, по меньшей мере 18%, по меньшей мере 19%, по меньшей мере 20%, по меньшей мере 21%, по меньшей мере 22%, по меньшей мере 23%, по меньшей мере 24%, по меньшей мере 25%, по меньшей мере 26%, по меньшей мере 27%, по меньшей мере 28%, по меньшей мере 29%, по меньшей мере 30%, по меньшей мере 31%, по меньшей мере 32% или по меньшей мере 33% по сравнению с плацебо, как определяется с помощью ADCOMS, где у субъекта было диагностировано наличие легкого когнитивного нарушения, с промежуточной вероятностью обусловленного болезнью Альцгеймера. В некоторых вариантах осуществления вышеупомянутое уменьшение клинического ухудшения определяется после 1 месяца, 6 месяцев, 12 месяцев, 18 месяцев, 60 месяцев и/или 63 месяцев введения композиции, содержащей терапевтически эффективное количество по меньшей мере одного антитела к протофибриллам Aβ.

[421] В некоторых вариантах осуществления клиническое ухудшение уменьшается на 28-38% по сравнению с плацебо, как определяется с помощью ADCOMS, где у субъекта было диагностировано наличие легкого когнитивного нарушения, с промежуточной вероятностью обусловленного болезнью Альцгеймера. В некоторых вариантах осуществления клиническое ухудшение уменьшается на по меньшей мере 20%, как, например, на по меньшей мере 25%, по меньшей мере 28% или по меньшей мере 33%, по сравнению с плацебо, как определяется с помощью ADCOMS, где у субъекта было диагностировано наличие легкого когнитивного нарушения, с промежуточной вероятностью обусловленного болезнью Альцгеймера. В некоторых вариантах осуществления клиническое ухудшение уменьшается на по меньшей мере 25%, как, например, на по меньшей мере 30% или по меньшей мере 33%, по сравнению с плацебо, как определяется с помощью ADCOMS, где у субъекта было диагностировано наличие легкого когнитивного нарушения, с промежуточной вероятностью обусловленного болезнью Альцгеймера. В некоторых вариантах осуществления клиническое ухудшение уменьшается на по меньшей мере 33% по сравнению с плацебо, как определяется с помощью ADCOMS, где у субъекта было диагностировано наличие легкого когнитивного нарушения, с промежуточной вероятностью обусловленного болезнью Альцгеймера. В некоторых вариантах осуществления вышеупомянутое уменьшение клинического ухудшения определяется после 1 месяца, 6 месяцев, 12 месяцев, 18 месяцев, 60 месяцев и/или 63 месяцев введения композиции, содержащей терапевтически эффективное количество по меньшей мере одного антитела к протофибриллам Aβ.

[422] В некоторых вариантах осуществления клиническое ухудшение у субъекта, у которого диагностировано наличие легкого когнитивного нарушения, с промежуточной вероятностью обусловленного болезнью Альцгеймера, уменьшается на по меньшей мере 33% по сравнению с плацебо, как определяется с помощью ADCOMS, после 18 месяцев введения композиции, содержащей терапевтически эффективное количество по меньшей мере одного антитела к протофибриллам Aβ. В некоторых вариантах осуществления композиция содержит 10 мг/кг по меньшей мере одного антитела к протофибриллам Aβ и вводится один раз в две недели или один раз в месяц. В некоторых вариантах осуществления по меньшей мере одно антитело к протофибриллам Aβ представляет собой BAN2401.

[423] В некоторых вариантах осуществления клиническое ухудшение уменьшается на по меньшей мере 1%, по меньшей мере 2%, по меньшей мере 3%, по меньшей мере 4%, по меньшей мере 5%, по меньшей мере 6%, по меньшей мере 7%, по меньшей мере 8%, по меньшей мере 9%, по меньшей мере 10%, по меньшей мере 11%, по меньшей мере 12%, по меньшей мере 13%, по меньшей мере 14%, по меньшей мере 15%, по меньшей мере 16%, по меньшей мере 17%, по меньшей мере 18%, по меньшей мере 19%, по меньшей мере 20%, по меньшей мере 21%, по меньшей мере 22%, по меньшей мере 23%, по меньшей мере 24%, по меньшей мере 25%, по меньшей мере 26%, по меньшей мере 27%, по меньшей мере 28%, по меньшей мере 29%, по меньшей мере 30%, по меньшей мере 31%, по меньшей мере 32%, по меньшей мере 33%, по меньшей мере 34%, по меньшей мере 35%, по меньшей мере 36%, по меньшей мере 37%, по меньшей мере 38%, по меньшей мере 39%, по меньшей мере 40%, по меньшей мере 41%, по меньшей мере 42%, по меньшей мере 43%, по меньшей мере 44%, по меньшей мере 45%, по меньшей мере 46%, по меньшей мере 47%, по меньшей мере 48%, по меньшей мере 49%, по меньшей мере 50%, по меньшей мере 51%, по меньшей мере 52%, по меньшей мере 53%, по меньшей мере 54%, по меньшей мере 55%, по меньшей мере 56%, по меньшей мере 57%, по меньшей мере 58%, по меньшей мере 59%, по меньшей мере 60%, по меньшей мере 61%, по меньшей мере 62%, по меньшей мере 63%, по меньшей мере 64%, по меньшей мере 65%, по меньшей мере 66%, по меньшей мере 67%, по меньшей мере 68%, по меньшей мере 69%, по меньшей мере 70%, по меньшей мере 71%, по меньшей мере 72%, по меньшей мере 73%, по меньшей мере 74%, по меньшей мере 75%, по меньшей мере 76%, по меньшей мере 77% или по меньшей мере 78% по сравнению с плацебо, как определяется с помощью ADCOMS, где у субъекта было диагностировано наличие легкой деменции при болезни Альцгеймера. В некоторых вариантах осуществления вышеупомянутое уменьшение клинического ухудшения определяется после 1 месяца, 6 месяцев, 12 месяцев, 18 месяцев, 60 месяцев и/или 63 месяцев введения композиции, содержащей терапевтически эффективное количество по меньшей мере одного антитела к протофибриллам Aβ.

[424] В некоторых вариантах осуществления клиническое ухудшение уменьшается на 20-80% по сравнению с плацебо, как определяется с помощью ADCOMS, где у субъекта было диагностировано наличие деменции при болезни Альцгеймера. В некоторых вариантах осуществления клиническое ухудшение уменьшается на 35-78% по сравнению с плацебо, как определяется с помощью ADCOMS, где у субъекта было диагностировано наличие деменции при болезни Альцгеймера. В некоторых вариантах осуществления клиническое ухудшение уменьшается на по меньшей мере 35% по сравнению с плацебо, как определяется с помощью ADCOMS, где у субъекта было диагностировано наличие легкой деменции при болезни Альцгеймера. В некоторых вариантах осуществления клиническое ухудшение уменьшается на по меньшей мере 50%, как, например, на по меньшей мере 52% или по меньшей мере 53%, по сравнению с плацебо, как определяется с помощью ADCOMS, где у субъекта было диагностировано наличие легкой деменции при болезни Альцгеймера. В некоторых вариантах осуществления клиническое ухудшение уменьшается на по меньшей мере 70%, как, например, на по меньшей мере 75% или по меньшей мере 78%, по сравнению с плацебо, как определяется с помощью ADCOMS, где у субъекта было диагностировано наличие легкой деменции при болезни Альцгеймера. В некоторых вариантах осуществления вышеупомянутое уменьшение клинического ухудшения определяется после 1 месяца, 6 месяцев, 12 месяцев, 18 месяцев, 60 месяцев и/или 63 месяцев введения композиции, содержащей терапевтически эффективное количество по меньшей мере одного антитела к протофибриллам Aβ.

[425] В некоторых вариантах осуществления клиническое ухудшение у субъекта, у которого диагностировано наличие легкой деменции при болезни Альцгеймера, уменьшается на по меньшей мере 70% по сравнению с плацебо, как определяется с помощью ADCOMS, после 6 месяцев введения композиции, содержащей терапевтически эффективное количество по меньшей мере одного антитела к протофибриллам Aβ. В некоторых вариантах осуществления клиническое ухудшение у субъекта, у которого диагностировано наличие легкой деменции при болезни Альцгеймера, уменьшается на по меньшей мере 50% по сравнению с плацебо, как определяется с помощью ADCOMS, после 12 месяцев введения композиции, содержащей терапевтически эффективное количество по меньшей мере одного антитела к протофибриллам Aβ. В некоторых вариантах осуществления клиническое ухудшение у субъекта, у которого диагностировано наличие легкой деменции при болезни Альцгеймера, уменьшается на по меньшей мере 30% по сравнению с плацебо, как определяется с помощью ADCOMS, после 18 месяцев введения композиции, содержащей терапевтически эффективное количество по меньшей мере одного антитела к протофибриллам Aβ. В некоторых вариантах осуществления клиническое ухудшение у субъекта, у которого диагностировано наличие легкой деменции при болезни Альцгеймера, уменьшается на по меньшей мере 52% по сравнению с плацебо, как определяется с помощью ADCOMS, после 18 месяцев введения композиции, содержащей терапевтически эффективное количество по меньшей мере одного антитела к протофибриллам Aβ. В некоторых вариантах осуществления композиция содержит 10 мг/кг по меньшей мере одного антитела к протофибриллам Aβ и вводится один раз в две недели или один раз в месяц. В некоторых вариантах осуществления по меньшей мере одно антитело к протофибриллам Aβ представляет собой BAN2401.

[426] В некоторых вариантах осуществления клиническое ухудшение уменьшается на по меньшей мере 1%, по меньшей мере 2%, по меньшей мере 3%, по меньшей мере 4%, по меньшей мере 5%, по меньшей мере 6%, по меньшей мере 7%, по меньшей мере 8%, по меньшей мере 9%, по меньшей мере 10%, по меньшей мере 11%, по меньшей мере 12%, по меньшей мере 13%, по меньшей мере 14%, по меньшей мере 15%, по меньшей мере 16%, по меньшей мере 17%, по меньшей мере 18%, по меньшей мере 19%, по меньшей мере 20%, по меньшей мере 21%, по меньшей мере 22%, по меньшей мере 23%, по меньшей мере 24%, по меньшей мере 25%, по меньшей мере 26%, по меньшей мере 27%, по меньшей мере 28%, по меньшей мере 29%, по меньшей мере 30%, по меньшей мере 31%, по меньшей мере 32%, по меньшей мере 33%, по меньшей мере 34% или по меньшей мере 35% по сравнению с плацебо, как определяется с помощью ADCOMS, где у субъекта было диагностировано наличие легкой деменции при болезни Альцгеймера. В некоторых вариантах осуществления вышеупомянутое уменьшение клинического ухудшения определяется после 1 месяца, 6 месяцев, 12 месяцев, 18 месяцев, 60 месяцев и/или 63 месяцев введения композиции, содержащей терапевтически эффективное количество по меньшей мере одного антитела к протофибриллам Aβ.

[427] В некоторых вариантах осуществления клиническое ухудшение уменьшается на 28-38% по сравнению с плацебо, как определяется с помощью ADCOMS, где у субъекта было диагностировано наличие легкой деменции при болезни Альцгеймера. В некоторых вариантах осуществления клиническое ухудшение уменьшается на по меньшей мере 20%, как, например, на по меньшей мере 25%, по меньшей мере 28% или по меньшей мере 35%, по сравнению с плацебо, как определяется с помощью ADCOMS, где у субъекта было диагностировано наличие легкой деменции при болезни Альцгеймера. В некоторых вариантах осуществления клиническое ухудшение уменьшается на по меньшей мере 25%, как, например, на по меньшей мере 30% или по меньшей мере 35%, по сравнению с плацебо, как определяется с помощью ADCOMS, где у субъекта было диагностировано наличие легкой деменции при болезни Альцгеймера. В некоторых вариантах осуществления клиническое ухудшение уменьшается на по меньшей мере 35% по сравнению с плацебо, как определяется с помощью ADCOMS, где у субъекта было диагностировано наличие легкой деменции при болезни Альцгеймера. В некоторых вариантах осуществления вышеупомянутое уменьшение клинического ухудшения определяется после 1 месяца, 6 месяцев, 12 месяцев, 18 месяцев, 60 месяцев и/или 63 месяцев введения композиции, содержащей терапевтически эффективное количество по меньшей мере одного антитела к протофибриллам Aβ.

[428] В некоторых вариантах осуществления клиническое ухудшение у субъекта, у которого диагностировано наличие легкой деменции при болезни Альцгеймера, уменьшается на по меньшей мере 35% по сравнению с плацебо, как определяется с помощью ADCOMS, после 18 месяцев введения композиции, содержащей терапевтически эффективное количество по меньшей мере одного антитела к протофибриллам Aβ. В некоторых вариантах осуществления композиция содержит 10 мг/кг по меньшей мере одного антитела к протофибриллам Aβ и вводится один раз в две недели или один раз в месяц. В некоторых вариантах осуществления по меньшей мере одно антитело к протофибриллам Aβ представляет собой BAN2401.

[429] В некоторых вариантах осуществления клиническое ухудшение уменьшается на по меньшей мере 1%, по меньшей мере 2%, по меньшей мере 3%, по меньшей мере 4%, по меньшей мере 5%, по меньшей мере 6%, по меньшей мере 7%, по меньшей мере 8%, по меньшей мере 9%, по меньшей мере 10%, по меньшей мере 11%, по меньшей мере 12%, по меньшей мере 13%, по меньшей мере 14%, по меньшей мере 15%, по меньшей мере 16%, по меньшей мере 17%, по меньшей мере 18%, по меньшей мере 19%, по меньшей мере 20%, по меньшей мере 21%, по меньшей мере 22%, по меньшей мере 23%, по меньшей мере 24%, по меньшей мере 25%, по меньшей мере 26%, по меньшей мере 27%, по меньшей мере 28%, по меньшей мере 29%, по меньшей мере 30%, по меньшей мере 31%, по меньшей мере 32%, по меньшей мере 33%, по меньшей мере 34%, по меньшей мере 35%, по меньшей мере 36%, по меньшей мере 37%, по меньшей мере 38%, по меньшей мере 39%, по меньшей мере 40%, по меньшей мере 41%, по меньшей мере 42%, по меньшей мере 43%, по меньшей мере 44%, по меньшей мере 45%, по меньшей мере 46%, по меньшей мере 47%, по меньшей мере 48%, по меньшей мере 49%, по меньшей мере 50%, по меньшей мере 51%, по меньшей мере 52%, по меньшей мере 53%, по меньшей мере 54%, по меньшей мере 55%, по меньшей мере 56%, по меньшей мере 57%, по меньшей мере 58%, по меньшей мере 59%, по меньшей мере 60%, по меньшей мере 61%, по меньшей мере 62%, по меньшей мере 63%, по меньшей мере 64%, по меньшей мере 65%, по меньшей мере 66%, по меньшей мере 67%, по меньшей мере 68%, по меньшей мере 69%, по меньшей мере 70%, по меньшей мере 75%, по меньшей мере 80%, по меньшей мере 85%, по меньшей мере 90%, по меньшей мере 95%, по меньшей мере 100%, по меньшей мере 110%, по меньшей мере 120%, по меньшей мере 130%, по меньшей мере 140% или по меньшей мере 150% по сравнению с плацебо, как определяется с помощью ADAS-Cog. В некоторых вариантах осуществления вышеупомянутое уменьшение клинического ухудшения определяется после 1 месяца, 6 месяцев, 12 месяцев, 18 месяцев, 60 месяцев и/или 63 месяцев введения композиции, содержащей терапевтически эффективное количество по меньшей мере одного антитела к протофибриллам Aβ.

[430] В некоторых вариантах осуществления клиническое ухудшение уменьшается на 40-150% по сравнению с плацебо, как определяется с помощью ADAS-Cog. В некоторых вариантах осуществления клиническое ухудшение уменьшается на 45-145% по сравнению с плацебо, как определяется с помощью ADAS-Cog. В некоторых вариантах осуществления клиническое ухудшение уменьшается на 45-55% по сравнению с плацебо, как определяется с помощью ADAS-Cog. В некоторых вариантах осуществления клиническое ухудшение уменьшается на по меньшей мере 30% по сравнению с плацебо, как определяется с помощью ADAS-Cog. В некоторых вариантах осуществления клиническое ухудшение уменьшается на по меньшей мере 35% по сравнению с плацебо, как определяется с помощью ADAS-Cog. В некоторых вариантах осуществления клиническое ухудшение уменьшается на по меньшей мере 40%, как определяется с помощью ADAS-Cog. В некоторых вариантах осуществления клиническое ухудшение уменьшается на по меньшей мере 45%, как определяется с помощью ADAS-Cog. В некоторых вариантах осуществления клиническое ухудшение уменьшается на по меньшей мере 47%, как определяется с помощью ADAS-Cog. В некоторых вариантах осуществления вышеупомянутое уменьшение клинического ухудшения определяется после 1 месяца, 6 месяцев, 12 месяцев, 18 месяцев, 60 месяцев и/или 63 месяцев введения композиции, содержащей терапевтически эффективное количество по меньшей мере одного антитела к протофибриллам Aβ.

[431] В некоторых вариантах осуществления клиническое ухудшение уменьшается на по меньшей мере 100%, как, например, на по меньшей мере 120% или по меньшей мере 140%, по сравнению с плацебо, как определяется с помощью ADAS-Cog, после 6 месяцев введения композиции, содержащей терапевтически эффективное количество по меньшей мере одного антитела к протофибриллам Aβ. В некоторых вариантах осуществления клиническое ухудшение уменьшается на по меньшей мере 40%, как, например, на по меньшей мере 45%, по сравнению с плацебо, как определяется с помощью ADAS-Cog, после 12 месяцев введения композиции, содержащей терапевтически эффективное количество по меньшей мере одного антитела к протофибриллам Aβ. В некоторых вариантах осуществления клиническое ухудшение уменьшается на по меньшей мере 40%, как, например, на по меньшей мере 45%, по сравнению с плацебо, как определяется с помощью ADAS-Cog, после 18 месяцев введения композиции, содержащей терапевтически эффективное количество по меньшей мере одного антитела к протофибриллам Aβ. В некоторых вариантах осуществления клиническое ухудшение уменьшается на по меньшей мере 47% по сравнению с плацебо, как определяется с помощью ADAS-Cog, после 18 месяцев введения композиции, содержащей терапевтически эффективное количество по меньшей мере одного антитела к протофибриллам Aβ. В некоторых вариантах осуществления композиция содержит 10 мг/кг по меньшей мере одного антитела к протофибриллам Aβ и вводится один раз в две недели или один раз в месяц. В некоторых вариантах осуществления по меньшей мере одно антитело к протофибриллам Aβ представляет собой BAN2401.

[432] В некоторых вариантах осуществления клиническое ухудшение уменьшается на по меньшей мере 1%, по меньшей мере 2%, по меньшей мере 3%, по меньшей мере 4%, по меньшей мере 5%, по меньшей мере 6%, по меньшей мере 7%, по меньшей мере 8%, по меньшей мере 9%, по меньшей мере 10%, по меньшей мере 11%, по меньшей мере 12%, по меньшей мере 13%, по меньшей мере 14%, по меньшей мере 15%, по меньшей мере 16%, по меньшей мере 17%, по меньшей мере 18%, по меньшей мере 19%, по меньшей мере 20%, по меньшей мере 21%, по меньшей мере 22%, по меньшей мере 23%, по меньшей мере 24%, по меньшей мере 25%, по меньшей мере 26%, по меньшей мере 27%, по меньшей мере 28%, по меньшей мере 29%, по меньшей мере 30%, по меньшей мере 31%, по меньшей мере 32%, по меньшей мере 33%, по меньшей мере 34%, по меньшей мере 35%, по меньшей мере 36%, по меньшей мере 37%, по меньшей мере 38%, по меньшей мере 39%, по меньшей мере 40%, по меньшей мере 41%, по меньшей мере 42%, по меньшей мере 43%, по меньшей мере 44%, по меньшей мере 45%, по меньшей мере 56%, по меньшей мере 47%, по меньшей мере 48%, по меньшей мере 49%, по меньшей мере 50%, по меньшей мере 51%, по меньшей мере 52%, по меньшей мере 53%, по меньшей мере 54%, по меньшей мере 55%, по меньшей мере 56%, по меньшей мере 57% или по меньшей мере 58% по сравнению с плацебо, как определяется с помощью ADAS-Cog, где у субъекта было диагностировано наличие легкого когнитивного нарушения, с промежуточной вероятностью обусловленного болезнью Альцгеймера. В некоторых вариантах осуществления вышеупомянутое уменьшение клинического ухудшения определяется после 1 месяца, 6 месяцев, 12 месяцев, 18 месяцев, 60 месяцев и/или 63 месяцев введения композиции, содержащей терапевтически эффективное количество по меньшей мере одного антитела к протофибриллам Aβ.

[433] В некоторых вариантах осуществления клиническое ухудшение уменьшается на 50-70% по сравнению с плацебо, как определяется с помощью ADAS-Cog, где у субъекта было диагностировано наличие легкого когнитивного нарушения, с промежуточной вероятностью обусловленного болезнью Альцгеймера. В некоторых вариантах осуществления клиническое ухудшение уменьшается на по меньшей мере 50%, как, например, на по меньшей мере 52%, по меньшей мере 55% или по меньшей мере 58%, по сравнению с плацебо, как определяется с помощью ADAS-Cog, где у субъекта было диагностировано наличие легкого когнитивного нарушения, с промежуточной вероятностью обусловленного болезнью Альцгеймера. В некоторых вариантах осуществления клиническое ухудшение уменьшается на по меньшей мере 58% по сравнению с плацебо, как определяется с помощью ADAS-Cog, где у субъекта было диагностировано наличие легкого когнитивного нарушения, с промежуточной вероятностью обусловленного болезнью Альцгеймера. В некоторых вариантах осуществления вышеупомянутое уменьшение клинического ухудшения определяется после 1 месяца, 6 месяцев, 12 месяцев, 18 месяцев, 60 месяцев и/или 63 месяцев введения композиции, содержащей терапевтически эффективное количество по меньшей мере одного антитела к протофибриллам Aβ.

[434] В некоторых вариантах осуществления клиническое ухудшение у субъекта, у которого диагностировано наличие легкого когнитивного нарушения, с промежуточной вероятностью обусловленного болезнью Альцгеймера, уменьшается на по меньшей мере 58% по сравнению с плацебо, как определяется с помощью ADAS-Cog, после 18 месяцев введения композиции, содержащей терапевтически эффективное количество по меньшей мере одного антитела к протофибриллам Aβ. В некоторых вариантах осуществления композиция содержит 10 мг/кг по меньшей мере одного антитела к протофибриллам Aβ и вводится один раз в две недели или один раз в месяц. В некоторых вариантах осуществления по меньшей мере одно антитело к протофибриллам Aβ представляет собой BAN2401.

[435] В некоторых вариантах осуществления клиническое ухудшение уменьшается на по меньшей мере 1%, по меньшей мере 2%, по меньшей мере 3%, по меньшей мере 4%, по меньшей мере 5%, по меньшей мере 6%, по меньшей мере 7%, по меньшей мере 8%, по меньшей мере 9%, по меньшей мере 10%, по меньшей мере 11%, по меньшей мере 12%, по меньшей мере 13%, по меньшей мере 14%, по меньшей мере 15%, по меньшей мере 16%, по меньшей мере 17%, по меньшей мере 18%, по меньшей мере 19%, по меньшей мере 20%, по меньшей мере 21%, по меньшей мере 22%, по меньшей мере 23%, по меньшей мере 24%, по меньшей мере 25%, по меньшей мере 26%, по меньшей мере 27%, по меньшей мере 28%, по меньшей мере 29%, по меньшей мере 30%, по меньшей мере 31%, по меньшей мере 32%, по меньшей мере 33%, по меньшей мере 34%, по меньшей мере 35%, по меньшей мере 36%, по меньшей мере 37%, по меньшей мере 38%, по меньшей мере 39%, по меньшей мере 40% или по меньшей мере 41% по сравнению с плацебо, как определяется с помощью ADAS-Cog, где у субъекта было диагностировано наличие легкой деменции при болезни Альцгеймера. В некоторых вариантах осуществления вышеупомянутое уменьшение клинического ухудшения определяется после 1 месяца, 6 месяцев, 12 месяцев, 18 месяцев, 60 месяцев и/или 63 месяцев введения композиции, содержащей терапевтически эффективное количество по меньшей мере одного антитела к протофибриллам Aβ.

[436] В некоторых вариантах осуществления клиническое ухудшение уменьшается на 30-50% по сравнению с плацебо, как определяется с помощью ADAS-Cog, где у субъекта было диагностировано наличие легкой деменции при болезни Альцгеймера. В некоторых вариантах осуществления клиническое ухудшение уменьшается на по меньшей мере 35%, как, например, на по меньшей мере 38%, по меньшей мере 40% или по меньшей мере 41%, по сравнению с плацебо, как определяется с помощью ADAS-Cog, где у субъекта было диагностировано наличие легкой деменции при болезни Альцгеймера. В некоторых вариантах осуществления клиническое ухудшение уменьшается на по меньшей мере 41% по сравнению с плацебо, как определяется с помощью ADAS-Cog, где у субъекта было диагностировано наличие легкой деменции при болезни Альцгеймера. В некоторых вариантах осуществления вышеупомянутое уменьшение клинического ухудшения определяется после 1 месяца, 6 месяцев, 12 месяцев, 18 месяцев, 60 месяцев и/или 63 месяцев введения композиции, содержащей терапевтически эффективное количество по меньшей мере одного антитела к протофибриллам Aβ.

[437] В некоторых вариантах осуществления клиническое ухудшение у субъекта, у которого диагностировано наличие легкой деменции при болезни Альцгеймера, уменьшается на по меньшей мере 41% по сравнению с плацебо, как определяется с помощью ADAS-Cog, после 18 месяцев введения композиции, содержащей терапевтически эффективное количество по меньшей мере одного антитела к протофибриллам Aβ. В некоторых вариантах осуществления композиция содержит 10 мг/кг по меньшей мере одного антитела к протофибриллам Aβ и вводится один раз в две недели или один раз в месяц. В некоторых вариантах осуществления по меньшей мере одно антитело к протофибриллам Aβ представляет собой BAN2401.

[438] В некоторых вариантах осуществления клиническое ухудшение уменьшается на по меньшей мере 1%, по меньшей мере 2%, по меньшей мере 3%, по меньшей мере 4%, по меньшей мере 5%, по меньшей мере 6%, по меньшей мере 7%, по меньшей мере 8%, по меньшей мере 9%, по меньшей мере 10%, по меньшей мере 11%, по меньшей мере 12%, по меньшей мере 13%, по меньшей мере 14%, по меньшей мере 15%, по меньшей мере 16%, по меньшей мере 17%, по меньшей мере 18%, по меньшей мере 19%, по меньшей мере 20%, по меньшей мере 21%, по меньшей мере 22%, по меньшей мере 23%, по меньшей мере 24%, по меньшей мере 25%, по меньшей мере 26%, по меньшей мере 27%, по меньшей мере 28%, по меньшей мере 29%, по меньшей мере 30%, по меньшей мере 31%, по меньшей мере 32%, по меньшей мере 33%, по меньшей мере 34%, по меньшей мере 35%, по меньшей мере 36%, по меньшей мере 37%, по меньшей мере 38%, по меньшей мере 39% или по меньшей мере 40% по сравнению с плацебо, как определяется с помощью CDR-SB. В некоторых вариантах осуществления вышеупомянутое уменьшение клинического ухудшения определяется после 1 месяца, 6 месяцев, 12 месяцев, 18 месяцев, 60 месяцев и/или 63 месяцев введения композиции, содержащей терапевтически эффективное количество по меньшей мере одного антитела к протофибриллам Aβ.

[439] В некоторых вариантах осуществления клиническое ухудшение уменьшается на 20-60% по сравнению с плацебо, как определяется с помощью CDR-SB. В некоторых вариантах осуществления клиническое ухудшение уменьшается на 25-60% по сравнению с плацебо, как определяется с помощью CDR-SB. В некоторых вариантах осуществления клиническое ухудшение уменьшается на 25-50% по сравнению с плацебо, как определяется с помощью CDR-SB. В некоторых вариантах осуществления клиническое ухудшение уменьшается на по меньшей мере 20% по сравнению с плацебо, как определяется с помощью CDR-SB. В некоторых вариантах осуществления клиническое ухудшение уменьшается на по меньшей мере 30% по сравнению с плацебо, как определяется с помощью CDR-SB. В некоторых вариантах осуществления клиническое ухудшение уменьшается на по меньшей мере 25%, как, например, на по меньшей мере 26% или по меньшей мере 28%, как определяется с помощью CDR-SB. В некоторых вариантах осуществления клиническое ухудшение уменьшается на по меньшей мере 30%, как, например, на по меньшей мере 35% или по меньшей мере 38%, как определяется с помощью CDR-SB. В некоторых вариантах осуществления вышеупомянутое уменьшение клинического ухудшения определяется после 1 месяца, 6 месяцев, 12 месяцев, 18 месяцев, 60 месяцев и/или 63 месяцев введения композиции, содержащей терапевтически эффективное количество по меньшей мере одного антитела к протофибриллам Aβ.

[440] В некоторых вариантах осуществления клиническое ухудшение уменьшается на по меньшей мере 30%, как, например, на по меньшей мере 35% или по меньшей мере 40%, по сравнению с плацебо, как определяется с помощью CDR-SB, после 6 месяцев введения композиции, содержащей терапевтически эффективное количество по меньшей мере одного антитела к протофибриллам Aβ. В некоторых вариантах осуществления клиническое ухудшение уменьшается на по меньшей мере 30%, как, например, на по меньшей мере 35% или по меньшей мере 45%, по сравнению с плацебо, как определяется с помощью CDR-SB, после 12 месяцев введения композиции, содержащей терапевтически эффективное количество по меньшей мере одного антитела к протофибриллам Aβ. В некоторых вариантах осуществления клиническое ухудшение уменьшается на по меньшей мере 20%, как, например, на по меньшей мере 25%, по сравнению с плацебо, как определяется с помощью CDR-SB, после 18 месяцев введения композиции, содержащей терапевтически эффективное количество по меньшей мере одного антитела к протофибриллам Aβ. В некоторых вариантах осуществления композиция содержит 10 мг/кг по меньшей мере одного антитела к протофибриллам Aβ и вводится один раз в две недели или один раз в месяц. В некоторых вариантах осуществления по меньшей мере одно антитело к протофибриллам Aβ представляет собой BAN2401.

[441] В некоторых вариантах осуществления клиническое ухудшение уменьшается на по меньшей мере 1%, по меньшей мере 2%, по меньшей мере 3%, по меньшей мере 4%, по меньшей мере 5%, по меньшей мере 6%, по меньшей мере 7%, по меньшей мере 8%, по меньшей мере 9%, по меньшей мере 10%, по меньшей мере 11%, по меньшей мере 12%, по меньшей мере 13% или по меньшей мере 14% по сравнению с плацебо, как определяется с помощью CDR-SB, где у субъекта было диагностировано наличие легкого когнитивного нарушения, с промежуточной вероятностью обусловленного болезнью Альцгеймера. В некоторых вариантах осуществления вышеупомянутое уменьшение клинического ухудшения определяется после 1 месяца, 6 месяцев, 12 месяцев, 18 месяцев, 60 месяцев и/или 63 месяцев введения композиции, содержащей терапевтически эффективное количество по меньшей мере одного антитела к протофибриллам Aβ.

[442] В некоторых вариантах осуществления клиническое ухудшение уменьшается на 10-20% по сравнению с плацебо, как определяется с помощью CDR-SB, где у субъекта было диагностировано наличие легкого когнитивного нарушения, с промежуточной вероятностью обусловленного болезнью Альцгеймера. В некоторых вариантах осуществления клиническое ухудшение уменьшается на по меньшей мере 5%, как, например, на по меньшей мере 10%, по меньшей мере 12% или по меньшей мере 14%, по сравнению с плацебо, как определяется с помощью CDR-SB, где у субъекта было диагностировано наличие легкого когнитивного нарушения, с промежуточной вероятностью обусловленного болезнью Альцгеймера. В некоторых вариантах осуществления клиническое ухудшение уменьшается на по меньшей мере 14% по сравнению с плацебо, как определяется с помощью CDR-SB, где у субъекта было диагностировано наличие легкого когнитивного нарушения, с промежуточной вероятностью обусловленного болезнью Альцгеймера. В некоторых вариантах осуществления вышеупомянутое уменьшение клинического ухудшения определяется после 1 месяца, 6 месяцев, 12 месяцев, 18 месяцев, 60 месяцев и/или 63 месяцев введения композиции, содержащей терапевтически эффективное количество по меньшей мере одного антитела к протофибриллам Aβ.

[443] В некоторых вариантах осуществления клиническое ухудшение у субъекта, у которого диагностировано наличие легкого когнитивного нарушения, с промежуточной вероятностью обусловленного болезнью Альцгеймера, уменьшается на по меньшей мере 14% по сравнению с плацебо, как определяется с помощью CDR-SB, после 18 месяцев введения композиции, содержащей терапевтически эффективное количество по меньшей мере одного антитела к протофибриллам Aβ. В некоторых вариантах осуществления композиция содержит 10 мг/кг по меньшей мере одного антитела к протофибриллам Aβ и вводится один раз в две недели или один раз в месяц. В некоторых вариантах осуществления по меньшей мере одно антитело к протофибриллам Aβ представляет собой BAN2401.

[444] В некоторых вариантах осуществления клиническое ухудшение уменьшается на по меньшей мере 1%, по меньшей мере 2%, по меньшей мере 3%, по меньшей мере 4%, по меньшей мере 5%, по меньшей мере 6%, по меньшей мере 7%, по меньшей мере 8%, по меньшей мере 9%, по меньшей мере 10%, по меньшей мере 11%, по меньшей мере 12%, по меньшей мере 13%, по меньшей мере 14%, по меньшей мере 15%, по меньшей мере 16%, по меньшей мере 17%, по меньшей мере 18%, по меньшей мере 19%, по меньшей мере 20%, по меньшей мере 21%, по меньшей мере 22%, по меньшей мере 23%, по меньшей мере 24%, по меньшей мере 25%, по меньшей мере 26%, по меньшей мере 27%, по меньшей мере 28%, по меньшей мере 29%, по меньшей мере 30%, по меньшей мере 31%, по меньшей мере 32%, по меньшей мере 33%, по меньшей мере 34%, по меньшей мере 35%, по меньшей мере 36%, по меньшей мере 37%, по меньшей мере 38%, по меньшей мере 39%, по меньшей мере 40%, по меньшей мере 41%, по меньшей мере 42%, по меньшей мере 43%, по меньшей мере 44%, по меньшей мере 45%, по меньшей мере 46%, по меньшей мере 47%, по меньшей мере 48%, по меньшей мере 49%, по меньшей мере 50% или по меньшей мере 51% по сравнению с плацебо, как определяется с помощью CDR-SB, где у субъекта было диагностировано наличие легкой деменции при болезни Альцгеймера. В некоторых вариантах осуществления вышеупомянутое уменьшение клинического ухудшения определяется после 1 месяца, 6 месяцев, 12 месяцев, 18 месяцев, 60 месяцев и/или 63 месяцев введения композиции, содержащей терапевтически эффективное количество по меньшей мере одного антитела к протофибриллам Aβ.

[445] В некоторых вариантах осуществления клиническое ухудшение уменьшается на 40-60% по сравнению с плацебо, как определяется с помощью CDR-SB, где у субъекта было диагностировано наличие легкой деменции при болезни Альцгеймера. В некоторых вариантах осуществления клиническое ухудшение уменьшается на по меньшей мере 45%, как, например, на по меньшей мере 48%, по меньшей мере 50% или по меньшей мере 51%, по сравнению с плацебо, как определяется с помощью CDR-SB, где у субъекта было диагностировано наличие легкой деменции при болезни Альцгеймера. В некоторых вариантах осуществления клиническое ухудшение уменьшается на по меньшей мере 51% по сравнению с плацебо, как определяется с помощью CDR-SB, где у субъекта было диагностировано наличие легкой деменции при болезни Альцгеймера. В некоторых вариантах осуществления вышеупомянутое уменьшение клинического ухудшения определяется после 1 месяца, 6 месяцев, 12 месяцев, 18 месяцев, 60 месяцев и/или 63 месяцев введения композиции, содержащей терапевтически эффективное количество по меньшей мере одного антитела к протофибриллам Aβ.

[446] В некоторых вариантах осуществления клиническое ухудшение у субъекта, у которого диагностировано наличие легкой деменции при болезни Альцгеймера, уменьшается на по меньшей мере 51% по сравнению с плацебо, как определяется с помощью CDR-SB, после 18 месяцев введения композиции, содержащей терапевтически эффективное количество по меньшей мере одного антитела к протофибриллам Aβ. В некоторых вариантах осуществления композиция содержит 10 мг/кг по меньшей мере одного антитела к протофибриллам Aβ и вводится один раз в две недели или один раз в месяц. В некоторых вариантах осуществления по меньшей мере одно антитело к протофибриллам Aβ представляет собой BAN2401.

[447] В некоторых вариантах осуществления уменьшение клинического ухудшения определяется после 1 месяца, 2 месяцев, 3 месяцев, 4 месяцев, 5 месяцев, 6 месяцев, 7 месяцев, 8 месяцев, 9 месяцев, 10 месяцев, 11 месяцев, 12 месяцев, 13 месяцев, 14 месяцев, 15 месяцев, 16 месяцев, 17 месяцев, 18 месяцев, 19 месяцев, 20 месяцев, 21 месяца, 22 месяцев, 23 месяцев, 24 месяцев, 30 месяцев, 36 месяцев, 42 месяцев, 48 месяцев, 54 месяцев, 60 месяцев, 63 месяцев, 66 месяцев и/или 72 месяцев введения композиции, содержащей терапевтически эффективное количество по меньшей мере одного антитела к протофибриллам Aβ. В некоторых вариантах осуществления уменьшение клинического ухудшения определяется после 1 месяца, 6 месяцев, 12 месяцев, 18 месяцев, 60 месяцев и/или 63 месяцев введения композиции, содержащей терапевтически эффективное количество по меньшей мере одного антитела к протофибриллам Aβ.

[448] В некоторых вариантах осуществления уменьшение клинического ухудшения определяется после 1 месяца введения композиции, содержащей терапевтически эффективное количество по меньшей мере одного антитела к протофибриллам Aβ. В некоторых вариантах осуществления уменьшение клинического ухудшения определяется после 6 месяцев введения композиции, содержащей терапевтически эффективное количество по меньшей мере одного антитела к протофибриллам Aβ. В некоторых вариантах осуществления уменьшение клинического ухудшения определяется после 12 месяцев введения композиции, содержащей терапевтически эффективное количество по меньшей мере одного антитела к протофибриллам Aβ. В некоторых вариантах осуществления уменьшение клинического ухудшения определяется после 18 месяцев введения композиции, содержащей терапевтически эффективное количество по меньшей мере одного антитела к протофибриллам Aβ. В некоторых вариантах осуществления уменьшение клинического ухудшения определяется после 60 месяцев введения композиции, содержащей терапевтически эффективное количество по меньшей мере одного антитела к протофибриллам Aβ. В некоторых вариантах осуществления уменьшение клинического ухудшения определяется после 63 месяцев введения композиции, содержащей терапевтически эффективное количество по меньшей мере одного антитела к протофибриллам Aβ.

[449] В некоторых вариантах осуществления уменьшение клинического ухудшения определяется после введения композиции, содержащей терапевтически эффективное количество BAN2401.

[450] В некоторых вариантах осуществления уменьшение клинического ухудшения определяется после 1 месяца, 2 месяцев, 3 месяцев, 4 месяцев, 5 месяцев, 6 месяцев, 7 месяцев, 8 месяцев, 9 месяцев, 10 месяцев, 11 месяцев, 12 месяцев, 13 месяцев, 14 месяцев, 15 месяцев, 16 месяцев, 17 месяцев, 18 месяцев, 19 месяцев, 20 месяцев, 21 месяца, 22 месяцев, 23 месяцев, 24 месяцев, 30 месяцев, 36 месяцев, 42 месяцев, 48 месяцев, 54 месяцев, 60 месяцев, 63 месяцев, 66 месяцев и/или 72 месяцев введения композиции, содержащей терапевтически эффективное количество BAN2401. В некоторых вариантах осуществления уменьшение клинического ухудшения определяется после 1 месяца, 6 месяцев, 12 месяцев, 18 месяцев, 60 месяцев и/или 63 месяцев введения композиции, содержащей терапевтически эффективное количество BAN2401. В некоторых вариантах осуществления уменьшение клинического ухудшения определяется после 1 месяца введения композиции, содержащей терапевтически эффективное количество BAN2401. В некоторых вариантах осуществления уменьшение клинического ухудшения определяется после 6 месяцев введения композиции, содержащей терапевтически эффективное количество BAN2401. В некоторых вариантах осуществления уменьшение клинического ухудшения определяется после 12 месяцев введения композиции, содержащей терапевтически эффективное количество BAN2401. В некоторых вариантах осуществления уменьшение клинического ухудшения определяется после 18 месяцев введения композиции, содержащей терапевтически эффективное количество BAN2401. В некоторых вариантах осуществления уменьшение клинического ухудшения определяется после 60 месяцев введения композиции, содержащей терапевтически эффективное количество BAN2401. В некоторых вариантах осуществления уменьшение клинического ухудшения определяется после 63 месяцев введения композиции, содержащей терапевтически эффективное количество BAN2401.

[451] В некоторых вариантах осуществления субъект является ApoE4-положительным.

[452] В некоторых вариантах осуществления клиническое ухудшение уменьшается на по меньшей мере 1%, по меньшей мере 2%, по меньшей мере 3%, по меньшей мере 4%, по меньшей мере 5%, по меньшей мере 6%, по меньшей мере 7%, по меньшей мере 8%, по меньшей мере 9%, по меньшей мере 10%, по меньшей мере 11%, по меньшей мере 12%, по меньшей мере 13%, по меньшей мере 14%, по меньшей мере 15%, по меньшей мере 16%, по меньшей мере 17%, по меньшей мере 18%, по меньшей мере 19%, по меньшей мере 20%, по меньшей мере 21%, по меньшей мере 22%, по меньшей мере 23%, по меньшей мере 24%, по меньшей мере 25%, по меньшей мере 26%, по меньшей мере 27%, по меньшей мере 28%, по меньшей мере 29%, по меньшей мере 30%, по меньшей мере 31%, по меньшей мере 32%, по меньшей мере 33%, по меньшей мере 34%, по меньшей мере 35%, по меньшей мере 36%, по меньшей мере 37%, по меньшей мере 38%, по меньшей мере 39%, по меньшей мере 40%, по меньшей мере 41%, по меньшей мере 42%, по меньшей мере 43%, по меньшей мере 44%, по меньшей мере 45%, по меньшей мере 46%, по меньшей мере 47%, по меньшей мере 48%, по меньшей мере 49%, по меньшей мере 50%, по меньшей мере 51%, по меньшей мере 52%, по меньшей мере 53%, по меньшей мере 54%, по меньшей мере 55%, по меньшей мере 56%, по меньшей мере 57%, по меньшей мере 58%, по меньшей мере 59%, по меньшей мере 60%, по меньшей мере 61%, по меньшей мере 62%, по меньшей мере 63%, по меньшей мере 64%, по меньшей мере 65%, по меньшей мере 66%, по меньшей мере 67%, по меньшей мере 68%, по меньшей мере 69%, по меньшей мере 70%, по меньшей мере 71%, по меньшей мере 72%, по меньшей мере 73% или по меньшей мере 74% по сравнению с плацебо, как определяется с помощью ADCOMS, где субъект является ApoE4-положительным. В некоторых вариантах осуществления вышеупомянутое уменьшение клинического ухудшения определяется после 1 месяца, 6 месяцев, 12 месяцев, 18 месяцев, 60 месяцев и/или 63 месяцев введения композиции, содержащей терапевтически эффективное количество по меньшей мере одного антитела к протофибриллам Aβ.

[453] В некоторых вариантах осуществления клиническое ухудшение уменьшается на 60-80%, как, например, на 63-74%, по сравнению с плацебо, как определяется с помощью ADCOMS, где субъект является ApoE4-положительным. В некоторых вариантах осуществления клиническое ухудшение уменьшается на по меньшей мере 60%, как, например, на по меньшей мере 63%, по сравнению с плацебо, как определяется с помощью ADCOMS, где субъект является ApoE4-положительным. В некоторых вариантах осуществления клиническое ухудшение уменьшается на по меньшей мере 65%, как, например, на по меньшей мере 67%, по сравнению с плацебо, как определяется с помощью ADCOMS, где субъект является ApoE4-положительным. В некоторых вариантах осуществления клиническое ухудшение уменьшается на по меньшей мере 70%, как, например, на по меньшей мере 74%, по сравнению с плацебо, как определяется с помощью ADCOMS, где субъект является ApoE4-положительным.

[454] В некоторых вариантах осуществления клиническое ухудшение у ApoE4-положительного субъекта уменьшается на по меньшей мере 70% по сравнению с плацебо, как определяется с помощью ADCOMS, после 6 месяцев введения композиции, содержащей терапевтически эффективное количество по меньшей мере одного антитела к протофибриллам Aβ. В некоторых вариантах осуществления клиническое ухудшение у ApoE4-положительного субъекта уменьшается на по меньшей мере 60% по сравнению с плацебо, как определяется с помощью ADCOMS, после 12 месяцев введения композиции, содержащей терапевтически эффективное количество по меньшей мере одного антитела к протофибриллам Aβ. В некоторых вариантах осуществления клиническое ухудшение у ApoE4-положительного субъекта уменьшается на по меньшей мере 50%, как, например, на по меньшей мере 55% или по меньшей мере 60%, по сравнению с плацебо, как определяется с помощью ADCOMS, после 18 месяцев введения композиции, содержащей терапевтически эффективное количество по меньшей мере одного антитела к протофибриллам Aβ. В некоторых вариантах осуществления клиническое ухудшение у ApoE4-положительного субъекта уменьшается на по меньшей мере 63% по сравнению с плацебо, как определяется с помощью ADCOMS, после 18 месяцев введения композиции, содержащей терапевтически эффективное количество по меньшей мере одного антитела к протофибриллам Aβ. В некоторых вариантах осуществления композиция содержит 10 мг/кг по меньшей мере одного антитела к протофибриллам Aβ и вводится один раз в две недели или один раз в месяц. В некоторых вариантах осуществления по меньшей мере одно антитело к протофибриллам Aβ представляет собой BAN2401.

[455] В некоторых вариантах осуществления клиническое ухудшение уменьшается на по меньшей мере 1%, по меньшей мере 2%, по меньшей мере 3%, по меньшей мере 4%, по меньшей мере 5%, по меньшей мере 6%, по меньшей мере 7%, по меньшей мере 8%, по меньшей мере 9%, по меньшей мере 10%, по меньшей мере 11%, по меньшей мере 12%, по меньшей мере 13%, по меньшей мере 14%, по меньшей мере 15%, по меньшей мере 16%, по меньшей мере 17%, по меньшей мере 18%, по меньшей мере 19%, по меньшей мере 20%, по меньшей мере 21%, по меньшей мере 22%, по меньшей мере 23%, по меньшей мере 24%, по меньшей мере 25%, по меньшей мере 26%, по меньшей мере 27%, по меньшей мере 28%, по меньшей мере 29%, по меньшей мере 30%, по меньшей мере 31%, по меньшей мере 32%, по меньшей мере 33%, по меньшей мере 34%, по меньшей мере 35%, по меньшей мере 36%, по меньшей мере 37%, по меньшей мере 38%, по меньшей мере 39%, по меньшей мере 40%, по меньшей мере 41%, по меньшей мере 42%, по меньшей мере 43%, по меньшей мере 44%, по меньшей мере 45%, по меньшей мере 46%, по меньшей мере 47%, по меньшей мере 48%, по меньшей мере 49%, по меньшей мере 50%, по меньшей мере 51%, по меньшей мере 52%, по меньшей мере 53%, по меньшей мере 54%, по меньшей мере 55%, по меньшей мере 56%, по меньшей мере 57%, по меньшей мере 58%, по меньшей мере 59%, по меньшей мере 60%, по меньшей мере 61%, по меньшей мере 62%, по меньшей мере 63%, по меньшей мере 64%, по меньшей мере 65%, по меньшей мере 66%, по меньшей мере 67%, по меньшей мере 68%, по меньшей мере 69%, по меньшей мере 70%, по меньшей мере 71%, по меньшей мере 72%, по меньшей мере 73%, по меньшей мере 74%, по меньшей мере 75%, по меньшей мере 76%, по меньшей мере 77%, по меньшей мере 78%, по меньшей мере 79%, по меньшей мере 80%, по меньшей мере 81%, по меньшей мере 82%, по меньшей мере 83%, по меньшей мере 84%, по меньшей мере 85%, по меньшей мере 86%, по меньшей мере 87%, по меньшей мере 88%, по меньшей мере 89%, по меньшей мере 90%, по меньшей мере 91%, по меньшей мере 92%, по меньшей мере 93%, по меньшей мере 94%, по меньшей мере 95%, по меньшей мере 96%, по меньшей мере 97%, по меньшей мере 98%, по меньшей мере 99%, по меньшей мере 100%, по меньшей мере 101%, по меньшей мере 102%, по меньшей мере 103%, по меньшей мере 104%, по меньшей мере 105%, по меньшей мере 106%, по меньшей мере 107%, по меньшей мере 108%, по меньшей мере 109%, по меньшей мере 110%, по меньшей мере 115%, по меньшей мере 120%, по меньшей мере 125%, по меньшей мере 130%, по меньшей мере 135%, по меньшей мере 140%, по меньшей мере 145%, по меньшей мере 150%, по меньшей мере 155%, по меньшей мере 160%, по меньшей мере 165%, по меньшей мере 170%, по меньшей мере 175%, по меньшей мере 180%, по меньшей мере 185%, по меньшей мере 190%, по меньшей мере 195%, по меньшей мере 200%, по меньшей мере 205%, по меньшей мере 210%, по меньшей мере 215%, по меньшей мере 220%, по меньшей мере 225%, по меньшей мере 230%, по меньшей мере 235%, по меньшей мере 240%, по меньшей мере 245%, по меньшей мере 250%, по меньшей мере 255%, по меньшей мере 260%, по меньшей мере 265%, по меньшей мере 270%, по меньшей мере 275%, по меньшей мере 280%, по меньшей мере 290%, по меньшей мере 295%, по меньшей мере 300%, по меньшей мере 305%, по меньшей мере 310%, по меньшей мере 315%, по меньшей мере 320%, по меньшей мере 325%, по меньшей мере 330% или по меньшей мере 331% по сравнению с плацебо, как определяется с помощью ADAS-Cog, где субъект является ApoE4-положительным. В некоторых вариантах осуществления вышеупомянутое уменьшение клинического ухудшения определяется после 1 месяца, 6 месяцев, 12 месяцев, 18 месяцев, 60 месяцев и/или 63 месяцев введения композиции, содержащей терапевтически эффективное количество по меньшей мере одного антитела к протофибриллам Aβ.

[456] В некоторых вариантах осуществления клиническое ухудшение уменьшается на 70-400%, как, например, на 80-350%, по сравнению с плацебо, как определяется с помощью ADAS-Cog, где субъект является ApoE4-положительным. В некоторых вариантах осуществления клиническое ухудшение уменьшается на по меньшей мере 70%, как, например, на по меньшей мере 75%, по меньшей мере 80% или по меньшей мере 84%, по сравнению с плацебо, как определяется с помощью ADAS-Cog, где субъект является ApoE4-положительным. В некоторых вариантах осуществления клиническое ухудшение у ApoE4-положительного субъекта уменьшается на по меньшей мере 84% по сравнению с плацебо, как определяется с помощью ADAS-Cog, после 18 месяцев введения композиции, содержащей терапевтически эффективное количество по меньшей мере одного антитела к протофибриллам Aβ. В некоторых вариантах осуществления клиническое ухудшение уменьшается на по меньшей мере 80%, как, например, на по меньшей мере 90% или по меньшей мере 100%, по сравнению с плацебо, как определяется с помощью ADAS-Cog, где субъект является ApoE4-положительным. В некоторых вариантах осуществления клиническое ухудшение уменьшается на по меньшей мере 300%, как, например, на по меньшей мере 330%, по сравнению с плацебо, как определяется с помощью ADAS-Cog, где субъект является ApoE4-положительным. В некоторых вариантах осуществления вышеупомянутое уменьшение клинического ухудшения определяется после 1 месяца, 6 месяцев, 12 месяцев, 18 месяцев, 60 месяцев и/или 63 месяцев введения композиции, содержащей терапевтически эффективное количество по меньшей мере одного антитела к протофибриллам Aβ.

[457] В некоторых вариантах осуществления клиническое ухудшение у ApoE4-положительного субъекта уменьшается на по меньшей мере 300% по сравнению с плацебо, как определяется с помощью ADAS-Cog, после 6 месяцев введения композиции, содержащей терапевтически эффективное количество по меньшей мере одного антитела к протофибриллам Aβ. В некоторых вариантах осуществления клиническое ухудшение у ApoE4-положительного субъекта уменьшается на по меньшей мере 80%, как, например, на по меньшей мере 90% или по меньшей мере 100%, по сравнению с плацебо, как определяется с помощью ADAS-Cog, после 12 месяцев введения композиции, содержащей терапевтически эффективное количество по меньшей мере одного антитела к протофибриллам Aβ. В некоторых вариантах осуществления клиническое ухудшение у ApoE4-положительного субъекта уменьшается на по меньшей мере 70%, как, например, на по меньшей мере 75%, по меньшей мере 80% или по меньшей мере 84%, по сравнению с плацебо, как определяется с помощью ADAS-Cog, после 18 месяцев введения композиции, содержащей терапевтически эффективное количество по меньшей мере одного антитела к протофибриллам Aβ. В некоторых вариантах осуществления клиническое ухудшение у ApoE4-положительного субъекта уменьшается на по меньшей мере 84% по сравнению с плацебо, как определяется с помощью ADAS-Cog, после 18 месяцев введения композиции, содержащей терапевтически эффективное количество по меньшей мере одного антитела к протофибриллам Aβ. В некоторых вариантах осуществления композиция содержит 10 мг/кг по меньшей мере одного антитела к протофибриллам Aβ и вводится один раз в две недели или один раз в месяц. В некоторых вариантах осуществления по меньшей мере одно антитело к протофибриллам Aβ представляет собой BAN2401.

[458] В некоторых вариантах осуществления клиническое ухудшение уменьшается на по меньшей мере 1%, по меньшей мере 2%, по меньшей мере 3%, по меньшей мере 4%, по меньшей мере 5%, по меньшей мере 6%, по меньшей мере 7%, по меньшей мере 8%, по меньшей мере 9%, по меньшей мере 10%, по меньшей мере 11%, по меньшей мере 12%, по меньшей мере 13%, по меньшей мере 14%, по меньшей мере 15%, по меньшей мере 16%, по меньшей мере 17%, по меньшей мере 18%, по меньшей мере 19%, по меньшей мере 20%, по меньшей мере 21%, по меньшей мере 22%, по меньшей мере 23%, по меньшей мере 24%, по меньшей мере 25%, по меньшей мере 26%, по меньшей мере 27%, по меньшей мере 28%, по меньшей мере 29%, по меньшей мере 30%, по меньшей мере 31%, по меньшей мере 32%, по меньшей мере 33%, по меньшей мере 34%, по меньшей мере 35%, по меньшей мере 36%, по меньшей мере 37%, по меньшей мере 38%, по меньшей мере 39%, по меньшей мере 40%, по меньшей мере 41%, по меньшей мере 42%, по меньшей мере 43%, по меньшей мере 44%, по меньшей мере 45%, по меньшей мере 46%, по меньшей мере 47%, по меньшей мере 48%, по меньшей мере 49%, по меньшей мере 50%, по меньшей мере 51%, по меньшей мере 52%, по меньшей мере 53%, по меньшей мере 54%, по меньшей мере 55%, по меньшей мере 56%, по меньшей мере 57%, по меньшей мере 58%, по меньшей мере 59%, по меньшей мере 60%, по меньшей мере 61%, по меньшей мере 62%, по меньшей мере 63%, по меньшей мере 64%, по меньшей мере 65%, по меньшей мере 66%, по меньшей мере 67%, по меньшей мере 68%, по меньшей мере 69%, по меньшей мере 70%, по меньшей мере 71%, по меньшей мере 72%, по меньшей мере 73%, по меньшей мере 74%, по меньшей мере 75%, по меньшей мере 76%, по меньшей мере 77%, по меньшей мере 78%, по меньшей мере 79%, по меньшей мере 80%, по меньшей мере 81%, по меньшей мере 82%, по меньшей мере 83%, по меньшей мере 84%, по меньшей мере 85%, по меньшей мере 86% или по меньшей мере 87% по сравнению с плацебо, как определяется с помощью CDR-SB, где субъект является ApoE4-положительным. В некоторых вариантах осуществления вышеупомянутое уменьшение клинического ухудшения определяется после 1 месяца, 6 месяцев, 12 месяцев, 18 месяцев, 60 месяцев и/или 63 месяцев введения композиции, содержащей терапевтически эффективное количество по меньшей мере одного антитела к протофибриллам Aβ.

[459] В некоторых вариантах осуществления клиническое ухудшение уменьшается на 35-150%, как, например, на 40-100% или 45-90%, по сравнению с плацебо, как определяется с помощью CDR-SB, где субъект является ApoE4-положительным. В некоторых вариантах осуществления клиническое ухудшение уменьшается на по меньшей мере 35%, как, например, на по меньшей мере 40% или по меньшей мере 45%, по сравнению с плацебо, как определяется с помощью CDR-SB, где субъект является ApoE4-положительным. В некоторых вариантах осуществления клиническое ухудшение уменьшается на по меньшей мере 50%, как, например, на по меньшей мере 55% или по меньшей мере 60%, по сравнению с плацебо, как определяется с помощью CDR-SB, где субъект является ApoE4-положительным. В некоторых вариантах осуществления клиническое ухудшение уменьшается на по меньшей мере 70%, как, например, на по меньшей мере 80% или по меньшей мере 85%, по сравнению с плацебо, как определяется с помощью CDR-SB, где субъект является ApoE4-положительным. В некоторых вариантах осуществления вышеупомянутое уменьшение клинического ухудшения определяется после 1 месяца, 6 месяцев, 12 месяцев, 18 месяцев, 60 месяцев и/или 63 месяцев введения композиции, содержащей терапевтически эффективное количество по меньшей мере одного антитела к протофибриллам Aβ.

[460] В некоторых вариантах осуществления клиническое ухудшение у ApoE4-положительного субъекта уменьшается на по меньшей мере 35%, как, например, на по меньшей мере 40% или по меньшей мере 45%, по сравнению с плацебо, как определяется с помощью CDR-SB, после 6 месяцев введения композиции, содержащей терапевтически эффективное количество по меньшей мере одного антитела к протофибриллам Aβ. В некоторых вариантах осуществления клиническое ухудшение у ApoE4-положительного субъекта уменьшается на по меньшей мере 70%, как, например, на по меньшей мере 75% или по меньшей мере 80%, по сравнению с плацебо, как определяется с помощью CDR-SB, после 12 месяцев введения композиции, содержащей терапевтически эффективное количество по меньшей мере одного антитела к протофибриллам Aβ. В некоторых вариантах осуществления клиническое ухудшение у ApoE4-положительного субъекта уменьшается на по меньшей мере 50%, как, например, на по меньшей мере 55% или по меньшей мере 60%, по сравнению с плацебо, как определяется с помощью CDR-SB, после 18 месяцев введения композиции, содержащей терапевтически эффективное количество по меньшей мере одного антитела к протофибриллам Aβ. В некоторых вариантах осуществления клиническое ухудшение у ApoE4-положительного субъекта уменьшается на по меньшей мере 60% по сравнению с плацебо, как определяется с помощью CDR-SB, после 18 месяцев введения композиции, содержащей терапевтически эффективное количество по меньшей мере одного антитела к протофибриллам Aβ. В некоторых вариантах осуществления композиция содержит 10 мг/кг по меньшей мере одного антитела к протофибриллам Aβ и вводится один раз в две недели или один раз в месяц. В некоторых вариантах осуществления по меньшей мере одно антитело к протофибриллам Aβ представляет собой BAN2401.

[461] В некоторых вариантах осуществления клиническое ухудшение уменьшается на по меньшей мере 1%, по меньшей мере 2%, по меньшей мере 3%, по меньшей мере 4%, по меньшей мере 5%, по меньшей мере 6%, по меньшей мере 7%, по меньшей мере 8%, по меньшей мере 9%, по меньшей мере 10%, по меньшей мере 11%, по меньшей мере 12%, по меньшей мере 13%, по меньшей мере 14%, по меньшей мере 15%, по меньшей мере 16%, по меньшей мере 17%, по меньшей мере 18%, по меньшей мере 19%, по меньшей мере 20%, по меньшей мере 21%, по меньшей мере 22%, по меньшей мере 23%, по меньшей мере 24%, по меньшей мере 25%, по меньшей мере 26%, по меньшей мере 27%, по меньшей мере 28%, по меньшей мере 29%, по меньшей мере 30%, по меньшей мере 31%, по меньшей мере 32%, по меньшей мере 33%, по меньшей мере 34%, по меньшей мере 35%, по меньшей мере 36%, по меньшей мере 37%, по меньшей мере 38%, по меньшей мере 39%, по меньшей мере 40%, по меньшей мере 41%, по меньшей мере 42%, по меньшей мере 43%, по меньшей мере 44%, по меньшей мере 45%, по меньшей мере 46%, по меньшей мере 47%, по меньшей мере 48%, по меньшей мере 49%, по меньшей мере 50%, по меньшей мере 51%, по меньшей мере 52%, по меньшей мере 53%, по меньшей мере 54%, по меньшей мере 55%, по меньшей мере 56%, по меньшей мере 57%, по меньшей мере 58% или по меньшей мере 59% по сравнению с плацебо, как определяется с помощью ADCOMS, где субъект является ApoE4-положительным и где у субъекта было диагностировано наличие легкого когнитивного нарушения, с промежуточной вероятностью обусловленного болезнью Альцгеймера. В некоторых вариантах осуществления вышеупомянутое уменьшение клинического ухудшения определяется после 1 месяца, 6 месяцев, 12 месяцев, 18 месяцев, 60 месяцев и/или 63 месяцев введения композиции, содержащей терапевтически эффективное количество по меньшей мере одного антитела к протофибриллам Aβ.

[462] В некоторых вариантах осуществления клиническое ухудшение уменьшается на 30-70%, как, например, на 38-59%, по сравнению с плацебо, как определяется с помощью ADCOMS, где субъект является ApoE4-положительным и где у субъекта было диагностировано наличие легкого когнитивного нарушения, с промежуточной вероятностью обусловленного болезнью Альцгеймера. В некоторых вариантах осуществления клиническое ухудшение уменьшается на по меньшей мере 30%, как, например, на по меньшей мере 35% или по меньшей мере 38%, по сравнению с плацебо, как определяется с помощью ADCOMS, где субъект является ApoE4-положительным и где у субъекта было диагностировано наличие легкого когнитивного нарушения, с промежуточной вероятностью обусловленного болезнью Альцгеймера. В некоторых вариантах осуществления клиническое ухудшение уменьшается на по меньшей мере 45%, как, например, на по меньшей мере 50% или по меньшей мере 53%, по сравнению с плацебо, как определяется с помощью ADCOMS, где субъект является ApoE4-положительным и где у субъекта было диагностировано наличие легкого когнитивного нарушения, с промежуточной вероятностью обусловленного болезнью Альцгеймера. В некоторых вариантах осуществления клиническое ухудшение уменьшается на по меньшей мере 50%, как, например, на по меньшей мере 55% или по меньшей мере 59%, по сравнению с плацебо, как определяется с помощью ADCOMS, где субъект является ApoE4-положительным и где у субъекта было диагностировано наличие легкого когнитивного нарушения, с промежуточной вероятностью обусловленного болезнью Альцгеймера. В некоторых вариантах осуществления вышеупомянутое уменьшение клинического ухудшения определяется после 1 месяца, 6 месяцев, 12 месяцев, 18 месяцев, 60 месяцев и/или 63 месяцев введения композиции, содержащей терапевтически эффективное количество по меньшей мере одного антитела к протофибриллам Aβ.

[463] В некоторых вариантах осуществления клиническое ухудшение у ApoE4-положительного субъекта, у которого диагностировано наличие легкого когнитивного нарушения, с промежуточной вероятностью обусловленного болезнью Альцгеймера, уменьшается на по меньшей мере 50%, как, например, на по меньшей мере 55%, по сравнению с плацебо, как определяется с помощью ADCOMS, после 6 месяцев введения композиции, содержащей терапевтически эффективное количество по меньшей мере одного антитела к протофибриллам Aβ. В некоторых вариантах осуществления клиническое ухудшение у ApoE4-положительного субъекта, у которого диагностировано наличие легкого когнитивного нарушения, с промежуточной вероятностью обусловленного болезнью Альцгеймера, уменьшается на по меньшей мере 30%, как, например, на по меньшей мере 35%, по сравнению с плацебо, как определяется с помощью ADCOMS, после 12 месяцев введения композиции, содержащей терапевтически эффективное количество по меньшей мере одного антитела к протофибриллам Aβ. В некоторых вариантах осуществления клиническое ухудшение у ApoE4-положительного субъекта, у которого диагностировано наличие легкого когнитивного нарушения, с промежуточной вероятностью обусловленного болезнью Альцгеймера, уменьшается на по меньшей мере 45%, как, например, на по меньшей мере 50% или по меньшей мере 55%, по сравнению с плацебо, как определяется с помощью ADCOMS, после 18 месяцев введения композиции, содержащей терапевтически эффективное количество по меньшей мере одного антитела к протофибриллам Aβ. В некоторых вариантах осуществления композиция содержит 10 мг/кг по меньшей мере одного антитела к протофибриллам Aβ и вводится один раз в две недели или один раз в месяц. В некоторых вариантах осуществления по меньшей мере одно антитело к протофибриллам Aβ представляет собой BAN2401.

[464] В некоторых вариантах осуществления клиническое ухудшение уменьшается на по меньшей мере 1%, по меньшей мере 2%, по меньшей мере 3%, по меньшей мере 4%, по меньшей мере 5%, по меньшей мере 6%, по меньшей мере 7%, по меньшей мере 8%, по меньшей мере 9%, по меньшей мере 10%, по меньшей мере 11%, по меньшей мере 12%, по меньшей мере 13%, по меньшей мере 14%, по меньшей мере 15%, по меньшей мере 16%, по меньшей мере 17%, по меньшей мере 18%, по меньшей мере 19%, по меньшей мере 20%, по меньшей мере 21%, по меньшей мере 22%, по меньшей мере 23%, по меньшей мере 24%, по меньшей мере 25%, по меньшей мере 26%, по меньшей мере 27%, по меньшей мере 28%, по меньшей мере 29%, по меньшей мере 30%, по меньшей мере 31%, по меньшей мере 32%, по меньшей мере 33%, по меньшей мере 34%, по меньшей мере 35%, по меньшей мере 36%, по меньшей мере 37%, по меньшей мере 38%, по меньшей мере 39%, по меньшей мере 40%, по меньшей мере 41%, по меньшей мере 42%, по меньшей мере 43%, по меньшей мере 44%, по меньшей мере 45%, по меньшей мере 46%, по меньшей мере 47%, по меньшей мере 48%, по меньшей мере 49%, по меньшей мере 50%, по меньшей мере 51%, по меньшей мере 52%, по меньшей мере 53%, по меньшей мере 54%, по меньшей мере 55%, по меньшей мере 56%, по меньшей мере 57%, по меньшей мере 58%, по меньшей мере 59%, по меньшей мере 60%, по меньшей мере 61%, по меньшей мере 62%, по меньшей мере 63%, по меньшей мере 64%, по меньшей мере 65%, по меньшей мере 66%, по меньшей мере 67%, по меньшей мере 68%, по меньшей мере 69%, по меньшей мере 70%, по меньшей мере 71%, по меньшей мере 72%, по меньшей мере 73%, по меньшей мере 74%, по меньшей мере 75%, по меньшей мере 76%, по меньшей мере 77%, по меньшей мере 78%, по меньшей мере 79%, по меньшей мере 80%, по меньшей мере 81%, по меньшей мере 82%, по меньшей мере 83%, по меньшей мере 84%, по меньшей мере 85%, по меньшей мере 86%, по меньшей мере 87%, по меньшей мере 88%, по меньшей мере 89%, по меньшей мере 90%, по меньшей мере 91%, по меньшей мере 92%, по меньшей мере 93%, по меньшей мере 94%, по меньшей мере 95%, по меньшей мере 96%, по меньшей мере 97%, по меньшей мере 98%, по меньшей мере 99%, по меньшей мере 100%, по меньшей мере 101%, по меньшей мере 102%, по меньшей мере 103%, по меньшей мере 104%, по меньшей мере 105%, по меньшей мере 106%, по меньшей мере 107%, по меньшей мере 108%, по меньшей мере 109%, по меньшей мере 110%, по меньшей мере 115%, по меньшей мере 120%, по меньшей мере 125%, по меньшей мере 130%, по меньшей мере 135%, по меньшей мере 140%, по меньшей мере 145%, по меньшей мере 150%, по меньшей мере 155%, по меньшей мере 160%, по меньшей мере 165%, по меньшей мере 170%, по меньшей мере 175%, по меньшей мере 180%, по меньшей мере 185%, по меньшей мере 190%, по меньшей мере 195%, по меньшей мере 200%, по меньшей мере 205%, по меньшей мере 210% или по меньшей мере 211% по сравнению с плацебо, как определяется с помощью ADCOMS, где субъект является ApoE4-положительным и где у субъекта было диагностировано наличие легкой деменции при болезни Альцгеймера. В некоторых вариантах осуществления вышеупомянутое уменьшение клинического ухудшения определяется после 1 месяца, 6 месяцев, 12 месяцев, 18 месяцев, 60 месяцев и/или 63 месяцев введения композиции, содержащей терапевтически эффективное количество по меньшей мере одного антитела к протофибриллам Aβ.

[465] В некоторых вариантах осуществления клиническое ухудшение у ApoE4-положительного субъекта, у которого диагностировано наличие легкой деменции при болезни Альцгеймера, уменьшается на по меньшей мере 100%, как, например, на по меньшей мере 110%, по сравнению с плацебо, как определяется с помощью ADCOMS, после 6 месяцев введения композиции, содержащей терапевтически эффективное количество по меньшей мере одного антитела к протофибриллам Aβ. В некоторых вариантах осуществления клиническое ухудшение у ApoE4-положительного субъекта, у которого диагностировано наличие легкой деменции при болезни Альцгеймера, уменьшается на по меньшей мере 100%, как, например, на по меньшей мере 110%, по сравнению с плацебо, как определяется с помощью ADCOMS, после 12 месяцев введения композиции, содержащей терапевтически эффективное количество по меньшей мере одного антитела к протофибриллам Aβ. В некоторых вариантах осуществления клиническое ухудшение у ApoE4-положительного субъекта, у которого диагностировано наличие легкой деменции при болезни Альцгеймера, уменьшается на по меньшей мере 65%, как, например, на по меньшей мере 70% или по меньшей мере 75%, по сравнению с плацебо, как определяется с помощью ADCOMS, после 18 месяцев введения композиции, содержащей терапевтически эффективное количество по меньшей мере одного антитела к протофибриллам Aβ. В некоторых вариантах осуществления композиция содержит 10 мг/кг по меньшей мере одного антитела к протофибриллам Aβ и вводится один раз в две недели или один раз в месяц. В некоторых вариантах осуществления по меньшей мере одно антитело к протофибриллам Aβ представляет собой BAN2401.

[466] В некоторых вариантах осуществления клиническое ухудшение уменьшается на по меньшей мере 1%, по меньшей мере 2%, по меньшей мере 3%, по меньшей мере 4%, по меньшей мере 5%, по меньшей мере 6%, по меньшей мере 7%, по меньшей мере 8%, по меньшей мере 9%, по меньшей мере 10%, по меньшей мере 11%, по меньшей мере 12%, по меньшей мере 13%, по меньшей мере 14%, по меньшей мере 15%, по меньшей мере 16%, по меньшей мере 17%, по меньшей мере 18%, по меньшей мере 19%, по меньшей мере 20%, по меньшей мере 21%, по меньшей мере 22%, по меньшей мере 23%, по меньшей мере 24%, по меньшей мере 25%, по меньшей мере 26%, по меньшей мере 27%, по меньшей мере 28%, по меньшей мере 29%, по меньшей мере 30%, по меньшей мере 31%, по меньшей мере 32%, по меньшей мере 33%, по меньшей мере 34%, по меньшей мере 35%, по меньшей мере 36%, по меньшей мере 37%, по меньшей мере 38%, по меньшей мере 39%, по меньшей мере 40%, по меньшей мере 41%, по меньшей мере 42%, по меньшей мере 43%, по меньшей мере 44%, по меньшей мере 45%, по меньшей мере 46%, по меньшей мере 47%, по меньшей мере 48%, по меньшей мере 49%, по меньшей мере 50%, по меньшей мере 51%, по меньшей мере 52%, по меньшей мере 53%, по меньшей мере 54%, по меньшей мере 55%, по меньшей мере 56%, по меньшей мере 57%, по меньшей мере 58%, по меньшей мере 59%, по меньшей мере 60%, по меньшей мере 61%, по меньшей мере 62%, по меньшей мере 63%, по меньшей мере 64%, по меньшей мере 65%, по меньшей мере 66%, по меньшей мере 67%, по меньшей мере 68%, по меньшей мере 69%, по меньшей мере 70%, по меньшей мере 71%, по меньшей мере 72%, по меньшей мере 73%, по меньшей мере 74%, по меньшей мере 75%, по меньшей мере 76%, по меньшей мере 77%, по меньшей мере 78%, по меньшей мере 79%, по меньшей мере 80%, по меньшей мере 81%, по меньшей мере 82%, по меньшей мере 83%, по меньшей мере 84%, по меньшей мере 85%, по меньшей мере 86%, по меньшей мере 87%, по меньшей мере 88%, по меньшей мере 89%, по меньшей мере 90%, по меньшей мере 91%, по меньшей мере 92%, по меньшей мере 93%, по меньшей мере 94%, по меньшей мере 95%, по меньшей мере 96%, по меньшей мере 97%, по меньшей мере 98%, по меньшей мере 99%, по меньшей мере 100%, по меньшей мере 101%, по меньшей мере 102%, по меньшей мере 103%, по меньшей мере 104%, по меньшей мере 105%, по меньшей мере 106%, по меньшей мере 107%, по меньшей мере 108%, по меньшей мере 109%, по меньшей мере 110%, по меньшей мере 115%, по меньшей мере 120%, по меньшей мере 125%, по меньшей мере 130%, по меньшей мере 135%, по меньшей мере 140%, по меньшей мере 145%, по меньшей мере 150%, по меньшей мере 155%, по меньшей мере 160%, по меньшей мере 165%, по меньшей мере 170%, по меньшей мере 175%, по меньшей мере 180%, по меньшей мере 185%, по меньшей мере 190%, по меньшей мере 195%, по меньшей мере 200%, по меньшей мере 205%, по меньшей мере 210% или по меньшей мере 211% по сравнению с плацебо, как определяется с помощью ADAS-Cog, где субъект является ApoE4-положительным и где у субъекта было диагностировано наличие легкого когнитивного нарушения, с промежуточной вероятностью обусловленного болезнью Альцгеймера. В некоторых вариантах осуществления вышеупомянутое уменьшение клинического ухудшения определяется после 1 месяца, 6 месяцев, 12 месяцев, 18 месяцев, 60 месяцев и/или 63 месяцев введения композиции, содержащей терапевтически эффективное количество по меньшей мере одного антитела к протофибриллам Aβ.

[467] В некоторых вариантах осуществления клиническое ухудшение уменьшается на 40-300%, как, например, на 45-250% или 50-250%, по сравнению с плацебо, как определяется с помощью ADAS-Cog, где субъект является ApoE4-положительным и где у субъекта было диагностировано наличие легкого когнитивного нарушения, с промежуточной вероятностью обусловленного болезнью Альцгеймера. В некоторых вариантах осуществления клиническое ухудшение уменьшается на по меньшей мере 40%, как, например, на по меньшей мере 45% или по меньшей мере 50%, по сравнению с плацебо, как определяется с помощью ADAS-Cog, где субъект является ApoE4-положительным и где у субъекта было диагностировано наличие легкого когнитивного нарушения, с промежуточной вероятностью обусловленного болезнью Альцгеймера. В некоторых вариантах осуществления клиническое ухудшение уменьшается на по меньшей мере 60%, как, например, на по меньшей мере 70%, по меньшей мере 75% или по меньшей мере 80%, по сравнению с плацебо, как определяется с помощью ADAS-Cog, где субъект является ApoE4-положительным и где у субъекта было диагностировано наличие легкого когнитивного нарушения, с промежуточной вероятностью обусловленного болезнью Альцгеймера. В некоторых вариантах осуществления клиническое ухудшение уменьшается на по меньшей мере 100%, как, например, на по меньшей мере 150% или по меньшей мере 200%, по сравнению с плацебо, как определяется с помощью ADAS-Cog, где субъект является ApoE4-положительным и где у субъекта было диагностировано наличие легкого когнитивного нарушения, с промежуточной вероятностью обусловленного болезнью Альцгеймера. В некоторых вариантах осуществления вышеупомянутое уменьшение клинического ухудшения определяется после 1 месяца, 6 месяцев, 12 месяцев, 18 месяцев, 60 месяцев и/или 63 месяцев введения композиции, содержащей терапевтически эффективное количество по меньшей мере одного антитела к протофибриллам Aβ.

[468] В некоторых вариантах осуществления клиническое ухудшение у ApoE4-положительного субъекта, у которого диагностировано наличие легкого когнитивного нарушения, с промежуточной вероятностью обусловленного болезнью Альцгеймера, уменьшается на по меньшей мере 100%, как, например, на по меньшей мере 150% или по меньшей мере 200%, по сравнению с плацебо, как определяется с помощью ADAS-Cog, после 6 месяцев введения композиции, содержащей терапевтически эффективное количество по меньшей мере одного антитела к протофибриллам Aβ. В некоторых вариантах осуществления клиническое ухудшение у ApoE4-положительного субъекта, у которого диагностировано наличие легкого когнитивного нарушения, с промежуточной вероятностью обусловленного болезнью Альцгеймера, уменьшается на по меньшей мере 40%, как, например, на по меньшей мере 45% или по меньшей мере 50%, по сравнению с плацебо, как определяется с помощью ADAS-Cog, после 12 месяцев введения композиции, содержащей терапевтически эффективное количество по меньшей мере одного антитела к протофибриллам Aβ. В некоторых вариантах осуществления клиническое ухудшение у ApoE4-положительного субъекта, у которого диагностировано наличие легкого когнитивного нарушения, с промежуточной вероятностью обусловленного болезнью Альцгеймера, уменьшается на по меньшей мере 50%, как, например, на по меньшей мере 60%, по меньшей мере 70% или по меньшей мере 75%, по сравнению с плацебо, как определяется с помощью ADAS-Cog, после 18 месяцев введения композиции, содержащей терапевтически эффективное количество по меньшей мере одного антитела к протофибриллам Aβ. В некоторых вариантах осуществления композиция содержит 10 мг/кг по меньшей мере одного антитела к протофибриллам Aβ и вводится один раз в две недели или один раз в месяц. В некоторых вариантах осуществления по меньшей мере одно антитело к протофибриллам Aβ представляет собой BAN2401.

[469] В некоторых вариантах осуществления клиническое ухудшение уменьшается на по меньшей мере 1%, по меньшей мере 2%, по меньшей мере 3%, по меньшей мере 4%, по меньшей мере 5%, по меньшей мере 6%, по меньшей мере 7%, по меньшей мере 8%, по меньшей мере 9%, по меньшей мере 10%, по меньшей мере 11%, по меньшей мере 12%, по меньшей мере 13%, по меньшей мере 14%, по меньшей мере 15%, по меньшей мере 16%, по меньшей мере 17%, по меньшей мере 18%, по меньшей мере 19%, по меньшей мере 20%, по меньшей мере 21%, по меньшей мере 22%, по меньшей мере 23%, по меньшей мере 24%, по меньшей мере 25%, по меньшей мере 26%, по меньшей мере 27%, по меньшей мере 28%, по меньшей мере 29%, по меньшей мере 30%, по меньшей мере 31%, по меньшей мере 32%, по меньшей мере 33%, по меньшей мере 34%, по меньшей мере 35%, по меньшей мере 36%, по меньшей мере 37%, по меньшей мере 38%, по меньшей мере 39%, по меньшей мере 40%, по меньшей мере 41%, по меньшей мере 42%, по меньшей мере 43%, по меньшей мере 44% или по меньшей мере 45% по сравнению с плацебо, как определяется с помощью CDR-SB, где субъект является ApoE4-положительным и где у субъекта было диагностировано наличие легкого когнитивного нарушения, с промежуточной вероятностью обусловленного болезнью Альцгеймера. В некоторых вариантах осуществления вышеупомянутое уменьшение клинического ухудшения определяется после 1 месяца, 6 месяцев, 12 месяцев, 18 месяцев, 60 месяцев и/или 63 месяцев введения композиции, содержащей терапевтически эффективное количество по меньшей мере одного антитела к протофибриллам Aβ.

[470] В некоторых вариантах осуществления клиническое ухудшение уменьшается на 20-90%, как, например, на 25-80% или 30-75%, по сравнению с плацебо, как определяется с помощью CDR-SB, где субъект является ApoE4-положительным и где у субъекта было диагностировано наличие легкого когнитивного нарушения, с промежуточной вероятностью обусловленного болезнью Альцгеймера. В некоторых вариантах осуществления клиническое ухудшение уменьшается на по меньшей мере 25%, как, например, на по меньшей мере 30%, по сравнению с плацебо, как определяется с помощью CDR-SB, где субъект является ApoE4-положительным и где у субъекта было диагностировано наличие легкого когнитивного нарушения, с промежуточной вероятностью обусловленного болезнью Альцгеймера. В некоторых вариантах осуществления клиническое ухудшение уменьшается на по меньшей мере 30%, как, например, на по меньшей мере 35% или 40%, по сравнению с плацебо, как определяется с помощью CDR-SB, где субъект является ApoE4-положительным и где у субъекта было диагностировано наличие легкого когнитивного нарушения, с промежуточной вероятностью обусловленного болезнью Альцгеймера. В некоторых вариантах осуществления клиническое ухудшение уменьшается на по меньшей мере 35%, как, например, на по меньшей мере 40% или 45%, по сравнению с плацебо, как определяется с помощью CDR-SB, где субъект является ApoE4-положительным и где у субъекта было диагностировано наличие легкого когнитивного нарушения, с промежуточной вероятностью обусловленного болезнью Альцгеймера. В некоторых вариантах осуществления вышеупомянутое уменьшение клинического ухудшения определяется после 1 месяца, 6 месяцев, 12 месяцев, 18 месяцев, 60 месяцев и/или 63 месяцев введения композиции, содержащей терапевтически эффективное количество по меньшей мере одного антитела к протофибриллам Aβ.

[471] В некоторых вариантах осуществления клиническое ухудшение у ApoE4-положительного субъекта, у которого диагностировано наличие легкого когнитивного нарушения, с промежуточной вероятностью обусловленного болезнью Альцгеймера, уменьшается на по меньшей мере 35%, как, например, на по меньшей мере 40% или по меньшей мере 45%, по сравнению с плацебо, как определяется с помощью CDR-SB, после введения композиции, содержащей терапевтически эффективное количество по меньшей мере одного антитела к протофибриллам Aβ. В некоторых вариантах осуществления клиническое ухудшение у ApoE4-положительного субъекта, у которого диагностировано наличие легкого когнитивного нарушения, с промежуточной вероятностью обусловленного болезнью Альцгеймера, уменьшается на по меньшей мере 20%, как, например, на по меньшей мере 25% или по меньшей мере 30%, по сравнению с плацебо, как определяется с помощью CDR-SB, после 12 месяцев введения композиции, содержащей терапевтически эффективное количество по меньшей мере одного антитела к протофибриллам Aβ. В некоторых вариантах осуществления клиническое ухудшение у ApoE4-положительного субъекта, у которого диагностировано наличие легкого когнитивного нарушения, с промежуточной вероятностью обусловленного болезнью Альцгеймера, уменьшается на по меньшей мере 35%, как, например, на по меньшей мере 40%, по сравнению с плацебо, как определяется с помощью CDR-SB, после 18 месяцев введения композиции, содержащей терапевтически эффективное количество по меньшей мере одного антитела к протофибриллам Aβ. В некоторых вариантах осуществления композиция содержит 10 мг/кг по меньшей мере одного антитела к протофибриллам Aβ и вводится один раз в две недели или один раз в месяц. В некоторых вариантах осуществления по меньшей мере одно антитело к протофибриллам Aβ представляет собой BAN2401.

[472] В некоторых вариантах осуществления клиническое ухудшение уменьшается на по меньшей мере 1%, по меньшей мере 2%, по меньшей мере 3%, по меньшей мере 4%, по меньшей мере 5%, по меньшей мере 6%, по меньшей мере 7%, по меньшей мере 8%, по меньшей мере 9%, по меньшей мере 10%, по меньшей мере 11%, по меньшей мере 12%, по меньшей мере 13%, по меньшей мере 14%, по меньшей мере 15%, по меньшей мере 16%, по меньшей мере 17%, по меньшей мере 18%, по меньшей мере 19%, по меньшей мере 20%, по меньшей мере 21%, по меньшей мере 22%, по меньшей мере 23%, по меньшей мере 24%, по меньшей мере 25%, по меньшей мере 26%, по меньшей мере 27%, по меньшей мере 28%, по меньшей мере 29%, по меньшей мере 30%, по меньшей мере 31%, по меньшей мере 32%, по меньшей мере 33%, по меньшей мере 34%, по меньшей мере 35%, по меньшей мере 36%, по меньшей мере 37%, по меньшей мере 38%, по меньшей мере 39%, по меньшей мере 40%, по меньшей мере 41%, по меньшей мере 42%, по меньшей мере 43%, по меньшей мере 44%, по меньшей мере 45%, по меньшей мере 46%, по меньшей мере 47%, по меньшей мере 48%, по меньшей мере 49%, по меньшей мере 50%, по меньшей мере 51%, по меньшей мере 52%, по меньшей мере 53%, по меньшей мере 54%, по меньшей мере 55%, по меньшей мере 56%, по меньшей мере 57%, по меньшей мере 58%, по меньшей мере 59%, по меньшей мере 60%, по меньшей мере 61%, по меньшей мере 62%, по меньшей мере 63%, по меньшей мере 64%, по меньшей мере 65%, по меньшей мере 66%, по меньшей мере 67%, по меньшей мере 68%, по меньшей мере 69%, по меньшей мере 70%, по меньшей мере 71%, по меньшей мере 72%, по меньшей мере 73%, по меньшей мере 74%, по меньшей мере 75%, по меньшей мере 76%, по меньшей мере 77%, по меньшей мере 78%, по меньшей мере 79%, по меньшей мере 80%, по меньшей мере 81%, по меньшей мере 82%, по меньшей мере 83%, по меньшей мере 84%, по меньшей мере 85%, по меньшей мере 86%, по меньшей мере 87%, по меньшей мере 88%, по меньшей мере 89%, по меньшей мере 90%, по меньшей мере 91%, по меньшей мере 92%, по меньшей мере 93%, по меньшей мере 94%, по меньшей мере 95%, по меньшей мере 96%, по меньшей мере 97%, по меньшей мере 98%, по меньшей мере 99%, по меньшей мере 100%, по меньшей мере 101%, по меньшей мере 102%, по меньшей мере 103%, по меньшей мере 104%, по меньшей мере 105%, по меньшей мере 106%, по меньшей мере 107%, по меньшей мере 108%, по меньшей мере 109%, по меньшей мере 110%, по меньшей мере 111%, по меньшей мере 112%, по меньшей мере 113%, по меньшей мере 114%, по меньшей мере 115%, по меньшей мере 116%, по меньшей мере 117%, по меньшей мере 118% или по меньшей мере 119% по сравнению с плацебо, как определяется с помощью ADCOMS, где субъект является ApoE4-положительным и где у субъекта было диагностировано наличие легкой деменции при болезни Альцгеймера. В некоторых вариантах осуществления вышеупомянутое уменьшение клинического ухудшения определяется после 1 месяца, 6 месяцев, 12 месяцев, 18 месяцев, 60 месяцев и/или 63 месяцев введения композиции, содержащей терапевтически эффективное количество по меньшей мере одного антитела к протофибриллам Aβ.

[473] В некоторых вариантах осуществления клиническое ухудшение уменьшается на 76-119% по сравнению с плацебо, как определяется с помощью ADCOMS, где субъект является ApoE4-положительным и где у субъекта было диагностировано наличие легкой деменции при болезни Альцгеймера. В некоторых вариантах осуществления клиническое ухудшение уменьшается на 76% по сравнению с плацебо, как определяется с помощью ADCOMS, где субъект является ApoE4-положительным и где у субъекта было диагностировано наличие легкой деменции при болезни Альцгеймера. В некоторых вариантах осуществления клиническое ухудшение уменьшается на 113% по сравнению с плацебо, как определяется с помощью ADCOMS, где субъект является ApoE4-положительным и где у субъекта было диагностировано наличие легкой деменции при болезни Альцгеймера. В некоторых вариантах осуществления клиническое ухудшение уменьшается на 119% по сравнению с плацебо, как определяется с помощью ADCOMS, где субъект является ApoE4-положительным и где у субъекта было диагностировано наличие легкой деменции при болезни Альцгеймера. В некоторых вариантах осуществления вышеупомянутое уменьшение клинического ухудшения определяется после 1 месяца, 6 месяцев, 12 месяцев, 18 месяцев, 60 месяцев и/или 63 месяцев введения композиции, содержащей терапевтически эффективное количество по меньшей мере одного антитела к протофибриллам Aβ.

[474] В некоторых вариантах осуществления клиническое ухудшение уменьшается на по меньшей мере 1%, по меньшей мере 2%, по меньшей мере 3%, по меньшей мере 4%, по меньшей мере 5%, по меньшей мере 6%, по меньшей мере 7%, по меньшей мере 8%, по меньшей мере 9%, по меньшей мере 10%, по меньшей мере 11%, по меньшей мере 12%, по меньшей мере 13%, по меньшей мере 14%, по меньшей мере 15%, по меньшей мере 16%, по меньшей мере 17%, по меньшей мере 18%, по меньшей мере 19%, по меньшей мере 20%, по меньшей мере 21%, по меньшей мере 22%, по меньшей мере 23%, по меньшей мере 24%, по меньшей мере 25%, по меньшей мере 26%, по меньшей мере 27%, по меньшей мере 28%, по меньшей мере 29%, по меньшей мере 30%, по меньшей мере 31%, по меньшей мере 32%, по меньшей мере 33%, по меньшей мере 34%, по меньшей мере 35%, по меньшей мере 36%, по меньшей мере 37%, по меньшей мере 38%, по меньшей мере 39%, по меньшей мере 40%, по меньшей мере 41%, по меньшей мере 42%, по меньшей мере 43%, по меньшей мере 44%, по меньшей мере 45%, по меньшей мере 46%, по меньшей мере 47%, по меньшей мере 48%, по меньшей мере 49%, по меньшей мере 50%, по меньшей мере 51%, по меньшей мере 52%, по меньшей мере 53%, по меньшей мере 54%, по меньшей мере 55%, по меньшей мере 56%, по меньшей мере 57%, по меньшей мере 58%, по меньшей мере 59%, по меньшей мере 60%, по меньшей мере 61%, по меньшей мере 62%, по меньшей мере 63%, по меньшей мере 64%, по меньшей мере 65%, по меньшей мере 66%, по меньшей мере 67%, по меньшей мере 68%, по меньшей мере 69%, по меньшей мере 70%, по меньшей мере 71%, по меньшей мере 72%, по меньшей мере 73%, по меньшей мере 74%, по меньшей мере 75%, по меньшей мере 76%, по меньшей мере 77%, по меньшей мере 78%, по меньшей мере 79%, по меньшей мере 80%, по меньшей мере 81%, по меньшей мере 82%, по меньшей мере 83%, по меньшей мере 84%, по меньшей мере 85%, по меньшей мере 86%, по меньшей мере 87%, по меньшей мере 88%, по меньшей мере 89%, по меньшей мере 90%, по меньшей мере 91%, по меньшей мере 92%, по меньшей мере 93%, по меньшей мере 94%, по меньшей мере 95%, по меньшей мере 96%, по меньшей мере 97%, по меньшей мере 98%, по меньшей мере 99%, по меньшей мере 100%, по меньшей мере 101%, по меньшей мере 102%, по меньшей мере 103%, по меньшей мере 104%, по меньшей мере 105%, по меньшей мере 106%, по меньшей мере 107%, по меньшей мере 108%, по меньшей мере 109%, по меньшей мере 110%, по меньшей мере 111%, по меньшей мере 112%, по меньшей мере 113%, по меньшей мере 114%, по меньшей мере 115%, по меньшей мере 116%, по меньшей мере 117%, по меньшей мере 118%, по меньшей мере 119%, по меньшей мере 120%, по меньшей мере 121%, по меньшей мере 122%, по меньшей мере 123%, по меньшей мере 124%, по меньшей мере 125%, по меньшей мере 126%, по меньшей мере 127%, по меньшей мере 128%, по меньшей мере 129%, по меньшей мере 130%, по меньшей мере 131%, по меньшей мере 132%, по меньшей мере 133%, по меньшей мере 134%, по меньшей мере 135%, по меньшей мере 136%, по меньшей мере 137%, по меньшей мере 138%, по меньшей мере 139%, по меньшей мере 140%, по меньшей мере 141%, по меньшей мере 142%, по меньшей мере 143%, по меньшей мере 144%, по меньшей мере 145%, по меньшей мере 146%, по меньшей мере 147%, по меньшей мере 148%, по меньшей мере 149%, по меньшей мере 150%, по меньшей мере 151%, по меньшей мере 152%, по меньшей мере 153%, по меньшей мере 154%, по меньшей мере 155%, по меньшей мере 156%, по меньшей мере 157%, по меньшей мере 158%, по меньшей мере 159%, по меньшей мере 160%, по меньшей мере 161%, по меньшей мере 162%, по меньшей мере 163%, по меньшей мере 164%, по меньшей мере 165%, по меньшей мере 166%, по меньшей мере 167%, по меньшей мере 168%, по меньшей мере 169%, по меньшей мере 170%, по меньшей мере 171%, по меньшей мере 172%, по меньшей мере 173%, по меньшей мере 174%, по меньшей мере 175%, по меньшей мере 176%, по меньшей мере 177%, по меньшей мере 178%, по меньшей мере 179%, по меньшей мере 180%, по меньшей мере 190%, по меньшей мере 200%, по меньшей мере 210%, по меньшей мере 220%, по меньшей мере 230%, по меньшей мере 240%, по меньшей мере 250%, по меньшей мере 275%, по меньшей мере 300%, по меньшей мере 325%, по меньшей мере 350%, по меньшей мере 375%, по меньшей мере 400%, по меньшей мере 425%, по меньшей мере 450%, по меньшей мере 475%, по меньшей мере 500%, по меньшей мере 550%, по меньшей мере 600%, по меньшей мере 650%, по меньшей мере 700%, по меньшей мере 750%, по меньшей мере 800%, по меньшей мере 850%, по меньшей мере 900%, по меньшей мере 950%, по меньшей мере 1000%, по меньшей мере 1001%, по меньшей мере 1002%, по меньшей мере 1003%, по меньшей мере 1004%, по меньшей мере 1005%, по меньшей мере 1006%, по меньшей мере 1007%, по меньшей мере 1008%, по меньшей мере 1009%, по меньшей мере 1010%, по меньшей мере 1011%, по меньшей мере 1012%, по меньшей мере 1013%, по меньшей мере 1014%, по меньшей мере 1015%, по меньшей мере 1016%, по меньшей мере 1017%, по меньшей мере 1018%, по меньшей мере 1019%, по меньшей мере 1020%, по меньшей мере 1021%, по меньшей мере 1022% или по меньшей мере 1023% по сравнению с плацебо, как определяется с помощью ADAS-Cog, где субъект является ApoE4-положительным и где у субъекта было диагностировано наличие легкой деменции при болезни Альцгеймера. В некоторых вариантах осуществления вышеупомянутое уменьшение клинического ухудшения определяется после 1 месяца, 6 месяцев, 12 месяцев, 18 месяцев, 60 месяцев и/или 63 месяцев введения композиции, содержащей терапевтически эффективное количество по меньшей мере одного антитела к протофибриллам Aβ.

[475] В некоторых вариантах осуществления клиническое ухудшение уменьшается на 58-1023% по сравнению с плацебо, как определяется с помощью ADAS-Cog, где субъект является ApoE4-положительным и где у субъекта было диагностировано наличие легкой деменции при болезни Альцгеймера. В некоторых вариантах осуществления клиническое ухудшение уменьшается на 58% по сравнению с плацебо, как определяется с помощью ADAS-Cog, где субъект является ApoE4-положительным и где у субъекта было диагностировано наличие легкой деменции при болезни Альцгеймера. В некоторых вариантах осуществления клиническое ухудшение уменьшается на 171% по сравнению с плацебо, как определяется с помощью ADAS-Cog, где субъект является ApoE4-положительным и где у субъекта было диагностировано наличие легкой деменции при болезни Альцгеймера. В некоторых вариантах осуществления клиническое ухудшение уменьшается на 1023% по сравнению с плацебо, как определяется с помощью ADAS-Cog, где субъект является ApoE4-положительным и где у субъекта было диагностировано наличие легкой деменции при болезни Альцгеймера. В некоторых вариантах осуществления вышеупомянутое уменьшение клинического ухудшения определяется после 1 месяца, 6 месяцев, 12 месяцев, 18 месяцев, 60 месяцев и/или 63 месяцев введения композиции, содержащей терапевтически эффективное количество по меньшей мере одного антитела к протофибриллам Aβ.

[476] В некоторых вариантах осуществления клиническое ухудшение уменьшается на по меньшей мере 1%, по меньшей мере 2%, по меньшей мере 3%, по меньшей мере 4%, по меньшей мере 5%, по меньшей мере 6%, по меньшей мере 7%, по меньшей мере 8%, по меньшей мере 9%, по меньшей мере 10%, по меньшей мере 11%, по меньшей мере 12%, по меньшей мере 13%, по меньшей мере 14%, по меньшей мере 15%, по меньшей мере 16%, по меньшей мере 17%, по меньшей мере 18%, по меньшей мере 19%, по меньшей мере 20%, по меньшей мере 21%, по меньшей мере 22%, по меньшей мере 23%, по меньшей мере 24%, по меньшей мере 25%, по меньшей мере 26%, по меньшей мере 27%, по меньшей мере 28%, по меньшей мере 29%, по меньшей мере 30%, по меньшей мере 31%, по меньшей мере 32%, по меньшей мере 33%, по меньшей мере 34%, по меньшей мере 35%, по меньшей мере 36%, по меньшей мере 37%, по меньшей мере 38%, по меньшей мере 39%, по меньшей мере 40%, по меньшей мере 41%, по меньшей мере 42%, по меньшей мере 43%, по меньшей мере 44%, по меньшей мере 45%, по меньшей мере 46%, по меньшей мере 47%, по меньшей мере 48%, по меньшей мере 49%, по меньшей мере 50%, по меньшей мере 51%, по меньшей мере 52%, по меньшей мере 53%, по меньшей мере 54%, по меньшей мере 55%, по меньшей мере 56%, по меньшей мере 57%, по меньшей мере 58%, по меньшей мере 59%, по меньшей мере 60%, по меньшей мере 61%, по меньшей мере 62%, по меньшей мере 63%, по меньшей мере 64%, по меньшей мере 65%, по меньшей мере 66%, по меньшей мере 67%, по меньшей мере 68%, по меньшей мере 69%, по меньшей мере 70%, по меньшей мере 71%, по меньшей мере 72%, по меньшей мере 73%, по меньшей мере 74%, по меньшей мере 75%, по меньшей мере 76%, по меньшей мере 77%, по меньшей мере 78%, по меньшей мере 79%, по меньшей мере 80%, по меньшей мере 81%, по меньшей мере 82%, по меньшей мере 83%, по меньшей мере 84%, по меньшей мере 85%, по меньшей мере 86%, по меньшей мере 87%, по меньшей мере 88%, по меньшей мере 89%, по меньшей мере 90%, по меньшей мере 91%, по меньшей мере 92%, по меньшей мере 93%, по меньшей мере 94%, по меньшей мере 95%, по меньшей мере 96%, по меньшей мере 97%, по меньшей мере 98%, по меньшей мере 99%, по меньшей мере 100%, по меньшей мере 101%, по меньшей мере 102%, по меньшей мере 103%, по меньшей мере 104%, по меньшей мере 105%, по меньшей мере 106%, по меньшей мере 107%, по меньшей мере 108%, по меньшей мере 109%, по меньшей мере 110%, по меньшей мере 111%, по меньшей мере 112%, по меньшей мере 113%, по меньшей мере 114%, по меньшей мере 115%, по меньшей мере 116%, по меньшей мере 117%, по меньшей мере 118%, по меньшей мере 119%, по меньшей мере 120%, по меньшей мере 121%, по меньшей мере 122%, по меньшей мере 123%, по меньшей мере 124%, по меньшей мере 125%, по меньшей мере 126%, по меньшей мере 127%, по меньшей мере 128%, по меньшей мере 129%, по меньшей мере 130%, по меньшей мере 131%, по меньшей мере 132%, по меньшей мере 133%, по меньшей мере 134%, по меньшей мере 135%, по меньшей мере 136%, по меньшей мере 137%, по меньшей мере 138%, по меньшей мере 139%, по меньшей мере 140%, по меньшей мере 141%, по меньшей мере 142%, по меньшей мере 143%, по меньшей мере 144%, по меньшей мере 145%, по меньшей мере 146%, по меньшей мере 147%, по меньшей мере 148%, по меньшей мере 149%, по меньшей мере 150%, по меньшей мере 151%, по меньшей мере 152%, по меньшей мере 153%, по меньшей мере 154%, по меньшей мере 155%, по меньшей мере 156%, по меньшей мере 157%, по меньшей мере 158%, по меньшей мере 159%, по меньшей мере 160%, по меньшей мере 161%, по меньшей мере 162%, по меньшей мере 163%, по меньшей мере 164%, по меньшей мере 165%, по меньшей мере 166%, по меньшей мере 167%, по меньшей мере 168%, по меньшей мере 169%, по меньшей мере 170%, по меньшей мере 171%, по меньшей мере 172%, по меньшей мере 173% или по меньшей мере 174% по сравнению с плацебо, как определяется с помощью CDR-SB, где субъект является ApoE4-положительным и где у субъекта было диагностировано наличие легкой деменции при болезни Альцгеймера. В некоторых вариантах осуществления вышеупомянутое уменьшение клинического ухудшения определяется после 1 месяца, 6 месяцев, 12 месяцев, 18 месяцев, 60 месяцев и/или 63 месяцев введения композиции, содержащей терапевтически эффективное количество по меньшей мере одного антитела к протофибриллам Aβ.

[477] В некоторых вариантах осуществления клиническое ухудшение уменьшается на 70-200%, как, например, на 75-180% или 82-174%, по сравнению с плацебо, как определяется с помощью CDR-SB, где субъект является ApoE4-положительным и где у субъекта было диагностировано наличие легкой деменции при болезни Альцгеймера. В некоторых вариантах осуществления клиническое ухудшение уменьшается на по меньшей мере 70%, как, например, на по меньшей мере 80%, по сравнению с плацебо, как определяется с помощью CDR-SB, где субъект является ApoE4-положительным и где у субъекта было диагностировано наличие легкой деменции при болезни Альцгеймера. В некоторых вариантах осуществления клиническое ухудшение уменьшается на по меньшей мере 75%, как, например, на по меньшей мере 80% или по меньшей мере 85%, по сравнению с плацебо, как определяется с помощью CDR-SB, где субъект является ApoE4-положительным и где у субъекта было диагностировано наличие легкой деменции при болезни Альцгеймера. В некоторых вариантах осуществления клиническое ухудшение уменьшается на по меньшей мере 150%, как, например, на по меньшей мере 160% или 170%, по сравнению с плацебо, как определяется с помощью CDR-SB, где субъект является ApoE4-положительным и где у субъекта было диагностировано наличие легкой деменции при болезни Альцгеймера. В некоторых вариантах осуществления вышеупомянутое уменьшение клинического ухудшения определяется после 1 месяца, 6 месяцев, 12 месяцев, 18 месяцев, 60 месяцев и/или 63 месяцев введения композиции, содержащей терапевтически эффективное количество по меньшей мере одного антитела к протофибриллам Aβ.

[478] В некоторых вариантах осуществления клиническое ухудшение у ApoE4-положительного субъекта, у которого диагностировано наличие легкой деменции при болезни Альцгеймера, уменьшается на по меньшей мере 70%, как, например, на по меньшей мере 75%, по меньшей мере 80% или по меньшей мере 85%, по сравнению с плацебо, как определяется с помощью CDR-SB, после введения композиции, содержащей терапевтически эффективное количество по меньшей мере одного антитела к протофибриллам Aβ. В некоторых вариантах осуществления клиническое ухудшение у ApoE4-положительного субъекта, у которого диагностировано наличие легкой деменции при болезни Альцгеймера, уменьшается на по меньшей мере 130%, как, например, на по меньшей мере 140%, по меньшей мере 150%, по меньшей мере 160% или по меньшей мере 170%, по сравнению с плацебо, как определяется с помощью CDR-SB, после 12 месяцев введения композиции, содержащей терапевтически эффективное количество по меньшей мере одного антитела к протофибриллам Aβ. В некоторых вариантах осуществления клиническое ухудшение у ApoE4-положительного субъекта, у которого диагностировано наличие легкой деменции при болезни Альцгеймера, уменьшается на по меньшей мере 65%, как, например, на по меньшей мере 70%, по меньшей мере 75% или по меньшей мере 80%, по сравнению с плацебо, как определяется с помощью CDR-SB, после 18 месяцев введения композиции, содержащей терапевтически эффективное количество по меньшей мере одного антитела к протофибриллам Aβ. В некоторых вариантах осуществления композиция содержит 10 мг/кг по меньшей мере одного антитела к протофибриллам Aβ и вводится один раз в две недели или один раз в месяц. В некоторых вариантах осуществления по меньшей мере одно антитело к протофибриллам Aβ представляет собой BAN2401.

[479] В некоторых вариантах осуществления субъект является ApoE4-отрицательным.

[480] В некоторых вариантах осуществления клиническое ухудшение уменьшается на по меньшей мере 1%, по меньшей мере 2%, по меньшей мере 3%, по меньшей мере 4%, по меньшей мере 5%, по меньшей мере 6%, по меньшей мере 7%, по меньшей мере 8%, по меньшей мере 9%, по меньшей мере 10%, по меньшей мере 11% или по меньшей мере 12% по сравнению с плацебо, как определяется с помощью ADCOMS, где субъект является ApoE4-отрицательным. В некоторых вариантах осуществления вышеупомянутое уменьшение клинического ухудшения определяется после 1 месяца, 6 месяцев, 12 месяцев, 18 месяцев, 60 месяцев и/или 63 месяцев введения композиции, содержащей терапевтически эффективное количество по меньшей мере одного антитела к протофибриллам Aβ.

[481] В некоторых вариантах осуществления клиническое ухудшение уменьшается на 5-15% по сравнению с плацебо, как определяется с помощью ADCOMS, где субъект является ApoE4-отрицательным. В некоторых вариантах осуществления клиническое ухудшение уменьшается на по меньшей мере 5%, как, например, на по меньшей мере 7%, по сравнению с плацебо, как определяется с помощью ADCOMS, где субъект является ApoE4-отрицательным. В некоторых вариантах осуществления клиническое ухудшение уменьшается на по меньшей мере 10%, как, например, на по меньшей мере 12%, по сравнению с плацебо, как определяется с помощью ADCOMS, где субъект является ApoE4-отрицательным. В некоторых вариантах осуществления вышеупомянутое уменьшение клинического ухудшения определяется после 1 месяца, 6 месяцев, 12 месяцев, 18 месяцев, 60 месяцев и/или 63 месяцев введения композиции, содержащей терапевтически эффективное количество по меньшей мере одного антитела к протофибриллам Aβ.

[482] В некоторых вариантах осуществления клиническое ухудшение у ApoE4-отрицательного субъекта уменьшается на по меньшей мере -2% по сравнению с плацебо, как определяется с помощью ADCOMS, после 6 месяцев введения композиции, содержащей терапевтически эффективное количество по меньшей мере одного антитела к протофибриллам Aβ. В некоторых вариантах осуществления клиническое ухудшение у ApoE4-отрицательного субъекта уменьшается на по меньшей мере 10% по сравнению с плацебо, как определяется с помощью ADCOMS, после 12 месяцев введения композиции, содержащей терапевтически эффективное количество по меньшей мере одного антитела к протофибриллам Aβ. В некоторых вариантах осуществления клиническое ухудшение у ApoE4-отрицательного субъекта уменьшается на по меньшей мере 5%, как, например, на по меньшей мере 7%, по сравнению с плацебо, как определяется с помощью ADCOMS, после 18 месяцев введения композиции, содержащей терапевтически эффективное количество по меньшей мере одного антитела к протофибриллам Aβ. В некоторых вариантах осуществления клиническое ухудшение у ApoE4-отрицательного субъекта уменьшается на по меньшей мере 7% по сравнению с плацебо, как определяется с помощью ADCOMS, после 18 месяцев введения композиции, содержащей терапевтически эффективное количество по меньшей мере одного антитела к протофибриллам Aβ. В некоторых вариантах осуществления композиция содержит 10 мг/кг по меньшей мере одного антитела к протофибриллам Aβ и вводится один раз в две недели или один раз в месяц. В некоторых вариантах осуществления по меньшей мере одно антитело к протофибриллам Aβ представляет собой BAN2401.

[483] В некоторых вариантах осуществления клиническое ухудшение уменьшается на по меньшей мере 1%, по меньшей мере 2%, по меньшей мере 3%, по меньшей мере 4%, по меньшей мере 5%, по меньшей мере 6%, по меньшей мере 7%, по меньшей мере 8%, по меньшей мере 9%, по меньшей мере 10%, по меньшей мере 11%, по меньшей мере 12%, по меньшей мере 13%, по меньшей мере 14%, по меньшей мере 15%, по меньшей мере 16%, по меньшей мере 17%, по меньшей мере 18%, по меньшей мере 19%, по меньшей мере 20%, по меньшей мере 21%, по меньшей мере 22%, по меньшей мере 23%, по меньшей мере 24%, по меньшей мере 25%, по меньшей мере 26%, по меньшей мере 27%, по меньшей мере 28%, по меньшей мере 29%, по меньшей мере 30%, по меньшей мере 31%, по меньшей мере 32%, по меньшей мере 33%, по меньшей мере 34%, по меньшей мере 35%, по меньшей мере 36%, по меньшей мере 37%, по меньшей мере 38%, по меньшей мере 39%, по меньшей мере 40%, по меньшей мере 41%, по меньшей мере 42%, по меньшей мере 43%, по меньшей мере 44%, по меньшей мере 45%, по меньшей мере 46%, по меньшей мере 47%, по меньшей мере 48%, по меньшей мере 49%, по меньшей мере 50%, по меньшей мере 51%, по меньшей мере 52%, по меньшей мере 53%, по меньшей мере 54%, по меньшей мере 55%, по меньшей мере 56%, по меньшей мере 57%, по меньшей мере 58%, по меньшей мере 59%, по меньшей мере 60%, по меньшей мере 61%, по меньшей мере 62%, по меньшей мере 63%, по меньшей мере 64%, по меньшей мере 65%, по меньшей мере 66%, по меньшей мере 67%, по меньшей мере 68%, по меньшей мере 69%, по меньшей мере 70%, по меньшей мере 71% или по меньшей мере 72% по сравнению с плацебо, как определяется с помощью ADAS-Cog, где субъект является ApoE4-отрицательным. В некоторых вариантах осуществления вышеупомянутое уменьшение клинического ухудшения определяется после 1 месяца, 6 месяцев, 12 месяцев, 18 месяцев, 60 месяцев и/или 63 месяцев введения композиции, содержащей терапевтически эффективное количество по меньшей мере одного антитела к протофибриллам Aβ.

[484] В некоторых вариантах осуществления клиническое ухудшение уменьшается на 40-80% по сравнению с плацебо, как определяется с помощью ADAS-Cog, где субъект является ApoE4-отрицательным. В некоторых вариантах осуществления клиническое ухудшение уменьшается на по меньшей мере 35%, как, например, на по меньшей мере 40% или по меньшей мере 43%, по сравнению с плацебо, как определяется с помощью ADAS-Cog, где субъект является ApoE4-отрицательным. В некоторых вариантах осуществления клиническое ухудшение уменьшается на по меньшей мере 40%, как, например, на по меньшей мере 45% или по меньшей мере 46%, по сравнению с плацебо, как определяется с помощью ADAS-Cog, где субъект является ApoE4-отрицательным. В некоторых вариантах осуществления клиническое ухудшение уменьшается на по меньшей мере 65%, как, например, на по меньшей мере 70% или по меньшей мере 72%, по сравнению с плацебо, как определяется с помощью ADAS-Cog, где субъект является ApoE4-отрицательным. В некоторых вариантах осуществления клиническое ухудшение уменьшается на по меньшей мере 43% по сравнению с плацебо, как определяется с помощью ADAS-Cog, где субъект является ApoE4-отрицательным. В некоторых вариантах осуществления вышеупомянутое уменьшение клинического ухудшения определяется после 1 месяца, 6 месяцев, 12 месяцев, 18 месяцев, 60 месяцев и/или 63 месяцев введения композиции, содержащей терапевтически эффективное количество по меньшей мере одного антитела к протофибриллам Aβ.

[485] В некоторых вариантах осуществления клиническое ухудшение увеличивается на 7%, 6%, 5%, 4%, 3%, 2% или 1% по сравнению с плацебо, как определяется с помощью CDR-SB, где субъект является ApoE4-отрицательным. В некоторых вариантах осуществления клиническое ухудшение уменьшается на по меньшей мере 1%, по меньшей мере 2% или по меньшей мере 3% по сравнению с плацебо, как определяется с помощью CDR-SB, где субъект является ApoE4-отрицательным. В некоторых вариантах осуществления вышеупомянутое уменьшение клинического ухудшения определяется после 1 месяца, 6 месяцев, 12 месяцев, 18 месяцев, 60 месяцев и/или 63 месяцев введения композиции, содержащей терапевтически эффективное количество по меньшей мере одного антитела к протофибриллам Aβ.

[486] В некоторых вариантах осуществления клиническое ухудшение уменьшается на 3% по сравнению с плацебо, как определяется с помощью CDR-SB, где субъект является ApoE4-отрицательным. В некоторых вариантах осуществления вышеупомянутое уменьшение клинического ухудшения определяется после 1 месяца, 6 месяцев, 12 месяцев, 18 месяцев, 60 месяцев и/или 63 месяцев введения композиции, содержащей терапевтически эффективное количество по меньшей мере одного антитела к протофибриллам Aβ. В некоторых вариантах осуществления клиническое ухудшение уменьшается на по меньшей мере 1%, по меньшей мере 2%, по меньшей мере 3%, по меньшей мере 4%, по меньшей мере 5%, по меньшей мере 6%, по меньшей мере 7%, по меньшей мере 8%, по меньшей мере 9%, по меньшей мере 10%, по меньшей мере 11%, по меньшей мере 12%, по меньшей мере 13%, по меньшей мере 14%, по меньшей мере 15%, по меньшей мере 16%, по меньшей мере 17%, по меньшей мере 18%, по меньшей мере 19%, по меньшей мере 20%, по меньшей мере 21%, по меньшей мере 22%, по меньшей мере 23%, по меньшей мере 24%, по меньшей мере 25% или по меньшей мере 26% по сравнению с плацебо, как определяется с помощью ADCOMS, где субъект является ApoE4-отрицательным и где у субъекта было диагностировано наличие легкого когнитивного нарушения, с промежуточной вероятностью обусловленного болезнью Альцгеймера. В некоторых вариантах осуществления вышеупомянутое уменьшение клинического ухудшения определяется после 1 месяца, 6 месяцев, 12 месяцев, 18 месяцев, 60 месяцев и/или 63 месяцев введения композиции, содержащей терапевтически эффективное количество по меньшей мере одного антитела к протофибриллам Aβ.

[487] В некоторых вариантах осуществления клиническое ухудшение уменьшается на 15-26% по сравнению с плацебо, как определяется с помощью ADCOMS, где субъект является ApoE4-отрицательным и где у субъекта было диагностировано наличие легкого когнитивного нарушения, с промежуточной вероятностью обусловленного болезнью Альцгеймера. В некоторых вариантах осуществления клиническое ухудшение уменьшается на 15% по сравнению с плацебо, как определяется с помощью ADCOMS, где субъект является ApoE4-отрицательным и где у субъекта было диагностировано наличие легкого когнитивного нарушения, с промежуточной вероятностью обусловленного болезнью Альцгеймера. В некоторых вариантах осуществления клиническое ухудшение уменьшается на 26% по сравнению с плацебо, как определяется с помощью ADCOMS, где субъект является ApoE4-отрицательным и где у субъекта было диагностировано наличие легкого когнитивного нарушения, с промежуточной вероятностью обусловленного болезнью Альцгеймера. В некоторых вариантах осуществления вышеупомянутое уменьшение клинического ухудшения определяется после 1 месяца, 6 месяцев, 12 месяцев, 18 месяцев, 60 месяцев и/или 63 месяцев введения композиции, содержащей терапевтически эффективное количество по меньшей мере одного антитела к протофибриллам Aβ.

[488] В некоторых вариантах осуществления клиническое ухудшение уменьшается на по меньшей мере 1%, по меньшей мере 2%, по меньшей мере 3%, по меньшей мере 4%, по меньшей мере 5%, по меньшей мере 6%, по меньшей мере 7%, по меньшей мере 8%, по меньшей мере 9%, по меньшей мере 10%, по меньшей мере 11%, по меньшей мере 12%, по меньшей мере 13%, по меньшей мере 14%, по меньшей мере 15%, по меньшей мере 16%, по меньшей мере 17%, по меньшей мере 18%, по меньшей мере 19%, по меньшей мере 20%, по меньшей мере 21%, по меньшей мере 22%, по меньшей мере 23%, по меньшей мере 24%, по меньшей мере 25%, по меньшей мере 26%, по меньшей мере 27%, по меньшей мере 28%, по меньшей мере 29%, по меньшей мере 30%, по меньшей мере 31%, по меньшей мере 32%, по меньшей мере 33%, по меньшей мере 34%, по меньшей мере 35%, по меньшей мере 36%, по меньшей мере 37%, по меньшей мере 38%, по меньшей мере 39%, по меньшей мере 40%, по меньшей мере 41%, по меньшей мере 42%, по меньшей мере 43%, по меньшей мере 44%, по меньшей мере 45%, по меньшей мере 46%, по меньшей мере 47%, по меньшей мере 48%, по меньшей мере 49%, по меньшей мере 50%, по меньшей мере 51%, по меньшей мере 52%, по меньшей мере 53%, по меньшей мере 54%, по меньшей мере 55%, по меньшей мере 56%, по меньшей мере 57%, по меньшей мере 58%, по меньшей мере 59%, по меньшей мере 60%, по меньшей мере 61%, по меньшей мере 62%, по меньшей мере 63%, по меньшей мере 64%, по меньшей мере 65%, по меньшей мере 66%, по меньшей мере 67%, по меньшей мере 68%, по меньшей мере 69%, по меньшей мере 70%, по меньшей мере 71%, по меньшей мере 72%, по меньшей мере 73%, по меньшей мере 74%, по меньшей мере 75%, по меньшей мере 76%, по меньшей мере 77%, по меньшей мере 78%, по меньшей мере 79%, по меньшей мере 80%, по меньшей мере 81%, по меньшей мере 82%, по меньшей мере 83%, по меньшей мере 84%, по меньшей мере 85%, по меньшей мере 86%, по меньшей мере 87%, по меньшей мере 88%, по меньшей мере 89%, по меньшей мере 90%, по меньшей мере 91%, по меньшей мере 92%, по меньшей мере 93%, по меньшей мере 94%, по меньшей мере 95%, по меньшей мере 96%, по меньшей мере 97%, по меньшей мере 98%, по меньшей мере 99%, по меньшей мере 100%, по меньшей мере 101%, по меньшей мере 102%, по меньшей мере 103%, по меньшей мере 104%, по меньшей мере 105%, по меньшей мере 106%, по меньшей мере 107%, по меньшей мере 108%, по меньшей мере 109%, по меньшей мере 110%, по меньшей мере 115%, по меньшей мере 120%, по меньшей мере 125%, по меньшей мере 130%, по меньшей мере 135%, по меньшей мере 140%, по меньшей мере 145%, по меньшей мере 150%, по меньшей мере 155%, по меньшей мере 160%, по меньшей мере 165% или по меньшей мере 166% по сравнению с плацебо, как определяется с помощью ADAS-Cog, где субъект является ApoE4-отрицательным и где у субъекта было диагностировано наличие легкого когнитивного нарушения, с промежуточной вероятностью обусловленного болезнью Альцгеймера. В некоторых вариантах осуществления вышеупомянутое уменьшение клинического ухудшения определяется после 1 месяца, 6 месяцев, 12 месяцев, 18 месяцев, 60 месяцев и/или 63 месяцев введения композиции, содержащей терапевтически эффективное количество по меньшей мере одного антитела к протофибриллам Aβ.

[489] В некоторых вариантах осуществления клиническое ухудшение уменьшается на 50-200%, как, например, на 60-180% или 65-170%, по сравнению с плацебо, как определяется с помощью ADAS-Cog, где субъект является ApoE4-отрицательным и где у субъекта было диагностировано наличие легкого когнитивного нарушения, с промежуточной вероятностью обусловленного болезнью Альцгеймера. В некоторых вариантах осуществления клиническое ухудшение уменьшается на по меньшей мере 50%, как, например, на по меньшей мере 55% или по меньшей мере 65%, по сравнению с плацебо, как определяется с помощью ADAS-Cog, где субъект является ApoE4-отрицательным и где у субъекта было диагностировано наличие легкого когнитивного нарушения, с промежуточной вероятностью обусловленного болезнью Альцгеймера. В некоторых вариантах осуществления клиническое ухудшение уменьшается на по меньшей мере 70%, как, например, на по меньшей мере 75% или по меньшей мере 80%, по сравнению с плацебо, как определяется с помощью ADAS-Cog, где субъект является ApoE4-отрицательным и где у субъекта было диагностировано наличие легкого когнитивного нарушения, с промежуточной вероятностью обусловленного болезнью Альцгеймера. В некоторых вариантах осуществления клиническое ухудшение уменьшается на по меньшей мере 150%, как, например, на по меньшей мере 160%, по сравнению с плацебо, как определяется с помощью ADAS-Cog, где субъект является ApoE4-отрицательным и где у субъекта было диагностировано наличие легкого когнитивного нарушения, с промежуточной вероятностью обусловленного болезнью Альцгеймера. В некоторых вариантах осуществления вышеупомянутое уменьшение клинического ухудшения определяется после 1 месяца, 6 месяцев, 12 месяцев, 18 месяцев, 60 месяцев и/или 63 месяцев введения композиции, содержащей терапевтически эффективное количество по меньшей мере одного антитела к протофибриллам Aβ.

[490] В некоторых вариантах осуществления клиническое ухудшение у ApoE4-отрицательного субъекта уменьшается на по меньшей мере 150%, как, например, на по меньшей мере 160%, по сравнению с плацебо, как определяется с помощью ADAS-Cog, после 6 месяцев введения композиции, содержащей терапевтически эффективное количество по меньшей мере одного антитела к протофибриллам Aβ. В некоторых вариантах осуществления клиническое ухудшение у ApoE4-отрицательного субъекта уменьшается на по меньшей мере 70%, как, например, на по меньшей мере 75% или по меньшей мере 80%, по сравнению с плацебо, как определяется с помощью ADAS-Cog, после 12 месяцев введения композиции, содержащей терапевтически эффективное количество по меньшей мере одного антитела к протофибриллам Aβ. В некоторых вариантах осуществления клиническое ухудшение у ApoE4-отрицательного субъекта уменьшается на по меньшей мере 50%, как, например, на по меньшей мере 60% или по меньшей мере 65%, по сравнению с плацебо, как определяется с помощью ADAS-Cog, после 18 месяцев введения композиции, содержащей терапевтически эффективное количество по меньшей мере одного антитела к протофибриллам Aβ. В некоторых вариантах осуществления композиция содержит 10 мг/кг по меньшей мере одного антитела к протофибриллам Aβ и вводится один раз в две недели или один раз в месяц. В некоторых вариантах осуществления по меньшей мере одно антитело к протофибриллам Aβ представляет собой BAN2401.

[491] В некоторых вариантах осуществления клиническое ухудшение уменьшается на по меньшей мере 1%, по меньшей мере 2%, по меньшей мере 3%, по меньшей мере 4% или по меньшей мере 5% по сравнению с плацебо, как определяется с помощью CDR-SB, где субъект является ApoE4-отрицательным и где у субъекта было диагностировано наличие легкого когнитивного нарушения, с промежуточной вероятностью обусловленного болезнью Альцгеймера. В некоторых вариантах осуществления вышеупомянутое уменьшение клинического ухудшения определяется после 1 месяца, 6 месяцев, 12 месяцев, 18 месяцев, 60 месяцев и/или 63 месяцев введения композиции, содержащей терапевтически эффективное количество по меньшей мере одного антитела к протофибриллам Aβ.

[492] В некоторых вариантах осуществления клиническое ухудшение уменьшается на по меньшей мере 5% по сравнению с плацебо, как определяется с помощью CDR-SB, где субъект является ApoE4-отрицательным и где у субъекта было диагностировано наличие легкого когнитивного нарушения, с промежуточной вероятностью обусловленного болезнью Альцгеймера. В некоторых вариантах осуществления вышеупомянутое уменьшение клинического ухудшения определяется после 1 месяца, 6 месяцев, 12 месяцев, 18 месяцев, 60 месяцев и/или 63 месяцев введения композиции, содержащей терапевтически эффективное количество по меньшей мере одного антитела к протофибриллам Aβ.

[493] В некоторых вариантах осуществления клиническое ухудшение уменьшается на по меньшей мере 1%, по меньшей мере 2%, по меньшей мере 3%, по меньшей мере 4%, по меньшей мере 5%, по меньшей мере 6%, по меньшей мере 7%, по меньшей мере 8%, по меньшей мере 9%, по меньшей мере 10%, по меньшей мере 11%, по меньшей мере 12% по сравнению с плацебо, как определяется с помощью CDR-SB, где субъект является ApoE4-отрицательным и где у субъекта было диагностировано наличие легкой деменции при болезни Альцгеймера. В некоторых вариантах осуществления вышеупомянутое уменьшение клинического ухудшения определяется после 1 месяца, 6 месяцев, 12 месяцев, 18 месяцев, 60 месяцев и/или 63 месяцев введения композиции, содержащей терапевтически эффективное количество по меньшей мере одного антитела к протофибриллам Aβ.

В некоторых вариантах осуществления клиническое ухудшение уменьшается на по меньшей мере 10%, как, например, на по меньшей мере 12%, по сравнению с плацебо, как определяется с помощью CDR-SB, где субъект является ApoE4-отрицательным и где у субъекта было диагностировано наличие легкой деменции при болезни Альцгеймера. В некоторых вариантах осуществления вышеупомянутое уменьшение клинического ухудшения определяется после 1 месяца, 6 месяцев, 12 месяцев, 18 месяцев, 60 месяцев и/или 63 месяцев введения композиции, содержащей терапевтически эффективное количество по меньшей мере одного антитела к протофибриллам Aβ.

[494] В некоторых вариантах осуществления клиническое ухудшение уменьшается на 35-50% по сравнению с плацебо, как определяется с помощью ADCOMS, где субъекту не вводят параллельно по меньшей мере один лекарственный препарат для лечения болезни Альцгеймера, отличный от BAN2401. В некоторых вариантах осуществления клиническое ухудшение уменьшается на по меньшей мере 35%, как, например, на по меньшей мере 38%, по меньшей мере 40% или по меньшей мере 41%, по сравнению с плацебо, как определяется с помощью ADCOMS, где субъекту не вводят параллельно по меньшей мере один лекарственный препарат для лечения болезни Альцгеймера, отличный от BAN2401. В некоторых вариантах осуществления клиническое ухудшение уменьшается на по меньшей мере 41% по сравнению с плацебо, как определяется с помощью ADCOMS, где субъекту не вводят параллельно по меньшей мере один лекарственный препарат для лечения болезни Альцгеймера, отличный от BAN2401. В некоторых вариантах осуществления вышеупомянутое уменьшение клинического ухудшения определяется после 1 месяца, 6 месяцев, 12 месяцев, 18 месяцев, 60 месяцев и/или 63 месяцев введения композиции, содержащей терапевтически эффективное количество по меньшей мере одного антитела к протофибриллам Aβ, отличного от BAN2401.

[495] В некоторых вариантах осуществления клиническое ухудшение у субъекта, которому не вводят параллельно по меньшей мере один лекарственный препарат для лечения болезни Альцгеймера, уменьшается на по меньшей мере 41% по сравнению с плацебо, как определяется с помощью ADCOMS, после 18 месяцев введения композиции, содержащей терапевтически эффективное количество по меньшей мере одного антитела к протофибриллам Aβ. В некоторых вариантах осуществления композиция содержит 10 мг/кг по меньшей мере одного антитела к протофибриллам Aβ и вводится один раз в две недели или один раз в месяц. В некоторых вариантах осуществления по меньшей мере одно антитело к протофибриллам Aβ представляет собой BAN2401.

[496] В некоторых вариантах осуществления клиническое ухудшение уменьшается на по меньшей мере 1%, по меньшей мере 2%, по меньшей мере 3%, по меньшей мере 4%, по меньшей мере 5%, по меньшей мере 6%, по меньшей мере 7%, по меньшей мере 8%, по меньшей мере 9%, по меньшей мере 10%, по меньшей мере 11%, по меньшей мере 12%, по меньшей мере 13%, по меньшей мере 14%, по меньшей мере 15%, по меньшей мере 16%, по меньшей мере 17%, по меньшей мере 18%, по меньшей мере 19%, по меньшей мере 20%, по меньшей мере 21%, по меньшей мере 22%, по меньшей мере 23%, по меньшей мере 24%, по меньшей мере 25%, по меньшей мере 26%, по меньшей мере 27%, по меньшей мере 28%, по меньшей мере 29%, по меньшей мере 30%, по меньшей мере 31%, по меньшей мере 32%, по меньшей мере 33%, по меньшей мере 34%, по меньшей мере 35%, по меньшей мере 36%, по меньшей мере 37%, по меньшей мере 38%, по меньшей мере 39%, по меньшей мере 40%, по меньшей мере 41%, по меньшей мере 42%, по меньшей мере 43%, по меньшей мере 44%, по меньшей мере 45%, по меньшей мере 46%, по меньшей мере 47%, по меньшей мере 48%, по меньшей мере 49%, по меньшей мере 50%, по меньшей мере 51%, по меньшей мере 52%, по меньшей мере 53%, по меньшей мере 54%, по меньшей мере 55%, по меньшей мере 56%, по меньшей мере 57%, по меньшей мере 58% или по меньшей мере 59% по сравнению с плацебо, как определяется с помощью ADAS-Cog, где субъекту не вводят параллельно по меньшей мере один лекарственный препарат для лечения болезни Альцгеймера, отличный от BAN2401. В некоторых вариантах осуществления вышеупомянутое уменьшение клинического ухудшения определяется после 1 месяца, 6 месяцев, 12 месяцев, 18 месяцев, 60 месяцев и/или 63 месяцев введения композиции, содержащей терапевтически эффективное количество по меньшей мере одного антитела к протофибриллам Aβ.

[497] В некоторых вариантах осуществления клиническое ухудшение уменьшается на 50-70% по сравнению с плацебо, как определяется с помощью ADAS-Cog, где субъекту не вводят параллельно по меньшей мере один лекарственный препарат для лечения болезни Альцгеймера, отличный от BAN2401. В некоторых вариантах осуществления клиническое ухудшение уменьшается на по меньшей мере 50%, как, например, на по меньшей мере 55%, по меньшей мере 57% или по меньшей мере 59%, по сравнению с плацебо, как определяется с помощью ADAS-Cog, где субъекту не вводят параллельно по меньшей мере один лекарственный препарат для лечения болезни Альцгеймера, отличный от BAN2401. В некоторых вариантах осуществления клиническое ухудшение уменьшается на по меньшей мере 59% по сравнению с плацебо, как определяется с помощью ADAS-Cog, где субъекту не вводят параллельно по меньшей мере один лекарственный препарат для лечения болезни Альцгеймера, отличный от BAN2401. В некоторых вариантах осуществления вышеупомянутое уменьшение клинического ухудшения определяется после 1 месяца, 6 месяцев, 12 месяцев, 18 месяцев, 60 месяцев и/или 63 месяцев введения композиции, содержащей терапевтически эффективное количество по меньшей мере одного антитела к протофибриллам Aβ.

[498] В некоторых вариантах осуществления клиническое ухудшение у субъекта, которому не вводят параллельно по меньшей мере один лекарственный препарат для лечения болезни Альцгеймера, отличный от BAN2401, уменьшается на по меньшей мере 59% по сравнению с плацебо, как определяется с помощью ADAS-Cog, после 18 месяцев введения композиции, содержащей терапевтически эффективное количество по меньшей мере одного антитела к протофибриллам Aβ. В некоторых вариантах осуществления композиция содержит 10 мг/кг по меньшей мере одного антитела к протофибриллам Aβ и вводится один раз в две недели или один раз в месяц. В некоторых вариантах осуществления по меньшей мере одно антитело к протофибриллам Aβ представляет собой BAN2401.

[499] В некоторых вариантах осуществления клиническое ухудшение уменьшается на по меньшей мере 1%, по меньшей мере 2%, по меньшей мере 3%, по меньшей мере 4%, по меньшей мере 5%, по меньшей мере 6%, по меньшей мере 7%, по меньшей мере 8%, по меньшей мере 9%, по меньшей мере 10%, по меньшей мере 11%, по меньшей мере 12%, по меньшей мере 13%, по меньшей мере 14%, по меньшей мере 15%, по меньшей мере 16%, по меньшей мере 17%, по меньшей мере 18%, по меньшей мере 19%, по меньшей мере 20%, по меньшей мере 21%, по меньшей мере 22%, по меньшей мере 23%, по меньшей мере 24%, по меньшей мере 25%, по меньшей мере 26%, по меньшей мере 27%, по меньшей мере 28%, по меньшей мере 29%, по меньшей мере 30%, по меньшей мере 31%, по меньшей мере 32%, по меньшей мере 33%, по меньшей мере 34%, по меньшей мере 35%, по меньшей мере 36%, по меньшей мере 37%, по меньшей мере 38%, по меньшей мере 39%, по меньшей мере 40%, по меньшей мере 41%, по меньшей мере 42%, по меньшей мере 43%, по меньшей мере 44% или по меньшей мере 45% по сравнению с плацебо, как определяется с помощью CDR-SB, где субъекту не вводят параллельно по меньшей мере один лекарственный препарат для лечения болезни Альцгеймера, отличный от BAN2401. В некоторых вариантах осуществления вышеупомянутое уменьшение клинического ухудшения определяется после 1 месяца, 6 месяцев, 12 месяцев, 18 месяцев, 60 месяцев и/или 63 месяцев введения композиции, содержащей терапевтически эффективное количество по меньшей мере одного антитела к протофибриллам Aβ.

[500] В некоторых вариантах осуществления клиническое ухудшение уменьшается на 50-70% по сравнению с плацебо, как определяется с помощью ADAS-Cog, где субъекту не вводят параллельно по меньшей мере один лекарственный препарат для лечения болезни Альцгеймера, отличный от BAN2401. В некоторых вариантах осуществления клиническое ухудшение уменьшается на по меньшей мере 35%, как, например, на по меньшей мере 40%, по меньшей мере 42% или по меньшей мере 45%, по сравнению с плацебо, как определяется с помощью CDR-SB, где субъекту не вводят параллельно по меньшей мере один лекарственный препарат для лечения болезни Альцгеймера, отличный от BAN2401. В некоторых вариантах осуществления клиническое ухудшение уменьшается на по меньшей мере 45% по сравнению с плацебо, как определяется с помощью CDR-SB, где субъекту не вводят параллельно по меньшей мере один лекарственный препарат для лечения болезни Альцгеймера, отличный от BAN2401. В некоторых вариантах осуществления вышеупомянутое уменьшение клинического ухудшения определяется после 1 месяца, 6 месяцев, 12 месяцев, 18 месяцев, 60 месяцев и/или 63 месяцев введения композиции, содержащей терапевтически эффективное количество по меньшей мере одного антитела к протофибриллам Aβ.

[501] В некоторых вариантах осуществления клиническое ухудшение у субъекта, которому не вводят параллельно по меньшей мере один лекарственный препарат для лечения болезни Альцгеймера, отличный от BAN2401, уменьшается на по меньшей мере 45% по сравнению с плацебо, как определяется с помощью CDR-SB, после 18 месяцев введения композиции, содержащей терапевтически эффективное количество по меньшей мере одного антитела к протофибриллам Aβ. В некоторых вариантах осуществления композиция содержит 10 мг/кг по меньшей мере одного антитела к протофибриллам Aβ и вводится один раз в две недели или один раз в месяц. В некоторых вариантах осуществления по меньшей мере одно антитело к протофибриллам Aβ представляет собой BAN2401.

Предупреждение и/или задержка начала проявления болезни Альцгеймера

[502] В данном документе также предусмотрен способ предупреждения и/или задержки начала проявления болезни Альцгеймера у ApoE4-положительных субъектов. В некоторых вариантах осуществления указанный способ включает определение уровня амилоида в головном мозге субъекта и затем, в случае, если уровень амилоида в головном мозге субъекта превышает первый предварительно определенный уровень, введение композиции, содержащей терапевтически эффективное количество по меньшей мере одного антитела к протофибриллам Aβ.

[503] В некоторых вариантах осуществления способ дополнительно включает измерение уровня амилоида в головном мозге субъекта после введения.

[504] В некоторых вариантах осуществления способ дополнительно включает определение уровня Aβ1-42 в спинномозговой жидкости и/или уровня общего тау-белка в спинномозговой жидкости.

[505] В некоторых вариантах осуществления способ дополнительно включает определение уровня нейрогранина в спинномозговой жидкости.

[506] В некоторых вариантах осуществления способ дополнительно включает определение уровня легких цепей нейрофиламентов в спинномозговой жидкости.

[507] В некоторых вариантах осуществления указанный способ дополнительно включает введение композиции в случае, если уровень амилоида в головном мозге после введения превышает второй предварительно определенный уровень.

[508] В некоторых вариантах осуществления указанный способ дополнительно включает мониторинг уровня амилоида в головном мозге субъекта после введения до тех пор, пока уровень амилоида в головном мозге субъекта не станет ниже первого предварительно определенного уровня.

[509] В некоторых вариантах осуществления указанный способ дополнительно включает введение композиции в случае, если уровень Aβ1-42 в спинномозговой жидкости и/или уровень общего тау-белка в спинномозговой жидкости после введения превышает предварительно определенный уровень.

[510] В некоторых вариантах осуществления указанный способ дополнительно включает введение композиции в случае, если уровень нейрогранина в спинномозговой жидкости после введения превышает предварительно определенный уровень.

[511] В некоторых вариантах осуществления указанный способ дополнительно включает введение композиции в случае, если уровень легких цепей нейрофиламентов после введения превышает предварительно определенный уровень.

[512] В некоторых вариантах осуществления указанный способ дополнительно включает введение по меньшей мере одного дополнительного терапевтического средства. В некоторых вариантах осуществления по меньшей мере одно дополнительное терапевтическое средство выбрано из ингибиторов ВАСЕ, ингибиторов гамма-секретазы, модуляторов гамма-секретазы, ингибиторов образования пептидов Aβ, отличных от указанного по меньшей мере одного антитела к протофибриллам Aβ, средств, которые снижают уровни пептидов Aβ, отличных от указанного по меньшей мере одного антитела к протофибриллам Aβ, и их комбинации. В некоторых вариантах осуществления по меньшей мере одно дополнительное терапевтическое средство представляет собой ингибитор ВАСЕ. В некоторых вариантах осуществления ингибитор ВАСЕ выбран из CNP520, BI-1181181, LY2886721, LY3202626, PF-06751979, RG7129, атабецестата, эленбецестата, ланабецестата и верубецестата. В некоторых вариантах осуществления ингибитор ВАСЕ представляет собой эленбецестат.

[513] Любое из антител к протофибриллам Aβ, их терапевтически приемлемых количеств, схем введения их доз и содержащих их композиций, которые раскрыты в данном документе, можно применять в способе снижения уровня амилоида в головном мозге у субъекта с болезнью Альцгеймера на ранней стадии. Например, в некоторых вариантах осуществления композицию, содержащую 2,5 мг/кг, 5 мг/кг, 7,5 мг/кг или 10 мг/кг по меньшей мере одного антитела к протофибриллам Aβ, такого как BAN2401, по отношению к массе тела субъекта, вводят субъекту один раз в неделю, один раз в две недели, один раз в три недели, один раз в четыре недели или один раз в месяц.

[514] В некоторых вариантах осуществления по меньшей мере одно антитело к протофибриллам Aβ представляет собой BAN2401.

[515] В некоторых вариантах осуществления введение композиции, содержащей по меньшей мере одно антитело к протофибриллам Aβ, приводит к тому, что по меньшей мере 1%, по меньшей мере 2%, по меньшей мере 3%, по меньшей мере 4%, по меньшей мере 5%, по меньшей мере 6%, по меньшей мере 7%, по меньшей мере 8%, по меньшей мере 9%, по меньшей мере 10%, по меньшей мере 11%, по меньшей мере 12%, по меньшей мере 13%, по меньшей мере 14%, по меньшей мере 15%, по меньшей мере 16%, по меньшей мере 17%, по меньшей мере 18%, по меньшей мере 19%, по меньшей мере 20%, по меньшей мере 21%, по меньшей мере 22%, по меньшей мере 23%, по меньшей мере 24%, по меньшей мере 25%, по меньшей мере 26%, по меньшей мере 27%, по меньшей мере 28%, по меньшей мере 29%, по меньшей мере 30%, по меньшей мере 31%, по меньшей мере 32%, по меньшей мере 33%, по меньшей мере 34%, по меньшей мере 35%, по меньшей мере 36%, по меньшей мере 37%, по меньшей мере 38%, по меньшей мере 39%, по меньшей мере 40%, по меньшей мере 41%, по меньшей мере 42%, по меньшей мере 43%, по меньшей мере 44%, по меньшей мере 45%, по меньшей мере 46%, по меньшей мере 47%, по меньшей мере 48%, по меньшей мере 49%, по меньшей мере 50%, по меньшей мере 51%, по меньшей мере 52%, по меньшей мере 53%, по меньшей мере 54%, по меньшей мере 55%, по меньшей мере 56%, по меньшей мере 57%, по меньшей мере 58%, по меньшей мере 59%, по меньшей мере 60%, по меньшей мере 61%, по меньшей мере 62%, по меньшей мере 63%, по меньшей мере 64%, по меньшей мере 65%, по меньшей мере 66%, по меньшей мере 67%, по меньшей мере 68%, по меньшей мере 69%, по меньшей мере 70%, по меньшей мере 71%, по меньшей мере 72%, по меньшей мере 73%, по меньшей мере 74%, по меньшей мере 75%, по меньшей мере 76%, по меньшей мере 77%, по меньшей мере 78%, по меньшей мере 79%, по меньшей мере 80%, по меньшей мере 81%, по меньшей мере 82%, по меньшей мере 83%, по меньшей мере 84%, по меньшей мере 85%, по меньшей мере 86%, по меньшей мере 87%, по меньшей мере 88%, по меньшей мере 89%, по меньшей мере 90%, по меньшей мере 91%, по меньшей мере 92%, по меньшей мере 93%, по меньшей мере 94%, по меньшей мере 95%, по меньшей мере 96%, по меньшей мере 97%, по меньшей мере 98%, по меньшей мере 99% или 100% субъектов становятся амилоид-отрицательными, как определяется с помощью визуальных считываний PET-изображений амилоида.

[516] В некоторых вариантах осуществления введение композиции, содержащей по меньшей мере одно антитело к протофибриллам Aβ, приводит к тому, что от 75% до 100%, как, например, от 80% до 100% или от 85% до 100%, субъектов становятся амилоид-отрицательными, как определяется с помощью визуальных считываний PET-изображений амилоида. В некоторых вариантах осуществления введение композиции, содержащей по меньшей мере одно антитело к протофибриллам Aβ, приводит к тому, что по меньшей мере 75%, как, например, по меньшей мере 80% или по меньшей мере 85%, субъектов становятся амилоид-отрицательными, как определяется с помощью визуальных считываний PET-изображений амилоида. В некоторых вариантах осуществления введение композиции, содержащей по меньшей мере одно антитело к протофибриллам Aβ, приводит к тому, что 100% субъектов становятся амилоид-отрицательными, как определяется с помощью визуальных считываний PET-изображений амилоида.

[517] В некоторых вариантах осуществления по меньшей мере 75%, как, например, по меньшей мере 80% или по меньшей мере 85%, субъектов являются амилоид-отрицательными, как определяется с помощью визуальных считываний PET-изображений амилоида, после 12 месяцев введения композиции, содержащей терапевтически эффективное количество по меньшей мере одного антитела к протофибриллам Aβ. В некоторых вариантах осуществления по меньшей мере 75%, как, например, по меньшей мере 80%, по меньшей мере 85%, по меньшей мере 90% или по меньшей мере 95%, субъектов являются амилоид-отрицательными, как определяется с помощью визуальных считываний PET-изображений амилоида, после 18 месяцев введения композиции, содержащей терапевтически эффективное количество по меньшей мере одного антитела к протофибриллам Aβ. В некоторых вариантах осуществления композиция содержит 10 мг/кг по меньшей мере одного антитела к протофибриллам Aβ и вводится один раз в две недели или один раз в месяц. В некоторых вариантах осуществления по меньшей мере одно антитело к протофибриллам Aβ представляет собой BAN2401.

[518] В некоторых вариантах осуществления способ приводит к снижению уровня амилоида в головном мозге после введения по сравнению с уровнем амилоида в головном мозге до введения. В некоторых вариантах осуществления уровень амилоида в головном мозге снижается на по меньшей мере 1%, по меньшей мере 2%, по меньшей мере 3%, по меньшей мере 4%, по меньшей мере 5%, по меньшей мере 6%, по меньшей мере 7%, по меньшей мере 8%, по меньшей мере 9%, по меньшей мере 10%, по меньшей мере 11%, по меньшей мере 12%, по меньшей мере 13%, по меньшей мере 14%, по меньшей мере 15%, по меньшей мере 16%, по меньшей мере 17%, по меньшей мере 18%, по меньшей мере 19%, по меньшей мере 20%, по меньшей мере 21%, по меньшей мере 22%, по меньшей мере 23%, по меньшей мере 24%, по меньшей мере 25%, по меньшей мере 26%, по меньшей мере 27%, по меньшей мере 28%, по меньшей мере 29%, по меньшей мере 30%, по меньшей мере 31%, по меньшей мере 32%, по меньшей мере 33%, по меньшей мере 34%, по меньшей мере 35%, по меньшей мере 36%, по меньшей мере 37%, по меньшей мере 38%, по меньшей мере 39%, по меньшей мере 40%, по меньшей мере 41%, по меньшей мере 42%, по меньшей мере 43%, по меньшей мере 44%, по меньшей мере 45%, по меньшей мере 46%, по меньшей мере 47%, по меньшей мере 48%, по меньшей мере 49%, по меньшей мере 50%, по меньшей мере 51%, по меньшей мере 52%, по меньшей мере 53%, по меньшей мере 54%, по меньшей мере 55%, по меньшей мере 56%, по меньшей мере 57%, по меньшей мере 58%, по меньшей мере 59%, по меньшей мере 60%, по меньшей мере 61%, по меньшей мере 62%, по меньшей мере 63%, по меньшей мере 64%, по меньшей мере 65%, по меньшей мере 66%, по меньшей мере 67%, по меньшей мере 68%, по меньшей мере 69%, по меньшей мере 70%, по меньшей мере 71%, по меньшей мере 72%, по меньшей мере 73%, по меньшей мере 74%, по меньшей мере 75%, по меньшей мере 76%, по меньшей мере 77%, по меньшей мере 78%, по меньшей мере 79%, по меньшей мере 80%, по меньшей мере 81%, по меньшей мере 82%, по меньшей мере 83%, по меньшей мере 84%, по меньшей мере 85%, по меньшей мере 86%, по меньшей мере 87%, по меньшей мере 88%, по меньшей мере 89%, по меньшей мере 90%, по меньшей мере 91%, по меньшей мере 92%, по меньшей мере 93%, по меньшей мере 94%, по меньшей мере 95%, по меньшей мере 96%, по меньшей мере 97%, по меньшей мере 98%, по меньшей мере 99% или 100% по сравнению с уровнем амилоида в головном мозге до указанного введения. В некоторых вариантах осуществления вышеупомянутое снижение уровней амилоида в головном мозге определяется с помощью визуальных считываний PET-изображений амилоида и выражаются в виде показателей стандартизированного значения накопления согласно PET (значений SUVr).

[519] В некоторых вариантах осуществления скорректированное среднее изменение значения SUVr согласно PET у субъекта по сравнению с уровнем амилоида в головном мозге до введения композиции, содержащей по меньшей мере одно антитело к протофибриллам Aβ, уменьшается на по меньшей мере -0,10, по меньшей мере -0,15, по меньшей мере -0,20, по меньшей мере -0,25, по меньшей мере -0,30, по меньшей мере -0,35, по меньшей мере -0,40, по меньшей мере -0,45, по меньшей мере -0,50, по меньшей мере -0,55, по меньшей мере -0,60, по меньшей мере -0,65, по меньшей мере -0,70, по меньшей мере -0,75, по меньшей мере -0,80, по меньшей мере -0,85, по меньшей мере -0,90 или по меньшей мере -0,95. В некоторых вариантах осуществления скорректированное среднее изменение значения SUVr согласно PET у субъекта относительно уровня амилоида в головном мозге до введения композиции, содержащей по меньшей мере одно антитело к протофибриллам Aβ, уменьшается на величину от -0,20 до -0,30.

[520] В некоторых вариантах осуществления при сравнении общего среднего показателя для коры головного мозга и эталонного показателя для всего мозжечка скорректированное среднее изменение значения SUVr согласно PET у субъекта относительно уровня амилоида в головном мозге до введения композиции, содержащей по меньшей мере одно антитело к протофибриллам Aβ, уменьшается на по меньшей мере -0,20, как, например, на по меньшей мере -0,25, после 12 месяцев введения композиции, содержащей терапевтически эффективное количество по меньшей мере одного антитела к протофибриллам Aβ. В некоторых вариантах осуществления скорректированное среднее изменение значения SUVr согласно PET у субъекта по сравнению со значением SUVr согласно PET у субъекта до введения уменьшается на по меньшей мере -0,25, как, например, на по меньшей мере -0,30, после 18 месяцев введения композиции, содержащей терапевтически эффективное количество по меньшей мере одного антитела к протофибриллам Aβ.

[521] В некоторых вариантах осуществления снижение уровня амилоида в головном мозге определяют с помощью визуализации с использованием радиоактивных индикаторов, связывающих амилоид Аβ головного мозга, и визуализируют с помощью PET. В некоторых вариантах осуществления уменьшение скорректированного среднего изменения относительно уровня у субъекта до введения композиции, содержащей терапевтически эффективное количество по меньшей мере одного антитела к протофибриллам Aβ, составляет по меньшей мере -50, как, например, по меньшей мере -55 или по меньшей мере -59, центилоидов после 12 месяцев введения композиции, содержащей терапевтически эффективное количество по меньшей мере одного антитела к протофибриллам Aβ. В некоторых вариантах осуществления уменьшение скорректированного среднего изменения относительно уровня у субъекта до введения композиции, содержащей терапевтически эффективное количество по меньшей мере одного антитела к протофибриллам Aβ, составляет по меньшей мере -60, как, например, по меньшей мере -65 или по меньшей мере -70, центилоидов после 18 месяцев введения композиции, содержащей терапевтически эффективное количество по меньшей мере одного антитела к протофибриллам Aβ.

[522] В некоторых вариантах осуществления способ приводит к снижению уровня Aβ1-42 в спинномозговой жидкости по сравнению с уровнем Aβ1-42 в спинномозговой жидкости до введения. В некоторых вариантах осуществления способ приводит к снижению уровня Aβ1-42 в спинномозговой жидкости по сравнению с уровнем Aβ1-42 в спинномозговой жидкости до введения, составляющему по меньшей мере 1%, по меньшей мере 2%, по меньшей мере 3%, по меньшей мере 4%, по меньшей мере 5%, по меньшей мере 6%, по меньшей мере 7%, по меньшей мере 8%, по меньшей мере 9%, по меньшей мере 10%, по меньшей мере 11%, по меньшей мере 12%, по меньшей мере 13%, по меньшей мере 14%, по меньшей мере 15%, по меньшей мере 16%, по меньшей мере 17%, по меньшей мере 18%, по меньшей мере 19%, по меньшей мере 20%, по меньшей мере 21%, по меньшей мере 22%, по меньшей мере 23%, по меньшей мере 24%, по меньшей мере 25%, по меньшей мере 26%, по меньшей мере 27%, по меньшей мере 28%, по меньшей мере 29%, по меньшей мере 30%, по меньшей мере 31%, по меньшей мере 32%, по меньшей мере 33%, по меньшей мере 34%, по меньшей мере 35%, по меньшей мере 36%, по меньшей мере 37%, по меньшей мере 38%, по меньшей мере 39%, по меньшей мере 40%, по меньшей мере 41%, по меньшей мере 42%, по меньшей мере 43%, по меньшей мере 44%, по меньшей мере 45%, по меньшей мере 46%, по меньшей мере 47%, по меньшей мере 48%, по меньшей мере 49%, по меньшей мере 50%, по меньшей мере 51%, по меньшей мере 52%, по меньшей мере 53%, по меньшей мере 54%, по меньшей мере 55%, по меньшей мере 56%, по меньшей мере 57%, по меньшей мере 58%, по меньшей мере 59%, по меньшей мере 60%, по меньшей мере 61%, по меньшей мере 62%, по меньшей мере 63%, по меньшей мере 64%, по меньшей мере 65%, по меньшей мере 66%, по меньшей мере 67%, по меньшей мере 68%, по меньшей мере 69%, по меньшей мере 70%, по меньшей мере 71%, по меньшей мере 72%, по меньшей мере 73%, по меньшей мере 74%, по меньшей мере 75%, по меньшей мере 76%, по меньшей мере 77%, по меньшей мере 78%, по меньшей мере 79%, по меньшей мере 80%, по меньшей мере 81%, по меньшей мере 82%, по меньшей мере 83%, по меньшей мере 84%, по меньшей мере 85%, по меньшей мере 86%, по меньшей мере 87%, по меньшей мере 88%, по меньшей мере 89%, по меньшей мере 90%, по меньшей мере 91%, по меньшей мере 92%, по меньшей мере 93%, по меньшей мере 94%, по меньшей мере 95%, по меньшей мере 96%, по меньшей мере 97%, по меньшей мере 98%, по меньшей мере 99% или 100%.

[523] В некоторых вариантах осуществления введение композиции, содержащей по меньшей мере одно антитело к протофибриллам Aβ, приводит к снижению уровня амилоида в головном мозге по сравнению с уровнем амилоида в головном мозге до введения композиции, содержащей по меньшей мере одно антитело к протофибриллам Aβ, составляющему от -0,20 до -0,45, как, например, от -0,25 до -0,35, как определяется с помощью визуальных считываний PET-изображений амилоида. В некоторых вариантах осуществления введение композиции, содержащей по меньшей мере одно антитело к протофибриллам Aβ, приводит к снижению уровня амилоида в головном мозге по сравнению с уровнем амилоида в головном мозге до введения композиции, содержащей по меньшей мере одно антитело к протофибриллам Aβ, составляющему по меньшей мере -0,25, как определяется с помощью визуальных считываний PET-изображений амилоида. В некоторых вариантах осуществления введение композиции, содержащей по меньшей мере одно антитело к протофибриллам Aβ, приводит к снижению уровня амилоида в головном мозге по сравнению с уровнем амилоида в головном мозге до введения композиции, содержащей по меньшей мере одно антитело к протофибриллам Aβ, составляющему по меньшей мере 0,30, как определяется с помощью визуальных считываний PET-изображений амилоида.

[524] В данном документе также предусмотрен другой способ предупреждения и/или задержки начала проявления болезни Альцгеймера у ApoE4-положительных субъектов. В некоторых вариантах осуществления указанный способ включает определение уровня амилоида в головном мозге субъекта и затем, в случае, если уровень амилоида в головном мозге субъекта превышает первый предварительно определенный уровень, введение композиции, содержащей терапевтически эффективное количество по меньшей мере одного антитела к протофибриллам Aβ, и композиции, содержащей терапевтически эффективное количество по меньшей мере одного терапевтического средства, выбранного из ингибиторов ВАСЕ, ингибиторов гамма-секретазы, модуляторов гамма-секретазы, ингибиторов образования пептидов Aβ, отличных от указанного по меньшей мере одного антитела к протофибриллам Aβ, и средств, которые снижают уровни пептидов Aβ, отличных от указанного по меньшей мере одного антитела к протофибриллам Aβ.

[525] В некоторых вариантах осуществления способ дополнительно включает измерение уровня амилоида в головном мозге субъекта после введения.

[526] В некоторых вариантах осуществления способ дополнительно включает определение уровня Aβ1-42 в спинномозговой жидкости и/или уровня общего тау-белка в спинномозговой жидкости.

[527] В некоторых вариантах осуществления способ дополнительно включает определение уровня нейрогранина в спинномозговой жидкости.

[528] В некоторых вариантах осуществления способ дополнительно включает определение уровня легких цепей нейрофиламентов в спинномозговой жидкости.

[529] В некоторых вариантах осуществления указанный способ дополнительно включает введение композиции, содержащей терапевтически эффективное количество по меньшей мере одного антитела к протофибриллам Aβ, и композиции, содержащей терапевтически эффективное количество по меньшей мере одного терапевтического средства, выбранного из ингибиторов ВАСЕ, ингибиторов гамма-секретазы, модуляторов гамма-секретазы, ингибиторов образования пептидов Aβ, отличных от указанного по меньшей мере одного антитела к протофибриллам Aβ, и средств, которые снижают уровни пептидов Aβ, отличных от указанного по меньшей мере одного антитела к протофибриллам Aβ, в случае, если уровень амилоида в головном мозге после введения превышает второй предварительно определенный уровень.

[530] В некоторых вариантах осуществления указанный способ дополнительно включает введение композиции в случае, если уровень Aβ1-42 в спинномозговой жидкости и/или уровень общего тау-белка в спинномозговой жидкости после введения превышает предварительно определенный уровень.

[531] В некоторых вариантах осуществления указанный способ дополнительно включает введение композиции в случае, если уровень нейрогранина в спинномозговой жидкости после введения превышает предварительно определенный уровень.

[532] В некоторых вариантах осуществления указанный способ дополнительно включает введение композиции в случае, если уровень легких цепей нейрофиламентов в спинномозговой жидкости после введения превышает предварительно определенный уровень.

[533] В некоторых вариантах осуществления указанный способ дополнительно включает мониторинг уровня амилоида в головном мозге субъекта после введения до тех пор, пока уровень амилоида в головном мозге субъекта не станет ниже первого предварительно определенного уровня.

[534] В некоторых вариантах осуществления указанный способ дополнительно включает введение по меньшей мере одного дополнительного терапевтического средства. В некоторых вариантах осуществления по меньшей мере одно дополнительное терапевтическое средство выбрано из ингибиторов ВАСЕ, ингибиторов гамма-секретазы, модуляторов гамма-секретазы, ингибиторов образования пептидов Aβ, отличных от указанного по меньшей мере одного антитела к протофибриллам Aβ, средств, которые снижают уровни пептидов Aβ, отличных от указанного по меньшей мере одного антитела к протофибриллам Aβ, и их комбинации.

[535] В некоторых вариантах осуществления по меньшей мере одно дополнительное терапевтическое средство представляет собой ингибитор ВАСЕ. В некоторых вариантах осуществления ингибитор ВАСЕ представляет собой эленбецестат.

[536] Любое из антител к протофибриллам Aβ, их терапевтически приемлемых количеств, схем введения их доз и содержащих их композиций, которые раскрыты в данном документе, можно применять в способе снижения уровня амилоида в головном мозге у субъекта с болезнью Альцгеймера на ранней стадии. Например, в некоторых вариантах осуществления композицию, содержащую 2,5 мг/кг, 5 мг/кг, 7,5 мг/кг или 10 мг/кг по меньшей мере одного антитела к протофибриллам Aβ, такого как BAN2401, по отношению к массе тела субъекта, вводят субъекту один раз в неделю, один раз в две недели, один раз в три недели, один раз в четыре недели или один раз в месяц.

[537] В некоторых вариантах осуществления по меньшей мере одно антитело к протофибриллам Aβ представляет собой BAN2401.

[538] В некоторых вариантах осуществления по меньшей мере одно терапевтическое средство представляет собой ингибитор ВАСЕ. В некоторых вариантах осуществления ингибитор ВАСЕ представляет собой эленбецестат.

[539] В некоторых вариантах осуществления введение композиции, содержащей по меньшей мере одно антитело к протофибриллам Aβ, и композиции, содержащей терапевтически эффективное количество по меньшей мере одного терапевтического средства, приводит к тому, что по меньшей мере 1%, по меньшей мере 2%, по меньшей мере 3%, по меньшей мере 4%, по меньшей мере 5%, по меньшей мере 6%, по меньшей мере 7%, по меньшей мере 8%, по меньшей мере 9%, по меньшей мере 10%, по меньшей мере 11%, по меньшей мере 12%, по меньшей мере 13%, по меньшей мере 14%, по меньшей мере 15%, по меньшей мере 16%, по меньшей мере 17%, по меньшей мере 18%, по меньшей мере 19%, по меньшей мере 20%, по меньшей мере 21%, по меньшей мере 22%, по меньшей мере 23%, по меньшей мере 24%, по меньшей мере 25%, по меньшей мере 26%, по меньшей мере 27%, по меньшей мере 28%, по меньшей мере 29%, по меньшей мере 30%, по меньшей мере 31%, по меньшей мере 32%, по меньшей мере 33%, по меньшей мере 34%, по меньшей мере 35%, по меньшей мере 36%, по меньшей мере 37%, по меньшей мере 38%, по меньшей мере 39%, по меньшей мере 40%, по меньшей мере 41%, по меньшей мере 42%, по меньшей мере 43%, по меньшей мере 44%, по меньшей мере 45%, по меньшей мере 46%, по меньшей мере 47%, по меньшей мере 48%, по меньшей мере 49%, по меньшей мере 50%, по меньшей мере 51%, по меньшей мере 52%, по меньшей мере 53%, по меньшей мере 54%, по меньшей мере 55%, по меньшей мере 56%, по меньшей мере 57%, по меньшей мере 58%, по меньшей мере 59%, по меньшей мере 60%, по меньшей мере 61%, по меньшей мере 62%, по меньшей мере 63%, по меньшей мере 64%, по меньшей мере 65%, по меньшей мере 66%, по меньшей мере 67%, по меньшей мере 68%, по меньшей мере 69%, по меньшей мере 70%, по меньшей мере 71%, по меньшей мере 72%, по меньшей мере 73%, по меньшей мере 74%, по меньшей мере 75%, по меньшей мере 76%, по меньшей мере 77%, по меньшей мере 78%, по меньшей мере 79%, по меньшей мере 80%, по меньшей мере 81%, по меньшей мере 82%, по меньшей мере 83%, по меньшей мере 84%, по меньшей мере 85%, по меньшей мере 86%, по меньшей мере 87%, по меньшей мере 88%, по меньшей мере 89%, по меньшей мере 90%, по меньшей мере 91%, по меньшей мере 92%, по меньшей мере 93%, по меньшей мере 94%, по меньшей мере 95%, по меньшей мере 96%, по меньшей мере 97%, по меньшей мере 98%, по меньшей мере 99% или 100% субъектов становятся амилоид-отрицательными, как определяется с помощью визуальных считываний PET-изображений амилоида.

[540] В некоторых вариантах осуществления введение композиции, содержащей по меньшей мере одно антитело к протофибриллам Aβ, и композиции, содержащей терапевтически эффективное количество по меньшей мере одного терапевтического средства, приводит к тому, что от 75% до 100%, как, например, от 80% до 100% или от 85% до 100%, субъектов становятся амилоид-отрицательными, как определяется с помощью визуальных считываний PET-изображений амилоида. В некоторых вариантах осуществления введение композиции, содержащей по меньшей мере одно антитело к протофибриллам Aβ, и композиции, содержащей терапевтически эффективное количество по меньшей мере одного терапевтического средства, приводит к тому, что по меньшей мере 75%, как, например, по меньшей мере 80% или по меньшей мере 85%, субъектов становятся амилоид-отрицательными, как определяется с помощью визуальных считываний PET-изображений амилоида. В некоторых вариантах осуществления введение композиции, содержащей по меньшей мере одно антитело к протофибриллам Aβ, и композиции, содержащей терапевтически эффективное количество по меньшей мере одного терапевтического средства, приводит к тому, что 100% субъектов становятся амилоид-отрицательными, как определяется с помощью визуальных считываний PET-изображений амилоида.

[541] В некоторых вариантах осуществления по меньшей мере 75%, как, например, по меньшей мере 80% или по меньшей мере 85%, субъектов являются амилоид-отрицательными, как определяется с помощью визуальных считываний PET-изображений амилоида, после 12 месяцев введения композиции, содержащей терапевтически эффективное количество по меньшей мере одного антитела к протофибриллам Aβ, и композиции, содержащей терапевтически эффективное количество по меньшей мере одного терапевтического средства. В некоторых вариантах осуществления по меньшей мере 75%, как, например, по меньшей мере 80%, по меньшей мере 85%, по меньшей мере 90% или по меньшей мере 95%, субъектов являются амилоид-отрицательными, как определяется с помощью визуальных считываний PET-изображений амилоида, после 18 месяцев введения композиции, содержащей терапевтически эффективное количество по меньшей мере одного антитела к протофибриллам Aβ, и композиции, содержащей терапевтически эффективное количество по меньшей мере одного терапевтического средства. В некоторых вариантах осуществления композиция содержит 10 мг/кг по меньшей мере одного антитела к протофибриллам Aβ и вводится один раз в две недели или один раз в месяц. В некоторых вариантах осуществления по меньшей мере одно антитело к протофибриллам Aβ представляет собой BAN2401.

[542] В некоторых вариантах осуществления способ приводит к снижению уровня амилоида в головном мозге после введения по сравнению с уровнем амилоида в головном мозге до введения. В некоторых вариантах осуществления уровень амилоида в головном мозге снижается на по меньшей мере 1%, по меньшей мере 2%, по меньшей мере 3%, по меньшей мере 4%, по меньшей мере 5%, по меньшей мере 6%, по меньшей мере 7%, по меньшей мере 8%, по меньшей мере 9%, по меньшей мере 10%, по меньшей мере 11%, по меньшей мере 12%, по меньшей мере 13%, по меньшей мере 14%, по меньшей мере 15%, по меньшей мере 16%, по меньшей мере 17%, по меньшей мере 18%, по меньшей мере 19%, по меньшей мере 20%, по меньшей мере 21%, по меньшей мере 22%, по меньшей мере 23%, по меньшей мере 24%, по меньшей мере 25%, по меньшей мере 26%, по меньшей мере 27%, по меньшей мере 28%, по меньшей мере 29%, по меньшей мере 30%, по меньшей мере 31%, по меньшей мере 32%, по меньшей мере 33%, по меньшей мере 34%, по меньшей мере 35%, по меньшей мере 36%, по меньшей мере 37%, по меньшей мере 38%, по меньшей мере 39%, по меньшей мере 40%, по меньшей мере 41%, по меньшей мере 42%, по меньшей мере 43%, по меньшей мере 44%, по меньшей мере 45%, по меньшей мере 46%, по меньшей мере 47%, по меньшей мере 48%, по меньшей мере 49%, по меньшей мере 50%, по меньшей мере 51%, по меньшей мере 52%, по меньшей мере 53%, по меньшей мере 54%, по меньшей мере 55%, по меньшей мере 56%, по меньшей мере 57%, по меньшей мере 58%, по меньшей мере 59%, по меньшей мере 60%, по меньшей мере 61%, по меньшей мере 62%, по меньшей мере 63%, по меньшей мере 64%, по меньшей мере 65%, по меньшей мере 66%, по меньшей мере 67%, по меньшей мере 68%, по меньшей мере 69%, по меньшей мере 70%, по меньшей мере 71%, по меньшей мере 72%, по меньшей мере 73%, по меньшей мере 74%, по меньшей мере 75%, по меньшей мере 76%, по меньшей мере 77%, по меньшей мере 78%, по меньшей мере 79%, по меньшей мере 80%, по меньшей мере 81%, по меньшей мере 82%, по меньшей мере 83%, по меньшей мере 84%, по меньшей мере 85%, по меньшей мере 86%, по меньшей мере 87%, по меньшей мере 88%, по меньшей мере 89%, по меньшей мере 90%, по меньшей мере 91%, по меньшей мере 92%, по меньшей мере 93%, по меньшей мере 94%, по меньшей мере 95%, по меньшей мере 96%, по меньшей мере 97%, по меньшей мере 98%, по меньшей мере 99% или 100% по сравнению с уровнем амилоида в головном мозге до указанного введения. В некоторых вариантах осуществления вышеупомянутое снижение уровней амилоида в головном мозге определяется с помощью визуальных считываний PET-изображений амилоида и выражаются в виде показателей стандартизированного значения накопления согласно PET (значений SUVr).

[543] В некоторых вариантах осуществления скорректированное среднее изменение значения SUVr согласно PET у субъекта по сравнению с уровнем амилоида в головном мозге до введения композиции, содержащей по меньшей мере одно антитело к протофибриллам Aβ, и композиции, содержащей терапевтически эффективное количество по меньшей мере одного терапевтического средства, уменьшается на по меньшей мере -0,10, по меньшей мере -0,15, по меньшей мере -0,20, по меньшей мере -0,25, по меньшей мере -0,30, по меньшей мере -0,35, по меньшей мере -0,40, по меньшей мере -0,45, по меньшей мере -0,50, по меньшей мере -0,55, по меньшей мере -0,60, по меньшей мере -0,65, по меньшей мере -0,70, по меньшей мере -0,75, по меньшей мере -0,80, по меньшей мере -0,85, по меньшей мере -0,90 или по меньшей мере -0,95. В некоторых вариантах осуществления скорректированное среднее изменение значения SUVr согласно PET у субъекта относительно уровня амилоида в головном мозге до введения композиции, содержащей по меньшей мере одно антитело к протофибриллам Aβ, и композиции, содержащей терапевтически эффективное количество по меньшей мере одного терапевтического средства, уменьшается на величину от -0,20 до -0,30.

[544] В некоторых вариантах осуществления при сравнении общего среднего показателя для коры головного мозга и эталонного показателя для всего мозжечка скорректированное среднее изменение значения SUVr согласно PET у субъекта относительно уровня амилоида в головном мозге до введения композиции, содержащей по меньшей мере одно антитело к протофибриллам Aβ, и композиции, содержащей терапевтически эффективное количество по меньшей мере одного терапевтического средства, уменьшается на по меньшей мере -0,20, как, например, на по меньшей мере -0,25, после 12 месяцев введения композиции, содержащей терапевтически эффективное количество по меньшей мере одного антитела к протофибриллам Aβ, и композиции, содержащей терапевтически эффективное количество по меньшей мере одного терапевтического средства. В некоторых вариантах осуществления скорректированное среднее изменение значения SUVr согласно PET у субъекта по сравнению со значением SUVr согласно PET у субъекта до введения уменьшается на по меньшей мере -0,25, как, например, на по меньшей мере -0,30, после 18 месяцев введения композиции, содержащей терапевтически эффективное количество по меньшей мере одного антитела к протофибриллам Aβ, и композиции, содержащей терапевтически эффективное количество по меньшей мере одного терапевтического средства.

[545] В некоторых вариантах осуществления снижение уровня амилоида в головном мозге определяют с помощью визуализации с использованием радиоактивных индикаторов, связывающих амилоид Аβ головного мозга, и визуализируют с помощью PET. В некоторых вариантах осуществления уменьшение скорректированного среднего изменения относительно уровня у субъекта до введения композиции, содержащей терапевтически эффективное количество по меньшей мере одного антитела к протофибриллам Aβ, и композиции, содержащей терапевтически эффективное количество по меньшей мере одного терапевтического средства, составляет по меньшей мере -50, как, например, по меньшей мере -55 или по меньшей мере -59, центилоидов после 12 месяцев введения композиции, содержащей терапевтически эффективное количество по меньшей мере одного антитела к протофибриллам Aβ, и композиции, содержащей терапевтически эффективное количество по меньшей мере одного терапевтического средства. В некоторых вариантах осуществления уменьшение скорректированного среднего изменения относительно уровня у субъекта до введения композиции, содержащей терапевтически эффективное количество по меньшей мере одного антитела к протофибриллам Aβ, составляет по меньшей мере -60, как, например, по меньшей мере -65 или по меньшей мере -70, центилоидов после 18 месяцев введения композиции, содержащей терапевтически эффективное количество по меньшей мере одного антитела к протофибриллам Aβ, и композиции, содержащей терапевтически эффективное количество по меньшей мере одного терапевтического средства.

[546] В некоторых вариантах осуществления способ приводит к снижению уровня Aβ1-42 в спинномозговой жидкости по сравнению с уровнем Aβ1-42 в спинномозговой жидкости до введения. В некоторых вариантах осуществления способ приводит к снижению уровня Aβ1-42 в спинномозговой жидкости по сравнению с уровнем Aβ1-42 в спинномозговой жидкости до введения, составляющему по меньшей мере 1%, по меньшей мере 2%, по меньшей мере 3%, по меньшей мере 4%, по меньшей мере 5%, по меньшей мере 6%, по меньшей мере 7%, по меньшей мере 8%, по меньшей мере 9%, по меньшей мере 10%, по меньшей мере 11%, по меньшей мере 12%, по меньшей мере 13%, по меньшей мере 14%, по меньшей мере 15%, по меньшей мере 16%, по меньшей мере 17%, по меньшей мере 18%, по меньшей мере 19%, по меньшей мере 20%, по меньшей мере 21%, по меньшей мере 22%, по меньшей мере 23%, по меньшей мере 24%, по меньшей мере 25%, по меньшей мере 26%, по меньшей мере 27%, по меньшей мере 28%, по меньшей мере 29%, по меньшей мере 30%, по меньшей мере 31%, по меньшей мере 32%, по меньшей мере 33%, по меньшей мере 34%, по меньшей мере 35%, по меньшей мере 36%, по меньшей мере 37%, по меньшей мере 38%, по меньшей мере 39%, по меньшей мере 40%, по меньшей мере 41%, по меньшей мере 42%, по меньшей мере 43%, по меньшей мере 44%, по меньшей мере 45%, по меньшей мере 46%, по меньшей мере 47%, по меньшей мере 48%, по меньшей мере 49%, по меньшей мере 50%, по меньшей мере 51%, по меньшей мере 52%, по меньшей мере 53%, по меньшей мере 54%, по меньшей мере 55%, по меньшей мере 56%, по меньшей мере 57%, по меньшей мере 58%, по меньшей мере 59%, по меньшей мере 60%, по меньшей мере 61%, по меньшей мере 62%, по меньшей мере 63%, по меньшей мере 64%, по меньшей мере 65%, по меньшей мере 66%, по меньшей мере 67%, по меньшей мере 68%, по меньшей мере 69%, по меньшей мере 70%, по меньшей мере 71%, по меньшей мере 72%, по меньшей мере 73%, по меньшей мере 74%, по меньшей мере 75%, по меньшей мере 76%, по меньшей мере 77%, по меньшей мере 78%, по меньшей мере 79%, по меньшей мере 80%, по меньшей мере 81%, по меньшей мере 82%, по меньшей мере 83%, по меньшей мере 84%, по меньшей мере 85%, по меньшей мере 86%, по меньшей мере 87%, по меньшей мере 88%, по меньшей мере 89%, по меньшей мере 90%, по меньшей мере 91%, по меньшей мере 92%, по меньшей мере 93%, по меньшей мере 94%, по меньшей мере 95%, по меньшей мере 96%, по меньшей мере 97%, по меньшей мере 98%, по меньшей мере 99% или 100%.

[547] В некоторых вариантах осуществления введение композиции, содержащей по меньшей мере одно антитело к протофибриллам Aβ, и композиции, содержащей терапевтически эффективное количество по меньшей мере одного терапевтического средства, приводит к снижению уровня амилоида в головном мозге по сравнению с уровнем амилоида в головном мозге до введения композиции, содержащей по меньшей мере одно антитело к протофибриллам Aβ, и композиции, содержащей терапевтически эффективное количество по меньшей мере одного терапевтического средства, составляющему от -0,20 до -0,45, как, например, от -0,25 до -0,35, как определяется с помощью визуальных считываний PET-изображений амилоида. В некоторых вариантах осуществления введение композиции, содержащей по меньшей мере одно антитело к протофибриллам Aβ, и композиции, содержащей терапевтически эффективное количество по меньшей мере одного терапевтического средства, приводит к снижению уровня амилоида в головном мозге по сравнению с уровнем амилоида в головном мозге до введения композиции, содержащей по меньшей мере одно антитело к протофибриллам Aβ, составляющему по меньшей мере -0,25, как определяется с помощью визуальных считываний PET-изображений амилоида. В некоторых вариантах осуществления введение композиции, содержащей по меньшей мере одно антитело к протофибриллам Aβ, и композиции, содержащей терапевтически эффективное количество по меньшей мере одного терапевтического средства, приводит к снижению уровня амилоида в головном мозге по сравнению с уровнем амилоида в головном мозге до введения композиции, содержащей по меньшей мере одно антитело к протофибриллам Aβ, и композиции, содержащей терапевтически эффективное количество по меньшей мере одного терапевтического средства, составляющему по меньшей мере 0,30, как определяется с помощью визуальных считываний PET-изображений амилоида.

Предупреждение и/или задержка начала проявления болезни Альцгеймера

[548] В данном документе также предусмотрен способ предупреждения и/или задержки начала проявления болезни Альцгеймера у субъекта. В некоторых вариантах осуществления субъект является ApoE4-положительным. В некоторых вариантах осуществления субъект является ApoE4-отрицательным. В некоторых вариантах осуществления способ включает определение уровня амилоида в головном мозге субъекта и затем, в случае, если уровень амилоида в головном мозге субъекта превышает первый предварительно определенный уровень, введение композиции, содержащей терапевтически эффективное количество по меньшей мере одного антитела к протофибриллам Aβ.

[549] В некоторых вариантах осуществления способ дополнительно включает измерение уровня амилоида в головном мозге субъекта после введения.

[550] В некоторых вариантах осуществления способ дополнительно включает определение уровня Aβ1-42 в спинномозговой жидкости и/или уровня общего тау-белка в спинномозговой жидкости.

[551] В некоторых вариантах осуществления способ дополнительно включает определение уровня нейрогранина в спинномозговой жидкости.

[552] В некоторых вариантах осуществления способ дополнительно включает определение уровня легких цепей нейрофиламентов в спинномозговой жидкости.

[553] В некоторых вариантах осуществления указанный способ дополнительно включает введение композиции в случае, если уровень амилоида в головном мозге после введения превышает второй предварительно определенный уровень.

[554] В некоторых вариантах осуществления указанный способ дополнительно включает мониторинг уровня амилоида в головном мозге субъекта после введения до тех пор, пока уровень амилоида в головном мозге субъекта не станет ниже первого предварительно определенного уровня.

[555] В некоторых вариантах осуществления указанный способ дополнительно включает введение композиции в случае, если уровень Aβ1-42 в спинномозговой жидкости и/или уровень общего тау-белка в спинномозговой жидкости после введения превышает предварительно определенный уровень.

[556] В некоторых вариантах осуществления указанный способ дополнительно включает введение композиции в случае, если уровень нейрогранина в спинномозговой жидкости после введения превышает предварительно определенный уровень.

[557] В некоторых вариантах осуществления указанный способ дополнительно включает введение композиции в случае, если уровень легких цепей нейрофиламентов после введения превышает предварительно определенный уровень.

[558] В некоторых вариантах осуществления указанный способ дополнительно включает введение по меньшей мере одного дополнительного терапевтического средства. В некоторых вариантах осуществления по меньшей мере одно дополнительное терапевтическое средство выбрано из ингибиторов ВАСЕ, ингибиторов гамма-секретазы, модуляторов гамма-секретазы, ингибиторов образования пептидов Aβ, отличных от указанного по меньшей мере одного антитела к протофибриллам Aβ, средств, которые снижают уровни пептидов Aβ, отличных от указанного по меньшей мере одного антитела к протофибриллам Aβ, и их комбинации. В некоторых вариантах осуществления по меньшей мере одно дополнительное терапевтическое средство представляет собой ингибитор ВАСЕ. В некоторых вариантах осуществления ингибитор ВАСЕ выбран из CNP520, BI-1181181, LY2886721, LY3202626, PF-06751979, RG7129, атабецестата, эленбецестата, ланабецестата и верубецестата. В некоторых вариантах осуществления ингибитор ВАСЕ представляет собой эленбецестат.

[559] Любое из антител к протофибриллам Aβ, их терапевтически приемлемых количеств, схем введения их доз и содержащих их композиций, которые раскрыты в данном документе, можно применять в способе снижения уровня амилоида в головном мозге у субъекта с болезнью Альцгеймера на ранней стадии. Например, в некоторых вариантах осуществления композицию, содержащую 2,5 мг/кг, 5 мг/кг, 7,5 мг/кг или 10 мг/кг по меньшей мере одного антитела к протофибриллам Aβ, такого как BAN2401, по отношению к массе тела субъекта, вводят субъекту один раз в неделю, один раз в две недели, один раз в три недели, один раз в четыре недели или один раз в месяц.

[560] В некоторых вариантах осуществления по меньшей мере одно антитело к протофибриллам Aβ представляет собой BAN2401.

[561] В некоторых вариантах осуществления введение композиции, содержащей по меньшей мере одно антитело к протофибриллам Aβ, приводит к тому, что по меньшей мере 1%, по меньшей мере 2%, по меньшей мере 3%, по меньшей мере 4%, по меньшей мере 5%, по меньшей мере 6%, по меньшей мере 7%, по меньшей мере 8%, по меньшей мере 9%, по меньшей мере 10%, по меньшей мере 11%, по меньшей мере 12%, по меньшей мере 13%, по меньшей мере 14%, по меньшей мере 15%, по меньшей мере 16%, по меньшей мере 17%, по меньшей мере 18%, по меньшей мере 19%, по меньшей мере 20%, по меньшей мере 21%, по меньшей мере 22%, по меньшей мере 23%, по меньшей мере 24%, по меньшей мере 25%, по меньшей мере 26%, по меньшей мере 27%, по меньшей мере 28%, по меньшей мере 29%, по меньшей мере 30%, по меньшей мере 31%, по меньшей мере 32%, по меньшей мере 33%, по меньшей мере 34%, по меньшей мере 35%, по меньшей мере 36%, по меньшей мере 37%, по меньшей мере 38%, по меньшей мере 39%, по меньшей мере 40%, по меньшей мере 41%, по меньшей мере 42%, по меньшей мере 43%, по меньшей мере 44%, по меньшей мере 45%, по меньшей мере 46%, по меньшей мере 47%, по меньшей мере 48%, по меньшей мере 49%, по меньшей мере 50%, по меньшей мере 51%, по меньшей мере 52%, по меньшей мере 53%, по меньшей мере 54%, по меньшей мере 55%, по меньшей мере 56%, по меньшей мере 57%, по меньшей мере 58%, по меньшей мере 59%, по меньшей мере 60%, по меньшей мере 61%, по меньшей мере 62%, по меньшей мере 63%, по меньшей мере 64%, по меньшей мере 65%, по меньшей мере 66%, по меньшей мере 67%, по меньшей мере 68%, по меньшей мере 69%, по меньшей мере 70%, по меньшей мере 71%, по меньшей мере 72%, по меньшей мере 73%, по меньшей мере 74%, по меньшей мере 75%, по меньшей мере 76%, по меньшей мере 77%, по меньшей мере 78%, по меньшей мере 79%, по меньшей мере 80%, по меньшей мере 81%, по меньшей мере 82%, по меньшей мере 83%, по меньшей мере 84%, по меньшей мере 85%, по меньшей мере 86%, по меньшей мере 87%, по меньшей мере 88%, по меньшей мере 89%, по меньшей мере 90%, по меньшей мере 91%, по меньшей мере 92%, по меньшей мере 93%, по меньшей мере 94%, по меньшей мере 95%, по меньшей мере 96%, по меньшей мере 97%, по меньшей мере 98%, по меньшей мере 99% или 100% субъектов становятся амилоид-отрицательными, как определяется с помощью визуальных считываний PET-изображений амилоида.

[562] В некоторых вариантах осуществления введение композиции, содержащей по меньшей мере одно антитело к протофибриллам Aβ, приводит к тому, что от 75% до 100%, как, например, от 80% до 100% или от 85% до 100%, субъектов становятся амилоид-отрицательными, как определяется с помощью визуальных считываний PET-изображений амилоида. В некоторых вариантах осуществления введение композиции, содержащей по меньшей мере одно антитело к протофибриллам Aβ, приводит к тому, что по меньшей мере 75%, как, например, по меньшей мере 80% или по меньшей мере 85%, субъектов становятся амилоид-отрицательными, как определяется с помощью визуальных считываний PET-изображений амилоида. В некоторых вариантах осуществления введение композиции, содержащей по меньшей мере одно антитело к протофибриллам Aβ, приводит к тому, что 100% субъектов становятся амилоид-отрицательными, как определяется с помощью визуальных считываний PET-изображений амилоида.

[563] В некоторых вариантах осуществления по меньшей мере 75%, как, например, по меньшей мере 80% или по меньшей мере 85%, субъектов являются амилоид-отрицательными, как определяется с помощью визуальных считываний PET-изображений амилоида, после 12 месяцев введения композиции, содержащей терапевтически эффективное количество по меньшей мере одного антитела к протофибриллам Aβ. В некоторых вариантах осуществления по меньшей мере 75%, как, например, по меньшей мере 80%, по меньшей мере 85%, по меньшей мере 90% или по меньшей мере 95%, субъектов являются амилоид-отрицательными, как определяется с помощью визуальных считываний PET-изображений амилоида, после 18 месяцев введения композиции, содержащей терапевтически эффективное количество по меньшей мере одного антитела к протофибриллам Aβ. В некоторых вариантах осуществления композиция содержит 10 мг/кг по меньшей мере одного антитела к протофибриллам Aβ и вводится один раз в две недели или один раз в месяц. В некоторых вариантах осуществления по меньшей мере одно антитело к протофибриллам Aβ представляет собой BAN2401.

[564] В некоторых вариантах осуществления способ приводит к снижению уровня амилоида в головном мозге после введения по сравнению с уровнем амилоида в головном мозге до введения. В некоторых вариантах осуществления уровень амилоида в головном мозге снижается на по меньшей мере 1%, по меньшей мере 2%, по меньшей мере 3%, по меньшей мере 4%, по меньшей мере 5%, по меньшей мере 6%, по меньшей мере 7%, по меньшей мере 8%, по меньшей мере 9%, по меньшей мере 10%, по меньшей мере 11%, по меньшей мере 12%, по меньшей мере 13%, по меньшей мере 14%, по меньшей мере 15%, по меньшей мере 16%, по меньшей мере 17%, по меньшей мере 18%, по меньшей мере 19%, по меньшей мере 20%, по меньшей мере 21%, по меньшей мере 22%, по меньшей мере 23%, по меньшей мере 24%, по меньшей мере 25%, по меньшей мере 26%, по меньшей мере 27%, по меньшей мере 28%, по меньшей мере 29%, по меньшей мере 30%, по меньшей мере 31%, по меньшей мере 32%, по меньшей мере 33%, по меньшей мере 34%, по меньшей мере 35%, по меньшей мере 36%, по меньшей мере 37%, по меньшей мере 38%, по меньшей мере 39%, по меньшей мере 40%, по меньшей мере 41%, по меньшей мере 42%, по меньшей мере 43%, по меньшей мере 44%, по меньшей мере 45%, по меньшей мере 46%, по меньшей мере 47%, по меньшей мере 48%, по меньшей мере 49%, по меньшей мере 50%, по меньшей мере 51%, по меньшей мере 52%, по меньшей мере 53%, по меньшей мере 54%, по меньшей мере 55%, по меньшей мере 56%, по меньшей мере 57%, по меньшей мере 58%, по меньшей мере 59%, по меньшей мере 60%, по меньшей мере 61%, по меньшей мере 62%, по меньшей мере 63%, по меньшей мере 64%, по меньшей мере 65%, по меньшей мере 66%, по меньшей мере 67%, по меньшей мере 68%, по меньшей мере 69%, по меньшей мере 70%, по меньшей мере 71%, по меньшей мере 72%, по меньшей мере 73%, по меньшей мере 74%, по меньшей мере 75%, по меньшей мере 76%, по меньшей мере 77%, по меньшей мере 78%, по меньшей мере 79%, по меньшей мере 80%, по меньшей мере 81%, по меньшей мере 82%, по меньшей мере 83%, по меньшей мере 84%, по меньшей мере 85%, по меньшей мере 86%, по меньшей мере 87%, по меньшей мере 88%, по меньшей мере 89%, по меньшей мере 90%, по меньшей мере 91%, по меньшей мере 92%, по меньшей мере 93%, по меньшей мере 94%, по меньшей мере 95%, по меньшей мере 96%, по меньшей мере 97%, по меньшей мере 98%, по меньшей мере 99% или 100% по сравнению с уровнем амилоида в головном мозге до указанного введения. В некоторых вариантах осуществления вышеупомянутое снижение уровней амилоида в головном мозге определяется с помощью визуальных считываний PET-изображений амилоида и выражаются в виде показателей стандартизированного значения накопления согласно PET (значений SUVr).

[565] В некоторых вариантах осуществления скорректированное среднее изменение значения SUVr согласно PET у субъекта по сравнению с уровнем амилоида в головном мозге до введения композиции, содержащей по меньшей мере одно антитело к протофибриллам Aβ, уменьшается на по меньшей мере -0,10, по меньшей мере -0,15, по меньшей мере -0,20, по меньшей мере -0,25, по меньшей мере -0,30, по меньшей мере -0,35, по меньшей мере -0,40, по меньшей мере -0,45, по меньшей мере -0,50, по меньшей мере -0,55, по меньшей мере -0,60, по меньшей мере -0,65, по меньшей мере -0,70, по меньшей мере -0,75, по меньшей мере -0,80, по меньшей мере -0,85, по меньшей мере -0,90 или по меньшей мере -0,95. В некоторых вариантах осуществления скорректированное среднее изменение значения SUVr согласно PET у субъекта относительно уровня амилоида в головном мозге до введения композиции, содержащей по меньшей мере одно антитело к протофибриллам Aβ, уменьшается на величину от -0,20 до -0,30.

[566] В некоторых вариантах осуществления при сравнении общего среднего показателя для коры головного мозга и эталонного показателя для всего мозжечка скорректированное среднее изменение значения SUVr согласно PET у субъекта относительно уровня амилоида в головном мозге до введения композиции, содержащей по меньшей мере одно антитело к протофибриллам Aβ, уменьшается на по меньшей мере -0,20, как, например, на по меньшей мере -0,25, после 12 месяцев введения композиции, содержащей терапевтически эффективное количество по меньшей мере одного антитела к протофибриллам Aβ. В некоторых вариантах осуществления скорректированное среднее изменение значения SUVr согласно PET у субъекта по сравнению со значением SUVr согласно PET у субъекта до введения уменьшается на по меньшей мере -0,25, как, например, на по меньшей мере -0,30, после 18 месяцев введения композиции, содержащей терапевтически эффективное количество по меньшей мере одного антитела к протофибриллам Aβ.

[567] В некоторых вариантах осуществления снижение уровня амилоида в головном мозге определяют с помощью визуализации с использованием радиоактивных индикаторов, связывающих амилоид Аβ головного мозга, и визуализируют с помощью PET. В некоторых вариантах осуществления уменьшение скорректированного среднего изменения относительно уровня у субъекта до введения композиции, содержащей терапевтически эффективное количество по меньшей мере одного антитела к протофибриллам Aβ, составляет по меньшей мере -50, как, например, по меньшей мере -55 или по меньшей мере -59, центилоидов после 12 месяцев введения композиции, содержащей терапевтически эффективное количество по меньшей мере одного антитела к протофибриллам Aβ. В некоторых вариантах осуществления уменьшение скорректированного среднего изменения относительно уровня у субъекта до введения композиции, содержащей терапевтически эффективное количество по меньшей мере одного антитела к протофибриллам Aβ, составляет по меньшей мере -60, как, например, по меньшей мере -65 или по меньшей мере -70, центилоидов после 18 месяцев введения композиции, содержащей терапевтически эффективное количество по меньшей мере одного антитела к протофибриллам Aβ.

[568] В некоторых вариантах осуществления способ приводит к снижению уровня Aβ1-42 в спинномозговой жидкости по сравнению с уровнем Aβ1-42 в спинномозговой жидкости до введения. В некоторых вариантах осуществления способ приводит к снижению уровня Aβ1-42 в спинномозговой жидкости по сравнению с уровнем Aβ1-42 в спинномозговой жидкости до введения, составляющему по меньшей мере 1%, по меньшей мере 2%, по меньшей мере 3%, по меньшей мере 4%, по меньшей мере 5%, по меньшей мере 6%, по меньшей мере 7%, по меньшей мере 8%, по меньшей мере 9%, по меньшей мере 10%, по меньшей мере 11%, по меньшей мере 12%, по меньшей мере 13%, по меньшей мере 14%, по меньшей мере 15%, по меньшей мере 16%, по меньшей мере 17%, по меньшей мере 18%, по меньшей мере 19%, по меньшей мере 20%, по меньшей мере 21%, по меньшей мере 22%, по меньшей мере 23%, по меньшей мере 24%, по меньшей мере 25%, по меньшей мере 26%, по меньшей мере 27%, по меньшей мере 28%, по меньшей мере 29%, по меньшей мере 30%, по меньшей мере 31%, по меньшей мере 32%, по меньшей мере 33%, по меньшей мере 34%, по меньшей мере 35%, по меньшей мере 36%, по меньшей мере 37%, по меньшей мере 38%, по меньшей мере 39%, по меньшей мере 40%, по меньшей мере 41%, по меньшей мере 42%, по меньшей мере 43%, по меньшей мере 44%, по меньшей мере 45%, по меньшей мере 46%, по меньшей мере 47%, по меньшей мере 48%, по меньшей мере 49%, по меньшей мере 50%, по меньшей мере 51%, по меньшей мере 52%, по меньшей мере 53%, по меньшей мере 54%, по меньшей мере 55%, по меньшей мере 56%, по меньшей мере 57%, по меньшей мере 58%, по меньшей мере 59%, по меньшей мере 60%, по меньшей мере 61%, по меньшей мере 62%, по меньшей мере 63%, по меньшей мере 64%, по меньшей мере 65%, по меньшей мере 66%, по меньшей мере 67%, по меньшей мере 68%, по меньшей мере 69%, по меньшей мере 70%, по меньшей мере 71%, по меньшей мере 72%, по меньшей мере 73%, по меньшей мере 74%, по меньшей мере 75%, по меньшей мере 76%, по меньшей мере 77%, по меньшей мере 78%, по меньшей мере 79%, по меньшей мере 80%, по меньшей мере 81%, по меньшей мере 82%, по меньшей мере 83%, по меньшей мере 84%, по меньшей мере 85%, по меньшей мере 86%, по меньшей мере 87%, по меньшей мере 88%, по меньшей мере 89%, по меньшей мере 90%, по меньшей мере 91%, по меньшей мере 92%, по меньшей мере 93%, по меньшей мере 94%, по меньшей мере 95%, по меньшей мере 96%, по меньшей мере 97%, по меньшей мере 98%, по меньшей мере 99% или 100%.

[569] В некоторых вариантах осуществления введение композиции, содержащей по меньшей мере одно антитело к протофибриллам Aβ, приводит к снижению уровня амилоида в головном мозге по сравнению с уровнем амилоида в головном мозге до введения композиции, содержащей по меньшей мере одно антитело к протофибриллам Aβ, составляющему от -0,20 до -0,45, как, например, от -0,25 до -0,35, как определяется с помощью визуальных считываний PET-изображений амилоида. В некоторых вариантах осуществления введение композиции, содержащей по меньшей мере одно антитело к протофибриллам Aβ, приводит к снижению уровня амилоида в головном мозге по сравнению с уровнем амилоида в головном мозге до введения композиции, содержащей по меньшей мере одно антитело к протофибриллам Aβ, составляющему по меньшей мере -0,25, как определяется с помощью визуальных считываний PET-изображений амилоида. В некоторых вариантах осуществления введение композиции, содержащей по меньшей мере одно антитело к протофибриллам Aβ, приводит к снижению уровня амилоида в головном мозге по сравнению с уровнем амилоида в головном мозге до введения композиции, содержащей по меньшей мере одно антитело к протофибриллам Aβ, составляющему по меньшей мере 0,30, как определяется с помощью визуальных считываний PET-изображений амилоида.

[570] В данном документе также предусмотрен другой способ предупреждения и/или задержки начала проявления болезни Альцгеймера у субъектов. В некоторых вариантах осуществления субъект является ApoE4-положительным. В некоторых вариантах осуществления субъект является ApoE4-отрицательным. В некоторых вариантах осуществления указанный способ включает определение уровня амилоида в головном мозге субъекта и затем, в случае, если уровень амилоида в головном мозге субъекта превышает первый предварительно определенный уровень, введение композиции, содержащей терапевтически эффективное количество по меньшей мере одного антитела к протофибриллам Aβ, и композиции, содержащей терапевтически эффективное количество по меньшей мере одного терапевтического средства, выбранного из ингибиторов ВАСЕ, ингибиторов гамма-секретазы, модуляторов гамма-секретазы, ингибиторов образования пептидов Aβ, отличных от указанного по меньшей мере одного антитела к протофибриллам Aβ, и средств, которые снижают уровни пептидов Aβ, отличных от указанного по меньшей мере одного антитела к протофибриллам Aβ.

[571] В некоторых вариантах осуществления способ дополнительно включает измерение уровня амилоида в головном мозге субъекта после введения.

[572] В некоторых вариантах осуществления способ дополнительно включает определение уровня Aβ1-42 в спинномозговой жидкости и/или уровня общего тау-белка в спинномозговой жидкости.

[573] В некоторых вариантах осуществления способ дополнительно включает определение уровня нейрогранина в спинномозговой жидкости.

[574] В некоторых вариантах осуществления способ дополнительно включает определение уровня легких цепей нейрофиламентов в спинномозговой жидкости.

[575] В некоторых вариантах осуществления указанный способ дополнительно включает введение композиции, содержащей терапевтически эффективное количество по меньшей мере одного антитела к протофибриллам Aβ, и композиции, содержащей терапевтически эффективное количество по меньшей мере одного терапевтического средства, выбранного из ингибиторов ВАСЕ, ингибиторов гамма-секретазы, модуляторов гамма-секретазы, ингибиторов образования пептидов Aβ, отличных от указанного по меньшей мере одного антитела к протофибриллам Aβ, и средств, которые снижают уровни пептидов Aβ, отличных от указанного по меньшей мере одного антитела к протофибриллам Aβ, в случае, если уровень амилоида в головном мозге после введения превышает второй предварительно определенный уровень.

[576] В некоторых вариантах осуществления указанный способ дополнительно включает введение композиции в случае, если уровень Aβ1-42 в спинномозговой жидкости и/или уровень общего тау-белка в спинномозговой жидкости после введения превышает предварительно определенный уровень.

[577] В некоторых вариантах осуществления указанный способ дополнительно включает введение композиции в случае, если уровень нейрогранина в спинномозговой жидкости после введения превышает предварительно определенный уровень.

[578] В некоторых вариантах осуществления указанный способ дополнительно включает введение композиции в случае, если уровень легких цепей нейрофиламентов в спинномозговой жидкости после введения превышает предварительно определенный уровень.

[579] В некоторых вариантах осуществления указанный способ дополнительно включает мониторинг уровня амилоида в головном мозге субъекта после введения до тех пор, пока уровень амилоида в головном мозге субъекта не станет ниже первого предварительно определенного уровня.

[580] В некоторых вариантах осуществления указанный способ дополнительно включает введение по меньшей мере одного дополнительного терапевтического средства. В некоторых вариантах осуществления по меньшей мере одно дополнительное терапевтическое средство выбрано из ингибиторов ВАСЕ, ингибиторов гамма-секретазы, модуляторов гамма-секретазы, ингибиторов образования пептидов Aβ, отличных от указанного по меньшей мере одного антитела к протофибриллам Aβ, средств, которые снижают уровни пептидов Aβ, отличных от указанного по меньшей мере одного антитела к протофибриллам Aβ, и их комбинации.

[581] В некоторых вариантах осуществления по меньшей мере одно дополнительное терапевтическое средство представляет собой ингибитор ВАСЕ. В некоторых вариантах осуществления ингибитор ВАСЕ представляет собой эленбецестат.

[582] Любое из антител к протофибриллам Aβ, их терапевтически приемлемых количеств, схем введения их доз и содержащих их композиций, которые раскрыты в данном документе, можно применять в способе снижения уровня амилоида в головном мозге у субъекта с болезнью Альцгеймера на ранней стадии. Например, в некоторых вариантах осуществления композицию, содержащую 2,5 мг/кг, 5 мг/кг, 7,5 мг/кг или 10 мг/кг по меньшей мере одного антитела к протофибриллам Aβ, такого как BAN2401, по отношению к массе тела субъекта, вводят субъекту один раз в неделю, один раз в две недели, один раз в три недели, один раз в четыре недели или один раз в месяц.

[583] В некоторых вариантах осуществления по меньшей мере одно антитело к протофибриллам Aβ представляет собой BAN2401.

[584] В некоторых вариантах осуществления по меньшей мере одно терапевтическое средство представляет собой ингибитор ВАСЕ. В некоторых вариантах осуществления ингибитор ВАСЕ представляет собой эленбецестат.

[585] В некоторых вариантах осуществления введение композиции, содержащей по меньшей мере одно антитело к протофибриллам Aβ, и композиции, содержащей терапевтически эффективное количество по меньшей мере одного терапевтического средства, приводит к тому, что по меньшей мере 1%, по меньшей мере 2%, по меньшей мере 3%, по меньшей мере 4%, по меньшей мере 5%, по меньшей мере 6%, по меньшей мере 7%, по меньшей мере 8%, по меньшей мере 9%, по меньшей мере 10%, по меньшей мере 11%, по меньшей мере 12%, по меньшей мере 13%, по меньшей мере 14%, по меньшей мере 15%, по меньшей мере 16%, по меньшей мере 17%, по меньшей мере 18%, по меньшей мере 19%, по меньшей мере 20%, по меньшей мере 21%, по меньшей мере 22%, по меньшей мере 23%, по меньшей мере 24%, по меньшей мере 25%, по меньшей мере 26%, по меньшей мере 27%, по меньшей мере 28%, по меньшей мере 29%, по меньшей мере 30%, по меньшей мере 31%, по меньшей мере 32%, по меньшей мере 33%, по меньшей мере 34%, по меньшей мере 35%, по меньшей мере 36%, по меньшей мере 37%, по меньшей мере 38%, по меньшей мере 39%, по меньшей мере 40%, по меньшей мере 41%, по меньшей мере 42%, по меньшей мере 43%, по меньшей мере 44%, по меньшей мере 45%, по меньшей мере 46%, по меньшей мере 47%, по меньшей мере 48%, по меньшей мере 49%, по меньшей мере 50%, по меньшей мере 51%, по меньшей мере 52%, по меньшей мере 53%, по меньшей мере 54%, по меньшей мере 55%, по меньшей мере 56%, по меньшей мере 57%, по меньшей мере 58%, по меньшей мере 59%, по меньшей мере 60%, по меньшей мере 61%, по меньшей мере 62%, по меньшей мере 63%, по меньшей мере 64%, по меньшей мере 65%, по меньшей мере 66%, по меньшей мере 67%, по меньшей мере 68%, по меньшей мере 69%, по меньшей мере 70%, по меньшей мере 71%, по меньшей мере 72%, по меньшей мере 73%, по меньшей мере 74%, по меньшей мере 75%, по меньшей мере 76%, по меньшей мере 77%, по меньшей мере 78%, по меньшей мере 79%, по меньшей мере 80%, по меньшей мере 81%, по меньшей мере 82%, по меньшей мере 83%, по меньшей мере 84%, по меньшей мере 85%, по меньшей мере 86%, по меньшей мере 87%, по меньшей мере 88%, по меньшей мере 89%, по меньшей мере 90%, по меньшей мере 91%, по меньшей мере 92%, по меньшей мере 93%, по меньшей мере 94%, по меньшей мере 95%, по меньшей мере 96%, по меньшей мере 97%, по меньшей мере 98%, по меньшей мере 99% или 100% субъектов становятся амилоид-отрицательными, как определяется с помощью визуальных считываний PET-изображений амилоида.

[586] В некоторых вариантах осуществления введение композиции, содержащей по меньшей мере одно антитело к протофибриллам Aβ, и композиции, содержащей терапевтически эффективное количество по меньшей мере одного терапевтического средства, приводит к тому, что от 75% до 100%, как, например, от 80% до 100% или от 85% до 100%, субъектов становятся амилоид-отрицательными, как определяется с помощью визуальных считываний PET-изображений амилоида. В некоторых вариантах осуществления введение композиции, содержащей по меньшей мере одно антитело к протофибриллам Aβ, и композиции, содержащей терапевтически эффективное количество по меньшей мере одного терапевтического средства, приводит к тому, что по меньшей мере 75%, как, например, по меньшей мере 80% или по меньшей мере 85%, субъектов становятся амилоид-отрицательными, как определяется с помощью визуальных считываний PET-изображений амилоида. В некоторых вариантах осуществления введение композиции, содержащей по меньшей мере одно антитело к протофибриллам Aβ, и композиции, содержащей терапевтически эффективное количество по меньшей мере одного терапевтического средства, приводит к тому, что 100% субъектов становятся амилоид-отрицательными, как определяется с помощью визуальных считываний PET-изображений амилоида.

[587] В некоторых вариантах осуществления по меньшей мере 75%, как, например, по меньшей мере 80% или по меньшей мере 85%, субъектов являются амилоид-отрицательными, как определяется с помощью визуальных считываний PET-изображений амилоида, после 12 месяцев введения композиции, содержащей терапевтически эффективное количество по меньшей мере одного антитела к протофибриллам Aβ, и композиции, содержащей терапевтически эффективное количество по меньшей мере одного терапевтического средства. В некоторых вариантах осуществления по меньшей мере 75%, как, например, по меньшей мере 80%, по меньшей мере 85%, по меньшей мере 90% или по меньшей мере 95%, субъектов являются амилоид-отрицательными, как определяется с помощью визуальных считываний PET-изображений амилоида, после 18 месяцев введения композиции, содержащей терапевтически эффективное количество по меньшей мере одного антитела к протофибриллам Aβ, и композиции, содержащей терапевтически эффективное количество по меньшей мере одного терапевтического средства. В некоторых вариантах осуществления композиция содержит 10 мг/кг по меньшей мере одного антитела к протофибриллам Aβ и вводится один раз в две недели или один раз в месяц. В некоторых вариантах осуществления по меньшей мере одно антитело к протофибриллам Aβ представляет собой BAN2401.

[588] В некоторых вариантах осуществления способ приводит к снижению уровня амилоида в головном мозге после введения по сравнению с уровнем амилоида в головном мозге до введения. В некоторых вариантах осуществления уровень амилоида в головном мозге снижается на по меньшей мере 1%, по меньшей мере 2%, по меньшей мере 3%, по меньшей мере 4%, по меньшей мере 5%, по меньшей мере 6%, по меньшей мере 7%, по меньшей мере 8%, по меньшей мере 9%, по меньшей мере 10%, по меньшей мере 11%, по меньшей мере 12%, по меньшей мере 13%, по меньшей мере 14%, по меньшей мере 15%, по меньшей мере 16%, по меньшей мере 17%, по меньшей мере 18%, по меньшей мере 19%, по меньшей мере 20%, по меньшей мере 21%, по меньшей мере 22%, по меньшей мере 23%, по меньшей мере 24%, по меньшей мере 25%, по меньшей мере 26%, по меньшей мере 27%, по меньшей мере 28%, по меньшей мере 29%, по меньшей мере 30%, по меньшей мере 31%, по меньшей мере 32%, по меньшей мере 33%, по меньшей мере 34%, по меньшей мере 35%, по меньшей мере 36%, по меньшей мере 37%, по меньшей мере 38%, по меньшей мере 39%, по меньшей мере 40%, по меньшей мере 41%, по меньшей мере 42%, по меньшей мере 43%, по меньшей мере 44%, по меньшей мере 45%, по меньшей мере 46%, по меньшей мере 47%, по меньшей мере 48%, по меньшей мере 49%, по меньшей мере 50%, по меньшей мере 51%, по меньшей мере 52%, по меньшей мере 53%, по меньшей мере 54%, по меньшей мере 55%, по меньшей мере 56%, по меньшей мере 57%, по меньшей мере 58%, по меньшей мере 59%, по меньшей мере 60%, по меньшей мере 61%, по меньшей мере 62%, по меньшей мере 63%, по меньшей мере 64%, по меньшей мере 65%, по меньшей мере 66%, по меньшей мере 67%, по меньшей мере 68%, по меньшей мере 69%, по меньшей мере 70%, по меньшей мере 71%, по меньшей мере 72%, по меньшей мере 73%, по меньшей мере 74%, по меньшей мере 75%, по меньшей мере 76%, по меньшей мере 77%, по меньшей мере 78%, по меньшей мере 79%, по меньшей мере 80%, по меньшей мере 81%, по меньшей мере 82%, по меньшей мере 83%, по меньшей мере 84%, по меньшей мере 85%, по меньшей мере 86%, по меньшей мере 87%, по меньшей мере 88%, по меньшей мере 89%, по меньшей мере 90%, по меньшей мере 91%, по меньшей мере 92%, по меньшей мере 93%, по меньшей мере 94%, по меньшей мере 95%, по меньшей мере 96%, по меньшей мере 97%, по меньшей мере 98%, по меньшей мере 99% или 100% по сравнению с уровнем амилоида в головном мозге до указанного введения. В некоторых вариантах осуществления вышеупомянутое снижение уровней амилоида в головном мозге определяется с помощью визуальных считываний PET-изображений амилоида и выражаются в виде показателей стандартизированного значения накопления согласно PET (значений SUVr).

[589] В некоторых вариантах осуществления скорректированное среднее изменение значения SUVr согласно PET у субъекта по сравнению с уровнем амилоида в головном мозге до введения композиции, содержащей по меньшей мере одно антитело к протофибриллам Aβ, и композиции, содержащей терапевтически эффективное количество по меньшей мере одного терапевтического средства, уменьшается на по меньшей мере -0,10, по меньшей мере -0,15, по меньшей мере -0,20, по меньшей мере -0,25, по меньшей мере -0,30, по меньшей мере -0,35, по меньшей мере -0,40, по меньшей мере -0,45, по меньшей мере -0,50, по меньшей мере -0,55, по меньшей мере -0,60, по меньшей мере -0,65, по меньшей мере -0,70, по меньшей мере -0,75, по меньшей мере -0,80, по меньшей мере -0,85, по меньшей мере -0,90 или по меньшей мере -0,95. В некоторых вариантах осуществления скорректированное среднее изменение значения SUVr согласно PET у субъекта относительно уровня амилоида в головном мозге до введения композиции, содержащей по меньшей мере одно антитело к протофибриллам Aβ, и композиции, содержащей терапевтически эффективное количество по меньшей мере одного терапевтического средства, уменьшается на величину от -0,20 до -0,30.

[590] В некоторых вариантах осуществления при сравнении общего среднего показателя для коры головного мозга и эталонного показателя для всего мозжечка скорректированное среднее изменение значения SUVr согласно PET у субъекта относительно уровня амилоида в головном мозге до введения композиции, содержащей по меньшей мере одно антитело к протофибриллам Aβ, и композиции, содержащей терапевтически эффективное количество по меньшей мере одного терапевтического средства, уменьшается на по меньшей мере -0,20, как, например, на по меньшей мере -0,25, после 12 месяцев введения композиции, содержащей терапевтически эффективное количество по меньшей мере одного антитела к протофибриллам Aβ, и композиции, содержащей терапевтически эффективное количество по меньшей мере одного терапевтического средства. В некоторых вариантах осуществления скорректированное среднее изменение значения SUVr согласно PET у субъекта по сравнению со значением SUVr согласно PET у субъекта до введения уменьшается на по меньшей мере -0,25, как, например, на по меньшей мере -0,30, после 18 месяцев введения композиции, содержащей терапевтически эффективное количество по меньшей мере одного антитела к протофибриллам Aβ, и композиции, содержащей терапевтически эффективное количество по меньшей мере одного терапевтического средства.

[591] В некоторых вариантах осуществления снижение уровня амилоида в головном мозге определяют с помощью визуализации с использованием радиоактивных индикаторов, связывающих амилоид Аβ головного мозга, и визуализируют с помощью PET. В некоторых вариантах осуществления уменьшение скорректированного среднего изменения относительно уровня у субъекта до введения композиции, содержащей терапевтически эффективное количество по меньшей мере одного антитела к протофибриллам Aβ, и композиции, содержащей терапевтически эффективное количество по меньшей мере одного терапевтического средства, составляет по меньшей мере -50, как, например, по меньшей мере -55 или по меньшей мере -59, центилоидов после 12 месяцев введения композиции, содержащей терапевтически эффективное количество по меньшей мере одного антитела к протофибриллам Aβ, и композиции, содержащей терапевтически эффективное количество по меньшей мере одного терапевтического средства. В некоторых вариантах осуществления уменьшение скорректированного среднего изменения относительно уровня у субъекта до введения композиции, содержащей терапевтически эффективное количество по меньшей мере одного антитела к протофибриллам Aβ, составляет по меньшей мере -60, как, например, по меньшей мере -65 или по меньшей мере -70, центилоидов после 18 месяцев введения композиции, содержащей терапевтически эффективное количество по меньшей мере одного антитела к протофибриллам Aβ, и композиции, содержащей терапевтически эффективное количество по меньшей мере одного терапевтического средства.

[592] В некоторых вариантах осуществления способ приводит к снижению уровня Aβ1-42 в спинномозговой жидкости по сравнению с уровнем Aβ1-42 в спинномозговой жидкости до введения. В некоторых вариантах осуществления способ приводит к снижению уровня Aβ1-42 в спинномозговой жидкости по сравнению с уровнем Aβ1-42 в спинномозговой жидкости до введения, составляющему по меньшей мере 1%, по меньшей мере 2%, по меньшей мере 3%, по меньшей мере 4%, по меньшей мере 5%, по меньшей мере 6%, по меньшей мере 7%, по меньшей мере 8%, по меньшей мере 9%, по меньшей мере 10%, по меньшей мере 11%, по меньшей мере 12%, по меньшей мере 13%, по меньшей мере 14%, по меньшей мере 15%, по меньшей мере 16%, по меньшей мере 17%, по меньшей мере 18%, по меньшей мере 19%, по меньшей мере 20%, по меньшей мере 21%, по меньшей мере 22%, по меньшей мере 23%, по меньшей мере 24%, по меньшей мере 25%, по меньшей мере 26%, по меньшей мере 27%, по меньшей мере 28%, по меньшей мере 29%, по меньшей мере 30%, по меньшей мере 31%, по меньшей мере 32%, по меньшей мере 33%, по меньшей мере 34%, по меньшей мере 35%, по меньшей мере 36%, по меньшей мере 37%, по меньшей мере 38%, по меньшей мере 39%, по меньшей мере 40%, по меньшей мере 41%, по меньшей мере 42%, по меньшей мере 43%, по меньшей мере 44%, по меньшей мере 45%, по меньшей мере 46%, по меньшей мере 47%, по меньшей мере 48%, по меньшей мере 49%, по меньшей мере 50%, по меньшей мере 51%, по меньшей мере 52%, по меньшей мере 53%, по меньшей мере 54%, по меньшей мере 55%, по меньшей мере 56%, по меньшей мере 57%, по меньшей мере 58%, по меньшей мере 59%, по меньшей мере 60%, по меньшей мере 61%, по меньшей мере 62%, по меньшей мере 63%, по меньшей мере 64%, по меньшей мере 65%, по меньшей мере 66%, по меньшей мере 67%, по меньшей мере 68%, по меньшей мере 69%, по меньшей мере 70%, по меньшей мере 71%, по меньшей мере 72%, по меньшей мере 73%, по меньшей мере 74%, по меньшей мере 75%, по меньшей мере 76%, по меньшей мере 77%, по меньшей мере 78%, по меньшей мере 79%, по меньшей мере 80%, по меньшей мере 81%, по меньшей мере 82%, по меньшей мере 83%, по меньшей мере 84%, по меньшей мере 85%, по меньшей мере 86%, по меньшей мере 87%, по меньшей мере 88%, по меньшей мере 89%, по меньшей мере 90%, по меньшей мере 91%, по меньшей мере 92%, по меньшей мере 93%, по меньшей мере 94%, по меньшей мере 95%, по меньшей мере 96%, по меньшей мере 97%, по меньшей мере 98%, по меньшей мере 99% или 100%.

[593] В некоторых вариантах осуществления введение композиции, содержащей по меньшей мере одно антитело к протофибриллам Aβ, и композиции, содержащей терапевтически эффективное количество по меньшей мере одного терапевтического средства, приводит к снижению уровня амилоида в головном мозге по сравнению с уровнем амилоида в головном мозге до введения композиции, содержащей по меньшей мере одно антитело к протофибриллам Aβ, и композиции, содержащей терапевтически эффективное количество по меньшей мере одного терапевтического средства, составляющему от -0,20 до -0,45, как, например, от -0,25 до -0,35, как определяется с помощью визуальных считываний PET-изображений амилоида. В некоторых вариантах осуществления введение композиции, содержащей по меньшей мере одно антитело к протофибриллам Aβ, и композиции, содержащей терапевтически эффективное количество по меньшей мере одного терапевтического средства, приводит к снижению уровня амилоида в головном мозге по сравнению с уровнем амилоида в головном мозге до введения композиции, содержащей по меньшей мере одно антитело к протофибриллам Aβ, составляющему по меньшей мере -0,25, как определяется с помощью визуальных считываний PET-изображений амилоида. В некоторых вариантах осуществления введение композиции, содержащей по меньшей мере одно антитело к протофибриллам Aβ, и композиции, содержащей терапевтически эффективное количество по меньшей мере одного терапевтического средства, приводит к снижению уровня амилоида в головном мозге по сравнению с уровнем амилоида в головном мозге до введения композиции, содержащей по меньшей мере одно антитело к протофибриллам Aβ, и композиции, содержащей терапевтически эффективное количество по меньшей мере одного терапевтического средства, составляющему по меньшей мере 0,30, как определяется с помощью визуальных считываний PET-изображений амилоида.

Нежелательные явления

[594] В некоторых вариантах осуществления способы, предусмотренные в данном документе, не приводят к появлению одного или нескольких серьезных нежелательных явлений. В некоторых вариантах осуществления способы, предусмотренные в данном документе, приводят к одному или нескольким серьезным нежелательным явлениям, тяжесть которых меньше 5 степени, тяжесть которых меньше 4 степени, тяжесть которых меньше 3 степени, тяжесть которых меньше 2 степени и/или тяжесть которых меньше 1 степени. В некоторых вариантах осуществления субъект не сообщает об одном или нескольких нежелательных явлениях, поскольку их тяжесть меньше 1 степени.

[595] В некоторых вариантах осуществления способы, описанные в данном документе, приводят к тому, что менее 1%, менее 2%, менее 3%, менее 4%, менее 5%, менее 6%, менее 7%, менее 8%, менее 9%, менее 10%, менее 11%, менее 12%, менее 13%, менее 14%, менее 15%, менее 16%, менее 17%, менее 18%, менее 19% или менее 20% субъектов испытывают серьезное нежелательное явление.

[596] В некоторых вариантах осуществления способы, описанные в данном документе, приводят к тому, что менее 1%, менее 2%, менее 3%, менее 4%, менее 5%, менее 6%, менее 7%, менее 8%, менее 9% или менее 10% субъектов испытывают вазогенный отек.

[597] В некоторых вариантах осуществления способы, описанные в данном документе, приводят к тому, что менее 1%, менее 2%, менее 3%, менее 4%, менее 5%, менее 6%, менее 7%, менее 8%, менее 9%, менее 10%, менее 12%, менее 13%, менее 14% или менее 15% ApoE4-положительных субъектов испытывают вазогенный отек.

[598] В некоторых вариантах осуществления способы, описанные в данном документе, приводят к тому, что менее 15% ApoE4-положительных субъектов испытывают вазогенный отек.

[599] В некоторых вариантах осуществления способы, описанные в данном документе, приводят к тому, что менее 1%, менее 2%, менее 3%, менее 4%, менее 5%, менее 6%, менее 7%, менее 8%, менее 9% или менее 10% ApoE4-отрицательных субъектов испытывают вазогенный отек.

[600] В некоторых вариантах осуществления способы, описанные в данном документе, приводят к тому, что менее 10% ApoE4-отрицательных субъектов испытывают вазогенный отек.

[601] Содержание статей и патентных документов, которые упомянуты в данном документе, включено в данный документ посредством ссылки во всей своей полноте.

ПРИМЕРЫ

Пример 1. Лечение субъектов с болезнью Альцгеймера на ранней стадии

[602] Субъектов как мужского, так и женского пола в возрасте в диапазоне от 50 до 90 лет включительно с легким когнитивным нарушением, с промежуточной вероятностью обусловленным болезнью Альцгеймера, и/или с легкой деменцией при болезни Альцгеймера подвергали скринингу на соответствие критериям для лечения. 854 субъектов рандомизировали для лечения.

[603] Исследование состояло из фазы перед рандомизацией и фазы рандомизации.

Фаза перед рандомизацией

[604] Фаза продолжалась в течение периода до 60 дней и состояла из периода скрининга и периода определения исходного уровня. В течение периода скрининга субъектов оценивали на основании критериев пригодности к участию в исследовании. Если субъект считался соответствующим критериям участия в исследовании, то субъект переходил к периоду определения исходного уровня.

[605] В течение периода определения исходного уровня проводили ряд анализов, в том числе клинические тесты (например, анализы крови (например, для определения статуса ApoE4) и т. д.), анализы безопасности методом магнитно-резонансной томографии (MRI), PET-оценки амилоида (например, визуальные считывания PET-изображений амилоида) и исследование спинномозговой жидкости (для анализа биомаркеров), если субъект давал согласие. Дополнительное клиническое тестирование субъектов включало MMSE, CDR, ADAS-Cog и FAQ.

Фаза рандомизации

[606] Фаза рандомизации состояла из 18-месячного периода лечения и 3-месячного периода последующего наблюдения. Субъектов рандомизировали для одной из следующих схем:

- плацебо;

- композиция, содержащая 2,5 мг/кг BAN2401, один раз в 2 недели;

- композиция, содержащая 5 мг/кг BAN2401, один раз в 2 недели;

- композиция, содержащая 10 мг/кг BAN2401, один раз в 2 недели;

- композиция, содержащая 5 мг/кг BAN2401, один раз в месяц; или

- композиция, содержащая 10 мг/кг BAN2401, один раз в месяц.

[607] Всем субъектам вводили внутривенную инфузию длительностью примерно 60 минут один раз в 2 недели. BAN2401 вводили в изотоническом солевом растворе в виде 60-минутных IV инфузий с использованием инфузионной системы, содержащей концевой встроенный фильтр с диаметром пор 0,22 мкм. Все субъекты получали инфузии один раз в две недели, а субъекты, которые получали дозу BAN2401 один раз в месяц, получали инфузию плацебо, чередующуюся с BAN2401.

[608] Всех субъектов оценивали на основании когнитивной функции, безопасности, фармакокинетических параметров, безопасности, определяемой методом MRI, данных волюметрической MRI и анализа спинномозговой жидкости, если субъект давал согласие на такой анализ. Дополнительная клиническая оценка включала MMSE, CDR, ADAS-Cog и FAQ.

[609] Лечение завершали по прошествии 18 месяцев по запросу субъекта, по запросу лечащего врача и/или Независимого комитета по мониторингу данных о безопасности и/или при возникновении одного или нескольких нежелательных явлений, требующих прекращения лечения.

[610] После завершения лечения субъектов оценивали так же, как в течение периода определения исходного уровня и фазы рандомизации.

Составление

[611] BAN2401 поставлялся в виде стерильного прозрачного раствора для инъекций с содержанием 10 мг/мл в одноразовом флаконе объемом 10 мл (всего 100 мг/флакон). Лекарственный препарат составляли в 25 мМ цитрата натрия, 125 мМ хлорида натрия, 0,02% (вес/об.) полисорбата 80, и pH было определено как 5,7.

Конечные точки исследования

[612] Первичные цели исследования включали (1) оценивание эффективности BAN2401 по сравнению с плацебо путем установления ED90 (как определено в протоколе) для BAN2401 на основании суммарного балла оценки болезни Альцгеймера (ADCOMS) через 12 месяцев лечения у субъектов с болезнью Альцгеймера на ранней стадии (EAD), определяемой как легкое когнитивное нарушение (MCI), с промежуточной вероятностью обусловленное болезнью Альцгеймера, или легкая деменция при болезни Альцгеймера; и (2) оценку безопасности и переносимости 3 доз и 2 схем введения доз BAN2401 у субъектов с болезнью Альцгеймера на ранней стадии.

[613] Ключевые вторичные цели включали:

оценивание эффектов BAN2401 по сравнению с плацебо в отношении патофизиологических особенностей амилоидоза головного мозга через 18 месяцев лечения у субъектов с болезнью Альцгеймера на ранней стадии согласно измерениям с помощью PET;

оценивание эффективности BAN2401 по сравнению с плацебо на основании ADCOMS через 18 месяцев лечения у субъектов с болезнью Альцгеймера на ранней стадии;

оценивание эффективности BAN2401 по сравнению с плацебо на основании шкалы оценки клинической деменции по сумме ячеек (CDR-SB) через 18 месяцев лечения у субъектов с болезнью Альцгеймера на ранней стадии;

оценивание эффективности BAN2401 по сравнению с плацебо на основании когнитивной подшкалы шкалы оценки болезни Альцгеймера (ADAS-Cog) у субъектов с EAD через 18 месяцев;

оценивание эффектов BAN2401 по сравнению с плацебо через 18 месяцев в отношении клинического статуса отдельно у субъектов с MCI и легкой деменцией при AD на основании следующих оценок: ADCOMS, CDR-SB и ADAS-Cog;

оценивание эффектов BAN2401 по сравнению с плацебо в отношении уровней биомаркеров в спинномозговой жидкости (Aβ1-42, общего тау-белка и фосфо-тау-белка) через 18 месяцев лечения у субъектов с болезнью Альцгеймера на ранней стадии и

оценивание эффектов BAN2401 по сравнению с плацебо в отношении общего объема гиппокампа с помощью волюметрической магнитно-резонансной томографии (vMRI) через 18 месяцев лечения у субъектов с болезнью Альцгеймера на ранней стадии.

Таблица 1. Включение в схему лечения

Продолжительность воздействия (месяцы) Плацебо
(N=245)
2,5 мг/кг
один раз в две недели
(N=52)
5 мг/кг
один раз в месяц
(N=51)
5 мг/кг
один раз в две недели
(N=92)
10 мг/кг
один раз в месяц
(N=253)
10 мг/кг
один раз в две недели
(N=161)
Всего
(N=609)
n 245 52 51 92 253 161 609 Среднее значение 15,55 15,01 16,44 15,21 13,95 12,03 13,93 Количество субъекто-месяцев 3810,0 780,5 838,6 1399,4 3529,6 1936,2 8484,2

Таблица 2. Общие демографические данные и характеристики на исходном уровне

Характеристика BAN2401
(N=587)
Плацебо
(N=238)
Возраст в годах (среднее значение ± S.D.) 71,4±7,91 71,1±8,89 Мужчины (n (%)) 315 (53,7) 101 (42,4) Клиническая стадия (n (%)) MCI 375 (63,9) 154 (64,7) Легкая AD 212 (36,1) 84 (35,3) ApoE4 (n (%)) Носители 420 (71,6) 169 (71,0) Не являющиеся носителями 167 (28,4) 69 (29,0) Текущее лечение ингибиторами ацетихолинэстеразы/мемантином на исходном уровне Нет 268 (45,7) 110 (46,2) Да 319 (54,3) 128 (53,8) Общий балл по шкале CDR (n (%)) 0,5 504 (85,9) 200 (84,0) 1 83 (14,1) 38 (16,0) ADCOMS
(среднее значение ± S.D.)
0,378±0,158 0,370±0,166
ADAS-Cog#
(среднее значение ± S.D.)
22,2±7,4 22,6±7,7
CDR-SB
(среднее значение ± S.D.)
2,95±1,37 2,89±1,45
MMSE
(среднее значение ± S.D.)
25,6±2,4 26,0±2,3
SUVr* согласно PET
(среднее значение ± S.D.)
1,41±0,16 1,40±0,16

#N=586 в группе BAN2401, N=237 в группе плацебо;

*Подысследование методом PET; N=214 в группе BAN2401, N=98 в группе плацебо.

Таблица 3. Демографические данные на исходном уровне у субъектов с легким когнитивным нарушением, с умеренной вероятностью обусловленным болезнью Альцгеймера

Характеристика BAN2401
(N=375)
Плацебо
(N=154)
Возраст в годах (среднее значение ± S.D.) 71,3±7,47 71,3±8,69 Мужчины (n (%)) 203 (54,1) 70 (45,5) ApoE4 (n (%)) Носители 272 (72,5) 110 (71,4) Не являющиеся носителями 103 (27,5) 44 (28,6) Текущее лечение ингибиторами ацетихолинэстеразы/мемантином на исходном уровне Нет 203 (54,1) 85 (55,2) Да 172 (45,9) 69 (44,8) Общий балл по шкале CDR (n (%)) 0,5 373 (99,5) 153 (99,4) 1 2 (0,5) 1 (0,6)

Таблица 4. Демографические данные на исходном уровне у субъектов с легкой деменцией при болезни Альцгеймера

Характеристика BAN2401
(N=212)
Плацебо
(N=84)
Возраст в годах (среднее значение ± S.D.) 71,5±8,64 70,7±9,29 Мужчины (n (%)) 112 (52,8) 31 (36,9) ApoE4 (n (%)) Носители 148 (69,8) 59 (70,2) Не являющиеся носителями 64 (30,2) 25 (29,8) Текущее лечение ингибиторами ацетихолинэстеразы/мемантином на исходном уровне Нет 65 (30,7) 25 (29,8) Да 147 (69,3) 59 (70,2) Общий балл по шкале CDR (n (%)) 0,5 131 (61,8) 47 (56,0) 1 81 (38,2) 37 (44,0)

Конечные точки

[614] В первичной конечной точке использовалась ADCOMS для измерения оценки клинических исходов с использованием данных продольного исследования за 12 месяцев с помощью байесовского анализа.

[615] Вторичные конечные точки (моменты времени 12 и 18 месяцев) включали изменение SUVr согласно PET относительно исходного уровня (амилоидная нагрузка); превращение амилоид-положительных субъектов в амилоид-отрицательных (визуальное считывание); изменение балла по шкале ADCOMS относительно исходного уровня; изменение балла по шкале ADAS-Cog относительно исходного уровня; изменение балла по шкале CDR-SB относительно исходного уровня; изменение показателей CSF (Aβ1-42, общий тау-белок и т. д.) относительно исходного уровня.

Результаты

Результаты в отношении когнитивной функции

[616] В общей популяции субъектов наблюдалось дозозависимое, клинически значимое и статистически значимое более медленное ухудшение показателей когнитивных и функциональных клинических исходов через 18 месяцев по ADCOMS с 30% уменьшением ухудшения при наиболее высокой дозе и по ADAS-Cog с 47% уменьшением ухудшения при наиболее высокой дозе; а также наблюдалось дозозависимое клинически значимое более медленное ухудшение через 18 месяцев по CDR-SB с 26% уменьшением ухудшения при наиболее высокой дозе.

[617] В таблицах 5 и 6 представлено изменение относительно исходного уровня после 12 месяцев введения BAN2401, определенное с помощью ADCOMS.

Таблица 5. Изменение относительно исходного уровня для доз BAN2401 2,5 мг/кг один раз в две недели, 5 мг/кг один раз в месяц, 5 мг/кг один раз в две недели, 10 мг/кг один раз в месяц и 10 мг/кг один раз в две недели, определенное с помощью ADCOMS, через 12 месяцев

Плацебо 2,5 мг/кг один раз в две недели 5 мг/кг один раз в месяц 5 мг/кг один раз в две недели 10 мг/кг один раз в месяц 10 мг/кг один раз в две недели N 187 38 42 67 165 93 Наблюдаемое среднее значение CFB (SD) 0,102 (0,155) 0,149 (0,201) 0,106 (0,169) 0,098 (0,141) 0,079 (0,163) 0,076 (0,144) Наблюдаемая разница -- 0,047 0,004 -0,004 -0,023 -0,026 Среднее значение, рассчитанное по методу LS (SE) 0,131 (0,013) 0,158 (0,027) 0,149 (0,027) 0,139(0,021) 0,102 (0,014) 0,085 (0,017) Разница между LSM -- 0,028 0,019 0,008 -0,029 -0,046 % уменьшения ухудшения -- 21,4 14,5 6,1 -22,1 -35,1 P-значение -- 0,336 0,514 0,731 0,101 0,027

Таблица 6. Изменение относительно исходного уровня для доз 10 мг/кг в совокупности (один раз в две недели и один раз в месяц), определенное с помощью ADCOMS, через 12 месяцев

Плацебо Группы, получавшие 10 мг/кг, в совокупности N 187 258 Наблюдаемое среднее значение CFB (SD) 0,102 (0,155) 0,078 (0,156) Наблюдаемая разница -- -0,024 Среднее значение, рассчитанное по методу LS (SE) 0,128 (0,013) 0,093 (0,012) Разница между LSM -- -0,035 % уменьшения ухудшения -- -27,3 P-значение -- 0,019

[618] Аналогичным образом, в таблицах 7 и 8 представлено изменение относительно исходного уровня после 18 месяцев введения различных доз BAN2401, определенное с помощью ADCOMS. См. также фиг. 56.

Таблица 7. Изменение относительно исходного уровня для доз BAN2401 2,5 мг/кг один раз в две недели, 5 мг/кг один раз в месяц, 5 мг/кг один раз в две недели, 10 мг/кг один раз в месяц и 10 мг/кг один раз в две недели, определенное с помощью ADCOMS, через 18 месяцев

Плацебо 2,5 мг/кг один раз в две недели 5 мг/кг один раз в месяц 5 мг/кг один раз в две недели 10 мг/кг один раз в месяц 10 мг/кг один раз в две недели N* 160 33 35 61 146 79 Наблюдаемое среднее значение CFB (SD) 0,164 (0,197) 0,167 (0,234) 0,121 (0,194) 0,166 (0,205) 0,138 (0,215) 0,122 (0,180) Наблюдаемая разница -- 0,003 -0,043 0,002 -0,026 -0,042 Среднее значение, рассчитанное по методу LS (SE) 0,193 (0,017) 0,173 (0,035) 0,192 (0,035) 0,199(0,026) 0,166 (0,018) 0,136 (0,022) Разница между LSM -- -0,020 -0,001 0,006 -0,028 -0,057 % уменьшения ухудшения -- -10,4 -0,5 3,1 -14,5 -29,5 P-значение -- 0,592 0,971 0,855 0,228 0,034

Таблица 8. Изменение относительно исходного уровня для доз 10 мг/кг в совокупности (один раз в две недели и один раз в месяц), определенное с помощью ADCOMS, через 18 месяцев

Плацебо Группы, получавшие 10 мг/кг, в совокупности N* 160 225 Наблюдаемое среднее значение CFB (SD) 0,164 (0,197) 0,132 (0,204) Наблюдаемая разница -- -0,032 Среднее значение, рассчитанное по методу LS (SE) 0,190 (0,017) 0,152 (0,014) Разница между LSM -- -0,039 % уменьшения ухудшения -- -20,5 P-значение -- 0,053

[619] В таблицах 9 и 10 представлено изменение относительно исходного уровня после 12 месяцев введения различных доз BAN2401, определенное с помощью CDR-SB. Как показано на фиг. 9 и 10, доза 10 мг/кг один раз в месяц и доза 10 мг/кг один раз в две недели приводила к замедлению ухудшения когнитивных функций по сравнению с плацебо, как определяется с помощью CDR-SB, после 12 и 18 месяцев лечения с помощью композиции, содержащей терапевтически эффективное количество BAN2401. Аналогичная тенденция наблюдается при использовании ADAS-Cog в качестве метода статистического анализа. См. фиг. 7 и 8.

Таблица 9. Изменение относительно исходного уровня для доз BAN2401 2,5 мг/кг один раз в две недели, 5 мг/кг один раз в месяц, 5 мг/кг один раз в две недели, 10 мг/кг один раз в месяц и 10 мг/кг один раз в две недели, определенное с помощью CDR-SB, через 12 месяцев

Плацебо 2,5 мг/кг один раз в две недели 5 мг/кг один раз в месяц 5 мг/кг один раз в две недели 10 мг/кг один раз в месяц 10 мг/кг один раз в две недели N* 188 38 42 70 166 94 Наблюдаемое среднее значение CFB (SD) 0,73 (1,402) 1,18 (1,906) 0,99 (1,371) 0,75 (1,451) 0,59 (1,526) 0,46 (1,382) Наблюдаемая разница -- 0,45 0,26 0,02 -0,14 -0,27 Среднее значение, рассчитанное по методу LS (SE) 0,911
(0,124)
1,038 (0,257) 1,277 (0,253) 0,945(0,194) 0,705 (0,133) 0,568 (0,163)
Разница между LSM -- 0,127 0,366 0,034 -0,207 -0,344 % уменьшения ухудшения -- 13,9 40,2 3,7 -22,7 -37,8 P-значение -- 0,644 0,179 0,878 0,210 0,077

Таблица 10. Изменение относительно исходного уровня для доз 10 мг/кг в совокупности (один раз в две недели и один раз в месяц), определенное с помощью ADCOMS, через 12 месяцев

Плацебо Группы, получавшие 10 мг/кг, в совокупности N* 188 260 Наблюдаемое среднее значение CFB (SD) 0,73 (1,402) 0,54 (1,476) Наблюдаемая разница -0,19 Среднее значение, рассчитанное по методу LS (SE) 0,894 (0,123) 0,642 (0,108) Разница между LSM -0,253 % уменьшения ухудшения -28,3 P-значение 0,079

[620] В таблицах 11 и 12 представлено изменение относительно исходного уровня после 18 месяцев введения различных доз BAN2401, определенное с помощью CDR-SB.

Таблица 11. Изменение относительно исходного уровня для доз BAN2401 2,5 мг/кг один раз в две недели, 5 мг/кг один раз в месяц, 5 мг/кг один раз в две недели, 10 мг/кг один раз в месяц и 10 мг/кг один раз в две недели, определенное с помощью CDR-SB, через 18 месяцев

Плацебо 2,5 мг/кг один раз в две недели 5 мг/кг один раз в месяц 5 мг/кг один раз в две недели 10 мг/кг один раз в месяц 10 мг/кг один раз в две недели N* 161 34 36 67 149 84 Наблюдаемое среднее значение CFB (SD) 1,27 (1,778) 1,37 (2,174) 1,23 (1,776) 1,26 (2,014) 1,10 (2,033) 1,04 (1,978) Наблюдаемая разница -- 0,10 -0,04 -0,01 -0,17 -0,23 Среднее значение, рассчитанное по методу LS (SE) 1,499 (0,160) 1,227 (0,338) 1,713 (0,334) 1,463(0,250) 1,248 (0,169) 1,102 (0,213) Разница между LSM -- -0,271 0,214 -0,036 -0,250 -0,396 % уменьшения ухудшения -- -18,1 14,3 -2,4 -16,7 -26,4 P-значение -- 0,459 0,555 0,901 0,255 0,125

Таблица 12. Изменение относительно исходного уровня для доз 10 мг/кг в совокупности (один раз в две недели и один раз в месяц), определенное с помощью CDR-SB, через 18 месяцев

Плацебо Группы, получавшие 10 мг/кг, в совокупности N* 161 233 Наблюдаемое среднее значение CFB (SD) 1,27 (1,778) 1,08 (2,010) Наблюдаемая разница -- -0,19 Среднее значение, рассчитанное по методу LS (SE) 1,473 (0,158) 1,171 (0,136) Разница между LSM -- -0,302 % уменьшения ухудшения -- -20,5 P-значение -- 0,119

Результаты у ApoE4-положительных субъектов

[621] Как сообщается ниже, в том случае, когда субъекты являлись ApoE4-положительными, были достигнуты непредсказуемо благоприятные результаты по сравнению с субъектами, которые не являлись носителями ApoE4. Это является неожиданным по меньшей мере с учетом ранее опубликованных результатов исследований, проведенных с другими антителами к Aβ.

[622] Например, в испытании фазы Ib с использованием адуканумаба - другого антитела к Aβ за пределами объема настоящего изобретения - сообщалось, что снижение суммарного балла SUVR амилоида согласно PET у пациентов, получавших лечение с помощью адуканумаба, было сходным у носителей ApoE4 и субъектов, не являющихся его носителями (Sevigny, J. et al., "The antibody aducanumab reduces Aβ plaques in Alzheimer's disease", Nature 537:50-56, 50-51 (Sept. 1, 2016), цитирование расширенных данных на фиг. 2b). Однако результаты согласно расширенным данным на фиг. 2b отражают лучшие результаты лечения субъектов, не являющихся носителями ApoE4, по сравнению с носителями ApoE4.

[623] В испытании фазы II с использованием бапинейзумаба - антитела к Aβ за пределами объема настоящего изобретения - при лечении болезни Альцгеймера от легкой до умеренной результаты указывали на возможные различия в некоторых клинических показателях в зависимости от статуса носительства ApoE4, при этом потенциальные различия в лечении говорят в пользу субъектов, не являющихся его носителями. (См. Salloway et al., "A phase 2 multiple ascending dose trial of bapineuzumab in mild to moderate Alzheimer disease", Neurology 73:2061-2070, 2067 (December 15, 2009).) Соответственно, были проведены два различных клинических испытания фазы III с использованием бапинейзумаба - одно с участием ApoE4-положительных носителей и одно с участием субъектов, не являющихся носителями ApoE4, с болезнью Альцгеймера от легкой до умеренной. Несмотря на показания фазы II, результаты фазы III не только не позволили провести различие между двумя генотипами ApoE4, но и не продемонстрировали благоприятный эффект бапинейзумаба в отношении клинических исходов. (Salloway et al., "Two Phase 3 Trials of Bapineuzumab in Mild-to-Moderate Alzheimer's Disease", N. Engl. J. Med. 370:322-33 (2014).) Аналогичным образом, два клинических испытания фазы III с использованием соланезумаба - другого антитела к Aβ за пределами объема настоящего изобретения - также не продемонстрировали благоприятный эффект в отношении первичных клинических исходов у пациентов с болезнью Альцгеймера от легкой до умеренной. (Salloway et al., N. Engl. J. Med. 370:322-33, 332 (2014); Doody, R.S. et al., "Phase 3 trials of solanezumab for mild-to-moderate Alzheimer's disease", N. Engl. J. Med. 370:311-21 (2014).)

[624] Исходя из результатов, таких как обсуждаемые ниже, статистически значимые результаты, о которых сообщается в данном документе у ApoE4-положительных субъектов по сравнению с субъектами, не являющимися носителями ApoE4, были не только неожиданными, но и непредсказуемыми.

Непредсказуемые и неожиданные результаты у ApoE4-положительных субъектов

[625] Как правило, ApoE4-положительные субъекты лучше отвечали на лечение с помощью BAN2401, чем субъекты, не являющиеся носителями ApoE4. В некоторых вариантах осуществления эти различия были клинически значимыми и статистически значимыми.

[626] На фиг. 5 и 16 показано дозозависимое замедление ухудшения когнитивных функций, определенное с помощью ADCOMS, у ApoE4-положительных субъектов, которым вводили различные дозы BAN2401, начиная с 6 месяцев, по сравнению с субъектами, которым вводили плацебо. См. также фиг. 48. На фиг. 6 и 30 показано более умеренное ухудшение когнитивных функций после введения ApoE4-отрицательным субъектам. См. также фиг. 48. Различие в ответе между ApoE4-положительными субъектами и ApoE4-отрицательными субъектами наблюдалось независимо от того, определялось ли ухудшение когнитивных функций с помощью ADCOMS (ApoE4-положительные: фиг. 5 и 16; ApoE4-отрицательные: фиг. 6 и 30), ADAS-Cog (ApoE4-положительные: фиг. 19 и 20; ApoE4-отрицательные: фиг. 35 и 36) или CDR-SB (ApoE4-положительные: фиг. 23 и 24; ApoE4-отрицательные: фиг. 39 и 40).

[627] Например, у ApoE4-отрицательных субъектов наблюдалось уменьшение клинического ухудшения на 7%, определенное с помощью ADCOMS, после 18 месяцев введения 10 мг/кг BAN2401 один раз в две недели, тогда у как у ApoE4-положительных субъектов наблюдалось уменьшение клинического ухудшения на 63%, определенное с помощью ADCOMS, после 18 месяцев введения 10 мг/кг BAN2401 один раз в две недели.

[628] Например, у ApoE4-отрицательных субъектов наблюдалось уменьшение клинического ухудшения на 43%, определенное с помощью ADCOMS, после 18 месяцев введения 10 мг/кг BAN2401 один раз в две недели, тогда у как у ApoE4-положительных субъектов наблюдалось уменьшение клинического ухудшения на 84%, определенное с помощью ADAS-Cog, после 18 месяцев введения 10 мг/кг BAN2401 один раз в две недели.

[629] Например, у ApoE4-отрицательных субъектов наблюдалось уменьшение клинического ухудшения на -7%, определенное с помощью CDR-SB, после 18 месяцев введения 10 мг/кг BAN2401 один раз в две недели, тогда у как у ApoE4-положительных субъектов наблюдалось уменьшение клинического ухудшения на 60%, определенное с помощью CDR-SB, после 18 месяцев введения 10 мг/кг BAN2401 один раз в две недели.

Субъекты с легким когнитивным нарушением, с промежуточной вероятностью обусловленным болезнью Альцгеймера, и субъекты с легкой деменцией при болезни Альцгеймера

[630] Также сравнивали восприимчивость субъектов с легким когнитивным нарушением, с промежуточной вероятностью обусловленным болезнью Альцгеймера, и субъектов с легкой деменцией при болезни Альцгеймера. В целом субъекты с легким когнитивным нарушением, с промежуточной вероятностью обусловленным болезнью Альцгеймера, и субъекты с легкой деменцией при болезни Альцгеймера хорошо отвечали на лечение с помощью композиций, содержащих BAN2401. (См., например, фиг. 3, 4 и 49.)

[631] Однако ApoE4-положительные субъекты с легкой деменцией при болезни Альцгеймера отвечали на лечение с помощью BAN2401 лучше, чем субъекты с легким когнитивным нарушением, обусловленным деменцией при болезни Альцгеймера, как определено с помощью ADCOMS (сравните фиг. 17 и 18), с помощью ADAS-Cog (сравните фиг. 21 и 22) и с помощью CDR-SB (сравните фиг. 25 и 26). ApoE4-положительные субъекты с легкой деменцией при болезни Альцгеймера лучше отвечали на лечение с помощью композиции, содержащей BAN2401, чем ApoE4-положительные субъекты с легким когнитивным нарушением, с промежуточной вероятностью обусловленным болезнью Альцгеймера.

[632] Среди ApoE4-отрицательных субъектов субъекты с легким когнитивным нарушением, с промежуточной вероятностью обусловленным болезнью Альцгеймера, и субъекты с легкой деменцией при болезни Альцгеймера отвечали на лечение. (См. фиг. 33 и 34 (ADCOMS); фиг. 37 и 38 (ADAS-Cog); а также фиг. 41 и 42 (CDR-SB).)

Результаты в отношении уровня амилоида в головном мозге

[633] В таблицах 13 и 14 представлено изменение уровня амилоида в головном мозге относительно исходного уровня у всех субъектов после 12 месяцев введения различных доз BAN2401, определенное с помощью PET (показатель стандартизированного значения накопления (SUVR)), где эталонной областью является маска всего мозжечка.

Таблица 13. Изменение уровня амилоида в головном мозге относительно исходного уровня для доз BAN2401 2,5 мг/кг один раз в две недели, 5 мг/кг один раз в месяц, 5 мг/кг один раз в две недели, 10 мг/кг один раз в месяц и 10 мг/кг один раз в две недели, определенное по показателю стандартизированного значения накопления согласно PET, через 12 месяцев

Плацебо 2,5 мг/кг один раз в две недели 5 мг/кг один раз в месяц 5 мг/кг один раз в две недели 10 мг/кг один раз в месяц 10 мг/кг один раз в две недели N* 96 27 28 25 89 43 Среднее значение SUVR на исходном уровне (SD) 1,40 (0,16) 1,41 (0,11) 1,42 (0,17) 1,40 (0,12) 1,42 (0,18) 1,36 (0,18) Наблюдаемое среднее % значение CFB (SD) -0,07 (6,05) -4,11 (5,76) -5,05 (6,91) -11,02 (6,11) -11,96 (7,27) -17,09 (14,67) Наблюдаемая разница между % CFB -- -4,04 -4,98 -10,95 -11,89 -17,02 Среднее % значение CFB, рассчитанное по методу LS (SE) -0,26 (0,84) -4,16 (1,48) -4,75 (1,49) -11,35 (1,55) -11,78 (0,92) -17,41 (1,20) Разница между LSM % CFB -- -3,90 -4,49 -11,09 -11,52 -17,15 P-значение -- 0,018 0,007 <0,001 <0,001 <0,001

Таблица 14. Изменение уровня амилоида в головном мозге относительно исходного уровня для доз 10 мг/кг в совокупности (один раз в две недели и один раз в месяц), определенное по показателю стандартизированного значения накопления согласно PET, через 12 месяцев

Плацебо 10 мг/кг в совокупности N* 96 132 Среднее значение SUVR на исходном уровне (SD) 1,40 (0,158) 1,40 (0,178) Наблюдаемое среднее % значение CFB (SD) -0,07 (6,046) -13,64 (10,525) Наблюдаемая разница между % CFB -13,57 Среднее % значение CFB, рассчитанное по методу LS (SE) -0,64
(0,90)
-13,84
(0,76)
Разница между LSM % CFB -13,20 P-значение <0,001

[634] В таблицах 15 и 16 представлено изменение уровня амилоида в головном мозге относительно исходного уровня после 12 месяцев введения различных доз BAN2401, определенное с помощью PET (визуальные считывания PET-изображений амилоида; показатель стандартизированного значения накопления (SUVR)), где эталонной областью является маска всего мозжечка. Изменение относительно исходного уровня, определенное с помощью ADCOMS и CDR-SB, положительно коррелировало статистически значимым образом с клиренсом амилоида, определенным с помощью PET (SUVR), где эталонной областью является маска всего мозжечка. См. фиг. 77 и 78. Изменение относительно исходного уровня, определенное с помощью ADCOMS, CDR-SB и ADAS-Cog, положительно коррелировало статистически значимым образом с клиренсом амилоида, определенным с помощью PET (SUVR), где эталонной областью является подкорковое белое вещество. См. фиг. 80-82.

Таблица 15. Изменение уровня амилоида в головном мозге относительно исходного уровня для доз BAN2401 2,5 мг/кг один раз в две недели, 5 мг/кг один раз в месяц, 5 мг/кг один раз в две недели, 10 мг/кг один раз в месяц и 10 мг/кг один раз в две недели, определенное по показателю стандартизированного значения накопления согласно PET, через 18 месяцев

Плацебо 2,5 мг/кг один раз в две недели 5 мг/кг один раз в месяц 5 мг/кг один раз в две недели 10 мг/кг один раз в месяц 10 мг/кг один раз в две недели N* 88 23 23 24 83 37 Среднее значение SUVR на исходном уровне (SD) 1,40 (0,16) 1,41 (0,11) 1,42 (0,17) 1,40 (0,12) 1,42 (0,18) 1,36 (0,18) Наблюдаемое среднее % значение CFB (SD) 0,78 (7,03) -5,83 (5,15) -8,99 (6,95) -13,51 (7,85) -15,12 (7,81) -19,29 (14,91) Наблюдаемая разница между % CFB -- -6,61 -9,77 -14,29 -15,90 -20,07 Среднее % значение CFB, рассчитанное по методу LS (SE) 0,77 (0,87) -6,51 (1,56) -8,93 (1,57) -13,88 (1,59) -15,15 (0,95) -20,37 (1,26) Разница между LSM % CFB -- -7,28 -9,70 -14,65 -15,92 -21,14 P-значение -- <0,001 <0,001 <0,001 <0,001 <0,001

Таблица 16. Изменение уровня амилоида в головном мозге относительно исходного уровня для доз 10 мг/кг в совокупности (один раз в две недели и один раз в месяц), определенное по показателю стандартизированного значения накопления согласно PET, через 18 месяцев

Плацебо 10 мг/кг в совокупности N* 88 120 Среднее значение SUVR на исходном уровне (SD) 1,40 (0,158) 1,40 (0,178) Наблюдаемое среднее % значение CFB (SD) 0,78 (7,03) -16,42 (10,65) Наблюдаемая разница между % CFB -- -15,64 Среднее % значение CFB, рассчитанное по методу LS (SE) 0,39
(0,91)
-17,07
(0,77)
Разница между LSM % CFB -- -17,46 P-значение -- <0,001

[635] На фиг. 11 и 12 показано дозозависимое снижение уровня амилоида в головном мозге после введения 2,5 мг/кг BAN2401 один раз в две недели, 5 мг/кг BAN2401 один раз в месяц, 5 мг/кг BAN2401 один раз в две недели, 10 мг/кг BAN2401 один раз в месяц или 10 мг/кг BAN2401 один раз в две недели через 12 и 18 месяцев. См. также фиг. 51.

[636] Как можно видеть, статистически значимое снижение уровней амилоида в головном мозге наблюдалось у субъектов с болезнью Альцгеймера на ранней стадии вследствие введения композиции, содержащей терапевтически эффективное количество по меньшей мере одного антитела к протофибриллам Aβ. Например, введение 10 мг/кг BAN2401 один раз в две недели в течение 18 месяцев приводило к снижению, составляющему -70 (p<0,0001). (См., например, фигуру 12 (центилоиды).)

[637] Аналогичным образом, введение различных доз BAN2401 ApoE4-положительным субъектам (фиг. 27 (снижение, составляющее -0,32, для дозы 10 мг/кг один раз в две недели через 18 месяцев) и 28 (снижение, составляющее -76, для дозы 10 мг/кг один раз в две недели через 18 месяцев)) и ApoE4-отрицательным субъектам (фиг. 43 (снижение, составляющее -0,29, для дозы 10 мг/кг один раз в две недели через 18 месяцев) и 44 (снижение, составляющее -68, для дозы 10 мг/кг один раз в две недели через 18 месяцев)) приводило к снижению уровней амилоида в головном мозге у этих субъектов. Также было обнаружено, что снижение уровня амилоида в головном мозге коррелирует с замедлением ухудшения когнитивных функций. См. фиг. 57.

Результаты в отношении превращения амилоид-положительных субъектов в амилоид-отрицательных

[638] В таблицах 17 и 18 показаны субъекты, которые стали амилоид-отрицательными после введения различных доз BAN2401. На фиг. 13 показана доля положительных субъектов согласно PET после введения 2,5 мг/кг BAN2401 один раз в две недели, 5 мг/кг BAN2401 один раз в месяц, 5 мг/кг BAN2401 один раз в две недели, 10 мг/кг BAN2401 один раз в месяц или 10 мг/кг BAN2401 один раз в две недели через 12 и 18 месяцев, определенная с помощью визуального считывания данных PET с использованием флорбетапира в качестве индикатора.

[639] Как можно видеть, значительная доля амилоид-положительных субъектов с болезнью Альцгеймера на ранней стадии превращалась в амилоид-отрицательных вследствие введения композиции, содержащей терапевтически эффективное количество по меньшей мере одного антитела к протофибриллам Aβ. Например, после 18 месяцев введения 10 мг/кг BAN2401 один раз в две недели 81% (p<0,0001) амилоид-положительных субъектов превратился в амилоид-отрицательных. (См., например, таблицу 17 и фиг. 13.)

[640] Значительная доля ApoE4-положительных (фиг. 28) и ApoE4-отрицательных (фиг. 42) амилоид-положительных субъектов с болезнью Альцгеймера на ранней стадии превращалась в амилоид-отрицательных вследствие введения композиции, содержащей терапевтически эффективное количество по меньшей мере одного антитела к протофибриллам Aβ. Однако в амилоид-отрицательных превращалась большая доля ApoE4-положительных субъектов, чем ApoE4-отрицательных субъектов. Например, после 18 месяцев введения 10 мг/кг BAN2401 один раз в месяц 79% (p < 0,0001) ApoE4-отрицательных амилоид-положительных субъектов превращались в амилоид-отрицательных (см., например, фиг. 31), при этом 100% (p < 0,0001) ApoE4-положительных амилоид-положительных субъектов превращались в амилоид-отрицательных. (См., например, фиг. 47.)

Таблица 17. Доля субъектов, которые стали амилоид-отрицательными во время исследования, среди групп, получавших дозы BAN2401 2,5 мг/кг один раз в две недели, 5 мг/кг один раз в месяц, 5 мг/кг один раз в две недели, 10 мг/кг один раз в месяц и 10 мг/кг один раз в две недели

Плацебо 2,5 мг/кг один раз в две недели 5 мг/кг один раз в месяц 5 мг/кг один раз в две недели 10 мг/кг один раз в месяц 10 мг/кг один раз в две недели Анализ через 12 месяцев n/m * 11/96 5/27 10/28 12/25 37/89 28/43 % отрицательных субъектов 11,5 18,5 35,7 48,0 41,6 65,1 90% CI для долей (%) -- (7,6, 35,1) (20,8, 53,0) (30,5, 65,9) (32,7, 50,8) (51,5, 77,1) p-значение -- 0,1504 0,0039 0,0001 <0,0001 <0,0001 Анализ через 18 месяцев n/m * 19/88 9/23 11/23 14/24 64/83 30/37 % отрицательных субъектов 21,6 39,1 47,8 58,3 77,1 81,1 90% CI для долей (%) -- (22,2, 58,3) (29,6, 66,5) (39,7, 75,4) (68,3, 84,5) (67,4, 90,8) p-значение -- 0,0497 0,0105 0,0007 <0,0001 <0,0001

Таблица 18. Доля субъектов, которые стали амилоид-отрицательными при дозах 10 мг/кг в совокупности (один раз в две недели и один раз в месяц)

Плацебо Группы, получавшие 10 мг/кг, в совокупности Анализ через 12 месяцев n/m * 11/96 65/132 % отрицательных субъектов 11,5 49,2 90% CI для долей (%) -- (41,8, 56,7) p-значение -- <0,0001 Анализ через 18 месяцев n/m * 19/88 94/120 % отрицательных субъектов 21,6 78,3 90% CI для долей (%) -- (71,2, 84,4) p-значение -- <0,0001

[641] Как обсуждается в данном документе выше, также измеряли биомаркеры. Например, измеряли уровень Aβ1-42 в спинномозговой жидкости и уровень общего тау-белка в спинномозговой жидкости. Дополнительные биомаркеры, которые измеряли, включают уровни нейрогранина и легких цепей нейрофиламентов в спинномозговой жидкости.

[642] Наблюдались дозозависимые статистически значимые эффекты в отношении уровня Aβ1-42 в спинномозговой жидкости и статистически значимое снижение уровня общего тау-белка в спинномозговой жидкости при продольном анализе.

[643] В целом (фиг. 14) и в каждой подгруппе (фиг. 30 - ApoE4-положительные субъекты; фиг. 46 - ApoE4-отрицательные субъекты) введение композиции, содержащей BAN2401, приводило к повышению уровня Aβ1-42 в спинномозговой жидкости. Без ограничения какой-либо теорией предполагается, что это происходит вследствие нормализации уровня Aβ1-42 в спинномозговой жидкости, что отражает меньшую секвестрацию растворимого Aβ1-42 в спинномозговой жидкости с образованием бляшек Aβ вследствие удаления бляшек. Эти результаты демонстрируют, что BAN2401 взаимодействует со своей мишенью.

[644] Аналогичным образом, во всех аналитических группах пациентов наблюдалось снижение уровня общего тау-белка в спинномозговой жидкости. (См. фиг. 15, 31, 47, 54, 65 и 68-70.)

[645] После введения BAN2401 наблюдалось снижение уровня нейрогранина в спинномозговой жидкости и меньшее количество легких цепей нейрофиламентов по сравнению с плацебо. (См. фиг. 53, 55, 66, 67 и 71-76.) Введение 10 мг/кг BAN2401 один раз в две недели или один раз в месяц приводило к снижению уровня нейрогранина на 10% (по сравнению с исходным уровнем) (см. фиг. 53) и на 50% меньшей выработке легких цепей нейрофиламентов по сравнению с плацебо (см. фиг. 55).

Результаты в отношении безопасности

[646] В таблице 19 представлена сводная информация о нежелательных явлениях, связанных с лечением.

Таблица 19. Нежелательные явления, возникшие после начала лечения ("TEAE")

Категория Плацебо
(N=245),
n (%)
Схема лечения
2,5 мг/кг
один раз в две недели (N=52),
n (%)
5 мг/кг один раз в месяц
(N=51),
n (%)
5 мг/кг один раз в две недели
(N=92),
n (%)
10 мг/кг один раз в месяц
(N=253),
n (%)
10 мг/кг один раз в две недели
(N=161),
n (%)
Любое TEAE 216 (88,2) 46 (88,5) 48 (94,1) 81 (88,0) 238 (94,1) 139 (86,3) TEAE, связанное с лечением 65 (26,5) 23 (44,2) 25 (49,0) 31 (33,7) 135 (53,4) 76 (47,2) Серьезное нежелательное явление 43 (17,6) 10 (19,2) 4 (7,8) 16 (17,4) 31 (12,3) 25 (15,5) ARIA-E 2 (0,8) 1 (1,9) 1 (2,0) 3 (3,3) 25 (9,9) 16 (9,9) Случаи смерти 2 (0,8) 2 (3,8) 0 1 (1,1) 2 (0,8) 0 AE, приводящее к прекращению лечения в рамках исследования 15 (6,1) 7 (13,5) 4 (7,8) 10 (10,9) 47 (18,6) 24 (14,9)

[647] В таблице 20 представлена сводная информация о наиболее частых нежелательных явлениях, связанных с лечением.

[648] В таблице 21 представлена​сводная информация о частоте возникновения вазогенного отека (ARIA-E).

Таблица 21. Сводная информация о частоте возникновения ARIA-E

Категория Плацебо
(N=245),
n (%)
Схема лечения
2,5 мг/кг
один раз в две недели (N=52),
n (%)
5 мг/кг один раз в месяц
(N=51),
n (%)
5 мг/кг один раз в две недели
(N=92),
n (%)
10 мг/кг один раз в месяц
(N=253),
n (%)
10 мг/кг один раз в две недели
(N=161),
n (%)
ARIA-E 2 (0,8) 1 (1,9) 1 (2,0) 3 (3,3) 25 (9,9) 16 (9,9) ApoE4+ 2/173 (1,2%) 1/38
(2,6%)
1/40
(2,5%)
3/84
(3,6%)
23/225 (10,2%) 7/48 (14,6%)
ApoE4- 0/72 0/14 0/11 0/8 2/28
(7,1%)
9/113
(8%)

Результаты у ApoE4-положительных субъектов

[649] Как обсуждается выше, в том случае, когда субъекты являются ApoE4-положительными, были достигнуты непредсказуемо благоприятные результаты по сравнению с субъектами, которые не являлись носителями ApoE4. Это является неожиданным по меньшей мере с учетом ранее опубликованных результатов исследований, проведенных с другими антителами к Aβ.

[650] Например, в испытании фазы Ib с использованием адуканумаба - другого антитела к Aβ - сообщалось, что снижение суммарного балла SUVr амилоида согласно PET у пациентов, получавших лечение с помощью адуканумаба, было сходным у носителей ApoE4 и субъектов, не являющихся его носителями (Sevigny, J. et al., "The antibody aducanumab reduces Aβ plaques in Alzheimer's disease", Nature 537:50-56, 50-51 (Sept. 1, 2016), цитирование расширенных данных на фиг. 2b.) Однако результаты согласно расширенным данным на фиг. 2b отражают лучшие результаты лечения субъектов, не являющихся носителями ApoE4, по сравнению с носителями ApoE4.

[651] В испытании фазы II с использованием бапинейзумаба - антитела к Aβ за пределами объема настоящего изобретения - при лечении болезни Альцгеймера от легкой до умеренной результаты указывали на возможные различия в некоторых клинических показателях в зависимости от статуса носительства ApoE4, при этом потенциальные различия в лечении говорят в пользу субъектов, не являющихся его носителями. (См. Salloway et al., "A phase 2 multiple ascending dose trial of bapineuzumab in mild to moderate Alzheimer disease", Neurology 73:2061-2070, 2067 (December 15, 2009).) Соответственно, были проведены два различных клинических испытания фазы III с использованием бапинейзумаба - одно с участием ApoE4-положительных носителей и одно с участием субъектов, не являющихся носителями ApoE4, с болезнью Альцгеймера от легкой до умеренной. Несмотря на показания фазы II, результаты фазы III не только не позволили провести различие между двумя генотипами ApoE4, но и не продемонстрировали благоприятный эффект бапинейзумаба в отношении клинических исходов. (Salloway et al., "Two Phase 3 Trials of Bapineuzumab in Mild-to-Moderate Alzheimer's Disease", N. Engl. J. Med. 370:322-33 (2014).) Аналогичным образом, два клинических испытания фазы III с использованием соланезумаба - другого антитела к Aβ за пределами объема настоящего изобретения - также не продемонстрировали благоприятный эффект в отношении первичных клинических исходов у пациентов с болезнью Альцгеймера от легкой до умеренной. (Salloway et al., N. Engl. J. Med. 370:322-33, 332 (2014); Doody R.S. et al., "Phase 3 trials of solanezumab for mild-to-moderate Alzheimer's disease", N. Engl. J. Med. 370:311-21 (2014).)

[652] Исходя из результатов, таких как обсуждаемые выше, статистически значимые результаты, о которых сообщается в данном документе у ApoE4-положительных субъектов по сравнению с субъектами, не являющимися носителями ApoE4, были не только неожиданными, но и непредсказуемыми.

Фармакокинетический профиль

[653] Анализ фармакокинетического профиля субъектов показал, что введение композиции, содержащей BAN2401, приводит к линейному дозозависимому эффекту. См., например, фиг. 60.

[654] Средняя концентрация в плазме крови в равновесном состоянии для каждой дозы показана в таблице 22. Было обнаружено, что замедление скорости прогрессирования заболевания, определяемое с помощью ADCOMS, ADAS-Cog и CDR-SB, положительно коррелировало со средней концентрацией BAN2401 в плазме крови в равновесном состоянии. См., например, фиг. 1, 7 и 9 (величина дозы положительно коррелирует с замедлением прогрессирования заболевания) и таблицу 22 (величина дозы положительно коррелирует со средней концентрацией в плазме крови в равновесном состоянии).

Таблица 22. Средняя концентрация в плазме крови в равновесном состоянии

Доза BAN2401 Css, av (мкг/мл) 2,5 мг/кг один раз в две недели 28,7 5 мг/кг один раз в месяц 28,7 5 мг/кг один раз в две недели 57,3 10 мг/кг один раз в месяц 57,3 10 мг/кг один раз в две недели 114,7

[655] В таблице 23 показаны популяционные фармакокинетические параметры после введения BAN2401.

Таблица 23. Популяционные фармакокинетические параметры для BAN2401

Параметр Точечная оценка % RSE 95% CI Клиренс: CL Базальный CL (л/ч) 0,0191 2,84 0,0180-0,0202 Эффект пола в отношении CL (соотношение) 0,786 3,97 0,725-0,847 Эффект массы тела в отношении CL (показатель степени) 0,384 18,5 0,245-0,523 Эффект альбумина в отношении CL (показатель степени) -0,267 22,5 -0,385 - -0,149 Центральный объем распределения: V1 Базальный V1 (л) 3,18 1,21 3,10-3,26 Эффект массы тела в отношении V1 (показатель степени) 0,621 7,94 0,524-0,718 Эффект пола в отношении V1 (соотношение) 0,904 1,85 0,871-0,937 Межкамерный клиренс: Q Базальный Q (л/ч) 0,0350 8,00 0,0295-0,0405 Периферический объем распределения: V2 Базальный V2 (л) 2,24 8,12 1,88-2,60 Эффект японской расы в отношении V2 (соотношение) 0,423 31,2 0,164-0,682 Межиндивидуальная вариабельность (% CV) CL 41,0 6,49 - Коварианса CL_V1 0,104 59,9 - V1 13,6 8,76 - Q NE - - V2 97,1 8,36 - Остаточная вариабельность Исследование пропорциональности 1 (% CV) 13,9 3,51 - Исследование пропорциональности 2 (% CV) 18,8 3,94 - Исследование пропорциональности 3 (% CV) 27,5 0,938 - Сокращения: NE=не оценивалось; % RSE=процентная относительная стандартная ошибка оценки=SE/оценка параметра * 100; CL=клиренс; V1=центральный объем распределения; Q=межкамерный клиренс; V2=периферический объем распределения; л=литр; ч=час; CI=доверительный интервал; % CV=квадратный корень из дисперсии * 100.

[656] Также было обнаружено, что доля ApoE4-положительных субъектов, которые испытывали явление ARIA-E, положительно коррелировала с максимальной концентрацией BAN2401 в плазме крови при всех исследуемых дозах. См. фиг. 62. В отличие от этого, доля ApoE4-отрицательных субъектов, которые испытывали явление ARIA-E и которым вводили BAN2401 в дозе, приводящей к максимальной концентрации в плазме крови, составляющей приблизительно 230 мкг/мл или меньше, была примерно сопоставима с долей ApoE4-отрицательных субъектов, которым вводили плацебо. См. там же.

Параллельное введение по меньшей мере одного лекарственного препарата для лечения болезни Альцгеймера, отличного от BAN2401

[657] Субъектам независимо от того, вводили ли им параллельно по меньшей мере один лекарственный препарат для лечения болезни Альцгеймера, отличный от BAN2401, вводили BAN2401, как описано в данном документе выше. Неожиданно было обнаружено, что субъекты, которым не вводили параллельно по меньшей мере один лекарственный препарат для лечения болезни Альцгеймера, отличный от BAN2401, демонстрировали большее замедление ухудшения когнитивных функций по сравнению с исходным уровнем, чем субъекты, которым параллельно вводили BAN2401 и по меньшей мере один лекарственный препарат для лечения болезни Альцгеймера, отличный от BAN2401. Эти результаты были согласованными во всех анализах: ADCOMS (23% замедление ухудшения когнитивных функций у субъектов с параллельным введением по меньшей мере одного лекарственного препарата для лечения болезни Альцгеймера, отличного от BAN2401, по сравнению с 41% без параллельного введения); ADAS-Cog (39% замедление ухудшения когнитивных функций у субъектов с параллельным введением по меньшей мере одного лекарственного препарата для лечения болезни Альцгеймера, отличного от BAN2401, по сравнению с 59% без параллельного введения) и CDR-SB (20% замедление ухудшения когнитивных функций у субъектов с параллельным введением по меньшей мере одного лекарственного препарата для лечения болезни Альцгеймера, отличного от BAN2401, по сравнению с 45% без параллельного введения). См. фиг. 50.

Факторы риска прогрессирования заболевания

[658] Было обнаружено, что статус ApoE4 у субъекта не является статистически значимым фактором риска при определении прогрессирования заболевания. Однако было обнаружено, что другие факторы, например, клиническая стадия заболевания, параллельное введение по меньшей мере одного лекарственного препарата для лечения болезни Альцгеймера, отличного от BAN2401, и балл по шкале ADCOMS на исходном уровне, являются статистически значимыми факторами риска. См. фиг. 58 и 59.

Пример возможного использования A: предупреждение болезни Альцгеймера у ApoE4-положительных субъектов

[659] Субъектов независимо от пола подвергают скринингу на статус носительства ApoE4. Субъектов можно отбирать для скрининга, исходя из возраста, например, 50 лет и старше, риска развития болезни Альцгеймера и/или других критериев.

[660] Если при скрининге определяется, что субъект является ApoE4-положительным, то измеряют уровень амилоида в головном мозге субъекта, например, с помощью визуальных считываний PET-изображений амилоида, как обсуждается выше, или с помощью другой методики, известной среднему специалисту в данной области. Также можно измерить уровень Aβ1-42 в спинномозговой жидкости и/или уровень общего тау-белка в спинномозговой жидкости субъекта.

[661] Если уровень амилоида в головном мозге субъекта превышает предварительно определенный уровень, как, например, значение SUVr согласно PET превышает 1,1, как, например, превышает 1,2, превышает 1,3, превышает 1,4, превышает 1,5 или превышает 1,6, то субъекту вводят композицию, содержащую терапевтически эффективное количество по меньшей мере одного антитела к протофибриллам Aβ. В некоторых вариантах осуществления, если уровень амилоида в головном мозге субъекта превышает предварительно определенный уровень, как, например, значение SUVr согласно PET превышает 1,3, как, например, превышает 1,4, превышает 1,5, превышает 1,6, превышает 1,7, превышает 1,8 или превышает 1,9, то субъекту вводят композицию, содержащую терапевтически эффективное количество по меньшей мере одного антитела к протофибриллам Aβ. Композицию можно вводить в количестве и в соответствии со схемой и путем введения доз, которые описаны в данном документе, как, например, раскрыты в примере 1.

[662] Если уровень амилоида в головном мозге субъекта ниже вышеуказанного предварительно определенного уровня, субъекта можно подвергнуть мониторингу и/или у него можно определить уровни амилоида в головном мозге в более позднюю дату, например, спустя шесть месяцев.

[663] После введения субъекту композиции, содержащей терапевтически эффективное количество по меньшей мере одного антитела к протофибриллам Aβ, уровень амилоида в головном мозге субъекта измеряют снова. Если уровень амилоида в головном мозге субъекта выше предварительно определенного уровня, введение композиции повторяют. Если уровень амилоида в головном мозге субъекта ниже предварительно определенного уровня, субъекта можно подвергнуть мониторингу и/или у него можно определить уровни амилоида в головном мозге в более позднюю дату, например, в течение периода шести месяцев.

[664] При более позднем определении, если уровень амилоида в головном мозге субъекта превышает предварительно определенный уровень, то субъекту вводят композицию, содержащую терапевтически эффективное количество по меньшей мере одного антитела к протофибриллам Aβ.

[665] Если во время мониторинга субъекта уровень амилоида в головном мозге субъекта поднимается выше предварительно определенного уровня согласно, например, PET или показателям спинномозговой жидкости, то введение композиции, содержащей терапевтически эффективное количество по меньшей мере одного антитела к протофибриллам Aβ, возобновляют. Уровень амилоида в головном мозге снова измеряют после введения композиции, содержащей терапевтически эффективное количество по меньшей мере одного антитела к протофибриллам Aβ.

[666] После введения композиции субъекту необязательно вводят по меньшей мере одно средство поддерживающей терапии, такое как ингибитор ВАСЕ. В некоторых вариантах осуществления ингибитор ВАСЕ может представлять собой эленбецестат.

[667] В дополнение к измерению и учету уровня амилоида в головном мозге, уровня Aβ1-42 в спинномозговой жидкости и/или уровня общего тау-белка в спинномозговой жидкости, проводят измерение и/или мониторинг других показателей состояния здоровья субъекта, например, баллов по шкалам MMSE, ADAS-Cog, CDR, а также FAQ.

Пример возможного использования B: лечение субъектов с болезнью Альцгеймера на ранней стадии

[668] Субъектов как мужского, так и женского пола в возрасте в диапазоне от 50 до 90 лет включительно с легким когнитивным нарушением, с промежуточной вероятностью обусловленным болезнью Альцгеймера, и/или с легкой деменцией при болезни Альцгеймера подвергают скринингу на соответствие критериям для лечения. В общей сложности 990 субъектов рандомизируют в две группы лечения, как описано ниже, в следующем соотношении: 1 субъект, которому вводят плацебо, на каждых 2 субъектов, которым вводят BAN2401.

[669] Исследование состоит из фазы перед рандомизацией и фазы рандомизации.

Фаза перед рандомизацией

[670] Фаза продолжается в течение периода до 60 дней и состоит из периода скрининга и периода определения исходного уровня. В течение периода скрининга субъектов оценивают на основании критериев пригодности к участию в исследовании. Если субъект считается соответствующим критериям участия в исследовании, то субъект затем переходит к периоду определения исходного уровня.

[671] В течение периода определения исходного уровня проводят ряд анализов, в том числе клинические тесты (например, анализы крови (например, для определения статуса ApoE4) и т.д.), анализы безопасности методом магнитно-резонансной томографии (MRI), PET-оценки амилоида (например, визуальные считывания PET-изображений амилоида) и исследование спинномозговой жидкости (для анализа биомаркеров), если субъект давал согласие. Дополнительное клиническое тестирование субъектов включает MMSE, CDR, ADAS-Cog и FAQ.

Фаза рандомизации

[672] Фаза рандомизации состоит из 18-месячного периода лечения и 3-месячного периода последующего наблюдения. Субъектов рандомизируют, и им вводят плацебо либо композицию, содержащую 10 мг/кг BAN2401, один раз в 2 недели.

[673] Всем субъектам вводят внутривенную инфузию длительностью примерно 60 минут один раз в 2 недели. BAN2401 вводили в изотоническом солевом растворе в виде 60-минутных IV инфузий.

[674] Всех субъектов оценивают на основании когнитивной функции, безопасности, фармакокинетических параметров, безопасности, определяемой методом MRI, данных PET-визуализации, волюметрической MRI и анализа спинномозговой жидкости, если субъект давал согласие на такой анализ. Дополнительные клинические оценки включают MMSE, CDR, ADAS-Cog, FAQ и измерения уровня амилоида. Эти измерения проводят с регулярными интервалами, например, в течение периода определения исходного уровня и через 3 месяца, 6 месяцев, 9 месяцев, 12 месяцев, 15 месяцев и/или 18 месяцев после начала лечения.

[675] Лечение завершают по прошествии 18 месяцев по запросу субъекта, по запросу лечащего врача и/или Независимого комитета по мониторингу данных о безопасности и/или при возникновении одного или нескольких нежелательных явлений, требующих прекращения лечения.

[676] После завершения лечения субъектов оценивают так же, как в течение периода определения исходного уровня и фазы рандомизации. Субъекты, не участвующие в фазе продления (описанной ниже), совершают визит последующего наблюдения через 3 месяца, во время которого измеряются/оцениваются параметры, аналогичные измеряемым в течение фазы рандомизации.

Фаза продления

[677] Субъект, завершивший фазу рандомизации, имеет возможность принять участие в фазе продления. В течение этой фазы субъект остается на том же лечении, что и в течение фазы рандомизации. Аналогичным образом, в течение фазы продления также будут проводить мониторинг симптомов и измерение других параметров, как описано для фазы рандомизации. Фаза продления будет продолжаться до прекращения по запросу субъекта, по запросу лечащего врача и/или Независимого комитета по мониторингу данных о безопасности, при возникновении одного или нескольких нежелательных явлений, требующих прекращения лечения, в зависимости от коммерческой доступности BAN2401 и/или если результаты исследования не демонстрируют положительного соотношения риска и пользы. После введения последней дозы исследуемого лекарственного средства проводится визит последующего наблюдения через 3 месяца, во время которого измеряются/оцениваются параметры, аналогичные измеряемым в течение фазы рандомизации.

Составление

[678] BAN2401 поставляется в виде стерильного прозрачного раствора для инъекций с содержанием 10 мг/мл в одноразовом флаконе объемом 10 мл (всего 100 мг/флакон). Лекарственный препарат составляли в 25 мМ цитрата натрия, 125 мМ хлорида натрия, 0,02% (вес/об.) полисорбата 80, и pH определено как 5,7. BAN2401 вводят с помощью инфузионной системы, содержащей концевой встроенный фильтр с диаметром пор 0,22 мкм.

Конечные точки исследования

[679] Первичной конечной точкой исследования является определение изменения суммарного балла оценки болезни Альцгеймера (ADCOMS) относительно исходного уровня через 18 месяцев. Ключевые вторичные конечные точки включают измерение изменения суммарного балла SUVr амилоида согласно PET относительно исходного уровня через 18 месяцев для уровней амилоида в головном мозге и изменения балла по шкале ADAS-Cog относительно исходного уровня через 18 месяцев.

[680] Вторичные конечные точки включают изменения балла по шкале CDR-SB относительно исходного уровня через 18 месяцев и время до ухудшения балла по шкале CDR-SB через 18 месяцев.

[681] Конечные точки на основе биомаркеров включают изменение суммарного балла SUVr амилоида согласно PET относительно исходного уровня через 6 и 12 месяцев для уровней амилоида в головном мозге; изменение уровня нейрогранина, уровня легких цепей нейрофиламентов, уровня Aβ1-42 и уровня общего тау-белка в спинномозговой жидкости относительно исходного уровня через 12 и 18 месяцев; а также изменение морфометрических показателей, измеряемых с помощью MRI (в том числе объема гиппокампа), относительно исходного уровня через 6, 12 и 18 месяцев согласно vMRI.

[682] Субъекты, соответствующие критериям участия в OLE в примере возможного использования C. Субъекты, соответствующие критериям для лечения в примере возможного использования C ниже, являются субъектами с AD на ранней стадии (субъектами с MCI, обусловленным AD, и легкой деменцией при AD), которые получали лечение в международном многоцентровом двойном слепом плацебо-контролируемом 18-месячном исследовании в параллельных группах, в котором оценивали клиническую безопасность и эффективность, а также изучали дозозависимый эффект BAN2401 после 12 и 18 месяцев лечения с помощью суммарного балла оценки болезни Альцгеймера (ADCOMS) при AD на ранней стадии. В этом исследовании использовали байесовский план с адаптивной рандомизацией в зависимости от ответа по группе плацебо или 5 группам активного препарата BAN2401 у субъектов с AD на ранней стадии для анализа баллов по шкале ADCOMS через 12 месяцев. Более медленное ухудшение у субъектов с AD на ранней стадии наблюдалось как через 12, так и через 18 месяцев при введении BAN2401 в дозе 10 мг/кг один раз в две недели согласно ADCOMS (30% уменьшение ухудшения), ADAS-Cog (47% уменьшение), MMSE (19% уменьшение) и CDR-SB (26% уменьшение). Различия в этих клинических показателях наблюдались уже через 6 месяцев. Клинические результаты сопровождались устойчивым и дозозависимым снижением уровня амилоида в головном мозге при всех дозах согласно измерениям с помощью количественной PET амилоида. См., например, фиг. 63.

Пример возможного использования C: открытое продленное исследование BAN2401: лечение субъектов с болезнью Альцгеймера на ранней стадии

[683] Субъекты, соответствующие критериям участия в исследовании, как обсуждается выше, получают лечение с помощью BAN2401 в дозе 10 мг/кг один раз в две недели в открытом продленном исследовании (OLE) в течение периода до 24 месяцев. В OLE оценивают долгосрочную безопасность и переносимость BAN2401, а также оценивают эффекты BAN2401 в отношении уровня амилоида в головном мозге у субъектов, которые участвовали в предыдущем исследовании, как обобщено ниже.

[684] Примерно 200-250 субъектов, соответствующих критериям участия в исследовании, как обсуждается выше, как мужского, так и женского пола независимо от статуса ApoE могут быть допущены к OLE-исследованию на основании критериев включения и исключения, представленных ниже.

[685] Критерии включения в OLE включают:

предшествующее лечение в предыдущем исследовании в течение по меньшей мере 79 недель или в течение менее 79 недель вследствие:

испытывания явления ARIA-E;

испытывания явления ARIA-H (например, поверхностного сидероза, микрокровоизлияния и/или симптоматического микрокровоизлияния);

приема лекарственного препарата, который был запрещен в ходе предыдущего лечения с помощью BAN2401, но который больше не является запрещенным; и/или

любой причины, не связанной с запрещенным лекарственным препаратом, в том числе любого нежелательного явления, не связанного с лечением с помощью BAN2401 и не считающегося тяжелым или угрожающим жизни;

наличие лица, осуществляющего уход/информанта, который может предоставить подробную информацию о субъекте, связанную с его лечением;

возможность предоставить информированное согласие и

возможность совершать визиты в клинику.

[686] Критерии исключения из OLE включают:

предшествующее лечение в предыдущем исследовании, которое было прекращено менее чем через 79 недель по причинам, отличным от:

испытывания случая ARIA-E;

испытывания случая ARIA-H (например, поверхностного сидероза, микрокровоизлияния и/или симптоматического микрокровоизлияния);

приема лекарственного препарата, который был запрещен в ходе предыдущего лечения с помощью BAN2401, но который больше не является запрещенным; и/или

наличия ApoE4-положительного статуса и получения лечения с помощью BAN2401 в дозе 10 мг/кг один раз в две недели; и/или

испытывания нежелательного явления, которое было сочтено не связанным с исследуемым лекарственным средством (плацебо или BAN2401) и не было тяжелым или угрожающим жизни;

кормящие грудью женщины или женщины детородного возраста, которые могут быть беременны или подвержены риску забеременеть; и/или

развитие после лечения в рамках предыдущего исследования состояния, которое может препятствовать введению BAN2401 или представлять угрозу безопасности для него.

[687] Перед введением BAN2401 в настоящем OLE участвующих субъектов оценивают для определения характеристик исходного уровня, таких как когнитивная функция, параметры безопасности, фармакокинетические параметры, безопасность, определяемая методом MRI, данные PET-визуализации и волюметрической MRI. Дополнительные клинические оценки могут включать MMSE, CDR, ADAS-Cog, FAQ и измерения уровня амилоида.

[688] Лечение в рамках OLE в настоящем примере возможного использования включает введение субъектам, соответствующим критериям участия в исследовании, дозы BAN2401 10 мг/кг один раз в две недели в течение периода до 24 месяцев.

[689] BAN2401 поставляется в виде любого состава, подходящего для введения человеку, например, в виде стерильного прозрачного раствора для инъекций с содержанием 10 мг/мл BAN2401 в одноразовом флаконе объемом 10 мл (всего 100 мг/флакон), содержащего 25 мМ цитрата натрия, 125 мМ хлорида натрия, 0,02% (вес/об.) полисорбата 80 и имеющего pH 5,7. BAN2401 можно вводить с помощью инфузионной системы, содержащей концевой встроенный фильтр с диаметром пор 0,22 мкм.

[690] В ходе лечения в рамках OLE с различными временными интервалами (3 месяца, 6 месяцев, 9 месяцев, 12 месяцев, 18 месяцев и/или 24 месяца) и по завершении лечения в рамках OLE субъектов оценивают с помощью одной или нескольких методик оценки, таких как методики оценки исходного уровня и/или методики клинической оценки. Подходящие оценки могут включать оценки когнитивной функции, параметров безопасности, фармакокинетических параметров, безопасности, определяемой методом MRI, PET-визуализацию, волюметрическую MRI, MMSE, CDR, ADAS-Cog, FAQ, а также измерения уровня амилоида.

[691] В ходе лечения в рамках OLE субъект продолжает получать лечение с помощью BAN2401 без перерыва, даже если у субъекта развивается бессимптомная ARIA-H, представляющая собой церебральное микрокровоизлияние, множественные бессимптомные церебральные микрокровоизлияния, бессимптомный поверхностный сидероз, единичное бессимптомное микрокровоизлияние, и/или бессимптомная или рентгенографически легкая или умеренная ARIA-E. Если у субъекта развивается симптоматическая ARIA-H и/или бессимптомная ARIA-E или ARIA-E от умеренной до тяжелой рентгенографически, введение BAN2401 приостанавливается до тех пор, пока ARIA-H или ARIA-E рентгенографически не стабилизируется или не устранится и не устранятся клинические признаки, после чего введение BAN2401 может быть возобновлено в той же дозе и в соответствии с той же схемой. Если лечение необходимо возобновлять более чем дважды в рамках OLE, то субъект исключается из исследования.

Оценки и конечные точки исследования OLE

[692] В OLE оценивают долгосрочную безопасность и переносимость лечения субъектов с болезнью Альцгеймера на ранней стадии с помощью BAN2401 в дозе 10 мг/кг один раз в две недели. Оценка включает определение частоты возникновения и тяжести ARIA-H, ARIA-E и нежелательных явлений, отличных от ARIA-H/ARIA-E.

[693] Уровень амилоида в головном мозге (например, определяемый с помощью PET-визуализации) определяют до и/или в конце предыдущего исследования, до и необязательно в ходе и после лечения в рамках OLE в настоящем примере возможного использования с помощью BAN2401 для оценки удаления и/или поддержания отсутствия амилоида в головном мозге вследствие лечения с помощью BAN2401. Уровень амилоида в головном мозге (например, определяемый с помощью продольной PET-визуализации) оценивают после 3 месяцев, 6 месяцев, 12 месяцев, 18 месяцев и/или 24 месяцев лечения в рамках OLE в настоящем примере возможного использования с помощью BAN2401, например, с точки зрения изменения уровня амилоида в головном мозге относительно исходного уровня после предыдущего исследования, как обсуждается выше. Долю амилоид-положительных субъектов, например, определяемую с помощью визуальных считываний PET-изображений амилоида, также оценивают в течение некоторого периода времени в рамках OLE.

[694] Оценка когнитивных функций субъектов в ходе данного OLE-исследования, определенная, например, с помощью ADCOMS, CDR-SB, ADAS-Cog и MMSE, может дать представление о долгосрочных когнитивных эффектах лечения с помощью BAN2401. Оценки могут дать представление о долгосрочном прогрессировании заболевания и стойкости любого замедления скорости ухудшения когнитивных функций, которое наблюдалось в ходе предыдущего исследования.

[695] Поскольку будут измеряться такие параметры, как фармакокинетические характеристики, объем гиппокампа и другие биомаркеры, это OLE-исследование может дать представление о долгосрочных эффектах лечения с помощью BAN2401.

[696] Информация, касающаяся контроля случаев ARIA-E и ARIA-H, может быть получена из этого OLE-исследования, поскольку, в отличие от предыдущего протокола, протокол OLE в настоящем примере возможного использования предусматривает продолжение лечения субъектов с помощью BAN2401 даже в том случае, если они испытывают случаи ARIA-E и/или ARIA-H, если только их тяжесть не требует прекращения лечения.

[697] Дополнительное представление о стойкости снижения уровня амилоида после "лекарственных каникул" (например, о том, как долго сохраняется снижение после прекращения лечения с помощью BAN2401), динамике повышения уровня и/или отложения амилоида и/или динамике удаления амилоида (о том, как быстро амилоид удаляется благодаря лечению с помощью BAN2401) также можно получить из OLE-исследования в настоящем примере возможного использования.

Первоначальные результаты

[698] Включение в OLE-исследование продолжается. Данные об исходном уровне амилоида согласно PET доступны для 56 субъектов, включенных в OLE-исследование, что включает данные от 39 субъектов, которые получали лечение с помощью BAN2401 в предыдущем исследовании со средней продолжительностью периода отмены исследуемого лекарственного средства 21 месяц (в диапазоне от 9 до 52 месяцев периода отмены исследуемого лекарственного средства). Было определено, что 85% (33/39) субъектов, которые ранее были амилоид-положительными и которые получали лечение с помощью BAN2401 (10 мг/кг один раз в месяц или один раз в две недели в течение 18 месяцев), по-прежнему являются амилоид-отрицательными после периода отмены исследуемого лекарственного средства продолжительностью от 9 месяцев до 52 месяцев. Все субъекты, зачисленные в OLE-исследование, которые были амилоид-отрицательными в предыдущем исследовании через 18 месяцев, также были амилоид-отрицательными при измерении исходного уровня в OLE-исследовании независимо от группы лечения в предыдущем исследовании. Таким образом, эти первоначальные результаты неожиданно демонстрируют, что опосредованное BAN2401 возвращение субъектов к амилоид-отрицательному статусу, определенное с помощью PET, сохранялось от конца предыдущего исследования до измерения исходного уровня в OLE-исследовании, несмотря на то, что субъекты не получали лечение в течение периода от 9 до 52 месяцев.

[699] В некоторых вариантах осуществления способы, раскрытые в данном документе, приводят к снижению уровня амилоида. В некоторых вариантах осуществления снижение уровня амилоида определяют с помощью PET. В некоторых вариантах осуществления снижение уровня амилоида, определяемое с помощью PET, сохраняется в течение периода от 9 месяцев до 52 месяцев после введения BAN2401.

[700] В некоторых вариантах осуществления снижение уровня амилоида, определяемое с помощью PET, сохраняется в течение по меньшей мере 1 месяца после введения BAN2401. В некоторых вариантах осуществления снижение уровня амилоида, определяемое с помощью PET, сохраняется в течение по меньшей мере 2 месяцев после введения BAN2401. В некоторых вариантах осуществления снижение уровня амилоида, определяемое с помощью PET, сохраняется в течение по меньшей мере 3 месяцев после введения BAN2401. В некоторых вариантах осуществления снижение уровня амилоида, определяемое с помощью PET, сохраняется в течение по меньшей мере 4 месяцев после введения BAN2401. В некоторых вариантах осуществления снижение уровня амилоида, определяемое с помощью PET, сохраняется в течение по меньшей мере 5 месяцев после введения BAN2401. В некоторых вариантах осуществления снижение уровня амилоида, определяемое с помощью PET, сохраняется в течение по меньшей мере 6 месяцев после введения BAN2401. В некоторых вариантах осуществления снижение уровня амилоида, определяемое с помощью PET, сохраняется в течение по меньшей мере 7 месяцев после введения BAN2401. В некоторых вариантах осуществления снижение уровня амилоида, определяемое с помощью PET, сохраняется в течение по меньшей мере 8 месяцев после введения BAN2401. В некоторых вариантах осуществления снижение уровня амилоида, определяемое с помощью PET, сохраняется в течение по меньшей мере 9 месяцев после введения BAN2401. В некоторых вариантах осуществления снижение уровня амилоида, определяемое с помощью PET, сохраняется в течение по меньшей мере 10 месяцев после введения BAN2401.

[701] В некоторых вариантах осуществления снижение уровня амилоида, определяемое с помощью PET, сохраняется в течение по меньшей мере 15 месяцев после введения BAN2401. В некоторых вариантах осуществления снижение уровня амилоида, определяемое с помощью PET, сохраняется в течение по меньшей мере 20 месяцев после введения BAN2401. В некоторых вариантах осуществления снижение уровня амилоида, определяемое с помощью PET, сохраняется в течение по меньшей мере 25 месяцев после введения BAN2401. В некоторых вариантах осуществления снижение уровня амилоида, определяемое с помощью PET, сохраняется в течение по меньшей мере 30 месяцев после введения BAN2401. В некоторых вариантах осуществления снижение уровня амилоида, определяемое с помощью PET, сохраняется в течение по меньшей мере 35 месяцев после введения BAN2401. В некоторых вариантах осуществления снижение уровня амилоида, определяемое с помощью PET, сохраняется в течение по меньшей мере 40 месяцев после введения BAN2401. В некоторых вариантах осуществления снижение уровня амилоида, определяемое с помощью PET, сохраняется в течение по меньшей мере 45 месяцев после введения BAN2401. В некоторых вариантах осуществления снижение уровня амилоида, определяемое с помощью PET, сохраняется в течение по меньшей мере 50 месяцев после введения BAN2401.

[702] В некоторых вариантах осуществления снижение уровня амилоида, определяемое с помощью PET, сохраняется в течение 9 месяцев после введения BAN2401. В некоторых вариантах осуществления снижение уровня амилоида, определяемое с помощью PET, сохраняется в течение 10 месяцев после введения BAN2401. В некоторых вариантах осуществления снижение уровня амилоида, определяемое с помощью PET, сохраняется в течение 11 месяцев после введения BAN2401. В некоторых вариантах осуществления снижение уровня амилоида, определяемое с помощью PET, сохраняется в течение 12 месяцев после введения BAN2401. В некоторых вариантах осуществления снижение уровня амилоида, определяемое с помощью PET, сохраняется в течение 13 месяцев после введения BAN2401. В некоторых вариантах осуществления снижение уровня амилоида, определяемое с помощью PET, сохраняется в течение 14 месяцев после введения BAN2401. В некоторых вариантах осуществления снижение уровня амилоида, определяемое с помощью PET, сохраняется в течение 15 месяцев после введения BAN2401. В некоторых вариантах осуществления снижение уровня амилоида, определяемое с помощью PET, сохраняется в течение 16 месяцев после введения BAN2401. В некоторых вариантах осуществления снижение уровня амилоида, определяемое с помощью PET, сохраняется в течение 17 месяцев после введения BAN2401. В некоторых вариантах осуществления снижение уровня амилоида, определяемое с помощью PET, сохраняется в течение 18 месяцев после введения BAN2401. В некоторых вариантах осуществления снижение уровня амилоида, определяемое с помощью PET, сохраняется в течение 19 месяцев после введения BAN2401.

[703] В некоторых вариантах осуществления снижение уровня амилоида, определяемое с помощью PET, сохраняется в течение 20 месяцев после введения BAN2401. В некоторых вариантах осуществления снижение уровня амилоида, определяемое с помощью PET, сохраняется в течение 21 месяца после введения BAN2401. В некоторых вариантах осуществления снижение уровня амилоида, определяемое с помощью PET, сохраняется в течение 22 месяцев после введения BAN2401. В некоторых вариантах осуществления снижение уровня амилоида, определяемое с помощью PET, сохраняется в течение 23 месяцев после введения BAN2401. В некоторых вариантах осуществления снижение уровня амилоида, определяемое с помощью PET, сохраняется в течение 24 месяцев после введения BAN2401. В некоторых вариантах осуществления снижение уровня амилоида, определяемое с помощью PET, сохраняется в течение 25 месяцев после введения BAN2401. В некоторых вариантах осуществления снижение уровня амилоида, определяемое с помощью PET, сохраняется в течение 26 месяцев после введения BAN2401. В некоторых вариантах осуществления снижение уровня амилоида, определяемое с помощью PET, сохраняется в течение 27 месяцев после введения BAN2401. В некоторых вариантах осуществления снижение уровня амилоида, определяемое с помощью PET, сохраняется в течение 28 месяцев после введения BAN2401. В некоторых вариантах осуществления снижение уровня амилоида, определяемое с помощью PET, сохраняется в течение 29 месяцев после введения BAN2401.

[704] В некоторых вариантах осуществления снижение уровня амилоида, определяемое с помощью PET, сохраняется в течение 30 месяцев после введения BAN2401. В некоторых вариантах осуществления снижение уровня амилоида, определяемое с помощью PET, сохраняется в течение 31 месяца после введения BAN2401. В некоторых вариантах осуществления снижение уровня амилоида, определяемое с помощью PET, сохраняется в течение 32 месяцев после введения BAN2401. В некоторых вариантах осуществления снижение уровня амилоида, определяемое с помощью PET, сохраняется в течение 33 месяцев после введения BAN2401. В некоторых вариантах осуществления снижение уровня амилоида, определяемое с помощью PET, сохраняется в течение 34 месяцев после введения BAN2401. В некоторых вариантах осуществления снижение уровня амилоида, определяемое с помощью PET, сохраняется в течение 35 месяцев после введения BAN2401. В некоторых вариантах осуществления снижение уровня амилоида, определяемое с помощью PET, сохраняется в течение 36 месяцев после введения BAN2401. В некоторых вариантах осуществления снижение уровня амилоида, определяемое с помощью PET, сохраняется в течение 37 месяцев после введения BAN2401. В некоторых вариантах осуществления снижение уровня амилоида, определяемое с помощью PET, сохраняется в течение 38 месяцев после введения BAN2401. В некоторых вариантах осуществления снижение уровня амилоида, определяемое с помощью PET, сохраняется в течение 39 месяцев после введения BAN2401.

[705] В некоторых вариантах осуществления снижение уровня амилоида, определяемое с помощью PET, сохраняется в течение 40 месяцев после введения BAN2401. В некоторых вариантах осуществления снижение уровня амилоида, определяемое с помощью PET, сохраняется в течение 41 месяца после введения BAN2401. В некоторых вариантах осуществления снижение уровня амилоида, определяемое с помощью PET, сохраняется в течение 42 месяцев после введения BAN2401. В некоторых вариантах осуществления снижение уровня амилоида, определяемое с помощью PET, сохраняется в течение 43 месяцев после введения BAN2401. В некоторых вариантах осуществления снижение уровня амилоида, определяемое с помощью PET, сохраняется в течение 44 месяцев после введения BAN2401. В некоторых вариантах осуществления снижение уровня амилоида, определяемое с помощью PET, сохраняется в течение 45 месяцев после введения BAN2401. В некоторых вариантах осуществления снижение уровня амилоида, определяемое с помощью PET, сохраняется в течение 46 месяцев после введения BAN2401. В некоторых вариантах осуществления снижение уровня амилоида, определяемое с помощью PET, сохраняется в течение 47 месяцев после введения BAN2401. В некоторых вариантах осуществления снижение уровня амилоида, определяемое с помощью PET, сохраняется в течение 48 месяцев после введения BAN2401. В некоторых вариантах осуществления снижение уровня амилоида, определяемое с помощью PET, сохраняется в течение 49 месяцев после введения BAN2401.

[706] В некоторых вариантах осуществления снижение уровня амилоида, определяемое с помощью PET, сохраняется в течение 50 месяцев после введения BAN2401. В некоторых вариантах осуществления снижение уровня амилоида, определяемое с помощью PET, сохраняется в течение 51 месяца после введения BAN2401. В некоторых вариантах осуществления снижение уровня амилоида, определяемое с помощью PET, сохраняется в течение 52 месяцев после введения BAN2401.

Пример возможного использования D: предупреждение болезни Альцгеймера

[707] Субъектов можно отбирать для скрининга, исходя из возраста, например, 50 лет и старше, риска развития болезни Альцгеймера и/или других критериев. У субъекта определяют статус носительства ApoE4, однако он не влияет на соответствие субъекта критериям участия в исследовании.

[708] Уровень амилоида в головном мозге субъекта измеряют, например, с помощью визуальных считываний PET-изображений амилоида, как обсуждается выше, или другой методики, известной среднему специалисту в данной области. Также можно измерить уровень Aβ1-42 в спинномозговой жидкости и/или уровень общего тау-белка в спинномозговой жидкости субъекта.

[709] Если уровень амилоида в головном мозге субъекта превышает предварительно определенный уровень, как, например, значение SUVr согласно PET превышает 1,1, как, например, превышает 1,2, превышает 1,3, превышает 1,4, превышает 1,5 или превышает 1,6, то субъекту вводят композицию, содержащую терапевтически эффективное количество по меньшей мере одного антитела к протофибриллам Aβ. В некоторых вариантах осуществления, если уровень амилоида в головном мозге субъекта превышает предварительно определенный уровень, как, например, значение SUVr согласно PET превышает 1,3, как, например, превышает 1,4, превышает 1,5, превышает 1,6, превышает 1,7, превышает 1,8 или превышает 1,9, то субъекту вводят композицию, содержащую терапевтически эффективное количество по меньшей мере одного антитела к протофибриллам Aβ. Композицию можно вводить в количестве и в соответствии со схемой и путем введения доз, которые описаны в данном документе, как, например, раскрыты в примере 1.

[710] Если уровень амилоида в головном мозге субъекта ниже вышеуказанного предварительно определенного уровня, субъекта можно подвергнуть мониторингу и/или у него можно определить уровни амилоида в головном мозге в более позднюю дату, например, спустя шесть месяцев.

[711] После введения субъекту композиции, содержащей терапевтически эффективное количество по меньшей мере одного антитела к протофибриллам Aβ, уровень амилоида в головном мозге субъекта измеряют снова. Если уровень амилоида в головном мозге субъекта выше предварительно определенного уровня, введение композиции повторяют. Если уровень амилоида в головном мозге субъекта ниже предварительно определенного уровня, субъекта можно подвергнуть мониторингу и/или у него можно определить уровни амилоида в головном мозге в более позднюю дату, например, в течение периода шести месяцев.

[712] При более позднем определении, если уровень амилоида в головном мозге субъекта превышает предварительно определенный уровень, то субъекту вводят композицию, содержащую терапевтически эффективное количество по меньшей мере одного антитела к протофибриллам Aβ.

[713] Если во время мониторинга субъекта уровень амилоида в головном мозге субъекта поднимается выше предварительно определенного уровня согласно, например, PET или показателям спинномозговой жидкости, то введение композиции, содержащей терапевтически эффективное количество по меньшей мере одного антитела к протофибриллам Aβ, возобновляют. Уровень амилоида в головном мозге снова измеряют после введения композиции, содержащей терапевтически эффективное количество по меньшей мере одного антитела к протофибриллам Aβ.

[714] После введения композиции субъекту необязательно вводят по меньшей мере одно средство поддерживающей терапии, такое как ингибитор ВАСЕ. В некоторых вариантах осуществления ингибитор ВАСЕ может представлять собой эленбецестат.

[715] В дополнение к измерению и учету уровня амилоида в головном мозге, уровня Aβ1-42 в спинномозговой жидкости и/или уровня общего тау-белка в спинномозговой жидкости, проводят измерение и/или мониторинг других показателей состояния здоровья субъекта, например, баллов по шкалам MMSE, ADAS-Cog, CDR, а также FAQ. См., например, фиг. 64.

ПЕРЕЧЕНЬ ПОСЛЕДОВАТЕЛЬНОСТЕЙ

Таблица 24. Аминокислотные последовательности вариабельных областей mAb

mAb Цепь IgG SEQ ID NO Аминокислотная последовательность BAN2401 Тяжелая цепь 1 EVQLVESGGGLVQPGGSLRLSCSASGFTFSSFGMHWVRQAPGKGLEWVAYISSGSSTIYYGDTVKGRFTISRDNAKNSLFLQMSSLRAEDTAVYYCAREGGYYYGRSYYTMDYWGQGTTVTVSS BAN2401 Легкая цепь 2 DVVMTQSPLSLPVTPGAPASISCRSSQSIVHSNGNTYLEWYLQKPGQSPKLLIYKVSNRFSGVPDRFSGSGSGTDFTLRISRVEAEDVGIYYCFQGSHVPPTFGPGTKLEIK

Таблица 25. Аминокислотные последовательности константных областей mAb

mAb Цепь IgG Класс SEQ ID NO Аминокислотная последовательность BAN2401 Тяжелая цепь IgG1 3 ASTKGPSVFPLAPSSKSTSGGTAALGCLVKDYFPEPVTVSWNSGALTSGVHTFPAVLQSSGLYSLSSVVTVPSSSLGTQTYICNVNHKPSNTKVDKRVEPKSCDKTHTCPPCPAPELLGGPSVFLFPPKPKDTLMISRTPEVTCVVVDVSHEDPEVKFNWYVDGVEVHNAKTKPREEQYNSTYRVVSVLTVLHQDWLNGKEYKCKVSNKALPAPIEKTISKAKGQPREPQVYTLPPSREEMTKNQVSLTCLVKGFYPSDIAVEWESNGQPENNYKTTPPVLDSDGSFFLYSKLTVDKSRWQQGNVFSCSVMHEALHNHYTQKSLSLSPGK BAN2401 Легкая цепь Каппа-цепь 4 RTVAAPSVFIFPPSDEQLKSGTASVVCLLNNFYPREAKVQWKVDNALQSGNSQESVTEQDSKDSTYSLSSTLTLSKADYEKHKVYACEVTHQGLSSPVTKSFNRGEC

Таблица 26. Аминокислотные последовательности CDR mAb

mAb Цепь IgG SEQ ID NO Аминокислотная последовательность BAN2401 HCDR1 5 SFGMH HCDR2 6 YISSGSSTIYYGDTVKG HCDR3 7 EGGYYYGRSYYTMDY BAN2401 LCDR1 8 RSSQSIVHSNGNTYLE LCDR2 9 KVSNRFS LCDR3 10 FQGSHVPPT

SEQ ID NO: 11

тяжелая цепь: evqlvesggglvqpggslrlscsasgftfssfgmhwvrqapgkglewvayissgsstiyygdtvkgrftisrdnaknslflqmsslraed tavyycareggyyygrsyytmdywgqgttvtvssastkgpsvfplapsskstsggtaalgclvkdyfpepvtvswnsgaltsgvhtfp avlqssglyslssvvtvpssslgtqtyicnvnhkpsntkvdkrvepkscdkthtcppcpapellggpsvflfppkpkdtlmisrtpevtcv vvdvshedpevkfnwyvdgvevhnaktkpreeqynstyrvvsvltvlhqdwlngkeykckvsnkalpapiektiskakgqprepq vytlppsreemtknqvsltclvkgfypsdiavewesngqpennykttppvldsdgsfflyskltvdksrwqqgnvfscsvmhealhn hytqkslslspgk

SEQ ID NO: 12

легкая цепь: dvvmtqsplslpvtpgapasiscrssqsivhsngntylewylqkpgqspklliykvsnrfsgvpdrfsgsgsgtdftlrisrveaedvgiy ycfqgshvpptfgpgtkleikrtvaapsvfifppsdeqlksgtasvvcllnnfypreakvqwkvdnalqsgnsqesvteqdskdstysls stltlskadyekhkvyacevthqglsspvtksfnrgec

--->

ПЕРЕЧЕНЬ ПОСЛЕДОВАТЕЛЬНОСТЕЙ

<110> EISAI R&D MANAGEMENT CO., LTD.

<120> СПОСОБЫ ЛЕЧЕНИЯ И ПРЕДУПРЕЖДЕНИЯ БОЛЕЗНИ АЛЬЦГЕЙМЕРА

<130> 08061.0039-00304

<140> PCT/US2019/043067

<141> 23.07.2019

<150> 62/874,684

<151> 2019-07-16

<150> 62/846,902

<151> 2019-05-13

<150> 62/824,162

<151> 2019-03-26

<150> 62/749,614

<151> 2018-10-23

<150> 62/702,659

<151> 2018-07-24

<160> 12

<170> PatentIn версия 3.5

<210> 1

<211> 124

<212> БЕЛОК

<213> Искусственная последовательность

<220>

<221> источник

<223> /примечание="Описание искусственной последовательности:

синтетический полипептид"

<400> 1

Glu Val Gln Leu Val Glu Ser Gly Gly Gly Leu Val Gln Pro Gly Gly

1. 5 10 15

Ser Leu Arg Leu Ser Cys Ser Ala Ser Gly Phe Thr Phe Ser Ser Phe

20 25 30

Gly Met His Trp Val Arg Gln Ala Pro Gly Lys Gly Leu Glu Trp Val

35 40 45

Ala Tyr Ile Ser Ser Gly Ser Ser Thr Ile Tyr Tyr Gly Asp Thr Val

50 55 60

Lys Gly Arg Phe Thr Ile Ser Arg Asp Asn Ala Lys Asn Ser Leu Phe

65 70 75 80

Leu Gln Met Ser Ser Leu Arg Ala Glu Asp Thr Ala Val Tyr Tyr Cys

85 90 95

Ala Arg Glu Gly Gly Tyr Tyr Tyr Gly Arg Ser Tyr Tyr Thr Met Asp

100 105 110

Tyr Trp Gly Gln Gly Thr Thr Val Thr Val Ser Ser

115 120

<210> 2

<211> 112

<212> БЕЛОК

<213> Искусственная последовательность

<220>

<221> источник

<223> /примечание="Описание искусственной последовательности:

синтетический полипептид"

<400> 2

Asp Val Val Met Thr Gln Ser Pro Leu Ser Leu Pro Val Thr Pro Gly

1. 5 10 15

Ala Pro Ala Ser Ile Ser Cys Arg Ser Ser Gln Ser Ile Val His Ser

20 25 30

Asn Gly Asn Thr Tyr Leu Glu Trp Tyr Leu Gln Lys Pro Gly Gln Ser

35 40 45

Pro Lys Leu Leu Ile Tyr Lys Val Ser Asn Arg Phe Ser Gly Val Pro

50 55 60

Asp Arg Phe Ser Gly Ser Gly Ser Gly Thr Asp Phe Thr Leu Arg Ile

65 70 75 80

Ser Arg Val Glu Ala Glu Asp Val Gly Ile Tyr Tyr Cys Phe Gln Gly

85 90 95

Ser His Val Pro Pro Thr Phe Gly Pro Gly Thr Lys Leu Glu Ile Lys

100 105 110

<210> 3

<211> 330

<212> БЕЛОК

<213> Искусственная последовательность

<220>

<221> источник

<223> /примечание="Описание искусственной последовательности:

синтетический полипептид"

<400> 3

Ala Ser Thr Lys Gly Pro Ser Val Phe Pro Leu Ala Pro Ser Ser Lys

1. 5 10 15

Ser Thr Ser Gly Gly Thr Ala Ala Leu Gly Cys Leu Val Lys Asp Tyr

20 25 30

Phe Pro Glu Pro Val Thr Val Ser Trp Asn Ser Gly Ala Leu Thr Ser

35 40 45

Gly Val His Thr Phe Pro Ala Val Leu Gln Ser Ser Gly Leu Tyr Ser

50 55 60

Leu Ser Ser Val Val Thr Val Pro Ser Ser Ser Leu Gly Thr Gln Thr

65 70 75 80

Tyr Ile Cys Asn Val Asn His Lys Pro Ser Asn Thr Lys Val Asp Lys

85 90 95

Arg Val Glu Pro Lys Ser Cys Asp Lys Thr His Thr Cys Pro Pro Cys

100 105 110

Pro Ala Pro Glu Leu Leu Gly Gly Pro Ser Val Phe Leu Phe Pro Pro

115 120 125

Lys Pro Lys Asp Thr Leu Met Ile Ser Arg Thr Pro Glu Val Thr Cys

130 135 140

Val Val Val Asp Val Ser His Glu Asp Pro Glu Val Lys Phe Asn Trp

145 150 155 160

Tyr Val Asp Gly Val Glu Val His Asn Ala Lys Thr Lys Pro Arg Glu

165 170 175

Glu Gln Tyr Asn Ser Thr Tyr Arg Val Val Ser Val Leu Thr Val Leu

180 185 190

His Gln Asp Trp Leu Asn Gly Lys Glu Tyr Lys Cys Lys Val Ser Asn

195 200 205

Lys Ala Leu Pro Ala Pro Ile Glu Lys Thr Ile Ser Lys Ala Lys Gly

210 215 220

Gln Pro Arg Glu Pro Gln Val Tyr Thr Leu Pro Pro Ser Arg Glu Glu

225 230 235 240

Met Thr Lys Asn Gln Val Ser Leu Thr Cys Leu Val Lys Gly Phe Tyr

245 250 255

Pro Ser Asp Ile Ala Val Glu Trp Glu Ser Asn Gly Gln Pro Glu Asn

260 265 270

Asn Tyr Lys Thr Thr Pro Pro Val Leu Asp Ser Asp Gly Ser Phe Phe

275 280 285

Leu Tyr Ser Lys Leu Thr Val Asp Lys Ser Arg Trp Gln Gln Gly Asn

290 295 300

Val Phe Ser Cys Ser Val Met His Glu Ala Leu His Asn His Tyr Thr

305 310 315 320

Gln Lys Ser Leu Ser Leu Ser Pro Gly Lys

325 330

<210> 4

<211> 107

<212> БЕЛОК

<213> Искусственная последовательность

<220>

<221> источник

<223> /примечание="Описание искусственной последовательности:

синтетический полипептид"

<400> 4

Arg Thr Val Ala Ala Pro Ser Val Phe Ile Phe Pro Pro Ser Asp Glu

1. 5 10 15

Gln Leu Lys Ser Gly Thr Ala Ser Val Val Cys Leu Leu Asn Asn Phe

20 25 30

Tyr Pro Arg Glu Ala Lys Val Gln Trp Lys Val Asp Asn Ala Leu Gln

35 40 45

Ser Gly Asn Ser Gln Glu Ser Val Thr Glu Gln Asp Ser Lys Asp Ser

50 55 60

Thr Tyr Ser Leu Ser Ser Thr Leu Thr Leu Ser Lys Ala Asp Tyr Glu

65 70 75 80

Lys His Lys Val Tyr Ala Cys Glu Val Thr His Gln Gly Leu Ser Ser

85 90 95

Pro Val Thr Lys Ser Phe Asn Arg Gly Glu Cys

100 105

<210> 5

<211> 5

<212> БЕЛОК

<213> Искусственная последовательность

<220>

<221> источник

<223> /примечание="Описание искусственной последовательности:

синтетический пептид"

<400> 5

Ser Phe Gly Met His

1. 5

<210> 6

<211> 17

<212> БЕЛОК

<213> Искусственная последовательность

<220>

<221> источник

<223> /примечание="Описание искусственной последовательности:

синтетический пептид"

<400> 6

Tyr Ile Ser Ser Gly Ser Ser Thr Ile Tyr Tyr Gly Asp Thr Val Lys

1. 5 10 15

Gly

<210> 7

<211> 15

<212> БЕЛОК

<213> Искусственная последовательность

<220>

<221> источник

<223> /примечание="Описание искусственной последовательности:

синтетический пептид"

<400> 7

Glu Gly Gly Tyr Tyr Tyr Gly Arg Ser Tyr Tyr Thr Met Asp Tyr

1. 5 10 15

<210> 8

<211> 16

<212> БЕЛОК

<213> Искусственная последовательность

<220>

<221> источник

<223> /примечание="Описание искусственной последовательности:

синтетический пептид"

<400> 8

Arg Ser Ser Gln Ser Ile Val His Ser Asn Gly Asn Thr Tyr Leu Glu

1. 5 10 15

<210> 9

<211> 7

<212> БЕЛОК

<213> Искусственная последовательность

<220>

<221> источник

<223> /примечание="Описание искусственной последовательности:

синтетический пептид"

<400> 9

Lys Val Ser Asn Arg Phe Ser

1. 5

<210> 10

<211> 9

<212> БЕЛОК

<213> Искусственная последовательность

<220>

<221> источник

<223> /примечание="Описание искусственной последовательности:

синтетический пептид"

<400> 10

Phe Gln Gly Ser His Val Pro Pro Thr

1. 5

<210> 11

<211> 454

<212> БЕЛОК

<213> Искусственная последовательность

<220>

<221> источник

<223> /примечание="Описание искусственной последовательности:

синтетический полипептид"

<400> 11

Glu Val Gln Leu Val Glu Ser Gly Gly Gly Leu Val Gln Pro Gly Gly

1. 5 10 15

Ser Leu Arg Leu Ser Cys Ser Ala Ser Gly Phe Thr Phe Ser Ser Phe

20 25 30

Gly Met His Trp Val Arg Gln Ala Pro Gly Lys Gly Leu Glu Trp Val

35 40 45

Ala Tyr Ile Ser Ser Gly Ser Ser Thr Ile Tyr Tyr Gly Asp Thr Val

50 55 60

Lys Gly Arg Phe Thr Ile Ser Arg Asp Asn Ala Lys Asn Ser Leu Phe

65 70 75 80

Leu Gln Met Ser Ser Leu Arg Ala Glu Asp Thr Ala Val Tyr Tyr Cys

85 90 95

Ala Arg Glu Gly Gly Tyr Tyr Tyr Gly Arg Ser Tyr Tyr Thr Met Asp

100 105 110

Tyr Trp Gly Gln Gly Thr Thr Val Thr Val Ser Ser Ala Ser Thr Lys

115 120 125

Gly Pro Ser Val Phe Pro Leu Ala Pro Ser Ser Lys Ser Thr Ser Gly

130 135 140

Gly Thr Ala Ala Leu Gly Cys Leu Val Lys Asp Tyr Phe Pro Glu Pro

145 150 155 160

Val Thr Val Ser Trp Asn Ser Gly Ala Leu Thr Ser Gly Val His Thr

165 170 175

Phe Pro Ala Val Leu Gln Ser Ser Gly Leu Tyr Ser Leu Ser Ser Val

180 185 190

Val Thr Val Pro Ser Ser Ser Leu Gly Thr Gln Thr Tyr Ile Cys Asn

195 200 205

Val Asn His Lys Pro Ser Asn Thr Lys Val Asp Lys Arg Val Glu Pro

210 215 220

Lys Ser Cys Asp Lys Thr His Thr Cys Pro Pro Cys Pro Ala Pro Glu

225 230 235 240

Leu Leu Gly Gly Pro Ser Val Phe Leu Phe Pro Pro Lys Pro Lys Asp

245 250 255

Thr Leu Met Ile Ser Arg Thr Pro Glu Val Thr Cys Val Val Val Asp

260 265 270

Val Ser His Glu Asp Pro Glu Val Lys Phe Asn Trp Tyr Val Asp Gly

275 280 285

Val Glu Val His Asn Ala Lys Thr Lys Pro Arg Glu Glu Gln Tyr Asn

290 295 300

Ser Thr Tyr Arg Val Val Ser Val Leu Thr Val Leu His Gln Asp Trp

305 310 315 320

Leu Asn Gly Lys Glu Tyr Lys Cys Lys Val Ser Asn Lys Ala Leu Pro

325 330 335

Ala Pro Ile Glu Lys Thr Ile Ser Lys Ala Lys Gly Gln Pro Arg Glu

340 345 350

Pro Gln Val Tyr Thr Leu Pro Pro Ser Arg Glu Glu Met Thr Lys Asn

355 360 365

Gln Val Ser Leu Thr Cys Leu Val Lys Gly Phe Tyr Pro Ser Asp Ile

370 375 380

Ala Val Glu Trp Glu Ser Asn Gly Gln Pro Glu Asn Asn Tyr Lys Thr

385 390 395 400

Thr Pro Pro Val Leu Asp Ser Asp Gly Ser Phe Phe Leu Tyr Ser Lys

405 410 415

Leu Thr Val Asp Lys Ser Arg Trp Gln Gln Gly Asn Val Phe Ser Cys

420 425 430

Ser Val Met His Glu Ala Leu His Asn His Tyr Thr Gln Lys Ser Leu

435 440 445

Ser Leu Ser Pro Gly Lys

450

<210> 12

<211> 219

<212> БЕЛОК

<213> Искусственная последовательность

<220>

<221> источник

<223> /примечание="Описание искусственной последовательности:

синтетический полипептид"

<400> 12

Asp Val Val Met Thr Gln Ser Pro Leu Ser Leu Pro Val Thr Pro Gly

1. 5 10 15

Ala Pro Ala Ser Ile Ser Cys Arg Ser Ser Gln Ser Ile Val His Ser

20 25 30

Asn Gly Asn Thr Tyr Leu Glu Trp Tyr Leu Gln Lys Pro Gly Gln Ser

35 40 45

Pro Lys Leu Leu Ile Tyr Lys Val Ser Asn Arg Phe Ser Gly Val Pro

50 55 60

Asp Arg Phe Ser Gly Ser Gly Ser Gly Thr Asp Phe Thr Leu Arg Ile

65 70 75 80

Ser Arg Val Glu Ala Glu Asp Val Gly Ile Tyr Tyr Cys Phe Gln Gly

85 90 95

Ser His Val Pro Pro Thr Phe Gly Pro Gly Thr Lys Leu Glu Ile Lys

100 105 110

Arg Thr Val Ala Ala Pro Ser Val Phe Ile Phe Pro Pro Ser Asp Glu

115 120 125

Gln Leu Lys Ser Gly Thr Ala Ser Val Val Cys Leu Leu Asn Asn Phe

130 135 140

Tyr Pro Arg Glu Ala Lys Val Gln Trp Lys Val Asp Asn Ala Leu Gln

145 150 155 160

Ser Gly Asn Ser Gln Glu Ser Val Thr Glu Gln Asp Ser Lys Asp Ser

165 170 175

Thr Tyr Ser Leu Ser Ser Thr Leu Thr Leu Ser Lys Ala Asp Tyr Glu

180 185 190

Lys His Lys Val Tyr Ala Cys Glu Val Thr His Gln Gly Leu Ser Ser

195 200 205

Pro Val Thr Lys Ser Phe Asn Arg Gly Glu Cys

210 215

<---

Похожие патенты RU2832167C2

название год авторы номер документа
КОМПОЗИЦИЯ, СОДЕРЖАЩАЯ АНТИТЕЛО ПРОТИВ ПРОТОФИБРИЛЛ АБЕТА И ИНГИБИТОР БЕТА-СЕКРЕТАЗЫ ВАСЕ1 ДЛЯ ЛЕЧЕНИЯ БОЛЕЗНИ АЛЬЦГЕЙМЕРА 2017
  • Сэтлин, Эндрю
  • Фукусима, Тацуто
RU2786476C2
УЛУЧШЕННЫЕ АНТИТЕЛА, СВЯЗЫВАЮЩИЕ Аβ-ПРОТОФИБРИЛЛЫ 2015
  • Нерелиус Шарлотте
  • Лаудон Ханна
  • Сигвардсон Джессика
RU2700104C2
СПОСОБЫ ЛЕЧЕНИЯ БОЛЕЗНИ АЛЬЦГЕЙМЕРА 2015
  • Грэхэм Роберт
RU2720468C2
ПЕПТИДНАЯ ВАКЦИНА ДЛЯ ПРЕДУПРЕЖДЕНИЯ И ИММУНОТЕРАПИИ ДЕМЕНЦИИ АЛЬЦГЕЙМЕРОВСКОГО ТИПА 2013
  • Ван Чан И
RU2696566C2
СПОСОБЫ ЛЕЧЕНИЯ РАССТРОЙСТВ ЦИРКАДНОГО РИТМА СНА 2017
  • Бойкманн Карстен Т.
  • Молин Маргарет
  • Сэтлин Эндрю
RU2763493C2
СПОСОБ УМЕНЬШЕНИЯ ОТЛОЖЕНИЯ АМИЛОИДА, АМИЛОИДНОЙ НЕЙРОТОКСИЧНОСТИ И МИКРОГЛИОЗА С ПОМОЩЬЮ (-)-ЭНАНТИОМЕРА НИЛВАДИПИНА 2008
  • Муллан Майкл Дж.
  • Пари Даниель
  • Айви Роберт А. Iii
RU2490014C2
УЛУЧШЕННЫЕ СЕЛЕКТИВНЫЕ В ОТНОШЕНИИ ПРОТОФИБРИЛЛ АНТИТЕЛА И ИХ ПРИМЕНЕНИЕ 2007
  • Еллерфорс Пер
  • Ланнфельт Ларс
  • Селин Даг
  • Экхольм Петтерссон Фрида
  • Энглунд Хиллеви
RU2429244C2
МОНОКЛОНАЛЬНОЕ ТЕЛО ПРОТИВ АМИЛОИДА БЕТА 2008
  • Андреа Пфайфер
  • Мария Пильгрен
  • Андреас Мус
  • Райан Уоттс
RU2571856C2
СПОСОБЫ ЛЕЧЕНИЯ НЕЙРОДЕГЕНЕРАТИВНЫХ ЗАБОЛЕВАНИЙ 2018
  • Керчнер, Джеффри
  • Тенг, Эдмонд
RU2789485C2
МЕМАНТИН ДЛЯ ЛЕЧЕНИЯ БОЛЕЗНИ АЛЬЦГЕЙМЕРА ЛЕГКОЙ И ОТ ЛЕГКОЙ ДО УМЕРЕННОЙ СТЕПЕНИ ТЯЖЕСТИ 2005
  • Макдональд Скотт
  • Гергел Айван
  • Штеффлер Альбрехт
  • Мебиус Ханс-Йорг
  • Вирт Ивонне
  • Поткин Стивен
RU2371173C2

Иллюстрации к изобретению RU 2 832 167 C2

Реферат патента 2024 года СПОСОБЫ ЛЕЧЕНИЯ И ПРЕДУПРЕЖДЕНИЯ БОЛЕЗНИ АЛЬЦГЕЙМЕРА

Изобретение относится к области биотехнологии, в частности к способу уменьшения клинического ухудшения у субъекта с болезнью Альцгеймера на ранней стадии, включающему введение композиции, содержащей терапевтически эффективное количество антитела к протофибриллам Ab, субъекту, где композицию вводят в дозе 10 мг/кг антитела к протофибриллам Ab по отношению к массе субъекта один раз в две недели, а также где субъект является ApoE4-положительным. Изобретение обеспечивает эффективное лечение прогрессирования и/или предупреждение болезни Альцгеймера (AD). 24 з.п. ф-лы, 82 ил., 26 табл., 5 пр.

Формула изобретения RU 2 832 167 C2

1. Способ уменьшения клинического ухудшения у субъекта с болезнью Альцгеймера на ранней стадии, включающий введение композиции, содержащей терапевтически эффективное количество антитела к протофибриллам Ab, субъекту,

где композицию вводят в дозе 10 мг/кг антитела к протофибриллам Ab по отношению к массе субъекта один раз в две недели в течение периода времени, достаточного для уменьшения клинического ухудшения у субъекта по меньшей мере на 21% по сравнению с плацебо, как определяется с помощью ADAS-Cog, после 18 месяцев введения композиции,

где субъект является ApoE4-положительным, и

где антитело к протофибриллам Ab содержит три определяющие комплементарность области тяжелой цепи, содержащие аминокислотные последовательности под SEQ ID NO: 5, SEQ ID NO: 6 и SEQ ID NO: 7; и три определяющие комплементарность области легкой цепи, содержащие аминокислотные последовательности под SEQ ID NO: 8, SEQ ID NO: 9 и SEQ ID NO: 10.

2. Способ по п. 1, где антитело к протофибриллам Ab содержит вариабельную область тяжелой цепи, содержащую аминокислотную последовательность под SEQ ID NO: 1, и вариабельную область легкой цепи, содержащую аминокислотную последовательность под SEQ ID NO: 2.

3. Способ по п. 1 или 2, где у субъекта с болезнью Альцгеймера на ранней стадии было диагностировано наличие легкого когнитивного нарушения, с промежуточной вероятностью обусловленного болезнью Альцгеймера, и/или было диагностировано наличие легкой деменции при болезни Альцгеймера.

4. Способ по любому из пп. 1-3, где антитело к протофибриллам Ab содержит тяжелую цепь под SEQ ID NO: 11 и легкую цепь под SEQ ID NO: 12.

5. Способ по любому из пп. 1-4, где клиническое ухудшение уменьшается на по меньшей мере 45% по сравнению с плацебо, как определяется с помощью ADCOMS, после 6 месяцев введения композиции.

6. Способ по любому из пп. 1-5, где клиническое ухудшение уменьшается на по меньшей мере 35% по сравнению с плацебо, как определяется с помощью ADCOMS, после 12 месяцев введения композиции.

7. Способ по любому из пп. 1-6, где клиническое ухудшение уменьшается на по меньшей мере 30% по сравнению с плацебо, как определяется с помощью ADCOMS, после 18 месяцев введения композиции.

8. Способ по любому из пп. 1-7, где клиническое ухудшение уменьшается на по меньшей мере 47% по сравнению с плацебо, как определяется с помощью ADAS-Cog, после 18 месяцев введения композиции.

9. Способ по любому из пп. 1-8, где клиническое ухудшение уменьшается на по меньшей мере 25% по сравнению с плацебо, как определяется с помощью CDR-SB, после 18 месяцев введения композиции.

10. Способ по любому из пп. 1-9, где клиническое ухудшение уменьшается на по меньшей мере 26% по сравнению с плацебо, как определяется с помощью CDR-SB, после 18 месяцев введения композиции.

11. Способ по п. 7, где у субъекта с болезнью Альцгеймера на ранней стадии было диагностировано наличие легкого когнитивного нарушения, с промежуточной вероятностью обусловленного болезнью Альцгеймера, и где клиническое ухудшение уменьшается на по меньшей мере 33% по сравнению с плацебо, как определяется с помощью ADCOMS, после 18 месяцев введения композиции.

12. Способ по п. 7, где у субъекта с болезнью Альцгеймера на ранней стадии было диагностировано наличие легкой деменции при болезни Альцгеймера, и где клиническое ухудшение уменьшается на по меньшей мере 35% по сравнению с плацебо, как определяется с помощью ADCOMS, после 18 месяцев введения композиции.

13. Способ по любому из пп. 1-12, где клиническое ухудшение уменьшается на по меньшей мере 63% по сравнению с плацебо, как определяется с помощью ADCOMS, после 18 месяцев введения композиции.

14. Способ по любому из пп. 1-13, где клиническое ухудшение уменьшается на по меньшей мере 84% по сравнению с плацебо, как определяется с помощью ADAS-Cog, после 18 месяцев введения композиции.

15. Способ по любому из пп. 1-14, где клиническое ухудшение уменьшается на по меньшей мере 60% по сравнению с плацебо, как определяется с помощью CDR-SB, после 18 месяцев введения композиции.

16. Способ по любому из пп. 1-15, где измеряют уровень Ab1-42, общего тау-белка, фосфо-тау-белка или нейрогранина, и вводится дополнительная доза антитела к протофибриллам Ab, если уровень Ab1-42 в спинномозговой жидкости повышается выше или уровень общего тау-белка, фосфо-тау-белка или нейрогранина снижается ниже уровня до лечения.

17. Способ по любому из пп. 1-16, где введение приводит к замедлению повышения уровня легких цепей нейрофиламентов в спинномозговой жидкости.

18. Способ по любому из пп. 1-17, где субъекту вводят антитело к протофибриллам Ab, содержащее тяжелую цепь под SEQ ID NO: 11 и легкую цепь под SEQ ID NO: 12, и параллельно вводят по меньшей мере один лекарственный препарат для лечения болезни Альцгеймера, отличный от антитела к протофибриллам Ab, содержащего тяжелую цепь под SEQ ID NO: 11 и легкую цепь под SEQ ID NO: 12.

19. Способ по любому из пп. 1-17, где субъекту вводят антитело к протофибриллам Ab, содержащее тяжелую цепь под SEQ ID NO: 11 или легкую цепь под SEQ ID NO: 12, и не вводят параллельно по меньшей мере один лекарственный препарат для лечения болезни Альцгеймера, отличный от антитела к протофибриллам Ab, содержащего тяжелую цепь под SEQ ID NO: 11 или легкую цепь под SEQ ID NO: 12.

20. Способ по любому из пп. 1-19, который включает подтверждение наличия бета-амилоидной патологии перед введением.

21. Способ по любому из пп. 1-20, где введение осуществляют внутривенной инфузией.

22. Способ по п. 21, где внутривенная инфузия длится примерно 60 минут.

23. Способ по любому из пп. 1-22, где композиция содержит хлорид натрия.

24. Способ по любому из пп. 1-23, где перед введением получение композиции включает растворение антитела к протофибриллам Ab.

25. Способ по любому из пп. 1-24, где субъект является гетерозиготным по ApoE4.

Документы, цитированные в отчете о поиске Патент 2024 года RU2832167C2

WO 2018081460 A1, 03.05.2018
WO 2017127764 A1, 27.07.2017
VAN DYCK C.H., Anti-Amyloid-β Monoclonal Antibodies for Alzheimer's Disease: Pitfalls and Promise, Biol Psychiatry, 2018, v
Пуговица 0
  • Эйман Е.Ф.
SU83A1
Способ приготовления массы для карандашей 1921
  • Чиликин М.М.
SU311A1
WANG J
et al., ADCOMS: a composite clinical outcome for prodromal Alzheimer’s disease trials, J Neurol Neurosurg Psychiatry, 2016, v
Торфодобывающая машина с вращающимся измельчающим орудием 1922
  • Рогов И.А.
SU87A1

RU 2 832 167 C2

Авторы

Латмен, Йохан

Суонсон, Чэд Дж.

Чжан, Юн

Дхадда, Шобха

Ван, Цзиньпин

Крамер, Линн

Даты

2024-12-20Публикация

2019-07-23Подача