Способ и система для определения временного окна для опыления зерновых культур Российский патент 2025 года по МПК A01H1/02 G01N33/00 

Описание патента на изобретение RU2835212C1

Перекрестные ссылки на связанные заявки

По данной заявке на патент испрошен приоритет по предварительной заявке на патент США №62/894,354, поданной 30 августа 2019 г. и озаглавленной «Способ и система для оптимизации сроков опыления злаковых культур». Полное содержание этой предварительной заявки на патент США включено в данную заявку по ссылке.

Область техники, к которой относится предлагаемое изобретение

Предлагаемое изобретение в целом относится к технологиям, которые позволяют повысить результативность опыления путем определения выбранного временнóго окна для опыления. Конкретно, изобретение относится к определению окна опыления на основе одного или более из ряда измеряемых и/или отслеживаемых параметров и, при необходимости, к использованию пыльцы для опыления растений в выбранные интервалы, а также к способам определения готовности растений к приему пыльцы в указанное выбранное время, а также способы высвобождения пыльцы в один или несколько выбранных интервалов на основе упомянутых измеряемых параметров. В некоторых вариантах осуществления предлагаемого изобретения способ включает стадию намеренного высвобождения пыльцы. Изобретением предусмотрена система, которая позволит проводить измерения для определения выбранного окна опыления, чтобы максимизировать урожайность, завязывание семян и/или другие характеристики культуры.

Предпосылки создания предлагаемого изобретения

Изобретение применимо в области опыления и выращивания сельскохозяйственных культур, включая, помимо прочего, способы производства семян, зерна и биомассы культур Poaceae (Gramineae), также известных как крупяные культуры. К ним относятся, помимо прочих, кукуруза, пшеница, рис, сорго, ячмень, овес и просо.

Изобретение применимо как к производству гибридов, так и к производству негибридов. Хотя производство гибридов чаще всего используется для производства семян, его также можно использовать для производства зерна и/или биомассы. Производство негибридов имеет место, когда растение опыляется пыльцой, имеющей один и тот же фоновый генотип, например, при самоопылении и сиб-опылении. Гибридные растения являются результатом оплодотворения, происходящего от источника мужской пыльцы одного фонового генотипа, скрещенного с женскими репродуктивными органами растения с другим фоновым генотипом. Гибридность среди культурных растений обычно дает преимущество в урожайности при коммерческом производстве и поэтому при возможностью ему отдают предпочтение перед открытыми или самоопыляемыми способами получения многих коммерческих крупяных культур. Урожайность сельскохозяйственных культур начала заметно расти с широким внедрением гибридов в 1940-х годах, и продолжает неуклонно расти по сей день. Крупномасштабные способы получения более высоких урожаев семян самоопыленных растений также имеют значительную потенциальную ценность.

Как понятно специалисту, раскрытое здесь изобретение на практике обеспечит различные преимущества в зависимости от природы сельскохозяйственной культуры. В случае культур, для которых производство гибридов является обычным делом, современные способы производства семян различаются в зависимости от вида, но обычно включают следующие меры: (1) посадку женских и мужских родительских растений в производственный блок в непосредственной близости друг к другу; (2) размещение производственного блока в изолированном месте, чтобы уменьшить воздействие других, неродственных или нежелательных, растений того же вида; и (3) придание женским растениям некоторой формы мужской стерильности, тем самым исключая возможность самоопыления, что могло бы привести к засорению семян. Некоторые культуры имеют высокие показатели самоопыления из-за того, что пыльца выпускается внутри цветка до его раскрытия. Такие культуры часто разводят, чтобы получить очень высокие показатели семян самоопыленных растений. Применение изобретения может увеличить завязывание семян этих самоопыляющихся культур. Некоторые культуры не требуют больших расстояний изоляции для предотвращения ауткроссинга из-за характера культуры и характеристик ее пыльцы. В таких случаях практическое применение изобретения может не предъявлять каких-либо требований к изоляции, но, тем не менее, будет увеличивать скорость успешного перекрестного опыления с определенной мужской пыльцой, а также уменьшать самоопыление. Это стало возможным за счет лучшего соблюдения сроков такого опыления. Соответственно, в зависимости от выращиваемой культуры, применение изобретения может полностью или частично устранить необходимость или уменьшить зависимость от любого одного, любых двух или всех трех дорогостоящих и ресурсозависимых мер: посадки мужских особей рядом с женскими, изоляции и мужской стерильности. Тем не менее, без выхода за пределы объема изобретения в некоторых вариантах его осуществления оно может быть осуществлено с использованием любой одной, двух или всех трех этих мер.

Изобретение применимо к производству зерна. В случае культур, для которых производство зерна является обычным делом, современные способы производства зерна различаются в зависимости от вида, но обычно включают засадку полей одним и тем же сортом семян для получения растений, зрелые семена которых дадут желаемое зерно. Растения на таких полях обычно самоопыляемы или опыляемы соседними растениями в поле и не являются гибридами. Может иметь место некоторое перекрестное опыление с близлежащих полей того же или сходного сорта, имеющего отличающийся фоновый генотип.

Применение изобретения приведет к повышению эффективности, повышенной урожайности, улучшению других желательных характеристик, включая, помимо прочего, содержание масел, крахмала, белка и/или других питательных компонентов как у гибридов семенных культур, так и у самоопыляемых и сиб-опыляемых крупяных культур, независимо от того, выращиваются ли эти культуры для производства семян, зерна, биомассы или с другими целями. Изобретение применимо во всех регионах, где выращивают крупяные культуры.

Краткое описание прилагаемых графических материалов

На фиг.1 графически показано количество зерен на початках кукурузы после различных обработок чистой консервированной пыльцой и консервированной пыльцой, смешанной с лактозой, в течение 26 часов.

На фиг.2 проиллюстрированы совокупные результаты серии экспериментов; по оси ординат - нормализованное количество зерен в зависимости от количества часов, прошедших с полуночи в первый день испытаний.

На фиг.3 проиллюстрированы совокупные результаты серии экспериментов; по оси ординат - нормализованное количество зерен в зависимости от процента относительной влажности во время опыления.

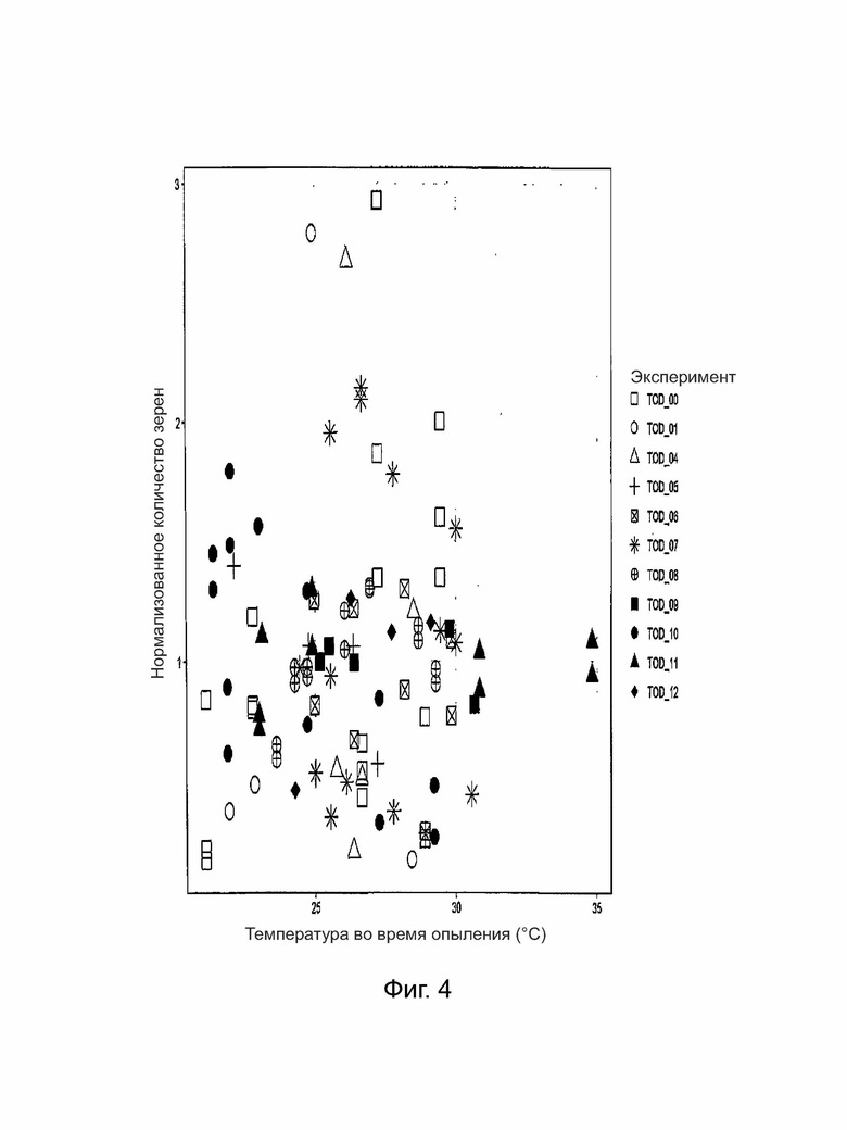
На фиг.4 проиллюстрированы совокупные результаты серии экспериментов; по оси ординат - нормализованное количество зерен в зависимости от температуры (в °C) во время опыления.

На фиг.5 проиллюстрированы совокупные результаты серии экспериментов; по оси ординат - нормализованное количество зерен в зависимости от количества часов, прошедших с момента достижения максимальной температуры в день проведения эксперимента.

На фиг.6 проиллюстрированы совокупные результаты серии экспериментов; по оси ординат - нормализованное количество зерен в зависимости от ДДП во время опыления.

Краткое описание предлагаемого изобретения

Предложен способ определения выбранного окна опыления крупяной культуры. Способ может включать отслеживание изменений одного или нескольких параметров с 12:00 до 23:59 в течение одного или нескольких дней, при этом указанный один или более параметров - это по меньшей мере один из следующих параметров: температура, дефицит давления паров, относительная влажность. Способ также включает определение выбранного окна опыления, которое начинается по достижении по меньшей мере одного из следующих состояний: (1) температура ниже ранее отслеженной температуры в течение не менее 30, 45, 60, 75, и/или 90 минут, (2) дефицит давления паров ниже ранее отслеженного дефицита давления паров в течение не менее 30, 45, 60, 75 и/или 90 минут, и/или (3) относительная влажность выше ранее отслеженной относительной влажности в течение не менее 30, 45, 60, 75 и/или 90 минут. В некоторых вариантах выбранное окно опыления может представлять собой по меньшей мере один из следующих периодов времени: (1) от момента, когда температура была ниже, чем ранее отслеженная температура в течение по меньшей мере 30 минут, до и 23:59, (2) от момента, когда дефицит давления паров был ниже ранее отслеженного дефицита давления паров в течение не менее 30 минут, до 23:59, и (3) от момента, когда относительная влажность была выше, чем ранее отслеженная относительная влажность в течение не менее 30 минут, до 23:59.

Возможны варианты, в которых дополнительно предусмотрено намеренное высвобождение пыльцы один или более раз в течение выбранного окна опыления, например, вблизи растения. Пыльца может быть свежей пыльцой, консервированной пыльцой и их комбинацией. Консервированная пыльца может быть получена от растений, выращенных в условиях поля, ростовой камеры, теплицы, арочной теплицы, перголы, парника, вертикальной фермерской установки и/или гидропонной установки. Консервированная пыльца, будучи предварительно собранной, может быть сохранена путем охлаждения, выхолаживания, криоконсервации, замораживания, сушки вымораживанием, хранения с добавками, улучшающими долговечность пыльцы, или хранения в жидком азоте. Пыльца может происходить из источника с измененным циркадным ритмом, из источника с нормальным циркадным цветением, но в котором развитие мужских компонентов женского растения задержано, из одного источника или из нескольких источников. намеренное высвобождение пыльцы может начинаться между 12:00 и 23:59, например, между 16:00 и 18:00.

Выбранное окно опыления может иметь место, когда относительная влажность составляет по меньшей мере 75%, например от 75% до 98%. Выбранное окно опыления может иметь место в день, когда по меньшей мере часть растений восприимчива к пыльце. Кроме того, изобретение применимо к популяции растений крупяных культур. Может быть выбрано растение из следующего перечня: кукуруза, пшеница, рис, сорго, ячмень, овес, просо. Отслеживание может проводиться непрерывно или через определенные интервалы времени.

В другом варианте предложен способ максимизации по меньшей мере одной желательной характеристики крупяной культуры. Способ включает намеренное опыление культуры в течение выбранного окна опыления, которое длится от 2 до 6 часов с момента регистрации максимальной температуры дня, например, от 2,5 до 5,5, от 3 до 5 или от 3,5 до 4,5 часа с момента регистрации максимальной температуры дня.

Еще в одном варианте предложен способ максимизации по меньшей мере одной желательной характеристики крупяной культуры. Способ включает намеренное опыление растений в течение выбранного окна опыления таким образом, чтобы время в середине процесса намеренного опыления составляло от 2 до 6 часов с момента регистрации максимальной температуры дня, например, от 2,5 до 5,5, от 3 до 5 или 3,5. до 4,5 часа с момента регистрации максимальной температуры дня.

Подробное описание предлагаемого изобретения

Ниже приводится подробное описание технологии и способов, позволяющих повысить урожайность, завязывание семян и другие желательные характеристики, включая предпочтительное содержание масел, крахмала, белка и/или других питательных компонентов. Такие способы могут быть использованы для создания гибридных семян или зерна или негибридных семян или зерна любых видов крупяных культур, размножаемых семенами. Для простоты обсуждения и понимания дальнейшее описание будет основываться по большей части на применении изобретения к кукурузе. Должно быть понятно, однако, что технология и способы применимы к любым размножаемым семенами крупяным культурам, а кукуруза или другие конкретно названные растения обсуждаются только в иллюстративных целях и ими объем изобретения не ограничен.

В некоторых вариантах предлагаемые способы применимы к культуре, которая включает популяцию из 500 или более растений, например, поле растений или популяцию растений, растущих на гидропонной установке, вертикальной фермерской установке или в другой среде выращивания. Популяция растений может включать растения, имеющие один, два, три или более генетически различных происхождения. В некоторых вариантах способы применимы к полю растений. Поле может быть любого размера, но обычно составляет не менее 1/10 акра и превышает 1/10 акра. Обычные размеры полей в Соединенных Штатах составляют от 40 до 200 акров. Поля в других регионах мира могут быть меньше или больше. Соответственно, площадь поля может составлять, например, 1/10 акра, 1/5 акра, 3/10 акра, 2/5 акра, 1/2 акра, 3/5 акра, 7/10 акра, 4/5 акра, 9/10 акра, 1 акр, 2 акра, 3 акра, 4 акра, 5 акров, 6 акров, 7 акров, 8 акров, 9 акров, 10 акров, 11 акров, 12 акров, 13 акров, 14 акров, 15 акров, 16 акров, 17 акров, 18 акров, 19 акров, 20 акров, 25 акров, 30 акров, 35 акров, 40 акров, 45 акров, 50 акров, 55 акров, 60 акров, 65 акров, 70 акров, 75 акров, 80 акров, 85 акров, 90 акров, 95 акров, 100 акров, 105 акров, 110 акров, 115 акров, 120 акров, 125 акров, 130 акров, 135 акров, 140 акров, 145 акров, 150 акров, 155 акров, 160 акров 165 акров, 170 акров, 175 акров, 180 акров, 185 акров, 190 акров, 195 акров, 200 акров, 205 акров или 210 акров. Акр равен 4047 м2. Специалистам понятно, что количество времени, необходимое для намеренного опыления поля, будет зависеть от многих факторов, включая, помимо прочего, размер поля, скорость, с которой может происходить опыление, и количество людей и/или располагаемых опылительных устройств. В некоторых вариантах для намеренного опыления поля площадью 40 акров требуется приблизительно 2,5 часа.

В некоторых условиях, например в поле, выращиваемая культура подвергается воздействию соседних растений, которые могут быть или не быть биологически совместимыми с культурой, подлежащей намеренному опылению. Если они биологически совместимы и находятся достаточно близко друг к другу, то соседние растения могут стать нежелательными источниками естественного опыления. Кроме того, опыляемая культура сама по себе может являться нежелательным источником естественного опыления. В данном контексте «близко» значит, что пыльца находится достаточно близко к месту выращивания крупяной культуры, так что пыльца способна опылять эти растения. При естественном опылении близость означает, что растения посажены и/или выращены рядом друг с другом. При намеренном опылении близость означает, что пыльца высвобождается и/или применяется на таком расстоянии, что она способна опылить культуру. В некоторых способах намеренного опыления понятие «близко» может включать, помимо прочего, нанесение пыльцы непосредственно на опыляемые растения и направленное высвобождение на опыляемые растения.

Крупяные культуры можно выращивать с разными целями, включая производство семян, производство зерна и производство биомассы. Конечное использование таких культур включает, помимо прочего, посевной материал, пищевые продукты для человека, корма для животных, источники топлива, такие как этанол, биомасса. Семена, в том числе гибридные семена, производятся для нескольких целей. Прежде всего, для различных исследовательских целей, чтобы оценить ценность новых генетических комбинаций. Семенные компании тратят миллиарды долларов на исследования, направленные на улучшение генетики растений. Семена также производятся для коммерческой продажи производителям, например, фермерам или другим потребителям. Кроме того, семена производятся для создания родительских семян, которые используются для выращивания родительских растений на поле производства семян. Изобретение может быть использовано для получения любых гибридных или негибридных семян крупяных культур для любых целей. Кроме того, изобретение может быть использовано для максимизации урожайности, завязывания семян и других желательных характеристик, включая предпочтительное содержание масел, крахмала, белка и/или других питательных компонентов в крупяных культурах, предназначенных для использования в качестве зерна, но не только, а также как семена для использования в пищевых продуктах для человека, корма для животных, производства этанола, производства масел (например, кукурузного масла), других пищевых продуктов, или для любого другого использования семян, в котором семена не предназначены для посадки и в которых семена обычно уничтожается или становится нежизнеспособным. Кроме того, в некоторых случаях крупяные культуры используются для производства биомассы, включая сено и силос.

Изобретение предусматривает усовершенствованный способ определения выбранного окна для намеренного высвобождения пыльцы и, при необходимости, намеренного нанесения мужской пыльцы на женские растения. Определение окна опыления может включать, помимо прочего, выбор окна опыления, подбор окна опыления, обнаружение окна опыления и/или распознавание окна опыления. Использование термина «намеренное» в отношении нанесения пыльцы означает конкретное применение пыльцы способом, который не включает или исключает естественное опыление ветром, насекомыми или другими естественными факторами. намеренно нанесенная пыльца - это пыльца, которая была нанесена на растение в результате намеренной деятельности, решения или вмешательства человека и может быть нанесена вручную или другими способами. В некоторых вариантах намеренное высвобождение пыльцы может включать высвобождение пыльцы вблизи опыляемой культуры, так чтобы эта пыльца могла опылять эту культуру. Для целей изобретения термин «сохранение» или «консервирование пыльцы» означает любое хранение собранной пыльцы, при котором достигнут уровень жизнеспособности, фертильности или того и другого, отличный от уровня жизнеспособности, фертильности или того и другого, который имел бы место, если бы пыльца содержалась в нерегулируемых условиях. Изобретение может использовать консервированную пыльцу в любое время, в том числе, когда выбранное окно опыления выходит за период времени, в течение которого пыльца обычно сбрасывается. Консервированная пыльца может представлять собой пыльцу, которая была заморожена, охлаждена, смешана с другими частицами или жидкостями или обработана иным образом для сохранения ее долговечности и жизнеспособности. Сохранение может включать стадии кондиционирования сразу после сбора пыльцы, чтобы сохранить или улучшить ее долговечность или жизнеспособность. Используемые способы могут включать, например, способы, описанные в публикациях US 20170238535 и US 20190008144, полное содержание которых включено в настоящий документ по ссылке. Консервированная пыльца может быть сохранена любым способом, который позволяет пыльце иметь необходимый уровень жизнеспособности, включая, помимо прочего, различные формы охлаждения или замораживания, охлаждение, выхолаживание, криоконсервацию, сушку вымораживанием, хранение с выбранными добавками для продления жизнеспособности или хранение в жидком азоте.

Приобретение пыльцы, необходимой для опыления, может осуществляться через банк пыльцы. Банк пыльцы - это источник хранящейся пыльцы, которая была собрана из одного или нескольких источников пыльцы и сохранена в условиях, обеспечивающих ее жизнеспособность. Растения, которые использовались в качестве источника пыльцы для такого банка пыльцы, могли быть выращены в любых условиях, включая, помимо прочего, поле, ростовую камеру, теплицу, арочную теплицу, перголу, парник, вертикальную фермерскую установку и/или гидропонную установку. Пыльца из банка пыльцы могла быть получена разными способами. Например, в одном варианте свежая пыльца может быть собрана с растений, выращенных в контролируемой среде, в которой циркадный ритм на 2-8 часов опережает естественно растущие женские растения в поле. В другом варианте пыльца, хранящаяся в банке, может быть консервированной пыльцой, собранной за несколько дней, недель, месяцев или лет до ее использования для опыления.

Зерна пыльцы маленькие и могут быть очень нежными. Их способность успешно опылять женское растение может быть поставлена под угрозу из-за ряда неблагоприятных факторов окружающей среды, а также на них могут повлиять врожденные качества растения, которое произвело эту пыльцу. Характеристики пыльцы (скорость прорастания, рост трубочек и т.д.) можно назвать жизненностью пыльцы, тогда как способность пыльцы успешно производить жизнеспособные семена можно назвать жизнеспособностью пыльцы (Shivanna, K.R. et al. (Shivanna, K.R. et al.) 1991) Theor. Appl. Genet. 81(1): 38-42). Жизненность и жизнеспособность пыльцы могут значительно различаться в зависимости от вида, сорта и разновидности растений. Доставка пыльцы подходящими средствами в выбранное временнóе окно опыления позволит пыльце достичь наивысшего уровня успешного опыления целевого растения, что приведет к максимальному завязыванию семян.

Намеренно доставляя, высвобождая и/или нанося пыльцу в выбранное временнóе окно для опыления в течение по меньшей мере части периода фертильности растения, когда растение восприимчиво к пыльце или когда условия окружающей среды благоприятны для успешного опыления, завязывание семян, урожайность и/или другие желательные характеристики, такие как предпочтительное содержание масел, крахмала, белка и/или других питательных компонентов, могут быть усилены, улучшены, изменены, сведены к минимуму и/или максимуму по сравнению с теми, которые можно было бы получить, полагаясь на естественное опыление. Однако специалисту понятно, что продолжительность доставки, высвобождения и/или нанесения пыльцы тоже может влиять на континуум для достижения различных уровней завязывания семян, соответствующих обстоятельствам. Доставка пыльцы может осуществляться в течение всего периода фертильности растения или в течение части периода фертильности растения. Доставка пыльцы может происходить один или больше раз в день и/или один или больше раз за период фертильности. Пыльца может быть доставлена, высвобождена и/или нанесена любыми приемами, в том числе вручную, вручную с помощью небольшого ручного механического устройства для полуавтоматического рассеивания, с помощью полевых машин, содержащих механизмы для рассеивания пыльцы, или путем полностью автоматизированного рассеивания с помощью самоходного и/или управляемого человеком устройства, такого как дрон, на котором установлено устройство для рассеивания пыльцы, при этом рассеивание пыльцы осуществляется автоматическими средствами, механическими или пневматическими.

Использование дрона было бы новшеством, практичным в этом способе. По одной оценке, 450 г (1 фунт) пыльцы более чем достаточно, если ее направить на шелк, для опыления 8 га (20 акров) женских растений кукурузы. Это рассчитано следующим образом: 4 пыльцевых зерна/зерно × 500 зерен/початок × 1 початок/растение × 26 000 растений/установка × 20 акров × 275 нг/пыльца=286 г пыльцы. Это позволит использовать в этом способе небольшие дроны, которые не нужно регулировать и которыми можно управлять с помощью координат GPS, чтобы сосредоточить рассеивание пыльцы непосредственно над женскими растениями. Когда выбранное окно опыления определено, дроны выпускаются для проведения опыления целевой популяции растений. Дроны могут быть активированы вручную или, в других вариантах, сигналами от метеостанции или другого источника в то время, когда было определено идеальное окно опыления и согласовано со временем, которое потребуется дронам для опыления с учетом размера поля и количества растений в популяции. Если поле достаточно большого размера, то дронам может потребоваться дозаправка пыльцой.

Изобретение применимо к любой крупяной культуре для повышения урожайности. Оно применимо в любой среде, в том числе в идеальных или целевых средах для выращивания, в межсезонье или в контролируемых средах (например, в затененных теплицах / стеклянных теплицах / камерах выращивания, на вертикальных фермерских установках, в гидропонных установках, аэропонных установках и т.д.), включая варианты, обсуждаемые здесь в других абзацах данной заявки, таких как абзацы [00015] и [0020]. Оно применимо в любом месте, где выращиваются и опыляются растения.

Как понятно специалисту, применение изобретения дополнительно обеспечивает по меньшей мере одно из следующих преимуществ: повышенный, улучшенный и/или максимальный выход, завязывание семян, чистоту и другие желательные характеристики, в том числе предпочтительное содержание масел, крахмала, белка и/или других питательных компонентов. намеренное нанесение пыльцы на фертильное женское родительское растение приводит к увеличению степени опыления по сравнению с естественным опылением. В зависимости от пыльцы, выбранной для использования в изобретении, степень опыления может быть значительно повышена, и в результате урожай или завязывание семян также будут значительно выше, чем в ином случае. В зависимости от состояния женских родительских растений, выбора пыльцы, условий окружающей среды и других факторов ожидается увеличение урожайности значительно более чем на 10%, а в некоторых случаях увеличение урожайности более чем на 100% по сравнению с ожидаемой урожайностью без применения предлагаемого способа. Увеличение урожайности может составлять 5%, 10%, 15%, 20%, 25%, 30%, 35%, 40%, 45%, 50%, 55%, 60%, 65%, 70%, 75%., 80%, 85%, 90%, 95%, 100%, 105%, 110%, 115%, 120%, 125%, 130%, 135%, 140%, 145%, 150%. Кроме того, увеличение завязывания семян может составлять 5%, 10%, 15%, 20%, 25%, 30%, 35%, 40%, 45%, 50%, 55%, 60%, 65%, 70%, 75%, 80%, 85%, 90%, 95%, 100%, 105%, 110%, 115%, 120%, 125%, 130%, 135%, 140%, 145%, 150%. Кроме того, другие желательные характеристики, включая предпочтительное содержание масел, крахмала, белка и/или других питательных компонентов, могут быть увеличены или уменьшены на 5%, 10%, 15%, 20%, 25%, 30%, 35%, 40%, 45%, 50%, 55%, 60%, 65%, 70%, 75%, 80%, 85%, 90%, 95%, 100%, 105%, 110%, 115%, 120%, 125%, 130%, 135%, 140%, 145%, 150%.

Изобретение включает определение выбранного окна опыления крупяной культуры. В одном из аспектов изобретения предусмотрено отслеживание изменений, например, путем проведения измерений и/или использования коммерческих измерений конкретных параметров окружающей среды, которые можно отслеживать. К этим параметрам относятся, в частности: температура, относительная влажность, дефицит давления паров и скорость ветра. Расчеты с использованием этих данных для указания выбранных окон опыления могут привести к повышению урожайности, завязывания семян и других желательных характеристик в несколько раз помимо опыления в моменты времени, которые не попадают в выбранные окна опыления. Изобретение включает отслеживание изменений этих параметров с течением времени и позволяет выявить тенденции, указывающие на приближение выбранного окна опыления. Отслеживание параметров могут включать измерение параметров, регистрацию параметров, проведение коммерческих измерений и/или использование устройств или систем для отслеживания параметров и/или оповещения пользователя в отношении выбранного окна опыления. Отслеживание параметров во времени может включать отслеживание параметров в течение всего времени, в течение которого культура восприимчива к пыльце (период фертильности), в течение одного или более дней периода фертильности и/или в течение части одного или более дней в течение периода фертильности. Коммерческие измерения могут включать отслеживание и/или использование измерений, предоставляемых какой-либо службой, например, Weather Underground, The Weather Channel и др. Опыление может осуществляться, когда выбранные параметры присутствуют или вскоре ожидаются, что приводит к повышению эффективности и увеличению выхода семян.

Эксперименты показали, что для улучшения, увеличения или максимизации завязывания семян, урожайности зерна, выхода биомассы и/или других желательных характеристик, как описано в настоящем документе, необходимо проводить намеренное опыление, когда параметры окружающей среды попадают в один или несколько диапазонов, указанных в Табл. 1 ниже.

Таблица 1: Диапазоны параметров изобретения Параметр Диапазон Примечания Температура 45-100°F
7-38°C
Успех опыления повышается после понижения температуры на несколько градусов от пиковой температуры дня.
Относительная влажность 75-98% Успех опыления повышается после того, как относительная влажность начинает повышаться, что обычно связано с понижением температуры. Скорость ветра 0-20 миль/час
0-32,2 км/час
Большие скорости ветра не совместимы с намеренным опылением, так как пыльца легко сдувается с целевого объекта.
Дефицит давления паров (ДДП) 0,1-1,5 кПа Результатом повышенного ДДП является повышенное высушивание пыльцы. Успех опыления повышается, когда ДДП начинает уменьшаться.

Кроме того, практическое применение изобретения предполагает учет уровней осадков и воздушных потоков. Например, следует избегать намеренного нанесения пыльцы во время проливных дождей, поскольку дождь стремится смыть пыльцу с поверхности цветка, что отрицательно сказывается на успешности опыления. Также следует избегать нанесения пыльцы при сильном ветре, потому что пыльца с меньшей вероятностью достигнет намеченной цели. Кроме того, намеренное нанесение пыльцы во время тумана обычно неблагоприятно для опыления из-за поверхностной конденсации. При относительной влажности выше 98% с большей вероятностью имеет место поверхностная конденсация.

Варианты осуществления изобретения включают способы определения выбранного окна опыления крупяной культуры, способы максимизации по меньшей мере одной желаемой характеристики крупяной культуры и способы определения готовности крупяной культуры к намеренному опылению в течение выбранного окна опыления. Выбранное окно опыления может быть определено на основе одного или более параметров, таких как параметры окружающей среды, в которой выращивается растение. Выбранное окно опыления может зависеть от максимальных значений температуры, и/или дефицита давления паров, и/или относительной влажности, которым подвергается растение в данный день. Большинство дней, и особенно дней в течение периода фертильности во время вегетации посевов крупяной культуры, следуют предсказуемой кривой измерений температуры в течение суток, отсчитываемых, например, с полуночи (00:00) до 23:59 той же даты. Минимальные температуры обычно достигаются на рассвете каждого дня. Температура повышается после восхода солнца, пока не будет достигнут максимум. Как правило, максимальная температура достигается между полуднем (12:00) и 23:59 того же дня, чаще во второй половине дня. По достижении максимума температура в конце дня снижается обычно до рассвета следующего дня. Соответственно, максимальная температура часто достигается во второй половине дня, например, в середине дня. Более того, как правило, как только температура начинает снижаться после максимума в середине дня, она будет продолжать снижаться. Нетипичные погодные условия и системы могут изменить эту картину, но это редкость.

Относительная влажность также часто следует предсказуемой схеме в течение вегетационного периода в течение суток, отсчитываемых, например, с полуночи (00:00) до 23:59 той же даты. Однако на этот параметр больше влияют погодные условия и системы, по сравнению с температурой. Тем не менее, в течение большинства дней вегетационного периода максимальная относительная влажность приходится на время самой низкой температуры, то есть на время перед рассветом. Это часто можно наблюдать, увидев росу рано утром. В течение дня относительная влажность уменьшается. Во время максимальной температуры относительная влажность минимальна. Затем относительная влажность увеличивается в течение оставшейся части дня и в ранние утренние часы следующего дня. Относительная влажность напрямую влияет на водные отношения растения и косвенно на рост листьев, фотосинтез, опыление, возникновение болезней и, следовательно, на урожайность. Сухость атмосферы, представленная дефицитом насыщения (относительная влажность 100), снижает производство сухого вещества за счет контроля устьиц и водного потенциала листьев.

Дефицит давления паров (ДДП) представляет собой разницу между количеством влаги в воздухе и количеством влаги, которое воздух может удерживать в насыщенном состоянии. ДДП часто также следует предсказуемой схеме в течение вегетационного периода в течение суток, отсчитываемых, например, с полуночи (00:00) до 23:59 той же даты. Однако на этот параметр погодные условия и системы влияют больше, чем на температуру. Тем не менее, в течение большинства дней вегетационного периода минимальный ДДП приходится на время самой низкой температуры, т.е. ближе к рассвету. Это часто можно наблюдать, увидев росу рано утром. В течение дня ДДП увеличивается. Примерно во время максимальной температуры ДДП также достигает своего максимума. Затем ДДП снижается в течение текущих суток и в ранние утренние часы следующих суток. Точка полного насыщения - это точка росы. Большинство растений хорошо растут при ДДП от 0,4 до 1,6 кПа. Когда ДДП высокий, воздух относительно сух, а транспирация растений (вода, испаряющаяся с листьев) высока. По мере снижения ДДП транспирация тоже уменьшается или может полностью прекратиться. ДДП является расчетной величиной. Для расчета ДДП необходимо определить давление насыщенного пара (ДНП). ДНП - это максимальное количество водяного пара, которое может содержать воздух при данной температуре. С повышением температуры воздуха увеличивается и ДНП. Фактическое количество водяного пара в воздухе в любой момент времени является фактическим давлением пара (ФДП). Относительная влажность (RH%) рассчитывается по следующему уравнению:

где

AVP - это ФДП,

SVP - это ДНП.

ДДП - это ДНП минус ФДП.

Одна из стадий способа - это отслеживание одного или более параметров окружающей среды. Это могут быть, например, такие параметры, как температура, дефицит давления паров и относительная влажность. В некоторых вариантах отслеживание параметров включает измерение параметров, регистрация измеренных параметров, использование измерений, предоставляемых коммерческими службами, и/или получаемых с помощью устройств или систем, например компьютеризированного устройства или системы, запрограммированных на отслеживание параметров окружающей среды. В некоторых вариантах отслеживание осуществляют в течение всего периода фертильности растения. В некоторых вариантах отслеживание осуществляют в течение одного или более дней или одной или более частей дня. Например, у кукурузы восприимчивость к пыльце длится около недели. Соответственно, отслеживание осуществляют в течение одного, двух, трех, четырех, пяти, шести, семи, восьми, девяти или десяти дней или частей дней, которые обычно идут подряд, но могут и не быть подряд, если условия в один или более дней неблагоприятны, например, идет дождь, в таком случае опыление в течение всего дня нежелательно. В предпочтительных вариантах отслеживание параметров может осуществляться примерно с (12:00) до 23:59 той же даты, в один или более дней, например, в один или более дней, когда крупяная культура восприимчива к пыльце. Отслеживание указанных параметров может осуществляться вручную, автоматически или полуавтоматически. Отслеживание может осуществляться непрерывно или с интервалами. Интервалы могут составлять, например, период времени, составляющий по меньшей мере, каждые 1 секунду, 5 секунд, 10 секунд, 15 секунд, 20 секунд, 25 секунд, 30 секунд, 35 секунд, 40 секунд, 45 секунд, 50 секунд, 55 секунд, 60 секунд, 75 секунд, 90 секунд, 105 секунд, 2 минуты, 3 минуты, 4 минуты, 5 минут, 6 минут, 7 минут, 8 минут, 9 минут, 10 минут, 11 минут, 12 минут, 13 минут, 14 минут, 15 минут, 20 минут, 25 минут, 30 минут, 45 минут или 60 минут.

В одном из вариантов для отслеживания параметров может использоваться метеостанция. Метеостанция может собирать данные, относящиеся к таким параметрам, как температура и/или относительная влажность (влажность воздуха). Данные с метеостанции могут загружаться в программу для расчета других параметров и/или выбранного окна опыления. В некоторых вариантах дефицит давления паров может быть рассчитан метеостанцией, программой расчета дополнительных параметров или другими средствами на основе измерений температуры и относительной влажности метеостанцией и/или другими источниками. В некоторых вариантах отслеживание осуществляют непосредственно в месте опыления, в то время как в других вариантах отслеживание может осуществляться рядом с указанными растениями. Например, в некоторых вариантах данных, полученных от коммерческой метеостанции или другой службы рядом с опыляемой культурой, будет достаточно для определения выбранного окна опыления. Как температура, так и относительная влажность предпочтительно представляют собой температуру воздуха и относительную влажность воздуха, соответственно. В некоторых вариантах отслеживание осуществляют с пятиминутными интервалами.

В некоторых вариантах выбранное окно опыления начинается по достижении по меньшей мере одного из следующих состояний: (1) температура была ниже ранее отслеживаемой температуры в течение по меньшей мере 30 минут, и/или (2) дефицит давления паров был ниже, чем ранее отслеженный дефицит давления паров по меньшей мере в течение 30 минут, и/или (3) относительная влажность была выше, чем ранее отслеженная относительная влажность по крайней мере в течение 30 минут. В дополнение или в качестве альтернативы в некоторых вариантах выбранное окно опыления заканчивается по достижении по меньшей мере одного из следующих состояний: (1) примерно 8 часов, примерно 7 часов, примерно 6 часов, примерно 5 часов, примерно 4 часа, примерно 3 часа, примерно 2 часа, примерно 1 час или примерно 30 минут прошло с момента ранее отслеженной температуры, которая была взята для целей расчета начала выбранного окна опыления, и/или (2) примерно 8 часов, примерно 7 часов, примерно 6 часов, примерно 5 часов, примерно 4 часа, примерно 3 часа, примерно 2 часа, примерно 1 час или примерно 30 минут прошло с момента ранее отслеженного дефицита давления паров, взятого для целей расчета начала выбранного окна опыления, и/или (3) примерно 8 часов, примерно 7 часов, примерно 6 часов, примерно 5 часов, примерно 4 часа, примерно 3 часа, примерно 2 часа, примерно 1 час или примерно 30 минут прошло с момента времени, когда была взята для расчета начала выбранного окна опыления ранее упомянутая относительная влажность, и/или (4) достигнута точка росы. Признак «примерно» выше, может предполагать, например, допуск±30 минут,±20 минут,±10 минут,±5 минут или менее 5 минут от указанного периода времени. Упомянутая предварительно отслеженная температура - это температура, определенная в течение тех же суток, например, отсчитываемых от полуночи (00:00) до 23:59 той же даты или в течение предшествующих суток, например, отсчитываемых от полуночи (00:00) до 23:59 той же даты; и, при необходимости, это может быть температура, определенная в период между полуднем (12:00) и 23:59 той же даты; и/или, предпочтительно, это температура, определенная как максимальная температура в течение указанного периода. Аналогичным образом, указанный ранее отслеженный дефицит давления паров - это дефицит давления паров, определенный в течение суток, например, отсчитываемых от полуночи (00:00) до 23:59 той же даты или в течение предшествующих суток, например, отсчитываемых от полуночи (00:00) до 23:59 той же даты; и, при необходимости, это дефицит давления паров, определенный в период между полуднем (12:00) и 23:59 той же даты; и, предпочтительно, это дефицит давления паров, определенный как максимальный дефицит давления паров в указанный период. Аналогично, упомянутая отслеженная относительная влажность - это относительная влажность, определенная в течение тех же суток, например, отсчитываемых от полуночи (00:00) до 23:59 той же даты, или в течение предшествующих суток, например, отсчитываемых от полуночи (00:00) до 23:59 той же даты; и, при необходимости, это относительная влажность, определенная в период между полуднем (12:00) и 23:59 той же даты; и, предпочтительно, это относительная влажность, определенная как минимальная относительная влажность в течение указанного периода. Во время выбранного окна опыления пыльца может быть намеренно доставлена, высвобождена и/или нанесена, например, вблизи растений. Когда пыльца намеренно доставляется, высвобождается и/или наносится вблизи растений, она способна опылять растения. Намеренное высвобождение пыльцы может включать намеренное нанесение пыльцы, как описано в настоящем документе. Согласно историческим данным, иногда опыление может осуществляться между 16:00 и 18:00 на основе одного или более описанных выбранных окон опыления.

В некоторых вариантах выбранное окно опыления начинается, когда температура ниже ранее отслеженной температуры в течение 10 минут, 15 минут, 20 минут, 25 минут, 30 минут, 35 минут, 40 минут, 45 минут, 50 минут, 55 минут, 60 минут, 65 минут, 70 минут, 75 минут, 90 минут, 105 минут, 120 минут, 135 минут, 150 минут, 165 минут, 180 минут, 195 минут, 210 минут, 225 минут, 240 минут, 255 минут, 270 минут, 285 минут или 300 минут. В дополнение или в качестве альтернативы, в некоторых вариантах выбранное окно опыления начинается, когда дефицит давления паров ниже, чем дефицит давления паров, отслеженный ранее, в течение 10 минут, 15 минут, 20 минут, 25 минут, 30 минут, 35 минут, 40 минут, 45 минут, 50 минут, 55 минут, 60 минут, 65 минут, 70 минут, 75 минут, 90 минут, 105 минут, 120 минут, 135 минут, 150 минут, 165 минут, 180 минут, 195 минут, 210 минут, 225 минут, 240 минут, 255 минут, 270 минут, 285 минут или 300 минут. В дополнение или в качестве альтернативы, в некоторых вариантах выбранное окно опыления начинается, когда относительная влажность выше, чем ранее отслеженная относительная влажность, в течение 10 минут, 15 минут, 20 минут, 25 минут, 30 минут, 35 минут, 40 минут, 45 минут, 50 минут, 55 минут, 60 минут, 65 минут, 70 минут, 75 минут, 90 минут, 105 минут, 120 минут, 135 минут, 150 минут, 165 минут, 180 минут, 195 минут, 210 минут, 225 минут, 240 минут, 255 минут, 270 минут, 285 минут или 300 минут. В дополнение или в качестве альтернативы, в некоторых вариантах выбранное окно опыления заканчивается через 10 минут, 20 минут, 30 минут, 40 минут, 50 минут, 60 минут, 70 минут, 80 минут, 90 минут, 100 минут, 110 минут, 120 минут, 130 минут, 140 минут, 150 минут, 160 минут, 170 минут, 180 минут, 190 минут, 200 минут, 210 минут, 220 минут, 230 минут, 240 минут, 250 минут, 260 минут, 270 минут, 280 минут, 290 минут, 300 минут, 310 минут, 320 минут, 330 минут, 340 минут, 350 минут, 360 минут, 370 минут, 380 минут, 390 минут, 400 минут.

Предлагаемые способы могут включать усиление или максимизацию по меньшей мере одной желательной характеристики крупяной культуры, включая, помимо прочего, урожайность и завязывание семян, а также содержание крахмала, масел, белка и/или других питательных компонентов. Такие способы могут включать в себя выбор окна опыления для намеренного опыления растений и/или намеренное опыление растений в течение выбранного окна опыления, при этом выбранное окно опыления составляет от 2 до 6 часов после достижения максимальной температуры дня. Упомянутые способы могут также относиться к способу определения готовности крупяной культуры к намеренному опылению путем определения указанной культуры в течение выбранного окна опыления на основе отмеченной выше оценки времени максимальной температуры дня. В некоторых вариантах выбранное окно опыления может быть выбрано из группы, состоящей из (1) от 2,5 до 5,5 часа с момента регистрации максимальной температуры дня, (2) от 3 до 5 часов с момента регистрации максимальной температуры дня и/или (3) от 3,5 до 4,5 часа с момента регистрации максимальной температуры дня. В дополнение или в качестве альтернативы, в некоторых вариантах способ может включать намеренное опыление культуры таким образом, чтобы время в середине периода намеренного опыления составляло от 2 до 6 часов с момента регистрации максимальной температуры дня. В некоторых вариантах время в середине периода намеренного опыления составляет (1) от 2,5 до 5,5 часа с момента регистрации максимальной температуры дня, (2) от 3 до 5 часов с момента регистрации максимальной температуры дня и/или (3) от 3,5 до 4,5 часа с момента регистрации максимальной температуры дня. В других вариантах намеренное опыление может быть выполнено на 5%, на 10%, на 15%, на 20%, на 25%, на 30%, на 35%, на 40%, на 45%, на 55%, на 60%, на 65%, на 70%, на 75%, на 80%, на 85%, на 90%, на 95% или на 100% в такие моменты времени. Как понятно специалисту, время, требуемое для намеренного опыления, может варьироваться в зависимости от характера намеренного опыления, количества растений, подлежащих намеренному опылению, и/или площади, на которой растения подлежат намеренному опылению. Однако и без ограничений время, необходимое для намеренного опыления, может варьироваться, например, от примерно 10 минут до примерно 8 часов, более чем примерно 15 минут, примерно 20 минут, примерно 25 минут, примерно 30 минут, примерно 45 минут, примерно 60 минут, примерно 90 минут, примерно 120 минут, примерно 150 минут, примерно 180 минут, примерно 210 минут, примерно 240 минут, примерно 270 минут, примерно 300 минут, примерно 330 минут, примерно 360 минут, примерно 390 минут, примерно 420 минут, примерно 450 минут, примерно 480 минут или больше, чем примерно 480 минут.

Предлагаемые способы могут предусматривать максимизацию по меньшей мере одной желаемой характеристики крупяной культуры, включая, помимо прочего, урожайность и завязывание семян. Такие способы могут включать выбор периода для намеренного опыления растений и/или намеренное опыление растений в течение выбранного периода, при этом выбранный период опыления составляет от 2 до 6 часов с момента регистрации максимального дефицита давления паров в течение дня. Упомянутые способы могут также относиться к способу определения готовности крупяной культуры к намеренному опылению путем определения растения в течение выбранного окна опыления на основе отмеченной выше оценки времени максимального дефицита давления паров в течение дня. В некоторых вариантах выбранное окно опыления может быть выбрано из следующих периодов: (1) от 2,5 до 5,5 часа после максимального зарегистрированного дефицита давления паров в течение дня, (2) от 3 до 5 часов после максимального зарегистрированного дефицита давления паров в течение дня и/или (3) от 3,5 до 4,5 часа с момента регистрации максимального дефицита давления паров в течение дня. Кроме того, в некоторых вариантах способ включает намеренное опыление культуры таким образом, чтобы время на середине периода указанного намеренного опыления составляло от 2 до 6 часов с момента регистрации максимального дефицита давления паров в течение дня. В некоторых вариантах время на середине периода указанного намеренного опыления составляет (1) от 2,5 до 5,5 часа с момента регистрации максимального дефицита давления паров в течение дня, (2) от 3 до 5 часов с момента регистрации максимального дефицита давления паров в течение дня и/или (3) от 3,5 до 4,5 часа с момента регистрации максимального дефицита давления паров в течение дня. В других вариантах намеренное опыление может быть выполнено на 5%, на 10%, на 15%, на 20%, на 25%, на 30%, на 35%, на 40%, на 45%, на 55%, на 60%, на 65%, на 70%, на 75%, на 80%, на 85%, на 90%, на 95% или на 100% в такие моменты времени. Мы ссылаемся на обсуждение времени, необходимого для намеренного опыления, в предыдущем абзаце.

Предлагаемые способы могут предусматривать максимизацию по меньшей мере одной желаемой характеристики крупяной культуры, включая, помимо прочего, урожайность и завязывание семян. Такие способы могут включать выбор окна для намеренного опыления и/или намеренного опыления в течение выбранного окна опыления, при этом выбранное окно опыления составляет от 2 до 6 часов с момента регистрации минимальной относительной влажности в течение дня. Упомянутые способы могут также относиться к способу определения готовности культуры к намеренному опылению путем определения указанной культуры в течение выбранного окна опыления на основе отмеченной выше оценки времени минимальной относительной влажности воздуха в течение дня. В некоторых вариантах выбранное окно опыления может быть выбрано из группы, состоящей из следующих периодов: (1) от 2,5 до 5,5 часа с момента регистрации минимальной относительной влажности в течение дня, (2) от 3 до 5 часов с момента регистрации минимальной относительной влажности в течение дня и/или (3) от 3,5 до 4,5 часа с момента регистрации минимальной относительной влажности в течение дня. Кроме того, в некоторых вариантах способ включает намеренное опыление культуры таким образом, чтобы время на середине периода указанного намеренного опыления составляло от 2 до 6 часов с момента регистрации минимальной относительной влажности в течение дня. В некоторых вариантах время на середине периода указанного намеренного опыления составляет (1) от 2,5 до 5,5 часа с момента регистрации минимальной относительной влажности в течение дня, (2) от 3 до 5 часов с момента регистрации минимальной относительной влажности в течение дня и/или (3) от 3,5 до 4,5 часа с момента регистрации минимальной относительной влажности в течение дня. В других вариантах намеренное опыление может быть выполнено на 5%, на 10%, на 15%, на 20%, на 25%, на 30%, на 35%, на 40%, на 45%, на 55%, на 60%, на 65%, на 70%, на 75%, на 80%, на 85%, на 90%, на 95% или на 100% в такие моменты времени. Мы ссылаемся на обсуждение времени, необходимого для намеренного опыления, выше.

В одном из вариантов предыдущее показание отслеживаемого параметра, такого как температура и/или дефицит давления паров, может быть определено как дневной максимум указанного параметра, если: (i) он определен в период между полуднем (12:00) и 23:59 той же даты и, что более типично, между полуднем и 18:00; (ii) если последующие несколько последовательных показаний отслеживаемого параметра, например, несколько последующих последовательно отслеженных показаний температуры и/или дефицита давления паров, которые следуют за предыдущим показанием отслеживаемого параметра, таким как предыдущее показание температуры и/или дефицита давления паров, остается ниже предыдущего показания отслеживаемого параметра в течение не менее 30 минут, 35 минут, 40 минут, 45 минут, 50 минут, 55 минут, 60 минут, 65 минут, 70 минут, 75 минут, 90 минут, 105 минут, 120 минут, 135 минут, 150 минут, 165 минут, 180 минут, 195 минут, 210 минут, 225 минут, 240 минут, 255 минут, 270 минут, 285 минут или 300 минут, если они определены на основе непосредственно измеренного параметра практически во все моменты времени, в которые параметр измеряется в течение указанного периода, и/или на основе скользящего среднего значения непосредственно измеренного параметра во все моменты времени в течение указанного периода; и/или (iii) если последующие последовательные показания отслеживаемого параметра, такие как несколько последующих последовательных отслеженных показаний температуры и/или дефицита давления паров, которые следуют за ранее отслеженным параметром, таким как предыдущее показание температуры и/или дефицита давления паров, постоянно падает в течение не менее 30 минут, 35 минут, 40 минут, 45 минут, 50 минут, 55 минут, 60 минут, 65 минут, 70 минут, 75 минут, 90 минут, 105 минут, 120 минут, 135 минут, 150 минут, 165 минут, 180 минут, 195 минут, 210 минут, 225 минут, 240 минут, 255 минут, 270 минут, 285 минут или 300 минут, при определении на основе непосредственно измеренного параметра практически во все моменты времени, в которые параметр измеряется в течение указанного периода и/или на основе скользящего среднего значения непосредственно измеренного параметра во все моменты времени в течение указанного периода. Признак «при определении на основе непосредственно измеряемого параметра практически во все моменты времени, в которые параметр измеряется в течение указанного периода» в контексте вариантов (ii) и (iii) выше понимается так, что это применяется по меньшей мере к 80%, 85%, 90%, 95%, 96%, 97%, 98%, 99% или практически к 100% прямых измерений параметра в течение определенного периода времени. Скользящее среднее значение параметра, такого как температура и/или дефицит давления паров, представляет собой невзвешенное среднее значение нескольких случаев («n») последних определенных последовательных измерений параметра в любой заданный момент времени, и может быть рассчитано так, как это принято в данной области техники. Например, вычисление скользящего среднего значения параметра может включать вычисление скользящего среднего значения нескольких последовательных показаний (например, где n представляет собой целое число, выбранное из 2, 3, 4, 5, 6, 7, 8, 9, 10 или более показаний) указанного параметра, при этом показания снимаются в разные моменты времени в течение определенного периода времени, и при этом указанный период времени может составлять, например, около 1 минуты, около 2 минут, около 3 минут, около 4 минут, около 5 минут, около 6 минут, около 7 минут, около 8 минут, около 9 минут, около 10 минут, около 15 минут, около 20 минут, около 25 минут, около 30 минут, около 45 минут, около 60 минут, около 75 минут, около 90 минут или более.

В одном из вариантов предыдущее показание отслеживаемого параметра, такого как относительная влажность, может быть определено как дневной минимум указанного параметра, если: (i) оно определено в течение периода примерно с полудня (12:00) до 23:59 той же даты и, что более типично, от полудня до 18:00; (ii) если последующие несколько последовательных показаний отслеживаемого параметра, например, несколько последующих последовательных отслеживаемых показаний температуры и/или дефицита давления паров, которые следуют за предыдущим показанием отслеживаемого параметра, таким как предыдущее показание температуры и/или дефицита давления паров, остается выше предыдущего показания отслеживаемого параметра в течение периода не менее 30 минут, 35 минут, 40 минут, 45 минут, 50 минут, 55 минут, 60 минут, 65 минут, 70 минут, 75 минут, 90 минут, 105 минут, 120 минут, 135 минут, 150 минут, 165 минут, 180 минут, 195 минут, 210 минут, 225 минут, 240 минут, 255 минут, 270 минут, 285 минут или 300 минут, если они определены на основе непосредственно измеренного параметра практически во все моменты времени, в которые параметр измеряется в течение указанного периода, и/или на основе скользящего среднего значения непосредственно измеряемого параметра во все моменты времени в течение указанного периода; и/или (iii) если последующие последовательные показания отслеживаемого параметра, такие как несколько последующих последовательных отслеживаемых показаний температуры и/или дефицита давления паров, которые следуют за ранее отслеженным параметром, таким как предыдущее показание температуры и/или дефицита давления паров, постоянно увеличивается в течение не менее 30 минут, 35 минут, 40 минут, 45 минут, 50 минут, 55 минут, 60 минут, 65 минут, 70 минут, 75 минут, 90 минут, 105 минут, 120 минут, 135 минут, 150 минут, 165 минут, 180 минут, 195 минут, 210 минут, 225 минут, 240 минут, 255 минут, 270 минут, 285 минут или 300 минут при определении на основе непосредственно измеренного параметра практически во все моменты времени, в которые параметр измеряется в течение указанного периода и/или на основе скользящего среднего значения непосредственно измеренного параметра во все моменты времени в течение указанного периода. Признак «при определении на основе непосредственно измеряемого параметра практически во все моменты времени, в которые параметр измеряется в течение указанного периода», понимаемый в контексте вариантов (ii) и (iii) предыдущего абзаца, применим по меньшей мере к 80%, 85%, 90%, 95%, 96%, 97%, 98%, 99% или практически к 100% прямых измерений параметра в течение определенного периода времени. Скользящее среднее значение параметра, такого как температура и/или дефицит давления паров, представляет собой невзвешенное среднее значение нескольких случаев («n») последних определенных последовательных измерений параметра в любой заданный момент времени, которое может быть рассчитано, как это принято в данной области техники. Например, вычисление скользящего среднего значения параметра может включать вычисление скользящего среднего значения нескольких последовательных показаний (например, где n представляет собой целое число, выбранное из 2, 3, 4, 5, 6, 7, 8, 9, 10 или более показаний) указанного параметра, при этом показания снимаются в разные моменты времени в течение определенного периода времени, и при этом указанный период времени может составлять, например, около 1 минуты, около 2 минут, около 3 минут, около 4 минут, около 5 минут, около 6 минут, около 7 минут, около 8 минут, около 9 минут, около 10 минут, около 15 минут, около 20 минут, около 25 минут, около 30 минут, около 45 минут, около 60 минут, около 75 минут, около 90 минут или более.

В любом аспекте раскрытия предлагаемого изобретения, когда способ состоит в выборе временно́го окна для намеренного опыления культуры и/или в определении готовности крупяной культуры к намеренному опылению, то, при необходимости, способ может быть автоматизированным или реализуемым на компьютере, и/или любая другая стадия способа может быть автоматизированной и/или реализуемой на компьютере.

В другом аспекте изобретения предусмотрен блок обработки данных, обеспечивающий возможность выполнения любого способа, описанного в данном документе, как способа, реализуемого компьютером. Блок обработки данных может содержать один или более процессоров и запоминающее устройство, содержащее программный код, обеспечивающий выполнение процессором любого описанного здесь способа.

Еще одним аспектом предусмотрен машиночитаемый носитель данных, содержащий программный код, обеспечивающий выполнение процессором любого реализуемого компьютером способа, описанного в данном документе. Машиночитаемый носитель данных может быть носителем данных, предназначенным для долговременного хранения информации.

Возможна компьютерная программа, которая при запуске заставляет компьютер образовать любое устройство, включая схему, блок, контроллер, устройство или систему, раскрытые в настоящем документе, для выполнения любого способа, раскрытого в настоящем документе. Компьютерная программа может быть реализацией программного обеспечения. Компьютер может иметь соответствующее аппаратное обеспечение, включая один или более процессоров и запоминающее устройство, обеспечивающие выполнение способа, определенного компьютерной программой.

Компьютерная программа может быть представлена на машиночитаемом носителе, который может быть физическим машиночитаемым носителем, таким как диск или запоминающее устройство, или может быть реализован в виде переходного сигнала. Такой переходный сигнал может представлять собой загрузку по сети, включая загрузку из Интернета. Машиночитаемый носитель может быть компьютерным или постоянным носителем данных.

Возможность проводить крупномасштабное опыление в течение выбранного временно́го окна обеспечивает новаторскую технологию для сельского хозяйства. Поскольку восприимчивость женских компонентов растения возможна в любое время дня и ночи, опыление консервированной пыльцой обеспечивает большую гибкость в зависимости от того, когда производится фактическое опыление. По своей природе свежая и консервированная пыльца чувствительна к природным условиям, поэтому не все условия окружающей среды оптимальны для нанесения пыльцы. Кроме того, некоторые части цветка, такие как пестик, рыльце пестика, столбик или завязь, также чувствительны к природным условиям окружающей среды. У некоторых видов растений, таких как кукуруза, другие специализированные части растений, такие как шелк, чувствительны к условиям окружающей среды. Согласно изобретению намеренное опыление может осуществляться в течение периода времени, когда здоровье и жизнеспособность частей цветка и частей растений повышены. Изобретение обеспечивает инструмент для определения того, когда проводить опыление для достижения наиболее желаемых характеристик.

С использованием данных ряда экспериментов было показано, что опыление в течение выбранного временно́го окна, определенного в соответствии с изобретением, может привести к получению в три раза больше зерен, чем в среднем, и в десять раз больше зерен, чем при опылении в другое время. Кроме того, на результаты, связанные с завязыванием семян и урожайностью, не оказывает существенного влияния ни возраст используемой пыльцы (при условии, что она хранилась надлежащим образом для сохранения необходимого уровня жизнеспособности), ни скорость ветра.

Изобретение может быть использовано производителями для увеличения завязывания семян, зерновой урожайности или выхода биомассы по сравнению с завязыванием семян или урожайностью, которые могут быть получены с использованием современных коммерческих способов. В типичном поле пыльца сбрасывается с разной интенсивностью, с определенными периодами, в течение которых пыльца сильно осыпается, и другими периодами, в течение которых пыльца может отсутствовать или почти не осыпаться. На типичных полях мужские растения сажают достаточно близко к женским растениям, чтобы часть пыльцы мужских растений достигала женских растений естественным путем, в основном с помощью ветра и насекомых. Способность этой пыльцы оплодотворять женские растения зависит от времени дня, когда пыльца достигает женских растений, и от состояния женских растений в момент попадания пыльцы на целевые участки. Например, пыльца часто естественным образом высвобождается в такие моменты в больших количествах, что даже если она успешно попадает на женское растение, успешное оплодотворение маловероятно из-за условий температуры, относительной влажности и/или давления паров, а также из-за негативного воздействия этих условий на женское растение, что понижает вероятность успешного оплодотворения. Эти условия окружающей среды могут иметь место во время самого сильного сброса пыльцы, которое долгое время считалось временем, когда происходит наиболее успешное опыление. Например, данные, собранные заявителем на коммерческих кукурузных полях на Среднем Западе США, показали резкое изменение процента завязавшихся семян: от 22% до 78% завязавшихся семян с использованием наиболее общепринятых традиционных коммерческих способов, доступных в настоящее время. Отсутствие достаточного количества пыльцы в нужное время является основным фактором, ограничивающим завязывание семян. Плохие экологические условия усугубляют эту проблему.

Напротив, используя выбранное временнóе окно для намеренного опыления, производители могут не полагаться на естественные периоды обильного сброса пыльцы и вместо этого полагаться на намеренное опыление в то время, когда условия окружающей среды наиболее благоприятны для успешного опыления. Соответственно, достаточное количество пыльцы доступно в соответствующее время. Это приведет к значительному увеличению завязи семян или урожайности зерна/биомассы. Таким образом, данное изобретение решает проблемы, связанные с отсутствием достаточного количества пыльцы в нужное время. Данные заявителей показали, что при применении изобретения, как описано в настоящем документе, количество семян в колосе/початке и товарных единиц семян увеличилось до 32% по сравнению с необработанными растениями, что напрямую отражает увеличение завязывания семян.

Далее изобретение иллюстрируется на примерах, в которых в качестве испытуемой крупяной культуры выбрана кукуруза. С надлежащими модификациями способ применим к любой крупяной культуре.

Пример 1

Исследование с использованием кукурузы было проведено в мае 2019 года на ферме, расположенной в Техасе, США. Предыдущие исследования, проведенные изобретателями, показали, что больший успех оплодотворения может быть достигнут в моменты времени, отличные от времени, когда растения естественным образом сбрасывают пыльцу, когда оплодотворение происходит только в течение определенного промежутка времени в утренние часы. Этот эксперимент был разработан для проверки продуктивности опыления, проведенного на протяжении 24 часов, одновременно с отслеживанием изменений в различных условиях окружающей среды. Эти условия включают температуру, влажность, скорость ветра, давление паров, дефицит давления паров, интенсивность солнечного излучения и интенсивность ультрафиолетового излучения.

Обработка проводилась каждые два часа с 20:00 одного дня до 22:00 следующего дня. Каждую обработку повторяли трижды, по 12 початков на обработку. В разных рядах проводились повторения, чтобы исключить шум от вариаций поля. Шелк выбирали до опыления, чтобы убедиться, что растения находятся на одинаковой стадии развития. Растения для этого эксперимента были очищены от метелок, поэтому не требовалось покрытия шелка до и после опыления.

Для каждой обработки использовали две формы контроля. Три початка на обработку при каждом повторении были отрицательным контролем и не подвергались воздействию пыльцы. Три початка на обработку при каждом повторении были контрольными, получавшими составы с чистой пыльцой. Остальные початки при каждой обработке получали смесь пыльцы с лактозой.

Чистую пыльцу собирали до начала эксперимента. Часть этой пыльцы хранилась в закрытом контейнере в чистом виде при 3°C для использования в качестве чистопыльцевого 24-часового контроля. Другую порцию пыльцы хранили аналогичным образом, но использовали в качестве 48-часового контроля. Как можно видеть на фиг.1, 24-часовая чистая пыльца работает лучше, чем 48-часовая чистая пыльца. Часть свежесобранной пыльцы смешивали с лактозой из расчета одна часть пыльцы на пять частей порошкообразной лактозы. Состав хранили при температуре 3°C в герметичном контейнере в течение 72 часов до опыления.

В каждый момент времени 1,5 мл пыльцы в составе равномерно наносили на шелк каждого растения. Для контроля чистой пыльцы 1,0 мл чистой пыльцы равномерно наносили на шелк каждого растения. На растения отрицательного контроля пыльцу не наносили.

Результаты эксперимента показаны на фиг.1. На диаграмме представлен выход зерен как функция времени. Важно отметить, что на протяжении эксперимента источник пыльцы стареет, а это означает, что выход зерен со временем будет неуклонно снижаться. Как видно на фиг.1, 72-часовая пыльца, смешанная с лактозой, превосходит 48-часовую свежую пыльцу в различные моменты времени. Кроме того, наблюдается явный пик эффективности примерно с 14:00 29 мая примерно до 00:16 30 мая. Этот временной интервал выходит далеко за рамки стандартных окон опыления.

Экспериментальные результаты подтверждают, что эффективность чистой пыльцы и пыльцы, смешанной с лактозой (РР), увеличивается при изменении температуры, дефицита давления паров и относительной влажности.

Пример 2

Серия из одиннадцати экспериментов, аналогичных эксперименту, описанному в Примере 1, была проведена в течение 2019 и 2020 годов на растениях кукурузы в различных местах, включая Айову, Техас и Пуэрто-Рико. Эксперименты проводились в разные периоды времени и в разное время года, но во всех случаях на протяжении всего эксперимента измерялись параметры среды. Это были следующие параметры: температура, влажность, скорость ветра, скорость порывов ветра, точка росы, охлаждение ветром, направление ветра и барометрические показания. Кроме того, наблюдались осадки. Дефицит давления паров рассчитывали на всем временнóм интервале экспериментов. К целевым растениям кукурузы в разные моменты времени в течение установленного периода времени применяли либо свежую, либо консервированную пыльцу, либо и то и другое, и подсчитывали количество зерен на основе полученных початков кукурузы. Экспериментальные протоколы были в основном такими, как описано в Примере 1.

Эти эксперименты были проведены, чтобы продемонстрировать такие влияющие на сроки намеренного опыления и, как следствие, успех опыления факторы, как температура, относительная влажность и дефицит давления паров. Этот пример предназначен для демонстрации эффективности способа путем объединения результатов нескольких аналогичных экспериментов для создания диаграмм, показывающих нормализованное количество зерен по сравнению с параметрами окружающей среды. Графики нормализованного количества зерен в зависимости от факторов окружающей среды демонстрируют, что существуют диапазоны температуры, относительной влажности и ДДП, в которых успешность опыления улучшается, усиливается и/или максимизируется. Для непосредственного сравнения экспериментов количество зерен в каждом эксперименте было нормализовано к среднему значению для этого эксперимента. Таким образом, количество зерен для каждого эксперимента показывает, как количество зерен увеличивалось в течение выбранных окон до уровней, превышающих среднее количество зерен для этого эксперимента.

Все эксперименты проводились в блоках только для женских растений. В блоках подопытных растений мужские растения отсутствовали. В результате уровень естественного, ненамеренного, опыления, использованного в качестве отрицательного контроля, был крайне низким. Любое произошедшее опыление будет результатом действия насекомых или ветра, принесшего пыльцу с физически удаленного мужского растения. Початки отрицательного контроля имели примерно 5 зерен на початок, в то время как обработанные початки в экспериментах имели в среднем 100 или более зерен на початок. Таким образом, в отрицательном контроле не наблюдалось временнóй тенденции, поскольку естественное опыление было очень низким.

Данные показывают, что выбранное временнóе окно для улучшенного или максимального успеха намеренного опыления выходит за пределы временнóго диапазона, в котором происходит естественное опыление, которое обычно приходится на период с середины утра до позднего утра. Кроме того, данные показывают, что при использовании выбранного временнóго окна количество завязавшихся семян на растениях кукурузы в эксперименте показывает трехкратное увеличение по сравнению со средним количеством зерен.

На фиг.2 по оси ординат показано нормализованное количество зерен, нанесенное на график в зависимости от количества часов, прошедших с полуночи, таким образом, показаны часы дня или дни, в течение которых проводились эксперименты. Некоторые эксперименты были однодневными или 24-часовыми, тогда как другие были двухдневными или 48-часовыми. На фиг.2 показано отчетливое увеличение количества зерен в течение выбранного временнóго окна, начинающегося примерно через 14 часов после предыдущей полуночи и заканчивающегося примерно через 24 часа после предыдущей полуночи.

На рис. 3 по оси ординат показано нормализованное количество зерен в зависимости от процента относительной влажности во время опыления. На фиг.4 по оси ординат показано нормализованное количество зерен в зависимости от температуры в градусах Цельсия во время опыления. На фиг.5 по оси ординат показано нормализованное число зерен в зависимости от количества часов, прошедших с момента максимальной температуры дня. На фиг.6 по оси ординат показано нормализованное количество зерен в зависимости от ДДП во время опыления. На прилагаемых чертежах с фиг.3 по фиг.6 показано, что в девяти из одиннадцати экспериментов максимальное завязывание зерен достигалось примерно через четыре часа после достижения максимума температуры, минимума относительной влажности и максимума дефицита давления паров. В обычный день эти три события обычно происходят в пределах одного часа. Продемонстрировано, что время суток, температура, относительная влажность и дефицит давления паров являются хорошими прогнозирующими параметрами идеального временнóго окна для намеренного нанесения пыльцы с целью увеличения или максимизации завязывания семян (числа зерен) или зерновой урожайности.

Таким образом, суть изобретения определяется следующими пронумерованными пунктами:

1. Способ определения и/или выбора временнóго окна опыления крупяной культуры, включающий:

(i) отслеживание изменений одного или нескольких параметров в течение ежедневного периода продолжительностью несколько часов (например, не менее 2, 3, 4, 5, 6, 7, 8, 9, 10, 11 или более часов), обычно при этом указанный период ежедневного отслеживания включает время между полуднем (12:00). и 23:59 той же даты, и при этом стадия наблюдения за изменениями при необходимости включает в себя отслеживание изменений одного или более параметров в течение ежедневного периода наблюдения на протяжении нескольких дней, при этом указанные параметры включают по меньшей мере один из следующих параметров: температура, дефицит давления паров, относительная влажность; и

(ii) определение и/или выбор временнóго окна для намеренного опыления указанной культуры, при этом выбранное окно опыления начинается по достижении по меньшей мере одного из следующих состояний:

a. температура ниже, чем предыдущее показание отслеживаемой температуры, снятое в течение периода ежедневного отслеживания, в течение по меньшей мере тридцати минут, при необходимости, при этом предыдущее показание отслеживаемой температуры, полученное в течение периода ежедневного отслеживания, является максимальной температурой дня; и/или

b. дефицит давления паров ниже, чем предыдущее значение отслеживаемого дефицита давления паров, полученное в течение периода ежедневного отслеживания, в течение не менее тридцати минут, при необходимости, при этом предыдущее значение отслеженного дефицита давления паров, полученное на протяжении периода ежедневного отслеживания, является максимальным дефицитом давления паров за сутки; и/или

c. относительная влажность выше, чем ранее отслеженная относительная влажность, полученная на протяжении ежедневного периода отслеживания, в течение по меньшей мере тридцати минут, при необходимости, при этом предыдущее показание отслеживаемой относительной влажности является минимальной относительной влажностью дня.

2. Способ по пункту 1, в котором выбранное окно опыления начинается по достижении хотя бы один из следующих состояний:

(i) температура ниже, чем предыдущее значение отслеживаемой температуры, снятое на протяжении ежедневного периода отслеживания, длившееся в течение не менее одного часа; и/или

(ii) дефицит давления паров ниже, чем предыдущее значение отслеживаемого дефицита давления паров, длившееся на протяжении ежедневного периода отслеживания, по меньшей мере в течение одного часа; и/или

(iii) относительная влажность выше, чем предыдущее значение отслеживаемой относительной влажности, длившееся на протяжении ежедневного периода отслеживания в течение не менее одного часа.

3. Способ определения и/или выбора временнóго окна опыления крупяной культуры по любому из пунктов 1 или 2, отличающийся тем, что

выбранное окно опыления начинается по достижении по меньшей мере одного из следующих периодов времени:

a. от момента, когда температура была ниже, чем предыдущее значение отслеживаемой температуры на протяжении периода ежедневного отслеживания в течение не менее тридцати минут, до 23:59 тех же суток; и/или

b. от момента, когда дефицит давления паров был ниже, чем предыдущее значение отслеживаемого дефицита давления паров на протяжении ежедневного периода отслеживания в течение не менее тридцати минут, до 23:59 тех же суток; и/или

c. от момента, когда относительная влажность была выше, чем предыдущее значение отслеживаемой относительной влажности на протяжении ежедневного периода отслеживания в течение не менее тридцати минут, до 23:59 тех же суток.

4. Способ усиления и/или максимизации по меньшей мере одной желаемой характеристики крупяной культуры, включающий намеренное опыление указанной культуры в течение выбранного временнóго окна, при этом выбранное временнóе окно

(i) определено и/или выбрано способом по любому из пунктов 1, 2 или 3, и при этом по меньшей мере одним из параметров является температура, и, при необходимости, предыдущее показание отслеживаемой температуры, снятое в период суточного наблюдения - это максимальная температура за сутки; и/или

(ii) от 2 до 6 часов по достижении максимальной дневной температуры.

5. Способ по пункту 4, в котором выбранное окно опыления выбрано из следующей группы:

(iii) от 2,5 до 5,5 часа с момента регистрации максимальной температуры дня,

(iv) от 3 до 5 часов с момента регистрации максимальной температуры дня,

(v) от 3,5 до 4,5 часа с момента регистрации максимальной температуры дня.

6. Способ улучшения и/или максимизации по меньшей мере одной желаемой характеристики крупяной культуры, включающий намеренное опыление указанной культуры в течение выбранного окна опыления таким образом, чтобы время в середине процесса намеренного опыления составляло

(i) время, попадающее в выбранное окно опыления, которое было определено и/или выбрано способом по любому из пунктов 1, 2 или 3, и при этом по меньшей мере одним из параметров является температура и, при необходимости, при этом предыдущее показание отслеживаемой температуры, снятое в течение периода ежедневного отслеживания, является максимальной температурой дня; и/или

(ii) от 2 до 6 часов с момента регистрации максимальной температуры дня.

7. Способ по пункту 6, в котором время в середине процесса намеренного опыления выбирается из следующей группы:

(i) от 2,5 до 5,5 часа с момента регистрации максимальной температуры дня,

(ii) от 3 до 5 часов с момента регистрации максимальной температуры дня,

(iii) от 3,5 до 4,5 часа с момента регистрации максимальной температуры дня.

8. Способ усиления и/или максимизации по меньшей мере одной желаемой характеристики крупяной культуры, включающий намеренное опыление указанной культуры в течение выбранного временнóго окна, при этом выбранное временнóе окно

(i) определено и/или выбрано способом по любому из пунктов 1, 2 или 3, и при этом по меньшей мере один из параметров представляет собой дефицит давления паров, и, при необходимости, при этом предыдущее показание отслеживаемого дефицита давления паров, снятое в течение суточного периода отслеживания, является максимальным дефицитом давления паров за сутки; и/или

(ii) от 2 до 6 часов после максимального зарегистрированного дефицита давления паров в течение дня.

9. Способ по пункту 8, в котором указанное выбранное окно опыления выбрано из следующей группы:

(i) от 2,5 до 5,5 часа с момента регистрации максимального дефицита давления паров в течение дня,

(ii) от 3 до 5 часов с момента регистрации максимального дефицита давления паров в течение дня,

(iii) от 3,5 до 4,5 часа с момента регистрации максимального дефицита давления паров в течение дня.

10. Способ усиления и/или максимизации по меньшей мере одной желательной характеристики крупяной культуры, включающий намеренное опыление указанной культуры в течение выбранного окна опыления таким образом, чтобы время в середине процесса намеренного опыления составляло

(i) время, попадающее в выбранное окно опыления, которое было определено и/или выбрано способом по любому из пунктов 1, 2 или 3, и при котором по меньшей мере одним из параметров является дефицит давления паров, и, при необходимости, при этом предыдущее показание отслеживаемого дефицита давления паров, снятое в течение суточного периода отслеживания, является максимальным дефицитом давления паров за день; и/или

(ii) от 2 до 6 часов с момента регистрации максимального дефицита давления паров в течение дня.

11. Способ по пункту 10, в котором время в середине процесса намеренного опыления выбирают из следующей группы:

(i) от 2,5 до 5,5 часа с момента регистрации максимального дефицита давления паров в течение дня,

(ii) от 3 до 5 часов с момента регистрации максимального дефицита давления паров в течение дня,

(iii) от 3,5 до 4,5 часа с момента регистрации максимального дефицита давления паров в течение дня.

12. Способ максимизации по меньшей мере одной желаемой характеристики крупяной культуры, включающий намеренное опыление указанной культуры в течение выбранного окна опыления, которое составляет от 2 до 6 часов с момента регистрации минимальной относительной влажности дня.

13. Способ по пункту 8, в котором выбранное окно опыления выбрано из следующей группы:

(iv) от 2,5 до 5,5 часа с момента регистрации минимальной относительной влажности дня,

(v) от 3 до 5 часов с момента регистрации минимальной относительной влажности дня,

(vi) через 3,5-4,5 часа с момента регистрации минимальной относительной влажности дня.

14. Способ максимизации по меньшей мере одной желательной характеристики крупяной культуры, включающий намеренное опыление указанной культуры в течение выбранного окна опыления, так что время в середине процесса намеренного опыления составляет от 2 до 6 часов с момента регистрации минимальной относительной влажности дня.

15. Способ по пункту 10, в котором время в середине процесса намеренного опыления выбирают из следующей группы:

(iv) от 2,5 до 5,5 часа с момента регистрации минимальной относительной влажности дня,

(v) от 3 до 5 часов с момента регистрации минимальной относительной влажности дня,

(vi) через 3,5-4,5 часа с момента регистрации минимальной относительной влажности в течение дня.

16. Способ определения готовности крупяной культуры к намеренному опылению в течение выбранного временнóго окна, при этом стадия выбора и/или определения готовности этой культуры к намеренному опылению включает:

(i) отслеживание одного или более параметров в течение ежедневного периода отслеживания, составляющего несколько часов (например, не менее 2, 3, 4, 5, 6, 7, 8, 9, 10, 11 или более часов), обычно при этом указанный ежедневный период отслеживания включает часы с полудня (12:00) до 23:59 той же даты, при этом указанный параметр - это температура, которой подвергается указанная культура, и, при необходимости, при этом стадия отслеживания одного или более параметров включает отслеживание одного или более параметров на протяжении ежедневного периода отслеживания в течение нескольких дней, и

(ii) выбор и/или определение готовности указанной культуры к намеренному опылению в течение выбранного окна опыления, если определено, что указанная культура находится в одном из следующих периодов времени:

а. время, попадающее в выбранное окно опыления, которое было определено и/или выбрано способом по любому из пунктов 1, 2 или 3, и при этом одним из параметров является температура, и, необязательно, при этом предыдущее показание отслеживаемой температуры, снятое в течение периода ежедневного отслеживания, является максимальной измеренной температурой дня,

b. от 2 до 6 часов с момента регистрации максимальной температуры,

c. от 2,5 до 5,5 часа с момента регистрации максимальной температуры,

d. от 3 до 5 часов с момента регистрации максимальной температуры и/или

e. от 3,5 до 4,5 часа после максимальной измеренной температуры.

17. Способ выбора и/или определения готовности крупяной культуры к намеренному опылению в течение выбранного временнóго окна, при этом стадия выбора и/или определения готовности указанной культуры к намеренному опылению включает

(iii) отслеживание одного или более параметров в течение ежедневного периода отслеживания, составляющего несколько часов (например, не менее 2, 3, 4, 5, 6, 7, 8, 9, 10, 11 или более часов), обычно при этом указанный ежедневный период отслеживания включает часы от полудня (12:00) до 23:59 той же даты, при этом одним из указанных параметров является дефицит давления паров, которому подвергается указанная культура, при необходимости при этом стадия отслеживания одного или более параметров включает отслеживание на протяжении ежедневного периода отслеживания в течение нескольких дней, и

(iv) выбор и/или определение готовности указанной культуры к намеренному опылению в течение указанного временнóго окна, если определено, что указанная культура находится в одном из следующих периодов времени:

а. время, попадающее в выбранное окно опыления, которое было определено и/или выбрано способом по любому из пунктов 1, 2 или 3, и при котором упомянутый по меньшей мере один из параметров - это дефицит давления паров, и, при необходимости, в котором предыдущее показание отслеживаемого дефицита давления паров, снятое в течение ежедневного периода отслеживания, является максимальным измеренным дефицитом давления паров за день,

b. от 2 до 6 часов с момента регистрации максимального дефицита давления паров,

c. от 2,5 до 5,5 часа с момента регистрации максимального дефицита давления паров,

d. от 3 до 5 часов с момента регистрации максимального дефицита давления паров и/или

e. от 3,5 до 4,5 часа с момента регистрации максимального дефицита давления паров.

18. Способ определения готовности крупяной культуры к намеренному опылению в течение выбранного временнóго окна, при этом стадия определения готовности указанной культуры к намеренному опылению включает

(v) отслеживание одного или более параметров с 12:00 до 23:59, при этом указанные параметры включают относительную влажность, которой подвергается указанная культура, и

(vi) определение готовности указанной культуры к намеренному опылению в течение выбранного временнóго окна, если указанная культура представлена для намеренного опыления в один из следующих периодов времени:

a. от 2 до 6 часов с момента регистрации минимальной относительной влажности,

b. от 2,5 до 5,5 часа с момента регистрации минимальной относительной влажности,

c. от 3 до 5 часов с момента регистрации минимальной относительной влажности и/или

d. от 3,5 до 4,5 часа с момента регистрации минимальной относительной влажности.

19. Способ по любому предыдущему подпункту, дополнительно включающий стадия намеренного высвобождения пыльцы один или несколько раз в течение выбранного окна опыления.

20. Способ по пункту 19, в котором стадия намеренного высвобождения пыльцы включает высвобождение пыльцы вблизи указанной культуры.

21. Способ по пункту 19, в котором указанная пыльца, которую намеренно высвобождают, выбирают из группы, состоящей из свежей пыльцы, консервированной пыльцы и их комбинаций.

22. Способ по пункту 19, отличающийся тем, что пыльца, которую намеренно высвобождают, представляет собой консервированную пыльцу, собранную по меньшей мере из одного из следующих источников: поле, ростовая камера, теплица, парник, теневой домик, арочная теплица, вертикальная фермерская установка, гидропонная установка.

23. Способ по пункту 19, отличающийся тем, что пыльца, которую намеренно высвобождают, представляет собой консервированную пыльцу, предварительно собранную и сохраненную путем охлаждения, выхолаживания, криоконсервации, замораживания, сушки вымораживанием, хранения с добавками, повышающими долговечность пыльцы, или хранения в жидком азоте.

24. Способ по пункту 19, в котором указанная намеренно выпущенная пыльца, собрана по меньшей мере из одного из следующих источников:

i. источник с измененным циркадным ритмом,

ii. источник с нормальным циркадным цветением, но в котором развитие мужских компонентов назначенных запатентованных женских растений задержано.

25. Способ по пункту 19, в котором указанная намеренно высвобожденная пыльца получена из одного растительного источника.

26. Способ по пункту 19, в котором указанная намеренно высвобожденная пыльца получена из нескольких источников и объединена перед нанесением.

27. Способ по любому из предшествующих пунктов, при этом, при необходимости, способ не является способом выращивания растений, например, способ включает выращивание намеренно опыляемой культуры для получения семян, и при этом семена используются или предназначены для использования в качестве зерна, например, семян для использования в пищевых продуктах для человека, корме для животных, при производстве этанола, масел или при любом другом использовании семян, при котором семена не предназначены для посадки, и при которых семена обычно уничтожаются или лишаются жизнеспособности.

28. Способ по любому из предшествующих пунктов, включающий выращивание намеренно опыленной культуры для получения семян, а также использование указанных семян для производства пищи для потребления человеком, корма для животных, топлива, включая, помимо прочего, этанол, биомассу, и/или другие пищевые продукты.

29. Способ по любому из предшествующих пунктов, в котором указанное выбранное окно опыления начинают с полудня (12:00) до 23:59 той же даты.

30. Способ по любому из предшествующих пунктов, при котором намеренное высвобождение пыльцы начинают с полудня (12:00) до 23:59 той же даты.

31. Способ по любому из предшествующих пунктов, отличающийся тем, что указанное выбранное окно опыления имеет место, когда влажность составляет не менее 75%.

32. Способ по любому из предыдущих пунктов, отличающийся тем, что указанное выбранное окно опыления имеет место при влажности от 75% до 90%.

33. Способ по любому из предыдущих пунктов, в котором указанное выбранное окно опыления имеет место в день, когда по хотя бы часть растений восприимчива к пыльце, например, когда растения - это популяция крупяной культуры, и при этом по меньшей мере 10%, 20%, 30%, 40%, 50%, 60%, 70%, 80%, 90%, 95% или более, например, практически 100% растений в популяции восприимчивы к пыльце.

34. Способ по пункту 28, отличающийся тем, что указанная культура чувствительна к пыльце.

35. Способ по любому из предшествующих пунктов, отличающийся тем, что максимизирует и/или улучшает завязывание семян, урожайность и/или содержание масел, крахмала, белка и/или других питательных компонентов.

36. Способ по любому из предшествующих пунктов, отличающийся тем, что его применяют на популяции растений - крупяных культур.

37. Способ по любому из предшествующих пунктов, в котором опыление осуществляют между 16:00 и 18:00.

38. Способ по любому из предшествующих пунктов, отличающийся тем, что способ не включает стадии намеренного высвобождения пыльцы.

39. Способ по любому из предшествующих пунктов, отличающийся тем, что не является по существу биологическим процессом получения растений.

40. Способ по любому из предшествующих пунктов, не включающий:

(i) стадии отбора любого одного или более потомков, полученных в результате опыления растений,

(ii) производства семян культурой в результате указанного опыления,

(iii) проращивания одного или более таких семян для получения одного или более потомков,

(iv) выбора сорта растения,

(v) создания сорта растений и/или

(vi) сбора любых семян, произведенных культурой.

41. Способ по любому из предшествующих пунктов, в котором указанное выбранное окно опыления определяют и/или выбирают способом, который является автоматизированным способом и/или компьютерно-реализованным способом.

42. Устройство для выбора и определения выбранного окна опыления крупяной культуры, при этом устройство содержит один или более процессоров и запоминающее устройство, которое содержит код компьютерной программы, выполненной с возможностью заставить процессор:

a. отслеживать изменения одного или более параметров в течение ежедневного периода отслеживания продолжительностью несколько часов (например, не менее 2, 3, 4, 5, 6, 7, 8, 9, 10, 11 или более часов), как правило при этом указанный ежедневный период отслеживания включает часы с полудня (12:00) до 23:59 той же даты, и при этом отслеживаемые изменения при необходимости включают отслеживаемые изменения одного или более параметров на протяжении ежедневного периода отслеживания в течение нескольких дней, при этом указанные один или несколько параметров включают хотя бы один из следующих параметров: температура, и/или дефицит давления паров, и/или относительная влажность; и

b. определять и/или выбирать временнóе окно для намеренного опыления указанной культуры, при этом выбранное окно опыления начинается по достижении по меньшей мере одного из следующих состояний:

(i) температура ниже, чем предыдущее показание отслеживаемой температуры, снятое в период ежедневного отслеживания в течение не менее тридцати минут, при этом предыдущее показание отслеживаемой температуры, снятое в течение периода ежедневного отслеживания, является максимальной температурой дня; и/или

(ii) дефицит давления паров ниже, чем предыдущее значение отслеживаемого дефицита давления паров, снятое в период ежедневного отслеживания в течение не менее тридцати минут, при этом при необходимости предыдущее значение отслеживаемого дефицита давления паров, снятое в течение периода ежедневного отслеживания, является максимальным значением дефицита давления паров в течение дня; и/или

(iii) относительная влажность выше, чем предыдущее показание отслеживаемой относительной влажности, снятое в период ежедневного отслеживания в течение не менее тридцати минут при этом, при необходимости, предыдущее значение отслеживаемой относительной влажности, полученное в период ежедневного отслеживания - это минимальная относительная влажность воздуха в течение дня.

43. Устройство для выбора временнóго окна опыления крупяной культуры, при необходимости способом по пункту 38, содержащее один или более процессоров и запоминающее устройство, которое хранит код компьютерной программы, выполненной с возможностью заставить процессор

(i) отслеживать изменения одного или более параметров примерно с полудня (12:00) до 23:59 той же даты, на протяжении одного или более дней, при этом указанные параметры включают по меньшей мере один из следующих: температура, и/или дефицит давления паров, и/или относительная влажность; и

(ii) определять и/или выбирать временнóе окно для намеренного опыления указанной культуры, при этом выбранное окно опыления начинается по достижении по меньшей мере одного из следующих состояний:

а. температура ниже ранее отслеженной температуры в течение не менее тридцати минут;

b. дефицит давления паров ниже ранее отслеженного дефицита давления паров в течение не менее тридцати минут;

c. относительная влажность выше ранее отслеженной относительной влажности в течение не менее тридцати минут.

44. Устройство по любому из пунктов 42 или 43, выбранное как хотя бы одно из следующего: собственный компьютер, удаленный сервер, сотовый телефон.

45. Устройство по любому из пунктов 42-44, в котором отслеживание изменений одного или нескольких параметров включает получение одного или нескольких параметров от аппаратного обеспечения для дистанционной регистрации данных, при этом аппаратное обеспечение для удаленной регистрации данных при необходимости находится на место выращивания крупяной культуры.

46. Устройство по любому из пунктов 42-44, в котором отслеживание изменений одного или более параметров включает получение одного или более параметров от пользовательского устройства ввода.

47. Устройство по пункту 46, отличающееся тем, что пользовательское устройство ввода находится на удалении от него.

48. Устройство по пункту 46, отличающееся тем, что пользовательское устройство ввода связано с ним через компьютерную сеть.

49. Устройство по любому из пунктов 42-48, дополнительно содержащее термометр для отслеживания температуры культуры и/или температуры воздуха вокруг культуры.

50. Устройство по любому из пунктов 42-49, дополнительно содержащее по меньшей мере одно средство для измерения дефицита давления паров.

51. Устройство по пункту 45, в котором указанное по меньшей мере одно средство измерения дефицита давления паров выполнено с возможностью отслеживания дефицита давления паров на указанной культуре.

52. Устройство по любому из пунктов 42-51, дополнительно содержащее по меньшей мере одно средство для измерения относительной влажности.

53. Устройство по подпункту 52, отличающееся тем, что указанное по меньшей мере одно средство измерения относительной влажности выполнено с возможностью отслеживания дефицита давления паров вокруг указанной культуры.

54. Устройство по любому из пунктов 42-53, дополнительно выполненное с возможностью предоставлять, например, через компьютерную сеть, выбранное окно опыления удаленному пользователю для помощи пользователю в определении времени для выполнения стадии намеренного высвобождения пыльцы и/или для выполнения стадии намеренного опыления культуры.

55. Устройство по любому из пунктов 42-54, дополнительно содержащее устройство вывода для обеспечения индикации выбранного окна опыления пользователю для помощи пользователю в определении времени для выполнения стадии намеренного высвобождения пыльцы, и/или для выполнения стадии намеренного опыления культуры.

56. Устройство по пункту 55, в котором устройство вывода может быть, например, устройством отображения, устройством вывода звука или устройством для обеспечения тактильной обратной связи.

57. Устройство по любому из пунктов 42-55, дополнительно выполненное с возможностью активации оборудования для опыления крупяных культур на основе выбранного окна опыления.

58. Компьютерный программный код для выбора временно́го окна опыления крупяной культуры, выполненный с возможностью заставлять процессор

а. отслеживать изменения одного или более параметров в течение ежедневного периода отслеживания на протяжении нескольких часов (например, не менее 2, 3, 4, 5, 6, 7, 8, 9, 10, 11 или более часов), как правило, при этом ежедневный период отслеживания включает часы с полудня (12:00) до 23:59 той же даты, и при этом отслеживаемые изменения при необходимости включают отслеживаемые изменения одного или более параметров на протяжении ежедневного периода отслеживания в течение нескольких дней, при этом указанные параметры включают по меньшей мере один из следующих параметров: температура, и/или дефицит давления паров, и/или относительная влажность; и

b. определять и/или выбирать временнóе окно для намеренного опыления указанной культуры, при этом выбранное окно опыления начинается по достижении по меньшей мере одного из следующих состояний:

(i) температура ниже, чем предыдущее показание отслеживаемой температуры, снятое в период ежедневного отслеживания в течение не менее тридцати минут, при этом предыдущее показание отслеживаемой температуры, полученное в период ежедневного отслеживания, является максимальной температурой дня; и/или

(ii) дефицит давления паров ниже, чем предыдущее значение отслеживаемого дефицита давления паров, снятое в период ежедневного отслеживания в течение не менее тридцати минут при этом, при необходимости, предыдущее значение отслеживаемого дефицита давления паров, снятое в период ежедневного отслеживания, является максимальным значением дефицита давления паров за сутки; и/или

(iii) относительная влажность выше, чем предыдущее показание отслеживаемой относительной влажности, полученное в период ежедневного отслеживания в течение по меньшей мере тридцати минут, при этом, при необходимости, предыдущее показание отслеживаемой относительной влажности, снятое в период ежедневного отслеживания, является минимальной относительной влажностью в течение дня.

59. Компьютерный программный код, при необходимости по пункту 58, для выбора и/или определения временнóго окна опыления крупяной культуры, выполненный с возможностью заставлять процессор

(i) отслеживать изменения одного или более параметров с полудня (12:00) до 23:59 той же даты на протяжении одного или более дней, при этом указанные параметры включают по меньшей мере один из следующих: температура, и/или дефицит давления паров, и/или относительная влажность; и

(ii) определять и/или выбирать временнóе окно для намеренного опыления указанной культуры, при этом выбранное окно опыления начинается по достижении по меньшей мере одного из следующих состояний:

а. температура ниже ранее отслеженной температуры в течение не менее тридцати минут;

d. дефицит давления паров ниже ранее отслеженного дефицита давления паров в течение не менее тридцати минут;

b. относительная влажность выше ранее отслеженной относительной влажности в течение не менее тридцати минут.

60. Устройство для определения окна опыления для крупяной культуры, содержащее один или более процессоров и запоминающее устройство, которое хранит код компьютерной программы, выполненный с возможностью заставлять процессор

(i) отслеживать изменения одного или более параметров во времени, при этом указанные параметры включают температуру, и/или дефицит давления паров, и/или относительную влажность, воздействию которых подвергается крупяная культура,

(ii) определять окно опыления крупяной культуры на основе упомянутого одного или более параметров.

61. Устройство по пункту 60, в котором окно опыления выбрано из тех, которые предусмотрены в пунктах 1, 10-25, 28 и/или 33.

62. Любой из предшествующих пунктов, при этом котором культура выбрана из следующей группы: кукуруза, пшеница, рис, сорго, ячмень, овес, просо.

63. Любой из предшествующих пунктов, при этом измерение указанных параметров состоит в одном или более измерениях и/или в регистрации указанных параметров.

64. Способ по любому из предшествующих пунктов, в котором отслеживание является непрерывным или с измерением через интервалы, например, каждые 1 секунду, 5 секунд, 10 секунд, 15 секунд, 20 секунд, 25 секунд, 30 секунд, 35 секунд., 40 секунд, 45 секунд, 50 секунд, 55 секунд, 60 секунд, 75 секунд, 90 секунд, 105 секунд, 2 минуты, 3 минуты, 4 минуты, 5 минут, 6 минут, 7 минут, 8 минут, 9 минут, 10 минут, 11 минут, 12 минут, 13 минут, 14 минут, 15 минут, 20 минут, 25 минут, 30 минут, 45 минут или 60 минут.

Хотя различные репрезентативные варианты осуществления изобретения были описаны выше с определенной степенью конкретности, специалисты, не отступая от сущности или объема предмета изобретения, изложенного в описании и формуле изобретения, могут внести многочисленные изменения в раскрытые варианты. В некоторых случаях в способах, прямо или косвенно изложенных в данном документе, различные стадии и операции описываются в одном возможном порядке операций, но специалистам понятно, что некоторые стадии и операции могут быть переупорядочены, заменены или устранены без отхода от сущности и объема изобретения. Предполагается, что все материалы, содержащиеся в приведенном выше описании или показанные на прилагаемых чертежах, должны интерпретироваться только как иллюстративные, а не ограничивающие. Без отхода от сущности изобретения, определенной в прилагаемой формуле изобретения, могут быть сделаны изменения в деталях или структуре.

Хотя изобретение было описано со ссылками на варианты осуществления, описанные выше, для специалистов очевидны различные альтернативы, модификации, вариации, усовершенствования и/или существенные эквиваленты, как известные, так и ожидаемые в настоящее время. Перечисление стадий способа в определенном порядке не накладывает никаких ограничений на порядок этих стадий. Соответственно, варианты осуществления изобретения, изложенные выше, предназначены для иллюстрации, а не для ограничения. Специалистам понятно, что без отклонения от сущности и объема изобретения могут быть внесены изменения в форму и детали. Следовательно, изобретение предназначено для охвата всех известных или ранее разработанных альтернатив, модификаций, вариаций, улучшений и/или существенных эквивалентов. Кроме того, если специально не указано иное, ссылка на временной диапазон, окно и/или период предполагает «приблизительно» или «примерно», например плюс-минус 1, 2, 3, 4, 5, 10, 15, 20, 25 или 30 минут.

Перевод надписей на чертежах

На фиг.1

Total Kernels per Ear → Всего зерен на початок

Pure 24 hrs → Чистая 24-часовая пыльца

Pure 48 hrs → Чистая 48-часовая пыльца

PP 72 hrs → Смешанная с лактозой 72-часовая пыльца

Negative Control → Отрицательный контроль

Time of Pollen Application → Время нанесения пыльцы

29-May → 29 мая

30-May → 30 мая

На фиг.2

Normalized Kernel Count → Нормализованное количество зерен

Experiment → Эксперимент

Hours Since Midnight → Часов после полуночи

На фиг.3

Normalized Kernel Count → Нормализованное количество зерен

Experiment → Эксперимент

Relative Humidity at Time of Pollination (%) →Относительная влажность во время опыления (%)

На фиг.4

Normalized Kernel Count → Нормализованное количество зерен

Experiment → Эксперимент

Temperature at Time of Pollination (°C) → Температура во время опыления (°C)

На фиг.5

Normalized Kernel Count → Нормализованное количество зерен

Experiment → Эксперимент

Hours Since Maximum Temperature of the Day →Часов с момента максимальной температуры дня

На фиг.6

Normalized Kernel Count → Нормализованное количество зерен

Experiment → Эксперимент

VPD at Time of Pollination → ДДП во время опыления

Похожие патенты RU2835212C1

название год авторы номер документа
СПОСОБ ПОЛЕВОЙ ПОДГОТОВКИ И СОХРАНЕНИЯ ПЫЛЬЦЫ 2017
  • Коуп Джейсон
  • Кроун Тодд
  • Синглтери Джордж
  • Эттер Сара Кэтрин
RU2743791C2
ПРОИЗВОДСТВО ЗЕРНОВОЙ ПРОДУКЦИИ 2016
  • Коуп, Джейсон
  • Кроун, Тодд
  • Синглтери, Джордж
RU2815108C2
СПОСОБ ОБЕСПЕЧЕНИЯ СОХРАННОСТИ ПЫЛЬЦЫ 2018
  • Эттер, Сара, Кэтрин
  • Валверде, Федерико
  • Коуп, Джейсон
  • Кроун, Тодд
RU2799580C2
СПОСОБ ПРОИЗВОДСТВА СЕМЯН 2016
  • Кроун Тодд
RU2827571C2
СПОСОБ ОПРЕДЕЛЕНИЯ ВЫНОСЛИВОСТИ К ЗАСУХЕ У МАИСА 2016
  • Мюриньё Ален
  • Анрио Фабьенн
  • Персонн Мануэль
  • Рено Морган
  • Деллюк Каролин
  • Дебёф Ролан
  • Бояр Хлоэ
RU2726776C2
Способ возделывания кукурузы на зерно 1987
  • Добрачев Юрий Павлович
  • Демченко Николай Петрович
  • Головатый Валентин Григорьевич
  • Чехов Анатолий Васильевич
SU1554818A1
СПОСОБ УДАЛЕННОГО МОНИТОРИНГА И КОНТРОЛЯ ОПЫЛЕНИЯ СЕЛЬСКОХОЗЯЙСТВЕННЫХ КУЛЬТУР ВБЛИЗИ УЛЬЕВ С ПРИМЕНЕНИЕМ ИНТЕРНЕТА ВЕЩЕЙ (IoT) И СИСТЕМА ДЛЯ ЕГО ОСУЩЕСТВЛЕНИЯ 2021
  • Денисов Максим Анатольевич
  • Карпов Алексей Николаевич
RU2783299C1
СПОСОБ ОПРЕДЕЛЕНИЯ ОПТИМАЛЬНЫХ УСЛОВИЙ ДЛЯ РОСТА КУЛЬТУР В УСЛОВИЯХ ИСКУССТВЕННОГО КЛИМАТА В ШКАФУ С РЕГУЛИРУЕМЫМ МИКРОКЛИМАТОМ 2023
  • Романова Анжела Александровна
  • Романова Полина Евгеньевна
RU2827480C1
ТРАНСГЕННОЕ СОБЫТИЕ MON 87427 МАИСА И ОТНОСИТЕЛЬНАЯ ШКАЛА РАЗВИТИЯ 2010
  • Фэн Пол К.К.
  • Фонсека Агустин Э.
  • Гарнаат Карл У.
  • Эредиа Оскар
  • Хуан Цзиньтай
  • Келли Ребекка А.
  • Ци Юлинь
  • Стекер Мартин А.
RU2623176C2
ПРОСЛЕЖИВАЕМОСТЬ СЕМЯН ТРАНСГЕННЫХ РАСТЕНИЙ ПРИ ПРЕДВАРИТЕЛЬНОЙ И ПОСЛЕДУЮЩЕЙ ОБРАБОТКЕ 2005
  • Орвар Бьёрн Ларус
RU2397250C2

Иллюстрации к изобретению RU 2 835 212 C1

Реферат патента 2025 года Способ и система для определения временного окна для опыления зерновых культур

Изобретение относится к сельскому хозяйству. Способ намеренного опыления крупяной культуры включает: (i) отслеживание изменений одного или более параметров в период времени с 12:00 до 23:59 на протяжении одного или нескольких дней, при этом упомянутые один или более параметров выбирают из группы, состоящей из: температуры, дефицита давления пара, относительной влажности, и (ii) намеренное опыление указанной культуры собранной и сохраненной пыльцой, при этом указанное опыление начинают по достижении по меньшей мере одного из следующих периодов времени: а. когда температура составляет от 7°C до 38°C и ниже ранее отслеженной температуры в тот же день в течение по меньшей мере тридцати минут, b. когда дефицит давления пара составляет от 0,1 кПа до 1,5 кПа и ниже ранее отслеженного дефицита давления пара в тот же день в течение по меньшей мере тридцати минут, c. когда относительная влажность составляет от 75% до 98% и выше ранее отслеженной относительной влажности в тот же день в течение по меньшей мере тридцати минут. Изобретение позволяет повысить эффективность, повысить урожайность, улучшить содержание масел, крахмала, белка как у гибридов семенных культур, так и у самоопыляемых и сиб-опыляемых крупяных культур.13 з.п. ф-лы, 6 ил., 1 табл., 2 пр.

Формула изобретения RU 2 835 212 C1

1. Способ намеренного опыления крупяной культуры, включающий:

(i) отслеживание изменений одного или более параметров в период времени с 12:00 до 23:59 на протяжении одного или нескольких дней, при этом упомянутые один или более параметров выбирают из группы, состоящей из: температуры, дефицита давления пара, относительной влажности, и

(ii) намеренное опыление указанной культуры собранной и сохраненной пыльцой, при этом указанное опыление начинают по достижении по меньшей мере одного из следующих периодов времени:

а. когда температура составляет от 7°C до 38°C и ниже ранее отслеженной температуры в тот же день в течение по меньшей мере тридцати минут,

b. когда дефицит давления пара составляет от 0,1 кПа до 1,5 кПа и ниже ранее отслеженного дефицита давления пара в тот же день в течение по меньшей мере тридцати минут,

c. когда относительная влажность составляет от 75% до 98% и выше ранее отслеженной относительной влажности в тот же день в течение по меньшей мере тридцати минут.

2. Способ по п. 1, в котором указанное намеренное опыление начинают по достижении по меньшей мере одного из следующих периодов времени:

(i) когда температура составляет от 7°C до 38°C и ниже ранее отслеженной температуры в тот же день в течение периода времени, варьирующего в пределах от по меньшей мере 45 минут до по меньшей мере 90 минут,

(ii) когда дефицит давления пара составляет от 0,1 кПа до 1,5 кПа и ниже ранее отслеженного дефицита давления пара в тот же день в течение периода времени, варьирующего в пределах от по меньшей мере 45 минут до по меньшей мере 90 минут, и

(iii) когда относительная влажность от 75% до 98% и выше ранее отслеженной относительной влажности в тот же день в течение периода времени, варьирующего в пределах от по меньшей 45 минут до по меньшей мере 90 минут.

3. Способ по п. 1, в котором указанное намеренное опыление проводят во время, выбранное из группы, состоящей из:

(i) времени, когда температура была ниже ранее отслеженной температуры в течение по меньшей мере тридцати минут, и до 23:59 в тот же день,

(ii) времени, когда дефицит давления пара был ниже ранее отслеженного дефицита давления пара в течение по меньшей мере тридцати минут, и до 23:59 в тот же день,

(iii) времени, когда относительная влажность была выше ранее отслеженной относительной влажности в течение по меньшей мере тридцати минут, и до 23:59 в тот же день.

4. Способ по п. 1, в котором пыльца выбрана из группы, состоящей из свежесобранной и сохраненной пыльцы, предварительно собранной и консервированной пыльцы и их комбинаций.

5. Способ по п. 1, в котором указанная пыльца была предварительно собрана с одного или более из следующего: поле, ростовая камера, теплица, арочная теплица, пергола, парник, установка для вертикального фермерства, гидропонная установка.

6. Способ по п. 4, в котором пыльца представляет собой консервированную пыльцу, которая была сохранена путем охлаждения, выхолаживания, криоконсервации, замораживания, сушки вымораживанием, хранения с добавками, повышающими долговечность пыльцы, или хранения в жидком азоте.

7. Способ по п. 4, в котором пыльца была собрана с одного или более из следующего:

(i) источник с измененным циркадным ритмом,

(ii) источник с нормальным циркадным цветением, но в котором развитие мужских компонентов женских родительских растений задержано.

8. Способ по п. 4, в котором указанную пыльцу получают из источника, представляющего собой одиночное растение.

9. Способ по п. 4, в котором указанную пыльцу получают из нескольких источников и объединяют перед применением.

10. Способ по п. 4, в котором опыление производят с 16:00 до 18:00.

11. Способ по п. 1, в котором культуру выбирают из группы, состоящей из кукурузы, пшеницы, риса, сорго, ячменя, овса и проса.

12. Способ по п. 1, в котором указанное отслеживание осуществляют непрерывно или через интервалы, варьирующие в пределах от каждую 1 секунду до каждые 60 минут.

13. Способ по п. 1, в котором намеренное опыление выполняют в течение времени от 2 до 6 часов с момента регистрации максимальной температуры дня.

14. Способ по п. 13, в котором время намеренного опыления выбирают из группы, состоящей из:

(i) от 2,5 до 5,5 часов с момента регистрации максимальной температуры дня,

(ii) три-пять часов с момента регистрации максимальной температуры дня, и/или

(iii) от 3,5 до 4,5 часа с момента регистрации максимальной температуры дня.

Документы, цитированные в отчете о поиске Патент 2025 года RU2835212C1

US 20160374280 A1, 29.12.2016
WO 2016196616 A1, 08.12.2016
CL 2008001181 A1, 23.10.2009.

RU 2 835 212 C1

Авторы

Валверде, Федерико

Трекер, Элизабет Энн

Лауэр, Майкл Дж.

Джи, Марк

Синглтери, Джордж

Кроун, Тодд

Коуп, Джейсон

Крамер, Чейс

Стефани, Энтони

Даты

2025-02-24Публикация

2020-08-28Подача