Изобретение относится к области медицины, фармакологии и химико-фармацевтической промышленности, а именно, к новому усовершенствованному способу получения и очистки 2-[1-этилсульфонил-3-[4-(7H-пирроло[2,3-d]пиримидин-4-ил)пиразол-1-ил]азетидин-3-ил]ацетонитрила (соединение формулы (I)), а также способам получения промежуточных продуктов синтеза, предназначенных для применения в способе получения соединения формулы (I).
УРОВЕНЬ ТЕХНИКИ
Аутоиммунными заболеваниями страдают 8-10% населения земного шара. Часто молодые люди, дети, подвержены различным нарушениям со стороны иммунной системы. Аутоиммунные заболевания связаны с нарушением функционирования иммунной системы человека, которая начинает воспринимать собственные ткани как чужеродные и повреждать их. Нарушения возникают по различным причинам, в том числе, в значительной степени из-за неблагоприятной среды, агрессивности компонентов, входящих в состав продуктов питания, воздуха, воды. К аутоиммунным заболеваниям относятся: ревматоидный артрит, системная красная волчанка, склеродермия, рассеянный склероз, атопический дерматит, алопеция и т.д.
Самым известным аутоиммунным заболеванием является ревматоидный артрит. Ревматоидный артрит относится к хроническим воспалительным заболеваниям, связанным в первую очередь с поражением суставов, приводящим к необратимым изменениям, выраженным в деградации хрящей, костной ткани и в последствии ослаблении мышц, связок и сухожилий. В основе развития такого заболевания лежит аутоиммунное воспаление, характеризующееся атакой иммунной системы на клетки собственного организма. Помимо суставов при ревматоидном артрите в ходе заболевания часто происходит поражение внутренних органов - кровеносных сосудов, нервной системы, почек, сердца, легких. Своевременная диагностика и лечение ревматоидного артрита позволяют избегать необратимых последствий осложнений. Однако данной болезни требует системного подхода, основанного на комбинировании поддерживающей терапии (отказ от курения, баланс отдыха и физических нагрузок, лечебная физическая культура, здоровый сон, диета, анальгетики), препаратов, сдерживающих прогрессирование болезни, и при необходимости нестероидных противовоспалительных препаратов.
Этиология ревматоидного артрита сложна из-за мультифакторности [Скогорева Н.В., Макеева А.В. Патофизиологическая характеристика ревматоидного артрита: этиология, патогенез и принципы лечения. - 2015]. Причинами заболевания могут служить как генетическая предрасположенность, так и воздействие внешней среды, вредных привычек, инфекций, стресс и чрезмерная физическая нагрузка. На данный момент неизвестно, каким образом инфекция приводит к хроническому воспалению суставов. Возможно, ревматоидный артрит развивается в результате длительной персистенции возбудителя в суставах или накопления продуктов его жизнедеятельности в синовиальной оболочке. Не исключено, что при повреждении тканей сустава под действием инфекции появляются новые антигены, на которые развивается иммунный ответ, то есть процесс развивается по типу аутоиммунного воспаления. Кроме того, в основе ревматоидного артрита может лежать молекулярная мимикрия (сходство между чужеродными и собственными антигенами), в результате которой при иммунном ответе на антигены возбудителя вырабатываются антитела к аутоантигенам суставов.
Главными целями лечения ревматоидного артрита являются подавление симптомов артрита и внесуставных проявлений, предотвращение костной деструкции и деформации суставов, сохранение качества жизни и достижение ремиссии заболевания [Шостак Н. А. Ревматоидный артрит: современные подходы к лечению //Клиницист. - 2007. - №. 1. - С. 4-12].
В основе лечения ревматоидного артрита лежит сочетание симптоматической и базисной терапии. Препараты базисной терапии применяются в ревматологии уже более 30 лет [Насонов E.Л. Применение ингибиторов фактора некроза опухоли при ревматоидном артрите: место этанерцепта // Научно-практическая ревматология. - 2008. - № 5. - С. 1-20]. К базисной терапии относят противоопухолевые и цитостатические препараты: Метотрексат, Лефлуномид, Сульфасалазин, Кризанол, Тауредон, Плаквенил. Современные методики базисного лечения также предполагают применение биологических препаратов, таких как Инфликсимаб, Ритуксимаб, Абатацепт, Анакинра. Симптоматические препараты включают глюкокортикоиды и нестероидные препараты противовоспалительного действия, направленные на снижение боли и увеличение степени подвижности суставов. Среди нестероидных препаратов противовоспалительного действия выделяют Целекоксиб, Диклофенак, Лорноксикам, Мовалис, Аркоксиа, Нимесулид, Ибупрофен, среди глюкокортикоидов Дексаметазон, Триамцинолон, Преднизолон, Бетаметазон.
Воздействие на молекулярные механизмы аутоиммунного воспаления позволяет более эффективно бороться с симптомами ревматоидного артрита и добиваться стойкой ремиссии при своевременной терапии. Примером современного подхода к терапии является применение 2-[1-этилсульфонил-3-[4-(7h-пирроло[2,3-d]пиримидин-4-ил)пиразол-1-ил]азетидин-3-ил]ацетонитрила (соединение формулы (I)), действие которого заключается в ингибировании сигнальных путей цитокинов с помощью обратимого ингибирования ферментов, известных как янус-киназа (Janus kinases - JAKs), конкретно JAK1 и JAK2. JAK киназы являются важными факторами роста и межклеточными частями путей передачи сигналов цитокинов. Киназы JAK фосфорилируют и активируют преобразователи сигналов и активаторы транскрипции (STAT), которые перемещаются в ядро и индуцируют транскрипцию эффекторных генов [Leonard W. J., O'Shea J. J. Jaks and STATs: biological implications //Annual review of immunology. - 1998. - Т. 16. - С. 293; McInnes I. B. et al. Comparison of baricitinib, upadacitinib, and tofacitinib mediated regulation of cytokine signaling in human leukocyte subpopulations //Arthritis research & therapy. - 2019. - Т. 21. - №. 1. - С. 1-10]. Семейство JAK принадлежит к нерецепторным цитоплазматическим протеинтирозинкиназам (PTK), включая четыре типа: JAK1, JAK2, JAK3 и TYK2 (тирозинкиназа 2) [McInnes I. B. et al. Comparison of baricitinib, upadacitinib, and tofacitinib mediated regulation of cytokine signaling in human leukocyte subpopulations //Arthritis research & therapy. - 2019. - Т. 21. - №. 1. - С. 1-10]. JAK1 привлек значительное внимание после того, как был определен как многообещающая мишень для препаратов против ревматоидного артрита. Кроме того, другие воспаления тесно связаны с передачей сигналов JAK/STAT [Gao H. et al. Study on the binding mode of a pyrrolotriazin derivative with JAK2 by docking and MD simulation //Molecular Simulation. - 2019. - Т. 45. - №. 3. - С. 230-238].
Соединение формулы (I)
Эффективность 2-[1-этилсульфонил-3-[4-(7h-пирроло[2,3-d]пиримидин-4-ил)пиразол-1-ил]азетидин-3-ил]ацетонитрила (соединения формулы (I)) была подтверждена на мышиных моделях коллагенового ревматоидного артрита и других аутоиммунных заболеваний, таких как, например, атопический дерматит и алопеция [Fridman J. S. et al. Selective inhibition of JAK1 and JAK2 is efficacious in rodent models of arthritis: preclinical characterization of INCB028050 //The Journal of Immunology. - 2010. - Т. 184. - №. 9. - С. 5298-5307; Hoy S. M. Baricitinib: a review in moderate to severe atopic dermatitis //American journal of clinical dermatology. - 2022. - Т. 23. - №. 3. - С. 409-420; Kwon O. et al. Efficacy and safety of baricitinib in patients with severe alopecia areata over 52 weeks of continuous therapy in two phase III trials (BRAVE-AA1 and BRAVE-AA2) //American Journal of Clinical Dermatology. - 2023. - Т. 24. - № 3. - С. 443-451].
Помимо применения в лечении аутоиммунных заболеваний 2-[1-этилсульфонил-3-[4-(7h-пирроло[2,3-d]пиримидин-4-ил)пиразол-1-ил]азетидин-3-ил]ацетонитрил (соединение формулы (I)) имеет и другие профили применения. Недавно 2-[1-этилсульфонил-3-[4-(7h-пирроло[2,3-d]пиримидин-4-ил)пиразол-1-ил]азетидин-3-ил]ацетонитрил стал первым иммуномодулирующим препаратом для лечения COVID-19, получившим одобрение Управления по санитарному надзору за качеством пищевых продуктов и медикаментов [Rubin R. Baricitinib is first approved COVID-19 immunomodulatory treatment //JAMA. - 2022. - Т. 327. - № 23. - С. 2281-2281].
При разработке лекарственных средств важно, чтобы вещество, которое является активным агентом, было доступным и соответствовало требованиям качества. Наиболее оптимальный способ увеличения доступности и контроля качества активного агента - это разработка уникального синтетического протокола. Синтез активного агента позволяет регулировать такие свойства субстанции, как форму активного агента, например, кристаллическую, аморфную или их соотношения; химическую чистоту, в частности, количество родственных примесей или реагентов, используемых в ходе химических превращений, стереоизомерную чистоту активного агента и интермедиатов. К тому же устойчивое развитие современных подходов к синтезу новых активных агентов позволяет внедрять в производства экологические, ресурсоэффективные, атомэкономные инновационные технологии, которые способствуют экономическому развитию и минимизации ущерба окружающей среде.
Химическая чистота реагентов и интермедиатов также имеет большое значение в производстве субстанций. Известно, что степень чистоты субстанций потенциально влияет на их безопасность и эффективность, как в медицине, так и в ветеринарии. Повышение химической чистоты субстанции обеспечивает улучшение ее исходных биологических свойств и снижение возможных побочных действий, связанных с наличием примесей.
Разработка новых подходов к синтезу активного агента открывает возможности улучшения профиля физико-химических и технологических характеристик фармацевтического продукта. Это расширяет спектр активных агентов, которые специалист по разработке препаратов имеет в своем распоряжении при разработке нового лекарственного средства с повышенным профилем безопасности. Также устойчивое развитие современных подходов к синтезу активных агентов позволяет внедрять в производства экологические, ресурсоэффективные, атомэкономные инновационные технологии, которые способствуют экономическому развитию и минимизации ущерба окружающей среде.
Таким образом, в настоящее время имеется постоянная потребность в разработке новых улучшенных способов синтеза и очистки различных биологически активных соединений, в том числе, иммунодепрессантов.
В связи с указом Президента РФ от 7 мая 2018 г. № 204 «О национальных целях и стратегических задачах развития Российской Федерации на период до 2024 года» в рамках программы по импортозамещению «Фарма-2030» авторами настоящего изобретения были приложены усилия по созданию инновационного способа получения и очистки соединения 2-[1-этилсульфонил-3-[4-(7h-пирроло[2,3-d]пиримидин-4-ил)пиразол-1-ил]азетидин-3-ил]ацетонитрила (соединение формулы (I)).
На данный момент в уровне техники известны несколько стратегий синтеза 2-[1-этилсульфонил-3-[4-(7h-пирроло[2,3-d]пиримидин-4-ил)пиразол-1-ил]азетидин-3-ил]ацетонитрила (соединение формулы (I)). Один из способов, раскрытый в источнике [IN201941040504, схема 1], предполагает удаление защитной группы соединения формулы 1 в кислых условиях с образованием соединения формулы 2, которое при промотировании DIPEA взаимодействует с этансульфонилхлоридом с образованием соединения формулы 3. Соединение формулы 3 в реакции с соединением формулы (III)’ под действием ДБУ образует промежуточное соединение формулы (II)’, которое в ходе двухстадийного процесса под действием кислоты Льюиса (хлорида алюминия) в дихлорметане, затем под действием аммиака в воде или смеси вода/метанол 1/2 преобразуется в целевой 2-[1-этилсульфонил-3-[4-(7h-пирроло[2,3-d]пиримидин-4-ил)пиразол-1-ил]азетидин-3-ил]ацетонитрил (соединение формулы (I)).
Схема 1
где DIPEA - диизопропилэтиламин;
ДБУ - 1,8-диазабицикло[5.4.0]ундец-7-ен.
Другая стратегия синтеза 2-[1-этилсульфонил-3-[4-(7h-пирроло[2,3-d]пиримидин-4-ил)пиразол-1-ил]азетидин-3-ил]ацетонитрила (соединения формулы (I)) раскрыта в источнике [WO2017109524, схема 2], в котором синтез предполагает взаимодействие соединения формулы 1 и соединения формулы (III)’’ при промотировании ДБУ с получением соединения формулы 4, которое в результате взаимодействия с этансульнилхлоридом преобразуется в соединение формулы (II)’’. Удаление аминозащитной группы соединения (II)’’ в условиях щелочного гидролиза в указанном источнике информации позволяет получить целевой продукт 2-[1-этилсульфонил-3-[4-(7h-пирроло[2,3-d]пиримидин-4-ил)пиразол-1-ил]азетидин-3-ил]ацетонитрила (соединение формулы (I)).
Схема 2
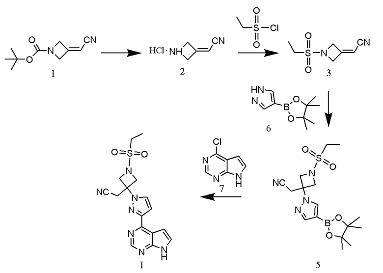
Другой способ получения 2-[1-этилсульфонил-3-[4-(7h-пирроло[2,3-d]пиримидин-4-ил)пиразол-1-ил]азетидин-3-ил]ацетонитрила (соединения формулы (I)) раскрыт в источнике [WO2016125080, схема 3]. На схеме ниже представлена описанная в указанном источнике информации схема синтеза, которая включает реакцию взаимодействия соединения формулы 1 с цеолитом в кислых условиях с получением интермедиата (соединения формулы 2), сульфонамидирование которого этансульфонилхлоридом приводит к получению интермедиата (соединения формулы 3). Далее при взаимодействии интермедиатов, соединения формулы 3 и соединения формулы 6, в присутствие основания образуется соединение формулы 5, которое при взаимодействии с интермедиатом (соединением формулы 7) под действием основания образует целевой продукт 2-[1-этилсульфонил-3-[4-(7h-пирроло[2,3-d]пиримидин-4-ил)пиразол-1-ил]азетидин-3-ил]ацетонитрил (соединения формулы (I)).
Схема 3
Еще один синтетический подход к получению 2-[1-этилсульфонил-3-[4-(7h-пирроло[2,3-d]пиримидин-4-ил)пиразол-1-ил]азетидин-3-ил]ацетонитрила (соединения формулы (I)) был раскрыт в источнике [CN113480546, схема 4], который предполагает взаимодействие пирролопиримидина (соединение формулы 8) с 1-(этилсульфонил)-3-гидразинил-3-азетидинацетонилрилом (соединение формулы 9) и (хлорметилиден)диметиламмоний хлоридом с последующим удалением аминозащитной группы.
Схема 4
SEM - 2-(триметилсилил)этоксиметил;
POM - пивалоилоксиметил;
Ts - пара-толуолсульфонил;
Ac - ацетил;
Boc - трет-бутилоксикарбонил.
Один из способов получения соединения формулы (I), раскрытый в источнике [WO2009114512], предполагает взаимодействие замещенного по аминогруппе пиррола 4-(1H-пиразол-4-ил)-7H-пирроло[2,3-d]пиримидина и 2-[1-(этилсульфонил)-3-азетидинилиден]ацетонитрила в условиях реакции присоединения по Михаэлю с образованием замещенного по аминогруппе пиррола предшественника соединения формулы (I) с последующим удалением защитной группы пиррольного кольца. Альтернативно способ получения соединения формулы (I) по указанному источнику информации предполагает взаимодействие замещенного по аминогруппе пиррола 4-(1H-пиразол-4-ил)-7H-пирроло[2,3-d]пиримидина и замещенного по аминогруппе 2-(3-азетидинилиден)ацетонитрила с образованием замещенного по аминогруппе азетидина 3-[4-(7H-пирроло[2,3-d]пиримидин-4-ил)-1H-пиразол-1-ил]-3-азетидинацетонитрила, с последующим удалением защитной группы азетидина которого образуется замещенный по пиррольному кольцу 3-[4-(7H-пирроло[2,3-d]пиримидин-4-ил)-1H-пиразол-1-ил]-3-азетидинацетонитрил, при взаимодействии которого с этилсульфонилхлоридом с последующим удалением аминозащитной группы пиррольного кольца приводит к получению соединения формулы (I).
Источники [EP3771715, EP3771716] предполагают четырехстадийный процесс получения соединения формулы (I). Первая стадия подразумевает введение триметилсилилэтоксиметильной группы в 4-хлор-7H-пирроло[2,3-d]пиримидин под действием гидрида натрия в диметилацетамиде. Вторая стадия подразумевает взаимодействие полученного интермедиата с 1-(1-этоксиэтил)-4-(4,4,5,5-тетраметил-1,3,2-диоксаборолан-2-ил)-1H-пиразолом с образованием 4-[1-(1-этоксиэтил)-1H-пиразол-4-ил]-7-[[2-(триметилсилил)этокси]метил]-7H-пирроло[2,3-d]пиримидина. Третья стадия подразумевает удаление заместителя пиразольного цикла полученного интермедиата под действием хлороводородной кислоты в ацетонитриле. Четвертая стадия подразумевает взаимодействие 4-(1H-пиразол-4-ил)-7-[[2-(триметилсилил)этокси]метил]-7H-пирроло[2,3-d]пиримидина с [1-(этилсульфонил)азетидин-3-ил-илиден]ацетонитрилом под действием ДБУ в ацетонитриле с получением соединения формулы (I).
В источнике [CN115181103] синтез соединения формулы (I) предполагает взаимодействие аналогичный изложенному в [EP3771715, EP3771716] подход, однако в качестве аминозащитной группы пиррольного цикла используют пивалоилоксиметильную группу, которую удаляют на последней стадии синтеза. В источнике [WO2015166434] также охарактеризована финальная стадия синтеза соединения формулы (I) - удаление пивалоилоксикарбонильной аминозащитной группы.
В источнике [WO2021053690] раскрыт способ получения соединения формулы (I), включающий взаимодействие трет-бутил-3-(цианометилен)азетидин-1-карбоксилата с 4-(4,4,5,5-тетраметил-1,3,2-диоксаборолан-2-ил)-1H-пиразолом или (1H-пиразол-4-ил)борной кислотой в основных условиях с получением интермедиата, который при взаимодействии с 4-хлор-7H-пирроло[2,3-d]пиримидином образует трет-бутил-3-(4-(7H-пирроло[2,3-d]пиримидин-4-ил)-1H-пиразол-1-ил)-3-(цианометил)азетидин-1-карбоксилат. Последний после удаления бутилоксикарбонильной группы в кислых условиях под действием хлороводородной кислоты образует интермедиат, который при взаимодействии с этилсульфонилхлоридом образует соединение формулы (I)).
В статье [Xu J. et al. An efficient synthesis of baricitinib //Journal of Chemical Research. - 2016. - Т. 40. - №. 4. - С. 205-208] освещен пятистадийный способ получения соединения формулы (I). Первая стадия предполагает взаимодействие трет-бутил-3-оксоазетидин-1-карбоксилат с диэтилцианометилфосфонатом под действием гидрида натрия в тетрагидрофуране с получением трет-бутил-3-(цианометилен)азетидин-1-карбоксилата; вторая стадия предполагает взаимодействие полученного трет-бутил-3-(цианометилен)азетидин-1-карбоксилата с трифторуксусной кислотой в дихлорметане; третья стадия предполагает взаимодействие полученного трет-бутил-3-(цианометилен)азетидин-1-карбоксилата с этилсульфонилхлоридом под действием диизопропилэтиламина в ацетонитриле с получением 2-[1-(этилсульфонил)азетидин-3-илиден]ацетонитрила; четвертая стадия предполагает взаимодействие полученного 2-[1-(этилсульфонил)азетидин-3-илиден]ацетонитрила с 4-(4,4,5,5-тетраметил-1,3,2-диоксаборолан-2-ил)-1H-пиразолом под действием 1,8-диазабицикло[5.4.0]ундец-7-ена в 2-пропаноле с получением 2-{1-(этилсульфонил)-3-[4-(4,4,5,5-тетраметил-1,3,2-диоксаборолан-2-ил)-1H-пиразол-1-ил]азетидин-3-ил}ацетонитрила; пятая стадия предполагает взаимодействие полученного 2-{1-(этилсульфонил)-3-[4-(4,4,5,5-тетраметил-1,3,2-диоксаборолан-2-ил)-1H-пиразол-1-ил]азетидин-3-ил}ацетонитрила с 4-хлор-7-H-пирроло[2,3-d]пиримидином под действием тетракис(трифенилфосфин)палладия, фторида цезия в смеси трет-бутанола, толуола, воды.
В уровне техники также широко известны различные методы очистки 2-[1-этилсульфонил-3-[4-(7h-пирроло[2,3-d]пиримидин-4-ил)пиразол-1-ил]азетидин-3-ил]ацетонитрила, например, метод перекристаллизации и хроматографический метод, при этом указанные методы обладают рядом недостатков. Так, для осуществления хроматографического разделения требуется большое количество растворителей, так как подлежащие отделению соединения должны находиться в очень разбавленной форме для достижения желаемого эффекта разделения. Кроме того, хроматографическое разделение не может осуществляться посредством простого аппарата в непрерывном процессе, поэтому наиболее актуально в масштабах именно лаборатории. Непрерывный процесс разделения до сих пор был связан с чрезвычайно большими затратами на аппаратуру, вследствие чего такая очистка не может осуществляться экономично. Недостатком метода перекристаллизации являются возможные потери вещества в ходе проведения процесса перекристаллизации, так как часто в реальных условиях доля растворённого вещества при охлаждении остается в растворе и не выпадает в осадок. Потери вещества при перекристаллизации могут достигать 60%.
Описанные в уровне техники способы получения и очистки 2-[1-этилсульфонил-3-[4-(7h-пирроло[2,3-d]пиримидин-4-ил)пиразол-1-ил]азетидин-3-ил]ацетонитрила (соединения формулы (I)) за счет невысоких выходов и чистоты целевого продукта требуют значительных временных и экономических затрат для их осуществления. Кроме того, использование описанных синтезов обременяется возможностью образования родственных примесей соединения формулы (I) на различных стадиях синтеза.
РАСКРЫТИЕ СУЩНОСТИ ИЗОБРЕТЕНИЯ
Задачей настоящего изобретения является разработка нового улучшенного, экологически безвредного, безопасного способа получения и очистки соединения формулы (I) с высоким выходом и чистотой целевого продукта, в котором используются легко доступные реактивы, исходные соединения и условия реакции, при помощи которых можно воспроизвести синтез в промышленном масштабе. Также задачей настоящего изобретения является обеспечение нового, усовершенствованного синтеза промежуточных продуктов (интермедиатов) в новом синтезе соединения формулы (I).
В результате исследований авторами настоящего изобретения был разработан новый улучшенный по сравнению с известными в уровне техники способ получения и очистки соединения формулы (I), включающий стадию получения новых промежуточных соединений, охарактеризованных общей формулой (IV), пригодный для промышленного производства (Фиг. 1). При этом авторами настоящего изобретения было неожиданно обнаружено, что способ получения и очистки соединения формулы (I) по настоящему изобретению позволяет получать целевой продукт с общим выходом по всем стадиям и выходом по отдельным стадиям, превышающим выход в описанных в уровне техники способах получения соединения формулы (I).
Образование примесей в синтезе 2-[1-этилсульфонил-3-[4-(7h-пирроло[2,3-d]пиримидин-4-ил)пиразол-1-ил]азетидин-3-ил]ацетонитрила (соединение формулы (I)) часто происходит на этапах, предполагающих контактирование субстрата, содержащего нитрильную группу, с кислой или основной средой реакции. Данные условия способствуют гидролизу нитрильной группы соединения общей формулы (II) и образованию примесей (в тч. соединения формулы (X)), и, как следствие, уменьшению выхода целевого продукта соединения формулы (I).
Так существует несколько подходов удаления аминозащитных групп пиррольного кольца соединения общей формулы (II) с образованием соединения формулы (I). В источнике [IN201941040504] триметилсилилэтоксиметильную группу удаляют под действием хлорида алюминия в дихлорметане с последующим взаимодействием с водным раствором аммиака; в источнике [WO2009114512] удаление пивалоилоксикарбонильной группы проводят в условиях щелочного гидролиза под действием водного раствора гидроксида натрия в смеси метанол/тетрагидрофуран, или под действием моногидрата гидроксида лития в смеси ацетонитрил/2-пропанол с последующим взаимодействием с 1М водным раствором хлороводородной кислоты (такой же методики придерживаются в [CN115181103] и [WO2015166434]); раскрыто также два подхода к удалению триметилсилилэтоксиметильной группы: первый подразумевает удаление триметилсилилэтоксиметильной группы под действием трифторуксусной кислоты в дихлорметане с последующим взаимодействием с этилендиамином в метаноле, второй взаимодействие с тетрафторборатом лития в смеси ацетонитирил/вода с последующей обработкой водным раствором аммиака (таким же образом удаляют аминозащитную группу в [EP3771715, EP3771716]); в источнике [CN115181103] пивалоилоксиметильную группу удаляют под действием 1,8-диазабицикло[5.4.0]ундец-7-ена или диизопропилэтиламина в этаноле, 2-пропаноле или метаноле.
Посредством указанных синтетических подходов получают соединение формулы (I) с низким выходом и/или чистотой целевого продукта.
Авторы в рамках настоящего изобретения неожиданно обнаружили, что выход и чистота целевого продукта соединения формулы (I), полученного посредством а) реакции снятия аминозащитной триметилсилилэтоксиметильной группы пиррольного кольца соединения формулы (II)’ посредством взаимодействия с органической фторсодержащей кислотой в смеси растворителей, представляющей собой смесь апротонного органического растворителя с водой в объемном соотношении 1,0:10,0 - 10,0:1,0 соответственно, и смеси оснований, состоящей из неорганического основания, выбранного из группы, включающей гидроксиды щелочных, щелочноземельных металлов или аммония, или их гидраты, и алкиламина при мольных соотношениях неорганического основания к алкиламину от 1,0:0,1 до 1,0:10,0; б) реакции снятия аминозащитной пивалоилоксиметильной группы пиррольного кольца соединения формулы (II)’’ посредством взаимодействия со смесью оснований, состоящей из гидроксида щелочного металла или его гидрата и алкиламина при их мольном соотношении от 10,0:1,0 до 1,0:10,0 соответственно, в смеси растворителей, представляющей собой смесь апротонного органического растворителя со спиртом в объемном соотношении апротонный органический растворитель/ спирт 1,0:10,0 - 10,0:1,0 соответственно, превышают выход и чистоту соединения формулы (I), полученного способами, описанными в уровне техники. При этом продукт гидролиза нитрильной группы интермедиата соединения общей формулы (II) - соединение формулы (X), не фиксировался в продукте соединения формулы (I), который получен способом по настоящему изобретению.
Известно, что проблематика реакции сочетания арилгалогенидов с алкенами под действием палладиевого катализатора сводится к образованию побочного продукта в результате взаимодействия фрагментов арилгалогенидов между собой. В случае способа получения соединения формулы (I) по настоящему изобретению стадия сочетания 4-бром-7-((2-(триметилсилил)этокси)метил)-7H-пирроло[2,3-d]пиримидина (соединения общей формулы (V)) и алкеновых фрагментов при неблагоприятных условиях может привести к образованию примеси- соединению общей формулы (XI).
В ходе исследований авторы настоящего изобретения смогли разработать новый способ получения промежуточных продуктов в синтезе соединения формулы (I), ранее не описанных в уровне техники, (соединения, охарактеризованные общей формулой (IV)) без образования нежелательных побочных продуктов (например, соединений общей формулы (XI)).
где R1 представляет собой аминозащитную группу, например, N-пивалоилоксиметил или триметилсилилэтоксиметил.
Неоспоримым преимуществом нового синтеза соединения формулы (I) по настоящему изобретению является также применение реакции сочетания диазометана или его производных с электрондефицитными алкеновыми фрагментами нового соединения общей формулы (IV) для формирования пиразольного цикла, особенностью которой при неблагоприятных условиях является нежелательное региоспецифичное образование интермедиата (региоизомер соединения общей формулы (III)).
При этом авторы настоящего изобретения неожиданно обнаружили, что при определенных условиях очистки соединения формулы (I) удается получить продукт без потери целевого вещества на этапе очистки (выход процесса количественный) с химической чистотой продукта более 99,9 %.
Таким образом, способ получения и очистки соединения формулы (I) по настоящему изобретению позволяет достичь высокого выхода и чистоты целевого продукта (соединения формулы (I)) и промежуточных соединений.
Ниже приведены определения терминов, которые используются в описании настоящего изобретения.
Если не указано иное, все технические и специальные термины, использованные в данном контексте, имеют общепринятое в данной области техники значение.
Термин «содержащий», «содержит», «включающий» в контексте настоящего изобретения означает, что указанные фармацевтические составы, продукты, композиции и лекарственные средства включают перечисленные компоненты, но не исключают включение других компонентов, а также указанные способы получения соединений включают перечисленные этапы синтеза, но не исключают включение других.
Используемый в тексте термины «примерно», «около» обозначает приблизительно плюс или минус десять процентов от указанной величины.
Термин «интермедиат» или «промежуточное соединение» в контексте настоящего изобретения обозначают вещество, образующееся в ходе химического синтеза, претерпевающее химические превращения, приводящие к целевому продукту.
Термин «примеси» в контексте настоящего изобретения представляет собой любой компонент в продукте синтеза, который не является целевым веществом. Примеси в продукте синтеза включают: неорганические примеси, органические примеси (в том числе остаточные растворители, используемые в синтезе соединений). В перечисленные группы также входят родственные и технологические примеси. Источником примесей могут являться используемые в синтезе исходных веществ реактивы, побочные продукты, продукты разложения или полимеризации, реагенты, лиганды, структурные или пространственные изомеры, катализаторы, остатки фильтрующих материалов, недостаточно очищенное исходное сырье, которые используются для синтеза активного агента.
Термин «химическая чистота» в контексте настоящего изобретения характеризует содержание (в %) целевого вещества в образце по отношению к общему количеству образца. Химически чистым по настоящему изобретению является вещество, химическая чистота которого составляет 99,0% или более.
Термин «региоизомеры» в контексте настоящего изобретения определяется как структурные изомеры, которые отличаются только расположением функциональных групп или любых других заместителей, имеют одинаковые тип и количества атомов.
Термин «аминозащитная группа» в контексте настоящего изобретения определяется как функциональная группа, которая вводит в синтетическую схему для замещения аминогруппы с целью осуществления ряда превращений и снятия этой группы после завершения ряда превращений. Примерами аминозащитных групп, не ограничиваясь перечисленным, являются бензилоксикарбонил (Cbz), 2,2,2-трихлорэтоксикарбонил (Troc), 2-(триметилсилил)этоксикарбонил (Teoc), 2-(4-трифторметилфенилсульфонил)этоксикарбонил (Tsc), т-бутоксикарбонил (BOC), 1-адамантилоксикарбонил (Adoc), 2-адамантилкарбонил (2-Adoc), 2,4-диметилпент-3-илоксикарбонил (Doc), циклогексилоксикарбонил (Hoc), 1,1-диметил-2,2,2-трихлорэтоксикарбонил (TcBOC), винил, 2-хлорэтил, 2-фенилсульфонилэтил, аллил, бензил, 2-нитробензил, 4-нитробензил, дифенил-4-пиридилметил, N',N'-диметилгидразинил, метоксиметил, т-бутоксиметил (Bum), бензилоксиметил (BOM), 2-тетрагидропиранил (THP), 2-(триметилсилил)этоксиметил (SEM), N-пивалоилоксиметил (POM).
Термин «стереоизомерно чистый» в контексте настоящего изобретения определяется как относительный избыток одного стереоизомера в образце над другим. Стереоизомерно чистым по настоящему изобретению является вещество (образец), имеющее стереоизомерный избыток по меньшей мере 90% вплоть до стереоизомерного избытка 100% (т.е. 100% одного стереоизомера и никакого другого), более предпочтительно, вещество, имеющее стереоизомерный избыток от 95% до 100%, более предпочтительно, имеющее стереоизомерный избыток от 99% до 100%.
Термин «цикл» или «кольцо» в контексте настоящего изобретения обозначает фрагмент молекулы, содержащий от трех и более атомов, соединенных в замкнутую цепь.
краткое описание чертежей
Настоящее изобретение дополнительно проиллюстрировано посредством Фиг. 1.
На Фиг. 1 изображена общая схема синтеза 2-[1-этилсульфонил-3-[4-(7h-пирроло[2,3-d]пиримидин-4-ил)пиразол-1-ил]азетидин-3-ил]ацетонитрила (соединение формулы (I)) по настоящему изобретению, где R1 - аминозащитная группа.
осуществление изобретения
В рамках настоящего изобретения поставленная задача решается, а заявленный технический результат достигается посредством нового соединения, выбранного из группы, включающей соединения, охарактеризованные формулой (IV)
(IV)
, где R выбран из группы, включающей -CN и -NO2, R1 представляет собой аминозащитную группу.
Одним из вариантов воплощения настоящего изобретения является соединение формулы (IV), где R1 представляет собой N-пивалоилоксиметил или 2-(триметилсилил)этоксиметил.
В рамках настоящего изобретения поставленная задача решается, а заявленный технический результат достигается посредством нового способа получения соединения формулы (I), который включает в себя следующие стадии:
а) взаимодействие соединения формулы (VII) или его соли с соединением общей формулы (VI), где Hal выбран из хлора и брома, а R1 представляет собой аминозащитную группу, в присутствии основания c получением соединения общей формулы (V), которое при взаимодействии с соединением
, где R представляет собой -CN или -NO2, в присутствии основания, например, алкиламина под действием палладиевого катализатора образует соединение общей формулы (IV)
б) взаимодействие соединения общей формулы (IV) с диазометаном или производным диазометана при добавлении смеси, состоящей из неорганического основания, выбранного из группы, включающей гидриды щелочных металлов, гидроксиды и карбонаты щелочных, щелочноземельных металлов или их гидраты, и органического основания, например, амидина, при мольных соотношениях органического основания к неорганическому основанию от 1,0:10,0 до 10,0:1,0, с образованием соединения общей формулы (III), которое при взаимодействии с 2-(1-(этилсульфонил)азетидин-3-илиден)ацетонитрилом после снятия аминозащитной группы R1 образует соединение формулы (I)
Одним из вариантов воплощения настоящего изобретения R1 представляет собой бензилоксикарбонил, 2,2,2-трихлорэтоксикарбонил, 2-(триметилсилил)этоксикарбонил, 2-(4-трифторметилфенилсульфонил)этоксикарбонил, трет-бутоксикарбонил, 1-адамантилоксикарбонил, 2-адамантилкарбонил, 2,4-диметилпент-3-илоксикарбонил, циклогексилоксикарбонил, 1,1-диметил-2,2,2-трихлорэтоксикарбонил, винил, 2-хлорэтил, 2-фенилсульфонилэтил, бензил, 2-нитробензил, 4-нитробензил, дифенил-4пиридилметил, N',N'-диметилгидразинил, метоксиметил, трет-бутоксиметил, бензилоксиметил, 2-тетрагидропиранил, N-пивалоилоксиметил или 2-(триметилсилил)этоксиметил.
Одним из вариантов воплощения настоящего изобретения является способ получения соединения формулы (I), характеризующийся тем, что взаимодействие соединения формулы (VII) или его соли с соединением общей формулы (VI) происходит в присутствии сильного основания.
Одним из вариантов воплощения настоящего изобретения является способ получения соединения формулы (I), характеризующийся тем, что взаимодействие соединения формулы (VII) или его соли с соединением общей формулы (VI) происходит в присутствии неорганического сильного основания.
Одним из вариантов воплощения настоящего изобретения является способ получения соединения формулы (I), характеризующийся тем, что взаимодействие соединения формулы (VII) или его соли с соединением общей формулы (VI) происходит в присутствии основания, которое представляет собой гидрид или гидроксид щелочного металла или его гидрат.
Одним из вариантов воплощения настоящего изобретения является способ получения соединения формулы (I), характеризующийся тем, что основание, используемое на стадии а) представляет собой органической основание.
Одним из вариантов воплощения настоящего изобретения является способ получения соединения формулы (I), характеризующийся тем, что органическое основание, используемое на стадии а) представляет собой алкиламин, 4-метиланилин, анилин, имидазол, пиридин, колидин, бензимидазол, гистидин, гуанидин, фосфазен, 1,8-диазабицикло[5.4.0]ундец-7-ен (ДБУ), 1,5-диазабицикло[4.3.0]нон-5-ен (ДБН), 1,4-диазабицикло[2.2.2]октан (ДБО), 4-(диметиламино)пиридин, 2,2,6,6-тетраметилпиперидин или 2,6-лутидин.
Одним из вариантов воплощения настоящего изобретения является способ получения соединения формулы (I), характеризующийся тем, что органическое основание, используемое на стадии б) представляет собой алкиламин, 4-метиланилин, анилин, имидазол, пиридин, колидин, бензимидазол, гистидин, гуанидин, фосфазен, 1,8-диазабицикло[5.4.0]ундец-7-ен (ДБУ), 1,5-диазабицикло[4.3.0]нон-5-ен (ДБН), 1,4-диазабицикло[2.2.2]октан (ДБО), 4-(диметиламино)пиридин, 2,2,6,6-тетраметилпиперидин, 2,6-лутидин, магнийорганическое соединение, литийорганическое соединение, калийорганическое соединение, натрийорганическое соединение, калия триметилсиланолат, лития триметилсиланолат или натрия триметилсиланолат.
Одним из вариантов воплощения настоящего изобретения является способ получения соединения формулы (I), характеризующийся тем, что алкиламин, используемый на стадиях а) и б), представляет собой метиламин, этиламин, диметиламин, диэтиламин, диизопропиламин, диизопропилэтиламин, триметиламин или триэтиламин.
Одним из вариантов воплощения настоящего изобретения является способ получения соединения формулы (I), характеризующийся тем, что палладиевый катализатор, используемый на стадии а), представляет собой тетракис(трифенилфосфин)палладия, 1,1'-бис(дифенилфосфино)фероцендихлорпалладия, тетракис(трифенилфосфин)палладий, тетракис(три(отолил)фосфин)палладий, хлорид палладия, палладий на угле или ацетат палладия.
Одним из вариантов воплощения настоящего изобретения является способ получения соединения формулы (I), характеризующийся тем, что амидин в реакции взаимодействия соединения общей формулы (IV) с диазометаном или его производным представляет собой бициклический амидин.
Одним из вариантов воплощения настоящего изобретения является способ получения соединения формулы (I), характеризующийся тем, что бициклический амидин в реакции взаимодействия соединения общей формулы (IV) с диазометаном или его производным представляет собой 1,8-диазабицикло[5.4.0]ундец-7-ен (ДБУ),1,5-диазабицикло[4.3.0]нонен-5 (ДБН) или 1,5,7-триазабицикло[4.4.0]дец-5-ен (ДБО).
Одним из вариантов воплощения настоящего изобретения является способ получения соединения формулы (I), характеризующийся тем, что в реакцию взаимодействия соединения общей формулы (IV) с диазометаном или производным диазометана добавляется смесь неорганического и органического оснований, где мольное соотношение органического основания к неорганическому основанию составляет (1,0-10,0): (1,0-10,0) соответственно.
Одним из вариантов воплощения настоящего изобретения является способ получения соединения формулы (I), характеризующийся тем, что в реакцию взаимодействия соединения общей формулы (IV) с диазометаном или производным диазометана добавляется смесь неорганического и органического оснований, где мольное соотношение органического основания к неорганическому основанию составляет от 1,0:9,5 до 10,0:1,0; от 1,0:9,0 до 10,0:1,0; от 1,0:8,5 до 10,0:1,0; от 1,0:8,0 до 10,0:1,0; от 1,0:7,5 до 10,0:1,0; от 1,0:7,0 до 10,0:1,0; от 1,0:6,5 до 10,0:1,0; от 1,0:6,0 до 10,0:1,0; от 1,0:5,5 до 10,0:1,0; от 1,0:5,0 до 10,0:1,0; от 1,0:4,5 до 10,0:1,0; от 1,0:4,0 до 10,0:1,0; от 1,0:3,5 до 10,0:1,0; от 1,0:3,0 до 10,0:1,0; от 1,0:2,5 до 10,0:1,0; от 1,0:2,0 до 10,0:1,0; от 1,0:1,5 до 10,0:1,0 или от 1,0:1,0 до 10,0:1,0.
Одним из вариантов воплощения настоящего изобретения является способ получения соединения формулы (I), характеризующийся тем, что в реакцию взаимодействия соединения общей формулы (IV) с диазометаном или производным диазометана добавляется смесь неорганического и органического оснований, где мольное соотношение органического основания к неорганическому основанию составляет от 1,0:10,0 до 9,5:1,0; от 1,0:10,0 до 9,0:1,0; от 1,0:10,0 до 8,5:1,0; от 1,0:10,0 до 8,0:1,0; от 1,0:10,0 до 7,5:1,0; от 1,0:10,0 до 7,0:1,0; от 1,0:10,0 до 6,5:1,0; от 1,0:10,0 до 6,0:1,0; от 1,0:10,0 до 5,5:1,0; от 1,0:10,0 до 5,0:1,0; от 1,0:10,0 до 4,5:1,0; от 1,0:10,0 до 4,0:1,0; от 1,0:10,0 до 3,5:1,0; от 1,0:10,0 до 3,0:1,0; от 1,0:10,0 до 2,5:1,0; от 1,0:10,0 до 2,0:1,0; от 1,0:10,0 до 1,5:1,0 или от 1,0:10,0 до 1,0:1,0.
Одним из вариантов воплощения настоящего изобретения является способ получения соединения формулы (I), характеризующийся тем, что стадии получения соединений общих формул (IV) и (V) дополнительно включают следующие стадии:
a) выделение продукта и/или
b) промывка выделенного продукта и/или;
c) сушка продукта.
Одним из вариантов воплощения настоящего изобретения является способ получения соединения формулы (I), характеризующийся тем, что стадию а) проводят методом осаждения или экстракции.
Одним из вариантов воплощения настоящего изобретения является способа получения соединения формулы (I), характеризующийся тем, что стадию b) проводят при помощи воды и/или раствора хлорида натрия.
Одним из вариантов воплощения настоящего изобретения является способа получения соединения формулы (I), характеризующийся тем, что стадии получения соединений формул (III) и (I) дополнительно включают следующие стадии:
a) выделение продукта и/или
b) промывка выделенного продукта и/или;
c) сушка продукта.
Одним из вариантов воплощения настоящего изобретения является способа получения соединения формулы (I), характеризующийся тем, что стадию а) проводят методом осаждения или экстракции.
Одним из вариантов воплощения настоящего изобретения является способа получения соединения формулы (I), характеризующийся тем, что стадия b) дополнительно включает стадию перекристаллизации.
В рамках настоящего изобретения поставленная задача решается, а заявленный технический результат достигается посредством применения соединения, охарактеризованного общей формулой (IV), по настоящему изобретению в способе получения соединения формулы (I).
В рамках настоящего изобретения поставленная задача решается, а заявленный технический результат достигается за счет нового способа получения соединения формулы (I) посредством взаимодействия соединения формулы (II)’’ со смесью оснований, состоящей из гидроксида щелочноземельного металла или его гидрата и алкиламина при их мольном соотношении от 10,0:1,0 до 1,0:10,0 соответственно, в смеси растворителей, представляющей собой смесь апротонного органического растворителя со спиртом в объемном соотношении апротонный органический растворитель/ спирт 1,0:10,0 - 10,0:1,0 соответственно
Одним из вариантов воплощения настоящего изобретения является способ получения соединения формулы (I), характеризующийся тем, что в реакции снятия защитной группы соединения формулы (II)’’ мольное соотношение гидроксида щелочноземельного металла или его гидрата к алкиламину составляет (1,0-10,0) : (1,0-10,0) соответственно.
Одним из вариантов воплощения настоящего изобретения является способ получения соединения формулы (I), характеризующийся тем, что в реакции снятия защитной группы соединения формулы (II)’’ мольное соотношение гидроксида щелочноземельного металла или его гидрата к алкиламину составляет от 10,0:1,0 до 1,0:9,5; от 10,0:1,0 до 1,0:9,0; от 10,0:1,0 до 1,0:8,5; от 10,0:1,0 до 1,0:8,0; от 10,0:1,0 до 1,0:7,5; от 10,0:1,0 до 1,0:7,0; от 10,0:1,0 до 1,0:6,5; от 10,0:1,0 до 1,0:6,0; от 10,0:1,0 до 1,0:5,5; от 10,0:1,0 до 1,0:5,0; от 10,0:1,0 до 1,0:4,5; от 10,0:1,0 до 1,0:4,0; от 10,0:1,0 до 1,0:3,5; от 10,0:1,0 до 1,0:3,0; от 10,0:1,0 до 1,0:2,5; от 10,0:1,0 до 1,0:2,0; от 10,0:1,0 до 1,0:1,5 или от 10,0:1,0 до 1,0:1,0.
Одним из вариантов воплощения настоящего изобретения является способ получения соединения формулы (I), характеризующийся тем, что в реакции снятия защитной группы соединения формулы (II)’’ мольное соотношение гидроксида щелочноземельного металла или его гидрата к алкиламину составляет от 9,5:1,0 до 1,0:10,0; от 9,0,0:1,0 до 1,0:10,0; от 8,5:1,0 до 1,0:10,0; от 8,0:1,0 до 1,0:10,0; от 7,5:1,0 до 1,0:10,0; от 7,0:1,0 до 1,0:10,0; от 7,0:1,0 до 1,0:10,0; от 6,5:1,0 до 1,0:10,0; от 6,0:1,0 до 1,0:10,0; от 5,5:1,0 до 1,0:10,0; от 5,0:1,0 до 1,0:10,0; от 4,5:1,0 до 1,0:10,0; от 4,0:1,0 до 1,0:10,0; от 3,5:1,0 до 1,0:10,0; от 3,0:1,0 до 1,0:10,0; от 2,5:1,0 до 1,0:10,0; от 2,0:1,0 до 1,0:10,0; от 1,5:1,0 до 1,0:10,0 или от 1,0:1,0 до 1,0:10,0.
Одним из вариантов воплощения настоящего изобретения является способ получения соединения формулы (I), характеризующийся тем, что в реакции снятия защитной группы соединения формулы (II)’’ объемное соотношение апротонного органического растворителя к спирту составляет (1,0-10,0) : (1,0-10,0) соответственно.
Одним из вариантов воплощения настоящего изобретения является способ получения соединения формулы (I), характеризующийся тем, что в реакции снятия защитной группы соединения формулы (II)’’ объемное соотношение апротонного органического растворителя к спирту составляет от 1,0:9,5 до 10,0:1,0; от 1,0:9,0 до 10,0:1,0; от 1,0:8,5 до 10,0:1,0; от 1,0:8,0 до 10,0:1,0; от 1,0:7,5 до 10,0:1,0; от 1,0:7,0 до 10,0:1,0; от 1,0:6,5 до 10,0:1,0; от 1,0:6,0 до 10,0:1,0; от 1,0:5,5 до 10,0:1,0; от 1,0:5,0 до 10,0:1,0; от 1,0:4,5 до 10,0:1,0; от 1,0:4,0 до 10,0:1,0; от 1,0:3,5 до 10,0:1,0; от 1,0:3,0 до 10,0:1,0; от 1,0:2,5 до 10,0:1,0; от 1,0:2,0 до 10,0:1,0; от 1,0:1,5 до 10,0:1,0 или от 1,0:1,0 до 10,0:1,0.
Одним из вариантов воплощения настоящего изобретения является способ получения соединения формулы (I), характеризующийся тем, что в реакции снятия защитной группы соединения формулы (II)’’ объемное соотношение апротонного органического растворителя к спирту составляет от 1,0:10,0 до 9,5:1,0; от 1,0:10,0 до 9,0:1,0; от 1,0:10,0 до 8,5:1,0; от 1,0:10,0 до 8,0:1,0; от 1,0:10,0 до 7,5:1,0; от 1,0:10,0 до 7,0:1,0; от 1,0:10,0 до 6,5:1,0; от 1,0:10,0 до 6,0:1,0; от 1,0:10,0 до 5,5:1,0; от 1,0:10,0 до 5,0:1,0; от 1,0:10,0 до 4,5:1,0; от 1,0:10,0 до 4,0:1,0; от 1,0:10,0 до 3,5:1,0; от 1,0:10,0 до 3,0:1,0; от 1,0:10,0 до 2,5:1,0; от 1,0:10,0 до 2,0:1,0; от 1,0:10,0 до 1,5:1,0 или от 1,0:10,0 до 1,0:1,0.
В рамках настоящего изобретения поставленная задача решается, а заявленный технический результат достигается за счет нового способа получения соединения формулы (I) посредством взаимодействия соединения формулы (II)’’ со смесью оснований, состоящей из гидроксида щелочного металла или его гидрата и алкиламина при их мольном соотношении от 10,0:1,0 до 1,0:10,0 соответственно, в смеси растворителей, представляющей собой смесь апротонного органического растворителя со спиртом в объемном соотношении апротонный органический растворитель/ спирт 1,0:10,0 - 10,0:1,0 соответственно.
В рамках настоящего изобретения поставленная задача решается, а заявленный технический результат достигается за счет нового способа получения соединения формулы (I) посредством взаимодействия соединения формулы (II)’’ с основанием, представляющим собой неорганическое основание, алкиламин или их смесь, при их мольном соотношении от 10,0:1,0 до 1,0:10,0 соответственно, в смеси растворителей, представляющей собой смесь апротонного органического растворителя со спиртом в объемном соотношении апротонный органический растворитель/ спирт 1,0:10,0 - 10,0:1,0 соответственно.
Одним из вариантов воплощения настоящего изобретения является способ получения соединения формулы (I), характеризующийся тем, что в реакции снятия защитной группы соединения формулы (II)’’ мольное соотношение неорганического основания к алкиламину составляет (1,0-10,0) : (1,0-10,0) соответственно.
Одним из вариантов воплощения настоящего изобретения является способ получения соединения формулы (I), характеризующийся тем, что в реакции снятия защитной группы соединения формулы (II)’’ мольное соотношение неорганического основания к алкиламину составляет от 10,0:1,0 до 1,0:9,5; от 10,0:1,0 до 1,0:9,0; от 10,0:1,0 до 1,0:8,5; от 10,0:1,0 до 1,0:8,0; от 10,0:1,0 до 1,0:7,5; от 10,0:1,0 до 1,0:7,0; от 10,0:1,0 до 1,0:6,5; от 10,0:1,0 до 1,0:6,0; от 10,0:1,0 до 1,0:5,5; от 10,0:1,0 до 1,0:5,0; от 10,0:1,0 до 1,0:4,5; от 10,0:1,0 до 1,0:4,0; от 10,0:1,0 до 1,0:3,5; от 10,0:1,0 до 1,0:3,0; от 10,0:1,0 до 1,0:2,5; от 10,0:1,0 до 1,0:2,0; от 10,0:1,0 до 1,0:1,5 или от 10,0:1,0 до 1,0:1,0.
Одним из вариантов воплощения настоящего изобретения является способ получения соединения формулы (I), характеризующийся тем, что в реакции снятия защитной группы соединения формулы (II)’’ мольное соотношение неорганического основания к алкиламину составляет от 9,5:1,0 до 1,0:10,0; от 9,0,0:1,0 до 1,0:10,0; от 8,5:1,0 до 1,0:10,0; от 8,0:1,0 до 1,0:10,0; от 7,5:1,0 до 1,0:10,0; от 7,0:1,0 до 1,0:10,0; от 7,0:1,0 до 1,0:10,0; от 6,5:1,0 до 1,0:10,0; от 6,0:1,0 до 1,0:10,0; от 5,5:1,0 до 1,0:10,0; от 5,0:1,0 до 1,0:10,0; от 4,5:1,0 до 1,0:10,0; от 4,0:1,0 до 1,0:10,0; от 3,5:1,0 до 1,0:10,0; от 3,0:1,0 до 1,0:10,0; от 2,5:1,0 до 1,0:10,0; от 2,0:1,0 до 1,0:10,0; от 1,5:1,0 до 1,0:10,0 или от 1,0:1,0 до 1,0:10,0.
В рамках настоящего изобретения поставленная задача решается, а заявленный технический результат достигается за счет нового способа получения соединения формулы (I) посредством взаимодействия соединения формулы (II)’’ со смесью оснований, состоящей из по меньшей мере одного неорганического основания и по меньшей мере одного алкиламина при их мольном соотношении от 10,0:1,0 до 1,0:10,0 соответственно, в смеси растворителей, представляющей собой смесь апротонного органического растворителя со спиртом в объемном соотношении апротонный органический растворитель/ спирт 1,0:10,0 - 10,0:1,0 соответственно.
Одним из вариантов воплощения настоящего изобретения является способ получения соединения формулы (I), характеризующийся тем, что в реакции снятия защитной группы соединения формулы (II)’’ мольное соотношение неорганического основания к органическому основанию составляет (1,0-10,0) : (1,0-10,0) соответственно.
Одним из вариантов воплощения настоящего изобретения является способ получения соединения формулы (I), характеризующийся тем, что в реакции снятия защитной группы соединения формулы (II)’’ мольное соотношение неорганического основания к органическому основанию составляет от 10,0:1,0 до 1,0:9,5; от 10,0:1,0 до 1,0:9,0; от 10,0:1,0 до 1,0:8,5; от 10,0:1,0 до 1,0:8,0; от 10,0:1,0 до 1,0:7,5; от 10,0:1,0 до 1,0:7,0; от 10,0:1,0 до 1,0:6,5; от 10,0:1,0 до 1,0:6,0; от 10,0:1,0 до 1,0:5,5; от 10,0:1,0 до 1,0:5,0; от 10,0:1,0 до 1,0:4,5; от 10,0:1,0 до 1,0:4,0; от 10,0:1,0 до 1,0:3,5; от 10,0:1,0 до 1,0:3,0; от 10,0:1,0 до 1,0:2,5; от 10,0:1,0 до 1,0:2,0; от 10,0:1,0 до 1,0:1,5 или от 10,0:1,0 до 1,0:1,0.
Одним из вариантов воплощения настоящего изобретения является способ получения соединения формулы (I), характеризующийся тем, что в реакции снятия защитной группы соединения формулы (II)’’ мольное соотношение неорганического основания к органическому основанию составляет от 9,5:1,0 до 1,0:10,0; от 9,0,0:1,0 до 1,0:10,0; от 8,5:1,0 до 1,0:10,0; от 8,0:1,0 до 1,0:10,0; от 7,5:1,0 до 1,0:10,0; от 7,0:1,0 до 1,0:10,0; от 7,0:1,0 до 1,0:10,0; от 6,5:1,0 до 1,0:10,0; от 6,0:1,0 до 1,0:10,0; от 5,5:1,0 до 1,0:10,0; от 5,0:1,0 до 1,0:10,0; от 4,5:1,0 до 1,0:10,0; от 4,0:1,0 до 1,0:10,0; от 3,5:1,0 до 1,0:10,0; от 3,0:1,0 до 1,0:10,0; от 2,5:1,0 до 1,0:10,0; от 2,0:1,0 до 1,0:10,0; от 1,5:1,0 до 1,0:10,0 или от 1,0:1,0 до 1,0:10,0.
Одним из вариантов воплощения настоящего изобретения является способ получения соединения формулы (I), характеризующийся тем, что в реакции снятия защитной группы соединения формулы (II)’’ неорганическое основание выбирают из группы, включающей, не ограничиваясь перечисленным, гидроксиды щелочных или щелочноземельных металлов, или их гидраты, гидриды щелочных металлов, карбонаты, гидрокарбонаты щелочных или щелочноземельных металлов и аммиак или его водный раствор.
Одним из вариантов воплощения настоящего изобретения является способ получения соединения формулы (I), характеризующийся тем, что в реакции снятия защитной группы соединения формулы (II)’’ органическое основание выбирают из группы, включающей, не ограничиваясь перечисленным, производные пиридина, алкиламин, в частности, метиламин, этиламин, диметиламин, диэтиламин, диизопропиламин, диизопропилэтиламин и триэтиламин, гетероциклические амины, в частности, имидазол, пиридин и его производные, колидин, бензимидазол, гистидин, гуанидин, фосфазен, ДБУ, ДБН, ДБО, 4-(диметиламино)пиридин, 2,2,6,6-тетраметилпиперидин, 2,6-лутидин, органические гидроксиды катионов четвертичного аммония, магнийорганические соединения, литийорганические соединения, калийорганические соединения, натрийорганические соединения, калия триметилсиланолат, лития триметилсиланолат и натрия триметилсиланолат.
Одним из вариантов воплощения настоящего изобретения является способ получения соединения формулы (I), характеризующийся тем, что в реакции снятия защитной группы соединения формулы (II)’’ гидроксид щелочного металла представляет собой гидроксид лития, гидроксид натрия, гидроксид калия или гидроксид цезия.
Одним из вариантов воплощения настоящего изобретения является способ получения соединения формулы (I), характеризующийся тем, что в реакции снятия защитной группы соединения формулы (II)’’ гидроксид щелочноземельного металла представляет собой гидроксид магния, гидроксид кальция.
Одним из вариантов воплощения настоящего изобретения является способ получения соединения формулы (I), характеризующийся тем, что в реакции снятия защитной группы соединения формулы (II)’’ алкиламин представляет собой метиламин, этиламин, диметиламин, диэтиламин, диизопропиламин, диизопропилэтиламин, бутиламин, изобутиламин или триэтиламин.
Одним из вариантов воплощения настоящего изобретения является способ получения соединения формулы (I), характеризующийся тем, что в реакции снятия защитной группы соединения формулы (II)’’ апротонный органический растворитель представляет собой ацетонитрил, N,N-диметилформамид, N,N-диметилацетамид, диметилсульфоксид, ацетон, толуол, хлороформ, дихлорметан, циклогексан, 1,2-дихлорэтан, 1,4-диоксан, этилацетат, диэтиловый эфир, гептан, гексан, изооктан, метил-трет-бутиловый эфир, метилэтилкетон, пентан, тетрагидрофуран, ксилол, N-метилпирролидон или 1,2-диметоксиэтан.
Одним из вариантов воплощения настоящего изобретения является способ получения соединения формулы (I), характеризующийся тем, что в реакции снятия защитной группы соединения формулы (II)’’ спирт представляет собой метанол, этанол, 1-пропанол, 2-пропанол, 1-бутанол, 2-бутанол, 2-метилпропанол-1 или 2-метилпропанол-2.
Одним из вариантов воплощения настоящего изобретения является способ получения соединения формулы (I), характеризующийся тем, что реакцию снятия защитной группы соединения формулы (II)’’ проводят при температуре 10,0-50,0°C с последующим охлаждением реакционной смеси до 0-10,0°C.
Одним из вариантов воплощения настоящего изобретения является способ получения соединения формулы (I), характеризующийся тем, что реакцию снятия защитной группы соединения формулы (II)’’ проводят при значении рН от 4,0 до 6,0.
Одним из вариантов воплощения настоящего изобретения является способ получения соединения формулы (I), характеризующийся тем, что реакция снятия защитной группы соединения формулы (II)’’ дополнительно включает следующие стадии:
a) выделение продукта и/или
b) промывка выделенного продукта и/или;
c) сушка продукта.
Одним из вариантов воплощения настоящего изобретения является способ получения соединения формулы (I), характеризующийся тем, что стадию b) проводят при помощи органического растворителя.
Одним из вариантов воплощения настоящего изобретения является способ получения соединения формулы (I), характеризующийся тем, что стадию b) проводят при помощи бензола, толуола, ксилола, метанола, этанола, 1-пропанола, 2-пропанола, 1-бутанола, 2-бутанола, 2-метилпропанола-1, 2-метилпропанола-2, диэтилового эфира, этилметилового эфира, диизопропилового эфира, тетрагидрофурана, 1,4-диоксана, дихлорметана, хлороформа, 1,2-дихлорэтана, муравьиной кислоты, уксусной кислоты, пропионовой кислоты, ацетона, диметилкетона, этилметилкетона, метилизобутилкетона, N,N-диметилформамида, N,N-диметилацетамида, диметилсульфоксида, диэтилсульфоксида, метил-трет-бутилового эфира или их смесей.
В рамках настоящего изобретения поставленная задача решается, а заявленный технический результат достигается посредством применения способа получения соединения формулы (I) по настоящему изобретению для получения соединения формулы (I).
В рамках настоящего изобретения поставленная задача решается, а заявленный технический результат достигается за счет способа получения соединения формулы (I) посредством взаимодействия соединения формулы (II)’ с органической фторсодержащей кислотой в смеси растворителей, представляющей собой смесь апротонного органического растворителя с водой в объемном соотношении 1,0:10,0 - 10,0:1,0 соответственно, и смеси оснований, состоящей из неорганического основания, выбранного из группы, включающей гидроксиды щелочных, щелочноземельных металлов или аммония, или их гидраты, и алкиламина при мольных соотношениях неорганического основания к алкиламину от 1,0:0,1 до 1,0:10,0.
Одним из вариантов воплощения настоящего изобретения является способ получения соединения формулы (I), характеризующийся тем, что в реакции снятия защитной группы соединения формулы (II)’ органические фторсодержащие кислоты представляют собой алифатические фторсодержащие кислоты.
Одним из вариантов воплощения настоящего изобретения является способ получения соединения формулы (I), характеризующийся тем, что в реакции снятия защитной группы соединения формулы (II)’ органические фторсодержащие кислоты выбраны из группы, включающей трифторуксусную кислоту и трифторметансульфоновую кислоту.
В рамках настоящего изобретения поставленная задача решается, а заявленный технический результат достигается за счет способа получения соединения формулы (I) посредством взаимодействия соединения формулы (II)’ с кислотой в смеси растворителей, представляющей собой смесь апротонного органического растворителя с водой в объемном соотношении 1,0:10,0 - 10,0:1,0 соответственно, и смеси оснований, состоящей из неорганического основания и органического основания при мольных соотношениях неорганического основания к органическому основанию от 1,0:0,1 до 1,0:10,0.
Одним из вариантов воплощения настоящего изобретения является способ получения соединения формулы (I), характеризующийся тем, что взаимодействие соединения формулы (II)’ происходит с кислотой, выбранной из группы органических и неорганических кислот.
Одним из вариантов воплощения настоящего изобретения является способ получения соединения формулы (I), характеризующийся тем, что взаимодействие соединения формулы (II)’ происходит с органической кислотой, выбранной из группы, включающей уксусную кислоту, п-толуолсульфоновую кислоту, метансульфоновую кислоту, органические фторсодержащие кислоты.
Одним из вариантов воплощения настоящего изобретения является способ получения соединения формулы (I), характеризующийся тем, что взаимодействие соединения формулы (II)’ происходит с неорганической кислотой, выбранной из группы, включающей хлороводородную кислоту, серную кислоту и фосфорную кислоту.
Одним из вариантов воплощения настоящего изобретения является способ получения соединения формулы (I), характеризующийся тем, что в реакции снятия защитной группы соединения формулы (II)’ органическое основание представляет собой производное пиридина, алкиламин, гетероциклический амин, в частности, имидазол, пиридин и его производные, колидин, бензимидазол, гистидин, гуанидин, фосфазен, ДБУ, ДБН, ДБО, 4-(диметиламино)пиридин, 2,2,6,6-тетраметилпиперидин, 2,6-лутидин, органические гидроксиды катионов четвертичного аммония, магнийорганические соединения, литийорганические соединения, калийорганические соединения, натрийорганические соединения, калия триметилсиланолат, лития триметилсиланолат или натрия триметилсил.
Одним из вариантов воплощения настоящего изобретения является способ получения соединения формулы (I), характеризующийся тем, что в реакции снятия защитной группы соединения формулы (II)’ неорганическое основание представляет собой гидроксид щелочного, щелочноземельного металла или аммония, или их гидрат, гидрид щелочного металла, карбонат, гидрокарбонат щелочного или щелочноземельного металла, аммиак или его водный раствор.
Одним из вариантов воплощения настоящего изобретения является способ получения соединения формулы (I), характеризующийся тем, что в реакции снятия защитной группы соединения формулы (II)’ апротонный органический растворитель представляет собой N,N-диметилформамид, N,N-диметилацетамид, диметилсульфоксид, ацетон, толуол, хлороформ, циклогексан, 1,2-дихлорэтан, 1,4-диоксан, этилацетат, диэтиловый эфир, гептан, гексан, изооктан, метил-трет-бутиловый эфир, метилэтилкетон, пентан, тетрагидрофуран, ксилол, N-метилпирролидон или 1,2-диметоксиэтан.
Одним из вариантов воплощения настоящего изобретения является способ получения соединения формулы (I), характеризующийся тем, что вода представляет собой дистиллированную или очищенную воду.
Одним из вариантов воплощения настоящего изобретения является способ получения соединения формулы (I), характеризующийся тем, что в реакции снятия защитной группы соединения формулы (II)’ гидроксид щелочного металла представляет собой гидроксид лития, гидроксид натрия, гидроксид калия или гидроксид цезия.
Одним из вариантов воплощения настоящего изобретения является способ получения соединения формулы (I), характеризующийся тем, что что в реакции снятия защитной группы соединения формулы (II)’ гидроксид щелочноземельного металла представляет собой гидроксид кальция, гидроксид бария, гидроксид магния или гидроксид стронция.
Одним из вариантов воплощения настоящего изобретения является способ получения соединения формулы (I), характеризующийся тем, что в реакции снятия защитной группы соединения формулы (II)’ алкиламин представляет собой метиламин, этиламин, диметиламин, диэтиламин, диизопропиламин, диизопропилэтиламин или триэтиламин.
Одним из вариантов воплощения настоящего изобретения является способ получения соединения формулы (I), характеризующийся тем, что реакцию снятия защитной группы соединения формулы (II)’ проводят при комнатной температуре.
Одним из вариантов воплощения настоящего изобретения является способ получения соединения формулы (I), характеризующийся тем, что в реакции снятия защитной группы соединения формулы (II)’ смесь оснований добавляют вместе с протонным растворителем.
Одним из вариантов воплощения настоящего изобретения является способ получения соединения формулы (I), характеризующийся тем, что в реакции снятия защитной группы соединения формулы (II)’ протонный растворитель представляет собой спирт.
Одним из вариантов воплощения настоящего изобретения является способ получения соединения формулы (I), характеризующийся тем, что в реакции снятия защитной группы соединения формулы (II)’ спирт представляет собой метанол, этанол, пропанол, 1-пропанол, 2-пропанол, 1-бутанол, 2-бутанол, 2-метилпропанол-1 или 2-метилпропанол-2.
Одним из вариантов воплощения настоящего изобретения является способ получения соединения формулы (I), характеризующийся тем, что в реакции снятия защитной группы соединения формулы (II)’ объемное соотношение апротонного органического растворителя к воде составляет (1,0-10,0) : (1,0-10,0) соответственно.
Одним из вариантов воплощения настоящего изобретения является способ получения соединения формулы (I), характеризующийся тем, что в реакции снятия защитной группы соединения формулы (II)’ объемное соотношение апротонного органического растворителя к воде составляет от 1,0:9,5 до 10,0:1,0; от 1,0:9,0 до 10,0:1,0; от 1,0:8,5 до 10,0:1,0; от 1,0:8,0 до 10,0:1,0; от 1,0:7,5 до 10,0:1,0; от 1,0:7,0 до 10,0:1,0; от 1,0:6,5 до 10,0:1,0; от 1,0:6,0 до 10,0:1,0; от 1,0:5,5 до 10,0:1,0; от 1,0:5,0 до 10,0:1,0; от 1,0:4,5 до 10,0:1,0; от 1,0:4,0 до 10,0:1,0; от 1,0:3,5 до 10,0:1,0; от 1,0:3,0 до 10,0:1,0; от 1,0:2,5 до 10,0:1,0; от 1,0:2,0 до 10,0:1,0; от 1,0:1,5 до 10,0:1,0 или от 1,0:1,0 до 10,0:1,0.
Одним из вариантов воплощения настоящего изобретения является способ получения соединения формулы (I), характеризующийся тем, что в реакции снятия защитной группы соединения формулы (II)’ объемное соотношение апротонного органического растворителя к воде составляет от 1,0:10,0 до 9,5:1,0; от 1,0:10,0 до 9,0:1,0; от 1,0:10,0 до 8,5:1,0; от 1,0:10,0 до 8,0:1,0; от 1,0:10,0 до 7,5:1,0; от 1,0:10,0 до 7,0:1,0; от 1,0:10,0 до 6,5:1,0; от 1,0:10,0 до 6,0:1,0; от 1,0:10,0 до 5,5:1,0; от 1,0:10,0 до 5,0:1,0; от 1,0:10,0 до 4,5:1,0; от 1,0:10,0 до 4,0:1,0; от 1,0:10,0 до 3,5:1,0; от 1,0:10,0 до 3,0:1,0; от 1,0:10,0 до 2,5:1,0; от 1,0:10,0 до 2,0:1,0; от 1,0:10,0 до 1,5:1,0 или от 1,0:10,0 до 1,0:1,0.
Одним из вариантов воплощения настоящего изобретения является способ получения соединения формулы (I), характеризующийся тем, что в реакции снятия защитной группы соединения формулы (II)’ мольное соотношение неорганического основания к органическому основанию составляет 1,0 : (0,1-10,0) соответственно.
Одним из вариантов воплощения настоящего изобретения является способ получения соединения формулы (I), характеризующийся тем, что в реакции снятия защитной группы соединения формулы (II)’ мольное соотношение неорганического основания к органическому основанию составляет от 1,0:0,1 до 1,0:9,5; от 1,0:0,1 до 1,0:9,0;
от 1,0:0,1 до 1,0:8,5; от 1,0:0,1 до 1,0:8,0; от 1,0:0,1 до 1,0:7,5; от 1,0:0,1 до 1,0:7,0; от 1,0:0,1 до 1,0:6,5; от 1,0:0,1 до 1,0:6,0; от 1,0:0,1 до 1,0:5,5; от 1,0:0,1 до 1,0:5,0; от 1,0:0,1 до 1,0:4,5; от 1,0:0,1 до 1,0:4,0; от 1,0:0,1 до 1,0:3,5; от 1,0:0,1 до 1,0:3,0; от 1,0:0,1 до 1,0:2,5; от 1,0:0,1 до 1,0:2,0; от 1,0:0,1 до 1,0:1,5; от 1,0:0,1 до 1,0:1,0 или от 1,0:0,1 до 1,0:0,5.
Одним из вариантов воплощения настоящего изобретения является способ получения соединения формулы (I), характеризующийся тем, что в реакции снятия защитной группы соединения формулы (II)’ мольное соотношение неорганического основания к алкиламину составляет 1,0 : (0,1-10,0) соответственно.
Одним из вариантов воплощения настоящего изобретения является способ получения соединения формулы (I), характеризующийся тем, что в реакции снятия защитной группы соединения формулы (II)’ мольное соотношение неорганического основания к алкиламину составляет от 1,0:0,1 до 1,0:9,5; от 1,0:0,1 до 1,0:9,0; от 1,0:0,1 до 1,0:8,5; от 1,0:0,1 до 1,0:8,0; от 1,0:0,1 до 1,0:7,5; от 1,0:0,1 до 1,0:7,0; от 1,0:0,1 до 1,0:6,5; от 1,0:0,1 до 1,0:6,0; от 1,0:0,1 до 1,0:5,5; от 1,0:0,1 до 1,0:5,0; от 1,0:0,1 до 1,0:4,5; от 1,0:0,1 до 1,0:4,0; от 1,0:0,1 до 1,0:3,5; от 1,0:0,1 до 1,0:3,0; от 1,0:0,1 до 1,0:2,5; от 1,0:0,1 до 1,0:2,0; от 1,0:0,1 до 1,0:1,5; от 1,0:0,1 до 1,0:1,0 или от 1,0:0,1 до 1,0:0,5.
Одним из вариантов воплощения настоящего изобретения является способ получения соединения формулы (I), характеризующийся тем, что по окончанию реакции снятия защитной группы соединения формулы (II)’ значение рН доводят до 5,0-8,0.
Одним из вариантов воплощения настоящего изобретения является способ получения соединения формулы (I), характеризующийся тем, что реакция снятия защитной группы соединения формулы (II)’ дополнительно включает следующие стадии:
a) выделение продукта и/или
b) промывка выделенного продукта и/или;
c) сушка продукта.
Одним из вариантов воплощения настоящего изобретения является способ получения соединения формулы (I), характеризующийся тем, что стадию а) проводят методом фильтрации.
Одним из вариантов воплощения настоящего изобретения является способ получения соединения формулы (I), характеризующийся тем, что стадию b) проводят при помощи воды и/или раствора хлорида натрия.
В рамках настоящего изобретения поставленная задача решается, а заявленный технический результат достигается за счет применение способа получения соединения формулы (I) для получения соединения формулы (I).
В рамках настоящего изобретения поставленная задача решается, а заявленный технический результат достигается за счет способа очистки соединения формулы (I), включающий перекристаллизацию соединения формулы (I) из смеси растворителей, состоящей из протонного растворителя и апротонного растворителя в объемных соотношениях 2,0:1,0-50,0:1,0 соответственно.
Одним из вариантов воплощения настоящего изобретения является способ очистки соединения формулы (I), характеризующийся тем, что протонный растворитель представляет собой воду, спирт или их смесь.
Одним из вариантов воплощения настоящего изобретения является способ очистки соединения формулы (I), характеризующийся тем, что объемное соотношение протонного растворителя к апротонному растворителю составляет (2,0-50,0) : 1,0 соответственно.
Одним из вариантов воплощения настоящего изобретения является способ очистки соединения формулы (I), характеризующийся тем, что объемное соотношение протонного растворителя к апротонному растворителю составляет от 5,0:1,0 до 50,0:1,0; от 7,0:1,0 до 50,0:1,0; от 10,0:1,0 до 50,0:1,0; от 12,0:1,0 до 50,0:1,0; от 15,0:1,0 до 50,0:1,0; от 17,0:1,0 до 50,0:1,0; от 20,0:1,0 до 50,0:1,0; от 22,0:1,0 до 50,0:1,0; от 25,0:1,0 до 50,0:1,0; от 27,0:1,0 до 50,0:1,0; от 30,0:1,0 до 50,0:1,0; от 32,0:1,0 до 50,0:1,0; от 35,0:1,0 до 50,0:1,0; от 37,0:1,0 до 50,0:1,0; от 40,0:1,0 до 50,0:1,0; от 42,0:1,0 до 50,0:1,0; от 45,0:1,0 до 50,0:1,0 или от 47,0:1,0 до 50,0:1,0.
В рамках настоящего изобретения поставленная задача решается, а заявленный технический результат достигается за счет способа очистки соединения формулы (I), включающий перекристаллизацию соединения формулы (I) из смеси растворителей, состоящей из одноатомного спирта, воды и апротонного растворителя в объемных соотношениях 2,0:1,0:1,0-50,0:25,0:1,0 соответственно.
Одним из вариантов воплощения настоящего изобретения является способ очистки соединения формулы (I), характеризующийся тем, что в смеси растворителей объемное соотношение одноатомного спирта, воды и апротонного растворителя составляет (2,0-50,0) : (1,0-25,0) : 1,0 соответственно.
Одним из вариантов воплощения настоящего изобретения является способ очистки соединения формулы (I), характеризующийся тем, что в смеси растворителей объемное соотношение одноатомного спирта, воды и апротонного растворителя составляет от 5,0:1,0:1,0 до 50,0:25,0:1,0; от 10,0:1,0:1,0 до 50,0:25,0:1,0; от 15,0:1,0:1,0 до 50,0:25,0:1,0; от 20,0:1,0:1,0 до 50,0:25,0:1,0; от 25,0:1,0:1,0 до 50,0:25,0:1,0; от 30,0:1,0:1,0 до 50,0:25,0:1,0; от 35,0:1,0:1,0 до 50,0:25,0:1,0; от 40,0:1,0:1,0 до 50,0:25,0:1,0 или от 45,0:1,0:1,0 до 50,0:25,0:1,0.
Одним из вариантов воплощения настоящего изобретения является способ очистки соединения формулы (I), характеризующийся тем, что в смеси растворителей объемное соотношение одноатомного спирта, воды и апротонного растворителя составляет от 2,0:3,0:1,0 до 50,0:25,0:1,0; от 2,0:5,0:1,0 до 50,0:25,0:1,0; от 2,0:7,0:1,0 до 50,0:25,0:1,0; от 2,0:10,0:1,0 до 50,0:25,0:1,0; от 2,0:13,0:1,0 до 50,0:25,0:1,0; от 2,0:15,0:1,0 до 50,0:25,0:1,0; от 2,0:17,0:1,0 до 50,0:25,0:1,0; от 2,0:20,0:1,0 до 50,0:25,0:1,0 или от 2,0:23,0:1,0 до 50,0:25,0:1,0.
Одним из вариантов воплощения настоящего изобретения является способ очистки соединения формулы (I), характеризующийся тем, что в смеси растворителей объемное соотношение одноатомного спирта, воды и апротонного растворителя составляет от 5,0:3,0:1,0-50,0:25,0:1,0; от 10,0:5,0:1,0-50,0:25,0:1,0; от 15,0:7,0:1,0 до 50,0:25,0:1,0; от 20,0:10,0:1,0 до 50,0:25,0:1,0; от 25,0:13,0:1,0 до 50,0:25,0:1,0; от 30,0:15,0:1,0 до 50,0:25,0:1,0; от 35,0:17,0:1,0 до 50,0:25,0:1,0; от 40,0:20,0:1,0 до 50,0:25,0:1,0 или от 45,0:23,0:1,0 до 50,0:25,0:1,0.
Одним из вариантов воплощения настоящего изобретения является способ очистки соединения формулы (I), характеризующийся тем, что перекристаллизация соединения формулы (I) проходит в присутствии сульфата или гидросульфата щелочного металла.
Одним из вариантов воплощения настоящего изобретения является способ очистки соединения формулы (I), характеризующийся тем, что одноатомный спирт выбран из группы, включающей метанол, этанол, 2-пропанол, бутанол и изобутанол.
Одним из вариантов воплощения настоящего изобретения является способ очистки соединения формулы (I), характеризующийся тем, что апротонный растворитель выбран из группы, включающей толуол, тетрагидрофуран, метиленхлорид или их смесь.
Одним из вариантов воплощения настоящего изобретения является способ очистки соединения формулы (I), характеризующийся тем, что перекристаллизация соединения формулы (I) проходит в среде со значением рН в интервале от 2,5 до 4,5.
Одним из вариантов воплощения настоящего изобретения является способ очистки соединения формулы (I), характеризующийся тем, что перекристаллизация соединения формулы (I) проходит при температуре 10,0-100,0°C с последующим охлаждением до температуры 5,0-10,0°С.
Одним из вариантов воплощения настоящего изобретения является способ очистки соединения формулы (I), характеризующийся тем, что охлаждение смеси проходит со скоростью (1-10)°С/мин.
Одним из вариантов воплощения настоящего изобретения является способ очистки соединения формулы (I), характеризующийся тем, что рН реакционной смеси после охлаждения доводят до значений от 5,0 до 8,0.
Одним из вариантов воплощения настоящего изобретения является способ очистки соединения формулы (I), характеризующийся тем, что перекристаллизация соединения формулы (I) дополнительно включает следующие стадии:
а) промывка выделенного продукта и/или;
б) сушка продукта и/или;
в) измельчение продукта.
Одним из вариантов воплощения настоящего изобретения является способ очистки соединения формулы (I), характеризующийся тем, что стадию а) проводят при помощи воды.
Одним из вариантов воплощения настоящего изобретения является способ очистки соединения формулы (I), характеризующийся тем, что стадию а) проводят при помощи дистиллированной или очищенной воды.
В рамках настоящего изобретения поставленная задача решается, а заявленный технический результат достигается за счет применение способа очистки соединения формулы (I) для периодического химического промышленного производства, полунепрерывного промышленного производства или непрерывного промышленного производства соединения формулы (I).
Подробное описание изобретения
Предложенный способ получения 2-[1-этилсульфонил-3-[4-(7h-пирроло[2,3-d]пиримидин-4-ил)пиразол-1-ил]азетидин-3-ил]ацетонитрила (соединение формулы (I)) по одному из вариантов исполнения настоящего изобретения предусматривает получение соединения формулы (I) по следующей общей схеме синтеза:
Соединение общей формулы (V) можно получить по настоящему изобретению путем взаимодействия коммерчески доступных соединений формулы (VII) или его соли и соединения формулы R1Hal (VI), где Hal выбран из хлора и брома, а R1 представляет собой аминозащитную группу, выбранную из группы, включающей, не ограничиваясь указанным, бензилоксикарбонил, 2,2,2-трихлорэтоксикарбонил, 2-(триметилсилил)этоксикарбонил, 2-(4-трифторметилфенилсульфонил)этоксикарбонил, трет-бутоксикарбонил, 1-адамантилоксикарбонил, 2-адамантилкарбонил, 2,4-диметилпент-3-илоксикарбонил, циклогексилоксикарбонил, 1,1-диметил-2,2,2-трихлорэтоксикарбонил, винил, 2-хлорэтил, 2-фенилсульфонилэтил, аллил, бензил, 2-нитробензил, 4-нитробензил, дифенил-4пиридилметил, N',N'-диметилгидразинил, метоксиметил, трет-бутоксиметил, бензилоксиметил, 2-тетрагидропиранил, N-пивалоилоксиметил, 2-(триметилсилил)этоксиметил, более предпочтительно N-пивалоилоксиметил и 2-(триметилсилил)этоксиметил (триметилсилилэтоксиметил); в подходящем органическом растворителе, в том числе апротонном, выбранном из группы, включающей, не ограничиваясь указанным, диметилформамид, N,N-диметилацетамид, N-метилпирролидон, тетрагидрофуран (ТГФ), дихлорметан, этилацетат, 1,4-диоксан, 1,2-диметоксиэтан, ацетонитрил и т.д., а также их смеси; в присутствии основания, в том числе, сильного основания, в том числе неорганического основания, например, гидридов или гидроксидов щелочных металлов или их гидратов, например, гидрида натрия, гидрида калия, гидрида лития, гидрида цезия, гидроксида натрия, гидроксида калия, гидроксида лития, гидроксида цезия, при температуре от -50,0°C о температуры кипения растворителя/смеси растворителей. После окончания реакции, не нагревая реакционную смесь выливают на лед, экстрагируют подходящим растворителем, не смешивающимся с водой, промывают экстракт водой и насыщенным раствором хлорида натрия, сушат, при необходимости фильтруют и упаривают. Продукт соединение общей формулы (V) при необходимости очищают хроматографией на силикагеле.
Соединение общей формулы (IV) можно получить по настоящему изобретению путем взаимодействия соединения общей формулы (V) с акрилонитрилом или нитроэтеном под действием палладиевого катализатора, выбранного из группы, включающей, не ограничиваясь перечисленным, тетракис(трифенилфосфин)палладия, 1,1'-бис(дифенилфосфино)фероцендихлорпалладия, тетракис(трифенилфосфин)палладия, тетракис(три(отолил)фосфин)палладия, хлорид палладия, ацетат палладия, палладий на угле; в инертной среде, в частности, в токе азота или аргона; в подходящем органическом растворителе, в частности, апротонном, выбранном из группы, включающей, не ограничиваясь указанным, диметилформамид, N,N-диметилацетамид, N-метилпирролидон, тетрагидрофуран, дихлорметан, этилацетат, 1,4-диоксан, 1,2-диметоксиэтан, ацетонитрил и т.д., а также их смеси; в присутствии основания, выбранного из группы, включающей, не ограничиваясь указанным, амины, например, алкиламины, такие как диэтиламин, триэтиламин, диметиламин, метиламин, этиламин, триметиламин, диизопропиламин и диизопропилэтиламин; 4-метиланилин, анилин, имидазол, пиридин и его производные, колидин, бензимидазол, гистидин, гуанидин, фосфазен, 1,8-диазабицикло[5.4.0]ундец-7-ен (ДБУ), 1,5-диазабицикло[4.3.0]нон-5-ен (ДБН), 1,4-диазабицикло[2.2.2]октан (ДБО), 4-(диметиламино)пиридин, 2,2,6,6-тетраметилпиперидин, 2,6-лутидин, гидроксиды катионов четвертичного аммония, при температуре от -50,0°C до температуры кипения растворителя/ смеси растворителей. По окончанию реакции реакционную смесь разбавляют подходящим растворителем, не смешивающимся с водой, и экстрагируют водой, сушат, при необходимости фильтруют и упаривают. Продукт соединения общей формулы (IV) при необходимости очищают хроматографией на силикагеле.
Соединение общей формулы (III) можно получить по настоящему изобретению путем смешивания соединения общей формулы (IV) и раствора диазометана, предварительно полученного обработкой гидроксидом калия N-нитрозо-N-метилмочевины или N-метил-N-нитрозо-п-толуолсульфонамида, или N-метил-N′-нитро-N-нитрозогуанидина в хлороформе или дихлорметане, или производного диазометана, например, тозилгидразона; в подходящем органическом растворителе, в частности апротонном, выбранном из группы, включающей, не ограничиваясь указанным, диметилформамид, N,N-диметилацетамид, N-метилпирролидон, ТГФ, дихлорметан, хлороформ, этилацетат, 1,4-диоксан, 1,2-диметоксиэтан, ацетонитрил и т.д., или их смеси; в присутствии основания в количестве 0,1 - 5,0 экв. по отношению к диазометану или его производному, выбранного из, в том числе, органического основания, выбранного из группы, включающей, не ограничиваясь указанным, пиридин, производные пиридина, алкиламин, в частности, метиламин, этиламин, диметиламин, триэтиламин, гетероциклические амины, в частности, имидазол, пиридин, колидин, бензимидазол, гистидин, гуанидин, фосфазен, бициклические амидины, например, 1,8-диазабицикло[5.4.0]ундец-7-ен (ДБУ) и 1,5-диазабицикло[4.3.0]нон-5-ен (ДБН) и 1,4-диазабицикло[2.2.2]октан (ДБО), 4-(диметиламино)пиридин, 2,2,6,6-тетраметилпиперидин, 2,6-лутидин, органические гидроксиды катионов четвертичного аммония, магнийорганические соединения, литийорганические соединения, калийорганические соединения, натрийорганические соединения, калия триметилсиланолат, лития триметилсиланолат, натрия триметилсиланолат; неорганического основания, выбранного из группы, включающей, не ограничиваясь указанным, гидроксиды щелочных или щелочноземельных металлов, гидриды щелочных металлов, карбонаты или гидрокарбонаты щелочных металлов, или их гидраты; или их смеси (в мольном соотношении органического основания к неорганическому основанию от 1,0:10,0 до 10,0:1,0), при температуре от -50,0°C до температуры кипения растворителя/смеси растворителей.
После окончания реакции реакционную смесь разбавляли подходящим растворителем, не смешивающимся с водой, экстрагировали водой, сушат, при необходимости фильтруют и упаривают. Соединение общей формулы (III) при необходимости изолируют перекристаллизацией из раствора органического растворителя, в частности, например, метилтребутилового эфира, при температуре от -50,0°C до температуры кипения растворителя. Выпавший осадок фильтруют, промывают охлажденным до 0 - 15,0°C не смешивающимся с водой растворителем, например, метилтретбутиловым эфиром, и сушат.
Соединение общей формулы (II) можно получить по настоящему изобретению путем взаимодействия соединения общей формулы (III) с 2-(1-(этилсульфонил)азетидин-3-илиден)ацетонитрилом под действием основания, выбранного из группы, включающей, не ограничиваясь перечисленным, галогенид тетраалкиламмония, гидроксид тетраалкиламмония, гуанидин, амидин, гидроксид, алкоксид, фосфат щелочного металла, третичный амин, карбонат и бикарбонат щелочного металла, кислый фосфат щелочного металла, фосфин или щелочная соль карбоновой кислоты, тетраметилгуанидин, диазабициклоундецен (ДБУ), диазабициклононен (ДБО), 1,4-диазабицикло(2,2,2)октан, гидроксид трет-бутиламмония, гидроксид щелочного и щелочноземельного металла, например, гидроксид натрия, гидроксид калия и гидроксид магния, метоксид натрия, этоксид натрия, трикалийфосфат, силикат натрия, оксид кальция, алкиламины, карбонаты и бикарбонаты щелочных и щелочноземельных металлов, например, карбонат натрия, карбонат калия, бикарбонат натрия и бикарбонат калия, кислый фосфат калия, трифенилфосфин, триэтилфосфин, ацетат калия или акрилат калия, или их смеси; в подходящем органическом растворителе, в частности, апротонном, выбранном из группы, включающей, не ограничиваясь указанным, диметилформамид, N,N-диметилацетамид, N-метилпирролидон, тетрагидрофуран (ТГФ), дихлорметан, этилацетат, 1,4-диоксан, 1,2-диметоксиэтан, ацетонитрил и т.д, или их смеси. По окончанию реакции реакционную массу разбавляют водой, фильтруют. Осадок промывают водой и сушат в вакууме. Продукт соединения общей формулы (II) при необходимости очищают хроматографией на силикагеле.
Соединение формулы (I) можно получить по настоящему изобретению путем снятия аминозащитной группы с азота пиррольного цикла в соединении общей формулы (II) с помощью реагентов выбранных из группы, включающей, не ограничиваясь указанным, реагентов, содержащих ион фтора (в частности, фторида тетрабутиламмония), соляной кислоты, п-толуолсульфоната пиридиния, кислоты Льюиса (в частности, тетрафторбората лития или трифторборат эфирата с последующей обработкой гидроксидом аммония), основания (в частности, гидроксид щелочного металла), трифторуксусной кислоты, трифторметансульфоновой кислоты; в подходящем органическом растворителе при температуре от -50,0°C до температуры кипения растворителя. По окончанию реакции полученный осадок фильтруют, промывают и сушат.
При необходимости полученный продукт (соединение формулы (I)) дополнительно очищают посредством перекристаллизации из раствора.
Предложенный способ получения 2-[1-этилсульфонил-3-[4-(7h-пирроло[2,3-d]пиримидин-4-ил)пиразол-1-ил]азетидин-3-ил]ацетонитрила (соединение формулы (I)) по одному из вариантов исполнения настоящего изобретения также предусматривает получение соединения формулы (I) по следующей схеме синтеза:
Соединение формулы (V)’ можно получить по настоящему изобретению путем взаимодействия коммерчески доступных соединений формулы (VII) или его соли и триметилсилилэтоксиметилхлорид (соединение формулы (VI)’) в подходящем органическом растворителе, в том числе апротонном, выбранном из группы, не ограничиваясь указанным, диметилформамид, N,N-диметилацетамиде, N-метилпирролидон, тетрагидрофуран (ТГФ), дихлорметан, этилацетат, 1,4-диоксан, 1,2-диметоксиэтан, ацетонитрил и т.д., а также их смесей, в присутствии сильного основания, в том числе неорганического основания, например, гидридов или гидроксидов щелочных металлов или их гидратов, например, гидрида натрия, гидрида калия, гидрида лития, гидрида цезия, гидроксида натрия, гидроксида калия, гидроксида лития, гидроксида цезия, при температуре от -50,0°C до температуры кипения растворителя/ смеси растворителей. После окончания реакции, не нагревая реакционную смесь выливают на лед, экстрагируют подходящим растворителем, не смешивающимся с водой, промывают экстракт водой и насыщенным раствором хлорида натрия, сушат, при необходимости фильтруют и упаривают. Продукт соединение формулы (V)’ при необходимости очищают хроматографией на силикагеле.
Соединение общей формулы (IV)’ можно получить по настоящему изобретению путем взаимодействия соединения формулы (V)’ с акрилонитрилом или нитроэтеном под действием палладиевого катализатора, выбранного из группы не ограничиваясь перечисленным тетракис(трифенилфосфин)палладия, 1,1'-бис(дифенилфосфино)фероцендихлорпалладия, тетракис(трифенилфосфин)палладий, тетракис(три(отолил)фосфин)палладий, хлорид палладия, ацетат палладия, палладий на угле, предпочтительно палладиевый катализатор представляет ацетат палладия; в инертной среде, в частности, не ограничиваясь указанным, в токе азота, аргона; в подходящем органическом растворителе, в частности, апротонном, выбранном из группы, не ограничиваясь указанным, диметилформамиде, N,N-диметилацетамиде, N-метилпирролидоне, ТГФ, дихлорметане, этилацетате, 1,4-диоксане, 1,2-диметоксиэтане, ацетонитриле и т.д., а также их смесей; в присутствии основания, выбранного из группы, включающей, не ограничиваясь указанным, амины, например, алкиламины, например, диэтиламин, триэтиламин, диметиламин, метиламин, этиламин, триметиламин, диизопропиламин и диизопропилэтиламин, 4-метиланилин, анилин, имидазол, пиридин и его производные, колидин, бензимидазол, гистидин, гуанидин, фосфазен, ДБУ, ДБН, 1,4-диазабицикло[2.2.2]октан, 4-(диметиламино)пиридин, 2,2,6,6-тетраметилпиперидин, 2,6-лутидин, гидроксиды катионов четвертичного аммония, при температуре от -50,0°C до температуры кипения растворителя/смеси растворителей. По окончанию реакции реакционную смесь разбавляют подходящим растворителем, не смешивающимся с водой, экстрагируют водой, сушат, при необходимости фильтруют и упаривают. Продукт соединения общей формулы (IV)’ при необходимости очищают хроматографией на силикагеле.
Соединение формулы (III)’ можно получить по настоящему изобретению путем смешивания соединения общей формулы (IV)’ и раствора диазометана, предварительно полученного обработкой гидроксидом калия N-нитрозо-N-метилмочевины или N-метил-N-нитрозо-п-толуолсульфонамида, или N-метил-N′-нитро-N-нитрозогуанидина в хлороформе или дихлорметане, или производного диазометана, в подходящем органическом растворителе, в частности, апротонном, выбранном из группы, включающей, не ограничиваясь указанным, диметилформамид, N,N-диметилацетамид, N-метилпирролидон, ТГФ, дихлорметан, хлороформ, этилацетат, 1,4-диоксан, 1,2-диметоксиэтан, ацетонитрил и т.д., в присутствии основания в количестве 0,1 - 5,0 экв. по отношению к диазометану или его производному, выбранного из органического основания, выбранного из группы, включающей, не ограничиваясь указанным, пиридин, производные пиридина, алкиламин, в частности, метиламин, этиламин, диметиламин, триэтиламин, гетероциклические амины, в частности, имидазол, пиридин, колидин, бензимидазол, гистидин, гуанидин, фосфазен, бициклические амидины, например, ДБУ и ДБН, 1,4-диазабицикло[2.2.2]октан, 4-(диметиламино)пиридин, 2,2,6,6-тетраметилпиперидин, 2,6-лутидин, органические гидроксиды катионов четвертичного аммония, магнийорганические соединения, литийорганические соединения, калийорганические соединения, натрийорганические соединения, калия триметилсиланолат, лития триметилсиланолат, натрия триметилсиланолат; неорганического основания, выбранного из группы, включающей, не ограничиваясь указанным, гидроксиды щелочных или щелочноземельных металлов, гидриды щелочных металлов, карбонаты или гидрокарбонаты щелочных металлов, или их гидраты; или их смеси (в мольном соотношении органического основания к неорганическому основанию от 1,0:10,0 до 10,0:1,0), при температуре от -50,0°C до температуры кипения растворителя/ смеси растворителей. После окончания реакции реакционную смесь экстрагируют подходящим растворителем, сушат и упаривают. Соединение формулы (III)’ при необходимости изолируют перекристаллизацией из раствора органического растворителя, в частности, метилтребутилового эфира, при температуре от -50,0°C до температуры кипения растворителя. Выпавший осадок фильтруют, промывают охлажденным до 1,0 - 15,0°C метилтретбутиловым эфиром, сушат в вакууме.
Соединение формулы (II)’ можно получить по настоящему изобретению путем взаимодействия соединения формулы (III)’ с 2-(1-(этилсульфонил)азетидин-3-илиден)ацетонитрилом под действием основания, выбранного из группы, включающей, не ограничиваясь перечисленным, галогенид тетраалкиламмония, гидроксид тетраалкиламмония, гуанидин, амидин, гидроксид, алкоксид, силикат, фосфат щелочного металла, оксид, третичный амин, карбонат щелочного металла, бикарбонат щелочного металла, кислый фосфат щелочного металла, фосфин или щелочная соль карбоновой кислоты, алкиламины, тетраметилгуанидин, диазабициклоундецен (ДБУ), диазабициклононен (ДБО), 1,4-диазабицикло(2,2,2)октан, гидроксид трет-бутиламмония, гидроксиды щелочных и щелочноземельных металлов, например, гидроксид натрия и гидроксид калия, метоксид натрия, этоксид натрия, трикалийфосфат, силикат натрия, оксид кальция, триэтиламин, карбонаты и бикарбонаты щелочных и щелочноземельных металлов, например, карбонат натрия, карбонат калия, бикарбонат натрия и бикарбонат калия, кислый фосфат калия, трифенилфосфин, триэтилфосфин, ацетат калия или акрилат калия; в подходящем органическом растворителе, в частности, апротонном, выбранном из группы, включающей, не ограничиваясь указанным, диметилформамид, N,N-диметилацетамид, N-метилпирролидон, ТГФ, дихлорметан, этилацетат, 1,4-диоксан, 1,2-диметоксиэтан, ацетонитрил и т.д, и их смеси. По окончанию реакции реакционную массу разбавляют водой и фильтруют. Осадок промывают водой, сушат в вакууме. Продукт соединения формулы (II)’ при необходимости очищают хроматографией на силикагеле.
Соединение формулы (I) можно получить по настоящему изобретению путем снятия аминозащитной группы триметилсилилэтоксиметила с азота пиррольного цикла в соединении формулы (II)’ путем, например, взаимодействия соединения формулы (II)’ и кислоты, выбранной из группы, включающей, не ограничиваясь перечисленным, хлороводородную кислоту, уксусную кислоту, серную кислоту, фосфорную кислоту, п-толуолсульфоновую кислоту и метансульфоновую кислоту, фторсодержащую кислоту, например, трифторуксусную кислоту и трифторметансульфоновую кислоту; в смеси растворителей, представляющей собой смесь апротонный органический растворитель : вода (в объемном соотношении 1,0:10,0 - 10,0:1,0 соответственно), где апротонный органический растворитель выбран из группы, включающей, не ограничиваясь указанным, ацетонитрил, N,N-диметилформамид, N,N-диметилацетамид, диметилсульфоксид, ацетон, толуол, хлороформ, дихлорметан, циклогексан, 1,2-дихлорэтан, 1,4-диоксан, этилацетат, диэтиловый эфир, гептан, гексан, изооктан, метил-трет-бутиловый эфир, метилэтилкетон, пентан, тетрагидрофуран, ксилол, N-метилпирролидон и 1,2-диметоксиэтан. Реакцию завершают при температуре от -50°С до температуры кипения растворителей добавлением протонного растворителя, предпочтительно спирта, выбранного из группы, включающей, не ограничиваясь указанным, метанол, этанол, пропанол, 1-пропанол, 2-пропанол, 1-бутанол, 2-бутанол, 2-метилпропанол-1, 2-метилпропанол-2; и смеси оснований, состоящей из неорганического основания, выбранного из группы, включающей, не ограничиваясь указанным, гидроксиды щелочных или щелочноземельных металлов или аммония, или их гидраты, гидриды щелочных металлов, карбонаты или гидрокарбонаты щелочных или щелочноземельных металлов, аммиак или его водный раствор; и органического основания, выбранного из группы, включающей, не ограничиваясь указанным, производные пиридина, алкиламины, в частности, метиламин, этиламин, диметиламин, диэтиламин, диизопропиламин, диизопропилэтиламин и триэтиламин, гетероциклические амины, в частности, имидазол, пиридин и его производные, колидин, бензимидазол, гистидин, гуанидин, фосфазен, ДБУ, ДБН, ДБО, 4-(диметиламино)пиридин, 2,2,6,6-тетраметилпиперидин, 2,6-лутидин, гидроксиды катионов четвертичного аммония, магнийорганические соединения, литийорганические соединения, калийорганические соединения, натрийорганические соединения, калия триметилсиланолат, лития триметилсиланолат, натрия триметилсиланолат, при мольных соотношениях неорганического основания к органическому от 1,0:0,1 до 1,0:10,0. По окончанию реакции реакционную смесь концентрируют на роторном испарителе. Остаток разбавляют водой, доводят pH до 5-8 (например, с помощью гидросульфата щелочного метала, карбоната или гидрокарбоната щелочного, или щелочноземельного металла, гидроксида щелочного или щелочноземельного металла). Полученный осадок фильтруют, промывают очищенной водой и сушат.
При необходимости полученный продукт (соединение формулы (I)) дополнительно очищают посредством перекристаллизации из раствора.
Предложенный способ получения 2-[1-этилсульфонил-3-[4-(7h-пирроло[2,3-d]пиримидин-4-ил)пиразол-1-ил]азетидин-3-ил]ацетонитрила (соединение формулы (I)) по одному из вариантов исполнения настоящего изобретения также предусматривает получение соединения формулы (I) по следующей схеме синтеза:
Соединение формулы (V)’’ можно получить по настоящему изобретению путем взаимодействия коммерчески доступных соединений формулы (VII) или его соли и пивалоилоксиметилхлорида (соединение формулы (VI)’’) в подходящем органическом растворителе, в том числе апротонном, выбранном из группы, не ограничиваясь указанным, диметилформамид, N,N-диметилацетамиде, N-метилпирролидон, ТГФ, дихлорметан, этилацетат, 1,4-диоксан, 1,2-диметоксиэтан, ацетонитрил и т.д., а также их смесей, в присутствии сильного основания, в том числе, в том числе неорганического основания, например, гидридов или гидроксидов щелочных металлов или их гидратов, например, гидрида натрия, гидрида калия, гидрида лития, гидрида цезия, гидроксида натрия, гидроксида калия, гидроксида лития, гидроксида цезия, при температуре от -50°С до температуры кипения растворителя/ смеси растворителей. После окончания реакции, не нагревая реакционную смесь выливают на лед, экстрагируют подходящим растворителем, не смешивающимся с водой, промывают экстракт водой и насыщенным раствором хлорида натрия, сушат, при необходимости фильтруют и упаривают. Продукт соединение формулы (V)’ при необходимости очищают хроматографией на силикагеле.
Соединение общей формулы (IV)’’ можно получить по настоящему изобретению путем взаимодействия соединения формулы (V)’’ с акрилонитрилом или нитроэтеном под действием палладиевого катализатора, выбранного из группы не ограничиваясь перечисленным тетракис(трифенилфосфин)палладия, 1,1'-бис(дифенилфосфино)фероцендихлорпалладия, тетракис(трифенилфосфин)палладий, тетракис(три(отолил)фосфин)палладий, хлорид палладия, ацетат палладия, палладий на угле, предпочтительно палладиевый катализатор представляет ацетат палладия; в инертной среде, в частности, не ограничиваясь указанным, в токе азота, аргона; в подходящем органическом растворителе, в частности, апротонном, выбранном из группы, не ограничиваясь указанным, диметилформамиде, N,N-диметилацетамиде, N-метилпирролидоне, ТГФ, дихлорметане, этилацетате, 1,4-диоксане, 1,2-диметоксиэтане, ацетонитриле и т.д., а также их смесей; в присутствии основания, выбранного из группы, включающей, не ограничиваясь указанным, амины, например, алкиламины, такие как метиламин, этиламин, диметиламин, диэтиламин, диизопропиламин, диизопропилэтиламин, триметиламин и триэтиламин, 4-метиланилин, анилин, имидазол, пиридин и его производные, колидин, бензимидазол, гистидин, гуанидин, фосфазен, ДБУ, ДБН, ДБО, 4-(диметиламино)пиридин, 2,2,6,6-тетраметилпиперидин, 2,6-лутидин, органические гидроксиды катионов четвертичного аммония, при температуре от -50,0°С до температуры кипения растворителя/ смеси растворителей. По окончанию реакции реакционную смесь разбавляют подходящим растворителем, не смешивающимся с водой, экстрагируют водой, сушат, при необходимости фильтруют и упаривают. Продукт соединения общей формулы (IV)’’ при необходимости очищают хроматографией на силикагеле.
Соединение формулы (III)’’ можно получить по настоящему изобретению путем смешивания соединения общей формулы (IV)’’ и раствора диазометана, предварительно полученного обработкой гидроксидом калия N-нитрозо-N-метилмочевины или N-метил-N-нитрозо-п-толуолсульфонамида, или N-метил-N′-нитро-N-нитрозогуанидина в хлороформе или дихлорметане, или производного диазометана, например, тозилгидразона, в подходящем органическом растворителе, в частности, апротонном, выбранном из группы, включающей, не ограничиваясь указанным, диметилформамид, N,N-диметилацетамид, N-метилпирролидон, ТГФ, дихлорметан, хлороформ, этилацетат, 1,4-диоксан, 1,2-диметоксиэтан, ацетонитрил и т.д., в присутствии основания в количестве 0,1 - 5 экв. по отношению к диазометану или его производному, выбранного из органического основания, выбранного из группы, включающей, не ограничиваясь указанным, пиридин, производные пиридина, алкиламин, в частности, метиламин, этиламин, диметиламин, диэтиламин, диизопропиламин, диизопропилэтиламин, триметиламин и триэтиламин, гетероциклические амины, в частности, имидазол, пиридин, колидин, бензимидазол, гистидин, гуанидин, фосфазен, бициклические амидины, в частности, ДБУ и ДБН, 1,4-диазабицикло[2.2.2]октан, 4-(диметиламино)пиридин, 2,2,6,6-тетраметилпиперидин, 2,6-лутидин, органические гидроксиды катионов четвертичного аммония, магнийорганические соединения, литийорганические соединения, калийорганические соединения, натрийорганические соединения, калия триметилсиланолат, лития триметилсиланолат, натрия триметилсиланолат; неорганического основания, выбранного из группы, включающей, не ограничиваясь указанным, гидроксиды щелочных или щелочноземельных металлов или их гидраты, гидриды щелочных металлов, карбонаты или гидрокарбонаты щелочных металлов или их гидраты; или их смеси (в мольном соотношении органического основания к неорганическому основанию от 1,0:10,0 до 10,0:1,0), при температуре от -50,0°С до температуры кипения растворителя/ смеси растворителей. После окончания реакции реакционную смесь разбавляют подходящим растворителем, не смешивающимся с водой, экстрагируют водой, сушат, при необходимости фильтруют и упаривают. Соединение формулы (III)’’ при необходимости изолируют перекристаллизацией из раствора органического растворителя, в частности, метилтребутилового эфира, при температуре от -50,0°С до температуры кипения растворителя. Выпавший осадок фильтруют, промывают охлажденным до 1,0 - 15,0°С метилтретбутиловым эфиром, сушат.
Соединение формулы (II)’’ можно получить по настоящему изобретению путем взаимодействия соединения формулы (III)’’ с 2-(1-(этилсульфонил)азетидин-3-илиден)ацетонитрилом под действием основания, выбранного из группы, включающей, не ограничиваясь перечисленным, галогенид тетраалкиламмония, гидроксид тетраалкиламмония, гуанидин, амидин, бициклический амидин, алкоксид, фосфат щелочного металла, третичный амин, карбонат щелочного металла, карбонаты и бикарбонаты щелочных и щелочноземельных металлов, кислый фосфат щелочного металла, фосфин или щелочная соль карбоновой кислоты, тетраметилгуанидин, ДБУ, ДБН, ДБО, гидроксид трет-бутиламмония, гидроксиды щелочных и щелочноземельных металлов, и их гидраты, например, гидроксид натрия и гидроксид калия, метоксид натрия, этоксид натрия, трикалийфосфат, силикат натрия, оксид кальция, триэтиламин, карбонат натрия, карбонат калия, бикарбонат натрия, бикарбонат калия, кислый фосфат калия, трифенилфосфин, триэтилфосфин, ацетат калия или акрилат калия, алкиламины, например, метиламин, этиламин, диметиламин, диэтиламин, диизопропиламин, диизопропилэтиламин, триметиламин и триэтиламин, предпочтительно основание представляет ДБУ, в подходящем органическом растворителе, в частности, апротонном, выбранном из группы, включающей, не ограничиваясь указанным, диметилформамид, N,N-диметилацетамид, N-метилпирролидон, ТГФ, дихлорметан, этилацетат, 1,4-диоксан, 1,2-диметоксиэтан, ацетонитрил и т.д. По окончанию реакции реакционную массу разбавляют водой и фильтруют. Осадок промывают водой, сушат в вакууме. Продукт соединения формулы (II)’’ при необходимости очищают хроматографией на силикагеле.
Соединение формулы (I) можно получить по настоящему изобретению путем снятия аминозащитной группы пивалоилоксиметила с азота пиррольного цикла в соединении формулы (II)’’ путем, например, взаимодействия при перемешивании и температуре 10,0-50,0°С соединения формулы (II)’’ и основания, представляющего собой неорганическое основание, выбранное из группы, включающей, не ограничиваясь перечисленным, гидроксиды щелочных или щелочноземельных металлов, или их гидраты, гидриды щелочных металлов, карбонаты или гидрокарбонаты щелочных или щелочноземельных металлов, аммиак или его водный раствор; органическое основание, выбранное из группы, включающей, не ограничиваясь перечисленным, производные пиридина, алкиламин, в частности, метиламин, этиламин, диметиламин, диэтиламин, диизопропиламин, диизопропилэтиламин и триэтиламин, гетероциклические амины, в частности, имидазол, пиридин и его производные, колидин, бензимидазол, гистидин, гуанидин, фосфазен, ДБУ, ДБН, ДБО, 4-(диметиламино)пиридин, 2,2,6,6-тетраметилпиперидин, 2,6-лутидин, органические гидроксиды катионов четвертичного аммония, магнийорганические соединения, литийорганические соединения, калийорганические соединения, натрийорганические соединения, калия триметилсиланолат, лития триметилсиланолат, натрия триметилсиланолат; или их смеси, при этом мольное соотношение неорганического основания к органическому составляет от 10,0:1,0 до 1,0:10,0 соответственно; в смеси растворителей, представляющей собой смесь апротонный органический растворитель : спирт (в объемном соотношении 1,0:10,0 - 10,0:1,0 соответственно), где апротонный органический растворитель выбран из группы, включающей, не ограничиваясь указанным, ацетонитрил, N,N-диметилформамид, N,N-диметилацетамид, диметилсульфоксид, ацетон, толуол, хлороформ, дихлорметан, циклогексан, 1,2-дихлорэтан, 1,4-диоксан, этилацетат, диэтиловый эфир, гептан, гексан, изооктан, метил-трет-бутиловый эфир, метилэтилкетон, пентан, тетрагидрофуран, ксилол, N-метилпирролидон и 1,2-диметоксиэтан; а спирт выбран из группы, включающей, не ограничиваясь указанным, метанол, этанол, 1-пропанол, 2-пропанол, 1-бутанол, 2-бутанол, 2-метилпропанол-1, 2-метилпропанол-2. Далее реакционную смесь охлаждают до 0-10,0°С и доводят рН до значения 4 - 6 водным раствором хлористоводородной кислоты, перемешивают 0,5 - 12,0 ч и фильтруют. Выделившийся осадок, промывают органическим растворителем, выбранным из группы, включающей, не ограничиваясь указанным, бензол, толуол, ксилол, метанол, этанол, 1-пропанол, 2-пропанол, 1-бутанол, 2-бутанол, 2-метилпропанол-1, 2-метилпропанол-2, диэтиловый эфир, этилметиловый эфир, диизопропиловый эфир, тетрагидрофуран, 1,4-диоксан, дихлорметан, хлороформ, 1,2-дихлорэтан, муравьиная кислота, уксусная кислота, пропионовая кислота, ацетон, диметилкетон, этилметилкетон, метилизобутилкетон, N,N-диметилформамид, N,N-диметилацетамид, диметилсульфоксид, диэтилсульфоксид, метил-трет-бутиловый эфир; и сушат.
При необходимости продукт (соединение формулы (I)) очищают по настоящему изобретению посредством перекристаллизации из раствора.
Перекристаллизацию соединения формулы (I) из раствора согласно способу по настоящему изобретению осуществляют путем растворения продукта (соединения формулы (I)) в смеси растворителей, включающей апротонный растворитель, выбранный из группы, включающей, не ограничиваясь указанным, толуол, тетрагидрофуран, метиленхлорид или их смеси, и протонный растворитель, выбранный из группы, включающей, не ограничиваясь указанным, воду, спирт, например, одноатомный спирт, выбранный из группы, метанол, этанол, 2-пропанол, бутанол или изобутанол, или их смеси, в объемных соотношениях протонный растворитель к апротонному растворителю 2,0:1,0-50,0:1,0 соответственно. Смесь растворителей по настоящему изобретению в частном случае его исполнения может также включать смесь, состоящую из одноатомного спирта, воды и апротонного растворителя в объемных соотношениях 2,0:1,0:1,0-50,0:25,0:1,0 соответственно, при этом массовое соотношение соединения формулы (I) к растворителю (или смеси растворителей) составляет 1,0:4,0-1,0:20,0 соответственно. Далее полученную смесь при перемешивании сначала нагревают до температуры 35,0-47,0°С, а затем до температуры кипения смеси. Перемешивание продолжают от 15,0 до 60,0 минут до получения прозрачного раствора. Далее полученную смесь фильтруют и медленно охлаждают со скоростью (1-10)°С/мин. при перемешивании до температуры 5,0-10,0°С. При необходимости в смесь добавляют сульфат или гидросульфат щелочного металла до значения pH 5-8. Полученную смесь выдерживают при установленной температуре 2,0-7,0 ч для полного осаждения соединения формулы (I), после чего полученную смесь центрифугируют. Полученный осадок соединения формулы (I) промывают водой, сушат и, при необходимости, измельчают.
Далее приводятся примеры осуществления изобретения, которые иллюстрируют изобретение, но не охватывают все возможные варианты его осуществления и не ограничивают изобретение.
Специалисту в данной области понятно, что возможны и другие частные варианты осуществления изобретения.
Примеры
Пример 1. Способ получения 2-[1-этилсульфонил-3-[4-(7h-пирроло[2,3-d]пиримидин-4-ил)пиразол-1-ил]азетидин-3-ил]ацетонитрила (соединения формулы (I)).
Все реакции проводили в растворителях, очищенных по стандартным методикам. Для проведения реакций использовали лабораторное оборудование.
Для взвешивания компонентов использовали весы электронные «VIBRA» (предел взвешивания 220 г, Min 0.01 g; e = 0.001 g; d = 0.0001 g).
Приготовление растворов осуществляли в стеклянных емкостях, колбах и стаканах. Перемешивание и проведение химических реакций в малых объемах осуществляли на магнитной мешалке LLG с регулируемой скоростью вращения и нагревом рабочей поверхности или механической мешалкой.
Для отгонки растворителей использовали роторный испаритель RE100-Pro с контроллером вакуума VC100 и вакуумным насосом C410.
Для создания вакуума использовали насос вакуумный мембранный MZ 2D NT (Vacuubrand), производительность 10 м3/ч, предельное остаточное давление 50 мм рт. ст., мощность электродвигателя 370 Вт.
Измерение pH растворов проводили с помощью pH метра Metler Toledo FiveEasy с электродом Mettler Toledo LE438.
LCMS анализ проводили с помощью системы LCMS для анализа многокомпонентных органических смесей ВЭЖХ Shimadzu Analytical 10Avp, масс-спектрометр PE SCIEX API 165, колонки Synergi 2um Hydro-RP 100A MercuryMS, 20x2.0 мм, Waters XBridge C18 3.5 um, 4.6x100mm, Agilent eclipse XDB-C18 5 мкм 150*4.3 мм.
ЯМР-спектры регистрировались при 25°С на приборах Varian Mercury Plus (400 МГц) с использованием дейтеродиметилсульфоксида (DMSO-d6), CDCl3, D2O при 50°С. Внутренний стандарт в спектрах соответствует остаточным сигналам растворителей. Отнесение сигналов проводилось с использованием методик двумерной корреляционной спектроскопии COSY, HSQC.
В частном случае исполнения настоящего изобретения, 2-[1-этилсульфонил-3-[4-(7h-пирроло[2,3-d]пиримидин-4-ил)пиразол-1-ил]азетидин-3-ил]ацетонитрил (соединение формулы (I)) получали следующим способом:
Схема синтеза 1:
ДМАА - диметилацетамид;
ДБУ -диазабициклоундецен;
ТГФ - тетрагидрофуран.
В круглодонную колбу загружали 4-бром-7H-пирроло[2,3-d]пиримидин (соединение формулы (VII)) (1000,00 мг, 5,00 ммоль) и добавляли 13,00 мл N,N-диметилацетамида. Смесь охлаждали до 0°С и добавляли гидрид натрия (132,00 мг, 5,50 ммоль). Спустя 30,0 мин медленно по каплям добавляли триметилсилилэтоксиметилхлорид (соединение формулы (VI)’) (975,00 мкл, 5,50 ммоль), перемешивали 1 ч. Не нагревая реакционную смесь выливали на лед, немедленно собирали и дважды экстрагировали этилацетатом с последующим отделением, органической фазы. Объединенные экстракты промывали один раз водой, один раз насыщенным раствором хлорида натрия, сушили над безводным сульфатом магния, фильтровали и концентрировали в вакууме. Полученный 4-бром-7-((2-(триметилсилил)этокси)метил)-7H-пирроло[2,3-d]пиримидин (соединение формулы (V)’) изолировали на силикагеле, элюент гексан/этилацетат в объемном отношении 9/1. Чистоту контролировали методом ВЭЖХ. Выход: 94,0%.
1H ЯМР (400 МГц, DMSO-d6) δ 8,57 (s, 1Н), 7,64 (d, 1Н, J = 3,8 Гц), 6,49 (d, 1Н, J = 3,6 Гц), 5,58 (s, 2Н), 3,51 (t, 2Н, J = 7,9 Гц), 0,71 (t, 2Н, J = 8,1 Гц), 0,16 (s, 9Н).
ЖХ-МС (EI) m/e 328 [М+Н]+.
При R= -CN:
В колбу со смесью 4-бром-7-((2-(триметилсилил)этокси)метил)-7H-пирроло[2,3-d]пиримидина (соединение формулы (V)’) (1500,00 мг, 4,60 ммоль), ацетата палладия (21,00 мг, 0,09 ммоль) в токе азота добавляли 30,00 мл N,N-диметилацетамида, акрилонитрил (3,00 мл, 46,00 ммоль), триэтиламин (1,30 мл, 9,20 ммоль). Реакционную смесь перемешивали при температуре 85,0°С в течение суток. После окончания реакции смесь разбавляли этилацетатом, экстрагировали водой дважды, собирали органическую фазу. Объединенные экстракты сушили над безводным сульфатом магния, фильтровали и концентрировали в вакууме. Полученный (Z)-3-(7-((2-(триметилсилил)этокси)метил)-7H-пирроло[2,3-d]пиримидин-4-ил)акрилонитрид (соединение формулы (IV)’), где R= -CN) изолировали на силикагеле, элюент пентан/этилацетат в объемном отношении 3/1. Чистоту контролировали методом ВЭЖХ. Выход: 90,0%.
1H ЯМР (400 МГц, DMSO-d6) δ 8,62 (s, 1H), 7,51 (d, J = 10,7 Гц, 1H), 7,45 (d, J = 3,7 Гц, 1H), 7,11 (d, J = 3,7 Гц, 1H), 6,30 (d, J = 10,7 Гц, 1H), 5,57 (s, 2H), 3,52 (t, J = 8,0 Гц, 1H), 0,82 (t, J = 7,9 Гц, 2H), -0,11 (s, 9H).
ЖХ-МС (EI) m/e 301 [М+Н]+.
При R= -NO2:
В колбу со смесью 4-бром-7-((2-(триметилсилил)этокси)метил)-7H-пирроло[2,3-d]пиримидина (соединение формулы (V)’) (1500,00 мг, 4,60 ммоль), ацетата палладия (21,00 мг, 0,09 ммоль) в токе азота добавляли 30,00 мл N,N-диметилацетамида, нитроэтен (3,10 мл, 46,00 ммоль), триэтиламин (1,30 мл, 9,20 ммоль). Реакционную смесь перемешивали при температуре 85,0°С в течение суток. После окончания реакции смесь разбавляли этилацетатом, экстрагировали водой дважды, собирали органическую фазу. Объединенные экстракты сушили над безводным сульфатом магния, фильтровали и концентрировали в вакууме. Полученный (Z)-4-(2-нитровинил)-7-((2-(триметилсилил)этокси)метил)-7H-пирроло[2,3-d]пиримидин (соединение формулы (IV)’), где R= -NO2) изолировали на силикагеле, элюент пентан/этилацетат в объемном отношении 3/1. Чистоту контролировали методом ВЭЖХ. Выход: 92,0%.
1H ЯМР (400 МГц, DMSO-d6) δ 8,69 (s, 1H), 7,67 (d, J = 4,0 Гц, 1H), 7,51 (d, J = 11,0 Гц, 1H), 7,13 (d, J = 4,0 Гц, 1H), 6,33 (d, J = 11,0 Гц, 1H), 5,49 (s, 2H), 3,73 (s, 3H), 3,52 (t, J = 8,0 Гц, 1H), 0,81 (t, J = 7,9 Гц, 2H), -0,10 (s, 9H).
ЖХ-МС (EI) m/e 334 [М+Н]+.
К раствору (Z)-3-(7-((2-(триметилсилил)этокси)метил)-7H-пирроло[2,3-d]пиримидин-4-ил)акрилонитрида (соединение формулы (IV)’, где R= -CN) (1334,00 мг, 4,00 ммоль), или (Z)-4-(2-нитровинил)-7-((2-(триметилсилил)этокси)метил)-7H-пирроло[2,3-d]пиримидина (соединение формулы (IV)’, где R= -NO2) (1282,00 мг, 4,00 ммоль), в 30,00 мл тетрагидрофурана по каплям добавляли 5,0 % мас. раствор диазометана (5,00 ммоль, 2,82 мл) в хлороформе. Затем к реакционной смеси добавляли карбонат калия (276,00 мг, 2,00 ммоль) и 1,8-диазабицикло[5.4.0]ундец-7-ен (150,00 мкл, 1,00 ммоль). Реакционную смесь перемешивали при нагревании до кипения с обратным холодильником в течение ночи (7,0 - 12,0 ч). После окончания реакции смесь разбавляли этилацетатом, экстрагировали водой дважды, собирали органическую фазу. Объединенные экстракты сушили над безводным сульфатом магния, фильтровали и концентрировали в вакууме. Полученный 4-(1H-пиразол-4-ил)-7-((2-(триметилсилил)этокси)метил)-7H-пирроло[2,3-d]пиримидин (соединение формулы (III)’) изолировали перекристаллизацией из раствора метилтребутилового эфира при 2,0 - 10,0°С. Выпавший осадок фильтровали, промывали охлажденным до 2,0 - 10,0°С метилтретбутиловым эфиром, сушили. Чистоту контролировали методом ВЭЖХ. Выход: 90,0%.
1H ЯМР (400 МГц, DMSO-d6) δ 13,38 (s, 1Н), 8,72 (s, 1Н), 8,65 (s, 1Н), 8,36 (s, 1Н), 7,70 (d, 1Н, J = 3,7 Гц), 7,12 (d, 1Н, J = 3,7 Гц), 5,63 (s, 2Н), 3,50 (t, 2Н, J = 8,2 Гц), 0,82 (t, 2Н, J = 8,2 Гц), 0,13 (s, 9Н)
ЖХ-МС (EI) m/e 316 [М+Н]+.
К раствору 4-(1H-пиразол-4-ил)-7-((2-(триметилсилил)этокси)метил)-7H-пирроло[2,3-d]пиримидина (соединение формулы (III)’) (1,00 г, 3,20 ммоль) и 2-(1-(этилсульфонил)азетидин-3-илиден)ацетонитрила (714,00 мг, 3,84 ммоль) в 22,00 мл ацетонитрила добавляли диазабициклоундецен (ДБУ) (573,00 мкл, 3,84 ммоль) и перемешивали 5,0 ч при комнатной температуре. Реакционную массу разбавляли водой, фильтровали. Остаток промывали очищенной водой, сушили в условиях вакуума. Получали 2-(1-(этилсульфонил)-3-(4-(7-((2-(триметилсилин)этокси)метил)-7H-пирроло[2,3-d]пиримидин-4-ил)-1H-пиразол-1-ил)азетидин-3-ил)ацетонитрил (соединение формулы (II)’). Чистоту контролировали методом ВЭЖХ. Выход: количественный.
1H ЯМР (400 МГц, DMSO-d6) δ 8,85 (s, 1Н), 8,45 (s, 1Н), 8,35 (s, 1Н), 7,43 (d, 1Н), 6,80 (d, 1Н), 5,68 (s, 2Н), 4,65 (d, 2Н), 4,27 (d, 2Н), 3,55 (s, 2Н), 3,4 (t, 2Н), 3,14 - 3,00 (m, 2Н), 1,48 - 1,36 (m, 3Н), 0,85 - 0,98 (m, 2Н), -0,05 (s, 9Н).
ЖХ-МС (EI) m/e 502 [М+Н]+.
К 2-(1-(этилсульфонил)-3-(4-(7-((2-(триметилсилин)этокси)метил)-7H-пирроло[2,3-d]пиримидин-4-ил)-1H-пиразол-1-ил)азетидин-3-ил)ацетонитрилу (II)’ (1,00 г, 1,96 ммоль) добавляли смесь растворителей N,N-диметилацетамид:вода (в объемном соотношении 6,0:1,0) в количестве 90,00 мл и добавляли 33,00 мл трифторуксусной кислоты. Реакционную массу перемешивали при комнатной температуре 2,0 ч, затем концентрировали на роторном испарителе. Остаток растворяли в 158,00 мл метанола. Добавляли 25,0 % мас. раствор аммиака (2,00 мл, 29,4 ммоль) в очищенной воде, диэтиламин (0,50 мл, 4,9 ммоль) перемешивали при комнатной температуре 16,0 ч. Полученный раствор концентрировали на роторном испарителе. Остаток разбавляли очищенной водой (160,00 мл), спустя час добавляли гидросульфат калия до pH=5. Полученный осадок соединения формулы (I) фильтровали, промывали очищенной водой и сушили. Чистоту контролировали методом ВЭЖХ. Выход: 99,5%.
Идентификация соединения формулы (I) проводилась аналитическими методами: 1H ЯМР и масс-спектроскопии.
1H ЯМР (600 МГц, DMSO-d6) δ 12,13 (s, 1H), 8,92 (s, 1H), 8,70 (s, 1H), 8,47 (s, 1H), 7,62 (s, 1H), 7,08 (s, 1H), 4,61 (d, J = 9,0 Hz, 2H), 4,23 (d, J = 9,0 Hz, 2H), 3,70 (s, 2H), 3,24 (m, J = 7,3 Hz, 2H), 1,25 (t, J = 7,3 Hz, 3H).
ЖХ-МС (EI) m/e 372 [М+Н]+.
Схема синтеза 2:
ДМАА - диметилацетамид;
ДБУ -диазабициклоундецен;
ТГФ - тетрагидрофуран.
В круглодонную колбу загружали 4-бром-7H-пирроло[2,3-d]пиримидин (соединение формулы (VII)) (1000,00 мг, 5,00 ммоль) и добавляли 13,00 мл N,N-диметилацетамида. Смесь охлаждали до 0°С и добавляли гидрид натрия (132,00 мг, 5,50 ммоль). Спустя 30,0 мин медленно по каплям добавляли пивалоилоксиметилхлорид (соединение формулы (VI)’’) (793,00 мкл, 5,50 ммоль), перемешивали 1,0 ч. Не нагревая реакционную смесь выливали на лед, немедленно собирали и дважды экстрагировали этилацетатом с последующим отделением, органической фазы. Объединенные экстракты промывали один раз водой, один раз насыщенным раствором хлорида натрия, сушили над безводным сульфатом магния, фильтровали и концентрировали в вакууме. Полученный (4-бром-7H-пирроло[2,3-d]пиримидин-7-ил)метилпивалат (соединение формулы (V)’’) изолировали на силикагеле, элюент гексан/этилацетат в объемном соотношении 9/1. Чистоту контролировали методом ВЭЖХ. Выход: 94,0%.
1H ЯМР (400 МГц, DMSO-d6) δ 8,65 (s, 1H), 7,69 (d, 1H, J = 3,7 Гц), 6,58 (d, 1H, J = 3,8 Гц), 6,21 (s, 2H), 1,06 (s, 9H).
ЖХ-МС (EI) m/e 312 [М+Н]+.
При R= -CN:
В колбу со смесью (4-бром-7H-пирроло[2,3-d]пиримидин-7-ил)метилпивалата (соединение формулы (V)’’) (1436,00 мг, 4,60 ммоль), ацетата палладия (21,00 мг, 0,09 ммоль) в токе азота добавляли 30,00 мл N,N-диметилацетамида, акрилонитрил (3,00 мл, 46,00 ммоль), триэтиламин (1,30 мл, 9,20 ммоль). Реакционную смесь перемешивали при температуре 85,0°С в течение суток. После окончания реакции смесь разбавляли этилацетатом, экстрагировали водой дважды, собирали органическую фазу. Объединенные экстракты сушили над безводным сульфатом магния, фильтровали и концентрировали в вакууме. Полученный (4-(2-циановинил)-7H-пирроло[2,3-d]пиримидин-7-ил)метилпивалат (соединение общей формулы (IV)’’), где R= -CN) изолировали на силикагеле, элюент пентан/этилацетат в объемном соотношении 3/1. Чистоту контролировали методом ВЭЖХ. Выход: 90,0%.
1H ЯМР (400 МГц, DMSO-d6) δ 8,60 (s, 1H), 7,49 - 7,40 (m, 2H), 7,13 (d, J = 3,9 Гц, 1H), 6,32 (d, J = 10,8 Гц, 1H), 6,05 (s, 2H), 1,14 (s, 9H).ЖХ-МС (EI) m/e 285 [М+Н]+.
При R= -NO2
В колбу со смесью (4-бром-7H-пирроло[2,3-d]пиримидин-7-ил)метилпивалата (соединение формулы (V)’’) (1436,00 мг, 4,60 ммоль), ацетата палладия (21,00 мг, 0,09 ммоль) в токе азота добавляли 30,00 мл N,N-диметилацетамида, нитроэтен (3,10 мл, 46,00 ммоль), триэтиламин (1,30 мл, 9,20 ммоль). Реакционную смесь перемешивали при температуре 85,0°С в течение суток. После окончания реакции смесь разбавляли этилацетатом, экстрагировали водой дважды, собирали органическую фазу. Объединенные экстракты сушили над безводным сульфатом магния, фильтровали и концентрировали в вакууме. Полученный (4-(2-нитровинил)-7H-пирроло[2,3-d]пиримидин-7-ил)метилпивалат (соединение общей формулы (IV)’’), где R= -NO2) изолировали на силикагеле, элюент пентан/этилацетат в объемном соотношении 3/1. Чистоту контролировали методом ВЭЖХ. Выход: 92,0%.
1H ЯМР (400 МГц, DMSO-d6) δ 8,53 (s, 1H), 7,88 (d, J = 9,8 Гц, 1H), 7,53 (d, J = 9,8 Гц, 1H), 7,39 (d, J = 4,1 Гц, 1H), 7,26 (d, J = 3,9 Гц, 1H), 6,04 (s, 2H), 1,12 (s, 9H).
ЖХ-МС (EI) m/e 305 [М+Н]+.
К раствору (4-(2-циановинил)-7H-пирроло[2,3-d]пиримидин-7-ил)метилпивалата (соединение формулы (IV)’’, где R= -CN) (1137,00 мг, 4,00 ммоль), или (4-(2-нитровинил)-7H-пирроло[2,3-d]пиримидин-7-ил)метилпивалата (соединение общей формулы (IV)’’, где R= -NO2) (1217,00 мг, 4,00 ммоль), в 30,00 мл тетрагидрофурана по каплям добавляли 5,0 % мас. раствор диазометана (5,0 ммоль, 2,82 мл) в хлороформе, предварительно полученный обработкой гидроксидом калия N-нитрозо-N-метилмочевины, или N-метил-N-нитрозо-p-толуолсульфонамида, или N-метил-N′-нитро-N-нитрозогуанидина в хлороформе. Затем к реакционной смеси добавляли карбонат калия (276,00 мг, 2,00 ммоль) и диазабицикло[5.4.0]ундец-7-ен (150,00 мкл, 1,00 ммоль). Реакционную смесь перемешивали при нагревании до кипения с обратным холодильником в течение ночи (7,0 - 12,0 ч). После окончания реакции смесь разбавляли этилацетатом, экстрагировали водой дважды, собирали органическую фазу. Объединенные экстракты сушили над безводным сульфатом магния, фильтровали и концентрировали в вакууме. Полученный (4-(1H-пиразол-4-ил)-7H-пирроло[2,3-d]пиримидин-7-ил)метилпивалат (соединение формулы (III)’’) изолировали перекристаллизацией из раствора метилтребутилового эфира при 2,0 - 10,0℃. Выпавший осадок фильтровали, промывали охлажденным до 2,0 - 10,0°С метилтретбутиловым эфиром, сушили. Чистоту контролировали методом ВЭЖХ. Выход: 90,0%.
1H ЯМР (400 МГц, DMSO-d6) δ 13,40 (s, 1H), 8,75 (s, 1H), 8,66 (s, 1H), 8,32 (s, 1H), 7,68 (d, 1H, J = 3,8 Гц), 7,11 (d, 1H, J = 3,8 Гц), 6,21 (s, 2H), 1,06 (s, 9H).
ЖХ-МС (EI) m/e 300 [М+Н]+.
К раствору (4-(1H-пиразол-4-ил)-7H-пирроло[2,3-d]пиримидин-7-ил)метилпивалата (соединение формулы (III)’’) (957,00 мг, 3,20 ммоль) и 2-(1-(этилсульфонил)азетидин-3-илиден)ацетонитрила (714,00 мг, 3,84 ммоль) в 22,00 мл ацетонитрила добавляли диазабициклоундецен (ДБУ) (573,00 мкл, 3,84 ммоль) и перемешивали 5,0 ч при комнатной температуре. Реакционную массу разбавляли водой, фильтровали. Остаток промывали очищенной водой, сушили в условиях вакуума. Получали (4-(1-(3-(цианометил)-1-(этилсульфонил)азетидин-3-ил)-1H-пиразол-4-ил)-7H-пирроло[2,3-d]пиримидин-7-ил)метилпивалат (соединение формулы (II)’’). Чистоту контролировали методом ВЭЖХ. Выход: количественный.
1H ЯМР (400 МГц, DMSO-d6) δ 8,86 (s, 1Н), 8,42 (s, 1Н), 8,38 (s, 1Н), 7,51 (d, 1Н, J=3,6 Гц), 6,75 (d, 1Н, J=3,6 Гц), 6,26 (s, 2Н), 4,64 (d, 2Н, J=9,6 Гц), 4,26 (d, 2Н, J=9,6 Гц), 3,41 (s, 2Н), 3,09 (q, 2Н, J=7,6 Гц), 1,41 (t, 3Н, J=7,6 Гц), 1,17 (s, 9Н).
ЖХ-МС (EI) m/e 486 [М+Н]+.
К раствору (4-(1-(3-(цианометил)-1-(этилсульфонил)азетидин-3-ил)-1H-пиразол-4-ил)-7H-пирроло[2,3-d]пиримидин-7-ил)метилпивалата (соединение формулы (II)’’) (1,00 г, 2,06 ммоль) в 80,00 мл смеси растворителей, состоящей из ацетонитрила и 2-пропанола (в объемном соотношении 5,0:1,0 соответственно), при постоянном перемешивании и температуре 30,0°С добавляли 1,0 М водный раствор гидроксида калия в количестве 2,00 мл и триэтиламин в количестве 86,00 мкл (мольное соотношение гидроксида калия к триэтиламину составляет 1,0:0,3). Полученный раствор инкубировали в течение 2,0 ч. Далее реакционную смесь охлаждали до 0-10,0°С, подкисляли 1,0 М водным раствором хлористоводородной кислоты до значения рН= 4 и перемешивали в течение часа. Полученный осадок фильтровали, промывали 2-пропанолом и сушили. Чистоту контролировали методом ВЭЖХ. Выход: 99,0%.
Идентификация соединения формулы (I) проводилась аналитическими методами: 1H ЯМР и масс-спектроскопии.
1H ЯМР (600 МГц, DMSO-d6) δ 12,13 (s, 1H), 8,92 (s, 1H), 8,70 (s, 1H), 8,47 (s, 1H), 7,62 (s, 1H), 7,08 (s, 1H), 4,61 (d, J = 9,0 Hz, 2H), 4,23 (d, J = 9,0 Hz, 2H), 3,70 (s, 2H), 3,24 (m, J = 7,3 Hz, 2H), 1,25 (t, J = 7,3 Hz, 3H).
ЖХ-МС (EI) m/e 372 [М+Н]+.
Следует также отметить, что существует несколько подходов удаления аминозащитных групп пиррольного кольца соединения общей формулы (II) с образованием соединения формулы (I). В источнике [IN201941040504] триметилсилилэтоксиметильную группу удаляют под действием хлорида алюминия в дихлорметане с последующим взаимодействием с водным раствором аммиака; в источнике [WO2009114512] удаление пивалоилоксикарбонильной группы проводят в условиях щелочного гидролиза под действием водного раствора гидроксида натрия в смеси метанол/тетрагидрофуран, или под действием моногидрата гидроксида лития в смеси ацетонитрил/2-пропанол с последующим взаимодействием с 1М водным раствором хлороводородной кислоты (такой же методики придерживаются в [CN115181103] и [WO2015166434]); раскрыто также два подхода к удалению триметилсилилэтоксиметильной группы: первый подразумевает удаление триметилсилилэтоксиметильной группы под действием трифторуксусной кислоты в дихлорметане с последующим взаимодействием с этилендиамином в метаноле, второй взаимодействие с тетрафторборатом лития в смеси ацетонитирил/вода с последующей обработкой водным раствором аммиака (таким же образом удаляют аминозащитную группу в [EP3771715, EP3771716]); в источнике [CN115181103] пивалоилоксиметильную группу удаляют под действием 1,8-диазабицикло[5.4.0]ундец-7-ена или диизопропилэтиламина в этаноле, 2-пропаноле или метаноле.
Посредством указанных синтетических подходов получают соединение формулы (I) с низким выходом и/или чистотой целевого продукта.
Авторы в рамках настоящего изобретения неожиданно обнаружили, что выход и чистота целевого продукта соединения формулы (I), полученного посредством а) реакции снятия аминозащитной триметилсилилэтоксиметильной группы пиррольного кольца соединения формулы (II)’ посредством взаимодействия с органической фторсодержащей кислотой в смеси растворителей, представляющей собой смесь апротонного органического растворителя с водой в объемном соотношении 1,0:10,0 - 10,0:1,0 соответственно, и смеси оснований, состоящей из неорганического основания, выбранного из группы, включающей гидроксиды щелочных, щелочноземельных металлов или аммония, или их гидраты, и алкиламина при мольных соотношениях неорганического основания к алкиламину от 1,0:0,1 до 1,0:10,0; б) реакции снятия аминозащитной пивалоилоксиметильной группы пиррольного кольца соединения формулы (II)’’ посредством взаимодействия со смесью оснований, состоящей из гидроксида щелочного металла или его гидрата и алкиламина при их мольном соотношении от 10,0:1,0 до 1,0:10,0 соответственно, в смеси растворителей, представляющей собой смесь апротонного органического растворителя со спиртом в объемном соотношении апротонный органический растворитель/ спирт 1,0:10,0 - 10,0:1,0 соответственно, превышают выход и чистоту соединения формулы (I), полученного способами, описанными в уровне техники. При этом продукт гидролиза нитрильной группы интермедиата соединения общей формулы (II) - соединение формулы (X), не фиксировался в продукте соединения формулы (I), полученном способами по настоящему изобретению.
Некоторые результаты экспериментов представлены в Табл. 1.
где R1 представляет собой аминозащитную группу.
Таблица 1. Оптимизация условий реакции образования соединения формулы (I).

2) водный раствор амиака/диэтиламин в мольном соотношении 6,0:1,0
2) гидроксид натрия/триэтиламин в мольном соотношении 9,0:1,0
2) водный раствор аммиака
2) этилендиамин
2) водный раствор аммиака
в мольном соотношении 10,0:1,0
Было также неожиданно обнаружено, что направление реакции образования пиразольного цикла при использовании именно новых интермедиатов (соединений общей формулы (IV)) в условиях промотирования смесью оснований, состоящей из неорганического основания, выбранного из группы, включающей гидроксиды и карбонаты щелочных, щелочноземельных металлов или их гидраты, и амидина при мольных соотношениях амидина к неорганическому основанию от 1,0:10,0 до 10,0:1,0, смещается в сторону образования соединения общей формулы (III) с полным исключением образования нежелательного региоизомера соединения общей формулы (III).
Характерной чертой реакции сочетания 4-бром-7-((2-(триметилсилил)этокси)метил)-7H-пирроло[2,3-d]пиримидина (соединение общей формулы (V)) и алкеновых фрагментов является образование побочного продукта в результате взаимодействия фрагментов 4-бром-7-((2-(триметилсилил)этокси)метил)-7H-пирроло[2,3-d]пиримидина (соединение общей формулы (V)) между собой. Авторами настоящего изобретения был проделан ряд экспериментов по изучению влияния условий реакции на образование обозначенной примеси. Ряд наиболее показательных экспериментов проиллюстрирован в Табл. 2. В результате обширной экспериментальной работы был неожиданно обнаружен уникальный способ проведения стадии образования пиразольного цикла описанный выше с минимальным образованием обозначенной примеси (соединение формулы (XI)) в количествах менее 0,5%.
где R1 представляет собой аминозащитную группу.
Таблица 2. Оптимизация условий реакции образования соединения общей формулы (IV).
Также следует отметить, что суммарный выход синтеза 2-[1-этилсульфонил-3-[4-(7h-пирроло[2,3-d]пиримидин-4-ил)пиразол-1-ил]азетидин-3-ил]ацетонитрила (соединения формулы (I)) по настоящему изобретению превышает суммарные выходы синтеза соединения формулы (I) из уровня техники. Например, в статье [Xu J. et al. An efficient synthesis of baricitinib //Journal of Chemical Research. - 2016. - Т. 40. - №. 4. - С. 205-208] раскрыт пятистадийный синтез 2-[1-этилсульфонил-3-[4-(7h-пирроло[2,3-d]пиримидин-4-ил)пиразол-1-ил]азетидин-3-ил]ацетонитрила с суммарным выходом 48%, в заявке [WO2016125080] раскрыт четырехстадийный синтез 2-[1-этилсульфонил-3-[4-(7h-пирроло[2,3-d]пиримидин-4-ил)пиразол-1-ил]азетидин-3-ил]ацетонитрила с суммарным выходом 63%, в заявке [WO2021053690] раскрыт пятистадийный синтез 2-[1-этилсульфонил-3-[4-(7h-пирроло[2,3-d]пиримидин-4-ил)пиразол-1-ил]азетидин-3-ил]ацетонитрила с суммарным выходом 23%. В то же время суммарный выход синтеза соединения формулы (I) по настоящему изобретению не менее 75%, что значительно превышает выходы, обозначенные в известных из уровня техники синтезах.
Пример 2. Получение продукта, содержащего 2-[1-этилсульфонил-3-[4-(7h-пирроло[2,3-d]пиримидин-4-ил)пиразол-1-ил]азетидин-3-ил]ацетонитрил (соединение формулы (I)).
1000,00 г порошка соединения формулы (I) при перемешивании помещали в реактор, снабженный мешалкой, рубашкой, обратным холодильником, термометром и манометром, в атмосфере азота, где предварительно было загружено 5000,00 мл смеси, содержащей этанол, воду очищенную и метиленхлорид в объемном соотношении 20,0:10,0:1,0 соответственно. Полученную смесь нагревали до температуры 40,0°С при постоянном перемешивании. По окончанию загрузки полученную смесь нагревали до температуры кипения и перемешивали при установленной температуре 25,0 мин до получения прозрачного раствора. Далее раствор фильтровали и передавали в кристаллизатор, снабженный рубашкой, термометром, мешалкой, обратным холодильником, и охлаждали при перемешивании до температуры 5,0°С со скоростью (1-10)°С/мин. Полученную суспензию выдерживали при установленной температуре 3,0 ч, после чего смесь центрифугировали. Полученный осадок соединения формулы (I) промывали водой с последующей сушкой в вакуумной сушилке при температуре 45,0°С в течение 17,0 ч. В результате получали целевой продукт с химической чистотой более 99,9 %. Выход количественный.
При этом следует отметить, что при варьировании условий очистки соединения формулы (I) выход и чистота целевого продукта уменьшаются. Так, при использовании других растворителей/ систем растворителей (например, только протонных растворителей, таких как этанол, смесь этанол/ вода, 2-пропанол/вода) потери целевого вещества при перекристаллизации составляли до 40,0 %.
| название | год | авторы | номер документа |
|---|---|---|---|
| СПОСОБ ПОЛУЧЕНИЯ 2-[1-ЭТИЛСУЛЬФОНИЛ-3-[4-(7H-ПИРРОЛО[2,3-D]ПИРИМИДИН-4-ИЛ)ПИРАЗОЛ-1-ИЛ]АЗЕТИДИН-3-ИЛ]АЦЕТОНИТРИЛА | 2024 |
|
RU2835443C1 |
| СПОСОБ ПОЛУЧЕНИЯ 2-[1-ЭТИЛСУЛЬФОНИЛ-3-[4-(7H-ПИРРОЛО[2,3-D]ПИРИМИДИН-4-ИЛ)ПИРАЗОЛ-1-ИЛ]АЗЕТИДИН-3-ИЛ]АЦЕТОНИТРИЛА | 2024 |
|
RU2835441C1 |
| НОВЫЕ ПРОИЗВОДНЫЕ ПИРРОЛОПИРИМИДИНОВ | 2024 |
|
RU2837215C1 |
| НОВЫЕ ПРОИЗВОДНЫЕ ПИРРОЛОПИРИМИДИНОВ | 2024 |
|
RU2837533C1 |
| НОВЫЕ ПРОИЗВОДНЫЕ ПИРРОЛОПИРИМИДИНОВ | 2024 |
|
RU2837316C1 |
| {3-[(7H-ПИРРОЛО[2,3-d]ПИРИМИДИН-4-ИЛ)АЗОЛИЛ]АЗЕТИДИН-3-ИЛ}АЦЕТОНИТРИЛЫ В КАЧЕСТВЕ ИНГИБИТОРОВ ЯНУС КИНАЗ | 2015 |
|
RU2601410C1 |
| НОВЫЕ ПРОИЗВОДНЫЕ ПИРРОЛОПИРИМИДИНОВ | 2024 |
|
RU2837216C1 |
| НОВЫЕ ПРОИЗВОДНЫЕ ПИРРОЛОПИРИМИДИНОВ | 2024 |
|
RU2837221C1 |
| НОВЫЕ ПРОИЗВОДНЫЕ ПИРРОЛОПИРИМИДИНОВ | 2024 |
|
RU2837548C1 |
| ДИХЛОРАЦЕТАТ {3-[4-(7H-ПИРРОЛО[2,3-d]ПИРИМИДИН-4-ИЛ)-ПИРАЗОЛ-1-ИЛ]-1-ЭТИЛСУЛЬФОНИЛ-АЗЕТИДИН-3-ИЛ}-АЦЕТОНИТРИЛА В КАЧЕСТВЕ ИНГИБИТОРА ЯНУС КИНАЗ | 2015 |
|
RU2603959C1 |
Изобретение относится к области медицины, фармакологии и химико-фармацевтической промышленности, а именно к способу очистки соединения формулы (I). Способ включает перекристаллизацию соединения формулы (I) из смеси растворителей, состоящей из одноатомного спирта, воды и апротонного растворителя в объемных соотношениях 2,0:1,0:1,0-50,0:25,0:1,0 соответственно. Предлагаемый способ позволяет получать соединение формулы (I) с высоким выходом и чистотой. 5 з.п. ф-лы, 2 табл., 1 ил., 2 пр.
1. Способ очистки соединения формулы (I), включающий перекристаллизацию соединения формулы (I) из смеси растворителей, состоящей из одноатомного спирта, воды и апротонного растворителя в объемных соотношениях 2,0:1,0:1,0-50,0:25,0:1,0 соответственно
2. Способ по п. 1, характеризующийся тем, что перекристаллизация соединения формулы (I) проходит при дополнительном добавлении сульфата или гидросульфата щелочного металла.
3. Способ по п. 1, характеризующийся тем, что одноатомный спирт выбран из группы, включающей метанол, этанол, 2-пропанол, бутанол и изобутанол.
4. Способ по п. 1, характеризующийся тем, что апротонный растворитель выбран из группы, включающей толуол, тетрагидрофуран и метиленхлорид.
5. Способ по пп. 1-4, характеризующийся тем, что дополнительно включает следующие стадии:
а) промывка выделенного продукта, и/или
б) сушка продукта, и/или
в) измельчение продукта.
6. Способ по п. 5, характеризующийся тем, что стадию а) проводят при помощи воды.
| IN 201941040504 A, 09.04.2021 | |||
| IN 202041004217 A, 06.08.2021 | |||
| Автомобиль-сани, движущиеся на полозьях посредством устанавливающихся по высоте колес с шинами | 1924 |
|
SU2017A1 |
| CN 113480546 A, 08.10.2021 | |||
| Колосоуборка | 1923 |
|
SU2009A1 |
| EP 3771715 A1, 03.02.2021 | |||
| CN 115181103 A, 14.10.2022 | |||
| S.R | |||
| DASARI et al., Synthesis and Characterization of Compounds Potentially Related to the Janus Kinase Inhibitor Baricitinib, RUSSIAN | |||
Авторы
Даты
2025-02-25—Публикация
2024-05-02—Подача