НОВЫЕ ПРОИЗВОДНЫЕ ПИРРОЛОПИРИМИДИНОВ Российский патент 2025 года по МПК C07D487/04 A61K31/519 A61P17/14 A61P19/02 A61P37/00 A61P37/08 A61Q7/00 

Описание патента на изобретение RU2837316C1

Изобретение относится к области химико-фармацевтической промышленности и медицины, и представляет собой новые производные пирролопиримидинов.

УРОВЕНЬ ТЕХНИКИ

Аутоиммунными заболеваниями страдают 8-10% населения земного шара, часто - молодые люди, дети, подвержены различным нарушениям со стороны иммунной системы. Аутоиммунные заболевания связаны с нарушением функционирования иммунной системы человека, которая начинает воспринимать собственные ткани как чужеродные и повреждать их. Нарушения возникают по различным причинам, в том числе, в значительной степени из-за неблагополучной среды, агрессивности компонентов, входящих в продукты питания, воздух, воду. К аутоиммунным заболеваниям относятся: ревматоидный артрит, системная красная волчанка, склеродермия, рассеянный склероз, атопический дерматит, алопеция и так далее.

Ревматоидный артрит относится к хроническим воспалительным заболеваниям, связанным в первую очередь с поражением суставов приводящим к необратимым изменениям, выраженным в деградации хрящей, костной ткани и в последствии ослаблении мышц, связок и сухожилий. В основе развития заболевания лежит аутоиммунное воспаление, характеризующееся атакой иммунной системы на клетки собственного организма. Помимо суставов при ревматоидном артрите в ходе заболевания часто происходит поражение внутренних органов - кровеносных сосудов, нервной системы, почек, сердца, легких. Своевременная диагностика и лечение позволяют избегать необратимых последствий осложнений. Однако лечение ревматоидного артрита требует системного подхода, основанного на комбинировании поддерживающей терапии (отказ от курения, баланс отдыха и физических нагрузок, лечебная физическая культура, здоровый сон, диета, анальгетики), препаратов, сдерживающих прогрессирование болезни, при необходимости нестероидных противовоспалительных препаратов.

Этиология ревматоидного артрита сложна из-за мультифакторности [Скогорева Н.В., Макеева А.В. Патофизиологическая характеристика ревматоидного артрита: этиология, патогенез и принципы лечения. - 2015]. Причинами заболевания могут служить как генетическая предрасположенность, так и воздействие внешней среды, вредных привычек, инфекций, стресс и чрезмерная физическая нагрузка. На данный момент неизвестно, каким образом инфекция приводит к хроническому воспалению суставов. Возможно, ревматоидный артрит развивается в результате длительной персистенции возбудителя в суставах или накопления продуктов его жизнедеятельности в синовиальной оболочке. Не исключено, что при повреждении тканей сустава под действием инфекции появляются новые антигены, на которые развивается иммунный ответ, то есть процесс развивается по типу аутоиммунного воспаления. Кроме того, в основе ревматоидного артрита может лежать молекулярная мимикрия (сходство между чужеродными и собственными антигенами), в результате которой при иммунном ответе на антигены возбудителя вырабатываются антитела к аутоантигенам суставов.

В основе лечения ревматоидного артрита лежит сочетание симптоматической и базисной терапии. Препараты базисной терапии применяются в ревматологии уже более 30 лет [Насонов E.Л. Применение ингибиторов фактора некроза опухоли при ревматоидном артрите: место этанерцепта // Научно-практическая ревматология. - 2008. - № 5. - С. 1-20]. К базисной терапии относят противоопухолевые и цитостатические препараты: Метотрексат, Лефлуномид, Сульфасалазин, Кризанол, Тауредон, Плаквенил. Современные методики базисного лечения также предполагают применение биологических препаратов, так как Инфликсимаб, Ритуксимаб, Абатацепт, Анакинра. Симптоматические препараты включают глюкокортикоиды и нестероидные препараты противовоспалительного действия, направленные на снижение боли и увеличение степени подвижности суставов. Среди нестероидных препаратов противовоспалительного действия выделяют Целекоксиб, Диклофенак, Лорноксикам, Мовалис, Аркоксиа, Нимесулид, Ибупрофен, среди глюкокортикоидов Дексаметазон, Триамцинолон, Преднизолон, Бетаметазон.

Воздействие на молекулярные механизмы аутоиммунного воспаления позволяет более эффективно бороться с симптомами ревматоидного артрита и добиваться стойкой ремиссии при своевременной терапии. Примером современного подхода к терапии является применение Барицитиниба, действие которого заключается в ингибировании сигнальных путей цитокинов с помощью обратимого ингибирования ферментов, известных как янус-киназа (Janus kinases - JAKs), конкретно JAK1 и JAK2. JAK киназы являются важными факторами роста и межклеточными частями путей передачи сигналов цитокинов. Киназы JAK фосфорилируют и активируют преобразователи сигналов и активаторы транскрипции (STAT), которые перемещаются в ядро и индуцируют транскрипцию эффекторных генов [Leonard W. J., O'Shea J. J. Jaks and STATs: biological implications //Annual review of immunology. - 1998. - Т. 16. - С. 293; McInnes I. B. et al. Comparison of baricitinib, upadacitinib, and tofacitinib mediated regulation of cytokine signaling in human leukocyte subpopulations //Arthritis research & therapy. - 2019. - Т. 21. - №. 1. - С. 1-10]. Семейство JAK принадлежит к нерецепторным цитоплазматическим протеинтирозинкиназам (PTK), включая четыре типа: JAK1, JAK2, JAK3 и TYK2 (тирозинкиназа 2) [McInnes I. B. et al. Comparison of baricitinib, upadacitinib, and tofacitinib mediated regulation of cytokine signaling in human leukocyte subpopulations //Arthritis research & therapy. - 2019. - Т. 21. - №. 1. - С. 1-10]. JAK1 привлек значительное внимание после того, как был определен как многообещающая мишень для препаратов против ревматоидного артрита. Кроме того, другие воспаления тесно связаны с передачей сигналов JAK/STAT [Gao H. et al. Study on the binding mode of a pyrrolotriazin derivative with JAK2 by docking and MD simulation //Molecular Simulation. - 2019. - Т. 45. - №. 3. - С. 230-238].

Эффективность Барицитиниба была подтверждена на мышиных моделях калогенового ревматоидного артрита и других аутоиммунных заболеваний, как, например, атипический дерматит, алопеция [Fridman J. S. et al. Selective inhibition of JAK1 and JAK2 is efficacious in rodent models of arthritis: preclinical characterization of INCB028050 //The Journal of Immunology. - 2010. - Т. 184. - №. 9. - С. 5298-5307; Hoy S. M. Baricitinib: a review in moderate to severe atopic dermatitis //American journal of clinical dermatology. - 2022. - Т. 23. - №. 3. - С. 409-420; Kwon O. et al. Efficacy and safety of baricitinib in patients with severe alopecia areata over 52 weeks of continuous therapy in two phase III trials (BRAVE-AA1 and BRAVE-AA2) //American Journal of Clinical Dermatology. - 2023. - Т. 24. - №. 3. - С. 443-451].

Помимо применения в лечении аутоиммунных заболеваний Барицитиниб имеет и другие профили применения. Недавно Барицитиниб стал первым иммуномодулирующим препаратом для лечения COVID-19, получившим одобрение Управления по санитарному надзору за качеством пищевых продуктов и медикаментов [Rubin R. Baricitinib is first approved COVID-19 immunomodulatory treatment //JAMA. - 2022. - Т. 327. - №. 23. - С. 2281-2281].

Одним из основных проявлений вирусного заболевания является цитокиновый шторм, связанный с чрезмерной воспалительной реакцией. Ингибирующее действие Барицитиниба на Янус-киназы приводит к снижению активности цитокинов и, как следствие, подавлению воспалительных процессов [Roskoski Jr R. Janus kinase (JAK) inhibitors in the treatment of inflammatory and neoplastic diseases //Pharmacological research. - 2016. - Т. 111. - С. 784-803]. Кроме того, существует предположение, что Барицитиниб может блокировать проникновение вируса SARS-CoV-2 в клетки, ингибируя AP2-ассоциированный киназный путь, который необходим для эндоцитоза вируса в клетки [Stebbing J. et al. Mechanism of baricitinib supports artificial intelligence-predicted testing in COVID-19 patients //EMBO molecular medicine. - 2020. - Т. 12. - №. 8. - С. e12697]. Действительно, Барицитиниб получил особую известность благодаря его использованию в терапии COVID, в том числе получил одобрение для использования в комбинации с другими активными агентами, например, ремдесивиром. Многочисленные исследования показали, что Барицитиниб может снижать смертность и улучшать клинические исходы у пациентов с тяжелой формой вирусных заболеваний, в частности вызванных РНК-содержащими вирусами.

Наряду с высокой активностью среди качеств Барицитиниба также отмечаются негативные проявления в виде побочных эффектов, выраженных в повышении ЛПНП (липопротеинов низкой плотности) (33,6%), инфекции верхних дыхательных путей (14,7%), тошноте (2,8%), нарушении фертильности, проявлении тератогенности и эмбриолетальности. Также отмечаются случаи анемии [Deprez V. et al. Therapeutic Maintenance of Baricitinib and Tofacitinib in Real Life //Journal of Clinical Medicine. - 2020. - Т. 9. - №. 10. - С. 3319], ладонно-подошвенной сыпи [Koumaki D. et al. Palmoplantar pustulosis-like eruption induced by baricitinib for treatment of rheumatoid arthritis //European Journal of Case Reports in Internal Medicine. - 2020], псориаза [Di Domizio J. et al. Baricitinib-induced paradoxical psoriasis //Journal of the European Academy of Dermatology and Venereology. - 2020. - Т. 34. - №. 8. - С. e391-e393]. Также в уровне техники сообщается о риске тромбоза на фоне применения ингибиторов JAK, в частности Барицитиниба [Faquetti M. L. et al. Identification of novel off targets of baricitinib and tofacitinib by machine learning with a focus on thrombosis and viral infection //Scientific reports. - 2022. - Т. 12. - №. 1. - С. 1-11].

Важно отметить, что даже современные препараты для лечения аутоиммунных заболеваний не увеличивают продолжительность жизни пациентов и не препятствуют раннему выходу их на инвалидность. Например, несмотря на проводимое лечение, только у 10% больных имеет место доброкачественное течение ревматоидного артрита с редкими обострениями, у 65-70% заболевание характеризуется хотя и медленным, но неуклонным прогрессированием с частыми обострениями и неполными ремиссиями, а у остальных развивается «злокачественный» вариант течения с множественным поражением суставов, резистентностью к проводимой фармакотерапии и тяжелыми, потенциально смертельными нарушениями функций внутренних органов.

Развитие современных доступных подходов к лечению аутоиммунных заболеваний, а также разработка новых средств, способных замедлять прогрессирование аутоиммунных заболеваний, является на данный момент актуальной задачей с высокой социальной значимостью. При этом несвоевременная диагностика и некорректное лечение аутоиммунных заболеваний фатально отражаются на здоровье, продолжительности и качестве жизни пациентов вплоть до полной потери трудоспособности и необратимой инвалидности.

Разработка новых молекул, проявляющих активность в лечении аутоиммунных заболеваний и вирусных инфекций, открывает возможности улучшения профиля физико-химических, технологических и фармакологических характеристик фармацевтического продукта. Это расширяет спектр активных агентов, которые специалист по разработке препаратов имеет в своем распоряжении при разработке нового лекарственного средства с улучшенными характеристиками. А устойчивое развитие современных подходов к синтезу новых активных агентов позволяет внедрять в производства экологические, ресурсоэффективные, атомэкономные инновационные технологии, которые способствуют экономическому развитию и минимизации ущерба окружающей среде.

Открытие возможности селективного ингибирования сигнальных путей цитокинов с помощью обратимого ингибирования ферментов JAK позволило расширить возможности терапии аутоиммунных заболеваний и вирусных инфекций.

Таким образом, в настоящее время имеется острая необходимость в разработке новых активных агентов с улучшенными профилями физико-химических, технологических и фармакологических свойств для лечения аутоиммунных заболеваний и вирусных инфекций.

В связи с указом Президента РФ от 7 мая 2024 г. № 309 "О национальных целях развития Российской Федерации на период до 2030 года и на перспективу 2036 года" в рамках программы по импортозамещению «Фарма-2030» авторами настоящего изобретения были приложены усилия, направленные на укрепление технологического суверенитета в фарминдустрии, по созданию инновационного продукта на основе новых производных пирролопиримидинов, проявляющих высокую активность в лечении аутоиммунных заболеваний и вирусных инфекций.

Новые производные пирролопиримидина по настоящему изобретению согласно Приказу Минздрава России N 514н «Об утверждении Критериев отнесения товаров, работ, услуг к инновационной и высокотехнологичной продукции для целей формирования плана закупки такой продукции» удовлетворяют совокупности критериев, которые относят настоящие изобретения к инновационной продукции. Так указанные соединения существенно отличаются от ближайшего аналога и обладают улучшенными свойствами, при этом в способе получения данных соединений применяются новые технологии, интермедиаты и материалы, следовательно, соединения и способы их получения по настоящему изобретению соответствуют критериям научно-технической новизны.

Также настоящая группа изобретений является наукоемкой, носит прикладной характер, имеет практическое применение, и в будущем при использовании высококвалифицированного интеллектуального труда и результатов интеллектуальной деятельности будет активно внедрена в химической и фармацевтической отечественной промышленности. При этом цена на новые лекарственные средства по настоящему изобретению с улучшенной эффективностью будет значительно ниже, чем на существующие в настоящее время на территории Российской Федерации аналоги, что позволит достичь положительного экономического эффекта реализации товара для Российской Федерации.

Следует также отметить, что согласно вышеупомянутому Приказу Минздрава России N 514н, настоящая группа изобретений относится к высокотехнологичной продукции, поскольку соответствует приоритетным направлениям развития науки, технологий и техники в Российской Федерации, а именно, биомедицинским и ветеринарным технологиям (согласно Указу Президента Российской Федерации от 7 июля 2011 г. N 899 "Об утверждении приоритетных направлений развития науки, технологий и техники в Российской Федерации и перечня критических технологий Российской Федерации"), изготавливается и выполняется предприятиями наукоемких отраслей экономики, а именно, фармацевтическими и химическими; производится и выполняется с использованием новейших образцов технологического оборудования, технологических процессов и технологий с участием высококвалифицированного, специально подготовленного персонала.

РАСКРЫТИЕ СУЩНОСТИ ИЗОБРЕТЕНИЯ

Задачей настоящего изобретения являлось создание новых производных пирролопиримидина, проявляющих высокую активность в отношении аутоиммунных заболеваний и вирусных инфекций.

Авторами настоящего изобретения были получены и исследованы новые производные пирролопиримидина, в частном случае реализации изобретения соединения формул (A - С) и их фармацевтически приемлемые соли, обладающие улучшенными по сравнению с барицитинибом активностью и селективностью в отношении аутоиммунных заболеваний, в частности, в отношении ингибирования ферментов JAK, а также вирусных инфекций, при этом Авторам изобретения удалось достичь усовершенствованного профиля безопасности, который выражается, в том числе, в уменьшении нежелательных эффектов от приема новых производных пирролопиримидина по настоящему изобретению, таких как, в том числе, нарушение фертильности, проявление тератогенности и эмбриолетальности. Исследования свойств новых производных пирролопиримидина в рамках настоящего изобретения позволили установить их улучшенные физико-химические и технологические свойства.

Новые производные пирролопиримидина.

Частные случаи новых производных пирролопиримидинов, а именно 2-(3-(4-(7H-пирроло[2,3-d]пиримидин-4-ил)-1H-пиразол-1-ил)-1-(2-(метилтио)ацетил)азетидин-3-ил)ацетонитрил (A), 2-(3-(4-(7H-пирроло[2,3-d]пиримидин-4-ил)-1H-пиразол-1-ил)-1-(3-метоксипропаноил)азетидин-3-ил)ацетонитрил (B), 2-(3-(4-(7H-пирроло[2,3-d]пиримидин-4-ил)-1H-пиразол-1-ил)-1-(3-(метилтио)пропаноил)азетидин-3-ил)ацетонитрил (C).

Соединения согласно настоящему изобретению, включая их соли, могут быть получены по описанной ниже общей схеме синтеза:

Схема синтеза производных пирролопиримидинов по настоящему изобретению.

Соединения согласно настоящему изобретению, включая их соли, могут быть получены по описанной ниже общей схеме синтеза:

Схема синтеза производных пирролопиримидинов по настоящему изобретению.

Соединения согласно изобретению, включая их соли, могут быть получены по описанной ниже общей схеме синтеза.

Схема синтеза новых производных пирролопиримидинов A - С.

На первой стадии получали защищенный по аминогруппе пиррольного кольца 4-(1H-пиразол-4-ил)-7H-пирроло[2,3-d]пиримидин (1a). Для этого рассчитанное количество защищенного по аминогруппе пиррольного кольца 4-хлоро-7H-пирроло[2,3-d]пиримидина (I), 4-(4,4,5,5-тетраметил-1,3,2-диоксаборолан-2-ил)-1Н-пиразола и основания (предпочтительно карбонаты или фосфаты щелочных или щелочноземельных металлов, третичные амины, в частности алифатические, более предпочтительно карбонат натрия) загружали в смесь смешивающегося с водой органического растворителя (более предпочтительно диоксана, ацетона, ацетонитрила) и очищенной воды в массовом соотношении от 1:10 - 10:1. Реакционный сосуд вакуумировали, заполняли инертным газом. Затем добавляли палладиевый катализатор (более предпочтительно Pd(PPh3)4) и кипятили с 8 - 48 ч (более предпочтительно 16 ч). Реакционную массу разбавляли несмешивающимся с водой растворителем (более предпочтительно этилацетатом) и очищенной водой. Органический слой отделяли, сушили над сульфатом натрия и концентрировали на роторном испарителе. К остатку добавляли органический растворитель (более предпочтительно метил-трет-бутиловый эфир (МТБЭ), диизопропиловый эфир, диэтиловый эфир, тетрагидрофуран (ТГФ), метилтетрагидрофуран, гептан, гексан) и выдерживали при 2 - 10°C (более предпочтительно при 4°C) в течение 2 - 24 ч (более предпочтительно в течение ночи). Наблюдали образование осадка. Выпавший осадок фильтровали, промывали органическим растворителем (более предпочтительно МТБЭ, диизопропиловый эфир, диэтиловый эфир, ТГФ, метилтетрагидрофуран, гептан, гексан) и сушили.

На второй стадии осуществляли синтез защищенного по аминогруппам пиррольного и пиразольного кольца 3-[4-(7H-пирроло[2,3-d]пиримидин-4-ил)-1H-пиразол-1-ил]-3-азетидинацетонитрила (2a). Для этого к рассчитанному количеству защищенного по аминогруппе пиррольного кольца 4-(1H-пиразол-4-ил)-7H-пирроло[2,3-d]пиримидин (1а) и защищенного по аминогруппе пиразольного кольца 2-(3-азетидинилиден)ацетонитрила добавляли органический растворитель (более предпочтительно ацетонитрил, ацетон, метанол, диметилформамид) и катализатор, например, органическое основание (предпочтительно алкил замещенный гуанидин, четвертичное аммонийное основание). Образовавшуюся смесь перемешивали 8 - 48 (более предпочтительно 16 ч) при 10 - 50°C (более предпочтительно при комнатной температуре). Реакционную массу концентрировали на роторном испарителе. Остаток растворяли в несмешивающемся с водой органическом растворителе (более предпочтительно этилацетате) и промывали очищенной водой. Органический слой отделяли, сушили над сульфатом натрия и концентрировали на роторном испарителе.

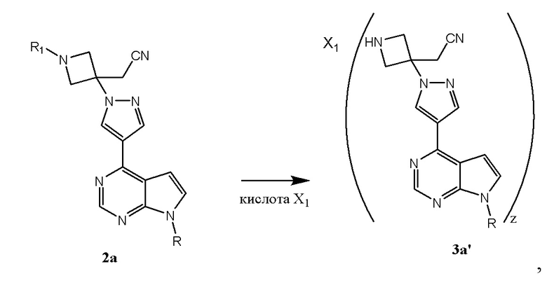
На третьей стадии осуществляли удаление защитной группы пиразольного кольца защищенного по аминогруппам пиррольного и пиразольного кольца 3-[4-(7H-пирроло[2,3-d]пиримидин-4-ил)-1H-пиразол-1-ил]-3-азетидинацетонитрила (2a) в соответствии со способами известными из уровня техники [Wuts P. G. M., Greene T. W. Greene's protective groups in organic synthesis. - John Wiley & Sons, 2006.] с получением защищенного по аминогруппам пиррольного кольца 3-[4-(7H-пирроло[2,3-d]пиримидин-4-ил)-1H-пиразол-1-ил]-3-азетидинацетонитрила (3a).

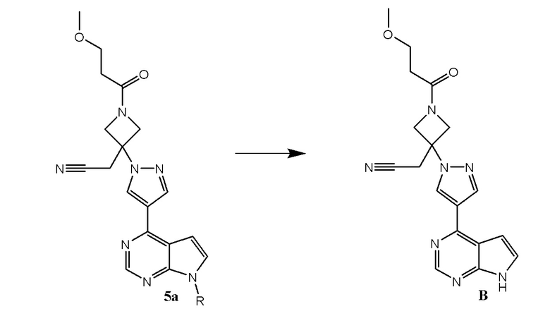
На четвертой стадии осуществляли синтез продуктов 4а, 5а, 6а. Для этого к раствору рассчитанного количества защищенного по аминогруппам пиррольного кольца 3-[4-(7H-пирроло[2,3-d]пиримидин-4-ил)-1H-пиразол-1-ил]-3-азетидинацетонитрила (3a) в апротонном органическом растворителе (более предпочтительно дихлорметане, тетрагидрофуране, ацетоне) добавляли основание (предпочтительно третичный амин, производные пиридина или хинолина, более предпочтительно триэтиламин) и производное оксикарбоновой кислоты (более предпочтительно 3-метоксипропионовая кислота, 2-(метилтио)уксусная кислота, 3-(метилтио)пропионовая кислота). Реакционную смесь перемешивали при 10 - 50°C (более предпочтительно при комнатной температуре) 8 - 48 ч (более предпочтительно 16 ч). Дале разбавляли очищенной водой. Органический слой отделяли, сушили над сульфатом натрия, концентрировали на роторном испарителе. Продукт выделяли методом колоночной хроматографии на силикагеле.

На пятой стадии осуществляли синтез продуктов A, B, C. Для этого проводили реакцию удаления защитной группы пиррольного кольца соединения 4а, 5а или 6а, в соответствии со способами известными из уровня техники [Wuts P.G.M., Greene T.W. Greene's protective groups in organic synthesis. - John Wiley & Sons, 2006].

Для получения соли любого из соединений A, B, C к раствору рассчитанного количества любого из соединений A, B, C в рассчитанном количестве протонного органического растворителя или воды, или их смеси добавляли рассчитанное количество кислоты в протонном органическом растворителе или воде, или их смеси. Реакционную массу перемешивали при 5 - 70°C (более предпочтительно при комнатной температуре) в течение 1 - 24 ч (более предпочтительно в течение двух часов). По окончанию реакции фильтровали осадок или упаривали реакционную смесь, остаток сушили при пониженном давлении (0,1 - 0,8 атм), температуре 5 - 70°C (более предпочтительно при комнатной температуре).

Соединения согласно изобретению, включая их соли, могут быть получены также по описанной ниже общей схеме синтеза.

Схема синтеза новых производных пирролопиримидинов A - С.

На первой стадии получали 4-(1H-пиразол-4-ил)-7-((2-(триметилсилил)этокси)метил)-7H-пирроло[2,3-d]пиримидин (1). Для этого рассчитанное количество 4-хлоро-7-((2-(триметилсилил)этокси)метил)-7H-пирроло[2,3-d]пиримидина (I), 4-(4,4,5,5-тетраметил-1,3,2-диоксаборолан-2-ил)-1Н-пиразола и основания (предпочтительно карбонаты или фосфаты щелочных или щелочноземельных металлов, третичные амины, в частности алифатические, более предпочтительно карбонат натрия) загружали в смесь смешивающегося с водой органического растворителя (более предпочтительно диоксана, ацетона, ацетонитрила) и очищенной воды в массовом соотношении от 1:10 - 10:1. Реакционный сосуд вакуумировали, заполняли инертным газом. Затем добавляли палладиевый катализатор (более предпочтительно Pd(PPh3)4) и кипятили с 8 - 48 ч (более предпочтительно 16 ч). Реакционную массу разбавляли несмешивающимся с водой растворителем (более предпочтительно этилацетатом) и очищенной водой. Органический слой отделяли, сушили над сульфатом натрия и концентрировали на роторном испарителе. К остатку добавляли органический растворитель (более предпочтительно метил-трет-бутиловый эфир (МТБЭ), диизопропиловый эфир, диэтиловый эфир, тетрагидрофуран (ТГФ), метилтетрагидрофуран, гептан, гексан) и выдерживали при 2 - 10°C (более предпочтительно при 4°C) в течение 2 - 24 ч (более предпочтительно в течение ночи). Наблюдали образование осадка. Выпавший осадок фильтровали, промывали органическим растворителем (более предпочтительно МТБЭ, диизопропиловый эфир, диэтиловый эфир, ТГФ, метилтетрагидрофуран, гептан, гексан) и сушили.

На второй стадии осуществляли синтез трет-бутил-3-(цианометил)-3-(4-(7-((2-(триметилсилил)этокси)метил)-7H-пирроло[2,3-d]пиримидин-4-ил)-1H-пиразол-1-ил)азетидин-1-карбоксилата (2). Для этого к рассчитанному количеству 4-(1H-пиразол-4-ил)-7-((2-(триметилсилил)этокси)метил)-7H-пирроло[2,3-d]пиримидина (1) и трет-бутил 3-(цианометилен)азетидин-1-карбоксилата добавляли полярный органический растворитель (более предпочтительно ацетонитрил, ацетон, метанол, диметилформамид) и сильное органическое основание (предпочтительно алкил замещенный гуанидин, четвертичное аммонийное основание). Образовавшуюся смесь перемешивали 8 - 48 (более предпочтительно 16 ч) при 10 - 50°C (более предпочтительно при комнатной температуре). Реакционную массу концентрировали на роторном испарителе. Остаток растворяли в несмешивающемся с водой органическом растворителе (более предпочтительно этилацетате) и промывали очищенной водой. Органический слой отделяли, сушили над сульфатом натрия и концентрировали на роторном испарителе.

На третьей стадии осуществляли синтез соли 2-(3-(4-(7-((2-(триметилсилил)этокси)метил)-7H-пирроло[2,3-d]пиримидин-4-ил)-1H-пиразол-1-ил)азетидин-3-ил)ацетонитрила (3). Для этого к раствору рассчитанного количества трет-бутил-3-(цианометил)-3-(4-(7-((2-(триметилсилил)этокси)метил)-7H-пирроло[2,3-d]пиримидин-4-ил)-1H-пиразол-1-ил)азетидин-1-карбоксилата (2) в рассчитанном количестве апротонного органического растворителя (более предпочтительно ТГФ, этилацетата, ацетонитрила) добавляли раствор кислоты с концентрацией от 0,5 - 30 мас. % (предпочтительно галогеноводородной кислоты, производных серной кислоты, серной кислоты, трифторуксусной кислоты) в апротонном органическом растворителе (более предпочтительно диоксане, ацетоне, ацетонитиле) в молярном соотношении соединения 2 к кислоте 1:1 - 1:100, и перемешивали 8 - 48 (более предпочтительно 16 ч) при 10 - 50°C (более предпочтительно при комнатной температуре). Реакционную массу концентрировали на роторном испарителе.

На четвертой стадии осуществляли синтез продуктов 4, 5, 6. Для этого к раствору рассчитанного количества соли 2-(3-(4-(7-((2-(триметилсилил)этокси)метил)-7H-пирроло[2,3-d]пиримидин-4-ил)-1H-пиразол-1-ил)азетидин-3-ил)ацетонитрила (3) в апротонном органическом растворителе (более предпочтительно дихлорметане, тетрагидрофуране, ацетоне) добавляли основание (предпочтительно третичный амин, производные пиридина или хинолина, более предпочтительно триэтиламин) и производное оксикарбоновой кислоты (более предпочтительно 3-метоксипропионовая кислота, 2-(метилтио)уксусная кислота, 3-(метилтио)пропионовая кислота). Реакционную смесь перемешивали при 10 - 50°C (более предпочтительно при комнатной температуре) 8 - 48 ч (более предпочтительно 16 ч). Дале разбавляли очищенной водой. Органический слой отделяли, сушили над сульфатом натрия, концентрировали на роторном испарителе. Продукт выделяли методом колоночной хроматографии на силикагеле.

На пятой стадии осуществляли синтез продуктов A, B, C. Для этого к раствору рассчитанного количества одного из 4, 5, 6 в рассчитанном количестве апротонного органического растворителя (более предпочтительно дихлорметана, тетрагидрофурана, ацетонитрила) добавляли трифторуксусную кислоту. Реакционную массу перемешивали при 5 - 50°C (более предпочтительно при комнатной температуре) 0,5 - 5 ч (более предпочтительно 2 ч), затем концентрировали на роторном испарителе. Остаток растворяли в алифатическом спирте (более предпочтительно метаноле, этаноле, изопропаноле, пропаноле). Добавляли раствор аммиака (3 - 25 мас. %) в очищенной воде, перемешивали при 5 - 50°C (более предпочтительно при комнатной температуре) 8 - 48 ч (более предпочтительно 16 ч). Полученный раствор концентрировали на роторном испарителе. Остаток разбавляли очищенной водой, при необходимости подкисляли (предпочтительно гидросульфатом калия (KHSO4)) до 4 - 6 (pH=4). Перемешивали при 5 - 50°C (более предпочтительно при комнатной температуре) в течение 6 - 24 ч (более предпочтительно в течение ночи). Наблюдали образование осадка. Осадок фильтровали, при необходимости концентрировали и хроматографировали на силикагеле, промывали очищенной водой и/или диэтиловым эфиром и сушили.

Для получения соли любого из соединений A, B, C к раствору рассчитанного количества любого из соединений A, B, C в рассчитанном количестве протонного органического растворителя или воды добавляли рассчитанное количество раствора соляной кислоты в протонном органическом растворителе или воде. Реакционную массу перемешивали при 5 - 70°C (более предпочтительно при комнатной температуре) в течение 1 - 24 ч (более предпочтительно в течение двух часов). По окончанию реакции фильтровали осадок или упаривали реакционную смесь, остаток сушили при пониженном давлении (0,1 - 0,8 атм), температуре 5 - 70°C (более предпочтительно при комнатной температуре).

Ниже приведены термины, которые используются в описании настоящего изобретения. Если не указано иное, все технические и специальные термины, использованные в описании, имеют общепринятое в данной области техники значение.

В контексте настоящего изобретения термин «фармацевтически приемлемый эксципиент» характеризует вещества неорганического или органического происхождения, используемые в процессе производства, изготовления лекарственных средств для придания им необходимых физико-химических свойств.

Термин «фармацевтическая композиция» в контексте настоящего изобретения обозначает субстанцию, включающую в себя терапевтически активный агент и, по меньшей мере, один из фармацевтически приемлемых и фармакологически совместимых эксципиентов, таких как, не ограничиваясь указанным, наполнителей, солюбилизаторов, растворителей, со-растворителей, антиоксидантов, буферных агентов, криопротекторов, разбавителей, консервантов, стабилизаторов, увлажнителей, эмульгаторов, лубрикантов, скользящих веществ, суспендирующих агентов, загустителей, связывающий агентов, подсластителей, отдушек, шипучих агентов, ароматизаторов, антибактериальных агентов, фунгицидов, регуляторов пролонгированной доставки, изотонических агентов, агентов, регулирующих рН, выбор и соотношение которых зависит от природы, назначения и дозировки терапевтически активного агента.

Неограничивающими примерами суспендирующих агентов являются этоксилированный, изостеариловый спирт, полиоксиэтилен, сорбитол и сорбитовый эфир, а также смеси этих веществ. В качестве стабилизаторов могут быть использованы, не ограничиваясь указанным, маннитол, микрокристаллическая целлюлоза, натриевая соль карбоксиметилцеллюлозы, поливинилпирролидон, коллоидный диоксид кремния, полисорбат-80, кроскармелоза натрия, натрия лаурилсульфат.

В качестве антиоксидантов в фармацевтической композиции могут быть использованы, в том числе, маннитол, аскорбиновая кислота, токоферол, β-каротин, ликопин.

В качестве наполнителей в фармацевтической композиции могут быть использованы, в том числе, крахмал, глюкоза, сахароза, лактоза, магния окись, натрия хлорид, натрия гидрокарбонат, каолин, производные целлюлозы, кальция карбонат, декстрин, сорбит, кроскармеллоза натрия, гидроксипропилметилцеллюлоза, магния стеарат.

Защита фармацевтической композиции от действия микроорганизмов может быть обеспечена с помощью разнообразных антибактериальных и противогрибковых агентов, например, таких как сорбиновая кислота, парабены (метилпарабен, пропилпарабен, этилпарабен, бутилпарабен, изобутилпарабен, изопропилпарабен, бензилпарабен, гептилпарабен и их смеси), хлорбутанол и подобные им соединения.

В качестве изотонических агентов фармацевтическая композиция может включать, не ограничиваясь указанным, сахара, хлорид натрия, гидрокарбонат натрия и др. Пролонгированное действие фармацевтической композиции может быть обеспечено, не ограничиваясь указанным, с помощью агентов, замедляющих абсорбцию активного агента (например, гидрофильные и гидрофобные полимерные замедлители высвобождения).

Неограничивающими (иллюстративными) примерами подходящих наполнителей являются лактоза, различные типы крахмала, маннитол, микрокристаллическая целлюлоза, карбонат и фосфат кальция и др.

В качестве растворителей и разбавителей могут быть использованы, не ограничиваясь указанным, вода, пригодные для парентеральных форм органические сложные эфиры, этанол, полиспирты, а также их смеси. Примерами лубрикантов могут быть, не ограничиваясь указанным, стеарат магния или кальция, тальк, лаурилсульфат натрия, стеарилфумарат натрия. В качестве скользящих веществ могут выступать диоксид кремния, тальк, каолин, бентониты и др. Для регулирования рН могут быть использованы различные органические и неорганические кислоты или щелочи, такие как, не ограничиваясь указанным, соляная кислота, яблочная, аскорбиновая, лимонная, уксусная, янтарная, винная, фумаровая, молочная, аспарагиновая, глутаровая, глутаминовая, сорбиновая кислоты, гидроксид натрия и т.д. Примерами диспергирующих агентов и распределяющих средств являются крахмал, альгиновая кислота и ее соли, силикаты.

Фармацевтическая композиция может быть введена животным и людям перорально, парентерально (внутрикожно, подкожно, внутримышечно, внутривенно, внутриартериально, в полости), сублингвально, местно, в том числе не ограничиваясь указанным, глазное, назальное введение и др., ректально в стандартной форме введения, в виде смеси с традиционными фармацевтическими носителями. Пригодные стандартные формы введения включают (без ограничения) пероральные формы: таблетки, капсулы, пеллеты, гранулы, порошки, растворы, растворы для распыления в полости рта и носа, сиропы, суспензии и др., пероральные: растворы, суспензии, эмульсии, концентраты для приготовления инъекционных и инфузионных лекарственных форм, аэрозоли и порошки для ингаляционного введения, пульмопорошки (порошки для распыления с помощью инхалера непосредственно в легкие), порошки и лиофилизаты для приготовления инъекционных и инфузионных лекарственных форм; ректальные: суппозитории, капсулы и др.; глазные капли.

Термин «фармацевтически приемлемый» в контексте настоящего изобретения означает, что данное вещество или композиция, в отношении которых применяется этот термин, должны быть совместимы с точки зрения химии и/или токсикологии с другими ингредиентами, входящими в состав препарата, и безопасны для того, кого лечат этим веществом или композицией.

«Фармацевтически приемлемая соль» в контексте настоящего изобретения означает относительно безопасные и нетоксичные органические и неорганические соли кислот и оснований, заявленных в настоящем изобретении.

Термин «лекарственное средство» в контексте настоящего изобретения характеризует вещества или их комбинации, вступающие в контакт с организмом человека или животного, проникающие в органы, ткани организма человека или животного, применяемые для профилактики или лечения заболеваний. К лекарственным средствам относятся лекарственные препараты в виде готовых лекарственных форм, предназначенных для введения в организм животного или человека различными способами, например, не ограничиваясь указанным, перорально, сублингвально, местно, ректально, парентерально.

Термин «фармацевтическая субстанция» или «субстанция» в контексте настоящего изобретения означает продукт синтеза, представляющий собой любое вещество или смесь веществ синтетического или иного (биологического, биохимического, минерального, растительного, животного, микробного и прочего) происхождения, предназначенный для получения фармацевтических композиций и лекарственных средств, который в процессе производства лекарственного средства (препарата) становится активным ингредиентом этого лекарственного средства и определяет его эффективность. Такие вещества предназначены для проявления фармакологической активности или другого прямого эффекта при диагностике, лечении, облегчении симптомов, или профилактики болезни и облегчения симптомов, или для воздействия на структуру или функцию организма.

Термин «содержащий», «содержит» в контексте настоящего изобретения означает, что указанные фармацевтические субстанции, фармацевтические композиции и лекарственные средства включают перечисленные компоненты, но не исключают включение других компонентов.

Термин «эффективное количество» в контексте настоящего изобретения означает количество вещества (а также комбинации веществ), которое при ведении субъекту для лечения или предотвращения заболевания, или по меньшей мере одного из клинических симптомов заболевания или нарушения является достаточным для воздействия такого лечения и/или профилактики на заболевание, нарушение или симптом. «Эффективное количество» определяется в зависимости от заболевания, нарушения и/или симптомов заболевания или нарушения, тяжести заболевания, нарушения и/или симптомов заболевания или нарушения, клинической картины и общего состояния здоровья пациента, а также от возраста и/или веса субъекта, которому необходимо такое лечение (профилактика).

Термин «дозировка», используемый здесь, характеризует содержание одного или нескольких активных агентов в количественном выражении на единицу дозы, или единицу объема, или единицу массы в соответствии с лекарственным средством либо для некоторых видов лекарственных средств количество высвобождаемого из лекарственного средства активного агента за единицу времени.

Термин «порошок», используемый здесь означает состояние вещества, при котором твердое вещество или вещества, входящие в его состав, находятся в свободной дисперсной системе без дисперсионной среды с дисперсионной фазой в виде твердых частиц различной формы.

Используемый в тексте термины «примерно», «около» обозначает приблизительно плюс или минус десять процентов от указанной величины.

Термин «примеси» в контексте настоящего изобретения представляет собой любой компонент фармацевтической субстанции, который не является активным агентом. Показатель качества фармацевтической субстанции характеризует содержание в фармацевтической субстанции примесей, попавших в субстанцию в процессе ее синтеза, как производственных (технологические примеси), так и родственных, а также образующихся в ходе ее деградации при хранении, и выражающийся в процентах. Источником примесей могут являться используемые в синтезе исходных веществ реактивы, катализаторы, технологическое оборудование, остатки фильтрующих материалов, недостаточно очищенное исходное сырье, использующиеся для синтеза фармацевтических субстанций.

Термин «физико-химические свойства веществ» в контексте настоящего изобретения характеризует плотность, форму, размер и характер поверхности частиц, удельную поверхность частиц, силы адгезии (слипание на поверхности) и когезии (слипание частиц внутри тела), поверхностную активность, температуру плавления, растворимость, гигроскопичность, стабильность, реакционную способность веществ и тд.

Растворимость в контексте настоящего изобретения характеризует способность вещества образовывать с другими веществами однородные системы - растворы, в которых вещество находится в виде отдельных атомов, ионов, молекул или частиц. Растворимость выражается концентрацией растворённого вещества в его насыщенном растворе либо в процентах, либо в весовых или объёмных единицах, отнесённых к г или см³ (мл) растворителя (например, г/100 г, или см³/100 см³, или г/мл).

Термин «аутоиммунные заболевания» в контексте настоящего изобретения характеризует класс заболеваний, при которых иммунная система организма ошибочно идентифицирует собственные клетки, ткани или органы как чужеродные и атакует их, вследствие чего развивается повреждение и разрушение нормальных тканей и развитие аутоиммунного воспаления. Например, к аутоиммунным заболеваниям, не ограничиваясь перечисленным, относятся ревматоидный артрит, системная красная волчанка, рассеянный склероз, сахарный диабет 1 типа, синдром гийена-барре, хроническая воспалительная демиелинизирующая полинейропатия, псориаз, болезнь грейвса, тиреоидит хашимото, миастения, склеродермия, васкулит.

Термин «иммуномодулятор» в контексте настоящего изобретения характеризует группу биологически активных веществ, влияющих на иммунную систему либо участвующих в ее функционировании. Класс иммуномодуляторов включает иммунодепрессанты (или иммуносупрессоры, вещества, подавляющие иммунный ответ) и иммуностимуляторы (вещества, усиливающие иммунный ответ, активирующие иммунные клетки, увеличивающие продукцию антител, улучшающие способность организма бороться с инфекциями и заболеваниями).

Стабильность представляет собой способность лекарственного средства сохранять в заданных пределах свойства и характеристики качества в течение определенного срока хранения и периода применения при соблюдении установленных условий хранения. Стабильность лекарственного средства является необходимым условием обеспечения его терапевтического эффекта или отсутствия у него новых побочных реакций.

В зависимости от сохраняемых свойств и характеристик качества различают следующие типы стабильности лекарственных средств:

- химическую стабильность, при которой сохраняются химическая целостность и активность действующего вещества в пределах, указанных в спецификации;

- физическую стабильность, при которой сохраняются первоначальные физические свойства лекарственного средства, в том числе внешний вид, вкус, однородность, растворимость, суспендируемость и др.;

- микробиологическую стабильность, при которой сохраняются стерильность, или микробиологическая чистота лекарственного средства в соответствии с указанными требованиями, или эффективность входящих в его состав антимикробных консервантов в указанных пределах;

- токсикологическую стабильность, при которой не происходит заметного повышения токсичности лекарственного препарата;

- терапевтическую стабильность, при которой терапевтический эффект лекарственного препарата остается неизменным.

Термин «технологические свойства веществ» в контексте настоящего изобретения характеризует объемную плотность, степень уплотнения, сыпучесть, влажность, фракционный состав, дисперсность, пористость, прессуемость веществ и др.

Для получения новых производных пирролопиримидинов по настоящему изобретению могут быть использованы следующие известные в уровне техники растворители, их дейтеропроизводные или их смеси: спирты, такие как метанол, этанол, н-пропанол, изопропанол, н-бутанол, 2-бутанол, изобутанол, третбутанол, амиловый спирт и его изомеры, циклогексанол, бензиловый спирт, этиленгликоль, 1,2-пропандиол, 1,3-пропандиол, кетоны, такие как ацетон, бутанон, метилизобутилкетон, 2-гексанон, циклопентанон, циклогексонон, эфиры, такие как этилформиат, метилацетат, этилацетат, н-пропилацетат, изопропилацетат, н-бутилацетат, изобутилацетат, этиленгликоль диацетат, пропиленгликоль диацетат, глицерол триацетат, диэтиловый эфир, диизопропиловый эфир, дибутиловый эфир, тетрагидрофуран, метилтетрагидрофуран, диоксан, анизол, метилтретбутиловый эфир, этилтретбутиловый эфир, циклопентилметиловый эфир, диметоксиэтан, диэтоксиметан, диглим, лактоны, такие как бутиролактон, валеролактон, углеводороды, такие как н-пентан, н-гексан, н-гептан, н-октан, циклогексан, метилциклогексан, бензол, толуол, ксилолы, кумол, тетралин, лимонен, терпентин, галогенуглеводороды, такие как дихлорметан, хлороформ, четыреххлористый углерод, 1,2-дихлорэтан, 1,1-дихлорэтилен, цис-дихлорэтилен, транс-дихлорэтилен, 1,1,2-трихлорэтилен, 1,1,1-трихлорэтан, 1-хлорбутан, хлорбензол, дихлорбензол, апротонные полярные растворители, такие как ацетонитрил, пропионитрил, диметилформамид, диметилацетамид, N-метилпирролидон, диметилолэтиленмочевина, диметилолпропиленмочевина, диметилсульфоксид, сульфолан, нитрометан, бифункциональные растворители, такие как метоксиэтанол, этоксиэтанол, 1-метоксипропан-2-ол, фурфуриловый спирт, тетрагидрофурфуриловый спирт, этиллактат, протонные растворители, такие как вода, кислоты, такие как муравьиная кислота, уксусная кислота, пропионовая кислота, трифторуксксная кислота, метансульфоновая кислота, трифторметансульфоновая кислота, ангидриды, такие как уксусный ангидрид, амиак, амины, такие как пиридин, тиэтиламин, а также сверхкритические жидкости, такие как диоксид углерода, вода, метан, этан, пропан, этилен, пропилен, метанол, этанол, ацетон, оксиды азота, оксид серы.

Термин «алкил» в контексте настоящего изобретения относится к насыщенной углеводородной группе с прямой или разветвленной цепью. Примеры алкильных групп включают метил, этил, пропил (например, н-пропил и изопропил), бутил (например, н-бутил, изобутил, втор-бутил, трет-бутил), пентил (например, н-пентил, изопентил, втор-пентил, неопентил) и т.д. Алкильная группа может содержать от 1 до примерно 20, от 2 до примерно 20, от 1 до примерно 10, от 1 до примерно 8, от 1 до примерно 6, от 1 до примерно 4 или от 1 до примерно 3 атомов углерода.

Термин «алкилен» в контексте настоящего изобретения относится к двухвалентным насыщенным алифатическим радикалам (например, этилен), при этом свободные валентности находятся при разных атомах углерода.

Термин «алифатический» в контексте настоящего изобретения относится к углеводородам, не содержащим циклов.

Термин «соединение» в контексте настоящего изобретения включает все стереоизомеры, геометрические изомеры, таутомерные формы, соли, гидраты, сольваты, клатраты, ангидриды, не сольватированные формы, изотопные формы. Соединения согласно изобретению, включая их соли, могут быть получены с помощью известных методов органического синтеза и согласно любому из многочисленных возможных синтетических путей.

Термин «таутомерные формы» в контексте настоящего изобретения означает соединения образовавшиеся в результате перемещения двойной связи на место соседней одинарной связи с сопутствующей миграцией протона. Таутомерные формы включают прототропные таутомеры, которые являются изомерными состояниями протонирования, имеющие одинаковую эмпирическую формулу и общий заряд.

Термин «изотопные формы» в контексте настоящего изобретения означает формы соединений, включающие все возможные изотопы атомов, присутствующих в данном соединении или его предшественнике. К изотопам относятся атомы, имеющие одинаковый атомный номер, но разные массовые числа.

Термин «комнатная температура» в контексте настоящего изобретения означает температуру, которая примерно соответствует температуре в комнате, где проводится реакция или процесс, например, температуре от примерно 20 до примерно 30°С.

Термин «очищенная вода» в контексте настоящего изобретения означает вспомогательное вещество или компонент для подготовки лекарственных препаратов к применению, для использования в процессе синтеза в качестве реагента или растворителя, для очистки емкостей, оборудования, первичных упаковочных материалов. Для получения очищенной воды используют методы ионного обмена, обратного осмоса или двухступенчатого обратного осмоса, ультрафильтрации и/или электродеионизации, а также дистилляции из воды, которая соответствует требованиям к качеству воды питьевой. Требования к качеству питьевой воды устанавливаются СанПиН «Питьевая вода. Гигиенические требования к качеству воды централизованных систем питьевого водоснабжения. Контроль качества».

Термин «органический растворитель» в контексте настоящего изобретения означает вещество органического происхождения, обладающее способностью растворять различные соединения.

Термин «полярный органический растворитель» в контексте настоящего изобретения означает класс органических растворителей, обладающих способностью растворять полярные соединения. К полярным органическим растворителям, не ограничиваясь перечисленным, относятся спирты, в частности метанол, этанол, пропанол, изопропанол, бутанол, кетоны, в частности ацетон, метилэтилкетон, кислоты, в частности муравьиная кислота, уксусная кислота, тетрагидрофуран, этилацетат, диметилформамид, ацетонитрил, диметилсульфоксид, нитрометан, ацетонитрил, этиленгликоль, нитробензол, N-метилпирролидон.

Термин «неполярный органический растворитель» в контексте настоящего изобретения означает класс органических растворителей, обладающих способностью растворять неполярные соединения. К неполярным органическим растворителям, не ограничиваясь перечисленным, относятся гексан, бензол, толуол, хлороформ, дихлорметан, диэтиловый эфир, диизопропиловый эфир, дибутиловый эфир, диоксан.

Термин «протонный органический растворитель» в контексте настоящего изобретения означает класс органических растворителей, содержащих атом водорода, способный к диссоциации в виде протона. К протонным органическим растворителям, не ограничиваясь перечисленным, относятся спирты, в частности метанол, этанол, пропанол, изопропанол, бутанол, кислоты, в частности муравьиная кислота, уксусная кислота,

Термин «апротонный органический растворитель» в контексте настоящего изобретения означает класс органических растворителей, не содержащих атом водорода, способный к диссоциации в виде протона. К апротонным органическим растворителям, не ограничиваясь перечисленным, относятся гексан, бензол, толуол, диоксан, хлороформ, диэтиловый эфир, дихлорметан, тетрагидрофуран, этилацетат, ацетон, диметилформамид, ацетонитрил, диметилсульфоксид.

Термин «смешивающийся с водой растворитель» в контексте настоящего изобретения означает класс растворителей, способных смешиваться с водой. К смешивающимся с водой растворителям, не ограничиваясь перечисленным, относятся тетрагидрофуран, метанол, изопропанол, этанол, диоксан, диметилсульфоксид, диметилформамид, ацетонитрил, ацетон.

Термин «несмешивающийся с водой растворитель» в контексте настоящего изобретения означает класс растворителей, не способных смешиваться с водой. К смешивающимся с водой растворителям, не ограничиваясь перечисленным, относятся толуол, пентан, метилэтилкетон, метил-трет-бутиловый эфир, изооктан, гексан, гептан, диэтиловый эфир, этилацетат, дихлорметан, дихлорэтан, циклогексан, хлороформ, тетрахлорид углерода, бутанол, бензол.

Термин «основание» в контексте настоящего изобретения означает органические или неорганические соединения, способные акцептировать протон. К органическим основаниям, не ограничиваясь перечисленным, относятся пиридин и его производные, в частности коллидин, 2,6-лутидин, производные аммония, в частности трибутиламин, триэтиламин, имидазол и его производные, бензимидазол и его производные, гистидин, гуанидин, в частности 1,1,3,3-тетраметилгуанидин (ТМГ), фосфазены, 1,5,7-триазабицикло(4.4.0)дец-5-ен (ТБД), 7-метил-1,5,7-триазабицикло(4.4.0)дец-5-ен (МТБД), 1,8-диазабицикло[5.4.0]ундец-7-ен (ДБУ), 1,5-диазабицикло[4.3.0]нон-5-ен (ДБН), хинуклидин, 2,2,6,6-тетраметилпиперидин (ТМП), пемпидин, 1,4-диазабицикло[2.2.2]октан. К неорганическим основаниям, не ограничиваясь перечисленным, относятся аммиак или его растворы в воде, растворимые и малорастворимые в воде гидроксиды щелочных и щелочноземельных металлов, амиды, карбонаты и гидрокарбонаты. К сильным неорганическим основаниям относятся растворимые в воде гидроксиды щелочных и щелочноземельных металлов, амиды. К слабым неорганическим основаниям относятся гидроксид аммония, малорастворимые гидроксиды металлов, карбонаты и гидрокарбонаты.

Термин «палладиевый катализатор» в контексте настоящего изобретения означает соединения с каталитической активностью, содержащие палладий, или палладий. К палладиевым катализаторам, не ограничиваясь перечисленным, относятся тетракис(трифенилфосфин)палладий, бис[1,2-бис(дифенилфосфино)этан]палладий, дихлоробис(метилдифенилфосфин)палладий, палладий на угле, палладия (II) ацетат (палладия ацетат).

Термин «галогеноводородная кислота» в контексте настоящего изобретения означает кислоту, выбранную из фтороводородной, хлороводородной, бромоводородной, йодоводородной.

краткое описание чертежей

Настоящее изобретение дополнительно проиллюстрировано посредством Фиг. 1 и Фиг. 2.

На Фиг. 1 показана усредненная по экспериментальным группам оценка тяжести симптомов артрита, индуцированного антителами к коллагену.

На Фиг. 2 показаны усредненные по экспериментальным группам уровни активности цитокинов в тканях легких и бронхоальвеолярной жидкости.

осуществление изобретения

Поставленная задача решается, а заявленный технический результат достигается за счет соединения, выбранного из группы, включающей соединения, охарактеризованные формулой (I)’:

или его фармацевтически приемлемой соли,

где (X)’, (Y)’ независимо друг от друга представляют собой -CH или N;

a = 1, 2, 3, 4, 5;

b = 1, 2, 3, 4, 5;

(R1)’, R2 независимо друг от друга представляют собой группу A или B, где

A представляет собой разветвленный или неразветвленный алкил, циклоалкил, алкенил (ненасыщенный углеводород с двойной связью), разветвленную или неразветвленную углеводородную цепь, разветвленный или неразветвленный алкилокси, разветвленный или неразветвленный алкилтио, гетероцикл или арил;

B представляет собой гидрокси, меркапто, амино, галоген, азидо, нитрозо, нитро, нитрил, циано, диазо, сульфо, COR3, SO3R3, C(NR6)NR4R5, OOR7, NR4R5, NHNHR3, NNR3, (NO)NR3, CH(NR3)R3, (SO)R3, SO2R3, SO(NR4)R3;

R3 представляет любой из A, водород, гидрокси, галоген, OM (где M = катион металла или аммония), NR4R5;

R4, R5 независимо друг от друга представляют собой любой из A;

R6 представляет любой из A;

R7 представляет любой из A или водород;

при этом A может быть замещен одним или несколькими заместителями, выбранными из A или B.

Поставленная задача решается, а заявленный технический результат достигается за счет соединения, выбранного из группы, включающей соединения, охарактеризованные формулой (I)’ (структура и радикалы указаны выше), за исключением:

если R2 представляет метил, замещенный циано, (X)’ представляет N, (Y)’ представляет C, a = 1, b = 1, то (R1)’ не представляет C1-6алкил, С3-7циклоалкил, фенил, 5- или 6-членный гетероарил, индолил, NQ2Q3 или OQ4, при этом указанный алкил, циклоалкил, фенил или гетероарил возможно содержит 1, 2 или 3 заместителя, независимо выбранных из F, CN и C1-4алкила; Q2 и Q3 независимо выбраны из Н, С1-4алкила и фенила и Q4 представляет собой C1-6алкил, фенил или бензил;

если R2 представляет метил, замещенный циано, (X)’ и (Y)’ представляют собой атом азота; или (X)’ представляет собой атом азота, a (Y)’ представляет собой метин; или (X)’ представляет собой метин, a (Y)’ представляет собой атом азота (R1)’ не представляет SO2(CH2)nCH2OH, SO2(CH2)nCH2F, SO2(CH2)nCHF2, SO2(CH2)nCF3, SO2(CH2)nCO2R1a, SO2(CH2)nCO2H, CH2CH2SO2CH3, CH2CH2SO3H, CH2CH2SO2NH2; n=1 или 2; R1a представляет собой алкил или циклоалкил, предпочтительно C13алкил;

если R2 представляет метил, замещенный циано, (X)’ и (Y)’ представляют собой атом азота, или (X)’ представляет собой метин, a (Y)’ представляет собой атом азота (R1)’ не представляет собой SO2CH2CH3,

если R2 представляет метил, замещенный циано, (X)’ представляет N, (Y)’ представляет C, a = 1, b = 1, то (R1)’ не представляет фрагмент формулы II:

если R2 представляет метил, замещенный циано, (X)’ представляет азот N, (Y)’ представляет углерод C, a = 1, b = 1, то (R1)’ не представляет фрагмент формулы III:

1) T = H, L = CH3, CH2CH3, Ph, CH(CH3)2, CF3, циклопропил;

2) T = CH3, L = CH3, CH2CH3, CH2CH2F, циклопропил;

3) T = CH(CH3)Ph, L = CH3;

4) T = циклопропил, L = CH3;

5) T = CH(CH3)2, L = CH3;

6) T = CH2CH3, L = циклопропил;

7) T = циклопропил, L = циклопропил, CH2CH3;

8) T = CH2CF3, циклопропил.

Поставленная задача решается, а заявленный технический результат достигается за счет соединения, выбранного из группы, включающей соединения, охарактеризованные формулой IV:

или его фармацевтически приемлемая соль, где X представляет собой карбонильный (-C(O)-) радикал; Y представляет собой C1-6-алкилен; Z представляет собой C1-6-алкилокси (-O-C1-6-алкил) или C1-6-алкилтио (-S-C1-6-алкил) радикал.

Одним из вариантов воплощения изобретения является получение соединения, охарактеризованного формулой IV, или его фармацевтически приемлемой соли, где Y представляет собой C1-6-алкилен, Z представляет собой C1-6-алкилокси, а X представляет собой карбонильный (-C(O)-).

Одним из вариантов воплощения изобретения является получение соединения, охарактеризованного формулой IV, или его фармацевтически приемлемой соли, где Y представляет собой C1-6-алкилен, Z представляет собой C1-6-алкилтио, а X представляет собой карбонильный (-C(O)-) радикал.

Одним из вариантов воплощения изобретения является получение соединения, охарактеризованного формулой IV, или его фармацевтически приемлемой соли, где Y представляет собой C1-6-алкилен, Z представляет собой C1-6-алкилокси, а X представляет собой карбонильный (-C(O)-) радикал или его фармацевтически приемлемой соли.

Одним из вариантов воплощения изобретения является получение соединения, охарактеризованного формулой IV, или его фармацевтически приемлемой соли, где Y представляет собой C1-6-алкилен, Z представляет собой C1-6-алкилтио, а X представляет собой карбонильный (-C(O)-) радикал или его фармацевтически приемлемой соли.

Поставленная задача решается, а заявленный технический результат достигается за счет 2-(3-(4-(7H-пирроло[2,3-d]пиримидин-4-ил)-1H-пиразол-1-ил)-1-(2-(метилтио)ацетил)азетидин-3-ил)ацетонитрил, охарактеризованного формулой А

или его фармацевтически приемлемой соли.

Поставленная задача решается, а заявленный технический результат достигается за счет фармацевтически приемлемой соли 2-(3-(4-(7H-пирроло[2,3-d]пиримидин-4-ил)-1H-пиразол-1-ил)-1-(2-(метилтио)ацетил)азетидин-3-ил)ацетонитрила, охарактеризованной формулой Аa

Поставленная задача решается, а заявленный технический результат достигается за счет 2-(3-(4-(7H-пирроло[2,3-d]пиримидин-4-ил)-1H-пиразол-1-ил)-1-(3-метоксипропаноил)азетидин-3-ил)ацетонитрил, охарактеризованного формулой B

или его фармацевтически приемлемой соли.

Поставленная задача решается, а заявленный технический результат достигается за счет фармацевтически приемлемой соли 2-(3-(4-(7H-пирроло[2,3-d]пиримидин-4-ил)-1H-пиразол-1-ил)-1-(3-метоксипропаноил)азетидин-3-ил)ацетонитрила, охарактеризованной формулой Bb

Поставленная задача решается, а заявленный технический результат достигается за счет 2-(3-(4-(7H-пирроло[2,3-d]пиримидин-4-ил)-1H-пиразол-1-ил)-1-(3-(метилтио)пропаноил)азетидин-3-ил)ацетонитрила, охарактеризованного формулой C

или его фармацевтически приемлемой соли.

Поставленная задача решается, а заявленный технический результат достигается за счет фармацевтически приемлемой соли 2-(3-(4-(7H-пирроло[2,3-d]пиримидин-4-ил)-1H-пиразол-1-ил)-1-(3-(метилтио)пропаноил)азетидин-3-ил)ацетонитрила, охарактеризованной формулой Cc

В одном из вариантов воплощения настоящего изобретения X2 представляет собой кислоту.

Более предпочтительно кислота по настоящему изобретению представляет собой одноосновную, двухосновную или трехосновную кислоту.

Более предпочтительно кислота по настоящему изобретению представляет собой одноосновную, двухосновную или многоосновную кислоту.

В одном из вариантов воплощения настоящего изобретения фармацевтически приемлемая соль соединения Aa представляет собой соль, образованную соединением A и неорганической кислотой.

В одном из вариантов воплощения настоящего изобретения фармацевтически приемлемая соль соединения Bb представляет собой соль, образованную соединением B и неорганической кислотой.

В одном из вариантов воплощения настоящего изобретения фармацевтически приемлемая соль соединения Cс представляет собой соль, образованную соединением C и неорганической кислотой.

Более предпочтительно X2 представляет неорганическую кислоту.

Более предпочтительно неорганическая кислота по настоящему изобретению представляет собой одноосновную, двухосновную или трехосновную кислоту.

Если неорганическая кислота представляет собой одноосновную кислоту, то молярное соотношение солеобразующей кислоты и соединения A составляет 1:1, или, если неорганическая кислота представляет собой одноосновную кислоту, то z = 1.

Если неорганическая кислота представляет собой одноосновную кислоту, то молярное соотношение солеобразующей кислоты и соединения B составляет 1:1, или, если неорганическая кислота представляет собой одноосновную кислоту, то z = 1.

Если неорганическая кислота представляет собой одноосновную кислоту, то молярное соотношение солеобразующей кислоты и соединения C составляет 1:1, или, если неорганическая кислота представляет собой одноосновную кислоту, то z = 1.

Более предпочтительно в рамках настоящего изобретения одноосновная неорганическая кислота выбрана из группы, включающей, не ограничиваясь указанным, хлороводородную, фтороводородную, бромоводородную, йодоводородную, азотную и азотистую кислоты.

Если неорганическая кислота представляет собой двухосновную кислоту, то молярное соотношение солеобразующей кислоты и соединения A составляет 1:1 или 1:2, или, если неорганическая кислота представляет собой двухосновную кислоту, то z = 1, 2.

Если неорганическая кислота представляет собой двухосновную кислоту, то молярное соотношение солеобразующей кислоты и соединения B составляет 1:1 или 1:2, или, если неорганическая кислота представляет собой двухосновную кислоту, то z = 1, 2.

Если неорганическая кислота представляет собой двухосновную кислоту, то молярное соотношение солеобразующей кислоты и соединения C составляет 1:1 или 1:2, или, если неорганическая кислота представляет собой двухосновную кислоту, то z = 1, 2.

Более предпочтительно в рамках настоящего изобретения двухосновная неорганическая кислота выбрана из группы, включающей, не ограничиваясь указанным, сероводородную, сернистую, серную и угольную кислоты.

Если неорганическая кислота представляет собой трехосновную кислоту, то молярное соотношение солеобразующей кислоты и соединения A составляет 1:1, 1:2 или 1:3, или, если неорганическая кислота представляет собой трехосновную кислоту, то z = 1, 2, 3.

Если неорганическая кислота представляет собой трехосновную кислоту, то молярное соотношение солеобразующей кислоты и соединения B составляет 1:1, 1:2 или 1:3, или, если неорганическая кислота представляет собой трехосновную кислоту, то z = 1, 2, 3.

Если неорганическая кислота представляет собой трехосновную кислоту, то молярное соотношение солеобразующей кислоты и соединения C составляет 1:1, 1:2 или 1:3, или, если неорганическая кислота представляет собой трехосновную кислоту, то z = 1, 2, 3.

Более предпочтительно в рамках настоящего изобретения трехосновная неорганическая кислота представляет собой, не ограничиваясь указанным, фосфорную кислоту.

В одном из вариантов воплощения настоящего изобретения фармацевтически приемлемая соль соединения А, В или C представляет собой соль, образованную соединением А, В или C и органической кислотой.

Более предпочтительно X2 представляет органическую кислоту.

Более предпочтительно органическая кислота по настоящему изобретению представляет собой одноосновную, двухосновную или многоосновную кислоту.

Если органическая кислота представляет собой одноосновную кислоту, то молярное соотношение солеобразующей кислоты и соединения A составляет 1:1, или, если органическая кислота представляет собой одноосновную кислоту, то z = 1.

Если органическая кислота представляет собой одноосновную кислоту, то молярное соотношение солеобразующей кислоты и соединения B составляет 1:1, или, если органическая кислота представляет собой одноосновную кислоту, то z = 1.

Если органическая кислота представляет собой одноосновную кислоту, то молярное соотношение солеобразующей кислоты и соединения C составляет 1:1, или, если органическая кислота представляет собой одноосновную кислоту, то z = 1.

Более предпочтительно в рамках настоящего изобретения одноосновная органическая кислота выбрана из группы, включающей, не ограничиваясь указанным, муравьиную, уксусную, монофторусусную, дифторуксусную, трифторуксусную, пропионовую, масляную, изомасляную, валериановую, капроновую, энантовую, п-толуоловую, анисовую и фенилусусную кислоту.

Если органическая кислота представляет собой двухосновную кислоту, то молярное соотношение солеобразующей кислоты и соединения A составляет 1:1 или 1:2, или, если органическая кислота представляет собой двухосновную кислоту, то z = 1, 2.

Если органическая кислота представляет собой двухосновную кислоту, то молярное соотношение солеобразующей кислоты и соединения B составляет 1:1 или 1:2, или, если органическая кислота представляет собой двухосновную кислоту, то z = 1, 2.

Если органическая кислота представляет собой двухосновную кислоту, то молярное соотношение солеобразующей кислоты и соединения C составляет 1:1 или 1:2, или, если органическая кислота представляет собой двухосновную кислоту, то z = 1, 2.

Более предпочтительно в рамках настоящего изобретения двухосновная органическая кислота выбрана из группы, включающей, не ограничиваясь указанным, щавелевую, малоновую, янтарную, диоксоянтарную, глутаровую, α-гидроксиглутаровую, 2-оксоглутаровую, 3-оксоглутаровую, адипиновую, пимелиновую, диаминопимелиновую, фталиевую, изофталиевую, терифталиевую, яблочную, субериновую, азелаиновую, малеиновую, фумаровую, винную, аспарагиновую, глутаминовую, арабиновую и D-глюкаровую кислоту.

Если органическая кислота представляет собой трехосновную кислоту, то молярное соотношение солеобразующей кислоты и соединения A составляет 1:1, 1:2 или 1:3, или, если органическая кислота представляет собой трехосновную кислоту, то z = 1, 2, 3..

Если органическая кислота представляет собой трехосновную кислоту, то молярное соотношение солеобразующей кислоты и соединения B составляет 1:1, 1:2 или 1:3, или, если органическая кислота представляет собой трехосновную кислоту, то z = 1, 2, 3..

Если органическая кислота представляет собой трехосновную кислоту, то молярное соотношение солеобразующей кислоты и соединения C составляет 1:1, 1:2 или 1:3, или, если органическая кислота представляет собой трехосновную кислоту, то z = 1, 2, 3.

Более предпочтительно в рамках настоящего изобретения трехосновная органическая кислота выбрана из группы, включающей, не ограничиваясь указанным, лимонную, изолимонную, аконитовую, β-карбоксиглутаровую, 2-гидрокси-1,2,3-нонадекантрикарбоновую и бензол-1,3,5-трикарбоновую кислоту.

Одним из вариантов воплощения настоящего изобретения является 2-(3-(4-(7H-пирроло[2,3-d]пиримидин-4-ил)-1H-пиразол-1-ил)-1-(2-(метилтио)ацетил)азетидин-3-ил)ацетонитрила гидрохлорид.

Одним из вариантов воплощения настоящего изобретения является 2-(3-(4-(7H-пирроло[2,3-d]пиримидин-4-ил)-1H-пиразол-1-ил)-1-(3-метоксипропаноил)азетидин-3-ил)ацетонитрила гидрохлорид.

Одним из вариантов воплощения настоящего изобретения является 2-(3-(4-(7H-пирроло[2,3-d]пиримидин-4-ил)-1H-пиразол-1-ил)-1-(3-(метилтио)пропаноил)азетидин-3-ил)ацетонитрила гидрохлорид.

Соединения, охарактеризованные формулами A, B, C, или их фармацевтически приемлемые соли, по настоящему изобретению могут быть введены в форме пролекарств. Пролекарство может включать ковалентно связанный носитель, который высвобождает активное исходное лекарственное средство при введении субъекту-млекопитающему. Пролекарства могут быть получены путем модификации функциональных групп, присутствующих в соединениях, таким образом, что модификации расщепляются, либо в ходе обычных манипуляций, либо in vivo, до исходных соединений. Пролекарства включают, например, соединения, в которых гидроксильная или амино группа связана с любой группой, которая при введении субъекту расщепляется с образованием свободной гидроксильной или амино группы. Примеры пролекарств включают, без ограничений, ацетатные, формиатные и бензоатные производные спиртовых функциональных групп в соединениях.

Типичные пролекарства образуют активный метаболит путем превращения пролекарства гидролитическими ферментами, гидролиза амидов, лактамов, пептидов, сложных эфиров карбоновых кислот, эпоксидов или расщепления сложных эфиров неорганических кислот.

Поставленная задача решается, а заявленный технический результат также достигается за счет фармацевтической композиции, проявляющей свойства ингибитора Янус киназы (JAK), содержащей 2-(3-(4-(7H-пирроло[2,3-d]пиримидин-4-ил)-1H-пиразол-1-ил)-1-(2-(метилтио)ацетил)азетидин-3-ил)ацетонитрил, охарактеризованный формулой А, или его фармацевтически приемлемую соль.

Поставленная задача решается, а заявленный технический результат также достигается за счет фармацевтической композиции, проявляющей свойства ингибитора Янус киназы (JAK), для лечения аутоиммунных заболеваний, содержащей 2-(3-(4-(7H-пирроло[2,3-d]пиримидин-4-ил)-1H-пиразол-1-ил)-1-(2-(метилтио)ацетил)азетидин-3-ил)ацетонитрил, охарактеризованный формулой А, или его фармацевтически приемлемую соль.

Поставленная задача решается, а заявленный технический результат также достигается за счет фармацевтической композиции, проявляющей свойства ингибитора Янус киназы (JAK), для лечения аутоиммунных заболеваний, содержащей 2-(3-(4-(7H-пирроло[2,3-d]пиримидин-4-ил)-1H-пиразол-1-ил)-1-(2-(метилтио)ацетил)азетидин-3-ил)ацетонитрил, охарактеризованный формулой А, или его фармацевтически приемлемую соль, и по меньшей мере один фармацевтически приемлемый эксципиент.

Поставленная задача решается, а заявленный технический результат также достигается за счет фармацевтической композиции, проявляющей свойства ингибитора Янус киназы (JAK), для лечения аутоиммунных заболеваний, содержащей в терапевтически эффективном количестве 2-(3-(4-(7H-пирроло[2,3-d]пиримидин-4-ил)-1H-пиразол-1-ил)-1-(2-(метилтио)ацетил)азетидин-3-ил)ацетонитрил, охарактеризованный формулой А, или его фармацевтически приемлемую соль.

Поставленная задача решается, а заявленный технический результат также достигается за счет фармацевтической композиции, проявляющей свойства ингибитора Янус киназы (JAK), для лечения аутоиммунных заболеваний, содержащей в терапевтически эффективном количестве 2-(3-(4-(7H-пирроло[2,3-d]пиримидин-4-ил)-1H-пиразол-1-ил)-1-(2-(метилтио)ацетил)азетидин-3-ил)ацетонитрил, охарактеризованный формулой А, или его фармацевтически приемлемую соль, и по меньшей мере один фармацевтически приемлемый эксципиент.

Одним из вариантов воплощения настоящего изобретения также является фармацевтическая композиция, содержащая 2-(3-(4-(7H-пирроло[2,3-d]пиримидин-4-ил)-1H-пиразол-1-ил)-1-(2-(метилтио)ацетил)азетидин-3-ил)ацетонитрил, охарактеризованный формулой А, или его фармацевтически приемлемую соль в количестве от 0,01 до 100,00 мас. % от массы фармацевтической композиции.

Одним из вариантов воплощения настоящего изобретения также является фармацевтическая композиция, проявляющая свойства ингибитора Янус киназы (JAK), для лечения аутоиммунных заболеваний, содержащая 2-(3-(4-(7H-пирроло[2,3-d]пиримидин-4-ил)-1H-пиразол-1-ил)-1-(2-(метилтио)ацетил)азетидин-3-ил)ацетонитрил, охарактеризованный формулой А, или его фармацевтически приемлемую соль в количестве от 0,01 до 99,99 мас. % от массы фармацевтической композиции.

Более предпочтительно содержание 2-(3-(4-(7H-пирроло[2,3-d]пиримидин-4-ил)-1H-пиразол-1-ил)-1-(2-(метилтио)ацетил)азетидин-3-ил)ацетонитрила, охарактеризованного формулой А, или его фармацевтически приемлемой соли в фармацевтической композиции по настоящему изобретению составляет от 0,01 до 85,00 мас. %, от 0,01 до 80,00 мас. %, от 0,01 до 75,00 мас. %, от 0,01 до 70,00 мас. %, от 0,01 до 65,00 мас. %, от 0,01 до 60,00 мас. %, от 0,01 до 55,00 мас. %, от 0,01 до 40,00 мас. %, от 0,01 до 35,00 мас. %, от 0,01 до 30,00 мас. %, от 0,01 до 25,00 мас. %, от 0,01 до 20,00 мас. %, от 0,01 до 15,00 мас. %, от 0,01 до 10,00 мас. %, от 0,01 до 9,00 мас. %, от 0,01 до 8,00 мас. %, от 0,01 до 7,00 мас. %, от 0,01 до 6,00 мас. %, от 0,01 до 5,00 мас. %, от 0,01 до 4,00 мас. %, от 0,01 до 3,00 мас. %, от 0,01 до 2,00 мас. % или от 0,01 до 1,00 мас. % от массы фармацевтической композиции.

Более предпочтительно содержание 2-(3-(4-(7H-пирроло[2,3-d]пиримидин-4-ил)-1H-пиразол-1-ил)-1-(2-(метилтио)ацетил)азетидин-3-ил)ацетонитрила, охарактеризованного формулой А, или его фармацевтически приемлемой соли в фармацевтической композиции по настоящему изобретению составляет от 0,10 до 85,00 мас. %, от 0,10 до 80,00 мас. %, от 0,10 до 75,00 мас. %, от 0,10 до 70,00 мас. %, от 0,10 до 65,00 мас. %, от 0,10 до 60,00 мас. %, от 0,10 до 55,00 мас. %, от 0,10 до 40,00 мас. %, от 0,10 до 35,00 мас. %, от 0,10 до 30,00 мас. %, от 0,10 до 25,00 мас. %, от 0,10 до 20,00 мас. %, от 0,10 до 15,00 мас. %, от 0,10 до 10,00 мас. %, от 0,10 до 9,00 мас. %, от 0,10 до 8,00 мас. %, от 0,10 до 7,00 мас. %, от 0,10 до 6,00 мас. %, от 0,10 до 5,00 мас. %, от 0,10 до 4,00 мас. %, от 0,10 до 3,00 мас. %, от 0,10 до 2,00 мас. % или от 0,10 до 1,00 мас. % от массы фармацевтической композиции.

Более предпочтительно содержание 2-(3-(4-(7H-пирроло[2,3-d]пиримидин-4-ил)-1H-пиразол-1-ил)-1-(2-(метилтио)ацетил)азетидин-3-ил)ацетонитрила, охарактеризованного формулой А, или его фармацевтически приемлемой соли в фармацевтической композиции по настоящему изобретению составляет от 1,00 до 85,00 мас. %, от 1,00 до 80,00 мас. %, от 1,00 до 75,00 мас. %, от 1,00 до 70,00 мас. %, от 1,00 до 65,00 мас. %, от 1,00 до 60,00 мас. %, от 1,00 до 55,00 мас. %, от 1,00 до 40,00 мас. %, от 1,00 до 35,00 мас. %, от 1,00 до 30,00 мас. %, от 1,00 до 25,00 мас. %, от 1,00 до 20,00 мас. %, от 1,00 до 15,00 мас. %, от 1,00 до 10,00 мас. %, от 1,00 до 9,00 мас. %, от 1,00 до 8,00 мас. %, от 1,00 до 7,00 мас. %, от 1,00 до 6,00 мас. %, от 1,00 до 5,00 мас. %, от 1,00 до 4,00 мас. %, от 1,00 до 3,00 мас. % или от 1,00 до 2,00 мас. % от массы фармацевтической композиции.

Более предпочтительно содержание 2-(3-(4-(7H-пирроло[2,3-d]пиримидин-4-ил)-1H-пиразол-1-ил)-1-(2-(метилтио)ацетил)азетидин-3-ил)ацетонитрила, охарактеризованного формулой А, или его фармацевтически приемлемой соли в фармацевтической композиции по настоящему изобретению составляет от 5,00 до 85,00 мас. %, от 5,00 до 80,00 мас. %, от 5,00 до 75,00 мас. %, от 5,00 до 70,00 мас. %, от 5,00 до 65,00 мас. %, от 5,00 до 60,00 мас. %, от 5,00 до 55,00 мас. %, от 5,00 до 40,00 мас. %, от 5,00 до 35,00 мас. %, от 5,00 до 30,00 мас. %, от 5,00 до 25,00 мас. %, от 5,00 до 20,00 мас. %, от 5,00 до 15,00 мас. %, от 5,00 до 10,00 мас. %, от 5,00 до 9,00 мас. %, от 5,00 до 8,00 мас. %, от 5,00 до 7,00 мас. % или от 5,00 до 6,00 мас. % от массы фармацевтической композиции.

Более предпочтительно содержание 2-(3-(4-(7H-пирроло[2,3-d]пиримидин-4-ил)-1H-пиразол-1-ил)-1-(2-(метилтио)ацетил)азетидин-3-ил)ацетонитрила, охарактеризованного формулой А, или его фармацевтически приемлемой соли в фармацевтической композиции по настоящему изобретению составляет от 10,00 до 85,00 мас. %, от 10,00 до 80,00 мас. %, от 10,00 до 75,00 мас. %, от 10,00 до 70,00 мас. %, от 10,00 до 65,00 мас. %, от 10,00 до 60,00 мас. %, от 10,00 до 55,00 мас. %, от 10,00 до 40,00 мас. %, от 10,00 до 35,00 мас. %, от 10,00 до 30,00 мас. %, от 10,00 до 25,00 мас. %, от 10,00 до 20,00 мас. % или от 10,00 до 15,00 мас. % от массы фармацевтической композиции.

Более предпочтительно содержание 2-(3-(4-(7H-пирроло[2,3-d]пиримидин-4-ил)-1H-пиразол-1-ил)-1-(2-(метилтио)ацетил)азетидин-3-ил)ацетонитрила, охарактеризованного формулой А, или его фармацевтически приемлемой соли в фармацевтической композиции по настоящему изобретению составляет от 15,00 до 85,00 мас. %, от 15,00 до 80,00 мас. %, от 15,00 до 75,00 мас. %, от 15,00 до 70,00 мас. %, от 15,00 до 65,00 мас. %, от 15,00 до 60,00 мас. %, от 15,00 до 55,00 мас. %, от 15,00 до 40,00 мас. %, от 15,00 до 35,00 мас. %, от 15,00 до 30,00 мас. %, от 15,00 до 25,00 мас. % или от 15,00 до 20,00 мас. % от массы фармацевтической композиции.

Более предпочтительно содержание 2-(3-(4-(7H-пирроло[2,3-d]пиримидин-4-ил)-1H-пиразол-1-ил)-1-(2-(метилтио)ацетил)азетидин-3-ил)ацетонитрила, охарактеризованного формулой А, или его фармацевтически приемлемой соли по настоящему изобретению в фармацевтической композиции составляет от 0.50 до 5.00 масс. %, от 0.50 до 4.50 масс. %, от 0.50 до 4.00 масс. %, от 0.50 до 3.50 масс. %, от 0.50 до 3.00 масс. %, от 0.50 до 2.50 масс. %, от 0.50 до 2.00 масс. %, от 0.50 до 1.50 масс. % или от 0.50 до 1.00 масс. % от массы фармацевтической композиции.

Одним из вариантов воплощения настоящего изобретения является вышеупомянутая фармацевтическая композиция, в которой по меньшей мере один фармацевтически приемлемый эксципиент выбран из группы, включающей формообразующие вещества, стабилизаторы, солюбилизаторы, растворители, увлажнители, лубриканты, скользящие вещества, загустители, подсластители, отдушки, ароматизаторы, фунгициды, регуляторы пролонгированной доставки, сорастворители, разбавители, наполнители, эмульгаторы, консерванты, антиоксиданты, буферные агенты, криопротекторы, регулирующие рН агенты, вещества для поддержания изотоничности или корригирующие вещества.

Одним из вариантов воплощения настоящего изобретения является фармацевтическая композиция, характеризующаяся тем, что содержит по меньшей мере один фармацевтически приемлемый эксципиент в количестве от 0.00 до 99.99 масс. % от массы фармацевтической композиции.

Одним из вариантов воплощения настоящего изобретения является фармацевтическая композиция, характеризующаяся тем, что содержит по меньшей мере один фармацевтически приемлемый эксципиент в количестве от 0.01 до 99.99 масс. % от массы фармацевтической композиции.

Более предпочтительно содержание по меньшей мере одного фармацевтически приемлемого эксципиента в вышеупомянутой фармацевтической композиции по настоящему изобретению составляет от 0.01 до 95.00 масс. %, от 0.01 до 90.00 масс. %, от 0.01 до 85.00 масс. %, от 0.01 до 80.00 масс. %, от 0.01 до 75.00 масс. %, от 0.01 до 70.00 масс. %, от 0.01 до 65.00 масс. %, от 0.01 до 60.00 масс. %, от 0.01 до 55.00 масс. %, от 0.01 до 50.00 масс. % или от 0.01 до 40.00 масс. % от массы фармацевтической композиции.

Более предпочтительно содержание по меньшей мере одного фармацевтически приемлемого эксципиента в вышеупомянутой фармацевтической композиции составляет от 0.10 до 99.99 масс. %, от 0.10 до 95.00 масс. %, от 0.10 до 90.00 масс. %, от 0.10 до 85.00 масс. %, от 0.10 до 80.00 масс. %, от 0.10 до 75.00 масс. %, от 0.10 до 70.00 масс. %, от 0.10 до 65.00 масс. %, от 0.10 до 60.00 масс. %, от 0.10 до 55.00 масс. %, от 0.10 до 50.00 масс. %, от 0.10 до 45.00 масс. %, или от 0.10 до 40.00 масс. % от массы фармацевтической композиции.

Более предпочтительно содержание по меньшей мере одного фармацевтически приемлемого эксципиента в вышеупомянутой фармацевтической композиции составляет от 1.00 до 99.99 масс. %, от 1.00 до 95.00 масс. %, от 1.00 до 90.00 масс. %, от 1.00 до 85.00 масс. %, от 1.00 до 80.00 масс. %, от 1.00 до 75.00 масс. %, от 1.00 до 70.00 масс. %, от 1.00 до 65.00 масс. %, от 1.00 до 60.00 масс. %, от 1.00 до 55.00 масс. %, от 1.00 до 50.00 масс. %, от 1.00 до 45.00 масс. % или от 1.00 до 40.00 масс. % от массы фармацевтической композиции.

Более предпочтительно содержание по меньшей мере одного фармацевтически приемлемого эксципиента в вышеупомянутой фармацевтической композиции составляет от 5.00 до 99.99 масс. %, от 5.00 до 95.00 масс. %, от 5.00 до 90.00 масс. %, от 5.00 до 85.00 масс. %, от 5.00 до 80.00 масс. %, от 5.00 до 75.00 масс. %, от 5.00 до 70.00 масс. %, от 5.00 до 65.00 масс. %, от 5.00 до 60.00 масс. %, от 5.00 до 55.00 масс. %, от 5.00 до 50.00 масс. %, от 5.00 до 45.00 масс. % или от 5.00 до 40.00 масс. % от массы фармацевтической композиции.

Более предпочтительно содержание по меньшей мере одного фармацевтически приемлемого эксципиента в вышеупомянутой фармацевтической композиции составляет от 10.00 до 99.99 масс. %, от 10.00 до 95.00 масс. %, от 10.00 до 90.00 масс. %, от 10.00 до 85.00 масс. %, от 10.00 до 80.00 масс. %, от 10.00 до 75.00 масс. %, от 10.00 до 70.00 масс. %, от 10.00 до 65.00 масс. %, от 10.00 до 60.00 масс. %, от 10.00 до 55.00 масс. %, от 10.00 до 50.00 масс. %, от 10.00 до 45.00 масс. % или от 10.00 до 40.00 масс. % от массы фармацевтической композиции.

Более предпочтительно содержание по меньшей мере одного фармацевтически приемлемого эксципиента в вышеупомянутой фармацевтической композиции составляет от 15.00 до 99.99 масс. %, от 15.00 до 95.00 масс. %, от 15.00 до 90.00 масс. %, от 15.00 до 85.00 масс. %, от 15.00 до 80.00 масс. %, от 15.00 до 75.00 масс. %, от 15.00 до 70.00 масс. %, от 15.00 до 65.00 масс. %, от 15.00 до 60.00 масс. %, от 15.00 до 55.00 масс. %, от 15.00 до 50.00 масс. %, от 15.00 до 45.00 масс. % или от 15.00 до 40.00 масс. % от массы фармацевтической композиции.

Более предпочтительно содержание по меньшей мере одного фармацевтически приемлемого эксципиента в вышеупомянутой фармацевтической композиции составляет от 20.00 до 99.99 масс. %, от 20.00 до 95.00 масс. %, от 20.00 до 90.00 масс. %, от 20.00 до 85.00 масс. %, от 20.00 до 80.00 масс. %, от 20.00 до 75.00 масс. %, от 20.00 до 70.00 масс. %, от 20.00 до 65.00 масс. %, от 20.00 до 60.00 масс. %, от 20.00 до 55.00 масс. %, от 20.00 до 50.00 масс. %, от 20.00 до 45.00 масс. % или от 20.00 до 40.00 масс. % от массы фармацевтической композиции.

Более предпочтительно содержание по меньшей мере одного фармацевтически приемлемого эксципиента в вышеупомянутой фармацевтической композиции составляет от 25.00 до 99.99 масс. %, от 25.00 до 95.00 масс. %, от 25.00 до 90.00 масс. %, от 25.00 до 85.00 масс. %, от 25.00 до 80.00 масс. %, от 25.00 до 75.00 масс. %, от 25.00 до 70.00 масс. %, от 25.00 до 65.00 масс. %, от 25.00 до 60.00 масс. %, от 25.00 до 55.00 масс. %, от 25.00 до 50.00 масс. %, от 25.00 до 45.00 масс. % или от 25.00 до 40.00 масс. % от массы фармацевтической композиции.

Более предпочтительно содержание по меньшей мере одного фармацевтически приемлемого эксципиента в вышеупомянутой фармацевтической композиции составляет от 30.00 до 99.99 масс. %, от 30.00 до 95.00 масс. %, от 30.00 до 90.00 масс. %, от 30.00 до 85.00 масс. %, от 30.00 до 80.00 масс. %, от 30.00 до 75.00 масс. %, от 30.00 до 70.00 масс. %, от 30.00 до 65.00 масс. %, от 30.00 до 60.00 масс. %, от 30.00 до 55.00 масс. %, от 30.00 до 50.00 масс. %, от 30.00 до 45.00 масс. % или от 30.00 до 40.00 масс. % от массы фармацевтической композиции.

Более предпочтительно содержание по меньшей мере одного фармацевтически приемлемого эксципиента в вышеупомянутой фармацевтической композиции составляет от 35.00 до 99.99 масс. %, от 35.00 до 95.00 масс. %, от 35.00 до 90.00 масс. %, от 35.00 до 85.00 масс. %, от 35.00 до 80.00 масс. %, от 35.00 до 75.00 масс. %, от 35.00 до 70.00 масс. %, от 35.00 до 65.00 масс. %, от 35.00 до 60.00 масс. %, от 35.00 до 55.00 масс. %, от 35.00 до 50.00 масс. %, от 35.00 до 45.00 масс. % или от 35.00 до 40.00 масс. % от массы фармацевтической композиции.

Более предпочтительно содержание по меньшей мере одного фармацевтически приемлемого эксципиента в фармацевтической композиции по настоящему изобретению составляет от 1.00 до 99.90 масс. %, от 10.00 до 99.90 масс. %, от 20.00 до 99.90 масс. %, от 30.00 до 99.90 масс. %, от 40.00 до 99.90 масс. %, от 50.00 до 99.90 масс. %, от 60.00 до 99.90 масс. %, от 70.00 до 99.90 масс. %, от 80.00 до 99.90 масс. %, от 90.00 до 99.90 масс. %, от 95.00 до 99.90 масс. % или от 97.00 до 99.90 масс. % от массы фармацевтической композиции.

Более предпочтительно содержание по меньшей мере одного фармацевтически приемлемого эксципиента в фармацевтической композиции по настоящему изобретению составляет от 10.00 до 99.50 масс. %, от 10.00 до 99.40 масс. %, от 10.00 до 99.30 масс. %, от 10.00 до 99.20 масс. %, от 10.00 до 99.10 масс. %, от 10.00 до 99.00 масс. %, от 10.00 до 98.90 масс. %, от 10.00 до 98.80 масс. %, от 10.00 до 98.70 масс. %, от 10.00 до 98.60 масс. %, от 10.00 до 98.50 масс. %, от 10.00 до 98.40 масс. %, от 10.00 до 98.30 масс. %, от 10.00 до 98.20 масс. %, от 10.00 до 98.10 масс. %, от 10.00 до 98.00 масс. % от массы фармацевтической композиции.

Более предпочтительно содержание по меньшей мере одного фармацевтически приемлемого эксципиента в фармацевтической композиции по настоящему изобретению составляет от 90.00 до 99.90 масс. %, от 90.00 до 99.80 масс. %, от 90.00 до 99.70 масс. %, от 90.00 до 99.60 масс. %, от 90.00 до 99.50 масс. %, от 90.00 до 99.40 масс. %, от 90.00 до 99.30 масс. %, от 90.00 до 99.20 масс. %, от 90.00 до 99.10 масс. %, от 90.00 до 99.00 масс. %, от 90.00 до 98.90 масс. %, от 90.00 до 98.80 масс. %, от 90.00 до 98.70 масс. %, от 90.00 до 98.60 масс. %, от 90.00 до 98.50 масс. %, от 90.00 до 98.40 масс. %, от 90.00 до 98.30 масс. %, от 90.00 до 98.20 масс. %, от 90.00 до 98.10 масс. %, от 90.00 до 98.00 масс. %, от 95.00 до 99.90 масс. %, от 96.00 до 99.90 масс. %, от 97.00 до 99.90 масс. % или от 98.00 до 99.90 масс. % от массы фармацевтической композиции.

Поставленная задача решается, а заявленный технический результат также достигается за счет фармацевтической композиции, проявляющей свойства ингибитора Янус киназы (JAK), содержащей 2-(3-(4-(7H-пирроло[2,3-d]пиримидин-4-ил)-1H-пиразол-1-ил)-1-(3-метоксипропаноил)азетидин-3-ил)ацетонитрил, охарактеризованный формулой В, или его фармацевтически приемлемую соль.

Поставленная задача решается, а заявленный технический результат также достигается за счет фармацевтической композиции, проявляющей свойства ингибитора Янус киназы (JAK), для лечения аутоиммунных заболеваний, содержащей 2-(3-(4-(7H-пирроло[2,3-d]пиримидин-4-ил)-1H-пиразол-1-ил)-1-(3-метоксипропаноил)азетидин-3-ил)ацетонитрил, охарактеризованный формулой В, или его фармацевтически приемлемую соль.

Поставленная задача решается, а заявленный технический результат также достигается за счет фармацевтической композиции, проявляющей свойства ингибитора Янус киназы (JAK), для лечения аутоиммунных заболеваний, содержащей 2-(3-(4-(7H-пирроло[2,3-d]пиримидин-4-ил)-1H-пиразол-1-ил)-1-(3-метоксипропаноил)азетидин-3-ил)ацетонитрил, охарактеризованный формулой В, или его фармацевтически приемлемую соль, и по меньшей мере один фармацевтически приемлемый эксципиент.

Поставленная задача решается, а заявленный технический результат также достигается за счет фармацевтической композиции, проявляющей свойства ингибитора Янус киназы (JAK), для лечения аутоиммунных заболеваний, содержащей в терапевтически эффективном количестве 2-(3-(4-(7H-пирроло[2,3-d]пиримидин-4-ил)-1H-пиразол-1-ил)-1-(3-метоксипропаноил)азетидин-3-ил)ацетонитрил, охарактеризованный формулой В, или его фармацевтически приемлемую соль.

Поставленная задача решается, а заявленный технический результат также достигается за счет фармацевтической композиции, проявляющей свойства ингибитора Янус киназы (JAK), для лечения аутоиммунных заболеваний, содержащей в терапевтически эффективном количестве 2-(3-(4-(7H-пирроло[2,3-d]пиримидин-4-ил)-1H-пиразол-1-ил)-1-(3-метоксипропаноил)азетидин-3-ил)ацетонитрил, охарактеризованный формулой В, или его фармацевтически приемлемую соль, и по меньшей мере один фармацевтически приемлемый эксципиент.

В некоторых вариантах осуществления настоящего изобретения фармацевтическую композицию можно получить с помощью известных общепринятых способов в области фармацевтики.

Одним из вариантов воплощения настоящего изобретения также является фармацевтическая композиция, содержащая 2-(3-(4-(7H-пирроло[2,3-d]пиримидин-4-ил)-1H-пиразол-1-ил)-1-(3-метоксипропаноил)азетидин-3-ил)ацетонитрил, охарактеризованный формулой В, или его фармацевтически приемлемую соль в количестве от 0,01 до 100,00 мас. % от массы фармацевтической композиции.

Одним из вариантов воплощения настоящего изобретения также является фармацевтическая композиция, проявляющая свойства ингибитора Янус киназы (JAK), для лечения аутоиммунных заболеваний, содержащая 2-(3-(4-(7H-пирроло[2,3-d]пиримидин-4-ил)-1H-пиразол-1-ил)-1-(3-метоксипропаноил)азетидин-3-ил)ацетонитрил, охарактеризованный формулой В, или его фармацевтически приемлемую соль в количестве от 0,01 до 99,99 мас. % от массы фармацевтической композиции.

Одним из вариантов воплощения настоящего изобретения является фармацевтическая композиция, содержащая 2-(3-(4-(7H-пирроло[2,3-d]пиримидин-4-ил)-1H-пиразол-1-ил)-1-(3-метоксипропаноил)азетидин-3-ил)ацетонитрил, охарактеризованный формулой В, или его фармацевтически приемлемую соль в количестве от 0.01 до 99.00 масс. % от массы фармацевтической композиции.

Более предпочтительно содержание 2-(3-(4-(7H-пирроло[2,3-d]пиримидин-4-ил)-1H-пиразол-1-ил)-1-(3-метоксипропаноил)азетидин-3-ил)ацетонитрила, охарактеризованного формулой В, или его фармацевтически приемлемой соли по настоящему изобретению в фармацевтической композиции составляет от 0.01 до 95.00 масс. %, от 0.01 до 90.00 масс. %, от 0.01 до 85.00 масс. %, от 0.01 до 80.00 масс. %, от 0.01 до 75.00 масс. %, от 0.01 до 70.00 масс. %, от 0.01 до 65.00 масс. %, от 0.01 до 60.00 масс. %, от 0.01 до 55.00 масс. %, от 0.01 до 50.00 масс. % или от 0.01 до 40.00 масс. % от массы фармацевтической композиции.

Более предпочтительно содержание 2-(3-(4-(7H-пирроло[2,3-d]пиримидин-4-ил)-1H-пиразол-1-ил)-1-(3-метоксипропаноил)азетидин-3-ил)ацетонитрила, охарактеризованного формулой В, или его фармацевтически приемлемой соли в фармацевтической композиции по настоящему изобретению составляет от 0,01 до 85,00 мас. %, от 0,01 до 80,00 мас. %, от 0,01 до 75,00 мас. %, от 0,01 до 70,00 мас. %, от 0,01 до 65,00 мас. %, от 0,01 до 60,00 мас. %, от 0,01 до 55,00 мас. %, от 0,01 до 40,00 мас. %, от 0,01 до 35,00 мас. %, от 0,01 до 30,00 мас. %, от 0,01 до 25,00 мас. %, от 0,01 до 20,00 мас. %, от 0,01 до 15,00 мас. %, от 0,01 до 10,00 мас. %, от 0,01 до 9,00 мас. %, от 0,01 до 8,00 мас. %, от 0,01 до 7,00 мас. %, от 0,01 до 6,00 мас. %, от 0,01 до 5,00 мас. %, от 0,01 до 4,00 мас. %, от 0,01 до 3,00 мас. %, от 0,01 до 2,00 мас. % или от 0,01 до 1,00 мас. % от массы фармацевтической композиции.

Более предпочтительно содержание 2-(3-(4-(7H-пирроло[2,3-d]пиримидин-4-ил)-1H-пиразол-1-ил)-1-(3-метоксипропаноил)азетидин-3-ил)ацетонитрила, охарактеризованного формулой В, или его фармацевтически приемлемой соли по настоящему изобретению в фармацевтической композиции составляет от 0,10 до 99,00 масс. %, от 0,10 до 95,00 масс. %, от 0,10 до 90,00 масс. %, от 0,10 до 85,00 мас. %, от 0,10 до 80,00 мас. %, от 0,10 до 75,00 мас. %, от 0,10 до 70,00 мас. %, от 0,10 до 65,00 мас. %, от 0,10 до 60,00 мас. %, от 0,10 до 55,00 мас. %, от 0,10 до 40,00 мас. %, от 0,10 до 35,00 мас. %, от 0,10 до 30,00 мас. %, от 0,10 до 25,00 мас. %, от 0,10 до 20,00 мас. %, от 0,10 до 15,00 мас. %, от 0,10 до 10,00 мас. %, от 0,10 до 9,00 мас. %, от 0,10 до 8,00 мас. %, от 0,10 до 7,00 мас. %, от 0,10 до 6,00 мас. %, от 0,10 до 5,00 мас. %, от 0,10 до 4,00 мас. %, от 0,10 до 3,00 мас. %, от 0,10 до 2,00 мас. % или от 0,10 до 1,00 мас. % от массы фармацевтической композиции.

Более предпочтительно содержание 2-(3-(4-(7H-пирроло[2,3-d]пиримидин-4-ил)-1H-пиразол-1-ил)-1-(3-метоксипропаноил)азетидин-3-ил)ацетонитрила, охарактеризованного формулой В, или его фармацевтически приемлемой соли по настоящему изобретению в фармацевтической композиции составляет от 0.50 до 99.00 масс. %, от 0.50 до 95.00 масс. %, от 0.50 до 90.00 масс. %, от 0.50 до 85.00 масс. %, от 0.50 до 80.00 масс. %, от 0.50 до 75.00 масс. %, от 0.50 до 70.00 масс. %, от 0.50 до 65.00 масс. %, от 0.50 до 60.00 масс. %, от 0.50 до 55.00 масс. %, от 0.50 до 50.00 масс. %, от 0.50 до 45.00 масс. % или от 0.50 до 40.00 масс. % от массы фармацевтической композиции.

Более предпочтительно содержание 2-(3-(4-(7H-пирроло[2,3-d]пиримидин-4-ил)-1H-пиразол-1-ил)-1-(3-метоксипропаноил)азетидин-3-ил)ацетонитрила, охарактеризованного формулой В, или его фармацевтически приемлемой соли по настоящему изобретению в фармацевтической композиции составляет от 1,00 до 99,00 масс. %, от 1,00 до 95,00 масс. %, от 1,00 до 90,00 масс. %, от 1,00 до 85,00 мас. %, от 1,00 до 80,00 мас. %, от 1,00 до 75,00 мас. %, от 1,00 до 70,00 мас. %, от 1,00 до 65,00 мас. %, от 1,00 до 60,00 мас. %, от 1,00 до 55,00 мас. %, от 1,00 до 40,00 мас. %, от 1,00 до 35,00 мас. %, от 1,00 до 30,00 мас. %, от 1,00 до 25,00 мас. %, от 1,00 до 20,00 мас. %, от 1,00 до 15,00 мас. %, от 1,00 до 10,00 мас. %, от 1,00 до 9,00 мас. %, от 1,00 до 8,00 мас. %, от 1,00 до 7,00 мас. %, от 1,00 до 6,00 мас. %, от 1,00 до 5,00 мас. %, от 1,00 до 4,00 мас. %, от 1,00 до 3,00 мас. % или от 1,00 до 2,00 мас. % от массы фармацевтической композиции.

Более предпочтительно содержание 2-(3-(4-(7H-пирроло[2,3-d]пиримидин-4-ил)-1H-пиразол-1-ил)-1-(3-метоксипропаноил)азетидин-3-ил)ацетонитрила, охарактеризованного формулой В, или его фармацевтически приемлемой соли в фармацевтической композиции по настоящему изобретению составляет от 5,00 до 85,00 мас. %, от 5,00 до 80,00 мас. %, от 5,00 до 75,00 мас. %, от 5,00 до 70,00 мас. %, от 5,00 до 65,00 мас. %, от 5,00 до 60,00 мас. %, от 5,00 до 55,00 мас. %, от 5,00 до 40,00 мас. %, от 5,00 до 35,00 мас. %, от 5,00 до 30,00 мас. %, от 5,00 до 25,00 мас. %, от 5,00 до 20,00 мас. %, от 5,00 до 15,00 мас. %, от 5,00 до 10,00 мас. %, от 5,00 до 9,00 мас. %, от 5,00 до 8,00 мас. %, от 5,00 до 7,00 мас. % или от 5,00 до 6,00 мас. % от массы фармацевтической композиции.

Более предпочтительно содержание 2-(3-(4-(7H-пирроло[2,3-d]пиримидин-4-ил)-1H-пиразол-1-ил)-1-(3-метоксипропаноил)азетидин-3-ил)ацетонитрила, охарактеризованного формулой В, или его фармацевтически приемлемой соли в фармацевтической композиции по настоящему изобретению составляет от 10,00 до 85,00 мас. %, от 10,00 до 80,00 мас. %, от 10,00 до 75,00 мас. %, от 10,00 до 70,00 мас. %, от 10,00 до 65,00 мас. %, от 10,00 до 60,00 мас. %, от 10,00 до 55,00 мас. %, от 10,00 до 40,00 мас. %, от 10,00 до 35,00 мас. %, от 10,00 до 30,00 мас. %, от 10,00 до 25,00 мас. %, от 10,00 до 20,00 мас. % или от 10,00 до 15,00 мас. % от массы фармацевтической композиции.

Более предпочтительно содержание 2-(3-(4-(7H-пирроло[2,3-d]пиримидин-4-ил)-1H-пиразол-1-ил)-1-(3-метоксипропаноил)азетидин-3-ил)ацетонитрила, охарактеризованного формулой В, или его фармацевтически приемлемой соли в фармацевтической композиции по настоящему изобретению составляет от 15,00 до 85,00 мас. %, от 15,00 до 80,00 мас. %, от 15,00 до 75,00 мас. %, от 15,00 до 70,00 мас. %, от 15,00 до 65,00 мас. %, от 15,00 до 60,00 мас. %, от 15,00 до 55,00 мас. %, от 15,00 до 40,00 мас. %, от 15,00 до 35,00 мас. %, от 15,00 до 30,00 мас. %, от 15,00 до 25,00 мас. % или от 15,00 до 20,00 мас. % от массы фармацевтической композиции.

Более предпочтительно содержание 2-(3-(4-(7H-пирроло[2,3-d]пиримидин-4-ил)-1H-пиразол-1-ил)-1-(3-метоксипропаноил)азетидин-3-ил)ацетонитрила, охарактеризованного формулой В, или его фармацевтически приемлемой соли по настоящему изобретению в фармацевтической композиции составляет от 0.50 до 5.00 масс. %, от 0.50 до 4.50 масс. %, от 0.50 до 4.00 масс. %, от 0.50 до 3.50 масс. %, от 0.50 до 3.00 масс. %, от 0.50 до 2.50 масс. %, от 0.50 до 2.00 масс. %, от 0.50 до 1.50 масс. % или от 0.50 до 1.00 масс. % от массы фармацевтической композиции.

Одним из вариантов воплощения настоящего изобретения является вышеупомянутая фармацевтическая композиция, в которой по меньшей мере один фармацевтически приемлемый эксципиент выбран из группы, включающей формообразующие вещества, стабилизаторы, солюбилизаторы, растворители, увлажнители, лубриканты, скользящие вещества, загустители, подсластители, отдушки, ароматизаторы, фунгициды, регуляторы пролонгированной доставки, сорастворители, разбавители, наполнители, эмульгаторы, консерванты, антиоксиданты, буферные агенты, криопротекторы, регулирующие рН агенты, вещества для поддержания изотоничности или корригирующие вещества.

Одним из вариантов воплощения настоящего изобретения является фармацевтическая композиция, характеризующаяся тем, что содержит по меньшей мере один фармацевтически приемлемый эксципиент в количестве от 0.00 до 99.99 масс. % от массы фармацевтической композиции.

Одним из вариантов воплощения настоящего изобретения является фармацевтическая композиция, характеризующаяся тем, что содержит по меньшей мере один фармацевтически приемлемый эксципиент в количестве от 0.01 до 99.99 масс. % от массы фармацевтической композиции.

Более предпочтительно содержание по меньшей мере одного фармацевтически приемлемого эксципиента в вышеупомянутой фармацевтической композиции по настоящему изобретению составляет от 0.01 до 95.00 масс. %, от 0.01 до 90.00 масс. %, от 0.01 до 85.00 масс. %, от 0.01 до 80.00 масс. %, от 0.01 до 75.00 масс. %, от 0.01 до 70.00 масс. %, от 0.01 до 65.00 масс. %, от 0.01 до 60.00 масс. %, от 0.01 до 55.00 масс. %, от 0.01 до 50.00 масс. % или от 0.01 до 40.00 масс. % от массы фармацевтической композиции.

Более предпочтительно содержание по меньшей мере одного фармацевтически приемлемого эксципиента в вышеупомянутой фармацевтической композиции составляет от 0.10 до 99.99 масс. %, от 0.10 до 95.00 масс. %, от 0.10 до 90.00 масс. %, от 0.10 до 85.00 масс. %, от 0.10 до 80.00 масс. %, от 0.10 до 75.00 масс. %, от 0.10 до 70.00 масс. %, от 0.10 до 65.00 масс. %, от 0.10 до 60.00 масс. %, от 0.10 до 55.00 масс. %, от 0.10 до 50.00 масс. %, от 0.10 до 45.00 масс. %, или от 0.10 до 40.00 масс. % от массы фармацевтической композиции.

Более предпочтительно содержание по меньшей мере одного фармацевтически приемлемого эксципиента в фармацевтической композиции по настоящему изобретению составляет от 1.00 до 95.00 масс. %, от 1.00 до 90.00 масс. %, от 1.00 до 85.00 масс. %, от 1.00 до 80.00 масс. %, от 1.00 до 75.00 масс. %, от 1.00 до 70.00 масс. %, от 1.00 до 65.00 масс. %, от 1.00 до 60.00 масс. %, от 1.00 до 55.00 масс. %, от 1.00 до 50.00 масс. %, от 1.00 до 45.00 масс. % или от 1.00 до 40.00 масс. % от массы фармацевтической композиции.

Более предпочтительно содержание по меньшей мере одного фармацевтически приемлемого эксципиента в фармацевтической композиции по настоящему изобретению составляет от 1.00 до 99.90 масс. %, от 10.00 до 99.90 масс. %, от 20.00 до 99.90 масс. %, от 30.00 до 99.90 масс. %, от 40.00 до 99.90 масс. %, от 50.00 до 99.90 масс. %, от 60.00 до 99.90 масс. %, от 70.00 до 99.90 масс. %, от 80.00 до 99.90 масс. %, от 90.00 до 99.90 масс. %, от 95.00 до 99.90 масс. % или от 97.00 до 99.90 масс. % от массы фармацевтической композиции.

Более предпочтительно содержание по меньшей мере одного фармацевтически приемлемого эксципиента в фармацевтической композиции по настоящему изобретению составляет от 10.00 до 99.50 масс. %, от 10.00 до 99.40 масс. %, от 10.00 до 99.30 масс. %, от 10.00 до 99.20 масс. %, от 10.00 до 99.10 масс. %, от 10.00 до 99.00 масс. %, от 10.00 до 98.90 масс. %, от 10.00 до 98.80 масс. %, от 10.00 до 98.70 масс. %, от 10.00 до 98.60 масс. %, от 10.00 до 98.50 масс. %, от 10.00 до 98.40 масс. %, от 10.00 до 98.30 масс. %, от 10.00 до 98.20 масс. %, от 10.00 до 98.10 масс. %, от 10.00 до 98.00 масс. % от массы фармацевтической композиции.

Более предпочтительно содержание по меньшей мере одного фармацевтически приемлемого эксципиента в фармацевтической композиции по настоящему изобретению составляет от 90.00 до 99.90 масс. %, от 90.00 до 99.80 масс. %, от 90.00 до 99.70 масс. %, от 90.00 до 99.60 масс. %, от 90.00 до 99.50 масс. %, от 90.00 до 99.40 масс. %, от 90.00 до 99.30 масс. %, от 90.00 до 99.20 масс. %, от 90.00 до 99.10 масс. %, от 90.00 до 99.00 масс. %, от 90.00 до 98.90 масс. %, от 90.00 до 98.80 масс. %, от 90.00 до 98.70 масс. %, от 90.00 до 98.60 масс. %, от 90.00 до 98.50 масс. %, от 90.00 до 98.40 масс. %, от 90.00 до 98.30 масс. %, от 90.00 до 98.20 масс. %, от 90.00 до 98.10 масс. %, от 90.00 до 98.00 масс. %, от 95.00 до 99.90 масс. %, от 96.00 до 99.90 масс. %, от 97.00 до 99.90 масс. % или от 98.00 до 99.90 масс. % от массы фармацевтической композиции.

Поставленная задача решается, а заявленный технический результат также достигается за счет фармацевтической композиции, проявляющей свойства ингибитора Янус киназы (JAK), содержащей 2-(3-(4-(7H-пирроло[2,3-d]пиримидин-4-ил)-1H-пиразол-1-ил)-1-(3-(метилтио)пропаноил)азетидин-3-ил)ацетонитрил, охарактеризованный формулой C, или его фармацевтически приемлемую соль.

Поставленная задача решается, а заявленный технический результат также достигается за счет фармацевтической композиции, проявляющей свойства ингибитора Янус киназы (JAK), для лечения аутоиммунных заболеваний, содержащей 2-(3-(4-(7H-пирроло[2,3-d]пиримидин-4-ил)-1H-пиразол-1-ил)-1-(3-(метилтио)пропаноил)азетидин-3-ил)ацетонитрил, охарактеризованный формулой C, или его фармацевтически приемлемую соль.

Поставленная задача решается, а заявленный технический результат также достигается за счет фармацевтической композиции, проявляющей свойства ингибитора Янус киназы (JAK), для лечения аутоиммунных заболеваний, содержащей 2-(3-(4-(7H-пирроло[2,3-d]пиримидин-4-ил)-1H-пиразол-1-ил)-1-(3-(метилтио)пропаноил)азетидин-3-ил)ацетонитрил, охарактеризованный формулой C, или его фармацевтически приемлемую соль, и по меньшей мере один фармацевтически приемлемый эксципиент.

Поставленная задача решается, а заявленный технический результат также достигается за счет фармацевтической композиции, проявляющей свойства ингибитора Янус киназы (JAK), для лечения аутоиммунных заболеваний, содержащей в терапевтически эффективном количестве 2-(3-(4-(7H-пирроло[2,3-d]пиримидин-4-ил)-1H-пиразол-1-ил)-1-(3-(метилтио)пропаноил)азетидин-3-ил)ацетонитрил, охарактеризованный формулой C, или его фармацевтически приемлемую соль.

Поставленная задача решается, а заявленный технический результат также достигается за счет фармацевтической композиции, проявляющей свойства ингибитора Янус киназы (JAK), для лечения аутоиммунных заболеваний, содержащей в терапевтически эффективном количестве 2-(3-(4-(7H-пирроло[2,3-d]пиримидин-4-ил)-1H-пиразол-1-ил)-1-(3-(метилтио)пропаноил)азетидин-3-ил)ацетонитрил, охарактеризованный формулой C, или его фармацевтически приемлемую соль, и по меньшей мере один фармацевтически приемлемый эксципиент.

В некоторых вариантах осуществления настоящего изобретения фармацевтическую композицию можно получить с помощью известных общепринятых способов в области фармацевтики.

Одним из вариантов воплощения настоящего изобретения также является фармацевтическая композиция, содержащая 2-(3-(4-(7H-пирроло[2,3-d]пиримидин-4-ил)-1H-пиразол-1-ил)-1-(3-(метилтио)пропаноил)азетидин-3-ил)ацетонитрил, охарактеризованный формулой C, или его фармацевтически приемлемую соль в количестве от 0,01 до 100,00 мас. % от массы фармацевтической композиции.

Одним из вариантов воплощения настоящего изобретения также является фармацевтическая композиция, проявляющая свойства ингибитора Янус киназы (JAK), для лечения аутоиммунных заболеваний, содержащая 2-(3-(4-(7H-пирроло[2,3-d]пиримидин-4-ил)-1H-пиразол-1-ил)-1-(3-(метилтио)пропаноил)азетидин-3-ил)ацетонитрил, охарактеризованный формулой C, или его фармацевтически приемлемую соль в количестве от 0,01 до 99,99 мас. % от массы фармацевтической композиции.

Одним из вариантов воплощения настоящего изобретения является фармацевтическая композиция, содержащая 2-(3-(4-(7H-пирроло[2,3-d]пиримидин-4-ил)-1H-пиразол-1-ил)-1-(3-(метилтио)пропаноил)азетидин-3-ил)ацетонитрил, охарактеризованный формулой C, или его фармацевтически приемлемую соль в количестве от 0.01 до 99.00 масс. % от массы фармацевтической композиции.

Более предпочтительно содержание 2-(3-(4-(7H-пирроло[2,3-d]пиримидин-4-ил)-1H-пиразол-1-ил)-1-(3-(метилтио)пропаноил)азетидин-3-ил)ацетонитрила, охарактеризованного формулой C, или его фармацевтически приемлемой соли по настоящему изобретению в фармацевтической композиции составляет от 0.01 до 95.00 масс. %, от 0.01 до 90.00 масс. %, от 0.01 до 85.00 масс. %, от 0.01 до 80.00 масс. %, от 0.01 до 75.00 масс. %, от 0.01 до 70.00 масс. %, от 0.01 до 65.00 масс. %, от 0.01 до 60.00 масс. %, от 0.01 до 55.00 масс. %, от 0.01 до 50.00 масс. % или от 0.01 до 40.00 масс. %, от 0.01 до 35.00 мас. %, от 0.01 до 30.00 мас. %, от 0.01 до 25.00 мас. %, от 0.01 до 20.00 мас. %, от 0.01 до 15.00 мас. %, от 0.01 до 10.00 мас. %, от 0.01 до 9.00 мас. %, от 0.01 до 8.00 мас. %, от 0.01 до 7.00 мас. %, от 0.01 до 6.00 мас. %, от 0.01 до 5.00 мас. %, от 0.01 до 4.00 мас. %, от 0.01 до 3.00 мас. %, от 0.01 до 2.00 мас. % или от 0.01 до 1.00 мас. % от массы фармацевтической композиции.

Более предпочтительно содержание 2-(3-(4-(7H-пирроло[2,3-d]пиримидин-4-ил)-1H-пиразол-1-ил)-1-(3-(метилтио)пропаноил)азетидин-3-ил)ацетонитрила, охарактеризованного формулой C, или его фармацевтически приемлемой соли по настоящему изобретению в фармацевтической композиции составляет от 0.10 до 99.00 масс. %, от 0.10 до 95.00 масс. %, от 0.10 до 90.00 масс. %, от 0.10 до 85.00 масс. %, от 0.10 до 80.00 масс. %, от 0.10 до 75.00 масс. %, от 0.10 до 70.00 масс. %, от 0.10 до 65.00 масс. %, от 0.10 до 60.00 масс. %, от 0.10 до 55.00 масс. %, от 0.10 до 50.00 масс. %, от 0.10 до 45.00 масс. %, или от 0.10 до 40.00 масс. %, от 0.10 до 35.00 мас. %, от 0.10 до 30.00 мас. %, от 0.10 до 25.00 мас. %, от 0.10 до 20.00 мас. %, от 0.10 до 15.00 мас. %, от 0.10 до 10.00 мас. %, от 0.10 до 9.00 мас. %, от 0.10 до 8.00 мас. %, от 0.10 до 7.00 мас. %, от 0.10 до 6.00 мас. %, от 0.10 до 5.00 мас. %, от 0.10 до 4.00 мас. %, от 0.10 до 3.00 мас. %, от 0.10 до 2.00 мас. % или от 0.10 до 1.00 мас. % от массы фармацевтической композиции.

Более предпочтительно содержание 2-(3-(4-(7H-пирроло[2,3-d]пиримидин-4-ил)-1H-пиразол-1-ил)-1-(3-(метилтио)пропаноил)азетидин-3-ил)ацетонитрила, охарактеризованного формулой С, или его фармацевтически приемлемой соли по настоящему изобретению в фармацевтической композиции составляет от 0.50 до 99.00 масс. %, от 0.50 до 95.00 масс. %, от 0.50 до 90.00 масс. %, от 0.50 до 85.00 масс. %, от 0.50 до 80.00 масс. %, от 0.50 до 75.00 масс. %, от 0.50 до 70.00 масс. %, от 0.50 до 65.00 масс. %, от 0.50 до 60.00 масс. %, от 0.50 до 55.00 масс. %, от 0.50 до 50.00 масс. %, от 0.50 до 45.00 масс. % или от 0.50 до 40.00 масс. % от массы фармацевтической композиции.

Более предпочтительно содержание 2-(3-(4-(7H-пирроло[2,3-d]пиримидин-4-ил)-1H-пиразол-1-ил)-1-(3-(метилтио)пропаноил)азетидин-3-ил)ацетонитрила, охарактеризованного формулой С, или его фармацевтически приемлемой соли по настоящему изобретению в фармацевтической композиции составляет от 1.00 до 99.00 масс. %, от 1.00 до 95.00 масс. %, от 1.00 до 90.00 масс. %, от 1.00 до 85.00 масс. %, от 1.00 до 80.00 масс. %, от 1.00 до 75.00 масс. %, от 1.00 до 70.00 масс. %, от 1.00 до 65.00 масс. %, от 1.00 до 60.00 масс. %, от 1.00 до 55.00 масс. %, от 1.00 до 50.00 масс. %, от 1.00 до 45.00 масс. % или от 1.00 до 40.00 масс. %, от 1.00 до 35.00 мас. %, от 1.00 до 30.00 мас. %, от 1.00 до 25.00 мас. %, от 1.00 до 20.00 мас. %, от 1.00 до 15.00 мас. %, от 1.00 до 10.00 мас. %, от 1.00 до 9.00 мас. %, от 1.00 до 8.00 мас. %, от 1.00 до 7.00 мас. %, от 1.00 до 6.00 мас. %, от 1.00 до 5.00 мас. %, от 1.00 до 4.00 мас. %, от 1.00 до 3.00 мас. % или от 1.00 до 2.00 мас. % от массы фармацевтической композиции.

Более предпочтительно содержание 2-(3-(4-(7H-пирроло[2,3-d]пиримидин-4-ил)-1H-пиразол-1-ил)-1-(3-(метилтио)пропаноил)азетидин-3-ил)ацетонитрила, охарактеризованного формулой С, или его фармацевтически приемлемой соли в фармацевтической композиции по настоящему изобретению составляет от 5,00 до 85,00 мас. %, от 5,00 до 80,00 мас. %, от 5,00 до 75,00 мас. %, от 5,00 до 70,00 мас. %, от 5,00 до 65,00 мас. %, от 5,00 до 60,00 мас. %, от 5,00 до 55,00 мас. %, от 5,00 до 40,00 мас. %, от 5,00 до 35,00 мас. %, от 5,00 до 30,00 мас. %, от 5,00 до 25,00 мас. %, от 5,00 до 20,00 мас. %, от 5,00 до 15,00 мас. %, от 5,00 до 10,00 мас. %, от 5,00 до 9,00 мас. %, от 5,00 до 8,00 мас. %, от 5,00 до 7,00 мас. % или от 5,00 до 6,00 мас. % от массы фармацевтической композиции.

Более предпочтительно содержание 2-(3-(4-(7H-пирроло[2,3-d]пиримидин-4-ил)-1H-пиразол-1-ил)-1-(3-(метилтио)пропаноил)азетидин-3-ил)ацетонитрила, охарактеризованного формулой С, или его фармацевтически приемлемой соли в фармацевтической композиции по настоящему изобретению составляет от 10,00 до 85,00 мас. %, от 10,00 до 80,00 мас. %, от 10,00 до 75,00 мас. %, от 10,00 до 70,00 мас. %, от 10,00 до 65,00 мас. %, от 10,00 до 60,00 мас. %, от 10,00 до 55,00 мас. %, от 10,00 до 40,00 мас. %, от 10,00 до 35,00 мас. %, от 10,00 до 30,00 мас. %, от 10,00 до 25,00 мас. %, от 10,00 до 20,00 мас. % или от 10,00 до 15,00 мас. % от массы фармацевтической композиции.

Более предпочтительно содержание 2-(3-(4-(7H-пирроло[2,3-d]пиримидин-4-ил)-1H-пиразол-1-ил)-1-(3-(метилтио)пропаноил)азетидин-3-ил)ацетонитрила, охарактеризованного формулой С, или его фармацевтически приемлемой соли в фармацевтической композиции по настоящему изобретению составляет от 15,00 до 85,00 мас. %, от 15,00 до 80,00 мас. %, от 15,00 до 75,00 мас. %, от 15,00 до 70,00 мас. %, от 15,00 до 65,00 мас. %, от 15,00 до 60,00 мас. %, от 15,00 до 55,00 мас. %, от 15,00 до 40,00 мас. %, от 15,00 до 35,00 мас. %, от 15,00 до 30,00 мас. %, от 15,00 до 25,00 мас. % или от 15,00 до 20,00 мас. % от массы фармацевтической композиции.

Более предпочтительно содержание 2-(3-(4-(7H-пирроло[2,3-d]пиримидин-4-ил)-1H-пиразол-1-ил)-1-(3-(метилтио)пропаноил)азетидин-3-ил)ацетонитрила, охарактеризованного формулой С, или его фармацевтически приемлемой соли по настоящему изобретению в фармацевтической композиции составляет от 0.50 до 5.00 масс. %, от 0.50 до 4.50 масс. %, от 0.50 до 4.00 масс. %, от 0.50 до 3.50 масс. %, от 0.50 до 3.00 масс. %, от 0.50 до 2.50 масс. %, от 0.50 до 2.00 масс. %, от 0.50 до 1.50 масс. % или от 0.50 до 1.00 масс. % от массы фармацевтической композиции.

Одним из вариантов воплощения настоящего изобретения является вышеупомянутая фармацевтическая композиция, в которой по меньшей мере один фармацевтически приемлемый эксципиент выбран из группы, включающей формообразующие вещества, стабилизаторы, солюбилизаторы, растворители, увлажнители, лубриканты, скользящие вещества, загустители, подсластители, отдушки, ароматизаторы, фунгициды, регуляторы пролонгированной доставки, сорастворители, разбавители, наполнители, эмульгаторы, консерванты, антиоксиданты, буферные агенты, криопротекторы, регулирующие рН агенты, вещества для поддержания изотоничности или корригирующие вещества.

Одним из вариантов воплощения настоящего изобретения является фармацевтическая композиция, характеризующаяся тем, что содержит по меньшей мере один фармацевтически приемлемый эксципиент в количестве от 0.00 до 99.99 масс. % от массы фармацевтической композиции.

Одним из вариантов воплощения настоящего изобретения является фармацевтическая композиция, характеризующаяся тем, что содержит по меньшей мере один фармацевтически приемлемый эксципиент в количестве от 0.01 до 99.99 масс. % от массы фармацевтической композиции.

Более предпочтительно содержание по меньшей мере одного фармацевтически приемлемого эксципиента в вышеупомянутой фармацевтической композиции по настоящему изобретению составляет от 0.01 до 95.00 масс. %, от 0.01 до 90.00 масс. %, от 0.01 до 85.00 масс. %, от 0.01 до 80.00 масс. %, от 0.01 до 75.00 масс. %, от 0.01 до 70.00 масс. %, от 0.01 до 65.00 масс. %, от 0.01 до 60.00 масс. %, от 0.01 до 55.00 масс. %, от 0.01 до 50.00 масс. % или от 0.01 до 40.00 масс. % от массы фармацевтической композиции.

Более предпочтительно содержание по меньшей мере одного фармацевтически приемлемого эксципиента в вышеупомянутой фармацевтической композиции составляет от 0.10 до 99.99 масс. %, от 0.10 до 95.00 масс. %, от 0.10 до 90.00 масс. %, от 0.10 до 85.00 масс. %, от 0.10 до 80.00 масс. %, от 0.10 до 75.00 масс. %, от 0.10 до 70.00 масс. %, от 0.10 до 65.00 масс. %, от 0.10 до 60.00 масс. %, от 0.10 до 55.00 масс. %, от 0.10 до 50.00 масс. %, от 0.10 до 45.00 масс. %, или от 0.10 до 40.00 масс. % от массы фармацевтической композиции.

Более предпочтительно содержание по меньшей мере одного фармацевтически приемлемого эксципиента в фармацевтической композиции по настоящему изобретению составляет от 1.00 до 95.00 масс. %, от 1.00 до 90.00 масс. %, от 1.00 до 85.00 масс. %, от 1.00 до 80.00 масс. %, от 1.00 до 75.00 масс. %, от 1.00 до 70.00 масс. %, от 1.00 до 65.00 масс. %, от 1.00 до 60.00 масс. %, от 1.00 до 55.00 масс. %, от 1.00 до 50.00 масс. %, от 1.00 до 45.00 масс. % или от 1.00 до 40.00 масс. % от массы фармацевтической композиции.

Более предпочтительно содержание по меньшей мере одного фармацевтически приемлемого эксципиента в фармацевтической композиции по настоящему изобретению составляет от 1.00 до 99.90 масс. %, от 10.00 до 99.90 масс. %, от 20.00 до 99.90 масс. %, от 30.00 до 99.90 масс. %, от 40.00 до 99.90 масс. %, от 50.00 до 99.90 масс. %, от 60.00 до 99.90 масс. %, от 70.00 до 99.90 масс. %, от 80.00 до 99.90 масс. %, от 90.00 до 99.90 масс. %, от 95.00 до 99.90 масс. % или от 97.00 до 99.90 масс. % от массы фармацевтической композиции.

Более предпочтительно содержание по меньшей мере одного фармацевтически приемлемого эксципиента в фармацевтической композиции по настоящему изобретению составляет от 10.00 до 99.50 масс. %, от 10.00 до 99.40 масс. %, от 10.00 до 99.30 масс. %, от 10.00 до 99.20 масс. %, от 10.00 до 99.10 масс. %, от 10.00 до 99.00 масс. %, от 10.00 до 98.90 масс. %, от 10.00 до 98.80 масс. %, от 10.00 до 98.70 масс. %, от 10.00 до 98.60 масс. %, от 10.00 до 98.50 масс. %, от 10.00 до 98.40 масс. %, от 10.00 до 98.30 масс. %, от 10.00 до 98.20 масс. %, от 10.00 до 98.10 масс. %, от 10.00 до 98.00 масс. % от массы фармацевтической композиции.

Более предпочтительно содержание по меньшей мере одного фармацевтически приемлемого эксципиента в фармацевтической композиции по настоящему изобретению составляет от 90.00 до 99.90 масс. %, от 90.00 до 99.80 масс. %, от 90.00 до 99.70 масс. %, от 90.00 до 99.60 масс. %, от 90.00 до 99.50 масс. %, от 90.00 до 99.40 масс. %, от 90.00 до 99.30 масс. %, от 90.00 до 99.20 масс. %, от 90.00 до 99.10 масс. %, от 90.00 до 99.00 масс. %, от 90.00 до 98.90 масс. %, от 90.00 до 98.80 масс. %, от 90.00 до 98.70 масс. %, от 90.00 до 98.60 масс. %, от 90.00 до 98.50 масс. %, от 90.00 до 98.40 масс. %, от 90.00 до 98.30 масс. %, от 90.00 до 98.20 масс. %, от 90.00 до 98.10 масс. %, от 90.00 до 98.00 масс. %, от 95.00 до 99.90 масс. %, от 96.00 до 99.90 масс. %, от 97.00 до 99.90 масс. % или от 98.00 до 99.90 масс. % от массы фармацевтической композиции.

Одним из вариантов воплощения настоящего изобретения является вышеупомянутая фармацевтическая композиция, содержащая соединение формулы А или его фармацевтически приемлемую соль, или соединение формулы В, или его фармацевтически приемлемую соль, или соединение формулы С или его фармацевтически приемлемую соль, характеризующаяся тем, что проявляет терапевтическую активность в отношении аутоиммунных заболеваний, выбранных из группы, включающей ревматоидный артрит, псориатический артрит, ювенильный артрит, атопический дерматит, волчанку и алопецию.

Более предпочтительно фармацевтическая композиция, содержащая соединение формулы А или его фармацевтически приемлемую соль, или соединение формулы В, или его фармацевтически приемлемую соль, или соединение формулы С или его фармацевтически приемлемую соль, характеризуется тем, что проявляет терапевтическую активность в отношении заболевание по настоящему изобретению выбрано из группы JAK-опосредованных заболеваний или нарушений.

Более предпочтительно фармацевтическая композиция, содержащая соединение формулы А или его фармацевтически приемлемую соль, или соединение формулы В, или его фармацевтически приемлемую соль, или соединение формулы С или его фармацевтически приемлемую соль, характеризуется тем, что проявляет терапевтическую активность в отношении заболеваний, выбранных из группы, включающей ревматоидный артрит, псориатический артрит, ювенильный артрит, хронический полиартрит, атопический дерматит, ювенильным идиопатическим артрит,

алопецию (очаговую алопецию, фронтальную фиброзирующую алопецию, гнездную алопецию, в том числе в тяжелой или очень тяжелой формах), множественный склероз, рассеянный склероз, боковой амиотрофический склероз, нейродегенеративную болезнь Альцгеймера,

диабет I типа, диабетическое заболевание почек, агрессивное снижение альбуминурии при подтвержденной биопсией диабетической нефропатии, волчанку, системную красную волчанку, волчаночный нефрит, псориаз,

воспалительные заболевания кишечника, язвенный колит, болезнь Крона, тяжелую псевдопаралитическую миастению, иммуноглобулин-нефропатию, аутоиммунные заболевания щитовидной железы, обыкновенную пузырчатку, буллезный пемфигоид,

аллергические реакции, таких как астма, пищевые аллергии, атопический дерматит и ринит,

вирусные заболевания, такие как вирус Эпштейна-Барра, гепатит В, гепатит С, вирус иммунодефицита человека, вирус ветряной оспы и вирус папилломы человека, коронавирус, COVID-19,

кожные сыпи, кожных раздражений, сенсибилизации кожи (например, контактный дерматит или аллергический контактный дерматит), кожного красного плоского лишая,

рак, включая рак, для которого характерно образование солидных опухолей (например, рак предстательной железы, рак почки, рак печени, рак поджелудочной железы, рак желудка, рак молочной железы, рак легких, рак головы и шеи, рак щитовидной железы, глиобластома, саркома Капоши, болезнь Кастлемана, меланома и т.д.), рак крови (например, лимфома, лейкемия, такая как острая лимфобластная лейкемия, острая миелогенная лейкемия (ОМЛ) или множественная миелома) и рак кожи, такой как кожная Т-клеточная лимфома (КТКЛ) и кожная В-клеточная лимфома, типичные кожные Т-клеточные лимфомы включают синдром Сезари и грибовидный микоз, миелопролиферативные заболевания (МПЗ), такие как истинная полицитемия (ИП), эссенциальная тромбоцитемия (ЭТ), миелофиброз с миелоидной метаплазией (МММ), хроническая миелоидная лейкемия (ХМЛ), хроническая миеломоноцитарная лейкемия (ХММЛ), гиперэозинофильный синдром (ГЭС), системный мастоцитоз (СМ) связанный с колитом рак, рак толстой кишки, рак ободочной и прямой кишки, рак желудка, карциноидная опухоль желудочно-кишечного тракта, стромальная опухоль желудочно-кишечного тракта (СО-ЖКТ, GIST), аденокарцинома, рак тонкой кишки, рак прямой кишки, и т.д.,

воспалительные заболевания, включают воспалительные заболевания глаз (например, ирит, увеит, склерит, конъюнктивит или связанные с ними заболевания), рефрактерный неинфекционный непередний увеит, воспалительные заболевания дыхательных путей (например, верхних дыхательных путей, включая заболевания носа и синусов, такие как ринит или синусит, нижних дыхательных путей, включая бронхит, хроническое неспецифическое заболевание легких и т.п.), воспалительная миопатия, такая как миокардит, и другие воспалительные заболевания, ишемические реперфузионные повреждения или заболевания или патологические состояния, связанные с воспалительным ишемическим событием, таким как инсульт или остановка сердца, синдром системной воспалительной реакции, септический шок, крупные воспалительные гепатоцеллюлярные аденомы,

анорексию, кахексию или утомляемость, вызванные или связанные с раковым заболеваем,

патологические состояния, связанные с гипоксией или астроглиозом, таких как, например, диабетическая ретинопатия, рак или нейродегенерация,

подагру, увеличение предстательной железы, синдром «сухого глаза» и связанные с ним заболевания, IgG4-связанные заболевания, идиопатический гранулематозный мастит, гангренозную пиодермия, кожный дерматомиозит, идиопатический воспалительный миозит, хронический атипичным нейтрофильный дерматоз с липодистрофией и повышенной температурой (синдром Накайо-Нисимура), васкулопатию, связанную со стимулятором генов интерферона, синдром Айкарди-Гутьера, реакцию «трансплантат против хозяина», в том числе после трансплантации гемопоэтических клеток периферической крови, нейромиелит, иммунную тромбоцитопению, короновирусную пневмонию (COVID-19), симптомы, связанные с инфекцией COVID-19, внутрибольничную пневмонию у тяжелобольных пациентов с провоспалительным фенотипом, поражение легких после спонтанного субарахноидального кровоизлияния, пемфигоид слизистой оболочки глаза, красный плоский лишай полости рта, стероид-резистентную/рецидивирующую иммунную тромбоцитопению, легочное повреждение после внутримозгового кровоизлияния, умеренное и тяжелое травматическое внутримозговое кровоизлияние/ушиб, рецидивирующий гигантоклеточный артериит, системную склеродермию, терапию несегментарного витилиго, терапию симптомов ВИЧ, аутовоспалительный синдром, первичный билиарный холангит, рецидивирующий или наивный дерматомиозит, синдром Шегрена, воспаление и депрессию у людей с ВИЧ, APOL1-ассоциированное заболевание почек, полимиалгию ревматическую, идиопатическую воспалительную миопатию.

В некоторых вариантах осуществления одно или более соединений по настоящему изобретению могут применяться в комбинации с другими активными агентами.

Поставленная задача решается, а заявленный технический результат также достигается посредством лекарственного средства, проявляющего свойства ингибитора Янус киназы (JAK), для лечения аутоиммунных заболеваний, содержащего 2-(3-(4-(7H-пирроло[2,3-d]пиримидин-4-ил)-1H-пиразол-1-ил)-1-(2-(метилтио)ацетил)азетидин-3-ил)ацетонитрил, охарактеризованный формулой А, или его фармацевтически приемлемую соль.

Поставленная задача решается, а заявленный технический результат также достигается посредством лекарственного средства, проявляющего свойства ингибитора Янус киназы (JAK), для лечения аутоиммунных заболеваний, содержащего 2-(3-(4-(7H-пирроло[2,3-d]пиримидин-4-ил)-1H-пиразол-1-ил)-1-(2-(метилтио)ацетил)азетидин-3-ил)ацетонитрил, охарактеризованный формулой А, или его фармацевтически приемлемую соль, и по меньшей мере один фармацевтически приемлемый эксципиент.

Поставленная задача решается, а заявленный технический результат также достигается посредством лекарственного средства, проявляющего свойства ингибитора Янус киназы (JAK), для лечения аутоиммунных заболеваний, содержащего в эффективном количестве 2-(3-(4-(7H-пирроло[2,3-d]пиримидин-4-ил)-1H-пиразол-1-ил)-1-(2-(метилтио)ацетил)азетидин-3-ил)ацетонитрил, охарактеризованный формулой А, или его фармацевтически приемлемую соль и по меньшей мере один фармацевтически приемлемый эксципиент.

Одним из вариантов воплощения настоящего изобретения является лекарственное средство, характеризующееся тем, что по меньшей мере один фармацевтически приемлемый эксципиент выбран из группы, включающей формообразующие вещества, стабилизаторы, солюбилизаторы, растворители, увлажнители, лубриканты, скользящие вещества, загустители, подсластители, отдушки, ароматизаторы, фунгициды, регуляторы пролонгированной доставки, сорастворители, разбавители, наполнители, эмульгаторы, консерванты, антиоксиданты, буферные агенты, криопротекторы, регулирующие рН агенты, вещества для поддержания изотоничности или корригирующие вещества.

Одним из вариантов воплощения настоящего изобретения является лекарственное средство, проявляющегее свойства ингибитора Янус киназы (JAK), для лечения аутоиммунных заболеваний, характеризующееся тем, что аутоиммунное заболевание выбрано из группы, включающей ревматоидный артрит, псориатический артрит, ювенильный артрит, атопический дерматит, волчанку и алопецию. Более предпочтительно заболевание по настоящему изобретению выбрано из группы JAK-опосредованных заболеваний или нарушений.

В некоторых вариантах осуществления одно или более соединений по настоящему изобретению могут применяться в комбинации с другими активными агентами.

Одним из вариантов воплощения настоящего изобретения является лекарственное средство, содержащее 2-(3-(4-(7H-пирроло[2,3-d]пиримидин-4-ил)-1H-пиразол-1-ил)-1-(2-(метилтио)ацетил)азетидин-3-ил)ацетонитрил, охарактеризованный формулой А, или его фармацевтически приемлемую соль в количестве от 0.50 до 100.00 мг.

Одним из вариантов воплощения настоящего изобретения является лекарственное средство, содержащее в терапевтически эффективном количестве 2-(3-(4-(7H-пирроло[2,3-d]пиримидин-4-ил)-1H-пиразол-1-ил)-1-(2-(метилтио)ацетил)азетидин-3-ил)ацетонитрил, охарактеризованный формулой А, или его фармацевтически приемлемую соль в количестве от 0.50 до 100.00 мг.

Более предпочтительно содержание 2-(3-(4-(7H-пирроло[2,3-d]пиримидин-4-ил)-1H-пиразол-1-ил)-1-(2-(метилтио)ацетил)азетидин-3-ил)ацетонитрила, охарактеризованного формулой А, или его фармацевтически приемлемой соли по настоящему изобретению в лекарственном средстве составляет от 0.50 до 95.00 мг, от 0.50 до 90.00 мг, от 0.50 до 85.00 мг, от 0.50 до 80.00 мг, от 0.50 до 75.00 мг, от 0.50 до 70.00 мг, от 0.50 до 65.00 мг, от 0.50 до 60.00 мг, от 0.50 до 55.00 мг, от 0.50 до 50.00 мг, от 0.50 до 45.00 мг, от 0.50 до 40.00 мг, от 0.50 до 35.00 мг, от 0.50 до 30.00 мг, от 0.50 до 25.00 мг, от 0.50 до 20.00 мг, от 0.50 до 15.00 мг, от 0.50 до 10.00 мг, от 0.50 до 9.00 мг, от 0.50 до 8.00 мг, от 0.50 до 7.00 мг, от 0.50 до 6.00 мг, от 0.50 до 5.00 мг, от 0.50 до 4.00 мг, от 0.50 до 3.00 мг, от 0.50 до 2.00 мг или от 0.50 до 1.00 мг.

Одним из вариантов воплощения настоящего изобретения является лекарственное средство, содержащее в терапевтически эффективном количестве 2-(3-(4-(7H-пирроло[2,3-d]пиримидин-4-ил)-1H-пиразол-1-ил)-1-(2-(метилтио)ацетил)азетидин-3-ил)ацетонитрил, охарактеризованный формулой А, или его фармацевтически приемлемую соль в количестве от 0.50 до 10.00 мг.

Более предпочтительно содержание 2-(3-(4-(7H-пирроло[2,3-d]пиримидин-4-ил)-1H-пиразол-1-ил)-1-(2-(метилтио)ацетил)азетидин-3-ил)ацетонитрила, охарактеризованного формулой А, или его фармацевтически приемлемой соли по настоящему изобретению в лекарственном средстве составляет от 0.50 до 9.50 мг, от 0.50 до 9.00 мг, от 0.50 до 8.50 мг, от 0.50 до 8.00 мг, от 0.50 до 7.50 мг, от 0.50 до 7.00 мг, от 0.50 до 6.50 мг, от 0.50 до 6.00 мг, от 0.50 до 5.50 мг, от 0.50 до 5.00 мг, от 0.50 до 4.50 мг, от 0.50 до 4.00 мг, от 0.50 до 3.50 мг, от 0.50 до 3.00 мг, от 0.50 до 2.50 мг или от 0.50 до 2.00 мг.

Одним из вариантов воплощения настоящего изобретения является лекарственное средство, содержащее в терапевтически эффективном количестве 2-(3-(4-(7H-пирроло[2,3-d]пиримидин-4-ил)-1H-пиразол-1-ил)-1-(2-(метилтио)ацетил)азетидин-3-ил)ацетонитрил, охарактеризованный формулой А, или его фармацевтически приемлемую соль в количестве от 1.00 до 5.00 мг.

Одним из вариантов воплощения настоящего изобретения является лекарственное средство, содержащее в терапевтически эффективном количестве 2-(3-(4-(7H-пирроло[2,3-d]пиримидин-4-ил)-1H-пиразол-1-ил)-1-(2-(метилтио)ацетил)азетидин-3-ил)ацетонитрил, охарактеризованный формулой А, или его фармацевтически приемлемую соль в количестве от 2.00 до 4.00 мг.

Одним из вариантов воплощения настоящего изобретения является лекарственное средство, содержащее 2-(3-(4-(7H-пирроло[2,3-d]пиримидин-4-ил)-1H-пиразол-1-ил)-1-(2-(метилтио)ацетил)азетидин-3-ил)ацетонитрил, охарактеризованный формулой А, или его фармацевтически приемлемую соль в количестве от 0.01 до 99.00 масс. % от массы лекарственного средства.

Более предпочтительно содержание 2-(3-(4-(7H-пирроло[2,3-d]пиримидин-4-ил)-1H-пиразол-1-ил)-1-(2-(метилтио)ацетил)азетидин-3-ил)ацетонитрила, охарактеризованного формулой А, или его фармацевтически приемлемой соли по настоящему изобретению в лекарственном средстве составляет от 0.01 до 95.00 масс. %, от 0.01 до 90.00 масс. %, от 0.01 до 85.00 масс. %, от 0.01 до 80.00 масс. %, от 0.01 до 75.00 масс. %, от 0.01 до 70.00 масс. %, от 0.01 до 65.00 масс. %, от 0.01 до 60.00 масс. %, от 0.01 до 55.00 масс. %, от 0.01 до 50.00 масс. % или от 0.01 до 40.00 масс. % от массы лекарственного средства.

Более предпочтительно содержание 2-(3-(4-(7H-пирроло[2,3-d]пиримидин-4-ил)-1H-пиразол-1-ил)-1-(2-(метилтио)ацетил)азетидин-3-ил)ацетонитрила, охарактеризованного формулой А, или его фармацевтически приемлемой соли по настоящему изобретению в лекарственном средстве составляет от 0.10 до 99.00 масс. %, от 0.10 до 95.00 масс. %, от 0.10 до 90.00 масс. %, от 0.10 до 85.00 масс. %, от 0.10 до 80.00 масс. %, от 0.10 до 75.00 масс. %, от 0.10 до 70.00 масс. %, от 0.10 до 65.00 масс. %, от 0.10 до 60.00 масс. %, от 0.10 до 55.00 масс. %, от 0.10 до 50.00 масс. %, от 0.10 до 45.00 масс. %, или от 0.10 до 40.00 масс. % от массы лекарственного средства.

Более предпочтительно содержание 2-(3-(4-(7H-пирроло[2,3-d]пиримидин-4-ил)-1H-пиразол-1-ил)-1-(2-(метилтио)ацетил)азетидин-3-ил)ацетонитрила, охарактеризованного формулой А, или его фармацевтически приемлемой соли по настоящему изобретению в лекарственном средстве составляет от 0.50 до 99.00 масс. %, от 0.50 до 95.00 масс. %, от 0.50 до 90.00 масс. %, от 0.50 до 85.00 масс. %, от 0.50 до 80.00 масс. %, от 0.50 до 75.00 масс. %, от 0.50 до 70.00 масс. %, от 0.50 до 65.00 масс. %, от 0.50 до 60.00 масс. %, от 0.50 до 55.00 масс. %, от 0.50 до 50.00 масс. %, от 0.50 до 45.00 масс. % или от 0.50 до 40.00 масс. % от массы лекарственного средства.

Более предпочтительно содержание 2-(3-(4-(7H-пирроло[2,3-d]пиримидин-4-ил)-1H-пиразол-1-ил)-1-(2-(метилтио)ацетил)азетидин-3-ил)ацетонитрила, охарактеризованного формулой А, или его фармацевтически приемлемой соли по настоящему изобретению в лекарственном средстве составляет от 1.00 до 99.00 масс. %, от 1.00 до 95.00 масс. %, от 1.00 до 90.00 масс. %, от 1.00 до 85.00 масс. %, от 1.00 до 80.00 масс. %, от 1.00 до 75.00 масс. %, от 1.00 до 70.00 масс. %, от 1.00 до 65.00 масс. %, от 1.00 до 60.00 масс. %, от 1.00 до 55.00 масс. %, от 1.00 до 50.00 масс. %, от 1.00 до 45.00 масс. % или от 1.00 до 40.00 масс. % от массы лекарственного средства.

Более предпочтительно содержание 2-(3-(4-(7H-пирроло[2,3-d]пиримидин-4-ил)-1H-пиразол-1-ил)-1-(2-(метилтио)ацетил)азетидин-3-ил)ацетонитрила, охарактеризованного формулой А, или его фармацевтически приемлемой соли по настоящему изобретению в лекарственном средстве составляет от 0.50 до 5.00 масс. %, от 0.50 до 4.50 масс. %, от 0.50 до 4.00 масс. %, от 0.50 до 3.50 масс. %, от 0.50 до 3.00 масс. %, от 0.50 до 2.50 масс. %, от 0.50 до 2.00 масс. %, от 0.50 до 1.50 масс. % или от 0.50 до 1.00 масс. % от массы лекарственного средства.

Одним из вариантов воплощения настоящего изобретения является лекарственное средство, содержащее 2-(3-(4-(7H-пирроло[2,3-d]пиримидин-4-ил)-1H-пиразол-1-ил)-1-(2-(метилтио)ацетил)азетидин-3-ил)ацетонитрил, охарактеризованный формулой А, или его фармацевтически приемлемую соль и по меньшей мере один фармацевтически приемлемый эксципиент в количестве от 1.00 до 99.99 масс. % от массы лекарственного средства.

Более предпочтительно содержание по меньшей мере одного фармацевтически приемлемого эксципиента в лекарственном средстве по настоящему изобретению составляет от 1.00 до 95.00 масс. %, от 1.00 до 90.00 масс. %, от 1.00 до 85.00 масс. %, от 1.00 до 80.00 масс. %, от 1.00 до 75.00 масс. %, от 1.00 до 70.00 масс. %, от 1.00 до 65.00 масс. %, от 1.00 до 60.00 масс. %, от 1.00 до 55.00 масс. %, от 1.00 до 50.00 масс. %, от 1.00 до 45.00 масс. % или от 1.00 до 40.00 масс. % от массы лекарственного средства.

Более предпочтительно содержание по меньшей мере одного фармацевтически приемлемого эксципиента в лекарственном средстве по настоящему изобретению составляет от 1.00 до 99.90 масс. %, от 10.00 до 99.90 масс. %, от 20.00 до 99.90 масс. %, от 30.00 до 99.90 масс. %, от 40.00 до 99.90 масс. %, от 50.00 до 99.90 масс. %, от 60.00 до 99.90 масс. %, от 70.00 до 99.90 масс. %, от 80.00 до 99.90 масс. %, от 90.00 до 99.90 масс. %, от 95.00 до 99.90 масс. % или от 97.00 до 99.90 масс. % от массы лекарственного средства.

Более предпочтительно содержание по меньшей мере одного фармацевтически приемлемого эксципиента в лекарственном средстве по настоящему изобретению составляет от 10.00 до 99.50 масс. %, от 10.00 до 99.40 масс. %, от 10.00 до 99.30 масс. %, от 10.00 до 99.20 масс. %, от 10.00 до 99.10 масс. %, от 10.00 до 99.00 масс. %, от 10.00 до 98.90 масс. %, от 10.00 до 98.80 масс. %, от 10.00 до 98.70 масс. %, от 10.00 до 98.60 масс. %, от 10.00 до 98.50 масс. %, от 10.00 до 98.40 масс. %, от 10.00 до 98.30 масс. %, от 10.00 до 98.20 масс. %, от 10.00 до 98.10 масс. %, от 10.00 до 98.00 масс. % от массы лекарственного средства.

Более предпочтительно содержание по меньшей мере одного фармацевтически приемлемого эксципиента в лекарственном средстве по настоящему изобретению составляет от 90.00 до 99.90 масс. %, от 90.00 до 99.80 масс. %, от 90.00 до 99.70 масс. %, от 90.00 до 99.60 масс. %, от 90.00 до 99.50 масс. %, от 90.00 до 99.40 масс. %, от 90.00 до 99.30 масс. %, от 90.00 до 99.20 масс. %, от 90.00 до 99.10 масс. %, от 90.00 до 99.00 масс. %, от 90.00 до 98.90 масс. %, от 90.00 до 98.80 масс. %, от 90.00 до 98.70 масс. %, от 90.00 до 98.60 масс. %, от 90.00 до 98.50 масс. %, от 90.00 до 98.40 масс. %, от 90.00 до 98.30 масс. %, от 90.00 до 98.20 масс. %, от 90.00 до 98.10 масс. %, от 90.00 до 98.00 масс. %, от 95.00 до 99.90 масс. %, от 96.00 до 99.90 масс. %, от 97.00 до 99.90 масс. % или от 98.00 до 99.90 масс. % от массы лекарственного средства.

В одном из вариантов воплощения настоящего изобретения эффективная дозировка 2-(3-(4-(7H-пирроло[2,3-d]пиримидин-4-ил)-1H-пиразол-1-ил)-1-(2-(метилтио)ацетил)азетидин-3-ил)ацетонитрила, охарактеризованного формулой А, или его фармацевтически приемлемой соли, составляет в пределах примерно от 0.05 до 50.00 мг в день на пациента, нуждающегося в таком лечении.

Более предпочтительно эффективная дозировка 2-(3-(4-(7H-пирроло[2,3-d]пиримидин-4-ил)-1H-пиразол-1-ил)-1-(2-(метилтио)ацетил)азетидин-3-ил)ацетонитрила, охарактеризованного формулой А, или его фармацевтически приемлемой соли, по настоящему изобретению составляет от 0.05 до 10.00 мг, от 0.05 до 9.00 мг, от 0.05 до 8.00 мг, от 0.05 до 7.00 мг, от 0.05 до 6.00 мг, от 0.05 до 5.00 мг, от 0.05 до 4.00 мг, от 0.05 до 3.50 мг, от 0.05 до 3.00 мг, от 0.05 до 2.50 мг, от 0.05 до 2.00 мг, от 0.05 до 1.50 мг, от 0.05 до 1.00 мг, от 0.05 до 0.50 мг или от 0.50 до 5.00 мг, от 0.50 до 4.50 мг, от 0.50 до 4.00 мг, от 0.50 до 3.50 мг, от 0.50 до 3.00 мг, от 0.50 до 2.50 мг, от 0.50 до 2.00 мг или от 1.00 до 5.00 мг, от 1.00 до 4.50 мг, от 1.00 до 4.00 мг, от 1.00 до 3.50 мг, от 1.00 до 3.00 мг, от 1.00 до 2.50 мг, от 1.00 до 2.00 мг или от 2.00 до 5.00 мг или от 1.00 до 4.00 мг в день.

При необходимости дозы, как правило, разделяют на несколько меньших доз для введения в течение дня.

Поставленная задача решается, а заявленный технический результат также достигается посредством лекарственного средства, проявляющего свойства ингибитора Янус киназы (JAK), для лечения аутоиммунных заболеваний, содержащего 2-(3-(4-(7H-пирроло[2,3-d]пиримидин-4-ил)-1H-пиразол-1-ил)-1-(3-метоксипропаноил)азетидин-3-ил)ацетонитрил, охарактеризованный формулой В, или его фармацевтически приемлемую соль.

Поставленная задача решается, а заявленный технический результат также достигается посредством лекарственного средства, проявляющего свойства ингибитора Янус киназы (JAK), для лечения аутоиммунных заболеваний, содержащего 2-(3-(4-(7H-пирроло[2,3-d]пиримидин-4-ил)-1H-пиразол-1-ил)-1-(3-метоксипропаноил)азетидин-3-ил)ацетонитрил, охарактеризованный формулой В, или его фармацевтически приемлемую соль, и по меньшей мере один фармацевтически приемлемый эксципиент.

Поставленная задача решается, а заявленный технический результат также достигается посредством лекарственного средства, проявляющего свойства ингибитора Янус киназы (JAK), для лечения аутоиммунных заболеваний, содержащего в эффективном количестве 2-(3-(4-(7H-пирроло[2,3-d]пиримидин-4-ил)-1H-пиразол-1-ил)-1-(3-метоксипропаноил)азетидин-3-ил)ацетонитрил, охарактеризованный формулой В, или его фармацевтически приемлемую соль и по меньшей мере один фармацевтически приемлемый эксципиент.

Одним из вариантов воплощения настоящего изобретения является лекарственное средство, характеризующееся тем, что по меньшей мере один фармацевтически приемлемый эксципиент выбран из группы, включающей формообразующие вещества, стабилизаторы, солюбилизаторы, растворители, увлажнители, лубриканты, скользящие вещества, загустители, подсластители, отдушки, ароматизаторы, фунгициды, регуляторы пролонгированной доставки, сорастворители, разбавители, наполнители, эмульгаторы, консерванты, антиоксиданты, буферные агенты, криопротекторы, регулирующие рН агенты, вещества для поддержания изотоничности или корригирующие вещества.

Одним из вариантов воплощения настоящего изобретения является лекарственное средство, проявляющее свойства ингибитора Янус киназы (JAK), для лечения аутоиммунных заболеваний, характеризующееся тем, что аутоиммунное заболевание выбрано из группы, включающей ревматоидный артрит, псориатический артрит, ювенильный артрит, атопический дерматит, волчанку и алопецию.

Более предпочтительно заболевание по настоящему изобретению выбрано из группы JAK-опосредованных заболеваний или нарушений.

В некоторых вариантах осуществления одно или более соединений по настоящему изобретению могут применяться в комбинации с другими активными агентами.

Одним из вариантов воплощения настоящего изобретения является лекарственное средство, содержащее 2-(3-(4-(7H-пирроло[2,3-d]пиримидин-4-ил)-1H-пиразол-1-ил)-1-(3-метоксипропаноил)азетидин-3-ил)ацетонитрил, охарактеризованный формулой В, или его фармацевтически приемлемую соль в количестве от 0.50 до 100.00 мг.

Одним из вариантов воплощения настоящего изобретения является лекарственное средство, содержащее в терапевтически эффективном количестве 2-(3-(4-(7H-пирроло[2,3-d]пиримидин-4-ил)-1H-пиразол-1-ил)-1-(3-метоксипропаноил)азетидин-3-ил)ацетонитрил, охарактеризованный формулой В, или его фармацевтически приемлемую соль в количестве от 0.50 до 100.00 мг.

Более предпочтительно содержание 2-(3-(4-(7H-пирроло[2,3-d]пиримидин-4-ил)-1H-пиразол-1-ил)-1-(3-метоксипропаноил)азетидин-3-ил)ацетонитрила, охарактеризованного формулой В, или его фармацевтически приемлемой соли по настоящему изобретению в лекарственном средстве составляет от 0.50 до 95.00 мг, от 0.50 до 90.00 мг, от 0.50 до 85.00 мг, от 0.50 до 80.00 мг, от 0.50 до 75.00 мг, от 0.50 до 70.00 мг, от 0.50 до 65.00 мг, от 0.50 до 60.00 мг, от 0.50 до 55.00 мг, от 0.50 до 50.00 мг, от 0.50 до 45.00 мг, от 0.50 до 40.00 мг, от 0.50 до 35.00 мг, от 0.50 до 30.00 мг, от 0.50 до 25.00 мг, от 0.50 до 20.00 мг, от 0.50 до 15.00 мг, от 0.50 до 10.00 мг, от 0.50 до 9.00 мг, от 0.50 до 8.00 мг, от 0.50 до 7.00 мг, от 0.50 до 6.00 мг, от 0.50 до 5.00 мг, от 0.50 до 4.00 мг, от 0.50 до 3.00 мг, от 0.50 до 2.00 мг или от 0.50 до 1.00 мг.

Одним из вариантов воплощения настоящего изобретения является лекарственное средство, содержащее в терапевтически эффективном количестве 2-(3-(4-(7H-пирроло[2,3-d]пиримидин-4-ил)-1H-пиразол-1-ил)-1-(3-метоксипропаноил)азетидин-3-ил)ацетонитрил, охарактеризованный формулой В, или его фармацевтически приемлемую соль в количестве от 0.50 до 10.00 мг.

Более предпочтительно содержание 2-(3-(4-(7H-пирроло[2,3-d]пиримидин-4-ил)-1H-пиразол-1-ил)-1-(3-метоксипропаноил)азетидин-3-ил)ацетонитрила, охарактеризованного формулой В, или его фармацевтически приемлемой соли по настоящему изобретению в лекарственном средстве составляет от 0.50 до 9.50 мг, от 0.50 до 9.00 мг, от 0.50 до 8.50 мг, от 0.50 до 8.00 мг, от 0.50 до 7.50 мг, от 0.50 до 7.00 мг, от 0.50 до 6.50 мг, от 0.50 до 6.00 мг, от 0.50 до 5.50 мг, от 0.50 до 5.00 мг, от 0.50 до 4.50 мг, от 0.50 до 4.00 мг, от 0.50 до 3.50 мг, от 0.50 до 3.00 мг, от 0.50 до 2.50 мг или от 0.50 до 2.00 мг.

Одним из вариантов воплощения настоящего изобретения является лекарственное средство, содержащее в терапевтически эффективном количестве 2-(3-(4-(7H-пирроло[2,3-d]пиримидин-4-ил)-1H-пиразол-1-ил)-1-(3-метоксипропаноил)азетидин-3-ил)ацетонитрил, охарактеризованный формулой В, или его фармацевтически приемлемую соль в количестве от 1.00 до 5.00 мг.

Одним из вариантов воплощения настоящего изобретения является лекарственное средство, содержащее в терапевтически эффективном количестве 2-(3-(4-(7H-пирроло[2,3-d]пиримидин-4-ил)-1H-пиразол-1-ил)-1-(3-метоксипропаноил)азетидин-3-ил)ацетонитрил, охарактеризованный формулой В, или его фармацевтически приемлемую соль в количестве от 2.00 до 4.00 мг.

Одним из вариантов воплощения настоящего изобретения является лекарственное средство, содержащее 2-(3-(4-(7H-пирроло[2,3-d]пиримидин-4-ил)-1H-пиразол-1-ил)-1-(3-метоксипропаноил)азетидин-3-ил)ацетонитрил, охарактеризованный формулой В, или его фармацевтически приемлемую соль в количестве от 0.01 до 99.00 масс. % от массы лекарственного средства.

Более предпочтительно содержание 2-(3-(4-(7H-пирроло[2,3-d]пиримидин-4-ил)-1H-пиразол-1-ил)-1-(3-метоксипропаноил)азетидин-3-ил)ацетонитрила, охарактеризованного формулой В, или его фармацевтически приемлемой соли по настоящему изобретению в лекарственном средстве составляет от 0.01 до 95.00 масс. %, от 0.01 до 90.00 масс. %, от 0.01 до 85.00 масс. %, от 0.01 до 80.00 масс. %, от 0.01 до 75.00 масс. %, от 0.01 до 70.00 масс. %, от 0.01 до 65.00 масс. %, от 0.01 до 60.00 масс. %, от 0.01 до 55.00 масс. %, от 0.01 до 50.00 масс. % или от 0.01 до 40.00 масс. % от массы лекарственного средства.

Более предпочтительно содержание 2-(3-(4-(7H-пирроло[2,3-d]пиримидин-4-ил)-1H-пиразол-1-ил)-1-(3-метоксипропаноил)азетидин-3-ил)ацетонитрила, охарактеризованного формулой В, или его фармацевтически приемлемой соли по настоящему изобретению в лекарственном средстве составляет от 0.10 до 99.00 масс. %, от 0.10 до 95.00 масс. %, от 0.10 до 90.00 масс. %, от 0.10 до 85.00 масс. %, от 0.10 до 80.00 масс. %, от 0.10 до 75.00 масс. %, от 0.10 до 70.00 масс. %, от 0.10 до 65.00 масс. %, от 0.10 до 60.00 масс. %, от 0.10 до 55.00 масс. %, от 0.10 до 50.00 масс. %, от 0.10 до 45.00 масс. %, или от 0.10 до 40.00 масс. % от массы лекарственного средства.

Более предпочтительно содержание 2-(3-(4-(7H-пирроло[2,3-d]пиримидин-4-ил)-1H-пиразол-1-ил)-1-(3-метоксипропаноил)азетидин-3-ил)ацетонитрила, охарактеризованного формулой В, или его фармацевтически приемлемой соли по настоящему изобретению в лекарственном средстве составляет от 0.50 до 99.00 масс. %, от 0.50 до 95.00 масс. %, от 0.50 до 90.00 масс. %, от 0.50 до 85.00 масс. %, от 0.50 до 80.00 масс. %, от 0.50 до 75.00 масс. %, от 0.50 до 70.00 масс. %, от 0.50 до 65.00 масс. %, от 0.50 до 60.00 масс. %, от 0.50 до 55.00 масс. %, от 0.50 до 50.00 масс. %, от 0.50 до 45.00 масс. % или от 0.50 до 40.00 масс. % от массы лекарственного средства.

Более предпочтительно содержание 2-(3-(4-(7H-пирроло[2,3-d]пиримидин-4-ил)-1H-пиразол-1-ил)-1-(3-метоксипропаноил)азетидин-3-ил)ацетонитрила, охарактеризованного формулой В, или его фармацевтически приемлемой соли по настоящему изобретению в лекарственном средстве составляет от 1.00 до 99.00 масс. %, от 1.00 до 95.00 масс. %, от 1.00 до 90.00 масс. %, от 1.00 до 85.00 масс. %, от 1.00 до 80.00 масс. %, от 1.00 до 75.00 масс. %, от 1.00 до 70.00 масс. %, от 1.00 до 65.00 масс. %, от 1.00 до 60.00 масс. %, от 1.00 до 55.00 масс. %, от 1.00 до 50.00 масс. %, от 1.00 до 45.00 масс. % или от 1.00 до 40.00 масс. % от массы лекарственного средства.

Более предпочтительно содержание 2-(3-(4-(7H-пирроло[2,3-d]пиримидин-4-ил)-1H-пиразол-1-ил)-1-(3-метоксипропаноил)азетидин-3-ил)ацетонитрила, охарактеризованного формулой В, или его фармацевтически приемлемой соли по настоящему изобретению в лекарственном средстве составляет от 0.50 до 5.00 масс. %, от 0.50 до 4.50 масс. %, от 0.50 до 4.00 масс. %, от 0.50 до 3.50 масс. %, от 0.50 до 3.00 масс. %, от 0.50 до 2.50 масс. %, от 0.50 до 2.00 масс. %, от 0.50 до 1.50 масс. % или от 0.50 до 1.00 масс. % от массы лекарственного средства.

Одним из вариантов воплощения настоящего изобретения является лекарственное средство, содержащее 2-(3-(4-(7H-пирроло[2,3-d]пиримидин-4-ил)-1H-пиразол-1-ил)-1-(3-метоксипропаноил)азетидин-3-ил)ацетонитрил, охарактеризованный формулой В, или его фармацевтически приемлемую соль и по меньшей мере один фармацевтически приемлемый эксципиент в количестве от 1.00 до 99.99 масс. % от массы лекарственного средства.

Более предпочтительно содержание по меньшей мере одного фармацевтически приемлемого эксципиента в лекарственном средстве по настоящему изобретению составляет от 1.00 до 95.00 масс. %, от 1.00 до 90.00 масс. %, от 1.00 до 85.00 масс. %, от 1.00 до 80.00 масс. %, от 1.00 до 75.00 масс. %, от 1.00 до 70.00 масс. %, от 1.00 до 65.00 масс. %, от 1.00 до 60.00 масс. %, от 1.00 до 55.00 масс. %, от 1.00 до 50.00 масс. %, от 1.00 до 45.00 масс. % или от 1.00 до 40.00 масс. % от массы лекарственного средства.

Более предпочтительно содержание по меньшей мере одного фармацевтически приемлемого эксципиента в лекарственном средстве по настоящему изобретению составляет от 1.00 до 99.90 масс. %, от 10.00 до 99.90 масс. %, от 20.00 до 99.90 масс. %, от 30.00 до 99.90 масс. %, от 40.00 до 99.90 масс. %, от 50.00 до 99.90 масс. %, от 60.00 до 99.90 масс. %, от 70.00 до 99.90 масс. %, от 80.00 до 99.90 масс. %, от 90.00 до 99.90 масс. %, от 95.00 до 99.90 масс. % или от 97.00 до 99.90 масс. % от массы лекарственного средства.

Более предпочтительно содержание по меньшей мере одного фармацевтически приемлемого эксципиента в лекарственном средстве по настоящему изобретению составляет от 10.00 до 99.50 масс. %, от 10.00 до 99.40 масс. %, от 10.00 до 99.30 масс. %, от 10.00 до 99.20 масс. %, от 10.00 до 99.10 масс. %, от 10.00 до 99.00 масс. %, от 10.00 до 98.90 масс. %, от 10.00 до 98.80 масс. %, от 10.00 до 98.70 масс. %, от 10.00 до 98.60 масс. %, от 10.00 до 98.50 масс. %, от 10.00 до 98.40 масс. %, от 10.00 до 98.30 масс. %, от 10.00 до 98.20 масс. %, от 10.00 до 98.10 масс. %, от 10.00 до 98.00 масс. % от массы лекарственного средства.

Более предпочтительно содержание по меньшей мере одного фармацевтически приемлемого эксципиента в лекарственном средстве по настоящему изобретению составляет от 90.00 до 99.90 масс. %, от 90.00 до 99.80 масс. %, от 90.00 до 99.70 масс. %, от 90.00 до 99.60 масс. %, от 90.00 до 99.50 масс. %, от 90.00 до 99.40 масс. %, от 90.00 до 99.30 масс. %, от 90.00 до 99.20 масс. %, от 90.00 до 99.10 масс. %, от 90.00 до 99.00 масс. %, от 90.00 до 98.90 масс. %, от 90.00 до 98.80 масс. %, от 90.00 до 98.70 масс. %, от 90.00 до 98.60 масс. %, от 90.00 до 98.50 масс. %, от 90.00 до 98.40 масс. %, от 90.00 до 98.30 масс. %, от 90.00 до 98.20 масс. %, от 90.00 до 98.10 масс. %, от 90.00 до 98.00 масс. %, от 95.00 до 99.90 масс. %, от 96.00 до 99.90 масс. %, от 97.00 до 99.90 масс. % или от 98.00 до 99.90 масс. % от массы лекарственного средства.

В одном из вариантов воплощения настоящего изобретения эффективная дозировка 2-(3-(4-(7H-пирроло[2,3-d]пиримидин-4-ил)-1H-пиразол-1-ил)-1-(3-метоксипропаноил)азетидин-3-ил)ацетонитрила, охарактеризованного формулой В, или его фармацевтически приемлемой соли, составляет в пределах примерно от 0.05 до 50.00 мг в день на пациента, нуждающегося в таком лечении.

Более предпочтительно эффективная дозировка 2-(3-(4-(7H-пирроло[2,3-d]пиримидин-4-ил)-1H-пиразол-1-ил)-1-(3-метоксипропаноил)азетидин-3-ил)ацетонитрил а, охарактеризованного формулой В, или его фармацевтически приемлемой соли, по настоящему изобретению составляет от 0.05 до 10.00 мг, от 0.05 до 9.00 мг, от 0.05 до 8.00 мг, от 0.05 до 7.00 мг, от 0.05 до 6.00 мг, от 0.05 до 5.00 мг, от 0.05 до 4.00 мг, от 0.05 до 3.50 мг, от 0.05 до 3.00 мг, от 0.05 до 2.50 мг, от 0.05 до 2.00 мг, от 0.05 до 1.50 мг, от 0.05 до 1.00 мг, от 0.05 до 0.50 мг или от 0.50 до 5.00 мг, от 0.50 до 4.50 мг, от 0.50 до 4.00 мг, от 0.50 до 3.50 мг, от 0.50 до 3.00 мг, от 0.50 до 2.50 мг, от 0.50 до 2.00 мг или от 1.00 до 5.00 мг, от 1.00 до 4.50 мг, от 1.00 до 4.00 мг, от 1.00 до 3.50 мг, от 1.00 до 3.00 мг, от 1.00 до 2.50 мг, от 1.00 до 2.00 мг или от 2.00 до 5.00 мг или от 1.00 до 4.00 мг в день.

При необходимости дозы, как правило, разделяют на несколько меньших доз для введения в течение дня.

Поставленная задача решается, а заявленный технический результат также достигается посредством лекарственного средства, проявляющего свойства ингибитора Янус киназы (JAK), для лечения аутоиммунных заболеваний, содержащего 2-(3-(4-(7H-пирроло[2,3-d]пиримидин-4-ил)-1H-пиразол-1-ил)-1-(3-(метилтио)пропаноил)азетидин-3-ил)ацетонитрил, охарактеризованный формулой C, или его фармацевтически приемлемую соль.

Поставленная задача решается, а заявленный технический результат также достигается посредством лекарственного средства, проявляющего свойства ингибитора Янус киназы (JAK), для лечения аутоиммунных заболеваний, содержащего 2-(3-(4-(7H-пирроло[2,3-d]пиримидин-4-ил)-1H-пиразол-1-ил)-1-(3-(метилтио)пропаноил)азетидин-3-ил)ацетонитрил, охарактеризованный формулой C, или его фармацевтически приемлемую соль, и по меньшей мере один фармацевтически приемлемый эксципиент.

Поставленная задача решается, а заявленный технический результат также достигается посредством лекарственного средства, проявляющего свойства ингибитора Янус киназы (JAK), для лечения аутоиммунных заболеваний, содержащего в эффективном количестве 2-(3-(4-(7H-пирроло[2,3-d]пиримидин-4-ил)-1H-пиразол-1-ил)-1-(3-(метилтио)пропаноил)азетидин-3-ил)ацетонитрил, охарактеризованный формулой C, или его фармацевтически приемлемую соль и по меньшей мере один фармацевтически приемлемый эксципиент.

Одним из вариантов воплощения настоящего изобретения является лекарственное средство, характеризующееся тем, что по меньшей мере один фармацевтически приемлемый эксципиент выбран из группы, включающей формообразующие вещества, стабилизаторы, солюбилизаторы, растворители, увлажнители, лубриканты, скользящие вещества, загустители, подсластители, отдушки, ароматизаторы, фунгициды, регуляторы пролонгированной доставки, сорастворители, разбавители, наполнители, эмульгаторы, консерванты, антиоксиданты, буферные агенты, криопротекторы, регулирующие рН агенты, вещества для поддержания изотоничности или корригирующие вещества.

Одним из вариантов воплощения настоящего изобретения является лекарственное средство, проявляющегее свойства ингибитора Янус киназы (JAK), для лечения аутоиммунных заболеваний, характеризующееся тем, что аутоиммунное заболевание выбрано из группы, включающей ревматоидный артрит, псориатический артрит, ювенильный артрит, атопический дерматит, волчанку и алопецию. Более предпочтительно заболевание по настоящему изобретению выбрано из группы JAK-опосредованных заболеваний или нарушений.

В некоторых вариантах осуществления одно или более соединений по настоящему изобретению могут применяться в комбинации с другими активными агентами.

Одним из вариантов воплощения настоящего изобретения является лекарственное средство, содержащее 2-(3-(4-(7H-пирроло[2,3-d]пиримидин-4-ил)-1H-пиразол-1-ил)-1-(3-(метилтио)пропаноил)азетидин-3-ил)ацетонитрил, охарактеризованный формулой C, или его фармацевтически приемлемую соль в количестве от 0.50 до 100.00 мг.

Одним из вариантов воплощения настоящего изобретения является лекарственное средство, содержащее в терапевтически эффективном количестве 2-(3-(4-(7H-пирроло[2,3-d]пиримидин-4-ил)-1H-пиразол-1-ил)-1-(3-(метилтио)пропаноил)азетидин-3-ил)ацетонитрил, охарактеризованный формулой C, или его фармацевтически приемлемую соль в количестве от 0.50 до 100.00 мг.

Более предпочтительно содержание 2-(3-(4-(7H-пирроло[2,3-d]пиримидин-4-ил)-1H-пиразол-1-ил)-1-(3-(метилтио)пропаноил)азетидин-3-ил)ацетонитрила, охарактеризованного формулой C, или его фармацевтически приемлемой соли по настоящему изобретению в лекарственном средстве составляет от 0.50 до 95.00 мг, от 0.50 до 90.00 мг, от 0.50 до 85.00 мг, от 0.50 до 80.00 мг, от 0.50 до 75.00 мг, от 0.50 до 70.00 мг, от 0.50 до 65.00 мг, от 0.50 до 60.00 мг, от 0.50 до 55.00 мг, от 0.50 до 50.00 мг, от 0.50 до 45.00 мг, от 0.50 до 40.00 мг, от 0.50 до 35.00 мг, от 0.50 до 30.00 мг, от 0.50 до 25.00 мг, от 0.50 до 20.00 мг, от 0.50 до 15.00 мг, от 0.50 до 10.00 мг, от 0.50 до 9.00 мг, от 0.50 до 8.00 мг, от 0.50 до 7.00 мг, от 0.50 до 6.00 мг, от 0.50 до 5.00 мг, от 0.50 до 4.00 мг, от 0.50 до 3.00 мг, от 0.50 до 2.00 мг или от 0.50 до 1.00 мг.

Одним из вариантов воплощения настоящего изобретения является лекарственное средство, содержащее в терапевтически эффективном количестве 2-(3-(4-(7H-пирроло[2,3-d]пиримидин-4-ил)-1H-пиразол-1-ил)-1-(3-(метилтио)пропаноил)азетидин-3-ил)ацетонитрил, охарактеризованный формулой C, или его фармацевтически приемлемую соль в количестве от 0.50 до 10.00 мг.

Более предпочтительно содержание 2-(3-(4-(7H-пирроло[2,3-d]пиримидин-4-ил)-1H-пиразол-1-ил)-1-(3-(метилтио)пропаноил)азетидин-3-ил)ацетонитрила, охарактеризованного формулой C, или его фармацевтически приемлемой соли по настоящему изобретению в лекарственном средстве составляет от 0.50 до 9.50 мг, от 0.50 до 9.00 мг, от 0.50 до 8.50 мг, от 0.50 до 8.00 мг, от 0.50 до 7.50 мг, от 0.50 до 7.00 мг, от 0.50 до 6.50 мг, от 0.50 до 6.00 мг, от 0.50 до 5.50 мг, от 0.50 до 5.00 мг, от 0.50 до 4.50 мг, от 0.50 до 4.00 мг, от 0.50 до 3.50 мг, от 0.50 до 3.00 мг, от 0.50 до 2.50 мг или от 0.50 до 2.00 мг.

Одним из вариантов воплощения настоящего изобретения является лекарственное средство, содержащее в терапевтически эффективном количестве 2-(3-(4-(7H-пирроло[2,3-d]пиримидин-4-ил)-1H-пиразол-1-ил)-1-(3-(метилтио)пропаноил)азетидин-3-ил)ацетонитрил, охарактеризованный формулой C, или его фармацевтически приемлемую соль в количестве от 1.00 до 5.00 мг.

Одним из вариантов воплощения настоящего изобретения является лекарственное средство, содержащее в терапевтически эффективном количестве 2-(3-(4-(7H-пирроло[2,3-d]пиримидин-4-ил)-1H-пиразол-1-ил)-1-(3-(метилтио)пропаноил)азетидин-3-ил)ацетонитрил, охарактеризованный формулой C, или его фармацевтически приемлемую соль в количестве от 2.00 до 4.00 мг.

Одним из вариантов воплощения настоящего изобретения является лекарственное средство, содержащее 2-(3-(4-(7H-пирроло[2,3-d]пиримидин-4-ил)-1H-пиразол-1-ил)-1-(3-(метилтио)пропаноил)азетидин-3-ил)ацетонитрил, охарактеризованный формулой C, или его фармацевтически приемлемую соль в количестве от 0.01 до 99.00 масс. % от массы лекарственного средства.

Более предпочтительно содержание 2-(3-(4-(7H-пирроло[2,3-d]пиримидин-4-ил)-1H-пиразол-1-ил)-1-(3-(метилтио)пропаноил)азетидин-3-ил)ацетонитрила, охарактеризованного формулой C, или его фармацевтически приемлемой соли по настоящему изобретению в лекарственном средстве составляет от 0.01 до 95.00 масс. %, от 0.01 до 90.00 масс. %, от 0.01 до 85.00 масс. %, от 0.01 до 80.00 масс. %, от 0.01 до 75.00 масс. %, от 0.01 до 70.00 масс. %, от 0.01 до 65.00 масс. %, от 0.01 до 60.00 масс. %, от 0.01 до 55.00 масс. %, от 0.01 до 50.00 масс. % или от 0.01 до 40.00 масс. % от массы лекарственного средства.

Более предпочтительно содержание 2-(3-(4-(7H-пирроло[2,3-d]пиримидин-4-ил)-1H-пиразол-1-ил)-1-(3-(метилтио)пропаноил)азетидин-3-ил)ацетонитрила, охарактеризованного формулой C, или его фармацевтически приемлемой соли по настоящему изобретению в лекарственном средстве составляет от 0.10 до 99.00 масс. %, от 0.10 до 95.00 масс. %, от 0.10 до 90.00 масс. %, от 0.10 до 85.00 масс. %, от 0.10 до 80.00 масс. %, от 0.10 до 75.00 масс. %, от 0.10 до 70.00 масс. %, от 0.10 до 65.00 масс. %, от 0.10 до 60.00 масс. %, от 0.10 до 55.00 масс. %, от 0.10 до 50.00 масс. %, от 0.10 до 45.00 масс. %, или от 0.10 до 40.00 масс. % от массы лекарственного средства.

Более предпочтительно содержание 2-(3-(4-(7H-пирроло[2,3-d]пиримидин-4-ил)-1H-пиразол-1-ил)-1-(3-(метилтио)пропаноил)азетидин-3-ил)ацетонитрила, охарактеризованного формулой С, или его фармацевтически приемлемой соли по настоящему изобретению в лекарственном средстве составляет от 0.50 до 99.00 масс. %, от 0.50 до 95.00 масс. %, от 0.50 до 90.00 масс. %, от 0.50 до 85.00 масс. %, от 0.50 до 80.00 масс. %, от 0.50 до 75.00 масс. %, от 0.50 до 70.00 масс. %, от 0.50 до 65.00 масс. %, от 0.50 до 60.00 масс. %, от 0.50 до 55.00 масс. %, от 0.50 до 50.00 масс. %, от 0.50 до 45.00 масс. % или от 0.50 до 40.00 масс. % от массы лекарственного средства.

Более предпочтительно содержание 2-(3-(4-(7H-пирроло[2,3-d]пиримидин-4-ил)-1H-пиразол-1-ил)-1-(3-(метилтио)пропаноил)азетидин-3-ил)ацетонитрила, охарактеризованного формулой С, или его фармацевтически приемлемой соли по настоящему изобретению в лекарственном средстве составляет от 1.00 до 99.00 масс. %, от 1.00 до 95.00 масс. %, от 1.00 до 90.00 масс. %, от 1.00 до 85.00 масс. %, от 1.00 до 80.00 масс. %, от 1.00 до 75.00 масс. %, от 1.00 до 70.00 масс. %, от 1.00 до 65.00 масс. %, от 1.00 до 60.00 масс. %, от 1.00 до 55.00 масс. %, от 1.00 до 50.00 масс. %, от 1.00 до 45.00 масс. % или от 1.00 до 40.00 масс. % от массы лекарственного средства.

Более предпочтительно содержание 2-(3-(4-(7H-пирроло[2,3-d]пиримидин-4-ил)-1H-пиразол-1-ил)-1-(3-(метилтио)пропаноил)азетидин-3-ил)ацетонитрила, охарактеризованного формулой С, или его фармацевтически приемлемой соли по настоящему изобретению в лекарственном средстве составляет от 0.50 до 5.00 масс. %, от 0.50 до 4.50 масс. %, от 0.50 до 4.00 масс. %, от 0.50 до 3.50 масс. %, от 0.50 до 3.00 масс. %, от 0.50 до 2.50 масс. %, от 0.50 до 2.00 масс. %, от 0.50 до 1.50 масс. % или от 0.50 до 1.00 масс. % от массы лекарственного средства.

Одним из вариантов воплощения настоящего изобретения является лекарственное средство, содержащее 2-(3-(4-(7H-пирроло[2,3-d]пиримидин-4-ил)-1H-пиразол-1-ил)-1-(3-(метилтио)пропаноил)азетидин-3-ил)ацетонитрил, охарактеризованный формулой С, или его фармацевтически приемлемую соль и по меньшей мере один фармацевтически приемлемый эксципиент в количестве от 1.00 до 99.99 масс. % от массы лекарственного средства.

Более предпочтительно содержание по меньшей мере одного фармацевтически приемлемого эксципиента в лекарственном средстве по настоящему изобретению составляет от 1.00 до 95.00 масс. %, от 1.00 до 90.00 масс. %, от 1.00 до 85.00 масс. %, от 1.00 до 80.00 масс. %, от 1.00 до 75.00 масс. %, от 1.00 до 70.00 масс. %, от 1.00 до 65.00 масс. %, от 1.00 до 60.00 масс. %, от 1.00 до 55.00 масс. %, от 1.00 до 50.00 масс. %, от 1.00 до 45.00 масс. % или от 1.00 до 40.00 масс. % от массы лекарственного средства.

Более предпочтительно содержание по меньшей мере одного фармацевтически приемлемого эксципиента в лекарственном средстве по настоящему изобретению составляет от 1.00 до 99.90 масс. %, от 10.00 до 99.90 масс. %, от 20.00 до 99.90 масс. %, от 30.00 до 99.90 масс. %, от 40.00 до 99.90 масс. %, от 50.00 до 99.90 масс. %, от 60.00 до 99.90 масс. %, от 70.00 до 99.90 масс. %, от 80.00 до 99.90 масс. %, от 90.00 до 99.90 масс. %, от 95.00 до 99.90 масс. % или от 97.00 до 99.90 масс. % от массы лекарственного средства.

Более предпочтительно содержание по меньшей мере одного фармацевтически приемлемого эксципиента в лекарственном средстве по настоящему изобретению составляет от 10.00 до 99.50 масс. %, от 10.00 до 99.40 масс. %, от 10.00 до 99.30 масс. %, от 10.00 до 99.20 масс. %, от 10.00 до 99.10 масс. %, от 10.00 до 99.00 масс. %, от 10.00 до 98.90 масс. %, от 10.00 до 98.80 масс. %, от 10.00 до 98.70 масс. %, от 10.00 до 98.60 масс. %, от 10.00 до 98.50 масс. %, от 10.00 до 98.40 масс. %, от 10.00 до 98.30 масс. %, от 10.00 до 98.20 масс. %, от 10.00 до 98.10 масс. %, от 10.00 до 98.00 масс. % от массы лекарственного средства.

Более предпочтительно содержание по меньшей мере одного фармацевтически приемлемого эксципиента в лекарственном средстве по настоящему изобретению составляет от 90.00 до 99.90 масс. %, от 90.00 до 99.80 масс. %, от 90.00 до 99.70 масс. %, от 90.00 до 99.60 масс. %, от 90.00 до 99.50 масс. %, от 90.00 до 99.40 масс. %, от 90.00 до 99.30 масс. %, от 90.00 до 99.20 масс. %, от 90.00 до 99.10 масс. %, от 90.00 до 99.00 масс. %, от 90.00 до 98.90 масс. %, от 90.00 до 98.80 масс. %, от 90.00 до 98.70 масс. %, от 90.00 до 98.60 масс. %, от 90.00 до 98.50 масс. %, от 90.00 до 98.40 масс. %, от 90.00 до 98.30 масс. %, от 90.00 до 98.20 масс. %, от 90.00 до 98.10 масс. %, от 90.00 до 98.00 масс. %, от 95.00 до 99.90 масс. %, от 96.00 до 99.90 масс. %, от 97.00 до 99.90 масс. % или от 98.00 до 99.90 масс. % от массы лекарственного средства.

В одном из вариантов воплощения настоящего изобретения эффективная дозировка 2-(3-(4-(7H-пирроло[2,3-d]пиримидин-4-ил)-1H-пиразол-1-ил)-1-(3-(метилтио)пропаноил)азетидин-3-ил)ацетонитрила, охарактеризованного формулой С, или его фармацевтически приемлемой соли, составляет в пределах примерно от 0.05 до 50.00 мг в день на пациента, нуждающегося в таком лечении.

Более предпочтительно эффективная дозировка 2-(3-(4-(7H-пирроло[2,3-d]пиримидин-4-ил)-1H-пиразол-1-ил)-1-(3-(метилтио)пропаноил)азетидин-3-ил)ацетонитрила, охарактеризованного формулой С, или его фармацевтически приемлемой соли, по настоящему изобретению составляет от 0.05 до 10.00 мг, от 0.05 до 9.00 мг, от 0.05 до 8.00 мг, от 0.05 до 7.00 мг, от 0.05 до 6.00 мг, от 0.05 до 5.00 мг, от 0.05 до 4.00 мг, от 0.05 до 3.50 мг, от 0.05 до 3.00 мг, от 0.05 до 2.50 мг, от 0.05 до 2.00 мг, от 0.05 до 1.50 мг, от 0.05 до 1.00 мг, от 0.05 до 0.50 мг или от 0.50 до 5.00 мг, от 0.50 до 4.50 мг, от 0.50 до 4.00 мг, от 0.50 до 3.50 мг, от 0.50 до 3.00 мг, от 0.50 до 2.50 мг, от 0.50 до 2.00 мг или от 1.00 до 5.00 мг, от 1.00 до 4.50 мг, от 1.00 до 4.00 мг, от 1.00 до 3.50 мг, от 1.00 до 3.00 мг, от 1.00 до 2.50 мг, от 1.00 до 2.00 мг или от 2.00 до 5.00 мг или от 1.00 до 4.00 мг в день.

При необходимости дозы, как правило, разделяют на несколько меньших доз для введения в течение дня.

Одним из вариантов воплощения настоящего изобретения является лекарственное средство, содержащее соединение А или соединение В, или соединение С, или их фармацевтически приемлемую соль, представляющее собой твердое лекарственное средство.

Более предпочтительно твердое лекарственное средство по настоящему изобретению представляет собой, не ограничиваясь указанным, таблетку, капсулу, пеллету, драже, гранулу, саше, порошок, лиофилизат.

Более предпочтительно твердое лекарственное средство по настоящему изобретению представляет собой, не ограничиваясь указанным, диспергируемую таблетку, в том числе диспергируемую в полости рта таблетку, лиофилизированную таблетку, таблетку, покрытую оболочкой, буккальную таблетку, шипучую таблетку, таблетку с замедленным/пролонгированным/ модифицированным высвобождением.

Одним из вариантов воплощения изобретения является лекарственное средство, представляющее собой жидкое лекарственное средство.

Более предпочтительно жидкое лекарственное средство по настоящему изобретению представляет собой, не ограничиваясь указанным, раствор, концентрат для приготовления раствора, сироп, суспензию.

Одним из вариантов воплощения изобретения является лекарственное средство, представляющее собой парентеральное лекарственное средство.

Парентеральное введение лекарственных средств - это такие пути введения лекарственных средств в организм, при которых они минуют желудочно-кишечный тракт, в отличие от перорального способа применения лекарств. Парентеральные лекарственные средства-это стерильные препараты, предназначенные для введения путем инъекций, инфузий, ингаляций или имплантаций в организм человека или животного. К ним относятся растворы, эмульсии, суспензии, аэрозоли, порошки и таблетки для получения растворов и имплантации, порошки для ингаляций, лиофилизированные препараты для получения лекарственных форм, вводимых в организм парентерально (подкожно, внутримышечно, внутривенно, внутриартериально, в различные полости).

Парентеральные пути введения включают введение в ткани (внутрикожно, подкожно, внутримышечно, внутрикостно), в сосуды (внутривенно, внутриартериально, в лимфатические сосуды), в полости (в плевральную, брюшную, сердечную и суставную полости), в субарахноидальное пространство, а также ингаляционное, интраназальное и субконъюнктивальное введение.

Более предпочтительно парентеральное лекарственное средство по настоящему изобретению представляет собой инфузионный раствор.

Более предпочтительно парентеральное лекарственное средство по настоящему изобретению представляет собой инъекционный раствор.

Поставленная задача решается, а заявленный технический результат достигается за

счет применения 2-(3-(4-(7H-пирроло[2,3-d]пиримидин-4-ил)-1H-пиразол-1-ил)-1-(2-(метилтио)ацетил)азетидин-3-ил)ацетонитрила, охарактеризованного формулой А, или его фармацевтически приемлемой соли по настоящему изобретению для получения лекарственного средства, проявляющего свойства ингибитора Янус киназы (JAK), для лечения аутоиммунных заболеваний.

Поставленная задача решается, а заявленный технический результат достигается за

счет применения соединения 2-(3-(4-(7H-пирроло[2,3-d]пиримидин-4-ил)-1H-пиразол-1-ил)-1-(2-(метилтио)ацетил)азетидин-3-ил)ацетонитрила, охарактеризованного формулой А, или его фармацевтически приемлемой соли по настоящему изобретению для получения лекарственного средства для лечения аутоиммунных заболеваний путем ингибирования Янус киназы.

Поставленная задача решается, а заявленный технический результат достигается за

счет применения соединения 2-(3-(4-(7H-пирроло[2,3-d]пиримидин-4-ил)-1H-пиразол-1-ил)-1-(2-(метилтио)ацетил)азетидин-3-ил)ацетонитрила, охарактеризованного формулой А, или его фармацевтически приемлемой соли по настоящему изобретению для получения лекарственного средства для лечения заболеваний путем ингибирования Янус киназы.

Поставленная задача решается, а заявленный технический результат достигается за

счет применения соединения 2-(3-(4-(7H-пирроло[2,3-d]пиримидин-4-ил)-1H-пиразол-1-ил)-1-(2-(метилтио)ацетил)азетидин-3-ил)ацетонитрила, охарактеризованного формулой А, или его фармацевтически приемлемой соли по настоящему изобретению для получения лекарственного средства для лечения заболеваний.

Поставленная задача решается, а заявленный технический результат достигается за

счет применения соединения 2-(3-(4-(7H-пирроло[2,3-d]пиримидин-4-ил)-1H-пиразол-1-ил)-1-(2-(метилтио)ацетил)азетидин-3-ил)ацетонитрила, охарактеризованного формулой А, или его фармацевтически приемлемой соли по настоящему изобретению для получения лекарственного средства для лечения аутоиммунных заболеваний.

Поставленная задача решается, а заявленный технический результат достигается за

счет применения 2-(3-(4-(7H-пирроло[2,3-d]пиримидин-4-ил)-1H-пиразол-1-ил)-1-(2-(метилтио)ацетил)азетидин-3-ил)ацетонитрила, охарактеризованного формулой А, или его фармацевтически приемлемой соли по настоящему изобретению для получения фармацевтической композиции, проявляющей свойства ингибитора Янус киназы (JAK), для лечения аутоиммунных заболеваний.

Поставленная задача решается, а заявленный технический результат достигается за

счет применения 2-(3-(4-(7H-пирроло[2,3-d]пиримидин-4-ил)-1H-пиразол-1-ил)-1-(2-(метилтио)ацетил)азетидин-3-ил)ацетонитрила, охарактеризованного формулой А, или его фармацевтически приемлемой соли по настоящему изобретению для получения фармацевтической композиции для лечения аутоиммунных заболеваний путем ингибирования Янус киназы.

Поставленная задача решается, а заявленный технический результат достигается за

счет применения 2-(3-(4-(7H-пирроло[2,3-d]пиримидин-4-ил)-1H-пиразол-1-ил)-1-(2-(метилтио)ацетил)азетидин-3-ил)ацетонитрила, охарактеризованного формулой А, или его фармацевтически приемлемой соли по настоящему изобретению для получения фармацевтической композиции для лечения заболеваний путем ингибирования Янус киназы.

Поставленная задача решается, а заявленный технический результат достигается за

счет применения 2-(3-(4-(7H-пирроло[2,3-d]пиримидин-4-ил)-1H-пиразол-1-ил)-1-(2-(метилтио)ацетил)азетидин-3-ил)ацетонитрила, охарактеризованного формулой А, или его фармацевтически приемлемой соли по настоящему изобретению для получения фармацевтической композиции для лечения заболеваний.

Поставленная задача решается, а заявленный технический результат достигается за

счет применения 2-(3-(4-(7H-пирроло[2,3-d]пиримидин-4-ил)-1H-пиразол-1-ил)-1-(2-(метилтио)ацетил)азетидин-3-ил)ацетонитрила, охарактеризованного формулой А, или его фармацевтически приемлемой соли по настоящему изобретению для получения фармацевтической композиции для лечения аутоиммунных заболеваний.

Поставленная задача решается, а заявленный технический результат достигается за

счет применения соединения 2-(3-(4-(7H-пирроло[2,3-d]пиримидин-4-ил)-1H-пиразол-1-ил)-1-(2-(метилтио)ацетил)азетидин-3-ил)ацетонитрила, охарактеризованного формулой А, или его фармацевтически приемлемой соли по настоящему изобретению для лечения аутоиммунных заболеваний путем ингибирования Янус киназы.

Поставленная задача решается, а заявленный технический результат достигается за

счет применения 2-(3-(4-(7H-пирроло[2,3-d]пиримидин-4-ил)-1H-пиразол-1-ил)-1-(2-(метилтио)ацетил)азетидин-3-ил)ацетонитрила, охарактеризованного формулой А, или его фармацевтически приемлемой соли по настоящему изобретению для лечения заболеваний путем ингибирования Янус киназы.

Поставленная задача решается, а заявленный технический результат достигается за

счет применения 2-(3-(4-(7H-пирроло[2,3-d]пиримидин-4-ил)-1H-пиразол-1-ил)-1-(2-(метилтио)ацетил)азетидин-3-ил)ацетонитрила, охарактеризованного формулой А, или его фармацевтически приемлемой соли по настоящему изобретению для лечения заболеваний.

Поставленная задача решается, а заявленный технический результат достигается за

счет применения 2-(3-(4-(7H-пирроло[2,3-d]пиримидин-4-ил)-1H-пиразол-1-ил)-1-(2-(метилтио)ацетил)азетидин-3-ил)ацетонитрила, охарактеризованного формулой А, или его фармацевтически приемлемой соли по настоящему изобретению для лечения аутоиммунных заболеваний.

Поставленная задача решается, а заявленный технический результат достигается за

счет применения фармацевтической композиции, содержащей 2-(3-(4-(7H-пирроло[2,3-d]пиримидин-4-ил)-1H-пиразол-1-ил)-1-(2-(метилтио)ацетил)азетидин-3-ил)ацетонитрил, охарактеризованный формулой А, или его фармацевтически приемлемую соль, проявляющей свойства ингибитора Янус киназы (JAK), для лечения аутоиммунных заболеваний.

Поставленная задача решается, а заявленный технический результат достигается за

счет применения фармацевтической композиции, содержащей 2-(3-(4-(7H-пирроло[2,3-d]пиримидин-4-ил)-1H-пиразол-1-ил)-1-(2-(метилтио)ацетил)азетидин-3-ил)ацетонитрил, охарактеризованный формулой А, или его фармацевтически приемлемую соль, для лечения аутоиммунных заболеваний путем ингибирования Янус киназы.

Поставленная задача решается, а заявленный технический результат достигается за

счет применения фармацевтической композиции, содержащей 2-(3-(4-(7H-пирроло[2,3-d]пиримидин-4-ил)-1H-пиразол-1-ил)-1-(2-(метилтио)ацетил)азетидин-3-ил)ацетонитрил, охарактеризованный формулой А, или его фармацевтически приемлемую соль, для лечения заболеваний путем ингибирования Янус киназы.

Поставленная задача решается, а заявленный технический результат достигается за

счет применения фармацевтической композиции, содержащей 2-(3-(4-(7H-пирроло[2,3-d]пиримидин-4-ил)-1H-пиразол-1-ил)-1-(2-(метилтио)ацетил)азетидин-3-ил)ацетонитрил, охарактеризованный формулой А, или его фармацевтически приемлемую соль, для лечения заболеваний.

Поставленная задача решается, а заявленный технический результат достигается за

счет применения фармацевтической композиции, содержащей 2-(3-(4-(7H-пирроло[2,3-d]пиримидин-4-ил)-1H-пиразол-1-ил)-1-(2-(метилтио)ацетил)азетидин-3-ил)ацетонитрил, охарактеризованный формулой А, или его фармацевтически приемлемую соль, для лечения аутоиммунных заболеваний.

Поставленная задача решается, а заявленный технический результат достигается за

счет применения лекарственного средства, содержащего 2-(3-(4-(7H-пирроло[2,3-d]пиримидин-4-ил)-1H-пиразол-1-ил)-1-(2-(метилтио)ацетил)азетидин-3-ил)ацетонитрил, охарактеризованный формулой А, или его фармацевтически приемлемую соль, проявляющего свойства ингибитора Янус киназы (JAK), для лечения аутоиммунных заболеваний.

Поставленная задача решается, а заявленный технический результат достигается за

счет применения лекарственного средства, содержащего 2-(3-(4-(7H-пирроло[2,3-d]пиримидин-4-ил)-1H-пиразол-1-ил)-1-(2-(метилтио)ацетил)азетидин-3-ил)ацетонитрил, охарактеризованный формулой А, или его фармацевтически приемлемую соль, для лечения аутоиммунных заболеваний путем ингибирования Янус киназы.

Поставленная задача решается, а заявленный технический результат достигается за

счет применения лекарственного средства, содержащего 2-(3-(4-(7H-пирроло[2,3-d]пиримидин-4-ил)-1H-пиразол-1-ил)-1-(2-(метилтио)ацетил)азетидин-3-ил)ацетонитрил, охарактеризованный формулой А, или его фармацевтически приемлемую соль, для лечения заболеваний путем ингибирования Янус киназы.

Поставленная задача решается, а заявленный технический результат достигается за

счет применения лекарственного средства, содержащего 2-(3-(4-(7H-пирроло[2,3-d]пиримидин-4-ил)-1H-пиразол-1-ил)-1-(2-(метилтио)ацетил)азетидин-3-ил)ацетонитрил, охарактеризованный формулой А, или его фармацевтически приемлемую соль, для лечения заболеваний.

Поставленная задача решается, а заявленный технический результат достигается за

счет применения лекарственного средства, содержащего 2-(3-(4-(7H-пирроло[2,3-d]пиримидин-4-ил)-1H-пиразол-1-ил)-1-(2-(метилтио)ацетил)азетидин-3-ил)ацетонитрил, охарактеризованный формулой А, или его фармацевтически приемлемую соль, для лечения аутоиммунных заболеваний.

Поставленная задача решается, а заявленный технический результат достигается за

счет применения фармацевтической композиции, содержащей 2-(3-(4-(7H-пирроло[2,3-d]пиримидин-4-ил)-1H-пиразол-1-ил)-1-(2-(метилтио)ацетил)азетидин-3-ил)ацетонитрил, охарактеризованный формулой А, или его фармацевтически приемлемую соль, для получения лекарственного средства, проявляющего свойства ингибитора Янус киназы (JAK), для лечения аутоиммунных заболеваний.

Поставленная задача решается, а заявленный технический результат достигается за

счет применения фармацевтической композиции, содержащей 2-(3-(4-(7H-пирроло[2,3-d]пиримидин-4-ил)-1H-пиразол-1-ил)-1-(2-(метилтио)ацетил)азетидин-3-ил)ацетонитрил, охарактеризованный формулой А, или его фармацевтически приемлемую соль, для получения лекарственного средства для лечения аутоиммунных заболеваний путем ингибирования Янус киназы.

Поставленная задача решается, а заявленный технический результат достигается за

счет применения фармацевтической композиции, содержащей 2-(3-(4-(7H-пирроло[2,3-d]пиримидин-4-ил)-1H-пиразол-1-ил)-1-(2-(метилтио)ацетил)азетидин-3-ил)ацетонитрил, охарактеризованный формулой А, или его фармацевтически приемлемую соль, для получения лекарственного средства для лечения заболеваний путем ингибирования Янус киназы.

Поставленная задача решается, а заявленный технический результат достигается за

счет применения фармацевтической композиции, содержащей 2-(3-(4-(7H-пирроло[2,3-d]пиримидин-4-ил)-1H-пиразол-1-ил)-1-(2-(метилтио)ацетил)азетидин-3-ил)ацетонитрил, охарактеризованный формулой А, или его фармацевтически приемлемую соль, для получения лекарственного средства для лечения заболеваний.

Поставленная задача решается, а заявленный технический результат достигается за

счет применения фармацевтической композиции, содержащей 2-(3-(4-(7H-пирроло[2,3-d]пиримидин-4-ил)-1H-пиразол-1-ил)-1-(2-(метилтио)ацетил)азетидин-3-ил)ацетонитрил, охарактеризованный формулой А, или его фармацевтически приемлемую соль, для получения лекарственного средства для лечения аутоиммунных заболеваний.

Поставленная задача решается, а заявленный технический результат достигается за

счет применения 2-(3-(4-(7H-пирроло[2,3-d]пиримидин-4-ил)-1H-пиразол-1-ил)-1-(3-метоксипропаноил)азетидин-3-ил)ацетонитрила, охарактеризованного формулой В, или его фармацевтически приемлемой соли по настоящему изобретению для получения лекарственного средства, проявляющего свойства ингибитора Янус киназы (JAK), для лечения аутоиммунных заболеваний.

Поставленная задача решается, а заявленный технический результат достигается за

счет применения соединения 2-(3-(4-(7H-пирроло[2,3-d]пиримидин-4-ил)-1H-пиразол-1-ил)-1-(3-метоксипропаноил)азетидин-3-ил)ацетонитрила, охарактеризованного формулой В, или его фармацевтически приемлемой соли по настоящему изобретению для получения лекарственного средства для лечения аутоиммунных заболеваний путем ингибирования Янус киназы.

Поставленная задача решается, а заявленный технический результат достигается за

счет применения соединения 2-(3-(4-(7H-пирроло[2,3-d]пиримидин-4-ил)-1H-пиразол-1-ил)-1-(3-метоксипропаноил)азетидин-3-ил)ацетонитрила, охарактеризованного формулой В, или его фармацевтически приемлемой соли по настоящему изобретению для получения лекарственного средства для лечения заболеваний путем ингибирования Янус киназы.

Поставленная задача решается, а заявленный технический результат достигается за

счет применения соединения 2-(3-(4-(7H-пирроло[2,3-d]пиримидин-4-ил)-1H-пиразол-1-ил)-1-(3-метоксипропаноил)азетидин-3-ил)ацетонитрила, охарактеризованного формулой В, или его фармацевтически приемлемой соли по настоящему изобретению для получения лекарственного средства для лечения заболеваний.

Поставленная задача решается, а заявленный технический результат достигается за

счет применения соединения 2-(3-(4-(7H-пирроло[2,3-d]пиримидин-4-ил)-1H-пиразол-1-ил)-1-(3-метоксипропаноил)азетидин-3-ил)ацетонитрила, охарактеризованного формулой В, или его фармацевтически приемлемой соли по настоящему изобретению для получения лекарственного средства для лечения аутоиммунных заболеваний.

Поставленная задача решается, а заявленный технический результат достигается за

счет применения 2-(3-(4-(7H-пирроло[2,3-d]пиримидин-4-ил)-1H-пиразол-1-ил)-1-(3-метоксипропаноил)азетидин-3-ил)ацетонитрила, охарактеризованного формулой В, или его фармацевтически приемлемой соли по настоящему изобретению для получения фармацевтической композиции, проявляющей свойства ингибитора Янус киназы (JAK), для лечения аутоиммунных заболеваний.

Поставленная задача решается, а заявленный технический результат достигается за

счет применения 2-(3-(4-(7H-пирроло[2,3-d]пиримидин-4-ил)-1H-пиразол-1-ил)-1-(3-метоксипропаноил)азетидин-3-ил)ацетонитрила, охарактеризованного формулой В, или его фармацевтически приемлемой соли по настоящему изобретению для получения фармацевтической композиции для лечения аутоиммунных заболеваний путем ингибирования Янус киназы.

Поставленная задача решается, а заявленный технический результат достигается за

счет применения 2-(3-(4-(7H-пирроло[2,3-d]пиримидин-4-ил)-1H-пиразол-1-ил)-1-(3-метоксипропаноил)азетидин-3-ил)ацетонитрила, охарактеризованного формулой В, или его фармацевтически приемлемой соли по настоящему изобретению для получения фармацевтической композиции для лечения заболеваний путем ингибирования Янус киназы.

Поставленная задача решается, а заявленный технический результат достигается за

счет применения 2-(3-(4-(7H-пирроло[2,3-d]пиримидин-4-ил)-1H-пиразол-1-ил)-1-(3-метоксипропаноил)азетидин-3-ил)ацетонитрила, охарактеризованного формулой В, или его фармацевтически приемлемой соли по настоящему изобретению для получения фармацевтической композиции для лечения заболеваний.

Поставленная задача решается, а заявленный технический результат достигается за

счет применения 2-(3-(4-(7H-пирроло[2,3-d]пиримидин-4-ил)-1H-пиразол-1-ил)-1-(3-метоксипропаноил)азетидин-3-ил)ацетонитрила, охарактеризованного формулой В, или его фармацевтически приемлемой соли по настоящему изобретению для получения фармацевтической композиции для лечения аутоиммунных заболеваний.

Поставленная задача решается, а заявленный технический результат достигается за

счет применения 2-(3-(4-(7H-пирроло[2,3-d]пиримидин-4-ил)-1H-пиразол-1-ил)-1-(3-метоксипропаноил)азетидин-3-ил)ацетонитрила, охарактеризованного формулой В, или его фармацевтически приемлемой соли по настоящему изобретению, проявляющих свойства ингибитора Янус киназы (JAK), для лечения аутоиммунных заболеваний.

Поставленная задача решается, а заявленный технический результат достигается за

счет применения 2-(3-(4-(7H-пирроло[2,3-d]пиримидин-4-ил)-1H-пиразол-1-ил)-1-(3-метоксипропаноил)азетидин-3-ил)ацетонитрила, охарактеризованного формулой В, или его фармацевтически приемлемой соли по настоящему изобретению для лечения аутоиммунных заболеваний путем ингибирования Янус киназы.

Поставленная задача решается, а заявленный технический результат достигается за

счет применения 2-(3-(4-(7H-пирроло[2,3-d]пиримидин-4-ил)-1H-пиразол-1-ил)-1-(3-метоксипропаноил)азетидин-3-ил)ацетонитрила, охарактеризованного формулой В, или его фармацевтически приемлемой соли по настоящему изобретению для лечения заболеваний путем ингибирования Янус киназы.

Поставленная задача решается, а заявленный технический результат достигается за

счет применения 2-(3-(4-(7H-пирроло[2,3-d]пиримидин-4-ил)-1H-пиразол-1-ил)-1-(3-метоксипропаноил)азетидин-3-ил)ацетонитрила, охарактеризованного формулой В, или его фармацевтически приемлемой соли по настоящему изобретению для лечения заболеваний.

Поставленная задача решается, а заявленный технический результат достигается за

счет применения 2-(3-(4-(7H-пирроло[2,3-d]пиримидин-4-ил)-1H-пиразол-1-ил)-1-(3-метоксипропаноил)азетидин-3-ил)ацетонитрила, охарактеризованного формулой В, или его фармацевтически приемлемой соли по настоящему изобретению для лечения аутоиммунных заболеваний.

Поставленная задача решается, а заявленный технический результат достигается за

счет применения фармацевтической композиции, содержащей 2-(3-(4-(7H-пирроло[2,3-d]пиримидин-4-ил)-1H-пиразол-1-ил)-1-(3-метоксипропаноил)азетидин-3-ил)ацетонитрил, охарактеризованный формулой В, или его фармацевтически приемлемую соль, проявляющей свойства ингибитора Янус киназы (JAK), для лечения аутоиммунных заболеваний.

Поставленная задача решается, а заявленный технический результат достигается за

счет применения фармацевтической композиции, содержащей 2-(3-(4-(7H-пирроло[2,3-d]пиримидин-4-ил)-1H-пиразол-1-ил)-1-(3-метоксипропаноил)азетидин-3-ил)ацетонитрил, охарактеризованный формулой В, или его фармацевтически приемлемую соль, для лечения аутоиммунных заболеваний путем ингибирования Янус киназы.

Поставленная задача решается, а заявленный технический результат достигается за

счет применения фармацевтической композиции, содержащей 2-(3-(4-(7H-пирроло[2,3-d]пиримидин-4-ил)-1H-пиразол-1-ил)-1-(3-метоксипропаноил)азетидин-3-ил)ацетонитрил, охарактеризованный формулой В, или его фармацевтически приемлемую соль, для лечения заболеваний путем ингибирования Янус киназы.

Поставленная задача решается, а заявленный технический результат достигается за

счет применения фармацевтической композиции, содержащей 2-(3-(4-(7H-пирроло[2,3-d]пиримидин-4-ил)-1H-пиразол-1-ил)-1-(3-метоксипропаноил)азетидин-3-ил)ацетонитрил, охарактеризованный формулой В, или его фармацевтически приемлемую соль, для лечения заболеваний.

Поставленная задача решается, а заявленный технический результат достигается за

счет применения фармацевтической композиции, содержащей 2-(3-(4-(7H-пирроло[2,3-d]пиримидин-4-ил)-1H-пиразол-1-ил)-1-(3-метоксипропаноил)азетидин-3-ил)ацетонитрил, охарактеризованный формулой В, или его фармацевтически приемлемую соль, для лечения аутоиммунных заболеваний.

Поставленная задача решается, а заявленный технический результат достигается за

счет применения лекарственного средства, содержащего 2-(3-(4-(7H-пирроло[2,3-d]пиримидин-4-ил)-1H-пиразол-1-ил)-1-(3-метоксипропаноил)азетидин-3-ил)ацетонитрил, охарактеризованный формулой В, или его фармацевтически приемлемую соль, проявляющего свойства ингибитора Янус киназы (JAK), для лечения аутоиммунных заболеваний.

Поставленная задача решается, а заявленный технический результат достигается за

счет применения лекарственного средства, содержащего 2-(3-(4-(7H-пирроло[2,3-d]пиримидин-4-ил)-1H-пиразол-1-ил)-1-(3-метоксипропаноил)азетидин-3-ил)ацетонитрил, охарактеризованный формулой В, или его фармацевтически приемлемую соль, для лечения аутоиммунных заболеваний путем ингибирования Янус киназы.

Поставленная задача решается, а заявленный технический результат достигается за

счет применения лекарственного средства, содержащего 2-(3-(4-(7H-пирроло[2,3-d]пиримидин-4-ил)-1H-пиразол-1-ил)-1-(3-метоксипропаноил)азетидин-3-ил)ацетонитрил, охарактеризованный формулой В, или его фармацевтически приемлемую соль, для лечения заболеваний путем ингибирования Янус киназы.

Поставленная задача решается, а заявленный технический результат достигается за

счет применения лекарственного средства, содержащего 2-(3-(4-(7H-пирроло[2,3-d]пиримидин-4-ил)-1H-пиразол-1-ил)-1-(3-метоксипропаноил)азетидин-3-ил)ацетонитрил, охарактеризованный формулой В, или его фармацевтически приемлемую соль, для лечения заболеваний.

Поставленная задача решается, а заявленный технический результат достигается за

счет применения лекарственного средства, содержащего 2-(3-(4-(7H-пирроло[2,3-d]пиримидин-4-ил)-1H-пиразол-1-ил)-1-(3-метоксипропаноил)азетидин-3-ил)ацетонитрил, охарактеризованный формулой В, или его фармацевтически приемлемую соль, для лечения аутоиммунных заболеваний.

Поставленная задача решается, а заявленный технический результат достигается за

счет применения фармацевтической композиции, содержащей 2-(3-(4-(7H-пирроло[2,3-d]пиримидин-4-ил)-1H-пиразол-1-ил)-1-(3-метоксипропаноил)азетидин-3-ил)ацетонитрил, охарактеризованный формулой В, или его фармацевтически приемлемую соль, для получения лекарственного средства, проявляющего свойства ингибитора Янус киназы (JAK), для лечения аутоиммунных заболеваний.

Поставленная задача решается, а заявленный технический результат достигается за

счет применения фармацевтической композиции, содержащей 2-(3-(4-(7H-пирроло[2,3-d]пиримидин-4-ил)-1H-пиразол-1-ил)-1-(3-метоксипропаноил)азетидин-3-ил)ацетонитрил, охарактеризованный формулой В, или его фармацевтически приемлемую соль, для получения лекарственного средства для лечения аутоиммунных заболеваний путем ингибирования Янус киназы.

Поставленная задача решается, а заявленный технический результат достигается за

счет применения фармацевтической композиции, содержащей 2-(3-(4-(7H-пирроло[2,3-d]пиримидин-4-ил)-1H-пиразол-1-ил)-1-(3-метоксипропаноил)азетидин-3-ил)ацетонитрил, охарактеризованный формулой В, или его фармацевтически приемлемую соль, для получения лекарственного средства для лечения заболеваний путем ингибирования Янус киназы.

Поставленная задача решается, а заявленный технический результат достигается за

счет применения фармацевтической композиции, содержащей 2-(3-(4-(7H-пирроло[2,3-d]пиримидин-4-ил)-1H-пиразол-1-ил)-1-(3-метоксипропаноил)азетидин-3-ил)ацетонитрил, охарактеризованный формулой В, или его фармацевтически приемлемую соль, для получения лекарственного средства для лечения заболеваний.

Поставленная задача решается, а заявленный технический результат достигается за

счет применения фармацевтической композиции, содержащей 2-(3-(4-(7H-пирроло[2,3-d]пиримидин-4-ил)-1H-пиразол-1-ил)-1-(3-метоксипропаноил)азетидин-3-ил)ацетонитрил, охарактеризованный формулой В, или его фармацевтически приемлемую соль, для получения лекарственного средства для лечения аутоиммунных заболеваний.

Поставленная задача решается, а заявленный технический результат достигается за

счет применения 2-(3-(4-(7H-пирроло[2,3-d]пиримидин-4-ил)-1H-пиразол-1-ил)-1-(3-(метилтио)пропаноил)азетидин-3-ил)ацетонитрила, охарактеризованного формулой С, или его фармацевтически приемлемой соли по настоящему изобретению для получения лекарственного средства, проявляющего свойства ингибитора Янус киназы (JAK), для лечения аутоиммунных заболеваний.

Поставленная задача решается, а заявленный технический результат достигается за

счет применения соединения 2-(3-(4-(7H-пирроло[2,3-d]пиримидин-4-ил)-1H-пиразол-1-ил)-1-(3-(метилтио)пропаноил)азетидин-3-ил)ацетонитрила, охарактеризованного формулой С, или его фармацевтически приемлемой соли по настоящему изобретению для получения лекарственного средства для лечения аутоиммунных заболеваний путем ингибирования Янус киназы.

Поставленная задача решается, а заявленный технический результат достигается за

счет применения соединения 2-(3-(4-(7H-пирроло[2,3-d]пиримидин-4-ил)-1H-пиразол-1-ил)-1-(3-(метилтио)пропаноил)азетидин-3-ил)ацетонитрила, охарактеризованного формулой С, или его фармацевтически приемлемой соли по настоящему изобретению для получения лекарственного средства для лечения заболеваний путем ингибирования Янус киназы.

Поставленная задача решается, а заявленный технический результат достигается за

счет применения соединения 2-(3-(4-(7H-пирроло[2,3-d]пиримидин-4-ил)-1H-пиразол-1-ил)-1-(3-(метилтио)пропаноил)азетидин-3-ил)ацетонитрила, охарактеризованного формулой С, или его фармацевтически приемлемой соли по настоящему изобретению для получения лекарственного средства для лечения заболеваний.

Поставленная задача решается, а заявленный технический результат достигается за

счет применения соединения 2-(3-(4-(7H-пирроло[2,3-d]пиримидин-4-ил)-1H-пиразол-1-ил)-1-(3-(метилтио)пропаноил)азетидин-3-ил)ацетонитрила, охарактеризованного формулой С, или его фармацевтически приемлемой соли по настоящему изобретению для получения лекарственного средства для лечения аутоиммунных заболеваний.

Поставленная задача решается, а заявленный технический результат достигается за

счет применения 2-(3-(4-(7H-пирроло[2,3-d]пиримидин-4-ил)-1H-пиразол-1-ил)-1-(3-(метилтио)пропаноил)азетидин-3-ил)ацетонитрила, охарактеризованного формулой С, или его фармацевтически приемлемой соли по настоящему изобретению для получения фармацевтической композиции, проявляющей свойства ингибитора Янус киназы (JAK), для лечения аутоиммунных заболеваний.

Поставленная задача решается, а заявленный технический результат достигается за

счет применения 2-(3-(4-(7H-пирроло[2,3-d]пиримидин-4-ил)-1H-пиразол-1-ил)-1-(3-(метилтио)пропаноил)азетидин-3-ил)ацетонитрила, охарактеризованного формулой С, или его фармацевтически приемлемой соли по настоящему изобретению для получения фармацевтической композиции для лечения аутоиммунных заболеваний путем ингибирования Янус киназы.

Поставленная задача решается, а заявленный технический результат достигается за

счет применения 2-(3-(4-(7H-пирроло[2,3-d]пиримидин-4-ил)-1H-пиразол-1-ил)-1-(3-(метилтио)пропаноил)азетидин-3-ил)ацетонитрила, охарактеризованного формулой С, или его фармацевтически приемлемой соли по настоящему изобретению для получения фармацевтической композиции для лечения заболеваний путем ингибирования Янус киназы.

Поставленная задача решается, а заявленный технический результат достигается за

счет применения 2-(3-(4-(7H-пирроло[2,3-d]пиримидин-4-ил)-1H-пиразол-1-ил)-1-(3-(метилтио)пропаноил)азетидин-3-ил)ацетонитрила, охарактеризованного формулой С, или его фармацевтически приемлемой соли по настоящему изобретению для получения фармацевтической композиции для лечения заболеваний.

Поставленная задача решается, а заявленный технический результат достигается за

счет применения 2-(3-(4-(7H-пирроло[2,3-d]пиримидин-4-ил)-1H-пиразол-1-ил)-1-(3-(метилтио)пропаноил)азетидин-3-ил)ацетонитрила, охарактеризованного формулой С или его фармацевтически приемлемой соли по настоящему изобретению для получения фармацевтической композиции для лечения аутоиммунных заболеваний.

Поставленная задача решается, а заявленный технический результат достигается за

счет применения 2-(3-(4-(7H-пирроло[2,3-d]пиримидин-4-ил)-1H-пиразол-1-ил)-1-(3-(метилтио)пропаноил)азетидин-3-ил)ацетонитрила, охарактеризованного формулой С, или его фармацевтически приемлемой соли по настоящему изобретению, проявляющих свойства ингибитора Янус киназы (JAK), для лечения аутоиммунных заболеваний.

Поставленная задача решается, а заявленный технический результат достигается за

счет применения 2-(3-(4-(7H-пирроло[2,3-d]пиримидин-4-ил)-1H-пиразол-1-ил)-1-(3-(метилтио)пропаноил)азетидин-3-ил)ацетонитрила, охарактеризованного формулой С, или его фармацевтически приемлемой соли по настоящему изобретению для лечения аутоиммунных заболеваний путем ингибирования Янус киназы.

Поставленная задача решается, а заявленный технический результат достигается за

счет применения 2-(3-(4-(7H-пирроло[2,3-d]пиримидин-4-ил)-1H-пиразол-1-ил)-1-(3-(метилтио)пропаноил)азетидин-3-ил)ацетонитрила, охарактеризованного формулой С, или его фармацевтически приемлемой соли по настоящему изобретению для лечения заболеваний путем ингибирования Янус киназы.

Поставленная задача решается, а заявленный технический результат достигается за

счет применения 2-(3-(4-(7H-пирроло[2,3-d]пиримидин-4-ил)-1H-пиразол-1-ил)-1-(3-(метилтио)пропаноил)азетидин-3-ил)ацетонитрила, охарактеризованного формулой С, или его фармацевтически приемлемой соли по настоящему изобретению для лечения заболеваний.

Поставленная задача решается, а заявленный технический результат достигается за

счет применения 2-(3-(4-(7H-пирроло[2,3-d]пиримидин-4-ил)-1H-пиразол-1-ил)-1-(3-(метилтио)пропаноил)азетидин-3-ил)ацетонитрила, охарактеризованного формулой С или его фармацевтически приемлемой соли по настоящему изобретению для лечения аутоиммунных заболеваний.

Поставленная задача решается, а заявленный технический результат достигается за

счет применения фармацевтической композиции, содержащей 2-(3-(4-(7H-пирроло[2,3-d]пиримидин-4-ил)-1H-пиразол-1-ил)-1-(3-(метилтио)пропаноил)азетидин-3-ил)ацетонитрил, охарактеризованный формулой С, или его фармацевтически приемлемую соль, проявляющей свойства ингибитора Янус киназы (JAK), для лечения аутоиммунных заболеваний.

Поставленная задача решается, а заявленный технический результат достигается за

счет применения фармацевтической композиции, содержащей 2-(3-(4-(7H-пирроло[2,3-d]пиримидин-4-ил)-1H-пиразол-1-ил)-1-(3-(метилтио)пропаноил)азетидин-3-ил)ацетонитрил, охарактеризованный формулой С, или его фармацевтически приемлемую соль, для лечения аутоиммунных заболеваний путем ингибирования Янус киназы.

Поставленная задача решается, а заявленный технический результат достигается за

счет применения фармацевтической композиции, содержащей 2-(3-(4-(7H-пирроло[2,3-d]пиримидин-4-ил)-1H-пиразол-1-ил)-1-(3-(метилтио)пропаноил)азетидин-3-ил)ацетонитрил, охарактеризованный формулой С, или его фармацевтически приемлемую соль, для лечения заболеваний путем ингибирования Янус киназы.

Поставленная задача решается, а заявленный технический результат достигается за

счет применения фармацевтической композиции, содержащей 2-(3-(4-(7H-пирроло[2,3-d]пиримидин-4-ил)-1H-пиразол-1-ил)-1-(3-(метилтио)пропаноил)азетидин-3-ил)ацетонитрил, охарактеризованный формулой С, или его фармацевтически приемлемую соль, для лечения заболеваний.

Поставленная задача решается, а заявленный технический результат достигается за

счет применения фармацевтической композиции, содержащей 2-(3-(4-(7H-пирроло[2,3-d]пиримидин-4-ил)-1H-пиразол-1-ил)-1-(3-(метилтио)пропаноил)азетидин-3-ил)ацетонитрил, охарактеризованный формулой С, или его фармацевтически приемлемую соль, для лечения аутоиммунных заболеваний.

Поставленная задача решается, а заявленный технический результат достигается за

счет применения лекарственного средства, содержащего 2-(3-(4-(7H-пирроло[2,3-d]пиримидин-4-ил)-1H-пиразол-1-ил)-1-(3-(метилтио)пропаноил)азетидин-3-ил)ацетонитрил, охарактеризованный формулой С, или его фармацевтически приемлемую соль, проявляющего свойства ингибитора Янус киназы (JAK), для лечения аутоиммунных заболеваний.

Поставленная задача решается, а заявленный технический результат достигается за

счет применения лекарственного средства, содержащего 2-(3-(4-(7H-пирроло[2,3-d]пиримидин-4-ил)-1H-пиразол-1-ил)-1-(3-(метилтио)пропаноил)азетидин-3-ил)ацетонитрил, охарактеризованный формулой С, или его фармацевтически приемлемую соль, для лечения аутоиммунных заболеваний путем ингибирования Янус киназы.

Поставленная задача решается, а заявленный технический результат достигается за

счет применения лекарственного средства, содержащего 2-(3-(4-(7H-пирроло[2,3-d]пиримидин-4-ил)-1H-пиразол-1-ил)-1-(3-(метилтио)пропаноил)азетидин-3-ил)ацетонитрил, охарактеризованный формулой С, или его фармацевтически приемлемую соль, для лечения заболеваний путем ингибирования Янус киназы.

Поставленная задача решается, а заявленный технический результат достигается за

счет применения лекарственного средства, содержащего 2-(3-(4-(7H-пирроло[2,3-d]пиримидин-4-ил)-1H-пиразол-1-ил)-1-(3-(метилтио)пропаноил)азетидин-3-ил)ацетонитрил, охарактеризованный формулой С, или его фармацевтически приемлемую соль, для лечения заболеваний.

Поставленная задача решается, а заявленный технический результат достигается за

счет применения лекарственного средства, содержащего 2-(3-(4-(7H-пирроло[2,3-d]пиримидин-4-ил)-1H-пиразол-1-ил)-1-(3-(метилтио)пропаноил)азетидин-3-ил)ацетонитрил, охарактеризованный формулой С, или его фармацевтически приемлемую соль, для лечения аутоиммунных заболеваний.

Поставленная задача решается, а заявленный технический результат достигается за

счет применения фармацевтической композиции, содержащей 2-(3-(4-(7H-пирроло[2,3-d]пиримидин-4-ил)-1H-пиразол-1-ил)-1-(3-(метилтио)пропаноил)азетидин-3-ил)ацетонитрил, охарактеризованный формулой С, или его фармацевтически приемлемую соль, для получения лекарственного средства, проявляющего свойства ингибитора Янус киназы (JAK), для лечения аутоиммунных заболеваний.

Поставленная задача решается, а заявленный технический результат достигается за

счет применения фармацевтической композиции, содержащей 2-(3-(4-(7H-пирроло[2,3-d]пиримидин-4-ил)-1H-пиразол-1-ил)-1-(3-(метилтио)пропаноил)азетидин-3-ил)ацетонитрил, охарактеризованный формулой С, или его фармацевтически приемлемую соль, для получения лекарственного средства для лечения аутоиммунных заболеваний путем ингибирования Янус киназы.

Поставленная задача решается, а заявленный технический результат достигается за

счет применения фармацевтической композиции, содержащей 2-(3-(4-(7H-пирроло[2,3-d]пиримидин-4-ил)-1H-пиразол-1-ил)-1-(3-(метилтио)пропаноил)азетидин-3-ил)ацетонитрил, охарактеризованный формулой С, или его фармацевтически приемлемую соль, для получения лекарственного средства для лечения заболеваний путем ингибирования Янус киназы.

Поставленная задача решается, а заявленный технический результат достигается за

счет применения фармацевтической композиции, содержащей 2-(3-(4-(7H-пирроло[2,3-d]пиримидин-4-ил)-1H-пиразол-1-ил)-1-(3-(метилтио)пропаноил)азетидин-3-ил)ацетонитрил, охарактеризованный формулой С, или его фармацевтически приемлемую соль, для получения лекарственного средства для лечения заболеваний.

Поставленная задача решается, а заявленный технический результат достигается за

счет применения фармацевтической композиции, содержащей 2-(3-(4-(7H-пирроло[2,3-d]пиримидин-4-ил)-1H-пиразол-1-ил)-1-(3-(метилтио)пропаноил)азетидин-3-ил)ацетонитрил, охарактеризованный формулой С, или его фармацевтически приемлемую соль, для получения лекарственного средства для лечения аутоиммунных заболеваний.

Более предпочтительно аутоиммунное заболевание по настоящему изобретению выбрано из группы, включающей ревматоидный артрит, псориатический артрит, ювенильный артрит, атопический дерматит, волчанку и алопецию.

Более предпочтительно заболевание по настоящему изобретению выбрано из группы JAK-опосредованных заболеваний или нарушений.

Более предпочтительно заболевание выбрано из группы, включающей ревматоидный артрит, псориатический артрит, ювенильный артрит, хронический полиартрит, атопический дерматит, ювенильным идиопатическим артрит,

алопецию (очаговую алопецию, фронтальную фиброзирующую алопецию, гнездную алопецию, в том числе в тяжелой или очень тяжелой формах), множественный склероз, рассеянный склероз, боковой амиотрофический склероз, нейродегенеративную болезнь Альцгеймера,

диабет I типа, диабетическое заболевание почек, агрессивное снижение альбуминурии при подтвержденной биопсией диабетической нефропатии, волчанку, системную красную волчанку, волчаночный нефрит, псориаз,

воспалительные заболевания кишечника, язвенный колит, болезнь Крона, тяжелую псевдопаралитическую миастению, иммуноглобулин-нефропатию, аутоиммунные заболевания щитовидной железы, обыкновенную пузырчатку, буллезный пемфигоид,

аллергические реакции, таких как астма, пищевые аллергии, атопический дерматит и ринит,

вирусные заболевания, такие как вирус Эпштейна-Барра, гепатит В, гепатит С, вирус иммунодефицита человека, вирус ветряной оспы и вирус папилломы человека, коронавирус, COVID-19,

кожные сыпи, кожных раздражений, сенсибилизации кожи (например, контактный дерматит или аллергический контактный дерматит), кожного красного плоского лишая,

рак, включая рак, для которого характерно образование солидных опухолей (например, рак предстательной железы, рак почки, рак печени, рак поджелудочной железы, рак желудка, рак молочной железы, рак легких, рак головы и шеи, рак щитовидной железы, глиобластома, саркома Капоши, болезнь Кастлемана, меланома и т.д.), рак крови (например, лимфома, лейкемия, такая как острая лимфобластная лейкемия, острая миелогенная лейкемия (ОМЛ) или множественная миелома) и рак кожи, такой как кожная Т-клеточная лимфома (КТКЛ) и кожная В-клеточная лимфома, типичные кожные Т-клеточные лимфомы включают синдром Сезари и грибовидный микоз, миелопролиферативные заболевания (МПЗ), такие как истинная полицитемия (ИП), эссенциальная тромбоцитемия (ЭТ), миелофиброз с миелоидной метаплазией (МММ), хроническая миелоидная лейкемия (ХМЛ), хроническая миеломоноцитарная лейкемия (ХММЛ), гиперэозинофильный синдром (ГЭС), системный мастоцитоз (СМ) связанный с колитом рак, рак толстой кишки, рак ободочной и прямой кишки, рак желудка, карциноидная опухоль желудочно-кишечного тракта, стромальная опухоль желудочно-кишечного тракта (СО-ЖКТ, GIST), аденокарцинома, рак тонкой кишки, рак прямой кишки, и т.д.,

воспалительные заболевания, включают воспалительные заболевания глаз (например, ирит, увеит, склерит, конъюнктивит или связанные с ними заболевания), рефрактерный неинфекционный непередний увеит, воспалительные заболевания дыхательных путей (например, верхних дыхательных путей, включая заболевания носа и синусов, такие как ринит или синусит, нижних дыхательных путей, включая бронхит, хроническое неспецифическое заболевание легких и т.п.), воспалительная миопатия, такая как миокардит, и другие воспалительные заболевания, ишемические реперфузионные повреждения или заболевания или патологические состояния, связанные с воспалительным ишемическим событием, таким как инсульт или остановка сердца, синдром системной воспалительной реакции, септический шок, крупные воспалительные гепатоцеллюлярные аденомы,

анорексию, кахексию или утомляемость, вызванные или связанные с раковым заболеваем,

патологические состояния, связанные с гипоксией или астроглиозом, таких как, например, диабетическая ретинопатия, рак или нейродегенерация,

подагру, увеличение предстательной железы, синдром «сухого глаза» и связанные с ним заболевания, IgG4-связанные заболевания, идиопатический гранулематозный мастит, гангренозную пиодермия, кожный дерматомиозит, идиопатический воспалительный миозит, хронический атипичным нейтрофильный дерматоз с липодистрофией и повышенной температурой (синдром Накайо-Нисимура), васкулопатию, связанную со стимулятором генов интерферона, синдром Айкарди-Гутьера, реакцию «трансплантат против хозяина», в том числе после трансплантации гемопоэтических клеток периферической крови, нейромиелит, иммунную тромбоцитопению, короновирусную пневмонию (COVID-19), симптомы, связанные с инфекцией COVID-19, внутрибольничную пневмонию у тяжелобольных пациентов с провоспалительным фенотипом, поражение легких после спонтанного субарахноидального кровоизлияния, пемфигоид слизистой оболочки глаза, красный плоский лишай полости рта, стероид-резистентную/рецидивирующую иммунную тромбоцитопению, легочное повреждение после внутримозгового кровоизлияния, умеренное и тяжелое травматическое внутримозговое кровоизлияние/ушиб, рецидивирующий гигантоклеточный артериит, системную склеродермию, терапию несегментарного витилиго, терапию симптомов ВИЧ, аутовоспалительный синдром, первичный билиарный холангит, рецидивирующий или наивный дерматомиозит, синдром Шегрена, воспаление и депрессию у людей с ВИЧ, APOL1-ассоциированное заболевание почек, полимиалгию ревматическую, идиопатическую воспалительную миопатию.

Поставленная задача решается, а заявленный технический результат достигается за счет применения соединения формулы А или его фармацевтически приемлемой соли, или соединения формулы В, или его фармацевтически приемлемой соли, соединения формулы С или его фармацевтически приемлемой соли для лечения заболеваний у человека и животных.

Поставленная задача решается, а заявленный технический результат достигается за счет применения соединения формулы А или его фармацевтически приемлемой соли, или соединения формулы В, или его фармацевтически приемлемой соли, соединения формулы С или его фармацевтически приемлемой соли для получения фармацевтической композиции или лекарственного средства для лечения заболеваний у человека и животных.

Поставленная задача решается, а заявленный технический результат достигается за счет применения фармацевтической композиции, содержащей соединение формулы А или его фармацевтически приемлемую соль, или соединение формулы В, или его фармацевтически приемлемую соль, соединение формулы С или его фармацевтически приемлемую соль, для лечения заболеваний у человека и животных.

Поставленная задача решается, а заявленный технический результат достигается за счет применения лекарственного средства, содержащего соединение формулы А или его фармацевтически приемлемую соль, или соединение формулы В, или его фармацевтически приемлемую соль, соединение формулы С или его фармацевтически приемлемую соль, для лечения заболеваний у человека и животных.

Поставленная задача решается, а заявленный технический результат достигается за счет применения фармацевтической композиции, содержащей соединение формулы А или его фармацевтически приемлемую соль, или соединение формулы В, или его фармацевтически приемлемую соль, соединение формулы С или его фармацевтически приемлемую соль, для получения лекарственного средства для лечения заболеваний у человека и животных.

Поставленная задача решается, а заявленный технический результат достигается за счет применения соединения формулы А или его фармацевтически приемлемой соли, или соединения формулы В, или его фармацевтически приемлемой соли, соединения формулы С или его фармацевтически приемлемой соли для получения фармацевтической композиции или лекарственного средства для лечения аутоиммунных заболеваний путем ингибирования Янус киназы у человека и животных.

Поставленная задача решается, а заявленный технический результат достигается за счет применения фармацевтической композиции, содержащей соединение формулы А или его фармацевтически приемлемую соль, или соединение формулы В, или его фармацевтически приемлемую соль, соединение формулы С или его фармацевтически приемлемую соль, для лечения аутоиммунных заболеваний путем ингибирования Янус киназы у человека и животных.

Поставленная задача решается, а заявленный технический результат достигается за счет применения лекарственного средства, содержащего соединение формулы А или его фармацевтически приемлемую соль, или соединение формулы В, или его фармацевтически приемлемую соль, соединение формулы С или его фармацевтически приемлемую соль, для лечения аутоиммунных заболеваний путем ингибирования Янус киназы у человека и животных.

Поставленная задача решается, а заявленный технический результат достигается за счет применения фармацевтической композиции, содержащей соединение формулы А или его фармацевтически приемлемую соль, или соединение формулы В, или его фармацевтически приемлемую соль, соединение формулы С или его фармацевтически приемлемую соль, для получения лекарственного средства для лечения аутоиммунных заболеваний путем ингибирования Янус киназы у человека и животных.

Поставленная задача решается, а заявленный технический результат достигается за счет применения соединения формулы А или его фармацевтически приемлемой соли, или соединения формулы В, или его фармацевтически приемлемой соли, соединения формулы С или его фармацевтически приемлемой соли для получения фармацевтической композиции или лекарственного средства для лечения аутоиммунных заболеваний путем ингибирования Янус киназы у млекопитающих, в том числе человека и животных.

Поставленная задача решается, а заявленный технический результат достигается за счет применения фармацевтической композиции, содержащей соединение формулы А или его фармацевтически приемлемую соль, или соединение формулы В, или его фармацевтически приемлемую соль, соединение формулы С или его фармацевтически приемлемую соль, для лечения аутоиммунных заболеваний путем ингибирования Янус киназы у млекопитающих, в том числе человека и животных.

Поставленная задача решается, а заявленный технический результат достигается за счет применения лекарственного средства, содержащего соединение формулы А или его фармацевтически приемлемую соль, или соединение формулы В, или его фармацевтически приемлемую соль, соединение формулы С или его фармацевтически приемлемую соль, для лечения аутоиммунных заболеваний путем ингибирования Янус киназы у млекопитающих, в том числе человека и животных.

Поставленная задача решается, а заявленный технический результат достигается за счет применения фармацевтической композиции, содержащей соединение формулы А или его фармацевтически приемлемую соль, или соединение формулы В, или его фармацевтически приемлемую соль, соединение формулы С или его фармацевтически приемлемую соль, для получения лекарственного средства для лечения аутоиммунных заболеваний путем ингибирования Янус киназы у млекопитающих, в том числе человека и животных.

Поставленная задача решается, а заявленный технический результат достигается за счет применения соединения формулы А или его фармацевтически приемлемой соли, или соединения формулы В, или его фармацевтически приемлемой соли, соединения формулы С или его фармацевтически приемлемой соли для получения фармацевтической композиции или лекарственного средства для лечения заболеваний путем ингибирования Янус киназы у млекопитающих, в том числе человека и животных.

Поставленная задача решается, а заявленный технический результат достигается за счет применения фармацевтической композиции, содержащей соединение формулы А или его фармацевтически приемлемую соль, или соединение формулы В, или его фармацевтически приемлемую соль, соединение формулы С или его фармацевтически приемлемую соль, для лечения заболеваний путем ингибирования Янус киназы у млекопитающих, в том числе человека и животных.

Поставленная задача решается, а заявленный технический результат достигается за счет применения лекарственного средства, содержащего соединение формулы А или его фармацевтически приемлемую соль, или соединение формулы В, или его фармацевтически приемлемую соль, соединение формулы С или его фармацевтически приемлемую соль, для лечения заболеваний путем ингибирования Янус киназы у млекопитающих, в том числе человека и животных.

Поставленная задача решается, а заявленный технический результат достигается за счет применения фармацевтической композиции, содержащей соединение формулы А или его фармацевтически приемлемую соль, или соединение формулы В, или его фармацевтически приемлемую соль, соединение формулы С или его фармацевтически приемлемую соль, для получения лекарственного средства для лечения заболеваний путем ингибирования Янус киназы у млекопитающих, в том числе человека и животных.

Поставленная задача решается, а заявленный технический результат достигается за счет применения соединения формулы А или его фармацевтически приемлемой соли, или соединения формулы В, или его фармацевтически приемлемой соли, соединения формулы С или его фармацевтически приемлемой соли для лечения заболеваний путем ингибирования Янус киназы у млекопитающих, в том числе человека и животных.

Более предпочтительно в рамках настоящего изобретения млекопитающие животные представляют собой домашних животных.

Более предпочтительно в рамках настоящего изобретения домашние животные представляют собой, например, не ограничиваясь указанным, овец, коз, свиней, лошадей, верблюдов, оленей, кроликов, кошек, собак.

Более предпочтительно заболевание животных по настоящему изобретению выбрано из группы, включающей ревматоидный артрит, атопический дерматит, очаговая аллопецию, коронавирусную инфекцию, в том числе covid-19, различные виды рака, астму, зуд, в том числе связанный с аллергическим дерматитом, аллергию, хронические респираторные заболевания и другие заболевания, при которых желательна иммуносупрессия и/или иммуномодулирование.

В рамках настоящего изобретения поставленная задача решается, а заявленный технический результат достигается посредством способа получения нового соединения формулы А, который включает удаление защитной группы R соединения формулы 4а:

В рамках настоящего изобретения поставленная задача решается, а заявленный технический результат достигается посредством способа получения нового соединения формулы А или его фармацевтически приемлемой соли, который включает удаление защитной группы R соединения формулы 4а или его соли:

В рамках настоящего изобретения поставленная задача решается, а заявленный технический результат достигается посредством способа получения нового соединения формулы А или его фармацевтически приемлемой соли, который включает удаление защитной группы R соединения формулы 4а:

В рамках настоящего изобретения поставленная задача решается, а заявленный технический результат достигается посредством способа получения нового соединения формулы А или его соли, который включает удаление защитной группы R соединения формулы 4а или его соли:

В одном из вариантов воплощения настоящего изобретения соль, в том числе фармацевтически приемлемая, соединения А представляет собой соль, образованную соединением А и кислотой.

Более предпочтительно кислота по настоящему изобретению представляет собой одноосновную, двухосновную или трехосновную кислоту.

Более предпочтительно кислота по настоящему изобретению представляет собой одноосновную, двухосновную или многоосновную кислоту.

В одном из вариантов воплощения настоящего изобретения соль соединения А представляет собой соль, образованную соединением А и неорганической кислотой.

Более предпочтительно неорганическая кислота по настоящему изобретению представляет собой одноосновную, двухосновную или трехосновную кислоту.

Если неорганическая кислота представляет собой одноосновную кислоту, то молярное соотношение солеобразующей кислоты и соединения А составляет 1:1.

Более предпочтительно в рамках настоящего изобретения одноосновная неорганическая кислота выбрана из группы, включающей, не ограничиваясь указанным, хлороводородную, фтороводородную, бромоводородную, йодоводородную, азотную и азотистую кислоты.

Если неорганическая кислота представляет собой двухосновную кислоту, то молярное соотношение солеобразующей кислоты и соединения А составляет 1:1 или 1:2.

Более предпочтительно в рамках настоящего изобретения двухосновная неорганическая кислота выбрана из группы, включающей, не ограничиваясь указанным, сероводородную, сернистую, серную и угольную кислоты.

Если неорганическая кислота представляет собой трехосновную кислоту, то молярное соотношение солеобразующей кислоты и соединения А составляет 1:1, 1:2 или 1:3.

Более предпочтительно в рамках настоящего изобретения трехосновная неорганическая кислота представляет собой, не ограничиваясь указанным, фосфорную кислоту.

В одном из вариантов воплощения настоящего изобретения соль соединения А представляет собой соль, образованную соединением А и органической кислотой.

Более предпочтительно органическая кислота по настоящему изобретению представляет собой одноосновную, двухосновную или многоосновную кислоту.

Если органическая кислота представляет собой одноосновную кислоту, то молярное соотношение солеобразующей кислоты и соединения А составляет 1:1.

Более предпочтительно в рамках настоящего изобретения одноосновная органическая кислота выбрана из группы, включающей, не ограничиваясь указанным, муравьиную, уксусную, монофторусусную, дифторуксусную, трифторуксусную, пропионовую, масляную, изомасляную, валериановую, капроновую, энантовую, п-толуоловую, анисовую и фенилусусную кислоту.

Если органическая кислота представляет собой двухосновную кислоту, то молярное соотношение солеобразующей кислоты и соединения А составляет 1:1 или 1:2.

Более предпочтительно в рамках настоящего изобретения двухосновная органическая кислота выбрана из группы, включающей, не ограничиваясь указанным, щавелевую, малоновую, янтарную, диоксоянтарную, глутаровую, α-гидроксиглутаровую, 2-оксоглутаровую, 3-оксоглутаровую, адипиновую, пимелиновую, диаминопимелиновую, фталиевую, изофталиевую, терифталиевую, яблочную, субериновую, азелаиновую, малеиновую, фумаровую, винную, аспарагиновую, глутаминовую, арабиновую и D-глюкаровую кислоту.

Если органическая кислота представляет собой трехосновную кислоту, то молярное соотношение солеобразующей кислоты и соединения А составляет 1:1, 1:2 или 1:3.

Более предпочтительно в рамках настоящего изобретения трехосновная органическая кислота выбрана из группы, включающей, не ограничиваясь указанным, лимонную, изолимонную, аконитовую, β-карбоксиглутаровую, 2-гидрокси-1,2,3-нонадекантрикарбоновую и бензол-1,3,5-трикарбоновую кислоту.

В одном из вариантов воплощения настоящего изобретения соль соединения 4a представляет собой соль, образованную соединением 4a и кислотой.

Более предпочтительно кислота по настоящему изобретению представляет собой одноосновную, двухосновную или трехосновную кислоту.

Более предпочтительно кислота по настоящему изобретению представляет собой одноосновную, двухосновную или многоосновную кислоту.

В одном из вариантов воплощения настоящего изобретения соль соединения 4а представляет собой соль, образованную соединением 4а и неорганической кислотой.

Более предпочтительно неорганическая кислота по настоящему изобретению представляет собой одноосновную, двухосновную или трехосновную кислоту.

Если неорганическая кислота представляет собой одноосновную кислоту, то молярное соотношение солеобразующей кислоты и соединения 4a составляет 1:1.

Более предпочтительно в рамках настоящего изобретения одноосновная неорганическая кислота выбрана из группы, включающей, не ограничиваясь указанным, хлороводородную, фтороводородную, бромоводородную, йодоводородную, азотную и азотистую кислоты.

Если неорганическая кислота представляет собой двухосновную кислоту, то молярное соотношение солеобразующей кислоты и соединения 4a составляет 1:1 или 1:2.

Более предпочтительно в рамках настоящего изобретения двухосновная неорганическая кислота выбрана из группы, включающей, не ограничиваясь указанным, сероводородную, сернистую, серную и угольную кислоты.

Если неорганическая кислота представляет собой трехосновную кислоту, то молярное соотношение солеобразующей кислоты и соединения 4a составляет 1:1, 1:2 или 1:3.

Более предпочтительно в рамках настоящего изобретения трехосновная неорганическая кислота представляет собой, не ограничиваясь указанным, фосфорную кислоту.

В одном из вариантов воплощения настоящего изобретения соль соединения 4a представляет собой соль, образованную соединением 4a и органической кислотой.

Более предпочтительно органическая кислота по настоящему изобретению представляет собой одноосновную, двухосновную или многоосновную кислоту.

Если органическая кислота представляет собой одноосновную кислоту, то молярное соотношение солеобразующей кислоты и соединения 4a составляет 1:1.

Более предпочтительно в рамках настоящего изобретения одноосновная органическая кислота выбрана из группы, включающей, не ограничиваясь указанным, муравьиную, уксусную, монофторусусную, дифторуксусную, трифторуксусную, пропионовую, масляную, изомасляную, валериановую, капроновую, энантовую, п-толуоловую, анисовую и фенилусусную кислоту.

Если органическая кислота представляет собой двухосновную кислоту, то молярное соотношение солеобразующей кислоты и соединения 4a составляет 1:1 или 1:2.

Более предпочтительно в рамках настоящего изобретения двухосновная органическая кислота выбрана из группы, включающей, не ограничиваясь указанным, щавелевую, малоновую, янтарную, диоксоянтарную, глутаровую, α-гидроксиглутаровую, 2-оксоглутаровую, 3-оксоглутаровую, адипиновую, пимелиновую, диаминопимелиновую, фталиевую, изофталиевую, терифталиевую, яблочную, субериновую, азелаиновую, малеиновую, фумаровую, винную, аспарагиновую, глутаминовую, арабиновую и D-глюкаровую кислоту.

Если органическая кислота представляет собой трехосновную кислоту, то молярное соотношение солеобразующей кислоты и соединения 4a составляет 1:1, 1:2 или 1:3.

Более предпочтительно в рамках настоящего изобретения трехосновная органическая кислота выбрана из группы, включающей, не ограничиваясь указанным, лимонную, изолимонную, аконитовую, β-карбоксиглутаровую, 2-гидрокси-1,2,3-нонадекантрикарбоновую и бензол-1,3,5-трикарбоновую кислоту.

В одном из вариантов воплощения настоящего изобретения защитная группа R представляет бензилоксикарбонил, 2,2,2-трихлорэтоксикарбонил, 2-(триметилсилил)этоксикарбонил, 2-(4-трифторметилфенилсульфонил)этоксикарбонил, трет-бутоксикарбонил, 1-адамантилоксикарбонил, 2-адамантилкарбонил, 2,4-диметилпент-3-илоксикарбонил, циклогексилоксикарбонил, 1,1-диметил-2,2,2-трихлорэтоксикарбонил, винил, 2-хлорэтил, 2-фенилсульфонилэтил, аллил, бензил, 2-нитробензил, 4-нитробензил, дифенил-4-пиридилметил, N',N'-диметилгидразинил, метоксиметил, трет-бутоксиметил, бензилоксиметил, 2-тетрагидропиранил, N-пивалоилоксиметил или 2-(триметилсилил)этоксиметил.

Более предпочтительно защитная группа R представляет собой 2-(триметилсилил)этоксикарбонил.

Одним из вариантов воплощения настоящего изобретения является способ получения соединения формулы А или его соли, характеризующийся тем, что удаление защитной группы R соединения формулы 4а или его соли происходит в органическом растворителе.

Одним из вариантов воплощения настоящего изобретения является способ получения соединения формулы А или его соли, характеризующийся тем, что удаление защитной группы R соединения формулы 4а или его соли происходит в воде или растворе аммиака.

Одним из вариантов воплощения настоящего изобретения является способ получения соединения формулы А или его соли, характеризующийся тем, что удаление защитной группы R соединения формулы 4а или его соли происходит в смеси органического растворителя и воды или в смеси органического растворителя и раствора аммиака.

Одним из вариантов воплощения настоящего изобретения является способ получения соединения формулы А или его соли, характеризующийся тем, что удаление защитной группы R соединения формулы 4а или его соли происходит в апротонном органическом растворителе или его смеси с водой или раствором аммиака.

Более предпочтительно апротонный органический растворитель в рамках настоящего изобретения выбран из группы, включающей, не ограничиваясь указанным, пентан, гексан, гептан, октан, циклогексан, метилциклогексан, бензол, толуол, о-ксилол, м-ксилол, п-ксилол, анизол, кумол, тетралин, лимонен, скипидар, диоксан, хлороформ, дихлорметан, тетрахлорметан, 1,2-дихлорэтан, 1,1-дихлорэтилен, цис-1,2-дихлорэтен, транс-1,2-дихлорэтен, трихлорэтан, 1,1,2-трихлорэтан, 1,1,1-трихлорэтан, 1-хлорбутан, хлорбензол, дихлорбензол, диэтиловый эфир, диизопропиловый эфир, дибутиловый эфир, метил-трет-бутиловый эфир, этил-трет-бутиловый эфир, циклопентилметиловый эфир, диметоксиэтан, диметиловый эфир диэтиленгликоля, диэтоксиметан, дихлорметан, тетрагидрофуран, метилтетрагидрофуран, этилацетат, этилформиат, метилацетат, н-пропилацетат, изо-пропилацетат, н-бутилацетат, изо-бутилацетат, β-бутиролактон, γ-бутиролактон, γ-валеролактон, δ-валеролактон, этиленгликоль диацетат, пропиленгликоль диацетат, глицерол триацетат, ацетон, метилэтилкетон, метилизобутилкетон, 2-гексанон, циклопентанон, циклогексанон, диметилформамид, диметилацетамид, ацетонитрил, пропионитрил, диметилсульфоксид, N-метилпирролидон, уксусный ангидрид, третичные амины, например, триэтиламин, сульфолан, пиридин и их смеси.

Одним из вариантов воплощения настоящего изобретения является способ получения соединения формулы А или его соли, характеризующийся тем, что удаление защитной группы R соединения формулы 4а или его соли происходит в протонном органическом растворителе или его смеси с водой или раствором аммиака.

Более предпочтительно протонный органический растворитель в рамках настоящего изобретения выбран из группы, включающей, не ограничиваясь указанным, метанол, этанол, н-пропанол, изо-пропанол, н-бутанол, 2-бутанол, изо-бутанол, трет-бутанол, 2-метил-2-бутанол, циклогексанол, первичные амины, например, пропиламин, вторичные амины, например, диизопропиламин, бензиловый спирт, фенол, 1,2-пропандиол, 1,3-пропандиол, метилоксиэтанол, этилоксиэтанол, 1-метокси-пропан-2-ол, фурфуриловый спирт, тетрагидрофурфуриловый спирт, этиллакат, муравьиная кислота, уксусная кислота, пропионовая кислота, трифторуксусная кислота, метансульфоновая кислота, трифторметансульфоновая кислота и их смеси.

Одним из вариантов воплощения настоящего изобретения является способ получения соединения формулы А или его соли, характеризующийся тем, что удаление защитной группы R соединения формулы 4а или его соли осуществляют при взаимодействии соединения формула 4а или его соли с фторсодержащим соединением.

Одним из вариантов воплощения настоящего изобретения является способ получения соединения формулы А или его соли, характеризующийся тем, что удаление защитной группы R соединения формулы 4а или его соли осуществляют при взаимодействии соединения формула 4а или его соли с фторсодержащим соединением с последующей обработкой основанием.

Одним из вариантов воплощения настоящего изобретения является способ получения соединения формулы А или его соли, характеризующийся тем, что удаление защитной группы R соединения формулы 4а или его соли осуществляют при взаимодействии соединения формула 4а или его соли с фторсодержащей кислотой с последующей обработкой основанием.

Одним из вариантов воплощения настоящего изобретения является способ получения соединения формулы А или его соли, характеризующийся тем, что удаление защитной группы R соединения формулы 4а или его соли осуществляют при взаимодействии соединения формула 4а или его соли с органической фторсодержащей кислотой с последующей обработкой основанием.

Одним из вариантов воплощения настоящего изобретения является способ получения соединения формулы А или его соли, характеризующийся тем, что удаление защитной группы R соединения формулы 4а или его соли осуществляют при взаимодействии соединения формула 4а или его соли с органической фторсодержащей кислотой с последующей обработкой органическим основанием.

Более предпочтительно при удалении защитной группы R последующую обработку проводят основанием по настоящему изобретению, представляющим собой водный раствор аммиака.

Более предпочтительно при удалении защитной группы R последующую обработку проводят основанием по настоящему изобретению, представляющим собой раствор аммиака в спирте.

Более предпочтительно при удалении защитной группы R последующую обработку проводят основанием по настоящему изобретению, представляющим собой гидроксиды или галогениды катионов четвертичного аммония.

Более предпочтительно гидроксид или галогенид катионов четвертичного аммония, не ограничиваясь указанным, выбран из тетраметиламмония гидроксид, тетраэтиламмония бромид, тетрапропиламмония хлорид, тетрабутиламмония фторид или бензалкония хлорид.

Более предпочтительно в качестве основания по настоящему изобретению используют, не ограничиваясь указанным, имидазол, пиридин и его производные, в частности, пиридин, замещенный C1-C5 алкилом, колидин, хинолин или хинолин, замещенный C1-C5 алкилом, бензимидазол, гистидин, гуанидин, фосфазен, 1,8-диазабицикло[5.4.0]ундец-7-ен (ДБУ), 1,5-диазабицикло[4.3.0]нон-5-ен (ДБН), 1,4-диазабицикло[2.2.2]октан (ДБО), 4-(диметиламино)пиридин, 2,2,6,6-тетраметилпиперидин или 2,6-лутидин.

Более предпочтительно при удалении защитной группы R последующую обработку проводят органическим основанием по настоящему изобретению, представляющим собой амин, в том числе, первичный амин.

Более предпочтительно первичный амин по настоящему изобретению представляет собой, не ограничиваясь указанным, соединение формулы R2’NH2, где R2’ представляет собой C1-C5 алкил, арил, алкиларил, необязательно замещенные C1-C5 алкилом, галогеном, спиртовой, тиольной, циано, карбоксильной, C1-C5-алкилоки или сложноэфирной группой.

Более предпочтительно первичный амин по настоящему изобретению представляет собой, не ограничиваясь указанным, соединение формулы R2’N, где R2’ выбран из группы, включающей, метил, этил, пропил, изопропил или фенил.

Более предпочтительно первичный амин по настоящему изобретению представляет собой, не ограничиваясь указанным, пропиламин, бутиламин или анилин.

Более предпочтительно органическое основание по настоящему изобретению представляет собой вторичный амин.

Более предпочтительно вторичный амин по настоящему изобретению представляет собой, не ограничиваясь указанным, соединение формулы R2’R3’NH, где R2’, R3’ независимо друг от друга представляют собой C1-C5 алкил, арил, алкиларил, необязательно замещенные C1-C5 алкилом, галогеном, спиртовой, тиольной, циано, карбоксильной, C1-C5-алкилоки, сложноэфирной группой, или R2 с R3 вместе с атомом азота образуют С48 циклоалкильную группу или С48 гетероциклическую группу, где гетероатом представляет собой кислород.

Более предпочтительно вторичный амин по настоящему изобретению представляет собой, не ограничиваясь указанным, соединение формулы R2’R3’NH, где R2’, R3’ независимо друг от друга выбраны из группы, включающей, метил, этил, пропил, изопропил, фенил или бензил.

Более предпочтительно вторичный амин по настоящему изобретению представляет собой, не ограничиваясь указанным, диэтиламин, диизопропиламин или диизобутиламин.

Более предпочтительно органическое основание по настоящему изобретению представляет собой третичный амин.

Более предпочтительно третичный амин по настоящему изобретению представляет собой, не ограничиваясь указанным, соединение формулы R2’R3’R4’N, где R2’, R3’, R4’ независимо друг от друга представляют собой C1-C5 алкил, арил, алкиларил, необязательно замещенные C1-C5 алкилом, галогеном, спиртовой, тиольной, циано, карбоксильной, C1-C5-алкилоки, сложноэфирной группой, или, когда R2 с R3 вместе с атомом азота образуют С48 циклоалкильную группу или С48 гетероциклическую группу, где гетероатом представляет собой кислород, R4’ представляет собой C1-C5 алкил, арил, алкиларил, необязательно замещенные C1-C5 алкилом, галогеном, спиртовой, тиольной, циано, карбоксильной, C1-C5-алкилоки, сложноэфирной группой.

Более предпочтительно третичный амин по настоящему изобретению представляет собой, не ограничиваясь указанным, соединение формулы R2’R3’R4’N, где R2’, R3’, R4’ независимо друг от друга представляют собой C1-C5 алкил или, когда R2 с R3 вместе с атомом азота образуют С48 циклоалкильную группу или С48 гетероциклическую группу, где гетероатом представляет собой кислород, R4’ представляет собой C1-C5 алкил, при этом R4 связан с атомом азота.

Более предпочтительно третичный амин по настоящему изобретению представляет собой, не ограничиваясь указанным, соединение формулы R2’R3’R4’N, где R2’, R3’, R4’ независимо друг от друга выбраны из группы, включающей, метил, этил, пропил или изопропил.

Более предпочтительно третичный амин по настоящему изобретению представляет собой, не ограничиваясь указанным, N-метилформалин или триэтиламин.

Более предпочтительно фторсодержащее соединение по настоящему изобретению выбрано из группы, включающей, не ограничиваясь указанным, фторсодержащую кислоту, фторид тетрабутиламмония, тетрафторборат лития, фторид щелочного или щелочноземельного метала, в частности, фторид цезия.

Более предпочтительно фторсодержащая кислота по настоящему изобретению представляет собой фтороводородную кислоту.

Более предпочтительно фторсодержащая кислота по настоящему изобретению представляет собой органическую фторсодержащую кислоту.

Более предпочтительно органическая фторсодержащая кислота выбрана из группы, включающей, не ограничиваясь указанным, фторуксусную кислоту, дифторуксусную кислоту, трифторуксусную кислоту, трифторметансульфоновую кислоту, 2,4-дифторбензойную кислоту, 2,6-дифторбензойную кислоту, 2,3,5,6-тетрафтор-4-гидроксибензойную кислоту, 4-фторсалициловую кислоту и 5-фторсалициловую кислоту.

Одним из вариантов воплощения настоящего изобретения является способ получения соединения формулы А или его соли, характеризующийся тем, что дополнительно включает взаимодействие соединения формулы 1а или его соли с защищенным по аминогруппе пиразольного кольца 2-(3-азетидинилиден)ацетонитрилом с получением соединения формулы 2а.

где R и R1 представляют собой защитные группы.

Одним из вариантов воплощения настоящего изобретения является способ получения соединения формулы А или его фармацевтически приемлемой соли, характеризующийся тем, что дополнительно включает взаимодействие соединения формулы 1а или его соли с защищенным по аминогруппе пиразольного кольца 2-(3-азетидинилиден)ацетонитрилом с получением соединения формулы 2а.

где R и R1 представляют собой защитные группы.

Одним из вариантов воплощения настоящего изобретения является способ получения соединения формулы А или его соли, характеризующийся тем, что дополнительно включает взаимодействие соединения формулы 1а с защищенным по аминогруппе пиразольного кольца 2-(3-азетидинилиден)ацетонитрилом в присутствии основания с получением соединения формулы 2а.

где R и R1 представляют собой защитные группы.

Одним из вариантов воплощения настоящего изобретения является способ получения соединения формулы А или его соли, характеризующийся тем, что дополнительно включает взаимодействие соединения формулы 1а или его соли с защищенным по аминогруппе пиразольного кольца 2-(3-азетидинилиден)ацетонитрилом в присутствии основания с получением соединения формулы 2а.

где R и R1 представляют собой защитные группы.

В одном из вариантов воплощения настоящего изобретения соль соединения 1a представляет собой соль, образованную соединением 1a и кислотой.

Более предпочтительно кислота по настоящему изобретению представляет собой одноосновную, двухосновную или трехосновную кислоту.

Более предпочтительно кислота по настоящему изобретению представляет собой одноосновную, двухосновную или многоосновную кислоту.

В одном из вариантов воплощения настоящего изобретения соль соединения 1a представляет собой соль, образованную соединением 1a и неорганической кислотой.

Более предпочтительно неорганическая кислота по настоящему изобретению представляет собой одноосновную, двухосновную или трехосновную кислоту.

Если неорганическая кислота представляет собой одноосновную кислоту, то молярное соотношение солеобразующей кислоты и соединения 1a составляет 1:1.

Более предпочтительно в рамках настоящего изобретения одноосновная неорганическая кислота выбрана из группы, включающей, не ограничиваясь указанным, хлороводородную, фтороводородную, бромоводородную, йодоводородную, азотную и азотистую кислоты.

Если неорганическая кислота представляет собой двухосновную кислоту, то молярное соотношение солеобразующей кислоты и соединения 1a составляет 1:1 или 1:2.

Более предпочтительно в рамках настоящего изобретения двухосновная неорганическая кислота выбрана из группы, включающей, не ограничиваясь указанным, сероводородную, сернистую, серную и угольную кислоты.

Если неорганическая кислота представляет собой трехосновную кислоту, то молярное соотношение солеобразующей кислоты и соединения 1a составляет 1:1, 1:2 или 1:3.

Более предпочтительно в рамках настоящего изобретения трехосновная неорганическая кислота представляет собой, не ограничиваясь указанным, фосфорную кислоту.

В одном из вариантов воплощения настоящего изобретения соль соединения 1a представляет собой соль, образованную соединением 1a и органической кислотой.

Более предпочтительно органическая кислота по настоящему изобретению представляет собой одноосновную, двухосновную или многоосновную кислоту.

Если органическая кислота представляет собой одноосновную кислоту, то молярное соотношение солеобразующей кислоты и соединения 1a составляет 1:1.

Более предпочтительно в рамках настоящего изобретения одноосновная органическая кислота выбрана из группы, включающей, не ограничиваясь указанным, муравьиную, уксусную, монофторусусную, дифторуксусную, трифторуксусную, пропионовую, масляную, изомасляную, валериановую, капроновую, энантовую, п-толуоловую, анисовую и фенилусусную кислоту.

Если органическая кислота представляет собой двухосновную кислоту, то молярное соотношение солеобразующей кислоты и соединения 1a составляет 1:1 или 1:2.

Более предпочтительно в рамках настоящего изобретения двухосновная органическая кислота выбрана из группы, включающей, не ограничиваясь указанным, щавелевую, малоновую, янтарную, диоксоянтарную, глутаровую, α-гидроксиглутаровую, 2-оксоглутаровую, 3-оксоглутаровую, адипиновую, пимелиновую, диаминопимелиновую, фталиевую, изофталиевую, терифталиевую, яблочную, субериновую, азелаиновую, малеиновую, фумаровую, винную, аспарагиновую, глутаминовую, арабиновую и D-глюкаровую кислоту.

Если органическая кислота представляет собой трехосновную кислоту, то молярное соотношение солеобразующей кислоты и соединения 1a составляет 1:1, 1:2 или 1:3.

Более предпочтительно в рамках настоящего изобретения трехосновная органическая кислота выбрана из группы, включающей, не ограничиваясь указанным, лимонную, изолимонную, аконитовую, β-карбоксиглутаровую, 2-гидрокси-1,2,3-нонадекантрикарбоновую и бензол-1,3,5-трикарбоновую кислоту.

Одним из вариантов воплощения настоящего изобретения является способ получения соединения формулы А или его соли, характеризующийся тем, что взаимодействие соединения формулы 1а или его соли с защищенным по аминогруппе пиразольного кольца 2-(3-азетидинилиден)ацетонитрилом происходит в растворителе.

Одним из вариантов воплощения настоящего изобретения является способ получения соединения формулы А или его соли, характеризующийся тем, что взаимодействие соединения формулы 1а или его соли с защищенным по аминогруппе пиразольного кольца 2-(3-азетидинилиден)ацетонитрилом происходит в органическом растворителе.

Одним из вариантов воплощения настоящего изобретения является способ получения соединения формулы А или его соли, характеризующийся тем, что взаимодействие соединения формулы 1а или его соли с защищенным по аминогруппе пиразольного кольца 2-(3-азетидинилиден)ацетонитрилом происходит в воде или растворе аммиака.

Одним из вариантов воплощения настоящего изобретения является способ получения соединения формулы А или его соли, характеризующийся тем, что взаимодействие соединения формулы 1а или его соли с защищенным по аминогруппе пиразольного кольца 2-(3-азетидинилиден)ацетонитрилом происходит в смеси органического растворителя и воды или раствора аммиака.

Одним из вариантов воплощения настоящего изобретения является способ получения соединения формулы А или его соли, характеризующийся тем, что взаимодействие соединения формулы 1а или его соли с защищенным по аминогруппе пиразольного кольца 2-(3-азетидинилиден)ацетонитрилом происходит в апротонном органическом растворителе или его смеси с водой или раствором аммиака.

Более предпочтительно взаимодействие соединения формулы 1а или его соли с защищенным по аминогруппе пиразольного кольца 2-(3-азетидинилиден)ацетонитрилом происходит в апротонном органическом растворителе, выбранном из группы, включающей, не ограничиваясь указанным, пентан, гексан, гептан, октан, циклогексан, метилциклогексан, бензол, толуол, о-ксилол, м-ксилол, п-ксилол, анизол, кумол, тетралин, лимонен, скипидар, диоксан, хлороформ, дихлорметан, тетрахлорметан, 1,2-дихлорэтан, 1,1-дихлорэтилен, цис-1,2-дихлорэтен, транс-1,2-дихлорэтен, трихлорэтан, 1,1,2-трихлорэтан, 1,1,1-трихлорэтан, 1-хлорбутан, хлорбензол, дихлорбензол, диэтиловый эфир, диизопропиловый эфир, дибутиловый эфир, метил-трет-бутиловый эфир, этил-трет-бутиловый эфир, циклопентилметиловый эфир, диметоксиэтан, диметиловый эфир диэтиленгликоля, диэтоксиметан, дихлорметан, тетрагидрофуран, метилтетрагидрофуран, этилацетат, этилформиат, метилацетат, н-пропилацетат, изо-пропилацетат, н-бутилацетат, изо-бутилацетат, β-бутиролактон, γ-бутиролактон, γ-валеролактон, δ-валеролактон, этиленгликоль диацетат, пропиленгликоль диацетат, глицерол триацетат, ацетон, метилэтилкетон, метилизобутилкетон, 2-гексанон, циклопентанон, циклогексанон, диметилформамид, диметилацетамид, ацетонитрил, пропионитрил, диметилсульфоксид, N-метилпирролидон, уксусный ангидрид, третичные амины, например, триэтиламин, сульфолан, пиридин и их смеси.

Одним из вариантов воплощения настоящего изобретения является способ получения соединения формулы А или его соли, характеризующийся тем, что взаимодействие соединения формулы 1а или его соли с защищенным по аминогруппе пиразольного кольца 2-(3-азетидинилиден)ацетонитрилом происходит в протонном органическом растворителе или его смеси с водой или раствором аммиака.

Более предпочтительно взаимодействие соединения формулы 1а или его соли с защищенным по аминогруппе пиразольного кольца 2-(3-азетидинилиден)ацетонитрилом происходит в протонном органическом растворителе выбранном из группы, включающей, не огрничиваясь указанным, метанол, этанол, н-пропанол, изо-пропанол, н-бутанол, 2-бутанол, изо-бутанол, трет-бутанол, 2-метил-2-бутанол, циклогексанол, первичные амины, например, пропиламин, вторичные амины, например, диизопропиламин, бензиловый спирт, фенол, 1,2-пропандиол, 1,3-пропандиол, метилоксиэтанол, этилоксиэтанол, 1-метокси-пропан-2-ол, фурфуриловый спирт, тетрагидрофурфуриловый спирт, этиллакат, муравьиную кислоту, уксусную кислоту, пропионовую кислоту, трифторуксуснаую кислоту, метансульфоновую кислоту, трифторметансульфоновую кислоту и их смеси.

Более предпочтительно взаимодействие соединения формулы 1а или его соли с защищенным по аминогруппе пиразольного кольца 2-(3-азетидинилиден)ацетонитрилом происходит в присутствии основания, представляющего собой водного раствора аммиака.

Более предпочтительно взаимодействие соединения формулы 1а или его соли с защищенным по аминогруппе пиразольного кольца 2-(3-азетидинилиден)ацетонитрилом происходит в присутствии основания, представляющего собой раствора аммиака в спирте.

Более предпочтительно взаимодействие соединения формулы 1а или его соли с защищенным по аминогруппе пиразольного кольца 2-(3-азетидинилиден)ацетонитрилом происходит в присутствии основания, представляющего собой гидроксид или галогенид катионов четвертичного аммония.

Более предпочтительно гидроксид или галогенид катионов четвертичного аммония, не ограничиваясь указанным, выбран из тетраметиламмония гидроксид, тетраэтиламмония бромид, тетрапропиламмония хлорид, тетрабутиламмония фторид или бензалкония хлорид.

Одним из вариантов воплощения настоящего изобретения является способ получения соединения формулы А или его соли, характеризующийся тем, что взаимодействие соединения формулы 1а или его соли с защищенным по аминогруппе пиразольного кольца 2-(3-азетидинилиден)ацетонитрилом происходит в присутствии органического основания.

Более предпочтительно взаимодействие соединения формулы 1а или его соли с защищенным по аминогруппе пиразольного кольца 2-(3-азетидинилиден)ацетонитрилом происходит в присутствии, не ограничиваясь указанным, имидазола, пиридина или его производных, в частности, пиридина, замещенного C1-C5 алкилом, колидина, хинолина или хинолина, замещенного C1-C5 алкилом, бензимидазола, гистидина, гуанидина, фосфазена, 1,8-диазабицикло[5.4.0]ундец-7-ена (ДБУ), 1,5-диазабицикло[4.3.0]нон-5-ена (ДБН), 1,4-диазабицикло[2.2.2]октана (ДБО), 4-(диметиламино)пиридина, 2,2,6,6-тетраметилпиперидина или 2,6-лутидина.

Более предпочтительно в рамках настоящего изобретения взаимодействие соединения формулы 1а или его соли с защищенным по аминогруппе пиразольного кольца 2-(3-азетидинилиден)ацетонитрилом происходит в присутствии 1,8-диазабицикло[5.4.0]ундец-7-ена (ДБУ).

Более предпочтительно в рамках настоящего изобретения взаимодействие соединения формулы 1а или его соли с защищенным по аминогруппе пиразольного кольца 2-(3-азетидинилиден)ацетонитрилом происходит в присутствии амина.

Более предпочтительно в рамках настоящего изобретения взаимодействие соединения формулы 1а или его соли с защищенным по аминогруппе пиразольного кольца 2-(3-азетидинилиден)ацетонитрилом происходит в присутствии первичного амина, вторичного амина или третичного амина.

Более предпочтительно в рамках настоящего изобретения взаимодействие соединения формулы 1а или его соли с защищенным по аминогруппе пиразольного кольца 2-(3-азетидинилиден)ацетонитрилом происходит в присутствии первичного амина, вторичного амина или третичного амина, которые были охарактеризованы ранее.

Одним из вариантов воплощения настоящего изобретения является способ получения соединения формулы А, характеризующийся тем, что дополнительно включает снятие защитной группы R1 у соединения формулы 2а с получением соединения формулы 3а:

Одним из вариантов воплощения настоящего изобретения является способ получения соединения формулы А или его соли, характеризующийся тем, что дополнительно включает снятие защитной группы R1 у соединения формулы 2а с получением соединения формулы 3а или его соли:

Одним из вариантов воплощения настоящего изобретения является способ получения соединения формулы А или его соли, характеризующийся тем, что дополнительно включает снятие защитной группы R1 у соединения формулы 2а с получением соединения формулы 3а’:

где R и R1 представляют собой защитные группы, z=1, 2 или 3.

Одним из вариантов воплощения настоящего изобретения является способ получения соединения формулы А или его соли, характеризующийся тем, что X1 представляет собой кислоту.

Более предпочтительно кислота по настоящему изобретению представляет собой одноосновную, двухосновную или трехосновную кислоту.

Более предпочтительно кислота по настоящему изобретению представляет собой одноосновную, двухосновную или многоосновную кислоту.

Более предпочтительно X1 представляет собой неорганическую кислоту.

Более предпочтительно неорганическая кислота по настоящему изобретению представляет собой одноосновную, двухосновную или трехосновную кислоту.

Если неорганическая кислота представляет собой одноосновную кислоту, то молярное соотношение солеобразующей кислоты и соединения 3a составляет 1:1 или, если неорганическая кислота представляет собой одноосновную кислоту, то z = 1.

Более предпочтительно в рамках настоящего изобретения одноосновная неорганическая кислота выбрана из группы, включающей, не ограничиваясь указанным, хлороводородную, фтороводородную, бромоводородную, йодоводородную, азотную и азотистую кислоты.

Если неорганическая кислота представляет собой двухосновную кислоту, то молярное соотношение солеобразующей кислоты и соединения 3a составляет 1:1 или 1:2, или, если неорганическая кислота представляет собой двухосновную кислоту, то z = 1, 2.

Более предпочтительно в рамках настоящего изобретения двухосновная неорганическая кислота выбрана из группы, включающей, не ограничиваясь указанным, сероводородную, сернистую, серную и угольную кислоты.

Если неорганическая кислота представляет собой трехосновную кислоту, то молярное соотношение солеобразующей кислоты и соединения 3a составляет 1:1, 1:2 или 1:3, или, если неорганическая кислота представляет собой трехосновную кислоту, то z = 1, 2, 3.

Более предпочтительно в рамках настоящего изобретения трехосновная неорганическая кислота представляет собой, не ограничиваясь указанным, фосфорную кислоту.

Более предпочтительно X1 представляет собой органическую кислоту.

Более предпочтительно органическая кислота по настоящему изобретению представляет собой одноосновную, двухосновную или многоосновную кислоту.

Если органическая кислота представляет собой одноосновную кислоту, то молярное соотношение солеобразующей кислоты и соединения 3a составляет 1:1 или, если органическая кислота представляет собой одноосновную кислоту, то z = 1.

Более предпочтительно в рамках настоящего изобретения одноосновная органическая кислота выбрана из группы, включающей, не ограничиваясь указанным, муравьиную, уксусную, монофторусусную, дифторуксусную, трифторуксусную, пропионовую, масляную, изомасляную, валериановую, капроновую, энантовую, п-толуоловую, анисовую и фенилусусную кислоту.

Если органическая кислота представляет собой двухосновную кислоту, то молярное соотношение солеобразующей кислоты и соединения 3a составляет 1:1 или 1:2, или, если органическая кислота представляет собой одноосновную кислоту, то z = 1, 2.

Более предпочтительно в рамках настоящего изобретения двухосновная органическая кислота выбрана из группы, включающей, не ограничиваясь указанным, щавелевую, малоновую, янтарную, диоксоянтарную, глутаровую, α-гидроксиглутаровую, 2-оксоглутаровую, 3-оксоглутаровую, адипиновую, пимелиновую, диаминопимелиновую, фталиевую, изофталиевую, терифталиевую, яблочную, субериновую, азелаиновую, малеиновую, фумаровую, винную, аспарагиновую, глутаминовую, арабиновую и D-глюкаровую кислоту.

Если органическая кислота представляет собой трехосновную кислоту, то молярное соотношение солеобразующей кислоты и соединения 3a составляет 1:1, 1:2 или 1:3, или, если органическая кислота представляет собой трехосновную кислоту, то z = 1, 2, 3.

Более предпочтительно в рамках настоящего изобретения трехосновная органическая кислота выбрана из группы, включающей, не ограничиваясь указанным, лимонную, изолимонную, аконитовую, β-карбоксиглутаровую, 2-гидрокси-1,2,3-нонадекантрикарбоновую и бензол-1,3,5-трикарбоновую кислоту.

В одном из вариантов воплощения настоящего изобретения снятие защитной группы R1 у соединения формулы 2а с получением соединения формулы 3а или его соли происходит в органическом растворителе.

В одном из вариантов воплощения настоящего изобретения снятие защитной группы R1 у соединения формулы 2а с получением соединения формулы 3а или его соли происходит в воде или растворе аммиака.

В одном из вариантов воплощения настоящего изобретения снятие защитной группы R1 у соединения формулы 2а с получением соединения формулы 3а или его соли происходит в смеси органического растворителя и воды или раствора аммиака.

В одном из вариантов воплощения настоящего изобретения снятие защитной группы R1 у соединения формулы 2а с получением соединения формулы 3а или его соли происходит в апротонном органическом растворителе или его смеси с водой или раствором аммиака.

В одном из вариантов воплощения настоящего изобретения снятие защитной группы R1 у соединения формулы 2а с получением соединения формулы 3а или его соли происходит в апротонном органическом растворителе, перечисленном ранее.

В одном из вариантов воплощения настоящего изобретения снятие защитной группы R1 у соединения формулы 2а с получением соединения формулы 3а или его соли происходит в протонном органическом растворителе или его смеси с водой или раствором аммиака.

В одном из вариантов воплощения настоящего изобретения снятие защитной группы R1 у соединения формулы 2а с получением соединения формулы 3а или его соли происходит в протонном органическом растворителе, перечисленном ранее.

Одним из вариантов воплощения настоящего изобретения является способ получения соединения формулы А или его соли, характеризующийся тем, что дополнительно включает взаимодействие соединения формулы 3а или его соли с 2-(метилтио)уксусной кислотой с получением соединения формулы 4а.

Одним из вариантов воплощения настоящего изобретения является способ получения соединения формулы А или его соли, характеризующийся тем, что дополнительно включает взаимодействие соединения формулы 3а или его соли с 2-(метилтио)уксусной кислотой с получением соединения формулы 4а или его соли.

В одном из вариантов воплощения настоящего изобретения взаимодействие соединения формулы 3а или его соли с 2-(метилтио)уксусной кислотой происходит в органическом растворителе.

В одном из вариантов воплощения настоящего изобретения взаимодействие соединения формулы 3а или его соли с 2-(метилтио)уксусной кислотой происходит в органическом растворителе.

В одном из вариантов воплощения настоящего изобретения взаимодействие соединения формулы 3а или его соли с 2-(метилтио)уксусной кислотой происходит в воде или растворе аммиака.

В одном из вариантов воплощения настоящего изобретения взаимодействие соединения формулы 3а или его соли с 2-(метилтио)уксусной кислотой происходит в смеси органического растворителя и воды или раствора аммиака.

В одном из вариантов воплощения настоящего изобретения взаимодействие соединения формулы 3а или его соли с 2-(метилтио)уксусной кислотой происходит в апротонном органическом растворителе или его смеси с водой или раствором аммиака.

В одном из вариантов воплощения настоящего изобретения взаимодействие соединения формулы 3а или его соли с 2-(метилтио)уксусной кислотой происходит в апротонном органическом растворителе, перечисленном ранее.

В одном из вариантов воплощения настоящего изобретения взаимодействие соединения формулы 3а или его соли с 2-(метилтио)уксусной кислотой происходит в протонном органическом растворителе или его смеси с водой или раствором аммиака.

В одном из вариантов воплощения настоящего изобретения взаимодействие соединения формулы 3а или его соли с 2-(метилтио)уксусной кислотой происходит в протонном органическом растворителе, перечисленном ранее.

Поставленная задача решается, а заявленный технический результат достигается за счет соединения формулы 4а:

где R представляет собой защитную группу.

Поставленная задача решается, а заявленный технический результат достигается за счет соединения формулы 4а:

или его соли, где R представляет собой защитную группу.

В рамках настоящего изобретения поставленная задача решается, а заявленный технический результат достигается посредством способа получения нового соединения формулы В, который включает удаление защитной группы R соединения формулы 5а:

В рамках настоящего изобретения поставленная задача решается, а заявленный технический результат достигается посредством способа получения нового соединения формулы В или его фармацевтически приемлемой соли, который включает удаление защитной группы R соединения формулы 5а или его соли:

В рамках настоящего изобретения поставленная задача решается, а заявленный технический результат достигается посредством способа получения нового соединения формулы В или его фармацевтически приемлемой соли, который включает удаление защитной группы R соединения формулы 5а:

В рамках настоящего изобретения поставленная задача решается, а заявленный технический результат достигается посредством способа получения нового соединения формулы В или его соли,

который включает удаление защитной группы R соединения формулы 5а или его соли:

В одном из вариантов воплощения настоящего изобретения соль, в том числе фармацевтически приемлемая, соединения В представляет собой соль, образованную соединением В и кислотой.

Более предпочтительно кислота по настоящему изобретению представляет собой одноосновную, двухосновную или трехосновную кислоту.

Более предпочтительно кислота по настоящему изобретению представляет собой одноосновную, двухосновную или многоосновную кислоту.

В одном из вариантов воплощения настоящего изобретения соль соединения В представляет собой соль, образованную соединением В и неорганической кислотой.

Более предпочтительно неорганическая кислота по настоящему изобретению представляет собой одноосновную, двухосновную или трехосновную кислоту.

Если неорганическая кислота представляет собой одноосновную кислоту, то молярное соотношение солеобразующей кислоты и соединения В составляет 1:1.

Более предпочтительно в рамках настоящего изобретения одноосновная неорганическая кислота выбрана из группы, включающей, не ограничиваясь указанным, хлороводородную, фтороводородную, бромоводородную, йодоводородную, азотную и азотистую кислоты.

Если неорганическая кислота представляет собой двухосновную кислоту, то молярное соотношение солеобразующей кислоты и соединения В составляет 1:1 или 1:2.

Более предпочтительно в рамках настоящего изобретения двухосновная неорганическая кислота выбрана из группы, включающей, не ограничиваясь указанным, сероводородную, сернистую, серную и угольную кислоты.

Если неорганическая кислота представляет собой трехосновную кислоту, то молярное соотношение солеобразующей кислоты и соединения В составляет 1:1, 1:2 или 1:3.

Более предпочтительно в рамках настоящего изобретения трехосновная неорганическая кислота представляет собой, не ограничиваясь указанным, фосфорную кислоту.

В одном из вариантов воплощения настоящего изобретения соль соединения В представляет собой соль, образованную соединением В и органической кислотой.

Более предпочтительно органическая кислота по настоящему изобретению представляет собой одноосновную, двухосновную или многоосновную кислоту.

Если органическая кислота представляет собой одноосновную кислоту, то молярное соотношение солеобразующей кислоты и соединения В составляет 1:1.

Более предпочтительно в рамках настоящего изобретения одноосновная органическая кислота выбрана из группы, включающей, не ограничиваясь указанным, муравьиную, уксусную, монофторусусную, дифторуксусную, трифторуксусную, пропионовую, масляную, изомасляную, валериановую, капроновую, энантовую, п-толуоловую, анисовую и фенилусусную кислоту.

Если органическая кислота представляет собой двухосновную кислоту, то молярное соотношение солеобразующей кислоты и соединения В составляет 1:1 или 1:2.

Более предпочтительно в рамках настоящего изобретения двухосновная органическая кислота выбрана из группы, включающей, не ограничиваясь указанным, щавелевую, малоновую, янтарную, диоксоянтарную, глутаровую, α-гидроксиглутаровую, 2-оксоглутаровую, 3-оксоглутаровую, адипиновую, пимелиновую, диаминопимелиновую, фталиевую, изофталиевую, терифталиевую, яблочную, субериновую, азелаиновую, малеиновую, фумаровую, винную, аспарагиновую, глутаминовую, арабиновую и D-глюкаровую кислоту.

Если органическая кислота представляет собой трехосновную кислоту, то молярное соотношение солеобразующей кислоты и соединения В составляет 1:1, 1:2 или 1:3.

Более предпочтительно в рамках настоящего изобретения трехосновная органическая кислота выбрана из группы, включающей, не ограничиваясь указанным, лимонную, изолимонную, аконитовую, β-карбоксиглутаровую, 2-гидрокси-1,2,3-нонадекантрикарбоновую и бензол-1,3,5-трикарбоновую кислоту.

В одном из вариантов воплощения настоящего изобретения соль соединения 5a представляет собой соль, образованную соединением 5a и кислотой.

Более предпочтительно кислота для указанных выше целей по настоящему изобретению представляет собой одноосновную, двухосновную или трехосновную кислоту.

Более предпочтительно кислота для указанных выше целей по настоящему изобретению представляет собой одноосновную, двухосновную или многоосновную кислоту.

В одном из вариантов воплощения настоящего изобретения соль соединения 5а представляет собой соль, образованную соединением 5а и неорганической кислотой.

Более предпочтительно неорганическая кислота для указанных выше целей по настоящему изобретению представляет собой одноосновную, двухосновную или трехосновную кислоту.

Если неорганическая кислота для указанных выше целей представляет собой одноосновную кислоту, то молярное соотношение солеобразующей кислоты и соединения 5a составляет 1:1.

Более предпочтительно в рамках настоящего изобретения одноосновная неорганическая кислота для указанных выше целей выбрана из группы, включающей, не ограничиваясь указанным, хлороводородную, фтороводородную, бромоводородную, йодоводородную, азотную и азотистую кислоты.

Если неорганическая кислота для указанных выше целей представляет собой двухосновную кислоту, то молярное соотношение солеобразующей кислоты и соединения 5a составляет 1:1 или 1:2.

Более предпочтительно в рамках настоящего изобретения двухосновная неорганическая кислота для указанных выше целей выбрана из группы, включающей, не ограничиваясь указанным, сероводородную, сернистую, серную и угольную кислоты.

Если неорганическая кислота для указанных выше целей представляет собой трехосновную кислоту, то молярное соотношение солеобразующей кислоты и соединения 5a составляет 1:1, 1:2 или 1:3.

Более предпочтительно в рамках настоящего изобретения трехосновная неорганическая кислота для указанных выше целей представляет собой, не ограничиваясь указанным, фосфорную кислоту.

В одном из вариантов воплощения настоящего изобретения соль соединения 5a представляет собой соль, образованную соединением 5a и органической кислотой.

Более предпочтительно органическая кислота для указанных выше целей по настоящему изобретению представляет собой одноосновную, двухосновную или многоосновную кислоту.

Если органическая кислота для указанных выше целей представляет собой одноосновную кислоту, то молярное соотношение солеобразующей кислоты и соединения 5a составляет 1:1.

Более предпочтительно в рамках настоящего изобретения одноосновная органическая кислота для указанных выше целей выбрана из группы, включающей, не ограничиваясь указанным, муравьиную, уксусную, монофторусусную, дифторуксусную, трифторуксусную, пропионовую, масляную, изомасляную, валериановую, капроновую, энантовую, п-толуоловую, анисовую и фенилусусную кислоту.

Если органическая кислота представляет собой двухосновную кислоту, то молярное соотношение солеобразующей кислоты и соединения 5a составляет 1:1 или 1:2.

Более предпочтительно в рамках настоящего изобретения двухосновная органическая кислота для указанных выше целей выбрана из группы, включающей, не ограничиваясь указанным, щавелевую, малоновую, янтарную, диоксоянтарную, глутаровую, α-гидроксиглутаровую, 2-оксоглутаровую, 3-оксоглутаровую, адипиновую, пимелиновую, диаминопимелиновую, фталиевую, изофталиевую, терифталиевую, яблочную, субериновую, азелаиновую, малеиновую, фумаровую, винную, аспарагиновую, глутаминовую, арабиновую и D-глюкаровую кислоту.

Если органическая кислота представляет собой трехосновную кислоту, то молярное соотношение солеобразующей кислоты и соединения 5a составляет 1:1, 1:2 или 1:3.

Более предпочтительно в рамках настоящего изобретения трехосновная органическая кислота для указанных выше целей выбрана из группы, включающей, не ограничиваясь указанным, лимонную, изолимонную, аконитовую, β-карбоксиглутаровую, 2-гидрокси-1,2,3-нонадекантрикарбоновую и бензол-1,3,5-трикарбоновую кислоту.

В одном из вариантов воплощения настоящего изобретения защитная группа R представляет бензилоксикарбонил, 2,2,2-трихлорэтоксикарбонил, 2-(триметилсилил)этоксикарбонил, 2-(4-трифторметилфенилсульфонил)этоксикарбонил, трет-бутоксикарбонил, 1-адамантилоксикарбонил, 2-адамантилкарбонил, 2,4-диметилпент-3-илоксикарбонил, циклогексилоксикарбонил, 1,1-диметил-2,2,2-трихлорэтоксикарбонил, винил, 2-хлорэтил, 2-фенилсульфонилэтил, аллил, бензил, 2-нитробензил, 4-нитробензил, дифенил-4-пиридилметил, N',N'-диметилгидразинил, метоксиметил, трет-бутоксиметил, бензилоксиметил, 2-тетрагидропиранил, N-пивалоилоксиметил или 2-(триметилсилил)этоксиметил.

Более предпочтительно защитная группа R представляет собой 2-(триметилсилил)этоксикарбонил.

Одним из вариантов воплощения настоящего изобретения является способ получения соединения формулы В или его соли, характеризующийся тем, что удаление защитной группы R соединения формулы 5а или его соли происходит в органическом растворителе.

Одним из вариантов воплощения настоящего изобретения является способ получения соединения формулы В или его соли, характеризующийся тем, что удаление защитной группы R соединения формулы 5а или его соли происходит в воде или растворе аммиака.

Одним из вариантов воплощения настоящего изобретения является способ получения соединения формулы В или его соли, характеризующийся тем, что удаление защитной группы R соединения формулы 5а или его соли происходит в смеси органического растворителя и воды или в смеси органического растворителя и раствора аммиака.

Одним из вариантов воплощения настоящего изобретения является способ получения соединения формулы В или его соли, характеризующийся тем, что удаление защитной группы R соединения формулы 5а или его соли происходит в апротонном органическом растворителе или его смеси с водой или раствором аммиака.

Более предпочтительно апротонный органический растворитель в рамках настоящего изобретения для указанных выше целей выбран из группы, включающей, не ограничиваясь указанным, пентан, гексан, гептан, октан, циклогексан, метилциклогексан, бензол, толуол, о-ксилол, м-ксилол, п-ксилол, анизол, кумол, тетралин, лимонен, скипидар, диоксан, хлороформ, дихлорметан, тетрахлорметан, 1,2-дихлорэтан, 1,1-дихлорэтилен, цис-1,2-дихлорэтен, транс-1,2-дихлорэтен, трихлорэтан, 1,1,2-трихлорэтан, 1,1,1-трихлорэтан, 1-хлорбутан, хлорбензол, дихлорбензол, диэтиловый эфир, диизопропиловый эфир, дибутиловый эфир, метил-трет-бутиловый эфир, этил-трет-бутиловый эфир, циклопентилметиловый эфир, диметоксиэтан, диметиловый эфир диэтиленгликоля, диэтоксиметан, дихлорметан, тетрагидрофуран, метилтетрагидрофуран, этилацетат, этилформиат, метилацетат, н-пропилацетат, изо-пропилацетат, н-бутилацетат, изо-бутилацетат, β-бутиролактон, γ-бутиролактон, γ-валеролактон, δ-валеролактон, этиленгликоль диацетат, пропиленгликоль диацетат, глицерол триацетат, ацетон, метилэтилкетон, метилизобутилкетон, 2-гексанон, циклопентанон, циклогексанон, диметилформамид, диметилацетамид, ацетонитрил, пропионитрил, диметилсульфоксид, N-метилпирролидон, уксусный ангидрид, третичные амины, например, триэтиламин, сульфолан, пиридин и их смеси.

Одним из вариантов воплощения настоящего изобретения является способ получения соединения формулы В или его соли, характеризующийся тем, что удаление защитной группы R соединения формулы 5а или его соли происходит в протонном органическом растворителе или его смеси с водой или раствором аммиака.

Более предпочтительно протонный органический растворитель в рамках настоящего изобретения для указанных выше целей выбран из группы, включающей, не ограничиваясь указанным, метанол, этанол, н-пропанол, изо-пропанол, н-бутанол, 2-бутанол, изо-бутанол, трет-бутанол, 2-метил-2-бутанол, циклогексанол, первичные амины, например, пропиламин, вторичные амины, например, диизопропиламин, бензиловый спирт, фенол, 1,2-пропандиол, 1,3-пропандиол, метилоксиэтанол, этилоксиэтанол, 1-метокси-пропан-2-ол, фурфуриловый спирт, тетрагидрофурфуриловый спирт, этиллакат, муравьиная кислота, уксусная кислота, пропионовая кислота, трифторуксусная кислота, метансульфоновая кислота, трифторметансульфоновая кислота и их смеси.

Одним из вариантов воплощения настоящего изобретения является способ получения соединения формулы В или его соли, характеризующийся тем, что удаление защитной группы R соединения формулы 5а или его соли осуществляют при взаимодействии соединения формула 5а с фторсодержащим соединением.

Одним из вариантов воплощения настоящего изобретения является способ получения соединения формулы В или его соли, характеризующийся тем, что удаление защитной группы R соединения формулы 5а или его соли осуществляют при взаимодействии соединения формула 5а или его соли с фторсодержащим соединением с последующей обработкой основанием.

Одним из вариантов воплощения настоящего изобретения является способ получения соединения формулы В или его соли, характеризующийся тем, что удаление защитной группы R соединения формулы 5а или его соли осуществляют при взаимодействии соединения формула 5а или его соли с фторсодержащей кислотой с последующей обработкой основанием.

Одним из вариантов воплощения настоящего изобретения является способ получения соединения формулы В или его соли, характеризующийся тем, что удаление защитной группы R соединения формулы 5а или его соли осуществляют при взаимодействии соединения формула 5а или его соли с органической фторсодержащей кислотой с последующей обработкой основанием.

Одним из вариантов воплощения настоящего изобретения является способ получения соединения формулы В или его соли, характеризующийся тем, что удаление защитной группы R соединения формулы 5а или его соли осуществляют при взаимодействии соединения формула 5а или его соли с органической фторсодержащей кислотой с последующей обработкой органическим основанием.

Более предпочтительно при удалении защитной группы R соединения 5а или его соли последующую обработку проводят основанием по настоящему изобретению, представляющим собой водный раствор аммиака.

Более предпочтительно при удалении защитной группы R соединения 5а или его соли последующую обработку проводят основанием по настоящему изобретению, представляющим собой раствор аммиака в спирте.

Более предпочтительно при удалении защитной группы R соединения 5а или его соли последующую обработку проводят основанием по настоящему изобретению, представляющим собой гидроксиды или галогениды катионов четвертичного аммония.

Более предпочтительно гидроксид или галогенид катионов четвертичного аммония для указанных выше целей, не ограничиваясь указанным, выбран из тетраметиламмония гидроксид, тетраэтиламмония бромид, тетрапропиламмония хлорид, тетрабутиламмония фторид или бензалкония хлорид.

Более предпочтительно в качестве основания по настоящему изобретению для указанных выше целей используют, не ограничиваясь указанным, имидазол, пиридин и его производные, в частности, пиридин, замещенный C1-C5 алкилом, колидин, хинолин или хинолин, замещенный C1-C5 алкилом, бензимидазол, гистидин, гуанидин, фосфазен, 1,8-диазабицикло[5.4.0]ундец-7-ен (ДБУ), 1,5-диазабицикло[4.3.0]нон-5-ен (ДБН), 1,4-диазабицикло[2.2.2]октан (ДБО), 4-(диметиламино)пиридин, 2,2,6,6-тетраметилпиперидин или 2,6-лутидин.

Более предпочтительно при удалении защитной группы R соединения 5а или его соли последующую обработку проводят органическим основанием по настоящему изобретению, представляющим собой амин, в том числе, первичный амин.

Более предпочтительно первичный амин по настоящему изобретению для указанных выше целей представляет собой, не ограничиваясь указанным, соединение формулы R2’NH2, где R2’ представляет собой C1-C5 алкил, арил, алкиларил, необязательно замещенные C1-C5 алкилом, галогеном, спиртовой, тиольной, циано, карбоксильной, C1-C5-алкилоки или сложноэфирной группой.

Более предпочтительно первичный амин по настоящему изобретению для указанных выше целей представляет собой, не ограничиваясь указанным, соединение формулы R2’N, где R2’ выбран из группы, включающей, метил, этил, пропил, изопропил или фенил.

Более предпочтительно первичный амин по настоящему изобретению для указанных выше целей представляет собой, не ограничиваясь указанным, пропиламин, бутиламин или анилин.

Более предпочтительно органическое основание по настоящему изобретению для указанных выше целей представляет собой вторичный амин.

Более предпочтительно вторичный амин по настоящему изобретению для указанных выше целей представляет собой, не ограничиваясь указанным, соединение формулы R2’R3’NH, где R2’, R3’ независимо друг от друга представляют собой C1-C5 алкил, арил, алкиларил, необязательно замещенные C1-C5 алкилом, галогеном, спиртовой, тиольной, циано, карбоксильной, C1-C5-алкилоки, сложноэфирной группой, или R2 с R3 вместе с атомом азота образуют С48 циклоалкильную группу или С48 гетероциклическую группу, где гетероатом представляет собой кислород.

Более предпочтительно вторичный амин по настоящему изобретению для указанных выше целей представляет собой, не ограничиваясь указанным, соединение формулы R2’R3’NH, где R2’, R3’ независимо друг от друга выбраны из группы, включающей, метил, этил, пропил, изопропил, фенил или бензил.

Более предпочтительно вторичный амин по настоящему изобретению для указанных выше целей представляет собой, не ограничиваясь указанным, диэтиламин, диизопропиламин или диизобутиламин.

Более предпочтительно органическое основание по настоящему изобретению для указанных выше целей представляет собой третичный амин.

Более предпочтительно третичный амин по настоящему изобретению представляет собой для указанных выше целей, не ограничиваясь указанным, соединение формулы R2’R3’R4’N, где R2’, R3’, R4’ независимо друг от друга представляют собой C1-C5 алкил, арил, алкиларил, необязательно замещенные C1-C5 алкилом, галогеном, спиртовой, тиольной, циано, карбоксильной, C1-C5-алкилоки, сложноэфирной группой, или, когда R2 с R3 вместе с атомом азота образуют С48 циклоалкильную группу или С48 гетероциклическую группу, где гетероатом представляет собой кислород, R4’ представляет собой C1-C5 алкил, арил, алкиларил, необязательно замещенные C1-C5 алкилом, галогеном, спиртовой, тиольной, циано, карбоксильной, C1-C5-алкилоки, сложноэфирной группой.

Более предпочтительно третичный амин по настоящему изобретению для указанных выше целей представляет собой, не ограничиваясь указанным, соединение формулы R2’R3’R4’N, где R2’, R3’, R4’ независимо друг от друга представляют собой C1-C5 алкил или, когда R2’ с R3 вместе с атомом азота образуют С48 циклоалкильную группу или С48 гетероциклическую группу, где гетероатом представляет собой кислород, R4’ представляет собой C1-C5 алкил, при этом R4 связан с атомом азота.

Более предпочтительно третичный амин по настоящему изобретению для указанных выше целей представляет собой, не ограничиваясь указанным, соединение формулы R2’R3’R4’N, где R2’, R3’, R4’ независимо друг от друга выбраны из группы, включающей, метил, этил, пропил или изопропил.

Более предпочтительно третичный амин по настоящему изобретению для указанных выше целей представляет собой, не ограничиваясь указанным, N-метилформалин или триэтиламин.

Более предпочтительно фторсодержащее соединение по настоящему изобретению для указанных выше целей выбрано из группы, включающей, не ограничиваясь указанным, фторсодержащую кислоту, фторид тетрабутиламмония, тетрафторборат лития, фторид щелочного или щелочноземельного метала, в частности, фторид цезия.

Более предпочтительно фторсодержащая кислота по настоящему изобретению для указанных выше целей представляет собой фтороводородную кислоту.

Более предпочтительно фторсодержащая кислота по настоящему изобретению для указанных выше целей представляет собой органическую фторсодержащую кислоту.

Более предпочтительно органическая фторсодержащая кислота для указанных выше целей выбрана из группы, включающей, не ограничиваясь указанным, фторуксусную кислоту, дифторуксусную кислоту, трифторуксусную кислоту, трифторметансульфоновую кислоту, 2,4-дифторбензойную кислоту, 2,6-дифторбензойную кислоту, 2,3,5,6-тетрафтор-4-гидроксибензойную кислоту, 4-фторсалициловую кислоту и 5-фторсалициловую кислоту.

Одним из вариантов воплощения настоящего изобретения является способ получения соединения формулы В или его соли, характеризующийся тем, что дополнительно включает взаимодействие соединения формулы 1а с защищенным по аминогруппе пиразольного кольца 2-(3-азетидинилиден)ацетонитрилом с получением соединения формулы 2а.

где R и R1 представляют собой защитные группы.

Одним из вариантов воплощения настоящего изобретения является способ получения соединения формулы В или его фармацевтически приемлемой соли, характеризующийся тем, что дополнительно включает взаимодействие соединения формулы 1а или его соли с защищенным по аминогруппе пиразольного кольца 2-(3-азетидинилиден)ацетонитрилом с получением соединения формулы 2а.

где R и R1 представляют собой защитные группы.

Одним из вариантов воплощения настоящего изобретения является способ получения соединения формулы В или его соли, характеризующийся тем, что дополнительно включает взаимодействие соединения формулы 1а с защищенным по аминогруппе пиразольного кольца 2-(3-азетидинилиден)ацетонитрилом в присутствии основания с получением соединения формулы 2а.

где R и R1 представляют собой защитные группы.

Одним из вариантов воплощения настоящего изобретения является способ получения соединения формулы В или его соли, в том числе фармацевтически приемлемой, характеризующийся тем, что дополнительно включает взаимодействие соединения формулы 1а или его соли с защищенным по аминогруппе пиразольного кольца 2-(3-азетидинилиден)ацетонитрилом в присутствии основания с получением соединения формулы 2а.

где R и R1 представляют собой защитные группы.

В одном из вариантов воплощения настоящего изобретения соль соединения 1a представляет собой соль, образованную соединением 1a и кислотой.

Более предпочтительно кислота по настоящему изобретению для указанных выше целей представляет собой одноосновную, двухосновную или трехосновную кислоту.

Более предпочтительно кислота по настоящему изобретению для указанных выше целей представляет собой одноосновную, двухосновную или многоосновную кислоту.

В одном из вариантов воплощения настоящего изобретения соль соединения 1a представляет собой соль, образованную соединением 1a и неорганической кислотой.

Более предпочтительно неорганическая кислота по настоящему изобретению для указанных выше целей представляет собой одноосновную, двухосновную или трехосновную кислоту.

Если неорганическая кислота представляет собой одноосновную кислоту, то молярное соотношение солеобразующей кислоты и соединения 1a составляет 1:1.

Более предпочтительно в рамках настоящего изобретения для указанных выше целей одноосновная неорганическая кислота выбрана из группы, включающей, не ограничиваясь указанным, хлороводородную, фтороводородную, бромоводородную, йодоводородную, азотную и азотистую кислоты.

Если неорганическая кислота для указанных выше целей представляет собой двухосновную кислоту, то молярное соотношение солеобразующей кислоты и соединения 1a составляет 1:1 или 1:2.

Более предпочтительно в рамках настоящего изобретения для указанных выше целей двухосновная неорганическая кислота выбрана из группы, включающей, не ограничиваясь указанным, сероводородную, сернистую, серную и угольную кислоты.

Если неорганическая кислота для указанных выше целей представляет собой трехосновную кислоту, то молярное соотношение солеобразующей кислоты и соединения 1a составляет 1:1, 1:2 или 1:3.

Более предпочтительно в рамках настоящего изобретения для указанных выше целей трехосновная неорганическая кислота представляет собой, не ограничиваясь указанным, фосфорную кислоту.

В одном из вариантов воплощения настоящего изобретения для указанных выше целей соль соединения 1a представляет собой соль, образованную соединением 1a и органической кислотой.

Более предпочтительно органическая кислота по настоящему изобретению для указанных выше целей представляет собой одноосновную, двухосновную или многоосновную кислоту.

Если органическая кислота для указанных выше целей представляет собой одноосновную кислоту, то молярное соотношение солеобразующей кислоты и соединения 1a составляет 1:1.

Более предпочтительно в рамках настоящего изобретения для указанных выше целей одноосновная органическая кислота выбрана из группы, включающей, не ограничиваясь указанным, муравьиную, уксусную, монофторусусную, дифторуксусную, трифторуксусную, пропионовую, масляную, изомасляную, валериановую, капроновую, энантовую, п-толуоловую, анисовую и фенилусусную кислоту.

Если органическая кислота представляет собой двухосновную кислоту, то молярное соотношение солеобразующей кислоты и соединения 1a составляет 1:1 или 1:2.

Более предпочтительно в рамках настоящего изобретения двухосновная органическая кислота для указанных выше целей выбрана из группы, включающей, не ограничиваясь указанным, щавелевую, малоновую, янтарную, диоксоянтарную, глутаровую, α-гидроксиглутаровую, 2-оксоглутаровую, 3-оксоглутаровую, адипиновую, пимелиновую, диаминопимелиновую, фталиевую, изофталиевую, терифталиевую, яблочную, субериновую, азелаиновую, малеиновую, фумаровую, винную, аспарагиновую, глутаминовую, арабиновую и D-глюкаровую кислоту.

Если органическая кислота представляет собой трехосновную кислоту, то молярное соотношение солеобразующей кислоты и соединения 1a составляет 1:1, 1:2 или 1:3.

Более предпочтительно в рамках настоящего изобретения трехосновная органическая кислота для указанных выше целей выбрана из группы, включающей, не ограничиваясь указанным, лимонную, изолимонную, аконитовую, β-карбоксиглутаровую, 2-гидрокси-1,2,3-нонадекантрикарбоновую и бензол-1,3,5-трикарбоновую кислоту.

Одним из вариантов воплощения настоящего изобретения является способ получения соединения формулы В или его соли, характеризующийся тем, что взаимодействие соединения формулы 1а или его соли с защищенным по аминогруппе пиразольного кольца 2-(3-азетидинилиден)ацетонитрилом происходит в растворителе.

Одним из вариантов воплощения настоящего изобретения является способ получения соединения формулы В или его соли, характеризующийся тем, что взаимодействие соединения формулы 1а или его соли с защищенным по аминогруппе пиразольного кольца 2-(3-азетидинилиден)ацетонитрилом происходит в органическом растворителе.

Одним из вариантов воплощения настоящего изобретения является способ получения соединения формулы В или его соли, характеризующийся тем, что взаимодействие соединения формулы 1а или его соли с защищенным по аминогруппе пиразольного кольца 2-(3-азетидинилиден)ацетонитрилом происходит в воде или растворе аммиака.

Одним из вариантов воплощения настоящего изобретения является способ получения соединения формулы В или его соли, характеризующийся тем, что взаимодействие соединения формулы 1а или его соли с защищенным по аминогруппе пиразольного кольца 2-(3-азетидинилиден)ацетонитрилом происходит в смеси органического растворителя и воды или раствора аммиака.

Одним из вариантов воплощения настоящего изобретения является способ получения соединения формулы В или его соли, характеризующийся тем, что взаимодействие соединения формулы 1а или его соли с защищенным по аминогруппе пиразольного кольца 2-(3-азетидинилиден)ацетонитрилом происходит в апротонном органическом растворителе или его смеси с водой или раствором аммиака.

Более предпочтительно взаимодействие соединения формулы 1а или его соли с защищенным по аминогруппе пиразольного кольца 2-(3-азетидинилиден)ацетонитрилом происходит в апротонном органическом растворителе, выбранном из группы, включающей, не ограничиваясь указанным, пентан, гексан, гептан, октан, циклогексан, метилциклогексан, бензол, толуол, о-ксилол, м-ксилол, п-ксилол, анизол, кумол, тетралин, лимонен, скипидар, диоксан, хлороформ, дихлорметан, тетрахлорметан, 1,2-дихлорэтан, 1,1-дихлорэтилен, цис-1,2-дихлорэтен, транс-1,2-дихлорэтен, трихлорэтан, 1,1,2-трихлорэтан, 1,1,1-трихлорэтан, 1-хлорбутан, хлорбензол, дихлорбензол, диэтиловый эфир, диизопропиловый эфир, дибутиловый эфир, метил-трет-бутиловый эфир, этил-трет-бутиловый эфир, циклопентилметиловый эфир, диметоксиэтан, диметиловый эфир диэтиленгликоля, диэтоксиметан, дихлорметан, тетрагидрофуран, метилтетрагидрофуран, этилацетат, этилформиат, метилацетат, н-пропилацетат, изо-пропилацетат, н-бутилацетат, изо-бутилацетат, β-бутиролактон, γ-бутиролактон, γ-валеролактон, δ-валеролактон, этиленгликоль диацетат, пропиленгликоль диацетат, глицерол триацетат, ацетон, метилэтилкетон, метилизобутилкетон, 2-гексанон, циклопентанон, циклогексанон, диметилформамид, диметилацетамид, ацетонитрил, пропионитрил, диметилсульфоксид, N-метилпирролидон, уксусный ангидрид, третичные амины, например, триэтиламин, сульфолан, пиридин и их смеси.

Одним из вариантов воплощения настоящего изобретения является способ получения соединения формулы В или его соли, характеризующийся тем, что взаимодействие соединения формулы 1а или его соли с защищенным по аминогруппе пиразольного кольца 2-(3-азетидинилиден)ацетонитрилом происходит в протонном органическом растворителе или его смеси с водой или раствором аммиака.

Более предпочтительно взаимодействие соединения формулы 1а или его соли с защищенным по аминогруппе пиразольного кольца 2-(3-азетидинилиден)ацетонитрилом происходит в протонном органическом растворителе выбранном из группы, включающей, не огрничиваясь указанным, метанол, этанол, н-пропанол, изо-пропанол, н-бутанол, 2-бутанол, изо-бутанол, трет-бутанол, 2-метил-2-бутанол, циклогексанол, первичные амины, например, пропиламин, вторичные амины, например, диизопропиламин, бензиловый спирт, фенол, 1,2-пропандиол, 1,3-пропандиол, метилоксиэтанол, этилоксиэтанол, 1-метокси-пропан-2-ол, фурфуриловый спирт, тетрагидрофурфуриловый спирт, этиллакат, муравьиную кислоту, уксусную кислоту, пропионовую кислоту, трифторуксуснаую кислоту, метансульфоновую кислоту, трифторметансульфоновую кислоту и их смеси.

Более предпочтительно взаимодействие соединения формулы 1а или его соли с защищенным по аминогруппе пиразольного кольца 2-(3-азетидинилиден)ацетонитрилом происходит в присутствии основания, представляющего собой водного раствора аммиака.

Более предпочтительно взаимодействие соединения формулы 1а или его соли с защищенным по аминогруппе пиразольного кольца 2-(3-азетидинилиден)ацетонитрилом происходит в присутствии основания, представляющего собой раствора аммиака в спирте.

Более предпочтительно взаимодействие соединения формулы 1а или его соли с защищенным по аминогруппе пиразольного кольца 2-(3-азетидинилиден)ацетонитрилом происходит в присутствии основания, представляющего собой гидроксид или галогенид катионов четвертичного аммония.

Более предпочтительно гидроксид или галогенид катионов четвертичного аммония, не ограничиваясь указанным, для указанных выше целей выбран из тетраметиламмония гидроксид, тетраэтиламмония бромид, тетрапропиламмония хлорид, тетрабутиламмония фторид или бензалкония хлорид.

Одним из вариантов воплощения настоящего изобретения является способ получения соединения формулы В или его соли, характеризующийся тем, что взаимодействие соединения формулы 1а или его соли с защищенным по аминогруппе пиразольного кольца 2-(3-азетидинилиден)ацетонитрилом происходит в присутствии органического основания.

Более предпочтительно взаимодействие соединения формулы 1а или его соли с защищенным по аминогруппе пиразольного кольца 2-(3-азетидинилиден)ацетонитрилом происходит в присутствии основания, выбранного из группы, не ограничиваясь указанным, имидазола, пиридина или его производных, в частности, пиридина, замещенного C1-C5 алкилом, колидина, хинолина или хинолина, замещенного C1-C5 алкилом, бензимидазола, гистидина, гуанидина, фосфазена, 1,8-диазабицикло[5.4.0]ундец-7-ена (ДБУ), 1,5-диазабицикло[4.3.0]нон-5-ена (ДБН), 1,4-диазабицикло[2.2.2]октана (ДБО), 4-(диметиламино)пиридина, 2,2,6,6-тетраметилпиперидина или 2,6-лутидина.

Более предпочтительно в рамках настоящего изобретения взаимодействие соединения формулы 1а или его соли с защищенным по аминогруппе пиразольного кольца 2-(3-азетидинилиден)ацетонитрилом происходит в присутствии 1,8-диазабицикло[5.4.0]ундец-7-ена (ДБУ).

Более предпочтительно в рамках настоящего изобретения взаимодействие соединения формулы 1а или его соли с защищенным по аминогруппе пиразольного кольца 2-(3-азетидинилиден)ацетонитрилом происходит в присутствии амина.

Более предпочтительно в рамках настоящего изобретения взаимодействие соединения формулы 1а или его соли с защищенным по аминогруппе пиразольного кольца 2-(3-азетидинилиден)ацетонитрилом происходит в присутствии первичного амина, вторичного амина или третичного амина.

Более предпочтительно в рамках настоящего изобретения взаимодействие соединения формулы 1а или его соли с защищенным по аминогруппе пиразольного кольца 2-(3-азетидинилиден)ацетонитрилом происходит в присутствии первичного амина, вторичного амина или третичного амина, которые были охарактеризованы ранее.

Одним из вариантов воплощения настоящего изобретения является способ получения соединения формулы В или его соли, характеризующийся тем, что дополнительно включает снятие защитной группы R1 у соединения формулы 2а с получением соединения формулы 3а:

Одним из вариантов воплощения настоящего изобретения является способ получения соединения формулы В или его соли, характеризующийся тем, что дополнительно включает снятие защитной группы R1 у соединения формулы 2а с получением соединения формулы 3а или его соли:

Одним из вариантов воплощения настоящего изобретения является способ получения соединения формулы В или его соли, характеризующийся тем, что дополнительно включает снятие защитной группы R1 у соединения формулы 2а с получением соединения формулы 3а’:

где R и R1 представляют собой защитные группы, z=1, 2 или 3.

Одним из вариантов воплощения настоящего изобретения является способ получения соединения формулы В или его соли, характеризующийся тем, что X1 представляет собой кислоту.

Более предпочтительно кислота по настоящему изобретению для указанных выше целей представляет собой одноосновную, двухосновную или трехосновную кислоту.

Более предпочтительно кислота по настоящему изобретению для указанных выше целей представляет собой одноосновную, двухосновную или многоосновную кислоту.

Более предпочтительно X1 представляет собой неорганическую кислоту.

Более предпочтительно неорганическая кислота для указанных выше целей по настоящему изобретению представляет собой одноосновную, двухосновную или трехосновную кислоту.

Если неорганическая кислота для указанных выше целей представляет собой одноосновную кислоту, то молярное соотношение солеобразующей кислоты и соединения 3a составляет 1:1 или, если неорганическая кислота представляет собой одноосновную кислоту, то z = 1.

Более предпочтительно в рамках настоящего изобретения одноосновная неорганическая кислота для указанных выше целей выбрана из группы, включающей, не ограничиваясь указанным, хлороводородную, фтороводородную, бромоводородную, йодоводородную, азотную и азотистую кислоты.

Если неорганическая кислота представляет собой двухосновную кислоту, то молярное соотношение солеобразующей кислоты и соединения 3a составляет 1:1 или 1:2, или, если неорганическая кислота представляет собой двухосновную кислоту, то z = 1, 2.

Более предпочтительно в рамках настоящего изобретения двухосновная неорганическая кислота для указанных выше целей выбрана из группы, включающей, не ограничиваясь указанным, сероводородную, сернистую, серную и угольную кислоты.

Если неорганическая кислота представляет собой трехосновную кислоту, то молярное соотношение солеобразующей кислоты и соединения 3a составляет 1:1, 1:2 или 1:3, или, если неорганическая кислота представляет собой трехосновную кислоту, то z = 1, 2, 3.

Более предпочтительно в рамках настоящего изобретения трехосновная неорганическая кислота для указанных выше целей представляет собой, не ограничиваясь указанным, фосфорную кислоту.

Более предпочтительно X1 представляет собой органическую кислоту.

Более предпочтительно органическая кислота для указанных выше целей по настоящему изобретению представляет собой одноосновную, двухосновную или многоосновную кислоту.

Если органическая кислота представляет собой одноосновную кислоту, то молярное соотношение солеобразующей кислоты и соединения 3a составляет 1:1 или, если органическая кислота представляет собой одноосновную кислоту, то z = 1.

Более предпочтительно в рамках настоящего изобретения одноосновная органическая кислота для указанных выше целей выбрана из группы, включающей, не ограничиваясь указанным, муравьиную, уксусную, монофторусусную, дифторуксусную, трифторуксусную, пропионовую, масляную, изомасляную, валериановую, капроновую, энантовую, п-толуоловую, анисовую и фенилусусную кислоту.

Если органическая кислота представляет собой двухосновную кислоту, то молярное соотношение солеобразующей кислоты и соединения 3a составляет 1:1 или 1:2, или, если органическая кислота представляет собой одноосновную кислоту, то z = 1, 2.

Более предпочтительно в рамках настоящего изобретения двухосновная органическая кислота для указанных выше целей выбрана из группы, включающей, не ограничиваясь указанным, щавелевую, малоновую, янтарную, диоксоянтарную, глутаровую, α-гидроксиглутаровую, 2-оксоглутаровую, 3-оксоглутаровую, адипиновую, пимелиновую, диаминопимелиновую, фталиевую, изофталиевую, терифталиевую, яблочную, субериновую, азелаиновую, малеиновую, фумаровую, винную, аспарагиновую, глутаминовую, арабиновую и D-глюкаровую кислоту.

Если органическая кислота представляет собой трехосновную кислоту, то молярное соотношение солеобразующей кислоты и соединения 3a составляет 1:1, 1:2 или 1:3, или, если органическая кислота представляет собой трехосновную кислоту, то z = 1, 2, 3.

Более предпочтительно в рамках настоящего изобретения трехосновная органическая кислота для указанных выше целей выбрана из группы, включающей, не ограничиваясь указанным, лимонную, изолимонную, аконитовую, β-карбоксиглутаровую, 2-гидрокси-1,2,3-нонадекантрикарбоновую и бензол-1,3,5-трикарбоновую кислоту.

В одном из вариантов воплощения настоящего изобретения снятие защитной группы R1 у соединения формулы 2а с получением соединения формулы 3а или его соли происходит в органическом или неорганическом растворителе, или их смеси, перечисленных ранее.

Одним из вариантов воплощения настоящего изобретения является способ получения соединения формулы В или его соли, характеризующийся тем, что R1 представляет собой бензилоксикарбонил, 2,2,2-трихлорэтоксикарбонил, 2-(триметилсилил)этоксикарбонил, 2-(4-трифторметилфенилсульфонил)этоксикарбонил, трет-бутоксикарбонил, 1-адамантилоксикарбонил, 2-адамантилкарбонил, 2,4-диметилпент-3-илоксикарбонил, циклогексилоксикарбонил, 1,1-диметил-2,2,2-трихлорэтоксикарбонил, винил, 2-хлорэтил, 2-фенилсульфонилэтил, аллил, бензил, 2-нитробензил, 4-нитробензил, дифенил-4пиридилметил, N',N'-диметилгидразинил, метоксиметил, трет-бутоксиметил, бензилоксиметил, 2-тетрагидропиранил, N-пивалоилоксиметил или 2-(триметилсилил)этоксиметил.

Одним из вариантов воплощения настоящего изобретения является способ получения соединения формулы В или его соли, характеризующийся тем, что дополнительно включает взаимодействие соединения формулы 3а или его соли с 3-метоксипропионовой кислотой с получением соединения формулы 5а.

Одним из вариантов воплощения настоящего изобретения является способ получения соединения формулы В или его соли, характеризующийся тем, что дополнительно включает взаимодействие соединения формулы 3а или его соли с 3-метоксипропионовой кислотой с получением соединения формулы 5а или его соли.

В одном из вариантов воплощения настоящего изобретения взаимодействие соединения формулы 3а или его соли с 3-метоксипропионовой кислотой происходит в органическом растворителе.

В одном из вариантов воплощения настоящего изобретения взаимодействие соединения формулы 3а или его соли с 3-метоксипропионовой кислотой происходит в органическом растворителе.

В одном из вариантов воплощения настоящего изобретения взаимодействие соединения формулы 3а или его соли с 3-метоксипропионовой кислотой происходит в воде или растворе аммиака.

В одном из вариантов воплощения настоящего изобретения взаимодействие соединения формулы 3а или его соли с 3-метоксипропионовой кислотой происходит в смеси органического растворителя и воды или раствора аммиака.

В одном из вариантов воплощения настоящего изобретения взаимодействие соединения формулы 3а или его соли с 3-метоксипропионовой кислотой происходит в апротонном органическом растворителе или его смеси с водой или раствором аммиака.

В одном из вариантов воплощения настоящего изобретения взаимодействие соединения формулы 3а или его соли с 3-метоксипропионовой кислотой происходит в апротонном органическом растворителе, перечисленном ранее.

В одном из вариантов воплощения настоящего изобретения взаимодействие соединения формулы 3а или его соли с 3-метоксипропионовой кислотой происходит в протонном органическом растворителе или его смеси с водой или раствором аммиака.

В одном из вариантов воплощения настоящего изобретения взаимодействие соединения формулы 3а или его соли с 3-метоксипропионовой кислотой происходит в протонном органическом растворителе, перечисленном ранее.

Поставленная задача решается, а заявленный технический результат достигается за счет соединения формулы 5а:

где R представляет собой защитную группу.

Поставленная задача решается, а заявленный технический результат достигается за счет соединения формулы 5а:

или его соли, где R представляет собой защитную группу.

В рамках настоящего изобретения поставленная задача решается, а заявленный технический результат достигается посредством способа получения нового соединения формулы C, который включает удаление защитной группы R соединения формулы 6а:

В рамках настоящего изобретения поставленная задача решается, а заявленный технический результат достигается посредством способа получения нового соединения формулы С или его соли, в том числе фармацевтической, который включает удаление защитной группы R соединения формулы 6а или его соли:

В рамках настоящего изобретения поставленная задача решается, а заявленный технический результат достигается посредством способа получения нового соединения формулы С или его соли, который включает удаление защитной группы R соединения формулы 6а:

В рамках настоящего изобретения поставленная задача решается, а заявленный технический результат достигается посредством способа получения нового соединения формулы С или его соли,

который включает удаление защитной группы R соединения формулы 6а или его соли:

В одном из вариантов воплощения настоящего изобретения соль, в том числе фармацевтически приемлемая, соединения С представляет собой соль, образованную соединением С и кислотой.

Более предпочтительно кислота по настоящему изобретению представляет собой одноосновную, двухосновную или трехосновную кислоту.

Более предпочтительно кислота по настоящему изобретению представляет собой одноосновную, двухосновную или многоосновную кислоту.

В одном из вариантов воплощения настоящего изобретения соль соединения С представляет собой соль, образованную соединением С и неорганической кислотой.

Более предпочтительно неорганическая кислота по настоящему изобретению представляет собой одноосновную, двухосновную или трехосновную кислоту.

Если неорганическая кислота представляет собой одноосновную кислоту, то молярное соотношение солеобразующей кислоты и соединения С составляет 1:1.

Более предпочтительно в рамках настоящего изобретения одноосновная неорганическая кислота выбрана из группы, включающей, не ограничиваясь указанным, хлороводородную, фтороводородную, бромоводородную, йодоводородную, азотную и азотистую кислоты.

Если неорганическая кислота представляет собой двухосновную кислоту, то молярное соотношение солеобразующей кислоты и соединения С составляет 1:1 или 1:2.

Более предпочтительно в рамках настоящего изобретения двухосновная неорганическая кислота выбрана из группы, включающей, не ограничиваясь указанным, сероводородную, сернистую, серную и угольную кислоты.

Если неорганическая кислота представляет собой трехосновную кислоту, то молярное соотношение солеобразующей кислоты и соединения С составляет 1:1, 1:2 или 1:3.

Более предпочтительно в рамках настоящего изобретения трехосновная неорганическая кислота представляет собой, не ограничиваясь указанным, фосфорную кислоту.

В одном из вариантов воплощения настоящего изобретения соль соединения С представляет собой соль, образованную соединением С и органической кислотой.

Более предпочтительно органическая кислота по настоящему изобретению представляет собой одноосновную, двухосновную или многоосновную кислоту.

Если органическая кислота представляет собой одноосновную кислоту, то молярное соотношение солеобразующей кислоты и соединения С составляет 1:1.

Более предпочтительно в рамках настоящего изобретения одноосновная органическая кислота выбрана из группы, включающей, не ограничиваясь указанным, муравьиную, уксусную, монофторусусную, дифторуксусную, трифторуксусную, пропионовую, масляную, изомасляную, валериановую, капроновую, энантовую, п-толуоловую, анисовую и фенилусусную кислоту.

Если органическая кислота представляет собой двухосновную кислоту, то молярное соотношение солеобразующей кислоты и соединения С составляет 1:1 или 1:2.

Более предпочтительно в рамках настоящего изобретения двухосновная органическая кислота выбрана из группы, включающей, не ограничиваясь указанным, щавелевую, малоновую, янтарную, диоксоянтарную, глутаровую, α-гидроксиглутаровую, 2-оксоглутаровую, 3-оксоглутаровую, адипиновую, пимелиновую, диаминопимелиновую, фталиевую, изофталиевую, терифталиевую, яблочную, субериновую, азелаиновую, малеиновую, фумаровую, винную, аспарагиновую, глутаминовую, арабиновую и D-глюкаровую кислоту.

Если органическая кислота представляет собой трехосновную кислоту, то молярное соотношение солеобразующей кислоты и соединения С составляет 1:1, 1:2 или 1:3.

Более предпочтительно в рамках настоящего изобретения трехосновная органическая кислота выбрана из группы, включающей, не ограничиваясь указанным, лимонную, изолимонную, аконитовую, β-карбоксиглутаровую, 2-гидрокси-1,2,3-нонадекантрикарбоновую и бензол-1,3,5-трикарбоновую кислоту.

В одном из вариантов воплощения настоящего изобретения соль соединения 6a представляет собой соль, образованную соединением 6a и кислотой.

Более предпочтительно кислота для указанных выше целей по настоящему изобретению представляет собой одноосновную, двухосновную или трехосновную кислоту.

Более предпочтительно кислота для указанных выше целей по настоящему изобретению представляет собой одноосновную, двухосновную или многоосновную кислоту.

В одном из вариантов воплощения настоящего изобретения соль соединения 6а представляет собой соль, образованную соединением 6а и неорганической кислотой.

Более предпочтительно неорганическая кислота для указанных выше целей по настоящему изобретению представляет собой одноосновную, двухосновную или трехосновную кислоту.

Если неорганическая кислота для указанных выше целей представляет собой одноосновную кислоту, то молярное соотношение солеобразующей кислоты и соединения 6a составляет 1:1.

Более предпочтительно в рамках настоящего изобретения одноосновная неорганическая кислота для указанных выше целей выбрана из группы, включающей, не ограничиваясь указанным, хлороводородную, фтороводородную, бромоводородную, йодоводородную, азотную и азотистую кислоты.

Если неорганическая кислота для указанных выше целей представляет собой двухосновную кислоту, то молярное соотношение солеобразующей кислоты и соединения 6a составляет 1:1 или 1:2.

Более предпочтительно в рамках настоящего изобретения двухосновная неорганическая кислота для указанных выше целей выбрана из группы, включающей, не ограничиваясь указанным, сероводородную, сернистую, серную и угольную кислоты.

Если неорганическая кислота для указанных выше целей представляет собой трехосновную кислоту, то молярное соотношение солеобразующей кислоты и соединения 6a составляет 1:1, 1:2 или 1:3.

Более предпочтительно в рамках настоящего изобретения трехосновная неорганическая кислота для указанных выше целей представляет собой, не ограничиваясь указанным, фосфорную кислоту.

В одном из вариантов воплощения настоящего изобретения соль соединения 6a представляет собой соль, образованную соединением 6a и органической кислотой.

Более предпочтительно органическая кислота для указанных выше целей по настоящему изобретению представляет собой одноосновную, двухосновную или многоосновную кислоту.

Если органическая кислота для указанных выше целей представляет собой одноосновную кислоту, то молярное соотношение солеобразующей кислоты и соединения 6a составляет 1:1.

Более предпочтительно в рамках настоящего изобретения одноосновная органическая кислота для указанных выше целей выбрана из группы, включающей, не ограничиваясь указанным, муравьиную, уксусную, монофторусусную, дифторуксусную, трифторуксусную, пропионовую, масляную, изомасляную, валериановую, капроновую, энантовую, п-толуоловую, анисовую и фенилусусную кислоту.

Если органическая кислота представляет собой двухосновную кислоту, то молярное соотношение солеобразующей кислоты и соединения 6a составляет 1:1 или 1:2.

Более предпочтительно в рамках настоящего изобретения двухосновная органическая кислота для указанных выше целей выбрана из группы, включающей, не ограничиваясь указанным, щавелевую, малоновую, янтарную, диоксоянтарную, глутаровую, α-гидроксиглутаровую, 2-оксоглутаровую, 3-оксоглутаровую, адипиновую, пимелиновую, диаминопимелиновую, фталиевую, изофталиевую, терифталиевую, яблочную, субериновую, азелаиновую, малеиновую, фумаровую, винную, аспарагиновую, глутаминовую, арабиновую и D-глюкаровую кислоту.

Если органическая кислота представляет собой трехосновную кислоту, то молярное соотношение солеобразующей кислоты и соединения 6a составляет 1:1, 1:2 или 1:3.

Более предпочтительно в рамках настоящего изобретения трехосновная органическая кислота для указанных выше целей выбрана из группы, включающей, не ограничиваясь указанным, лимонную, изолимонную, аконитовую, β-карбоксиглутаровую, 2-гидрокси-1,2,3-нонадекантрикарбоновую и бензол-1,3,5-трикарбоновую кислоту.

В одном из вариантов воплощения настоящего изобретения защитная группа R представляет бензилоксикарбонил, 2,2,2-трихлорэтоксикарбонил, 2-(триметилсилил)этоксикарбонил, 2-(4-трифторметилфенилсульфонил)этоксикарбонил, трет-бутоксикарбонил, 1-адамантилоксикарбонил, 2-адамантилкарбонил, 2,4-диметилпент-3-илоксикарбонил, циклогексилоксикарбонил, 1,1-диметил-2,2,2-трихлорэтоксикарбонил, винил, 2-хлорэтил, 2-фенилсульфонилэтил, аллил, бензил, 2-нитробензил, 4-нитробензил, дифенил-4-пиридилметил, N',N'-диметилгидразинил, метоксиметил, трет-бутоксиметил, бензилоксиметил, 2-тетрагидропиранил, N-пивалоилоксиметил или 2-(триметилсилил)этоксиметил.

Более предпочтительно защитная группа R представляет собой 2-(триметилсилил)этоксикарбонил.

Одним из вариантов воплощения настоящего изобретения является способ получения соединения формулы С или его соли, характеризующийся тем, что удаление защитной группы R соединения формулы 6а или его соли происходит в органическом растворителе.

Одним из вариантов воплощения настоящего изобретения является способ получения соединения формулы С или его соли, характеризующийся тем, что удаление защитной группы R соединения формулы 6а или его соли происходит в воде или растворе аммиака.

Одним из вариантов воплощения настоящего изобретения является способ получения соединения формулы С или его соли, характеризующийся тем, что удаление защитной группы R соединения формулы 6а или его соли происходит в смеси органического растворителя и воды или в смеси органического растворителя и раствора аммиака.

Одним из вариантов воплощения настоящего изобретения является способ получения соединения формулы С или его соли, характеризующийся тем, что удаление защитной группы R соединения формулы 6а или его соли происходит в апротонном органическом растворителе или его смеси с водой или раствором аммиака.

Более предпочтительно апротонный органический растворитель в рамках настоящего изобретения для указанных выше целей выбран из группы, включающей, не ограничиваясь указанным, пентан, гексан, гептан, октан, циклогексан, метилциклогексан, бензол, толуол, о-ксилол, м-ксилол, п-ксилол, анизол, кумол, тетралин, лимонен, скипидар, диоксан, хлороформ, дихлорметан, тетрахлорметан, 1,2-дихлорэтан, 1,1-дихлорэтилен, цис-1,2-дихлорэтен, транс-1,2-дихлорэтен, трихлорэтан, 1,1,2-трихлорэтан, 1,1,1-трихлорэтан, 1-хлорбутан, хлорбензол, дихлорбензол, диэтиловый эфир, диизопропиловый эфир, дибутиловый эфир, метил-трет-бутиловый эфир, этил-трет-бутиловый эфир, циклопентилметиловый эфир, диметоксиэтан, диметиловый эфир диэтиленгликоля, диэтоксиметан, дихлорметан, тетрагидрофуран, метилтетрагидрофуран, этилацетат, этилформиат, метилацетат, н-пропилацетат, изо-пропилацетат, н-бутилацетат, изо-бутилацетат, β-бутиролактон, γ-бутиролактон, γ-валеролактон, δ-валеролактон, этиленгликоль диацетат, пропиленгликоль диацетат, глицерол триацетат, ацетон, метилэтилкетон, метилизобутилкетон, 2-гексанон, циклопентанон, циклогексанон, диметилформамид, диметилацетамид, ацетонитрил, пропионитрил, диметилсульфоксид, N-метилпирролидон, уксусный ангидрид, третичные амины, например, триэтиламин, сульфолан, пиридин и их смеси.

Одним из вариантов воплощения настоящего изобретения является способ получения соединения формулы С или его соли, характеризующийся тем, что удаление защитной группы R соединения формулы 6а или его соли происходит в протонном органическом растворителе или его смеси с водой или раствором аммиака.

Более предпочтительно протонный органический растворитель в рамках настоящего изобретения для указанных выше целей выбран из группы, включающей, не ограничиваясь указанным, метанол, этанол, н-пропанол, изо-пропанол, н-бутанол, 2-бутанол, изо-бутанол, трет-бутанол, 2-метил-2-бутанол, циклогексанол, первичные амины, например, пропиламин, вторичные амины, например, диизопропиламин, бензиловый спирт, фенол, 1,2-пропандиол, 1,3-пропандиол, метилоксиэтанол, этилоксиэтанол, 1-метокси-пропан-2-ол, фурфуриловый спирт, тетрагидрофурфуриловый спирт, этиллакат, муравьиная кислота, уксусная кислота, пропионовая кислота, трифторуксусная кислота, метансульфоновая кислота, трифторметансульфоновая кислота и их смеси.

Одним из вариантов воплощения настоящего изобретения является способ получения соединения формулы С или его соли, характеризующийся тем, что удаление защитной группы R соединения формулы 6а или его соли осуществляют при взаимодействии соединения формула 6а с фторсодержащим соединением.

Одним из вариантов воплощения настоящего изобретения является способ получения соединения формулы С или его соли, характеризующийся тем, что удаление защитной группы R соединения формулы 6а или его соли осуществляют при взаимодействии соединения формула 6а или его соли с фторсодержащим соединением с последующей обработкой основанием.

Одним из вариантов воплощения настоящего изобретения является способ получения соединения формулы С или его соли, характеризующийся тем, что удаление защитной группы R соединения формулы 6а или его соли осуществляют при взаимодействии соединения формула 6а или его соли с фторсодержащей кислотой с последующей обработкой основанием.

Одним из вариантов воплощения настоящего изобретения является способ получения соединения формулы С или его соли, характеризующийся тем, что удаление защитной группы R соединения формулы 6а или его соли осуществляют при взаимодействии соединения формула 6а или его соли с органической фторсодержащей кислотой с последующей обработкой основанием.

Одним из вариантов воплощения настоящего изобретения является способ получения соединения формулы С или его соли, характеризующийся тем, что удаление защитной группы R соединения формулы 6а или его соли осуществляют при взаимодействии соединения формула 6а или его соли с органической фторсодержащей кислотой с последующей обработкой органическим основанием.

Более предпочтительно при удалении защитной группы R соединения 6а или его соли последующую обработку проводят основанием по настоящему изобретению, представляющим собой водный раствор аммиака.

Более предпочтительно при удалении защитной группы R соединения 6а или его соли последующую обработку проводят основанием по настоящему изобретению, представляющим собой раствор аммиака в спирте.

Более предпочтительно при удалении защитной группы R соединения 6а или его соли последующую обработку проводят основанием по настоящему изобретению, представляющим собой гидроксиды или галогениды катионов четвертичного аммония.

Более предпочтительно гидроксид или галогенид катионов четвертичного аммония для указанных выше целей, не ограничиваясь указанным, выбран из тетраметиламмония гидроксид, тетраэтиламмония бромид, тетрапропиламмония хлорид, тетрабутиламмония фторид или бензалкония хлорид.

Более предпочтительно в качестве основания по настоящему изобретению для указанных выше целей используют, не ограничиваясь указанным, имидазол, пиридин и его производные, в частности, пиридин, замещенный C1-C5 алкилом, колидин, хинолин или хинолин, замещенный C1-C5 алкилом, бензимидазол, гистидин, гуанидин, фосфазен, 1,8-диазабицикло[5.4.0]ундец-7-ен (ДБУ), 1,5-диазабицикло[4.3.0]нон-5-ен (ДБН), 1,4-диазабицикло[2.2.2]октан (ДБО), 4-(диметиламино)пиридин, 2,2,6,6-тетраметилпиперидин или 2,6-лутидин.

Более предпочтительно при удалении защитной группы R соединения 6а или его соли последующую обработку проводят органическим основанием по настоящему изобретению, представляющим собой амин, в том числе, первичный амин.

Более предпочтительно первичный амин по настоящему изобретению для указанных выше целей представляет собой, не ограничиваясь указанным, соединение формулы R2’NH2, где R2’ представляет собой C1-C5 алкил, арил, алкиларил, необязательно замещенные C1-C5 алкилом, галогеном, спиртовой, тиольной, циано, карбоксильной, C1-C5-алкилоки или сложноэфирной группой.

Более предпочтительно первичный амин по настоящему изобретению для указанных выше целей представляет собой, не ограничиваясь указанным, соединение формулы R2’N, где R2’ выбран из группы, включающей, метил, этил, пропил, изопропил или фенил.

Более предпочтительно первичный амин по настоящему изобретению для указанных выше целей представляет собой, не ограничиваясь указанным, пропиламин, бутиламин или анилин.

Более предпочтительно органическое основание по настоящему изобретению для указанных выше целей представляет собой вторичный амин.

Более предпочтительно вторичный амин по настоящему изобретению для указанных выше целей представляет собой, не ограничиваясь указанным, соединение формулы R2’R3’NH, где R2’, R3’ независимо друг от друга представляют собой C1-C5 алкил, арил, алкиларил, необязательно замещенные C1-C5 алкилом, галогеном, спиртовой, тиольной, циано, карбоксильной, C1-C5-алкилоки, сложноэфирной группой, или R2 с R3 вместе с атомом азота образуют С48 циклоалкильную группу или С48 гетероциклическую группу, где гетероатом представляет собой кислород.

Более предпочтительно вторичный амин по настоящему изобретению для указанных выше целей представляет собой, не ограничиваясь указанным, соединение формулы R2’R3’NH, где R2’, R3’ независимо друг от друга выбраны из группы, включающей, метил, этил, пропил, изопропил, фенил или бензил.

Более предпочтительно вторичный амин по настоящему изобретению для указанных выше целей представляет собой, не ограничиваясь указанным, диэтиламин, диизопропиламин или диизобутиламин.

Более предпочтительно органическое основание по настоящему изобретению для указанных выше целей представляет собой третичный амин.

Более предпочтительно третичный амин по настоящему изобретению представляет собой для указанных выше целей, не ограничиваясь указанным, соединение формулы R2’R3’R4’N, где R2’, R3’, R4’ независимо друг от друга представляют собой C1-C5 алкил, арил, алкиларил, необязательно замещенные C1-C5 алкилом, галогеном, спиртовой, тиольной, циано, карбоксильной, C1-C5-алкилоки, сложноэфирной группой, или, когда R2 с R3 вместе с атомом азота образуют С48 циклоалкильную группу или С48 гетероциклическую группу, где гетероатом представляет собой кислород, R4’ представляет собой C1-C5 алкил, арил, алкиларил, необязательно замещенные C1-C5 алкилом, галогеном, спиртовой, тиольной, циано, карбоксильной, C1-C5-алкилоки, сложноэфирной группой.

Более предпочтительно третичный амин по настоящему изобретению для указанных выше целей представляет собой, не ограничиваясь указанным, соединение формулы R2’R3’R4’N, где R2’, R3’, R4’ независимо друг от друга представляют собой C1-C5 алкил или, когда R2’ с R3’ вместе с атомом азота образуют С48 циклоалкильную группу или С48 гетероциклическую группу, где гетероатом представляет собой кислород, R4’ представляет собой C1-C5 алкил, при этом R4’ связан с атомом азота.

Более предпочтительно третичный амин по настоящему изобретению для указанных выше целей представляет собой, не ограничиваясь указанным, соединение формулы R2’R3’R4’N, где R2’, R3’, R4’ независимо друг от друга выбраны из группы, включающей, метил, этил, пропил или изопропил.

Более предпочтительно третичный амин по настоящему изобретению для указанных выше целей представляет собой, не ограничиваясь указанным, N-метилформалин или триэтиламин.

Более предпочтительно фторсодержащее соединение по настоящему изобретению для указанных выше целей выбрано из группы, включающей, не ограничиваясь указанным, фторсодержащую кислоту, фторид тетрабутиламмония, тетрафторборат лития, фторид щелочного или щелочноземельного метала, в частности, фторид цезия.

Более предпочтительно фторсодержащая кислота по настоящему изобретению для указанных выше целей представляет собой фтороводородную кислоту.

Более предпочтительно фторсодержащая кислота по настоящему изобретению для указанных выше целей представляет собой органическую фторсодержащую кислоту.

Более предпочтительно органическая фторсодержащая кислота для указанных выше целей выбрана из группы, включающей, не ограничиваясь указанным, фторуксусную кислоту, дифторуксусную кислоту, трифторуксусную кислоту, трифторметансульфоновую кислоту, 2,4-дифторбензойную кислоту, 2,6-дифторбензойную кислоту, 2,3,5,6-тетрафтор-4-гидроксибензойную кислоту, 4-фторсалициловую кислоту и 5-фторсалициловую кислоту.

Одним из вариантов воплощения настоящего изобретения является способ получения соединения формулы С или его соли, характеризующийся тем, что дополнительно включает взаимодействие соединения формулы 1а с защищенным по аминогруппе пиразольного кольца 2-(3-азетидинилиден)ацетонитрилом с получением соединения формулы 2а.

где R и R1 представляют собой защитные группы.

Одним из вариантов воплощения настоящего изобретения является способ получения соединения формулы С или его фармацевтически приемлемой соли, характеризующийся тем, что дополнительно включает взаимодействие соединения формулы 1а или его соли с защищенным по аминогруппе пиразольного кольца 2-(3-азетидинилиден)ацетонитрилом с получением соединения формулы 2а.

где R и R1 представляют собой защитные группы.

Одним из вариантов воплощения настоящего изобретения является способ получения соединения формулы С или его соли, характеризующийся тем, что дополнительно включает взаимодействие соединения формулы 1а с защищенным по аминогруппе пиразольного кольца 2-(3-азетидинилиден)ацетонитрилом в присутствии основания с получением соединения формулы 2а.

где R и R1 представляют собой защитные группы.

Одним из вариантов воплощения настоящего изобретения является способ получения соединения формулы С или его соли, в том числе фармацевтически приемлемой, характеризующийся тем, что дополнительно включает взаимодействие соединения формулы 1а или его соли с защищенным по аминогруппе пиразольного кольца 2-(3-азетидинилиден)ацетонитрилом в присутствии основания с получением соединения формулы 2а.

где R и R1 представляют собой защитные группы.

В одном из вариантов воплощения настоящего изобретения для получения соединения формулы С или его соли используют соль соединения 1a, которая представляет собой соль, образованную соединением 1a и кислотой.

Более предпочтительно кислота по настоящему изобретению для указанных выше целей представляет собой одноосновную, двухосновную или трехосновную кислоту.

Более предпочтительно кислота по настоящему изобретению для указанных выше целей представляет собой одноосновную, двухосновную или многоосновную кислоту.

В одном из вариантов воплощения настоящего изобретения соль соединения 1a представляет собой соль, образованную соединением 1a и неорганической кислотой.

Более предпочтительно неорганическая кислота по настоящему изобретению для указанных выше целей представляет собой одноосновную, двухосновную или трехосновную кислоту.

Если неорганическая кислота представляет собой одноосновную кислоту, то молярное соотношение солеобразующей кислоты и соединения 1a составляет 1:1.

Более предпочтительно в рамках настоящего изобретения для указанных выше целей одноосновная неорганическая кислота выбрана из группы, включающей, не ограничиваясь указанным, хлороводородную, фтороводородную, бромоводородную, йодоводородную, азотную и азотистую кислоты.

Если неорганическая кислота для указанных выше целей представляет собой двухосновную кислоту, то молярное соотношение солеобразующей кислоты и соединения 1a составляет 1:1 или 1:2.

Более предпочтительно в рамках настоящего изобретения для указанных выше целей двухосновная неорганическая кислота выбрана из группы, включающей, не ограничиваясь указанным, сероводородную, сернистую, серную и угольную кислоты.

Если неорганическая кислота для указанных выше целей представляет собой трехосновную кислоту, то молярное соотношение солеобразующей кислоты и соединения 1a составляет 1:1, 1:2 или 1:3.

Более предпочтительно в рамках настоящего изобретения для указанных выше целей трехосновная неорганическая кислота представляет собой, не ограничиваясь указанным, фосфорную кислоту.

В одном из вариантов воплощения настоящего изобретения для указанных выше целей соль соединения 1a представляет собой соль, образованную соединением 1a и органической кислотой.

Более предпочтительно органическая кислота по настоящему изобретению для указанных выше целей представляет собой одноосновную, двухосновную или многоосновную кислоту.

Если органическая кислота для указанных выше целей представляет собой одноосновную кислоту, то молярное соотношение солеобразующей кислоты и соединения 1a составляет 1:1.

Более предпочтительно в рамках настоящего изобретения для указанных выше целей одноосновная органическая кислота выбрана из группы, включающей, не ограничиваясь указанным, муравьиную, уксусную, монофторусусную, дифторуксусную, трифторуксусную, пропионовую, масляную, изомасляную, валериановую, капроновую, энантовую, п-толуоловую, анисовую и фенилусусную кислоту.

Если органическая кислота представляет собой двухосновную кислоту, то молярное соотношение солеобразующей кислоты и соединения 1a составляет 1:1 или 1:2.

Более предпочтительно в рамках настоящего изобретения двухосновная органическая кислота для указанных выше целей выбрана из группы, включающей, не ограничиваясь указанным, щавелевую, малоновую, янтарную, диоксоянтарную, глутаровую, α-гидроксиглутаровую, 2-оксоглутаровую, 3-оксоглутаровую, адипиновую, пимелиновую, диаминопимелиновую, фталиевую, изофталиевую, терифталиевую, яблочную, субериновую, азелаиновую, малеиновую, фумаровую, винную, аспарагиновую, глутаминовую, арабиновую и D-глюкаровую кислоту.

Если органическая кислота представляет собой трехосновную кислоту, то молярное соотношение солеобразующей кислоты и соединения 1a составляет 1:1, 1:2 или 1:3.

Более предпочтительно в рамках настоящего изобретения трехосновная органическая кислота для указанных выше целей выбрана из группы, включающей, не ограничиваясь указанным, лимонную, изолимонную, аконитовую, β-карбоксиглутаровую, 2-гидрокси-1,2,3-нонадекантрикарбоновую и бензол-1,3,5-трикарбоновую кислоту.

Одним из вариантов воплощения настоящего изобретения является способ получения соединения формулы С или его соли, характеризующийся тем, что взаимодействие соединения формулы 1а или его соли с защищенным по аминогруппе пиразольного кольца 2-(3-азетидинилиден)ацетонитрилом происходит в растворителе.

Одним из вариантов воплощения настоящего изобретения является способ получения соединения формулы С или его соли, характеризующийся тем, что взаимодействие соединения формулы 1а или его соли с защищенным по аминогруппе пиразольного кольца 2-(3-азетидинилиден)ацетонитрилом происходит в органическом растворителе.

Одним из вариантов воплощения настоящего изобретения является способ получения соединения формулы С или его соли, характеризующийся тем, что взаимодействие соединения формулы 1а или его соли с защищенным по аминогруппе пиразольного кольца 2-(3-азетидинилиден)ацетонитрилом происходит в воде или растворе аммиака.

Одним из вариантов воплощения настоящего изобретения является способ получения соединения формулы С или его соли, характеризующийся тем, что взаимодействие соединения формулы 1а или его соли с защищенным по аминогруппе пиразольного кольца 2-(3-азетидинилиден)ацетонитрилом происходит в смеси органического растворителя и воды или раствора аммиака.

Одним из вариантов воплощения настоящего изобретения является способ получения соединения формулы С или его соли, характеризующийся тем, что взаимодействие соединения формулы 1а или его соли с защищенным по аминогруппе пиразольного кольца 2-(3-азетидинилиден)ацетонитрилом происходит в апротонном органическом растворителе или его смеси с водой или раствором аммиака.

Более предпочтительно взаимодействие соединения формулы 1а или его соли с защищенным по аминогруппе пиразольного кольца 2-(3-азетидинилиден)ацетонитрилом происходит в апротонном органическом растворителе, выбранном из группы, включающей, не ограничиваясь указанным, пентан, гексан, гептан, октан, циклогексан, метилциклогексан, бензол, толуол, о-ксилол, м-ксилол, п-ксилол, анизол, кумол, тетралин, лимонен, скипидар, диоксан, хлороформ, дихлорметан, тетрахлорметан, 1,2-дихлорэтан, 1,1-дихлорэтилен, цис-1,2-дихлорэтен, транс-1,2-дихлорэтен, трихлорэтан, 1,1,2-трихлорэтан, 1,1,1-трихлорэтан, 1-хлорбутан, хлорбензол, дихлорбензол, диэтиловый эфир, диизопропиловый эфир, дибутиловый эфир, метил-трет-бутиловый эфир, этил-трет-бутиловый эфир, циклопентилметиловый эфир, диметоксиэтан, диметиловый эфир диэтиленгликоля, диэтоксиметан, дихлорметан, тетрагидрофуран, метилтетрагидрофуран, этилацетат, этилформиат, метилацетат, н-пропилацетат, изо-пропилацетат, н-бутилацетат, изо-бутилацетат, β-бутиролактон, γ-бутиролактон, γ-валеролактон, δ-валеролактон, этиленгликоль диацетат, пропиленгликоль диацетат, глицерол триацетат, ацетон, метилэтилкетон, метилизобутилкетон, 2-гексанон, циклопентанон, циклогексанон, диметилформамид, диметилацетамид, ацетонитрил, пропионитрил, диметилсульфоксид, N-метилпирролидон, уксусный ангидрид, третичные амины, например, триэтиламин, сульфолан, пиридин и их смеси.

Одним из вариантов воплощения настоящего изобретения является способ получения соединения формулы С или его соли, характеризующийся тем, что взаимодействие соединения формулы 1а или его соли с защищенным по аминогруппе пиразольного кольца 2-(3-азетидинилиден)ацетонитрилом происходит в протонном органическом растворителе или его смеси с водой или раствором аммиака.

Более предпочтительно взаимодействие соединения формулы 1а или его соли с защищенным по аминогруппе пиразольного кольца 2-(3-азетидинилиден)ацетонитрилом происходит в протонном органическом растворителе выбранном из группы, включающей, не огрничиваясь указанным, метанол, этанол, н-пропанол, изо-пропанол, н-бутанол, 2-бутанол, изо-бутанол, трет-бутанол, 2-метил-2-бутанол, циклогексанол, первичные амины, например, пропиламин, вторичные амины, например, диизопропиламин, бензиловый спирт, фенол, 1,2-пропандиол, 1,3-пропандиол, метилоксиэтанол, этилоксиэтанол, 1-метокси-пропан-2-ол, фурфуриловый спирт, тетрагидрофурфуриловый спирт, этиллакат, муравьиную кислоту, уксусную кислоту, пропионовую кислоту, трифторуксуснаую кислоту, метансульфоновую кислоту, трифторметансульфоновую кислоту и их смеси.

Более предпочтительно взаимодействие соединения формулы 1а или его соли с защищенным по аминогруппе пиразольного кольца 2-(3-азетидинилиден)ацетонитрилом происходит в присутствии основания, представляющего собой водного раствора аммиака.

Более предпочтительно взаимодействие соединения формулы 1а или его соли с защищенным по аминогруппе пиразольного кольца 2-(3-азетидинилиден)ацетонитрилом происходит в присутствии основания, представляющего собой раствора аммиака в спирте.

Более предпочтительно взаимодействие соединения формулы 1а или его соли с защищенным по аминогруппе пиразольного кольца 2-(3-азетидинилиден)ацетонитрилом происходит в присутствии основания, представляющего собой гидроксид или галогенид катионов четвертичного аммония.

Более предпочтительно гидроксид или галогенид катионов четвертичного аммония, не ограничиваясь указанным, для указанных выше целей выбран из тетраметиламмония гидроксид, тетраэтиламмония бромид, тетрапропиламмония хлорид, тетрабутиламмония фторид или бензалкония хлорид.

Одним из вариантов воплощения настоящего изобретения является способ получения соединения формулы С или его соли, характеризующийся тем, что взаимодействие соединения формулы 1а или его соли с защищенным по аминогруппе пиразольного кольца 2-(3-азетидинилиден)ацетонитрилом происходит в присутствии органического основания.

Более предпочтительно взаимодействие соединения формулы 1а или его соли с защищенным по аминогруппе пиразольного кольца 2-(3-азетидинилиден)ацетонитрилом происходит в присутствии основания, выбранного из группы, не ограничиваясь указанным, имидазола, пиридина или его производных, в частности, пиридина, замещенного C1-C5 алкилом, колидина, хинолина или хинолина, замещенного C1-C5 алкилом, бензимидазола, гистидина, гуанидина, фосфазена, 1,8-диазабицикло[5.4.0]ундец-7-ена (ДБУ), 1,5-диазабицикло[4.3.0]нон-5-ена (ДБН), 1,4-диазабицикло[2.2.2]октана (ДБО), 4-(диметиламино)пиридина, 2,2,6,6-тетраметилпиперидина или 2,6-лутидина.

Более предпочтительно в рамках настоящего изобретения взаимодействие соединения формулы 1а или его соли с защищенным по аминогруппе пиразольного кольца 2-(3-азетидинилиден)ацетонитрилом происходит в присутствии 1,8-диазабицикло[5.4.0]ундец-7-ена (ДБУ).

Более предпочтительно в рамках настоящего изобретения взаимодействие соединения формулы 1а или его соли с защищенным по аминогруппе пиразольного кольца 2-(3-азетидинилиден)ацетонитрилом происходит в присутствии амина.

Более предпочтительно в рамках настоящего изобретения взаимодействие соединения формулы 1а или его соли с защищенным по аминогруппе пиразольного кольца 2-(3-азетидинилиден)ацетонитрилом происходит в присутствии первичного амина, вторичного амина или третичного амина.

Более предпочтительно в рамках настоящего изобретения взаимодействие соединения формулы 1а или его соли с защищенным по аминогруппе пиразольного кольца 2-(3-азетидинилиден)ацетонитрилом происходит в присутствии первичного амина, вторичного амина или третичного амина, которые были охарактеризованы ранее.

Одним из вариантов воплощения настоящего изобретения является способ получения соединения формулы С или его соли, характеризующийся тем, что дополнительно включает снятие защитной группы R1 у соединения формулы 2а с получением соединения формулы 3а:

Одним из вариантов воплощения настоящего изобретения является способ получения соединения формулы С или его соли, характеризующийся тем, что дополнительно включает снятие защитной группы R1 у соединения формулы 2а с получением соединения формулы 3а или его соли:

Одним из вариантов воплощения настоящего изобретения является способ получения соединения формулы С или его соли, характеризующийся тем, что дополнительно включает снятие защитной группы R1 у соединения формулы 2а с получением соединения формулы 3а’:

где R и R1 представляют собой защитные группы, z=1, 2 или 3.

Одним из вариантов воплощения настоящего изобретения является способ получения соединения формулы С или его соли, характеризующийся тем, что X1 представляет собой кислоту.

Более предпочтительно X1 по настоящему изобретению для указанных выше целей представляет собой одноосновную, двухосновную или трехосновную кислоту.

Более предпочтительно кислота по настоящему изобретению для указанных выше целей представляет собой одноосновную, двухосновную или многоосновную кислоту.

Более предпочтительно X1 представляет собой неорганическую кислоту.

Более предпочтительно неорганическая кислота для указанных выше целей по настоящему изобретению представляет собой одноосновную, двухосновную или трехосновную кислоту.

Если неорганическая кислота для указанных выше целей представляет собой одноосновную кислоту, то молярное соотношение солеобразующей кислоты и соединения 3a составляет 1:1 или, если неорганическая кислота представляет собой одноосновную кислоту, то z = 1.

Более предпочтительно в рамках настоящего изобретения одноосновная неорганическая кислота для указанных выше целей выбрана из группы, включающей, не ограничиваясь указанным, хлороводородную, фтороводородную, бромоводородную, йодоводородную, азотную и азотистую кислоты.

Если неорганическая кислота представляет собой двухосновную кислоту, то молярное соотношение солеобразующей кислоты и соединения 3a составляет 1:1 или 1:2, или, если неорганическая кислота представляет собой двухосновную кислоту, то z = 1, 2.

Более предпочтительно в рамках настоящего изобретения двухосновная неорганическая кислота для указанных выше целей выбрана из группы, включающей, не ограничиваясь указанным, сероводородную, сернистую, серную и угольную кислоты.

Если неорганическая кислота представляет собой трехосновную кислоту, то молярное соотношение солеобразующей кислоты и соединения 3a составляет 1:1, 1:2 или 1:3, или, если неорганическая кислота представляет собой трехосновную кислоту, то z = 1, 2, 3.

Более предпочтительно в рамках настоящего изобретения трехосновная неорганическая кислота для указанных выше целей представляет собой, не ограничиваясь указанным, фосфорную кислоту.

Более предпочтительно X1 представляет собой органическую кислоту.

Более предпочтительно органическая кислота для указанных выше целей по настоящему изобретению представляет собой одноосновную, двухосновную или многоосновную кислоту.

Если органическая кислота представляет собой одноосновную кислоту, то молярное соотношение солеобразующей кислоты и соединения 3a составляет 1:1 или, если органическая кислота представляет собой одноосновную кислоту, то z = 1.

Более предпочтительно в рамках настоящего изобретения одноосновная органическая кислота для указанных выше целей выбрана из группы, включающей, не ограничиваясь указанным, муравьиную, уксусную, монофторусусную, дифторуксусную, трифторуксусную, пропионовую, масляную, изомасляную, валериановую, капроновую, энантовую, п-толуоловую, анисовую и фенилусусную кислоту.

Если органическая кислота представляет собой двухосновную кислоту, то молярное соотношение солеобразующей кислоты и соединения 3a составляет 1:1 или 1:2, или, если органическая кислота представляет собой одноосновную кислоту, то z = 1, 2.

Более предпочтительно в рамках настоящего изобретения двухосновная органическая кислота для указанных выше целей выбрана из группы, включающей, не ограничиваясь указанным, щавелевую, малоновую, янтарную, диоксоянтарную, глутаровую, α-гидроксиглутаровую, 2-оксоглутаровую, 3-оксоглутаровую, адипиновую, пимелиновую, диаминопимелиновую, фталиевую, изофталиевую, терифталиевую, яблочную, субериновую, азелаиновую, малеиновую, фумаровую, винную, аспарагиновую, глутаминовую, арабиновую и D-глюкаровую кислоту.

Если органическая кислота представляет собой трехосновную кислоту, то молярное соотношение солеобразующей кислоты и соединения 3a составляет 1:1, 1:2 или 1:3, или, если органическая кислота представляет собой трехосновную кислоту, то z = 1, 2, 3.

Более предпочтительно в рамках настоящего изобретения трехосновная органическая кислота для указанных выше целей выбрана из группы, включающей, не ограничиваясь указанным, лимонную, изолимонную, аконитовую, β-карбоксиглутаровую, 2-гидрокси-1,2,3-нонадекантрикарбоновую и бензол-1,3,5-трикарбоновую кислоту.

В одном из вариантов воплощения настоящего изобретения снятие защитной группы R1 у соединения формулы 2а с получением соединения формулы 3а или его соли происходит в органическом или неорганическом растворителе, или их смеси, перечисленных ранее.

Одним из вариантов воплощения настоящего изобретения является способ получения соединения формулы С или его соли, характеризующийся тем, что R1 представляет собой бензилоксикарбонил, 2,2,2-трихлорэтоксикарбонил, 2-(триметилсилил)этоксикарбонил, 2-(4-трифторметилфенилсульфонил)этоксикарбонил, трет-бутоксикарбонил, 1-адамантилоксикарбонил, 2-адамантилкарбонил, 2,4-диметилпент-3-илоксикарбонил, циклогексилоксикарбонил, 1,1-диметил-2,2,2-трихлорэтоксикарбонил, винил, 2-хлорэтил, 2-фенилсульфонилэтил, аллил, бензил, 2-нитробензил, 4-нитробензил, дифенил-4пиридилметил, N',N'-диметилгидразинил, метоксиметил, трет-бутоксиметил, бензилоксиметил, 2-тетрагидропиранил, N-пивалоилоксиметил или 2-(триметилсилил)этоксиметил.

Одним из вариантов воплощения настоящего изобретения является способ получения соединения формулы С или его соли, характеризующийся тем, что дополнительно включает взаимодействие соединения формулы 3а или его соли с 3-(метилтио)пропионовой кислотой с получением соединения формулы 6а.

Одним из вариантов воплощения настоящего изобретения является способ получения соединения формулы С или его соли, характеризующийся тем, что дополнительно включает взаимодействие соединения формулы 3а или его соли с 3-(метилтио)пропионовой кислотой с получением соединения формулы 6а или его соли.

В одном из вариантов воплощения настоящего изобретения взаимодействие соединения формулы 3а или его соли с 3-(метилтио)пропионовой кислотой происходит в органическом растворителе.

В одном из вариантов воплощения настоящего изобретения взаимодействие соединения формулы 3а или его соли с 3-(метилтио)пропионовой кислотой происходит в воде или растворе аммиака.

В одном из вариантов воплощения настоящего изобретения взаимодействие соединения формулы 3а или его соли с 3-(метилтио)пропионовой кислотой происходит в смеси органического растворителя и воды или раствора аммиака.

В одном из вариантов воплощения настоящего изобретения взаимодействие соединения формулы 3а или его соли с 3-(метилтио)пропионовой кислотой происходит в апротонном органическом растворителе или его смеси с водой или раствором аммиака.

В одном из вариантов воплощения настоящего изобретения взаимодействие соединения формулы 3а или его соли с 3-(метилтио)пропионовой кислотой происходит в апротонном органическом растворителе, перечисленном ранее.

В одном из вариантов воплощения настоящего изобретения взаимодействие соединения формулы 3а или его соли с 3-(метилтио)пропионовой кислотой происходит в протонном органическом растворителе или его смеси с водой или раствором аммиака.

В одном из вариантов воплощения настоящего изобретения взаимодействие соединения формулы 3а или его соли с 3-(метилтио)пропионовой кислотой происходит в протонном органическом растворителе, перечисленном ранее.

Поставленная задача решается, а заявленный технический результат достигается за счет соединения формулы 6а:

где R представляет собой защитную группу.

Поставленная задача решается, а заявленный технический результат достигается за счет соединения формулы 6а:

или его соли, где R представляет собой защитную группу.

Поставленная задача решается, а заявленный технический результат достигается за

счет применения соединения 2-(3-(4-(7H-пирроло[2,3-d]пиримидин-4-ил)-1H-пиразол-1-ил)-1-(2-(метилтио)ацетил)азетидин-3-ил)ацетонитрила или его фармацевтически приемлемой соли для лечения и/или профилактики вирусных заболеваний, вызванных РНК-содержащими вирусам.

Поставленная задача решается, а заявленный технический результат достигается за

Счет применения соединения 2-(3-(4-(7H-пирроло[2,3-d]пиримидин-4-ил)-1H-пиразол-1-ил)-1-(2-(метилтио)ацетил)азетидин-3-ил)ацетонитрила, охарактеризованного формулой А или его фармацевтически приемлемой соли для лечения и/или профилактики вирусных заболеваний, вызванных РНК-содержащими вирусами.

Поставленная задача решается, а заявленный технический результат достигается за

счет применения соединения 2-(3-(4-(7H-пирроло[2,3-d]пиримидин-4-ил)-1H-пиразол-1-ил)-1-(2-(метилтио)ацетил)азетидин-3-ил)ацетонитрила, охарактеризованного формулой А, или его фармацевтически приемлемой соли по настоящему изобретению для получения лекарственного средства для лечения и/или профилактики вирусных заболеваний, вызванных РНК-содержащими вирусами.

Поставленная задача решается, а заявленный технический результат достигается за

счет применения соединения 2-(3-(4-(7H-пирроло[2,3-d]пиримидин-4-ил)-1H-пиразол-1-ил)-1-(2-(метилтио)ацетил)азетидин-3-ил)ацетонитрила, охарактеризованного формулой А, или его фармацевтически приемлемой соли по настоящему изобретению для получения лекарственного средства лечения и/или профилактики вирусных заболеваний.

Поставленная задача решается, а заявленный технический результат достигается за

счет применения 2-(3-(4-(7H-пирроло[2,3-d]пиримидин-4-ил)-1H-пиразол-1-ил)-1-(2-(метилтио)ацетил)азетидин-3-ил)ацетонитрила, охарактеризованного формулой А, или его фармацевтически приемлемой соли по настоящему изобретению для получения фармацевтической композиции для лечения и/или профилактики вирусных заболеваний, вызванных РНК-содержащими вирусами.

Поставленная задача решается, а заявленный технический результат достигается за

счет применения 2-(3-(4-(7H-пирроло[2,3-d]пиримидин-4-ил)-1H-пиразол-1-ил)-1-(2-(метилтио)ацетил)азетидин-3-ил)ацетонитрила, охарактеризованного формулой А, или его фармацевтически приемлемой соли по настоящему изобретению для получения фармацевтической композиции для лечения и/или профилактики вирусных заболеваний.

Поставленная задача решается, а заявленный технический результат достигается за

счет применения фармацевтической композиции, содержащей 2-(3-(4-(7H-пирроло[2,3-d]пиримидин-4-ил)-1H-пиразол-1-ил)-1-(2-(метилтио)ацетил)азетидин-3-ил)ацетонитрил, охарактеризованный формулой А, или его фармацевтически приемлемую соль, для лечения и/или профилактики вирусных заболеваний, вызванных РНК-содержащими вирусами.

Поставленная задача решается, а заявленный технический результат достигается за

счет применения фармацевтической композиции, содержащей 2-(3-(4-(7H-пирроло[2,3-d]пиримидин-4-ил)-1H-пиразол-1-ил)-1-(2-(метилтио)ацетил)азетидин-3-ил)ацетонитрил, охарактеризованный формулой А, или его фармацевтически приемлемую соль, для лечения и/или профилактики вирусных заболеваний.

Поставленная задача решается, а заявленный технический результат достигается за

счет применения лекарственного средства, содержащего 2-(3-(4-(7H-пирроло[2,3-d]пиримидин-4-ил)-1H-пиразол-1-ил)-1-(2-(метилтио)ацетил)азетидин-3-ил)ацетонитрил, охарактеризованный формулой А, или его фармацевтически приемлемую соль, для лечения и/или профилактики вирусных заболеваний, вызванных РНК-содержащими вирусами.

Поставленная задача решается, а заявленный технический результат достигается за

счет применения лекарственного средства, содержащего 2-(3-(4-(7H-пирроло[2,3-d]пиримидин-4-ил)-1H-пиразол-1-ил)-1-(2-(метилтио)ацетил)азетидин-3-ил)ацетонитрил, охарактеризованный формулой А, или его фармацевтически приемлемую соль, для лечения и/или профилактики вирусных заболеваний.

Поставленная задача решается, а заявленный технический результат достигается за

счет применения фармацевтической композиции, содержащей 2-(3-(4-(7H-пирроло[2,3-d]пиримидин-4-ил)-1H-пиразол-1-ил)-1-(2-(метилтио)ацетил)азетидин-3-ил)ацетонитрил, охарактеризованный формулой А, или его фармацевтически приемлемую соль, для получения лекарственного средства, для лечения и/или профилактики вирусных заболеваний, вызванных РНК-содержащими вирусами.

Поставленная задача решается, а заявленный технический результат достигается за

счет применения фармацевтической композиции, содержащей 2-(3-(4-(7H-пирроло[2,3-d]пиримидин-4-ил)-1H-пиразол-1-ил)-1-(2-(метилтио)ацетил)азетидин-3-ил)ацетонитрил, охарактеризованный формулой А, или его фармацевтически приемлемую соль, для получения лекарственного средства для лечения и/или профилактики вирусных заболеваний.

Поставленная задача решается, а заявленный технический результат достигается за

счет применения соединения 2-(3-(4-(7H-пирроло[2,3-d]пиримидин-4-ил)-1H-пиразол-1-ил)-1-(3-метоксипропаноил)азетидин-3-ил)ацетонитрила или его фармацевтически приемлемой соли для лечения и/или профилактики вирусных заболеваний, вызванных РНК-содержащими вирусам.

Поставленная задача решается, а заявленный технический результат достигается за

счет применения соединения 2-(3-(4-(7H-пирроло[2,3-d]пиримидин-4-ил)-1H-пиразол-1-ил)-1-(3-метоксипропаноил)азетидин-3-ил)ацетонитрила, охарактеризованного формулой В, или его фармацевтически приемлемой соли для лечения и/или профилактики вирусных заболеваний, вызванных РНК-содержащими вирусами.

Поставленная задача решается, а заявленный технический результат достигается за

счет применения соединения 2-(3-(4-(7H-пирроло[2,3-d]пиримидин-4-ил)-1H-пиразол-1-ил)-1-(3-метоксипропаноил)азетидин-3-ил)ацетонитрила, охарактеризованного формулой В, или его фармацевтически приемлемой соли по настоящему изобретению для получения лекарственного средства для лечения и/или профилактики вирусных заболеваний, вызванных РНК-содержащими вирусами.

Поставленная задача решается, а заявленный технический результат достигается за

счет применения соединения 2-(3-(4-(7H-пирроло[2,3-d]пиримидин-4-ил)-1H-пиразол-1-ил)-1-(3-метоксипропаноил)азетидин-3-ил)ацетонитрила, охарактеризованного формулой В, или его фармацевтически приемлемой соли по настоящему изобретению для получения лекарственного средства лечения и/или профилактики вирусных заболеваний.

Поставленная задача решается, а заявленный технический результат достигается за

счет применения 2-(3-(4-(7H-пирроло[2,3-d]пиримидин-4-ил)-1H-пиразол-1-ил)-1-(3-метоксипропаноил)азетидин-3-ил)ацетонитрила, охарактеризованного формулой В, или его фармацевтически приемлемой соли по настоящему изобретению для получения фармацевтической композиции для лечения и/или профилактики вирусных заболеваний, вызванных РНК-содержащими вирусами.

Поставленная задача решается, а заявленный технический результат достигается за

счет применения 2-(3-(4-(7H-пирроло[2,3-d]пиримидин-4-ил)-1H-пиразол-1-ил)-1-(3-метоксипропаноил)азетидин-3-ил)ацетонитрила, охарактеризованного формулой В, или его фармацевтически приемлемой соли по настоящему изобретению для получения фармацевтической композиции для лечения и/или профилактики вирусных заболеваний.

Поставленная задача решается, а заявленный технический результат достигается за

счет применения фармацевтической композиции, содержащей 2-(3-(4-(7H-пирроло[2,3-d]пиримидин-4-ил)-1H-пиразол-1-ил)-1-(3-метоксипропаноил)азетидин-3-ил)ацетонитрил, охарактеризованный формулой В, или его фармацевтически приемлемую соль, для лечения и/или профилактики вирусных заболеваний, вызванных РНК-содержащими вирусами.

Поставленная задача решается, а заявленный технический результат достигается за

счет применения фармацевтической композиции, содержащей 2-(3-(4-(7H-пирроло[2,3-d]пиримидин-4-ил)-1H-пиразол-1-ил)-1-(3-метоксипропаноил)азетидин-3-ил)ацетонитрил, охарактеризованный формулой В, или его фармацевтически приемлемую соль, для лечения и/или профилактики вирусных заболеваний.

Поставленная задача решается, а заявленный технический результат достигается за

счет применения лекарственного средства, содержащего 2-(3-(4-(7H-пирроло[2,3-d]пиримидин-4-ил)-1H-пиразол-1-ил)-1-(3-метоксипропаноил)азетидин-3-ил)ацетонитрил, охарактеризованный формулой В, или его фармацевтически приемлемую соль, для лечения и/или профилактики вирусных заболеваний, вызванных РНК-содержащими вирусами.

Поставленная задача решается, а заявленный технический результат достигается за

счет применения лекарственного средства, содержащего 2-(3-(4-(7H-пирроло[2,3-d]пиримидин-4-ил)-1H-пиразол-1-ил)-1-(3-метоксипропаноил)азетидин-3-ил)ацетонитрил, охарактеризованный формулой В, или его фармацевтически приемлемую соль, для лечения и/или профилактики вирусных заболеваний.

Поставленная задача решается, а заявленный технический результат достигается за

счет применения фармацевтической композиции, содержащей 2-(3-(4-(7H-пирроло[2,3-d]пиримидин-4-ил)-1H-пиразол-1-ил)-1-(3-метоксипропаноил)азетидин-3-ил)ацетонитрил, охарактеризованный формулой В, или его фармацевтически приемлемую соль, для получения лекарственного средства, для лечения и/или профилактики вирусных заболеваний, вызванных РНК-содержащими вирусами.

Поставленная задача решается, а заявленный технический результат достигается за

счет применения фармацевтической композиции, содержащей 2-(3-(4-(7H-пирроло[2,3-d]пиримидин-4-ил)-1H-пиразол-1-ил)-1-(3-метоксипропаноил)азетидин-3-ил)ацетонитрил, охарактеризованный формулой В, или его фармацевтически приемлемую соль, для получения лекарственного средства для лечения и/или профилактики вирусных заболеваний.

Поставленная задача решается, а заявленный технический результат достигается за

счет применения соединения 2-(3-(4-(7H-пирроло[2,3-d]пиримидин-4-ил)-1H-пиразол-1-ил)-1-(3-(метилтио)пропаноил)азетидин-3-ил)ацетонитрила или его фармацевтически приемлемой соли для лечения и/или профилактики вирусных заболеваний, вызванных РНК-содержащими вирусам.

Поставленная задача решается, а заявленный технический результат достигается за

счет применения соединения 2-(3-(4-(7H-пирроло[2,3-d]пиримидин-4-ил)-1H-пиразол-1-ил)-1-(3-(метилтио)пропаноил)азетидин-3-ил)ацетонитрила, охарактеризованного формулой С, или его фармацевтически приемлемой соли для лечения и/или профилактики вирусных заболеваний, вызванных РНК-содержащими вирусами.

Поставленная задача решается, а заявленный технический результат достигается за

счет применения соединения 2-(3-(4-(7H-пирроло[2,3-d]пиримидин-4-ил)-1H-пиразол-1-ил)-1-(3-(метилтио)пропаноил)азетидин-3-ил)ацетонитрила, охарактеризованного формулой С, или его фармацевтически приемлемой соли по настоящему изобретению для получения лекарственного средства для лечения и/или профилактики вирусных заболеваний, вызванных РНК-содержащими вирусами.

Поставленная задача решается, а заявленный технический результат достигается за

счет применения соединения 2-(3-(4-(7H-пирроло[2,3-d]пиримидин-4-ил)-1H-пиразол-1-ил)-1-(3-(метилтио)пропаноил)азетидин-3-ил)ацетонитрила, охарактеризованного формулой С, или его фармацевтически приемлемой соли по настоящему изобретению для получения лекарственного средства лечения и/или профилактики вирусных заболеваний.

Поставленная задача решается, а заявленный технический результат достигается за

счет применения 2-(3-(4-(7H-пирроло[2,3-d]пиримидин-4-ил)-1H-пиразол-1-ил)-1-(3-(метилтио)пропаноил)азетидин-3-ил)ацетонитрила, охарактеризованного формулой С, или его фармацевтически приемлемой соли по настоящему изобретению для получения фармацевтической композиции для лечения и/или профилактики вирусных заболеваний, вызванных РНК-содержащими вирусами.

Поставленная задача решается, а заявленный технический результат достигается за

счет применения 2-(3-(4-(7H-пирроло[2,3-d]пиримидин-4-ил)-1H-пиразол-1-ил)-1-(3-(метилтио)пропаноил)азетидин-3-ил)ацетонитрила охарактеризованного формулой С, или его фармацевтически приемлемой соли по настоящему изобретению для получения фармацевтической композиции для лечения и/или профилактики вирусных заболеваний.

Поставленная задача решается, а заявленный технический результат достигается за

счет применения фармацевтической композиции, содержащей 2-(3-(4-(7H-пирроло[2,3-d]пиримидин-4-ил)-1H-пиразол-1-ил)-1-(3-(метилтио)пропаноил)азетидин-3-ил)ацетонитрил, охарактеризованный формулой С, или его фармацевтически приемлемую соль, для лечения и/или профилактики вирусных заболеваний, вызванных РНК-содержащими вирусами.

Поставленная задача решается, а заявленный технический результат достигается за

счет применения фармацевтической композиции, содержащей 2-(3-(4-(7H-пирроло[2,3-d]пиримидин-4-ил)-1H-пиразол-1-ил)-1-(3-(метилтио)пропаноил)азетидин-3-ил)ацетонитрил, охарактеризованный формулой С, или его фармацевтически приемлемую соль, для лечения и/или профилактики вирусных заболеваний.

Поставленная задача решается, а заявленный технический результат достигается за

счет применения лекарственного средства, содержащего 2-(3-(4-(7H-пирроло[2,3-d]пиримидин-4-ил)-1H-пиразол-1-ил)-1-(3-(метилтио)пропаноил)азетидин-3-ил)ацетонитрил, охарактеризованный формулой С, или его фармацевтически приемлемую соль, для лечения и/или профилактики вирусных заболеваний, вызванных РНК-содержащими вирусами.

Поставленная задача решается, а заявленный технический результат достигается за

счет применения лекарственного средства, содержащего 2-(3-(4-(7H-пирроло[2,3-d]пиримидин-4-ил)-1H-пиразол-1-ил)-1-(3-(метилтио)пропаноил)азетидин-3-ил)ацетонитрил, охарактеризованный формулой С, или его фармацевтически приемлемую соль, для лечения и/или профилактики вирусных заболеваний.

Поставленная задача решается, а заявленный технический результат достигается за

счет применения фармацевтической композиции, содержащей 2-(3-(4-(7H-пирроло[2,3-d]пиримидин-4-ил)-1H-пиразол-1-ил)-1-(3-(метилтио)пропаноил)азетидин-3-ил)ацетонитрил, охарактеризованный формулой С, или его фармацевтически приемлемую соль, для получения лекарственного средства, для лечения и/или профилактики вирусных заболеваний, вызванных РНК-содержащими вирусами.

Поставленная задача решается, а заявленный технический результат достигается за

счет применения фармацевтической композиции, содержащей 2-(3-(4-(7H-пирроло[2,3-d]пиримидин-4-ил)-1H-пиразол-1-ил)-1-(3-(метилтио)пропаноил)азетидин-3-ил)ацетонитрил, охарактеризованный формулой С, или его фармацевтически приемлемую соль, для получения лекарственного средства для лечения и/или профилактики вирусных заболеваний.

Более предпочтительно вирусные заболевания, для лечения и/или профилактики которых применяют соединение А или его фармацевтически приемлемую соль, соединение В или его фармацевтически приемлемую соль, соединение С или его фармацевтически приемлемую соль, фармацевтическую композицию и/или лекарственное средство, содержащие указанные соединения по настоящему изобретению, представляет собой вирус, геном которых закодирован одноцепочечной смысловой (+)-нитью, а также антисмысловой (-)-нитью РНК и которые используют вирусную РНК-зависимую-РНК-полимеразу для своей репликации.

Более предпочтительно вирусные заболевания по настоящему изобретению вызваны вирусами гриппа, коронавирусами, пикорнавирусом, аренавирусом, флавивирусом, буньявирусом, филовирусом, флебовирусом, хантавирусом, энтеровирусом, тогавирусом, калицивирусом, респираторно-синцитиальным вирусом, вирусом парагриппа, риновирусом, метапневмовирусом, ротавирусом или норавирусом.

Более предпочтительно вирус по настоящему изобретению представляет собой высоковирулентный или низковирулентный вирус.

Более предпочтительно вирус по настоящему изобретению представляет собой SARS-CoV, SARS-CoV-2, MERS-CoV или Influenza A, B, С.

Более предпочтительно вирус гриппа по настоящему изобретению представляет собой, не ограничиваясь указанным, вирус гриппа А, включая штаммы А (H1N1), А (H1N1) pdm09, А (H1N2), А (H3N2), A (H2N2), A (H4N2), A (H7N2), свиной грипп типа А, птичий грипп типа А, включая высокопатогенные штаммы (в том числе, H5N1 и H7N9).

Далее приводятся примеры осуществления изобретения, которые иллюстрируют изобретение, но не охватывают все возможные варианты его осуществления и не ограничивают изобретение.

Специалисту в данной области понятно, что возможны и другие частные варианты осуществления изобретения.

Примеры

Пример 1. Синтез новых производных пирролопиримидина

Все реакции проводили в растворителях, очищенных по стандартным методикам. Для проведения реакций использовали лабораторное оборудование.

Для взвешивания компонентов использовали весы электронные «VIBRA» (предел взвешивания 220 г, Min 0.01 g; e = 0.001 g; d = 0.0001 g).

Приготовление растворов осуществляли в стеклянных емкостях, колбах и стаканах. Перемешивание и проведение химических реакций в малых объемах осуществляли на магнитной мешалке LLG с регулируемой скоростью вращения и нагревом рабочей поверхности или механической мешалкой.

Для отгонки растворителей использовали роторный испаритель RE100-Pro с контроллером вакуума VC100 и вакуумным насосом C410.

Выделение образцов проводили с помощью колоночной хроматографии.

Для создания вакуума использовали насос вакуумный мембранный MZ 2D NT (Vacuubrand), производительность 10 м3/ч, предельное остаточное давление 50 мм рт. ст., мощность электродвигателя 370 Вт.

Измерение pH растворов проводили с помощью pH метра Metler Toledo FiveEasy с электродом Mettler Toledo LE438.

LCMS анализ проводили с помощью системы LCMS для анализа многокомпонентных органических смесей ВЭЖХ Shimadzu Analytical 10Avp, масс-спектрометр PE SCIEX API 165, колонки Synergi 2um Hydro-RP 100A MercuryMS, 20x2.0 мм, Waters XBridge C18 3.5 um, 4.6x100mm, Agilent eclipse XDB-C18 5 мкм 150*4.3 мм.

ЯМР-спектры регистрировались при 25°С на приборах Varian Mercury Plus (400 МГц) с использованием дейтеродиметилсульфоксида (DMSO-d6), CDCl3, D2O при 50°С. Внутренний стандарт в спектрах соответствует остаточным сигналам растворителей. Отнесение сигналов проводилось с использованием методик двумерной корреляционной спектроскопии COSY, HSQC.

В рамках настоящего изобретения было получено и изучено множество новых производных пирролопиримидинов. Далее показаны результаты экспериментов по самым перспективным соединениям.

Стадия 1. Синтез 4-(1H-пиразол-4-ил)-7-((2-(триметилсилил)этокси)метил)-7H-пирроло[2,3-d]пиримидина (1).

К раствору 4-хлоро-7-((2-(триметилсилил)этокси)метил)-7H-пирроло[2,3-d]пиримидина (1.00 г, 3.50 ммоль), 4-(4,4,5,5-тетраметил-1,3,2-диоксаборолан-2-ил)-1Н-пиразола (892.00 мг, 4.60 ммоль) в смеси 10.00 мл диоксана и 5.00 мл очищенной воды добавляли карбонат натрия (1.11 г, 10.50 ммоль). Реакционный сосуд вакуумировали, заполняли аргоном. Затем добавляли тетракис(трифенилфосфин)палладий Pd(PPh3)4 (230.00 мг, 0.20 ммоль) и кипятили 16 ч. Реакционную массу разбавляли этилацетатом и очищенной водой. Органический слой отделяли, сушили над сульфатом натрия, концентрировали на роторном испарителе. К остатку добавляли 20.00 мл метил-трет-бутилового эфира (МТБЭ), выдерживали при 4°C в течение ночи. Наблюдали образование осадка. Выпавший осадок фильтровали, промывали МТБЭ, сушили. Выход: 563.00 мг (51%) 4-(1H-пиразол-4-ил)-7-((2-(триметилсилил)этокси)метил)-7H-пирроло[2,3-d]пиримидина (1).

LCMS [M+H+]: 316.4.

1H ЯМР (400 MГц, DMSO-d6) δ 13.39 (s, 1H), 8.74 (d, J = 2.2 Гц, 1H), 7.73 (dd, J = 3.6, 2.3 Гц, 1H), 7.10 (dd, J = 3.6, 1.3 Гц, 1H), 5.62 (d, J = 1.8 Гц, 2H), 3.53 (t, J = 8.0 Гц, 2H), 0.83 (t, J = 7.8 Гц, 2H), -0.10 (s, J = 2.3 Гц, 9H).

Стадия 2. Синтез трет-бутил-3-(цианометил)-3-(4-(7-((2-(триметилсилил)этокси)метил)-7H-пирроло[2,3-d]пиримидин-4-ил)-1H-пиразол-1-ил)азетидин-1-карбоксилат (2).

К раствору 4-(1H-пиразол-4-ил)-7-((2-(триметилсилил)этокси)метил)-7H-пирроло[2,3-d]пиримидина (1) (1.00 г, 3.17 ммоль) и трет-бутил 3-(цианометилен)азетидин-1-карбоксилата (616.00 мг, 3.17 ммоль) в 22.00 мл ацетонитрила добавляли диазабициклоундецен (ДБУ) (47.50 мкл, 0.32 ммоль) и перемешивали 16 ч при комнатной температуре. Реакционную массу концентрировали на роторном испарителе. Остаток растворяли в этилацетате и промывали очищенной водой. Органический слой отделяли, сушили над сульфатом натрия, концентрировали на роторном испарителе. Получали трет-бутил-3-(цианометил)-3-(4-(7-((2-(триметилсилил)этокси)метил)-7H-пирроло[2,3-d]пиримидин-4-ил)-1H-пиразол-1-ил)азетидин-1-карбоксилат (2). Выход: 1.60 г, количественный (около 100%).

LCMS [M+H+]: 510.5.

1H ЯМР (400 MГц, DMSO-d6) δ 8.93 (s, 1H), 8.78 (s, 1H), 8.47 (s, 1H), 7.79 (d, J = 3.7 Гц, 1H), 7.20 (d, J = 3.7 Гц, 1H), 5.64 (s, 2H), 4.51 (d, J = 9.4 Гц, 2H), 4.22 (d, J = 9.5 Гц, 2H), 3.66 (s, 2H), 3.59 - 3.47 (m, 2H), 1.41 (s, 9H), 0.83 (t, J = 8.0 Гц, 2H), -0.10 (s, 9H).

Стадия 3. Синтез соли 2-(3-(4-(7-((2-(триметилсилил)этокси)метил)-7H-пирроло[2,3-d]пиримидин-4-ил)-1H-пиразол-1-ил)азетидин-3-ил)ацетонитрила (3).

К раствору трет-бутил-3-(цианометил)-3-(4-(7-((2-(триметилсилил)этокси)метил)-7H-пирроло[2,3-d]пиримидин-4-ил)-1H-пиразол-1-ил)азетидин-1-карбоксилата (2) (4.80 г, 9.43 ммоль) в 50.00 мл тетрагидрофурана (ТГФ) добавляли 50.00 мл 3М хлороводородной кислоты (HCl) в диоксане и перемешивали 16 ч при комнатной температуре. Реакционную массу концентрировали на роторном испарителе. Получали гидрохлорид 2-(3-(4-(7-((2-(триметилсилил)этокси)метил)-7H-пирроло[2,3-d]пиримидин-4-ил)-1H-пиразол-1-ил)азетидин-3-ил)ацетонитрила (3). Выход: 4.20 г, количественный (около 100%).

LCMS [M+H+]: 410.4.

1H ЯМР (400 MГц, DMSO-d6) δ 9.39 (s, 1H), 8.97 (d, J = 1.4 Гц, 1H), 8.81 (s, 1H), 8.06 (d, J = 3.7 Гц, 1H), 7.49 (d, J = 3.7 Гц, 1H), 5.71 (s, 2H), 4.81 - 4.63 (m, 2H), 4.47 - 4.30 (m, 2H), 3.64 - 3.35 (m, 3H), 0.92 - 0.77 (m, 2H), -0.09 (s, J = 1.2 Гц, 9H).

Далее продукт (3) модифицировали с получением новых производных пирролопиримидина соединений A - C и их фармацевтически приемлемых солей.

1.1. Синтез 2-(3-(4-(7H-пирроло[2,3-d]пиримидин-4-ил)-1H-пиразол-1-ил)-1-(2-(метилтио)ацетил)азетидин-3-ил)ацетонитрил A

К раствору гидрохлоридной соли 2-(3-(4-(7-((2-(триметилсилил)этокси)метил)-7H-пирроло[2,3-d]пиримидин-4-ил)-1H-пиразол-1-ил)азетидин-3-ил)ацетонитрила (3) (2.50 г, 5.61 ммоль) в 70.00 мл ацетонитрила добавляли триэтиламин (3.10 мл, 22.40 ммоль), 2-(метилтио)уксусная кислота (893.00 мг, 8.42 ммоль) и 2-(1H-бензотриазол-1-ил)-1,1,3,3-тетраметилурония тетрафторборат (TBTU) (3.06 г, 9.54 ммоль). Реакционную массу перемешивали при комнатной температуре 16 ч. Полученный раствор концентрировали на роторном испарителе. Остаток растворяли в дихлорметане, разбавляли очищенной водой. Органический слой отделяли, сушили над сульфатом натрия, концентрировали на роторном испарителе. Продукт выделяли методом колоночной хроматографии на силикагеле (элюент: хлороформ: метанол 19:1). Получали 2-(1-(2-(метилтио)ацетил)-3-(4-(7-((2-(триметилсилил)этокси)метил)-7H-пирроло[2,3-d]пиримидин-4-ил)-1H-пиразол-1-ил)азетидин-3-ил)ацетонитрил (4). Выход: 2.70 г, 97%.

LCMS [M+H+]: 498.3.

1H ЯМР (400 MГц, DMSO-d6) δ 8.95 (s, 1H), 8.78 (s, 1H), 8.48 (s, 1H), 7.80 (d, J = 3.7 Hz, 1H), 7.20 (d, J = 3.7 Hz, 1H), 5.64 (s, 2H), 3.69 (s, 2H), 3.62 - 3.45 (m, 4H), 2.48 - 2.31 (m, 2H), 3.25 (s, 2H), 2.01 (s, 3H), 0.83 (t, J = 8.0 Hz, 2H), -0.11 (s, 9H).

К раствору 2-(1-(2-(метилтио)ацетил)-3-(4-(7-((2-(триметилсилил)этокси)метил)-7H-пирроло[2,3-d]пиримидин-4-ил)-1H-пиразол-1-ил)азетидин-3-ил)ацетонитрила (4) (2.70 г, 5.43 ммоль) в 185.00 мл дихлорметана добавляли 93.00 мл трифторуксусной кислоты. Реакционную массу перемешивали при комнатной температуре 2 ч, затем концентрировали на роторном испарителе. Остаток растворяли в 425.00 мл метанола. Добавляли раствор аммиака 18.00 мл в 36.00 мл очищенной воды и перемешивали при комнатной температуре 16 ч. Полученный раствор концентрировали на роторном испарителе. Остаток выделяли методом колоночной хроматографии на силикагеле (элюент: хлороформ:метанол 9:1). Фракции, содержащие целевой продукт, упаривали на роторном испарителе. Остаток промывали диэтиловым эфиром, сушили. Получали 2-(3-(4-(7H-пирроло[2,3-d]пиримидин-4-ил)-1H-пиразол-1-ил)-1-(2-(метилтио)ацетил)азетидин-3-ил)ацетонитрил (А). Выход: 1057.00 мг, 53%.

LCMS [M+H+]: 368.2.

1H ЯМР (400 MГц, DMSO-d6) δ 12.12 (s, 1H), 8.91 (s, 1H), 8.70 (s, 1H), 8.46 (s, 1H), 7.61 (t, J = 3.1 Гц, 1H), 7.08 (dd, J = 3.7, 1.8 Гц, 1H), 3.68 (s, 2H), 3.55 (t, J = 6.4 Гц, 2H), 2.43 - 2.35 (m, 2H), 3.25 (s, 2H), 2.02 (s, 3H).

1.2. Синтез 2-(3-(4-(7H-пирроло[2,3-d]пиримидин-4-ил)-1H-пиразол-1-ил)-1-(3-метоксипропаноил)азетидин-3-ил)ацетонитрила B

К раствору гидрохлоридной соли 2-(3-(4-(7-((2-(триметилсилил)этокси)метил)-7H-пирроло[2,3-d]пиримидин-4-ил)-1H-пиразол-1-ил)азетидин-3-ил)ацетонитрила (3) (2.50 г, 5.61 ммоль) в 70.00 мл ацетонитрила добавляли триэтиламин (3.10 мл, 22.40 ммоль), 3-метоксипропионовую кислоту (790.00 мкл, 8.42 ммоль) и 2-(1H-бензотриазол-1-ил)-1,1,3,3-тетраметилурония тетрафторборат (TBTU) (3.06 г, 9.54 ммоль). Реакционную массу перемешивали при комнатной температуре 16 ч. Полученный раствор концентрировали на роторном испарителе. Остаток растворяли в дихлорметане, разбавляли очищенной водой. Органический слой отделяли, сушили над сульфатом натрия, концентрировали на роторном испарителе. Продукт выделяли методом колоночной хроматографии на силикагеле (элюент: хлороформ: метанол 19:1). Получали 2-(1-(3-метоксипропаноил)-3-(4-(7-((2-(триметилсилил)этокси)метил)-7H-пирроло[2,3-d]пиримидин-4-ил)-1H-пиразол-1-ил)азетидин-3-ил)ацетонитрил (5). Выход: 2.64 г, 95%.

LCMS [M+H+]: 496.6.

1H ЯМР (400 MГц, DMSO-d6) δ 8.95 (s, 1H), 8.78 (s, 1H), 8.48 (s, 1H), 7.80 (d, J = 3.7 Hz, 1H), 7.20 (d, J = 3.7 Hz, 1H), 5.64 (s, 2H), 4.82 (d, J = 9.5 Hz, 1H), 4.51 (dd, J = 9.9, 7.2 Hz, 2H), 4.23 (d, J = 10.5 Hz, 1H), 3.69 (s, 2H), 3.62 - 3.45 (m, 4H), 3.21 (s, 3H), 2.48 - 2.31 (m, 2H), 0.83 (t, J = 8.0 Hz, 2H), -0.11 (s, 9H).

К раствору 2-(1-(3-метоксипропаноил)-3-(4-(7-((2-(триметилсилил)этокси)метил)-7H-пирроло[2,3-d]пиримидин-4-ил)-1H-пиразол-1-ил)азетидин-3-ил)ацетонитрила (5) (2.64 г, 5.32 ммоль) в 180 мл дихлорметана добавляли 90 мл трифторуксусной кислоты. Реакционную массу перемешивали при комнатной температуре 2 ч, затем концентрировали на роторном испарителе. Остаток растворяли в 420 мл метанола. Добавляли раствор аммиака 18 мл в 36 мл очищенной воды и перемешивали при комнатной температуре 16 ч. Полученный раствор концентрировали на роторном испарителе. Остаток выделяли методом колоночной хроматографии на силикагеле (элюент: хлороформ:метанол 9:1). Фракции, содержащие целевой продукт, упаривали на роторном испарителе. Остаток промывали диэтиловым эфиром, сушили. Получали 2-(3-(4-(7H-пирроло[2,3-d]пиримидин-4-ил)-1H-пиразол-1-ил)-1-(3-метоксипропаноил)азетидин-3-ил)ацетонитрил (B). Выход: 963 мг, 50%.

LCMS [M+H+]: 366.0.

1H ЯМР (400 MГц, DMSO-d6) δ 12.12 (s, 1H), 8.91 (s, 1H), 8.70 (s, 1H), 8.46 (s, 1H), 7.61 (t, J = 3.1 Гц, 1H), 7.08 (dd, J = 3.7, 1.8 Гц, 1H), 4.82 (d, J = 9.5 Гц, 1H), 4.50 (t, J = 9.4 Гц, 2H), 4.23 (d, J = 10.5 Гц, 1H), 3.68 (s, 2H), 3.55 (t, J = 6.4 Гц, 2H), 3.22 (s, 3H), 2.43 - 2.35 (m, 2H).

1.3. Синтез 2-(3-(4-(7H-пирроло[2,3-d]пиримидин-4-ил)-1H-пиразол-1-ил)-1-(3-(метилтио)пропаноил)азетидин-3-ил)ацетонитрил C

К раствору гидрохлоридной соли 2-(3-(4-(7-((2-(триметилсилил)этокси)метил)-7H-пирроло[2,3-d]пиримидин-4-ил)-1H-пиразол-1-ил)азетидин-3-ил)ацетонитрила (3) (2.50 г, 5.61 ммоль) в 70.00 мл ацетонитрила добавляли триэтиламин (3.10 мл, 22.40 ммоль), 3-(метилтио)пропионовую кислоту (860.00 мг, 8.42 ммоль) и 2-(1H-бензотриазол-1-ил)-1,1,3,3-тетраметилурония тетрафторборат (TBTU) (3.06 г, 9.54 ммоль). Реакционную массу перемешивали при комнатной температуре 16 ч. Полученный раствор концентрировали на роторном испарителе. Остаток растворяли в дихлорметане, разбавляли очищенной водой. Органический слой отделяли, сушили над сульфатом натрия, концентрировали на роторном испарителе. Продукт выделяли методом колоночной хроматографии на силикагеле (элюент: хлороформ: метанол 19:1). Получали 2-(1-(3-(метилтио)пропаноил)-3-(4-(7-((2-(триметилсилил)этокси)метил)-7H-пирроло[2,3-d]пиримидин-4-ил)-1H-пиразол-1-ил)азетидин-3-ил)ацетонитрил (6). Выход: 2.64 г, 92%.

LCMS [M+H+]: 512.3.

1H ЯМР (400 MГц, DMSO-d6) δ 8.95 (s, 1H), 8.78 (s, 1H), 8.48 (s, 1H), 7.80 (d, J = 3.7 Hz, 1H), 7.20 (d, J = 3.7 Hz, 1H), 5.64 (s, 2H), 4.43 (dd, J = 9.7, 7.1 Hz, 2H), 3.96 (d, J = 9.5 Hz, 1H), 3.69 (s, 2H), 3.62 - 3.41 (m, 5H), 2.48 - 2.31 (m, 2H), 2.01 (s, 3H), 0.83 (t, J = 8.0 Hz, 2H), -0.11 (s, 9H).

К раствору 2-(1-(3-(метилтио)пропаноил)-3-(4-(7-((2-(триметилсилил)этокси)метил)-7H-пирроло[2,3-d]пиримидин-4-ил)-1H-пиразол-1-ил)азетидин-3-ил)ацетонитрил (6) (2.64 г, 5.32 ммоль) в 180.00 мл дихлорметана добавляли 90.00 мл трифторуксусной кислоты. Реакционную массу перемешивали при комнатной температуре 2 ч, затем концентрировали на роторном испарителе. Остаток растворяли в 420.00 мл метанола. Добавляли раствор аммиака 18.00 мл в 36.00 мл очищенной воды и перемешивали при комнатной температуре 16 ч. Полученный раствор концентрировали на роторном испарителе. Остаток выделяли методом колоночной хроматографии на силикагеле (элюент: хлороформ:метанол 9:1). Фракции, содержащие целевой продукт, упаривали на роторном испарителе. Остаток промывали диэтиловым эфиром, сушили. Получали 2-(3-(4-(7H-пирроло[2,3-d]пиримидин-4-ил)-1H-пиразол-1-ил)-1-(3-(метилтио)пропаноил)азетидин-3-ил)ацетонитрил (C). Выход: 1216.00 мг, 60%.

LCMS [M+H+]: 382.4.

1H ЯМР (400 MГц, DMSO-d6) δ 12.12 (s, 1H), 8.91 (s, 1H), 8.70 (s, 1H), 8.46 (s, 1H), 7.61 (t, J = 3.1 Гц, 1H), 7.08 (dd, J = 3.7, 1.8 Гц, 1H), 4.43 (dd, J = 9.7, 7.1 Hz, 2H), 3.96 (d, J = 9.5 Hz, 1H), 3.68 (s, 2H), 3.55 (t, J = 6.4 Гц, 2H), 2.43 - 2.35 (m, 3H), 2.00 (s, 3H).

1.4. Синтез фармацевтически приемлемых солей производных пирролопиримидинов по настоящему изобретению

1.4.1. Синтез 2-(3-(4-(7H-пирроло[2,3-d]пиримидин-4-ил)-1H-пиразол-1-ил)-1-((2-(метилтио)ацетил)азетидин-3-ил)ацетонитрила гидрохлорида (D)

К раствору 2-(3-(4-(7H-пирроло[2,3-d]пиримидин-4-ил)-1H-пиразол-1-ил)-1-(2-(метилтио)ацетил)азетидин-3-ил)ацетонитрила (A) (1.00 г, 2.72 ммоль) в 20.00 мл метанола при перемешивании по каплям добавляли 3.00 мл 1М метанольного раствора хлороводородной кислоты комнатной температуре. Реакционную смесь перемешивали в течение двух часов. Наблюдали образование осадка. Выпавший осадок фильтровали, сушили на воздухе. Получали 1.10 г 2-(3-(4-(7H-пирроло[2,3-d]пиримидин-4-ил)-1H-пиразол-1-ил)-1-(2-(метилтио)ацетил)азетидин-3-ил)ацетонитрила гидрохлорида (D). Выход реакции количественный (около 100%).

Элементный анализ C17H18N7OSCl: рассчитано C 50.56%, H 4.49%, N 24.28%, Cl 8.78%, O 3.96%, S 7.94%; найдено C 50.57%, H 4.45%, N 24.30%, Cl 8.79%, O 3.94%, S 7.93%.

1H ЯМР (400 MГц, DMSO-d6) δ 12.16 (s, 1H), 8.93 (s, 1H), 8.70 (s, 1H), 8.46 (s, 1H), 7.61 (t, J = 3.1 Гц, 1H), 7.08 (dd, J = 3.7, 1.8 Гц, 1H), 3.68 (s, 2H), 3.55 (t, J = 6.4 Гц, 2H), 2.43 - 2.35 (m, 2H), 3.25 (s, 2H), 2.02 (s, 3H).

1.4.2. Синтез 2-(3-(4-(7H-пирроло[2,3-d]пиримидин-4-ил)-1H-пиразол-1-ил)-1-(3-метоксипропаноил)азетидин-3-ил)ацетонитрила гидрохлорида (E)

К раствору 2-(3-(4-(7H-пирроло[2,3-d]пиримидин-4-ил)-1H-пиразол-1-ил)-1-(3-метоксипропаноил)азетидин-3-ил)ацетонитрила (B) (1.00 г, 2.74 ммоль) в 20 мл метанола при перемешивании по каплям добавляли 3 мл 1М метанольного раствора хлороводородной кислоты комнатной температуре. Реакционную смесь перемешивали в течение двух часов. Наблюдали образование осадка. Выпавший осадок фильтровали, сушили на воздухе. Получали 1.02 г 2-(3-(4-(7H-пирроло[2,3-d]пиримидин-4-ил)-1H-пиразол-1-ил)-1-(3-метоксипропаноил)азетидин-3-ил)ацетонитрила гидрохлорида (E). Выход реакции количественный (около 100%).

Элементный анализ C18H20N7O2Cl: рассчитано C 53.80%, H 5.02%, N 24.40%, Cl 8.82%, O 7.96%; найдено C 53.81%, H 5.00%, N 24.40%, Cl 8.84%, O 7.95%.

1H ЯМР (400 MГц, DMSO-d6) δ 12.20 (s, 1H), 8.91 (s, 1H), 8.70 (s, 1H), 8.46 (s, 1H), 7.61 (t, J = 3.1 Гц, 1H), 7.08 (dd, J = 3.7, 1.8 Гц, 1H), 4.82 (d, J = 9.5 Гц, 1H), 4.50 (t, J = 9.4 Гц, 2H), 4.23 (d, J = 10.5 Гц, 1H), 3.68 (s, 2H), 3.55 (t, J = 6.4 Гц, 2H), 3.22 (s, 3H), 2.43 - 2.35 (m, 2H).

1.4.3. Синтез 2-(3-(4-(7H-пирроло[2,3-d]пиримидин-4-ил)-1H-пиразол-1-ил)-1-(3-(метилтио)пропаноил)азетидин-3-ил)ацетонитрила гидрохлорида (F)

К раствору 2-(3-(4-(7H-пирроло[2,3-d]пиримидин-4-ил)-1H-пиразол-1-ил)-1-(3-(метилтио)пропаноил)азетидин-3-ил)ацетонитрила (C) (1.00 г, 2.62 ммоль) в 20.00 мл метанола при перемешивании по каплям добавляли 3.00 мл 1М метанольного раствора хлороводородной кислоты комнатной температуре. Реакционную смесь перемешивали в течение двух часов. Наблюдали образование осадка. Выпавший осадок фильтровали, сушили на воздухе. Получали 1.10 г 2-(3-(4-(7H-пирроло[2,3-d]пиримидин-4-ил)-1H-пиразол-1-ил)-1-(3-(метилтио)пропаноил)азетидин-3-ил)ацетонитрила гидрохлорида (F). Выход реакции количественный (около 100%).

Элементный анализ C18H20N7OSCl: рассчитано C 51.73%, H 4.82%, N 23.46%, Cl 8.48%, O 3.83%, S 7.67%; найдено C 51.71%, H 4.84%, N 23.45%, Cl 8.51%, O 3.84%, S 7.66%.

1H ЯМР (400 MГц, DMSO-d6) δ 12.16 (s, 1H), 8.88 (s, 1H), 8.69 (s, 1H), 8.46 (s, 1H), 7.61 (t, J = 3.1 Гц, 1H), 7.08 (dd, J = 3.7, 1.8 Гц, 1H), 4.43 (dd, J = 9.7, 7.1 Hz, 2H), 3.96 (d, J = 9.5 Hz, 1H), 3.68 (s, 2H), 3.55 (t, J = 6.4 Гц, 2H), 2.43 - 2.35 (m, 3H), 2.00 (s, 3H).

Пример 2. Получение лекарственных форм новых производных пирролопиримидина

2.1. Таблетки, покрытые пленочной оболочкой

Для получения твердого лекарственного средства в форме таблетки, покрытой пленочной оболочкой, содержащей 2-(3-(4-(7H-пирроло[2,3-d]пиримидин-4-ил)-1H-пиразол-1-ил)-1-(2-(метилтио)ацетил)азетидин-3-ил)ацетонитрил (A), взвешенные компоненты согласно табл. 1 смешивают в следующем порядке: к рассчитанному количеству микрокристаллической целлюлозы добавляют субстанцию 2-(3-(4-(7H-пирроло[2,3-d]пиримидин-4-ил)-1H-пиразол-1-ил)-1-(2-(метилтио)ацетил)азетидин-3-ил)ацетонитрила (A), маннитол, кроскармеллозу натрия и магния стеарат, перемешивают до однородности. Полученную смесь подвергают влажной грануляции (жидкость для грануляции - вода 30-35% масс. от массы сухих компонентов), увлажненную массу продавливают через сито с диаметром отверстий 2 мм (влажное гранулирование), полученные гранулы сушат в сушильном шкафу при температуре 50-55°C, высушенные гранулы осторожно протирают через сито с диаметром отверстий 1 мм. Полученный гранулят опудривают магния стеаратом. На основе полученного гранулята получают ядра таблеток. Полученные ядра таблеток покрывают пленочной оболочкой.

Таблица 1. Состав таблеток, покрытых пленочной оболочкой, содержащих 2-(3-(4-(7H-пирроло[2,3-d]пиримидин-4-ил)-1H-пиразол-1-ил)-1-(2-(метилтио)ацетил)азетидин-3-ил)ацетонитрил (A)

Компоненты Количество на 1 таблетку, мг Количество на 1 таблетку, мг 2-(3-(4-(7H-пирроло[2,3-d]пиримидин-4-ил)-1H-пиразол-1-ил)-1-(2-(метилтио)ацетил)азетидин-3-ил)ацетонитрил (A) 2.0 мг 4.0 мг Микрокристаллическая целлюлоза 132.0 мг 132.0 мг Маннитол 52.0 мг 50.0 мг Кроскармеллоза натрия 12.0 мг 12.0 мг Магния стеарат 2.0 мг 2.0 мг Пленочная оболочка: Поливиниловый спирт 2.46 мг 41% (от массы пленочной оболочки) 2.46 мг 41% (от массы пленочной оболочки) Макрогол 1.092 мг 18.2% (от массы пленочной оболочки) 1.092 мг 18.2% (от массы пленочной оболочки) Тальк 0.966 мг 16.1% (от массы пленочной оболочки) 0.966 мг 16.1% (от массы пленочной оболочки) Титана диоксид 1.416 мг 23.6% (от массы пленочной оболочки) 1.368 мг 23.6% (от массы пленочной оболочки)

Аналогично были получены лекарственные средства других новых производных пирролопиримидина, соединений (B) - (F), а также их фармацевтически приемлемых солей.

Пример 3. Изучение терапевтической активности новых производных пирролопиримидина в отношении аутоиммунных заболеваний

Терапевтическая активность новых производных пирролопиримидина по настоящему изобретению в отношении рекомбинантных белков янус-киназ определяли с помощью киназного анализа LANCE Ultra (PerkinElmer) в формате 384-луночного планшета с реакционным объемом 10 мкл. Полученные значения IC50 (концентрации полумаксимального ингибирования) для исследуемых соединений находились в диапазоне 4.0 - 5.5, 0.7 - 1.1, 85.0 - 117.0 нМ для JAK1, JAK2 и JAK3 соответственно (значения IC50 2-[1-этилсульфонил-3-[4-(7H-пирроло[2,3-d]пиримидин-4-ил)пиразол-1-ил]азетидин-3-ил]ацетонитрил по прототипу составляли 6.2, 2.1, 144.0 нМ для JAK1, JAK2 и JAK3, соответственно).

Изучение терапевтической активности в отношении ревматоидного артрита на модели мышиного антиген-индуцированного артрита проводилась на 60 особях, рандомизированно распределенных по шести группам по 10 особей в каждой группе. В эксперименте участвовали самки мышей линии BALB/c возраст 8-10 недель, массой 20,0±2,5 г. Мыши имели свободный доступ к воде и пище, размещались в стандартной системе содержания животных в виварии.

Перед началом исследования все животные были выдержаны на карантине в течение 14 дней, по истечению этого срока особи были взвешены и осмотрены для установления отсутствия внешних повреждений, нарушения волосяного покрова, признаков интоксикации. Отклонений от нормы выявлено не было.

Для индукции болезни артритогенными антителами использовали коктейль из пяти моноклональных антител к коллагену второго типа, в качестве адъюванта использовали прилагаемый к данному набору липополисахарид из E. сoli 0111:B4. В первый день эксперимента мышам линии BALB/c внутрибрюшинно или вводили 1.5 мг пятиклонального коктейля антител в объеме 200 мкл. Через три дня в качестве адъюванта мыши получали 50 мкг липополисахарид из E. сoli 0111:B4, растворенного в 200 мкл стерильного фосфатного буфера, путем внутрибрюшинной инъекции. Мониторинг развития заболевания осуществляли на протяжении 10 дней с момента введения артритогенных антител.

Тяжесть симптомов оценивали по четырехбалльной шкале: 0 - нет покраснения и припухлости дистальных частей конечности, 1 - легкое покраснение и/или припухлость, 2 - покраснение и/или опухание средней степени, 3 - сильное покраснение и/или опухание, 4 - очень сильное покраснение и/или опухание.

Каждой конечности присваивали соответствующий балл, суммарное значение по всем четырем конечностям определяли как тяжесть развития заболевания у данной мыши.

Первая группа получала 2-(3-(4-(7H-пирроло[2,3-d]пиримидин-4-ил)-1H-пиразол-1-ил)-1-(2-(метилтио)ацетил)азетидин-3-ил)ацетонитрил (A), вторая группа получала 2-(3-(4-(7H-пирроло[2,3-d]пиримидин-4-ил)-1H-пиразол-1-ил)-1-(3-метоксипропаноил)азетидин-3-ил)ацетонитрил (B), третья группа получала 2-(3-(4-(7H-пирроло[2,3-d]пиримидин-4-ил)-1H-пиразол-1-ил)-1-(3-(метилтио)пропаноил)азетидин-3-ил)ацетонитрил (C), четвертая группа получала 2-(3-(4-(7H-пирроло[2,3-d]пиримидин-4-ил)-1H-пиразол-1-ил)-1-(3-метоксипропаноил)азетидин-3-ил)ацетонитрила гидрохлорид (E), пятая группа получала 2-[1-этилсульфонил-3-[4-(7H-пирроло[2,3-d]пиримидин-4-ил)пиразол-1-ил]азетидин-3-ил]ацетонитрил по прототипу, шестая группа получала микрокристаллическую целлюлозу.

Составы вводили перорально через зонд в виде суспензии один раз в день с третьего дня эксперимента в дозировке 0.8 мг/кг мыши. Эксперимент проводили в течение 13 дней.

Также в ходе исследований контролировали показатель смертности животных в контрольных и опытных группах. Летальных исходов зафиксировано не было.

Результаты исследований представлены на Фиг. 1.

Таким образом новые производные пирролопиримидина демонстрируют статистически значимую улучшенную эффективность, выраженную в значительном снижении тяжести симптомов артрита, нормализации структуры суставов и предотвращении разрушения кости по сравнению с 2-[1-этилсульфонил-3-[4-(7H-пирроло[2,3-d]пиримидин-4-ил)пиразол-1-ил]азетидин-3-ил]ацетонитрилом по прототипу.

Также в ходе эксперимента у особей регистрировали клинические симптомы, связанные с болевыми ощущениями. Из уровня техники известно, что сила захвата коррелирует с болью у пациентов с ревматоидным артритом и отражает изменения в реальном времени воспаления суставов у мышей с моделью ревматоидного артрита. Таким образом, для определения болевых признаков особей использовали тест силы захвата.

Сила захвата измерялась с помощью цифрового измерителя силы захвата для мышей. Каждую мышь аккуратно помещали на проволочную сетку, соединенную с датчиком силы. После того, как мышь отдыхала в течение 3 минут, ее хвост тянули, и непрерывно измеряли силу захвата, пока мышь не отпускала проволочную сетку. Это повторялось пять раз для каждой особи с интервалами более 30 с. Указанная мощность силы захвата представляет собой среднее значение максимальных зарегистрированных сил захвата в ходе измерений (в граммах).

Результаты экспериментов представлены в Табл. 2 ниже.

Таблица 2. Результаты измерения силы захвата

День 1 2 3 4 5 6 7 8 9 10 11 12 13 14 Группа 1 185 190 192 188 171 164 174 187 180 182 174 177 182 184 2 179 182 185 181 185 163 165 172 178 175 188 183 191 186 3 183 189 180 181 173 170 166 168 159 164 172 179 185 182 4 177 183 186 175 162 153 149 141 155 167 172 181 187 190 5 187 182 184 173 161 157 145 132 139 144 149 162 168 173 6 184 180 181 149 126 115 93 91 108 122 137 142 147 153

Перед анализом активности заявленных в настоящем изобретении новых производных пирролопиримидина были изучены их токсикологические свойства. Исследования проводили при пероральном введении составов по настоящему изобретению на здоровых половозрелых особях крыс (белые крысы линии Wistar массой 180±5 г), прошедших карантин в течение 10-14 дней. Животные имели свободный доступ к воде и пище, размещались в стандартной системе содержания животных в виварии. Эксперименты проводились в соответствии с установленными этическими нормами. В ходе эксперимента фиксировали общее состояние животных, особенности их поведения, интенсивность и характер двигательной активности, наличие и характер судорог, координации движений, тонус скелетных мышц, реакцию на тактильные, болевые, звуковые и световые раздражители, частоту и глубину дыхательных движений, ритм сердечных сокращений, состояние шерстного и кожного покрова, окраску слизистых оболочек, размер зрачка, положение хвоста, количество и консистенцию фекальных масс, частоту мочеиспускания и окраску мочи, потребление корма и воды, изменение массы тела и другие показатели.

Исследовали дозировки новых производных пирролопиримидина по настоящему изобретению до 30 мг/кг/сутки в расчёте на одну особь при длительном введении (4 недели) с последующим наблюдением (4 недели). В результате проведенных исследований удалось установить отсутствие видимых проявлений токсикологических воздействий, интоксикации и гибели животных на фоне приема новых производных пирролопиримидина по настоящему изобретению. Проявления дерматотоксичности также не фиксировались.

Пример 4. Изучение терапевтической противовирусной активности новых производных пирролопиримидина по настоящему изобретению

Изучение терапевтической активности новых производных пирролопиримидина по настоящему изобретению в отношении вируса гриппа на мышиной модели проводилась на 70 особях рандомизированно распределенных по семи группам по 10 особей в каждой группе. В эксперименте участвовали самки мышей линии BALB/c возраст 6-8 недель, массой 22,0±2,5 г. Мыши имели свободный доступ к воде и пище, размещались в стандартной системе содержания животных в виварии.

Перед началом исследования все животные были выдержаны на карантине в течение 14 дней, по истечению этого срока особи были взвешены и осмотрены для установления отсутствия внешних повреждений, нарушения волосяного покрова, признаков интоксикации. Отклонений от нормы выявлено не было.

Моделирование вирусной инфекции у мышей проводили путем интраназального введения рассчитанного количества вирусных единиц высокопатогенного вируса гриппа H1N1 при анастезировании особей однократно в дозе 400 TCID50, разведенного в PBS в объеме 40 мкл. В ходе эксперимента состояние животных фиксировали каждый день.

Первая группа получала 2-(3-(4-(7H-пирроло[2,3-d]пиримидин-4-ил)-1H-пиразол-1-ил)-1-(2-(метилтио)ацетил)азетидин-3-ил)ацетонитрил (A), вторая группа получала 2-(3-(4-(7H-пирроло[2,3-d]пиримидин-4-ил)-1H-пиразол-1-ил)-1-(3-метоксипропаноил)азетидин-3-ил)ацетонитрил (B), третья группа получала 2-(3-(4-(7H-пирроло[2,3-d]пиримидин-4-ил)-1H-пиразол-1-ил)-1-(3-(метилтио)пропаноил)азетидин-3-ил)ацетонитрил (C), четвертая группа получала 2-(3-(4-(7H-пирроло[2,3-d]пиримидин-4-ил)-1H-пиразол-1-ил)-1-(3-метоксипропаноил)азетидин-3-ил)ацетонитрила гидрохлорид (E), пятая группа получала 2-[1-этилсульфонил-3-[4-(7H-пирроло[2,3-d]пиримидин-4-ил)пиразол-1-ил]азетидин-3-ил]ацетонитрил по прототипу, шестая группа получала микрокристаллическую целлюлозу, седьмая группа не была инфицирована и получала микрокристаллическую целлюлозу.

Терапию вводили перорально через зонд в виде суспензии два раза в день, начиная с третьего дня эксперимента в дозировке 20 мг/кг/день при пересчете на человека. Эксперимент проводили в течение 5 дней.

По окончанию эксперимента особи подвергались эвтаназии. Ткани легких и трахеи удаляли и дважды промывали 1 мл PBS, содержащего 0,1% BSA. После центрифугирования при 4°C собирали ткани легких и бронхоальвеолярную жидкость, которую использовали для дальнейшего анализа цитокинов с помощью иммуноферментного анализа. Результаты исследований представлены на Фиг. 2.

Также в ходе эксперимента контролировали показатели вирусной нагрузки, после умерщвления особей фиксировали гистопатологические особенности тканей.

По результатам эксперимента удалось установить, что новые производные пирролопиримидина по настоящему изобретению снижают уровень вирусной гиперактивации иммунной системы, уменьшают воспалительные процессы и повреждение легких на фоне вирусного заболевания, а также обладают ярко выраженной терапевтической активностью в лечении вирусных заболеваний.

Пример 5. Селективность новых производных пирролопиримидина по отношению к JAK

Активность исследуемых веществ 2-(3-(4-(7H-пирроло[2,3-d]пиримидин-4-ил)-1H-пиразол-1-ил)-1-(2-(метилтио)ацетил)азетидин-3-ил)ацетонитрила (A), 2-(3-(4-(7H-пирроло[2,3-d]пиримидин-4-ил)-1H-пиразол-1-ил)-1-(3-метоксипропаноил)азетидин-3-ил)ацетонитрила (B), 2-(3-(4-(7H-пирроло[2,3-d]пиримидин-4-ил)-1H-пиразол-1-ил)-1-(3-(метилтио)пропаноил)азетидин-3-ил)ацетонитрила (C), 2-(3-(4-(7H-пирроло[2,3-d]пиримидин-4-ил)-1H-пиразол-1-ил)-1-(3-метоксипропаноил)азетидин-3-ил)ацетонитрила гидрохлорида (E), 2-[1-этилсульфонил-3-[4-(7H-пирроло[2,3-d]пиримидин-4-ил)пиразол-1-ил]азетидин-3-ил]ацетонитрила по прототипу в отношении рекомбинантных белков янус-киназ определяли с помощью киназного анализа LANCE Ultra (PerkinElmer) в формате 384-луночного планшета с реакционным объемом 10 мкл. Условия реакции соответствовали рекомендациям производителя, использовали 50 нМ субстрата тирозинкиназы ULight-JAK-1, 2 нМ меченных европием анти-фосфо антител, рекомбинантных белков янус-киназ и исследуемые вещества в диапазоне концентраций 0.1 нМ - 100 мкМ в буфер (50 мМ Tris-HCl, pH 8.0, 10 мМ MgCl2, 0.5 мМ TCEP, 0.01% Brij-35, 1 мМ EGTA и 0.05% BSA). Значения IC50 было получено как логарифм концентрации ингибитора при которой достигалось ингибирование киназы до уровня 50%. Селективность ингибиторов рассчитывали для каждого ингибитора путем деления IC50 для каждого JAK на IC50 для наиболее сильно ингибированного JAK. Представленные данные являются средними по трем повторным образцам и репрезентативными для 2-4 отдельных экспериментов. Однофакторный дисперсионный анализ (ANOVA) с апостериорным тестом множественных сравнений Даннетта использовали для оценки значительных различий в ингибировании активности киназы между членами семейства JAK. Или дисперсионный анализ проводили с помощью критерия ANOVA.

Результаты эксперимента представлены в Табл. 3.

Таблица 3. Определение селективности новых соединений по отношению к JAK

Ингибитор Селективность JAK1 JAK2 JAK3 2-(3-(4-(7H-пирроло[2,3-d]пиримидин-4-ил)-1H-пиразол-1-ил)-1-(2-(метилтио)ацетил)азетидин-3-ил)ацетонитрила (A) 5 1 131 2-(3-(4-(7H-пирроло[2,3-d]пиримидин-4-ил)-1H-пиразол-1-ил)-1-(3-метоксипропаноил)азетидин-3-ил)ацетонитрил (B) 6 1 124 2-(3-(4-(7H-пирроло[2,3-d]пиримидин-4-ил)-1H-пиразол-1-ил)-1-(3-(метилтио)пропаноил)азетидин-3-ил)ацетонитрила (C) 5 1 128 2-(3-(4-(7H-пирроло[2,3-d]пиримидин-4-ил)-1H-пиразол-1-ил)-1-(3-метоксипропаноил)азетидин-3-ил)ацетонитрила гидрохлорид (E) 6 1 121 2-[1-этилсульфонил-3-[4-(7H-пирроло[2,3-d]пиримидин-4-ил)пиразол-1-ил]азетидин-3-ил]ацетонитрил (по прототипу) 3 1 69

Исходя из результатов проведенных экспериментов удалось зафиксировать, что новые производные пирролопиримидина по настоящему изобретению проявляют наименее выраженную активность по отношению к JAK3. Однако не смотря на сниженную активность по отношению к JAK3, активность новых производных пирролопиримидина по настоящему изобретению по отношению к JAK3 статистически значимо превышает аналогичную активность соединений по прототипу. Селективность соединений по настоящему изобретению по отношению к JAK2 в 5 - 6 раз больше, чем селективность по отношению к JAK1.

Таким образом можно заключить, что селективность взаимодействия с JAK новых производных пирролопиримидина превышает селективность 2-[1-этилсульфонил-3-[4-(7H-пирроло[2,3-d]пиримидин-4-ил)пиразол-1-ил]азетидин-3-ил]ацетонитрила (по прототипу).

Похожие патенты RU2837316C1

название год авторы номер документа
НОВЫЕ ПРОИЗВОДНЫЕ ПИРРОЛОПИРИМИДИНОВ 2024
  • Белый Петр Александрович
  • Лопатухин Эдуард Юрьевич
  • Королев Владимир Львович
  • Заславская Кира Яковлевна
  • Белов Евгений Юрьевич
  • Казаишвили Юрий Георгиевич
  • Щербакова Виктория Сергеевна
RU2837215C1
НОВЫЕ ПРОИЗВОДНЫЕ ПИРРОЛОПИРИМИДИНОВ 2024
  • Белый Петр Александрович
  • Лопатухин Эдуард Юрьевич
  • Королев Владимир Львович
  • Заславская Кира Яковлевна
  • Белов Евгений Юрьевич
  • Казаишвили Юрий Георгиевич
  • Щербакова Виктория Сергеевна
RU2837533C1
НОВЫЕ ПРОИЗВОДНЫЕ ПИРРОЛОПИРИМИДИНОВ 2024
  • Белый Петр Александрович
  • Лопатухин Эдуард Юрьевич
  • Королев Владимир Львович
  • Заславская Кира Яковлевна
  • Белов Евгений Юрьевич
  • Казаишвили Юрий Георгиевич
  • Щербакова Виктория Сергеевна
RU2837548C1
НОВЫЕ ПРОИЗВОДНЫЕ ПИРРОЛОПИРИМИДИНОВ 2024
  • Белый Петр Александрович
  • Лопатухин Эдуард Юрьевич
  • Королев Владимир Львович
  • Заславская Кира Яковлевна
  • Белов Евгений Юрьевич
  • Казаишвили Юрий Георгиевич
  • Щербакова Виктория Сергеевна
RU2837216C1
НОВЫЕ ПРОИЗВОДНЫЕ ПИРРОЛОПИРИМИДИНОВ 2024
  • Белый Петр Александрович
  • Лопатухин Эдуард Юрьевич
  • Королев Владимир Львович
  • Заславская Кира Яковлевна
  • Белов Евгений Юрьевич
  • Казаишвили Юрий Георгиевич
  • Щербакова Виктория Сергеевна
RU2837221C1
СПОСОБ ПОЛУЧЕНИЯ 2-[1-ЭТИЛСУЛЬФОНИЛ-3-[4-(7H-ПИРРОЛО[2,3-D]ПИРИМИДИН-4-ИЛ)ПИРАЗОЛ-1-ИЛ]АЗЕТИДИН-3-ИЛ]АЦЕТОНИТРИЛА 2024
  • Белый Петр Александрович
  • Лопатухин Эдуард Юрьевич
  • Королев Владимир Львович
  • Заславская Кира Яковлевна
  • Белов Евгений Юрьевич
RU2835441C1
СПОСОБ ПОЛУЧЕНИЯ 2-[1-ЭТИЛСУЛЬФОНИЛ-3-[4-(7H-ПИРРОЛО[2,3-D]ПИРИМИДИН-4-ИЛ)ПИРАЗОЛ-1-ИЛ]АЗЕТИДИН-3-ИЛ]АЦЕТОНИТРИЛА 2024
  • Белый Петр Александрович
  • Лопатухин Эдуард Юрьевич
  • Королев Владимир Львович
  • Заславская Кира Яковлевна
  • Белов Евгений Юрьевич
RU2835443C1
СПОСОБ ПОЛУЧЕНИЯ 2-[1-ЭТИЛСУЛЬФОНИЛ-3-[4-(7H-ПИРРОЛО[2,3-D]ПИРИМИДИН-4-ИЛ)ПИРАЗОЛ-1-ИЛ]АЗЕТИДИН-3-ИЛ]АЦЕТОНИТРИЛА 2024
  • Белый Петр Александрович
  • Лопатухин Эдуард Юрьевич
  • Королев Владимир Львович
  • Заславская Кира Яковлевна
  • Белов Евгений Юрьевич
RU2835445C1
{3-[(7H-ПИРРОЛО[2,3-d]ПИРИМИДИН-4-ИЛ)АЗОЛИЛ]АЗЕТИДИН-3-ИЛ}АЦЕТОНИТРИЛЫ В КАЧЕСТВЕ ИНГИБИТОРОВ ЯНУС КИНАЗ 2015
  • Иващенко Александр Васильевич
  • Игнатьев Василий Геннадьевич
  • Репик Алексей Евгеньевич
  • Шафеев Михаил Айратович
RU2601410C1
ЛЕЧЕНИЕ ГИДРАДЕНИТА ИНГИБИТОРАМИ JAK 2020
  • Фенсом, Эндрю
  • Герстенбергер, Брайан Стефен
  • Оуэн, Дэфидд Рис
RU2805595C1

Иллюстрации к изобретению RU 2 837 316 C1

Реферат патента 2025 года НОВЫЕ ПРОИЗВОДНЫЕ ПИРРОЛОПИРИМИДИНОВ

Группа изобретений относится к области химико-фармацевтической промышленности, медицины и фармакологии и включает 2-(3-(4-(7H-пирроло[2,3-d]пиримидин-4-ил)-1H-пиразол-1-ил)-1-(3-(метилтио)пропаноил)азетидин-3-ил)ацетонитрил, его фармацевтически приемлемые соли, а также фармацевтическую композицию и лекарственное средство, его содержащие, и применение для получения лекарственного средства для лечения аутоиммунных заболеваний путем ингибирования Янус киназы. Технический результат - улучшенная по сравнению с барицитинибом активность и селективность 2-(3-(4-(7H-пирроло[2,3-d]пиримидин-4-ил)-1H-пиразол-1-ил)-1-(3-(метилтио)пропаноил)азетидин-3-ил)ацетонитрила в отношении ингибирования ферментов JAK. 4 н. и 7 з.п. ф-лы, 2 ил., 3 табл., 5 пр.

Формула изобретения RU 2 837 316 C1

1. Соединение формулы C

или его фармацевтически приемлемые соли.

2. Фармацевтическая композиция, проявляющая свойства ингибитора Янус киназы (JAK), для лечения аутоиммунных заболеваний, содержащая в терапевтически эффективном количестве соединение п. 1 и по меньшей мере один фармацевтически приемлемый эксципиент.

3. Фармацевтическая композиция по п. 2, характеризующаяся тем, что аутоиммунное заболевание выбрано из группы, включающей ревматоидный артрит, псориатический артрит, ювенильный артрит, атопический дерматит, волчанку и алопецию.

4. Фармацевтическая композиция по п. 2, характеризующаяся тем, что по меньшей мере один фармацевтически приемлемый эксципиент выбран из группы, включающей формообразующие вещества, стабилизаторы, солюбилизаторы, увлажнители, лубриканты, скользящие вещества, загустители, подсластители, отдушки, ароматизаторы, регуляторы пролонгированной доставки, разбавители, наполнители, эмульгаторы, консерванты, антиоксиданты, буферные агенты, криопротекторы, регулирующие рН агенты, вещества для поддержания изотоничности и корригирующие вещества.

5. Лекарственное средство, проявляющее свойства ингибитора Янус киназы (JAK), для лечения аутоиммунных заболеваний, содержащее в эффективном количестве соединение по п. 1 и по меньшей мере один фармацевтически приемлемый эксципиент.

6. Лекарственное средство по п. 5, характеризующееся тем, что по меньшей мере один фармацевтически приемлемый эксципиент выбран из группы, включающей формообразующие вещества, стабилизаторы, солюбилизаторы, увлажнители, лубриканты, скользящие вещества, загустители, подсластители, отдушки, ароматизаторы, регуляторы пролонгированной доставки, разбавители, наполнители, эмульгаторы, консерванты, антиоксиданты, буферные агенты, криопротекторы, регулирующие рН агенты, вещества для поддержания изотоничности и корригирующие вещества.

7. Лекарственное средство по п. 5, характеризующееся тем, что аутоиммунное заболевание выбрано из группы, включающей ревматоидный артрит, псориатический артрит, ювенильный артрит, атопический дерматит, волчанку и алопецию.

8. Лекарственное средство по п. 5, характеризующееся тем, что представляет собой твердое лекарственное средство.

9. Лекарственное средство по п. 8, характеризующееся тем, что представляет собой таблетку или капсулу.

10. Применение соединения по п. 1 для получения лекарственного средства по пп. 5-9 для лечения аутоиммунных заболеваний путем ингибирования Янус киназы.

11. Применение по п. 10, характеризующееся тем, что аутоиммунное заболевание выбрано из группы, включающей ревматоидный артрит, псориатический артрит, ювенильный артрит, атопический дерматит, волчанку и алопецию.

Документы, цитированные в отчете о поиске Патент 2025 года RU2837316C1

{3-[(7H-ПИРРОЛО[2,3-d]ПИРИМИДИН-4-ИЛ)АЗОЛИЛ]АЗЕТИДИН-3-ИЛ}АЦЕТОНИТРИЛЫ В КАЧЕСТВЕ ИНГИБИТОРОВ ЯНУС КИНАЗ 2015
  • Иващенко Александр Васильевич
  • Игнатьев Василий Геннадьевич
  • Репик Алексей Евгеньевич
  • Шафеев Михаил Айратович
RU2601410C1
WO 2009114512 A1, 17.09.2009
IKA OKTAVIANAWATI et al., Recent progress on drugs discovery study for treatment of COVID‑19: repurposing existing drugs and current natural
Applied Biological Chemistry, 2023, 66:89, p.1-48
EGIDIO FREITAS et al., Baricitinib for the treatment of alopecia areata
Drugs, 2023, 83 (9),

RU 2 837 316 C1

Авторы

Белый Петр Александрович

Лопатухин Эдуард Юрьевич

Королев Владимир Львович

Заславская Кира Яковлевна

Белов Евгений Юрьевич

Казаишвили Юрий Георгиевич

Щербакова Виктория Сергеевна

Даты

2025-03-28Публикация

2024-12-17Подача