Изобретение относится к производству эмульсионных взрывчатых веществ (далее ЭВВ) на основе аммиачной селитры (далее АС), изготавливаемых на местах ведения взрывных работ, и может быть использовано в горнодобывающей промышленности, строительстве и при производстве специальных взрывных работ.
Водоустойчивые эмульсионные взрывчатые вещества (ЭВВ) представляют собой сенсибилизированную эмульсионную матрицу, на основе эмульсии обратного типа, в которой в качестве дисперсной фазы выступает концентрированный раствор солей окислителя (например, аммиачная, натриевая, кальциевая селитры), а в качестве дисперсионной среды топливо в виде жидких нефтепродуктов и поверхностно-активного вещества - эмульгатора.
Сенсибилизация эмульсионной матрицы из известного уровня техники производится либо индивидуальными взрывчатыми веществами, либо путем введения газовых полостей (пор), выступающих в качестве «горячих точек» и способствующих возникновению детонационных явлений.
Главным недостатком сенсибилизация индивидуальными взрывчатыми веществами, является снижение безопасности производства и применения таких взрывчатых веществ. Газовые полости могут быть получены введением воздушных пузырьков, введением веществ, вступающих в химическую реакцию с выделением газа, введением высокопористых твердых веществ (вспученный порошкообразный перлит, гранулы вспененного полистирола, гранулы пористой аммиачной селитры), микросфер из стекла или синтетического материала.
Основным условием и главным недостатком сенсибилизации с помощью химических газообразующих веществ является то, что скорость газификации и сама возможность процесса сильно зависят от температуры эмульсии. Процесс газификации с нитритом натрия идет стационарно при температуре эмульсии выше 55°С. Имеются свои температурные пределы и для других газообразующих добавок. Для снижения температуры эмульсии, необходимой для газификации, применяют различные добавки, например, формальдегид, а для повышения скорости газовыделения - катализаторы реакции типа тиомочевины и органических кислот. Однако этот процесс сенсибилизации имеет недостаток, обусловленный тем, что газовые пузырьки объединяются и газ улетучивается в атмосферу, тем самым ограничивая гарантийное время способности к детонации. (Колганов Е.В., Соснин В.А. Эмульсионные промышленные взрывчатые вещества. 1-я книга (Составы и свойства). - Дзержинск Нижегородской области: Изд-во ГосНИИ «Кристалл», 2009. 334 с).
Существующие физические способы сенсибилизации, при помощи микросфер, гранул высокопористых материалов, вспененного полистирола, перлита и т.д., так же не лишены недостатков. В случае физической сенсибилизации отмечается влияние материала микросфер на стабильность и взрывчатые свойства ЭВВ. При использовании пластмасс они действуют как дополнительное горючее, снижая содержание жидкой горючей фазы в эмульсии, что уменьшает ее стабильность. Существует также опасность их растворения в матрице ЭВВ и отрицательного воздействия на структуру граничной поверхности. (Колганов Е.В., Соснин В.А. Эмульсионные промышленные взрывчатые вещества. 1-я книга (Составы и свойства). Дзержинск Нижегородской области: Изд-во ГосНИИ «Кристалл», 2009, 334 с).
Использование стеклянных микросфер и перлита, в качестве сенсибилизаторов, также приводит к снижению взрывчатых характеристик, так, как эти материалы, стекло и перлит, являются флегматизаторами процесса детонации.
Использование микросфер, наполненных газом, ограничивается также условиями применения ЭВВ, в связи с эффектом схлопывания микросфер под воздействием низких температур или давления в глубоких скважинах.
К тому же, введение газовых полостей приводит к снижению плотности исходной матрицы и потери энергии в единице объема, что приводит к снижению взрывчатых характеристик, которые зависят, в том числе и от плотности вещества. Скорость детонации может быть определена в зависимости от энергетической характеристики ВВ, что видно из уравнения:
где QTV - теплота взрыва ВВ при постоянном объеме, Дж/кг.
где QTV - теплота взрыва ВВ при постоянном объеме, Дж/кг.
(Ландау Л.Д. Собрание трудов / Л.Д. Ландау. - Москва: Физматлит, 2008. - Том 1.4 «Определение скорости истечения продуктов детонации конденсированных взрывчатых веществ» (Совместно с К.П. Станюковичем), 1945 г.).
Наиболее близким из известного уровня техническим решением к заявляемому изобретению является способ получения улучшенной взрывчатой композиции типа "вода в масле", указанный в «Твердые сенсибилизаторы для водонефтяных эмульсионных взрывчатых веществ» (патент US 4453989 A, US - 12.06.1984, Класс МПК С06В 47/00, Заявитель Atlas Powder Company), следующей формулы: неорганические нитраты 10-90; неорганические перхлораты 0-30; Вода 4-20; Эмульгатор 0.2-5.0; углеродистые топлива 10; сенсибилизирующие/уплотняющие агенты 1-50; вспомогательные сенсибилизаторы 0-40; наполнители 0.25-10; дополнительные топлива 0-20, усовершенствования, включающие добавление указанных сенсибилизирующих/уплотняющих агентов к углеродсодержащей топливной фазе после эмульгирования указанной взрывчатой композиции типа вода-в-масле (ЭВВ), указанные уплотняющие агенты представляют собой феррофосфор, ферросилиций, ферромарганец, оксид алюминия, песок или их комбинацию, сенсибилизирующие/уплотняющие агенты достаточно тонко измельчают для прохождения через сито 80 Меш США.
Недостатками известного способа является использование опасных веществ -ферросплавов и алюминия в качестве сенсибилизаторов.
Например, ферросилиций - горючее вещество. Склонно к химическому самовозгоранию. При конц. кремния 33-75% масс, под действием воды выделяются сильно токсичные и самовозгорающиеся на воздухе газы: AsH3 и РН3; с окислителями взаимодействует со взрывом. (Корольченко А.Я., Корольченко Д.А. Пожаровзрывоопасность веществ и материалов и средства их тушения. Справочник в 2-х томах. М: Ассоциация «Пожнаука», 2004. 2-й том, 589 с.)
Алюминий также является горючим металлом. При взаимодействии алюминиевого порошка, стружки, фольги с влагой образуется оксид алюминия и выделяется большое количество тепла, приводящее к самовозгоранию при скоплении в кучах. Этому процессу способствует загрязненность указанных материалов маслами. Выделение свободного водорода при взаимодействии алюминиевой пыли с влагой облегчает ее взрыв. (Корольченко А.Я., Корольченко Д.А. Пожаровзрывоопасность веществ и материалов и средства их тушения. Справочник в 2-х томах. М: Ассоциация «Пожнаука», 2004. 1-й том 145 с.)
Использование сенсибилизаторов в составе масляной фазы, нивелирует главное преимущество ЭВВ - безопасность при изготовлении и перевозке и применении, т.к. в данном техническом решении предлагается осуществлять процесс эмульгирования в присутствии сенсибилизатора.
Технической задачей изобретения является получение водостойкого высокоплотного взрывчатого вещества на основе аммиачной селитры с повышенной мощностью в единице объема.
Технический результат от применения изобретения заключается в повышении взрывчатых характеристик, которые зависят от плотности вещества.
Решением данной технической задачи является способ изготовления ЭВВ путем сенсибилизации обратной эмульсионной матрицы, в которой в качестве дисперсной фазы выступает концентрированный раствор солей окислителя, а в качестве дисперсионной среды топливо - нефтепродукты и эмульгатор, твердыми невзрывчатыми компонентами, инертными по отношению к компонентам эмульсионной матрицы в нормальных условиях хранения.
Способ характеризуется тем, что твердые вещества, используемые в качестве сенсибилизаторов, должны быть подвергнуты процессу активации непосредственно перед смешением с эмульсионной матрицей, температура которой не должна превышать плюс 30°С. Активация твердого невзрывчатого компонента, должна быть проведена путем увеличения удельной поверхности твердого вещества с образованием концентраторов поверхностной энергии, которыми являются поверхности большой кривизны, т.е. раскалыванием гранул и регулировкой гранулометрического состава.
Эмульсионная матрица представляет собой дисперсную систему жидкость (раствор окислителей) в жидкости (жидкие нефтепродукты и эмульгаторы) - Ж/Ж. Так как эмульсионная матрица, состоящая из окислителя и топлива, сама по себе является взрывчатым веществом с низким уровнем чувствительности. Для повышения чувствительности предлагается ввести в дисперсную структуру Ж/Ж твердый активированный невзрывчатый компонент (АНК), сформировав дисперсную структуру Т/(Ж/Ж), в то время как известные из уровня техники взрывчатые композиции имеют структуру Т/(Ж/Ж)/Г или Г/(Ж/Ж).
Характерным признаком систем Т/(Ж/Ж) является гетерогенность и наличие межфазной поверхности, следовательно, предполагает наличие поверхностного натяжения. Поверхностное натяжение определяет, степень гетерогенности, резкость перехода от одной фазы к другой, различие между соприкасающимися фазами. Чем сильнее выражена гетерогенность и чем более резко отличаются соприкасающиеся фазы по своей природе, тем больше поверхностное натяжение. Второй признак - дисперсность, определяется размером, площади поверхности. Произведение поверхностного натяжения на площадь поверхности дает поверхностную энергию.
Величина поверхностного натяжения зависит от радиуса кривизны капли. Очевидно, что чем меньше радиус кривизны частиц дисперсной фазы, тем больше суммарная сила, то есть чем меньше радиус кривизны R капли, тем больше поверхностное натяжение или свободная поверхностная энергия. (Wang Xuguang. Emulsion explosives. Metallurgical Industry Press, Beijing, 1994)
Используя концентраторы поверхностной энергии в качестве «горячих точек», способных поддержать детонационные процессы, можно сенсибилизировать эмульсионную матрицу, без использования газовых полостей.
Свободная поверхностная энергия также связана с температурой. Поверхностное натяжение большинства жидкостей имеет тенденцию понижаться при повышении температуры. Например, поверхностное натяжение воды при температуре 20°С составляет 7,28×10-4 Н/см, но при температуре 56°С оно равно 6,618×10-4 H/см. (Wang Xuguang. Emulsion explosives. Metallurgical Industry Press, Beijing, 1994. стр 15-17)
Из чего следует, что сенсибилизацию обратной эмульсионной матрицы активированными невзрывчатыми веществами необходимо проводить при низких температурах, то есть после остывания ниже плюс 30°С.
Активированный невзрывчатый компонент (АНК) должен отвечать следующим критериями:
- участвовать в окислительно-восстановительной реакции и повышать общую химическую энергию системы;
- обладать большой удельной поверхностью, имеющей достаточную для поддержания детонационных процессов поверхностную энергию;
- иметь поверхности большой кривизны, для создания большей поверхности натяжения и свободной поверхностной энергии;
- быть химически инертен по отношению к компонентам эмульсионной матрицы в нормальных условиях хранения и производства;
- иметь плотность, позволяющую создавать стабильную суспензию на основе эмульсионной матрицы;
- повышать общую плотность системы, для улучшения взрывчатых характеристик.
К таким активированным невзрывчатым компонентам (АНК) можно отнести мелкоизмельченные селитры (натриевую, аммиачную, кальциевую, калиевые и пр.), порошки горючих металлов, измельченный уголь, каменный, бурый, древесный и т.д.
Для решения технической задачи был разработан суспензионный высокоплотный взрывчатый состав (далее взрывчатый состав), изготовляемый вышеуказанным способом, представляющий собой суспензию на основе обратной эмульсионной матрицы, сенсибилизированную АНК в виде окислителя и/или в виде топлива.
Процентное содержание компонентов в таком составе:
Обратная эмульсионная матрица от 90% до 40% (по массе)
АНК от 10% до 60% (по массе)
АНК может быть получен, как на основе окислителя (селитр аммиачной, натриевой, кальциевой и т.д.), так и на основе топлива измельченный уголь (каменный, бурый, древесный).
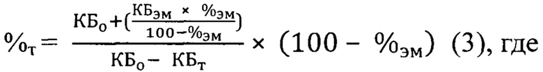
При необходимости добиться стехиометрического равновесия, количество топлива (п. 2 и п. 3) рассчитывается по формуле:
%т - процентное содержание по массе топлива (п. 3 и п. 4);
КБо - кислородный баланс окислителя;
КБэм - кислородный баланс эмульсионной матрицы;
КБт - кислородный баланс топлива;
%эм - % содержание эмульсионной матрицы по массе
Широкий диапазон соотношения жидкой и твердой фаз суспензии позволяют получить взрывчатые высокоплотные составы различной вязкости, что улучшает стабильность состава в проточной воде, а также позволяет составу удерживаться в восстающих скважинах.
В качестве эмульсионной матрицы может быть использована любая эмульсионная матрица, выпускаемая химической промышленностью для изготовления аммиачно-селитренных эмульсионных ВВ, и удовлетворяющая следующим требованиям:
- обратная эмульсионная матрица, типа вода в масле, в которой в качестве дисперсной фазы выступает концентрированный раствор солей окислителя (аммиачная, натриевая или кальциевая селитры и пр.), а в качестве дисперсионной среды топливо в виде жидких нефтепродуктов (нефтяные масла, дизельное топливо, парафины и пр.) и поверхностно-активного вещества - эмульгатора.
- содержание воды не более 22% (по массе);
- содержание солей окислителя не менее 75% (по массе);
- обратная эмульсионная матрица должна оставаться стабильной при температурах эксплуатации от плюс 30°С, до минус 35°С;
- допускается присутствие добавок: ингибиторов, в том числе для купирования самопроизвольной химической реакции при разрушении сульфидных руд, катализаторов и веществ, используемых для регулировки уровня рН в размере не более 5% (масс);
- допускается присутствие антифризов (этиленгликоля и пр.);
В качестве АНК (окислителя) используются селитры аммиачная, кальциевая, натриевая и т.д.
В качестве АНК (топливо) используются каменный, бурый, древесный уголь. Степень дисперсности и количество АНК необходимо выбирать из следующего условия:
ΣЕАНК - суммарная поверхностная энергия АНК;
ΣЕС - суммарная поверхностная энергия, образующаяся на поверхностях раздела фаз в дисперсионной системе Г/(Ж/Ж) между эмульсионной матрицей и сенсибилизирующими газовыми полостями для соответствующего эмульсионного взрывчатого вещества из известного уровня техники.
Способ изготовления водосодержащих ВВ реализуют следующим образом.
Примеры конкретного выполнения способа
Пример 1.
Для изготовления взрывчатого состава была взята эмульсионная матрица, используемая для изготовления ЭВВ, известного из уровня техники (ЭВВ исходное) не чувствительного к первичным средствам инициирования и фактическим критическим диаметром детонации открытого заряда 160 мм, плотностью 1,05-1,25 г/см3
Содержание компонентов состава №1:
Эмульсионная матрица - 70% по массе;
АНК - гранулированная аммиачная селитра высокой плотности (плотность гранул 1,7 г/см3, насыпная плотность 1 г/см3) - 30% по массе.
Гранулированная аммиачная селитра была активирована при помощи малогабаритного устройства регулировки гранулометрического состава (УРГС) аммиачной селитры, в котором совмещены функции измельчения (раскалывания гранул) и сепарации.
Гранулометрический состав АНК, после активации представлен на графике (Фиг. 1)
Температура эмульсионной матрицы при изготовлении состава равнялась температуре окружающей среды и составляла 20°С, плотность 1,38 г/см3.
Смешение 70% по массе эмульсионной матрицы и 30% по массе, обработанной в УРГС аммиачной селитре производилось при температуре 20°С, в течении 15 мин гравитационным смесителем периодического действия. Плотность состава №1 составила 1,45 г/см3
Из данного состава были изготовлены заряды диаметром 90 мм, 70 мм, 60 мм, 50 мм в бумажной оболочке. Результаты испытаний данных зарядов приведены в таблице 1.
Сравнительные экспериментальные и расчетные характеристики полученного высокоплотного взрывчатого вещества и исходного ЭВВ представлены в таблице 2.
Состав №1 имеет более высокую плотность большую объемную концентрацию энергии относительно исходного ЭВВ.
Испытания состава №1 на блоке Бородинского угольного разреза показали сравнительно большую эффективность дробления горной породы относительно исходного ЭВВ. Акт испытаний прилагается.
Для повышения чувствительности взрывчатого вещества следует увеличить количество и степень дисперсности твердых сенсибилизирующих добавок.
Пример 2.
Для изготовления взрывчатого состава №2 была взята эмульсионная матрица, используемая для изготовления ЭВВ, известного из уровня техники (ЭВВ исходное) не чувствительного к первичным средствам инициирования и фактическим критическим диаметром детонации 160 мм, плотностью 1,05-1,25 г/см3
Содержание компонентов состава №2:
Эмульсионная матрица - 50% по массе;
АНК - активированная гранулированная аммиачная селитра низкой плотности (насыпная плотность 0,8 г/см3) - 50% по массе.
Гранулированная аммиачная селитра низкой плотности была активирована при помощи установки регулировки гранулометрического состава периодического действия, время обработки 20 сек. Гранулометрический состав после обработки показан на фиг. 2.
Смешение производилось при температуре 15°С при помощи гравитационного смесителя периодического действия.
Полученный состав №2 был испытан на чувствительность к первичным средствам инициирования и критический диаметр.
Полученные экспериментальные и расчетные характеристики указаны в таблице 3
Объемная концентрация энергии состава №2 превышает аналогичный показатель Гранулотола насыпной плотностью.
| название | год | авторы | номер документа |
|---|---|---|---|
| Эмульсионное взрывчатое вещество (варианты) | 2020 |
|
RU2753071C1 |
| СПОСОБ ИЗГОТОВЛЕНИЯ ЭМУЛЬСИОННОГО ВЗРЫВЧАТОГО ВЕЩЕСТВА И ЭМУЛЬСИОННОЕ ВЗРЫВЧАТОЕ ВЕЩЕСТВО, ИЗГОТОВЛЕННОЕ ЭТИМ СПОСОБОМ | 2009 |
|
RU2388735C1 |
| СПОСОБ ПРИГОТОВЛЕНИЯ ВЗРЫВЧАТОГО ВЕЩЕСТВА | 1996 |
|
RU2120928C1 |
| СПОСОБ ПРИГОТОВЛЕНИЯ ЭМУЛЬСИИ ЭМУЛЬСИОННЫХ ВЗРЫВЧАТЫХ ВЕЩЕСТВ | 1998 |
|
RU2133009C1 |
| СМЕСЬ УГЛЕВОДОРОДОВ ДЛЯ ПРОИЗВОДСТВА ЭМУЛЬСИОННЫХ ВЗРЫВЧАТЫХ СОСТАВОВ И ЭМУЛЬСИОННЫЙ ВЗРЫВЧАТЫЙ СОСТАВ НА ЕЁ ОСНОВЕ (ВАРИАНТЫ) | 2014 |
|
RU2605111C2 |
| ЭМУЛЬСИОННОЕ ВЗРЫВЧАТОЕ ВЕЩЕСТВО ДЛЯ СУЛЬФИДСОДЕРЖАЩИХ ГОРНЫХ ПОРОД | 2021 |
|
RU2755069C1 |
| Способ изготовления взрывчатого вещества на основе аммиачной селитры | 2021 |
|
RU2792930C2 |
| Способ изготовления взрывчатого вещества на основе измельченной аммиачной селитры | 2019 |
|
RU2735073C1 |
| СПОСОБ СЕНСИБИЛИЗАЦИИ ЭМУЛЬСИОННЫХ ВЗРЫВЧАТЫХ ВЕЩЕСТВ | 2008 |
|
RU2381203C2 |
| ЭМУЛЬСИОННЫЙ ВЗРЫВЧАТЫЙ СОСТАВ И СПОСОБ ЕГО ПОЛУЧЕНИЯ | 2004 |
|
RU2277523C2 |
Изобретение относится к производству эмульсионных взрывчатых веществ на основе аммиачной селитры, изготавливаемых на местах ведения взрывных работ, и может быть использовано в горнодобывающей промышленности, строительстве. При изготовлении водоустойчивых высокоплотных суспензионных составов взрывчатых веществ осуществляют сенсибилизацию обратной эмульсионной матрицы твердыми компонентами. Используют обратную эмульсионную матрицу, представляющую собой систему жидкость в жидкости, в которой в качестве дисперсной фазы выступает концентрированный раствор солей окислителя, а в качестве дисперсионной среды - топливо и эмульгатор. Сенсибилизируют твердыми активированными невзрывчатыми компонентами в виде окислителя и/или в виде топлива, инертными по отношению к компонентам эмульсионной матрицы. Содержание компонентов в суспензионном составе следующее,: обратная эмульсионная матрица от 90 до 40 мас.%, активированные невзрывчатые компоненты от 10 до 60 мас.%, топливо на основе жидких углеводородов - нефтяные масла, дизельное топливо - в количестве, необходимом для достижения стехиометрического баланса. Активацию сенсибилизирующих невзрывчатых компонентов осуществляют путем их измельчения с регулировкой гранулометрического состава и увеличением удельной поверхности твердого вещества непосредственно перед смешенеием с эмульсионной матрицей. Сенсибилизацию твердыми активированными невзрывчатыми компонентами осуществляют при температуре не выше 30°С. Технический результат от применения изобретения заключается в повышении взрывчатых характеристик, которые зависят от плотности вещества. 3 з.п. ф-лы, 2 ил., 3 табл., 2 пр.
1. Способ изготовления водоустойчивых высокоплотных суспензионных составов взрывчатых веществ путем сенсибилизации обратной эмульсионной матрицы твердыми компонентами, отличающийся тем, что обратную эмульсионную матрицу, представляющую собой систему жидкость в жидкости, в которой в качестве дисперсной фазы выступает концентрированный раствор солей окислителя, а в качестве дисперсионной среды - топливо и эмульгатор, сенсибилизируют твердыми активированными невзрывчатыми компонентами в виде окислителя и/или в виде топлива, инертными по отношению к компонентам эмульсионной матрицы, со следующим содержанием компонентов в суспензионном составе:
- обратная эмульсионная матрица от 90 до 40 мас.%,
- активированные невзрывчатые компоненты от 10 до 60 мас.%,
- топливо на основе жидких углеводородов - нефтяные масла, дизельное топливо - в количестве, необходимом для достижения стехиометрического баланса,
при этом активацию сенсибилизирующих невзрывчатых компонентов осуществляют путем их измельчения с регулировкой гранулометрического состава и увеличением удельной поверхности твердого вещества непосредственно перед смешенеием с эмульсионной матрицей, а сенсибилизацию твердыми активированными невзрывчатыми компонентами осуществляют при температуре не выше 30°С.
2. Способ по п. 1, отличающийся тем, что эмульсионную матрицу сенсибилизируют твердым активированным компонентом на основе окислителя в виде аммиачной селитры, или натриевой селитры, или кальциевой селитры.
3. Способ по п. 1, отличающийся тем, что эмульсионную матрицу сенсибилизируют твердым активированным компонентом в виде топлива, представленного в виде измельченного каменного, и/или бурого, и/или древесного угля, или их смесей.
4. Способ по п. 1, отличающийся тем, что эмульсионную матрицу сенсибилизируют твердым активированным компонентом, представляющим собой смесь измельченного топлива, а именно угля - каменного, бурого, древесного и окислителя - аммиачной селитры, или натриевой селитры, или кальциевой селитры.
| ВАНГ КСЮГУАНГ, Эмульсионные взрывчатые вещества, перевод монографии издания Metallurgical Industry Press, Beijing, 1994, Москва-Красноармейск, 2002, 380 с., с.192-193, 200-202, 205 | |||
| ЭМУЛЬСИОННОЕ ВЗРЫВЧАТОЕ ВЕЩЕСТВО | 2009 |
|
RU2383519C1 |
| СПОСОБ СЕНСИБИЛИЗАЦИИ ЭМУЛЬСИОННЫХ ВЗРЫВЧАТЫХ ВЕЩЕСТВ | 2008 |
|
RU2381203C2 |
| Матричная эмульсия для приготовления эмульсионного взрывчатого состава | 2020 |
|
RU2745222C1 |
| US 5123981 A, 23.06.1992 | |||
| СПОСОБ ФОРМИРОВАНИЯ ВОДОНАПОЛНЯЕМОГО ВЗРЫВЧАТОГО ВЕЩЕСТВА И ЗАРЯДА ВОДОНАПОЛНЕННОГО ВЗРЫВЧАТОГО ВЕЩЕСТВА, ВОДОНАПОЛНЯЕМОЕ ВЗРЫВЧАТОЕ ВЕЩЕСТВО (ВАРИАНТЫ) | 2001 |
|
RU2207331C2 |
| СПОСОБ ПРИГОТОВЛЕНИЯ АММИАЧНО-СЕЛИТРЕННЫХ ЭМУЛЬСИОННЫХ ВЗРЫВЧАТЫХ ВЕЩЕСТВ (ГРАНУЛИТА ЭТ) | 1996 |
|
RU2111197C1 |
| RU | |||
Авторы
Даты
2025-03-11—Публикация
2022-09-30—Подача