Изобретение относится к области космической техники и предназначено для использования при создании систем терморегулирования (СТР) мощных космических аппаратов (КА) с энергопотреблением 25-30 кВт. Изобретение также может быть использовано в системах авиационной и транспортной техники.
Согласно патенту RU № 2779774 [1] в мощных КА, например телекоммукационных, необходимо применять гидравлические электронасосы - электронасосные агрегаты (ЭНА), ротор которых вращается с частотой вращения, например 10 000 об/мин, на гидродинамических опорах скольжения, обеспечивая на выходе ЭНА напор 2 кгс/см2 с расходом жидкого теплоносителя 160-200 см3/с, например монофазного теплоносителя ЛЗ-ТК-2 (на основе изооктана). Как показывает опыт, при применении теплоносителя ЛЗ-ТК-2 обеспечивается наилучшая энерго-массовая характеристика СТР (смотрите [1] : абзацы описания: 1, 2, 4, 7 (первое предложение), 9, 10 (пункт 2)).
Как показал анализ научно-технической литературы и известной патентной информации, в настоящее время для применения в мощном КА [1] известен герметичный многоступенчатый центробежный электронасос согласно патенту RU № 2791265 [2].
Согласно [2] (смотрите : реферат, фиг. 1, фиг. 2) на концах вала электродвигателя установлены два одинаковых центробежных колеса закрытого типа. Ротор электродвигателя с колесами и шнеком, установленным на входе в колесо первой, входной ступени, вращаются на одинаковых радиально-упорных гидродинамических опорах скольжения (совмещенных опорах).
Согласно [1] для обеспечения длительного ресурса (путем снижения вибраций ЭНА) необходимо стремиться, чтобы радиальная и осевая силы, действующие на гидродинамических совмещенных опорах, были минимально возможными, так как основной причиной возникновения вибраций в ЭНА являются вибрации гидродинамического происхождения (в случае возникновения кавитации). Как показал анализ, в [1] и [2] реализуются минимально возможные радиальные силы (с учетом обеспечения чистоты теплоносителя и отсутствия процесса облитерации капиллярных щелей). Также необходимо обеспечить минимально допустимую осевую результирующую силу (следует отметить, она должна быть минимально возможной, но не равна нулю, так как при равенстве противоположно направленных осевых сил возникают колебания ротора в осевых направлениях с созданием повышенных вибраций).
Проанализируем, каковы осевые силы в гидродинамических радиально-упорных опорах скольжения [2].
Из анализа конструкции жидкостных контуров и ЭНА, используемых в настоящее время (например, КА «Экспресс-АМ5»), следует, что внутренний диаметр жидкостных трактов находится в диапазоне 12-16 мм, то есть в среднем 14 мм. Тогда в [2] входной диаметр ЭНА предпочтительно принять равным 14 мм (площадь проходного сечения 1,54 см2) - из фиг. 1 и 2 [2] видно: такая же проходная площадь и на входе в первую ступень и на входе во вторую ступень ЭНА [2]. Если на входе в первую ступень ЭНА давление равно 1 атм (1,02 кгс/см2), то на входе во вторую ступень ЭНА (согласно оценке численного анализа) давление равно 2,063 кгс/см2, то есть больше на величину напора, обеспечиваемого от входа в первую ступень до входа во вторую ступень (то есть около половины от суммарного напора 2 кгс/см2). С учетом того, что, как показал анализ работы ЭНА [2], осевые силы, действующие на колесо первой ступени от диаметра 30 мм до диаметра 14 мм, направленные в сторону входа в рабочее колесо первой ступени, превышают подобные силы второй ступени: следовательно, после запуска в работу ЭНА колесо второй ступени прижимается к радиальной кольцевой плоской поверхности скольжения радиально-упорного подшипника второй ступени, а колесо первой ступени смещается в сторону входа первой ступени, образуя зазор между радиальной кольцевой плоской поверхностью скольжения радиально-упорного подшипника первой ступени и диском (ведущим) колеса первой ступени.
Используя конструктивные параметры ЭНА [1], методики расчетов и данные, приведенные в научно-технических источниках:
Краев М.В., Лукин В.А., Овсянников Б.В. Малорасходные насосы авиационных и космических систем. М.: «Машиностроение», 1985 (смотрите, в частности, таблицу 2.2 на страницах 43-45) [3];
Башта Т.М. Машиностроительная гидравлика. Справочное пособие. «Машиностроение», 1971 (смотрите формулы 86,94,98) [4];
Васильцов Э.А., Невелич В.В. Герметичные электронасосы. «Машиностроение». Ленинград, 1968 (смотрите страницу 196) [5];
Н.Б. Варгафтик. Справочник по теплофизическим свойствам газов и жидкостей, М.: Наука, 1972 (смотрите характеристики изооктана - страницы 274-277) [6];
Интернет: https://studref.com/472216/tehnika/trenie_pyatah Трение в пятах - Теория механизмов и машин (смотрите формулу 7.1бб) [7];
Белгородский государственный национальный исследовательский университет. Институт инженерных технологий и естественных наук. Кафедра материаловедения и нанотехнологий. Трибологические свойства алмазоподобных углеродных покрытий (смотрите первый абзац сверху в Введении и рисунок 3.1.11: коэффициент трения
≈ 0,2 – в случае кипения теплоносителя [8] и
≈ 0,05 – в случае отсутствия кипения теплоносителя) авторами проведен численный анализ по определению величины суммарной осевой силы, действующей в конструкции ЭНА, выполненного согласно [2].
В результате численного анализа установлено: возникающая при стабильной работе ЭНА [2] (на начальном этапе после запуска электродвигателя в течение приблизительно 7 секунд - до начала кипения теплоносителя в подшипнике скольжения во второй ступени) суммарная осевая сила, складывается из следующих основных составляющих:
1) внутренние диаметры и площади патрубков (жидкостных трактов) на входе в шнек и на входе в колесо второй ступени одинаковы (по 14 мм и 1,54 см2), расходы жидкости (теплоносителя ЛЗ-ТК-2) одинаковы (например 180 см3/с), давления различны: на входе в первую ступень 1,02 кгс/см2, а на входе в колесо второй ступени 2,063 кгс/см2; следовательно, осевая сила, действующая на ротор (на площади диаметром 14 мм), направленная в сторону входа в первую ступень, равна F1 = 1,54 ⋅ (2,063 - 1,03) = 1,606 кгс; следовательно, осевые силы, действующие во второй ступени и в первой ступени, взаимно не уравновешены;
2) рассматриваем колесо первой ступени: выше было указано, что в процессе работы ЭНА колесо второй ступени прижато со своей поверхностью диска к поверхности опоры второй ступени, а между упорной поверхностью опоры первой ступени и диском колеса первой ступени образовался зазор: следовательно, среднее давление, действующее на поверхность диска колеса первой ступени (на площади, образованной между внешним диаметром диска, и диаметром входа в первую ступень, соответственно равные 30 мм и 14 мм) больше давления, действующего на такую же площадь покрывного диска колеса первой ступени: численный анализ показал, что эти давления равны соответственно 1,628 кгс/см2 и 1,434 кгс/см2 на кольцевых площадях 6,737 см2 и 5,529 см2: тогда осевая сила F2, действующая в сторону входа ЭНА при расходе теплоносителя 180 см3/с, равна F2 = 1,628 ⋅ 6,737 - 1,434 ⋅ 5,529 = 3,039 кгc; следовательно, и осевые силы, действующие в первой ступени взаимно не уравновешены;
3) из анализа следует, что в колесе выходной - второй ступени осевые силы, подобные действующим в первой ступени, взаимно близки (в результате выбора оптимальной площади скольжения радиальной поверхности подшипника); анализ также показал, что осевые силы, действующие на ротор в осевых направлениях ввиду небольшого гидравлического сопротивления из-за небольших расходов протечки теплоносителя в зазорах (в канавках) между внешними поверхностями ротора и внутренними поверхностями корпуса, например, как показывают расчёты, в случае до 0,3-0,5 см3/с, отличаются несущественно;
4) таким образом, суммарная неуравновешенная осевая сила, действующая на ротор ЭНА [2], направленная в сторону входа в ЭНА, не менее F∑ ≥ F1 + F2 = 1,606 + 3,039 = 4,645 кгс (дисбаланс осевых сил).
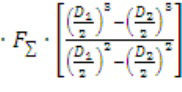
Следовательно, в конструкции ЭНА [2] во второй ступени неподвижная опорная кольцевая поверхность (с диаметрами
) радиально-упорного подшипника скольжения (подпятник) и вращающаяся радиальная поверхность колеса (пята) образуют вращательную пару. Таким образом, на поверхности касания неподвижного подпятника и вращающейся пяты возникает сила трения (верчения), подчиняющаяся законам трения Амонтона-Кулона. В этом случае момент трения Мтр в нашем случае описывается формулой (2) (см. формулу 7.1бб в [7]):
(1)
С учетом
,
, окончательно получим формулу 

(2)
Тогда в рассматриваемом ЭНА после включения его в работу (до начала кипения
≈ 0,05).
Потеря мощности на трение N равна 
, которая выделяется в виде тепла.
Анализ показал, под воздействием выделившегося тепла в течение приблизительно 7 секунд диск и опора нагреваются до не менее 135°С, протечка теплоносителя через радиальные канавки, предусмотренные на радиальной кольцевой упорной поверхности подшипника второй ступени, вскипает и полностью превращается в пар, имеющего температуру около 135°С с давлением на выходе из радиального зазора около 2,48 кгс/см2, так как суммарная величина протечки через радиальные канавки, предусмотренные на радиально-упорной поверхности подшипника, не превышает 0,52 мм3/с (для нагревания этого количества расхода теплоносителя на основе изооктана до 135°С и полного превращения в результате кипения в пар достаточна тепловая мощность
а согласно расчёту выделяется тепло
). Давление этого пара на выходе из подшипника второй ступени в полость электродвигателя (в зазоре вблизи торца ротора) мгновенно снижается и паровые пузыри схлопываются (кавитация), что приводит к возникновению вибраций ротора с колёсами и шнеком и всего ЭНА из-за колебаний ротора электродвигателя в осевых направлениях с возникновением ударных нагрузок. Следовательно, при этом происходит повышенный износ гидродинамических подшипников, что в свою очередь запускает режимы работы ЭНА с еще более увеличивающимися вибрациями, что приведет к преждевременному отказу ЭНА. Кроме того, высокие вибрации недопустимы в современных КА для обеспечения работы его высокоточных приборов (например, системы ориентации, крупногабаритных антенн и т.п.). Следует отметить, что похожими недостатками обладают и двухступенчатые ЭНА, разработанные по патентам RU № 2574782 [9], RU № 2618777 [10], RU № 2695869 [11]; кроме того они тяжелее ЭНА [2] приблизительно в 1,3-1,5 раза.
Таким образом, существенными недостатками прототипа [2] являются невозможность обеспечения требований надежности и ресурса в условиях эксплуатации в составе КА на орбите из-за кипения теплоносителя во второй ступени и повышенных вибраций приблизительно через 7 секунд после начала работы ЭНА, которые с течением времени работы ещё сильнее повышаются, так как в прототипе [2] в процессе работы ЭНА осевые силы не уравновешены.
Для заявленного изобретения выявлены следующие общие с прототипом существенные признаки: герметичный многоступенчатый центробежный электронасос, содержащий электродвигатель, корпусные элементы, радиально-упорные подшипниковые узлы, радиальные кольцевые плоские поверхности скольжения которых совмещены с радиальными плоскими поверхностями скольжения, образованными на радиальных внешних поверхностях ведущих дисков центробежных колес закрытого типа входной первой и выходной второй ступеней, расположенными с разных сторон по оси электродвигателя и обращёнными всасывающими частями от последнего, при этом перед всасывающей частью входной ступени по ходу движения жидкости установлен предвключённый шнек, а ступени сообщены между собой посредством каналов в корпусе статора электродвигателя, направляющий аппарат выходной ступени в корпусе электронасоса.
Поставленная авторами техническая задача заключается в устранении вышеуказанных существенных недостатков известной конструкции ЭНА [2].
Технический результат изобретения заключается в исключении закипания теплоносителя и снижении вибраций насоса и достигается следующим образом:
В герметичном многоступенчатом центробежном электронасосе, содержащем электродвигатель, корпусные элементы, радиально-упорные подшипниковые узлы, радиальные кольцевые плоские поверхности скольжения которых совмещены с радиальными плоскими поверхностями скольжения, образованными на радиальных внешних поверхностях ведущих дисков центробежных колес закрытого типа входной первой и выходной второй ступеней, расположенными с разных сторон по оси электродвигателя и обращёнными всасывающими частями от последнего, при этом перед всасывающей частью входной ступени по ходу движения жидкости установлен предвключённый шнек, а ступени сообщены между собой посредством каналов в корпусе статора электродвигателя, направляющий аппарат выходной ступени в корпусе электронасоса, центробежное колесо закрытого типа входной ступени выполнено с разгрузочными отверстиями (например, 8 отверстий диаметром 1,5 мм, равномерно расположенных на диаметре диска 11 мм) в ведущем диске для снижения осевой силы, возникающей при его работе до минимально возможного значения, например до 0,25 кгс, а геометрические параметры и количество канавок, предусмотренных на упорных поверхностях скольжения подшипника выходной ступени, выполнены обеспечивающими такую же величину расхода теплоносителя через них в направлении к осевой цилиндрической поверхности скольжения подшипника входной ступени, какую величину расхода обеспечивает пропускная способность щелевого канала между осевой цилиндрической поверхностью скольжения с канавками подшипника входной ступени и поверхностью скольжения вала ротора, например 0,3-0,5 см3/с, что и является существенными отличительными признаками предлагаемого герметичного многоступенчатого центробежного электронасоса.
Таким образом, на основе данных численного анализа в предложенном авторами ЭНА СТР КА дисбаланс осевых динамических нагрузок уменьшен до такой величины (было 4,645 кгс, стало 1,656 кгс) в результате выполнения разгрузочных отверстий на ведущем диске колеса первой ступени, и одновременно суммарный расход протечки теплоносителя через канавки, предусмотренные на упорных поверхностях скольжения подшипника второй ступени, повышен изменением геометрических параметров канавок (было 0,52 мм3/с, стало 0,3-0,5 см3/с), которые обеспечивают гарантированное исключение вскипания теплоносителя (причём коэффициент трения уменьшается с
≈ 0,2 до
≈ 0,05, а температура теплоносителя в каналах и полостях ЭНА не превышает 75°С ).
Следовательно, в результате этого обеспечивается существенное снижение вибраций конструкции ЭНА и повышение надежности работы в течение длительного требуемого срока эксплуатации ЭНА, СТР и КА в целом, то есть, таким образом, устранены существенные недостатки известного электронасоса.
| название | год | авторы | номер документа |
|---|---|---|---|
| Способ испытаний герметичного многоступенчатого центробежного электронасоса | 2024 |
|
RU2838112C1 |
| Система терморегулирования космического аппарата | 2022 |
|
RU2779774C1 |
| ГЕРМЕТИЧНЫЙ МНОГОСТУПЕНЧАТЫЙ ЦЕНТРОБЕЖНЫЙ ЭЛЕКТРОНАСОС | 2021 |
|
RU2791265C2 |
| Способ обеспечения качества изготовления электромеханического устройства космического аппарата | 2021 |
|
RU2771091C1 |
| ЦЕНТРОБЕЖНЫЙ МНОГОСТУПЕНЧАТЫЙ ГОРИЗОНТАЛЬНЫЙ ДВУХОПОРНЫЙ НАСОС ДЛЯ ПЕРЕКАЧИВАНИЯ НЕФТИ И НЕФТЕПРОДУКТОВ | 2024 |
|
RU2827928C1 |
| ЭЛЕКТРОНАСОСНЫЙ АГРЕГАТ | 2008 |
|
RU2396464C2 |
| Погружной многоступенчатый центробежный насос | 1990 |
|
SU1763719A1 |
| ГОРИЗОНТАЛЬНАЯ МНОГОСТУПЕНЧАТАЯ СЕКЦИОННАЯ ЦЕНТРОБЕЖНАЯ НАСОСНАЯ УСТАНОВКА | 2015 |
|
RU2600662C1 |
| СПОСОБ ИСПЫТАНИЙ НА РЕСУРС ЦЕНТРОБЕЖНОГО ЭЛЕКТРОНАСОСНОГО АГРЕГАТА СИСТЕМЫ ТЕРМОРЕГУЛИРОВАНИЯ КОСМИЧЕСКОГО АППАРАТА | 2009 |
|
RU2402464C1 |
| УПОРНЫЙ ПОДШИПНИК СКОЛЬЖЕНИЯ ДЛЯ ВАЛОВ ПОГРУЖНЫХ ЦЕНТРОБЕЖНЫХ ЭЛЕКТРОНАСОСОВ | 2007 |
|
RU2376505C2 |
Изобретение относится к области космической техники и предназначено для использования в системах терморегулирования (СТР) космических аппаратов (КА) с энергопотреблением от 25 до 30 кВт (и более). Герметичный многоступенчатый центробежный электронасос, содержащий электродвигатель, корпусные элементы, радиально-упорные подшипниковые узлы, радиальные кольцевые плоские поверхности скольжения которых совмещены с радиальными плоскими поверхностями скольжения, образованными на радиальных внешних поверхностях ведущих дисков центробежных колес закрытого типа входной (первой) и выходной (второй) ступеней, расположенными с разных сторон по оси электродвигателя и обращёнными всасывающими частями от последнего, при этом перед всасывающей частью входной ступени по ходу движения жидкости установлен предвключённый шнек, а ступени сообщены между собой посредством каналов в корпусе статора электродвигателя, направляющий аппарат выходной ступени в корпусе электронасоса, причём центробежное колесо закрытого типа входной ступени выполнено с разгрузочными отверстиями (например, 8 отверстий диаметром 1,5 мм, равномерно расположенных на диаметре диска 11 мм) в ведущем диске для снижения осевой силы, возникающей при его работе до минимально возможного значения, например до 0,25 кгс, а геометрические параметры и количество канавок, предусмотренных на упорных поверхностях скольжения подшипника выходной ступени, выполнены обеспечивающими такую же величину расхода теплоносителя через них в направлении к осевой цилиндрической поверхности скольжения подшипника входной ступени, какую величину расхода обеспечивает пропускная способность щелевого канала между осевой цилиндрической поверхностью скольжения с канавками подшипника входной ступени и поверхностью скольжения вала ротора, например 0,3-0,5 см3/с. В результате этого в предложенном ЭНА СТР КА гарантируется исключение кипения, затем схлопывания и конденсации теплоносителя в полостях ЭНА, то есть тем самым обеспечено существенное снижение вибраций конструкции ЭНА и повышена надежность работы в течение длительного срока эксплуатации ЭНА, СТР и КА в целом. 1 з.п. ф-лы.
1. Герметичный многоступенчатый центробежный электронасос, содержащий электродвигатель, корпусные элементы, радиально-упорные подшипниковые узлы, радиальные кольцевые плоские поверхности скольжения которых совмещены с радиальными плоскими поверхностями скольжения, образованными на радиальных внешних поверхностях ведущих дисков центробежных колес закрытого типа входной первой и выходной второй ступеней, расположенными с разных сторон по оси электродвигателя и обращёнными всасывающими частями от последнего, при этом перед всасывающей частью входной ступени по ходу движения жидкости установлен предвключённый шнек, а ступени сообщены между собой посредством каналов в корпусе статора электродвигателя, направляющий аппарат выходной ступени в корпусе электронасоса, отличающийся тем, что центробежное колесо закрытого типа входной ступени выполнено с разгрузочными отверстиями в ведущем диске, а геометрические параметры и количество канавок, предусмотренных на упорных поверхностях скольжения подшипника выходной ступени, выполнены обеспечивающими такую же величину расхода теплоносителя через них в направлении к осевой цилиндрической поверхности скольжения подшипника входной ступени, какую величину расхода обеспечивает пропускная способность щелевого канала между осевой цилиндрической поверхностью скольжения с канавками подшипника входной ступени и поверхностью скольжения вала ротора.
2. Герметичный многоступенчатый центробежный электронасос по п.1, отличающийся тем, что пропускная способность щелевого канала составляет 0,3-0,5 см3/с.
| ГЕРМЕТИЧНЫЙ МНОГОСТУПЕНЧАТЫЙ ЦЕНТРОБЕЖНЫЙ ЭЛЕКТРОНАСОС | 2021 |
|
RU2791265C2 |
| US 5888053 A1, 30.03.1999 | |||
| US 3022739 A1, 27.02.1962 | |||
| МНОГОСТУПЕНЧАТЫЙ ГЕРМЕТИЧНЫЙ НАСОС | 2007 |
|
RU2364753C1 |
| Многоступенчатый центробежный электронасос | 1990 |
|
SU1758289A1 |
Авторы
Даты
2025-05-28—Публикация
2024-08-29—Подача