Способ дистанционной оценки загрязнения почвы тяжелыми металлами Российский патент 2025 года по МПК G01N33/24 

Описание патента на изобретение RU2840899C1

Изобретение относится к способам экологического мониторинга, в частности дистанционным методам экологического мониторинга, и может найти применение при дистанционном мониторинге территорий, находящихся под воздействием антропогенной деятельности, и разработки системы мер по предотвращению негативных последствий.

Мониторинг предполагает не только наблюдение за процессом или явлением, но также его оценку, прогноз распространения и выработку предложений о снижении и предотвращении негативного воздействия на окружающую среду. На сегодняшний момент известно три основных метода прогнозирования [1]: экспертных оценок, экстраполяции и моделирования.

Метод экспертных оценок относится к числу наиболее разработанных. В основе метода лежит система получения и специализированной обработки прогностических оценок объекта мониторинга путем целенаправленного опроса специалистов-экспертов. В связи с этим результаты оценок прогноза развития неблагоприятного воздействия существенно зависят от квалификации эксперта и имеют субъективный характер.

Методы экстраполяции основаны на изучении количественных и качественных показателей исследуемого природного объекта за ряд предшествующих лет с последующим приложением выявленной тенденции их изменений к прогнозируемому периоду [2]. Недостатком таких методов является то, что они применимы только в случае, когда развитие ситуации в течение длительного времени происходит без значительных скачкообразных изменений. При этом не всегда можно адекватно выбрать модель, которая объективно описывает изменения процесса негативного воздействия во времени, особенно при ограниченном наборе или отсутствии ретроспективных данных.

В третьем методе прогноза, основанном на моделировании, в основном используют модели переноса и превращения загрязняющих веществ в окружающей среде (пространственно-географические модели). В настоящее время разработано достаточно большое количество прогнозных моделей распространения загрязнений в почвах, атмосфере и водных объектах [2-6], которые применяются в основном для составления краткосрочных прогнозов и направлены на оценку последствий негативного воздействия непосредственно сразу после аварий, залповых сбросов и выбросов. Однако зачастую выявленные загрязнения могут носить и долговременный характер, поэтому применение подобных моделей не всегда оправдано, так как регистрируется уже сам результат неблагоприятного воздействия.

Важнейшей проблемой экологического контроля территорий является получение достоверной документальной количественной информации. Методы аналитического контроля путем взятия проб на местности с последующим лабораторным анализом неоперативны, трудоемки, случайны по выбору места и времени, поэтому статистически неустойчивы.

Кроме того, достоверное воспроизведение зон загрязненности больших территорий по отдельным реализациям (дискретным точкам отсчета) требует большого числа измерений и наземных постов наблюдения.

Дистанционное зондирование позволяет получать масштабные снимки обширных территорий подстилающей поверхности. Наибольшее количество информации о подстилающей поверхности содержится в спектрозональных снимках. Отражательные свойства природных и искусственных объектов описываются коэффициентом спектральной яркости (КСЯ). На величину КСЯ оказывает влияние растительность, городская среда, водоемы, почва и т.д.

Факторами, вызывающими растительнопатологические явления, могут быть как загрязнение окружающей среды вредными выбросами промышленных предприятий, приводящими к некрозу фотосинтезирующих органов (листьев и стеблей), так и климатические аномалии и вспышки массового размножения насекомых-вредителей.

Известен способ экспресс определения загрязнения почвы и подземных вод нефтью и нефтепродуктами [6], который включает площадное бурение скважин малого диаметра на малую глубину, отбор проб подпочвенного газа, определение в пробах объемной концентрации углеводородов и объемной активности Rn222 Rn220 при помощи квазиинтегрального родометра-спектрометра, совмещенного с газоанализаторами на метан и суммарные углеводороды. По снижению объемной активности радона и повышению концентрации метана и суммарных углеводородов относительно природного фона делают вывод о наличии участка загрязнения.

Недостатком данного способа является необходимость бурения скважин, и использования дорогостоящего оборудования (квазиинтегрального радиометра-спектрометра и газоанализатора).

Известен способ определения загрязненности почвенного покрова техногенными компонентами [7], в котором пробу почвы анализируют при помощи бинокулярного стереоскопического микроскопа и устанавливают процентное соотношение техногенных компонентов, по которым проводят построение изолиний и выделяют загрязненные участки почвенного покрова.

Недостатками способа являются трудозатратность и продолжительность исследований (анализ каждой пробы требует большого количества ручной работы), необходимость использования специального оборудования и наличия компетенций в области микроскопирования, а также большое влияние человеческого фактора на интерпретацию результатов, что негативно влияет на воспроизводимость методики.

Известен способ определения индекса загрязнения почвы населенных мест по состоянию жизненности почвенных беспозвоночных животных [8], который включает отбор почвы заданного объема на подстилку, сбор беспозвоночных животных по видам в тканевые пакеты, подсчет численности групп почвенных беспозвоночных животных в каждой пробе, статистическую обработку полученных данных.

Недостатками этого способа являются трудоемкость и большие временные затраты на проведение исследований на больших участках местности.

Известен способ выделения границ водных объектов и ареалов распространения воздушно-водной растительности по много спектральным данным дистанционного зондирования Земли [9], который включает радиометрическую калибровку снимка земной поверхности с приведением значений яркости к энергетической яркости и коэффициенту отражательной способности. По разности коэффициентов отражения выделяют области суши, чистой воды и воздушно-водной растительности.

Недостатком данного способа является невозможность объективной оценки качественного состояния растительного и почвенного покрова.

Известен способ экологической оценки зеленых насаждений улиц и городских дорог с применением дистанционного зондирования Земли и геоинформационных технологий [10], включающей камеральное дешифрование данных дистанционного зондирования Земли на территории города, заполнение базы данных, расчет индекса геоэкологического состояния высокоствольных зеленых насаждений, а также камеральное обследование улиц и городских дорог с использованием панорамной уличной фотосъемки.

Недостатком описанного способа является отсутствие анализа состояния почвенного покрова и оценки его влияния на состояние высокоствольных зеленых насаждений. При этом описанный способ экологической оценки предполагает математический анализ таких специализированных параметров как индекс степени повреждения дерева насекомыми и индекс рациональности размещения дерева, что не связано с качественным состоянием почвы и почвенного растительного покрова.

Известен дистанционный способ ранней лесопатологической диагностики [11]. В данном способе получают оцифрованные значения функций яркости в виде матриц дискретных отсчетов (изображений) размерностью (m*n) элементов в зеленой G и красной R зонах спектра, вычисляют результирующую матрицу из этих отношений, на результирующем изображении методами распространенного дифференцирования выделяют контуры, рассчитывают функцию фрактальной размерности изображений внутри контуров и по численному значению фрактальной размерности, положению контуров и их площади судят о причинах, координатах и размерах выявленной патологии. Недостатками способа являются:

- несоответствие получаемых количественных результатов установленным нормативным критериям оценки;

- отсутствие калибровочных характеристик для пересчета расчетных соотношений в нормативные показатели;

- статистическая неустойчивость результатов, поскольку не все признаки учитываются при расчетных оценках.

Известен способ оценки состояния лесов [12]. В известном способе осуществляют дистанционные спектрометрические измерения, с борта орбитальной станции, коэффициентов спектральной яркости зондируемой лесной площади в синем В, зеленом G и красном R участках видимого спектра, рассчитывают значения хроматических коэффициентов жизненности g=G/(B+G+R) и красного поражения r=R/(B+G+R), вычисляют регрессию хроматических коэффициентов , калибруют ее по измерениям контрольных площадок с известными категориями состояния растений на них и оценивают состояние лесного массива в баллах по соотношению текущих расчетных значений g, r. Данный способ имеет следующие недостатки:

- невысокое пространственное разрешение спектрометрических средств;

- статистическая неустойчивость результатов, поскольку оценка проводится по единственному измеряемому параметру - коэффициенту спектральной яркости.

Ближайшим аналогом предлагаемому изобретению является способ определения экологического состояния лесов [13], который включает вычисление вегетационного индекса NDVI зеленых насаждений анализируемого участка, формирование результирующей матрицы изображения путем попиксельного сложения матриц в зеленой и красной полосах видимого диапазона, программной обработки матриц изображений и вычисления средней частоты пространственных спектров результирующей матрицы, а также площади рельефа древесных пологов. Далее рассчитывают характеристики древостоев участка и определяют весовой коэффициент и коэффициент запаса ослабленных деревьев. Определяют степень ослабленности. древостоя участка по регрессионной зависимости, прокалиброванной по измерениям эталонных участков.

Недостатком данного способа является отсутствие критериев для оценки взаимосвязи площади и объема вегетирующей фитомассы с другими объективными параметрами. Затруднено определение возможной причины нарушения растительного покрова или других биометрических параметров, что осложняет принятие решения по управлению экологической обстановкой.

Задача, решаемая заявленным способом, заключается в реализации дистанционной оценки экологического состояния почвы по установленным нормативным критериям состояния растительности, обеспечении статистической устойчивости результатов путем одновременного измерения признаков растительной патологии в красном и ближнем ИК-диапазонах спектра, программной обработки спектральных снимков, снижении затрат и сокращении объема полевых исследований.

Поставленная задача достигается тем, что в способе дистанционной оценки загрязнения почвы тяжелыми металлами, включающем использование данных аэрокосмической съемки травянистой растительности полога почвы в красном и ближнем инфракрасном диапазоне спектра электромагнитного излучения, определением индексов вегетации NDVI в контрольных точках, согласно изобретению, проводят зондирование травянистой растительности полога почвы в синем диапазоне спектра, получают аддитивную цветовую модель RGB, проводят синхронный точечный отбор проб почвы в контрольных точках, определяют содержание тяжелых металлов в пробах почвы, затем по их значениям рассчитывают частные коэффициенты загрязнения почвы в контрольных точках, рассчитывают эмпирический коэффициент пропорциональности между индексом вегетации NDVI и частным коэффициентом загрязнения почвы, вычисляют коэффициент загрязнения почвы на участке местности по индексам вегетации NDVI и содержанию тяжелых металлов в контрольных пробах, оценивают степень загрязнения почвы по значениям показателя критерия, при этом, если значение показателя ниже 1, констатируют низкую степень загрязнения почвы, при достижении значения показателя от 1 до 5 констатируют среднюю степень загрязнения почвы, при достижении значения показателя от 5 до 25 констатируют повышенную степень загрязнения почвы, а при достижении значения показателя выше 25 констатируют критическую степень загрязнения почвы.

Сопоставительный анализ заявляемого технического решения с ближайшим аналогом показывает, что заявляемый способ отличается от известного введением новых технологических операций, обеспечивающих достижение признаков, закономерности которых проявились в заявляемом объекте впервые. Это такие новые признаки, как:

- зондирование травянистой растительности полога почвы в синем диапазоне спектра;

- получение аддитивной цветовой модели RGB,

- синхронный точечный отбор проб почвы в контрольных точках;

- определение содержания тяжелых металлов в пробах почвы методом рентгенофлуоресцентного анализа;

- расчет частных коэффициентов загрязнения почвы в контрольных точках;

- получение эмпирического коэффициента пропорциональности между индексом вегетации NDVI и частным коэффициентом загрязнения почвы;

- вычисление коэффициента загрязнения почвы на участке местности по индексам вегетации NDVI и содержанию тяжелых металлов в контрольных пробах;

- оценка степени загрязнения почвы по табличным критериям.

Это позволяет утверждать, что заявляемый способ удовлетворяет критерию «изобретательский уровень».

Техническая сущность изобретения заключается в следующем. Проводят дистанционное зондирование (аэрофотосъемку) и регистрируют уровень отражения в красном, синем и ближнем инфракрасном диапазоне электромагнитного излучения (ЭМИ) от вегетирующей растительности загрязненного почвенного покрова. При этом степень антропогенного влияния на экосистему оценивают по состоянию биоиндикатора. В качестве последнего выступает вегетирующая растительная масса на поверхности почвы, состояние которой оценивают по индексу вегетации NDVI. Накопление в почве тяжелых металлов приводит к изменению ее свойств, в первую очередь к снижению численности и многообразия микроорганизмов, падению интенсивности основных биологических процессов и активности почвенных ферментов. Результатом всего этого является частичная, а в ряде случаев и полная утрата почвенного плодородия. Метод NDVI применяют для оценки биологической активности фитомассы и основывают на различиях поглощения электромагнитного излучения здоровыми растениями в различных спектральных каналах. Расчет индекса вегетации NDVI базируют на математическом анализе двух наиболее стабильных участках спектральной кривой отражения ЭМИ сосудистыми растениями. В красной области спектра лежит максимум поглощения солнечной радиации хлорофиллами, а в инфракрасной области находится область максимального отражения клеточных структур листа. То есть высокая фотосинтетическая активность приводит к меньшему отражению в красной области спектра и большему в инфракрасной. Отношение этих показателей позволяет контрастировать фотосинтезирующую растительность от прочих природных объектов. Анализ индексов вегетации NDVI включает получение спектральных снимков участка местности в синем, красном и ближнем инфракрасном диапазоне спектра электромагнитного излучения, получение аддитивной цветовой модели RGB и вычисление индексов вегетации NDVI в контрольных точках по формуле:

где у - индекс вегетации NDVI;

ρNir - коэффициент спектральной яркости в ближнем инфракрасном диапазоне;

ρRed - коэффициент спектральной яркости в красном диапазоне.

Синхронно проводят отбор проб поверхностного слоя почвы методом «конверта» на площадке размером 1×1 м. Пробы почвы отбирают с помощью совка с поверхности не менее 100 см2 и глубины до 5 см. Для каждой контрольной точки составляют объединенную пробу, состоящую не менее, чем из 5 точечных проб. Масса объединенной пробы должна быть не менее 1 кг [14]. Отобранные пробы анализируют методом рентгенофлуоресцентного анализа для определения содержания тяжелых металлов в контрольных пробах. По значениям концентрации тяжелых металлов в пробах почвы рассчитывают частные коэффициенты загрязнения почвы в контрольных точках по формуле:

где КCl - частный коэффициент загрязнения почвы тяжелыми металлами;

Сi - концентрация тяжелых металлов в i-й пробе, мг/кг;

Сф - фоновое содержание тяжелых металлов в исследуемом районе, мг/кг.

Рассчитывают эмпирический коэффициент пропорциональности между индексами вегетации NDVI и частным коэффициентом загрязнения в контрольных точках по формуле:

где i - соответствующие значения KCi в i-й контрольной точке;

yi - соответствующие значения индексов NDVI в i-й контрольной точке;

n - количество точек отбора проб.

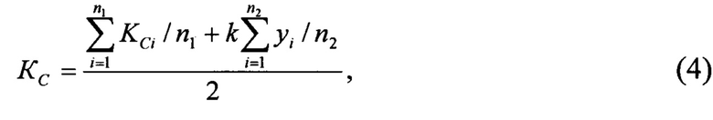
Вычисляют коэффициент загрязнения почвы на участке местности по индексам вегетации и содержанию тяжелых металлов в контрольных точках по формуле:

где Кс - коэффициент загрязнения почвы на участке местности;

KCi - частный коэффициент загрязнения в i-й контрольной точке;

yi - индекс вегетации NDVI в l-й контрольной точке;

k - эмпирический коэффициент пропорциональности между коэффициентом загрязнения и индексами вегетации;

n1 - количество точек отбора проб для анализа методом РФА;

n2 - количество контрольных точек определения индекса вегетации NDVI.

Затем оценивают степень загрязнения почвы по значениям показателя критерия оценки, указанным в таблице 1.

Если значение показателя ниже 1, констатируют низкую степень загрязнения почвы, при достижении значения показателя от 1 до 5 констатируют среднюю степень загрязнения почвы, при достижении значения показателя от 5 до 25 констатируют повышенную степень загрязнения почвы, а при достижении значения показателя выше 25 констатируют критическую степень загрязнения почвы, при котором происходит нарушение микробиологических, биохимических, физико-химических, химических и целостных и физических экологических функций почвы.

Установление коэффициента пропорциональности между индексом вегетации NDVI и коэффициентом загрязнения позволяет ограничиться проведением отбора и анализа значительно меньшего количества проб в рамках полевых исследований, заменив их для остальных контрольных точек более простыми и экономичными методами дистанционного зондирования.

Операция способа была апробирована на конкретном примере. Почва -чернозем южный, которая загрязнена тяжелыми металлами.

Пример

Способ реализован с применением данных, полученных авиационными и космическими средствами дистанционного зондирования Земли в красном, синем и ближнем инфракрасном диапазоне спектра электромагнитного излучения, определяли индексы вегетации NDVI в контрольных точках, получали аддитивную цветовую модель RGB, проводили синхронный точечный отбор проб почвы в некоторых контрольных точках и определяли содержание тяжелых металлов в пробах почвы методом рентгенофлуоресцентного анализа, рассчитывали коэффициенты загрязнения КCi участка местности тяжелыми металлами в точках отбора проб на основе полевых исследований за осенние и весенние периоды 2015-2017 гг.

Результаты вычислений приведены в таблице 2.

Далее для определения степени загрязнения почвы по индексам вегетации рассчитывали коэффициент пропорциональности к между индексом вегетации NDVI и коэффициентом загрязнения почвы.

По результатам расчетов коэффициент пропорциональности к составляет минус 14,0875. Таким образом, степень загрязнения участка местности определяли путем анализа общего коэффициента загрязнения КC на исследуемой территории, который получали расчетным методом при умножении среднего значения частных индексов NDVI в контрольных точках на коэффициент пропорциональности.

Результаты расчетов коэффициентов загрязнения почвы в весенние и осенние периоды 2015-2017 гг.сравнивали с табличными данными критерия оценки степени загрязнения почвы и заносили в таблицу 3.

Анализ таблицы 3 показывает, что весенний период 2016 и 2017 годов степень загрязнения почвы по критерию оценки составляет средний, а осенний период 2015-2017 гг. - повышенный.

В результате этого получаем значения загрязнения почвы развития неблагоприятного воздействия, позволяющие более адекватно принять решение по очистке загрязненных территорий с минимальными затратами на обследование и ликвидацию.

Положительный эффект предлагаемого способа заключается следующими показателями:

- большой обзорностью, позволяющей анализировать состояние обширных территорий;

- возможностью анализировать состояние растительных экосистем в любых труднодоступных районах;

- возможностью получать информацию практически в любом масштабе, с различным пространственным и временным разрешением;

- оперативностью получаемой информации;

- широким спектром регистрируемых параметров;

- высокой достоверностью получаемых данных;

- возможностью многократного и даже непрерывного наблюдения изучаемых районов;

- минимальной стоимостью работ по экологическому мониторингу, чем при традиционных методах исследования состояния растительных экосистем.

Таким образом, заявляемый способ позволяет оценить степень загрязнения почвы, загрязненных тяжелыми металлами, дистанционно, установив коэффициент пропорциональности между индексом вегетации NDVI и коэффициентом загрязнения почвы по критериям, установленным государственными органами контроля, с меньшими затратами, сокращением объема полевых исследований и большей достоверностью, что имеет большое значение для динамического наблюдения на объектах, экологический мониторинг и работы которых имеют регулярный характер.

Источники информации

1. https://all-ecology.ru/index.php?request=tukk&id=288

2. Измалков В.И., Измалков А.В. Техногенная и экологическая безопасность и управление риском. - СПб.: НИЦЭБ РАН, 1998. - 482 с.

3. Афанасьев Ю.А., Фомин С.А., Меньшиков В.В. и др. Мониторинг и методы контроля окружающей среды: учебное пособие. В 2 частях. Ч. 2. Специальная.

4. Сузан Д.В. Математическое моделирование распространения загрязнений в воздушной среде: дисс.…канд.…техн. наук // Сузан Дмитрий Валерьевич. - М., 2003. - 122 с.

5. Черняев А.В., Павлов А.А. Моделирование процессов распространения нефтяных загрязнений по акватории малых водотоков // Журнал Записки горного института. - 2013. - Т. 203. - С. 237-241.

6. Патент №2519079.

7. Патент №2229738.

8. Патент №2793461.

9. Патент №2750853.

10. Патент №2756377.

11. Патент RU№2189732.

12. Патент RU №2038001.

13. Патент RU №2416192.

14. ГОСТ 28168-89. Почвы. Отбор проб. - Введ. 01-04-1990. - М.: Стандартинформ, 1989. - 7 с.

Похожие патенты RU2840899C1

название год авторы номер документа
Способ идентификации агроэкологических групп с использованием дистанционной информации 2023
  • Кренке Александр Николаевич
  • Пузаченко Михаил Юрьевич
  • Балова Наталья Николаевна
RU2830132C1
Способ генерации карт деградации почвенного покрова 2021
  • Рухович Дмитрий Иосифович
  • Трубников Алексей Владимирович
  • Алеев Дмитрий Константинович
  • Русаков Андрей Владимирович
  • Вильчевская Екатерина Владимировна
  • Калинина Наталья Валерьевна
  • Рухович Данила Дмитриевич
  • Рухович Алексей Дмитриевич
RU2769575C1
СПОСОБ ОПРЕДЕЛЕНИЯ ЭКОЛОГИЧЕСКОГО СОСТОЯНИЯ ЛЕСОВ 2009
  • Бондур Валерий Григорьевич
  • Воробьев Владимир Евгеньевич
  • Черепанова Елена Валентиновна
  • Давыдов Вячеслав Федорович
  • Комаров Евгений Геннадиевич
  • Фролова Вера Алексеевна
RU2416192C2
СПОСОБ ОПРЕДЕЛЕНИЯ ПАРАМЕТРОВ СОСТОЯНИЯ ПОЧВЕННО-РАСТИТЕЛЬНОГО ПОКРОВА ПО ДАННЫМ МНОГОСПЕКТРАЛЬНОГО АЭРОКОСМИЧЕСКОГО ЗОНДИРОВАНИЯ 2009
  • Дмитриев Егор Владимирович
  • Козодеров Владимир Васильевич
RU2424540C2
СПОСОБ МУЛЬТИСУБСТРАТНОГО ТЕСТИРОВАНИЯ МИКРОБНЫХ СООБЩЕСТВ И ЕГО ПРИМЕНЕНИЕ 2006
  • Горленко Михаил Владимирович
  • Кожевин Петр Александрович
  • Терехов Алексей Сергеевич
RU2335543C2
УСТРОЙСТВО И СПОСОБ ОПРЕДЕЛЕНИЯ УРОЖАЙНОСТИ СЕЛЬСКОХОЗЯЙСТВЕННЫХ КУЛЬТУР 2022
  • Анохин Александр Леонидович
  • Цхай Борис Витальевич
  • Темин Лев Владимирович
RU2822145C2
УСТРОЙСТВО И СПОСОБ ОПРЕДЕЛЕНИЯ ВИДОВ СЕЛЬСКОХОЗЯЙСТВЕННЫХ КУЛЬТУР 2022
  • Анохин Александр Леонидович
  • Цхай Борис Витальевич
  • Темин Лев Владимирович
RU2834566C2
СПОСОБ ЭКОЛОГИЧЕСКОГО ЗОНИРОВАНИЯ ТЕРРИТОРИИ 1998
  • Давыдов В.Ф.
  • Щербаков А.С.
  • Гольцева Л.В.
  • Беловол Т.И.
  • Мещерякова И.А.
RU2132606C1
Способ актуализации лесотаксационных данных на основе машинного обучения 2020
  • Кренке Александр Николаевич
  • Сандлерский Роберт Борисович
  • Пузаченко Михаил Юрьевич
RU2739436C1
СПОСОБ АВТОМАТИЗИРОВАННОГО УПРАВЛЕНИЯ СОСТОЯНИЕМ ПОСЕВОВ 2013
  • Михайленко Илья Михайлович
RU2537912C2

Реферат патента 2025 года Способ дистанционной оценки загрязнения почвы тяжелыми металлами

Изобретение относится к способам экологического мониторинга. Сущность: обрабатывают материалы аэрокосмической съемки травянистой растительности полога почвы в красном, синем и ближнем инфракрасном диапазоне спектра электромагнитного излучения. Определяют индексы вегетации NDVI в контрольных точках. Получают аддитивную цветовую модель RGB. Проводят синхронный точечный отбор проб почвы в контрольных точках. Определяют содержание тяжелых металлов в пробах почвы, затем по их значениям рассчитывают частные коэффициенты загрязнения почвы в контрольных точках. Рассчитывают эмпирический коэффициент пропорциональности между индексом вегетации NDVI и частным коэффициентом загрязнения почвы. Вычисляют коэффициент загрязнения почвы на участке местности по индексам вегетации NDVI и содержанию тяжелых металлов в контрольных пробах. Оценивают степень загрязнения почвы по значениям коэффициента загрязнения почвы, при этом, если значение коэффициента загрязнения почвы ниже 1, констатируют низкую степень загрязнения почвы, при достижении значения коэффициента загрязнения почвы от 1 до 5 констатируют среднюю степень загрязнения почвы, при достижении значения коэффициента загрязнения почвы от 5 до 25 констатируют повышенную степень загрязнения почвы, а при достижении значения коэффициента загрязнения почвы выше 25 констатируют критическую степень загрязнения почвы. Изобретение позволяет повысить объективность оценки экологического состояния почвы и сократить объем полевых исследований. 3 табл.

Формула изобретения RU 2 840 899 C1

Способ дистанционной оценки загрязнения почвы тяжелыми металлами, включающий использование данных аэрокосмической съемки травянистой растительности полога почвы с летательного аппарата в красном и ближнем инфракрасном диапазоне спектра электромагнитного излучения, определение индексов вегетации NDVI в контрольных точках, отличающийся тем, что проводят зондирование травянистой растительности полога почвы в синем диапазоне спектра, получают аддитивную цветовую модель RGB, проводят синхронный точечный отбор проб почвы в контрольных точках, определяют содержание тяжелых металлов в пробах почвы, затем по их значениям рассчитывают частные коэффициенты загрязнения почвы в контрольных точках по формуле , где КCi - частный коэффициент загрязнения почвы тяжелыми металлами; Ci - концентрация тяжелых металлов в i-й пробе, мг/кг; Сф - фоновое содержание тяжелых металлов в исследуемом районе, мг/кг, далее рассчитывают эмпирический коэффициент пропорциональности между индексом вегетации NDVI и частным коэффициентом загрязнения почвы по формуле , где i - соответствующие значения КCi в i-й контрольной точке; yi - соответствующие значения индексов NDVI в i-й контрольной точке; n - количество точек отбора проб, и далее вычисляют коэффициент загрязнения почвы на участке местности по индексам вегетации NDVI и содержанию тяжелых металлов в контрольных пробах по формуле , где КС - коэффициент загрязнения почвы на участке местности; КCi - частный коэффициент загрязнения в i-й контрольной точке; yi - индекс вегетации NDVI в i-й контрольной точке; k - эмпирический коэффициент пропорциональности между коэффициентом загрязнения и индексами вегетации; n1 - количество точек отбора проб для анализа методом РФА; n2 - количество контрольных точек определения индекса вегетации NDVI, и далее оценивают степень загрязнения почвы по коэффициенту загрязнения почвы, при этом, если коэффициент загрязнения почвы ниже 1, констатируют низкую степень загрязнения почвы, при достижении коэффициента загрязнения почвы от 1 до 5 констатируют среднюю степень загрязнения почвы, при достижении коэффициента загрязнения почвы от 5 до 25 констатируют повышенную степень загрязнения почвы, а при достижении коэффициента загрязнения почвы выше 25 констатируют критическую степень загрязнения почвы.

Документы, цитированные в отчете о поиске Патент 2025 года RU2840899C1

Способ прогноза развития неблагоприятных воздействий на окружающую среду, выявленных по материалам аэрокосмической съемки 2018
  • Григорьева Ольга Викторовна
  • Иванец Максим Олегович
  • Мочалов Виктор Федорович
  • Саидов Алишер Голибович
  • Терентьева Виктория Вячеславовна
RU2704213C1
CN 115578640 A, 06.01.2023
СПОСОБ ОПРЕДЕЛЕНИЯ ЭКОЛОГИЧЕСКОГО СОСТОЯНИЯ ЛЕСОВ 2009
  • Бондур Валерий Григорьевич
  • Воробьев Владимир Евгеньевич
  • Черепанова Елена Валентиновна
  • Давыдов Вячеслав Федорович
  • Комаров Евгений Геннадиевич
  • Фролова Вера Алексеевна
RU2416192C2
СПОСОБ ОПРЕДЕЛЕНИЯ ТЕХНОГЕННОЙ ЗАГРЯЗНЕННОСТИ ПОЧВЕННОГО ПОКРОВА ТЯЖЕЛЫМИ МЕТАЛЛАМИ ГРУППЫ ЖЕЛЕЗА (ЖЕЛЕЗО, КОБАЛЬТ, НИКЕЛЬ) 1998
  • Язиков Е.Г.
  • Миков О.А.
RU2133487C1
Способ геохимической разведки 1990
  • Журавель Николай Ефимович
  • Стадник Евгений Владимирович
  • Астафьев Дмитрий Александрович
  • Фрейдлин Александр Абрамович
SU1786460A1

RU 2 840 899 C1

Авторы

Серебренников Борис Васильевич

Иванов Михаил Константинович

Зинченко Михаил Евгеньевич

Серба Валерий Яковлевич

Николаев Андрей Геннадьевич

Назаров Сергей Владимирович

Даты

2025-05-30Публикация

2024-03-25Подача