Область техники, к которой относится изобретение
[0001] Настоящее изобретение относится к области технологий кодирования и декодирования звука и, в частности, к способу стерео кодирования и кодирования во временной области и соответствующему продукту.
Уровень техники
[0002] По мере улучшения качества жизни люди предъявляют все более высокие требования к качеству звука. По сравнению с монофоническим звуком стереозвук придает восприятие направления и распределения для различных источников звука и может улучшить четкость, разборчивость и ощущение присутствия информации и поэтому популярен среди людей.
[0003] В технологии параметрического стерео кодирования и декодирования стереосигнал преобразуется в моносигнал и параметр пространственного восприятия, и многоканальный сигнал сжимается. Это обычная технология кодирования и декодирования стереозвука. Однако в технологии параметрического стерео кодирования и декодирования, поскольку параметры пространственного восприятия обычно необходимо извлекать в частотной области, и необходимо выполнять частотно-временное преобразование, то задержка всего кодека оказывается относительно большой. Поэтому, когда существует относительно жесткое требование к задержке, технология стереокодирования во временной области является лучшим выбором.
[0004] В традиционной технологии стереокодирования во временной области сигналы микшируются для получения двух моносигналов во временной области. Например, в технологии кодирования MS сигналы левого и правого каналов сначала микшируются с понижением для получения сигнала среднего канала (Mid channel) и сигнала бокового канала (Side channel). Например, L обозначает сигнал левого канала, а R обозначает сигнал правого канала. В этом случае сигнал среднего канала равен 0,5x(L+R), а сигнал среднего канала указывает информацию о корреляции между левым каналом и правым каналом; и сигнал бокового канала равен 0,5x(L-R), и сигнал бокового канала указывает информацию о разности между левым каналом и правым каналом. Затем сигнал среднего канала и сигнал бокового канала кодируются по отдельности посредством использования способа монокодирования, сигнал среднего канала обычно кодируется посредством использования большего количества битов, а сигнал бокового канала обычно кодируется посредством использования меньшего количества биты.
[0005] Было обнаружено путем исследований и практики, что иногда энергия первичного сигнала чрезвычайно мала или даже энергия отсутствует, когда используется традиционная технология стереокодирования во временной области, что приводит к снижению конечного качества кодирования.
Сущность изобретения
[0006] Варианты осуществления настоящего изобретения предоставляют способ стерео кодирования и декодирования во временной области и соответствующий продукт.
[0007] Согласно первому аспекту варианты осуществления настоящего изобретения предоставляют способ стереокодирования во временной области, и способ может включать в себя: определение схемы объединения каналов для текущего кадра; когда схема объединения каналов для текущего кадра отличается от схемы объединения каналов для предыдущего кадра, выполнение сегментной обработки понижающего микширования во временной области в отношении сигналов левого и правого каналов в текущем кадре на основе схемы объединения каналов для текущего кадра и схемы объединения каналов для предыдущего кадра, чтобы получить сигнал первичного канала и сигнал вторичного канала в текущем кадре; и кодирование полученных сигнала первичного канала и сигнала вторичного канала в текущем кадре.
[0008] Стереосигнал в текущем кадре включает в себя, например, сигналы левого и правого каналов в текущем кадре.
[0009] Схема объединения каналов для текущего кадра является одной из множества схем объединения каналов.
[0010] Например, множество схем объединения каналов включают в себя схему объединения каналов антикоррелированных сигналов и схему объединения каналов коррелированных сигналов. Схема объединения каналов коррелированных сигналов является схемой объединения каналов, соответствующей сигналу с почти синфазностью. Схема объединения каналов антикоррелированных сигналов является схемой объединения каналов, соответствующей сигналу с почти противофазностью. Должно быть понятно, что схема объединения каналов, соответствующая сигналу с почти синфазностью, применима к сигналу с почти синфазностью, а схема объединения каналов, соответствующая сигналу с почти противофазностью, применима к сигналу с почти противофазностью.
[0011] Сегментная обработка понижающего микширования во временной области может быть понята как то, что сигналы левого и правого каналов в текущем кадре разделены на по меньшей мере два сегмента, и для каждого сегмента используется различный вариант обработки понижающего микширования во временной области для выполнения обработки понижающего микширования во временной области. Должно быть понятно, что по сравнению с несегментной обработкой понижающего микширования во временной области более вероятно, что сегментная обработка понижающего микширования во временной области обеспечит более плавный переход, когда сменяется схема объединения каналов для смежного кадра.
[0012] Должно быть понятно, что в вышеприведенном решении необходимо определить схему объединения каналов для текущего кадра, и это указывает то, что существует множество возможностей для схемы объединения каналов для текущего кадра. По сравнению с традиционным решением, в котором существует только одна схема объединения каналов, настоящее решение с множеством возможных схем объединения каналов может быть лучше совместимо с множеством возможных сценариев и подходить им. Кроме того, когда схема объединения каналов для текущего кадра и схема объединения каналов для предыдущего кадра различаются, вводится механизм выполнения сегментной обработки понижающего микширования во временной области в отношении сигналов левого и правого каналов в текущем кадре. Сегментный механизм обработки понижающего микширования во временной области помогает реализовать плавный переход схем объединения каналов и дополнительно помогает улучшить качество кодирования.
[0013] Кроме того, поскольку вводится схема объединения каналов, соответствующая сигналу с почти противофазностью, когда стереосигнал в текущем кадре является сигналом с почти противофазностью, существует более целенаправленная схема объединения каналов и режим кодирования, и это помогает улучшить качество кодирования.
[0014] Например, схема объединения каналов для предыдущего кадра может быть схемой объединения каналов коррелированных сигналов или схемой объединения каналов антикоррелированных сигналов. Схема объединения каналов для текущего кадра может быть схемой объединения каналов коррелированных сигналов или схемой объединения каналов антикоррелированных сигналов. Следовательно, существует несколько возможных случаев, в которых схемы объединения каналов для текущего кадра и предыдущего кадра различны.
[0015] В частности, например, когда схема объединения каналов для предыдущего кадра является схемой объединения каналов коррелированных сигналов, а схема объединения каналов для текущего кадра является схемой объединения каналов антикоррелированных сигналов, то сигналы левого и правого каналов в текущем кадре включают в себя начальные сегменты сигналов левого и правого каналов, средние сегменты сигналов левого и правого каналов и конечные сегменты сигналов левого и правого каналов; и сигналы первичного и вторичного каналов в текущем кадре включают в себя начальные сегменты сигналов первичного и вторичного каналов, средние сегменты сигналов первичного и вторичного каналов и конечные сегменты сигналов первичного и вторичного каналов. В этом случае выполнение сегментной обработки понижающего микширования во временной области в отношении сигналов левого и правого каналов в текущем кадре на основе схемы объединения каналов для текущего кадра и схемы объединения каналов для предыдущего кадра, чтобы получить сигнал первичного канала и Сигнал вторичного канала в текущем кадре может включать в себя:
выполнение, посредством использования коэффициента соотношения объединения каналов, соответствующего схеме объединения каналов коррелированных сигналов для предыдущего кадра, и варианта обработки понижающего микширования во временной области, соответствующего схеме объединения каналов коррелированных сигналов для предыдущего кадра, обработки понижающего микширования во временной области в отношении начальных сегментов сигналов левого и правого каналов в текущем кадре, чтобы получить начальные сегменты сигналов первичного и вторичного каналов в текущем кадре;
выполнение, посредством использования коэффициента соотношения объединения каналов, соответствующего схеме объединения каналов антикоррелированных сигналов для текущего кадра, и варианта обработки понижающего микширования во временной области, соответствующего схеме объединения каналов антикоррелированных сигналов для текущего кадра, обработки понижающего микширования во временной области в отношении конечных сегментов сигналов левого и правого каналов в текущем кадре, чтобы получить конечные сегменты сигналов первичного и вторичного каналов в текущем кадре; и
выполнение, посредством использования коэффициента соотношения объединения каналов, соответствующего схеме объединения каналов коррелированных сигналов для предыдущего кадра, и варианта обработки понижающего микширования во временной области, соответствующего схеме объединения каналов коррелированных сигналов для предыдущего кадра, обработки понижающего микширования во временной области в отношении средних сегментов сигналов левого и правого каналов в текущем кадре, чтобы получить первые средние сегменты сигналов первичного и вторичного каналов;
выполнение, посредством использования коэффициента соотношения объединения каналов, соответствующего схеме объединения каналов антикоррелированных сигналов для текущего кадра, и варианта обработки понижающего микширования во временной области, соответствующего схеме объединения каналов антикоррелированных сигналов для текущего кадра, обработки понижающего микширования во временной области в отношении средних сегментов сигналов левого и правого каналов в текущем кадре, чтобы получить вторые средние сегменты сигналов первичного и вторичного каналов; и
выполнение обработки взвешенного суммирования в отношении первых средних сегментов сигналов первичного и вторичного каналов и вторых средних сегментов сигналов первичного и вторичного каналов, чтобы получить средние сегменты сигналов первичного и вторичного каналов в текущем кадре.
[0016] Длины начальных сегментов сигналов левого и правого каналов, средних сегментов сигналов левого и правого каналов и конечных сегментов сигналов левого и правого каналов в текущем кадре могут быть установлены на основе требования. Длины начальных сегментов сигналов левого и правого каналов, средних сегментов сигналов левого и правого каналов и конечных сегментов сигналов левого и правого каналов в текущем кадре могут быть одинаковыми или частично одинаковыми, или отличаются друг от друга.
[0017] Длины начальных сегментов сигналов первичного и вторичного каналов, средних сегментов сигналов первичного и вторичного каналов и конечных сегментов сигналов первичного и вторичного каналов в текущем кадре могут быть установлены на основе требования. Длины начальных сегментов сигналов первичного и вторичного каналов, средних сегментов сигналов первичного и вторичного каналов и конечных сегментов сигналов первичного и вторичного каналов в текущем кадре могут быть одинаковыми или частично одинаковыми, или отличаются друг от друга.
[0018] Когда обработка взвешенного суммирования выполняется в отношении первых средних сегментов сигналов первичного и вторичного каналов и вторых средних сегментов сигналов первичного и вторичного каналов, весовой коэффициент, соответствующий первым средним сегментам сигналов первичного и вторичного каналов, может быть равным или не равным весовому коэффициенту, соответствующему вторым средним сегментам сигналов первичного и вторичного каналов.
[0019] Например, когда обработка взвешенного суммирования выполняется в отношении первых средних сегментов сигналов первичного и вторичного каналов и вторых средних сегментов сигналов первичного и вторичного каналов, весовой коэффициент, соответствующий первым средним сегментам сигналов первичного и вторичного каналов, является коэффициентом затухания, а весовой коэффициент, соответствующий вторым средним сегментам сигналов первичного и вторичного каналов, является коэффициентом нарастания.
[0020] В некоторых возможных вариантах реализации,
; при этом
X 11(n) указывает начальный сегмент сигнала первичного канала в текущем кадре, Y11(n) указывает начальный сегмент сигнала вторичного канала в текущем кадре, X31(n) указывает конечный сегмент сигнала первичного канала в текущем кадре, Y31(n) указывает конечный сегмент сигнала вторичного канала в текущем кадре, X21(n) указывает средний сегмент сигнала первичного канала в текущем кадре, и Y21(n) указывает средний сегмент сигнала вторичного канала в текущем кадре;
X(n) указывает сигнал первичного канала в текущем кадре; и
Y(n) указывает сигнал вторичного канала в текущем кадре.
[0021] Например,
=
*fade_out(n)+
* fade_in(n).
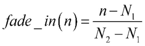
[0022] Например, fade_in(n) указывает коэффициент нарастания, fade_out(n) указывает коэффициент затухания. Например, сумма fade_in(n) и fade_out(n) равна 1.
[0023] В частности, например, fade_in(n)=
и fade_out(n)=1-
. Конечно, fade_in(n) может альтернативно быть коэффициентом нарастания другого функционального соотношения, основанного на n. Конечно, fade_out(n) альтернативно может быть коэффициентом затухания другого функционального соотношения, основанного на n.
[0024] Здесь n указывает номер точки дискретизации, а n=0, 1, … N-1; и 0<N1<N2<N-1.
[0025] Например, равно N1 равно 100, 107, 120, 150 или другому значению.
[0026] Например, равно N2 равно 180, 187, 200, 203 или другому значению.
[0027] Здесь X211(n) указывает первый средний сегмент сигнала первичного канала в текущем кадре, Y211(n) указывает первый средний сегмент сигнала вторичного канала в текущем кадре, X212(n) указывает второй средний сегмент сигнала первичного канала в текущем кадре, и Y212(n) указывает второй средний сегмент сигнала вторичного канала в текущем кадре.
[0028] В некоторых возможных вариантах реализации,
=M22*
, если N1≤n<N2;
=M11*
, если N1≤n<N2;
=M11*
, если 0≤n<N1;
=M22*
, если N2≤n<N;
[0029] XL(n) указывает сигнал левого канала в текущем кадре, а XR(n) указывает сигнал правого канала в текущем кадре.
[0030] M11 указывает матрицу понижающего микширования, соответствующую схеме объединения каналов коррелированных сигналов для предыдущего кадра, и M11 построена на основе коэффициента соотношения объединения каналов, соответствующего схеме объединения каналов коррелированных сигналов для предыдущего кадра; и M22 указывает матрицу понижающего микширования, соответствующую схеме объединения каналов антикоррелированных сигналов для текущего кадра, и M22 построена на основе коэффициента соотношения объединения каналов, соответствующего схеме объединения каналов антикоррелированных сигналов для текущего кадра.
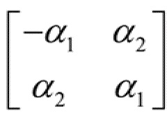
[0031] M22 может иметь множество возможных форм, которые в частности представляют собой:
M22=
, или
M22=
, или
M22=
, или
M22=
, или
M22=
, или
M22=
.
[0032] Здесь, α1=ratio_SM, α2=1-ratio_SM и ratio_SM указывает коэффициент соотношения объединения каналов, соответствующий схеме объединения каналов антикоррелированных сигналов для текущего кадра.
[0033] M11 может иметь множество возможных форм, которые в частности представляют собой:
M11=
, или
M11=
, где
tdm_last_ratio указывает коэффициент соотношения объединения каналов, соответствующий схеме объединения каналов коррелированных сигналов для предыдущего кадра.
[0034] В частности, для другого примера, когда схема объединения каналов для предыдущего кадра является схемой объединения каналов антикоррелированных сигналов, а схема объединения каналов для текущего кадра является схемой объединения каналов коррелированных сигналов, то сигналы левого и правого каналов в текущем кадре включают в себя начальные сегменты сигналов левого и правого каналов, средние сегменты сигналов левого и правого каналов и конечные сегменты сигналов левого и правого каналов; а сигналы первичного и вторичного каналов в текущем кадре включают в себя начальные сегменты сигналов первичного и вторичного каналов, средние сегменты сигналов первичного и вторичного каналов и конечные сегменты сигналов первичного и вторичного каналов. В этом случае выполнение сегментной обработки понижающего микширования во временной области в отношении сигналов левого и правого каналов в текущем кадре на основе схемы объединения каналов для текущего кадра и схемы объединения каналов для предыдущего кадра, чтобы получить сигнал первичного канала и Сигнал вторичного канала в текущем кадре может включать в себя:
выполнение, посредством использования коэффициента соотношения объединения каналов, соответствующего схеме объединения каналов антикоррелированных сигналов для предыдущего кадра, и варианта обработки понижающего микширования во временной области, соответствующего схеме объединения каналов антикоррелированных сигналов для предыдущего кадра, обработки понижающего микширования во временной области в отношении начальных сегментов сигналов левого и правого каналов в текущем кадре, чтобы получить начальные сегменты сигналов первичного и вторичного каналов в текущем кадре;
выполнение, посредством использования коэффициента соотношения объединения каналов, соответствующего схеме объединения каналов коррелированных сигналов для текущего кадра, и варианта обработки понижающего микширования во временной области, соответствующего схеме объединения каналов коррелированных сигналов для текущего кадра, обработки понижающего микширования во временной области в отношении конечных сегментов сигналов левого и правого каналов в текущем кадре, чтобы получить конечные сегменты сигналов первичного и вторичного каналов в текущем кадре; и
выполнение, посредством использования коэффициента соотношения объединения каналов, соответствующего схеме объединения каналов антикоррелированных сигналов для предыдущего кадра, и варианта обработки понижающего микширования во временной области, соответствующего схеме объединения каналов антикоррелированных сигналов для предыдущего кадра, обработки понижающего микширования во временной области в отношении средних сегментов сигналов левого и правого каналов в текущем кадре, чтобы получить третьи средние сегменты сигналов первичного и вторичного каналов;
выполнение, посредством использования коэффициента соотношения объединения каналов, соответствующего схеме объединения каналов коррелированных сигналов для текущего кадра, и варианта обработки понижающего микширования во временной области, соответствующего схеме объединения каналов коррелированных сигналов для текущего кадра, обработки понижающего микширования во временной области в отношении средних сегментов сигналов левого и правого каналов в текущем кадре, чтобы получить четвертые средние сегменты сигналов первичного и вторичного каналов; и
выполнение обработки взвешенного суммирования в отношении третьих средних сегментов сигналов первичного и вторичного каналов и четвертых средних сегментов сигналов первичного и вторичного каналов, чтобы получить средние сегменты сигналов первичного и вторичного каналов в текущем кадре.
[0035] Когда обработка взвешенного суммирования выполняется в отношении третьих средних сегментов сигналов первичного и вторичного каналов и четвертых средних сегментов сигналов первичного и вторичного каналов, весовой коэффициент, соответствующий третьим средним сегментам сигналов первичного и вторичного каналов, может быть равен или не равен весовому коэффициенту, соответствующему четвертым средним сегментам сигналов первичного и вторичного каналов.
[0036] Например, когда обработка взвешенного суммирования выполняется в отношении третьих средних сегментов сигналов первичного и вторичного каналов и четвертых средних сегментов сигналов первичного и вторичного каналов, весовой коэффициент, соответствующий третьим средним сегментам сигналов первичного и вторичного каналов, является коэффициентом затухания, а весовой коэффициент, соответствующий четвертым средним сегментам сигналов первичного и вторичного каналов, является коэффициентом нарастания.
[0037] В некоторых возможных вариантах реализации,
где X12(n) указывает начальный сегмент сигнала первичного канала в текущем кадре, Y12(n) указывает начальный сегмент сигнала вторичного канала в текущем кадре, X32(n) указывает конечный сегмент сигнала первичного канала в текущем кадре, Y32(n) указывает конечный сегмент сигнала вторичного канала в текущем кадре, X22(n) указывает средний сегмент сигнала первичного канала в текущем кадре, и Y22(n) указывает средний сегмент сигнала вторичного канала в текущем кадре;
X(n) указывает сигнал первичного канала в текущем кадре; и
Y(n) указывает сигнал вторичного канала в текущем кадре.
[0038] Например,
=
*fade_out(n)+
*fade_in(n).
[0039] fade_in(n) указывает коэффициент нарастания, fade_out(n) указывает коэффициент затухания, а сумма fade_in(n) и fade_out(n) составляет 1.
[0040] В частности, например, fade_in(n)=
и fade_out(n)=1-
. Конечно, fade_in(n) альтернативно может быть коэффициентом нарастания другого функционального соотношения, основанного на n. Конечно, альтернативно может быть fade_out(n) коэффициентом затухания другого функционального соотношения, основанного на n.
[0041] Здесь n обозначает номер точки дискретизации. Например, n=0, 1, …, N-1.
[0042] Здесь, 0<N3<N4<N-1.
[0043] Например, равно N3 равно 101, 107, 120, 150 или другому значению.
[0044] Например, равно N4 равно 181, 187, 200, 205 или другому значению.
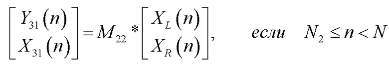
[0045] X221(n) указывает третий средний сегмент сигнала первичного канала в текущем кадре, Y221(n) указывает третий средний сегмент сигнала вторичного канала в текущем кадре, X222(n) указывает четвертый средний сегмент сигнала первичного канала в текущем кадре, и Y222(n) указывает четвертый средний сегмент сигнала вторичного канала в текущем кадре.
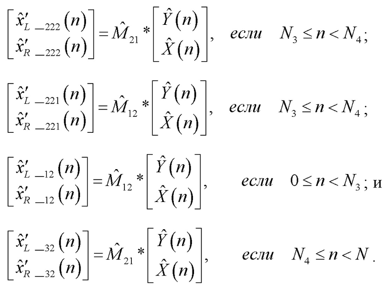
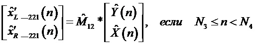
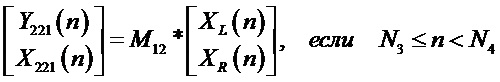
[0046] В некоторых возможных вариантах реализации,
=M21*
, если N3≤n<N4;
=M12*
, если N3≤n<N4;
=M12*
, если 0≤n<N3; и
=M21*
, если N4≤n<N.
[0047] XL(n) указывает сигнал левого канала в текущем кадре, а XR(n) указывает сигнал правого канала в текущем кадре.
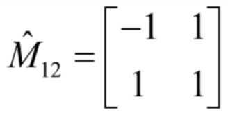
[0048] M12 указывает матрицу понижающего микширования, соответствующую схеме объединения каналов антикоррелированных сигналов для предыдущего кадра, и M12 построена на основе коэффициента соотношения объединения каналов, соответствующего схеме объединения каналов антикоррелированных сигналов для предыдущего кадра; и M21 указывает матрицу понижающего микширования, соответствующую схеме объединения каналов коррелированных сигналов для текущего кадра, и M21 построена на основе коэффициента соотношения объединения каналов, соответствующего схеме объединения каналов коррелированных сигналов для текущего кадра.
[0049] M12 может иметь множество возможных форм, которые в частности представляют собой, например:
M12=
, или
M12=
, или
M12=
, или
M12=
, или
M12=
, или
M12=
.
[0050] Здесь, α1_pre=tdm_last_ratio_SM и α2_pre=1-tdm_last_ratio_SM.
[0051] Здесь, tdm_last_ratio_SM указывает коэффициент соотношения объединения каналов, соответствующий схеме объединения каналов антикоррелированных сигналов для предыдущего кадра.
[0052] M21 может иметь множество возможных форм, которые в частности представляют собой, например:
M21=
, или
M21=
.
[0053] Здесь, ratio указывает коэффициент соотношения объединения каналов, соответствующий схеме объединения каналов коррелированных сигналов для текущего кадра.
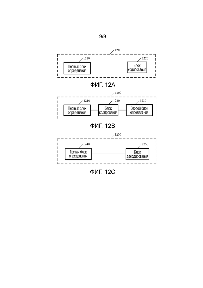
[0054] В некоторых возможных вариантах реализации сигналы левого и правого каналов в текущем кадре могут быть, например, исходными сигналами левого и правого каналов в текущем кадре, или могут быть сигналами левого и правого каналов, которые подверглись предварительной обработке понижающего микширования во временной области, или могут быть сигналами левого и правого каналов, которые подверглись обработке выравнивания задержки.
[0055] В частности, например,
=
, или
=
, или
=
.
[0056] Здесь, xL(n) указывает исходный сигнал левого канала в текущем кадре (исходный сигнал левого канала является сигналом левого канала, который не подвергся предварительной обработке во временной области), и xR(n) указывает исходный сигнал правого канала в текущем кадре (исходный сигнал правого канала является сигналом правого канала, который не подвергся предварительной обработке во временной области).
[0057] xL_HP(n) указывает сигнал левого канала, который подвергся предварительной обработке во временной области в текущем кадре, и xR_HP(n) указывает сигнал правого канала, который подвергся предварительной обработке во временной области в текущем кадре. x’L(n) указывает сигнал левого канала, который подвергся выравниванию задержки в текущем кадре, и x’R(n) указывает сигнал правого канала, который подвергся выравниванию задержки в текущем кадре.
[0058] Согласно второму аспекту, варианты воплощения настоящей заявки дополнительно обеспечивают способ стереодекодирования во временной области. Способ может включать в себя: выполнение декодирования на основе битового потока для получения декодированных сигналов первичного и вторичного каналов в текущем кадре; определение схемы объединения каналов для текущего кадра; и когда схема объединения каналов для текущего кадра отличается от схемы объединения каналов для предыдущего кадра, выполнение сегментной обработки повышающего микширования во временной области в отношении декодированных сигналов первичного и вторичного каналов в текущем кадре на основе схемы объединения каналов для текущего кадра и схемы объединения каналов для предыдущего кадра, чтобы получить восстановленные сигналы левого и правого каналов в текущем кадре.
[0059] Схема объединения каналов для текущего кадра является одной из множества схем объединения каналов.
[0060] Например, множество схем объединения каналов включает в себя схему объединения каналов антикоррелированных сигналов и схему объединения каналов коррелированных сигналов. Схема объединения каналов коррелированных сигналов является схемой объединения каналов, соответствующей сигналу с почти синфазностью. Схема объединения каналов антикоррелированных сигналов является схемой объединения каналов, соответствующей сигналу с почти противофазностью. Можно понять, что схема объединения каналов, соответствующая сигналу с почти синфазностью, применима к сигналу с почти синфазностью, а схема объединения каналов, соответствующая сигналу с почти противофазностью, применима к сигналу с почти противофазностью.
[0061] Сегментную обработку повышающего микширования во временной области можно понимать как то, что сигналы левого и правого каналов в текущем кадре разделены по крайней мере на два сегмента, и различные варианты обработки повышающего микширования во временной области используются для каждого сегмента для выполнения обработки повышающего микширования во временной области. Можно понять, что по сравнению с несегментной обработкой повышающего микширования во временной области, сегментная обработка повышающего микширования во временной области более вероятно обеспечит более плавный переход при смене схемы объединения каналов для смежного кадра.
[0062] Можно понять, что в вышеприведенном решении необходимо определить схему объединения каналов для текущего кадра, и это указывает то, что существует множество возможностей для схемы объединения каналов для текущего кадра. По сравнению с обычным решением, в котором существует только одна схема объединения каналов, настоящее решение с множеством возможных схем объединения каналов может быть лучше совместимо с множеством возможных сценариев и подходить им. Кроме того, когда схема объединения каналов для текущего кадра и схема объединения каналов для предыдущего кадра отличаются, вводится механизм выполнения сегментной обработки повышающего микширования во временной области в отношении сигналов левого и правого каналов в текущем кадре. Механизм обработки сегментных повышающего микширования во временной области помогает реализовать плавный переход схем объединения каналов и далее помогает улучшить качество кодирования.
[0063] Кроме того, поскольку вводится схема объединения каналов, соответствующая сигналу с почти противофазностью, то когда стереосигнал в текущем кадре является сигналом с почти противофазностью, существует более целенаправленная схема объединения каналов и режим кодирования, и это помогает улучшить качество кодирования.
[0064] Например, схема объединения каналов для предыдущего кадра может быть схемой объединения каналов коррелированных сигналов или схемой объединения каналов антикоррелированных сигналов. Схема объединения каналов для текущего кадра может быть схемой объединения каналов коррелированных сигналов или схемой объединения каналов антикоррелированных сигналов. Таким образом, существует несколько возможных случаев, когда схемы объединения каналов для текущего кадра и предыдущего кадра отличаются.
[0065] В частности, например, схема объединения каналов для предыдущего кадра является схемой объединения каналов коррелированных сигналов, а схема объединения каналов для текущего кадра является схемой объединения каналов антикоррелированных сигналов. Восстановленные сигналы левого и правого каналов в текущем кадре включают в себя начальные сегменты восстановленных сигналов левого и правого каналов, средние сегменты восстановленных сигналов левого и правого каналов, и конечные сегменты восстановленных сигналов левого и правого каналов. Декодированные сигналы первичного и вторичного каналов в текущем кадре включают в себя начальные сегменты декодированных сигналов первичного и вторичного каналов, средние сегменты декодированных сигналов первичного и вторичного каналов, а также конечные сегменты декодированных сигналов первичного и вторичного каналов. В этом случае, выполнение сегментной обработки повышающего микширования во временной области в отношении декодированных сигналов первичного и вторичного каналов в текущем кадре на основе схемы объединения каналов для текущего кадра и схемы объединения каналов для предыдущего кадра, чтобы получить восстановленные сигналы левого и правого каналов в текущем кадре, включает в себя: выполнение, посредством использования коэффициента соотношения объединения каналов, соответствующего схеме объединения каналов коррелированных сигналов для предыдущего кадра, и варианта обработки повышающего микширования во временной области, соответствующего схеме объединения каналов коррелированных сигналов для предыдущего кадра, обработки повышающего микширования во временной области в отношении начальных сегментов декодированных сигналов первичного и вторичного каналов в текущем кадре, чтобы получить начальные сегменты восстановленных сигналов левого и правого каналов в текущем кадре;
выполнение, посредством использования коэффициента соотношения объединения каналов, соответствующего схеме объединения каналов антикоррелированных сигналов для текущего кадра, и варианта обработки повышающего микширования во временной области, соответствующего схеме объединения каналов антикоррелированных сигналов для текущего кадра, обработки повышающего микширования во временной области в отношении конечных сегментов декодированных сигналов первичного и вторичного каналов в текущем кадре, чтобы получить конечные сегменты восстановленных сигналов левого и правого каналов в текущем кадре; и
выполнение, посредством использования коэффициента соотношения объединения каналов, соответствующего схеме объединения каналов коррелированных сигналов для предыдущего кадра, и варианта обработки повышающего микширования во временной области, соответствующего схеме объединения каналов коррелированных сигналов для предыдущего кадра, обработки повышающего микширования во временной области в отношении средних сегментов декодированных сигналов первичного и вторичного каналов в текущем кадре, чтобы получить первые средние сегменты восстановленных сигналов левого и правого каналов;
выполнение, посредством использования коэффициента соотношения объединения каналов, соответствующего схеме объединения каналов антикоррелированных сигналов для текущего кадра, и варианта обработки повышающего микширования во временной области, соответствующего схеме объединения каналов антикоррелированных сигналов для текущего кадра, обработки повышающего микширования во временной области в отношении средних сегментов декодированных сигналов первичного и вторичного каналов в текущем кадре, чтобы получить вторые средние сегменты восстановленных сигналов левого и правого каналов; и
выполнение обработки взвешенного суммирования в отношении первых средних сегментов восстановленных сигналов левого и правого каналов и вторых средних сегментов восстановленных сигналов левого и правого каналов, чтобы получить средние сегменты восстановленных сигналов левого и правого каналов в текущем кадре.
[0066] Длины начальных сегментов восстановленных сигналов левого и правого каналов, средних сегментов восстановленных сигналов левого и правого каналов и конечных сегментов восстановленных сигналов левого и правого каналов в текущем кадре могут быть установлены на основе требования. Длины начальных сегментов восстановленных сигналов левого и правого каналов, средних сегментов восстановленных сигналов левого и правого каналов и конечных сегментов восстановленных сигналов левого и правого каналов в текущем кадре могут быть одинаковыми или частично одинаковыми или отличаться друг от друга.
[0067] Длины начальных сегментов декодированных сигналов первичного и вторичного каналов, средних сегментов декодированных сигналов первичного и вторичного каналов и конечных сегментов декодированных сигналов первичного и вторичного каналов в текущем кадре могут быть установлены на основе требования. Длины начальных сегментов декодированных сигналов первичного и вторичного каналов, средних сегментов декодированных сигналов первичного и вторичного каналов и конечных сегментов декодированных сигналов первичного и вторичного каналов в текущем кадре могут быть одинаковыми или частично одинаковыми или отличаться друг от друга.
[0068] Восстановленные сигналы левого и правого каналов могут быть декодированными сигналами левого и правого каналов, или обработка выравнивания задержки и/или постобработка во временной области может быть выполнена в отношении восстановленных сигналов левого и правого каналов для получения декодированных сигналов левого и правого каналов.
[0069] Когда обработка взвешенного суммирования выполняется в отношении первых средних сегментов восстановленных сигналов левого и правого каналов и вторых средних сегментов восстановленных сигналов левого и правого каналов, то весовой коэффициент, соответствующий первым средним сегментам восстановленных сигналов левого и правого каналов может быть равен или не равен весовому коэффициенту, соответствующему вторым средним сегментам восстановленных сигналов левого и правого каналов.
[0070] Например, когда обработка взвешенного суммирования выполняется в отношении первых средних сегментов восстановленных сигналов левого и правого каналов и вторых средних сегментов восстановленных сигналов левого и правого каналов, то весовой коэффициент, соответствующий первым средним сегментам восстановленных сигналов левого и правого каналов, является коэффициентом затухания, а весовой коэффициент, соответствующий вторым средним сегментам восстановленных сигналов левого и правого каналов, является коэффициентом нарастания.
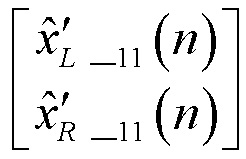
[0071] В некоторых возможных вариантах реализации,
где
указывает начальный сегмент восстановленного сигнала левого канала в текущем кадре,
указывает начальный сегмент восстановленного сигнала правого канала в текущем кадре,
указывает конечный сегмент восстановленного сигнала левого канала в текущем кадре,
указывает конечный сегмент восстановленного сигнала правого канала в текущем кадре,
указывает средний сегмент восстановленного сигнала левого канала в текущем кадре, и
указывает средний сегмент восстановленного сигнала правого канала в текущем кадре;
указывает восстановленный сигнал левого канала в текущем кадре; и
указывает восстановленный сигнал правого канала в текущем кадре.
[0072] Например,
=
*fade_out(n)+
*fade_in(n).
[0073] Например, fade_in(n) указывает коэффициент нарастания, fade_out(n) указывает коэффициент затухания. Например, сумма fade_in(n) и fade_out(n) составляет 1.
[0074] В частности, например, fade_in(n)=
; и fade_out(n)=1-
. Конечно, fade_in(n) может альтернативно быть коэффициентом нарастания другого функционального соотношения, основанного на n. Конечно, fade_out(n) может альтернативно быть коэффициентом затухания другого функционального соотношения, основанного на n.
[0075] Здесь, n указывает номер точки дискретизации, и n=0, 1, …, N-1. При этом 0<N1<N2<N-1.
[0076]
указывает первый средний сегмент восстановленного сигнала левого канала в текущем кадре,
указывает первый средний сегмент восстановленного сигнала правого канала в текущем кадре,
указывает второй средний сегмент восстановленного сигнала левого канала в текущем кадре, и
указывает второй средний сегмент восстановленного сигнала правого канала в текущем кадре.
[0077] В некоторых возможных вариантах реализации,
=
*
, если N1≤n<N2;
=
*
, если N1≤n<N2;
=
*
, если 0≤n<N1; и
=
*
, если N2≤n<N.
[0078] Здесь,
указывает декодированный сигнал первичного канала в текущем кадре, и
указывает декодированный сигнал вторичного канала в текущем кадре.
[0079]
указывает матрицу повышающего микширования, соответствующую схеме объединения каналов коррелированных сигналов для предыдущего кадра, и
построена на основе коэффициента соотношения объединения каналов, соответствующего схеме объединения каналов коррелированных сигналов для предыдущего кадра; и
указывает матрицу повышающего микширования, соответствующую схеме объединения каналов антикоррелированных сигналов для текущего кадра, и
построена на основе коэффициента соотношения объединения каналов, соответствующего схеме объединения каналов антикоррелированных сигналов для текущего кадра.
[0080]
может иметь множество возможных форм, которые, в частности представляют собой, например:
[0081] α1=ratio_SM, α2=1-ratio_SM и ratio_SM указывает коэффициент соотношения объединения каналов, соответствующий схеме объединения каналов антикоррелированных сигналов для текущего кадра.
[0082]
может иметь множество возможных форм, которые в частности представляют собой, например:
[0083] Здесь, tdm_last_ratio указывает коэффициент соотношения объединения каналов, соответствующий схеме объединения каналов коррелированных сигналов для предыдущего кадра.
[0084] В частности, для другого примера схема объединения каналов для предыдущего кадра является схемой объединения каналов антикоррелированных сигналов, а схема объединения каналов для текущего кадра является схемой объединения каналов коррелированных сигналов. Восстановленные сигналы левого и правого каналов в текущем кадре включают в себя начальные сегменты восстановленных сигналов левого и правого каналов, средние сегменты восстановленных сигналов левого и правого каналов, а также конечные сегменты восстановленных сигналов левого и правого каналов. Декодированные сигналы первичного и вторичного каналов в текущем кадре включают в себя начальные сегменты декодированных сигналов первичного и вторичного каналов, средние сегменты декодированных сигналов первичного и вторичного каналов, а также конечные сегменты декодированных сигналов первичного и вторичного каналов. В этом случае, выполнение сегментной обработки повышающего микширования во временной области в отношении декодированных сигналов первичного и вторичного каналов в текущем кадре на основе схемы объединения каналов для текущего кадра и схемы объединения каналов для предыдущего кадра, чтобы получить восстановленные сигналы левого и правого каналов в текущем кадре включает в себя:
выполнение, посредством использования коэффициента соотношения объединения каналов, соответствующего схеме объединения каналов антикоррелированных сигналов для предыдущего кадра, и варианта обработки повышающего микширования во временной области, соответствующего схеме объединения каналов антикоррелированных сигналов для предыдущего кадра, обработки повышающего микширования во временной области в отношении начальных сегментов декодированных сигналов первичного и вторичного каналов в текущем кадре, чтобы получить начальные сегменты восстановленных сигналов левого и правого каналов в текущем кадре;
выполнение, посредством использования коэффициента соотношения объединения каналов, соответствующего схеме объединения каналов коррелированных сигналов для текущего кадра, и варианта обработки повышающего микширования во временной области, соответствующего схеме объединения каналов коррелированных сигналов для текущего кадра, обработки повышающего микширования во временной области в отношении конечных сегментов декодированных сигналов первичного и вторичного каналов в текущем кадре, чтобы получить конечные сегменты восстановленных сигналов левого и правого каналов в текущем кадре; и
выполнение, посредством использования коэффициента соотношения объединения каналов, соответствующего схеме объединения каналов антикоррелированных сигналов для предыдущего кадра, и варианта обработки повышающего микширования во временной области, соответствующего схеме объединения каналов антикоррелированных сигналов для предыдущего кадра, обработки повышающего микширования во временной области в отношении средних сегментов декодированных сигналов первичного и вторичного каналов в текущем кадре, чтобы получить третьи средние сегменты восстановленных сигналов левого и правого каналов;
выполнение, посредством использования коэффициента соотношения объединения каналов, соответствующего схеме объединения каналов коррелированных сигналов для текущего кадра, и варианта обработки повышающего микширования во временной области, соответствующего схеме объединения каналов коррелированных сигналов для текущего кадра, обработки повышающего микширования во временной области в отношении средних сегментов декодированных сигналов первичного и вторичного каналов в текущем кадре, чтобы получить четвертые средние сегменты восстановленных сигналов левого и правого каналов; и
выполнение обработки взвешенного суммирования в отношении третьих средних сегментов восстановленных сигналов левого и правого каналов и четвертых средних сегментов восстановленных сигналов левого и правого каналов, чтобы получить средние сегменты восстановленных сигналов левого и правого каналов в текущем кадре.
[0085] Когда обработка взвешенного суммирования выполняется в отношении третьих средних сегментов восстановленных сигналов левого и правого каналов и четвертых средних сегментов восстановленных сигналов левого и правого каналов, то весовой коэффициент, соответствующий третьим средним сегментам восстановленных сигналов левого и правого каналов может быть равным или не равным весовому коэффициенту, соответствующему четвертым средним сегментам восстановленных сигналов левого и правого каналов.
[0086] Например, когда обработка взвешенного суммирования выполняется в отношении третьих средних сегментов восстановленных сигналов левого и правого каналов и четвертых средних сегментов восстановленных сигналов левого и правого каналов, то весовой коэффициент, соответствующий третьим средним сегментам восстановленных сигналов левого и правого каналов, является коэффициентом затухания, а весовой коэффициент, соответствующий четвертым средним сегментам восстановленных сигналов левого и правого каналов, является коэффициентом нарастания.
[0087] В некоторых возможных вариантах реализации,
[0088] Здесь
указывает начальный сегмент восстановленного сигнала левого канала в текущем кадре,
указывает начальный сегмент восстановленного сигнала правого канала в текущем кадре,
указывает конечный сегмент восстановленного сигнала левого канала в текущем кадре,
указывает конечный сегмент восстановленный сигнал правого канала в текущем кадре,
указывает средний сегмент восстановленного сигнала левого канала в текущем кадре, и
указывает средний сегмент восстановленного сигнала правого канала в текущем кадре.
[0089] Здесь,
указывает восстановленный сигнал левого канала в текущем кадре.
[0090] Здесь,
указывает восстановленный сигнал правого канала в текущем кадре.
[0091] Например,
.
[0092] fade_in(n) указывает коэффициент нарастания, fade_out(n) указывает коэффициент затухания, и сумма fade_in(n) и fade_out(n) составляет 1.
[0093] В частности, например,
и
. Конечно, fade_in(n) альтернативно может быть коэффициентом нарастания другого функционального соотношения, основанного на n. Конечно, альтернативно может быть fade_out(n) коэффициентом затухания другого функционального соотношения, основанного на n.
[0094] Здесь n обозначает номер точки дискретизации. Например, n=0, 1, …, N-1.
[0095] Здесь 0<N3<N4<N-1.
[0096] Например, N3 равно 101, 107, 120, 150 или другому значению.
[0097] Например, N4 равно 181, 187, 200, 205 или другому значению.
[0098]
указывает третий средний сегмент восстановленного сигнала левого канала в текущем кадре, и
указывает третий средний сегмент восстановленного сигнала правого канала в текущем кадре; и
указывает четвертый средний сегмент восстановленного сигнала левого канала в текущем кадре, и
указывает четвертый средний сегмент восстановленного сигнала правого канала в текущем кадре.
[0099] В некоторых возможных вариантах реализации,
[0100] Здесь,
указывает декодированный сигнал первичного канала в текущем кадре, а
указывает декодированный сигнал вторичного канала в текущем кадре.
[0101]
указывает матрицу повышающего микширования, соответствующую схеме объединения каналов антикоррелированных сигналов для предыдущего кадра, и
построена на основе коэффициента соотношения объединения каналов, соответствующего схеме объединения каналов антикоррелированных сигналов для предыдущего кадра; и
указывает матрицу повышающего микширования, соответствующую схеме объединения каналов коррелированных сигналов для текущего кадра, и
построена на основе коэффициента соотношения объединения каналов, соответствующего схеме объединения каналов коррелированных сигналов для текущего кадра.
[0102]
может иметь множество возможных форм, которые в частности представляют собой:
[0103] Здесь, α1_pre=tdm_last_ratio_SM и α2_pre=1-tdm_last_ratio_SM.
[0104] Здесь, tdm_last_ratio_SM указывает коэффициент соотношения объединения каналов, соответствующий схеме объединения каналов антикоррелированных сигналов для предыдущего кадра.
[0105]
может иметь множество возможных форм, которые в частности представляют собой:
[0106] Здесь,
указывает коэффициент соотношения объединения каналов, соответствующий схеме объединения каналов коррелированных сигналов для текущего кадра.
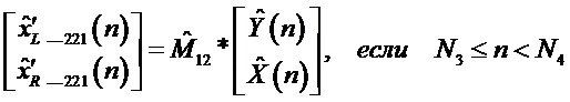
[0107] Согласно третьему аспекту варианты осуществления настоящей заявки дополнительно предоставляют устройство стереокодирования во временной области, и устройство может включать в себя процессор и память, которые соединены друг с другом. Процессор может быть выполнен с возможностью выполнения некоторых или всех этапов любого способа стереокодирования в первом аспекте.
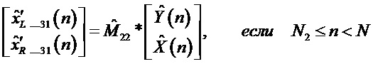
[0108] Согласно четвертому аспекту варианты осуществления настоящей заявки дополнительно предоставляют устройство стереодекодирования во временной области, и устройство может включать в себя процессор и память, которые соединены друг с другом. Процессор может быть выполнен с возможностью выполнения некоторых или всех этапов любого способа стереодекодирования во втором аспекте.
[0109] Согласно пятому аспекту варианты осуществления настоящей заявки предоставляют устройство стереодекодирования во временной области, включающее в себя несколько функциональных блоков, выполненных с возможностью реализации любого способа в первом аспекте.
[0110] Согласно шестому аспекту варианты осуществления настоящей заявки предоставляют устройство стереокодирования во временной области, включающее в себя несколько функциональных блоков, выполненных с возможностью реализации любого способа во втором аспекте.
[0111] Согласно седьмому аспекту варианты осуществления настоящей заявки предоставляют машиночитаемый носитель информации, а машиночитаемый носитель информации хранит программный код, при этом программный код включает в себя инструкцию, используемую для выполнения некоторых или всех этапов любого способа в первом аспекте.
[0112] Согласно восьмому аспекту варианты осуществления настоящей заявки предоставляют машиночитаемый носитель информации, а машиночитаемый носитель информации хранит программный код, при этом программный код включает в себя инструкцию, используемую для выполнения некоторых или всех этапов любого способа во втором аспекте.
[0113] Согласно девятому аспекту варианты осуществления настоящей заявки предоставляют компьютерный программный продукт, и когда компьютерный программный продукт исполняется на компьютере, компьютеру предоставляется возможность выполнять некоторые или все этапы любого способа в первом аспекте.
[0114] Согласно десятому аспекту варианты осуществления настоящей заявки предоставляют компьютерный программный продукт, и когда компьютерный программный продукт исполняется на компьютере, компьютеру предоставляется возможность выполнять некоторые или все этапы любого способа во втором аспекте.
КРАТКОЕ ОПИСАНИЕ ЧЕРТЕЖЕЙ
[0115] Далее описаны сопроводительные чертежи, необходимые для описания вариантов осуществления или уровня данной заявки.
[0116] Фиг. 1 является принципиальной схемой сигнала с почти противофазностью в соответствии с одним вариантом осуществления настоящей заявки;
[0117] Фиг. 2 является блок-схемой последовательности операций способа кодирования звука в соответствии с одним вариантом осуществления настоящей заявки;
[0118] Фиг.3 является блок-схемой последовательности операций способа определения режима декодирования звука в соответствии с одним вариантом осуществления настоящей заявки;
[0119] Фиг. 4 является блок-схемой последовательности операций другого способа кодирования звука в соответствии с одним вариантом осуществления настоящей заявки;
[0120] Фиг. 5 является блок-схемой последовательности операций способа декодирования звука в соответствии с одним вариантом осуществления настоящей заявки;
[0121] Фиг. 6 является блок-схемой последовательности операций другого способа кодирования звука в соответствии с одним вариантом осуществления настоящей заявки;
[0122] Фиг.7 является блок-схемой последовательности операций другого способа декодирования звука в соответствии с одним вариантом осуществления настоящей заявки;
[0123] Фиг. 8 является блок-схемой последовательности операций способа определения стереопараметра во временной области в соответствии с одним вариантом осуществления настоящей заявки;
[0124] Фиг. 9-A является блок-схемой последовательности операций другого способа кодирования звука в соответствии с одним вариантом осуществления настоящей заявки;
[0125] Фиг. 9-B является блок-схемой последовательности операций способа вычисления и кодирования коэффициента соотношения объединения каналов, соответствующего схеме объединения каналов антикоррелированных сигналов для текущего кадра, в соответствии с одним вариантом осуществления настоящей заявки;
[0126] Фиг. 9-C является блок-схемой последовательности операций способа для вычисления параметра разности амплитудной корреляции между левым каналом и правым каналом в текущем кадре в соответствии с одним вариантом осуществления настоящей заявки;
[0127] Фиг. 9-D является блок-схемой последовательности операций способа преобразования параметра разности амплитудной корреляции между левым каналом и правым каналом в текущем кадре в коэффициент соотношения объединения каналов в соответствии с одним вариантом осуществления настоящей заявки;
[0128] Фиг. 10 является блок-схемой последовательности операций другого способа декодирования звука в соответствии с одним вариантом осуществления настоящей заявки;
[0129] Фиг. 11-A является принципиальной схемой устройства в соответствии с одним вариантом осуществления настоящей заявки;
[0130] Фиг. 11-B является принципиальной схемой другого устройства в соответствии с одним вариантом осуществления настоящей заявки;
[0131] Фиг. 11-C является принципиальной схемой другого устройства в соответствии с одним вариантом осуществления настоящей заявки;
[0132] Фиг. 12-A является принципиальной схемой другого устройства в соответствии с одним вариантом осуществления настоящей заявки;
[0133] Фиг. 12-B является принципиальной схемой другого устройства в соответствии с одним вариантом осуществления настоящей заявки; и
[0134] Фиг. 12-C является принципиальной схемой другого устройства в соответствии с одним вариантом осуществления настоящей заявки.
Описание вариантов осуществления
[0135] Далее описываются варианты осуществления настоящей заявки со ссылкой на прилагаемые чертежи в вариантах осуществления настоящей заявки.
[0136] Термины «включать в себя», «иметь» и любые другие их варианты, упомянутые в описании, формуле изобретения и прилагаемых чертежах настоящей заявки, предназначены для охвата неисключительного включения. Например, процесс, способ, система, продукт или устройство, которое включает в себя последовательность этапов или блоков, не ограничивается перечисленными этапами или блоками, а могут дополнительно включать в себя дополнительный этап или блок, не включенный в список, или в необязательном порядке, дополнительно включает в себя еще один неотъемлемый этап или блок процесса, способ, продукт или устройство. Кроме того, термины «первый», «второй», «третий», «четвертый» и тому подобное используются для различения объектов вместо описания конкретной последовательности.
[0137] Следует отметить, что, поскольку решения вариантов осуществления настоящей заявки являются характерными для сценария во временной области, для краткости описания сигнал во временной области может кратко упоминаться как «сигнал». Например, сигнал во временной области левого канала может кратко называться «сигналом левого канала». В другом примере сигнал во временной области правого канала может кратко называться «сигналом правого канала». В другом примере монофонический сигнал во временной области может кратко называться «монофоническим сигналом» (моносигналом). В качестве другого примера, сигнал во временной области опорного канала может кратко упоминается как «сигнал опорного канала». В другом примере сигнал во временной области первичного канала может кратко упоминаться как «сигнал первичного канала». Сигнал во временной области вторичного канала может кратко называться «сигналом вторичного канала». В другом примере сигнал во временной области среднего канала (Mid channel) может кратко называться «сигналом среднего канала». В другом примере сигнал во временной области бокового канала (Side channel) может кратко называться «сигналом бокового канала». Другие случаи могут быть выведены по аналогии.
[0138] Следует отметить, что в вариантах осуществления настоящей заявки сигнал во временной области левого канала и сигнал во временной области правого канала могут совместно упоминаться как «сигналы во временной области левого и правого каналов» или могут совместно называться «сигналы левого и правого каналов». Другими словами, сигналы во временной области левого и правого каналов включают в себя сигнал во временной области левого канала и сигнал во временной области правого канала. В другом примере сигналы во временной области левого и правого каналов, которые подверглись обработке выравнивания задержки в текущем кадре, включают в себя сигнал во временной области левого канала, который подвергся обработке выравнивания задержки в текущем кадре, и сигнал во временной области правого канала, который подвергся обработке выравнивания задержки в текущем кадре. Аналогично, сигнал первичного канала и сигнал вторичного канала могут совместно упоминаться как «сигналы первичного и вторичного каналов». Другими словами, сигналы первичного и вторичного каналов включают в себя сигнал первичного канала и сигнал вторичного канала. В другом примере декодированные сигналы первичного и вторичного каналов включают в себя декодированный сигнал первичного канала и декодированный сигнал вторичного канала. В другом примере восстановленные сигналы левого и правого каналов включают в себя восстановленный сигнал левого канала и восстановленный сигнал правого канала. Остальное можно вывести по аналогии.
[0139] Например, в традиционной технологии кодирования MS сигналы левого и правого каналов сначала микшируются с понижением для получения сигнала среднего канала (Mid channel) и сигнала бокового канала (Side channel). Например, L обозначает сигнал левого канала, а R обозначает сигнал правого канала. В этом случае сигнал среднего канала равен 0,5x(L+R), и сигнал среднего канала указывает информацию о корреляции между левым каналом и правым каналом; и сигнал бокового канала равен 0,5x(L-R), и сигнал бокового канала указывает информацию о разности между левым каналом и правым каналом. Затем сигнал среднего канала и сигнал бокового канала кодируются по отдельности посредством использования способа монокодирования. Сигнал среднего канала обычно кодируется посредством использования большего количества битов, а сигнал бокового канала обычно кодируется посредством использования меньшего количества битов.
[0140] Кроме того, в некоторых решениях для улучшения качества кодирования анализируются сигналы во временной области левого и правого каналов, чтобы извлечь стереофонический параметр во временной области, используемый для указания пропорции левого канала к правому каналу при обработке понижающего микширования во временной области. Задача предлагаемого способа состоит в том, что: Когда разность энергий между стереофоническими сигналами левого и правого каналов относительно велика, в сигналах, микшированных с понижением во временной области, энергия первичного канала может быть увеличена, а энергия вторичного канала может быть уменьшена. Например, L обозначает сигнал левого канала, а R обозначает сигнал правого канала. В этом случае сигнал первичного канала (Primary channel) обозначается как Y, где Y = alpha х L + beta х R, а Y указывает информацию о корреляции между двумя каналами; и сигнал вторичного канала (Secondary channel) обозначается как X, где X = alpha х L - beta х R, и Х представляет информацию о разности между двумя каналами. Здесь alpha и beta являются действительными числами от 0 до 1.
[0141] На Фиг. 1 показаны изменения амплитуды сигнала левого канала и сигнала правого канала. В некоторый момент времени во временной области абсолютное значение амплитуды некоторой точки дискретизации сигнала левого канала в конкретном месте и абсолютное значение амплитуды точки дискретизации сигнала правого канала в соответствующем месте в основном совпадают, но амплитуды имеют противоположные знаки. Это типичный сигнал с почти противофазностью. На Фиг. 1 просто показан типичный пример сигнала с почти противофазностью. Фактически, сигнал с почти противофазностью является стереофоническим сигналом, в котором разность фаз между сигналами левого и правого каналов составляет приблизительно 180 градусов. Например, стереосигнал, разность фаз которого между сигналами левого и правого каналов находится в пределах [180-θ, 180+θ], может упоминаться как сигнал с почти противофазностью, где
может быть любым углом между 0° и 90°. Например, θ может быть равен углу 0°, 5°, 15°, 17°, 20°, 30° или 40°.
[0142] Точно так же сигнал с почти синфазностью является стереофоническим сигналом, в котором разность фаз между сигналами левого и правого каналов составляет приблизительно 0 градусов. Например, стереосигнал, разность фаз которого между сигналами левого и правого каналов находится в пределах [-θ, θ], может упоминаться как сигнал с почти синфазностью. θ может быть любым углом от 0° до 90°. Например, θ может быть равен углу 0°, 5°, 15°, 17°, 20°, 30° или 40°.
[0143] Когда сигналы левого и правого каналов представляют собой сигнал с почти синфазностью, энергия сигнала первичного канала, сгенерированного посредством обработки понижающего микширования во временной области, обычно значительно больше энергии сигнала вторичного канала. Если сигнал первичного канала кодируется посредством использования большего количества битов, а сигнал вторичного канала кодируется посредством использования меньшего количества битов, то может быть получен лучший эффект кодирования. Однако, когда сигналы левого и правого каналов представляют собой сигнал с почти противофазностью, если используется один и тот же способ обработки понижающего микширования во временной области, то энергия сгенерированного сигнала первичного канала может быть очень мала или даже потеряна, что приведет к уменьшению окончательного качества кодирования.
[0144] Далее продолжается описание некоторых технических решений, которые могут помочь улучшить качество стерео кодирования и декодирования.
[0145] Устройство кодирования и устройство декодирования, упомянутые в вариантах осуществления настоящей заявки, могут быть устройствами, которые имеют такие функции, как сбор, хранение и передача речевого сигнала вовне. В частности, устройством кодирования и устройством декодирования могут быть, например, мобильные телефоны, серверы, планшетные компьютеры, персональные компьютеры или ноутбуки.
[0146] Может быть понятно, что в решениях настоящей заявки сигналы левого и правого каналов являются сигналами левого и правого каналов стереосигнала. Стереосигнал может быть исходным стереосигналом или стереосигналом, включающим в себя два канала сигналов в многоканальном сигнале, или стереосигналом, включающим в себя два канала сигналов, которые совместно генерируются множеством каналов сигналов в многоканальном сигнале. Способ стереокодирования также может быть способом стереокодирования, используемым в многоканальном кодировании. Устройство стереокодирования также может быть устройством стереокодирования, используемым в устройстве многоканального кодирования. Способ стереодекодирования также может быть способом стереодекодирования, используемым в многоканальном декодировании. Устройство стереодекодирования также может быть устройством стереодекодирования, используемым в устройстве многоканального декодирования. Способ кодирования звука в вариантах осуществления настоящей заявки, например, характерен для сценария стереокодирования, а способ декодирования звука в вариантах осуществления настоящей заявки, например, характерен для сценария стереодекодирования.
[0147] Ниже сначала предоставлен способ определения режима кодирования звука, и способ может включать в себя: определение схемы объединения каналов для текущего кадра и определение режима кодирования текущего кадра на основе схемы объединения каналов для предыдущего кадра и схемы объединения каналов для текущего кадра.
[0148] Фиг. 2 является блок-схемой последовательности операций способа кодирования звука в соответствии с одним вариантом осуществления настоящей заявки. Соответствующие способа кодирования звука могут быть реализованы устройством кодирования и могут включать в себя, например, следующие этапы.
[0149] 201. Определение схемы объединения каналов для текущего кадра.
[0150] Схема объединения каналов для текущего кадра является одной из множества схем объединения каналов. Например, множество схем объединения каналов включает в себя схему объединения каналов антикоррелированных сигналов (anticorrelated signal Channel Combination Scheme) и схему объединения каналов коррелированных сигналов (correlated signal Channel Combination Scheme). Схема объединения каналов коррелированных сигналов является схемой объединения каналов, соответствующей сигналу с почти синфазностью. Схема объединения каналов антикоррелированных сигналов является схемой объединения каналов, соответствующей сигналу с почти противофазностью. Должно быть понятно, что схема объединения каналов, соответствующая сигналу с почти синфазностью, применима к сигналу с почти синфазностью, а схема объединения каналов, соответствующая сигналу с почти противофазностью, применима к сигналу с почти противофазностью.
[0151] 202. Определение режима кодирования текущего кадра на основе схемы объединения каналов для предыдущего кадра и схемы объединения каналов для текущего кадра.
[0152] Кроме того, если текущий кадр является первым кадром (то есть предыдущий кадр текущего кадра не существует), режим кодирования текущего кадра может быть определен на основе схемы объединения каналов для текущего кадра. Альтернативно, режим кодирования по умолчанию может использоваться в качестве режима кодирования текущего кадра.
[0153] Режим кодирования текущего кадра является одним из множества режимов кодирования. Например, множество режимов кодирования может включать в себя режим переключения кодирования с коррелированных на антикоррелированные сигналы (correlated-to-anticorrelated signal coding switching mode), режим переключения кодирования с антикоррелированных на коррелированные сигналы (anticorrelated-to-correlated signal coding switching mode), режим кодирования коррелированных сигналов (correlated signal coding mode), режим кодирования антикоррелированных сигналов (anticorrelated signal coding mode) и т.п.
[0154] Режим понижающего микширования во временной области, соответствующий режиму переключения кодирования с коррелированных на антикоррелированные сигналы, может называться, например, «режимом переключения понижающего микширования с коррелированных на антикоррелированные сигналы» (correlated-to-anticorrelated signal downmix switching mode). Режим понижающего микширования во временной области, соответствующий режиму переключения кодирования с антикоррелированных на коррелированные сигналы, может называться, например, «режимом переключения понижающего микширования с антикоррелированных на коррелированные сигналы» (anticorrelated-to-correlated signal downmix switching mode). Режим понижающего микширования во временной области, соответствующий режиму кодирования коррелированных сигналов, может называться, например, «режимом понижающего микширования коррелированных сигналов» (correlated signal downmix mode). Режим понижающего микширования во временной области, соответствующий режиму кодирования антикоррелированных сигналов, может упоминаться, например, как «режим понижающего микширования антикоррелированных сигналов» (anticorrelated signal downmix mode).
[0155] Может быть понятно, что в этом варианте осуществления настоящей заявки названия объектов, такие как режимы кодирования, режимы декодирования и схемы объединения каналов, являются примерами, и другие названия также могут использоваться при фактическом применении.
[0156] 203. Выполнение обработки понижающего микширования во временной области в отношении сигналов левого и правого каналов в текущем кадре на основе обработки понижающего микширования во временной области, соответствующей режиму кодирования текущего кадра, для получения сигналов первичного и вторичного каналов в текущем кадре.
[0157] Обработка понижающего микширования во временной области может выполняться в отношении сигналов левого и правого каналов в текущем кадре, чтобы получить сигналы первичного и вторичного каналов в текущем кадре, и сигналы первичного и вторичного каналов дополнительно кодируются для получения битового потока. Кроме того, флаг схемы объединения каналов (флаг схемы объединения каналов текущего кадра используется для указания схемы объединения каналов для текущего кадра) текущего кадра может быть записан в битовый поток, так что устройство декодирования определяет схему объединения каналов для текущего кадра на основе флага схемы объединения каналов текущего кадра, который включен в битовый поток.
[0158] Могут быть различные конкретные варианты реализации определения режима кодирования текущего кадра на основе схемы объединения каналов для предыдущего кадра и схемы объединения каналов для текущего кадра.
[0159] В частности, например, в некоторых возможных вариантах реализации определение режима кодирования текущего кадра на основе схемы объединения каналов для предыдущего кадра и схемы объединения каналов для текущего кадра может включать в себя:
когда схема объединения каналов для предыдущего кадра является схемой объединения каналов коррелированных сигналов, а схема объединения каналов для текущего кадра является схемой объединения каналов антикоррелированных сигналов, определение, что режим кодирования текущего кадра является режимом переключения кодирования с коррелированных на антикоррелированные сигналы, где в режиме переключения кодирования с коррелированных на антикоррелированные сигналы обработка понижающего микширования во временной области выполняется посредством использования способа обработки понижающего микширования, соответствующего переходу от схемы объединения каналов коррелированных сигналов к схеме объединения каналов антикоррелированных сигналов; или
когда схема объединения каналов для предыдущего кадра является схемой объединения каналов антикоррелированных сигналов, а схема объединения каналов для текущего кадра является схемой объединения каналов антикоррелированных сигналов, определение, что режим кодирования текущего кадра является режимом кодирования антикоррелированных сигналов, где в режиме кодирования антикоррелированных сигналов обработка понижающего микширования во временной области выполняется посредством использования способа обработки понижающего микширования, соответствующего схеме объединения каналов антикоррелированных сигналов; или
когда схема объединения каналов для предыдущего кадра является схемой объединения каналов антикоррелированных сигналов, а схема объединения каналов для текущего кадра является схемой объединения каналов коррелированных сигналов, определение, что режим кодирования текущего кадра является режимом переключения кодирования с антикоррелированных на коррелированные сигналы, где в режиме переключения кодирования с антикоррелированных на коррелированные сигналы обработка понижающего микширования во временной области выполняется посредством использования способа обработки понижающего микширования, соответствующего переходу от схемы объединения каналов антикоррелированных сигналов к схеме объединения каналов коррелированных сигналов, и вариант обработки понижающего микширования во временной области, соответствующий режиму переключения кодирования сигнала с антикоррелированных на коррелированные сигналы, может быть конкретно вариантом сегментного понижающего микширования во временной области, то есть выполнением сегментной обработки понижающего микширования во временной области в отношении сигналов левого и правого каналов в текущем кадре на основе схемы объединения каналов для текущего кадр и схемы объединения каналов для предыдущего кадра; или
когда схема объединения каналов для предыдущего кадра является схемой объединения каналов коррелированных сигналов, и схема объединения каналов для текущего кадра является схемой объединения каналов коррелированных сигналов, определение, что режим кодирования текущего кадра является режимом кодирования коррелированных сигналов, где в режиме кодирования коррелированных сигналов обработка понижающего микширования во временной области выполняется посредством использования способа обработки понижающего микширования, соответствующего схеме объединения каналов коррелированных сигналов.
[0160] Может быть понятно, что варианты обработки понижающего микширования во временной области, соответствующие различным режимам кодирования, обычно различны. Кроме того, каждый режим кодирования может соответствовать одному или нескольким вариантам обработки понижающего микширования во временной области.
[0161] Например, в некоторых возможных вариантах реализации, когда определено, что режим кодирования текущего кадра является режимом кодирования коррелированных сигналов, обработка понижающего микширования во временной области выполняется в отношении сигналов левого и правого каналов в текущем кадре посредством использования варианта обработки понижающего микширования во временной области, соответствующего режиму кодирования коррелированных сигналов, для получения сигналов первичного и вторичного каналов в текущем кадре. Вариант обработки понижающего микширования во временной области, соответствующий режиму кодирования коррелированных сигналов, является вариантом обработки понижающего микширования во временной области, соответствующим схеме объединения каналов коррелированных сигналов.
[0162] В другом примере, в некоторых возможных вариантах реализации, когда определено, что режим кодирования текущего кадра является режимом кодирования антикоррелированных сигналов, обработка понижающего микширования во временной области выполняется в отношении сигналов левого и правого каналов в текущем кадре посредством использования варианта обработки понижающего микширования во временной области, соответствующего режиму кодирования антикоррелированных сигналов, для получения сигналов первичного и вторичного каналов в текущем кадре. Вариант обработки понижающего микширования во временной области, соответствующий режиму кодирования антикоррелированных сигналов, является вариантом обработки понижающего микширования во временной области, соответствующим схеме объединения каналов антикоррелированных сигналов.
[0163] В другом примере, в некоторых возможных вариантах реализации, когда определено, что режим кодирования текущего кадра является режимом переключения кодирования с коррелированных на антикоррелированные сигналы, обработка понижающего микширования во временной области выполняется в отношении сигналов левого и правого каналов в текущем кадре посредством использования варианта обработки понижающего микширования во временной области, соответствующего режиму переключения кодирования с коррелированных на антикоррелированные сигналы, для получения сигналов первичного и вторичного каналов в текущем кадре. Вариант обработки понижающего микширования во временной области, соответствующий режиму переключения кодирования с коррелированных на антикоррелированные сигналы, является вариантом обработки понижающего микширования во временной области, соответствующим переходу от схемы объединения каналов коррелированных сигналов к схеме объединения каналов антикоррелированных сигналов. Вариант обработки понижающего микширования во временной области, соответствующий режиму переключения кодирования с коррелированных на антикоррелированные сигналы, может быть, в частности, способом понижающего микширования во временной области, то есть выполнением сегментной обработки понижающего микширования во временной области в отношении сигналов левого и правого каналов в текущем кадре на основе схемы объединения каналов для текущего кадра и схемы объединения каналов для предыдущего кадра.
[0164] В другом примере, в некоторых возможных вариантах реализации, когда определено, что режим кодирования текущего кадра является режимом переключения кодирования с антикоррелированных на коррелированные сигналы, обработка понижающего микширования во временной области выполняется в отношении сигналов левого и правого каналов в текущем кадре посредством использования варианта обработки понижающего микширования во временной области, соответствующего режиму переключения кодирования с антикоррелированных на коррелированные сигналы, для получения сигналов первичного и вторичного каналов в текущем кадре. Вариант обработки понижающего микширования во временной области, соответствующий режиму переключения кодирования сигнала с антикоррелированных на коррелированные сигналы, является вариантом обработки понижающего микширования во временной области, соответствующим переходу от схемы объединения каналов антикоррелированных сигналов к схеме объединения каналов коррелированных сигналов.
[0165] Может быть понятно, что варианты обработки понижающего микширования во временной области, соответствующие различным режимам кодирования, обычно различны. Кроме того, каждый режим кодирования может соответствовать одному или нескольким способам обработки понижающего микширования во временной области.
[0166] Например, в некоторых возможных вариантах реализации выполнение обработки понижающего микширования во временной области в отношении сигналов левого и правого каналов в текущем кадре посредством использования варианта обработки понижающего микширования во временной области, соответствующего режиму кодирования антикоррелированных сигналов, чтобы получить сигналы первичного и вторичного канала в текущем кадре, может включать в себя: выполнение обработки понижающего микширования во временной области в отношении сигналов левого и правого каналов в текущем кадре на основе коэффициента соотношения объединения каналов схемы объединения каналов антикоррелированных сигналов для текущего кадра, чтобы получить сигналы первичного и вторичного каналов в текущем кадре; или выполнение обработки понижающего микширования во временной области в отношении сигналов левого и правого каналов в текущем кадре на основе коэффициента соотношения объединения каналов схемы объединения каналов антикоррелированных сигналов для текущего кадра и коэффициента соотношения объединения каналов схемы объединения каналов антикоррелированных сигналов для предыдущего кадра, для получения сигналов первичного и вторичного каналов в текущем кадре.
[0167] Может быть понятно, что в вышеприведенном решении необходимо определить схему объединения каналов для текущего кадра, и это указывает то, что существует множество возможностей для схемы объединения каналов для текущего кадра. По сравнению с традиционным решением, в котором существует только одна схема объединения каналов, настоящее решение с множеством возможных схем объединения каналов может быть лучше совместимо с множеством возможных сценариев и подходить им. В вышеприведенном решении режим кодирования текущего кадра должен быть определен на основе схемы объединения каналов для предыдущего кадра и схемы объединения каналов для текущего кадра, и существует множество возможностей для режима кодирования текущего кадра. По сравнению с традиционным решением, в котором существует только один режим кодирования, данное решение с множеством возможных режимов кодирования может быть лучше совместимо с множеством возможных сценариев и подходить им.
[0168] В частности, например, если схема объединения каналов для текущего кадра отличается от схемы объединения каналов для предыдущего кадра, может быть определено, что режим кодирования текущего кадра может быть, например, режимом переключения кодирования с коррелированных на антикоррелированные сигналы или режимом переключения кодирования с антикоррелированных на коррелированные сигналы. В этом случае сегментная обработка понижающего микширования во временной области может быть выполнена в отношении сигналов левого и правого каналов в текущем кадре на основе схемы объединения каналов для текущего кадра и схемы объединения каналов для предыдущего кадра.
[0169] Когда схема объединения каналов для текущего кадра и схема объединения каналов для предыдущего кадра различны, вводится механизм выполнения сегментной обработки понижающего микширования во временной области в отношении сигналов левого и правого каналов в текущем кадре. Сегментный механизм обработки понижающего микширования во временной области помогает реализовать плавный переход схем объединения каналов и дополнительно помогает улучшить качество кодирования.
[0170] Соответственно, ниже описан сценарий стереодекодирования во временной области посредством использования примера.
[0171] Со ссылкой на Фиг. 3 ниже представлен способ определения режима декодирования звука. Соответствующие этапы способа определения режима декодирования звука могут быть реализованы устройством декодирования, и способ может конкретно включать в себя следующие этапы.
[0172] 301. Определение схемы объединения каналов для текущего кадра на основе флага схемы объединения каналов текущего кадра, который находится в битовом потоке.
[0173] 302. Определение режима декодирования текущего кадра на основе схемы объединения каналов для предыдущего кадра и схемы объединения каналов для текущего кадра.
[0174] Режим декодирования текущего кадра является одним из множества режимов декодирования. Например, множество режимов декодирования может включать в себя режим переключения декодирования с коррелированных на антикоррелированные сигналы (correlated-to-anticorrelated signal decoding switching mode), режим переключения декодирования с антикоррелированных на коррелированные сигналы (anticorrelated-to-correlated signal decoding switching mode), режим декодирования коррелированных сигналов (correlated signal decoding mode), режим декодирования антикоррелированных сигналов (anticorrelated signal decoding mode) и т.п.
[0175] Режим повышающего микширования во временной области, соответствующий режиму переключения декодирования с коррелированных на антикоррелированные сигналы, может называться, например, «режимом переключения повышающего микширования с коррелированных на антикоррелированные сигналы» (correlated-to-anticorrelated signal upmix switching mode). Режим повышающего микширования во временной области, соответствующий режиму переключения декодирования с антикоррелированных на коррелированные сигналы, может называться, например, «режимом переключения повышающего микширования с антикоррелированных на коррелированные сигналы» (anticorrelated-to-correlated signal upmix switching mode). Режим повышающего микширования во временной области, соответствующий режиму декодирования коррелированных сигналов, может называться, например, «режимом повышающего микширования коррелированных сигналов» (correlated signal upmix mode). Режим повышающего микширования во временной области, соответствующий режиму декодирования антикоррелированных сигналов, может упоминаться, например, как «режим повышающего микширования антикоррелированных сигналов» (anticorrelated signal upmix mode).
[0176] Может быть понятно, что в этом варианте осуществления настоящей заявки названия объектов, такие как режимы кодирования, режимы декодирования и схемы объединения каналов, являются примерами, и другие названия также могут использоваться при фактическом применении.
[0177] В некоторых возможных вариантах реализации определение режима декодирования текущего кадра на основе схемы объединения каналов для предыдущего кадра и схемы объединения каналов для текущего кадра включает в себя:
когда схема объединения каналов для предыдущего кадра является схемой объединения каналов коррелированных сигналов, а схема объединения каналов для текущего кадра является схемой объединения каналов антикоррелированных сигналов, определение, что режим декодирования текущего кадра является режимом переключения декодирования с коррелированных на антикоррелированные сигналы, где в режиме переключения декодирования с коррелированных на антикоррелированные сигналы обработка повышающего микширования во временной области выполняется посредством использования способа обработки повышающего микширования, соответствующего переходу от схемы объединения каналов коррелированных сигналов к схеме объединения каналов антикоррелированных сигналов; или
когда схема объединения каналов для предыдущего кадра является схемой объединения каналов антикоррелированных сигналов, а схема объединения каналов для текущего кадра является схемой объединения каналов антикоррелированных сигналов, определение, что режим декодирования текущего кадра является режимом декодирования антикоррелированных сигналов, где в режиме декодирования антикоррелированных сигналов обработка повышающего микширования во временной области выполняется посредством использования способа обработки повышающего микширования, соответствующего схеме объединения каналов антикоррелированных сигналов; или
когда схема объединения каналов для предыдущего кадра является схемой объединения каналов антикоррелированных сигналов, а схема объединения каналов для текущего кадра является схемой объединения каналов коррелированных сигналов, определение, что режим декодирования текущего кадра является режимом переключения декодирования с антикоррелированных на коррелированные сигналы, где в режиме переключения декодирования с антикоррелированных на коррелированные сигналы обработка повышающего микширования во временной области выполняется посредством использования способа обработки повышающего микширования, соответствующего переходу от схемы объединения каналов антикоррелированных сигналов к схеме объединения каналов коррелированных сигналов; или
когда схема объединения каналов для предыдущего кадра является схемой объединения каналов коррелированных сигналов, и схема объединения каналов для текущего кадра является схемой объединения каналов коррелированных сигналов, определение, что режим декодирования текущего кадра является режимом декодирования коррелированных сигналов, где в режиме декодирования коррелированных сигналов обработка повышающего микширования во временной области выполняется посредством использования способа обработки повышающего микширования, соответствующего схеме объединения каналов коррелированных сигналов.
[0178] Например, при определении того, что режим декодирования текущего кадра является режимом декодирования антикоррелированных сигналов, устройство декодирования выполняет обработку повышающего микширования во временной области в отношении декодированных сигналов первичного и вторичного каналов в текущем кадре посредством использования варианта обработки повышающего микширования во временной области, соответствующего режиму декодирования антикоррелированных сигналов, чтобы получить восстановленные сигналы левого и правого каналов в текущем кадре.
[0179] Восстановленные сигналы левого и правого каналов могут быть декодированными сигналами левого и правого каналов, или обработка выравнивания задержки и/или постобработка во временной области может быть выполнена в отношении восстановленных сигналов левого и правого каналов для получения декодированных сигналов левого и правого каналов.
[0180] Вариант обработки повышающего микширования во временной области, соответствующий режиму декодирования антикоррелированных сигналов, является вариантом обработки повышающего микширования во временной области, соответствующим схеме объединения каналов антикоррелированных сигналов, и схема объединения каналов антикоррелированных сигналов является схемой объединения каналов, соответствующей сигналу с почти противофазностью.
[0181] Режим декодирования текущего кадра может быть одним из множества режимов декодирования. Например, режим декодирования текущего кадра может быть одним из следующих режимов декодирования: режим декодирования коррелированных сигналов, режим декодирования антикоррелированных сигналов, режим переключения декодирования с коррелированных на антикоррелированные сигналы и режим переключения декодирования с антикоррелированных на коррелированные сигналы.
[0182] Понятно, что в вышеприведенном решении необходимо определить режим декодирования текущего кадра, и это указывает то, что существует множество возможностей для режима декодирования текущего кадра. По сравнению с традиционным решением, в котором существует только один режим декодирования, данное решение с множеством возможных режимов декодирования может быть лучше совместимо с множеством возможных сценариев и подходить им. Кроме того, поскольку вводится схема объединения каналов, соответствующая сигналу с почти противофазностью, когда стереосигнал в текущем кадре является сигналом с почти противофазностью, существует более целенаправленная схема объединения каналов и режим декодирования, и это помогает улучшить качество декодирования.
[0183] В другом примере, при определении того, что режим декодирования текущего кадра является режимом декодирования коррелированных сигналов, устройство декодирования выполняет обработку повышающего микширования во временной области в отношении декодированных сигналов первичного и вторичного каналов в текущем кадре посредством использования варианта обработки повышающего микширования во временной области, соответствующего режиму декодирования коррелированных сигналов, для получения восстановленных сигналов левого и правого каналов в текущем кадре. Вариант обработки повышающего микширования во временной области, соответствующий режиму декодирования коррелированных сигналов, является вариантом обработки повышающего микширования во временной области, соответствующим схеме объединения каналов коррелированных сигналов, и схема объединения каналов коррелированных сигналов является схемой объединения каналов, соответствующей сигналу с почти синфазностью.
[0184] В другом примере, при определении того, что режим декодирования текущего кадра является режимом переключения декодирования с коррелированных на антикоррелированные сигналы, устройство декодирования выполняет обработку повышающего микширования во временной области в отношении декодированных сигналов первичного и вторичного каналов в текущем кадре посредством использования варианта обработки повышающего микширования во временной области, соответствующего режиму переключения декодирования с коррелированных на антикоррелированные сигналы, для получения восстановленных сигналов левого и правого каналов в текущем кадре. Вариант обработки повышающего микширования во временной области, соответствующий режиму переключения декодирования с коррелированных на антикоррелированные сигналы, является вариантом обработки повышающего микширования во временной области, соответствующим переходу от схемы объединения каналов коррелированных сигналов к схеме объединения каналов антикоррелированных сигналов.
[0185] В другом примере, при определении того, что режим декодирования текущего кадра является режимом переключения декодирования с антикоррелированных на коррелированные сигналы, устройство декодирования выполняет обработку повышающего микширования во временной области в отношении декодированных сигналов первичного и вторичного каналов в текущем кадре посредством использования варианта обработки повышающего микширования во временной области, соответствующего режиму переключения декодирования с антикоррелированных на коррелированные сигналы, для получения восстановленных сигналов левого и правого каналов в текущем кадре. Вариант обработки повышающего микширования во временной области, соответствующий режиму переключения декодирования с антикоррелированных на коррелированные сигналы, является вариантом обработки повышающего микширования во временной области, соответствующим переходу от схемы объединения каналов антикоррелированных сигналов к схеме объединения каналов коррелированных сигналов.
[0186] Понятно, что варианты обработки повышающего микширования во временной области, соответствующие различным режимам декодирования, обычно различны. Кроме того, каждый режим декодирования может соответствовать одному или нескольким вариантам обработки повышающего микширования во временной области.
[0187] Может быть понятно, что в вышеприведенном решении необходимо определить схему объединения каналов для текущего кадра, и это указывает то, что существует множество возможностей для схемы объединения каналов для текущего кадра. По сравнению с традиционным решением, в котором существует только одна схема объединения каналов, настоящее решение с множеством возможных схем объединения каналов может быть лучше совместимо с множеством возможных сценариев и подходить им. В вышеприведенном решении режим декодирования текущего кадра должен быть определен на основе схемы объединения каналов для предыдущего кадра и схемы объединения каналов для текущего кадра, и существует множество возможностей для режима декодирования текущего кадра. По сравнению с традиционным решением, в котором существует только один режим декодирования, данное решение с множеством возможных режимов декодирования может быть лучше совместимо с множеством возможных сценариев и подходить им.
[0188] Кроме того, устройство декодирования выполняет обработку повышающего микширования во временной области в отношении декодированных сигналов первичного и вторичного каналов в текущем кадре на основе обработки повышающего микширования во временной области, соответствующей режиму декодирования текущего кадра, для получения восстановленных сигналов левого и правого каналов в текущем кадре.
[0189] Далее используются примеры для описания некоторых конкретных вариантов реализации определения схемы объединения каналов для текущего кадра устройством кодирования. Существуют различные конкретные варианты реализации определения схемы объединения каналов для текущего кадра устройством кодирования.
[0190] Например, в некоторых возможных вариантах реализации определение схемы объединения каналов для текущего кадра может включать в себя: принятие решения по схеме объединения каналов для текущего кадра по меньшей мере один раз, чтобы определить схему объединения каналов для текущего кадра.
[0191] В частности, например, определение схемы объединения каналов для текущего кадра включает в себя: принятие решения по начальной схеме объединения каналов для текущего кадра, чтобы определить начальную схему объединения каналов для текущего кадра; и принимают решение об изменении схемы объединения каналов для текущего кадра на основе начальной схемы объединения каналов для текущего кадра, чтобы определить схему объединения каналов для текущего кадра. Кроме того, исходная схема объединения каналов для текущего кадра также может быть непосредственно использована в качестве схемы объединения каналов для текущего кадра. Другими словами, схема объединения каналов для текущего кадра может быть начальной схемой объединения каналов для текущего кадра, которая определяется после того, как решение по начальной схеме объединения каналов принято для текущего кадра.
[0192] Например, принятие решения по начальной схеме объединения каналов для текущего кадра может включать в себя: определение типа сигнала с синфазностью/противофазностью стереосигнала в текущем кадре посредством использования сигналов левого и правого каналов в текущем кадре; и определение начальной схемы объединения каналов для текущего кадра на основе типа сигнала с синфазностью/противофазностью стереосигнала в текущем кадре и схемы объединения каналов для предыдущего кадра. Тип сигнала с синфазностью/противофазностью стереосигнала в текущем кадре может представлять собой сигнал с почти синфазностью или сигнал с почти противофазностью. Тип сигнала с синфазностью/противофазностью стереосигнала в текущем кадре может указываться флагом типа сигнала с синфазностью/противофазностью (например, флаг типа сигнала с синфазностью/противофазностью представлен как tmp_SM_flag) текущего кадра. В частности, например, когда значение флага типа сигнала с синфазностью/противофазностью текущего кадра равно «1», то это указывает, что тип сигнала с синфазностью/противофазностью стереосигнала в текущем кадре является сигналом с почти синфазностью; или когда значение флага типа сигнала с синфазностью/противофазностью текущего кадра равно «0», то это указывает то, что тип сигнала с синфазностью/противофазностью стереосигнала в текущем кадре является сигналом с почти противофазностью; или наоборот.
[0193] Схема объединения каналов для звукового кадра (например, предыдущего кадра или текущего кадра) может указываться флагом схемы объединения каналов звукового кадра. Например, когда значение флага схемы объединения каналов звукового кадра равно «0», то это указывает, что схема объединения каналов для звукового кадра является схемой объединения каналов коррелированных сигналов; или когда значение флага схемы объединения каналов звукового кадра равно «1», то это указывает, что схема объединения каналов для звукового кадра является схемой объединения каналов антикоррелированных сигналов; или наоборот.
[0194] Точно так же начальная схема объединения каналов для звукового кадра (например, предыдущего кадра или текущего кадра) может указываться флагом начальной схемы объединения каналов (например, флаг начальной схемы объединения каналов представлен с помощью tdm_SM_flag_loc) звукового кадра. Например, когда значение флага начальной схемы объединения каналов звукового кадра равно «0», то это указывает, что начальная схема объединения каналов для звукового кадра является схемой объединения каналов коррелированных сигналов; или для другого примера, когда значение флага начальной схемы объединения каналов звукового кадра равно «1», то это указывает, что начальная схема объединения каналов для звукового кадра является схемой объединения каналов антикоррелированных сигналов; или наоборот.
[0195] Определение типа сигнала с синфазностью/противофазностью стереосигнала в текущем кадре посредством использования сигналов левого и правого каналов в текущем кадре может включать в себя: вычисление значения
корреляции между сигналами левого и правого каналов в текущем кадре; и когда значение
меньше или равно первой пороговой величине, определение того, что тип сигнала с синфазностью/противофазностью стереосигнала в текущем кадре является сигналом с почти синфазностью; или когда
превышает первую пороговую величину, определение того, что тип сигнала с синфазностью/противофазностью стереосигнала в текущем кадре является сигналом с почти противофазностью. Далее, если флаг типа сигнала с синфазностью/противофазностью текущего кадра используется для указания типа сигнала с синфазностью/противофазностью стереосигнала в текущем кадре, когда определено, что тип сигнала с синфазностью/противофазностью стереосигнала в текущем кадре является сигналом с почти синфазностью, значение флага типа сигнала с синфазностью/противофазностью текущего кадра может быть установлено таким, чтобы указывать, что тип сигнала с синфазностью/противофазностью стереосигнала в текущем кадре является сигналом с почти синфазностью; или когда определено, что тип сигнала с синфазностью/противофазностью в текущем кадре является сигналом с почти противофазностью, значение флага типа сигнала с синфазностью/противофазностью текущего кадра может быть установлено таким, чтобы указывать, что тип сигнала с синфазностью/противофазностью стереосигнала в текущем кадре является сигналом с почти противофазностью.
[0196] Диапазон значений первой пороговой величины может быть, например, (0,5; 1,0), и первая пороговая величина может быть равна, например, 0,5; 0,85; 0,75; 0,65 или 0,81.
[0197] В частности, например, когда значение флага типа сигнала с синфазностью/противофазностью звукового кадра (например, предыдущего кадра или текущего кадра) равно «0», это указывает, что тип сигнала с синфазностью/противофазностью стереосигнала звукового кадра является сигналом с почти синфазностью; или когда значение флага типа сигнала с синфазностью/противофазностью звукового кадра (например, предыдущего кадра или текущего кадра) равно «1», то это указывает, что тип сигнала с синфазностью/противофазностью стереосигнала звукового кадра является сигналом с почти противофазностью; или наоборот.
[0198] Например, определение начальной схемы объединения каналов для текущего кадра на основе типа сигнала с синфазностью/противофазностью стереосигнала в текущем кадре и схемы объединения каналов для предыдущего кадра может включать в себя:
когда тип сигнала с синфазностью/противофазностью стереосигнала в текущем кадре является сигналом с почти синфазностью, и схема объединения каналов для предыдущего кадра является схемой объединения каналов коррелированных сигналов, определение, что исходная схема объединения каналов для текущего кадра является схемой объединения каналов коррелированных сигналов; или когда тип сигнала с синфазностью/противофазностью стереосигнала в текущем кадре является сигналом с почти противофазностью, и схема объединения каналов для предыдущего кадра является схемой объединения каналов антикоррелированных сигналов, определение того, что начальная схема объединения каналов для текущего кадра является схемой объединения каналов антикоррелированных сигналов; или
когда тип сигнала с синфазностью/противофазностью стереосигнала в текущем кадре является сигналом с почти синфазностью, и схема объединения каналов для предыдущего кадра является схемой объединения каналов антикоррелированных сигналов, если отношения сигнал/шум сигналов левого и правого каналов в текущем кадре меньше второй пороговой величины, определение того, что начальная схема объединения каналов для текущего кадра является схемой объединения каналов коррелированных сигналов; или если отношение сигнал/шум сигнала левого канала и/или отношение сигнал/шум сигнала правого канала в текущем кадре больше или равно второй пороговой величине, определение того, что начальная схема объединения каналов для текущего кадра является схемой объединения каналов антикоррелированных сигналов; или
когда тип сигнала с синфазностью/противофазностью стереосигнала в текущем кадре является сигналом с почти противофазностью, и схема объединения каналов для предыдущего кадра является схемой объединения каналов коррелированных сигналов канала, если отношения сигнал/шум обоих сигналов левого и правого каналов в текущем кадре меньше второй пороговой величины, определение того, что начальная схема объединения каналов для текущего кадра является схемой объединения каналов антикоррелированных сигналов; или если отношение сигнал/шум сигнала левого канала и/или отношение сигнал/шум сигнала правого канала в текущем кадре больше или равно второй пороговой величине, определение того, что начальная схема объединения каналов для текущего кадра является схемой объединения канала коррелированных сигналов.
[0199] Диапазон значений второй пороговой величины может быть, например, [0,8; 1,2], и вторая пороговая величина может быть равна, например, 0,8; 0,85; 0,9; 1; 1,1 или 1,18.
[0200] Принятие решения об изменении схемы объединения каналов для текущего кадра на основе начальной схемы объединения каналов для текущего кадра может включать в себя: определение схемы объединения каналов для текущего кадра на основе флага изменения коэффициента соотношения объединения каналов предыдущего кадра, типа сигнала с синфазностью/противофазностью стереосигнала в текущем кадре и начальной схемы объединения каналов для текущего кадра.
[0201] Флаг схемы объединения каналов текущего кадра может быть обозначен как tdm_SM_flag, а флаг изменения коэффициента соотношения объединения каналов текущего кадра обозначен как tdm_SM_modi_flag. Например, когда значение флага изменения коэффициента соотношения объединения каналов равно 0, то это указывает, что коэффициент соотношения объединения каналов не нужно изменять; или когда значение флага изменения коэффициента соотношения объединения каналов равно 1, то это указывает то, что коэффициент соотношения объединения каналов необходимо изменить. Конечно, другие различные значения могут использоваться в качестве флага изменения коэффициента соотношения объединения каналов, чтобы указывать, нужно ли изменять коэффициент соотношения объединения каналов.
[0202] В частности, например, принятие решения об изменении схемы объединения каналов для текущего кадра на основе результата решения по первоначальной схеме объединения каналов для текущего кадра может включать в себя:
если флаг изменения коэффициента соотношения объединения каналов предыдущего кадра указывает, что коэффициент коэффициента соотношения объединения каналов необходимо изменить, использование схемы объединения каналов антикоррелированных сигналов в качестве схемы объединения каналов для текущего кадра; или если флаг изменения коэффициента соотношения объединения каналов предыдущего кадра указывает, что коэффициент соотношения объединения каналов не требуется изменять, определение того, удовлетворяет ли текущий кадр условию переключения, и определение схемы объединения каналов для текущего кадра на основе результата определения, удовлетворяет ли текущий кадр условию переключения.
[0203] Определение схемы объединения каналов для текущего кадра на основе результата определения того, удовлетворяет ли текущий кадр условию переключения, может включать в себя:
когда схема объединения каналов для предыдущего кадра отличается от начальной схемы объединения каналов для текущего кадра, текущий кадр удовлетворяет условию переключения, начальная схема объединения каналов для текущего кадра является схемой объединения каналов коррелированных сигналов, и схема объединения каналов для предыдущего кадра является схемой объединения каналов антикоррелированных сигналов, определение того, что схема объединения каналов для текущего кадра является схемой объединения каналов антикоррелированных сигналов; или
когда схема объединения каналов для предыдущего кадра отличается от начальной схемы объединения каналов для текущего кадра, текущий кадр удовлетворяет условию переключения, начальная схема объединения каналов для текущего кадра является схемой объединения каналов антикоррелированных сигналов, схема объединения каналов для предыдущего кадра является схемой объединения каналов коррелированных сигналов, и коэффициент соотношения объединения каналов предыдущего кадра меньше, чем первая пороговая величина коэффициента соотношения, определение, что схема объединения каналов для текущего кадра является схемой объединения каналов коррелированных сигналов; или
когда схема объединения каналов для предыдущего кадра отличается от начальной схемы объединения каналов для текущего кадра, текущий кадр удовлетворяет условию переключения, начальная схема объединения каналов для текущего кадра является схемой объединения каналов антикоррелированных сигналов, схема объединения каналов для предыдущего кадра является схемой объединения каналов коррелированных сигналов, и коэффициент соотношения объединения каналов предыдущего кадра больше или равен первой пороговой величине коэффициента соотношения, определение, что схема объединения каналов для текущего кадра является схемой объединения каналов антикоррелированных сигналов; или
когда схема объединения каналов для (P-1)-го-до-текущего кадра отличается от начальной схемы объединения каналов для P-го-до-текущего кадра, P-ый-до-текущего кадр не удовлетворяет условию переключения, текущий кадр удовлетворяет условию переключения, тип сигнала с синфазностью/противофазностью стереосигнала в текущем кадре является сигналом с почти синфазностью, начальная схема объединения каналов для текущего кадра является схемой объединения каналов коррелированных сигналов, и схема объединения каналов для предыдущего кадра является схемой объединения каналов антикоррелированных сигналов, определение, что схема объединения каналов для текущего кадра является схемой объединения каналов коррелированных сигналов; или
когда схема объединения каналов для (P-1)-го-до-текущего кадра отличается от начальной схемы объединения каналов для P-го-до-текущего кадра, P-ый-до-текущего кадр не удовлетворяет условию переключения, текущий кадр соответствует условию переключения, тип сигнала с синфазностью/противофазностью стереосигнала в текущем кадре является сигналом с почти противофазностью, исходная схема объединения каналов для текущего кадра является схема объединения каналов антикоррелированных сигналов, схема объединения каналов для предыдущего кадра является схемой объединения каналов коррелированных сигналов, и коэффициент соотношения объединения каналов предыдущего кадра меньше второй пороговой величины коэффициента соотношения, определение, что схема объединения каналов для текущего кадра является схемой объединения каналов коррелированных сигналов; или
когда схема объединения каналов для (P-1)-го-до-текущего кадра отличается от начальной схемы объединения каналов для P-го-до-текущего кадра, P-ый-до-текущего кадр не удовлетворяет условию переключения, текущий кадр удовлетворяет условию переключения, тип сигнала с синфазностью/противофазностью стереосигнала в текущем кадре является сигналом с почти противофазностью, начальная схема объединения каналов для текущего кадра является схемой объединения каналов антикоррелированных сигналов, схема объединения каналов для предыдущего кадра является схемой объединения каналов коррелированных сигналов, и коэффициент соотношения объединения каналов предыдущего кадра больше или равен второй пороговой величине коэффициента соотношения, определение, что схема объединения каналов для текущего кадра является схемой объединения каналов антикоррелированных сигналов.
[0204] Здесь P может быть целым числом больше 1. Например, P может быть равно 2, 3, 4, 5, 6 или другому значению.
[0205] Диапазон значений первого пороговой величины коэффициента соотношения может быть, например, [0,4; 0,6], и первая пороговая величина коэффициента соотношения может быть равна, например, 0,4; 0,45; 0,5; 0,55 или 0,6.
[0206] Диапазон значений второй пороговой величины коэффициента соотношения может быть, например, [0,4; 0,6], и вторая пороговая величина коэффициента соотношения может быть равна, например, 0,4; 0,46; 0,5; 0,56 или 0,6.
[0207] В некоторых возможных вариантах реализации определение того, удовлетворяет ли текущий кадр условию переключения, может включать в себя: определение на основе типа кадра сигнала первичного канала в предыдущем кадре и/или типа кадра сигнала вторичного канала в предыдущем кадре, удовлетворяет ли текущий кадр условию переключения.
[0208] В некоторых возможных вариантах реализации определение того, удовлетворяет ли текущий кадр условию переключения, может включать в себя:
когда удовлетворены все из первого условия, второго условия и третьего условия, определение, что текущий кадр удовлетворяет условию переключения; или когда удовлетворены все из второго условия, третьего условия, четвертого условия и пятого условия, определение, что текущий кадр удовлетворяет условию переключения; или когда удовлетворено шестое условие, определение, что текущий кадр удовлетворяет условию переключения.
[0209] Первое условие: Тип кадра сигнала первичного канала в предыдущем кадре предыдущего кадра является одним из следующего: кадр VOICED_CLAS (кадр с голосовой характеристикой, который следует за голосовым кадром или голосовым вступительным кадром), кадр ONSET (голосовой вступительный кадр), кадр SIN_ONSET (вступительный кадр, в котором смешаны гармоника и шум), кадр INACTIVE_CLAS (кадр с неактивной характеристикой) и AUDIO_CLAS (звуковой кадр), и тип кадра сигнала первичного канала в предыдущем кадре является кадром UNVOICED_CLAS (кадр, заканчивающийся одной из нескольких характеристик: неголосовой, неактивный, шумовой или голосовой) или кадр VOICED_TRANSITION (кадр с переходом после голосового звука, причем кадр имеет довольно слабую голосовую характеристику); или тип кадра сигнала вторичного канала в предыдущем кадре предыдущего кадра является одним из следующего: кадр VOICED_CLAS, кадр ONSET, кадр SIN_ONSET, кадр INACTIVE_CLAS и кадр AUDIO_CLAS, и тип кадра сигнала вторичного канала в предыдущем кадре является кадром UNVOICED_CLAS или кадром VOICED_TRANSITION.
[0210] Второе условие: Ни один из режимов грубого кодирования (raw coding modes) сигнала первичного канала и сигнала вторичного канала в предыдущем кадре имеет тип VOICED (тип кодирования, соответствующий голосовому кадру).
[0211] Третье условие: Количество последовательных кадров перед предыдущим кадром, в котором используется схема объединения каналов, используемая в предыдущем кадре, превышает предварительно установленную пороговую величину количества кадров. Диапазон значений пороговой величины количества кадров может быть, например, [3, 10]. Например, пороговая величина количества кадров может быть равна 3, 4, 5, 6, 7, 8, 9 или другому значению.
[0212] Четвертое условие: Тип кадра сигнала первичного канала в предыдущем кадре представляет собой UNVOICED_CLAS, или тип кадра сигнала вторичного канала в предыдущем кадре представляет собой UNVOICED_CLAS.
[0213] Пятое условие: Долгосрочное среднеквадратичное значение энергии сигналов левого и правого каналов в текущем кадре меньше пороговой величины энергии. Диапазон значений пороговой величины энергии может быть, например, [300, 500]. Например, пороговая величина энергии может быть равна 300, 400, 410, 451, 482, 500, 415 или другому значению.
[0214] Шестое условие: Тип кадра сигнала первичного канала в предыдущем кадре является музыкальным сигналом, отношение энергии полосы более низких частот к энергии полосы более высоких частот сигнала первичного канала в предыдущем кадре больше, чем первая пороговая величина отношения энергий и отношение энергии полосы более низких частот к энергии полосы более высоких частот сигнала вторичного канала в предыдущем кадре превышает вторую пороговую величину отношения энергий.
[0215] Диапазон первой пороговой величины отношения энергий может быть, например, [4000, 6000]. Например, первая пороговая величина отношения энергий может быть равна 4000, 4500, 5000, 5105, 5200, 6000, 5800 или другому значению.
[0216] Диапазон второй пороговой величины отношения энергий может быть, например, [4000, 6000]. Например, вторая пороговая величина отношения энергий может быть равна 4000, 4501, 5000, 5105, 5200, 6000, 5800 или другому значению.
[0217] Может быть понятно, что могут быть различные варианты реализации определения того, удовлетворяет ли текущий кадр условию переключения, которые не ограничены вариантами, приведенными в качестве примеров выше.
[0218] Можно понять, что некоторые варианты реализации определения схемы объединения каналов для текущего кадра предоставлены в предшествующем примере, но фактическое применение может не быть ограничено вариантами в вышеприведенных примерах.
[0219] Далее дополнительно используются примеры для описания сценария режима кодирования антикоррелированных сигналов.
[0220] Со ссылкой на Фиг. 4, вариант осуществления настоящей заявки обеспечивает способ кодирования звука. Соответствующие способа кодирования звука могут быть реализованы устройством кодирования, и способ может конкретно включать в себя следующие этапы.
[0221] 401. Определение режима кодирования текущего кадра.
[0222] 402. При определении, что режим кодирования текущего кадра является режимом кодирования антикоррелированных сигналов, выполнение обработки понижающего микширования во временной области в отношении сигналов левого и правого каналов в текущем кадре посредством использования варианта обработки понижающего микширования во временной области, соответствующего режиму кодирования антикоррелированных сигналов, для получения сигналов первичного и вторичного каналов в текущем кадре.
[0223] 403. Кодирование полученных сигналов первичного и вторичного каналов в текущем кадре.
[0224] Вариант обработки понижающего микширования во временной области, соответствующий режиму кодирования антикоррелированных сигналов, является вариантом обработки понижающего микширования во временной области, соответствующим схеме объединения каналов антикоррелированных сигналов, а схема объединения каналов антикоррелированных сигналов является схемой объединения каналов, соответствующей сигналу с почти противофазой.
[0225] Например, в некоторых возможных вариантах реализации выполнение обработки понижающего микширования во временной области в отношении сигналов левого и правого каналов в текущем кадре посредством использования варианта обработки понижающего микширования во временной области, соответствующего режиму кодирования антикоррелированных сигналов, для получения сигналов первичного и вторичного каналов в текущем кадре может включать в себя: выполнение обработки понижающего микширования во временной области в отношении сигналов левого и правого каналов в текущем кадре на основе коэффициента соотношения объединения каналов схемы объединения каналов антикоррелированных сигналов для текущего кадра, чтобы получить сигналы первичного и вторичного каналов в текущем кадре; или выполнение обработки понижающего микширования во временной области в отношении сигналов левого и правого каналов в текущем кадре на основе коэффициента соотношения объединения каналов схемы объединения каналов антикоррелированных сигналов для текущего кадра и коэффициента соотношения объединения каналов схемы объединения каналов антикоррелированных сигналов для предыдущего кадра, чтобы получить сигналы первичного и вторичного каналов в текущем кадре.
[0226] Может быть понятно, что коэффициент соотношения объединения каналов схемы объединения каналов (например, схемы объединения каналов антикоррелированных сигналов или схемы объединения каналов коррелированных сигналов) для звукового кадра (например, текущего кадра или предыдущего кадра) может быть предварительно установленным фиксированным значением. Конечно, коэффициент соотношения объединения каналов звукового кадра также может быть определен на основе схемы объединения каналов для звукового кадра.
[0227] В некоторых возможных вариантах реализации соответствующая матрица понижающего микширования может быть построена на основе коэффициента соотношения объединения каналов звукового кадра, и обработка понижающего микширования во временной области выполняется в отношении сигналов левого и правого каналов в текущем кадре посредством использования матрицы понижающего микширования, соответствующей схеме объединения каналов, для получения сигналов первичного и вторичного каналов в текущем кадре.
[0228] Например, когда обработка сигнала понижающего микширования во временной области выполняется в отношении сигналов левого и правого каналов в текущем кадре на основе коэффициента соотношения объединения каналов схемы объединения каналов антикоррелированных сигналов для текущего кадра, чтобы получить сигналы первичного и вторичного каналов в текущем кадре,
[0229] В другом примере, когда обработка сигнала понижающего микширования во временной области выполняется в отношении сигналов левого и правого каналов в текущем кадре на основе коэффициента соотношения объединения каналов схемы объединения каналов антикоррелированных сигналов для текущего кадра и коэффициента соотношения объединения каналов схемы объединения каналов антикоррелированных сигналов для предыдущего кадра, для получения сигналов первичного и вторичного каналов в текущем кадре,
delay_com указывает компенсацию задержки кодирования.
[0230] В другом примере, когда обработка сигнала понижающего микширования во временной области выполняется в отношении сигналов левого и правого каналов в текущем кадре на основе коэффициента соотношения объединения каналов схемы объединения каналов антикоррелированных сигналов для текущего кадра и коэффициента соотношения объединения каналов схемы объединения каналов антикоррелированных сигналов для предыдущего кадра, для получения сигналов первичного и вторичного каналов в текущем кадре,
[0231] Здесь fade_in(n) указывается коэффициент нарастания. Например,
. Конечно, fade_in(n) альтернативно может быть коэффициентом нарастания другого функционального соотношения, основанного на n.
[0232] fade_out(n) указывает коэффициент затухания. Например,
. Конечно, fade_out(n) альтернативно может быть коэффициентом затухания другого функционального соотношения, основанного на n.
[0233] NOVA_1 указывает длину обработки перехода. Значение NOVA_1 может быть установлено на основе конкретного сценария. Например, NOVA_1 может быть равно 3/N или NOVA_1 может иметь другое значение, меньшее чем N.
[0234] В другом примере, когда обработка сигнала понижающего микширования во временной области выполняется в отношении сигналов левого и правого каналов в текущем кадре посредством использования варианта обработки понижающего микширования во временной области, соответствующего режиму кодирования коррелированных сигналов, для получения сигналов первичного и вторичного каналов в текущем кадре,
[0235] В приведенном выше примере XL(n) указывает сигнал левого канала в текущем кадре. XR(n) указывает сигнал правого канала в текущем кадре. Y(n) указывает сигнал первичного канала, который находится в текущем кадре и который получен посредством обработки понижающего микширования во временной области; и X(n) указывает сигнал вторичного канала, который находится в текущем кадре и который получен посредством обработки понижающего микширования во временной области.
[0236] В вышеприведенном примере n указывает номер точки дискретизации. Например, n=0, 1, …, N-1.
[0237] В предыдущем примере delay_com указывает компенсацию задержки кодирования.
[0238] M11 указывает матрицу понижающего микширования, соответствующую схеме объединения каналов коррелированных сигналов для предыдущего кадра, и M11 построена на основе коэффициента соотношения объединения каналов, соответствующего схеме объединения каналов коррелированных сигналов для предыдущего кадра.
[0239] M12 указывает матрицу понижающего микширования, соответствующую схеме объединения каналов антикоррелированных сигналов для предыдущего кадра, и M12 построена на основе коэффициента соотношения объединения каналов, соответствующего схеме объединения каналов антикоррелированных сигналов для предыдущего кадра.
[0240] M22 указывает матрицу понижающего микширования, соответствующую схеме объединения каналов антикоррелированных сигналов для текущего кадра, и M22 построена на основе коэффициента соотношения объединения каналов, соответствующего схеме объединения каналов антикоррелированных сигналов для текущего кадра.
[0241] M21 указывает матрицу понижающего микширования, соответствующую схеме объединения каналов коррелированных сигналов для текущего кадра, и M21 построена на основе коэффициента соотношения объединения каналов, соответствующего схеме объединения каналов коррелированных сигналов для текущего кадра.
[0242] M21 может иметь множество форм, например:
ratio указывает коэффициент соотношения объединения каналов, соответствующий схеме объединения каналов коррелированных сигналов для текущего кадра.
[0243] M22 может иметь множество форм, например:
α1=ratio_SM, α2=1-ratio_SM и ratio_SM указывает коэффициент соотношения объединения каналов, соответствующий схеме объединения каналов антикоррелированных сигналов для текущего кадра.
[0244] M12 может иметь множество форм, например:
α1_pre=tdm_last_ratio_SM, α2_pre=1-tdm_last_ratio_SM и tdm_last_ratio_SM указывает коэффициент соотношения объединения каналов, соответствующий схеме объединения каналов антикоррелированных сигналов для предыдущего кадра.
[0245] Сигналы левого и правого каналов в текущем кадре могут быть, в частности, исходными сигналами левого и правого каналов в текущем кадре (исходные сигналы левого и правого каналов являются сигналами левого и правого каналов, которые не подверглись предварительной обработке во временной области, и могут быть, например, сигналами левого и правого каналов, полученными посредством дискретизации), или могут быть сигналами левого и правого каналов, которые были подвергнуты предварительной обработке во временной области в текущем кадре, или могут быть сигналами левого и правого каналов, которые подверглись обработке выравнивания задержки в текущем кадре.
[0246] В частности, например,
указывает исходные сигналы левого и правого каналов в текущем кадре,
указывает сигналы левого и правого каналов, которые подверглись предварительной обработке во временной области в текущем кадре, и
указывает сигналы левого и правого каналов, которые подверглись обработке выравнивания задержки в текущем кадре.
[0247] Соответственно, нижеследующее использует примеры для описания сценария режима декодирования антикоррелированных сигналов.
[0248] Со ссылкой на Фиг. 5, вариант осуществления настоящей заявки дополнительно предоставляет способ декодирования звука. Соответствующие этапы способа декодирования звука могут быть реализованы устройством декодирования, и способ может конкретно включать в себя следующие этапы.
[0249] 501. Выполнение декодирования на основе битового потока, чтобы получить декодированные сигналы первичного и вторичного каналов в текущем кадре.
[0250] 502. Определение режима декодирования текущего кадра.
[0251] Может быть понятно, что нет необходимой последовательности для выполнения этапа 501 и этапа 502.
[0252] 503. При определении того, что режим декодирования текущего кадра является режимом декодирования антикоррелированных сигналов, выполнение обработки повышающего микширования во временной области в отношении декодированных сигналов первичного и вторичного каналов в текущем кадре посредством использования варианта обработки повышающего микширования во временной области, соответствующего режиму декодирования антикоррелированных сигналов, чтобы получить восстановленные сигналы левого и правого каналов в текущем кадре.
[0253] Восстановленные сигналы левого и правого каналов могут быть декодированными сигналами левого и правого каналов, или обработка выравнивания задержки и/или постобработка во временной области может быть выполнена в отношении восстановленных сигналов левого и правого каналов для получения декодированных сигналов левого и правого каналов.
[0254] Вариант обработки повышающего микширования во временной области, соответствующий режиму декодирования антикоррелированных сигналов, представляет собой вариант обработки повышающего микширования во временной области, соответствующий схеме объединения каналов антикоррелированных сигналов, и схема объединения каналов антикоррелированных сигналов является схемой объединения каналов, соответствующей сигналу с почти противофазой.
[0255] Режим декодирования текущего кадра может быть одним из множества режимов декодирования. Например, режим декодирования текущего кадра может быть одним из следующих режимов декодирования: режим декодирования коррелированных сигналов, режим декодирования антикоррелированных сигналов, режим переключения декодирования с коррелированных на антикоррелированные сигналы и режим переключения декодирования с антикоррелированных на коррелированные сигналы.
[0256] Может быть понятно, что в вышеприведенном решении необходимо определить режим декодирования текущего кадра, и это указывает, что существует множество возможностей для режима декодирования текущего кадра. По сравнению с традиционным решением, в котором существует только один режим декодирования, данное решение с множеством возможных режимов декодирования может быть лучше совместимо с множеством возможных сценариев и подходить им. Кроме того, поскольку вводится схема объединения каналов, соответствующая сигналу с почти противофазностью, когда стереосигнал в текущем кадре является сигналом с почти противофазностью, существует более целенаправленная схема объединения каналов и режим декодирования, и это помогает улучшить качество декодирования.
[0257] В некоторых возможных вариантах реализации способ может дополнительно включать в себя:
при определении, что режим декодирования текущего кадра является режимом декодирования коррелированных сигналов, выполнение обработки повышающего микширования во временной области в отношении декодированных сигналов первичного и вторичного каналов в текущем кадре посредством использования варианта обработки повышающего микширования во временной области, соответствующего режиму декодированию коррелированных сигналов, чтобы получить восстановленные сигналы левого и правого каналов в текущем кадре, где вариант обработки повышающего микширования во временной области, соответствующий режиму декодирования коррелированных сигналов, является вариантом обработки повышающего микширования во временной области, соответствующим схеме объединения каналов коррелированных сигналов, и схема объединения каналов коррелированных сигналов является схемой объединения каналов, соответствующей сигналу с почти синфазностью.
[0258] В некоторых возможных вариантах реализации способ может дополнительно включать в себя: при определении, что режим декодирования текущего кадра является режимом переключения декодирования с коррелированных на антикоррелированные сигналы, выполнение обработки повышающего микширования во временной области в отношении декодированных сигналов первичного и вторичного каналов в текущем кадре посредством использования варианта обработки повышающего микширования во временной области, соответствующего режиму переключения декодирования с коррелированных на антикоррелированные сигналы, для получения восстановленных сигналов левого и правого каналов в текущем кадре, где вариант обработки повышающего микширования во временной области, соответствующий режиму переключения декодирования с коррелированных на антикоррелированные сигналы, является вариантом обработки повышающего микширования во временной области, соответствующим переходу от схемы объединения каналов коррелированных сигналов к схеме объединения каналов антикоррелированных сигналов.
[0259] В некоторых возможных вариантах реализации способ может дополнительно включать в себя: при определении того, что режим декодирования текущего кадра является режимом переключения декодирования с антикоррелированных на коррелированные сигналы, выполнение обработки повышающего микширования во временной области в отношении декодированных сигналов первичного и вторичного каналов в текущем кадре посредством использования варианта обработки повышающего микширования во временной области, соответствующего режиму переключения декодирования сигнала с антикоррелированных на коррелированные сигналы, для получения восстановленных сигналов левого и правого каналов в текущем кадре, где вариант обработки повышающего микширования во временной области, соответствующий режиму переключения декодирования сигнала с антикоррелированных на коррелированные сигналы, является вариантом обработки повышающего микширования во временной области, соответствующим переходу от схемы объединения каналов антикоррелированных сигналов к схеме объединения каналов коррелированных сигналов.
[0260] Может быть понятно, что варианты обработки повышающего микширования во временной области, соответствующие различным режимам декодирования, обычно различны. Кроме того, каждый режим декодирования может соответствовать одному или более вариантам обработки повышающего микширования во временной области.
[0261] Например, в некоторых возможных вариантах реализации выполнение обработки повышающего микширования во временной области в отношении декодированных сигналов первичного и вторичного каналов в текущем кадре посредством использования варианта обработки повышающего микширования во временной области, соответствующего режиму декодирования антикоррелированных сигналов, для получения восстановленных сигналов левого и правого каналов в текущем кадре включает в себя:
выполнение обработки повышающего микширования во временной области в отношении декодированных сигналов первичного и вторичного каналов в текущем кадре на основе коэффициента соотношения объединения каналов схемы объединения каналов антикоррелированных сигналов для текущего кадра, чтобы получить восстановленные сигналы левого и правого каналов в текущем кадре; или выполнение обработки повышающего микширования во временной области в отношении декодированных сигналов первичного и вторичного каналов в текущем кадре на основе коэффициента соотношения объединения каналов схемы объединения каналов антикоррелированных сигналов для текущего кадра и коэффициента соотношения объединения каналов схемы объединения каналов антикоррелированных сигналов для предыдущего кадра, чтобы получить восстановленные сигналы левого и правого каналов в текущем кадре.
[0262] В некоторых возможных вариантах реализации соответствующая матрица повышающего микширования может быть построена на основе коэффициента соотношения объединения каналов звукового кадра, и обработка повышающего микширования во временной области выполняется в отношении декодированных сигналов первичного и вторичного каналов в текущем кадре посредством использования матрицы повышающего микширования, соответствующей схеме объединения каналов, чтобы получить восстановленные сигналы левого и правого каналов в текущем кадре.
[0263] Например, когда обработка повышающего микширования во временной области выполняется в отношении декодированных сигналов первичного и вторичного каналов в текущем кадре на основе коэффициента соотношения объединения каналов схемы объединения каналов антикоррелированных сигналов для текущего кадра, чтобы получить восстановленные сигналы левого и правого каналов в текущем кадре,
[0264] В другом примере, когда обработка повышающего микширования во временной области выполняется в отношении декодированных сигналов первичного и вторичного каналов в текущем кадре на основе коэффициента соотношения объединения каналов схемы объединения каналов антикоррелированных сигналов для текущего кадра и коэффициента соотношения объединения каналов схемы объединения каналов антикоррелированных сигналов для предыдущего кадра, чтобы получить восстановленные сигналы левого и правого каналов в текущем кадре,
delay_com указывает компенсацию задержки кодирования.
[0265] В другом примере, когда обработка повышающего микширования во временной области выполняется в отношении декодированных сигналов первичного и вторичного каналов в текущем кадре на основе коэффициента соотношения объединения каналов схемы объединения каналов антикоррелированных сигналов для текущего кадра и коэффициента соотношения объединения каналов схемы объединения каналов антикоррелированных сигналов для предыдущего кадра, чтобы получить восстановленные сигналы левого и правого каналов в текущем кадре,
[0266] Здесь,
указывает декодированный сигнал левого канала в текущем кадре,
указывает восстановленный сигнал правого канала в текущем кадре,
указывает декодированный сигнал первичного канала в текущем кадре, и
указывает декодированный сигнал вторичного канала в текущем кадре.
[0267] NOVA_1 указывает длину обработки перехода.
[0268] fade_in(n) указывает коэффициент нарастания. Например,
. Конечно, fade_in(n) альтернативно может быть коэффициентом нарастания другого функционального соотношения, основанного на n.
[0269] fade_out(n) указывает коэффициент затухания. Например,
. Конечно, fade_out(n) может быть альтернативным коэффициентом затухания другого функционального соотношения, основанного на n.
[0270] NOVA_1 указывает длину обработки перехода. Значение NOVA_1 может быть установлено на основе требования конкретного сценария. Например, NOVA_1 может быть равен 3/N, или NOVA_1 может быть другим значением, меньше чем N.
[0271] Например, когда обработка повышающего микширования во временной области выполняется в отношении декодированных сигналов первичного и вторичного каналов в текущем кадре на основе коэффициента соотношения объединения каналов схемы объединения каналов коррелированных сигналов для текущего кадра, для получения восстановленных сигналов левого и правого каналов в текущем кадре,
[0272] В вышеупомянутом примере
указывает декодированный сигнал левого канала в текущем кадре.
указывает восстановленный сигнал правого канала в текущем кадре.
указывает декодированный сигнал первичного канала в текущем кадре.
указывает декодированный сигнал вторичного канала в текущем кадре.
[0273] В вышеупомянутом примере n указывается номер точки дискретизации. Например, n=0, 1, …, N-1.
[0274] В вышеупомянутом примере upmixing_delay указывает компенсацию задержки декодирования.
[0275]
указывает матрицу повышающего микширования, соответствующую схеме объединения каналов коррелированных сигналов для предыдущего кадра, и
построена на основе коэффициента соотношения объединения каналов, соответствующего схеме объединения каналов коррелированных сигналов для предыдущего кадра.
[0276]
указывает матрицу повышающего микширования, соответствующую схеме объединения каналов антикоррелированных сигналов для текущего кадра, и
построена на основе коэффициента соотношения объединения каналов, соответствующего схеме объединения канала антикоррелированных сигналов для текущего кадра.
[0277]
указывает матрицу повышающего микширования, соответствующую схеме объединения каналов антикоррелированных сигналов для предыдущего кадра, и
построена на основе коэффициента соотношения объединения каналов, соответствующего схеме объединения канала антикоррелированных сигналов для предыдущего кадра.
[0278]
указывает матрицу повышающего микширования, соответствующую схеме объединения каналов коррелированных сигналов для текущего кадра, и
построена на основе коэффициента соотношения объединения каналов, соответствующего схеме объединения каналов коррелированных сигналов для текущего кадра.
[0279]
может иметь множество форм, например:
α1=ratio_SM, α2=1-ratio_SM и ratio_SM указывает коэффициент соотношения объединения каналов, соответствующий схеме объединения каналов антикоррелированных сигналов для текущего кадра.
[0280]
может иметь множество форм, например:
α1_pre=tdm_last_ratio_SM и α2_pre=1-tdm_last_ratio_SM; и
tdm_last_ratio_SM указывает коэффициент соотношения объединения каналов, соответствующий схеме объединения каналов антикоррелированных сигналов для предыдущего кадра.
[0281]
может иметь множество форм, например:
указывает коэффициент соотношения объединения каналов, соответствующий схеме объединения каналов коррелированных сигналов для текущего кадра.
[0282] Ниже приведены примеры для описания сценариев для режима переключения кодирования с коррелированных на антикоррелированные сигналы и режима переключения кодирования с антикоррелированных на коррелированные сигналы. Варианты обработки понижающего микширования во временной области, соответствующие режиму переключения кодирования с коррелированных на антикоррелированные сигналы и режиму переключения кодирования с антикоррелированных на коррелированные сигналы, являются, например, вариантами сегментной обработки понижающего микширования во временной области.
[0283] Со ссылкой на Фиг. 6, один вариант воплощения настоящей заявки обеспечивает способ кодирования звука. Соответствующие этапы способа кодирования звука могут быть реализованы устройством кодирования, и способ может конкретно включать следующие этапы.
[0284] 601. Определение схемы объединения каналов для текущего кадра.
[0285] 602. Когда схема объединения каналов для текущего кадра отличается от схемы объединения каналов для предыдущего кадра, выполнение сегментной обработки понижающего микширования во временной области в отношении сигналов левого и правого каналов в текущем кадре на основе схемы объединения каналов для текущего кадра и схемы объединения каналов для предыдущего кадра, для получения сигналов первичного и вторичного каналов в текущем кадре.
[0286] 603. Кодирование полученных сигналов первичного и вторичного каналов в текущем кадре.
[0287] Если схема объединения каналов для текущего кадра отличается от схемы объединения каналов для предыдущего кадра, то может быть определено, что режим кодирования текущего кадра является режимом переключения кодирования с коррелированных на антикоррелированные сигналы или режимом переключения кодирования с антикоррелированных на коррелированные сигналы. Если режим кодирования текущего кадра является режимом переключения кодирования с коррелированных на антикоррелированные сигналы или режимом переключения кодирования с антикоррелированных на коррелированные сигналы, например, сегментная обработка понижающего микширования во временной области может быть выполнена в отношении сигналов левого и правого каналов в текущем кадре на основе схемы объединения каналов для текущего кадра и схемы объединения каналов для предыдущего кадра.
[0288] В частности, когда схема объединения каналов для предыдущего кадра является схемой объединения каналов коррелированных сигналов, и схема объединения каналов для текущего кадра является схемой объединения каналов антикоррелированных сигналов, может быть определено, что режим кодирования текущего кадра является режимом переключения кодирования сигналов с коррелированных на антикоррелированные сигналы. Например, когда схема объединения каналов для предыдущего кадра является схемой объединения каналов антикоррелированных сигналов, а схема объединения каналов для текущего кадра является схемой объединения каналов коррелированных сигналов, может быть определено, что режим кодирования текущего кадра является режимом переключения кодирования с антикоррелированных на коррелированные сигналы. Остальное можно вывести по аналогии.
[0289] Сегментная обработка понижающего микширования во временной области может быть понята как то, что сигналы левого и правого каналов в текущем кадре разделены на по крайней мере 2 сегмента, и разные варианты обработки понижающего микширования во временной области используются для каждого сегмента для выполнения обработки понижающего микширования во временной области. Можно понять, что по сравнению с несегментной обработкой понижающего микширования во временной области, сегментная обработка понижающего микширования во временной области, скорее всего, обеспечит плавный переход при смене схемы объединения каналов для смежных кадров.
[0290] Можно понять, что в вышеупомянутом решении необходимо определить схему объединения каналов для текущего кадра, и это указывает то, что существует множество возможностей для схемы объединения каналов для текущего кадра. По сравнению с обычным решением, в котором существует только одна схема объединения каналов, настоящее решение с множеством возможных схем объединения каналов может быть лучше совместимо с множеством возможных сценариев и подходить им. Кроме того, когда схема объединения каналов для текущего кадра и схема объединения каналов для предыдущего кадра отличаются, вводится механизм выполнения сегментной обработки понижающего микширования во временной области в отношении сигналов левого и правого каналов в текущем кадре. Механизм сегментной обработки понижающего микширования во временной области помогает реализовать плавный переход схем объединения каналов и дополнительно помогает улучшить качество кодирования.
[0291] Кроме того, поскольку вводится схема объединения каналов, соответствующая сигналу с почти противофазностью, когда стереосигнал в текущем кадре является сигналом с почти противофазностью, существует более целенаправленная схема объединения каналов и режим кодирования, и это помогает улучшить качество кодирования.
[0292] Например, схема объединения каналов для предыдущего кадра может быть схемой объединения каналов коррелированных сигналов или схемой объединения каналов антикоррелированных сигналов. Схема объединения каналов для текущего кадра может быть схемой объединения каналов коррелированных сигналов или схемой объединения каналов антикоррелированных сигналов. Таким образом, существует несколько возможных случаев, когда схемы объединения каналов для текущего кадра и предыдущего кадра отличаются.
[0293] В частности, когда схема объединения каналов для предыдущего кадра является схемой объединения каналов коррелированных сигналов, и схема объединения каналов для текущего кадра является схемой объединения каналов антикоррелированных сигналов, сигналы левого и правого каналов в текущем кадре включают в себя начальные сегменты сигналов левого и правого каналов, средние сегменты сигналов левого и правого каналов, и конечные сегменты сигналов левого и правого каналов; и сигналы первичного и вторичного каналов в текущем кадре включают в себя начальные сегменты сигналов первичного и вторичного каналов сигналов, средние сегменты сигналов первичного и вторичного каналов сигналов, а также конечные сегменты сигналов первичного и вторичного каналов. В этом случае, выполнение сегментной обработки понижающего микширования во временной области в отношении сигналов левого и правого каналов в текущем кадре на основе схемы объединения каналов для текущего кадра и схемы объединения каналов для предыдущего кадра, чтобы получить сигнал первичного канала и сигнал вторичного канала в текущем кадре, может включать в себя:
выполнение, посредством использования коэффициента соотношения объединения каналов, соответствующего схеме объединения каналов коррелированных сигналов для предыдущего кадра, и варианта обработки понижающего микширования во временной области, соответствующего схеме объединения каналов коррелированных сигналов для предыдущего кадра, обработки понижающего микширования во временной области в отношении начальных сегментов сигналов левого и правого каналов в текущем кадре, чтобы получить начальные сегменты сигналов первичного и вторичного каналов в текущем кадре;
выполнение, посредством использования коэффициента соотношения объединения каналов, соответствующего схеме объединения каналов антикоррелированных сигналов для текущего кадра, и варианта обработки понижающего микширования во временной области, соответствующего схеме объединения каналов антикоррелированных сигналов для текущего кадра, обработки понижающего микширования во временной области в отношении конечных сегментов сигналов левого и правого каналов в текущем кадре, чтобы получить конечные сегменты сигналов первичного и вторичного каналов в текущем кадре; и
выполнение, посредством использования коэффициента соотношения объединения каналов, соответствующего схеме объединения каналов коррелированных сигналов для предыдущего кадра, и варианта обработки понижающего микширования во временной области, соответствующего схеме объединения каналов коррелированных сигналов для предыдущего кадра, обработки понижающего микширования во временной области в отношении средних сегментов сигналов левого и правого каналов в текущем кадре, чтобы получить первые средние сегменты сигналов первичного и вторичного каналов;
выполнение, посредством использования коэффициента соотношения объединения каналов, соответствующего схеме объединения каналов антикоррелированных сигналов для текущего кадра, и варианта обработки понижающего микширования во временной области, соответствующего схеме объединения каналов антикоррелированных сигналов для текущего кадра, обработки понижающего микширования во временной области в отношении средних сегментов сигналов левого и правого каналов в текущем кадре, чтобы получить вторые средние сегменты сигналов первичного и вторичного каналов; и
выполнение обработки взвешенного суммирования в отношении первых средних сегментов сигналов первичного и вторичного каналов и вторых средних сегментов сигналов первичного и вторичного каналов, чтобы получить средние сегменты сигналов первичного и вторичного каналов в текущем кадре.
[0294] Длины начальных сегментов сигналов левого и правого каналов, средних сегментов сигналов левого и правого каналов, а также конечных сегментов сигналов левого и правого каналов в текущем кадре могут быть установлены на основе требования. Длины начальных сегментов сигналов левого и правого каналов, средних сегментов сигналов левого и правого каналов, и конечных сегментов сигналов левого и правого каналов в текущем кадре могут быть одинаковыми или частично одинаковыми или отличаться друг от друга.
[0295] Длины начальных сегментов сигналов первичного и вторичного каналов, средних сегментов сигналов первичного и вторичного каналов, а также конечных сегментов сигналов первичного и вторичного каналов в текущем кадре могут быть установлены на основе требования. Длины начальных сегментов сигналов первичного и вторичного каналов, средних сегментов сигналов первичного и вторичного каналов, а также конечных сегментов сигналов первичного и вторичного каналов в текущем кадре могут быть одинаковыми или частично одинаковыми или отличаться друг от друга.
[0296] При выполнении обработки взвешенного суммирования в отношении первых средних сегментов первичного и вторичного каналов и вторых средних сегментов первичного и вторичного каналов весовой коэффициент, соответствующий первым средним сегментам сигналов первичного и вторичного каналов, может быть равен или не равен весовому коэффициенту, соответствующему вторым средним сегментам сигналов первичного и вторичного каналов.
[0297] Например, при выполнении обработки взвешенного суммирования в отношении первых средних сегментов первичного и вторичного каналов и вторых средних сегментов сигналов первичного и вторичного каналов весовой коэффициент, соответствующий первым средним сегментам сигналов первичного и вторичного каналов, является коэффициентом затухания, а весовой коэффициент, соответствующий вторым средним сегментам первичного и вторичного каналов, является коэффициентом нарастания.
[0298] В некоторых возможных вариантах реализации
X 11(n) указывает начальный сегмент сигнала первичного канала в текущем кадре, Y11(n) указывает начальный сегмент сигнала вторичного канала в текущем кадре, X31(n) указывает конечный сегмент сигнала первичного канала в текущем кадре, Y31(n) указывает конечный сегмент вторичного канала сигнал в текущем кадре, X21(n) указывает средний сегмент сигнала первичного канала в текущем кадре, Y21(n) и указывает средний сегмент сигнала вторичного канала в текущем кадре;
X(n) указывает сигнал первичного канала в текущем кадре; и
Y(n) указывает сигнал вторичного канала в текущем кадре.
[0299] Например,
.
[0300] Например, fade_in(n) указывает коэффициент нарастания, и fade_out(n) указывает коэффициент затухания. Например, сумма fade_in(n) и fade_out(n) составляет 1.
[0301] В частности, например,
; и
. Конечно, fade_in(n) может быть альтернативно коэффициентом нарастания другого функционального соотношения, основанного на n. Конечно, fade_out(n) может быть коэффициентом затухания другого функционального соотношения, основанного на n.
[0302] Здесь, n указывает номер точки дискретизации. N=0, 1, …, N-1 и 0<N1< N2<N-1.
[0303] Например, N1 равно 100, 107, 120, 150, или другому значению.
[0304] Например, N2 равно 180, 187, 200, 203 или другому значению.
[0305] Здесь, X211(n) указывает первый средний сегмент сигнала первичного канала в текущем кадре, Y211(n) указывает первый средний сегмент сигнала вторичного канала в текущем кадре, X212(n) указывает второй средний сегмент сигнала первичного канала в текущем кадре, и Y212(n) указывает второй средний сегмент сигнала вторичного канала в текущем кадре.
[0306] В некоторых возможных вариантах реализации
X L(n) указывает сигнал левого канала в текущем кадре, а XR(n) указывает сигнал правого канала в текущем кадре; и
M 11 указывает матрицу понижающего микширования, соответствующую схеме объединения каналов коррелированных сигналов для предыдущего кадра, и M11 построена на основе коэффициента соотношения объединения каналов, соответствующего схеме объединения каналов коррелированных сигналов для предыдущего кадра; и M22 указывает матрицу понижающего микширования, соответствующую схеме объединения каналов антикоррелированных сигналов для текущего кадра, и M22 построена на основе коэффициента соотношения объединения каналов, соответствующего схеме объединения каналов антикоррелированных сигналов для текущего кадра.
[0307] M22 может иметь множество возможных форм, которые, в частности представляют собой, например:
α1=ratio_SM, α2=1-ratio_SM и ratio_SM указывает коэффициент соотношения объединения каналов, соответствующий схеме объединения каналов антикоррелированных сигналов для текущего кадра.
[0308] M11 может иметь множество возможных форм, которые, в частности являются, например:
, или
, где
tdm_last_ratio указывает коэффициент соотношения объединения каналов, соответствующий схеме объединения каналов коррелированных сигналов для предыдущего кадра.
[0309] В частности, для другого примера, когда схема объединения каналов для предыдущего кадра является схемой объединения каналов антикоррелированных сигналов, а схема объединения каналов для текущего кадра является схемой объединения каналов коррелированных сигналов, сигналы левого и правого каналов в текущем кадре включают в себя начальные сегменты сигналов левого и правого каналов, средние сегменты сигналов левого и правого каналов и конечные сегменты сигналов левого и правого каналов; и сигналы первичного и вторичного каналов в текущем кадре включают в себя начальные сегменты сигналов первичного и вторичного канала, средние сегменты сигналов первичного и вторичного каналов и конечные сегменты сигналов первичного и вторичного каналов. В этом случае выполнение сегментной обработки понижающего микширования во временной области в отношении сигналов левого и правого каналов в текущем кадре на основе схемы объединения каналов для текущего кадра и схемы объединения каналов для предыдущего кадра, чтобы получить сигнал первичного канала и сигнал вторичного канала в текущем кадре, может включать в себя:
выполнение, посредством использования коэффициента соотношения объединения каналов, соответствующего схеме объединения каналов антикоррелированных сигналов для предыдущего кадра, и варианта обработки понижающего микширования во временной области, соответствующего схеме объединения каналов антикоррелированных сигналов для предыдущего кадра, обработки понижающего микширования во временной области в отношении начальных сегментов сигналов левого и правого каналов в текущем кадре, чтобы получить начальные сегменты сигналов первичного и вторичного каналов в текущем кадре;
выполнение, посредством использования коэффициента соотношения объединения каналов, соответствующего схеме объединения каналов коррелированных сигналов для текущего кадра, и варианта обработки понижающего микширования во временной области, соответствующего схеме объединения каналов коррелированных сигналов для текущего кадра, обработки понижающего микширования во временной области в отношении конечных сегментов сигналов левого и правого каналов в текущем кадре, чтобы получить конечные сегменты сигналов первичного и вторичного каналов в текущем кадре; и
выполнение, посредством использования коэффициента соотношения объединения каналов, соответствующего схеме объединения каналов антикоррелированных сигналов для предыдущего кадра, и варианта обработки понижающего микширования во временной области, соответствующего схеме объединения каналов антикоррелированных сигналов для предыдущего кадра, обработки понижающего микширования во временной области в отношении средних сегментов сигналов левого и правого каналов в текущем кадре, чтобы получить третьи средние сегменты сигналов первичного и вторичного каналов;
выполнение, посредством использования коэффициента соотношения объединения каналов, соответствующего схеме объединения каналов коррелированных сигналов для текущего кадра, и варианта обработки понижающего микширования во временной области, соответствующего схеме объединения каналов коррелированных сигналов для текущего кадра, обработки понижающего микширования во временной области в отношении средних сегментов сигналов левого и правого каналов в текущем кадре, чтобы получить четвертые средние сегменты сигналов первичного и вторичного каналов; и
выполнение обработки взвешенного суммирования в отношении третьих средних сегментов сигналов первичного и вторичного каналов и четвертых средних сегментов сигналов первичного и вторичного каналов, чтобы получить средние сегменты сигналов первичного и вторичного каналов в текущем кадре.
[0310] Когда обработка взвешенного суммирования выполняется в отношении третьих средних сегментов сигналов первичного и вторичного каналов и четвертых средних сегментов сигналов первичного и вторичного каналов, весовой коэффициент, соответствующий третьим средним сегментам сигналов первичного и вторичного каналов, может быть равен или не равен весовому коэффициенту, соответствующему четвертым средним сегментам сигналов первичного и вторичного каналов.
[0311] Например, когда обработка взвешенного суммирования выполняется в отношении третьих средних сегментов сигналов первичного и вторичного каналов и четвертых средних сегментов сигналов первичного и вторичного каналов, весовой коэффициент, соответствующий третьим средним сегментам сигналов первичного и вторичного каналов, является коэффициентом затухания, а весовой коэффициент, соответствующий четвертым средним сегментам сигналов первичного и вторичного каналов, является коэффициентом нарастания.
[0312] В некоторых возможных вариантах реализации,
; где
X 12(n) указывает начальный сегмент сигнала первичного канала в текущем кадре, Y12(n) указывает начальный сегмент сигнала вторичного канала в текущем кадре, X32(n) указывает конечный сегмент сигнала первичного канала в текущем кадре, Y32(n) указывает конечный сегмент сигнала вторичного канала в текущем кадре, X22(n) указывает средний сегмент сигнала первичного канала в текущем кадре, и Y22(n) указывает средний сегмент сигнала вторичного канала в текущем кадре;
X(n) указывает сигнал первичного канала в текущем кадре; и
Y(n) указывает сигнал вторичного канала в текущем кадре.
[0313] Например,
; где
fade_in(n) указывает коэффициент нарастания, fade_out(n) указывает коэффициент затухания, и сумма fade_in(n) и fade_out(n) составляет 1.
[0314] В частности, например,
; и
. Конечно, fade_in(n) может альтернативно быть коэффициентом нарастания другого функционального соотношения, основанного на n. Конечно, fade_out(n) может альтернативно быть коэффициентом затухания другого функционального соотношения, основанного на n.
[0315] Здесь, n указывает номер точки дискретизации. Например, n=0, 1, …, N-1.
[0316] Здесь, 0<N3<N4<N-1.
[0317] Например, N3 1 равно 101, 107, 120, 150, или другому значению.
[0318] Например, N4 равно 181, 187, 200, 205 или другому значению.
[0319] X221(n) указывает третий средний сегмент сигнала первичного канала в текущем кадре, Y221(n) указывает третий средний сегмент сигнала вторичного канала в текущем кадре, X222(n) указывает четвертый средний сегмент сигнала первичного канала в текущем кадре, и Y222(n) указывает четвертый средний сегмент сигнала вторичного канала в текущем кадре.
[0320] В некоторых возможных вариантах реализации,
;
;
;
; где
X L(n) указывает сигнал левого канала в текущем кадре, и XR(n) указывает сигнал правого канала в текущем кадре.
[0321] M12 указывает матрицу понижающего микширования, соответствующую схеме объединения каналов антикоррелированных сигналов для предыдущего кадра, и M12 построена на основе коэффициента соотношения объединения каналов, соответствующего схеме объединения каналов антикоррелированных сигналов для предыдущего кадра; и M21 указывает матрицу понижающего микширования, соответствующую схеме объединения каналов коррелированных сигналов для текущего кадра, и M21 построена на основе коэффициента соотношения объединения каналов, соответствующего схеме объединения каналов коррелированных сигналов для текущего кадра.
[0322] M12 может иметь множество возможных форм, которые, в частности представляют собой, например:
, или
, или
, или
, или
, или
, где
α1_pre=tdm_last_ratio_SM и α2_pre=1-tdm_last_ratio_SM; и
tdm_last_ratio_SM указывает коэффициент соотношения объединения каналов, соответствующий схеме объединения каналов антикоррелированных сигналов для предыдущего кадра.
[0323] M21 может иметь множество возможных форм, которые, в частности, являются, например:
, или
, где
ratio указывает коэффициент соотношения объединения каналов, соответствующий схеме объединения каналов коррелированных сигналов для текущего кадра.
[0324] В некоторых возможных вариантах реализации сигналы левого и правого каналов в текущем кадре могут быть, например, исходными сигналами левого и правого каналов в текущем кадре, или могут быть сигналами левого и правого каналов, которые подверглись предварительной обработке понижающего микширования во временной области, или могут быть сигналами левого и правого каналов, которые подверглись обработке выравнивания задержки.
[0325] В частности, например,
, или
, или
, где
x L(n) указывает исходный сигнал левого канала в текущем кадре (исходный сигнал левого канала является сигналом левого канала, который не подвергся предварительной обработке во временной области), и xR(n) указывает исходный сигнал правого канала в текущем кадре (исходный сигнал правого канала является сигналом правого канала, который не подвергся предварительной обработки во временной области); и
x L_HP(n) указывает сигнал левого канала, который подвергся предварительной обработке во временной области в текущем кадре, и xR_HP(n) указывает сигнал правого канала, который подвергся предварительной обработке во временной области в текущем кадре. x’L(n) указывает сигнал левого канала, который подвергся обработке выравнивания задержки в текущем кадре, и x’R(n) указывает сигнал правого канала, который подвергся обработке выравнивания задержки в текущем кадре.
[0326] Может быть понятно, что варианты сегментной обработки понижающего микширования во временной области в предшествующих примерах могут не быть всеми возможными вариантами реализации, и при фактическом применении может также использоваться другой вариант обработки понижающего микширования во временной области.
[0327] Соответственно, нижеследующее использует примеры для описания сценариев для режима переключения декодирования с коррелированных на антикоррелированные сигналы и режима переключения декодирования с антикоррелированных на коррелированные сигналы. Способы обработки понижающего микширования во временной области, соответствующие режиму переключения декодирования с коррелированных на антикоррелированные сигналы и режиму переключения декодирования с антикоррелированных на коррелированные сигналы, представляют собой, например, сегментные способы обработки понижающего микширования во временной области.
[0328] Со ссылкой на Фиг. 7, вариант осуществления настоящей заявки обеспечивает способ декодирования звука. Соответствующие этапы способа декодирования звука могут быть реализованы устройством декодирования, и способ может конкретно включать в себя следующие этапы.
[0329] 701. Выполнение декодирования на основе битового потока, чтобы получить декодированные сигналы первичного и вторичного каналов в текущем кадре.
[0330] 702. Определение схемы объединения каналов для текущего кадра.
[0331] Может быть понятно, что не существует необходимой последовательности для выполнения этапа 701 и этапа 702.
[0332] 703. Когда схема объединения каналов для текущего кадра отличается от схемы объединения каналов для предыдущего кадра, выполнение сегментной обработки повышающего микширования во временной области в отношении декодированных сигналов первичного и вторичного каналов в текущем кадре на основе схемы объединения каналов для текущего кадра и схемы объединения каналов для предыдущего кадра, чтобы получить восстановленные сигналы левого и правого каналов в текущем кадре.
[0333] Схема объединения каналов для текущего кадра является одной из множества схем объединения каналов.
[0334] Например, множество схем объединения каналов включают в себя схему объединения каналов антикоррелированных сигналов и схему объединения каналов коррелированных сигналов. Схема объединения каналов коррелированных сигналов является схемой объединения каналов, соответствующей сигналу с почти синфазностью. Схема объединения каналов антикоррелированных сигналов является схемой объединения каналов, соответствующей сигналу с почти противофазностью. Должно быть понятно, что схема объединения каналов, соответствующая сигналу с почти синфазностью, применима к сигналу с почти синфазностью, а схема объединения каналов, соответствующая сигналу с почти противофазностью, применима к сигналу с почти противофазностью.
[0335] Сегментная обработка повышающего микширования во временной области может пониматься как то, что сигналы левого и правого каналов в текущем кадре разделены на по меньшей мере два сегмента, и для каждого сегмента используется различный вариант обработки повышающего микширования во временной области для выполнения повышающего микширования во временной области обработка. Можно понять, что по сравнению с несегментной обработкой повышающего микширования во временной области более вероятно, что сегментная обработка повышающего микширования во временной области обеспечит более плавный переход, когда сменяется схема объединения каналов для смежного кадра.
[0336] Может быть понятно, что в вышеприведенном решении необходимо определить схему объединения каналов для текущего кадра, и это указывает то, что существует множество возможностей для схемы объединения каналов для текущего кадра. По сравнению с традиционным решением, в котором существует только одна схема объединения каналов, настоящее решение с множеством возможных схем объединения каналов может быть лучше совместимо с множеством возможных сценариев и подходить им. Кроме того, когда схема объединения каналов для текущего кадра и схема объединения каналов для предыдущего кадра различны, вводится механизм выполнения сегментной обработки повышающего микширования во временной области в отношении сигналов левого и правого каналов в текущем кадре. Механизм сегментной обработки повышающего микширования во временной области помогает реализовать плавный переход схем объединения каналов и дополнительно помогает улучшить качество кодирования.
[0337] Кроме того, поскольку вводится схема объединения каналов, соответствующая сигналу с почти противофазностью, когда стереосигнал в текущем кадре является сигналом с почти противофазностью, существует более целенаправленная схема объединения каналов и режим кодирования, и это помогает улучшить качество кодирования.
[0338] Например, схема объединения каналов для предыдущего кадра может быть схемой объединения каналов коррелированных сигналов или схемой объединения каналов антикоррелированных сигналов. Схема объединения каналов для текущего кадра может быть схемой объединения каналов коррелированных сигналов или схемой объединения каналов антикоррелированных сигналов. Таким образом, существует несколько возможных случаев, когда схемы объединения каналов для текущего кадра и предыдущего кадра отличаются.
[0339] В частности, например, схема объединения каналов для предыдущего кадра является схемой объединения каналов коррелированных сигналов, и схема объединения каналов для текущего кадра является схемой объединения каналов антикоррелированных сигналов. Восстановленные сигналы левого и правого каналов в текущем кадре включают в себя начальные сегменты восстановленных сигналов левого и правого каналов, средние сегменты восстановленных сигналов левого и правого каналов, а также конечные сегменты восстановленных сигналов левого и правого каналов. Декодированные сигналы первичного и вторичного каналов в текущем кадре включают в себя начальные сегменты декодированных сигналов первичного и вторичного каналов, средние сегменты декодированных сигналов первичного и вторичного каналов, а также конечные сегменты декодированных сигналов первичного и вторичного каналов. В этом случае, выполнение сегментной обработки повышающего микширования во временной области в отношении декодированных сигналов первичного и вторичного каналов в текущем кадре на основе схемы объединения каналов для текущего кадра и схемы объединения каналов для предыдущего кадра, чтобы получить восстановленные сигналы левого и правого каналов в текущем кадре, включает в себя:
выполнение, посредством использования коэффициента соотношения объединения каналов, соответствующего схеме объединения каналов коррелированных сигналов для предыдущего кадра, и варианта обработки повышающего микширования во временной области, соответствующего схеме объединения каналов коррелированных сигналов для предыдущего кадра, обработки повышающего микширования во временной области в отношении начальных сегментов декодированных сигналов первичного и вторичного каналов в текущем кадре, чтобы получить начальные сегменты восстановленных сигналов левого и правого каналов в текущем кадре;
выполнение, посредством использования коэффициента соотношения объединения каналов, соответствующего схеме объединения каналов антикоррелированных сигналов для текущего кадра, и варианта обработки повышающего микширования во временной области, соответствующего схеме объединения каналов антикоррелированных сигналов для текущего кадра, обработки повышающего микширования во временной области в отношении конечных сегментов декодированных сигналов первичного и вторичного каналов в текущем кадре, чтобы получить конечные сегменты восстановленных сигналов левого и правого каналов в текущем кадре; и
выполнение, посредством использования коэффициента соотношения объединения каналов, соответствующего схеме объединения каналов коррелированных сигналов для предыдущего кадра, и варианта обработки повышающего микширования во временной области, соответствующего схеме объединения каналов коррелированных сигналов для предыдущего кадра, обработку повышающего микширования во временной области в отношении средних сегментов декодированных сигналов первичного и вторичного каналов в текущем кадре, для получения первых средних сегментов восстановленных сигналов левого и правого каналов;
выполнение, посредством использования коэффициента соотношения объединения каналов, соответствующего схеме объединения каналов антикоррелированных сигналов для текущего кадра, и варианта обработки повышающего микширования во временной области, соответствующего схеме объединения каналов антикоррелированных сигналов для текущего кадра, обработки повышающего микширования во временной области в отношении средних сегментов декодированных сигналов первичного и вторичного каналов в текущем кадре, чтобы получить вторые средние сегменты восстановленных сигналов левого и правого каналов; и
выполнение обработки взвешенного суммирования в отношении первых средних сегментов восстановленных сигналов левого и правого каналов и вторых средних сегментов восстановленных сигналов левого и правого каналов, чтобы получить средние сегменты восстановленных сигналов левого и правого каналов в текущем кадре.
[0340] Длины начальных сегментов восстановленных сигналов левого и правого каналов, средних сегменты восстановленных сигналов левого и правого каналов, и конечных сегментов восстановленных сигналов левого и правого каналов в текущем кадре могут быть установлены на основе требования. Длины начальных сегментов восстановленных сигналов левого и правого каналов, средних сегментов восстановленных сигналов левого и правого каналов, а конечных сегментов восстановленных сигналов левого и правого каналов в текущем кадре могут быть одинаковыми или частично одинаковыми или отличаться друг от друга.
[0341] Длины начальных сегментов декодированных сигналов первичного и вторичного каналов, средних сегментов декодированных сигналов первичного и вторичного каналов, и конечных сегментов декодированных сигналов первичного и вторичного каналов в текущем кадре могут быть установлены на основе требования. Длины начальных сегментов декодированных сигналов первичного и вторичного каналов, средних сегментов декодированных сигналов первичного и вторичного каналов, и конечных сегментов декодированных сигналов первичного и вторичного каналов в текущем кадре могут быть одинаковыми или частично одинаковыми или отличаться друг от друга.
[0342] Восстановленные сигналы левого и правого каналов могут быть декодированными сигналами левого и правого каналов, или обработки регулировки задержки и/или постобработка во временной области может выполняться в отношении восстановленных сигналов левого и правого каналов для получения декодированных сигналов левого и правого каналов.
[0343] При выполнении обработки взвешенного суммирования в отношении первых средних сегментов восстановленных сигналов левого и правого каналов и вторых средних сегментов восстановленных сигналов левого и правого каналов весовой коэффициент, соответствующий первым средним сегментам восстановленных сигналов левого и правого каналов, может быть равен или не равен весовому коэффициенту, соответствующему вторым средним сегментам восстановленных сигналов левого и правого каналов.
[0344] Например, когда обработка взвешенного суммирования выполняется в отношении первых средних сегментов восстановленных сигналов левого и правого каналов и вторых средних сегментов восстановленных сигналов левого и правого каналов, весовой коэффициент, соответствующий первым средним сегментам восстановленных сигналов левого и правого каналов, является коэффициентом затухания, а весовой коэффициент, соответствующий вторым средним сегментам восстановленных сигналов левого и правого каналов, является коэффициентом нарастания.
[0345] В некоторых возможных вариантах реализации
; где
указывает начальный сегмент восстановленного сигнала левого канала в текущем кадре,
указывает начальный сегмент восстановленного сигнала правого канала в текущем кадре.
указывает конечный сегмент восстановленного сигнала левого канала в текущем кадре, а
указывает конечный сегмент восстановленного сигнала правого канала в текущем кадре.
указывает средний сегмент восстановленного сигнала левого канала в текущем кадре, и
указывает средний сегмент восстановленного сигнала правого канала в текущем кадре.
указывает восстановленный сигнал левого канала в текущем кадре; и
указывает восстановленный сигнал правого канала в текущем кадре.
[0346] Например,
.
[0347] Например, fade_in(n) указывает коэффициент нарастания, и fade_out(n) указывает коэффициент затухания. Например, сумма fade_in(n) и fade_out(n) составляет 1.
[0348] В частности, например,
; и
. Конечно, fade_in(n) может быть альтернативно коэффициентом нарастания другого функционального соотношения, основанного на n. Конечно, может быть fade_out(n) коэффициентом затухания другого функционального соотношения, основанного на n.
[0349] В этом, n указывает номер точки дискретизации. Здесь, n=0, 1, …, n-1. При этом 0<N1<N2<N-1.
[0350]
указывает первый средний сегмент восстановленного сигнала левого канала в текущем кадре,
указывает первый средний сегмент восстановленного сигнала правого канала в текущем кадре,
указывает второй средний сегмент восстановленного сигнала левого канала в текущем кадре, и
указывает второй средний сегмент восстановленного сигнала правого канала в текущем кадре.
[0351] В некоторых возможных вариантах реализации,
;
;
; и
; где
указывает декодированный сигнал первичного канала в текущем кадре, и
указывает декодированный сигнал вторичного канала в текущем кадре;
указывает матрицу повышающего микширования, соответствующую схеме объединения каналов коррелированных сигналов для предыдущего кадра, и
построена на основе коэффициента соотношения объединения каналов, соответствующего схеме объединения каналов коррелированных сигналов для предыдущего кадра; и
указывает матрицу повышающего микширования, соответствующую схеме объединения каналов антикоррелированных сигналов для текущего кадра, и
построена на основе коэффициента соотношения объединения каналов, соответствующего схеме объединения каналов антикоррелированных сигналов для текущего кадра.
[0352]
может иметь множество возможных форм, которые, в частности являются, например:
, или
, или
, или
, или
, или
, где
α1=ratio_SM, α2=1-ratio_SM и ratio_SM указывает коэффициент соотношения объединения каналов, соответствующий схеме объединения каналов антикоррелированных сигналов для текущего кадра.
[0353]
может иметь множество возможных форм, которые в частности представляют собой, например:
или
[0354] Здесь, tdm_last_ratio указывает коэффициент соотношения объединения каналов, соответствующий схеме объединения каналов коррелированных сигналов для предыдущего кадра.
[0355] В частности, для другого примера схема объединения каналов для предыдущего кадра является схемой объединения каналов антикоррелированных сигналов, а схема объединения каналов для текущего кадра является схемой объединения каналов коррелированных сигналов. Восстановленные сигналы левого и правого каналов в текущем кадре включают в себя начальные сегменты восстановленных сигналов левого и правого каналов, средние сегменты восстановленных сигналов левого и правого каналов, а также конечные сегменты восстановленных сигналов левого и правого каналов. Декодированные сигналы первичного и вторичного каналов в текущем кадре включают в себя начальные сегменты декодированных сигналов первичного и вторичного каналов, средние сегменты декодированных сигналов первичного и вторичного каналов, а также конечные сегменты декодированных сигналов первичного и вторичного каналов. В этом случае, выполнение сегментной обработки повышающего микширования во временной области в отношении декодированных сигналов первичного и вторичного каналов в текущем кадре на основе схемы объединения каналов для текущего кадра и схемы объединения каналов для предыдущего кадра, чтобы получить восстановленные сигналы левого и правого каналов в текущем кадре, включает в себя:
выполнение, посредством использования коэффициента соотношения объединения каналов, соответствующего схеме объединения каналов антикоррелированных сигналов для предыдущего кадра, и варианта обработки повышающего микширования во временной области, соответствующего схеме объединения каналов антикоррелированных сигналов для предыдущего кадра, обработки повышающего микширования во временной области в отношении начальных сегментов декодированных сигналов первичного и вторичного каналов в текущем кадре, чтобы получить начальные сегменты восстановленных сигналов левого и правого каналов в текущем кадре;
выполнение, посредством использования коэффициента соотношения объединения каналов, соответствующего схеме объединения каналов коррелированных сигналов для текущего кадра, и варианта обработки повышающего микширования во временной области, соответствующего схеме объединения каналов коррелированных сигналов для текущего кадра, обработки повышающего микширования во временной области в отношении конечных сегментов декодированных сигналов первичного и вторичного каналов в текущем кадре, чтобы получить конечные сегменты восстановленных сигналов левого и правого каналов в текущем кадре; и
выполнение, посредством использования коэффициента соотношения объединения каналов, соответствующего схеме объединения каналов антикоррелированных сигналов для предыдущего кадра, и варианта обработки повышающего микширования во временной области, соответствующего схеме объединения каналов антикоррелированных сигналов для предыдущего кадра, обработки повышающего микширования во временной области в отношении средних сегментов декодированных сигналов первичного и вторичного каналов в текущем кадре, чтобы получить третьи средние сегменты восстановленных сигналов левого и правого каналов;
выполнение, посредством использования коэффициента соотношения объединения каналов, соответствующего схеме объединения каналов коррелированных сигналов для текущего кадра, и варианта обработки повышающего микширования во временной области, соответствующего схеме объединения каналов коррелированных сигналов для текущего кадра, обработки повышающего микширования во временной области в отношении средних сегментов декодированных сигналов первичного и вторичного каналов в текущем кадре, чтобы получить четвертые средние сегменты восстановленных сигналов левого и правого каналов; и
выполнение обработки взвешенного суммирования в отношении третьих средних сегментов восстановленных сигналов левого и правого каналов и четвертых средних сегментов восстановленных сигналов левого и правого каналов, чтобы получить средние сегменты восстановленных сигналов левого и правого каналов в текущем кадре.
[0356] При выполнении обработки взвешенного суммирования в отношении третьих средних сегментов восстановленных сигналов левого и правого каналов и четвертых средних сегментов восстановленных сигналов левого и правого каналов весовой коэффициент, соответствующий третьим средним сегментам восстановленных сигналов левого и правого каналов, может быть равен или не равен весовому коэффициенту, соответствующему четвертым средним сегментам восстановленных сигналов левого и правого каналов.
[0357] Например, когда обработка взвешенного суммирования выполняется в отношении третьих средних сегментов восстановленных сигналов левого и правого каналов и четвертых средних сегментов восстановленных сигналов левого и правого каналов, весовой коэффициент, соответствующий третьим средним сегментам восстановленных сигналов левого и правого каналов, является коэффициентом затухания, а весовой коэффициент, соответствующий четвертым средним сегментам восстановленных сигналов левого и правого каналов, является коэффициентом нарастания.
[0358] В некоторых возможных вариантах реализации
; где
указывает начальный сегмент восстановленного сигнала левого канала в текущем кадре,
указывает начальный сегмент восстановленного сигнала правого канала в текущем кадре,
указывает конечный сегмент восстановленного сигнала левого канала в текущем кадре,
указывает конечный сегмент восстановленный сигнал правого канала в текущем кадре,
указывает средний сегмент восстановленного сигнала левого канала в текущем кадре, и
указывает средний сегмент восстановленного сигнала правого канала в текущем кадре;
указывает восстановленный сигнал левого канала в текущем кадре; и
указывает восстановленный сигнал правого канала в текущем кадре.
[0359] Например,
.
fade_in(n) указывает коэффициент нарастания, указывает fade_out(n) коэффициент затухания, и сумма fade_in(n) и fade_out(n) составляет 1.
[0360] В частности, например,
; и
. Конечно, fade_in(n) может быть альтернативно коэффициентом нарастания другого функционального соотношения, основанного на n. Конечно, fade_out(n) может быть коэффициентом затухания другого функционального соотношения, основанного на n.
[0361] Здесь, n указывает номер точки дискретизации. Например, n=0, 1, …, N-1.
[0362] Здесь, 0<N3<N4<N-1.
[0363] Например, N3 равно 101, 107, 120, 150, или другому значению.
[0364] Например, N4 равно 181, 187, 200, 205 или другому значению.
[0365]
указывает третий средний сегмент восстановленного сигнала левого канала в текущем кадре, и
указывает третий средний сегмент восстановленного сигнала правого канала в текущем кадре; и
указывает четвертый средний сегмент восстановленного сигнала левого канала в текущем кадре, и
указывает четвертый средний сегмент восстановленного сигнала правого канала в текущем кадре.
[0366] В некоторых возможных вариантах реализации
;
;
; и
; где
указывает декодированный сигнал первичного канала в текущем кадре, и
указывает декодированный сигнал вторичного канала в текущем кадре.
[0367]
указывает матрицу повышающего микширования, соответствующую схеме объединения каналов антикоррелированных сигналов для предыдущего кадра, и
построена на основе коэффициента соотношения объединения каналов, соответствующего схеме объединения каналов антикоррелированных сигналов для предыдущего кадра; и
указывает матрицу повышающего микширования, соответствующую схеме объединения каналов коррелированных сигналов для текущего кадра, и
построена на основе коэффициента соотношения объединения каналов, соответствующего схеме объединения каналов коррелированных сигналов для текущего кадра.
[0368]
может иметь множество возможных форм, которые, в частности представляют собой, например:
, или
, или
, или
, или
, или
, где
α1_pre=tdm_last_ratio_SM или α2_pre=1-tdm_last_ratio_SM; и
tdm_last_ratio_SM указывает коэффициент соотношения объединения каналов, соответствующий схеме объединения каналов антикоррелированных сигналов для предыдущего кадра.
[0369]
может иметь множество возможных форм, которые, в частности, являются, например:
, или
, где
ratio указывает коэффициент соотношения объединения каналов, соответствующий схеме объединения каналов коррелированных сигналов для текущего кадра.
[0370] В этом варианте воплощения настоящей заявки стереопараметр (например, коэффициент соотношения объединения каналов и/или межканальная временная разность) текущего кадра может быть фиксированным значением или может быть определен на основе схемы объединения каналов (например, схемы объединения каналов коррелированных сигналов или схемы объединения каналов антикоррелированных сигналов) для текущего кадра.
[0371] Со ссылкой на Фиг. 8, следующие примеры используются для описания способа определения стереопараметра во временной области. Соответствующие этапы способа определения стереопараметра во временной области могут быть реализованы устройством кодирования, и способ может конкретно включать следующие этапы.
[0372] 801. Определение схемы объединения каналов для текущего кадра.
[0373] 802. Определение стереопараметра во временной области текущего кадра на основе схемы объединения каналов для текущего кадра, где стереопараметр во временной области включает в себя по меньшей мере одно из коэффициента соотношения объединения каналов и межканальной временной разности.
[0374] Схема объединения каналов для текущего кадра является одной из множества схем объединения каналов.
[0375] Например, множество схем объединения каналов включает в себя схему объединения каналов антикоррелированных сигналов и схему объединения каналов коррелированных сигналов.
[0376] Схема объединения каналов коррелированных сигналов является схемой объединения каналов, соответствующей сигналу с почти синфазностью. Схема объединения каналов антикоррелированных сигналов является схемой объединения каналов, соответствующей сигналу с почти противофазностью. Можно понять, что схема объединения каналов, соответствующая сигналу с почти синфазностью, применима к сигналу с почти синфазностью, а схема объединения каналов, соответствующая сигналу с почти противофазностью, применима к сигналу с почти противофазностью.
[0377] Когда определено, что схема объединения каналов для текущего кадра является схемой объединения каналов коррелированных сигналов, стереопараметр во временной области текущего кадра является стереопараметром во временной области, соответствующим схеме объединения каналов коррелированных сигналов для текущего кадра; или когда определено, что схема объединения каналов для текущего кадра является схемой объединения каналов антикоррелированных сигналов, стереопараметр во временной области текущего кадра во временной области является стереопараметром во временной области, соответствующим схеме объединения каналов антикоррелированных сигналов для текущего кадра.
[0378] Можно понять, что в вышеупомянутом решении необходимо определить схему объединения каналов для текущего кадра, и это указывает то, что существует множество возможностей для схемы объединения каналов для текущего кадра. По сравнению с обычным решением, в котором существует только одна схема объединения каналов, настоящее решение с множеством возможных схем объединения каналов может быть лучше совместимо с множеством возможных сценариев и подходить им. Поскольку стереопараметр во временной области текущего кадра определяется на основе схемы объединения каналов для текущего кадра, стереопараметр во временной области может быть лучше совместим с множеством возможных сценариев и подходить им, и качество кодирования и декодирования может быть улучшено.
[0379] В некоторых возможных вариантах реализации в первую очередь может быть отдельно вычислен коэффициент соотношения объединения каналов, соответствующий схеме объединения каналов антикоррелированных сигналов для текущего кадра, и коэффициент соотношения объединения каналов, соответствующий схеме объединения каналов коррелированных сигналов для текущего кадра. Затем, когда определено, что схема объединения каналов для текущего кадра является схемой объединения каналов коррелированных сигналов, то определяется, что стереопараметр во временной области текущего кадра является стереопараметром во временной области, соответствующим схеме объединения каналов коррелированных сигналов для текущего кадра; или когда определено, что схема объединения каналов для текущего кадра является схемой объединения каналов антикоррелированных сигналов, определяется, что стереопараметр во временной области текущего кадра является стереопараметром во временной области, соответствующим схеме объединения каналов антикоррелированных сигналов для текущего кадра. Альтернативно, стереопараметр во временной области, соответствующий схеме объединения каналов коррелированных сигналов для текущего кадра, может быть сначала рассчитан, и когда определено, что схема объединения каналов для текущего кадра является схема объединения каналов коррелированных сигналов, определяется, что стереопараметр во временной области текущего кадра является стереопараметром во временной области, соответствующим схеме объединения каналов коррелированных сигналов для текущего кадра, или когда определено, что схема объединения каналов для текущего кадра является схемой объединения каналов антикоррелированных сигналов, вычисляется стереопараметр во временной области, соответствующий схеме объединения каналов антикоррелированных сигналов для текущего кадра, и стереопараметр во временной области, соответствующий схеме объединения каналов антикоррелированных сигналов для текущего кадра, определяется как стереопараметр во временной области текущего кадра.
[0380] Альтернативно, сначала может быть определена схема объединения каналов для текущего кадра. Когда определено, что схема объединения каналов для текущего кадра является схемой объединения каналов коррелированных сигналов, вычисляется стереопараметр во временной области, соответствующий схеме объединения каналов коррелированных сигналов для текущего кадра, и стереопараметр во временной области текущего кадра является стереопараметром во временной области, соответствующим схеме объединения каналов коррелированных сигналов для текущего кадра; или когда определено, что схема объединения каналов для текущего кадра является схемой объединения каналов антикоррелированных сигналов, вычисляется стереопараметр во временной области, соответствующий схеме объединения каналов антикоррелированных сигналов для текущего кадра, и стереопараметр во временной области текущего кадра является стереопараметром во временной области, соответствующим схеме объединения каналов антикоррелированных сигналов для текущего кадра.
[0381] В некоторых возможных вариантах реализации определение стереопараметра во временной области текущего кадра на основе схемы объединения каналов для текущего кадра может включать в себя: определение, на основе схемы объединения каналов для текущего кадра, начального значения коэффициента соотношения объединения каналов, соответствующего схеме объединения каналов для текущего кадра. Когда начальное значение коэффициента соотношения объединения каналов, соответствующего схеме объединения каналов (схеме объединения каналов коррелированных сигналов или схеме объединения каналов антикоррелированных сигналов) для текущего кадра, не требуется изменять, коэффициент соотношения объединения каналов, соответствующий схеме объединения каналов для текущего кадра, равен начальному значению коэффициента соотношения объединения каналов, соответствующего схеме объединения каналов для текущего кадра. Когда необходимо изменить начальное значение коэффициента соотношения объединения каналов, соответствующее схеме объединения каналов (схеме объединения каналов коррелированных сигналов или схеме объединения каналов антикоррелированных сигналов) для текущего кадра, то начальное значение коэффициента соотношения объединения каналов, соответствующее схеме объединения каналов для текущего кадра изменяется, чтобы получить измененное значение коэффициента соотношения объединения каналов, соответствующего схеме объединения каналов для текущего кадра, и коэффициент соотношения объединения каналов, соответствующий схеме объединения каналов для текущего кадра, равен измененному значению коэффициента соотношения объединения каналов, соответствующего схеме объединения каналов для текущего кадра.
[0382] Например, определение стереопараметра во временной области текущего кадра на основе схемы объединения каналов для текущего кадра может включать в себя: вычисление энергии кадра сигнала левого канала в текущем кадре на основе сигнала левого канала в текущем кадре; вычисление энергии кадра сигнала правого канала в текущем кадре на основе сигнала правого канала в текущем кадре; и вычисление начального значения коэффициента соотношения объединения каналов, соответствующего схеме объединения каналов коррелированных сигналов канала для текущего кадра, на основе энергии кадра сигнала левого канала в текущем кадре и энергии кадра сигнала правого канала в текущем кадре.
[0383] Когда начальное значение коэффициента соотношения объединения каналов, соответствующего схеме объединения каналов коррелированных сигналов для текущего кадра, изменять не требуется, коэффициент соотношения объединения каналов, соответствующий схеме объединения каналов коррелированных сигналов для текущего кадра, равен начальному значению коэффициента соотношения объединения каналов, соответствующего схеме объединения каналов коррелированных сигналов для текущего кадра, и кодированный индекс коэффициента соотношения объединения каналов, соответствующего схеме объединения каналов коррелированных сигналов для текущего кадра, равен кодированному индексу начального значения коэффициента соотношения объединения каналов, соответствующего схеме объединения каналов коррелированных сигналов для текущего кадра.
[0384] Когда необходимо изменить начальное значение коэффициента соотношения объединения каналов, соответствующего схеме объединения каналов коррелированных сигналов для текущего кадра, начальное значение коэффициента соотношения объединения каналов, соответствующего схеме объединения каналов коррелированных сигналов для текущего кадра, и кодированный индекс начального значения изменяются, чтобы получить измененное значение коэффициента соотношения объединения каналов, соответствующего схеме объединения каналов коррелированных сигналов для текущего кадра, и кодированный индекс измененного значения. Коэффициент соотношения объединения каналов, соответствующий схеме объединения каналов коррелированных сигналов для текущего кадра, равен измененному значению коэффициента соотношения объединения каналов, соответствующего схеме объединения каналов коррелированных сигналов для текущего кадра, и кодированный индекс коэффициент соотношения объединения каналов, соответствующего схеме объединения каналов коррелированных сигналов для текущего кадра, равен кодированному индексу измененного значения коэффициента соотношения объединения каналов, соответствующего схеме объединения каналов коррелированных сигналов для текущего кадра.
[0385] В частности, например, когда изменяют начальное значение коэффициента соотношения объединения каналов, соответствующего схеме объединения каналов коррелированных сигналов для текущего кадра, и кодированный индекс начального значения,
; и
; где
tdm_last_ratio_idx указывает кодированный индекс коэффициента соотношения объединения каналов, соответствующего схеме объединения каналов коррелированных сигналов для предыдущего кадра; ratio_idx_mod указывает кодированный индекс, соответствующий измененному значению коэффициента соотношения объединения каналов, соответствующего схеме объединения каналов коррелированных сигналов для текущего кадра; и ratio_modqua указывает измененное значение коэффициента соотношения объединения каналов, соответствующего схеме объединения каналов коррелированных сигналов для текущего кадра.
[0386] В качестве другого примера, определение стереопараметра во временной области текущего кадра на основе схемы объединения каналов для текущего кадра включает в себя: получение сигнала опорного канала в текущем кадре на основе сигнала левого канала и сигнала правого канала в текущем кадре; вычисление параметра амплитудной корреляции между сигналом левого канала и сигналом опорного канала в текущем кадре; вычисление параметра амплитудной корреляции между сигналом правого канала и сигналом опорного канала в текущем кадре; вычисление параметра разности амплитудной корреляции между сигналами левого и правого каналов в текущем кадре на основе параметра амплитудной корреляции между сигналом левого канала и сигналом опорного канала в текущем кадре и параметра амплитудной корреляции между сигналом правого канала и сигналом опорного канала в текущем кадре; и вычисление на основе параметра разности амплитудной корреляции между сигналами левого и правого каналов в текущем кадре коэффициента соотношения объединения каналов, соответствующего схеме объединения каналов антикоррелированных сигналов для текущего кадра.
[0387] Вычисление на основе параметра разности амплитудной корреляции между сигналами левого и правого каналов в текущем кадре, коэффициента соотношения объединения каналов, соответствующего схеме объединения каналов антикоррелированных сигналов для текущего кадра, может включать в себя, например: вычисление на основе параметра разности амплитудной корреляции между сигналами левого и правого каналов в текущем кадре начального значения коэффициента соотношения объединения каналов, соответствующего схеме объединения каналов антикоррелированных сигналов для текущего кадра; и изменение начального значения коэффициента соотношения объединения каналов, соответствующего схеме объединения каналов антикоррелированных сигналов для текущего кадра, для получения коэффициента соотношения объединения каналов, соответствующего схеме объединения каналов антикоррелированных сигналов для текущего кадра. Должно быть понятно, что когда нет необходимости изменять начальное значение коэффициента соотношения объединения каналов, соответствующего схеме объединения каналов антикоррелированных сигналов для текущего кадра, коэффициент соотношения объединения каналов, соответствующий схеме объединения каналов антикоррелированных сигналов для текущего кадра, равен начальному значению коэффициента соотношения объединения каналов, соответствующего схеме объединения каналов антикоррелированных сигналов для текущего кадра.
[0388] В некоторых возможных вариантах реализации,
; и
; где
;
mono_i(n) указывает сигнал опорного канала в текущем кадре; и
x'L(n) указывает левый сигнал канала, который подвергся обработке выравнивания задержки в текущем кадре, x'R(n) указывает сигнал правого канала, который подвергся обработке выравнивания задержки в текущем кадре, corr_LM указывает параметр амплитудной корреляции между сигналом левого канала и сигналом опорного канала в текущем кадре, и corr_RM указывает параметр амплитудной корреляции между сигналом правого канала и сигналом опорного канала в текущем кадре.
[0389] В некоторых возможных вариантах реализации вычисление параметра разности амплитудной корреляции между сигналами левого и правого каналов в текущем кадре на основе параметра амплитудной корреляции между сигналом левого канала и сигналом опорного канала в текущем кадре и параметра амплитудной корреляции между сигналом правого канала и сигналом опорного канала в текущем кадре включает в себя: вычисление долгосрочного сглаженного параметра амплитудной корреляции между сигналом левого канала и сигналом опорного канала в текущем кадре на основе параметра амплитудной корреляции между сигналом левого канала, который подвергся обработке выравнивания задержки, и сигналом опорного канала в текущем кадре; вычисление долгосрочного сглаженного параметра амплитудной корреляции между сигналом правого канала и сигналом опорного канала в текущем кадре на основе параметра амплитудной корреляции между сигналом правого канала, который подвергся обработке выравнивания задержки, и сигналом опорного канала в текущем кадре; и вычисление параметра разности амплитудной корреляции между левым и правым каналами в текущем кадре на основе долгосрочного сглаженного параметра амплитудной корреляции между сигналом левого канала и сигналом опорного канала в текущем кадре и долгосрочного сглаженного параметра амплитудной корреляции между сигналом правого канала и сигналом опорного канала в текущем кадре.
[0390] Могут быть различные варианты сглаживания, например,
tdm_lt_corr_LM_SM cur=α*tdm_lt_corr_LM_SMpre+(1-α)corr_LM; где
tdm_lt_rms_L_SM cur=(1-A)*tdm_lt_rms_L_SMpre+A*rms_L, A указывает коэффициент обновления долгосрочной сглаженной энергии кадра сигнала левого канала в текущем кадре, tdm_lt_rms_L_SMcur указывает долговременную сглаженную энергию кадра сигнала левого канала в текущем кадре, rms_L указывает энергию кадра сигнала левого канала в текущем кадре, tdm_lt_corr_LM_SMcur указывает долгосрочный сглаженный параметр амплитудной корреляции между сигналом левого канала и сигналом опорного канала в текущем кадре, tdm_lt_corr_LM_SMpre указывает долгосрочный сглаженный параметр амплитудной корреляции между сигналом левого канала и сигналом опорного канала в предыдущем кадре, и α указывает коэффициент сглаживания левого канала.
[0391] Например,
tdm_lt_corr_RM_SM cur=β*tdm_lt_corr_RM_SMpre+(1-β)corr_LM; где
tdm_lt_rms_R_SM cur=(1-B)*tdm_lt_rms_R_SMpre+B*rms_R, B указывает коэффициент обновления долгосрочной сглаженной энергии кадра сигнала правого канала в текущем кадре, tdm_lt_rms_R_SMpre указывает долгосрочную сглаженную энергию кадра сигнала правого канала в текущем кадре, rms_R указывает энергию кадра сигнала правого канала в текущем кадре, tdm_lt_corr_RM_SMcur указывает долгосрочный сглаженный параметр амплитудной корреляции между сигналом правого канала и сигналом опорного канала в текущем кадре, tdm_lt_corr_RM_SMpre указывает долгосрочный сглаженный параметр амплитудной корреляции между сигналом правого канала и сигналом опорного канала в предыдущем кадре, и β указывает коэффициент сглаживания правого канала.
[0392] В некоторых возможных вариантах реализации,
diff_lt_corr=tdm_lt_corr_LM_SM-tdm_lt_corr_RM_SM; где
tdm_lt_corr_LM_SM указывает долгосрочный сглаженный параметр амплитудной корреляции между сигналом левого канала и сигналом опорного канала в текущем кадре, tdm_lt_corr_RM_SM указывает долгосрочный сглаженный параметр амплитудной корреляции между сигналом правого канала и сигналом опорного канала в текущем кадре, и diff_lt_corr указывает параметр разности амплитудной корреляции между сигналами левого и правого каналов в текущем кадре.
[0393] В некоторых возможных вариантах реализации вычисление на основе параметра разности амплитудной корреляции между сигналами левого и правого каналов в текущем кадре коэффициента соотношения объединения каналов, соответствующего схеме объединения каналов антикоррелированных сигналов для текущего кадра, включает в себя: выполнение обработки отображения в отношении параметра разности амплитудной корреляции между сигналами левого и правого каналов в текущем кадре, чтобы позволить диапазону значений параметра разности амплитудной корреляции, который находится между сигналами левого и правого каналов в текущем кадре и который подвергся обработке отображения, быть [MAP_MIN,MAP_MAX]; и преобразование параметра разности амплитудной корреляции, который находится между сигналами левого и правого каналов и который подвергся обработке отображения, в коэффициент соотношения объединения каналов.
[0394] В некоторых возможных вариантах реализации выполнение обработки отображения в отношении параметра разности амплитудной корреляции между левым и правым каналами в текущем кадре включает в себя: выполнение ограничения амплитуды в отношении параметра разности амплитудной корреляции между сигналами левого и правого каналов в текущем кадре; и выполнение обработки отображения в отношении ограниченного по амплитуде параметра разности амплитудной корреляции между сигналами левого и правого каналов в текущем кадре.
[0395] Могут быть различные варианты ограничения амплитуды, в частности, например:
, где
RATIO_MAX указывает максимальное значение ограниченного по амплитуде параметра разности амплитудной корреляции между сигналами левого и правого каналов в текущем кадре, RATIO_MIN указывает минимальное значение ограниченного по амплитуде параметра разности амплитудной корреляции между сигналами левого и правого каналов в текущем кадре, и RATIO_MAX>RATIO_MIN.
[0396] Могут быть различные способы обработки отображения, в частности, например:
где
;
B 1=MAP_MAX-RATIO_MAX*A1 или B1=MAP_HIGH-RATIO_HIGH*A1;
;
B 2=MAP_LOW-RATIO_LOW*A2 или B2=MAP_MIN-RATIO_MIN*A2;
;
B 3=MAP_HIGH-RATIO_HIGH*A3 или B3=MAP_LOW-RATIO_LOW*A3;
diff_lt_corr_map указывает параметр разности амплитудной корреляции, который находится между сигналами левого и правого каналов в текущем кадре и который подвергся обработке отображения;
MAP_MAX указывает максимальное значение параметра разности амплитудной корреляции, который находится между сигналами левого и правого каналов в текущем кадре и который подвергся обработке отображения, MAP_HIGH указывает верхнюю пороговую величину параметра разности амплитудной корреляции, который находится между сигналами левого и правого каналов в текущем кадре и который подвергся обработке отображения, MAP_LOW указывает нижнюю пороговую величину параметра разности амплитудной корреляции, который находится между сигналами левого и правого каналов в текущем кадре и который подвергся обработке отображения, и MAP_MIN указывает минимальное значение параметра разности амплитудной корреляции, который находится между сигналами левого и правого каналов в текущем кадре и который подвергся обработке отображения;
MAP_MAX>MAP_HIGH>MAP_LOW>MAP_MIN;
RATIO_MAX указывает максимальное значение ограниченного по амплитуде параметра разности амплитудной корреляции между сигналами левого и правого каналов в текущем кадре, RATIO_HIGH указывает верхнюю пороговую величину ограниченного по амплитуде параметра разности амплитудной корреляции, который находится между сигналами левого и правого каналов в текущем кадре, RATIO_LOW указывает нижнюю пороговую величину ограниченного по амплитуде параметра разности амплитудной корреляции, который находится между сигналами левого и правого каналов в текущем кадре, и RATIO_MIN указывает минимальное значение ограниченного по амплитуде параметра разности амплитудной корреляции, который находится между сигналами левого и правого каналов в текущем кадре; и
RATIO_MAX>RATIO_HIGH>RATIO_LOW>RATIO_MIN.
[0397] Для другого примера
где diff_lt_corr_limit указывает ограниченный по амплитуде параметр разности амплитудной корреляции между сигналами левого и правого каналов в текущем кадре и diff_lt_corr_map указывает параметр разности амплитудной корреляции, который находится между сигналами левого и правого каналов в текущем кадре и который подвергся обработке отображения;
; и
RATIO_MAX указывает максимальную амплитуду параметра разности амплитудной корреляции между сигналами левого и правого каналов в текущем кадре, и -RATIO_MAX указывает минимальную амплитуду параметра разности амплитудной корреляции между сигналами левого и правого каналов в текущем кадре.
[0398] В некоторых возможных вариантах реализации,
, где
diff_lt_corr_map указывает параметр разности амплитудной корреляции, который находится между сигналами левого и правого каналов в текущем кадре и который подвергся обработке отображения; и ratio_SM указывает коэффициент соотношения объединения каналов, соответствующий схеме объединения каналов антикоррелированных сигналов для текущего кадра, или ratio_SM указывает начальное значение коэффициента соотношения объединения каналов, соответствующего схеме объединения каналов антикоррелированных сигналов для текущего кадра.
[0399] В некоторых вариантах реализации настоящей заявки в сценарии, в котором необходимо изменить коэффициент соотношения объединения каналов, изменение может быть выполнено до или после того, как будет кодирован коэффициент соотношения объединения каналов. В частности, например, начальное значение коэффициента соотношения объединения каналов (например, коэффициента соотношения объединения каналов, соответствующего схеме объединения каналов антикоррелированных сигналов, или коэффициента соотношения объединения каналов, соответствующего схеме объединения каналов коррелированных сигналов) для текущего кадра может быть получено посредством вычисления сначала, затем кодируется начальное значение коэффициента соотношения объединения каналов, чтобы получить начальный кодированный индекс коэффициента соотношения объединения каналов текущего кадра, и полученный начальный кодированный индекс коэффициента соотношения объединения каналов текущем кадре изменяется, чтобы получить кодированный индекс коэффициента соотношения объединения каналов текущего кадра (получение кодированного индекса коэффициента соотношения объединения каналов текущего кадра эквивалентно получению коэффициента соотношения объединения каналов текущего кадра). В качестве альтернативы, начальное значение коэффициента соотношения объединения каналов текущего кадра может быть получено посредством вычисления сначала, затем изменяется начальное значение коэффициента соотношения объединения каналов текущего кадра, которое получается посредством вычисления, чтобы получить коэффициент соотношения объединения каналов текущего кадра, и полученный коэффициент соотношения объединения каналов текущего кадра кодируется, чтобы получить кодированный индекс коэффициента соотношения объединения каналов текущего кадра.
[0400] Существуют различные варианты изменения начального значения коэффициента соотношения объединения каналов, соответствующего схеме объединения каналов антикоррелированных сигналов для текущего кадра. Например, когда необходимо изменить начальное значение коэффициента соотношения объединения каналов, соответствующего схеме объединения каналов антикоррелированных сигналов для текущего кадра, чтобы получить коэффициент соотношения объединения каналов, соответствующий схеме объединения каналов антикоррелированных сигналов для текущего кадра, начальное значение коэффициента соотношения объединения каналов, соответствующего схеме объединения каналов антикоррелированных сигналов для текущего кадра, может быть изменено на основе коэффициента соотношения объединения каналов предыдущего кадра и начального значения коэффициента соотношения объединения каналов, соответствующего схема объединения каналов антикоррелированных сигналов для текущего кадра; или начальное значение коэффициента соотношения объединения каналов, соответствующего схеме объединения каналов антикоррелированных сигналов для текущего кадра, может быть изменено на основе начального значения коэффициента соотношения объединения каналов, соответствующего схеме объединения каналов антикоррелированных сигналов для текущего кадра.
[0401] Например, сначала то, нужно ли изменять начальное значение коэффициента соотношения объединения каналов, соответствующего схеме объединения каналов антикоррелированных сигналов для текущего кадра, определяется на основе долгосрочной сглаженной энергии кадра сигнала левого канала в текущем кадре, долгосрочной сглаженной энергии кадра сигнала правого канала в текущем кадре, межкадровой разности энергии сигнала левого канала в текущем кадре, буферизованного параметра кодирования предыдущего кадра в буфере истории (например, межкадровая корреляция сигнала первичного канала и межкадровая корреляция сигнала вторичного канала), флагов схемы объединения каналов текущего кадра и предыдущего кадра, коэффициента соотношения объединения каналов, соответствующего схеме объединения каналов антикоррелированных сигналов для предыдущего кадра, и начального значения коэффициента соотношения объединения каналов, соответствующего схеме объединения каналов антикоррелированных сигналов для текущего кадра. Если да, то коэффициент соотношения объединения каналов, соответствующий схеме объединения каналов антикоррелированных сигналов для предыдущего кадра, используется как коэффициент соотношения объединения каналов, соответствующий схеме объединения каналов антикоррелированных сигналов для текущего кадра; в противном случае начальное значение коэффициента соотношения объединения каналов, соответствующего схеме объединения каналов антикоррелированных сигналов для текущего кадра, используется в качестве коэффициента соотношения объединения каналов, соответствующего схеме объединения каналов антикоррелированных сигналов для текущего кадра.
[0402] Разумеется, конкретная реализация изменения начального значения коэффициента соотношения объединения каналов, соответствующего схеме объединения каналов антикоррелированных сигналов для текущего кадра, для получения коэффициента соотношения объединения каналов, соответствующего схеме объединения каналов антикоррелированных сигналов для текущего кадра, не ограничена приведенными выше примерами.
[0403] 803. Кодирование определенного стереопараметра во временной области текущего кадра.
[0404] В некоторых возможных вариантах реализации кодирование квантованием выполняется в отношении определенного коэффициента соотношения объединения каналов, соответствующего схеме объединения каналов антикоррелированных сигналов для текущего кадра, и
ratio_init_SM qua = ratio_tabl_SM[ratio_idx_init_SM]; где
ratio_tabl_SM указывает кодовую книгу для выполнения скалярного квантования в отношении коэффициента соотношения объединения каналов, соответствующего схеме объединения каналов антикоррелированных сигналов для текущего кадра; ratio_idx_init_SM указывает начальный кодированный индекс коэффициента соотношения объединения каналов, соответствующего схеме объединения каналов антикоррелированных сигналов для текущего кадра; и ratio_init_SMqua указывает кодированное квантованием начальное значение коэффициента соотношения объединения каналов, соответствующего схеме объединения каналов антикоррелированных сигналов для текущего кадра.
[0405] В некоторых возможных вариантах реализации,
ratio_idx_SM = ratio_idx_init_SM и
ratio_SM = ratio_tabl[ratio_idx_SM], где
ratio_SM указывает коэффициент соотношения объединения каналов, соответствующий схеме объединения каналов антикоррелированных сигналов для текущего кадра, и ratio_idx_SM указывает кодированный индекс коэффициента соотношения объединения каналов, соответствующего схеме объединения каналов антикоррелированных сигналов для текущего кадра; или
ratio_idx_SM=ϕ*ratio_idx_init_SM+(1-ϕ)*tdm_last_ratio_idx_SM, и
ratio_SM = ratio_tabl[ratio_idx_SM], где
ratio_idx_init_SM указывает начальный кодированный индекс, соответствующий схеме объединения каналов антикоррелированных сигналов для текущего кадра; tdm_last_ratio_idx_SM указывает конечный кодированный индекс коэффициента соотношения объединения каналов, соответствующего схеме объединения каналов антикоррелированных сигналов для предыдущего кадра;
является коэффициентом изменения коэффициента соотношения объединения каналов, соответствующего схеме объединения каналов антикоррелированных сигналов; и ratio_SM указывает коэффициент соотношения объединения каналов, соответствующий схеме объединения каналов антикоррелированных сигналов для текущего кадра.
[0406] В некоторых возможных вариантах реализации, когда необходимо изменить начальное значение коэффициента соотношения объединения каналов, соответствующего схеме объединения каналов антикоррелированных сигналов для текущего кадра, чтобы получить коэффициент соотношения объединения каналов, соответствующий схеме объединения каналов антикоррелированных сигналов для текущего кадра, кодирование квантованием может сначала выполняться в отношении начального значения коэффициента соотношения объединения каналов, соответствующего схеме объединения каналов антикоррелированных сигналов для текущего кадра, чтобы получить начальный кодированный индекс коэффициента соотношения объединения каналов, соответствующего схеме объединения каналов антикоррелированных сигналов для текущего кадра; и затем начальный кодированный индекс коэффициента соотношения объединения каналов, соответствующего схеме объединения каналов антикоррелированных сигналов для текущего кадра, может быть изменен на основе кодированного индекса коэффициента соотношения объединения каналов предыдущего кадра и начального кодированного индекса коэффициента соотношения объединения каналов, соответствующего схеме объединения каналов антикоррелированных сигналов для текущего кадра; или начальный кодированный индекс коэффициента соотношения объединения каналов, соответствующего схеме объединения каналов антикоррелированных сигналов для текущего кадра, может быть изменен на основе начального кодированного индекса коэффициента соотношения объединения каналов, соответствующего схеме объединения каналов антикоррелированных сигналов для текущего кадра.
[0407] Например, кодирование квантованием может быть сначала выполнено в отношении начального значения коэффициента соотношения объединения каналов, соответствующего схеме объединения каналов антикоррелированных сигналов для текущего кадра, чтобы получить начальный кодированный индекс, соответствующий схеме объединения каналов антикоррелированных сигналов для текущего кадра. Затем, когда необходимо изменить начальное значение коэффициента соотношения объединения каналов, соответствующего схеме объединения каналов антикоррелированных сигналов для текущего кадра, кодированный индекс коэффициента соотношения объединения каналов, соответствующего схеме объединения каналов антикоррелированных сигналов для предыдущего кадра, используется в качестве кодированного индекса коэффициента соотношения объединения каналов, соответствующего схеме объединения каналов антикоррелированных сигналов для текущего кадра; в противном случае начальный кодированный индекс коэффициента соотношения объединения каналов, соответствующего схеме объединения каналов антикоррелированных сигналов, для текущего кадра используется в качестве кодированного индекса коэффициента соотношения объединения каналов, соответствующего схеме объединения каналов антикоррелированных сигналов для текущего кадра. Наконец, кодированное квантованием значение, соответствующее кодированному индексу коэффициента соотношения объединения каналов, соответствующего схеме объединения каналов антикоррелированных сигналов для текущего кадра, используется в качестве коэффициента соотношения объединения каналов, соответствующего схеме объединения каналов антикоррелированных сигналов для текущего кадра.
[0408] Кроме того, когда стереопараметр во временной области включает в себя межканальную временную разность, определение стереопараметра во временной области текущего кадра на основе схемы объединения каналов для текущего кадра может включать в себя: вычисление межканальной временной разности текущего кадра, когда схема объединения каналов для текущего кадра является схемой объединения каналов коррелированных сигналов. Кроме того, межканальная временная разность текущего кадра, которая получена посредством вычисления, может быть записана в битовый поток. Межканальная временная разность по умолчанию (например, 0) используется в качестве межканальной временной разности текущего кадра, когда схема объединения каналов для текущего кадра является схемой объединения каналов антикоррелированных сигналов. Кроме того, межканальная временная разность по умолчанию может не записываться в битовый поток, и устройство декодирования также использует межканальную временную разность по умолчанию.
[0409] Далее дополнительно представлен способ кодирования стереопараметра во временной области посредством использования примера. Способ может включать в себя, например: определение схемы объединения каналов для текущего кадра; определение стереопараметра во временной области текущего кадра на основе схемы объединения каналов для текущего кадра; и кодирование определенного стереопараметра во временной области текущего кадра, где стереопараметр во временной области включает в себя, по меньшей мере, одно из коэффициента соотношения объединения каналов и межканальной временной разности.
[0410] Соответственно, устройство декодирования может получать стереопараметр во временной области текущего кадра из битового потока и дополнительно выполнять соответствующее декодирование на основе стереопараметра во временной области текущего кадра, который получен из битового потока.
[0411] Ниже приведены описания посредством использования примеров со ссылкой на более конкретный сценарий применения.
[0412] Фиг. 9-A является блок-схемой последовательности операций способа кодирования звука в соответствии с одним вариантом осуществления настоящей заявки. Способ кодирования звука, предоставленный в этом варианте осуществления настоящей заявки, может быть реализован устройством кодирования, и способ может конкретно включать в себя следующие этапы.
[0413] 901. Выполнение предварительной обработки во временной области для исходных сигналов левого и правого каналов в текущем кадре.
[0414] Например, если частота дискретизации стереофонического звукового сигнала составляет 16 кГц, один кадр сигналов равен 20 мс, длина кадра обозначается как N, и когда N=320, то это указывает, что длина кадра составляет 320 точек дискретизации. Стереосигнал в текущем кадре включает в себя сигнал левого канала в текущем кадре и сигнал правого канала в текущем кадре. Исходный сигнал левого канала в текущем кадре обозначен как xL(n), исходный сигнал правого канала в текущем кадре как xR(n) обозначен, n - номер точки дискретизации, и n=0, 1, …, N-1.
[0415] Например, выполнение предварительной обработки во временной области в отношении исходных сигналов левого и правого каналов в текущем кадре может включать в себя: выполнение обработки фильтрации верхних частот для исходных сигналов левого и правого каналов в текущем кадре для получения сигналов левого и правого каналов, которые подверглись предварительной обработке во временной области в текущем кадре, где сигнал левого канала, который подвергся предварительной обработке во временной области в текущем кадре, обозначен как xL_HP(n), а сигнал правого канала, который подвергся предварительной обработке во временной области в текущем кадре, обозначается как xR_HP(n). Здесь n - номер точки дискретизации, и n=0, 1, …, N-1. Фильтр, используемый при обработке фильтрации верхних частот, может представлять собой, например, фильтр с бесконечной импульсной характеристикой (Infinite Impulse Response, IIR (БИХ-фильтр)) с частотой среза 20 Гц или фильтр другого типа.
[0416] Например, передаточная функция фильтра верхних частот, частота дискретизации которого составляет 16 кГц, и который соответствует частоте среза 20 Гц, может быть:
; где
b 0=0,994461788958195, b1=-1,988923577916390, b2=0,994461788958195, a1=1,988892905899653, a2=-0,988954249933127, и z является коэффициентом преобразования Z-преобразования.
[0417] Передаточная функция соответствующего фильтра во временной области может быть выражена как:
x L_HP(n)=b0*xL(n)+b1*xL(n-1)+b2*xL(n-2)-a1*xL_HP(n-1)-a2*xL_HP(n-2) и
x R_HP(n)=b0*xR(n)+b1*xR(n-1)+b2*xR(n-2)-a1*xR_HP(n-1)-a2*xR_HP(n-2).
[0418] 902. Выполнение обработки выравнивания задержки в отношении сигналов левого и правого каналов, которые подверглись предварительной обработке во временной области в текущем кадре, чтобы получить сигналы левого и правого каналов, которые подверглись обработке выравнивания задержки в текущем кадре.
[0419] Сигнал, подвергшийся обработке выравнивания задержки, может кратко называться «сигналом с выровненной задержкой». Например, сигнал левого канала, который подвергся обработке выравнивания задержки, может кратко называться «сигналом левым каналом с выровненной задержкой», сигнал правого канала, который подвергся обработке выравнивания задержки, может кратко именоваться «сигнал правого канала с выровненной задержкой», и т.д.
[0420] В частности, параметр межканальной задержки может быть извлечен на основе предварительно обработанных сигналов левого и правого каналов в текущем кадре и затем кодирован, и обработка выравнивания задержки выполняется в отношении сигналов левого и правого каналов на основе параметра кодированной межканальной задержи, чтобы получить сигналы левого и правого каналов, которые подверглись обработке выравнивания задержки в текущем кадре. Сигнал левого канала, который подвергся обработке выравнивания задержки в текущем кадре, обозначен как x’L(n), а сигнал правого канала, который подвергся обработке выравнивания задержки в текущем кадре, обозначен как x’R(n), где n является номером точки дискретизации, и n=0, 1, …, N-1.
[0421] В частности, например, устройство кодирования может вычислять функцию взаимной корреляции во временной области левого и правого каналов на основе предварительно обработанных сигналов левого и правого каналов в текущем кадре; поиск максимального значения (или другого значения) функции взаимной корреляции во временной области левого и правого каналов, чтобы определить временную разность между сигналами левого и правого каналов; выполнить кодирование квантованием в отношении определенной временной разности между левым и правым каналами; и использовать сигнал одного канала, выбранного из левого и правого каналов, в качестве опорного, и выполнить регулировку задержки для сигнала другого канала на основе кодированной квантованием временной разности между левым и правым каналами, чтобы получить сигналы левого и правого каналов, которые подверглись обработке выравнивания задержки в текущем кадре.
[0422] Следует отметить, что существует много конкретных способов реализации обработки выравнивания задержки, и конкретный вариант обработки выравнивания задержки не ограничен в этом варианте осуществления.
[0423] 903. Выполнение анализа во временной области в отношении сигналов левого и правого каналов, которые подверглись обработке выравнивания задержки в текущем кадре.
[0424] В частности, анализ во временной области может включать в себя обнаружение переходного процесса и тому подобное. Обнаружением переходного процесса может быть обнаружение энергии, выполняемое в отношении сигналов левого и правого каналов, которые подверглись обработке выравнивания задержки в текущем кадре (в частности, может быть обнаружено, имеет ли текущий кадр внезапное изменение энергии). Например, энергия сигнала левого канала, подвергшегося обработке выравнивания задержки в текущем кадре, выражается как Ecur_L, а энергия сигнала левого канала, подвергшегося выравниванию задержки в предыдущем кадре, выражается как Epre_L. В этом случае обнаружение переходного процесса может быть выполнено на основе абсолютного значения разности между Epre_L и Ecur_L, чтобы получить результат обнаружения переходного процесса для сигнала левого канала, который подвергся обработке выравнивания задержки в текущем кадре. Аналогично, обнаружение переходного процесса может быть выполнено посредством использования того же способа в отношении сигнала правого канала, который подвергся обработке выравнивания задержки в текущем кадре. Анализ во временной области может дополнительно включать в себя анализ во временной области другим обычным способом, отличным от обнаружения переходного процесса, например, может включать в себя предварительную обработку расширения полосы частот.
[0425] Может быть понятно, что этап 903 может выполняться в любое время после этапа 902 и до того, как будут кодированы сигнал первичного канала и сигнал вторичного канала в текущем кадре.
[0426] 904. Принятие решение по схеме объединения каналов для текущего кадра на основе сигналов левого и правого каналов, которые подверглись обработке выравнивания задержки в текущем кадре, чтобы определить схему объединения каналов для текущего кадра.
[0427] Две возможные схемы объединения каналов описаны в этом варианте осуществления в качестве примеров и соответственно упоминаются как схема объединения каналов коррелированных сигналов и схема объединения каналов антикоррелированных сигналов в последующем описании. В данном варианте осуществления схема объединения каналов коррелированных сигналов соответствует случаю, в котором сигналы левого и правого каналов в текущем кадре (полученные после выравнивания задержки) представляют собой сигнал с почти синфазностью, а схема объединения каналов антикоррелированных сигналов соответствует случаю, в котором сигналы левого и правого каналов в текущем кадре (полученные после выравнивания задержки) представляют собой сигнал с почти противофазностью. Разумеется, в дополнение к «схеме объединения каналов коррелированных сигналов» и «схеме объединения каналов антикоррелированных сигналов», другие названия также могут использоваться для представления двух возможных схем объединения каналов при фактическом применении.
[0428] В некоторых решениях этого варианта осуществления решение по схеме объединения каналов может быть классифицировано на решение по начальной схеме объединения каналов и решение по изменению схемы объединения каналов. Должно быть понятно, что решение по схеме объединения каналов выполняется для текущего кадра, чтобы определить схему объединения каналов для текущего кадра. Для некоторых примеров реализаций определения схемы объединения каналов для текущего кадра обратитесь к соответствующему описанию в предшествующем варианте осуществления. Подробности здесь повторно не описываются.
[0429] 905. Вычисление и кодирование коэффициента соотношения объединения каналов, соответствующего схеме объединения каналов коррелированных сигналов для текущего кадра, на основе сигналов левого и правого каналов, которые подверглись обработке выравнивания задержки в текущем кадре, и флага схемы объединения каналов текущего кадра, чтобы получить начальное значение коэффициента соотношения объединения каналов, соответствующего схеме объединения каналов коррелированных сигналов для текущего кадра, и кодированный индекс начального значения.
[0430] В частности, например, энергия кадра сигналов левого и правого каналов в текущем кадре сначала вычисляется на основе сигналов левого и правого каналов, которые подверглись обработке выравнивания задержки в текущем кадре, где
энергия rms_L кадра сигнала левого канала в текущем кадре удовлетворяет следующему выражению:
; и
Энергия rms_R кадра сигнала правого канала в текущем кадре удовлетворяет следующему выражению:
; где
x’L(n) указывает сигнал левого канала, который подвергся обработке выравнивания задержки в текущем кадре, и
x’R(n) указывает сигнал правого канала, который подвергся обработке выравнивания задержки в текущем кадре.
[0431] Затем, вычисляется коэффициент соотношения объединения каналов, соответствующий схеме объединения каналов коррелированных сигналов для текущего кадра, на основе энергии кадра левого канала и энергии кадра правого канала в текущем кадре. Коэффициент ratio_init соотношения объединения каналов, соответствующий схеме объединения каналов коррелированных сигналов для текущего кадра, который получен посредством вычисления, удовлетворяет следующему выражению:
[0432] Затем, выполняется кодирование квантованием в отношении коэффициента ratio_init соотношения объединения каналов, соответствующего схеме объединения каналов коррелированных сигналов для текущего кадра, который получен посредством вычисления, чтобы получить соответствующий кодированный индекс ratio_idx_init и кодированный квантованием коэффициент соотношения объединения каналов ratio_initqua, соответствующий схеме объединения каналов коррелированных сигналов для текущего кадра:
ratio_initqua = ratio_tabl[ratio_idx_init]
[0433] Здесь ratio_tabl является кодовой книгой для скалярного квантования. Кодирование квантованием может выполняться посредством использования любого обычного способа скалярного квантования, например, равномерного скалярного квантования или неравномерного скалярного квантования. Количество битов, используемых для кодирования, составляет, например, 5 битов. Конкретный способ скалярного квантования повторно здесь не описывается.
[0434] Кодированный квантованием коэффициент ratio_initqua соотношения объединения каналов, соответствующий схеме объединения каналов коррелированных сигналов для текущего кадра, представляет собой полученное начальное значение коэффициента соотношения объединения каналов, соответствующего схеме объединения каналов коррелированных сигналов для текущего кадра, и кодированный индекс ratio_idx_init представляет собой кодированный индекс, соответствующий начальному значению коэффициента соотношения объединения каналов, соответствующего схеме объединения каналов коррелированных сигналов для текущего кадра.
[0435] Кроме того, кодированный индекс, соответствующий начальному значению коэффициента соотношения объединения каналов, соответствующего схеме объединения каналов коррелированных сигналов канала для текущего кадра, может быть дополнительно изменен на основе значения флага tdm_SM_flag схемы объединения каналов текущего кадра.
[0436] Например, кодирование квантованием является 5-битным скалярным квантованием. Когда tdm_SM_flag = 1, то кодированный индекс ratio_idx_init, соответствующий начальному значению коэффициента соотношения объединения каналов, соответствующего схеме объединения каналов коррелированных сигналов для текущего кадра, изменяется в предварительно установленное значение (например, 15 или другое значение); и начальное значение коэффициента соотношения объединения каналов, соответствующее схеме объединения каналов коррелированных сигналов для текущего кадра, может быть изменено в ratio_initqua = ratio_tabl[15].
[0437] Следует отметить, что в дополнение к вышеупомянутому способу вычисления любой способ для вычисления коэффициента соотношения объединения каналов, соответствующего схеме объединения каналов в традиционной технологии стереокодирования во временной области, может использоваться для вычисления коэффициента соотношения объединения каналов, соответствующего схеме объединения каналов коррелированных сигналов для текущего кадра. В качестве альтернативы, начальное значение коэффициента соотношения объединения каналов, соответствующее схеме объединения каналов коррелированных сигналов для текущего кадра, может быть непосредственно установлено в фиксированное значение (например, 0,5 или другое значение).
[0438] 906. Определение, на основе флага изменения коэффициента соотношения объединения каналов, нужно ли изменять коэффициент соотношения объединения каналов.
[0439] Если да, то коэффициент соотношения объединения каналов, соответствующий схеме объединения каналов коррелированных сигналов для текущего кадра, и кодированный индекс коэффициента соотношения объединения каналов, изменяются, чтобы получить измененное значение коэффициента соотношения объединения каналов, соответствующего схеме объединения коррелированных сигналов для текущего кадра, и кодированного индекса измененного значения.
[0440] Флаг изменения коэффициента соотношения объединения каналов текущего кадра обозначается как tdm_SM_modi_flag. Например, когда значение флага изменения коэффициента соотношения объединения каналов равно 0, то это указывает, что коэффициент соотношения объединения каналов не нужно изменять; или когда значение флага изменения коэффициента соотношения объединения каналов равно 1, то это указывает то, что коэффициент соотношения объединения каналов необходимо изменить. Конечно, другие различные значения могут использоваться в качестве флага изменения коэффициента соотношения объединения каналов, чтобы указывать, нужно ли изменять коэффициент соотношения объединения каналов.
[0441] Например, определение, на основе флага изменения коэффициента соотношения объединения каналов, нужно ли изменять коэффициент соотношения объединения каналов, может конкретно включать в себя: Например, если флаг изменения коэффициента соотношения объединения каналов tdm_SM_modi_flag = 1, то определяется, что коэффициент коэффициента соотношения объединения каналов необходимо изменить. В другом примере, если флаг изменения коэффициента соотношения объединения каналов tdm_SM_modi_flag = 0, то определяется, что коэффициент соотношения объединения каналов не нуждается в изменении.
[0442] Изменение коэффициента соотношения объединения каналов, соответствующего схеме объединения каналов коррелированных сигналов для текущего кадра, и кодированного индекса коэффициента соотношения объединения каналов может конкретно включать в себя:
например, кодированный индекс, соответствующий измененному значению коэффициента соотношения объединения каналов, соответствующего схеме объединения каналов коррелированных сигналов для текущего кадра, соответствует ratio_idx_mod = 0.5*(tdm_last_ratio_idx+16): где tdm_last_ratio_idx - кодированный индекс коэффициента соотношения объединения каналов, соответствующего схеме объединения каналов коррелированных сигналов для предыдущего кадра.
[0443] Измененное значение ratio_modqua коэффициента соотношения объединения каналов, соответствующего схеме объединения каналов коррелированных сигналов для текущего кадра, удовлетворяет следующему выражению: ratio_modqua = ratio_tabl[ratio_idx_mod].
[0444] 907. Определение коэффициента ratio соотношения объединения каналов, соответствующего схеме объединения каналов коррелированных сигналов для текущего кадра, и кодированного индекса ratio_idx на основе начального значения коэффициента соотношения объединения каналов, соответствующего схеме объединения каналов коррелированных сигналов для текущего кадра, и кодированного индекса начального значения, измененного значения коэффициента соотношения объединения каналов, соответствующего схеме объединения каналов коррелированных сигналов для текущего кадра, и кодированного индекса измененного значения, и флага изменения коэффициента соотношения объединения каналов.
[0445] В частности, например, определенный коэффициент ratio соотношения объединения каналов, соответствующий схеме объединения каналов коррелированных сигналов, удовлетворяет следующему выражению:
, где
ratio_init qua указывает начальное значение коэффициента соотношения объединения каналов, соответствующего схеме объединения каналов коррелированных сигналов для текущего кадра; ratio_modqua указывает измененное значение коэффициента соотношения объединения каналов, соответствующего схеме объединения каналов коррелированных сигналов для текущего кадра; и tdm_SM_modi_flag указывает флаг изменения коэффициента соотношения объединения каналов текущего кадра.
[0446] Определенный кодированный индекс ratio_idx, соответствующий коэффициенту соотношения каналов, соответствующего схеме объединения каналов коррелированных сигналов, удовлетворяет:
, где
ratio_idx_init указывает кодированный индекс, соответствующий начальному значению коэффициента соотношения объединения каналов, соответствующего схеме объединения каналов коррелированных сигналов для текущего кадра, и ratio_idx_mod указывает кодированный индекс, соответствующий измененному значению коэффициента соотношения объединения каналов, соответствующего схеме объединения каналов коррелированных сигналов для текущего кадра.
[0447] 908. Определение, соответствует ли флаг схемы объединения каналов текущего кадра схеме объединения каналов антикоррелированных сигналов, и, если да, то вычисление и кодирование коэффициента соотношения объединения каналов, соответствующего схеме объединения каналов антикоррелированных сигналов для текущего кадра, чтобы получить коэффициент соотношения объединения каналов, соответствующий схеме объединения каналов антикоррелированных сигналов, и кодированный индекс.
[0448] Сначала, может быть определено, должен ли быть сброшен буфер истории, используемый для вычисления коэффициента соотношения объединения каналов, соответствующего схеме объединения каналов антикоррелированных сигналов для текущего кадра.
[0449] Например, если флаг tdm_SM_flag схемы объединения каналов текущего кадра равен 1 (например, то, что tdm_SM_flag равен 1, указывает, что флаг схемы объединения каналов текущего кадра соответствует схеме объединения каналов антикоррелированных сигналов), и флаг tdm_last_SM_flag схемы объединения каналов предыдущего кадра равен 0 (например, то, что tdm_last_SM_flag равен 0, указывает, что флаг схемы объединения каналов предыдущего кадра соответствует схеме объединения каналов коррелированных сигналов), то это указывает, что буфер истории, используемый для вычисления коэффициента соотношения объединения каналов, соответствующего схеме объединения каналов антикоррелированных сигналов для текущего кадра, необходимо сбросить.
[0450] Следует отметить, что флаг tdm_SM_reset_flag сброса буфера истории может быть определен в процессах принятия решения по начальной схеме объединения каналов и решения об изменении схемы объединения каналов, а затем определяется значение флага сброса буфера истории, с тем чтобы определить, необходимо ли сбросить буфер истории, используемый для вычисления коэффициента соотношения объединения каналов, соответствующего схеме объединения каналов антикоррелированных сигналов для текущего кадра. Например, когда tdm_SM_reset_flag равен 1, то это указывает, что флаг схемы объединения каналов текущего кадра соответствует схеме объединения каналов антикоррелированных сигналов, и флаг схемы объединения каналов предыдущего кадра соответствует схеме объединения каналов коррелированных сигналов. Например, когда флаг tdm_SM_reset_flag сброса буфера истории равен 1, то это указывает, что необходимо сбросить буфер истории, используемый для вычисления коэффициента соотношения объединения каналов, соответствующего схеме объединения каналов антикоррелированных сигналов для текущего кадра. Есть много конкретных способов сброса. Все параметры в буфере истории, используемом для вычисления коэффициента соотношения объединения каналов, соответствующего схеме объединения каналов антикоррелированных сигналов для текущего кадра, могут быть сброшены на основе предварительно установленных начальных значений. В качестве альтернативы, некоторые параметры в буфере истории, используемом для вычисления коэффициента соотношения объединения каналов, соответствующего схеме объединения каналов антикоррелированных сигналов для текущего кадра, могут быть сброшены на основе предварительно установленных начальных значений. В качестве альтернативы, некоторые параметры в буфере истории, используемые для вычисления коэффициента соотношения объединения каналов, соответствующего схеме объединения каналов антикоррелированных сигналов для текущего кадра, могут быть сброшены на основе предварительно установленных начальных значений, а другие параметры сбрасываются на основе соответствующих параметров в буфере истории, используемом для вычисления коэффициента соотношения объединения каналов, соответствующего схеме объединения каналов коррелированных сигналов для текущего кадра.
[0451] Затем дополнительно определяется, соответствует ли флаг tdm_SM_flag схемы объединения каналов текущего кадра схеме объединения каналов антикоррелированных сигналов. Схема объединения каналов антикоррелированных сигналов является схемой объединения каналов, которая больше подходит для выполнения понижающего микширования во временной области в отношении стереосигнала с почти противофазностью. В этом варианте осуществления, когда флаг схемы объединения каналов текущего кадра tdm_SM_flag = 1, то это указывает, что флаг схемы объединения каналов текущего кадра соответствует схеме объединения каналов антикоррелированных сигналов. Когда флаг схемы объединения каналов текущего кадра tdm_SM_flag = 0, то это указывает, что флаг схемы объединения каналов текущего кадра соответствует схеме объединения каналов коррелированных сигналов.
[0452] Определение того, соответствует ли флаг схемы объединения каналов текущего кадра схеме объединения каналов антикоррелированных сигналов, может конкретно включать в себя:
определение, является ли значение флага схемы объединения каналов текущего кадра равным 1; и если флаг схемы объединения каналов текущего кадра tdm_SM_flag = 1, то это указывает, что флаг схемы объединения каналов текущего кадра соответствует схеме объединения каналов антикоррелированных сигналов, причем в этом случае коэффициент соотношения объединения каналов, соответствующий схеме объединения каналов антикоррелированных сигналов для текущего кадра, может быть вычислен и кодирован.
[0453] Со ссылкой на Фиг. 9-B, вычисление и кодирование коэффициента соотношения объединения каналов, соответствующего схеме объединения каналов антикоррелированных сигналов для текущего кадра, может включать в себя, например, следующие этапы с 9081 по 9085.
[0454] 9081. Выполнение анализа энергии сигнала в отношении сигналов левого и правого каналов, которые подверглись обработке выравнивания задержки в текущем кадре.
[0455] Энергия кадра сигнала левого канала в текущем кадре, энергия кадра сигнала правого канала в текущем кадре, долгосрочная сглаженная энергия кадра левого канала в текущем кадре, долгосрочная сглаженная энергия кадра правого канала в текущем кадре, межкадровая разность энергии левого канала в текущем кадре и межкадровая разность энергии правого канала в текущем кадре получаются по отдельности.
[0456] Например, энергия rms_L кадра сигнала левого канала в текущем кадре удовлетворяет следующему выражению:
; а
энергия rms_R кадра сигнала правого канала в текущем кадре удовлетворяет следующему выражению:
; где
x’L(n) указывает сигнал левого канала, который подвергся обработке выравнивания задержки в текущем кадре, и
x’R(n) указывает сигнал правого канала, который подвергся обработке выравнивания задержки в текущем кадре.
[0457] Например, долгосрочная сглаженная энергия tdm_lt_rms_L_SMcur кадра левого канала в текущем кадре удовлетворяет следующему выражению:
tdm_lt_rms_L_SM cur = (1-A)*tdm_lt_rms_L_SMpre+A*rms_L, где
tdm_lt_rms_L_SM pre указывает долгосрочную сглаженную энергию кадра левого канала в предыдущем кадре, A указывает коэффициент обновления долгосрочной сглаженной энергии кадра левого канала, A может быть, например, действительным числом от 0 до 1, и А может быть, например, равным 0,4.
[0458] Например, долгосрочная сглаженная энергия tdm_lt_rms_R_SMcur кадра правого канала в текущем кадре удовлетворяет следующему выражению:
tdm_lt_rms_R_SM cur = (1-B)*tdm_lt_rms_R_SMpre+B*rms_R, где
tdm_lt_rms_R_SM pre указывает долгосрочную сглаженную энергию кадра правого канала в предыдущем кадре, B указывает коэффициент обновления долгосрочной сглаженной энергии кадра правого канала, B может быть, например, действительным числом от 0 до 1, и B может быть, например, таким же или отличным от коэффициента обновления долгосрочной сглаженной энергии кадра левого канала; например, B также может быть равен 0,4.
[0459] Например, межкадровая разность энергии ener_L_dt левого канала в текущем кадре удовлетворяет следующему выражению:
ener_L_dt = tdm_lt_rms_L_SMcur-tdm_lt_rms_L_SMpre
[0460] Например, межкадровая разность ener_R_dt энергии правого канала в текущем кадре удовлетворяет следующему выражению:
ener_R_dt = tdm_lt_rms_R_SMcur-tdm_lt_rms_R_SMpre
[0461] 9082. Определение сигнала опорного канала в текущем кадре на основе сигналов левого и правого каналов, которые подверглись обработке выравнивания задержки в текущем кадре. Сигнал опорного канала также может упоминаться как моносигнал. Если сигнал опорного канала, называется моносигналом, для всех описаний и названий параметров, связанных с опорным каналом, сигнал опорного канала может быть заменен моносигналом.
[0462] Например, сигнал mono_i(n) опорного канала удовлетворяет следующему выражению:
, где
x’L(n) является сигналом левого канала, который подвергся обработке выравнивания задержки в текущем кадре, и x’R(n) является сигналом правого канала, который подвергся обработке выравнивания задержки в текущем кадре.
[0463] 9083. Вычисление по отдельности параметра амплитудной корреляции между сигналом левого канала, который подвергся обработке выравнивания задержки, и сигналом опорного канала в текущем кадре и параметр амплитудной корреляции между сигналом правого канала, который подвергся обработке выравнивания задержки, и сигналом опорного канала в текущем кадре.
[0464] Например, параметр corr_LM амплитудной корреляции между сигналом левого канала, который был подвергнут обработке выравнивания задержки, и сигналом опорного канала в текущем кадре удовлетворяет, например, следующему:
[0465] Например, параметр corr_RM амплитудной корреляции между сигналом правого канала, который был подвергнут обработке выравнивания задержки, и сигналом опорного канала в текущем кадре удовлетворяет, например:
[0466] Здесь, x’L(n) указывает сигнал левого канала, который подвергся обработке выравнивания задержки в текущем кадре, x’R(n) указывает сигнал правого канала, который подвергся обработке выравнивания задержки в текущем кадре, mono_i(n) указывает сигнал опорного канала в текущем кадре, и
указывает взятие абсолютного значения.
[0467] 9084. Вычисление параметра diff_lt_corr разности амплитудной корреляции между левым и правым каналами в текущем кадре на основе параметра амплитудной корреляции между сигналом левого канала, который был подвергнут обработке выравнивания задержки, и сигналом опорного канала в текущем кадре, и параметра амплитудной корреляции между сигналом правого канала, который был подвергнут обработке выравнивания задержки, и сигналом опорного канала в текущем кадре.
[0468] Может быть понятно, что этап 9081 может выполняться до этапа 9082 и этапа 9083 или может выполняться после этапа 9082 и этапа 9083 и до этапа 9084.
[0469] Со ссылкой на Фиг. 9-C, например, вычисление diff_lt_corr параметра разности амплитудной корреляции между левым и правым каналами в текущем кадре может конкретно включать в себя следующие этапы 90841 и 90842.
[0470] 90841. Вычисление долгосрочного сглаженного параметра амплитудной корреляции между сигналом левого канала и сигналом опорного канала в текущем кадре и долгосрочного сглаженного параметра амплитудной корреляции между сигналом правого канала и сигналом опорного канала в текущем кадре на основе параметра амплитудной корреляции между сигналом левого канала, который был подвергнут обработке выравнивания задержки, и сигналом опорного канала в текущем кадре, и параметра амплитудной корреляции между сигналом правого канала, который был подвергнут обработке выравнивания задержки, и сигналом опорного канала в текущем кадре.
[0471] Например, способ вычисления долгосрочного сглаженного параметра амплитудной корреляции между сигналом левого канала и сигналом опорного канала в текущем кадре и долгосрочного сглаженного параметра амплитудной корреляции между сигналом правого канала и сигналом опорного канала в текущем кадре может включать в себя то, что: Долгосрочный сглаженный параметр tdm_lt_corr_LM_SM амплитудной корреляции между сигналом левого канала и сигналом опорного канала в текущем кадре удовлетворяет следующему:
tdm_lt_corr_LM_SM cur = α*tdm_lt_corr_LM_SMpre+(1-α)corr_LM.
[0472] Здесь, tdm_lt_corr_LM_SMcur указывает долгосрочный сглаженный параметр амплитудной корреляции между сигналом левого канала и сигналом опорного канала в текущем кадре, tdm_lt_corr_LM_SMpre указывает долгосрочный сглаженный параметр амплитудной корреляции между сигналом левого канала и сигналом опорного канала в предыдущем кадре, α указывает коэффициент сглаживания левого канала и α может быть предварительно установленным действительным числом от 0 до 1, например, 0,2, 0,5 или 0,8. В качестве альтернативы, значение
может быть получено посредством адаптивного вычисления.
[0473] Например, долгосрочный сглаженный параметр tdm_lt_corr_RM_SM амплитудной корреляции между сигналом правого канала и сигналом опорного канала в текущем кадре удовлетворяет следующему:
tdm_lt_corr_RM_SM cur = β*tdm_lt_corr_RM_SMpre+(1-β)corr_LM.
[0474] Здесь, tdm_lt_corr_RM_SMcur указывает долгосрочный сглаженный параметр амплитудной корреляции между сигналом правого канала и сигналом опорного канала в текущем кадре, tdm_lt_corr_RM_SMpre указывает долгосрочный сглаженный параметр амплитудной корреляции между сигналом правого канала и сигналом опорного канала в предыдущем кадре, β указывает коэффициент сглаживания правого канала, и β может быть предварительно установленным действительным числом от 0 до 1. β может быть таким же или отличаться от значения коэффициента
сглаживания левого канала, и β может быть равен, например, 0,2, 0,5 или 0.8. В качестве альтернативы, значение β может быть получено посредством адаптивного вычисления.
[0475] Другой способ вычисления долгосрочного сглаженного параметра амплитудной корреляции между сигналом левого канала и сигналом опорного канала в текущем кадре и долгосрочного сглаженного параметра амплитудной корреляции между сигналом правого канала и сигналом опорного канала в текущем кадре может включать в себя:
сначала, изменение параметра corr_LM амплитудной корреляции между сигналом левого канала, который был подвергнут обработке выравнивания задержки, и сигналом опорного канала в текущем кадре, чтобы получить измененный параметр corr_LM_mod амплитудной корреляции между сигналом левого канала и сигналом опорного канала в текущем кадре; и изменение параметра corr_RM амплитудной корреляции между сигналом правого канала, который подвергся обработке выравнивания задержки, и сигналом опорного канала в текущем кадре, чтобы получить измененный параметр corr_RM_mod амплитудной корреляции между сигналом правого канала и сигналом опорного канала в текущем кадре;
затем, определение долгосрочного сглаженного параметра diff_lt_corr_LM_tmp разности амплитудной корреляции между сигналом левого канала и сигналом опорного канала в текущем кадре и долгосрочного сглаженного параметра diff_lt_corr_RM_tmp разности амплитудной корреляции между сигналом правого канала и сигналом опорного канала в текущем кадре на основе измененного параметра corr_LM_mod амплитудной корреляции между сигналом левого канала и сигналом опорного канала в текущем кадре, измененного параметра corr_RM_mod амплитудной корреляции между сигналом правого канала и сигналом опорного канала в текущем кадре, долгосрочного сглаженного параметра tdm_lt_corr_LM_SMpre амплитудной корреляции между сигналом левого канала и сигналом опорного канала в предыдущем кадре и долгосрочного сглаженного параметра tdm_lt_corr_RM_SMpre амплитудной корреляции между сигналом правого канала и сигналом опорного канала в предыдущем кадре;
затем, получение начального значения diff_lt_corr_SM параметра разности амплитудной корреляции между левым и правым каналами в текущем кадре на основе долгосрочного сглаженного параметра diff_lt_corr_LM_tmp разности амплитудной корреляции между сигналом левого канала и сигналом опорного канала в текущем кадре и долгосрочного сглаженного параметра diff_lt_corr_RM_tmp разности амплитудной корреляции между сигналом правого канала и сигналом опорного канала в предыдущем кадре; и определение параметра d_lt_corr межкадрового изменения разности амплитудной корреляции между левым и правым каналами в текущем кадре на основе полученного начального значения diff_lt_corr_SM параметра разности амплитудной корреляции между левым и правым каналами в текущем кадре и параметра tdm_last_diff_lt_corr_SM разности амплитудной корреляции между левым и правым каналами в предыдущем кадре; и
наконец, на основе энергии кадра сигнала левого канала в текущем кадре, энергии кадра сигнала правого канала в текущем кадре, долгосрочной сглаженной энергии кадра левого канала в текущем кадре, долгосрочной сглаженной энергия кадра правого канала в текущем кадре, межкадровой разности энергии левого канала в текущем кадре и межкадровой разности энергии правого канала в текущем кадре, которые получены посредством анализа энергии сигнала, и параметра межкадрового изменения разности амплитудной корреляции между левым и правым каналами в текущем кадре, адаптивный выбор различных коэффициентов сглаживания левого канала и коэффициентов сглаживания правого канала и вычисление долгосрочного сглаженного параметра tdm_lt_corr_LM_SM амплитудной корреляции между сигналом левого канала и сигналом опорного канала в текущем кадре и долгосрочного сглаженного параметра tdm_lt_corr_RM_SM амплитудной корреляции между сигналом правого канала и сигналом опорного канала в текущем кадре.
[0476] В дополнение к этим двум способам, приведенным в качестве примеров выше, может быть много способов для вычисления долгосрочного сглаженного параметра амплитудной корреляции между сигналом левого канала и сигналом опорного канала в текущем кадре и долгосрочного сглаженного параметра амплитудной корреляции между сигналом правого канала и сигналом опорного канала в текущем кадре. В данной заявке это однозначно не ограничено.
[0477] 90842. Вычисление параметра diff_lt_corr разности амплитудной корреляции между левым и правым каналами в текущем кадре на основе долгосрочного сглаженного параметра амплитудной корреляции между сигналом левого канала и сигналом опорного канала в текущем кадре и долгосрочного сглаженного параметра амплитудной корреляции между сигналом правого канала и сигналом опорного канала в текущем кадре.
[0478] Например, параметр diff_lt_corr разности амплитудной корреляции между левым и правым каналами в текущем кадре удовлетворяет следующему выражению:
diff_lt_corr = tdm_lt_corr_LM_SM-tdm_lt_corr_RM_SM, где
tdm_lt_corr_LM_SM указывает долгосрочный сглаженный параметр амплитудной корреляции между сигналом левого канала и сигналом опорного канала в текущем кадре, и tdm_lt_corr_RM_SM указывает долгосрочный сглаженный параметр амплитудной корреляции между сигналом правого канала и сигналом опорного канала в текущем кадре.
[0479] 9085. Преобразование параметра diff_lt_corr разности амплитудной корреляции между левым и правым каналами в текущем кадре в коэффициент соотношения объединения каналов и выполнение кодирования и квантования, с тем чтобы определить коэффициент соотношения объединения каналов, соответствующий схеме объединения каналов антикоррелированных сигналов для текущего кадра, и кодированный индекс коэффициента соотношения объединения каналов.
[0480] Со ссылкой на Фиг. 9-D, возможный способ преобразования параметра разности амплитудной корреляции между левым и правым каналами в текущем кадре в коэффициент соотношения объединения каналов может конкретно включать в себя этапы с 90851 по 90853.
[0481] 90851. Выполнение обработки отображения в отношении параметра разности амплитудной корреляции между левым и правым каналами, чтобы позволить диапазону значений параметра разности амплитудной корреляции, который находится между левым и правым каналами и который подвергся обработке отображения, быть [MAP_MIN,MAP_MAX].
[0482] Способ выполнения обработки отображения в отношении параметра разности амплитудной корреляции между левым и правым каналами может включать в себя следующие этапы.
[0483] Сначала выполняется ограничение амплитуды в отношении параметра разности амплитудной корреляции между левым и правым каналами. Например, ограниченный по амплитуде параметр diff_lt_corr_limit разности амплитудной корреляции между левым и правым каналами удовлетворяет следующему выражению:
[0484] Здесь RATIO_MAX указывает максимальное значение ограниченного по амплитуде параметра разности амплитудной корреляции между левым и правым каналами, и RATIO_MIN указывает минимальное значение ограниченной по амплитуде параметра разности амплитудной корреляции между левым и правым каналами. Например, RATIO_MAX является предварительно установленным эмпирическим значением и RATIO_MAX может быть 1,5; 3,0 или другим значением; и RATIO_MIN является предварительно установленным эмпирическим значением, и RATIO_MIN может быть -1,5; -3,0 или другим значением, где RATIO_MAX>RATIO_MIN.
[0485] Затем выполняется обработка отображения в отношении ограниченного по амплитуде параметра разности амплитудной корреляции между левым и правым каналами. Параметр diff_lt_corr_map разности амплитудной корреляции, который находится между левым и правым каналами и который подвергся обработке отображения, удовлетворяет следующему выражению:
где
;
B 1=MAP_MAX-RATIO_MAX*A1 или B1=MAP_HIGH-RATIO_HIGH*A1;
;
B 2=MAP_LOW-RATIO_LOW*A2 или B2=MAP_MIN-RATIO_MIN*A2;
; и
B 3=MAP_HIGH-RATIO_HIGH*A3 или B3=MAP_LOW-RATIO_LOW*A3;
[0486] Здесь MAP_MAX указывает максимальное значение параметра разности амплитудной корреляции, который находится между левым и правым каналами и который подвергся обработке отображения. MAP_HIGH указывает верхнюю пороговую величину параметра разности амплитудной корреляции, который находится между левым и правым каналами и который подвергся обработке отображения. MAP_LOW указывает нижнюю пороговую величину параметра разности амплитудной корреляции, который находится между левым и правым каналами и который подвергся обработке отображения, и MAP_MIN указывает минимальное значение параметра разности амплитудной корреляции, который находится между левым и правым каналами и который подвергся обработке картирования; где
MAP_MAX>MAP_HIGH>MAP_LOW>MAP_MIN.
[0487] Например, в некоторых вариантах осуществления настоящей заявки MAP_MAX может быть 2,0; MAP_HIGH может быть 1,2; MAP_LOW может быть 0,8, и MAP_MIN может быть 0,0. Конечно, при фактическом применении значения не ограничиваются таким примером.
[0488] RATIO_MAX указывает максимальное значение ограниченного по амплитуде параметра разности амплитудной корреляции между левым и правым каналами, RATIO_HIGH указывает верхнюю пороговую величину ограниченного по амплитуде параметра разности амплитудной корреляции между левым и правым каналами, RATIO_LOW указывает нижнюю пороговую величину ограниченной по амплитуде параметр разности амплитудной корреляции между левым и правым каналами, и RATIO_MIN указывает минимальное значение ограниченного по амплитуде параметра разности амплитудной корреляции между левым и правым каналами; где
RATIO_MAX>RATIO_HIGH>RATIO_LOW>RATIO_MIN.
[0489] Например, в некоторых вариантах осуществления настоящей заявки значение RATIO_MAX составляет 1,5; RATIO_HIGH составляет 0,75, RATIO_LOW составляет -0,75; и RATIO_MIN составляет -1,5. Конечно, при фактическом применении значения не ограничиваются таким примером.
[0490] Другой способ в некоторых вариантах осуществления настоящей заявки заключается в следующем: Параметр diff_lt_corr_map разности амплитудной корреляции, который находится между левым и правым каналами и который подвергся обработке отображения, удовлетворяет следующему выражению:
[0491] Здесь diff_lt_corr_limit указывает ограниченный по амплитуде параметр разности амплитудной корреляции между левым и правым каналами; где
[0492] Здесь RATIO_MAX указывает максимальную амплитуду параметра разности амплитудной корреляции между левым и правым каналами, и -RATIO_MAX указывает минимальную амплитуду параметра разности амплитудной корреляции между левым и правым каналами. RATIO_MAX может быть заданным эмпирическим значением, и RATIO_MAX может составлять, например, 1,5; 3,0 или другое действительное число, большее 0.
[0493] 90852. Преобразование параметра разности амплитудной корреляции, который находится между левым и правым каналами и который подвергся обработке отображения, в коэффициент соотношения объединения каналов.
[0494] Коэффициент ratio_SM соотношения объединения каналов удовлетворяет следующему выражению:
, где
cos(•) указывает операцию косинуса.
[0495] В дополнение к вышеизложенному способу может использоваться другой способ преобразования параметра разности амплитудной корреляции между левым и правым каналами в коэффициент соотношения объединения каналов, например:
определяется, следует ли обновлять коэффициент соотношения объединения каналов, соответствующий схеме объединения каналов антикоррелированных сигналов, на основе долгосрочной сглаженной энергии кадра левого канала в текущем кадре, долгосрочной сглаженной энергии кадра правого канала в текущем кадре и межкадровой разности энергий левого канала в текущем кадре, которые получены посредством использования анализа энергии сигнала, буферизованного параметра кодирования предыдущего кадра в буфере истории кодера (например, параметра межкадровой корреляции сигнала первичного канала и параметра межкадровой корреляции сигнала вторичного канала), флагов схемы объединения каналов текущего кадра и предыдущего кадра и коэффициентов соотношения объединения каналов, соответствующих схемам объединения каналов антикоррелированных сигналов для текущего кадра и предыдущего кадра.
[0496] Если коэффициент соотношения объединения каналов, соответствующий схеме объединения каналов антикоррелированных сигналов, необходимо обновить, то параметр разности амплитудной корреляции между левым и правым каналами преобразуется в коэффициент соотношения объединения каналов посредством использования способа в предыдущем примере; в противном случае коэффициент соотношения объединения каналов, соответствующий схеме объединения каналов антикоррелированных сигналов для предыдущего кадра, и кодированный индекс коэффициента соотношения объединения каналов непосредственно используются в качестве коэффициента соотношения объединения каналов, соответствующего схеме объединения каналов антикоррелированных сигналов для текущего кадра, и кодированного индекса коэффициента соотношения объединения каналов.
[0497] 90853. Выполнение кодирования квантованием в отношении коэффициента соотношения объединения каналов, полученного после преобразования, и определение коэффициента соотношения объединения каналов, соответствующего схеме объединения каналов антикоррелированных сигналов для текущего кадра.
[0498] В частности, например, кодирование квантованием выполняется в отношении коэффициенте соотношения объединения каналов, полученного после преобразования, чтобы получить начальный кодированный индекс, соответствующий схеме объединения каналов антикоррелированных сигналов для текущего кадра, и кодированное квантованием начальное значение ratio_init_SMqua коэффициента соотношения объединения каналов, соответствующего схеме объединения каналов антикоррелированных сигналов для текущего кадра; где
ratio_init_SM qua = ratio_tabl_SM[ratio_idx_init_SM], и
ratio_tabl_SM указывает кодовую книгу для выполнения скалярного квантования в отношении коэффициента соотношения объединения каналов, соответствующего схеме объединения каналов антикоррелированных сигналов.
[0499] Кодирование квантованием может выполняться посредством использования любого способа скалярного квантования в традиционных технологиях, например, равномерного скалярного квантования или неравномерного скалярного квантования. Количество битов, используемых для кодирования, может составлять 5 битов. Конкретный способ не описан в данном документе. Кодовая книга для выполнения скалярного квантования в отношении коэффициента соотношения объединения каналов, соответствующего схеме объединения каналов антикоррелированных сигналов, может быть такой же или отличаться от кодовой книги для выполнения скалярного квантования в отношении коэффициента объединения каналов, соответствующего схеме объединения каналов коррелированных сигналов. Когда кодовые книги одинаковы, то должна быть сохранена только одна кодовая книга, используемая для выполнения скалярного квантования в отношении коэффициента соотношения объединения каналов.
[0500] В этом случае кодированное квантованием начальное значение ratio_init_SMqua коэффициента соотношения объединения каналов, соответствующего схеме объединения каналов антикоррелированных сигналов для текущего кадра, составляет:
ratio_init_SM qua = ratio_tabl[ratio_idx_init_SM].
[0501] Например, способ заключается в: непосредственном использовании кодированного квантованием начального значения коэффициента соотношения объединения каналов, соответствующего схеме объединения каналов антикоррелированных сигналов для текущего кадра, в качестве коэффициента соотношения объединения каналов, соответствующего схеме объединения каналов антикоррелированных сигналов для текущего кадра, и непосредственном использовании начального кодированного индекса коэффициента соотношения объединения каналов, соответствующего схеме объединения каналов антикоррелированных сигналов для текущего кадра, в качестве кодированного индекса коэффициента соотношения объединения каналов, соответствующего схеме объединения каналов антикоррелированных сигналов для текущего кадра.
[0502] Кодированный индекс ratio_idx_SM коэффициента соотношения объединения каналов, соответствующего схеме объединения каналов антикоррелированных сигналов для текущего кадра, удовлетворяет следующему выражению: ratio_idx_SM = ratio_idx_init_SM.
[0503] Коэффициент соотношения объединения каналов, соответствующий схеме объединения каналов антикоррелированных сигналов для текущего кадра, удовлетворяет следующему выражению:
ratio_SM = ratio_tabl[ratio_idx_SM]
[0504] Другим способом может быть: изменение кодированного квантованием начального значения коэффициента соотношения объединения каналов, соответствующего схеме объединения каналов антикоррелированных сигналов для текущего кадра, и исходного кодированного индекса, соответствующего схеме объединения каналов антикоррелированных сигналов для текущего кадра, на основе кодированного индекса коэффициента соотношения объединения каналов, соответствующего схеме объединения каналов антикоррелированных сигналов для предыдущего кадра, или коэффициента соотношения объединения каналов, соответствующего схеме кодирования каналов антикоррелированных сигналов для предыдущего кадра; использование измененного кодированного индекса коэффициента соотношения объединения каналов, соответствующего схеме объединения каналов антикоррелированных сигналов для текущего кадра, в качестве кодированного индекса коэффициента соотношения объединения каналов, соответствующего схеме объединения каналов антикоррелированных сигналов для текущего кадра; и использование измененного коэффициента соотношения объединения каналов, соответствующего схеме объединения каналов антикоррелированных сигналов, в качестве коэффициента соотношения объединения каналов, соответствующего схеме объединения каналов антикоррелированных сигналов для текущего кадра.
[0505] Кодированный индекс ratio_idx_SM коэффициента соотношения объединения каналов, соответствующего схеме объединения каналов антикоррелированных сигналов для текущего кадра, удовлетворяет следующему выражению:
.
[0506] Здесь ratio_idx_init_SM указывает начальный кодированный индекс, соответствующий схеме объединения каналов антикоррелированных сигналов для текущего кадра; tdm_last_ratio_idx_SM является кодированным индексом коэффициента соотношения объединения каналов, соответствующего схеме объединения каналов антикоррелированных сигналов для предыдущего кадра; и ϕ является коэффициентом изменения коэффициента соотношения объединения каналов, соответствующего схеме объединения каналов антикоррелированных сигналов. Значение ϕ может быть эмпирическим значением, и ϕ может быть равно, например, 0,8.
[0507] Коэффициент соотношения объединения каналов, соответствующий схеме объединения каналов антикоррелированных сигналов для текущего кадра, удовлетворяет следующему выражению:
ratio_SM = ratio_tabl[ratio_idx_SM]
[0508] Другой способ заключается в: использовании неквантованного коэффициента соотношения объединения каналов, соответствующего схеме объединения каналов антикоррелированных сигналов, в качестве коэффициента соотношения объединения каналов, соответствующего схеме объединения каналов антикоррелированных сигналов для текущего кадра. Другими словами, коэффициент ratio_SM соотношения объединения каналов, соответствующий схеме объединения каналов антикоррелированных сигналов для текущего кадра, удовлетворяет следующему выражению:
[0509] Кроме того, четвертый способ заключается в: изменении неквантованного коэффициента соотношения объединения каналов, соответствующего схеме объединения каналов антикоррелированных сигналов для текущего кадра, на основе коэффициента соотношения объединения каналов, соответствующего схеме объединения каналов антикоррелированных сигналов для предыдущего кадра; использовании измененного коэффициента соотношения объединения каналов, соответствующего схеме объединения каналов антикоррелированных сигналов, в качестве коэффициента соотношения объединения каналов, соответствующего схеме объединения каналов антикоррелированных сигналов для текущего кадра; и выполнении кодирования квантованием в отношении коэффициента соотношения объединения каналов, соответствующего схеме объединения каналов антикоррелированных сигналов для текущего кадра, для получения кодированного индекса коэффициента соотношения объединения каналов, соответствующего схеме объединения каналов антикоррелированных сигналов для текущего кадра.
[0510] В дополнение к вышеупомянутым способам может быть много способов преобразования параметра разности амплитудной корреляции между левым и правым каналами в коэффициент соотношения объединения каналов и выполнения кодирования и квантованием. Аналогично, существует много различных способов определения коэффициента соотношения объединения каналов, соответствующих схеме объединения каналов антикоррелированных сигналов для текущего кадра и кодированного индекса коэффициента соотношения объединения каналов. В данной заявке это однозначно не ограничено.
[0511] 909. Принятие решения о режиме кодирования на основе флага схемы объединения каналов предыдущего кадра и флага схемы объединения каналов текущего кадра, чтобы определить режим кодирования текущего кадра.
[0512] Флаг схемы объединения каналов текущего кадра обозначается как tdm_SM_flag, флаг схемы объединения каналов предыдущего кадра обозначается как tdm_last_SM_flag, и совместный флаг флага схемы объединения каналов предыдущего кадра и флага схемы объединения каналов текущего кадра может быть обозначен как (tdm_last_SM_flag,tdm_SM_flag). Решение о режиме кодирования может быть принято на основе совместного флага. Подробности приведены в следующем примере.
[0513] Предполагается, что схема объединения каналов коррелированных сигналов представлена значением 0, а схема объединения каналов коррелированных сигналов представлена значением 1. В этом случае, совместный флаг флагов схемы объединения каналов предыдущего кадра и текущего кадра имеет следующие четыре случая: (01), (11), (10) и (00), и режим кодирования текущего кадра определяется как: режим кодирования коррелированных сигналов, режим кодирования антикоррелированных сигналов, режим переключение кодирования с коррелированных на антикоррелированные сигналы, и режим переключения кодирования с антикоррелированных на коррелированные сигналы. Например, если совместный флаг флагов схем объединения каналов предыдущего кадра и текущего кадра равен (00), то это указывает, что режим кодирования текущего кадра является режимом кодирования коррелированных сигналов; если совместный флаг флагов схем объединения каналов предыдущего кадра и текущего кадра равен (11), то это указывает, что режим кодирования текущего кадра является режимом кодирования антикоррелированных сигналов; если совместный флаг флагов схем объединения каналов предыдущего кадра и текущего кадра равен (01), то это указывает, что режим кодирования текущего кадра является режимом переключения кодирования с коррелированных на антикоррелированные сигналы; или если совместный флаг флагов схемы объединения каналов предыдущего кадра и текущего кадра равен (10), то это указывает, что режим кодирования текущего кадра является режимом переключения кодирования с антикоррелированных на коррелированные сигналы.
[0514] 910. После получения режима stereo_tdm_coder_type кодирования текущего кадра устройство кодирования выполняет обработку понижающего микширования во временной области в отношении сигналов левого и правого каналов в текущем кадре на основе варианта обработки понижающего микширования во временной области, соответствующего режиму кодирования текущего кадра, чтобы получить сигнал первичного канала и сигнал вторичного канала в текущем кадре.
[0515] Режим кодирования текущего кадра является одним из множества режимов кодирования. Например, множество режимов кодирования может включать в себя режим переключения кодирования с коррелированных на антикоррелированные сигналы, режим переключения кодирования с антикоррелированных на коррелированные сигналы, режим кодирования коррелированных сигналов и режим кодирования антикоррелированных сигналов. Для реализаций обработки понижающего микширования во временной области в различных режимах кодирования обратитесь к соответствующим описаниям примеров в предшествующем варианте осуществления. Подробности здесь повторно не описываются.
[0516] 911. Устройство кодирования по отдельности кодирует сигнал первичного канала и сигнал вторичного канала, чтобы получить кодированный сигнал первичного канала и кодированный сигнал вторичного канала.
[0517] В частности, распределение битов может быть сначала выполнено для кодирования сигнала первичного канала и кодирования сигнала вторичного канала на основе информации параметров, полученной при кодировании сигнала первичного канала и/или сигнала вторичного канала в предыдущем кадре, и общего количества битов для кодирования сигнала первичного канала и сигнала вторичного канала. Затем сигнал первичного канала и сигнал вторичного канала кодируются по отдельности на основе результата распределения битов, чтобы получить кодированный индекс кодирования первичного канала и кодированный индекс кодирования вторичного канала. Кодирование первичного канала и кодирование вторичного канала могут быть реализованы посредством использования любой технологии кодирования монофонического звука, что дополнительно не описывается в данном документе.
[0518] 912. Устройство кодирования выбирает соответствующий кодированный индекс коэффициента соотношения объединения каналов на основе флага схемы объединения каналов и записывает кодированный индекс в битовый поток и записывает кодированный сигнал первичного канала, кодированный сигнал вторичного канала и флаг схемы объединения каналов текущего кадра в битовый поток.
[0519] В частности, например, если флаг tdm_SM_flag схемы объединения каналов текущего кадра соответствует схеме объединения каналов коррелированных сигналов, то кодированный индекс ratio_idx коэффициента соотношения объединения каналов, соответствующего схеме объединения каналов коррелированных сигналов для текущего кадра, записывается в битовый поток; или если флаг tdm_SM_flag схемы объединения каналов текущего кадра соответствует схеме объединения каналов антикоррелированных сигналов, то кодированный индекс ratio_idx_SM коэффициента соотношения объединения каналов, соответствующего схеме объединения каналов антикоррелированных сигналов для текущего кадра, записывается в битовый поток. Например, если tdm_SM_flag = 0, то кодированный индекс ratio_idx коэффициента соотношения объединения каналов, соответствующего схеме объединения каналов коррелированных сигналов для текущего кадра, записывается в битовый поток; или если tdm_SM_flag = 1, кодированный индекс ratio_idx_SM коэффициента соотношения объединения каналов, соответствующего схеме объединения каналов антикоррелированных сигналов для текущего кадра, записывается в битовый поток.
[0520] Кроме того, кодированный сигнал первичного канала, кодированный сигнал вторичного канала и флаг схемы объединения каналов текущего кадра записываются в битовый поток. Можно понять, что нет последовательности для выполнения операции записи в битовый поток.
[0521] Соответственно, ниже описан сценарий стереодекодирования во временной области посредством использования одного примера.
[0522] Со ссылкой на Фиг. 10, далее дополнительно предоставляется способ декодирования звука. Соответствующие этапы способа декодирования звука могут быть конкретно реализованы устройством декодирования, и способ может конкретно включать в себя следующие этапы.
[0523] 1001. Выполнение декодирования на основе битового потока, чтобы получить декодированные сигналы первичного и вторичного каналов в текущем кадре.
[0524] 1002. Выполнение декодирования на основе битового потока для получения стереопараметра во временной области текущего кадра.
[0525] Стереопараметр во временной области текущего кадра включает в себя коэффициент соотношения объединения каналов текущего кадра (битовый поток включает в себя кодированный индекс коэффициента соотношения объединения каналов текущего кадра, и декодирование может выполняться на основе кодированного индекса коэффициента соотношения объединения каналов текущего кадра для получения коэффициента соотношения объединения каналов текущего кадра) и может дополнительно включать в себя межканальную временную разность текущего кадра (например, битовый поток включает в себя кодированный индекс межканальной временная разность текущего кадра, и декодирование может быть выполнено на основе кодированного индекса межканальной временной разности текущего кадра, чтобы получить межканальную временную разность текущего кадра, или битовый поток включает в себя кодированный индекс абсолютного значения межканальной временной разности текущего кадра, и декодирование может быть выполнено на основе кодированного индекса абсолютного значения межканальной временной разности текущего кадра для получения абсолютного значения межканальной временной разности текущего кадра) и т.п.
[0526] 1003. Получение, на основе битового потока, флага схемы объединения каналов текущего кадра, который включен в битовый поток, и определение схему объединения каналов для текущего кадра.
[0527] 1004. Определение режима декодирования текущего кадра на основе схемы объединения каналов для текущего кадра и схемы объединения каналов для предыдущего кадра.
[0528] Для определения режима декодирования текущего кадра на основе схемы объединения каналов для текущего кадра и схемы объединения каналов для предыдущего кадра обратитесь к способу определения режима кодирования текущего кадра на этапе 909. Режим декодирования текущего кадра является одним из множества режимов декодирования. Например, множество режимов декодирования может включать в себя режим переключения декодирования с коррелированных на антикоррелированные сигналы, режим переключения декодирования с антикоррелированных на коррелированные сигналы, режим декодирования коррелированных сигналов и режим декодирования антикоррелированных сигналов. Режимы кодирования и режимы декодирования находятся во взаимно-однозначном соответствии.
[0529] Например, если совместный флаг флагов схем объединения каналов предыдущего кадра и текущего кадра равен (00), то это указывает, что режим декодирования текущего кадра является режимом декодирования коррелированных сигналов; если совместный флаг флагов схем объединения каналов предыдущего кадра и текущего кадра равен (11), то это указывает, что режим декодирования текущего кадра является режимом декодирования антикоррелированных сигналов; если совместный флаг флагов схем объединения каналов предыдущего кадра и текущего кадра равен (01), то это указывает, что режим декодирования текущего кадра является режимом переключения декодирования с коррелированных на антикоррелированные сигналы; или если совместный флаг флагов схем объединения каналов предыдущего кадра и текущего кадра равен (10), то это указывает, что режим декодирования текущего кадра является режимом переключения декодирования с антикоррелированных на коррелированные сигналы.
[0530] Может быть понятно, что не существует необходимой последовательности для выполнения этапа 1001, этапа 1002 и этапов 1003 и 1004.
[0531] 1005. Выполнение обработки повышающего микширования во временной области в отношении декодированных сигналов первичного и вторичного каналов в текущем кадре посредством использования варианта обработки повышающего микширования во временной области, соответствующего определенному режиму декодирования текущего кадра, для получения восстановленных сигналов левого и правого каналов в текущем кадре.
[0532] Для соответствующих реализаций обработки повышающего микширования во временной области в различных режимах декодирования, обратитесь к соответствующим описаниям примеров в предшествующем варианте осуществления. Подробности здесь повторно не описываются.
[0533] Матрица повышающего микширования, используемая для обработки повышающего микширования во временной области, построена на основе полученного коэффициента соотношения объединения каналов текущего кадра.
[0534] Восстановленные сигналы левого и правого каналов в текущем кадре могут использоваться в качестве декодированных сигналов левого и правого каналов в текущем кадре.
[0535] В качестве альтернативы, дополнительно, регулировка задержки может быть выполнена в отношении восстановленных сигналов левого и правого каналов в текущем кадре на основе межканальной временной разности текущего кадра, чтобы получить восстановленные сигналы левого и правого каналов, которые подверглись регулировке задержки в текущем кадре, и восстановленные сигналы левого и правого каналов, которые подверглись регулировке задержки в текущем кадре, могут использоваться в качестве декодированных сигналов левого и правого каналов в текущем кадре. В качестве альтернативы, дополнительно, постобработка во временной области может выполняться для восстановленных сигналов левого и правого каналов, которые подверглись регулировке задержки в текущем кадре, и восстановленные сигналы левого и правого каналов, которые подверглись постобработке во временной области в текущем кадре, могут использоваться в качестве декодированных сигналов левого и правого каналов в текущем кадре.
[0536] Вышеизложенное подробно описывает способы в вариантах осуществления настоящей заявки. Далее описаны устройства в вариантах осуществления настоящей заявки.
[0537] Со ссылкой на Фиг. 11-A, вариант осуществления настоящей заявки дополнительно предоставляет устройство 1100. Устройство 1100 может включать в себя:
процессор 1110 и память 1120, которые соединены друг с другом, при этом процессор 1110 может быть выполнен с возможностью выполнения некоторых или всех этапов любого способа, предусмотренного в вариантах осуществления настоящей заявки.
[0538] Память 1120 включает в себя, но не ограничивается, оперативной памятью (Random Access Memory, RAM), постоянная память (Read-Only Memory, ROM), стираемая программируемая постоянная память (Erasable Programmable Read Only Memory, EPROM) или компакт-диск только для чтения (Compact Disc Read-Only Memory, CD-ROM). Память 1102 выполнена с возможностью хранения соответствующей инструкции и соответствующих данных.
[0539] Конечно, устройство 1100 может дополнительно включать в себя приемопередатчик 1130, выполненный с возможностью приема и отправки данных.
[0540] Процессор 1110 может представлять собой один или более центральных блоков обработки (Central Processing Unit, CPU). Когда процессор 1110 представляет собой один CPU, то CPU может быть одноядерным CPU или может быть многоядерным CPU. Процессор 1110 может быть, в частности, процессором цифровых сигналов.
[0541] В процессе реализации этапы в вышеупомянутых способах могут быть реализованы посредством использования аппаратно интегрированной логической схемы в процессоре 1110 или посредством использования инструкций в форме программного обеспечения. Процессор 1110 может быть процессором общего назначения, процессором цифровых сигналов, специализированной интегральной схемой, полевой программируемой вентильной матрицей или другим программируемым логическим устройством, дискретным вентилем или транзисторным логическим устройством или дискретным аппаратным компонентом. Процессор 1110 может реализовывать или выполнять способы, этапы и логические блок-схемы, раскрытые в вариантах осуществления настоящего изобретения. Процессор общего назначения может быть микропроцессором, или процессор может быть любым обычным процессором или т.д. Этапы способов, раскрытых со ссылкой на варианты осуществления настоящего изобретения, могут быть непосредственно выполнены и осуществлены посредством использования процессора аппаратного декодирования или могут быть выполнены и выполнены посредством использования объединения аппаратных и программных модулей в процессоре декодирования.
[0542] Программный модуль может быть расположен на хорошо известном носителе данных в данной области техники, таком как оперативное запоминающее устройство, флэш-память, постоянное запоминающее устройство, программируемое постоянное запоминающее устройство, электрически стираемое программируемое запоминающее устройство или регистр. Носитель данных находится в памяти 1120. Например, процессор 1110 может считывать информацию в памяти 1120 и выполнять этапы в вышеупомянутых способах в сочетании с аппаратным обеспечением процессора 1110.
[0543] Кроме того, устройство 1100 может дополнительно включать в себя приемопередатчик 1130. Приемопередатчик 1130 может быть, например, выполнен с возможностью приема и отправки связанных данных (например, команды, сигнала канала или битового потока).
[0544] Например, устройство 1100 может выполнять некоторые или все этапы соответствующего способа в любом варианте осуществления, показанном на фиг. с 2 по 9-D.
[0545] В частности, например, когда устройство 1100 выполняет соответствующие этапы вышеупомянутого кодирования, устройство 1100 может упоминаться как устройство кодирования (или устройство кодирования звука). Когда устройство 1100 выполняет соответствующие этапы вышеупомянутого декодирования, устройство 1100 может упоминаться как устройство декодирования (или устройство декодирования звука).
[0546] Со ссылкой на Фиг. 11-B, когда устройство 1100 является, например, устройством кодирования, устройство 1100 может дополнительно включать в себя: микрофон 1140, аналого-цифровой преобразователь 1150 и т.п.
[0547] Например, микрофон 1140 может быть выполнен с возможностью выполнения выборки для получения аналогового звукового сигнала.
[0548] Например, аналого-цифровой преобразователь 1150 может быть выполнен с возможностью преобразования аналогового звукового сигнала в цифровой звуковой сигнал.
[0549] Со ссылкой на Фиг. 11-C, когда устройство 1100 является, например, устройством кодирования, устройство 1100 может дополнительно включать в себя: громкоговоритель 1160, цифро-аналоговый преобразователь 1170 и т.п.
[0550] Например, цифроаналоговый преобразователь 1170 может быть выполнен с возможностью преобразования цифрового звукового сигнала в аналоговый звуковой сигнал.
[0551] Например, громкоговоритель 1160 может быть выполнен с возможностью воспроизведения аналогового звукового сигнала.
[0552] Кроме того, со ссылкой на Фиг. 12-A, вариант осуществления настоящей заявки предоставляет устройство 1200, включающее в себя несколько функциональных блоков, выполненных с возможностью реализации любого способа, предусмотренного в вариантах осуществления настоящей заявки.
[0553] Например, когда устройство 1200 выполняет соответствующий способ в варианте осуществления, показанном на фиг. 2, устройство 1200 может включать в себя:
первый блок 1210 определения, выполненный с возможностью: определения схемы объединения каналов для текущего кадра и определения режима кодирования текущего кадра на основе схемы объединения каналов для предыдущего кадра и схемы объединения каналов для текущего кадра; и
блок 1220 кодирования, выполненный с возможностью выполнения обработки понижающего микширования во временной области в отношении сигналов левого и правого каналов в текущем кадре на основе обработки понижающего микширования во временной области, соответствующей режиму кодирования текущего кадра, для получения сигналов первичного и вторичного каналов в текущем кадре.
[0554] Кроме того, со ссылкой на Фиг. 12-B, устройство 1200 может дополнительно включать в себя второй блок 1230 определения, выполненный с возможностью определения стереопараметра во временной области текущего кадра. Модуль 1220 кодирования может быть дополнительно выполнен с возможностью кодирования стереопараметра во временной области текущего кадра.
[0555] Для другого примера, со ссылкой на Фиг. 12-C, когда устройство 1200 выполняет соответствующий способ в варианте осуществления, показанном на фиг. 3, устройство 1200 может включать в себя:
третий блок 1240 определения, выполненный с возможностью: определения схемы объединения каналов для текущего кадра на основе флага схемы объединения каналов текущего кадра, который находится в битовом потоке; и определения режима декодирования текущего кадра на основе схемы объединения каналов для предыдущего кадра и схемы объединения каналов для текущего кадра; и
блок 1250 декодирования, выполненный с возможностью: выполнять декодирование на основе битового потока, чтобы получить декодированные сигналы первичного и вторичного каналов в текущем кадре; и выполнять обработку повышающего микширования во временной области в отношении декодированных сигналов первичного и вторичного каналов в текущем кадре на основе обработки повышающего микширования во временной области, соответствующей режиму декодирования текущего кадра, для получения восстановленных сигналов левого и правого каналов в текущем кадре.
[0556] Случай, когда устройство выполняет другой способ, выводится по аналогии.
[0557] Вариант осуществления настоящей заявки предоставляет машиночитаемый носитель информации. Машиночитаемый носитель информации хранит программный код, и программный код включает в себя инструкции для выполнения некоторых или всех этапов любым способом, предоставленным в вариантах осуществления настоящей заявки.
[0558] Вариант осуществления данной заявки обеспечивает компьютерный программный продукт. Когда компьютерный программный продукт исполняется на компьютере, компьютеру предоставляется возможность выполнять некоторые или все этапы любого способа, предусмотренного в вариантах осуществления настоящей заявки.
[0559] В вышеприведенных вариантах осуществления описание всех вариантов осуществления имеет соответствующие фокусировки внимания. Для части, которая не описана подробно в варианте осуществления, обратитесь к соответствующему описанию в другом варианте осуществления.
[0560] В нескольких вариантах осуществления, представленных в этой заявке, следует понимать, что раскрытое устройство может быть реализовано другим способом. Например, описанный вариант осуществления устройства является просто примером. Например, разделение на блоки является просто логическим разделением функций или может быть другим разделением в реальной реализации. Например, множество блоков или компонентов могут быть объединены или интегрированы в другую систему, или некоторые особенности могут игнорироваться или не выполняться. Кроме того, отображаемые или описанные взаимные косвенные связи или прямые связи или коммуникационные соединения могут быть реализованы посредством использования некоторых интерфейсов. Непрямые соединения или коммуникационные соединения между устройствами или блоками могут быть реализованы в электронной или другой форме.
[0561] Блоки, описанные как отдельные части, могут быть или не быть физически отдельными, а компоненты, отображаемые как блоки, могут быть или не быть физическими блоками. В частности, компоненты могут быть расположены в одном местоположении или могут быть распределены по множеству сетевых блоков. Некоторые или все блоки могут быть выбраны в соответствии с фактическими потребностями для достижения целей решений вариантов осуществления.
[0562] Кроме того, функциональные блоки в вариантах осуществления настоящего изобретения могут быть интегрированы в один блок обработки, или каждый из блоков может существовать отдельно физически, или два или более блоков интегрированы в один блок. Интегрированный блок может быть реализован в форме аппаратного обеспечения или может быть реализован в форме программного функционального блока.
[0563] Когда интегрированный блок реализован в форме программного функционального блока и продается или используется в качестве независимого продукта, интегрированный блок может храниться на машиночитаемом носителе данных. Исходя из такого понимания, технические решения по настоящему изобретению, по существу, или часть, вносящая вклад в предшествующий уровень техники, или все или часть технических решений могут быть реализованы в форме программного продукта. Компьютерный программный продукт хранится на носителе данных и включает в себя несколько инструкций для предписания компьютерному устройству (которым может быть персональный компьютер, сервер, сетевое устройство или тому подобное) выполнять все или часть этапов способов, описанных в вариантах осуществления настоящего изобретения. Вышеуказанный носитель данных включает в себя любой носитель, который может хранить программный код, такой как флэш-накопитель USB, постоянное запоминающее устройство (ROM, Read-Only Memory), оперативное запоминающее устройство (RAM, Random Access Memory), съемный жесткий диск магнитный диск или оптический диск.
Положение 1. Способ кодирования звука, содержащий этапы, на которых:
определяют схему объединения каналов для текущего кадра;
выполняют, на основе схемы объединения каналов для текущего кадра и схемы объединения каналов для предыдущего кадра, сегментную обработку понижающего микширования во временной области в отношении сигналов левого и правого каналов в текущем кадре для получения сигнала первичного канала и сигнала вторичного канала в текущем кадре, когда схема объединения каналов для текущего кадра отличается от схемы объединения каналов для предыдущего кадра; и
кодируют полученные сигнал первичного канала и сигнал вторичного канала в текущем кадре.
Положение 2. Способ согласно Положению 1, в котором схема объединения каналов для текущего кадра является одной из множества схем объединения каналов, причем множество схем объединения каналов содержат схему объединения каналов антикоррелированных сигналов и схему объединения каналов коррелированных сигналов, при этом схема объединения каналов коррелированных сигналов является схемой объединения каналов, соответствующей сигналу с почти синфазностью, а схема объединения каналов антикоррелированных сигналов является схемой объединения каналов, соответствующей сигналу с почти противофазностью.
Положение 3. Способ согласно Положению 2, в котором схема объединения каналов для предыдущего кадра является схемой объединения каналов коррелированных сигналов, а схема объединения каналов для текущего кадра является схемой объединения каналов антикоррелированных сигналов;
сигналы левого и правого каналов в текущем кадре содержат начальные сегменты сигналов левого и правого каналов, средние сегменты сигналов левого и правого каналов и конечные сегменты сигналов левого и правого каналов, а сигналы первичного и вторичного каналов в текущем кадре содержат начальные сегменты сигналов первичного и вторичного каналов, средние сегменты сигналов первичного и вторичного каналов и конечные сегменты сигналов первичного и вторичного каналов; и
выполнение, на основе схемы объединения каналов для текущего кадра и схемы объединения каналов для предыдущего кадра, сегментной обработки понижающего микширования во временной области в отношении сигналов левого и правого каналов в текущем кадре для получения сигнала первичного канала и сигнала вторичного канала в текущем кадре содержит этапы, на которых:
выполняют, посредством использования коэффициента соотношения объединения каналов, соответствующего схеме объединения каналов коррелированных сигналов для предыдущего кадра, и варианта обработки понижающего микширования во временной области, соответствующего схеме объединения каналов коррелированных сигналов для предыдущего кадра, обработку понижающего микширования во временной области в отношении начальных сегментов сигналов левого и правого каналов в текущем кадре, чтобы получить начальные сегменты сигналов первичного и вторичного каналов в текущем кадре;
выполняют, посредством использования коэффициента соотношения объединения каналов, соответствующего схеме объединения каналов антикоррелированных сигналов для текущего кадра, и варианта обработки понижающего микширования во временной области, соответствующего схеме объединения каналов антикоррелированных сигналов для текущего кадра, обработку понижающего микширования во временной области в отношении конечных сегментов сигналов левого и правого каналов в текущем кадре, чтобы получить конечные сегменты сигналов первичного и вторичного каналов в текущем кадре; и
выполняют, посредством использования коэффициента соотношения объединения каналов, соответствующего схеме объединения каналов коррелированных сигналов для предыдущего кадра, и варианта обработки понижающего микширования во временной области, соответствующего схеме объединения каналов коррелированных сигналов для предыдущего кадра, обработку понижающего микширования во временной области в отношении средних сегментов сигналов левого и правого каналов в текущем кадре, чтобы получить первые средние сегменты сигналов первичного и вторичного каналов;
выполняют, посредством использования коэффициента соотношения объединения каналов, соответствующего схеме объединения каналов антикоррелированных сигналов для текущего кадра, и варианта обработки понижающего микширования во временной области, соответствующего схеме объединения каналов антикоррелированных сигналов для текущего кадра, обработку понижающего микширования во временной области в отношении средних сегментов сигналов левого и правого каналов в текущем кадре, чтобы получить вторые средние сегменты сигналов первичного и вторичного каналов; и
выполняют обработку взвешенного суммирования в отношении первых средних сегментов сигналов первичного и вторичного каналов и вторых средних сегментов сигналов первичного и вторичного каналов, чтобы получить средние сегменты сигналов первичного и вторичного каналов в текущем кадре.
Положение 4. Способ согласно Положению 3, в котором, когда обработка взвешенного суммирования выполняется в отношении первых средних сегментов сигналов первичного и вторичного каналов и вторых средних сегментов сигналов первичного и вторичного каналов, весовой коэффициент, соответствующий первым средним сегментам сигналов первичного и вторичного каналов, является коэффициентом затухания, а весовой коэффициент, соответствующий вторым средним сегментам сигналов первичного и вторичного каналов, является коэффициентом нарастания.
Положение 5. Способ согласно Положению 4, в котором
; при этом
X 11(n) указывает начальный сегмент сигнала первичного канала в текущем кадре, Y11(n) указывает начальный сегмент сигнала вторичного канала в текущем кадре, X31(n) указывает конечный сегмент сигнала первичного канала в текущем кадре, Y31(n) указывает конечный сегмент сигнала вторичного канала в текущем кадре, X21(n) указывает средний сегмент сигнала первичного канала в текущем кадре, и Y21(n) указывает средний сегмент сигнала вторичного канала в текущем кадре;
X(n) указывает сигнал первичного канала в текущем кадре;
Y(n) указывает сигнал вторичного канала в текущем кадре;
;
fade_in(n) указывает коэффициент нарастания, fade_out(n) указывает коэффициент затухания, а сумма fade_in(n) и fade_out(n) равна 1;
n указывает номер точки дискретизации, и n=0, 1, …, N-1;
0<N1<N2<N-1; и
X 211(n) указывает первый средний сегмент сигнала первичного канала в текущем кадре, Y211(n) указывает первый средний сегмент сигнала вторичного канала в текущем кадре, X212(n) указывает второй средний сегмент сигнала первичного канала в текущем кадре, и Y212(n) указывает второй средний сегмент сигнала вторичного канала в текущем кадре.
Положение 6. Способ согласно Положению 5, в котором:
; и
.
Положение 7. Способ согласно Положению 5 или 6, в котором
;
;
; и
; при этом
X L(n) указывает сигнал левого канала в текущем кадре, и XR(n) указывает сигнал правого канала в текущем кадре; и
M 11 указывает матрицу понижающего микширования, соответствующую схеме объединения каналов коррелированных сигналов для предыдущего кадра, и M11 построена на основе коэффициента соотношения объединения каналов, соответствующего схеме объединения каналов коррелированных сигналов для предыдущего кадра; и M22 указывает матрицу понижающего микширования, соответствующую схеме объединения каналов антикоррелированных сигналов для текущего кадра, и M22 построена на основе коэффициента соотношения объединения каналов, соответствующего схеме объединения каналов антикоррелированных сигналов для текущего кадра.
Положение 8. Способ согласно Положению 7, в котором:
, или
, или
, или
, или
, или
, при этом
α1=ratio_SM, α2=1-ratio_SM и ratio_SM указывает коэффициент соотношения объединения каналов, соответствующий схеме объединения каналов антикоррелированных сигналов для текущего кадра.
Положение 9. Способ согласно Положению 7 или 8, в котором
, или
, при этом
tdm_last_ratio указывает коэффициент соотношения объединения каналов, соответствующий схеме объединения каналов коррелированных сигналов для предыдущего кадра.
Положение 10. Способ согласно Положению 2, в котором схема объединения каналов для предыдущего кадра является схемой объединения каналов антикоррелированных сигналов, а схема объединения каналов для текущего кадра является схемой объединения каналов коррелированных сигналов;
сигналы левого и правого каналов в текущем кадре содержат начальные сегменты сигналов левого и правого каналов, средние сегменты сигналов левого и правого каналов и конечные сегменты сигналов левого и правого каналов, а сигналы первичного и вторичного каналов в текущем кадре содержат начальные сегменты сигналов первичного и вторичного каналов, средние сегменты сигналов первичного и вторичного каналов и конечные сегменты сигналов первичного и вторичного каналов; и
выполнение сегментной обработки понижающего микширования во временной области в отношении сигналов левого и правого каналов в текущем кадре на основе схемы объединения каналов для текущего кадра и схемы объединения каналов для предыдущего кадра, чтобы получить сигнал первичного канала и сигнал вторичного канала в текущем кадре, содержит этапы, на которых:
выполняют, посредством использования коэффициента соотношения объединения каналов, соответствующего схеме объединения каналов антикоррелированных сигналов для предыдущего кадра, и варианта обработки понижающего микширования во временной области, соответствующего схеме объединения каналов антикоррелированных сигналов для предыдущего кадра, обработку понижающего микширования во временной области в отношении начальных сегментов сигналов левого и правого каналов в текущем кадре, чтобы получить начальные сегменты сигналов первичного и вторичного каналов в текущем кадре;
выполняют, посредством использования коэффициента соотношения объединения каналов, соответствующего схеме объединения каналов коррелированных сигналов для текущего кадра, и варианта обработки понижающего микширования во временной области, соответствующего схеме объединения каналов коррелированных сигналов для текущего кадра, обработку понижающего микширования во временной области в отношении конечных сегментов сигналов левого и правого каналов в текущем кадре, чтобы получить конечные сегменты сигналов первичного и вторичного каналов в текущем кадре; и
выполняют, посредством использования коэффициента соотношения объединения каналов, соответствующего схеме объединения каналов антикоррелированных сигналов для предыдущего кадра, и варианта обработки понижающего микширования во временной области, соответствующего схеме объединения каналов антикоррелированных сигналов для предыдущего кадра, обработку понижающего микширования во временной области в отношении средних сегментов сигналов левого и правого каналов в текущем кадре, чтобы получить третьи средние сегменты сигналов первичного и вторичного каналов;
выполняют, посредством использования коэффициента соотношения объединения каналов, соответствующего схеме объединения каналов коррелированных сигналов для текущего кадра, и варианта обработки понижающего микширования во временной области, соответствующего схеме объединения каналов коррелированных сигналов для текущего кадра, обработку понижающего микширования во временной области в отношении средних сегментов сигналов левого и правого каналов в текущем кадре, чтобы получить четвертые средние сегменты сигналов первичного и вторичного каналов; и
выполняют обработку взвешенного суммирования в отношении третьих средних сегментов сигналов первичного и вторичного каналов и четвертых средних сегментов сигналов первичного и вторичного каналов, чтобы получить средние сегменты сигналов первичного и вторичного каналов в текущем кадре.
Положение 11. Способ согласно Положению 10, в котором когда обработка взвешенного суммирования выполняется в отношении третьих средних сегментов сигналов первичного и вторичного каналов и четвертых средних сегментов сигналов первичного и вторичного каналов, весовой коэффициент, соответствующий третьим средним сегментам сигналов первичного и вторичного каналов, является коэффициентом затухания, а весовой коэффициент, соответствующий четвертым средним сегментам сигналов первичного и вторичного каналов, является коэффициентом нарастания.
Положение 12. Способ согласно Положению 11, в котором
, при этом
X 12(n) указывает начальный сегмент сигнала первичного канала в текущем кадре, Y12(n) указывает начальный сегмент сигнала вторичного канала в текущем кадре, X32(n) указывает конечный сегмент сигнала первичного канала в текущем кадре, Y32(n) указывает конечный сегмент сигнала вторичного канала в текущем кадре, X22(n) указывает средний сегмент сигнала первичного канала в текущем кадре, и Y22(n) указывает средний сегмент сигнала вторичного канала в текущем кадре;
X(n) указывает сигнал первичного канала в текущем кадре;
Y(n) указывает сигнал вторичного канала в текущем кадре;
;
fade_in(n) указывает коэффициент нарастания, fade_out(n) указывает коэффициент затухания, и сумма fade_in(n) и fade_out(n) составляет 1;
n указывает номер точки дискретизации, и n=0, 1, …, N-1;
0<N3<N4<N-1; и
X221(n) указывает третий средний сегмент сигнала первичного канала в текущем кадре, Y221(n) указывает третий средний сегмент сигнала вторичного канала в текущем кадре, X222(n) указывает четвертый средний сегмент сигнала первичного канала в текущем кадре, и Y222(n) указывает четвертый средний сегмент сигнала вторичного канала в текущем кадре.
Положение 13. Способ согласно Положению 12, в котором
; и
.
Положение 14. Способ согласно Положению 12 или 13, в котором
;
;
; и
; при этом
X L(n) указывает сигнал левого канала в текущем кадре, и XR(n) указывает сигнал правого канала в текущем кадре; и
M 12 указывает матрицу понижающего микширования, соответствующую схеме объединения каналов антикоррелированных сигналов для предыдущего кадра, и M12 построена на основе коэффициента соотношения объединения каналов, соответствующего схеме объединения каналов антикоррелированных сигналов для предыдущего кадра; и M21 указывает матрицу понижающего микширования, соответствующую схеме объединения каналов коррелированных сигналов для текущего кадра, и M21 построена на основе коэффициента соотношения объединения каналов, соответствующего схеме объединения каналов коррелированных сигналов для текущего кадра.
Положение 15. Способ согласно Положению 14, в котором
, или
, или
, или
, или
, или
, при этом
α1_pre=tdm_last_ratio_SM и α2_pre=1-tdm_last_ratio_SM; и
tdm_last_ratio_SM указывает коэффициент соотношения объединения каналов, соответствующий схеме объединения каналов антикоррелированных сигналов для предыдущего кадра.
Положение 16. Способ согласно Положению 14 или 15, в котором
, или
, при этом
ratio указывает коэффициент соотношения объединения каналов, соответствующий схеме объединения каналов коррелированных сигналов для текущего кадра.
Положение 17. Способ по любому одному из пп.1-16, в котором
, или
, или
, при этом
xL(n) указывает исходный сигнал левого канала в текущем кадре, xR(n) указывает исходный сигнал правого канала в текущем кадре; xL_HP(n) указывает сигнал левого канала, который подвергся предварительной обработке во временной области в текущем кадре, и xR_HP(n) указывает сигнал правого канала, который подвергся предварительной обработке во временной области в текущем кадре; и x’L(n) указывает сигнал левого канала, который подвергся обработке выравнивания задержки в текущем кадре, и x’R(n) указывает сигнал правого канала, который подвергся обработке выравнивания задержки в текущем кадре.
Положение 18. Способ стереодекодирования во временной области, содержащий этапы, на которых:
выполняют декодирование на основе битового потока для получения декодированных сигналов первичного и вторичного каналов в текущем кадре;
определяют схему объединения каналов для текущего кадра; и
когда схема объединения каналов для текущего кадра отличается от схемы объединения каналов для предыдущего кадра, выполняют сегментную обработку повышающего микширования во временной области в отношении декодированных сигналов первичного и вторичного каналов в текущем кадре на основе схемы объединения каналов для текущего кадра и схемы объединения каналов для предыдущего кадра, чтобы получить восстановленные сигналы левого и правого каналов в текущем кадре.
Положение 19. Способ согласно Положению 18, в котором схема объединения каналов для текущего кадра является одной из множества схем объединения каналов, при этом множество схем объединения каналов содержат схему объединения каналов антикоррелированных сигналов и схему объединения каналов коррелированных сигналов, причем схема объединения каналов коррелированных сигналов является схемой объединения каналов, соответствующей сигналу с почти синфазностью, а схема объединения каналов антикоррелированных сигналов является схемой объединения каналов, соответствующей сигналу с почти противофазностью.
Положение 20. Способ согласно Положению 19, в котором схема объединения каналов для предыдущего кадра является схемой объединения каналов коррелированных сигналов, а схема объединения каналов для текущего кадра является схемой объединения каналов антикоррелированных сигналов;
восстановленные сигналы левого и правого каналов в текущем кадре содержат начальные сегменты восстановленных сигналов левого и правого каналов, средние сегменты восстановленных сигналов левого и правого каналов, и конечные сегменты восстановленных сигналов левого и правого каналов, а декодированные сигналы первичного и вторичного каналов в текущем кадре содержат начальные сегменты декодированных сигналов первичного и вторичного каналов, средние сегменты декодированных сигналов первичного и вторичного каналов, конечные сегменты декодированных сигналов первичного и вторичного каналов; и
выполнение сегментной обработки повышающего микширования во временной области в отношении декодированных сигналов первичного и вторичного каналов в текущем кадре на основе схемы объединения каналов для текущего кадра и схемы объединения каналов для предыдущего кадра, чтобы получить восстановленные сигналы левого и правого каналов в текущем кадре содержит этапы, на которых:
выполняют, посредством использования коэффициента соотношения объединения каналов, соответствующего схеме объединения каналов коррелированных сигналов для предыдущего кадра, и варианта обработки повышающего микширования во временной области, соответствующего схеме объединения каналов коррелированных сигналов для предыдущего кадра, обработку повышающего микширования во временной области в отношении начальных сегментов декодированных сигналов первичного и вторичного каналов в текущем кадре, чтобы получить начальные сегменты восстановленных сигналов левого и правого каналов в текущем кадре;
выполняют, посредством использования коэффициента соотношения объединения каналов, соответствующего схеме объединения каналов антикоррелированных сигналов для текущего кадра, и варианта обработки повышающего микширования во временной области, соответствующего схеме объединения каналов антикоррелированных сигналов для текущего кадра, обработку повышающего микширования во временной области в отношении конечных сегментов декодированных сигналов первичного и вторичного каналов в текущем кадре, чтобы получить конечные сегменты восстановленных сигналов левого и правого каналов в текущем кадре; и
выполняют, посредством использования коэффициента соотношения объединения каналов, соответствующего схеме объединения каналов коррелированных сигналов для предыдущего кадра, и варианта обработки повышающего микширования во временной области, соответствующего схеме объединения каналов коррелированных сигналов для предыдущего кадра, обработку повышающего микширования во временной области в отношении средних сегментов декодированных сигналов первичного и вторичного каналов в текущем кадре, чтобы получить первые средние сегменты восстановленных сигналов левого и правого каналов;
выполняют, посредством использования коэффициента соотношения объединения каналов, соответствующего схеме объединения канала антикоррелированных сигналов для текущего кадра, и варианта обработки повышающего микширования во временной области, соответствующего схеме объединения каналов антикоррелированных сигналов для текущего кадра, обработку повышающего микширования во временной области в отношении средних сегментов декодированных сигналов первичного и вторичного каналов в текущем кадре, чтобы получить вторые средние сегменты восстановленных сигналов левого и правого каналов; и
выполняют обработку взвешенного суммирования в отношении первых средних сегментов восстановленных сигналов левого и правого каналов и вторых средних сегментов восстановленных сигналов левого и правого каналов, чтобы получить средние сегменты восстановленных сигналов левого и правого каналов в текущем кадре.
Положение 21. Способ согласно Положению 20, в котором
когда обработка взвешенного суммирования выполняется в отношении первых средних сегментов восстановленных сигналов левого и правого каналов и вторых средних сегментов восстановленных сигналов левого и правого каналов, весовой коэффициент, соответствующий первым средним сегментам восстановленных сигналов левого и правого каналов, является коэффициентом затухания, а весовой коэффициент, соответствующий вторым средним сегментам восстановленных сигналов левого и правого каналов, является коэффициентом нарастания.
Положение 22. Способ согласно Положению 21, в котором
; при этом
указывает начальный сегмент восстановленного сигнала левого канала в текущем кадре,
указывает начальный сегмент восстановленного сигнала правого канала в текущем кадре,
указывает конечный сегмент восстановленного сигнала левого канала в текущем кадре,
указывает конечный сегмент восстановленного сигнала правого канала в текущем кадре,
указывает средний сегмент восстановленного сигнала левого канала в текущем кадре, и
указывает средний сегмент восстановленного сигнала правого канала в текущем кадре;
указывает восстановленный сигнал левого канала в текущем кадре;
указывает восстановленный сигнал правого канала в текущем кадре;
;
fade_in(n) указывает коэффициент нарастания, fade_out(n) указывает коэффициент затухания, и сумма fade_in(n) и fade_out(n) составляет 1;
n указывает номер точки дискретизации, и n=0, 1, …, N-1;
0<N1<N2<N-1; и
указывает первый средний сегмент восстановленного сигнала левого канала в текущем кадре,
указывает первый средний сегмент восстановленного сигнала правого канала в текущем кадре,
указывает второй средний сегмент восстановленного сигнала левого канала в текущем кадре, и
указывает второй средний сегмент восстановленного сигнала правого канала в текущем кадре.
Положение 23. Способ согласно Положению 22, в котором
; и
.
Положение 24. Способ согласно Положению 22 или 23, в котором
;
;
; и
; при этом
указывает декодированный сигнал первичного канала в текущем кадре, и
указывает декодированный сигнал вторичного канала в текущем кадре; и
указывает матрицу повышающего микширования, соответствующую схеме объединения каналов коррелированных сигналов для предыдущего кадра, и
построена на основе коэффициента соотношения объединения каналов, соответствующего схеме объединения каналов коррелированных сигналов для предыдущего кадра; и
указывает матрицу повышающего микширования, соответствующую схеме объединения каналов антикоррелированных сигналов для текущего кадра, и
построена на основе коэффициента соотношения объединения каналов, соответствующего схеме объединения каналов антикоррелированных сигналов для текущего кадра.
Положение 25. Способ согласно Положению 24, в котором
, или
, или
, или
, или
, или
, при этом
α1=ratio_SM, α2=1-ratio_SM и ratio_SM указывает коэффициент соотношения объединения каналов, соответствующий схеме объединения каналов антикоррелированных сигналов для текущего кадра.
Положение 26. Способ согласно Положению 24 или 25, в котором
, или
, при этом
tdm_last_ratio указывает коэффициент соотношения объединения каналов, соответствующий схеме объединения каналов коррелированных сигналов для предыдущего кадра.
Положение 27. Способ согласно Положению 19, в котором схема объединения каналов для предыдущего кадра является схемой объединения каналов антикоррелированных сигналов, а схема объединения каналов для текущего кадра является схемой объединения каналов коррелированных сигналов;
восстановленные сигналы левого и правого каналов в текущем кадре содержат начальные сегменты восстановленных сигналов левого и правого каналов, средние сегменты восстановленных сигналов левого и правого каналов и конечные сегменты восстановленных сигналов левого и правого каналов, и декодированные сигналы первичного и вторичного каналов в текущем кадре содержат начальные сегменты декодированных сигналов первичного и вторичного каналов, средние сегменты декодированных сигналов первичного и вторичного каналов и конечные сегменты декодированных сигналов первичного и вторичного каналов; и
выполнение сегментной обработки повышающего микширования во временной области в отношении декодированных сигналов первичного и вторичного каналов в текущем кадре на основе схемы объединения каналов для текущего кадра и схемы объединения каналов для предыдущего кадра, чтобы получить восстановленные сигналы левого и правого каналов в текущем кадре содержит этапы, на которых: выполняют, посредством использования коэффициента соотношения объединения каналов, соответствующего схеме объединения каналов антикоррелированных сигналов для предыдущего кадра, и варианта обработки повышающего микширования во временной области, соответствующего схеме объединения каналов антикоррелированных сигналов для предыдущего кадра, обработку повышающего микширования во временной области в отношении начальных сегментов декодированных сигналов первичного и вторичного каналов в текущем кадре, чтобы получить начальные сегменты восстановленных сигналов левого и правого каналов в текущем кадре;
выполняют, посредством использования коэффициента соотношения объединения каналов, соответствующего схеме объединения каналов коррелированных сигналов для текущего кадра, и варианта обработки повышающего микширования во временной области, соответствующего схеме объединения каналов коррелированных сигналов для текущего кадра, обработку повышающего микширования во временной области в отношении конечных сегментов декодированных сигналов первичного и вторичного каналов в текущем кадре, чтобы получить конечные сегменты восстановленных сигналов левого и правого каналов в текущем кадре; и
выполняют, посредством использования коэффициента соотношения объединения каналов, соответствующего схеме объединения каналов антикоррелированных сигналов для предыдущего кадра, и варианта обработки повышающего микширования во временной области, соответствующего схеме объединения каналов антикоррелированных сигналов для предыдущего кадра, обработку повышающего микширования во временной области в отношении средних сегментов декодированных сигналов первичного и вторичного каналов в текущем кадре, чтобы получить третьи средние сегменты восстановленных сигналов левого и правого каналов;
выполняют, посредством использования коэффициента соотношения объединения каналов, соответствующего схеме объединения каналов коррелированных сигналов для текущего кадра, и варианта обработки повышающего микширования во временной области, соответствующего схеме объединения каналов коррелированных сигналов для текущего кадра, обработку повышающего микширования во временной области в отношении средних сегментов декодированных сигналов первичного и вторичного каналов в текущем кадре, чтобы получить четвертые средние сегменты восстановленных сигналов левого и правого каналов; и
выполняют обработку взвешенного суммирования в отношении третьих средних сегментов восстановленных сигналов левого и правого каналов и четвертых средних сегментов восстановленных сигналов левого и правого каналов, чтобы получить средние сегменты восстановленных сигналов левого и правого каналов в текущем кадре.
Положение 28. Способ согласно Положению 27, в котором когда обработка взвешенного суммирования выполняется в отношении третьих средних сегментов восстановленных сигналов левого и правого каналов и четвертых средних сегментов восстановленных сигналов левого и правого каналов, весовой коэффициент, соответствующий третьим средним сегментам восстановленных сигналов левого и правого каналов, является коэффициентом затухания, а весовой коэффициент, соответствующий четвертым средним сегментам восстановленных сигналов левого и правого каналов, является коэффициентом нарастания.
Положение 29. Способ согласно Положению 28, в котором
, при этом
указывает начальный сегмент восстановленного сигнала левого канала в текущем кадре,
указывает начальный сегмент восстановленного сигнала правого канала в текущем кадре,
указывает конечный сегмент восстановленного сигнала левого канала в текущем кадре,
указывает конечный сегмент восстановленный сигнал правого канала в текущем кадре,
указывает средний сегмент восстановленного сигнала левого канала в текущем кадре, и
указывает средний сегмент восстановленного сигнала правого канала в текущем кадре;
указывает восстановленный сигнал левого канала в текущем кадре;
указывает восстановленный сигнал правого канала в текущем кадре;
;
fade_in(n) указывает коэффициент нарастания, указывает fade_out(n) коэффициент затухания, и сумма fade_in(n) и fade_out(n) составляет 1;
n указывает номер точки дискретизации, и n=0, 1, …, N-1;
0<N3<N4<N-1; и
указывает третий средний сегмент восстановленного сигнала левого канала в текущем кадре, и
указывает третий средний сегмент восстановленного сигнала правого канала в текущем кадре; и
указывает четвертый средний сегмент восстановленного сигнала левого канала в текущем кадре, и
указывает четвертый средний сегмент восстановленного сигнала правого канала в текущем кадре.
Положение 30. Способ согласно Положению 29, в котором
; и
.
Положение 31. Способ согласно Положению 29 или 30, в котором
;
;
; и
; при этом
указывает декодированный сигнал первичного канала в текущем кадре, и
указывает декодированный сигнал вторичного канала в текущем кадре; и
указывает матрицу повышающего микширования, соответствующую схеме объединения каналов антикоррелированных сигналов для предыдущего кадра, и
построена на основе коэффициента соотношения объединения каналов, соответствующего схеме объединения каналов антикоррелированных сигналов для предыдущего кадра; и
указывает матрицу повышающего микширования, соответствующую схеме объединения каналов коррелированных сигналов для текущего кадра, и
построена на основе коэффициента соотношения объединения каналов, соответствующего схеме объединения каналов коррелированных сигналов для текущего кадра.
Положение 32. Способ согласно Положению 31, в котором
, или
, или
, или
, или
, или
, при этом
α1_pre=tdm_last_ratio_SM и α2_pre=1-tdm_last_ratio_SM; и
tdm_last_ratio_SM указывает коэффициент соотношения объединения каналов, соответствующий схеме объединения каналов антикоррелированных сигналов для предыдущего кадра.
Положение 33. Способ согласно Положению 31 или 32, в котором
, или
, при этом
ratio указывает коэффициент соотношения объединения каналов, соответствующий схеме объединения каналов коррелированных сигналов для текущего кадра.
Положение 34. Устройство стереокодирования во временной области, содержащее процессор и память, которые соединены друг с другом, причем
процессор выполнен с возможностью выполнять следующие этапы:
определение схемы объединения каналов для текущего кадра;
когда схема объединения каналов для текущего кадра отличается от схемы объединения каналов для предыдущего кадра, выполнение сегментной обработки понижающего микширования во временной области в отношении сигналов левого и правого каналов в текущем кадре на основе схемы объединения каналов для текущего кадра и схемы объединения каналов для предыдущего кадра, чтобы получить сигнал первичного канала и сигнал вторичного канала в текущем кадре; и
кодирование полученных сигнала первичного канала и сигнала вторичного канала в текущем кадре.
Положение 35. Устройство согласно Положению 34, в котором схема объединения каналов для текущего кадра является одной из множества схем объединения каналов, причем множество схем объединения каналов содержат схему объединения каналов антикоррелированных сигналов и схему объединения каналов коррелированных сигналов, при этом схема объединения каналов коррелированных сигналов является схемой объединения каналов, соответствующей сигналу с почти синфазностью, а схема объединения каналов антикоррелированных сигналов является схемой объединения каналов, соответствующей сигналу с почти противофазностью.
Положение 36. Устройство согласно Положению 35, в котором схема объединения каналов для предыдущего кадра является схемой объединения каналов коррелированных сигналов, а схема объединения каналов для текущего кадра является схемой объединения каналов антикоррелированных сигналов;
сигналы левого и правого каналов в текущем кадре содержат начальные сегменты сигналов левого и правого каналов, средние сегменты сигналов левого и правого каналов, и конечные сегменты сигналов левого и правого каналов, а сигналы первичного и вторичного каналов сигналов в текущем кадре содержат начальные сегменты сигналов первичного и вторичного каналов, средние сегменты сигналов первичного и вторичного каналов, и конечные сегменты декодированных сигналов первичного и вторичного каналов; и
выполнение процессором сегментной обработки понижающего микширования во временной области в отношении сигналов левого и правого каналов в текущем кадре на основе схемы объединения каналов для текущего кадра и схемы объединения каналов для предыдущего кадра, чтобы получить сигнал первичного канала и сигнал вторичного канала в текущем кадре, содержит: выполнение, посредством использования коэффициента соотношения объединения каналов, соответствующего схеме объединения каналов коррелированных сигналов для предыдущего кадра, и варианта обработки понижающего микширования во временной области, соответствующего схеме объединения каналов коррелированных сигналов для предыдущего кадра, обработки понижающего микширования во временной области в отношении начальных сегментов сигналов левого и правого каналов в текущем кадре, чтобы получить начальные сегменты сигналов первичного и вторичного каналов в текущем кадре;
выполнение, посредством использования коэффициента соотношения объединения каналов, соответствующего схеме объединения каналов антикоррелированных сигналов для текущего кадра, и варианта обработки понижающего микширования во временной области, соответствующего схеме объединения каналов антикоррелированных сигналов для текущего кадра, обработки понижающего микширования во временной области в отношении конечных сегментов сигналов левого и правого каналов в текущем кадре, чтобы получить конечные сегменты сигналов первичного и вторичного каналов в текущем кадре; и
выполнение, посредством использования коэффициента соотношения объединения каналов, соответствующего схеме объединения каналов коррелированных сигналов для предыдущего кадра, и варианта обработки понижающего микширования во временной области, соответствующего схеме объединения каналов коррелированных сигналов для предыдущего кадра, обработки понижающего микширования во временной области в отношении средних сегментов сигналов левого и правого каналов в текущем кадре, чтобы получить первые средние сегменты сигналов первичного и вторичного каналов;
выполнение, посредством использования коэффициента соотношения объединения каналов, соответствующего схеме объединения каналов антикоррелированных сигналов для текущего кадра, и варианта обработки понижающего микширования во временной области, соответствующего схеме объединения каналов антикоррелированных сигналов для текущего кадра, обработки понижающего микширования во временной области в отношении средних сегментов сигналов левого и правого каналов в текущем кадре, чтобы получить вторые средние сегменты сигналов первичного и вторичного каналов; и
выполнение обработки взвешенного суммирования в отношении первых средних сегментов сигналов первичного и вторичного каналов и вторых средних сегментов сигналов первичного и вторичного каналов, чтобы получить средние сегменты сигналов первичного и вторичного каналов в текущем кадре.
Положение 37. Устройство согласно Положению 36, в котором, когда обработка взвешенного суммирования выполняется в отношении первых средних сегментов сигналов первичного и вторичного каналов и вторых средних сегментов сигналов первичного и вторичного каналов, весовой коэффициент, соответствующий первым средним сегментам сигналов первичного и вторичного каналов, является коэффициентом затухания, а весовой коэффициент, соответствующий вторым средним сегментам сигналов первичного и вторичного каналов, является коэффициентом нарастания.
Положение 38. Устройство согласно Положению 37, в котором:
; при этом
X 11(n) указывает начальный сегмент сигнала первичного канала в текущем кадре, Y11(n) указывает начальный сегмент сигнала вторичного канала в текущем кадре, X31(n) указывает конечный сегмент сигнала первичного канала в текущем кадре, Y31(n) указывает конечный сегмент вторичного канала сигнал в текущем кадре, X21(n) указывает средний сегмент сигнала первичного канала в текущем кадре, Y21(n) и указывает средний сегмент сигнала вторичного канала в текущем кадре;
X(n) указывает сигнал первичного канала в текущем кадре;
Y(n) указывает сигнал вторичного канала в текущем кадре;
;
fade_in(n) указывает коэффициент нарастания, fade_out(n) указывает коэффициент затухания, и сумма fade_in(n) и fade_out(n) равна 1;
n указывает номер точки дискретизации, и n=0, 1, …, N-1;
0<N1<N2<N-1; и
X 211(n) указывает первый средний сегмент сигнала первичного канала в текущем кадре, Y211(n) указывает первый средний сегмент сигнала вторичного канала в текущем кадре, X212(n) указывает второй средний сегмент сигнала первичного канала в текущем кадре, и Y212(n) указывает второй средний сегмент сигнала вторичного канала в текущем кадре.
Положение 39. Устройство согласно Положению 38, в котором
; и
.
Положение 40. Устройство согласно Положению 38 или 39, в котором
;
;
; и
; при этом
X L(n) указывает сигнал левого канала в текущем кадре, и XR(n) указывает сигнал правого канала в текущем кадре; и
M 11 указывает матрицу понижающего микширования, соответствующую схеме объединения каналов коррелированных сигналов для предыдущего кадра, и M11 построена на основе коэффициента соотношения объединения каналов, соответствующего схеме объединения каналов коррелированных сигналов для предыдущего кадра; и M22 указывает матрицу понижающего микширования, соответствующую схеме объединения каналов антикоррелированных сигналов для текущего кадра, и M22 построена на основе коэффициента соотношения объединения каналов, соответствующего схеме объединения каналов антикоррелированных сигналов для текущего кадра.
Положение 41. Устройство согласно Положению 40, в котором
, или
, или
, или
, или
, или
, при этом
α1=ratio_SM, α2=1-ratio_SM и ratio_SM указывает коэффициент соотношения объединения каналов, соответствующий схеме объединения каналов антикоррелированных сигналов для текущего кадра.
Положение 42. Устройство согласно Положению 40 или 41, в котором
, или
, при этом
tdm_last_ratio указывает коэффициент соотношения объединения каналов, соответствующий схеме объединения каналов коррелированных сигналов для предыдущего кадра.
Положение 43. Устройство согласно Положению 35, в котором схема объединения каналов для предыдущего кадра является схемой объединения каналов антикоррелированных сигналов, а схема объединения каналов для текущего кадра является схемой объединения каналов коррелированных сигналов;
сигналы левого и правого каналов в текущем кадре содержат начальные сегменты сигналов левого и правого каналов, средние сегменты сигналов левого и правого каналов, и конечные сегменты сигналов левого и правого каналов, а сигналы первичного и вторичного каналов сигналов в текущем кадре содержат начальные сегменты сигналов первичного и вторичного каналов, средние сегменты сигналов первичного и вторичного каналов, и конечные сегменты декодированных сигналов первичного и вторичного каналов; и
выполнение процессором сегментной обработки понижающего микширования во временной области в отношении сигналов левого и правого каналов в текущем кадре на основе схемы объединения каналов для текущего кадра и схемы объединения каналов для предыдущего кадра, чтобы получить сигнал первичного канала и сигнал вторичного канала в текущем кадре, содержит:
выполнение, посредством использования коэффициента соотношения объединения каналов, соответствующего схеме объединения каналов антикоррелированных сигналов для предыдущего кадра, и варианта обработки понижающего микширования во временной области, соответствующего схеме объединения каналов антикоррелированных сигналов для предыдущего кадра, обработки понижающего микширования во временной области в отношении начальных сегментов сигналов левого и правого каналов в текущем кадре, чтобы получить начальные сегменты сигналов первичного и вторичного каналов в текущем кадре;
выполнение, посредством использования коэффициента соотношения объединения каналов, соответствующего схеме объединения каналов коррелированных сигналов для текущего кадра, и варианта обработки понижающего микширования во временной области, соответствующего схеме объединения каналов коррелированных сигналов для текущего кадра, обработки понижающего микширования во временной области в отношении конечных сегментов сигналов левого и правого каналов в текущем кадре, чтобы получить конечные сегменты сигналов первичного и вторичного каналов в текущем кадре; и
выполнение, посредством использования коэффициента соотношения объединения каналов, соответствующего схеме объединения каналов антикоррелированных сигналов для предыдущего кадра, и варианта обработки понижающего микширования во временной области, соответствующего схеме объединения каналов антикоррелированных сигналов для предыдущего кадра, обработки понижающего микширования во временной области в отношении средних сегментов сигналов левого и правого каналов в текущем кадре, чтобы получить третьи средние сегменты сигналов первичного и вторичного каналов; и
выполнение, посредством использования посредством использования коэффициента соотношения объединения каналов, соответствующего схеме объединения каналов коррелированных сигналов для текущего кадра, и варианта обработки понижающего микширования во временной области, соответствующего схеме объединения каналов коррелированных сигналов для текущего кадра, обработки понижающего микширования во временной области в отношении средних сегментов сигналов левого и правого каналов в текущем кадре, чтобы получить четвертые средние сегменты сигналов первичного и вторичного каналов; и
выполнение обработки взвешенного суммирования в отношении третьих средних сегментов сигналов первичного и вторичного каналов и четвертых средних сегментов сигналов первичного и вторичного каналов, чтобы получить средние сегменты сигналов первичного и вторичного каналов в текущем кадре.
Положение 44. Устройство согласно Положению 43, в котором, когда обработка взвешенного суммирования выполняется в отношении третьих средних сегментов сигналов первичного и вторичного каналов и четвертых средних сегментов сигналов первичного и вторичного каналов, весовой коэффициент, соответствующий третьим средним сегментам сигналов первичного и вторичного каналов, является коэффициентом затухания, а весовой коэффициент, соответствующий четвертым средним сегментам сигналов первичного и вторичного каналов, является коэффициентом нарастания.
Положение 45. Устройство согласно Положению 44, в котором
; при этом
X 12(n) указывает начальный сегмент сигнала первичного канала в текущем кадре, Y12(n) указывает начальный сегмент сигнала вторичного канала в текущем кадре, X32(n) указывает конечный сегмент сигнала первичного канала в текущем кадре, Y32(n) указывает конечный сегмент сигнала вторичного канала в текущем кадре, X22(n) указывает средний сегмент сигнала первичного канала в текущем кадре, и Y22(n) указывает средний сегмент сигнала вторичного канала в текущем кадре;
X(n) указывает сигнал первичного канала в текущем кадре;
Y(n) указывает сигнал вторичного канала в текущем кадре;
;
fade_in(n) указывает коэффициент нарастания, fade_out(n) указывает коэффициент затухания, и сумма fade_in(n) и fade_out(n) составляет 1;
n указывает номер точки дискретизации, и n=0, 1, …, N-1;
0<N3<N4<N-1; и
X 221(n) указывает третий средний сегмент сигнала первичного канала в текущем кадре, Y221(n) указывает третий средний сегмент сигнала вторичного канала в текущем кадре, X222(n) указывает четвертый средний сегмент сигнала первичного канала в текущем кадре, и Y222(n) указывает четвертый средний сегмент сигнала вторичного канала в текущем кадре.
Положение 46. Устройство согласно Положению 45, в котором
; и
.
Положение 47. Устройство согласно Положению 44 или 45, в котором
;
;
;
; при этом
X L(n) указывает сигнал левого канала в текущем кадре, и XR(n) указывает сигнал правого канала в текущем кадре; и
M 12 указывает матрицу понижающего микширования, соответствующую схеме объединения каналов антикоррелированных сигналов для предыдущего кадра, и M12 построена на основе коэффициента соотношения объединения каналов, соответствующего схеме объединения каналов антикоррелированных сигналов для предыдущего кадра; и M21 указывает матрицу понижающего микширования, соответствующую схеме объединения каналов коррелированных сигналов для текущего кадра, и M21 построена на основе коэффициента соотношения объединения каналов, соответствующего схеме объединения каналов коррелированных сигналов для текущего кадра.
Положение 48. Устройство согласно Положению 47, в котором
, или
, или
, или
, или
, или
, при этом
α1_pre=tdm_last_ratio_SM и α2_pre=1-tdm_last_ratio_SM; и
tdm_last_ratio_SM указывает коэффициент соотношения объединения каналов, соответствующий схеме объединения каналов антикоррелированных сигналов для предыдущего кадра.
Положение 49. Устройство по пп.47 или 48, в котором
, или
, при этом
ratio указывает коэффициент соотношения объединения каналов, соответствующий схеме объединения каналов коррелированных сигналов для текущего кадра.
Положение 50. Устройство согласно любому из Положений 34-49, в котором
, или
, или
, при этом
x L(n) указывает исходный сигнал левого канала в текущем кадре, xR(n) указывает исходный сигнал правого канала в текущем кадре; xL_HP(n) указывает сигнал левого канала, который подвергся предварительной обработке во временной области в текущем кадре, и xR_HP(n) указывает сигнал правого канала, который подвергся предварительной обработке во временной области в текущем кадре; и x’L(n) указывает сигнал левого канала, который подвергся обработке выравнивания задержки в текущем кадре, и x’R(n) указывает сигнал правого канала, который подвергся обработке выравнивания задержки в текущем кадре.
Положение 51. Устройство стереодекодирования во временной области, содержащее процессор и память, которые соединены друг с другом, причем
процессор выполнен с возможностью выполнять следующие этапы:
выполнение декодирования на основе битового потока для получения декодированных сигналов первичного и вторичного каналов в текущем кадре;
определение схемы объединения каналов для текущего кадра;
когда схема объединения каналов для текущего кадра отличается от схемы объединения каналов для предыдущего кадра, выполнение сегментной обработки повышающего микширования во временной области в отношении декодированных сигналов первичного и вторичного каналов в текущем кадре на основе схемы объединения каналов для текущего кадра и схемы объединения каналов для предыдущего кадра, чтобы получить восстановленные сигналы левого и правого каналов в текущем кадре.
Положение 52. Устройство согласно Положению 51, в котором схема объединения каналов для текущего кадра является одной из множества схем объединения каналов, причем множество схем объединения каналов содержат схему объединения каналов антикоррелированных сигналов и схему объединения каналов коррелированных сигналов, при этом схема объединения каналов коррелированных сигналов является схемой объединения каналов, соответствующей сигналу с почти синфазностью, а схема объединения каналов антикоррелированных сигналов является схемой объединения каналов, соответствующей сигналу с почти противофазностью.
Положение 53. Устройство согласно Положению 52, в котором схема объединения каналов для предыдущего кадра является схемой объединения каналов коррелированных сигналов, а схема объединения каналов для текущего кадра является схемой объединения каналов антикоррелированных сигналов;
восстановленные сигналы левого и правого каналов в текущем кадре содержат начальные сегменты восстановленных сигналов левого и правого каналов, средние сегменты восстановленных сигналов левого и правого каналов и конечные сегменты восстановленных сигналов левого и правого каналов; и декодированные сигналы первичного и вторичного каналов в текущем кадре содержат начальные сегменты декодированных сигналов первичного и вторичного каналов, средние сегменты декодированных сигналов первичного и вторичного каналов и конечные сегменты декодированных сигналов первичного и вторичного каналов; и
выполнение процессором сегментной обработки повышающего микширования во временной области в отношении декодированных сигналов первичного и вторичного каналов в текущем кадре на основе схемы объединения каналов для текущего кадра и схемы объединения каналов для предыдущего кадра, чтобы получить восстановленные сигналы левого и правого каналов в текущем кадре, содержит:
выполнение, посредством использования коэффициента соотношения объединения каналов, соответствующего схеме объединения каналов коррелированных сигналов для предыдущего кадра, и варианта обработки повышающего микширования во временной области, соответствующего схеме объединения каналов коррелированных сигналов для предыдущего кадра, обработки повышающего микширования во временной области в отношении начальных сегментов декодированных сигналов первичного и вторичного каналов в текущем кадре, чтобы получить начальные сегменты восстановленных сигналов левого и правого каналов в текущем кадре;
выполнение, посредством использования коэффициента соотношения объединения каналов, соответствующего схеме объединения каналов антикоррелированных сигналов для текущего кадра, и варианта обработки повышающего микширования во временной области, соответствующего схеме объединения каналов антикоррелированных сигналов для текущего кадра, обработки повышающего микширования во временной области в отношении конечных сегментов декодированных сигналов первичного и вторичного каналов в текущем кадре, чтобы получить конечные сегменты восстановленных сигналов левого и правого каналов в текущем кадре; и
выполнение, посредством использования коэффициента соотношения объединения каналов, соответствующего схеме объединения каналов коррелированных сигналов для предыдущего кадра, и варианта обработки повышающего микширования во временной области, соответствующего схеме объединения каналов коррелированных сигналов, обработки повышающего микширования во временной области в отношении средних сегментов декодированных сигналов первичного и вторичного каналов в текущем кадре, чтобы получить первые средние сегменты восстановленных сигналов левого и правого каналов;
выполнение, посредством использования коэффициента соотношения объединения каналов, соответствующего схеме объединения каналов антикоррелированных сигналов для текущего кадра, и варианта обработки повышающего микширования во временной области, соответствующего схеме объединения каналов антикоррелированных сигналов для текущего кадра, обработки повышающего микширования во временной области в отношении средних сегментов декодированных сигналов первичного и вторичного каналов в текущем кадре, чтобы получить вторые средние сегменты восстановленных сигналов левого и правого каналов; и
выполнение обработки взвешенного суммирования в отношении первых средних сегментов восстановленных сигналов левого и правого каналов и вторых средних сегментов восстановленных сигналов левого и правого каналов, чтобы получить средние сегменты восстановленных сигналов левого и правого каналов в текущем кадре.
Положение 54. Устройство согласно Положению 53, в котором когда обработка взвешенного суммирования выполняется в отношении первых средних сегментов восстановленных сигналов левого и правого каналов и вторых средних сегментов восстановленных сигналов левого и правого каналов, весовой коэффициент, соответствующий первым средним сегментам восстановленных сигналов левого и правого каналов, является коэффициентом затухания, а весовой коэффициент, соответствующий вторым средним сегментам восстановленных сигналов левого и правого каналов, является коэффициентом нарастания.
Положение 55. Устройство согласно Положению 54, в котором:
; при этом
указывает начальный сегмент восстановленного сигнала левого канала в текущем кадре,
указывает начальный сегмент восстановленного сигнала правого канала в текущем кадре,
указывает конечный сегмент восстановленного сигнала левого канала в текущем кадре,
указывает конечный сегмент восстановленного сигнала правого канала в текущем кадре,
указывает средний сегмент восстановленного сигнала левого канала в текущем кадре, и
указывает средний сегмент восстановленного сигнала правого канала в текущем кадре;
указывает восстановленный сигнал левого канала в текущем кадре;
указывает восстановленный сигнал правого канала в текущем кадре;
;
fade_in(n) указывает коэффициент нарастания, fade_out(n) указывает коэффициент затухания, и сумма fade_in(n) и fade_out(n) составляет 1;
n указывает номер точки дискретизации, и n=0, 1, …, N-1;
0<N1<N2<N-1; и
указывает первый средний сегмент восстановленного сигнала левого канала в текущем кадре,
указывает первый средний сегмент восстановленного сигнала правого канала в текущем кадре,
указывает второй средний сегмент восстановленного сигнала левого канала в текущем кадре, и
указывает второй средний сегмент восстановленного сигнала правого канала в текущем кадре.
Положение 56. Способ согласно Положению 55, в котором:
; и
.
Положение 57. Устройство согласно Положению 55 или 56, в котором
;
;
; и
; при этом
указывает декодированный сигнал первичного канала в текущем кадре, и
указывает декодированный сигнал вторичного канала в текущем кадре; и
указывает матрицу повышающего микширования, соответствующую схеме объединения каналов коррелированных сигналов для предыдущего кадра, и
построена на основе коэффициента соотношения объединения каналов, соответствующего схеме объединения каналов коррелированных сигналов для предыдущего кадра; и
указывает матрицу повышающего микширования, соответствующую схеме объединения каналов антикоррелированных сигналов для текущего кадра, и
построена на основе коэффициента соотношения объединения каналов, соответствующего схеме объединения каналов антикоррелированных сигналов для текущего кадра.
Положение 58. Устройство согласно Положению 57, в котором
, или
, или
, или
, или
, или
, при этом
α1=ratio_SM, α2=1-ratio_SM, ratio_SM и указывает коэффициент соотношения объединения каналов, соответствующий схеме объединения каналов антикоррелированных сигналов для текущего кадра.
Положение 59. Устройство согласно Положению 57 или 58, в котором
, или
, при этом
tdm_last_ratio указывает коэффициент соотношения объединения каналов, соответствующий схеме объединения каналов коррелированных сигналов для предыдущего кадра.
Положение 60. Устройство согласно Положению 52, в котором схема объединения каналов для предыдущего кадра является схемой объединения каналов антикоррелированных сигналов, а схема объединения каналов для текущего кадра является схемой объединения каналов коррелированных сигналов;
восстановленные сигналы левого и правого каналов в текущем кадре содержат начальные сегменты восстановленных сигналов левого и правого каналов, средние сегменты восстановленных сигналов левого и правого каналов, и конечные сегменты восстановленных сигналов левого и правого каналов, а декодированные сигналы первичного и вторичного каналов в текущем кадре содержат начальные сегменты декодированных сигналов первичного и вторичного каналов, средние сегменты декодированных сигналов первичного и вторичного каналов, конечные сегменты декодированных сигналов первичного и вторичного каналов; и
выполнение процессором сегментной обработки повышающего микширования во временной области в отношении декодированных сигналов первичного и вторичного каналов в текущем кадре на основе схемы объединения каналов для текущего кадра и схемы объединения каналов для предыдущего кадра, чтобы получить восстановленные сигналы левого и правого каналов в текущем кадре содержит:
выполнение, посредством использования коэффициента соотношения объединения каналов, соответствующего схеме объединения каналов антикоррелированных сигналов для предыдущего кадра, и варианта обработки повышающего микширования во временной области, соответствующего схеме объединения каналов антикоррелированных сигналов для предыдущего кадра, обработки повышающего микширования во временной области в отношении начальных сегментов декодированных сигналов первичного и вторичного каналов в текущем кадре, чтобы получить начальные сегменты восстановленных сигналов левого и правого каналов в текущем кадре;
выполнение, посредством использования коэффициента соотношения объединения каналов, соответствующего схеме объединения каналов коррелированных сигналов для текущего кадра, и варианта обработки повышающего микширования во временной области, соответствующего схеме объединения каналов коррелированных сигналов для текущего кадра, обработки повышающего микширования во временной области в отношении конечных сегментов декодированных сигналов первичного и вторичного каналов в текущем кадре, чтобы получить конечные сегменты восстановленных сигналов левого и правого каналов в текущем кадре; и
выполнение, посредством использования коэффициента соотношения объединения каналов, соответствующего схеме объединения каналов антикоррелированных сигналов для предыдущего кадра, и варианта обработки повышающего микширования во временной области, соответствующего схеме объединения каналов антикоррелированных сигналов для предыдущего кадра, обработки повышающего микширования во временной области в отношении средних сегментов декодированных сигналов первичного и вторичного каналов в текущем кадре, чтобы получить третьи средние сегменты восстановленных сигналов левого и правого каналов;
выполнение, посредством использования коэффициента соотношения объединения каналов, соответствующего схеме объединения каналов коррелированных сигналов для текущего кадра, и варианта обработки повышающего микширования во временной области, соответствующего схеме объединения каналов коррелированных сигналов для текущего кадра, обработки повышающего микширования во временной области в отношении средних сегментов декодированных сигналов первичного и вторичного каналов в текущем кадре, чтобы получить четвертые средние сегменты восстановленных сигналов левого и правого каналов; и
выполнение обработки взвешенного суммирования в отношении третьих средних сегментов восстановленных сигналов левого и правого каналов и четвертых средних сегментов восстановленных сигналов левого и правого каналов, чтобы получить средние сегменты восстановленных сигналов левого и правого каналов в текущем кадре.
Положение 61. Устройство согласно Положению 60, в котором
когда обработка взвешенного суммирования выполняется в отношении третьих средних сегментов восстановленных сигналов левого и правого каналов и четвертых средних сегментов восстановленных сигналов левого и правого каналов, весовой коэффициент, соответствующий третьим средним сегментам восстановленных сигналов левого и правого каналов, является коэффициентом затухания; а весовой коэффициент, соответствующий четвертым средним сегментам восстановленных сигналов левого и правого каналов, является коэффициентом нарастания.
Положение 62. Устройство согласно Положению 61, в котором
, при этом
указывает начальный сегмент восстановленного сигнала левого канала в текущем кадре,
указывает начальный сегмент восстановленного сигнала правого канала в текущем кадре,
указывает конечный сегмент восстановленного сигнала левого канала в текущем кадре,
указывает конечный сегмент восстановленный сигнал правого канала в текущем кадре,
указывает средний сегмент восстановленного сигнала левого канала в текущем кадре, и
указывает средний сегмент восстановленного сигнала правого канала в текущем кадре;
указывает восстановленный сигнал левого канала в текущем кадре;
указывает восстановленный сигнал правого канала в текущем кадре;
;
fade_in(n) указывает коэффициент нарастания, указывает fade_out(n) коэффициент затухания, и сумма fade_in(n) и fade_out(n) составляет 1;
n указывает номер точки дискретизации, и n=0, 1, …, N-1;
0<N3<N4<N-1; и
указывает третий средний сегмент восстановленного сигнала левого канала в текущем кадре, и
указывает третий средний сегмент восстановленного сигнала правого канала в текущем кадре; и
указывает четвертый средний сегмент восстановленного сигнала левого канала в текущем кадре, и
указывает четвертый средний сегмент восстановленного сигнала правого канала в текущем кадре.
Положение 63. Устройство согласно Положению 62, в котором
; и
.
Положение 64. Устройство согласно Положению 62 или 63, в котором
;
;
; и
; при этом
указывает декодированный сигнал первичного канала в текущем кадре, и
указывает декодированный сигнал вторичного канала в текущем кадре; и
указывает матрицу повышающего микширования, соответствующую схеме объединения каналов антикоррелированных сигналов для предыдущего кадра, и
построена на основе коэффициента соотношения объединения каналов, соответствующего схеме объединения каналов антикоррелированных сигналов для предыдущего кадра; и
указывает матрицу повышающего микширования, соответствующую схеме объединения каналов коррелированных сигналов для текущего кадра, и
построена на основе коэффициента соотношения объединения каналов, соответствующего схеме объединения каналов коррелированных сигналов для текущего кадра.
Положение 65. Устройство согласно Положению 64, в котором
, или
, или
, или
, или
, или
, или
α1-pre=tdm_last_ratio_SM и α2-pre=1-tdm_last_ratio_SM; и
tdm_last_ratio_SM указывает коэффициент соотношения объединения каналов, соответствующий схеме объединения каналов антикоррелированных сигналов для предыдущего кадра.
Положение 66. Устройство согласно Положению 64 или 65, в котором
, или
, при этом
ratio указывает коэффициент соотношения объединения каналов, соответствующий схеме объединения каналов коррелированных сигналов для текущего кадра.
Положение 67. Машиночитаемый носитель информации, при этом машиночитаемый носитель информации хранит программный код, и программный код содержит инструкцию, используемую для выполнения способа согласно любому из Положений 1-17.
Положение 68. Машиночитаемый носитель информации, при этом машиночитаемый носитель информации хранит программный код, и программный код содержит инструкцию, используемую для выполнения способа согласно любому из Положений 18-33.
Изобретение относится к области технологий кодирования и декодирования звука и, в частности, к способу стереокодирования и кодирования во временной области и соответствующему продукту. Способ кодирования звука включает в себя: определение схемы объединения каналов для текущего кадра; когда схема объединения каналов для текущего кадра отличается от схемы объединения каналов для предыдущего кадра, выполнение сегментной обработки понижающего микширования во временной области в отношении сигналов левого и правого каналов в текущем кадре на основе схемы объединения каналов для текущего кадра и схемы объединения каналов для предыдущего кадра, чтобы получить сигнал первичного канала и сигнал вторичного канала в текущем кадре; и кодирование полученного сигнала первичного канала и сигнала вторичного канала в текущем кадре. Заявленная группа изобретений направлена на повышение конечного качества кодирования звука. 6 н. и 31 з.п. ф-лы, 19 ил.
1. Способ кодирования звука, содержащий этапы, на которых:
определяют схему объединения каналов для текущего кадра звукового сигнала;
выполняют, на основе схемы объединения каналов для текущего кадра и схемы объединения каналов для предыдущего кадра, сегментную обработку микширования во временной области в отношении сигналов левого и правого каналов в текущем кадре для получения сигнала первичного канала и сигнала вторичного канала, когда схема объединения каналов для текущего кадра отличается от схемы объединения каналов для предыдущего кадра; и
кодируют сигнал первичного канала, сигнал вторичного канала и флаг схемы объединения каналов, указывающий схему объединения каналов для текущего кадра, чтобы получить битовый поток.
2. Способ по п. 1, в котором схема объединения каналов для текущего кадра является одной из множества схем объединения каналов, причем множество схем объединения каналов содержат схему объединения каналов антикоррелированных сигналов и схему объединения каналов коррелированных сигналов, при этом схема объединения каналов коррелированных сигналов является схемой объединения каналов, соответствующей сигналу с почти синфазностью, а схема объединения каналов антикоррелированных сигналов является схемой объединения каналов, соответствующей сигналу с почти противофазностью.
3. Способ по п. 2, в котором схема объединения каналов для предыдущего кадра является схемой объединения каналов коррелированных сигналов, а схема объединения каналов для текущего кадра является схемой объединения каналов антикоррелированных сигналов;
сигналы левого и правого каналов в текущем кадре содержат начальные сегменты сигналов левого и правого каналов, средние сегменты сигналов левого и правого каналов и конечные сегменты сигналов левого и правого каналов, а сигналы первичного и вторичного каналов в текущем кадре содержат начальные сегменты сигналов первичного и вторичного каналов, средние сегменты сигналов первичного и вторичного каналов и конечные сегменты сигналов первичного и вторичного каналов; и
выполнение, на основе схемы объединения каналов для текущего кадра и схемы объединения каналов для предыдущего кадра, сегментной обработки микширования во временной области в отношении сигналов левого и правого каналов в текущем кадре для получения сигнала первичного канала и сигнала вторичного канала в текущем кадре,
содержит этапы, на которых:
выполняют, посредством использования коэффициента соотношения объединения каналов, соответствующего схеме объединения каналов коррелированных сигналов для предыдущего кадра, и варианта обработки микширования во временной области, соответствующего схеме объединения каналов коррелированных сигналов для предыдущего кадра, обработку микширования во временной области в отношении начальных сегментов сигналов левого и правого каналов в текущем кадре, чтобы получить начальные сегменты сигналов первичного и вторичного каналов в текущем кадре;
выполняют, посредством использования коэффициента соотношения объединения каналов, соответствующего схеме объединения каналов антикоррелированных сигналов для текущего кадра, и варианта обработки микширования во временной области, соответствующего схеме объединения каналов антикоррелированных сигналов для текущего кадра, обработку микширования во временной области в отношении конечных сегментов сигналов левого и правого каналов в текущем кадре, чтобы получить конечные сегменты сигналов первичного и вторичного каналов в текущем кадре;
выполняют, посредством использования коэффициента соотношения объединения каналов, соответствующего схеме объединения каналов коррелированных сигналов для предыдущего кадра, и варианта обработки микширования во временной области, соответствующего схеме объединения каналов коррелированных сигналов для предыдущего кадра, обработку микширования во временной области в отношении средних сегментов сигналов левого и правого каналов в текущем кадре, чтобы получить первые средние сегменты сигналов первичного и вторичного каналов;
выполняют, посредством использования коэффициента соотношения объединения каналов, соответствующего схеме объединения каналов антикоррелированных сигналов для текущего кадра, и варианта обработки микширования во временной области, соответствующего схеме объединения каналов антикоррелированных сигналов для текущего кадра, обработку микширования во временной области в отношении средних сегментов сигналов левого и правого каналов в текущем кадре, чтобы получить вторые средние сегменты сигналов первичного и вторичного каналов; и
выполняют обработку взвешенного суммирования в отношении первых средних сегментов сигналов первичного и вторичного каналов и вторых средних сегментов сигналов первичного и вторичного каналов, чтобы получить средние сегменты сигналов первичного и вторичного каналов в текущем кадре.
4. Способ по п. 3, в котором весовой коэффициент, соответствующий первым средним сегментам сигналов первичного и вторичного каналов, является коэффициентом затухания, а весовой коэффициент, соответствующий вторым средним сегментам сигналов первичного и вторичного каналов, является коэффициентом нарастания.
5. Способ по п. 4, в котором
;
при этом
указывает начальный сегмент сигнала первичного канала в текущем кадре,
указывает начальный сегмент сигнала вторичного канала в текущем кадре,
указывает конечный сегмент сигнала первичного канала в текущем кадре,
указывает конечный сегмент сигнала вторичного канала в текущем кадре,
указывает средний сегмент сигнала первичного канала в текущем кадре и
указывает средний сегмент сигнала вторичного канала в текущем кадре;
указывает сигнал первичного канала в текущем кадре;
указывает сигнал вторичного канала в текущем кадре;
;
указывает коэффициент нарастания,
указывает коэффициент затухания, а сумма
и
равна 1;
n указывает номер точки дискретизации и
;
0<
<
<
; и
указывает первый средний сегмент сигнала первичного канала в текущем кадре,
указывает первый средний сегмент сигнала вторичного канала в текущем кадре,
указывает второй средний сегмент сигнала первичного канала в текущем кадре и
указывает второй средний сегмент сигнала вторичного канала в текущем кадре.
6. Способ по п. 5, в котором
и
.
7. Способ по п. 5 или 6, в котором
;
;
; и
;
при этом
указывает сигнал левого канала в текущем кадре и
указывает сигнал правого канала в текущем кадре; и
указывает матрицу микширования, соответствующую схеме объединения каналов коррелированных сигналов для предыдущего кадра, и
построена на основе коэффициента соотношения объединения каналов, соответствующего схеме объединения каналов коррелированных сигналов для предыдущего кадра; и
указывает матрицу микширования, соответствующую схеме объединения каналов антикоррелированных сигналов для текущего кадра, и
построена на основе коэффициента соотношения объединения каналов, соответствующего схеме объединения каналов антикоррелированных сигналов для текущего кадра.
8. Способ по п. 7, в котором
, или
, или
, или
, или
, или
,
при этом
,
и
указывает коэффициент соотношения объединения каналов, соответствующий схеме объединения каналов антикоррелированных сигналов для текущего кадра.
9. Способ по п. 7 или 8, в котором
или
,
при этом
указывает коэффициент соотношения объединения каналов, соответствующий схеме объединения каналов коррелированных сигналов для предыдущего кадра.
10. Способ по п. 2, в котором схема объединения каналов для предыдущего кадра является схемой объединения каналов антикоррелированных сигналов, а схема объединения каналов для текущего кадра является схемой объединения каналов коррелированных сигналов;
сигналы левого и правого каналов в текущем кадре содержат начальные сегменты сигналов левого и правого каналов, средние сегменты сигналов левого и правого каналов и конечные сегменты сигналов левого и правого каналов, а сигналы первичного и вторичного каналов в текущем кадре содержат начальные сегменты сигналов первичного и вторичного каналов, средние сегменты сигналов первичного и вторичного каналов и конечные сегменты сигналов первичного и вторичного каналов; и
выполнение сегментной обработки микширования во временной области в отношении сигналов левого и правого каналов в текущем кадре на основе схемы объединения каналов для текущего кадра и схемы объединения каналов для предыдущего кадра, чтобы получить сигнал первичного канала и сигнал вторичного канала в текущем кадре,
содержит этапы, на которых:
выполняют, посредством использования коэффициента соотношения объединения каналов, соответствующего схеме объединения каналов антикоррелированных сигналов для предыдущего кадра, и варианта обработки микширования во временной области, соответствующего схеме объединения каналов антикоррелированных сигналов для предыдущего кадра, обработку микширования во временной области в отношении начальных сегментов сигналов левого и правого каналов в текущем кадре, чтобы получить начальные сегменты сигналов первичного и вторичного каналов в текущем кадре;
выполняют, посредством использования коэффициента соотношения объединения каналов, соответствующего схеме объединения каналов коррелированных сигналов для текущего кадра, и варианта обработки микширования во временной области, соответствующего схеме объединения каналов коррелированных сигналов для текущего кадра, обработку микширования во временной области в отношении конечных сегментов сигналов левого и правого каналов в текущем кадре, чтобы получить конечные сегменты сигналов первичного и вторичного каналов в текущем кадре;
выполняют, посредством использования коэффициента соотношения объединения каналов, соответствующего схеме объединения каналов антикоррелированных сигналов для предыдущего кадра, и варианта обработки микширования во временной области, соответствующего схеме объединения каналов антикоррелированных сигналов для предыдущего кадра, обработку микширования во временной области в отношении средних сегментов сигналов левого и правого каналов в текущем кадре, чтобы получить третьи средние сегменты сигналов первичного и вторичного каналов;
выполняют, посредством использования коэффициента соотношения объединения каналов, соответствующего схеме объединения каналов коррелированных сигналов для текущего кадра, и варианта обработки микширования во временной области, соответствующего схеме объединения каналов коррелированных сигналов для текущего кадра, обработку микширования во временной области в отношении средних сегментов сигналов левого и правого каналов в текущем кадре, чтобы получить четвертые средние сегменты сигналов первичного и вторичного каналов; и
выполняют обработку взвешенного суммирования в отношении третьих средних сегментов сигналов первичного и вторичного каналов и четвертых средних сегментов сигналов первичного и вторичного каналов, чтобы получить средние сегменты сигналов первичного и вторичного каналов в текущем кадре.
11. Способ по п. 10, в котором, когда обработка взвешенного суммирования выполняется в отношении третьих средних сегментов сигналов первичного и вторичного каналов и четвертых средних сегментов сигналов первичного и вторичного каналов, весовой коэффициент, соответствующий третьим средним сегментам сигналов первичного и вторичного каналов, является коэффициентом затухания, а весовой коэффициент, соответствующий четвертым средним сегментам сигналов первичного и вторичного каналов, является коэффициентом нарастания.
12. Способ по п. 11, в котором
,
при этом
указывает начальный сегмент сигнала первичного канала в текущем кадре,
указывает начальный сегмент сигнала вторичного канала в текущем кадре,
указывает конечный сегмент сигнала первичного канала в текущем кадре,
указывает конечный сегмент сигнала вторичного канала в текущем кадре,
указывает средний сегмент сигнала первичного канала в текущем кадре и
указывает средний сегмент сигнала вторичного канала в текущем кадре;
указывает сигнал первичного канала в текущем кадре;
указывает сигнал вторичного канала в текущем кадре;
;
указывает коэффициент нарастания,
указывает коэффициент затухания и сумма
и
составляет 1;
n указывает номер точки дискретизации и
;
0<
<
<
; и
указывает третий средний сегмент сигнала первичного канала в текущем кадре,
указывает третий средний сегмент сигнала вторичного канала в текущем кадре,
указывает четвертый средний сегмент сигнала первичного канала в текущем кадре и
указывает четвертый средний сегмент сигнала вторичного канала в текущем кадре.
13. Способ по п. 12, в котором
и
.
14. Способ по п. 12 или 13, в котором
;
;
; и
;
при этом
указывает сигнал левого канала в текущем кадре и
указывает сигнал правого канала в текущем кадре; и
указывает матрицу микширования, соответствующую схеме объединения каналов антикоррелированных сигналов для предыдущего кадра, и
построена на основе коэффициента соотношения объединения каналов, соответствующего схеме объединения каналов антикоррелированных сигналов для предыдущего кадра; и
указывает матрицу микширования, соответствующую схеме объединения каналов коррелированных сигналов для текущего кадра, и
построена на основе коэффициента соотношения объединения каналов, соответствующего схеме объединения каналов коррелированных сигналов для текущего кадра.
15. Способ по п. 14, в котором
, или
, или
, или
, или
, или
,
при этом
и
; и
указывает коэффициент соотношения объединения каналов, соответствующий схеме объединения каналов антикоррелированных сигналов для предыдущего кадра.
16. Способ по п. 14 или 15, в котором
или
,
при этом
указывает коэффициент соотношения объединения каналов, соответствующий схеме объединения каналов коррелированных сигналов для текущего кадра.
17. Способ по любому одному из пп. 1-8 и 10-15, в котором
, или
, или
,
при этом
указывает исходный сигнал левого канала в текущем кадре,
указывает исходный сигнал правого канала в текущем кадре;
указывает сигнал левого канала, который подвергся предварительной обработке во временной области в текущем кадре, и
указывает сигнал правого канала, который подвергся предварительной обработке во временной области в текущем кадре; и
указывает сигнал левого канала, который подвергся выравниванию задержки в текущем кадре, и
указывает сигнал правого канала, который подвергся выравниванию задержки в текущем кадре.
18. Способ стереодекодирования во временной области, содержащий этапы, на которых:
принимают битовый поток;
выполняют декодирование на основе битового потока, чтобы получить декодированные сигналы первичного и вторичного каналов в текущем кадре звукового сигнала и схему объединения каналов для текущего кадра; и,
когда схема объединения каналов для текущего кадра отличается от схемы объединения каналов для предыдущего кадра, выполняют сегментную обработку микширования во временной области в отношении декодированных сигналов первичного и вторичного каналов в текущем кадре на основе схемы объединения каналов для текущего кадра и схемы объединения каналов для предыдущего кадра, чтобы получить восстановленные сигналы левого и правого каналов в текущем кадре.
19. Способ по п. 18, в котором схема объединения каналов для текущего кадра является одной из множества схем объединения каналов, при этом множество схем объединения каналов содержат схему объединения каналов антикоррелированных сигналов и схему объединения каналов коррелированных сигналов, причем схема объединения каналов коррелированных сигналов является схемой объединения каналов, соответствующей сигналу с почти синфазностью, а схема объединения каналов антикоррелированных сигналов является схемой объединения каналов, соответствующей сигналу с почти противофазностью.
20. Способ по п. 19, в котором схема объединения каналов для предыдущего кадра является схемой объединения каналов коррелированных сигналов, а схема объединения каналов для текущего кадра является схемой объединения каналов антикоррелированных сигналов;
восстановленные сигналы левого и правого каналов в текущем кадре содержат начальные сегменты восстановленных сигналов левого и правого каналов, средние сегменты восстановленных сигналов левого и правого каналов и конечные сегменты восстановленных сигналов левого и правого каналов, а декодированные сигналы первичного и вторичного каналов в текущем кадре содержат начальные сегменты декодированных сигналов первичного и вторичного каналов, средние сегменты декодированных сигналов первичного и вторичного каналов, конечные сегменты декодированных сигналов первичного и вторичного каналов; и
выполнение сегментной обработки микширования во временной области в отношении декодированных сигналов первичного и вторичного каналов в текущем кадре на основе схемы объединения каналов для текущего кадра и схемы объединения каналов для предыдущего кадра, чтобы получить восстановленные сигналы левого и правого каналов в текущем кадре,
содержит этапы, на которых:
выполняют, посредством использования коэффициента соотношения объединения каналов, соответствующего схеме объединения каналов коррелированных сигналов для предыдущего кадра, и варианта обработки микширования во временной области, соответствующего схеме объединения каналов коррелированных сигналов для предыдущего кадра, обработку микширования во временной области в отношении начальных сегментов декодированных сигналов первичного и вторичного каналов в текущем кадре, чтобы получить начальные сегменты восстановленных сигналов левого и правого каналов в текущем кадре;
выполняют, посредством использования коэффициента соотношения объединения каналов, соответствующего схеме объединения каналов антикоррелированных сигналов для текущего кадра, и варианта обработки микширования во временной области, соответствующего схеме объединения каналов антикоррелированных сигналов для текущего кадра, обработку микширования во временной области в отношении конечных сегментов декодированных сигналов первичного и вторичного каналов в текущем кадре, чтобы получить конечные сегменты восстановленных сигналов левого и правого каналов в текущем кадре;
выполняют, посредством использования коэффициента соотношения объединения каналов, соответствующего схеме объединения каналов коррелированных сигналов для предыдущего кадра, и варианта обработки микширования во временной области, соответствующего схеме объединения каналов коррелированных сигналов для предыдущего кадра, обработку микширования во временной области в отношении средних сегментов декодированных сигналов первичного и вторичного каналов в текущем кадре, чтобы получить первые средние сегменты восстановленных сигналов левого и правого каналов;
выполняют, посредством использования коэффициента соотношения объединения каналов, соответствующего схеме объединения канала антикоррелированных сигналов для текущего кадра, и варианта обработки микширования во временной области, соответствующего схеме объединения каналов антикоррелированных сигналов для текущего кадра, обработку микширования во временной области в отношении средних сегментов декодированных сигналов первичного и вторичного каналов в текущем кадре, чтобы получить вторые средние сегменты восстановленных сигналов левого и правого каналов; и
выполняют обработку взвешенного суммирования в отношении первых средних сегментов восстановленных сигналов левого и правого каналов и вторых средних сегментов восстановленных сигналов левого и правого каналов, чтобы получить средние сегменты восстановленных сигналов левого и правого каналов в текущем кадре.
21. Способ по п. 20, в котором весовой коэффициент, соответствующий первым средним сегментам восстановленных сигналов левого и правого каналов, является коэффициентом затухания, а весовой коэффициент, соответствующий вторым средним сегментам восстановленных сигналов левого и правого каналов, является коэффициентом нарастания.
22. Способ по п. 21, в котором
;
при этом
указывает начальный сегмент восстановленного сигнала левого канала в текущем кадре,
указывает начальный сегмент восстановленного сигнала правого канала в текущем кадре,
указывает конечный сегмент восстановленного сигнала левого канала в текущем кадре,
указывает конечный сегмент восстановленного сигнала правого канала в текущем кадре,
указывает средний сегмент восстановленного сигнала левого канала в текущем кадре и
указывает средний сегмент восстановленного сигнала правого канала в текущем кадре;
указывает восстановленный сигнал левого канала в текущем кадре;
указывает восстановленный сигнал правого канала в текущем кадре;
;
указывает коэффициент нарастания,
указывает коэффициент затухания и сумма
и
составляет 1;
n указывает номер точки дискретизации и
;
0<
<
<
; и
указывает первый средний сегмент восстановленного сигнала левого канала в текущем кадре,
указывает первый средний сегмент восстановленного сигнала правого канала в текущем кадре,
указывает второй средний сегмент восстановленного сигнала левого канала в текущем кадре и
указывает второй средний сегмент восстановленного сигнала правого канала в текущем кадре.
23. Способ по п. 22, в котором
и
.
24. Способ по п. 22 или 23, в котором
;
;
; и
;
при этом
указывает декодированный сигнал первичного канала в текущем кадре и
указывает декодированный сигнал вторичного канала в текущем кадре; и
указывает матрицу микширования, соответствующую схеме объединения каналов коррелированных сигналов для предыдущего кадра, и
построена на основе коэффициента соотношения объединения каналов, соответствующего схеме объединения каналов коррелированных сигналов для предыдущего кадра; и
указывает матрицу микширования, соответствующую схеме объединения каналов антикоррелированных сигналов для текущего кадра, и
построена на основе коэффициента соотношения объединения каналов, соответствующего схеме объединения каналов антикоррелированных сигналов для текущего кадра.
25. Способ по п. 24, в котором
, или
, или
, или
, или
, или
,
при этом
,
и
указывает коэффициент соотношения объединения каналов, соответствующий схеме объединения каналов антикоррелированных сигналов для текущего кадра.
26. Способ по п. 24, в котором
или
,
при этом
указывает коэффициент соотношения объединения каналов, соответствующий схеме объединения каналов коррелированных сигналов для предыдущего кадра.
27. Способ по п. 19, в котором схема объединения каналов для предыдущего кадра является схемой объединения каналов антикоррелированных сигналов, а схема объединения каналов для текущего кадра является схемой объединения каналов коррелированных сигналов;
восстановленные сигналы левого и правого каналов в текущем кадре содержат начальные сегменты восстановленных сигналов левого и правого каналов, средние сегменты восстановленных сигналов левого и правого каналов и конечные сегменты восстановленных сигналов левого и правого каналов и декодированные сигналы первичного и вторичного каналов в текущем кадре содержат начальные сегменты декодированных сигналов первичного и вторичного каналов, средние сегменты декодированных сигналов первичного и вторичного каналов и конечные сегменты декодированных сигналов первичного и вторичного каналов; и
выполнение сегментной обработки микширования во временной области в отношении декодированных сигналов первичного и вторичного каналов в текущем кадре на основе схемы объединения каналов для текущего кадра и схемы объединения каналов для предыдущего кадра, чтобы получить восстановленные сигналы левого и правого каналов в текущем кадре,
содержит этапы, на которых:
выполняют, посредством использования коэффициента соотношения объединения каналов, соответствующего схеме объединения каналов антикоррелированных сигналов для предыдущего кадра, и варианта обработки микширования во временной области, соответствующего схеме объединения каналов антикоррелированных сигналов для предыдущего кадра, обработку микширования во временной области в отношении начальных сегментов декодированных сигналов первичного и вторичного каналов в текущем кадре, чтобы получить начальные сегменты восстановленных сигналов левого и правого каналов в текущем кадре;
выполняют, посредством использования коэффициента соотношения объединения каналов, соответствующего схеме объединения каналов коррелированных сигналов для текущего кадра, и варианта обработки микширования во временной области, соответствующего схеме объединения каналов коррелированных сигналов для текущего кадра, обработку микширования во временной области в отношении конечных сегментов декодированных сигналов первичного и вторичного каналов в текущем кадре, чтобы получить конечные сегменты восстановленных сигналов левого и правого каналов в текущем кадре;
выполняют, посредством использования коэффициента соотношения объединения каналов, соответствующего схеме объединения каналов антикоррелированных сигналов для предыдущего кадра, и варианта обработки микширования во временной области, соответствующего схеме объединения каналов антикоррелированных сигналов для предыдущего кадра, обработку микширования во временной области в отношении средних сегментов декодированных сигналов первичного и вторичного каналов в текущем кадре, чтобы получить третьи средние сегменты восстановленных сигналов левого и правого каналов;
выполняют, посредством использования коэффициента соотношения объединения каналов, соответствующего схеме объединения каналов коррелированных сигналов для текущего кадра, и варианта обработки микширования во временной области, соответствующего схеме объединения каналов коррелированных сигналов для текущего кадра, обработку микширования во временной области в отношении средних сегментов декодированных сигналов первичного и вторичного каналов в текущем кадре, чтобы получить четвертые средние сегменты восстановленных сигналов левого и правого каналов; и
выполняют обработку взвешенного суммирования в отношении третьих средних сегментов восстановленных сигналов левого и правого каналов и четвертых средних сегментов восстановленных сигналов левого и правого каналов, чтобы получить средние сегменты восстановленных сигналов левого и правого каналов в текущем кадре.
28. Способ по п. 27, в котором, когда обработка взвешенного суммирования выполняется в отношении третьих средних сегментов восстановленных сигналов левого и правого каналов и четвертых средних сегментов восстановленных сигналов левого и правого каналов, весовой коэффициент, соответствующий третьим средним сегментам восстановленных сигналов левого и правого каналов, является коэффициентом затухания, а весовой коэффициент, соответствующий четвертым средним сегментам восстановленных сигналов левого и правого каналов, является коэффициентом нарастания.
29. Способ по п. 28, в котором
,
при этом
указывает начальный сегмент восстановленного сигнала левого канала в текущем кадре,
указывает начальный сегмент восстановленного сигнала правого канала в текущем кадре,
указывает конечный сегмент восстановленного сигнала левого канала в текущем кадре,
указывает конечный сегмент восстановленного сигнала правого канала в текущем кадре,
указывает средний сегмент восстановленного сигнала левого канала в текущем кадре и
указывает средний сегмент восстановленного сигнала правого канала в текущем кадре;
указывает восстановленный сигнал левого канала в текущем кадре;
указывает восстановленный сигнал правого канала в текущем кадре;
;
указывает коэффициент нарастания,
указывает коэффициент затухания и сумма
и
составляет 1;
n указывает номер точки дискретизации и
;
0<
<
<
; и
указывает третий средний сегмент восстановленного сигнала левого канала в текущем кадре и
указывает третий средний сегмент восстановленного сигнала правого канала в текущем кадре; и
указывает четвертый средний сегмент восстановленного сигнала левого канала в текущем кадре и
указывает четвертый средний сегмент восстановленного сигнала правого канала в текущем кадре.
30. Способ по п. 29, в котором
и
.
31. Способ по п. 29 или 30, в котором
;
;
; и
;
при этом
указывает декодированный сигнал первичного канала в текущем кадре и
указывает декодированный сигнал вторичного канала в текущем кадре; и
указывает матрицу микширования, соответствующую схеме объединения каналов антикоррелированных сигналов для предыдущего кадра, и
построена на основе коэффициента соотношения объединения каналов, соответствующего схеме объединения каналов антикоррелированных сигналов для предыдущего кадра; и
указывает матрицу микширования, соответствующую схеме объединения каналов коррелированных сигналов для текущего кадра, и
построена на основе коэффициента соотношения объединения каналов, соответствующего схеме объединения каналов коррелированных сигналов для текущего кадра.
32. Способ по п. 31, в котором
, или
, или
, или
, или
, или
,
при этом
и
; и
указывает коэффициент соотношения объединения каналов, соответствующий схеме объединения каналов антикоррелированных сигналов для предыдущего кадра.
33. Способ по п. 31, в котором
или
,
при этом
указывает коэффициент соотношения объединения каналов, соответствующий схеме объединения каналов коррелированных сигналов для текущего кадра.
34. Устройство стереокодирования во временной области, содержащее процессор и память, которые соединены друг с другом, причем процессор выполнен с возможностью осуществлять способ по любому одному из пп. 1-17.
35. Устройство стереодекодирования во временной области, содержащее процессор и память, которые соединены друг с другом, причем процессор выполнен с возможностью осуществлять способ по любому одному из пп. 18-33.
36. Машиночитаемый носитель информации, при этом машиночитаемый носитель информации хранит программный код и программный код содержит инструкции, используемые для выполнения способа по любому из пп. 1-17.
37. Машиночитаемый носитель информации, при этом машиночитаемый носитель информации хранит программный код и программный код содержит инструкции, используемые для выполнения способа по любому из пп. 18-33.
| US 2011106540 A1, 05.05.2011 | |||
| US 2016275958 A1, 22.09.2016 | |||
| WO 2019070603 A1, 11.04.2019 | |||
| ФОРМИРОВАНИЕ БИНАУРАЛЬНЫХ СИГНАЛОВ | 2009 |
|
RU2505941C2 |
Авторы
Даты
2025-06-10—Публикация
2018-08-10—Подача