Изобретение относится к области определения фактических геометрических характеристик гнутых отводов подземных стальных трубопроводов и может быть использовано в нефтегазодобывающей, нефтегазотранспортной промышленности, жилищно-коммунальном хозяйстве и других отраслях, связанных с эксплуатацией подземных трубопроводов.
Известны способы определения геометрических характеристик гнутых отводов стальных магистральных трубопроводов с помощью применения внутритрубных диагностических устройств [патент РФ 2529820 С2, G01B 7/28, опубликован 27.09.2014 г.; патент РФ 2164661 С1, G01B 5/28, опубликован 27.03.2001 г.; патент РФ 25218 U1, G01B 7/28, опубликован 20.09.2002 г.; патент РФ 131866 U1, G01B 5/00, опубликован 27.08.2013 г.]. Измерение геометрических параметров участков подземных трубопроводов производят путем пропуска внутри обследуемых трубопроводов с потоком транспортируемой среды внутритрубных диагностических устройств со встроенной навигационной системой на основе гироскопов и акселерометров. Кривизна участка оценивается по результатам математической обработки измеренных устройствами характеристик.
Недостатками указанных способов являются свойственные им технологические ограничения. Внутритрубные устройства не могут применяться на участках подземных трубопроводов, необорудованных камерами запуска и приема таких устройств, на участках с отводами с малым радиусом кривизны и сварными стыками, выполненными с использованием подкладных колец. Применение внутритрубных устройств также невозможно на трубопроводах, выведенных из эксплуатации, поскольку их перемещение внутри тела трубы происходит за счет силы потока транспортируемой среды.
Известен способ определения геометрических характеристик гнутых отводов стальных магистральных трубопроводов с помощью применения оптических квадрантов [ГОСТ 24950-81. Отводы гнутые и вставки кривые на поворотах линейной части стальных магистральных трубопроводов. Технические условия]. При реализации данного способа углы изгиба гнутых отводов в составе трубопроводов определяют путем поочередного измерения оптическими квадрантами углов наклона прямых концов гнутых отводов к горизонтальной плоскости. Величина угла изгиба определяется как разница между двумя измерениями. Недостатком указанного способа является невозможность определения величины горизонтальных и пространственных углов.
Наиболее близким к предлагаемому решению является способ определения геометрических характеристик гнутых отводов стальных магистральных трубопроводов по трем инструментально измеряемым параметрам: длине хорды между концами отвода, высоте стрелки от хорды до внутренней образующей отвода и углу между хордой и прямым участком трубы, со стороны которого была начата ее гибка [ГОСТ 24950-81. Отводы гнутые и вставки кривые на поворотах линейной части стальных магистральных трубопроводов. Технические условия], выбранный в качестве прототипа. При реализации данного способа гнутый отвод полностью освобождается от грунта, определяются границы гнутого отвода, измеряются его геометрические параметры, определяется величина угла изгиба путем выполнения расчета или сопоставления полученных параметров со справочными данными.
Недостатками указанного способа являются:
1. Необходимость точного определения плоскости изгиба гнутых отводов для выполнения замеров, что зачастую невозможно при выполнении измерений на подземных трубопроводах, находящихся или находившихся ранее в эксплуатации. Для выполнения указанных замеров требуется обладать полной информацией об участке трубы, со стороны которого была начата ее гибка (при производстве). Поскольку в процессе эксплуатации подземные трубопроводы претерпевают пространственные перемещения по причине сдвижек грунта и сезонных явлений (паводки, замерзание и оттаивание грунта и др.), использование проектной документации в качестве источника информации о плоскости изгиба не дает корректного результата.
2. Для обеспечения правильности измерений требуется полное освобождение от грунта околотрубного пространства, в том числе под нижней образующей трубопровода, что значительно увеличивает время выполнения работ.
Задачей изобретения является создание универсального способа, рассчитанного на реальные условия прохождения трасс подземных трубопроводов, позволяющего с высокой точностью определять углы изгиба единичных гнутых отводов и составных кривых.
Технический результат изобретения состоит в повышении точности проводимых измерений и сокращении времени выполнения работ.
Указанный технический результат достигается за счет того, что с помощью тахеометра с отражателем и строительного уровня определяются пространственные координаты четырех контрольных точек (пикетов) на верхней образующей гнутого отвода, и кривизна участка определяется расчетным путем по измеренным координатам.
Способ реализуется следующим образом. Участок трубопровода с гнутым отводом, освобождается от грунта на глубину ниже верхней образующей труб, обеспечивающую удобство проведения измерений, но не менее 0,1 м. Осуществляются контрольные замеры фактической длины гнутого отвода. Определяется схема расстановки пикетов на теле трубы. Схемы расстановки пикетов различаются в случаях:
- определения угла изгиба одного гнутого отвода стандартной длины, или каждого из отводов в составе участка подземного трубопровода (фиг.1);
- определения угла поворота подземного трубопровода или угла участка, состоящгоиз нескольких гнутых отводов стандартной длины (фиг.2);
- определение угла изгиба гнутого отвода или участка трубопровода из нескольких отводов, длина которых меньше стандартной (фиг.3);
- определения угла изгиба гнутого отвода стандартной длины или участка трубопровода из нескольких отводов в стесненных условиях (фиг.4).
Под стандартной длиной труб (отводов) понимают длину труб, предусмотренную нормативными документами на изготовление труб.
Определяют расположение оси трубопровода. Пикеты располагают строго на оси трубопровода, на расстоянии L, мм, отложенном от сварных швов, ограничивающих гнутый отвод или участок трубопровода, состоящий из нескольких гнутых отводов, в каждую сторону: по ходу и против хода транспортируемого продукта Значение величины L, в зависимости от диаметра трубопровода, определяется согласно табл.1. Нумерация пикетов осуществляется последовательно в одном направлении - по ходу или против хода транспортируемого продукта, начиная с крайней точки замеров.
Устанавливают тахеометр, так чтобы обеспечить прямую видимость пикетов через зрительную трубу. С помощью тахеометра и отражателя определяют координаты пикетов: в горизонтальной плоскости (оси X и Y) и в вертикальной плоскости (ось H). Определение координат пикетов производят последовательной перестановкой отражателя от точки 1 до точки 4.
Измерение координат пикетов может осуществляться с помощью спутниковых навигационных систем.
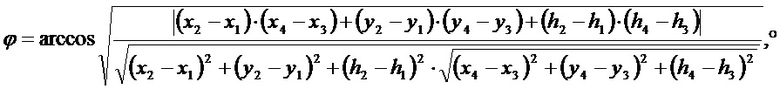
Рассчитывают угол изгиба. Угол изгиба гнутых отводов рассчитывается по формуле:
В качестве пояснения приводим следующее.
При расстановке пикетов на теле трубы, определение оси трубопровода проводится в соответствии со схемой, представленной на фиг.5.
Для определения продольной оси трубопровода уровень строительный, установленный в пикете, размещают поперек тела трубы. Уровень строительный ориентируют так, чтобы пузырек воздуха располагался по центру индикатора горизонтального положения. Точка максимального соприкосновения уровня строительного с телом трубы - точка на искомой оси трубопровода.
В части обоснования принятой расчетной формулы сообщаем, что в настоящем Способе задача определения угла изгиба гнутого отвода или угла изгиба участка, состоящего из нескольких гнутых отводов, подземных трубопроводов сводится к определению пространственного угла между прямыми концами обозначенных участков трубопроводов. В математическом представлении сводится к решению задачи по определению угла между прямыми в пространстве.
Задача решается векторным способом, при этом определенные с помощью электронного тахеометра координаты пикетов являются исходными данными для определения координат векторов в пространстве.
Для удобства расчетов обозначим вектор с началом в пикете 1 и с концом в пикете 2 - 

Длины векторов 

Скалярное произведение векторов 

где: φ - пространственный угол между векторами 

Из формул (3)-(5):
с учетом формул (1) и (2):
Формула 7 является расчетной и позволяющей определить пространственный угол изгиба гнутого отвода или участка трубопровода, состоящего из нескольких гнутых отводов.
Угол φ вычисляется в градусах с точностью до сотых долей. Полученное значение округляется в ближайшую сторону до целого значения. Единица измерения координат пикетов - произвольная, с точностью до 1 мм.
Высокая точность измерений достигается за счет соблюдения изложенных в способе указаний по производству работ. Точность определения угла изгиба отводов гнутых и участков трубопроводов, состоящих из нескольких гнутых отводов, зависит от точности применяемого тахеометра или спутниковой навигационной системы.
Пример 1
На участке подземного магистрального газопровода «Пермь - Казань -Горький - 2» Ду1200 мм, не оборудованном камерами запуска-приема внутритрубных устройств, выявлен единичный дефектный гнутый отвод, подлежащий замене. Угол изгиба гнутого отвода неизвестен. В связи с отсутствием возможности длительной остановки транспорта газа, принимается решение о выполнении работ на действующем газопроводе при снижении давления до 50% проектной мощности. Для этого на объект направлена бригада из рабочих и специалистов, оснащенных строительной техникой, а также бригада из геодезиста и рабочего для определения фактического угла изгиба дефектного отвода.
С помощью экскаватора Komatsu машинист вскрывает трубопровод на рассматриваемом участке, не доходя 0,5 м до верхней образующей трубы. Затем рабочие вручную освобождают от грунта верхнюю образующую гнутого отвода и околотрубное пространство ниже ее не менее, чем на 0,1 м.
Геодезист и рабочий осуществляют контрольные замеры длины гнутого отвода ручной рулеткой. Результаты сопоставляют с данными табл. 1 и делают вывод о том, что длина трубы из которой изготовлен отвод является стандартной и составляет 11,6 м. В соответствии с фиг.1 настоящего способа геодезист выбирает порядок измерения характерных точек для единичного гнутого отвода и соответствующую схему расположения пикетов.
Геодезист с помощью уровня строительного определяет местоположение оси трубопровода и наносит на поверхность трубопровода белым маркером отметки.
Специалисты эксплуатирущей организации указывают геодезисту, где на теле трубы располагаются сварные швы, скрытые под слоем изоляции. Затем он с помощью рулетки с учетом местоположения оси трубопровода определяет точки установки пикетов на верхней образующей гнутого отвода и нумерует их; устанавливает в рабочее положение электронный тахеометр SOKKIA SET 530-R произвольно в трех метрах от края траншеи, в зоне прямой видимости на пикеты, как показано на фиг.6.
Помощник геодезиста (рабочий) спускается в траншею и устанавливает отражатель на пикет 1. Контролирует его вертикальность с помощью встроенного уровня. При этом высоту отражателя для уменьшения погрешности настраивает минимальной (складывает внутрь телескопическую опору). Геодезист наводит зрительную трубу тахеометра на отражатель и фиксирует три координаты: X1, Y1, H1. Аналогичные действия выполняют для каждого из четырех пикетов, после чего выполняют расчеты.
Для расчета используется формула (7) для удобства встроенная в заранее подготовленный файл табличного редактора на переносном ЭВМ. По результатам расчетов определен угол изгиба дефектного гнутого отвода Ду1400 мм величиной 5,16°. Производится округление значения, в журнале измерений записывается значение 5°, результаты измерений и расчета передаются представителю эксплуатирующей организации для изготовления нового гнутого отвода для замены дефектного.
Пример 2
Организацией принято решение об оснащении находившегося в эксплуатации в течение 15 лет участка подземного магистрального нефтепровода Ду1200 мм системой контроля сезонных смещений грунта. Система построена на применении оптического волокна, прокладываемого с заглублением 0,8 м параллельно с участком нефтепровода на расстоянии 0,5 метра от нефтепровода.
Нефтепровод содержит участок, состоящий из 3 гнутых отводов, фактический угол поворота трассы неизвестен. Использование внутритрубных устройств для определения его пространственного положения невозможен из-за того, что сварные соединения выполнены с использованием подкладных колец.
Для сбора достоверных исходных данных о нефтепроводе на трассу направляется бригада, состоящая из специалиста по инженерным изысканиям, машиниста экскаватора и рабочего.
С помощью экскаватора Caterpillar машинист вскрывает нефтепровод на рассматриваемом участке, не доходя 0,5 м до верхней образующей трубы. Затем рабочие вручную освобождают от грунта верхнюю образующую гнутого отвода и околотрубное пространство ниже ее не менее, чем на 0,1 м.
Специалист по инженерным изысканиям и рабочий осуществляют контрольные замеры длины участка, состоящего из гнутых отводов ручной рулеткой. Результаты сопоставляют с данными табл. 1 и делают вывод о том, что длины труб из которой изготовлены отводы являются стандартной и составляют 11,6 м. В соответствии с фиг.2 настоящего способа геодезист выбирает порядок измерения характерных точек.
Специалист по инженерным изысканиям с помощью уровня строительного определяет местоположение оси нефтепровода и наносит на поверхность нефтепровода белым маркером отметки.
Специалисты организации - заказчика работ указывают специалисту по инженерным изысканиям, где на теле трубы располагаются сварные швы, скрытые под слоем изоляции. Затем он с помощью рулетки с учетом местоположения оси трубопровода определяет точки установки пикетов на верхней образующей гнутого отвода и нумерует их.
Путем последовательной установки на пикеты приемника спутниковой навигационной системы ГЛОНАСС специалист по инженерным изысканиям определяет пространственные координаты, производит расчет угла изгиба участка.
Сведения о фактическом значении угла изгиба участка передаются в проектную организацию для подготовки проекта укладки оптического волокна системы контроля сезонных смещений грунта.
Табл. 1
| название | год | авторы | номер документа |
|---|---|---|---|
| СПОСОБ ОПРЕДЕЛЕНИЯ ИЗГИБНЫХ НАПРЯЖЕНИЙ В СТЕНКЕ ПОДЗЕМНОГО ТРУБОПРОВОДА | 2020 |
|
RU2750417C1 |
| СПОСОБ ИДЕНТИФИКАЦИИ СМЕЩЕНИЙ ОСЕВОЙ ЛИНИИ ТРУБОПРОВОДА | 2016 |
|
RU2621219C1 |
| СПОСОБ КОНТРОЛЯ ПОЛОЖЕНИЯ ТРУБОПРОВОДОВ НАДЗЕМНОЙ ПРОКЛАДКИ В УСЛОВИЯХ ВЕЧНОЙ МЕРЗЛОТЫ | 2014 |
|
RU2582428C2 |
| Способ определения пространственного положения трубопровода | 2020 |
|
RU2747385C1 |
| Способ выявления потенциально опасных участков магистральных трубопроводов c отводами холодного гнутья | 2022 |
|
RU2790906C1 |
| СПОСОБ РАННЕЙ ДИАГНОСТИКИ МАГИСТРАЛЬНОГО НЕФТЕПРОВОДА ДЛЯ ПРЕДОТВРАЩЕНИЯ РАЗВИТИЯ ПРОЦЕССОВ ЕГО РАЗРУШЕНИЯ | 2013 |
|
RU2539603C1 |
| Способ определения напряженно-деформированного состояния отводов холодного гнутья в составе длительно эксплуатируемых магистральных газопроводов | 2023 |
|
RU2827291C1 |
| Способ ремонта потенциально опасного участка газопровода | 2019 |
|
RU2722579C1 |
| СПОСОБ РЕМОНТА ПОТЕНЦИАЛЬНО ОПАСНОГО УЧАСТКА ГАЗОПРОВОДА | 2018 |
|
RU2686133C1 |
| Способ определения координат планово-высотного положения оси подземного трубопровода | 2020 |
|
RU2743605C1 |
Изобретение относится к области определения фактических геометрических характеристик гнутых отводов подземных стальных трубопроводов и может быть использовано в нефтегазодобывающей, нефтегазотранспортной промышленности, жилищно-коммунальном хозяйстве и других отраслях, связанных с эксплуатацией подземных трубопроводов. Для определения кривизны гнутых отводов подземных трубопроводов освобождают от грунта участок трубопровода до верхней образующей труб, определяют границы гнутого отвода, на верхней образующей трубопровода на прямых концах гнутого отвода отмечают четыре пикета, определяют с помощью тахеометра координаты пикетов, рассчитывают угол изгиба. Координаты допускается определять с помощью спутниковых навигационных систем. Техническим результатом является повышение точности проводимых измерений и сокращение времени выполнения работ. 6 ил., 1 табл., 2 пр.
Способ определения кривизны гнутых отводов подземных трубопроводов, включающий в себя освобождение гнутого отвода от грунта, определение границ гнутого отвода, измерение геометрических параметров гнутого отвода, отличающийся тем, что освобождение от грунта выполняется до верхней образующей труб, на верхней образующей трубопровода на прямых концах гнутого отвода отмечают четыре пикета, определяют с помощью тахеометра или с помощью спутниковых навигационных систем координаты пикетов, рассчитывают угол изгиба.
| СПОСОБ ИЗМЕРЕНИЯ РАДИУСА КРИВИЗНЫ ТРУБОПРОВОДА ПО ДАННЫМ ГЕОДЕЗИЧЕСКИХ ИЗМЕРЕНИЙ | 2014 |
|
RU2592733C2 |
| ОПТИЧЕСКАЯ СИСТЕМА ДЛЯ ОПРЕДЕЛЕНИЯ ПРОСТРАНСТВЕННОГО ПОЛОЖЕНИЯ МАГИСТРАЛЬНОГО ТРУБОПРОВОДА | 2009 |
|
RU2476822C2 |
| US 9230453 B2 05.01.2016 | |||
| УСТРОЙСТВО И СПОСОБ БЕСКОНТАКТНОГО ИЗМЕРЕНИЯ КРИВИЗНЫ ДЛИННОМЕРНОГО ОБЪЕКТА | 2009 |
|
RU2439487C2 |
| Машина для одновременного нумерования ярлыков и перфорирования их | 1930 |
|
SU22679A1 |
Авторы
Даты
2018-10-30—Публикация
2017-11-27—Подача