КОМПОЗИЦИЯ КРАСКИ ДЛЯ КОСМЕТИЧЕСКИХ КОНТАКТНЫХ ЛИНЗ Российский патент 2024 года по МПК C09D11/00 G02C7/04 C08K3/13 

Описание патента на изобретение RU2831588C1

Смежные заявки

Настоящая заявка испрашивает приоритет по заявке на патент США № 16/987673, поданной 7 августа 2020 г., и предварительной заявке на патент США № 62/899311, поданной 12 сентября 2019 г., которая полностью включена в настоящий документ посредством ссылки.

Область применения изобретения

Настоящее изобретение относится к косметическим контактным линзам, более конкретно к композициям краски, которые можно применять для изготовления косметических контактных линз, таких как косметические силикон-гидрогелевые линзы.

Предпосылки создания изобретения

Известно применение цветных гидрогелевых контактных линз для изменения природного цвета глаза в косметических целях. Композиции краски, используемые для получения цветных контактных гидрогелевых линз, как правило, состоят из полимерного связующего и красителей. Известные композиции красок для косметических линз, как правило, предназначены для традиционных (несиликоновых) линз.

В последние годы стали популярными контактные линзы, изготовленные из силикон-гидрогелей. Эти контактные линзы обладают более высокой кислородной проницаемостью, чем традиционные гидрогели. Повышенная кислородная проницаемость уменьшила симптомы гипоксии у пользователей, носящих контактные линзы. К сожалению, процессы, применяемые для производства линз из стандартных гидрогелей, недостаточно эффективны для постоянного производства контактных линз из силикон-гидрогелей. Примером одного из таких процессов является изготовление косметических силикон-гидрогелевых контактных линз.

Композиции краски, обеспечивающие косметические контактные линзы, такие как косметические силикон-гидрогелевые контактные линзы, без существенной размытости или истирания краски и совместимые с основным материалом линзы, считались бы достижением в данной области техники.

Изложение сущности изобретения

В настоящем изобретении предложены композиции краски, содержащие краситель, нереакционноспособный гидрофильный полимер и необязательно связующий полимер. Композиции краски при использовании, например, с силикон-гидрогелевыми контактными линзами, обеспечивают круглые (не искаженные) контактные линзы, причем краска после нанесения на линзу не размазывается и не стирается легко. Таким образом, композиции краски хорошо подходят для производства косметических контактных линз.

Таким образом, в одном аспекте в изобретении предложена композиция краски для получения косметических контактных линз. Композиция краски содержит: (a) краситель; и (b) нереакционноспособный гидрофильный полимер; и необязательно (c) связующий полимер. Связующий полимер может содержать полимер, образованный из по меньшей мере одного гидрофильного мономера, содержащего функциональную группу, выбранную из группы, состоящей из гидроксиалкила, аминоалкила и их смесей, по меньшей мере один силикон-содержащий макромер; и необязательно силикон-содержащий мономер.

В другом аспекте в настоящем изобретении предусмотрена косметическая контактная линза. Косметическая контактная линза содержит: контактную линзу, на которую нанесена композиция краски, описанная в настоящем документе. Очевидно, что косметическая контактная линза может содержать несколько слоев композиции краски (например, 2, 3 или 4 слоя), необязательно с несколькими слоями прозрачного покрытия, и композиции нескольких слоев композиций краски, включая используемые пигменты, могут быть одинаковыми или разными. Косметическая контактная линза может содержать дополнительные слои на ней, включая слои, содержащие пигменты, но не содержащие нереакционноспособный гидрофильный полимер.

В дополнительном аспекте в настоящем изобретении предусмотрен способ получения косметической контактной линзы. Способ включает: (i) нанесение прозрачного покрытия на линзообразующую поверхность пресс-формы первой линзы; (ii) нанесение на прозрачное покрытие композиции краски, описанной в настоящем документе; (iii) необязательно повторение этапа (i), этапа (ii) или как этапа (i), так и этапа (ii); (iv) подачу материала линзы в первую линзообразующую пресс-форму; (v) применение второй линзообразующей пресс-формы; и (vi) отверждение материала линзы с образованием косметической контактной линзы.

Подробное описание изобретения

Следует понимать, что изобретение не ограничивается деталями конструкции или этапов способа, изложенными в последующем описании. Изобретение допускает другие варианты реализации изобретения и может быть осуществлено или осуществляется различными способами, используя изложенное в данном документе.

Как отмечено выше, в одном аспекте в изобретении предусмотрены композиции краски. Авторы изобретения обнаружили, что композиции краски, описанные в настоящем документе, можно применять для получения косметических контактных линз, таких как косметические силикон-гидрогелевые контактные линзы, обладающие благоприятными свойствами. Например, такие линзы демонстрируют низкую мутность или ее отсутствие, что указывает на благоприятную совместимость между материалами композиции краски и материалами основной линзы. Кроме того, краски демонстрируют небольшие размытость или истирание краски или их отсутствие. Кроме того, композиции краски не оказывают негативного влияния на форму линз. Таким образом, линзы по существу сохраняют свою круглую форму.

В том, что касается терминов, используемых в настоящем описании, предоставлены следующие определения.

Если не указано иное, все технические и научные термины, используемые в настоящем документе, имеют общепринятое значение, понятное любому специалисту в области, к которой относится изобретение. Определения для полимеров согласуются с описанными в справочнике Compendium of Polymer Terminology and Nomenclature, IUPAC Recommendations 2008 под редакцией: Richard G. Jones, Jaroslav Kahovec, Robert Stepto, Edward S. Wilks, Michael Hess, Tatsuki Kitayama и W. Val Metanomski. Все публикации, заявки на патенты, патенты и другие ссылки, упоминаемые в настоящем документе, включены в него путем ссылки.

Используемый в настоящем документе термин «(мет)» обозначает возможное наличие необязательного метильного заместителя. Таким образом, термин «(мет)акрилаты» обозначает как метакрилаты, так и акрилаты.

Если не указано иное, соотношения, проценты, доли и т.п. даны по массе.

Если не указано иное, числовые диапазоны, например в «от 2 до 10», включают числа, определяющие диапазон (например, 2 и 10).

Термин «контактная линза» означает офтальмологическое устройство, которое может быть размещено на роговице глаза пациента. Контактная линза может обеспечивать корректирующий, косметический или терапевтический эффект, включая заживление ран, доставку лекарственных средств или нутрицевтиков, диагностическую оценку или контроль, поглощение ультрафиолетового света, сокращение влияния видимого или слепящего света или любую их комбинацию. Контактная линза может быть изготовлена из любого подходящего материала, известного в данной области техники, и может представлять собой мягкую линзу, жесткую линзу или гибридную линзу, содержащую по меньшей мере две отдельные части с разными физическими, механическими или оптическими свойствами, такими как модуль упругости, содержание воды, светопроницаемость или их комбинации.

Линзы по настоящему изобретению могут быть образованы из силикон-гидрогелей или стандартных гидрогелей. Силиконовые гидрогели обычно содержат по меньшей мере один гидрофильный мономер и по меньшей мере один силиконсодержащий компонент, которые ковалентно связаны друг с другом в полимеризованном устройстве.

Композиция краски согласно изобретению содержит: (a) краситель; и (b) нереакционноспособный гидрофильный полимер; и необязательно (c) связующий полимер.

Краситель для применения в композициях краски по настоящему изобретению может представлять собой любой органический или неорганический пигмент или краситель, подходящий для применения в контактных линзах, или комбинации таких пигментов и/или красителей. Непрозрачность можно контролировать, изменяя концентрацию красителя в композиции, при этом более высокие количества приводят к большей непрозрачности. Примеры красителей включают, но не ограничиваются ими, фталоцианин голубой, фталоцианин зеленый, карбазол фиолетовый, кубовый оранжевый № 1, оксид железа черный, оксид железа коричневый, оксид железа желтый, оксид железа красный, диоксид титана, дихлортриазин, красители на основе винилсульфона и смеси двух или более из них. Подходящие пигменты и красители доступны в продаже.

Композиция краски по настоящему изобретению содержит по меньшей мере один нереакционноспособный гидрофильный полимер. Термин «нереакционноспособный» означает, что гидрофильный полимер при использовании в композиции не содержит свободнорадикальных полимеризуемых групп, которые способны к сополимеризации с другими компонентами в композиции в условиях свободнорадикальной полимеризации, описанных в настоящем документе. Без ограничений, накладываемых какой-либо теорией, считается, что нереакционноспособный гидрофильный полимер способствует стабилизации красителя в композиции краски.

Нереакционноспособный гидрофильный полимер может представлять собой полиамид. Используемый в настоящем документе термин «полиамид» относится к полимерам и сополимерам, содержащим повторяющиеся звенья, в состав которых входят амидные группы. Полиамид может содержать циклические амидные группы, ациклические амидные группы и их комбинации. Ациклические полиамиды содержат боковые ациклические амидные группы. Циклические полиамиды содержат циклические амидные группы.

Примеры подходящих ациклических полиамидов включают полимеры и сополимеры, содержащие повторяющиеся звенья формул G1 и G2:

Формула G1,

Формула G2,

где X представляет собой непосредственную связь, -(CO)- или -(CONHR44)-, причем R44 представляет собой C1-C3 алкильную группу; R40 выбран из H, замещенных или незамещенных C1-C4 алкильных групп с линейной или разветвленной цепью; R41 выбран из H, замещенных или незамещенных C1-C4 алкильных групп с линейной или разветвленной цепью, аминогрупп, содержащих не более двух атомов углерода, амидных групп, содержащих не более четырех атомов углерода, и алкоксильных групп, содержащих не более двух атомов углерода; R42 выбран из H, замещенных или незамещенных алкильных групп C1-C4 с линейной или разветвленной цепью; или метила, этокси, гидроксиэтила и гидроксиметила; R43 выбран из H, замещенных или незамещенных C1-C4 алкильных групп с линейной или разветвленной цепью; или метила, этокси, гидроксиэтила и гидроксиметила; в котором количество атомов углерода в R40 и R41, взятых вместе, равно 8 или менее, включая 7, 6, 5, 4, 3 или менее; и где число атомов углерода в R42 и R43 взятых вместе, равно 8 или менее, включая 7, 6, 5, 4, 3 или менее. Количество атомов углерода в R40 и R41, взятых вместе, может составлять 6 или менее, или 4 или менее. Количество атомов углерода в R42 и R43, взятых вместе, может составлять 6 или менее. В контексте настоящего документа замещенные алкильные группы включают алкильные группы, замещенные амино, амидными, эфирными, гидроксильными, карбонильными, карбоксильными группами или их комбинациями.

R40 и R41 могут быть независимо выбраны из H, замещенных или незамещенных C1-C2 алкильных групп. X может представлять собой непосредственную связь, а R40 и R41 могут быть независимо выбраны из H, замещенных или незамещенных C1-C2 алкильных групп. R42 и R43 могут быть независимо выбраны из H, замещенных или незамещенных алкильных групп C1-C2, метила, этокси, гидроксиэтила и гидроксиметила.

Ациклические полиамиды могут содержать большинство повторяющихся звеньев формулы G1 или формулы G2, или ациклические полиамиды могут содержать по меньшей мере 50 мольных процентов повторяющихся звеньев формулы G1 или формулы G2, включая по меньшей мере 70 мольных процентов и по меньшей мере 80 мольных процентов. Конкретные примеры повторяющихся звеньев формулы G1 и формулы G2 включают повторяющиеся звенья, являющиеся производными N-винил-N-метилацетамида, N-винилацетамида, N-винил-N-метилпропионамида, N-винил-N-метил-2-метилпропионамида, N-винил-2-метилпропионамида, N-винил-N, N’-диметилмочевины, N, N-диметилакриламида, метакриламида и ациклических амидов формул G3 и G4:

Формула G4

Формула G4

Примеры пригодных циклических амидов, которые можно применять для образования циклических полиамидов, включают α-лактам, β-лактам, γ-лактам, δ-лактам и ε-лактам. Примеры подходящих циклических полиамидов включают полимеры и сополимеры, содержащие повторяющиеся звенья формулы G5:

Формула G5,

где R45 представляет собой атом водорода или метильную группу; где f равно целому числу от 1 до 10; где X представляет собой непосредственную связь, -(CO)- или -(CONHR46)-, где R46 представляет собой C1-C3 алкильную группу. В формуле G5 f может быть равно 8 или менее, включая 7, 6, 5, 4, 3, 2 или 1. В формуле G5 f может быть равно 6 или менее, включая 5, 4, 3, 2 или 1. В формуле G5 f может быть равно от 2 до 8, включая 2, 3, 4, 5, 6, 7 или 8. В формуле G5 f может быть равно 2 или 3. Если X представляет собой прямую связь, f может составлять 2. В таких случаях циклический полиамид может представлять собой поливинилпирролидон (PVP).

Циклические полиамиды могут содержать 50 мольных процентов или более повторяющихся звеньев формулы G5, или циклические полиамиды могут содержать по меньшей мере 50 мольных процентов повторяющихся звеньев формулы G5, включая по меньшей мере 70 мольных процентов и по меньшей мере 80 мольных процентов.

Полиамиды также могут представлять собой сополимеры, содержащие повторяющиеся звенья циклических и ациклических амидов. Полиамид может быть выбран из группы, состоящей из поливинилпирролидона (PVP), поливинилметацетамида (PVMA), полидиметилакриламида (PDMA), поливинилацетамида (PNVA), поли(гидроксиэтил(мет)акриламида), полиакриламида и их сополимеров и смесей. Полиамид может представлять собой смесь PVP (например, PVP K90) и PVMA (например, имеющий Mw равное приблизительно 570 кДа).

Предпочтительным нереакционноспособным гидрофильным полимером является PVP. Полимеры PVP, подходящие для применения в настоящем изобретении, коммерчески доступны или могут быть легко получены специалистами в данной области техники. Предпочтительным коммерчески доступным PVP является PVP K30, имеющий средневесовую молекулярную массу около 55 000 дальтон. Другим предпочтительным коммерчески доступным PVP является PVP K60, имеющий средневесовую молекулярную массу около 400 000 дальтон. Дополнительно предпочтительными являются смеси PVP K30 и PVP K60. PVP K30 и PVP K90 можно использовать в различных весовых соотношениях, например, в весовом соотношении PVP K30: PVP K90 в диапазоне от 5 : 1 до 1 : 5, или от 4 : 1 до 1 : 1, или от 3 : 1 до 1 : 1, или от 2 : 1 до 1 : 1. Например, массовое соотношение PVP K30: PVP K90 может составлять 3 : 1, или 2 : 1, или 1,7 : 1, или 1 : 1.

Дополнительные примеры нереакционноспособных гидрофильных полимеров, которые можно применять в композициях краски по настоящему изобретению, включают, но не ограничиваются ими, декстран, поли(этиленоксид), поливиниловый спирт (ПВС), поли(N-изопропилакриламид), поли(олигоэтиленоксид), полиэтиленгликоль (ПЭГ), поли(N,N-диметиламиноэтилакрилат), поли(имин), поли(акриловую кислоту) или смеси двух или более из них.

Предпочтительно нереакционноспособный гидрофильный полимер имеет средневесовую молекулярную массу от около 30 000 до около 500 000, от около 40 000 до около 80 000 или от около 50 000 до около 60 000. Подходящие диапазоны молекулярных масс могут включать, например, от 40 000 до 500 000, или от 40 000 до 80 000, или от 200 000 до 500 000.

Композиция краски может содержать общее количество всего нереакционноспособного гидрофильного полимера, составляющее по меньшей мере 1 процент, или по меньшей мере 2 процента, или по меньшей мере 3 процента по массе в расчете на общую массу композиции краски (включая растворитель). Композиция краски может содержать общее количество всего нереакционноспособного гидрофильного полимера, составляющее 50 процентов или менее, или 40 процентов или менее, или 35 процентов или менее, или 25 процентов или менее, или 20 процентов или менее, или 15 процентов или менее, или 10 процентов или менее в расчете на общую массу композиции краски (включая растворитель). Например, общее количество всех нереакционноспособных гидрофильных полимеров может находиться в диапазоне от 1 процента до 40 процентов или от 3 процентов до 35 процентов.

Композиция краски по настоящему изобретению может содержать связующий полимер. Связующий полимер может содержать сополимер, образованный из по меньшей мере одного гидрофильного мономера, содержащего функциональную группу, выбранную из группы, состоящей из гидроксиалкила, аминоалкила и их смесей, по меньшей мере один силикон-содержащий макромер; и необязательно силикон-содержащий мономер.

Связующий полимер может быть образован из по меньшей мере одного гидрофильного мономера, содержащего C2-C8 линейный или разветвленный гидроксиалкил(мет)акрилат, C2-C8 линейный или разветвленный дигидроксиалкил (мет)акрилат, C2-C8 линейный или разветвленный тригидроксиалкил(мет)акрилат, N-C2-C6 линейный или разветвленный гидроксиалкил(мет)акриламид, N,N-бис C2-C6 линейный или разветвленный гидроксиалкил(мет)акриламид, N-C2-C8 линейный или разветвленный дигидроксиалкил(мет)акриламид, N,N-бис C2-C8 линейный или разветвленный дигидроксиалкил(мет)акриламид, N-C2-C8 линейный или разветвленный тригидроксиалкил(мет)акриламид, N,N-бис C2-C8 линейный или разветвленный тригидроксиалкил(мет)акриламид или их смеси.

Связующий полимер может быть образован из по меньшей мере одного гидрофильного мономера, содержащего 2-гидроксиэтил(мет)акрилат, 2-гидроксипропил(мет)акрилат, 3-гидроксипропил(мет)акрилат, 2,3-дигидроксипропил(мет)акрилат, 2-гидроксибутил(мет)акрилат, 3-гидроксибутил(мет)акрилат, 4-гидроксибутил(мет)акрилат, N-(2-гидроксиэтил)(мет)акриламид, N, N-бис(2-гидроксиэтил)(мет)акриламид, N-(2-гидроксипропил)(мет)акриламид, N,N-бис(2-гидроксипропил)(мет)акриламид, N-(3-гидроксипропил)(мет)акриламид, N-(2-гидроксибутил)(мет)акриламид, N-(3-гидроксибутил)(мет)акриламид, N-(4-гидроксибутил)(мет)акриламид или их смеси.

Связующий полимер может быть образован из реакционной мономерной смеси, содержащей по меньшей мере один гидрофильный мономер, выбранный из группы, состоящей из акриламида, N,N-диметилакриламида (DMA), N-винилпирролидона (NVP), N-винилацетамида (NVA), N-винил-N-метилацетамида (VMA), N-изопропилакриламида, полиэтиленгликольмоноакрилата, полиэтиленгликольмонометакрилата, акриловой кислоты (AA), метакриловой кислоты (MAA), N-[(этенилокси)карбонил]-β-аланина, 3-акриламидопропановой кислоты (ACA1), 5-акриламидопропановой кислоты (ACA2), 2-(метакрилоилокси)этилтриметиламмония хлорида (METAC или Q соль), 2-акриламидо-2-метилпропансульфокислоты (AMPS), 1-пропанаминия, N-(2-карбоксиэтил)-N,N-диметил-3- [(1-оксо-2-пропен-1-ил)амино]-, внутренней соли (CBT); 1-пропанаминия, N,N-диметил-N-[3-[(1-оксо-2-пропен-1-ил)амино]пропил]-3-сульфо-, внутренней соли (SBT); 3,5-диокса-8-аза-4-фосфондец-10-ен-1-аминия, 4-гидрокси-N,N,N-триметил-9-оксо-, внутренней соли, 4-оксида (9CI) (PBT) и их смесей.

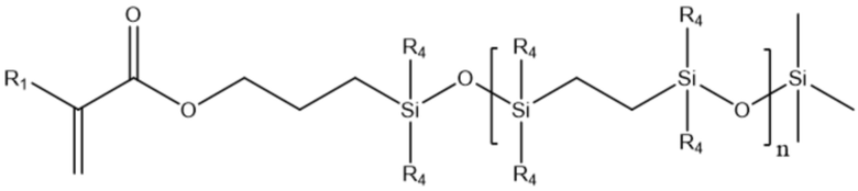
Связующий полимер может быть образован из силикон-содержащего макромера, предпочтительно в дополнение к гидрофильному мономеру, такому как один или более гидрофильных мономеров, описанных выше. Силикон-содержащий макромер может содержать одну полимеризуемую функциональную группу, выбранную из группы, состоящей из (мет)акрилата, (мет)акриламида, стирила, винила, N-виниллактама, N-виниламидов, O-виниловых эфиров, O-винилкарбонатов и O-винилкарбаматов, и иметь от около 1 до около 200 двухвалентных дизамещенных силоксановых повторяющихся звеньев и оканчивающийся C1-C8 линейной, разветвленной или циклической алкильной группой.

Кремнийорганический макромер может содержать химическую структуру, показанную в формуле I:

Формула I,

где Z выбран из O, N, S или NCH2CH2O; если Z=O или S, то R2 не требуется; где R1 представляет собой атом водорода или метил; где n равно целому числу от 1 до 200, или от 1 до 100, или от 1 до 50, или от 1 до 20; где R3 представляет собой алкиленовый сегмент (CH2)y, в котором y равно целому числу от 1 до 6, от 1 до 4 или от 2 до 4, и при этом каждая метиленовая группа может быть необязательно дополнительно и независимо замещена группой, выбранной из группы, состоящей из простых эфиров, аминов, сложных эфиров, кетонов, карбонилов, карбоксилатов и карбаматов, или, если y равно 2 или более, то неконцевая метиленовая группа необязательно заменена карбаматной группой; или где R3 представляет собой оксиалкиленовый сегмент O(CH2)z, в котором z равно целому числу от 1 до 3, или где R3 представляет собой смесь алкиленовых и оксиалкиленовых сегментов и сумма y и z равна от 1 до 9; где R2 и R4 независимо представляют собой атом водорода, линейную, разветвленную или циклическую алкильную группу, содержащую от одного до шести атомов углерода, линейную, разветвленную или циклическую алкоксильную группу, содержащую от одного до шести атомов углерода, линейную или разветвленную полиэтиленоксиалкильную группу, алкил-силоксанил-алкильную группу, фенильную группу, бензильную группу, замещенную или незамещенную арильную группу, фторалкильную группу, частично фторированную алкильную группу, перфторалкильную группу, атом фтора, моно-, ди- или тригидроксиалкильную группу, содержащую от одного до шести атомов углерода, или их комбинации; и где R5 представляет собой замещенную или незамещенную линейную, разветвленную или циклическую алкильную группу, имеющую от 1 до 8 атомов углерода, или арильную группу, любая из которых может быть дополнительно замещена одним или более атомами фтора или триметилсилоксильными группами.

Не имеющие ограничительного характера примеры этих кремнийорганических макромеров включают полидиметилсилоксаны с концевым моно-н-алкилом, моно-метакрилоксипропилом, как показано в формуле II, где n равно от 3 до 50; от 3 до 25; и от 3 до 15, а R5 представляет собой линейную, разветвленную или циклическую алкильную группу, содержащую от 1 до 8 атомов углерода; полидиметилсилоксаны (mPDMS) с концевым моно-н-бутилом, моно-метакрилоксипропилом, как показано в формуле III, где n равно от 3 до 50; от 3 до 25; или от 3 до 15; и макромеры, имеющие химические структуры, как показано в формулах IV-XI, где R1 представляет собой атом водорода или метильную группу; R2 и R4 независимо представляют собой атом водорода, линейную, разветвленную или циклическую алкильную группу, содержащую от одного до шести атомов углерода, линейную, разветвленную или циклическую алкоксильную группу, содержащую от одного до шести атомов углерода, линейную или разветвленную полиэтиленоксиалкильную группу, фенильную группу, бензильную группу, замещенную или незамещенную арильную группу, фторалкильную группу, частично фторированную алкильную группу, перфторалкильную группу, атом фтора или их комбинации; и R5 представляет собой линейную, разветвленную или циклическую алкильную группу, содержащую от 1 до 8 атомов углерода; и где n равно от 3 до 50; от 3 до 25; или от 3 до 15.

Формула II,

Формула III (mPDMS)

Формула IV

Формула V

Формула VI

Формула VII

Формула VIII

Формула IX

Формула X

Формула XI

Примеры подходящих полидиалкилсилоксанов с концевым моно-алкилом, моно-(мет)акрилоксиалкилом включают полидиметилсилоксан с концевым моно-н-бутилом, моно(мет)акрилоксипропилом, полидиметилсилоксан с концевым моно-н-метилом, моно(мет)акрилоксипропилом, полидиэтилсилоксан с концевым моно-н-бутилом, моно(мет)акрилоксипропилом, полидиэтилсилоксан с концевым моно-н-метилом, метилакрилоксипропилом, полидиалкилсилоксаны с концевым моно-алкилом, моно(мет)акриламидоалкилом, полидиарилсилоксаны с концевым моно-алкилом, моно(мет)акрилоксиалкилом их смеси.

Кремнийорганический макромер может содержать монофункциональный гидроксил-замещенный поли(диалкилсилоксан) с химической структурой, показанной в формуле XII

Формула XII,

где Z выбран из O, N, S или NCH2CH2O; если Z=O или S, то R2 не требуется; где R1 представляет собой атом водорода или метил; где n равно целому числу от 1 до 200; где R2 и R4 независимо представляют собой атом водорода, линейную, разветвленную или циклическую алкильную группу, содержащую от одного до шести атомов углерода, линейную, разветвленную или циклическую алкоксильную группу, содержащую от одного до шести атомов углерода, линейную или разветвленную полиэтиленоксиалкильную группу, фенильную группу, бензильную группу, замещенную или незамещенную арильную группу, фторалкильную группу, частично фторированную алкильную группу, перфторалкильную группу, атом фтора или их комбинации; и где R5 представляет собой замещенную или незамещенную линейную, разветвленную или циклическую алкильную группу, имеющую от 1 до 8 атомов углерода, или арильную группу, любая из которых может быть дополнительно замещена одним или более атомами фтора или триметилсилоксильными группами.

Примеры гидроксил-содержащих макромеров включают полидиметилсилоксаны с моно-(2-гидрокси-3-метакрилоксипропил)-пропиловым эфиром и моно-н-бутилом (OH-mPDMS), как показано в формуле XIII, где n равно от 4 до 30; от 4 до 8; или от 10 до 20; и макромеры, имеющие химические структуры, как показано в формулах XIV и XV, где R1 представляет собой атом водорода или метильную группу; где n находится от 4 до 30; от 4 до 8; или от 10 до 20; где R4 независимо представляет собой атом водорода, линейную, разветвленную или циклическую алкильную группу, содержащую от одного до шести атомов углерода, линейную, разветвленную или циклическую алкоксигруппу, содержащую от одного до шести атомов углерода, линейную или разветвленную полиэтиленоксиалкильную группу, фенильную группу, бензильную группу, замещенную или незамещенную арильную группу, фторалкильную группу, частично фторированную алкильную группу, перфторалкильную группу, атом фтора или их комбинации; и где R5 представляет собой замещенную или незамещенную линейную, разветвленную или циклическую алкильную группу, имеющую от 1 до 8 атомов углерода, или арильную группу, любая из которых может быть дополнительно замещена одним или более атомами фтора или триметилсилоксильными группами.

Формула XIII (ОН-mPDMS)

Формула XIV

Формула XV

Кремнийорганический макромер может содержать химическую структуру, показанную в формуле XVI.

Формула XVI,

где R1 представляет собой атом водорода или метил; где n равно целому числу от 1 до 200; где R4 независимо представляет собой атом водорода, линейную, разветвленную или циклическую алкильную группу, содержащую от одного до шести атомов углерода, линейную, разветвленную или циклическую алкоксигруппу, содержащую от одного до шести атомов углерода, линейную или разветвленную полиэтиленоксиалкильную группу, фенильную группу, бензильную группу, замещенную или незамещенную арильную группу, фторалкильную группу, частично фторированную алкильную группу, перфторалкильную группу, атом фтора или их комбинации; где R5 представляет собой замещенную или незамещенную линейную, разветвленную или циклическую алкильную группу, имеющую от 1 до 8 атомов углерода, или арильную группу, любая из которых может быть дополнительно замещена одним или более атомами фтора или триметилсилоксильными группами; и где R 6 представляет собой алкиленовый сегмент (CH2)y, в котором y равно целому числу от 0 до 6, от 0 до 4 и от 0 до 2, и каждая метиленовая группа может быть необязательно дополнительно и независимо замещена группой, выбранной из группы, состоящей из простых эфиров, аминов, спиртов, сложных эфиров, карбонилов, карбоксилатов и карбаматов.

Кремнийорганический макромер может представлять собой смесь макромеров, имеющих химические структуры, показанные в формулах I-XVI.

Предпочтительно, кремнийорганический макромер выбран из группы, состоящей из поли(диалкилсилоксанов) с концевым моноалкилом, моно(мет)акрилатом, поли(диарилсилоксанов) с концевым моноалкилом, моноалкилом, моно(мет)акрилатом, поли(алкиларилсилоксанов) с концевым моноалкилом, моно(мет)акрилатом и их смесей.

Более предпочтительно, кремнийорганический макромер выбран из группы, состоящей из полидиметилсилоксана (формула XIII) с концевым моно-н-бутилом, монометакрилоксипропилом, полидиметилсилоксана (формула XIII) с концевым моно-н-бутилом, моно-(2-гидрокси-3-метакрилоксипропил)-пропиловым эфиром и их смесей.

Силикон-содержащий макромер может иметь среднечисловую молекулярную массу от около 500 дальтон до около 10 000 дальтон, или от около 500 дальтон до около 5000 дальтон, или от около 500 дальтон до около 2000 дальтон.

Связующий полимер предпочтительно представляет собой сополимер силикон-содержащего макромера и гидрофильного мономера и образован из повторяющихся звеньев силикон-содержащего макромера в диапазоне от около 30 до около 80% масс.; от около 30 до около 70% масс.; от около 40 до около 60% масс.; от около 45 до около 55% масс.; или около 50% масс. сополимера.

Связующий полимер может содержать повторяющиеся звенья, полученные из полидиметилсилоксана (mPDMS) с концевым моно-н-бутилом, монометакрилоксипропилом, полидиметилсилоксана (OH-mPDMS) с концевым моно-н-бутилом, моно-(2-гидрокси-3-метакрилоксипропил)пропиловым эфиром и их комбинаций.

Связующий полимер наиболее предпочтительно содержит повторяющиеся звенья, полученные из полидиметилсилоксана (mPDMS) с концевым моно-н-бутилом, монометакрилоксипропилом и 2-гидроксиэтилметакрилата (HEMA). Предпочтительно mPDMS содержит от около 30 до 80% масс.; от около 30 до около 70% масс.; от около 40 до около 60% масс.; от около 45 до около 55% масс.; или около 50% масс. сополимера.

Связующий полимер может иметь среднечисловую молекулярную массу в диапазоне от около 10 до около 100 кДа; или в диапазоне от около 20 до около 80 кДа; или в диапазоне от около 20 до около 60 кДа; или в диапазоне от около 20 до около 50 кДа.

Связующий полимер предпочтительно не является блочным сополимером или тройным полимером. Связующий полимер предпочтительно представляет собой неупорядоченный полимер, такой как неупорядоченный сополимер.

Связующие полимеры, описанные в настоящем документе, могут быть получены способами, известными специалистам в данной области техники. Например, связующий полимер может быть образован посредством любой реакции свободнорадикальной полимеризации, включающей по меньшей мере два мономера или макромера, независимо от статистики сополимеризации, с получением неупорядоченного, или статистического, или статистически неупорядоченного, или привитого сополимера. Привитые сополимеры образуются из макромеров, когда композиция боковых цепей макромера отличается от основной цепи сополимера. Сополимер может быть блочным на основании статистики сополимеризации; однако сополимер, который можно тщательно классифицировать как двублочный или трехблочный сополимер (например, на основе известных способов получения таких двублочных и трехблочных сополимеров), исключают из определения сополимера, используемого в настоящей заявке.

Композиция краски предпочтительно дополнительно содержит растворитель для облегчения смешивания компонентов и формирования косметической линзы. Подходящие растворители включают, без ограничений, этанол, 1-пропанол, 2-пропанол, 1-этокси-2-пропанол (1E2P), трет-бутиловый спирт, трет-амиловый спирт и 3,7-диметил-1,7-октандиол (D3O), метиловый эфир трипропиленгликоля (TPME), изопропиллактат (IPL), 1-(2-гидроксиэтил)-2-пирролидон (HEP), глицерин или смеси двух или более из них. Предпочтительными растворителями являются 1E2P, IPL, D3O, HEP, 1-пропанол или их смеси.

Предпочтительные композиции краски в соответствии с настоящим изобретением содержат от 0,1 до около 25% масс., предпочтительно от около 5 до около 15% масс. красителя; от около 1 до около 50% масс., предпочтительно от около 10 до около 40% масс. нереакционноспособного гидрофильного полимера; от около 1 до 60% масс., предпочтительно от около 5 до около 40% масс. трехблочного сополимера; и от около 50 до около 95% масс., предпочтительно от около 55 до около 80% масс. растворителя, каждый в расчете на общую массу композиции краски.

Композиция краски может быть нанесена или напечатана на одной или более поверхностях линзы или может быть напечатана на одной или более поверхностях пресс-формы, в которую будет помещен и в которой будет отвержден линзообразующий материал. В предпочтительном способе изготовления косметических линз, содержащих композицию краски по настоящему изобретению, используется термопластичная оптическая пресс-форма, изготовленная из любого подходящего материала, включая, без ограничений, циклические полиолефины и полиолефины, такие как полипропиленовая или полистирольная смола. Композицию краски наносят на требуемую часть формирующей поверхности пресс-формы. Под «формующей поверхностью» понимается поверхность пресс-формы или половины пресс-формы, используемая для формирования поверхности линзы. Предпочтительно осаждение осуществляется посредством тампонной печати следующим образом.

На металлическую пластину, предпочтительно изготовленную из стали или, что более предпочтительно, из нержавеющей стали, наносят слой фоторезистивного материала, который после отвердевания может превратиться в водонерастворимый материал. Элементы выбирают или конструируют, а затем уменьшают до необходимого размера с использованием любого из ряда оборудования (такого как оборудование для фотопечати), размещенного над металлической пластиной, а фоторезистивный материал отвердевает. Затем пластина промывается в водном растворе, и полученное изображение вытравливается на пластине до подходящей глубины, например, около 20 микрон. Затем на элементы наносят композицию краски для заполнения углублений.

Металлическая пластина также может быть протравлена лазером с помощью соответствующего программного обеспечения и лазером для извлечения металла в области, которая содержит предпочтительное изображение, таким образом создавая полости, воспроизводящие изображение на глубине от 15 мкм до 30 мкм. Кроме того, лазерное травление предпочтительного узора может происходить на других подложках, таких как керамика.

Силиконовую прокладку с геометрической формой, подходящей для печати на поверхности и изменения жесткости, прижимают к изображению на пластине для удаления композиции краски. Затем прокладку прижимают к формующей поверхности оптической пресс-формы. Пресс-форму дегазируют до 12 часов для удаления излишков растворителей и кислорода, после чего пресс-форму заполняют материалом линзы. Затем дополнительную половину пресс-формы используют для получения пресс-формы в сборе, и пресс-форму в сборе подвергают воздействию условий, подходящих для отверждения используемого материала линзы. Такие условия хорошо известны специалистам в данной области техники и зависят от выбранного материала линзы. После завершения отверждения и извлечения линзы из пресс-формы ее уравновешивают в забуференном солевом растворе.

В предпочтительном варианте осуществления сначала на формующую поверхность наносят прозрачное покрытие и высушивают перед добавлением композиции краски. Предпочтительно, чтобы такое прозрачное покрытие полностью образовывало самую внешнюю поверхность линзы. Прозрачное покрытие может, например, быть таким же, как и композиция краски, описанная в настоящем документе, но без красителя. Однако в качестве прозрачного покрытия можно использовать и другие материалы. Кроме того, множество слоев прозрачного покрытия и/или композиции краски могут быть нанесены на пресс-форму перед добавлением материала линзы для формирования желаемого косметического узора.

Композиция краски по настоящему изобретению может применяться для получения цветных жестких или мягких контактных линз, изготовленных из любого известного материала для линз или материала, пригодного для изготовления таких линз. Предпочтительно линзы по настоящему изобретению представляют собой мягкие контактные линзы; материалом для изготовления линз является любой материал, пригодный для изготовления мягких контактных линз. Предпочтительные подходящие материалы для изготовления мягких контактных линз с применением способа по настоящему изобретению включают, помимо прочего, силиконовые эластомеры, силикон-содержащие макромеры, включая без ограничений, описанные в патентах США № 5371147, 5314960 и 5057578, полностью включенных в настоящий документ путем ссылки, гидрогели, силикон-содержащие гидрогели и т.п., а также их комбинации. Более предпочтительно, чтобы линза была изготовлена из материала, содержащего силоксановые функциональные группы, включая, без ограничений, макромеры полидиметилсилоксана, метакрилоксипропилполиалкилсилоксаны и их смеси, силикон-гидрогель или гидрогель, изготовленный из мономеров, содержащих гидрокси-группы, карбоксильные группы, или оба, или их комбинации.

Материалы для получения мягких контактных линз хорошо известны и коммерчески доступны. Например, силикон-гидрогель может быть изготовлен из по меньшей мере одного гидрофильного компонента и по меньшей мере одного силикон-содержащего компонента, которые при полимеризации образуют основной материал линзы. Примеры подходящих семейств гидрофильных компонентов, которые могут присутствовать в реакционной смеси, из которой образуется линза, включают (мет)акрилаты, стиролы, простые виниловые эфиры, (мет)акриламиды, N-виниллактамы, N-виниламиды, N-винилимиды, N-винилмочевины, O-винилкарбаматы, O-винилкарбонаты, другие гидрофильные виниловые соединения и их смеси. Силиконсодержащие компоненты хорошо известны и подробно описаны в патентной литературе. Например, силиконсодержащий компонент может содержать по меньшей мере одну полимеризуемую группу (например, (мет)акрилат, стирол, виниловый эфир, (мет)акриламид, N-виниллактам, N-виниламид, O-винилкарбамат, O-винилкарбонат, винильную группу или смеси перечисленных выше соединений), по меньшей мере одну силоксановую группу и одну или более из связующих групп, соединяющих полимеризуемую (-ые) группу (-ы) с силоксановой (-ыми) группой (-ами). Силиконсодержащие компоненты могут, например, содержать от 1 до 220 силоксановых повторяющихся единиц. Силиконсодержащий компонент может также содержать по меньшей мере один атом фтора.

В качестве дополнительного примера материал линзы может представлять собой любой из аквафилкона, асмофилкона, балафилкона, комфилкона, делефилкона, энфилкона, фанфилкона, формофилкона, галифилкона, лотрафилкона, нарафилкона, риофилкона, самфилкона, сенофилкона, сомофилкона и стенфилкона, включая все их варианты, а также силикон-гидрогели, изготовленные в соответствии с патентами США №4,659,782, 4,659,783, 5,244,981, 5,314,960, 5,331,067, 5,371,147, 5,998,498, 6,087,415, 5,760,100, 5,776,999, 5,789,461, 5,849,811, 5,965,631, 6,367,929, 6,822,016, 6,867,245, 6,943,203, 7,247,692, 7,249,848, 7,553,880, 7,666,921, 7,786,185, 7,956,131, 8,022,158, 8,273,802, 8,399,538, 8,470,906, 8,450,387, 8,487,058, 8,507,577, 8,637,621, 8,703,891, 8,937,110, 8,937,111, 8,940,812, 9,056,878, 9,057,821, 9,125,808, 9,140,825, 9156,934, 9,170,349, 9,244,196, 9,244,197, 9,260,544, 9,297,928, 9,297,929, а также WO 03/22321, WO 2008/061992, US 2010/0048847 и заявкой США с серийным номером 15/691829. В другом варианте осуществления линза может быть изготовлена из традиционного гидрогелевого материала, например, этафилкона, генфилкона, гилафилкона, ленефилкона, нелфилкона, окуфилкона, омафилкона, полимакона и вифилкона, включая все их варианты.

Предпочтительная композиция для материала линз содержит: гидрофильный компонент, выбранный из N, N-диметилакриламида («DMA»), 2-гидроксиэтилметакрилата («HEMA») и их смесей; силиконсодержащий компонент, выбранный из 2-гидрокси-3-[3-метил-3,3-ди(триметилсилокси)силилпропокси]пропилметакрилата (SiMAA), полидиметилсилоксана с концевыми монометакрилоксипропильной, моно-н-бутильной группами (mPDMS), полидиметилсилоксана с концевыми моно-(2-гидрокси-3-метакрилоксипропилокси)-пропильной, моно-н-бутильной группами (OH-mPDMS) и их смесей; внутренний смачивающий агент (предпочтительно полиамид, такой как поли(N-винилпирролидон) (PVP), поли(N, N-диметилакриламид) (PDMA) или поливинилметилацетамид (PVMA)); и свободнорадикальный инициатор. Для гидрофильного компонента предпочтительными являются смеси DMA и HEMA. Для силикон-содержащего компонента предпочтительными являются OH-mPDMS или смеси SiMAA и mPDMS. Композиция может содержать другие ингредиенты, известные в данной области техники, для получения мягких контактных линз, включая, без ограничений, разбавители, сшивающие агенты, светопоглощающие соединения (например, Уф-блокаторы или блокаторы высокоэнергетического излучения синей части видимого спектра) и т.п.

Следующие не имеющего ограничительного характера примеры дополнительно иллюстрируют изобретение.

ПРИМЕРЫ

Визуализацию применяли для качественной оценки общего качества печатного рисунка по сравнению с желаемой конфигурацией («размытость» в таблицах); уровень размытости классифицировали на основании степени тяжести («незначительная, умеренная, тяжелая или отсутствующая» в таблицах). Визуализацию также использовали для оценки степени округлости и уровня деформации линз («круглый» или «некруглый» (OOR) в таблицах). Неприемлемые уровни мутности или светопроницаемости также были отмечены при помощи визуализации (мутный или немутный). Изображения силикон-гидрогелевых контактных линз с рисунком получали с использованием стереомикроскопа Nikon SMZ18 с волоконной основой диаскопического освещения P2-DBF (объектив 1X с увеличением 0,75-1X). Силикон-гидрогелевую контактную линзу с рисунком помещали вогнутой стороной вниз в кристаллическую ячейку, полностью заполненную забуференным боратом раствором для хранения. Образцы помещали в смотровое окно, а микроскоп регулировали так, чтобы сфокусировать изображение.

Долговечность печатного рисунка оценивали путем растирания поверхности с рисунком ватным тампоном. Испытание состоит из 50 циклов протирания линзы. Каждый цикл протирания начинался в центре линзы на поверхности с нанесенной краской, а затем выполнялся в одном направлении. Каждую линзу систематически оценивали, протирая в четырех ортогональных направлениях. Если рисунок оставался нетронутым в течение 50 таких циклов протирания, то он считается постоянным (в таблицах «нет истирания»). В противном случае, если во время 50 циклов протирания какая-либо часть печатного рисунка смещена, нарушена или удалена, то считается, что рисунок истираемый («истирание» в таблицах).

Смачиваемость линз определяли с помощью метода неподвижной капли с использованием прибора KRUSS DSA-100 TM при комнатной температуре и при использовании деионизированной воды в качестве исследуемого раствора («неподвижная капля» в таблицах). Тестируемые линзы промывали в деионизированной воде для удаления остатков раствора для хранения. Каждая тестируемая линза была помещена на промокательные безворсовые салфетки, смоченные раствором для хранения. Обе стороны линзы промокали салфеткой для удаления воды с поверхности без сушки линзы. Для обеспечения надлежащего выравнивания линзы поместили «чашеобразной» стороной вниз на выпуклой поверхности пластиковых форм для литья контактных линз. Пластиковую форму для литья и линзу помещали в держатель прибора неподвижной капли, обеспечивая надлежащую регулировку шприца по центру. С использованием программного обеспечения для анализа формы капли DSA 100 на конце шприца формировали каплю из 3-4 мкл деионизированной воды, следя за тем, чтобы капля жидкости свисала, не касаясь линзы. Каплю плавно опустили на поверхность линзы путем перемещения иглы вниз. Иглу отвели назад сразу после выдачи капли. Капле жидкости давали прийти в равновесие на линзе от 5 до 10 секунд и измеряли контактный угол между изображением капли и поверхностью линзы. Обычно оценивали от трех до пяти линз и регистрировали средний угол смачивания. Стандартные отклонения определяли и приводили в таблицах в скобках ( ).

В примерах будут использованы следующие сокращения, значения которых приведены ниже.

л: литр (-ы)

мл: миллилитр (-ы)

эквив. или экв.: эквивалент (-ы)

кг: килограмм (-ы)

г: грамм (-ы)

мг: миллиграмм (-ы)

моль: моль

ммоль: миллимоль

мин: минута (-ы)

см: сантиметр (-ы)

нм: нанометр (-ы)

об/мин: оборотов в минуту

Да: дальтон или г/моль

кДа: килодальтон или атомная единица массы, равная 1000 дальтон

% масс.: весовое процентное содержание

TL03 источники света: Лампы Phillips TLK 40W/03

BC: пластиковая пресс-форма базовой криволинейной поверхности

FC: пластмассовая пресс-форма передней криволинейной поверхности

PP: полипропилен, который является гомополимером пропилена и используется в качестве смолы или компонента пластиковой пресс-формы

TT: Tuftec, который представляет собой гидрогенизированный бутадиен-стирольный блок-сополимер (Asahi Kasei Chemicals) и используется в качестве смолы или компонента пластиковой пресс-формы

Z: Zeonor, который представляет собой полициклоолефиновый термопластичный полимер (Nippon Zeon Co Ltd) и используется в качестве смолы или компонента пластиковой пресс-формы

RMM: реакционная(-ые) мономерная(-ые) смесь (-и)

DMA: N, N-диметилакриламид (Jarchem)

NVP: N-винилпироллидон

HEMA: 2-гидроксиэтилметакрилат (Bimax)

PVP, PVP K30, PVP K60, PVP K90: поли(N-винилпирролидон) (ISP Ashland)

TEGDMA: тетраэтиленгликольдиметакрилат (Esstech)

Omnirad 1870: смесь бис(2,6-диметоксибензоил)-2,4,4-триметилпентилфосфиноксида и

mPDMS: полидиметилсилоксан с моно-н-бутильными и монометакрилоксипропильными концевыми группами (Mn=800-1500 дальтон) (Gelest)

SiMAA: 2-пропеновая кислота, 2-метил-2-гидрокси-3-[3-[1,3,3,3-тетраметил-1-[(триметилсилил)окси]дисилоксанил]пропокси]пропиловый эфир (Toray) или 3-(3-(1,1,1,3,5,5,5-гептаметилтрисилоксан-3-ил)пропокси)-2-гидроксипропилметакрилат

Norbloc: 2-(2’-гидрокси-5-метакрилоксиэтилфенил)-2H-бензотриазол (Janssen)

Голубой HEMA: 1-амино-4-[3-(4-(2-метакрилоилоксиэтокси)-6-хлортриазин-2-иламино)-4-сульфофениламино]антрахинон-2-сульфоновая кислота, как описано в патенте США № 5,944,853

забуференный боратом раствор для хранения: 18,52 граммов (300 ммоль) борной кислоты, 3,7 граммов (9,7 ммоль) декагидрата бората натрия и 28 граммов (197 ммоль) сульфата натрия растворяли в количестве деионизированной воды, достаточном для заполнения 2-литровой мерной колбы.

AIBN: азобисизобутиронитрил

FTIR: инфракрасная спектроскопия с преобразованием Фурье

DCA: Смачиваемость под динамическим углом смачивания

DIW: деионизированная вода

IPA: изопропиловый спирт

ТГФ: тетрагидрофуран

D3O: 3,7-диметил-3-октанол (Vigon)

1E2P: 1-этокси-2-пропанол

3E3P: 3-этил 3-пентанол

HEP: 1-(2-гидроксиэтил)-2-пирролидон

IPL: изопропиллактат

забуференный боратом раствор для хранения: 18,52 граммов (300 ммоль) борной кислоты, 3,7 граммов (9,7 ммоль) декагидрата бората натрия и 28 граммов (197 ммоль) сульфата натрия растворяли в количестве деионизированной воды, достаточном для заполнения 2-литровой мерной колбы.

Получение 1

Раствор AIBN получали растворением 4 грамм AIBN в 300 граммах 1-пропанола. Перед использованием раствор AIBN деаэрировали газообразным азотом в течение 15-20 минут. Раствор мономера получали растворением 98 грамм HEMA и 98 грамм mPDMS в 91 граммах 1-пропанола. Перед использованием раствор мономера деаэрировали газообразным азотом в течение 15-20 минут.

Реактор с рубашкой объемом два литра, содержащий 279 грамм 1-пропанола, нагревали до 70 °C в атмосфере газообразного азота с использованием водяной бани. С помощью насоса Watson-Marlow в реактор добавляли растворы AIBN и мономера в течение четырех часов. Реакционную смесь перемешивали в течение ночи, после чего температуру снижали до 50 °C, и отслеживали превращение мономера с помощью FTIR до тех пор, пока не исчезнет двойная углерод-углеродная связь. Полное превращение требовало приблизительно 24 часов.

Реакционную смесь переместили в сосуд из прозрачного стекла. Сополимер выделяли осаждением в воде, фильтрацией под вакуумом и вакуумной сушкой с получением около 182 граммов продукта (сополимер № 1).

Пример 1

Композиции 1A-1D красок получали путем добавления 9% масс. черного пигмента оксида железа (черный Sicovit® 85 E 172, Rockwood Italia SpA-Divisione Silo) к растворам прозрачного покрытия, перечисленным в таблице 1. Краски смешивали с помощью лабораторной шаровой мельницы (трубчатая приводная система Ultra-Turrax® (UTTD), IKA). Кроме того, краски могут быть дополнительно смешаны вручную с помощью валковой мельницы или с использованием вертикальной мешалки со скоростью 700-1800 об/мин в течение 30 минут.

Таблица 1

Компонент Прозрачное покрытие 1A (% масс.) Прозрачное покрытие 1B (% масс.) Прозрачное покрытие 1C (% масс.) Прозрачное покрытие 1D (% масс.) Сополимер № 1 8,4 7,3 3 3 PVP K60 0 0 5,7 6,75 PVP K30 19,6 14,7 23,3 20,25 HEP 0 0 6,8 0 IPL 36 0 0 0 D3O 0 7,7 0 23,1 1E2P 36 70,3 61,2 46,9 Итого 100 100 100 100

Пример 2

Пресс-формы передней криволинейной поверхности были напечатаны с использованием лабораторного тампонного принтера сначала с прозрачным покрытием (прозрачные покрытия 1A-1D), а затем с помощью шаблонного образца Vivid® с использованием красок 1A-1D. Эти напечатанные пресс-формы передней криволинейной поверхности дегазировали в течение по меньшей мере 12 часов в атмосфере азота. Контактные линзы с рисунком изготавливали в перчаточном боксе, в котором уровень газообразного кислорода поддерживали в диапазоне от 0,5 до 5%. Около 100 микролитров RMM № 1, перечисленных в таблице 2, дозировали в напечатанные пресс-формы передней криволинейной поверхности при температуре окружающей среды. Время между дозированием RMM № 1 и размещением BC называется «задержкой 1». Номинальное время задержки 1 составляло не более 5 секунд, если не указано иное. Затем над RMM № 1 помещали пресс-формы базовой криволинейной поверхности. Затем поверх комплектов пресс-форм помещали прозрачную кварцевую пластину. Затем поддоны, содержащие комплекты пресс-форм, перемещали в камеру для отверждения при 60-70 °C. Время между размещением веса и началом отверждения называется «задержка 2». Номинальная задержка 2 составляла не менее 5 минут, если не указано иное. Отверждение начинается с облучения поддонов, содержащих комплекты пресс-форм, флуоресцентными лампами TL 20W/03 T (Philips), расположенными таким образом, чтобы достичь интенсивности 4,0 мВт/см2 в течение 8 минут.

Таблица 2

Компонент Весовое процентное содержание mPDMS: 28 SIMAA 31 DMA 22,6 HEMA 6 PVP K90 9 TEGDMA 1,25 Norbloc 1,8 Голубой HEMA 0,02 OmniRad 1870 0,33 Σ реакционноспособных компонентов 100 Итоговая реакционная мономерная смесь RMM № 1 была приготовлена смешиванием указанной выше смеси компонентов с разбавителем D3O для получения раствора, содержащего 77% масс. реакционноспособных компонентов и 23% масс. разбавителя D3O.

инзы с рисунком формовали вручную, при этом большинство линз прилипало к FC, и извлекали путем погружения линз в 70-процентный IPA в течение около одного или двух часов с последующей промывкой два раза 70-процентным IPA, необязательно два раза 25-процентным IPA, два раза с помощью DI и, наконец, два раза забуференным боратом упаковочным раствором. Каждый этап промывки длился около 30 минут. Специалист обычной квалификации определит, что данный процесс извлечения линзы может быть изменен в зависимости от состава линзы и материалов пресс-формы, с учетом концентрации водных растворов изопропанола, количества промывок каждым растворителем и продолжительности каждого этапа. Целью процесса извлечения линз является извлечение всех линз без нанесения повреждений и переход от пропитанных разбавителем сеток к пропитанным раствором для хранения гидрогелям. Линзы переносили во флаконы и стерилизовали автоклавированием при 122 °C в течение 30 минут. Стерильные линзы с рисунком (2A-2D, изготовленные из композиций 1A-1D краски соответственно) оценивали на мутность, размытость, долговечность и форму, и результаты представлены в таблице 3 [задержка 1=5 секунд; Задержка 2=300 секунд].

Таблица 3

Тест Линза с рисунком 2A (% масс.) Линза с рисунком 2B (% масс.) Линза с рисунком 2C (% масс.) Линза с рисунком 2D (% масс.) Мутность Нет Нет Нет Нет Размытость Нет Нет Средняя Незначительная Долговечность Истирание Без истирания Без истирания Без истирания форма Круглая Круглая Круглая Круглая Неподвижная капля -- -- 78 (11,0) 78 (3,0)

Как показано в таблице 3, линзы с рисунком 2B и 2D были прозрачными и круглыми и не демонстрировали истирания рисунка при лишь незначительной размытости или при ее отсутствии. Линза с рисунком 2D также была смачиваемой.

Пример 3

Композиции 3A-3C красок получали путем добавления 9% масс. черного пигмента оксида железа (черный Sicovit® 85 E 172, Rockwood Italia SpA-Divisione Silo) к растворам прозрачного покрытия, перечисленным в таблице 4. Краски смешивали с помощью лабораторной шаровой мельницы (трубчатая приводная система Ultra-Turrax® (UTTD), IKA). Кроме того, краски могут быть дополнительно смешаны вручную с помощью валковой мельницы или с использованием вертикальной мешалки со скоростью 700-1800 об/мин в течение 30 минут.

Таблица 4

Компонент Прозрачное покрытие 3A (% масс.) Прозрачное покрытие 3B (% масс.) Прозрачное покрытие 3C (% масс.) Сополимер № 1 3 3 6,0 PVP K60 5,7 6,75 7,75 PVP K30 23,3 20,25 13,25 HEP 6,8 0 14,0 IPL 0 0 38 D3O 0 23,1 0 1E2P 61,2 46,9 16,0 1-Пропанол 0 0 5 Итого 100 100 100

Пример 4

Пресс-формы передней криволинейной поверхности были напечатаны с использованием лабораторного тампонного принтера сначала с прозрачным покрытием (прозрачные покрытия 3A-3C), а затем с помощью шаблонного образца Vivid® с использованием красок 3A-3C. Эти напечатанные пресс-формы передней криволинейной поверхности дегазировали в течение по меньшей мере 12 часов в атмосфере азота. Контактные линзы с рисунком изготавливали в перчаточном боксе, в котором уровень газообразного кислорода поддерживали в диапазоне от 0,5 до 5%. Около 100 микролитров RMM № 1, перечисленных в таблице 2, дозировали в напечатанные пресс-формы передней криволинейной поверхности при температуре окружающей среды. Время между дозированием RMM № 1 и размещением BC называется «задержкой 1». Номинальное время задержки 1 составляло не более 5 секунд, если не указано иное. Затем над RMM № 1 помещали пресс-формы базовой криволинейной поверхности. Затем поверх комплектов пресс-форм помещали прозрачную кварцевую пластину. Затем поддоны, содержащие комплекты пресс-форм, перемещали в камеру для отверждения при 60-70 °C. Время между размещением веса и началом отверждения называется «задержка 2». Номинальная задержка 2 составляла не менее 5 минут, если не указано иное. Отверждение начинается с облучения поддонов, содержащих комплекты пресс-форм, флуоресцентными лампами TL 20W/03 T (Philips), расположенными таким образом, чтобы достичь интенсивности 4,0 мВт/см2 в течение 8 минут.

Линзы с рисунком формовали вручную, при этом большинство линз прилипало к FC, и извлекали путем погружения линз в 70-процентный IPA в течение около одного или двух часов с последующей промывкой два раза 70-процентным IPA, необязательно два раза 25-процентным IPA, два раза с помощью DI и, наконец, два раза забуференным боратом упаковочным раствором. Каждый этап промывки длился около 30 минут. Специалист обычной квалификации определит, что данный процесс извлечения линзы может быть изменен в зависимости от состава линзы и материалов пресс-формы, с учетом концентрации водных растворов изопропанола, количества промывок каждым растворителем и продолжительности каждого этапа. Целью процесса извлечения линз является извлечение всех линз без нанесения повреждений и переход от пропитанных разбавителем сеток к пропитанным раствором для хранения гидрогелям. Линзы переносили во флаконы и стерилизовали автоклавированием при 122 °C в течение 30 минут. Стерильные линзы с рисунком (4A-4C, изготовленные из композиций 3A-3C краски соответственно) оценивали на мутность, размытость, долговечность и форму, и результаты представлены в таблице 5 [задержка 1=5 секунд; Задержка 2=300 секунд].

Таблица 5

Тест Линза с рисунком 4A (% масс.) Линза с рисунком 4B (% масс.) Линза с рисунком 4C (% масс.) Мутность Нет Нет Нет Размытость Средняя Незначительная Нет Долговечность Без истирания Без истирания Без истирания форма Круглая Круглая Круглая Неподвижная капля 78 (11,1) 77,7 (2,9) 93 (10)

Как показано в таблице 5, линзы с рисунком 4B и 4C были прозрачными и круглыми и не демонстрировали истирания рисунка при лишь незначительной размытости или при ее отсутствии. Линза с рисунком 4B также была смачиваемой.

Пример 5

Композиции 5A-5D красок получали путем добавления 9% масс. черного пигмента оксида железа (черный Sicovit® 85 E 172, Rockwood Italia SpA-Divisione Silo) к растворам прозрачного покрытия, перечисленным в таблице 6. Краски смешивали с помощью лабораторной шаровой мельницы (трубчатая приводная система Ultra-Turrax® (UTTD), IKA). Кроме того, краски могут быть дополнительно смешаны вручную с помощью валковой мельницы или с использованием вертикальной мешалки со скоростью 700-1800 об/мин в течение 30 минут.

Таблица 6

Компонент Прозрачное покрытие 5A (% масс.) Прозрачное покрытие 5B (% масс.) Прозрачное покрытие 5C (% масс.) Прозрачное покрытие 5D (% масс.) PVP K60 10 8 8 8,75 PVP K30 19 24 24 26,25 HEP 0 0 0 6,5 IPL 0 51 17 0 D3O 7 0 0 0 1E2P 64 17 51 58,5 Итого 100 100 100 100

Пример 6

Пресс-формы передней криволинейной поверхности были напечатаны с использованием лабораторного тампонного принтера сначала с прозрачным покрытием (прозрачные покрытия 5A-5D), а затем с помощью шаблонного образца Vivid® с использованием красок 5A-5D. Эти напечатанные пресс-формы передней криволинейной поверхности дегазировали в течение по меньшей мере 12 часов в атмосфере азота. Контактные линзы с рисунком изготавливали в перчаточном боксе, в котором уровень газообразного кислорода поддерживали в диапазоне от 0,5 до 5%. Около 100 микролитров RMM № 1, перечисленных в таблице 2, дозировали в напечатанные пресс-формы передней криволинейной поверхности при температуре окружающей среды. Время между дозированием RMM № 1 и размещением BC называется «задержкой 1». Номинальное время задержки 1 составляло не более 5 секунд, если не указано иное. Затем над RMM № 1 помещали пресс-формы базовой криволинейной поверхности. Затем поверх комплектов пресс-форм помещали прозрачную кварцевую пластину. Затем поддоны, содержащие комплекты пресс-форм, перемещали в камеру для отверждения при 60-70 °C. Время между размещением веса и началом отверждения называется «задержка 2». Номинальная задержка 2 составляла не менее 5 минут, если не указано иное. Отверждение начинается с облучения поддонов, содержащих комплекты пресс-форм, флуоресцентными лампами TL 20W/03 T (Philips), расположенными таким образом, чтобы достичь интенсивности 4,0 мВт/см2 в течение 8 минут.

Линзы с рисунком формовали вручную, при этом большинство линз прилипало к FC, и извлекали путем погружения линз в 70-процентный IPA в течение около одного или двух часов с последующей промывкой два раза 70-процентным IPA, необязательно два раза 25-процентным IPA, два раза с помощью DI и, наконец, два раза забуференным боратом упаковочным раствором. Каждый этап промывки длился около 30 минут. Специалист обычной квалификации определит, что данный процесс извлечения линзы может быть изменен в зависимости от состава линзы и материалов пресс-формы, с учетом концентрации водных растворов изопропанола, количества промывок каждым растворителем и продолжительности каждого этапа. Целью процесса извлечения линз является извлечение всех линз без нанесения повреждений и переход от пропитанных разбавителем сеток к пропитанным раствором для хранения гидрогелям. Линзы переносили во флаконы и стерилизовали автоклавированием при 122 °C в течение 30 минут. Стерильные линзы с рисунком (6A-6D, изготовленные из композиций 5A-5D краски соответственно) оценивали на мутность, размытость, долговечность и форму, и результаты представлены в таблице 7 [задержка 1=5 секунд; Задержка 2=300 секунд].

Таблица 7

Тест Линза с рисунком 6A (% масс.) Линза с рисунком 6B (% масс.) Линза с рисунком 6C (% масс.) Линза с рисунком 6D (% масс.) Мутность Нет Нет Нет Нет Размытость Сильная Средняя Незначительная Незначительная Долговечность Без истирания Без истирания Без истирания Без истирания форма Круглая Круглая Круглая Круглая Неподвижная капля 89 (7,1) 69 (15,2) 70 (38,8) 61,5 (3,2)

Как показано в таблице 7, линзы с рисунком 6C и 6D были прозрачными и круглыми и не демонстрировали истирания рисунка при лишь незначительной размытости. Линзы с рисунком 6C и 6D также были смачиваемыми.

Пример 7

Композицию 7A краски получали путем добавления 9% масс. черного пигмента оксида железа (черный Sicovit® 85 E 172, Rockwood Italia SpA-Divisione Silo) к растворам прозрачного покрытия, перечисленным в таблице 8. Набор композиций 7 В красок получили путем добавления комбинации черных, синих и белых пигментов в различных концентрациях 3,8-9,0% масс. к растворам прозрачного покрытия, перечисленным в таблице 8, для создания набора из 3 цветных красок. Набор из 3 красок использовали для создания одного дизайна косметической краски для линз с рисунком 7В. Краски смешивали с помощью лабораторной шаровой мельницы (трубчатая приводная система Ultra-Turrax® (UTTD), IKA). Кроме того, краски могут быть дополнительно смешаны вручную с помощью валковой мельницы или с использованием вертикальной мешалки со скоростью 700-1800 об/мин в течение 30 минут.

Таблица 8

Компонент Прозрачное покрытие 7A (% масс.) Прозрачное покрытие 7B (% масс.) PVP K60 8,0 15,0 PVP K30 14,0 0 Связующий полимер 6,0 5,0 Глицерин 0 1,0 HEP 10,0 6,0 IPL 25,0 13,0 1E2P 37,0 60,0 Итого 100 100

Пресс-формы литья передней криволинейной поверхности были напечатаны с помощью тампонного принтера сначала с прозрачным покрытием (прозрачные покрытия 7A и 7B), а затем с помощью шаблонных образцов с помощью красок 7A или 7B. Контактные линзы с рисунком изготавливали на производственной линии с пилотной установкой, в которой уровень газообразного кислорода поддерживали в диапазоне от 0,5 до 5%. Около 100 микролитров RMM № 2, перечисленных в таблице 9, дозировали в напечатанные пресс-формы передней криволинейной поверхности при температуре окружающей среды. Время между дозированием RMM № 2 и размещением BC называется «задержкой 1». Номинальное время задержки 1 составляло не более 5 секунд, если не указано иное. Затем над RMM № 2 помещали пресс-формы базовой криволинейной поверхности. Затем поверх комплектов пресс-форм помещали грузы для предварительного отверждения. Затем поддоны, содержащие комплекты пресс-форм, перемещали в нагретый туннель для предварительного отверждения при 30 °C. Время между размещением веса и началом отверждения называется «задержка 2». Номинальная задержка 2 составляла не менее 5 минут, если не указано иное. Отверждение начинается с облучения поддонов, содержащих комплекты пресс-форм, флуоресцентными лампами TL 20W/03 T (Philips), расположенными таким образом, чтобы достичь интенсивности 4,0 мВт/см2 в течение 8 минут.

Таблица 9: RMM № 2

Компонент Весовое процентное содержание mPDMS 31,0 SIMAA 28,0 DMA 24,0 HEMA 5,85 PVP K90 7 TEGDMA 1,66 Norbloc 2,0 Голубой HEMA 0,02 OmniRad 184 0,14 OmniRad 1870 0,34 Σ реакционноспособных компонентов 100 Итоговая реакционная мономерная смесь RMM № 2 была приготовлена смешиванием указанной выше смеси компонентов с разбавителем D3O для получения раствора, содержащего 77% масс. реакционноспособных компонентов и 23% масс. разбавителя D3O.

Линзы с рисунком формовали, при этом большинство линз прилипало к FC, и извлекали путем погружения линз в 70-процентный IPA в течение около одного или двух часов с последующей промывкой два раза 70-процентным IPA, необязательно два раза 25-процентным IPA, два раза с помощью DI и, наконец, один раз забуференным боратом упаковочным раствором. Каждый этап промывки длился около 30 минут. Специалист обычной квалификации определит, что данный процесс извлечения линзы может быть изменен в зависимости от состава линзы и материалов пресс-формы, с учетом концентрации водных растворов изопропанола, количества промывок каждым растворителем и продолжительности каждого этапа. Целью процесса извлечения линз является извлечение всех линз без нанесения повреждений и переход от пропитанных разбавителем сеток к пропитанным раствором для хранения гидрогелям. Линзы осматривали и упаковывали в термозапечатанные блистеры, а затем стерилизовали в автоклаве при 121 °C в течение 18 минут. Стерильные линзы с рисунком (7A-7B, изготовленные из композиций 7A-7B краски соответственно) оценивали на мутность, размытость, долговечность, форму и смачиваемость, и результаты представлены в таблице 3 (задержка 1=5 секунд; Задержка 2=300 секунд).

Таблица 10

Тест Линза с рисунком 7A Линза с рисунком 7B Цветные слои 1 3 Мутность Нет Нет Размытость Нет Нет Долговечность Без истирания Без истирания форма Круглая Круглая Динамический краевой угол смачивания (DCA) 60 (10) 64 (17) Неподвижная капля 77,1 (7) 97,9 (8)

Как показано в таблице 10, линзы 7A и 7B с рисунком были прозрачными, круглыми, не демонстрировали истирания или размытости рисунка и были смачиваемыми.

Пример 8

Набор композиций 8A красок получили путем добавления комбинации черных, синих и белых пигментов в различных концентрациях 3,8-9,0% масс. к растворам основы краски, перечисленным в таблице 8, для создания набора из 3 цветных красок. Набор из 3 красок использовали для создания одного дизайна косметической краски для линз с рисунком 8A. Краски смешивали с помощью лабораторной шаровой мельницы (трубчатая приводная система Ultra-Turrax® (UTTD), IKA). Кроме того, краски могут быть дополнительно смешаны вручную с помощью валковой мельницы или с использованием вертикальной мешалки со скоростью 700-1800 об/мин в течение 30 минут.

Таблица 11

Компонент Основа 8A краски PVP K60 0 PVP K30 22,5 Связующий полимер 7,5 Глицерин 1 HEP 0 IPL 24,0 1E2P 45,0 Итого 100

Пресс-формы литья передней криволинейной поверхности были напечатаны с помощью тампонного принтера сначала с прозрачным покрытием (прозрачное покрытие 7B из примера 7), а затем с помощью шаблонных образцов с помощью набора красок 8A. Контактные линзы с рисунком изготавливали на производственной линии с пилотной установкой, в которой уровень газообразного кислорода поддерживали в диапазоне от 0,5 до 5%. Около 100 микролитров RMM № 2, перечисленных в таблице 9, дозировали в напечатанные пресс-формы передней криволинейной поверхности при температуре окружающей среды. Время между дозированием RMM № 2 и размещением BC называется «задержкой 1». Номинальное время задержки 1 составляло не более 5 секунд, если не указано иное. Затем над RMM № 2 помещали пресс-формы базовой криволинейной поверхности. Затем поверх комплектов пресс-форм помещали грузы для предварительного отверждения. Затем поддоны, содержащие комплекты пресс-форм, перемещали в нагретый туннель для предварительного отверждения при 30 °C. Время между размещением веса и началом отверждения называется «задержка 2». Номинальная задержка 2 составляла не менее 5 минут, если не указано иное. Отверждение начинается с облучения поддонов, содержащих комплекты пресс-форм, флуоресцентными лампами TL 20W/03 T (Philips), расположенными таким образом, чтобы достичь интенсивности 4,0 мВт/см2 в течение 8 минут.

Линзы с рисунком формовали, при этом большинство линз прилипало к FC, и извлекали путем погружения линз в 70-процентный IPA в течение около одного или двух часов с последующей промывкой два раза 70-процентным IPA, необязательно два раза 25-процентным IPA, два раза с помощью DI и, наконец, один раз забуференным боратом упаковочным раствором. Каждый этап промывки длился около 30 минут. Специалист обычной квалификации определит, что данный процесс извлечения линзы может быть изменен в зависимости от состава линзы и материалов пресс-формы, с учетом концентрации водных растворов изопропанола, количества промывок каждым растворителем и продолжительности каждого этапа. Целью процесса извлечения линз является извлечение всех линз без нанесения повреждений и переход от пропитанных разбавителем сеток к пропитанным раствором для хранения гидрогелям. Линзы осматривали и упаковывали в термозапечатанные блистеры, а затем стерилизовали в автоклаве при 121 °C в течение 18 минут. Стерильные линзы с рисунком (78A, изготовленные из прозрачного покрытия 7B и набора композиций краски 8A соответственно) оценивали на мутность, размытость, долговечность, форму и смачиваемость и результаты, перечисленные в таблице 3 (задержка 1=5 секунд; Задержка 2=300 секунд).

Таблица 12

Тест Линза с рисунком 8A Цветные слои 3 Мутность Нет Размытость Нет Долговечность Без истирания форма Круглая Динамический краевой угол смачивания (DCA) 50 (6) Неподвижная капля 100 (11)

Как показано в таблице 12, линзы с рисунком 8A с использованием различных композиций для слоев краски были прозрачными, круглыми, не демонстрировали истирания или размытости рисунка и были смачиваемыми.

Похожие патенты RU2831588C1

название год авторы номер документа
СИЛИКОН-ГИДРОГЕЛЕВЫЕ КОНТАКТНЫЕ ЛИНЗЫ, ИМЕЮЩИЕ НЕОДНОРОДНУЮ СТРУКТУРУ 2020
  • Алли, Азаам
  • Ридерер, Дональд Э.
  • Гусман, Александер
  • Санта Мария, Бернардо
RU2818105C2
ИМИДАЗОЛИЕВЫЕ ЦВИТТЕР-ИОННЫЕ ПОЛИМЕРИЗУЕМЫЕ СОЕДИНЕНИЯ И СОДЕРЖАЩИЕ ИХ ОФТАЛЬМОЛОГИЧЕСКИЕ УСТРОЙСТВА 2021
  • Махадеван, Шивкумар
  • Синха, Дола
  • Чжан, Юн
RU2840670C1
ПОЛИМЕРИЗУЕМЫЕ КОНДЕНСИРОВАННЫЕ ТРИЦИКЛИЧЕСКИЕ СОЕДИНЕНИЯ В КАЧЕСТВЕ ПОГЛОТИТЕЛЕЙ УФ-ИЗЛУЧЕНИЯ И ВИДИМОГО СВЕТА 2020
  • Махадеван, Шивкумар
  • Райт, Дон Д.
RU2795094C2
СВЕТОУСТОЙЧИВАЯ ИМИТАЦИЯ МАКУЛЯРНОГО ПИГМЕНТА 2020
  • Махадеван, Шивкумар
RU2800871C2
ПОЛИМЕРИЗУЕМЫЕ ПОГЛОТИТЕЛИ УФ-ИЗЛУЧЕНИЯ И ВЫСОКОЭНЕРГЕТИЧЕСКОГО ВИДИМОГО ИЗЛУЧЕНИЯ 2019
  • Махарви, Гхулам
  • Махадеван, Шивкумар
  • Арнольд, Стефен К.
  • Мартин, Патрисия
  • Сонода, Лейлани К.
  • Синха, Дола
RU2791254C2
КОНТАКТНАЯ ЛИНЗА, СОДЕРЖАЩАЯ ФОТОЧУВСТВИТЕЛЬНЫЙ ХРОМОФОР, И УПАКОВКА ДЛЯ НЕЕ 2020
  • Мартин, Патрисия
  • Махадеван, Шивкумар
RU2832160C1
МУЛЬТИФОКАЛЬНАЯ КОНТАКТНАЯ ЛИНЗА, ДЕМОНСТРИРУЮЩАЯ УЛУЧШЕННЫЕ ПОКАЗАТЕЛИ ЗРЕНИЯ 2020
  • Махадеван, Шивкумар
  • Райт, Дон Д.
  • Кларк, Рональд Дж.
  • Карккаинен, Томас Р.
  • Нэнкивил, Дерек
RU2825122C1
ПОЛИМЕРИЗУЕМЫЕ ПОГЛОТИТЕЛИ УФ-ИЗЛУЧЕНИЯ И ВЫСОКОЭНЕРГЕТИЧЕСКОГО ВИДИМОГО ИЗЛУЧЕНИЯ 2019
  • Арнольд, Стефен К.
  • Махадеван, Шивкумар
  • Махарви, Гхулам
RU2787132C2
КОНТАКТНЫЕ ЛИНЗЫ, СОДЕРЖАЩИЕ ВОДОРАСТВОРИМЫЕ ПОЛИМЕРЫ ИЛИ СОПОЛИМЕРЫ N-(2-ГИДРОКСИАЛКИЛ)МЕТАКРИЛАМИДА 2013
  • Скейлс Чарльз В.
  • Маккейб Кевин П.
  • Хили Брент Мэттью
RU2640593C2
ПОЛИМЕРНЫЕ КОМПОЗИЦИИ, СОДЕРЖАЩИЕ ПРИВИТЫЕ ПОЛИМЕРНЫЕ СЕТКИ, И СПОСОБЫ ИХ ПОЛУЧЕНИЯ И ПРИМЕНЕНИЯ 2017
  • Эйткен Брайан
  • Скейлс Чарльз
  • Джослин Скотт
  • Чжан Юн
  • Синха Дола
  • Махадеван Шивкумар
  • Мартин Патрисия
  • Лу Фан
  • Дьюис Донни
  • Арнольд Стефан К.
RU2748735C2

Реферат патента 2024 года КОМПОЗИЦИЯ КРАСКИ ДЛЯ КОСМЕТИЧЕСКИХ КОНТАКТНЫХ ЛИНЗ

Изобретение относится к косметическим контактным линзам. Предложен способ получения косметической силикон-гидрогелевой контактной линзы, включающий: (i) нанесение прозрачного покрытия на линзообразующую поверхность пресс-формы первой линзы; (ii) нанесение на прозрачное покрытие композиции краски; (iii) необязательно повторение этапа (i), этапа (ii) или как этапа (i), так и этапа (ii); (iv) подачу материала линзы в первую линзообразующую пресс-форму; (v) применение второй линзообразующей пресс-формы; и (vi) отверждение материала линзы с образованием косметической силикон-гидрогелевой контактной линзы; причем прозрачное покрытие не содержит красителя; и содержит нереакционноспособный гидрофильный полимер; и связующий полимер. Технический результат – получение косметических силикон-гидрогелевых контактных линз, обладающих уменьшенной размытостью и повышенной долговечностью. 10 з.п. ф-лы, 12 табл., 8 пр.

Формула изобретения RU 2 831 588 C1

1. Способ получения косметической силикон-гидрогелевой контактной линзы, включающий: (i) нанесение прозрачного покрытия на линзообразующую поверхность пресс-формы первой линзы; (ii) нанесение на прозрачное покрытие композиции краски; (iii) необязательно повторение этапа (i), этапа (ii) или как этапа (i), так и этапа (ii); (iv) подачу материала линзы в первую линзообразующую пресс-форму; (v) применение второй линзообразующей пресс-формы; и (vi) отверждение материала линзы с образованием косметической силикон-гидрогелевой контактной линзы;

причем прозрачное покрытие не содержит красителя; и содержит нереакционноспособный гидрофильный полимер; и связующий полимер;

при этом

композиция краски содержит краситель; нереакционноспособный гидрофильный полимер; и связующий полимер;

причем краситель содержит фталоцианин голубой, фталоцианин зеленый, карбазол фиолетовый, кубовый оранжевый №1, черный оксид железа, коричневый оксид железа, желтый оксид железа, красный оксид железа, диоксид титана, дихлортриазин, красители на основе винилсульфонов и смеси двух или более из них;

причем нереакционноспособный гидрофильный полимер для композиции краски не содержит свободнорадикальных полимеризуемых групп, которые способны к сополимеризации с другими компонентами в композиции в условиях свободнорадикальной полимеризации;

причем связующий полимер для прозрачного покрытия и композиции краски содержит сополимер, образованный из гидрофильного мономера, содержащего функциональную группу, выбранную из группы, состоящей из гидроксиалкила, аминоалкила и их смесей; силикон-содержащий макромер; и необязательно силикон-содержащий мономер;

причем силикон-содержащий макромер имеет химическую структуру, показанную в формуле I:

где Z выбран из О, N, S или NCH2CH2O; если Z=O или S, то R2 не требуется; где R1 представляет собой атом водорода или метил; где n равно целому числу от 1 до 200; где R3 представляет собой алкиленовый сегмент (СН2)y, в котором y равно целому числу от 1 до 6, и при этом каждая метиленовая группа может быть необязательно дополнительно и независимо замещена группой, выбранной из группы, состоящей из простых эфиров, аминов, сложных эфиров, кетонов, карбонилов, карбоксилатов и карбаматов, или когда у равно 2 или более, то неконцевая метиленовая группа необязательно заменена карбаматной группой; или где R3 представляет собой оксиалкиленовый сегмент O(CH2)z, в котором z равно целому числу от 1 до 3, или где R3 представляет собой смесь алкиленовых и оксиалкиленовых сегментов и сумма у и z равна от 1 до 9; где R2 и R4 независимо представляют собой атом водорода, линейную, разветвленную или циклическую алкильную группу, содержащую от одного до шести атомов углерода, линейную, разветвленную или циклическую алкоксильную группу, содержащую от одного до шести атомов углерода, линейную или разветвленную полиэтиленоксиалкильную группу, алкил-силоксанил-алкильную группу, фенильную группу, бензильную группу, замещенную или незамещенную арильную группу, фторалкильную группу, частично фторированную алкильную группу, перфторалкильную группу, атом фтора, моно-, ди- или тригидроксиалкильную группу, содержащую от одного до шести атомов углерода, или их комбинации; и где R5 представляет собой замещенную или незамещенную линейную, разветвленную или циклическую алкильную группу, имеющую от 1 до 8 атомов углерода, или арильную группу, любая из которых может быть дополнительно замещена одним или более атомами фтора или триметилсилоксильными группами.

2. Способ по п. 1, где

(а) нереакционноспособный гидрофильный полимер для прозрачного покрытия и/или композиции краски содержит полиамид; или

(b) нереакционноспособный гидрофильный полимер для прозрачного покрытия и/или композиции краски содержит: декстран, поли(этиленоксид), поливиниловый спирт (ПВС), поли(N-изопропилакриламид), поли(олигоэтиленоксид), полиэтиленгликоль (ПЭГ), поли(N,N-диметиламиноэтилакрилат), поли(имин), поли(акриловую кислоту) или смеси двух или более из них; или

(c) нереакционноспособный гидрофильный полимер для прозрачного покрытия и/или композиции краски содержит циклический полиамид.

3. Способ по любому из пп. 1 или 2, где прозрачное покрытие и/или композиции краски дополнительно содержит растворитель; необязательно при этом растворитель содержит: этанол, 1-пропанол, 2-пропанол, 1-этокси-2-пропанол (1Е2Р), трет-бутиловый спирт, трет-амиловый спирт и 3,7-диметил-1,7-октандиол (D3O), метиловый эфир трипропиленгликоля (ТРМЕ), изопропиллактат (IPL), 1-(2-гидроксиэтил)-2-пирролидон (HEP), глицерин или смеси двух или более из них.

4. Способ по любому из пп. 1-3, где композиция краски содержит от 0,1 до около 25% масс. красителя; от около 1 до около 50% масс. нереакционноспособного гидрофильного полимера; от около 1 до 60% масс. связующего полимера; и от около 50 до около 95% масс. растворителя, каждый из которых приведен в расчете на общую массу композиции краски.

5. Способ по любому из пп. 1-4, где связующий полимер для прозрачного покрытия и/или композиции краски

(a) имеет средневесовую молекулярную массу в диапазоне от около 10 до около 100 кДа; и/или

(b) не является блочным сополимером или тройным полимером; и/или

(c) представляет собой неупорядоченный сополимер.

6. Способ по любому из пп. 1-5, где нереакционноспособный гидрофильный полимер для прозрачного покрытия и/или композиции краски

(a) представляет собой поли(винилпирролидон); и/или

(b) имеет средневесовую молекулярную массу от около 30000 до около 500000.

7. Способ по любому из пп. 1-6, где гидрофильный мономер содержит 2-гидроксиэтил(мет)акрилат, 2-гидроксипропил(мет)акрилат, 3-гидроксипропил(мет)акрилат, 2,3-дигидроксипропил(мет)акрилат, 2-гидроксибутил(мет)акрилат, 3-гидроксибутил(мет)акрилат, 4-гидроксибутил(мет)акрилат, N-(2-гидроксиэтил)(мет)акриламид, N,N-бис(2-гидроксиэтил)(мет)акриламид, N-(2-гидроксипропил)(мет)акриламид, N,N-бис(2-гидроксипропил)(мет)акриламид, N-(3-гидроксипропил)(мет)акриламид, N-(2-гидроксибутил)(мет)акриламид, N-(3-гидроксибутил)(мет)акриламид, N-(4-гидроксибутил)(мет)акриламид или их смеси; необязательно при этом гидрофильный мономер представляет собой 2-гидроксиэтил(мет)акрилат.

8. Способ по любому из пп. 1-7, где силикон-содержащий макромер

(a) выбирают из группы, состоящей из поли(диалкилсилоксанов) с концевым моноалкилом, моно(мет)акрилатом, поли(диарилсилоксанов) с концевым моноалкилом, моно(мет)акрилатом, поли(алкиларилсилоксанов) с концевым моноалкилом, моно(мет)акрилатом и их смесей; необязательно при этом силикон-содержащий макромер представляет собой полидиметилсилоксан с концевым моно-н-бутилом, монометакрилоксипропилом; и/или

(b) имеет химическую структуру, показанную в формуле VIII:

где Z выбран из О, N, S или NCH2CH2O; где R1 независимо представляет собой атом водорода или метильную группу; где R2, R3 и R4 независимо представляют собой атом водорода, линейную, разветвленную или циклическую алкильную группу, содержащую от одного до восьми атомов углерода, любой из которых может быть дополнительно замещен по меньшей мере одной гидроксильной группой, и при этом может быть необязательно замещена амидными, простыми эфирными, амино, карбоксильными, карбонильными группами и их комбинациями; причем для Z=O и S, R2 не требуется; и n равно числу силоксановых повторяющихся звеньев и равно от 4 до 200; и где R5 выбран из линейных или разветвленных алкильных групп от C1 до С8; и/или

(c) представляет собой полидиметилсилоксан с концевым моно-н-бутилом, моно-(2-гидрокси-3-метакрилоксипропил)-пропиловым эфиром; и/или

(d) выбирают из группы, состоящей из полидиметилсилоксана с концевым моно-н-бутилом, монометакрилоксипропилом, полидиметилсилоксана с концевым моно-н-бутилом, моно-(2-гидрокси-3-метакрилоксипропил)-пропиловым эфиром и их смесей.

9. Способ по любому из пп. 1-8, где силикон-содержащий макромер имеет среднечисловую молекулярную массу более чем 500 дальтон или от около 500 дальтон до около 20000 дальтон.

10. Способ по любому из пп. 1-9, где повторяющиеся звенья силикон-содержащего макромера присутствуют в диапазоне от около 30 до около 80% масс. от общей массы связующего полимера.

11. Способ по любому из пп. 1-10, где силикон-содержащий мономер выбран из группы, состоящей из: 3-метакрилоксипропил-трис(триметилсилокси)силана, 3-акрилоксипропил-трис(триметилсилокси)силана, 3-метакриламидопропил-трис(триметилсилокси)силана, 3-акриламидопропил-трис(триметилсилокси)силана, трис(триметилсилокси)силилстирола, 2-метил-2-гидрокси-3-[3-[1,3,3,3-тетраметил-1-[(триметилсилил)окси]дисилоксанил]пропокси]пропилового эфира, N-(2,3-дигидроксилпропил)-N-(3-тетра(диметилсилокси)диметилбутилсилан)пропил)акриламида их смесей.

Документы, цитированные в отчете о поиске Патент 2024 года RU2831588C1

US 20170183520 A1, 29.06.2017
US 20040130676 A1, 08.07.2004
KR 100910403 B1, 04.08.2009
US 6284161 B1, 04.09.2001
СПОСОБЫ ФОРМИРОВАНИЯ ОКРАШЕННЫХ КОНТАКТНЫХ ЛИНЗ 2007
  • Хофманн Грегори Дж.
  • Кларк Дуглас Г.
RU2439634C2
US 4889421 A1, 26.12.1989.

RU 2 831 588 C1

Авторы

Пэттон, Джакунда

Чжан, Юн

Газмен, Александер

Махарви, Гхулам

Даты

2024-12-10Публикация

2020-08-20Подача