Область техники, к которой относится настоящее изобретение
Настоящее изобретение относится к стимулирующим иммунную систему мицеллярным композициям и их применению для лечения заболеваний и нарушений, как например, рака. В частности, настоящее изобретение относится к мицеллярным композициям, содержащим агонист TLR7, как например, 1V270.
Предшествующий уровень техники настоящего изобретения
Toll-подобные рецепторы (TLR) представляют собой класс рецепторов, экспрессируемых на различных типах клеток, и играют ключевую роль во врожденной иммунной системе. При активации TLR активируют путь сигнальной трансдукции, участвующий в активации иммунной системы. Были идентифицированы несколько TLR млекопитающих и ряд их агонистов. Например, одноцепочечная РНК, богатая гуанином и уридином, была идентифицирована как естественный лиганд для TLR7. Кроме того, было идентифицировано несколько низкомолекулярных активаторов TLR7, включая имидазохинолины и пуриноподобные молекулы. В то время как стимуляция TLR инициирует общий сигнальный каскад (включая белок адаптер MyD88, фактор транскрипции NFκB и провоспалительные и эффекторные цитокины), разные TLR экспрессируются разными типами клеток, однако TLR7 в основном экспрессируется в моноцитах, плазмоцитоидных дендритных клетках, миелоидных дендритных клетках и В-клетках и локализуется на эндосомной мембране.
Было показано, что TLR7 играет важную роль в патогенезе аутоиммунных заболеваний, таких как системная красная волчанка (SLE), а также в регуляции противовирусного иммунитета. Агонист TLR7 Aldara (Имиквимод), имидазохинолин, был одобрен для местного применения при лечении бородавок, вызванных папилломавирусом, базальноклеточной карциномы и актинического кератоза. Из-за их способности индуцировать устойчивую выработку противораковых цитокинов, таких как, например, интерлейкин-12, агонисты TLR7 также исследовали в отношении иммунотерапии рака. Недавние примеры включают доставку ТМХ-202 с помощью липосомального состава, а также доставку резиквимода с помощью наночастиц, образованных из бета-циклодекстрина.
Однако было показано, что повторные инъекции композиций терапевтических наночастиц вызывают явление ускоренного выведения из крови (ABC) антителами, в частности, для липосом на основе ПЭГ, что снижает полезность систем доставки терапевтических наночастиц. Следовательно, в данной области техники есть стимул для разработки более эффективных терапевтических композиций наночастиц.
Краткое раскрытие настоящего изобретения
Авторы настоящего изобретения неожиданно обнаружили, что мицеллярные композиции, содержащие агонист TLR7, проявляют очень сильную противораковую активность и лишены ранее выявленного нежелательного фармакокинетического поведения.
Согласно первому аспекту настоящее изобретение относится к мицеллярной композиции, содержащей агонист toll-подобного рецептора 7 (TLR7) формулы (I), формулы (II), формулы (III) или формулы (IV),
где X1 представляет собой -О-, -S- или -NRC,
R1 представляет собой водород, (С1-С10)алкил, замещенный (С1-С10)алкил, С6-10арил или замещенный С6-10арил, С5-9гетероцикл, замещенный С5-9гетероцикл,
RC представляет собой водород, С1-10алкил или замещенный С1-10алкил, или RC и R1 вместе с атомом азота, к которому они присоединены, образуют гетероциклическое кольцо или замещенное гетероциклическое кольцо,
каждый R2 независимо представляет собой -ОН, (С1-С6)алкил, замещенный (С1-С6)алкил, (С1-С6)алкокси, замещенный (С1-С6)алкокси, -С(O)-(С1-С6)алкил (алканоил), замещенный -С(O)-(С1-С6)алкил, -С(O)-(С6-С10)арил (ароил), замещенный -С(O)-(С6-С10)арил, -С(O)ОН (карбоксил), -С(O)O(С1-С6)алкил (алкоксикарбонил), замещенный -С(O)O(С1-С6)алкил, -NRaRb, -C(O)NRaRb (карбамоил), галоген, нитро или циано, или R2 отсутствует,
каждый Ra и Rb независимо представляет собой водород, (С1-С6)алкил, замещенный (С1-С6)алкил, (С3-С8)циклоалкил, замещенный (С3-С8)циклоалкил, (С1-С6)алкокси, замещенный (С1-С6)алкокси, (С1-С6)алканоил, замещенный (С1-С6)алканоил, арил, арил(С1-С6)алкил, Het, Het(С1-С6)алкил или (С1-С6)алкоксикарбонил,
где заместителями при любой алкильной, арильной или гетероциклической группах являются гидрокси, C1-6алкил, гидроксиС1-6алкилен, C1-6алкокси, С3-6циклоалкил, С1-6алкокси С1-6алкилен, амино, циано, галоген или арил,
n представляет собой 0, 1, 2, 3 или 4,
X2 представляет собой связь или связывающую группу, и
R3 представляет собой липид,
X3 представляет собой -N- или -СН-,
R4 представляет собой -CH2- или -CH(R2)-, и
k представляет собой 0 или 1,
X4 представляет собой -О-, -S-, -NH-, -N(Rd)-, -СН2- или -CH(R2)-,
каждый Rd независимо представляет собой -ОН, (С1-С6)алкил, замещенный (С1-С6)алкил, (С1-С6)алкокси, замещенный (С1-С6)алкокси, -С(O)-(С1-С6)алкил (алканоил), замещенный -С(O)-(С1-С6)алкил, -С(O)-(С6-С10)арил (ароил), замещенный -С(O)-(С6-С10)арил, -С(O)O(С1-С6)алкил (алкоксикарбонил), замещенный -С(O)O(С1-С6)алкил, -C(O)NRaRb (карбамоил),
или его таутомер,
или его фармацевтически приемлемую соль или сольват, и
где кольцевая система формулы (II) представляет собой пиперидиновое кольцо с одним гетероатомом, представляющим собой атом N, и с атомом N пиперидинового кольца, соседним с X2, и
где пуриновая группа в любой формуле (I), (II), (III) или (IV) подвержена таутомерным перегруппировкам,
и амфифильный мицеллообразующий агент.
Согласно второму аспекту настоящее изобретение относится к мицеллярной композиции или фармацевтической композиции, как определено в настоящем документе, для применения для профилактики, лечения или облегчения заболевания или нарушения.
Согласно третьему аспекту настоящее изобретение относится к способу in vivo активации иммунных клеток у субъекта, предусматривающему введение мицеллярной композиции или фармацевтической композиции, как определено в настоящем документе, указанному субъекту в количестве, достаточном для активации указанных иммунных клеток.
Согласно четвертому аспекту настоящее изобретение относится к способу усиления или повышения эффективности лечения, предусматривающему радиотерапию и/или введение химиотерапевтического агента или ингибитора иммунной контрольной точки, причем способ предусматривает введение мицеллярной композиции или фармацевтической композиции, как определено в настоящем документе, указанному субъекту в комбинации с радиотерапией, введение химиотерапевтического агента и/или введение ингибитора иммунной контрольной точки.
Краткое описание чертежей
Фиг. 1: Фиг. 1А: Обзор используемых мицелл, название мицеллы, состав, молярное соотношение, поверхностный заряд (дзета), размер и индекс полидисперсности (PDI). Мицеллы состояли из 1,2-диолеоил-sn-глицеро-3-фосфоэтаноламин-N-[метокси(полиэтиленгликоля)-2000] (DOPE-ПЭГ2000 или ПЭГ) и агониста TLR7 1v270 (2-(4-((6-амино-2-(2-метоксиэтокси)-8-оксо-7Н-пурин-9(8Н)-ил)метил)бензамидо)этил-2,3-бис(олеоилокси)пропилфосфата) (1v270). Показан состав и молярное соотношение каждого компонента в мицеллах. Поверхностный заряд мицеллы, выраженный в мВ. Размер мицелл измеренный в нанометрах (нм). Ошибка представлена как SEM. Названия мицелл используются на чертежах для пояснения точного состава. Фиг. 1В: распределение размера мицелл по количеству для четырех протестированных мицелл. Размер мицеллы увеличивается при добавлении в состав 1v207. Фиг. 1С: распределение размера мицелл по количеству для четырех протестированных мицелл. Размер мицеллы увеличивается от 11,5 нм до 13-14 нм при добавлении в состав 1v207. Дзета-потенциал мицелл уменьшается от -4 мВ до -8 мВ при добавлении в состав 1v207.
Фиг. 2: Структура агониста TLR7 1v270 в составе (также называемого ТМХ-201), используемого для получения мицелл (Mw=1085,4, название: 2-(4-((6-амино-2-(2- метоксиэтокси)-8-оксо-7Н-пурин-9(8Н)-ил)метил)бензамидо)этил-2,3-бис(олеоилокси)пропилфосфат).
Фиг. 3: На фиг. 3А-В приведено сравнение противоопухолевых исследований между мицеллами, содержащими 1V270, илипосомами, содержащими 1V270. На фиг. 3С показана противоопухолевая активность мицеллярного состава MBS8 при трех дозах 50, 200 и 400 нмоль, инъецируемых на мышь с первой инъекции на день 9, а затем еще 4 дозы с интервалом 4 дня. На фиг. 3D показано преимущество комбинации с низкой дозой мицеллы MBS8 при 50 нмоль/мышь и оптимальной обработкой PD-1. На фиг. 3Е показана медиана выживаемости в группах мышей, получавших радиотерапию в сочетании с липосомами и мицеллами, содержащими 1V270. На фиг. 3F показано соотношение опухоли и контроля (средний размер опухоли в группах мышей, получавших мицеллы или липосомы с 1V270 в комбинации с радиотерапией (опухоль=Т), по сравнению со средним размером опухоли в контрольных группах, получавших радиотерапию (контроль=С)). Расчеты проводили согласно Т/С×100. Мицеллы показали значительно более хорошую противоопухолевую активность, чем липосомы (р<0,01). На фиг. 3G показано ингибирование роста опухоли, вычисленное путем вычитания соотношения 100-Т/С.Мицеллы продемонстрировали значительно лучшее ингибирование роста опухоли, чем липосомы (р<0,01).
Фиг. 4: На фиг. 4А-G показана секреция цитокинов в плазме мышей, обработанных мицеллами или липосомами при равных дозах. В целом липосома MBS1 показала более высокую секрецию цитокинов, чем мицеллы, для всех измеренных цитокинов, а липосомы MBS2 показали более высокую секрецию цитокинов, чем мицеллы, для большинства протестированных цитокинов. Это указывает на то, что мицеллы имеют меньший риск синдрома высвобождения цитокинов (CRS), по сравнению с липосомами, содержащими 1V270.
Фиг. 5: На фиг. 5А-В показана индукция молекул анти-ПЭГ IgM и IgG в плазме мышей с однократной внутривенной инъекцией мицелл или липосом, содержащих 1V270. Молекулы анти-ПЭГ IgM и IgG измеряли с помощью ELISA, предназначенного для этой цели. На фиг. 5С показана специфичность анти-ПЭГ IgM, определенная с помощью конкурентного анализа. Генерируемые IgM распознают только ПЭГилированные липосомы, тогда как свободные цепи ПЭГ, мицеллы DSPE-ПЭГ и мицеллы MBS8 не распознаются молекулами анти-ПЭГ IgM.
Фиг. 6: Рост опухоли и выживаемость у мышей с подкожными опухолями СТ26, получавших мицеллы 50, 100 или 200 нмоль в сочетании с радиотерапией (RT). Мышей обрабатывали на день 12 после инокуляции и обрабатывали 5 дней подряд при 2 Гр RT (день 12, 13, 14, 15, 16) и каждый четвертый день, в общей сложности 5 обработок мицеллами (день 12, 16, 20, 24, 28). Группы содержали 8-10 мышей. Кривые роста опухоли представлены как среднее ± SEM. Статистическую значимость выживаемости определяли с помощью теста Мантеля-Кокса. Фиг. 6А: Рост опухоли у мышей, получавших MBS6 в комбинации с радиотерапией. Фиг. 6В: Выживаемость мышей, получавших MBS6 в комбинации с радиотерапией. Фиг. 6С: Рост опухоли у мышей, получавших MBS7 в комбинации с радиотерапией. Фиг. 6D: Выживаемость мышей, получавших MBS7 в комбинации с радиотерапией. Фиг. 6Е: Рост опухоли у мышей, получавших MBS8 в комбинации с радиотерапией. Фиг. 6F: Выживаемость мышей, получавших MBS8 в комбинации с радиотерапией.
Фиг. 7: Сравнение противоопухолевой активности между мицеллами MBS8, содержащими DOPE-ПЭГ2000 и агонист TLR7 1v270 при молярном соотношении 90:10 при трех уровнях дозы на модели СТ26. MBS8 вводили при трех дозах: 50 (маленький черный кружок), 200 (серый кружок) и 400 (большой черный кружок) нмоль, внутривенная инъекция на мышь. Две высокие дозы 200 и 400 нмоль значительно отличались от контрольной группы (р<0,001). Индивидуальный рост опухоли показан на фиг. 7В с 1) контрольной обработкой (PBS), 2) низкой дозой MBS8 при 50 нмоль/инъекция/мышь, 3) средней дозой MBS8 при 200 нмоль/инъекция/мышь и 4) высокой дозой MBS8 при 400 нмоль/инъекция/мышь.
Фиг. 8: Мицеллы MBS8 при трех различных дозах объединяли с обработкой αPD-1 (клон RMP1-14 с внутрибрюшинной дозой 10 мг/кг) на сингенной мышиной модели опухоли рака толстой кишки СТ26. MBS8 вводили при трех дозах 50, 200 и 400 нмоль, внутривенная инъекция на мышь, с первой инъекцией на день 9, а затем еще 4 дозы с интервалом в 4 дня на день 13, 17, 21 и 25. Моноклональные антитела αPD-1 вводили внутрибрюшинно, начиная со дня 11, два раза в неделю в течение трех недель. Комбинированные терапии PD-1-MBS8 были значительно сильнее, чем монотерапия PD-1 (р<0,05, р<0,005, критерий суммы рангов Уилкоксона) (фиг. 8А). На фиг. 8В показан индивидуальный рост опухоли для всех 10 мышей в группе с 1) контролем (обработка PBS), 2) MBS8 при 50 нмоль, 3) MBS8 при 200 нмоль, 4) MBS8 при 400 нмоль, 5) обработка только PD1 при 10 мг/кг внутрибрюшинно, 6) PD-1 и MBS8 при 50 нмоль при комбинированной терапии, 7) PD-1 и MBS8 при 200 нмоль при комбинированной терапии, 8) PD-1 и MBS8 при 400 нмоль при комбинированной терапии.
Фиг. 9: MBS8 потенцирует противоопухолевый эффект Доксорубицина (А-В) и Доксила (C-D).
Показаны средние объемы опухоли ± SEM, n=10 в (А) и (С). Для статистической обработки данных использовали критерий суммы рангов Уилкоксона. Объемы опухолей отдельных животных показаны для указанных групп в (В) и (D).
Фиг. 10: Рост опухоли у мышей с подкожными опухолями СТ26, получавших радиотерапию (RT) в комбинации с 100 нмоль MBS8 внутриопухолево или 200 нмоль MBS8 внутривенно. Когда указано, мышей лечили носителем, соответствующим липидам, вместо MBS8. Мышей обрабатывали на день 12 после инокуляции и обрабатывали 5 дней подряд с 2 Гр RT и каждый четвертый день, всего 5 обработок мицеллами. Группы содержали 8 мышей. Кривые роста опухоли представлены как среднее значение ± SEM. Фиг. 10А: Рост опухоли у мышей, получавших MBS8 внутриопухолево или внутривенно в сочетании с радиотерапией. Фиг. 10В: Рост опухоли у мышей, получавших носитель внутриопухолево или внутривенно в сочетании с радиотерапией. Фиг. 10С показывает выживаемость мышей, обработанных MBS8 внутриопухолевым путем либо мицеллами без агониста TLR7 (носитель), либо MBS8 с агонистом TLR7 1V270. Группы показаны как в комбинации с радиотерапией, так и без нее. Фиг. 10D: показывает выживаемость мышей, которым вводили MBS8 внутривенным путем либо в виде мицелл без агониста TLR7 (носитель), либо MBS8 с агонистом TLR7 1V270. Группы показаны как в комбинации с радиотерапией, так и без нее. Группа, получавшая RT+iv MBS8, продемонстрировала значительно более хорошую противоопухолевую активность, чем только RT (р=0,015), тогда как группа, получавшая RT+it MBS8, не показала значительно лучшей противоопухолевой активности, чем только RT, n=8/группа.
Фиг. 11: Рост опухоли и выживаемость мышей с подкожными опухолями EL4 или МС38, получавших радиотерапию (RT) в сочетании с 200 нмоль MBS8 или носителем. Кривые роста опухоли представлены как среднее значение ± SEM.
Обработку мышей с EL4 начинали в день 7 после инокуляции и вводили 2 Гр RT в течение 3 дней подряд и MBS8 или носитель каждый четвертый день, всего 5 обработок. Группы содержали 9-10 мышей. Фиг. 11А: Рост опухоли у обработанных мышей, несущих EL4. Фиг. 11В: Выживание мышей, несущих EL4, получивших обработку.
Обработку мышей с МС38 начали в день 10 после инокуляции и вводили 2 Гр RT в течение 5 дней подряд и MBS8 или носитель каждый второй (q2d), четвертый (q4d), седьмой день (q7d), всего 5 обработок. Группы содержали 9 мышей. Фиг. 11С: Рост опухоли у обработанных мышей, несущих МС38. Фиг. 11D: Выживаемость мышей, несущих МС38, получавших обработку.
Фиг. 12: введение MBS8 яванским макакам. (А) С-реактивный белок (CRP) тестировали непосредственно перед введением препарата и через 8, 24 и 72 ч после инфузии. Данные представляют собой средние значения (n=3). Стрелками указан пик CRP через 24 ч после каждой инъекции. Соответствующие дозы указаны на фиг. 12В. (В) Температуру тела измеряли ежедневно. Показаны средние значения + стандартное отклонение SD (n=3). Указаны дни введения препарата и соответствующие дозы. Пунктирная линия показывает нормальный диапазон, основанный на базовых измерениях в течение периода акклиматизации (день -22 - день 0).
Фиг. 13. Исследования эффективности in vivo с использованием 12 сингениых моделей подкожной опухоли. (А) Таблица, обобщающая результаты для всех 12 моделей. Мышей рандомизировали при среднем размере опухоли ~100 мм3 и обрабатывали указанными лекарственными средствами. aPD-1 (клон RMP1-14) вводили при дозе 10 мг/кг внутрибрюшинно шесть раз каждые 4 дня, a MBS8 вводили при дозе 300 мкг/мышь внутривенно пять раз каждые 4 дня. Те же самые режимы дозирования использовали для комбинированных исследований. Все группы включали 10 мышей/группа. TGI, ингибирование роста опухоли, CR, полный ответ, NA, неприменимо. (B-D) Влияние MBS8 на рост подкожных опухолей. Верхние панели: кривые роста опухоли в указанных группах животных. Показаны средние объемы опухоли + SEM. Показаны значимые двусторонние р -значения (критерий суммы рангов Уилкоксона). Средняя и нижняя панели: показаны кривые роста опухоли у отдельных животных в указанных группах лечения. (В) ЕМТ-6, (С) Нера 1-6 и (D) Рап02 являются иллюстративными для трех различных моделей ответа, обнаруженных на панели из 12 опухолей. CR, полные респондеры, RR, резистентность к повторному развитию опухоли, * два животных умерли в начале обработки и были исключены из статистического анализа. (Е) Отторжение повторно введенных опухолей ЕМТ-6. Мышам, у которых наблюдалась CR в отношении обработки MBS8 (n=8) или MBS8 + анти-PD-1 (n=10) на модели ЕМТ-6 и у которых не было опухолей в течение как минимум трех недель, повторно вводили клетки ЕМТ-6 в противоположный бок и наблюдали за ростом опухоли в течение 29 дней. Наивных мышей (n=5), которым вводили клетки ЕМТ-6, использовали в качестве необработанного контроля. (F) Реакция иммунной памяти у мышей, получавших MBS8 отдельно или в комбинации с a-PD-1. CR модели СТ26 подвергали повторному введению, и все продемонстрировали отторжение повторно введения опухолей. У этих животных наличие опухолеспецифических Т-клеток оценивали с помощью ELISPOT. Анализ проводили на спленоцитах необработанных мышей с опухолями СТ26 (контроль), мышей, ранее получавших MBS8 и устойчивых к повторному развитию опухоли (моно), мышей, получавших комбинацию MBS8 + a-PD-1 (комбо), и мышей, не подвергавшихся обработке, без опухолей (наивные), стимулированных (+АН-1) или не стимулированных СТ26 опухолеспецифическим антигеном АН-1 in vitro. Количественно определяли количество экспрессирующих IFN-γ клеток на лунку. Показаны средние значения + SEM, n=5 мышей/группа. Статистический анализ проводили с использованием критерия суммы рангов Уилкоксона. Показаны значимые двусторонние p-значения.
Фиг. 14. Сравнительная эффективность MBS8, вводимого при различных режимах дозирования. Использовали подкожную модель СТ26. Мышей рандомизировали, когда средний размер опухоли составлял ~100 мм3, и обрабатывали 200 нмоль/мышь внутривенно по указанным схемам дозирования. (А) Показаны средние объемы опухоли + SEM. Показаны значимые двусторонние p-значения (двусторонний критерий суммы рангов Уилкоксона). (В) Кривые роста опухоли отдельных животных. Животные, у которых опухоли при последнем измерении составляли <40 мм3 и показывали постоянное уменьшение объема, считались полными респондерами (CR).
Фиг. 15: Обработка MBS8 и R848 мышей с подкожными опухолями СТ26. Мыши с опухолями СТ26 начинали получать обработку на день 11 после инокуляции и получали внутривенно MBS8 (100, 200 или 300 нмоль) или R848 (200 нмоль) по схеме q4d, всего 5 обработок. n=9 мышей/группа. (А) Приведены средние кривые роста опухоли ± SEM. (В) Выживание обработанных мышей, несущих СТ26. Статистическую значимость выживаемости определяли с помощью критерия Мантела-Кокса, **** р<0,0001, * р<0,05. (С) Изменение массы по сравнению с исходной, отображается средняя масса ± SEM.
Фиг. 16: Типы клеток в опухолях мышей, получавших монотерапию MBS8, на основе анализа экспрессии генов. Мышам вводили 200 нмоль MBS8 по схеме q4d, всего 1 или 3 инъекции. Опухоли собирали в день 0 (без лечения), через 1 день после первой инъекции, через 2 дня после первой инъекции, через 4 дня после первой инъекции, через 14 дней после первой инъекции, через 2 дня после третьей инъекции, через 4 дня после третьей инъекции, n=3-6 для всех групп.Анализ экспрессии генов проводили на выделенной РНК, а анализ типов клеток проводили на основе данных с помощью расширенного программного модуля Nanostring. Двусторонний ANOVA с коррекцией множественного сравнения проводили для сравнения различных моментов времени с необработанными. * означает р<0,05, ** означает р<0,01, *** означает р<0,001, и **** означает р<0,0001.
Фиг. 17: Воздействие на микроокружение опухоли вскоре после инъекции MBS8 на основе проточного цитометрического анализа. Мышам, несущим СТ26, вводили 200 нмоль MBS8, и опухоли оценивали с помощью проточной цитометрии. Опухоли собирали через 1, 3 и 6 часов после инъекции. Все графики отображаются как среднее значение ± SEM. Статистическую значимость по сравнению с необработанными опухолями определяли с использованием критерия Крускала-Уоллиса с критерием множественных сравнений Данна, где * означает р<0,05, ** означает р<0,01 и *** означает р<0,001. n=3-4. MFI=средняя интенсивность флуоресценции.
Фиг. 18. Воздействие на микроокружение опухоли во время лечения на основе проточного цитометрического анализа. Мышей с опухолями СТ26 обрабатывали на день 15 после инокуляции раковых клеток с 200 нмоль MBS6 каждый четвертый день, а опухоли и селезенку анализировали через два дня после второй инъекции. Все графики представлены как среднее ± SEM. Статистическую значимость по сравнению с необработанными опухолями определяли с помощью U-критерия Манна-Уитни, где * означает р<0,05, ** означает р<0,01, n=5.
Фиг. 19. Исследование схемы дозирования у мышей с опухолью СТ26, получавших обработку Доксилом, для всех групп проводили надень 9, 13 и 17 (черные кружки), группе лечения Доксила + MBS8 до и после введения дозы дополнительно вводили MBS8 на день 9 и день 19, 23, 27 и 31, а группе лечения Доксил + MBS8 после введения дозы дополнительно вводили MBS8 на день 19, 23, 27 и 31. Все графики представлены как среднее значение + SEM. Статистическую значимость между указанными группами определяли с помощью U-критерия Манна-Уитни при указанных уровнях значимости, n=10.
Фиг. 20: Средние (+/- SD) кривые зависимости концентрации MBS8 в плазме от времени у самок и самцов крыс в День 1 (первая доза) и День 15 (одна неделя после последней дозы из двух доз с интервалом в 1 неделю) после внутривенного инфузионного введения в течение 1 часа 3 мг/кг/день MBS8 (1V270) по линейной шкале (А) и полулогарифмической шкале (В). Этот чертеж демонстрирует индифферентную кинетику MBS8, введенного после дня 1 и дня 15 (третья доза), соответственно. Это наблюдение подтверждает, что мицеллы согласно настоящему изобретению не вызывают ускоренного выведения из крови (ABC).
Фиг. 21. Перекрывание индивидуальных кривых зависимости концентрации 1V270 в плазме от времени у 1 самки и 1 самца яванского макака в День 1 (А) (первая доза) и День 15 (В) (одна неделя после последней дозы из двух доз с интервалом в 1 неделю) после внутривенного инфузионного введения в течение 1 часа 0,3, 1 и 3 мг/кг/день MBS8 (1V270) по линейной шкале. Этот чертеж демонстрирует индифферентную кинетику MBS8, введенного после дня 1 (одна доза) и дня 15 (третья доза после еженедельного дозирования) соответственно. Это наблюдение подтверждает, что мицеллы согласно настоящему изобретению не вызывают ускоренного выведения из крови (ABC).
Подробное раскрытие настоящего изобретения
Определения
В контексте настоящего изобретения «липид» относится к группе веществ, содержащих по меньшей мере одну гидрофобную часть, которая сама по себе нерастворима в воде. Примерами групп липидов могут быть без ограничения жирные кислоты, глицеролипиды, глицерофосфолипиды, сфинголипиды, стероловые липиды, преноловые липиды, сахаролипиды и поликетиды.
В контексте настоящего изобретения термин «профилактика» относится к предотвращению заболевания или предотвращению распространения заболевания.
В контексте настоящего изобретения термин «лечение» относится к борьбе с заболеванием или нарушением. В контексте настоящего изобретения термин «лечение» или «обработка» включает любое желаемое воздействие на симптомы или патологию заболевания или состояния, как описано в настоящем документе, и может включать даже минимальные изменения или улучшения одного или нескольких измеримых маркеров заболевания или состояния, подлежащих лечению. «Лечение» или «обработка» не обязательно означает полное исключение или излечение заболевания или состояния или связанных с ним симптомов.
В контексте настоящего изобретения термин «ПЭГ» относится к по лиэтил енгликолю.
В контексте настоящего изобретения термин «амфифильный мицеллообразующий агент» относится к агенту, который одновременно является «амфифильным», т.е. обладает как гидрофильными (водолюбывыми, полярными), так и липофильными (жиролюбывыми) свойствами, а также способным образовывать мицеллы. Описанный в настоящем документе амфифильный мицеллообразующий агент способен образовывать мицеллы в смеси с другими соединениями в растворе.
В контексте настоящего изобретения термин «связывающая группа» относится к группе связанных атомов, как например, функциональной группе, которая ковалентно соединяет по меньшей мере две части молекулы. В одном примере связывающая группа представляет собой карбонильную группу, т.е. «-С(О)-», которая может на одном конце связывать, например, амин «H2N-алкил(1)», а на другом конце связывать алкил(2), тем самым образуя амид «алкил(2)-С(O)-NH-алкил(1)».
Термины «анти-PD-1», «α-PD-1» и «α-PD-1» используются взаимозаменяемо в настоящем документе для обозначения группы ингибиторов иммунных контрольных точек, анти-PD-1.
Термины «анти-PD-L1», «α-PD-L1» и «α-PD-L1» используются взаимозаменяемо в настоящем документе для обозначения группы ингибиторов иммунных контрольных точек, анти-PD-L1.
В контексте настоящего изобретения термин «MBS6» относится к мицеллярной композиции DSPE-ПЭГ2000:1V270 при молярном соотношении 80:20.
В контексте настоящего изобретения термин «MBS7» относится к мицеллярной композиции DSPE-ПЭГ2000:1V270 при молярном соотношении 95:5.
В контексте настоящего изобретения термин «MBS8» относится к мицеллярной композиции DSPE-ПЭГ2000:1V270 при молярном соотношении 90:10.
Мицеллы
Мицелла представляет собой агрегированную частицу амфифильных молекул, диспергированных в жидком коллоиде. Большинство мицелл в водном растворе образуют агрегированные частицы с гидрофильной головной группой, контактирующей с окружающим гидрофильным растворителем, изолируя гидрофобные хвостовые участки в центре мицеллы.
Среди мицеллообразующих соединений мицеллы из полиэтиленгликоль-фосфатидилэтаноламина (ПЭГ-РЕ) обладают особенно привлекательными свойствами, такими как, например, хорошая стабильность, долговечность и способность накапливаться в областях с аномальной сосудистой сетью за счет повышенной проницаемости и удерживающего эффекта (в области с дырявой сосудистой сетью, как например, опухоли). Кроме того, эти мицеллы можно сделать «направленными» путем присоединения специфических нацеливающих молекул лиганда к поверхности мицеллы, или они могут состоять из реагирующих на раздражители амфифильных блок-сополимеров. Добавление второго компонента, такого как поверхностно-активное вещество или другое гидрофобное вещество, к основному веществу, образующему мицеллы, дополнительно улучшает солюбилизирующую способность мицелл без ущерба для их стабильности. Мицеллы легче получить по сравнению с другими наночастицами, например, липосомами, и их можно получить с помощью смеси липидов и обработки ультразвуком.
Размер мицеллы можно определить различными способами, известными специалисту в данной области техники. Эксперименты по динамическому рассеянию света (DLS) можно проводить с использованием, например, устройства Malvern Zetasizer Nano ZS, подходящего для измерения размера и распределения размеров мицелл, образующихся в водном растворе. Диаметр, измеренный посредством DLS, представляет собой значение, которое относится к тому, как частица диффундирует в жидкости, и называется гидродинамическим диаметром.
Диаметры мицеллы, раскрытой в настоящем документе, выражены в виде среднего числового значения.
Согласно одному варианту осуществления диаметр мицеллы, раскрытой в настоящем документе, составляет от 5 нм до 50 нм, как например, от 6 до 46 нм, как например, от 7 до 42 нм, как например, от 8 до 38 нм, как например, от 9 до 34 нм, как например, от 10 до 34 нм, как например, от 11 нм до 30 нм, как например, от 12 нм до 26 нм.
Согласно одному варианту осуществления диаметр мицеллы составляет от 5 нм до 39 нм, как например, от 5 нм до 20 нм, как например, от 20 нм до 30 нм, как например, от 30 нм до 35 нм, как например, от 35 нм до 39 нм.
Согласно одному варианту осуществления диаметр мицеллы составляет от 5 нм до 39 нм, как например, от 5 нм до 38 нм, как например, от 5 нм до 37 нм, как например, от 5 нм до 36 нм, как например, от 5 нм до 35 нм, как например, от 5 нм до 34 нм, как например, от 5 нм до 33 нм, как например, от 5 нм до 32 нм, как например, от 5 нм до 31 нм.
Согласно одному варианту осуществления диаметр мицеллы составляет от 5 нм до 25 нм, как например, от 6 нм до 24 нм, как например, от 7 нм до 23 нм, как например, от 8 нм до 22 нм, как например, от 9 нм до 21 нм, как например, от 10 нм до 20 нм, как например, от 11 нм до 19 нм, как например, от 12 нм до 18 нм, как например, от 13 нм до 17 нм, как например, от 14 нм до 16 нм, как например, 15 нм.
«Амфифильный мицеллообразующий агент» согласно настоящему изобретению может согласно некоторым вариантам осуществления содержать фосфолипид. Структура фосфолипида обычно содержит два «хвоста» гидрофобных жирных кислот и гидрофильную «головную» группу, состоящую из фосфатной группы. Два компонента соединены молекулой глицерина. Фосфатные группы можно модифицировать простыми органическими молекулами, такими как, например, холин, этаноламин или серин. Согласно некоторым вариантам осуществления простая органическая молекула действует как связывающая группа с полимером, например, ПЭГ.
Согласно одному варианту осуществления амфифильный мицеллообразующий агент выбран из группы, состоящей из полоксамера, поло кс амина, ПЭГ-сложного полиэфира, ПЭГ-полиангидрида, ПЭГ-поли-аминокислоты, фосфолипида, полисорбата и алкилового простого эфира полиоксиэтилена
Согласно одному варианту осуществления ПЭГ-сложный полиэфир выбран из группы, состоящей из ПЭГ-поли(молочной кислоты) (ПЭГ-PLA), ПЭГ-поли(молочной и гликолевой кислоты) (PLGA) и ПЭГ-поли(ε-капролактона) (PCL).
Согласно одному варианту осуществления ПЭГ-полиангидрид представляет собой ПЭГ-полиангидрид себациновой кислоты (PSA).
Согласно одному варианту осуществления настоящее изобретение относится к мицеллярной композиции, содержащей ПЭГ-поли-аминокислоту, где ПЭГ-поли-аминокислота выбрана из группы, состоящей из ПЭГ-поли(L-гистидина), ПЭГ-поли(L-аспарагиновой кислоты), ПЭГ-поли(L-аспарагина), ПЭГ-поли(L-глутаминовой кислоты), ПЭГ-поли(L-глутамина) и ПЭГ-поли(L-лизина).
Согласно одному варианту осуществления амфифильный мицеллообразующий агент представляет собой фосфолипид, конъюгированный с полиэтиленгликолем (ПЭГ). Согласно одному варианту осуществления фосфолипид, конъюгированный с ПЭГ, конъюгирован через карбонильную группу.
Примером предпочтительного амфифильного мицеллообразующего агента является DSPE-ПЭГ2000, пример которого приведен ниже в виде аммониевой соли:
(DSPE-ПЭГ2000)
DSPE-ПЭГ2000 содержит фосфатидилэтаноламин, который связан с ПЭГ через карбонильную группу. Фосфатидилэтаноламин содержит глицерин, эстерифицированный двумя жирными кислотами и фосфорной кислотой. Тогда как фосфатная группа объединена с холином в фосфатидилхолине, она объединена с этанолаином в фосфатидилэтаноламине. Две жирные кислоты могут быть одинаковыми или разными и обычно находятся в положениях 1, 2, но могут также находиться в положениях 1, 3. Терминальный конец ПЭГ согласно некоторым вариантам осуществления аминирован, т.е. связан с NH2.
Полиэтиленгликоль (ПЭГ)
Согласно одному варианту осуществления мицеллы согласно настоящему изобретению содержат ПЭГ. Согласно одному варианту осуществления ПЭГ находится в форме ПЭГ, конъюгированного с фосфолипидом. Размер ПЭГ составляет от ПЭГ350 до ПЭГ30000.
Согласно одному варианту осуществления размер ПЭГ составляет от ПЭГ350 до ПЭГ5000, например, от ПЭГ550 до ПЭГ4000, например, от ПЭГ750 до ПЭГ3000, как например, от ПЭГ1000 до ПЭГ3000, предпочтительно размер ПЭГ составляет ПЭГ2000.
Фосфолипиды согласно настоящему изобретению
Раскрытые в настоящем документе фосфолипиды могут быть частью агониста TLR7 или амфифильного мицеллообразующего агента. Примеры фосфолипидов, раскрытых в контексте амфифильного мицеллообразующего агента, также могут использоваться как часть агониста TLR7 и наоборот.
Согласно одному варианту осуществления настоящее изобретение относится к мицеллярной композиции согласно настоящему раскрытию, содержащей фосфолипид, где фосфолипид содержит одну или несколько алкильных цепей, которые представляют собой С8-С24 алкил (алкилы), как например, С10-С22, как например, С12-С20, предпочтительно С14-С18, наиболее предпочтительно С16-С18 насыщенные алкильные цепи или ненасыщенные алкильные цепи.
Согласно одному варианту осуществления настоящее изобретение относится к мицеллярной композиции согласно настоящему раскрытию, содержащей фосфолипид, где фосфолипид содержит фосфатидилэтаноламин (РЕ), фосфатидилхолин (PC), фосфатидилсерин (PS), фосфатидилглицерин (PG), фосфатидилинозит (PI), фосфатидную кислоту (РА), бифосфатидилглицерин (DPG) или фосфатидиловый спирт.
Согласно одному варианту осуществления фосфатидилэтаноламин выбран из группы, состоящей из 1,2-диолеоил-фосфатидилэтаноламина, 1,2-дипальмитоил-фосфатидилэтаноламина, 1,2-димиристоил-фосфатидилэтаноламина, 1,2-дистеароил-фосфатидилэтаноламина, 1-олеоил-2-пальмитоил-фосфатидилэтаноламина, 1-олеоил-2-стеароил-фосфатидилэтаноламина, 1-пальмитоил-2-олеоил-фосфатидилэтаноламина и 1-стеароил-2-олеоил-фосфатидилэтаноламина.
Согласно одному варианту осуществления фосфолипид, конъюгированный с ПЭГ, выбран из группы, состоящей из 1,2-диолеоил-sn-глицеро-3-фосфоэтаноламина (DOPE)-ПЭГ, 1,2-дистеароил-sn-глицеро-3-фосфоэтаноламина (DSPE)-ПЭГ, 1,2-димиристоил-sn- глицеро-3-фосфоэтаноламина (DMPE)-ПЭГ и 1,2-дипальмитоил-sn-глицеро-3-фосфоэтаноламина (DPPE)-ПЭГ.
Согласно одному варианту осуществления настоящее изобретение относится к мицеллярной композиции, содержащей фосфолипид, конъюгированный с ПЭГ, где фосфолипид представляет собой 1,2-дистеароил-sn-глицеро-3-фосфоэтаноламин (DSPE)-ПЭГ.
Согласно одному варианту осуществления амфифильный мицеллообразующий агент представляет собой DSPE-ПЭГ2000.
Фармацевтические композиции
Мицеллы согласно настоящему изобретению можно использовать в качестве компонентов фармацевтического состава. Таким образом, согласно одному варианту осуществления мицеллярные композиции согласно настоящему изобретению представляют собой фармацевтические композиции. Согласно одному варианту осуществления настоящее изобретение относится к фармацевтической композиции, содержащей мицеллярную композицию, как определено в настоящем документе.
Предусмотрена любая форма такого состава, подходящая для введения млекопитающему.
Фармацевтический состав согласно настоящему изобретению предпочтительно находится в форме раствора, дисперсии, суспензии, лиофилизата или замороженной формы.
Согласно одному варианту осуществления путь введения может быть внутривенным, внутриопухолевым или пероральным, подкожным, внутрикожным, внутримышечным, назальным, внутрибрюшинным, легочным или почечным.
Согласно одному варианту осуществления мицеллярная композиция согласно настоящему изобретению содержит амфифильный мицеллообразующий агент и агонист TLR7, где молярное соотношение амфифильного мицеллообразующего агента и агониста TLR7 составляет от 50:50 до 99,5:0,5, как например, от 60:40 до 99:1, как например, от 70:30 до 98:2, как например, от 80:20 до 95:5, например, 95:5, 90:10 или 80:20.
Согласно одному варианту осуществления настоящее изобретение относится к мицеллярной композиции, как раскрыто в настоящем документе, где композиция содержит молярную концентрацию агониста TLR7 от 1% до 25%, как например, 1%, как например, 2%, как например, 3%, как например, 4%, как например, 5%, как например, 6%, как например, 7%, как например, 8%, как например, 9%, как например, 10%, как например, 11%, как например, 12%, как например, 13%, как например, 14%, как например, 15%, как например, 16%, как например, 17%, как например, 18%, как например, 19%, как например, 20%, как например, 21%, как например, 22%, как например, 23%, как например, 24%, как например, 25%.
Кроме того, настоящее изобретение относится к мицеллярной композиции или фармацевтической композиции, как раскрыто в настоящем документе, для применения для профилактики, лечения или облегчения заболевания или нарушения.
Терапевтические применения и способы
Мицеллярную композицию согласно настоящему изобретению можно применять для профилактики, лечения или облегчения рака, инфекционного заболевания, воспалительного состояния или заболевания, аутоиммунного заболевания или аллергии. Согласно одному варианту осуществления мицеллярную композицию согласно настоящему изобретению применяют для лечения рака.
Мицеллярную композицию или фармацевтическую композицию, можно, таким образом, применять для лечения рака, инфекционного заболевания, воспалительного состояния или заболевания, аутоиммунного заболевания или аллергии.
Согласно одному варианту осуществления заболеванием или нарушением является рак, как например, рак толстой кишки. Согласно одному варианту осуществления заболеванием или нарушением является рак, как например, солидная опухоль.
Инфекционные заболевания
Согласно другому аспекту настоящее изобретение относится к профилактике или лечению инфекционных заболеваний путем введения мицеллярной композиции, раскрытой в настоящем документе, субъекту. Согласно предпочтительному варианту осуществления мицеллярная композиция, используемая для профилактики или лечения инфекционных заболеваний, представляет собой MBS8. Профилактика или лечение инфекционных заболеваний как у людей, так и у домашнего скота могут быть облегчены мицеллярной композицией, раскрытой в настоящем документе. Согласно одному варианту осуществления инфекционное заболевание представляет собой вирусную инфекцию или бактериальную инфекцию. Согласно предпочтительному варианту осуществления лечение инфекционных заболеваний является профилактическим. Таким образом, согласно одному варианту осуществления настоящее изобретение относится к способу профилактики инфекционного заболевания путем введения мицеллярной композиции, как например, MBS8, субъекту, нуждающемуся в этом. Подходящими субъектами для профилактического лечения могут быть без ограничения медицинские работники и/или другие люди, работающие в тесном контакте с инфицированными субъектами. Эти подходящие субъекты подвергаются повышенному риску заражения, поэтому профилактическое лечение мицеллярной композицией, раскрытой в настоящем документе, является преимущественным.
Комбинированная терапия
Согласно одному варианту осуществления лечение рака усиливается комбинацией существующих терапий, таких как моноклональные антитела (Трастузумаб, Ритуксимаб, Цетуксимаб), радиотерапия, химиотерапия или ингибиторы иммунных контрольных точек, такие как Пембролизумаб, Ипилимумаб. Следовательно, согласно одному варианту осуществления лечение рака представляет собой комбинированную терапию, предусматривающую введение моноклонального антитела субъекту, страдающему раком.
Как показано в примерах 11, 13, 14, 15, 16, 18 и 24, усиливающий или синергический эффект может быть получен, когда мицеллярную композицию или фармацевтическую композицию, как раскрыто в настоящем документе, вводят в комбинации с радиотерапией, химиотерапевтическими агентами или ингибиторами иммунных контрольных точек. Таким образом, согласно одному варианту осуществления лечение рака представляет собой комбинированную терапию, дополнительно включающее радиотерапию.
Определенные виды химиотерапии особенно релевантны для комбинации с активными средствами TLR7, это химиотерапевтические соединения, вызывающие так называемую «иммуногенную гибель клеток» (ICD). Как показано в примере 14 и 24, мицеллярные композиции, содержащие 1V270, значительно потенцирует эффективность Доксорубицина и Доксила и приводят к эффективному лечению. Согласно одному варианту осуществления лечение рака представляет собой комбинированную терапию, дополнительно предусматривающую введение химиотерапевтического агента, как например, Доксорубицина или Доксила. Согласно одному варианту осуществления химиотерапевтический агент выбран из группы, состоящей из Доксорубицина, Доксила, Эпирубицина, Циклофосфамида, Бортезомиба и Оксалиплатина. Согласно одному варианту осуществления лечение рака представляет собой комбинированную терапию, дополнительно предусматривающую введение ингибиторов иммунных контрольных точек, как например, моноклональных антител, нацеленных на PD-1, PD-L1 или CTLA-4, как например, α-PD-1, α-PD-L1 или α-CTLA-4, например, Атезолизумаба, Авелумаба, Дурвалумаба, Ниволумаба, Тислелизумаба, Пембролизумаба или Ипилимумааб. Предпочтительно ингибитором иммунной контрольной точки является α-PD-1, как например, Ниволумаб или Пембролизумаб. Согласно предпочтительному варианту осуществления, мицеллярная композиция представляет собой MBS8, и ингибитором иммунной контрольной точки является Ниволумаб или Пембролизумаб.
Как продемонстрировано в примере 18, мицеллярная композиция чрезвычайно эффективна при лечении различных видов рака. Этот эффект продемонстрирован как при монотерапии, так и в комбинации с α-PD-1, даже при лечении рака, не отвечающего на монотерапию α-PD-1. Согласно одному варианту осуществления комбинированная терапия предусматривает введение мицеллярной композиции и α-PD-1 для лечения рака, в частности рака, выбранного из группы, состоящей из гепатомы, рака поджелудочной железы, лимфомы, рака молочной железы и рака толстой кишки. Согласно одному варианту осуществления комбинированная терапия предусматривает введение мицеллярной композиции и α-PD-1 для лечения рака, выбранного из группы, состоящей из рака предстательной железы и рака почки. В частности, комбинация мицеллярной композиции и α-PD-1 эффективна при лечении рака, который не отвечает на монотерапию α-PD-1.
Согласно одному варианту осуществления мицеллярная композиция, применяемая в комбинированной терапии, представляет собой MBS8. Предпочтительной комбинированной терапией является MBS8 и α-PD-1. В частности, это предпочтительная комбинированная терапия эффективна при лечении рака, который не отвечает на монотерапию анти-PD-1.
Как показано в примере 13, мицеллярные композиции, содержащие 1V270, являются очень эффективными в сочетании с α-PD-1, что приводит к полной ремиссии по меньшей мере у 90% обработанных мышей, несущих модель опухоли СТ26. Согласно одному варианту осуществления MBS8 вводят в комбинации с терапевтическим антителом, нацеленным на путь PD-1/PD-L1, пациенту, страдающему раком, нуждающемуся в лечении. Согласно одному варианту осуществления терапевтическое антитело, нацеленное на путь PD-1/PD-L1, выбрано из группы, состоящей из Атезолизумаба, Авелумаба, Дурвалумаба, Ниволумаба, Пембролизумаба, Спартализумаба/PDR001, Тислелизумаба, BCD-100, TSR-042, Камрелизумаба, IBI308, KNO35 и CS1001.
Моноклональные антитела полезны в комбинации с агонистами TLR7 посредством активации комплемент-зависимой цитотоксичности (CDC), антителозависимой клеточной цитотоксичности (ADCC) и антителозависимого клеточного фагоцитоза (ADCP). Это относится к антителам, например, против CD20, EGFR, CD38 и HER2. Опосредованное ADCC, ADCP и CDC уничтожение опухолевых клеток зависит от активированных NK-клеток, макрофагов и нейтрофилов, которые активируются мицеллярной композицией согласно настоящему изобретению (фиг. 16), в частности MBS8.
Согласно одному варианту осуществления MBS8 вводят пациенту, страдающему раком, в комбинации с моноклональным антителом, нацеленным на CD20.
Согласно одному варианту осуществления MBS8 вводят пациенту, страдающему раком, в комбинации с моноклональным антителом, нацеленным на рецептор эпидермального фактора роста (EGFR).
Согласно одному варианту осуществления MBS8 вводят пациенту, страдающему раком, в комбинации с моноклональным антителом, нацеленным на рецептор эпидермального фактора роста 2 человека (HER2).
Согласно одному варианту осуществления MBS8 вводят пациенту, страдающему раком, в комбинации с моноклональным антителом, нацеленным на CD38. Согласно конкретному варианту осуществления моноклональное антитело, нацеленное на CD38, выбрано из Даратумумаба и Изатуксимаба.
Согласно одному варианту осуществления MBS8 вводят пациенту, страдающему раком, в комбинации с моноклональным антителом, выбранным из группы, состоящей из Ублитуксимаба, Обинутузумаба, Офатумумаба, Ибритумомаба тиуксетана, Ритуксимаба, Тозитумомаба, Депатуксизумаба мафодотина, Нецитумумаба, Панитумумаба, Цетуксимаба, Трастузумаба, Трастузумаба-dkst, Трастузумаб эмтанзина, ВАТ8001, Пертузумаба, Маргетуксимаба, Трастузумаб дерукстекана, Трастузумаб дуокармазина, Даратумумаба и Изатуксимаба.
Согласно одному варианту осуществления MBS8 вводят в комбинации с антителом, нацеленным на CD47, например, Магролимабом.
Согласно одному варианту осуществления лечение рака проводят в виде монотерапии, предусматривающей введение мицеллярной композиции или фармацевтической композиции, как раскрыто в настоящем документе.
В контексте настоящего изобретения термин «профилактика» относится к предотвращению заболевания или предотвращению распространения заболевания.
В контексте настоящего изобретения термин «лечение» относится к борьбе с заболеванием или нарушением. В контексте настоящего изобретения термин «лечение» или «обработка» включает любое желаемое воздействие на симптомы или патологию заболевания или состояния, как описано в настоящем документе, и может включать даже минимальные изменения или улучшения одного или нескольких измеримых маркеров заболевания или состояния, подлежащих лечению. «Лечение» или «обработка» не обязательно означает полное исключение или излечение заболевания или состояния или связанных с ним симптомов.
В контексте настоящего изобретения термин «облегчение» относится к уменьшению тяжести симптомов заболевания или состояния. Улучшение состояния больного или активность, направленная на исправление или по меньшей мере на то, чтобы сделать более приемлемыми трудно переносимые состояния, связанные с состоянием больного, рассматриваются как «облегчающее» лечение.
Согласно одному варианту осуществления мицеллярную композицию применяют для профилактики, лечения или облегчения рака.
Согласно одному варианту осуществления мицеллярную композицию применяют для профилактики, лечения или облегчения инфекционного заболевания.
Согласно одному варианту осуществления настоящее изобретение относится к способу in vivo активации иммунных клеток у субъекта, предусматривающему введение мицеллярной композиции или фармацевтической композиции, как раскрыто в настоящем документе, указанному субъекту в количестве, достаточном для активации указанных иммунных клеток. Предпочтительным субъектом является человек, как например, человек, страдающий раком.
Агонисты TLR7
Toll-подобный рецептор 7, также известный как TLR7, представляет собой белок, который у человека кодируется геном TLR7. Он является членом семейства toll-подобных рецепторов (TLR) и играет важную роль в распознавании патогенов и активации врожденного иммунитета. Из-за их способности индуцировать сильную продукцию противораковых цитокинов, таких как, например, интерлейкин-12, агонисты TLR7 были исследованы в отношении иммунотерапии рака.
Мицеллярные композиции согласно настоящему изобретению содержат агонист toll-подобного рецептора 7 (TLR7) формулы (I), формулы (II), формулы (III) или формулы (IV),
где X1 представляет собой -О-, -S- или -NRC,
R1 представляет собой водород, (С1-С10)алкил, замещенный (С1-С10)алкил, С6-10арил или замещенный С6-10арил, С5-9гетероцикл, замещенный С5-9гетероцикл,
RC представляет собой водород, С1-10алкил или замещенный С1-10алкил, или RC и R1 вместе с атомом азота, к которому они присоединены, образуют гетероциклическое кольцо или замещенное гетероциклическое кольцо,
каждый R2 независимо представляет собой -ОН, (С1-С6)алкил, замещенный (С1-С6)алкил, (С1-С6)алкокси, замещенный (С1-С6)алкокси, -С(O)-( С1-С6)алкил (алканоил), замещенный -С(O)-( С1-С6)алкил, -С(O)-(С6-С10)арил (ароил), замещенный -С(O)-(С6-С10)арил, -С(O)ОН (карбоксил), -С(O)O(С1-С6)алкил (алкоксикарбонил), замещенный -С(O)O(С1-С6)алкил, -NRaRb, - C(O)NRaRb (карбамоил), галоген, нитро или циано, или R2 отсутствует,
каждый Ra и Rb независимо представляет собой водород, (С1-С6)алкил, замещенный (С1-С6)алкил, (С3-С8)циклоалкил, замещенный (С3-С8)циклоалкил, (С1-С6)алкокси, замещенный (С1-С6)алкокси, (С1-С6)алканоил, замещенный (С1-С6)алканоил, арил, арил(С1-С6)алкил, Het, Het (С1-С6)алкил или (С1-С6)алкоксикарбонил,
где заместителями при любой алкильной, арильной или гетероциклической группах являются гидрокси, C1-6алкил, гидроксиС1-6алкилен, С1-6алкокси, С3-6циклоалкил, С1-6алкокси С1-6алкилен, амино, циано, галоген или арил,
n представляет собой 0, 1, 2, 3 или 4,
X2 представляет собой связь или связывающую группу, и
R3 представляет собой липид,
X3 представляет собой -N- или -СН-,
R4 представляет собой -CH2- или -CH(R2)-, и
k представляет собой 0 или 1,
X4 представляет собой -О-, -S-, -NH-, -N(Rd)-, -СН2- или -CH(R2)-,
каждый Rd независимо представляет собой -ОН, (С1-С6)алкил, замещенный (С1-С6)алкил, (С1-С6)алкокси, замещенный (С1-С6)алкокси, -С(O)-( С1-С6)алкил (алканоил), замещенный -С(O)-(С1-С6)алкил, -С(O)-(С6-С10)арил (ароил), замещенный -С(O)-(С6-С10)арил, -С(O)O(С1-С6)алкил (алкоксикарбонил), замещенный -С(O)O(С1-С6)алкил, -C(O)NRaRb (карбамоил),
или его таутомер,
или его фармацевтически приемлемую соль или сольват, и
где кольцевая система формулы (II) представляет собой пиперидиновое кольцо с одним гетероатомом, представляющим собой атом N, и с атомом N пиперидинового кольца, соседним с X2, и
где пуриновая группа в любой формуле (I), (II), (III) или (IV) подвержена таутомерным перегруппировкам,
и амфифильный мицеллообразующий агент.
Очевидно, что пуриновая группа в любой формуле (I), (II), (III) или (IV) подвержена таутомерным перегруппировкам.
Согласно одному варианту осуществления настоящее изобретение относится к мицеллярной композиции согласно настоящему раскрытию, где агонист TLR7 имеет формулу (I):
где X1 представляет собой -О-, -S- или -NRC,
R1 представляет собой водород, (С1-С10)алкил, замещенный (С1-С10)алкил, С6-10арил или замещенный С6-10арил, С5-9гетероцикл, замещенный С5-9гетероцикл,
RC представляет собой водород, С1-10алкил или замещенный С1-10алкил, или RC и R1 вместе с атомом азота, к которому они присоединены, образуют гетероциклическое кольцо или замещенное гетероциклическое кольцо,
каждый R2 независимо представляет собой -ОН, (С1-С6)алкил, замещенный (С1-С6)алкил, (С1-С6)алкокси, замещенный (С1-С6)алкокси, -С(O)-( С1-С6)алкил (алканоил), замещенный -С(O)-( С1-С6)алкил, -С(O)-(С6-С10)арил (ароил), замещенный -С(O)-(С6-С10)арил, -С(O)ОН (карбоксил), -С(O)O(С1-С6)алкил (алкоксикарбонил), замещенный -С(O)O(С1-С6)алкил, -NRaRb, -C(O)NRaRb (карбамоил), галоген, нитро или циано, или R2 отсутствует,
каждый Ra и Rb независимо представляет собой водород, (С1-С6)алкил, замещенный (С1-С6)алкил, (С3-С8)циклоалкил, замещенный (С3-С8)циклоалкил, (С1-С6)алкокси, замещенный (С1-С6)алкокси, (С1-С6)алканоил, замещенный (С1-С6)алканоил, арил, арил(С1-С6)алкил, Het, Het (С1-С6)алкил или (С1-С6)алкоксикарбонил,
где заместителями при любой алкильной, арильной или гетероциклической группах являются гидрокси, C1-6алкил, гидроксиС1-6алкилен, C1-6алкокси, С3-6циклоалкил, C1-6алкокси C1-6алкилен, амино, циано, галоген или арил,
n представляет собой 0, 1 или 2,
X2 представляет собой связь или связывающую группу, и
R3 представляет собой липид,
или его таутомер,
или его фармацевтически приемлемую соль или сольват, и
где пуриновая группа подвержена таутомерным перегруппировкам.
Согласно одному варианту осуществления настоящее изобретение относится к мицеллярной композиции согласно настоящему раскрытию, где агонист TLR7 имеет формулу (I):
где X1 представляет собой -О-, -S- или -NRC,
R1 представляет собой водород, (С1-С10)алкил, замещенный (С1-С10)алкил, С6-10арил или замещенный С6-10арил, С5-9гетероцикл, замещенный С5-9гетероцикл,
RC представляет собой водород, С1-10алкил или замещенный С1-10алкил, или RC и R1 вместе с атомом азота, к которому они присоединены, образуют гетероциклическое кольцо или замещенное гетероциклическое кольцо,
R2 отсутствует,
n представляет собой 0,
X2 представляет собой связь или связывающую группу, и
R3 представляет собой липид,
или его таутомер,
или его фармацевтически приемлемую соль или сольват, и
где пуриновая группа подвержена таутомерным перегруппировкам. Специалисту в данной области техники понятно, что когда R2 отсутствует, n должен представлять собой 0, т.е. не присутствует.
Согласно одному варианту осуществления настоящее изобретение относится к мицеллярной композиции согласно настоящему раскрытию, где агонист TLR7 имеет формулу (I):
где X1 представляет собой -О-,
R1 представляет собой водород, (С1-С10)алкил, замещенный (С1-С10)алкил, С6-10арил или замещенный С6-10арил, С5-9гетероцикл, замещенный С5-9гетероцикл,
R2 отсутствует,
n представляет собой 0,
X2 представляет собой связь или связывающую группу, и
R3 представляет собой липид, или его таутомер,
или его фармацевтически приемлемую соль или сольват, и
где пуриновая группа подвержена таутомерным перегруппировкам.
Согласно одному варианту осуществления настоящее изобретение относится к мицеллярной композиции согласно настоящему раскрытию, где агонист TLR7 имеет формулу (V):
где X1 представляет собой -О-,
R1 представляет собой водород, (С1-С6)алкил, замещенный (С1-С6)алкил, С6арил или замещенный С6арил, C5-6гетероцикл, замещенный C5-6гетероцикл,
X2 представляет собой связь или связывающую группу, и
R3 представляет собой липид,
или его таутомер,
или его фармацевтически приемлемую соль или сольват, и
где пуриновая группа подвержена таутомерным перегруппировкам.
Согласно одному варианту осуществления настоящее изобретение относится к мицеллярной композиции согласно настоящему раскрытию, где агонист TLR7 имеет формулу (VI):
где X1 представляет собой -О-,
R1 представляет собой водород, (С1-С6)алкил, замещенный (С1-С6)алкил, С6арил или замещенный С6арил, С5-6гетероцикл, замещенный С5-6гетероцикл,
X2 представляет собой связь или связывающую группу, и
R3 представляет собой липид, или его таутомер,
или его фармацевтически приемлемую соль или сольват, и
где пуриновая группа подвержена таутомерным перегруппировкам.
Согласно одному варианту осуществления настоящее изобретение относится к мицеллярной композиции согласно настоящему раскрытию, где агонист TLR7 имеет формулу (VII):
где X2 представляет собой связь или связывающую группу, и
R3 представляет собой липид,
или его таутомер,
или его фармацевтически приемлемую соль или сольват, и
где пуриновая группа подвержена таутомерным перегруппировкам.
Согласно одному варианту осуществления настоящее изобретение относится к мицеллярной композиции согласно настоящему раскрытию, где агонист TLR7 имеет формулу (VIII):
где R3 представляет собой липид,
или его таутомер,
или его фармацевтически приемлемую соль или сольват, и
где пуриновая группа подвержена таутомерным перегруппировкам.
Согласно одному варианту осуществления X2 выбран из группы, состоящей из связи, -О- -С(О)- (карбонила), (С1-С6)алкила, замещенного (С1-С6)алкила, (С1-С6)алкокси, замещенного (С1-С6)алкокси, -С(O)-(С1-С6)алкила (алканоила), замещенного -C(O)-(С1-С6)алкила, - С(O)-(С6-С10)арила (ароила), замещенного -С(O)-(С6-С10)арила, -С(O)ОН (карбоксила), -С(O)O(С1-С6)алкила (алкоксикарбонила), замещенного -C(O)O(С1-С6)алкила, -NRaRb, - C(O)NRaRb (карбамоила), и
каждый Ra и Rb независимо представляет собой водород, (С1-С6)алкил, замещенный (С1-С6)алкил, (С3-С8)циклоалкил, замещенный (С3-С8)циклоалкил, (С1-С6)алкокси, замещенный (С1-С6)алкокси, (С1-С6)алканоил, замещенный (С1-С6)алканоил, арил, арил(С1-С6)алкил, Het, Het (С1-С6)алкил или (С1-С6)алкоксикарбонил, и где
X1 представляет собой -О-, -S- или -NRC,
R1 представляет собой водород, (С1-С6)алкил или замещенный (С1-С6)алкил,
RC представляет собой водород, C1-6алкил или замещенный C1-6алкил, или RC и R1 вместе с атомом азота, к которому они присоединены, образуют гетероциклическое кольцо или замещенное гетероциклическое кольцо.
Согласно предпочтительному варианту осуществления X2 представляет собой -С(О)- (карбонил). Согласно предпочтительному варианту осуществления X2 представляет собой -С(О)- (карбонил), и R3 представляет собой 1,2-диолеоил-фосфатидилэтаноламин согласно формулам, раскрытым в настоящем документе.
Согласно одному варианту осуществления R3 представляет собой липид, выбранный из группы, состоящей из фосфолипида, содержащего один или два сложных эфира карбоновой кислоты, гонана, как например, холестерина, сахаролипида и глицерида. Согласно одному варианту осуществления R3 представляет собой фосфолипид, содержащий один или два сложных эфира карбоновой кислоты.
«Липид», как раскрыто в настоящем документе, относится к группе веществ, содержащих по меньшей мере одну гидрофобную часть, которая сама по себе нерастворима в воде. Примерами групп липидов могут быть без ограничения жирные кислоты, глицеролипиды, глицерофосфолипиды, сфинголипиды, стероловые липиды, преноловые липиды, сахаролипиды и поликетиды.
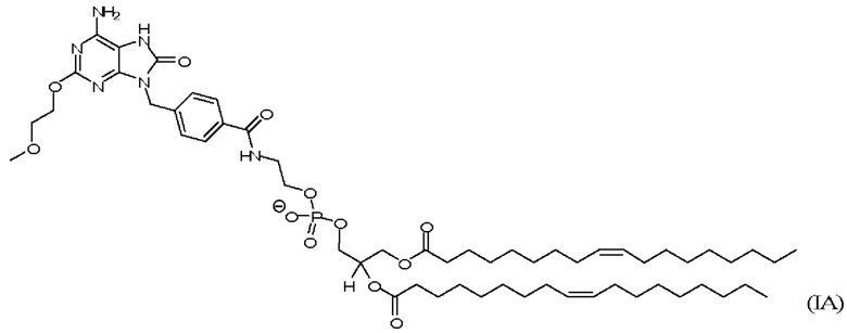
Согласно особенно предпочтительному варианту осуществления агонист TLR7 согласно Формуле (I) имеет структуру согласно Формуле (IA),
где определения для формулы (I) являются следующими:
X1 представляет собой -О-,
R1 представляет собой 2-метокси-1-этил
R2 отсутствует,
X2 представляет собой карбонил, и
R3 представляет собой 1,2-диолеоил-sn-глицеро-3-фосфоэтаноламин (DOPE), или ее фармацевтически приемлемую соль или сольват, 
Соединение согласно Формуле (IA) также известно в литературе как, например, 1V270 в, например, US 8357374.
Таким образом, согласно предпочтительному варианту осуществления, настоящее изобретение относится к мицеллярной композиции, где агонист TLR7 имеет структуру согласно формуле (IA):
или его таутомер.
Атом галогена, как упоминается в настоящем документе, относится к атому фтора, атому хлора, атому брома или атому йода.
Арил относится к С6-10 моноциклической или конденсированной циклической арильной группе, такой как, фенил, инденил или нафтил и т.п.
Гетероциклический или гетероцикл (Het) относится к моноциклическим насыщенным гетероциклическим группам или ненасыщенным моноциклическим или конденсированным гетероциклическим группам, содержащим по меньшей мере один гетероатом, например, 0-3 атома азота, 0-1 атом кислорода (-О-) и 0-1 атом серы (-С-). Неограничивающие примеры насыщенной моноциклической гетероциклической группы включают 5- или 6-членную насыщенную гетероциклическую группу, например, тетрагидрофуранил, пирролидинил, морфолинил, пиперидил, пиперазинил или пиразолидинил. Неограничивающие примеры ненасыщенной моноциклической гетероциклической группы включают 5- или 6-ти членную ненасыщенную гетероциклическую группу, такую как, например, фурил, пирролил, пиразолил, имидазолил, тиазолил, тиенил, пиридил или пиримидинил. Неограничивающие примеры ненасыщенных конденсированных гетероциклических групп включают ненасыщенные бициклические гетероциклические группы, такие как, например, индолил, изоиндолил, хинолил, бензотизолил, хроманил, бензофлиранил и т.п. Группа Het может быть насыщенной гетероциклической группой или ненасыщенной гетероциклической группой, например, гетероарильной группой.
Неограничивающие примеры гетероциклических колец включают 5- или 6-членные насыщенные гетероциклические кольца, как например, 1-пирролидинил, 4-морфолинил, 1-пиперидил, 1-пиперазинил или 1-пиразолидинил, 5- или 6-членные ненасыщенные гетероциклические кольца, например, 1-имидазолил и т.п.
Алкильные, арильные, гетероциклические группы R1 могут быть необязательно замещены одним или несколькими заместителями, где заместители являются одинаковыми или разными, и включают низший алкил, циклоалкил, гидроксил, гидрокси С1-6 алкилен, как например, гидроксиметил, 2-гидроксиэтил или 3-гидроксипропил, низший алкокси, С1-6 алкокси С1-6 алкил, как например, 2-метоксиэтил, 2-этоксиэтил или 3-метоксипропил, амино, алкиламино, диалкиламино, циано, нитро, ацил, карбоксил, низший алкоксикарбонил, галоген, меркапто, С1-6 алкилтио, как например, метилтио, этилтио, пропилтио или бутилтио, замещенный С1-6 алкилтио, как например, метоксиэтилтио, метилтиоэтилтио, гидроксиэтилтио или хлорэтилтио, арил, замещенный С6-10 моноциклический или конденсированный циклический арил, например, 4-гидроксифенил, 4-метоксифенил, 4-фторфенил, 4-хлорфенил или 3,4-дихлорфенил, 5-6-членный ненасыщенный гетероцикл, как например, фурил, пирролил, пиразолил, имидазолил, тиазолил, тиенил, пиридил или пиримидинил, и бициклический ненасыщенный гетероцикл, как например, индолил, изоиндолил, хинолил, бензотиазолил, хроманил, бензофуранил или фталимино. Согласно определенным вариантам осуществления одна или несколько из вышеуказанных групп могут быть явно исключены в качестве заместителей различных других групп формул. Согласно некоторым вариантам осуществления пятичленное кольцо формулы представляет собой тиазольное кольцо.
Алкильные, арильные, гетероциклические группы R2 могут быть необязательно замещены одним или несколькими заместителями, где заместители являются одинаковыми или разными, и включают гидроксил, С1-6 алкокси, как например, метокси, этокси или пропокси, карбоксил, С2-7 алкоксикарбонил, как например, метоксикарбонил, этоксикарбонил или пропоксикарбонил) и галоген. Алкильные, арильные, гетероциклические группы Rc могут быть необязательно замещены одним или несколькими заместителями, где заместители являются одинаковыми или разными, и включают С3-6 циклоалкил, гидроксил, С1-6 алкокси, амино, циано, арил, замещенный арил, как например, 4-гидроксифенил, 4-метоксифенил, 4-хлорфенил или 3,4-дихлорфенил, нитро и галоген.
Гетероциклическое кольцо, образованное вместе с Rc и R1, и атомом азота, к которому они присоединены, может быть необязательно замещено одним или несколькими заместителями, где заместители являются одинаковыми или разными и включают С1-6 алкил, гидрокси С1-6 алкилен, С1-6 алкокси С1-6 алкилен, гидроксил, С1-6 алкокси и циано.
Согласно одному варианту осуществления настоящее изобретение относится к мицеллярной композиции, как определено в настоящем документе, где агонист TLR7 имеет формулу (IA), амфифильный мицеллообразующий агент представляет собой DSPE-ПЭГ2000, и соотношение агониста TLR7 и амфифильного мицеллообразующего агента составляет 95:5, 90:10 или 80:20.
Согласно предпочтительному варианту осуществления настоящее изобретение относится к мицеллярной композиции, как определено в настоящем документе, где агонист TLR7 имеет формулу (IA), амфифильный мицеллообразующий агент представляет собой DSPE-ПЭГ2000, и молярное соотношение амфифильного мицеллообразующего агента и агониста TLR7 составляет 95:5, 90:10 или 80:20.
Дополнительные активные агенты
Согласно одному варианту осуществления настоящее изобретение относится к мицеллярной композиции, как определено в настоящем документе, дополнительно содержащей по меньшей мере один дополнительный активный агент. Согласно одному варианту осуществления мицеллярная композиция дополнительно содержит по меньшей мере один антиген.
Пункты
1-1. Мицеллярная композиция, содержащая:
агонист toll-подобного рецептора 7 (TLR7) формулы (I), формулы (II), формулы (III) или формулы (IV),
где X1 представляет собой -О-, -S- или -NRC,
R1 представляет собой водород, (С1-С10)алкил, замещенный (С1-С10)алкил, С6-10арил или замещенный С6-10арил, С5-9гетероцикл, замещенный С5-9гетероцикл,
RC представляет собой водород, С1-10алкил или замещенный С1-10алкил, или RC и R1 вместе с атомом азота, к которому они присоединены, образуют гетероциклическое кольцо или замещенное гетероциклическое кольцо,
каждый R2 независимо представляет собой -ОН, (С1-С6)алкил, замещенный (С1-С6)алкил, (С1-С6)алкокси, замещенный (С1-С6)алкокси, -С(O)-( С1-С6)алкил (алканоил), замещенный -С(O)-( С1-С6)алкил, -С(O)-(С6-С10)арил (ароил), замещенный -С(O)-(С6-С10)арил, -С(O)ОН (карбоксил), -С(O)O(С1-С6)алкил (алкоксикарбонил), замещенный -С(O)O(С1-С6)алкил, -NRaRb, - CO0)NRaRb (карбамоил), галоген, нитро или циано, или R2 отсутствует,
каждый Ra и Rb независимо представляет собой водород, (С1-С6)алкил, замещенный (С1-С6)алкил, (С3-С8)циклоалкил, замещенный (С3-С8)циклоалкил, (С1-С6)алкокси, замещенный (С1-С6)алкокси, (С1-С6)алканоил, замещенный (С1-С6)алканоил, арил, арил(С1-С6)алкил, Het, Het (С1-С6)алкил или (С1-С6)алкоксикарбонил,
где заместителями при любой алкильной, арильной или гетероциклической группах являются гидрокси, C1-6алкил, гидроксиС1-6алкилен, С1-6алкокси, С3-6циклоалкил, С1-6алкокси C1-6алкилен, амино, циано, галоген или арил,
n представляет собой 0, 1, 2, 3 или 4,
X2 представляет собой связь или связывающую группу, и
R3 представляет собой липид,
X3 представляет собой -N- или -СН-,
R4 представляет собой -CH2- или -CH(R2)-, и
k представляет собой 0 или 1,
X4 представляет собой -О-, -S-, -NH-, -N(Rd)-, -CH2- или -CH(R2)-,
каждый Rd независимо представляет собой -ОН, (С1-С6)алкил, замещенный (С1-С6)алкил, (С1-С6)алкокси, замещенный (С1-С6)алкокси, -С(O)-( С1-С6)алкил (алканоил), замещенный -С(O)-( С1-С6)алкил, -С(O)-(С6-С10)арил (ароил), замещенный -С(O)-(С6- С10)арил, -С(O)O(С1-С6)алкил (алкоксикарбонил), замещенный -С(O)O(С1-С6)алкил, -C(O)NRaRb (карбамоил),
или его таутомер,
или его фармацевтически приемлемую соль или сольват, и
где кольцевая система формулы (II) представляет собой пиперидиновое кольцо с одним гетероатомом, представляющим собой атом N, и с атомом N пиперидинового кольца, соседним с X2, и
где пуриновая группа в любой формуле (I), (II), (III) или (IV) подвержена таутомерным перегруппировкам,
и амфифильный мицеллообразующий агент.
I-2. Мицеллярная композиция по любому из предшествующих пунктов, где агонист TLR7 имеет формулу (I):
где X1 представляет собой -О-, -S- или -NRC,
R1 представляет собой водород, (С1-С10)алкил, замещенный (С1-С10)алкил, С6-10арил или замещенный С6-10арил, С5-9гетероцикл, замещенный С5-9гетероцикл,
RC представляет собой водород, С1-10алкил или замещенный С1-10алкил, или RC и R1 вместе с атомом азота, к которому они присоединены, образуют гетероциклическое кольцо или замещенное гетероциклическое кольцо,
каждый R2 независимо представляет собой -ОН, (С1-С6)алкил, замещенный (С1-С6)алкил, (С1-С6)алкокси, замещенный (С1-С6)алкокси, -С(O)-( С1-С6)алкил (алканоил), замещенный -С(O)-( С1-С6)алкил, -С(O)-(С6-С10)арил (ароил), замещенный -С(O)-(С6-С10)арил, -С(O)ОН (карбоксил), -С(O)O(С1-С6)алкил (алкоксикарбонил), замещенный -С(O)O(С1-С6)алкил, -NRaRb, - C(O)NRaRb (карбамоил), галоген, нитро или циано, или R2 отсутствует,
каждый Ra и Rb независимо представляет собой водород, (С1-С6)алкил, замещенный (С1-С6)алкил, (С3-С8)циклоалкил, замещенный (С3-С8)циклоалкил, (С1-С6)алкокси, замещенный (С1-С6)алкокси, (С1-С6)алканоил, замещенный (С1-С6)алканоил, арил, арил(С1-С6)алкил, Het, Het (С1-С6)алкил или (С1-С6)алкоксикарбонил,
где заместителями при любой алкильной, ар ильной или гетероциклической группах являются гидрокси, C1-6алкил, гидроксиС1-6алкилен, С1-6алкокси, С3-6циклоалкил, С1-6алкокси C1-6алкилен, амино, циано, галоген или арил,
n представляет собой 0, 1 или 2,
X2 представляет собой связь или связывающую группу, и
R3 представляет собой липид,
или его таутомер,
или его фармацевтически приемлемую соль или сольват, и
где пуриновая группа подвержена таутомерным перегруппировкам.
I-3. Мицеллярная композиция по любому из предшествующих пунктов, где агонист TLR7 имеет формулу (I):
где X1 представляет собой -О-, -S- или -NRC,
R1 представляет собой водород, (С1-С10)алкил, замещенный (С1-С10)алкил, С6-10арил или замещенный С6-10арил, С5-9гетероцикл, замещенный С5-9гетероцикл,
RC представляет собой водород, С1-10алкил или замещенный С1-10алкил, или RC и R1 вместе с атомом азота, к которому они присоединены, образуют гетероциклическое кольцо или замещенное гетероциклическое кольцо,
R2 отсутствует,
n представляет собой 0,
X2 представляет собой связь или связывающую группу, и
R3 представляет собой липид,
или его таутомер,
или его фармацевтически приемлемую соль или сольват, и
где пуриновая группа подвержена таутомерным перегруппировкам.
I-4. Мицеллярная композиция по любому из предшествующих пунктов, где X2 выбран из группы, состоящей из связи, -О-, -С(О)- (карбонила), (С1-С6)алкила, замещенного (С1-С6)алкила, (С1-С6)алкокси, замещенного (С1-С6)алкокси, -C(O)-(С1-С6)алкила (алканоила), замещенного -С(O)-( С1-С6)алкила, -С(O)-(С6-С10)арила (ароила), замещенного -С(O)-(С6-С10)арила, -С(O)ОН (карбоксила), -С(O)O(С1-С6)алкила (алкоксикарбонила), замещенного -С(O)O(С1-С6)алкила, -NRaRb, -C(O)NRaRb (карбамоила), и
каждый Ra и Rb независимо представляет собой водород, (С1-С6)алкил, замещенный (С1-С6)алкил, (С3-С8)циклоалкил, замещенный (С3-С8)циклоалкил, (С1-С6)алкокси, замещенный (С1-С6)алкокси, (С1-С6)алканоил, замещенный (С1-С6)алканоил, арил, арил(С1-С6)алкил, Het, Het (С1-С6)алкил или (С1-С6)алкоксикарбонил, и где
X1 представляет собой -О-, -S- или -NRC,
R1 представляет собой водород, (С1-С6)алкил или замещенный (С1-С6)алкил,
Rc представляет собой водород, С1-6алкил или замещенный С1-6алкил, или RC и R1 вместе с атомом азота, к которому они присоединены, образуют гетероциклическое кольцо или замещенное гетероциклическое кольцо.
I-5. Мицеллярная композиция по любому из предшествующих пунктов, где R3 представляет собой липид, выбранный из группы, состоящей из фосфолипида, содержащего один или два сложных эфира карбоновой кислоты, гонана, как например, холестерина, сахаролипида и глицерида.
I-6. Мицеллярная композиция по любому из предшествующих пунктов, где R3 представляет собой фосфолипид, содержащий один или два сложных эфира карбоновой кислоты.
I-7. Мицеллярная композиция по любому из предшествующих пунктов, где диаметр мицеллы составляет от 5 нм до 50 нм, как например, от 6 до 46 нм, как например, от 7 до 42 нм, как например, от 8 до 38 нм, как например, от 9 до 34 нм, как например, от 10 до 34 нм, как например, от 11 нм до 30 нм, как например, от 12 нм до 26 нм.
I-8. Мицеллярная композиция по любому из предшествующих пунктов, где диаметр мицеллы составляет от 5 нм до 25 нм, как например, от 6 нм до 24 нм, как например, от 7 нм до 23 нм, как например, от 8 нм до 22 нм, как например, от 9 нм до 21 нм, как например, от 10 нм до 20 нм, как например, от 11 нм до 19 нм, как например, от 12 нм до 18 нм, как например, от 13 нм до 17 нм, как например, от 14 нм до 16 нм, как например, 15 нм.
I-9. Мицеллярная композиция по любому из предшествующих пунктов, где амфифильный мицеллообразующий агент выбран из группы, состоящей из полоксамера, полоксамина, ПЭГ-сложного полиэфира, ПЭГ-полиангидрида, ПЭГ-поли-аминокислоты, фосфолипида, полисорбата и алкилового простого эфира полиоксиэтилена.
I-10. Мицеллярная композиция по любому из предшествующих пунктов, где ПЭГ-сложный полиэфир выбран из группы, состоящей из ПЭГ-поли(молочной кислоты) (ПЭГ- PLA), ПЭГ-поли(молочной и гликолевой кислоты) (PLGA) и ПЭГ-поли(ε-капролактона) (PCL).
I-11. Мицеллярная композиция по любому из предшествующих пунктов, где ПЭГ-полиангидрид представляет собой ПЭГ-полиангидрид себациновой кислоты (PSA).
I-12. Мицеллярная композиция по любому из предшествующих пунктов, где ПЭГ-поли-аминокислота выбран из группы, состоящей из ПЭГ-поли(L-гистидина), ПЭГ-поли(L-аспарагиновой кислоты), ПЭГ-поли(L-аспарагина), ПЭГ-поли(L-глутаминовой кислоты), ПЭГ-поли(L-глутамина) и ПЭГ-поли(L-лизина).
I-13. Мицеллярная композиция по любому из предшествующих пунктов, где амфифильный мицеллообразующий агент представляет собой фосфолипид, конъюгированный с полиэтиленгликолем (ПЭГ).
I-14. Мицеллярная композиция по любому из предшествующих пунктов, где фосфолипид, конъюгированный с ПЭГ, конъюгирован через карбонильную группу.
I-15. Мицеллярная композиция по любому из предшествующих пунктов, где размер ПЭГ составляет от ПЭГ350 до ПЭГ5000, например, от ПЭГ550 до ПЭГ4000, например, от ПЭГ750 до ПЭГ3000, как например, от ПЭГ1000 до ПЭГ3000, предпочтительно размер ПЭГ представляет собой ПЭГ2000.
I-16. Мицеллярная композиция по любому из предшествующих пунктов, где фосфолипид содержит одну или несколько алкильных цепей, которые представляют собой С8-С24 алкил (алкилы), как например, С10-С22, как например, С12-С20, предпочтительно С14-С18, наиболее предпочтительно С16-С18 насыщенные алкильные цепи или ненасыщенные алкильные цепи.
I-17. Мицеллярная композиция по любому из предшествующих пунктов, где фосфолипид содержит фосфатидилэтаноламин (РЕ), фосфатидилхолин (PC), фосфатидилсерин (PS), фосфатидилглицерин (PG), фосфатидилинозит (PI), фосфатидная кислота (РА), бифосфатидилглицерин (DPG) или фосфатидиловый спирт.
I-18. Мицеллярная композиция по любому из предшествующих пунктов, где фосфатидилэтаноламин выбран из группы, состоящей из 1,2-диолеоил-фосфатидилэтаноламина, 1,2-дипальмитоил-фосфатидилэтаноламина, 1,2-димиристоил-фосфатидилэтаноламина, 1,2-дистеароил-фосфатидилэтаноламина, 1-олеоил-2-пальмитоил-фосфатидилэтаноламина, 1-олеоил-2-стеароил-фосфатидилэтаноламина, 1-пальмитоил-2-олеоил-фосфатидилэтаноламина и 1-стеароил-2-олеоил-фосфатидилэтаноламина.
I-19. Мицеллярная композиция по любому из предшествующих пунктов, где фосфолипид, конъюгированный с ПЭГ, выбран из группы, состоящей из 1,2-диолеоил-sn-глицеро-3-фосфоэтаноламина (DOPE)-ПЭГ, 1,2-дистеароил-sn-глицеро-3-фосфоэтаноламина (DSPE)-ПЭГ, 1,2-димиристоил-sn-глицеро-3-фосфоэтаноламина (DMPE)-ПЭГ и 1,2-дипальмитоил-sn-глицеро-3-фосфоэтаноламина (DPPE)-ПЭГ.
I-20. Мицеллярная композиция по любому из предшествующих пунктов, где фосфолипид, конъюгированный с ПЭГ, представляет собой 1,2-дистеароил-sn-глицеро-3-фосфоэтаноламин (DSPE)-ПЭГ.
I-21. Мицеллярная композиция по любому из предшествующих пунктов, где амфифильный мицеллообразующий агент представляет собой DSPE-ПЭГ2000.
I-22. Мицеллярная композиция по любому из предшествующих пунктов, где молярное соотношение амфифильного мицеллообразующего агента и агониста TLR7 составляет от 50:50 до 99,5:0,5, как например, от 60:40 до 99:1, как например, от 70:30 до 98:2, как например, от 80:20 до 95:5, например, 95:5, 90:10 или 80:20.
I-23. Мицеллярная композиция по любому из предшествующих пунктов, где композиция содержит молярную концентрацию агониста TLR7 от 1% до 25%, как например, 1%, как например, 2%, как например, 3%, как например, 4%, как например, 5%, как например, 6%, как например, 7%, как например, 8%, как например, 9%, как например, 10%, как например, 11%, как например, 12%, как например, 13%, как например, 14%, как например, 15%, как например, 16%, как например, 17%, как например, 18%, как например, 19%, как например, 20%, как например, 21%, как например, 22%, как например, 23%, как например, 24%, как например, 25%.
I-24. Мицеллярная композиция по любому из предшествующих пунктов, где агонист TLR7 имеет структуру согласно формуле (IA):
или его таутомер,
или его фармацевтически приемлемую соль или сольват.
I-25. Мицеллярная композиция по любому из предшествующих пунктов, где агонист TLR7 имеет формулу (IA), амфифильный мицеллообразующий агент представляет собой DSPE-ПЭГ2000, и соотношение агониста TLR7 и амфифильного мицеллообразующего агента составляет 95:5, 90:10 или 80:20.
I-26. Мицеллярная композиция по любому из предшествующих пунктов, где молярное соотношение DSPE-ПЭГ2000 и агониста TLR7 формулы (IA) составляет 90:10 (MBS8).
I-27. Мицеллярная композиция по любому из предшествующих пунктов, дополнительно содержащая по меньшей мере один дополнительный активный агент.
I-28. Мицеллярная композиция по любому из предшествующих пунктов, дополнительно содержащая по меньшей мере один антиген.
I-29. Фармацевтическая композиция, содержащая мицеллярную композицию по любому из предшествующих пунктов.
I-30. Мицеллярная композиция или фармацевтическая композиция по любому из предшествующих пунктов, для применения для профилактики, лечения или облегчения заболевания или нарушения.
I-31. Мицеллярная композиция или фармацевтическая композиция для применения по любому из предшествующих пунктов, где заболевание или нарушение выбрано из группы, состоящей из рака, инфекционного заболевания, воспалительного состояния или заболевания, аутоиммунного заболевания и аллергии.
I-32. Мицеллярная композиция или фармацевтическая композиция для применения по любому из предшествующих пунктов, где заболеванием или нарушением является рак, как например, рак толстой кишки.
I-33. Способ in vivo активации иммунных клеток у субъекта, предусматривающий введение мицеллярной композиции или фармацевтической композиции по любому из предшествующих пунктов указанному субъекту в количестве, достаточном для активации указанных иммунных клеток.
I-34. Способ лечения рака у пациента, нуждающегося в этом, предусматривающий введение мицеллярной композиции, как определено в любом из предшествующих пунктов, пациенту.
I-35. Способ по любому из предшествующих пунктов, дополнительно предусматривающий введение химиотерапевтического агента пациенту.
I-36. Способ по любому из предшествующих пунктов, где химиотерапевтический агент выбран из группы, состоящей из Доксорубицина, Доксила, Эпирубицина, Циклофосфамида, Бортезомиба и Оксалиплатина.
I-37. Способ по любому из предшествующих пунктов, дополнительно предусматривающий введение ингибитор иммунной контрольной точки пациенту.
I-38. Способ по любому из предшествующих пунктов, где ингибитор иммунной контрольной точки выбран из группы, состоящей из Атезолизумаба, Авелумаба, Дурвалумаба, Ниволумаба, Тислелизумаба, Пембролизумаба и Ипилимумаба.
I-39. Способ по любому из предшествующих пунктов, где мицеллярная композиция представляет собой MBS8, и ингибитор иммунной контрольной точки выбран из группы, состоящей из Ниволумаба и Пембролизумаба.
I-40. Способ по любому из предшествующих пунктов, дополнительно предусматривающий введение моноклонального антитела, нацеленного на CD20, пациенту.
I-41. Способ по любому из предшествующих пунктов, предусматривающий введение MBS8 и моноклонального антитела, нацеленного на CD20.
I-42. Способ по любому из предшествующих пунктов, дополнительно предусматривающий введение моноклонального антитела, нацеленного на рецептор эпидермального фактора роста (EGFR), пациенту.
I-43. Способ по любому из предшествующих пунктов, предусматривающий введение MBS8 и моноклонального антитела, нацеленного на рецептор эпидермального фактора роста (EGFR).
I-44. Способ по любому из предшествующих пунктов, дополнительно предусматривающий введение моноклонального антитела, нацеленного на рецептор эпидермального фактора роста 2 человека (HER2), пациенту.
I-45. Способ по любому из предшествующих пунктов, предусматривающий введение MBS8 и моноклонального антитела, нацеленного на рецептор эпидермального фактора роста 2 человека (HER2).
I-46. Способ по любому из предшествующих пунктов, дополнительно предусматривающий введение моноклонального антитела, нацеленного на CD38, как например, Даратумумаб или Изатуксимаб, пациенту.
I-47. Способ по любому из предшествующих пунктов, предусматривающий введение MBS8 и моноклонального антитела, нацеленного на CD38, как например, Даратумумаб или Изатуксимаб.
I-48. Способ по любому из предшествующих пунктов, дополнительно предусматривающий введение моноклонального антитела, нацеленного на CD47, как например, Магролимаб, пациенту.
I-49. Способ по любому из предшествующих пунктов, предусматривающий введение MBS8 и моноклонального антитела, нацеленного на CD47, как например, Магролимаб.
I-50. Способ по любому из предшествующих пунктов, дополнительно предусматривающий радиотерапию.
Примеры
Пример 1. Получение мицелл и липосом
Мицеллы получали из 1,2-дистеарил-sn-глицеро-3-фосфоэтаноламин-N-[метокси(полиэтиленгликоля)-2000] (DSPE-PEG2000), полученного от Lipoid GmbH. Кратко, липид растворяли в трет-бутаноле:воде (соотношение по объему 9:1) до конечной концентрации 5-10 мМ в стеклянных флаконах и подвергали перемешиванию магнитной мешалкой и нагреванию до 50°С до полного растворения. Растворитель удаляли замораживанием флаконов в жидком азоте с последующей лиофилизацией в течение ночи. Мицеллы получали путем диспергирования высушенных липидов в буферном растворе, содержащем: 150 мМ NaCl, 10 мМ фосфата (рН=7,4), путем осторожного встряхивания флакона для установления начального контакта между липидами и растворителем перед обработкой ультразвуком в течение 30 минут для того, чтобы гарантировать образование мицеллярных структур. Дисперсию еще раз встряхивали, прежде чем подвергать дисперсию дополнительному воздействию ультразвуком в течение 30 минут. Мицеллы хранили при 4 градусах Цельсия перед использованием и/или определением характеристик.
Однослойные полностью гидратированные липосомы получали из смесей 1-пальмитоил-2-олеоил-sn-глицеро-3-фосфохолина (РОРС), 1-пальмитоил-2-олеоил-sn-глицеро-3-фосфоглицерола (POPG), 1,2-диолеоил-3-триметиламмоний-пропана (DOTAP), холестерина (Chol) и 1,2-диолеоил-sn-глицеро-3-фосфоэтаноламин-N-[метокси(полиэтиленгликоль)-2000] (DOPE-PEG2000) и 1v270 (C57H93N6O12P, Mw=1085,4, (2-(4-((6-амино-2-(2-метоксиэтокси)-8-оксо-7Н-пурин-9(8Н)-ил)метил)бензамидо)этил-2,3-бис(олеоилокси)пропилфосфата). Молярные соотношения каждого липида в липосомах составляли MBS1: POPC:Chol:DOTAP:1V270:DOPE-mПЭГ2k (44,25:30:20:0,75:5) и MBS2: POPC:Chol:POPG:1V270:DSPE-ПЭГ2k (44,25:30:20:0,75:5). Все липиды получали у Avanti Polar lipids или Lipoid. Кратко, соответствующие взвешенные количества РОРС, POPG, Chol, DOTAP, 1V270 и DOPE-PEG2000 растворяли в хлороформе. Растворитель удаляли слабым потоком N2 и липидные пленки сушили в течение ночи при низком давлении для удаления следов растворителя. Многослойные везикулы готовили путем диспергирования высушенных липидов в буферном растворе, содержащем: 150 мМ KCL, 10 мМ HEPES (рН=7,5), 1 мМ NaN3, 30 мкМ CaCl2 и 10 мкМ EDTA. Многослойные везикулы экструдировали десять раз через два установленных друг на друга поликарбонатных фильтра с размером пор 100 нм, как описано в Mayer et al., Biochim. Biophys. Acta, 858, 161-168.
Пример 2. Получение мицелл с включением агониста toll-подобного рецептора 7 (TLR7)
Мицеллы получали из 1,2-дистеарил-sn-глицеро-3-фосфоэтаноламин-N-[метокси(полиэтиленгликоль)-2000] (DSPE-ПЭГ2000), полученного у Lipoid GmbH, и агониста TLR7, 1v270 (C57H93N6O12P, Mw=1085,4, (2-(4-((6-амино-2-(2-метоксиэтокси)-8-оксо-7Н-пурин-9(8Н)-ил)метил)бензамидо)этил-2,3-бис(олеоилокси)пропилфосфат). Химическая структура 1v270 показана на фиг. 2. Кратко, липид растворяли в трет-бутаноле:воде (соотношение по объему 9:1) до конечной концентрации 5-10 мМ (DSPE-ПЭГ2000) или 1-3 мМ (1v270) в стеклянных флаконах, помещали на магнитную мешалку и нагревали до 50°С до полного растворения. Затем две липидные дисперсии смешивали до желаемого соотношения (молярное соотношение DSPE-ПЭГ2000:1v270 от 95:5 до 80:20). Растворитель удаляли путем замораживания флаконов в жидком азоте с последующей лиофилизацией в течение ночи. Мицеллы готовили путем диспергирования высушенных липидов в буферном растворе, содержащем: 150 мМ NaCl, 10 мМ фосфата (рН=7,4), подвергая флакон осторожному встряхиванию для установления начального контакта между липидами и растворителем перед воздействием ультразвука в течение 30 минут для обеспечения образования мицеллярных структур. Дисперсию еще раз встряхивали, прежде чем подвергать дисперсию дополнительному воздействию ультразвука в течение 30 минут. Мицеллы хранили при 4 градусах Цельсия перед использованием и/или получением характеристик. Названия партий, молярные соотношения, липидный состав, дзета-потенциал (мВ), размер (нм) и индекс полидисперсности (PDI) представлены на фиг. 1.
Пример 3. Характеристика размера мицелл и поверхностного заряда в зависимости от состава
Мицеллы, показанные на фиг. 1, получали при попытке получить стабильный состав агониста TLR7 1v207 в водных растворителях, что позволяет проводить инъекции в солевом буфере. Мицеллы готовили, как описано в примерах 1+2, и их размер (диаметр) измеряли в нанометрах (нм) способом динамического светорассеяния в буфере, состоящем из 5% (мас./мас.) глюкозы, 10 мМ HEPES, 1 мМ CaCl2 в воде MilliQ, рН 7,4. Мицеллы без 1V207 имели средний размер 11,5 нм (согласно распределению по количеству частиц), а мицеллы, содержащие 1V270, имели средний размер в диапазоне от 11,5 нм до 13-14 нм (согласно распределению по количеству частиц) при увеличении содержания 1V270 от 5% до 20% (фиг. 1В и 1С). Дзета-потенциал пустых мицелл при измерении в глюкозном буфере w. CaCl2 должен быть около -4 мВ, но становился более отрицательным при включении анионного соединения 1V270 в мицеллы, таким образом, снижаясь до -8 мВ для мицелл с 10% 1V207 (фиг. 1С). Как размер, так и дзета-потенциал измеряли на Zetasizer от Malvern Instruments.
Пример 4. Противоопухолевая активность мицелл и липосом, содержащих 1V270, на модели СТ26
Исследования опухолей проводили на модели СТ26 (Adlard et al., Int J Cancer, 135, 820-829, 2014). Кратко, модель CT26 представляет собой модель рака толстой кишки, установленную как подкожная модель у мышей Balb/C, которая часто используется в качестве модели иммунокомпетентной опухоли для тестирования противораковых лекарственных средств и иммунотерапевтических лекарственных средств. Авторы изобретения использовали эту модель с контрольными группами, группой лечения радиотерапией со дня 10 и ежедневно в течение 5 дней с дозой 2 Гр. Липосомы или мицеллы, содержащие 1V270, вводили внутривенно в первый день радиотерапии и каждые четыре дня для пяти доз (фиг. 3А и 3В). Липосомы, содержащие 5% 1V270, инъецировали до достижения общей дозы 266 нмоль 1V270 на мышь (фиг. 3А). Мицеллы инъецировали при трех дозах 50, 100 и 200 нмоль 1V270 на мышь, и они показали значительное ингибирование роста опухоли по сравнению с лечением только радиотерапией. Более того, самая низкая доза 50 нмоль показала полную ремиссию у 2/10 мышей, доза 100 нмоль показала полную ремиссию у 4/9 мышей, а доза 200 нмоль показала полную ремиссию у 8/8 мышей. Кроме того, почти все мыши в состоянии полной ремиссии смогли противостоять повторному развитию опухоли теми же опухолевыми клетками через 100 дней без повторного роста опухоли, что свидетельствует о том, что у мышей сформировался ответ иммунной памяти против опухоли. При монотерапии мицеллы MBS8 также очень сильно проявляли противоопухолевую активность (фиг. 3С), где дозы MBS8 при 50, 200 и 400 нмоль вводили мышам внутривенно на день 9 и дополнительно 4 раза с интервалом в 4 дня. Две самые высокие дозы показали подавление роста опухоли у всех 10 мышей в группах, продолжавшееся до 2 недель после последней дозы (день 34). На день 41 у трех мышей была полная ремиссия в обеих группах с высокими дозами. Мицеллы MBS8 при 50 нмоль/мышь/доза показали синергизм в сочетании с обработкой анти-PD1. Эта комбинированная терапия показала значительно более хорошую противоопухолевую активность (р<0,05), чем только анти-PD1 и только MBS8 (фиг. 3D). Анти-PD1 вводили 6 раз внутрибрюшинно в дни 11, 15, 19, 23 и 27.
Пример 5. Противоопухолевая активность мицелл по сравнению с липосомами, содержащими агонист TLR7, в комбинации с радиотерапией на модели СТ26
Многочисленные исследования опухолей проводили с группами мышей, получавшими радиотерапию, и с 7 группами мышей, получавших липосомы в диапазоне от 40 до 266 нмоль 1V270, инъецируемыми на мышь, и 13 группами мышей, получавшими мицеллы с 50-200 нмоль 1V270, инъецируемыми на мышь в комбинации с радиотерапией. Количество мышей в группе составляло 7-9, и средний размер опухоли сравнивали между группами, получавшими только радиотерапию и радиотерапию либо с липосомами, либо с мицеллами. Среднее время выживания для каждой группы мышей, обработанных мицеллами или липосомами, показано на фиг. 3Е. 4 группы, обработанные мицеллами, показали медиану выживаемости более 100 дней, что указывает на то, что более половины мышей показали полную ремиссию опухоли (медиана выживаемости наблюдаемой мыши показала полную ремиссию опухоли). Этого не наблюдали ни в одной из групп, получавших липосомы + RT. Рост опухоли в группах, получавших липосомы + RT и мицеллы + RT, по сравнению с группами, получавшими только RT (условное отношение Т/С), и вычисленный на момент умерщвления группы, получавшей только RT, показал соотношение Т/С ниже 50% в 10 группах из 13 групп для мицелл, тогда как только в 1 из 7 обработанных липосомами групп соотношение Т/С было ниже 50%. При использовании критерия суммы рангов Уилкоксона разница была значимой на уровне р<0,01 (фиг. 3F). Значение Т/С может быть переведено в % ингибирования роста опухоли путем вычитания 100% из значения Т/С (фиг. 3G), где значения, приближающиеся к 100%, означают очень сильное ингибирование роста опухоли. 10 из 13 групп, обработанных мицеллами, показали ингибирование роста опухоли выше 60%, тогда как только 1 из 7 групп, обработанных липосомами, показали ингибирование роста опухоли выше 50%.
Вывод
В заключение, мицеллы, содержащие 1V270, продемонстрировали значительно лучшее ингибирование роста опухоли, чем соответствующие липосомы, содержащие 1V270 (р<0,01, критерий суммы рангов Уилкоксона).
Пример 6. Мицеллы демонстрируют более безопасный цитокиновый профиль с пониженным риском синдрома высвобождения цитокинов (CRS).
Мицеллы MBS6, MBS7 и MBS8, содержащие агонист TLR7, 1V270, сравнивали с пустыми мицеллами (MBS0=носитель), PBS и двумя разными липосомами, содержащими 1V270, путем внутривенной инъекции мышам Balb/C при дозе 100 нмоль 1V270 для всех образцов, кроме PBS и носителя. Образцы плазмы брали через 2 и 6 ч после инъекции, а цитокины, имеющие отношение к противоопухолевому иммунному ответу и токсичности, измеряли с помощью мультиплексного анализа или анализа ELISA.
Как интерферон-гамма (фиг. 4А), так и интерферон-альфа (фиг. 4В) были снижены для всех трех мицеллярных составов, MBS6-8, по сравнению с двумя липосомальными составами либо через 2, либо через 6 часов после обработки, что подтверждает снижение риска цитокинового шторма для мицеллярных составов. IL-12p70, который важен для индукции цитотоксического Т-клеточного ответа типа 1, показал небольшое, но значительное снижение при обработке MBS6 и MBS8 по сравнению с липосомами MBS1, но все же ожидается, что уровень цитокина вызовет противоопухолевый ответ (фиг. 4С). IL-6, который является критическим цитокином для инициации CRS, демонстрирует сниженный уровень IL-6 в плазме мышей, получавших MBS6-8, по сравнению с липосомами MBS1 и MBS2 через 2 часа. Через 6 часов у всех мышей наблюдали более низкие уровни IL-6, чем через 2 часа, с аналогичными или немного более низкими уровнями IL-6, чем у липосом, демонстрируя, что мицеллы демонстрируют общее снижение уровней IL-6, а не только задержку. TNF-альфа, который также связан с инициацией синдрома CRS, также измеряли, и он показал общее снижение цитокинов для мицелл, в частности, по сравнению с MBS1, и наиболее выраженное для MBS6 и MBS8. Измеряли цитокины IL-1b и хемокин GRO, но без существенного различия уровней цитокинов.
Вывод
В заключение, введение мицелл MBS6-8 мышам приводило к более безопасному профилю цитокинов с уменьшенным риском синдрома высвобождения цитокинов (CRS) по сравнению с соответствующими липосомами MBS1 и MBS2, содержащими 1V270.
Пример 7. Мицеллы демонстрируют лучший токсикологический профиль по сравнению с липосомами, содержащими 1V270.
Многочисленные исследования с липосомами разного заряда и содержания 1V270 в диапазоне от 0,75-5% содержания 1V270 и при дозах 13-266 нмоль/мышь/доза вводили на мышь в группах по 7-9 мышей/группа. При первых двух инъекциях в день 0 и 4 мыши хорошо переносили липосомы без каких-либо признаков неблагоприятных явлений или токсичности. Однако при третьей инъекции на день 8 у мышей наблюдали побочные эффекты и токсичность в 81% проведенных исследований. Токсичность была связана с отсутствием движения, пилоэрекцией, потерей массы и общим плохим самочувствием в течение временного периода, начинающегося через 10-15 минут после приема и продолжающегося в течение 30-40 минут. Это наблюдение наблюдали в 30 из 37 исследований липосом при всех диапазонах доз.
Напротив, мицеллы не показали такой токсичности ни в одном исследовании, в настоящее время в 30 из 30 исследований, что указывает на то, что мицеллярные составы 1V270 демонстрируют лучший профиль токсичности, чем липосомальные составы 1V270
Вывод
В заключение, введение мицелл MBS6-8 мышам привело к лучшему токсикологическому профилю по сравнению с соответствующими липосомами, содержащими 1V270.
Пример 8. Мицеллы индуцируют более низкие анти-ПЭГ антитела IgM и IgG при инъекции мышам
Для изучения токсичности, связанной с липосомами, содержащими 1V270, но не мицеллами, содержащими 1V270, липосомы и мицеллы, содержащие 1V270, вводили однократно внутривенно мышам, а образцы крови брали в течение 28-дневного периода. Мицеллы без 1V270 индуцировали низкие уровни анти-ПЭГ антител IgM в плазме мыши при измерении с помощью набора ELISA против анти-ПЭГ антител IgM (фиг. 5А, пустые мицеллы). Мицеллы MBS8 индуцировали молекулы анти-ПЭГ IgM в плазме на день 5, но на уровнях ниже половины количеств, индуцированных липосомами, содержащими 1V270 (фиг. 5A, MBS8 по сравнению с липосомами MBS). Для анти-ПЭГ антител IgG, которые обычно более специфичны и присутствуют в течение более длительного времени у млекопитающих при индуцировании, индукция для липосом была очень высокой через 1-2 недели после введения дозы, а затем снижалась, но все еще присутствовала на протяжении всего исследования (фиг. 5В). Мицеллы MBS8 индуцировали гораздо более низкие анти-ПЭГ антитела IgG (фиг. 5В, примерно в 17 раз ниже), чем липосомы, содержащие 1V270. Это наблюдение указывает на то, что мицеллы индуцируют более низкие уровни ответов анти-ПЭГ IgM и IgG и, таким образом, снижают иммунную токсичность у мышей и, потенциально, у других млекопитающих, что важно для снижения токсичности у пациентов, получающих мицеллы и липосомы с иммуностимулирующими реагентами.
На фиг. 5С показана специфичность анти-ПЭГ-антител, генерируемых против MBS8.
Здоровым мышам вводили однократно мицеллы MBS8 при суммарной дозе 200 нмоль 1V270. Кровь брали на день 5 после инъекции и получали плазму. Затем плазму инкубировали либо с PBS, либо с ПЭГилированными липосомами, либо со свободными цепями тПЭГ2000, либо с мицеллами DSPE-ПЭГ без 1V270, либо с мицеллами MBS8. Концентрация ПЭГ составляла 1 мкМ во всех предварительных инкубациях. Затем плазму добавляли в лунки для микроскопии, содержащие иммобилизованные флуоресцентно меченные ПЭГилированные липосомы, и инкубировали в течение 10 минут. Лунку для микроскопии промывали и добавляли флуоресцентные вторичные антитела против IgM мыши. Липосомы визуализировали с помощью конфокальной микроскопии для определения поверхностной плотности IgM на отдельных липосомах.
При предварительной инкубации плазмы с PBS (без конкуренции), поверхностная плотность составляла приблизительно 60 УЕ. Аналогичное связывание IgM измеряли при предварительной инкубации плазмы со свободными мицеллами mПЭГ, DSPE-ПЭГ или мицеллами MBS8, и обнаруживали высокую поверхностную плотность IgM (УЕ в диапазоне 60-70), что указывает на отсутствие конкуренции за связывание анти-ПЭГ IgM, присутствующего в плазме. При предварительной инкубации плазмы с ПЭГ-липосомами (положительный контроль для конкуренции), связывание анти-ПЭГ IgM с иммобилизованными ПЭГ-липосомами почти полностью устранялось, что указывает на сильную конкуренцию за связывание. Таким образом, анти-ПЭГ IgM, обнаруженные с помощью ELISA на фиг. 5А, индуцированные мицеллами MBS8, способны распознавать только цепи ПЭГ, прикрепленные к плоским или липосомальным поверхностям, но не мицеллы ПЭГ (включая MBS8) или свободные цепи ПЭГ.
Вывод
Анти-ПЭГ IgM, образующийся против мицелл MBS8 после инъекции мышам, не способен распознавать и связываться с мицеллами MBS8 или мицеллами DSPE-ПЭГ в целом, подтверждая, что потенциальное образование анти-ПЭГ IgM антител у пациентов вряд ли будет связано с MBS8 при многократных инъекциях.
Пример 9. Лечение млекопитающего, страдающего раком, с использованием иммуностимулирующих мицелл 1v270 (не антиген-специфичных)
Для того, чтобы получить иммуностимулирующую мицеллу, подходящую для лечения рака, мицеллу можно получить путем смешивания 1v270: DOPE-ПЭГ2k (10:90=MBS8). Соединения смешивали в органическом растворителе и сушили до образования липидной пленки. Эту пленку гидратировали в буфере, подходящем для внутривенного введения, например, содержащем физиологический раствор. Мицеллы вводили внутривенно пациенту, страдающему раком, например, раком легкого, раком молочной железы, раком предстательной железы, HNC, лейкемией, лимфомой или меланомой, например, с интервалом в одну-две недели. Комбинации с клинически одобренными способами лечения, вероятно, усиливают противоопухолевый эффект.В частности, в комбинации с ингибиторами иммунных контрольных точек, радиотерапией для усиления абскопального эффекта, например, у пациентов с раком легких, в сочетании с терапией моноклональными антителами, такими как ритуксимаб и трастузумаб, для усиления антителозависимой клеточной цитотоксичности (ADCC), для усиления ответа на иммуногенную гибель клеток, вызванную некоторыми видами химиотерапии, такими как доксорубицин, оксалиплатин, циклофосфамид и митоксантрон.
Пример 10. Лечение млекопитающего, страдающего раком, с использованием иммуностимулирующих мицелл 1v270 (антигенспецифичных)
Для получения антиген-специфического иммунного ответа мицеллы получали, как в примере 9, но с добавлением антигенного пептида, содержащего весь или части представляющего интерес антигена, связанного с липидным якорем, таким как, например, DOPE. Пептидный антиген, связанный с липидным якорем, обеспечивает достаточную ассоциацию мицелл, как это видно для пептидной последовательности из 25 аминокислот из опухолевого антигена MUC1, где пальмитоилированный лизиновый остаток обеспечивает достаточную ассоциацию антигена с липосомой (Sangha and Butts, Clin Cancer Res 2007,13, 15 supp, 2007, 4652-54s). Антиген может представлять собой, например, антиген MAGE для лечения меланомы, PSA для лечения рака предстательной железы, неоантиген или третий антиген или комбинацию антигенов. Антиген вместе с 1v270 вводят пациенту, страдающему раком, который, как ожидается, будет экспрессировать нагруженный антиген в его опухолях. Мицеллы вводят тому же пациенту несколько раз для усиления антигенспецифического ответа с интервалом в 1-2 недели.
Пример 11. Противоопухолевая активность мицелл MBS8 в сочетании с радиотерапией
Мышей с подкожными опухолями СТ26 обрабатывали радиотерапией (RT) и мицеллами, содержащими 50, 100 или 200 нмоль 1V270. Мицеллы вводили внутривенно каждый четвертый день, всего 5 обработок, начиная со дня 12 после инокуляции опухоли. RT при дозе 2 Гр в бок с опухолью вводили каждый день в течение 5 дней подряд, начиная со дня 12 после инокуляции опухоли. Количество мышей в группе составляло 8-10, и мышам повторно вводили СТ26 на противоположном боку на день 101 после первичной инокуляции. Данные о кривых роста опухоли представляют собой средний размер опухоли ± SEM.
Комбинация 50 или 100 нмоль MBS6 с RT обеспечивала лишь умеренный контроль опухоли, в то время как 200 нмоль MBS6 в комбинации с RT обеспечивало хороший контроль опухоли (фиг. 6А). Только для RT 1/9 мышей были полными респондерами, а 1/1 мышей не подверглись повторному развитию опухоли. Для 50 нмоль MBS6 в комбинации с RT 2/9 мышей были полными респондерами, а 2/2 не подверглись повторному развитию опухоли. Для 200 нмоль MBS6 в комбинации с RT 7/9 мышей были полными респондерами, а 7/9 не подверглись повторному развитию опухоли (фиг. 6А-В).
Комбинация MBS7 с RT показала синергетический эффект. Для 50 нмоль MBS7 в комбинации с RT 5/9 мышей были полными респондерами, а 5/5 не подверглись повторному развитию опухоли. Для 100 нмоль MBS7 в качестве монотерапии 3/9 мышей были полными респондерами, а 3/3 не подверглись повторному развитию опухоли. Комбинация 100 нмоль MBS7 с RT обеспечила 8/10 полных респондентов и 3/3 мышей, которые не подверглись повторному развитию опухоли, и обеспечила значительно улучшенную выживаемость по сравнению с монотерапией (р=0,02, критерий Мантеля-Кокса, фиг. 6C-D).
Комбинация 50 нмоль MBS8 с RT обеспечила 2/10 полныхреспондеров и 2/2 мышей, которые не подверглись повторному развитию опухоли. Для 100 нмоль MBS8 в комбинации с RT 4/9 мышей были полными респондерами, и 4/4 не подверглись повторному развитию опухоли. Для 200 нмоль MBS8 в комбинации с RT 8/8 мышей были полными респондерами, и 7/8 не подверглись повторному развитию опухоли. Кроме того, наблюдали дозозависимость MBS8 в комбинации с RT (р<0,3, критерий Мантеля-Кокса, фиг. 6E-F).
Вывод
Мицеллы, содержащие 1V270 при молярных соотношениях 80:20, 90:10 и 95:5, проявляют сильную противоопухолевую активность как при монотерапии, так и в комбинации с радиотерапией.
Пример 12. Противоопухолевая активность мицелл MBS8 при монотерапии
Эффективность мицелл MBS8 изучали для монотерапии на модели сингенного подкожного рака толстой кишки СТ26. Рандомизацию мышей и лечение начинали, когда опухоли достигали среднего объема 100 мм3 (день 0). Группы из 10 мышей каждую обрабатывали PBS в качестве контрольного носителя или тремя дозами MBS8 при 50, 200 или 400 нмоль/мышь/инъекция внутривенным болюсом (фиг. 7А). MBS8 вводили каждые 4 дня, всего 5 инъекций, начиная с дня 9 (день 9, 13, 17, 21 и 25). Рост опухолей измеряли два раза в неделю. Средние объемы опухолей обработанных мышей показаны на фиг. 7А, тогда как объемы опухолей отдельных животных показаны на фиг. 7В (1-4). Статистический анализ с использованием критерия суммы рангов Уилкоксона выявил значительное усиление эффективности MBS8 при средней и высокой дозе по сравнению с контролем (р<0,01). 8 мышей из 10 показали полную ремиссию в группах лечения средней и высокой дозой MBS8.
Вывод
Мицеллы MBS8, содержащие 1V270 при 10-молярном содержании, проявляют значительную противоопухолевую активность при дозах 200 и 400 нмоль на модели СТ26 и очень эффективны в индукции полной ремиссии.
Пример 13. Противоопухолевая активность мицелл MBS8 в комбинации с терапией PD-1
Эффективность мицелл MBS8 в комбинации с терапией αPD-1 изучали при внутрибрюшинной инъекции фиксированной дозы αPD-1 при 10 мг/кг и возрастающей дозе MBS8 при 50, 200 и 400 нмоль/мышь/инъекция. Использовали модель СТ26 и обработку MBS8 проводили, как описано в примере 12. Обработку MBS8 начинали на день 9, а αPD-1 начинали на день 11, а затем два раза в неделю в течение трех недель (фиг. 8А). Низкая доза MBS8 в комбинации сαaPD-1 показала значительную задержку роста опухоли (р<0,05) по сравнению с одной низкой дозой MBS8 и только с αPD-1 (фиг. 8А и 8В, графики 1-4). При средней и высокой дозе MBS8 комбинированная терапия изначально не показала никакой разницы, поскольку у всех 10 мышей в каждой группе наблюдалась ремиссия или очень маленькие опухоли (фиг. 8А). Однако на день 30-50 несколько опухолей начали расти в группах монотерапии MBS8 с двумя ускользающими опухолями (фиг. 8А и 8В, график 3-4). В комбинированных группах αPD-1 эти ускользающие опухоли не наблюдались (фиг. 8В, графики 7 и 8), и все опухоли в конечном итоге исчезли или стали очень маленькими (<30 мм3).
Вывод
Мицеллы MBS8, содержащие 1V270, очень эффективны в комбинации с αPD-1, что приводит к полной ремиссии по меньшей мере у 90% обработанных мышей, несущих модель опухоли СТ26.
Пример 14. Противоопухолевая активность мицелл MBS8 в комбинации с химиотерапией (Доксорубицин и Доксил) на модели СТ26
Эффективность мицелл MBS8 изучали в комбинации со стандартной химиотерапией, включая Доксорубицин и Доксил, и сравнивали с эффективностью монотерапии этими химиотерапевтическими лекарственными средствами на модели сингенного подкожного рака толстой кишки СТ26. Рандомизацию мышей и обработку начинали, когда опухоли достигали среднего объема 100 мм3 (день 0). Группы из 10 мышей каждый раз обрабатывали PBS в качестве контроля носителя, Доксорубицином (4 мг/кг) или комбинацией MBS8 (400 нмоль/мышь) и Доксорубицина (4 мг/кг) (фиг. 9А) или Доксилом (4 мг/кг) или комбинацией MBS8 (200 нмоль/мышь) и Доксила (4 мг/кг) (фиг. 9С). Все лекарственные средства вводили внутривенно болюсно. Доксорубицин или Доксил вводили по схеме q4d, всего 3 инъекции. MBS8 вводили по схеме q4d, всего 5 инъекций. Доксорубицин или Доксил вводили на день 10, день 14 и день 18, MBS8 вводили на день 10, 20, 24, 28 и 32. Рост опухолей измеряли дважды в неделю. Средние объемы опухолей у животных, получавших Доксорубицин и/или MBS8, показаны на фиг. 9А, а объемы опухолей у отдельных животных показаны на фиг. 9В. Средние объемы опухолей у животных, получавших лечение Доксилом и/или MBS8, показаны на фиг. 9С, а объемы опухолей у отдельных животных показаны на фиг. 9D. Статистический анализ с использованием критерия суммы рангов Уилкоксона выявил значительное усиление эффективности химиотерапевтических лекарственных средств в комбинации с MBS8. У всех животных, получавших комбинацию MBS8/Доксил, наблюдался полный ответ, причем 8 из 10 полных респондеров были в группе, получавшей MBS8/Доксорубицин, в группах монохимиотерапии полных респондеров обнаружено не было.
Вывод
Мицеллы, содержащие 1V270 при 10-мольном содержании, значительно усиливают эффективность Доксорубицина и Доксила и приводят к полному ответу.
Пример 15. Противоопухолевая активность мицелл MBS8 при внутривенном и внутриопухолевом введении
Мышей с подкожными опухолями СТ26 обрабатывали радиотерапией (RT) и инъекцией MBS8 внутривенно или внутриопухолево. MBS8 или соответствующий липиду мицеллярный носитель без агониста TLR7 1V270 вводили каждый четвертый день в общей сложности 5 обработок, начиная со дня 12 после инокуляции опухоли. RT при дозе 2 Гр в бок с опухолью вводили каждый день в течение 5 дней подряд, начиная со дня 12 после инокуляции опухоли. Внутриопухолевые инъекции MBS8 вводили при 100 нмоль 1V270 из-за ограничения объема, а внутривенные инъекции MBS8 вводили при 200 нмоль 1V270 (фиг. 10А). Количество мышей в группе составляло 8, и мышам с полной ремиссией повторно вводили СТ26 в противоположной бок в день 103 после первичного образования опухоли. Данные о кривых роста опухоли представляют собой средний размер опухоли ± SEM. MBS8 обеспечивал хороший контроль над опухолью как в виде монотерапии, так и в комбинации с радиотерапией, независимо от пути введения, но при внутривенном введении немного более эффективен, чем при внутривенное введение (фиг. 10А). Внутривенная инъекция только MBS8 привела к полному ответу на лечение у 3/8, из которых 3/3 отказались от повторного введения. Внутривенная инъекция MBS8 в комбинации с RT привела к полному ответу у 6/8, из которых 5/6 не показали повторного развития опухоли. Внутриопухолевая инъекция только MBS8 привела к полному ответу у 3/8, из которых 3/3 не показали повторного развития опухоли. Внутриопухолевая инъекция MBS8 в комбинации с RT привела к полному ответу у 4/8, из которых 4/4 не показали повторного развития опухоли.
Напротив, инъекции носителя не улучшали контроль над опухолью (фиг. 10В). Радиотерапия отдельно или в комбинации с носителем не приводила к полному ответу. Показана выживаемость мышей в отдельных группах для внутриопухолевого введения (фиг. 10С) и для групп внутривенного введения (фиг. 10D). Медиана дней выживания составила для обработки MBS8 при монотерапии при IT-введении 43,5 дня по сравнению с 63 днями при внутривенном введении. Для MBS8 в комбинации с радиотерапией медиана времени выживания составила 56 дней при IT-введении по сравнению с 100+ днями при IV введении, поскольку 6 из 8 мышей находились в полной ремиссии.
Вывод
Мицеллы MBS8, содержащие 1V270, обеспечивали хороший контроль над опухолью при внутривенном или внутриопухолевом введении и проявляли синергетический эффект при радиотерапии независимо от пути введения.
Пример 16. Противоопухолевая активность мицелл MBS8 в комбинации с радиотерапией
Мышей с опухолями МС38, EL4 или B16-F10 обрабатывали радиотерапией (RT) и MBS8 внутривенно. 200 нмоль MBS8 или носителя, соответствующего липиду, вводили каждые 4 дня, всего 5 обработок. Для мышей с EL4 обработку начинали на день 7 после инокуляции, мицеллы вводили каждые 4 дня, а радиотерапию проводили при дозе 2 Гр в бок с опухолью в течение 3 дней подряд по 9-10 мышей в группе. Для мышей, несущих МС38, обработку начинали на день 10 после инокуляции, и радиотерапию проводили при дозе 2 Гр в бок с опухолью в течение 5 дней подряд по 9 мышей в группе. Полные респондеры с МС38 подвергали повторному введению МС38 в противоположный бок в день 80 после первичного введения.
MBS8 не обеспечивал контроля над опухолью у EL4 в качестве монотерапии, но в комбинации с RT приводил к 4/10 полных респондеров. Одна RT привела только к 1/9 полных респондеров, а носитель в сочетании с RT привел к 2/10 полных респондеров (фиг. 11А-В).
MBS8 обеспечивал умеренный контроль опухоли у мышей, несущих МС38, в комбинации с радиотерапией. RT в комбинации с MBS8 в течение 4 дней приводила к полному ответу у 3/9, из которых 2/3 не показали повторного развития опухоли, (фиг. 11С-D).
Вывод
В заключение, MBS8 обеспечивает хороший контроль опухоли при EL4 и МС38 в комбинации с лучевой терапией.
Пример 17. Переносимость мицелл MBS8 у макак
Переносимость мицелл MBS8 оценивали на яванских макаках (тасаса fascicularis). MBS8 вводили трем интактным самцам обезьян массой тела ~3 кг каждые 14 дней по следующей схеме повышения дозы: 0,01 мг/кг, →0,03 мг/кг, →0,1 мг/кг, →0,3 мг/кг, →0,9 мг/кг, →2,7 мг/кг.Введение лекарственного средства осуществляли внутривенно путем инфузии в объеме 5 мл со скоростью 0,25 мл/мин. В период акклиматизации образцы крови брали на день - 14 и - 7 в качестве контрольных исходных данных, а в период лечения - в момент времени 2 ч, 4 ч, 8 ч, 24 ч, 72 ч и 14-й день. Гематологический анализ анализировали в момент времени 8 ч, 24 ч, 72 ч и 14-й день. Биохимический анализ крови анализировали на 14-й день после каждого введения лекарственного средства, т.е. непосредственно перед следующим введением дозы. С-реактивный белок (CRP) измеряли в момент времени 4 ч, 8 ч, 24 ч, 72 ч и на 14-й день после введения. Ежедневно контролировали температуру тела. Артериальное давление измеряли в момент времени 2 ч, 4 ч, 8 ч после каждого введения лекарственного препарата и затем ежедневно до введение следующей дозы. Потребление пищи проверяли ежедневно, а массу тела - один раз в неделю.
Все дозы хорошо переносились. Временное дозозависимое повышение уровня CRP было обнаружено через 24 часа после инфузии, которое возвращалось к исходному уровню в течение 3 дней (фиг. 12А). На протяжении всего исследования не было значительных изменений температуры тела (фиг. 12В). На основании биохимического анализа крови не было выявлено признаков гепатотоксичности или изменений электролитного профиля.
Вывод
Внутривенное введение MBS8 хорошо переносится яванскими макаками в диапазоне доз 0,01-2,7 мг/кг.
Пример 18. Противоопухолевая активность мицелл MBS8 и aPD-1 при монотерапии и комбинированной терапии на моделях множественных сингенных опухолей
Эффективность MBS8 в качестве монотерапии или в комбинации с анти-PD1 моноклональным антителом (клон RMP1-14) исследовали на группе из 12 сингенных моделей мышей (фиг. 13).
Мышам подкожно инокулировали раковые клетки, когда средний размер опухоли составлял ~100 мм3 животных рандомизировали на 4 лечебные группы по 10 животных каждая: Группа 1 - носитель-контроль (PBS), Группа 2 - анти-PD-1, 10 мг/кг, Группа 3 - MBS8, 300 мкг/мышь, Группа 4 - комбинация MBS8 и анти-PD-1. Носитель или MBS8 вводили медленным внутривенным болюсом по схеме q4d, всего 5 инъекций, начиная со дня рандомизации. Анти-PD-1 вводили внутрибрюшинно через два дня после рандомизации по схеме q4d, всего 6 инъекций. Результаты показаны на фиг. 13A. TGI%, ингибирование роста опухоли, вычисляли следующим образом: TGI (%)=100 × (1-Т/С), где Т и С - средние объемы опухоли в обработанной и контрольной группах, соответственно, в день, когда контрольная группа была остановлена.
Наблюдали три различных модели ответа:
(1) MBS8 был очень активен при монотерапии, и, следовательно, преимущества комбинации с анти-PD-1 нельзя отметить из-за слишком сильной активности MBS8 (фиг. 13В). В эту категорию попали опухоли: СТ-26 (рак толстой кишки), ЕМТ-6 (рак молочной железы), А20 (В-клеточная лимфома) и Н22 (гепатома).
(2) Как анти-PD-1, так и MBS8 проявляли терапевтическую активность при монотерапии.
Комбинированная терапия показала дополнительную пользу (фиг. 13С). Это наблюдалось для Нера1-6 (гепатома) и М38 (рак толстой кишки).
(3) Анти-PD-1 было неактивно при монотерапии, в то время как монотерапия MBS8 показала эффективность. Комбинация двух лекарственных средств приводила к синергической активности, превращая невосприимчивых к PD-1 мышей в восприимчивых (фиг. 13D). В эту категорию попали RM-1 (рак предстательной железы), Pan02 (рак поджелудочной железы) и Renca (рак почки).
Для модели ЕМТ-6 повторное введение опухоли для полных ответчиков из групп 3 и 4, у которых не было опухолей в течение по меньшей мере трех недель, проводили с помощью клеток ЕМТ-6, инъецированных подкожно в противоположный бок. За мышами наблюдали в течение 29 дней. Все животные с повторным введением опухоли продемонстрировали полное отторжение повторного развития опухолей (фиг. 13Е). На модели СТ26 мышей, которые продемонстрировали полный ответ на MBS8 или комбинацию MBS8 с анти-PD-1 терапией и которые продемонстрировали полное отторжение повторного развития опухолей, анализировали присутствие опухолеспецифических Т-клеток (фиг. 13F, график Elispot). Спленоциты необработанных мышей с опухолями СТ26, мышей, получавших либо MBS8, либо MBS8 и анти-PD-1, или необработанных мышей без опухолей стимулировали in vitro с помощью опухолеспецифического антигенного пептида АН-1. Клетки, продуцирующие IFN-γ, количественно оценивали с использованием ELISPOT. Все мыши, которые не показали повторное развитие опухоли, демонстрировали увеличение количества IFN-γ позитивных клеток в ответ на стимуляцию антигеном, подтверждая, таким образом, установление ответа иммунной памяти.
Вывод: MBS8 показал терапевтическую эффективность при монотерапии. В некоторых опухолях, слабо реагирующих на анти-PD-1, комбинированная терапия с MBS8 оказывала аддитивный эффект.На моделях, которые не реагировали на лечение анти-PD-1 но реагировали на MBS8, последние сенсибилизировали опухоли к анти-PD-1, и лекарственные средства продемонстрировали сильный синергетический эффект.MBS8 как при монотерапии, так и при комбинированной терапии с анти-PD-1 приводил к установлению ответа иммунной памяти.
Пример 19. Оптимизация режима дозирования MBS8 и корреляция с противоопухолевой активностью на модели СТ26
Сингенную мышиную модель рака толстой кишки СТ26 использовали для анализа влияния режима дозирования на эффективность монотерапии MBS8. Мышей с установленными опухолями обрабатывали с 200 нмоль/мышь MBS8 при (1) однократной инъекции, (2) двух инъекциях каждые 7 дней, (3) трех инъекциях каждые 7 дней, (4) четырех инъекциях каждые 7 дней и (5) пяти инъекциях каждые 7 дней. (фиг. 14). В качестве контроля применяли обработку носителем (PBS), а также обработку MBS8, проводимую пятью инъекциями каждые 4 дня, схема, которая показала хорошую эффективность в предыдущих исследованиях.
Уже однократное введение показало значительное торможение роста опухоли, а многократное еженедельное введение приводило к полной ликвидации опухолей.
Вывод: Только одна разовая инъекция MBS8 приводит к значительной противоопухолевой активности, в то время как дополнительные инъекции с 4-х или 7-ми дневными режимами приводят к полной ремиссии у множества мышей.
Пример 20. Противоопухолевая активность мицелл MBS8 по сравнению с монотерапией R848
Эффективность мицелл MBS8 и R848 изучали в качестве монотерапии на модели сингенной подкожной толстой кишки СТ26. Рандомизацию мышей и лечение начинали, когда опухоли достигали среднего объема 85 мм3 (день 11). Группы из 9 мышей каждый раз обрабатывали контрольным носителем (MBSO), MBS8 при дозах 100, 200 или 300 нмоль/мышь/инъекция внутривенным болюсом или R848 при дозе 200 нмоль/мышь/инъекция. Лечение проводили каждые 4 дня, всего 5 инъекций, начиная со дня 11 (день 11, 15, 19, 23 и 27). Рост опухолей измеряли два раза в неделю. Средние объемы опухолей обработанных мышей показаны на фиг. 15А, а кривая выживания показана на фиг. 15В. Статистический анализ с использованием критерия суммы рангов Уилкоксона выявил значительную разницу между всеми дозами MBS8 по сравнению с носителем (р<0,0001). Кроме того, MBS8 при 200 нмоль был значительно более эффективным, чем 200 нмоль R848 (р<0,05). Изменение массы по сравнению с исходным уровнем показано на Фиг. 15С. Для мицелл MBS8 изменение массы становится менее выраженным при большем количестве обработок, тогда как R848 индуцировал наиболее сильное изменение массы со дня 25 по день 40.
Вывод
Мицеллы MBS8 проявляют лучший противоопухолевый эффект, чем R848, при введении в эквимолярных дозах. Благодаря повышенной терапевтической активности и менее выраженной потере массы мицеллы MBS8 имеют повышенный терапевтический индекс по сравнению с R848 агониста TLR7.
Пример 21. Анализ экспрессии генов опухоли с помощью Nanostring мышей с опухолями СТ26, обработанных MBS8
Профиль экспрессии генов опухолей СТ26 у мышей, получавших MBS8 в качестве монотерапии, был составлен для определения связанной с лечением MBS8 экспрессии генов и присутствия определенных типов опухолевых клеток. Экспрессию генов оценивали с помощью Pan Cancer Immune Panel (Nanostring), проводимой на объемной РНК, выделенной из опухолей. Мышей рандомизировали на день 12 в группы по 10 особей и обрабатывали MBS8 при дозе 200 нмоль/мышь/инъекция внутривенно болюсно, вводя по схеме q4d, всего 1 или 3 инъекции. Мышей умерщвляли и опухоль замораживали в дни: день 0 (без лечения), 1 день после первой инъекции, 2 дня после первой инъекции, 4 дня после первой инъекции, 14 дней после первой инъекции, 2 дня после третьей инъекции, 4 дня после третьей инъекции, n=3-6 для всех групп. РНК извлекали, и 750 генов анализировали с помощью Pan Cancer Immune Panel. Анализ типов клеток выполняли с помощью расширенного модуля анализа программного обеспечения Nanostring. Двусторонний ANOVA с коррекцией множественного сравнения выполняли для сравнения с необработанными в различные моменты времени. В начальные моменты времени (1, 2 и 4 для после первой инъекции) наблюдается значительное увеличение как нейтрофилов, так и дендритных клеток, что свидетельствует об активации врожденной иммунной системы. В более поздние сроки (через 4 дня после первой инъекции и позже) в опухоли увеличивается количество Т-клеток и особенно Т-клеток CD8, что свидетельствует об активации адаптивной иммунной системы. Кроме того, макрофаги также активируются в более поздние моменты времени. Момент времени через 14 дней после первой инъекции имеет профиль типа клеток, напоминающий UT, что указывает на то, что одной инъекции в этой схеме недостаточно для индукции стойкого иммунного ответа.
Вывод
Профиль экспрессии генов опухолей мышей, получавших монотерапию MBS8, показывает индукцию врожденного иммунного ответа в ранние моменты времени с наличием большого количества нейтрофилов и дендритных клеток. Адаптивный иммунный ответ наблюдается в более поздние моменты времени с преобладанием Т-клеток, которые в совокупности опосредуют противоопухолевый эффект лечения MBS8.
Пример 22. Острое воздействие на микроокружение опухоли в соответствии с лечением MBS8
Острые эффекты внутривенной инъекции 200 нмоль MBS8 оценивали на опухолях с помощью многоцветной проточной цитометрии. Мышей, несущих опухоли СТ26, обрабатывали MBS8, и опухоли оценивали с помощью проточной цитометрии через 1, 3 и 6 часов после инъекции. Эритроциты определяли по размеру и экспрессии Ter-119 и исключали из дальнейшего анализа. Все дальнейшие анализы определяли на основании отсутствия экспрессии Ter-119 и на основании размера и окрашивания как живые. CD8+ Т-клетки были определены как CD45+CD3+CD8+.
Эритроциты составляли большинство клеток в опухолях через 6 часов после инъекции MBS8 (фиг. 17А). Кроме того, микроокружение опухоли характеризуется снижением количества иммунных клеток (CD45+) и заметным и неожиданным снижением количества раковых клеток через 6 часов после инъекции MBS8 (фиг. 17В, графики 1 и 2). Хотя количество иммунных клеток в опухоли уменьшилось, через 6 ч после лечения наблюдалось сильное увеличение нейтрофилов (фиг. 17С, график 1), тогда как Т-клетки, NKT и NK-клетки существенно не изменились (фиг. 17С, график 2-5). Однако, когда иммунную активацию отслеживали в этих субпопуляциях клеток на основе экспрессии CD69, Т-клетки, NKT и NK-клетки демонстрировали значительную активацию через 3 часа после обработки (фиг. 17D, график 1-5).
Вывод
MBS8, инъецированная внутривенно, вызывает обогащение нейтрофилов и эритроцитов в опухолях через 6 часов после лечения и сопровождается уменьшением количества жизнеспособных опухолевых клеток и иммунных клеток, тогда как значительная активация наблюдается для иммунных клеток, CD8 Т-клеток, NKT-клеток и NK-клеток.
Пример 23. Воздействие на микроокружение опухоли и селезенки мицеллами TLR7
Влияние внутривенной инъекции MBS6 на микроокружение опухоли оценивали с помощью многоцветной проточной цитометрии. Мышей с опухолями СТ26 обрабатывали на день 15 после инокуляции раковых клеток 200 нмоль MBS6 каждый четвертый день, а опухоли и селезенку анализировали через два дня после второй инъекции и через 6 дней после первой инъекции (день 21). Жизнеспособные клетки идентифицировали по размеру клеток и отсутствию окрашивания красителем жизнеспособности. Все дальнейшие анализы были основаны на жизнеспособных клетках. Нейтрофилы идентифицировали как CD45+ CD11b+ Ly6g+. Связанные с опухолью макрофаги (ТАМ) идентифицировали как CD45+ Ly6g- CD11c+ CD11b+ CD64high. Патрулирующие моноциты (PMos) были идентифицировали как CD45+ Ly6g- CD11b+ CD11c- Ly6c- CD64+. Моноцитарные супрессорные клетки миелоидного происхождения (Mo-MDSC) идентифицировали как CD45+ Ly6g- CD11b+ CD11c- Ly6chigh. Классические DC (cDC) идентифицировали как CD45+ Ly6g CD11c+ CD64l0W CD11bl0W XCR1+. cDC2 идентифицировали как CD45+ Ly6g- CD11c+ CD64l0W XCR1- CD11bhigh. Плазмацитоидные DC (pDC) идентифицировали как CD45+ Ly6g- CDllc+ CD64l0W XCR1- CD11b- Ly6chigh Siglec-H+. CD8+ Т-клетки идентифицировали как CD45+ c боковым рассеянием CD3+ CD4- CD8+. Клетки на 100 мг рассчитывали на основе представляющей интерес популяции, массы опухоли и общего количества клеток.
Масса опухоли была ниже по сравнению с необработанными опухолями (фиг. 18А, р=0,056). Кроме того, жизнеспособность клеток в опухолях была значительно снижена после обработки MBS6, что едва отражалось в селезенке (фиг. 18В, графики 1 и 2). Среди жизнеспособных клеток MBS6 индуцировала сильное увеличение количества иммунных клеток (CD45+) (фиг. 18С). Это отличается от того, что видно на фиг. 17С, но может быть объяснено тем фактом, что этот момент времени был через 6 дней после первой обработки. Нейтрофилы были сильно обогащены в микроокружении опухоли, что видно уже через 6 часов на фиг. 17 (относительно истощения других типов клеток) после обработки MBS6, что не отражалось в селезенках (фиг. 18D, графики 1 и 2). Все другие исследованные иммунные популяции и раковые клетки были сильно уменьшены в микроокружении опухоли (фиг. 18Е, графики 1-8).
Вывод
Внутривенная инъекция MBS6 сильно снижает жизнеспособность клеток в микроокружении опухоли, не влияя при этом на жизнеспособность в селезенке. Кроме того, MBS6 индуцировал сильное увеличение нейтрофилов в микроокружении опухоли, чего не наблюдалось в селезенке.
Пример 24. Оптимальный режим дозирования для MBS8 и Доксила
Режим дозирования при использовании комбинированной терапии с MBS8 и химиотерапией имеет решающее значение для достижения оптимального контроля над опухолью. Авторы изобретения изучали, улучшается ли лечение Доксилом в комбинации с MBS8, и в этом случае, как следует дозировать MBS8 для достижения оптимального ответа (фиг. 19). Обработка только Доксилом показала задержку роста опухоли, но не было мышей с полной ремиссией и ингибированием роста опухоли (TGI) по сравнению с мышами, получавшими носитель, на уровне 80% (фиг. 19). Когда MBS8 вводили через два дня после последней обработки Доксилом (MBS8 после введения дозы), наблюдалось значительное ингибирование роста опухоли на 90% по сравнению с мышами, получавшими носитель, и значительная противоопухолевая активность по сравнению с одним Доксилом (р=0,0007). Однако, когда MBS8 вводили первоначально в тот же день, что и Доксил (MBS8 до и после введения дозы), все мыши находились в полной ремиссии с TGI 98% и значительно лучшей противоопухолевой активностью, чем при монотерапии Доксилом или, когда MBS8 вводили только после введения дозы Доксила.
Вывод
Эти данные показывают, что иммунотерапия MBS8 значительно более эффективна, когда предварительная доза вводится в тот же день, что и химиотерапия, а затем с последующим лечением после прекращения химиотерапии, по сравнению с условиями, когда иммунотерапия начинается до химиотерапии.
Пример 25. Мицеллы не проявляют признаков ускоренного выведения из крови (ABC)
У мышей:
Средние (+/- SD) кривые зависимости концентрации MBS8 в плазме от времени у самок и самцов крыс на день 1 (при первой дозе) и день 15 (через неделю после последней дозы из двух доз с интервалом в 1 неделю) после внутривенного инфузионного введения в течение периода 1 час 3 мг/кг/день MBS8 (1V270) показаны на фиг. 20 в линейной шкале (А) и полулогарифмической шкале (В). Этот пример демонстрирует индифферентную кинетику MBS8, введенного через 1 день и 15 дней (третья доза) соответственно. Это наблюдение подтверждает, что мицеллы согласно настоящему изобретению не вызывают ускоренного выведения из крови (ABC).
У яванских макак:
Перекрывание индивидуальных кривых зависимости концентрации 1V270 в плазме от времени у 1 самки и 1 самца яванского макака показано на фиг. 21 на день 1 (А, первая доза) и день 15 (В, третья доза после одной еженедельной дозы для двух доз) после внутривенного инфузионного введения в течение 1 часа 0,3, 1 и 3 мг/кг/день MBS8 (1V270) по линейной шкале. Этот пример демонстрирует индифферентную кинетику MBS8, введенного через 1 день, и третьей дозы через 15 дней соответственно. Это наблюдение подтверждает, что мицеллы согласно настоящему изобретению не вызывают ускоренного выведения из крови (ABC).
Вывод
Как у мышей, так и у яванских макак мицеллы согласно настоящему изобретению не вызывали ускоренного выведения из крови (ABC) при инфузии на день 1 (первая доза) и день 15 (третья доза). Это подтверждает значительно улучшенную терапевтическую полезность мицелл по меньшей мере по сравнению с липосомами, которые, как известно, вызывают событие ABC.
| название | год | авторы | номер документа |
|---|---|---|---|
| ПЕГИЛИРОВАННЫЕ ЛИПОСОМЫ И СПОСОБЫ ИХ ПРИМЕНЕНИЯ | 2017 |
|
RU2796539C2 |
| КООРДИНАЦИОННЫЙ КОМПЛЕКС ДИАМИНОЦИКЛОГЕКСАНА ПЛАТИНЫ (II) С БЛОКСОПОЛИМЕРОМ, СОДЕРЖАЩИМ СЕГМЕНТ ПОЛИ(КАРБОНОВОЙ КИСЛОТЫ), И ВКЛЮЧАЮЩИЙ ЕГО ПРОТИВОРАКОВЫЙ АГЕНТ | 2004 |
|
RU2335512C2 |
| НАНОАЛЮМОЧАСТИЦЫ, СОДЕРЖАЩИЕ АГЕНТ, РЕГУЛИРУЮЩИЙ РАЗМЕР | 2017 |
|
RU2753874C2 |
| ПЕГИЛИРОВАННЫЕ ЛИПОСОМЫ ДЛЯ ДОСТАВКИ КОДИРУЮЩЕЙ ИММУНОГЕН РНК | 2012 |
|
RU2628705C2 |
| СПОСОБ ЛЕЧЕНИЯ РАКА НАЦЕЛИВАНИЕМ НА СУПРЕССОРНЫЕ КЛЕТКИ МИЕЛОИДНОГО ПРОИСХОЖДЕНИЯ | 2017 |
|
RU2776899C2 |
| ФАРМАЦЕВТИЧЕСКИЕ КОМПОЗИЦИИ | 2014 |
|
RU2690377C2 |
| ЛИПИДЫ, ПОДХОДЯЩИЕ ДЛЯ ЛИПОСОМНОЙ ДОСТАВКИ КОДИРУЮЩЕЙ БЕЛОК РНК | 2011 |
|
RU2577983C2 |
| ПРИМЕНЕНИЕ СРЕДСТВ, СВЯЗЫВАЮЩИХ EDG-РЕЦЕПТОР, В ЛЕЧЕНИИ РАКОВОГО ЗАБОЛЕВАНИЯ | 2008 |
|
RU2426555C2 |
| СОЗДАНИЕ ПРОФИЛЯ КОНТРОЛИРУЕМОГО ВЫСВОБОЖДЕНИЯ ЛЕКАРСТВЕННОГО ВЕЩЕСТВА ПРИ ИСПОЛЬЗОВАНИИ ЛИПОСОМНОЙ КОМПОЗИЦИИ В ВОДНЫХ И БЕЗВОДНЫХ РАСТВОРАХ | 2014 |
|
RU2712157C2 |
| КОМПОЗИЦИИ, ВКЛЮЧАЮЩИЕ БИОЛОГИЧЕСКИЙ АГЕНТ | 1996 |
|
RU2166934C2 |
Группа изобретений относится к иммунотерапии. Стимулирующая иммунную систему мицеллярная композиция содержит агонист toll-подобного рецептора 7 (TLR7) формулы (IA), или его таутомер, или его фармацевтически приемлемую соль или сольват,
и 1,2-дистеароил-sn-глицеро-3-фосфоэтаноламин (DSPE) - полиэтиленгликоль (ПЭГ) 2000, где молярное соотношение DSPE-ПЭГ2000 и агониста TLR7 составляет 95:5, 90:10 или 80:20. Также раскрыты фармацевтическая композиция для иммунотерапии и применение мицеллярной композиции или фармацевтической композиции для профилактики, лечения или облегчения рака. Группа изобретений обеспечивает увеличение эффективности заявленных терапевтических композиций. 3 н. и 4 з.п. ф-лы, 21 ил., 25 пр.
1. Стимулирующая иммунную систему мицеллярная композиция, содержащая:
агонист toll-подобного рецептора 7 (TLR7) формулы (IA)
или его таутомер,
или его фармацевтически приемлемую соль или сольват, и
1,2-дистеароил-sn-глицеро-3-фосфоэтаноламин (DSPE) - полиэтиленгликоль (ПЭГ) 2000,
где молярное соотношение DSPE-ПЭГ2000 и агониста TLR7 составляет 95:5, 90:10 или 80:20.
2. Мицеллярная композиция по п. 1, где диаметр мицеллы составляет от 5 нм до 39 нм.
3. Мицеллярная композиция по п. 1, где молярное соотношение DSPE-ПЭГ2000 и агониста TLR7 составляет 90:10.
4. Мицеллярная композиция по п. 1, дополнительно содержащая по меньшей мере один дополнительный активный агент.
5. Мицеллярная композиция по п. 1, дополнительно содержащая по меньшей мере один антиген.
6. Фармацевтическая композиция для иммунотерапии, содержащая мицеллярную композицию по п. 1.
7. Применение мицеллярной композиции по п. 1 или фармацевтической композиции по п. 6 для профилактики, лечения или облегчения рака.
| WO 2015036044 A1, 19.03.2015 | |||
| КОМБИНАЦИОННЫЕ ЛИПОСОМАЛЬНЫЕ КОМПОЗИЦИИ ДЛЯ ЛЕЧЕНИЯ РАКА | 2012 |
|
RU2640934C2 |
| НОСИТЕЛИ ЛЕКАРСТВЕННЫХ СРЕДСТВ | 2008 |
|
RU2505315C2 |
| US 20150366962 A1, 24.12.2015 | |||
| ХАРКЕВИЧ Д.А | |||
| Фармакология: Учебник, 2010, 10-е изд., стр.73 | |||
| БЕЛИКОВ В.Г | |||
| Фармацевтическая химия // Высшая школа, М., 1993, т.1, с.43-47. | |||
Авторы
Даты
2024-12-23—Публикация
2020-09-18—Подача