РАДИКАЛЬНО-ОТВЕРЖДАЕМЫЕ ПОД ВОЗДЕЙСТВИЕМ УФ-СВЕТОДИОДНОГО ИЗЛУЧЕНИЯ КРАСКИ ДЛЯ ОФСЕТНОЙ ПЕЧАТИ И СПОСОБЫ ПЕЧАТИ Российский патент 2025 года по МПК C09D11/101 C09D11/03 B42D25/30 B41M1/06 

Описание патента на изобретение RU2833478C1

Область техники, к которой относится изобретение

[001] Настоящее изобретение относится к области защиты защищаемых документов от подделки и незаконного воспроизведения. В частности, настоящее изобретение относится к области радикально-отверждаемых под воздействием УФ-светодиодного излучения красок для офсетной печати и способов получения признаков или рисунков на защищаемых документах.

Предпосылки создания изобретения

[002] В связи с постоянным повышением качества цветных фотокопий и печатных работ и в попытке защитить защищаемые документы, такие как банкноты, ценные документы или карты, проездные билеты или карты, акцизные марки и этикетки продукции, не имеющие воспроизводимых эффектов, от подделки, фальсификации или незаконного воспроизведения, стало обычной практикой включать в эти документы и на них различные защитные средства. Типичные примеры защитных средств включают защитные нити, окна, волокна, конфетти, фольгу, переводные картинки, голограммы, водяные знаки, защитные краски, содержащие оптически изменяющиеся пигменты, магнитные или намагничиваемые тонкопленочные интерференционные пигменты, частицы с интерференционным покрытием, термохромные пигменты, фотохромные пигменты, люминесцентные соединения, поглощающие инфракрасное излучение соединения, поглощающие ультрафиолетовое излучение соединения или магнитные соединения.

[003] Из уровня техники известно нанесение красок на защищаемые документы в несколько этапов печати, включая различные процессы печати с использованием маловязких красок, таких как краски для трафаретной печати, краски для флексографической печати и краски для глубокой печати, а также высоковязкие или пастообразные краски, такие как краски для офсетной печати, краски для глубокой печати и краски для высокой печати.

[004] Процессы офсетной печати состоят из непрямых методов, при которых краска сначала переносится с печатной формы на офсетный цилиндр и на подложку. Процессы офсетной печати бывают либо процессами влажной офсетной печати, либо процессами сухой офсетной печати. Преимущество процессов влажной офсетной печати заключается в разнице поверхностной энергии между областью с изображением и областью без изображения печатной формы. Область с изображением является олеофильной, а область без изображения - гидрофильной. Таким образом, маслянистые краски, используемые в методе, имеют тенденцию прилипать к области с изображением и отталкиваться от области без изображения печатной формы. Влажная офсетная печать обычно выполняется путем подачи как увлажняющего раствора (также упоминаемого в данной области техники как смачивающий раствор), так и олеофильной краски на поверхность печатной формы, что позволяет областям с изображением преимущественно получать краску, а областям без изображения - предпочтительно увлажняющий раствор, а затем переноса краски, нанесенной на области с изображением, на подложку через печатный цилиндр. Процессы сухой офсетной печати - это методы, при которых офсетный цилиндр покрывается фотополимером на металлической основе, образующим рельефы, несущие орнаменты, подлежащие печати. Краска прилипает к рельефам, а затем переносится на подложку через печатный цилиндр. В этом случае нет необходимости в увлажняющем растворе.

[005] Из уровня техники известно, что офсетная печать обычно является первым этапом получения печатных признаков в качестве фонового рисунка защищаемых документов. Закрепление красок для офсетной печати включает либо окислительный процесс (т. е. краска содержит окислительный осушитель, который вступает в реакцию с кислородом воздуха с образованием свободных радикалов, которые инициируют процесс полимеризации матрицы краски), либо процесс отверждения под воздействием излучения, в частности процесс отверждения под воздействием УФ-излучения (т. е. краска содержит фотоинициаторы, которые при взаимодействии со светом образуют свободные радикалы, которые инициируют полимеризацию матрицы краски). Закрепление окислением - медленный процесс,тогда как отверждение под воздействием УФ-излучения - почти мгновенное. Поскольку защитная печать является дорогостоящим и многоэтапным процессом, в котором необходимо несколько промежуточных этапов закрепления, в этой области обычно предпочитают использовать радикально-отверждаемые под воздействием УФ-излучения краски для офсетной печати. Радикально-отверждаемые под воздействием УФ-излучения краски для офсетной печати наносят в виде тонких слоев толщиной от приблизительно 0,5 мкм до приблизительно 3 мкм (в отвержденном состоянии) для получения признаков на защищаемых документах.

[006] Краски для офсетной печати можно наносить на обе стороны подложки (одновременный процесс) для печати признаков в качестве фонового рисунка защищаемых документов, при этом этап отверждения можно осуществлять одновременно или последовательно. Типичная скорость промышленной печати составляет от приблизительно 8000 листов в час до приблизительно 12000 листов в час.

[007] Неспособность краски быстро и эффективно высохнуть и отвердеть приводит к перетискиванию. Перетискивание происходит при по меньшей мере частичном прилипании печатной краски, которая не достаточно высушена или отверждена, к обратной стороне печатной подложки, обращенной вверх, во время складывания печатных подложек при их выходе из печатных станков (см., например, документ US 4604952). Это является особой проблемой во время печати признаков на защищаемых документах, особенно на банкнотах, поскольку указанные документы, как правило, содержат несколько перекрывающихся или частично перекрывающихся признаков, которые наносят на последующих этапах. В случае недостаточного высушивания или отверждения ранее нанесенного признака, например, фонового изображения или графического рисунка, происходит не только задержка всего многоэтапного процесса печати, но и полученный таким образом признак может по-прежнему страдать от перетискивания или нанесения маркировки из-за перетискивания на станке во время любой последующей печати или технологических операций.

[008] Во время обычного процесса печати банкнот краски для офсетной печати наносят во время одного из первых этапов общего многоэтапного процесса печати, где за офсетной печатью следуют другие этапы печати, включая глубокую печать и трафаретную печать. Если признак или рисунок печатают на защищаемом документе, таком как банкнота, с помощью процесса офсетной печати, и если указанный признак или рисунок страдают от слабых свойств отверждения поверхности, последующий этап печати может быть отложен или может произойти перетискивание. Соответственно, очень важно, чтобы краски для офсетной печати были полностью высушены или отверждены перед началом других этапов печати, чтобы избежать каких-либо проблем с перетискиванием, в частности, когда следующим этапом является этап глубокой печати, поскольку печатный станок для глубокой печати прикладывает очень высокое давление к печатной подложке.

[009] Радикально-отверждаемые под воздействием УФ-излучения краски отверждаются с помощью свободнорадикальных механизмов, состоящих из активации одного или более фотоинициаторов, способных высвобождать свободные радикалы под действием излучения, в частности УФ-света, которые, в свою очередь, инициируют полимеризацию с образованием отвержденного слоя.. Известные свободнорадикальные фотоинициаторы включают, например, ацетофеноны, бензофеноны, альфа-аминокетоны, альфа-гидроксикетоны, фосфиноксиды и производные фосфиноксида и бензилдиметилкетали.

[010] УФ-энергия обычно обеспечивается ртутными лампами, в частности ртутными лампами среднего давления. Ртутные лампы потребляют большое количество энергии, нуждаются в эффективных и дорогостоящих системах отвода тепла, склонны к образованию озона и имеют ограниченный срок службы.

[011] С целью предоставления менее дорогостоящих, требующих меньшего вмешательства и более безопасных для окружающей среды решений были разработаны лампы и системы на основе УФ-светодиодов для отверждения красок и покрытий. В отличие от ртутных ламп среднего давления, полосы испускания которых находятся в диапазонах УФ-А, УФ-В и УФ-С электромагнитного спектра, УФ-светодиодные лампы испускают излучение в диапазоне УФ-А. Более того, современные УФ-светодиодные лампы испускают квазимонохроматическое излучение, т. е. испускают только на одной длине волны, такой как 365 нм, 385 нм, 395 нм или 405 нм.

[012] Эффективность отверждения под воздействием УФ-излучения покрытия или слоя краски зависит, среди прочего, от перекрытия спектра испускания источника излучения, используемого для указанного отверждения, и спектра поглощения фотоинициатора, содержащегося в покрытии или краске. Соответственно, отверждение под воздействием УФ-излучения покрытия или слоев краски, включающее обычно используемые свободнорадикальные фотоинициаторы с УФ-светодиодными лампами, страдает от сниженной эффективности отверждения в результате плохого перекрытия спектра испускания лампы с поглощением обычно используемых свободнорадикальных фотоинициаторов, что приводит к медленному или плохому отверждению или дефектам отверждения.

[013] Фотоинициаторы, спектр поглощения которых приблизительно соответствует длине волны испускания доступных в настоящее время источников УФ-светодиодного излучения, включают альфа-аминокетоны, тиоксантоны, кетокумарины, производные бис[4(диметиламино)фенил]метанона (также называемые кетонами Михлера) и ацилфосфины. Тем не менее, альфа-аминокетоны и кетоны Михлера в последнее время вызывают опасения в отношении здоровья и/или окружающей среды. Кетокумарины, которые, как также известно, характеризуются высокой флуоресценцией, имеют слабую эффективность отверждения и в основном являются экспериментальными и/или разрабатываемыми продуктами.

[014] Фотоинициаторы в виде ацилфосфина широко используются для отверждения источниками УФ-светодиодного излучения из-за их спектра поглощения, смещенного в красную сторону (максимальная длина волны поглощения приблизительно 370 нм). Известно, что они демонстрируют низкую флуоресценцию. Однако фотоинициаторы в виде ацилфосфина могут по-прежнему страдать от медленного отверждения, особенно от медленного отверждения поверхности, и, как известно, особенно чувствительны к кислородному ингибированию, что делает их не очень эффективными для отверждения тонких слоев.

[015] Используемые в настоящее время производные тиоксантона имеют максимальную длину волны поглощения от приблизительно 370 нм до приблизительно 410 нм. Однако, в отличие от ацилфосфиноксидов, используемые в настоящее время тиоксантоны страдают от флуоресценции.

[016] Как упоминалось в данном документе выше, радикально-отверждаемые под воздействием УФ-излучения краски для офсетной печати используются в области защиты защищаемых документов, ценных документов и изделий от подделки и незаконного воспроизведения для нанесения тонкими слоями на защищаемые документы в виде печатных признаков или рисунков. Хорошо известно, что люминесцентные защитные признаки широко используются в области защищаемых документов, в частности для банкнот, для придания указанным защищаемым документам дополнительного скрытого защитного признака, при этом защита указанных защищаемых документов от подделки и незаконного воспроизведения основывается на концепции, что для обнаружения таких признаков, как правило, необходимо специальное оборудование и знания. Люминесцентные защитные признаки включают, например, люминесцентные волокна, люминесцентные нити, люминесцентные патчи, полосы или фольгу (при этом по меньшей мере часть указанных патчей, полос или фольги является люминесцентной) и печатные люминесцентные признаки. Указанные печатные признаки включают люминесцентную нумерацию (напечатанную высокой печатью), печатные патчи (напечатанные высокой печатью), а также люминесцентные признаки, напечатанные офсетной печатью, обычно в одно время и на одном печатном станке, который используется для изготовления защитных признаков в качестве фонового рисунка защищаемых документов.

[017] Поскольку защищаемые документы дополнительно содержат, в дополнение к признакам, напечатанным офсетной печатью, люминесцентные защитные признаки, в частности печатные люминесцентные защитные признаки, либо на той же стороне, что и признак, напечатанный офсетной печатью, либо на противоположной стороне, необходимо сказать, что указанные признаки, напечатанные офсетной печатью, собственно не демонстрируют флуоресценцию, не демонстрируют флуоресценцию через подложку, на которую они нанесены, и не демонстрируют флуоресценцию при контакте между двумя напечатанными защищаемыми документами из-за загрязнения, чтобы избежать негативного влияния на обнаружение люминесцентных защитных признаков машиной и/или распознавание их человеком.

[018] Таким образом, сохраняется потребность в радикально-отверждаемых под воздействием УФ-светодиодного излучения красках для офсетной печати и способах печати защитных признаков на защищаемых документах с высокой скоростью (т. е. промышленной скоростью), причем указанные отверждаемые под воздействием УФ-светодиодного излучения краски для офсетной печати характеризуются хорошими свойствами отверждения, после отверждения указанных красок, они позволяют получать печатные признаки, демонстрирующие низкую флуоресценцию или ее отсутствие.

Краткое описание изобретения

[019] Соответственно, целью настоящего изобретения является устранение рассмотренных выше недостатков предшествующего уровня техники. Ее достигают путем обеспечения радикально-отверждаемых под воздействием УФ-светодиодного излучения красок для офсетной печати, вязкость которых составляет в диапазоне от приблизительно 2,5 до приблизительно 25 Па⋅с при 40°C и 1000 с-1, для офсетной печати признака на подложке, причем указанная радикально-отверждаемая под воздействием УФ-светодиодного излучения краска для офсетной печати содержит:

i) от приблизительно 10 масс. % до приблизительно 80 масс. % одного или более радикально-отверждаемых (мет)акрилатных соединений;

ii) от приблизительно 4 масс. % до приблизительно 20 масс. % одного или более фотоинициаторов формулы (I):

(I),

где Q имеет следующую формулу (IIa), (IIb) или (IIc):

(IIc)

где n равно или больше 1, R1 являются идентичными или отличаются друг от друга и выбраны из группы, состоящей из водорода и C1-C3-алкильных групп, R2 выбраны из группы, состоящей из водорода и C1-C3-алкильных групп, и где сумма a+b+c составляет в диапазоне от 3 до 12, и сумма d+e+f+g составляет в диапазоне от 4 до 16,

iii) от приблизительно 1 масс. % до приблизительно 15 масс. % одного или более аминосодержащих соединений, выбранных из группы, состоящей из соединений аминобензоата, среднемассовая молекулярная масса которых составляет по меньшей мере 400 г/моль экв. PS, акрилатов на основе модифицированного амином полиэфира, среднемассовая молекулярная масса которых составляет по меньшей мере 400 г/моль экв. PS, и их комбинаций, и

iv) от приблизительно 1 масс. % до приблизительно 30 масс. % одного или более неорганических пигментов и/или одного или более органических пигментов, и

v) от приблизительно 0,5 масс. % до приблизительно 10 масс. % одного или более наполнителей и/или разбавителей,

причем массовое процентное содержание рассчитано исходя из общей массы радикально-отверждаемой под воздействием УФ-светодиодного излучения краски для офсетной печати.

[020] Радикально-отверждаемые под воздействием УФ-светодиодного излучения краски для офсетной печати, описанные в данном документе, являются особенно подходящими для отверждения под воздействием УФ-света, предпочтительно одной или более длин волн от приблизительно 355 нм до приблизительно 415 нм, источником УФ-светодиодного света. В данном документе описаны способы печати одного или более признаков на подложке с помощью процесса офсетной печати, включающие этапы нанесения радикально-отверждаемой под воздействием УФ-светодиодного излучения краски для офсетной печати, описанной в данном документе, с помощью офсетной печати с образованием слоя краски и подвергания слоя краски воздействию УФ-света при дозе по меньшей мере 150 мДж/см2, предпочтительно по меньшей мере 200 мДж/см2, для отверждения указанного слоя краски источником УФ-светодиодного излучения.

[0321] Также в данном документе описаны признаки, состоящие из отвержденного слоя краски, выполненного радикально-отверждаемой под воздействием УФ-светодиодного излучения краской для офсетной печати, описанной в данном документе. В данном документе описаны применения признаков, описанных в данном документе, для защиты защищаемого документа, ценного документа или изделия от подделки или фальсификации, и защищаемых документов, ценных документов или изделий, содержащих один или более печатных признаков, описанных в данном документе.

[022] Также в данном документе описаны защищаемые документы, содержащие подложку, описанную в данном документе, и один или более печатных признаков, описанных в данном документе.

[023] Также в данном документе описаны применения одного или более фотоинициаторов, описанных в данном документе, в количестве от приблизительно 1 масс. % до приблизительно 20 масс. %, предпочтительно в количестве от приблизительно 5 масс. % до приблизительно 15 масс. %, более предпочтительно в количестве от приблизительно 8 масс. % до приблизительно 12 масс. %, и одного или более аминосодержащих соединений, описанных в данном документе, в количестве от приблизительно 1 масс. % до приблизительно 15 масс. %, для получения радикально-отверждаемой под воздействием УФ-светодиодного излучения краски для офсетной печати, вязкость которой составляет в диапазоне от приблизительно 2,5 до приблизительно 25 Па⋅с при 40°C и 1000 с-1, причем указанная радикально-отверждаемая под воздействием УФ-светодиодного излучения краска для офсетной печати является подходящей для печати одного или более признаков на защищаемом документе, причем указанная радикально-отверждаемая под воздействием УФ-светодиодного излучения краска для офсетной печати содержит от приблизительно 10 масс. % до приблизительно 80 масс. % радикально-отверждаемых (мет)акрилатных соединений, от приблизительно 1 масс. % до приблизительно 30 масс. % одного или более неорганических пигментов и/или одного или более органических пигментов и от приблизительно 0,5 масс. % до приблизительно 10 масс. % одного или более наполнителей и/или разбавителей, причем массовое процентное содержание рассчитано исходя из общей массы радикально-отверждаемой под воздействием УФ-светодиодного излучения краски для офсетной печати.

Краткое описание чертежа

На фиг. 1 изображена банкнота, содержащая подложку (1), разные защитные признаки (2-9), включая признак, напечатанный офсетной печатью, при этом указанный признак покрывает более 70% общей поверхности защищаемого документа.

Подробное описание

Определения

[024] Следующие определения проясняют значение терминов, используемых в описании и в формуле изобретения.

[025] В контексте настоящего документа форма единственного числа объекта указывает на один объект или более и необязательно ограничивает объект единственным числом.

[026] В контексте данного документа термин «приблизительно» означает, что указанное количество, величина или предел может иметь конкретное определенное значение или некоторое другое значение, приближенное к нему. В целом, термин «приблизительно», обозначающий определенное значение, предназначен для обозначения диапазона в пределах ± 5% значения. Например, фраза «приблизительно 100» означает диапазон 100 ± 5, т. е. диапазон от 95 до 105. В целом, при использовании термина «приблизительно» можно ожидать, что подобные результаты или эффекты согласно настоящему изобретению могут быть получены в диапазоне в пределах ± 5% указанного значения. Однако, конкретное количество, величина или предел, дополненные термином «приблизительно», в данном документе предназначены также для такого же количества, величины или предела, как есть, т. е. без добавления термина «приблизительно».

[027] В контексте данного документа термин «и/или» означает, что могут присутствовать либо все, либо только один из элементов указанной группы. Например, «A и/или B» будет означать «только A или только B, или как A, так и B». В случае «только A» этот термин охватывает также возможность отсутствия B, т. е. «только A, но не B».

[028] В контексте настоящего документа термин «один или более» означает один, два, три, четыре и т. д.

[029] Термин «содержащий» в контексте настоящего документа является неисключительным и допускающим изменения. Таким образом, например, краска, содержащая соединение A, может кроме А содержать и другие соединения. Вместе с тем термин «содержащий» также охватывает, как и его конкретный вариант осуществления, более ограничительные значения «состоящий по существу из» и «состоящий из», так что, например, «краска, содержащая A» также может (в основном) состоять из соединения A.

[030] Когда настоящее описание касается «предпочтительных» вариантов осуществления/признаков, комбинации этих «предпочтительных» вариантов осуществления/признаков также следует рассматривать как раскрытые до тех пор, пока данная комбинация «предпочтительных» вариантов осуществления/признаков имеет значение с технической точки зрения.

[031] Под термином «ультрафиолет (УФ)» в контексте настоящего документа подразумевают излучение, имеющее составляющую с длиной волны в УФ части электромагнитного спектра; как правило, от 200 нм до 400 нм.

[032] Термин «защищаемый документ» относится к документу, который обычно защищен от подделки или фальсификации по меньшей мере одним защитным признаком. Примеры защищаемых документов включают без ограничения ценные документы и ценные коммерческие товары.

[033] Описания конкретных вариантов осуществления настоящего изобретения представлены для целей пояснения и описания. Они не являются исчерпывающими и не ограничивают настоящее изобретение определенными описанными формами, и очевидно, что в свете вышеупомянутой идеи возможны многие модификации и изменения. Иллюстративные варианты осуществления были выбраны и описаны для лучшего объяснения принципов настоящего изобретения и его практического применения, чтобы тем самым обеспечить специалистам в данной области техники возможность наилучшего применения настоящего изобретения и различных вариантов осуществления с различными модификациями, которые являются подходящими для предполагаемого определенного применения.

[034] В настоящем изобретении предусмотрены радикально-отверждаемые под воздействием УФ-светодиодного излучения краски для офсетной печати для получения (печати) одного или более признаков на защищаемом документе с помощью процесса офсетной печати. В настоящем изобретении дополнительно предусмотрены печатные признаки, состоящие из отвержденного слоя краски, выполненного радикально-отверждаемой под воздействием УФ-светодиодного излучения краской для офсетной печати, описанной в данном документе, и защищаемые документы, содержащие один или более печатных признаков, описанных в данном документе. Радикально-отверждаемые под воздействием УФ-светодиодного излучения краски для офсетной печати, описанные в данном документе, наносят с помощью этапа офсетной печати, при этом указанная офсетная печать может представлять собой процесс влажной печати или процесс сухой офсетной печати.

[035] Одно или более радикально-отверждаемых (мет)акрилатных соединений радикально-отверждаемой под воздействием УФ-светодиодного излучения краски для офсетной печати, описанной в данном документе, подвергаются отверждению в присутствии одного или более фотоинициаторов, описанных в данном документе, и одно или более аминосодержащих соединений, описанных в данном документе, подвергаются воздействию УФ-света, предпочтительно одной или более длин волн от приблизительно 355 нм до приблизительно 415 нм, более предпочтительно воздействию УФ-света при 365 нм, и/или 385 нм, и/или 395 нм, испущенного от источника УФ-светодиодного света. Как известно специалисту в данной области техники, радикально-отверждаемые под воздействием УФ-светодиодного излучения краски для офсетной печати, описанные в данном документе, могут также быть подходящими для отверждения с помощью ртутных ламп среднего давления.

[036] Вязкость радикально-отверждаемой под воздействием УФ-светодиодного излучения краски для офсетной печати, описанной в данном документе, составляет в диапазоне от приблизительно 2,5 до приблизительно 25 Па⋅с при 40°C и 1000 с-1; причем значения вязкости, предусмотренные в данном документе, измерены с помощью реометра Haake Roto-Visco RV1 с геометрией «конус» 2 см 0,5°, увеличение линейной скорости 0-1000 с-1 в течение 30 секунд.

[037] Радикально-отверждаемая под воздействием УФ-светодиодного излучения краска для офсетной печати, описанная в данном документе, содержит радикально-отверждаемые (мет)акрилатные соединения. Радикально-отверждаемые (мет)акрилатные соединения, описанные в данном документе, присутствуют в количестве от приблизительно 10 масс. % до приблизительно 80 масс. %, предпочтительно от приблизительно 20 масс. % до приблизительно 80 масс. %, более предпочтительно в количестве от приблизительно 30 масс. % до приблизительно 80 масс. %, еще более предпочтительно от приблизительно 50 масс. % до приблизительно 80 масс. %, причем массовое процентное содержание рассчитано исходя из общей массы радикально-отверждаемой под воздействием УФ-светодиодного излучения краски для офсетной печати, описанной в данном документе.

[038] Радикально-отверждаемые соединения отверждаются с помощью свободнорадикальных механизмов, состоящих из активации посредством энергии одного или более фотоинициаторов, которые высвобождают свободные радикалы, которые, в свою очередь, инициируют полимеризацию с образованием слоя или покрытия.

[039] Описанные радикально-отверждаемые (мет)акрилатные соединения предпочтительно состоят из одного или более радикально-отверждаемых (мет)акрилатных олигомеров и одного или более радикально-отверждаемых (мет)акрилатных мономеров. Термин «(мет)акрилат» в контексте настоящего изобретения относится к акрилату, а также к соответствующему метакрилату.

[040] Радикально-отверждаемые (мет)акрилатные олигомеры, описанные в данном документе, предпочтительно выбраны из группы, состоящей из эпокси(мет)акрилатов, модифицированных (мет)акрилатом масел, модифицированных (мет)акрилатом эпоксидированных масел, сложных полиэфир(мет)акрилатов, алифатических или ароматических полиуретан(мет)акрилатов, (мет)акрилатов полиакриловой кислоты, (мет)акрилатов сложных полиакрилатных эфиров и их смесей, более предпочтительно выбраны из группы, состоящей из эпокси(мет)акрилатов, сложных полиэфир(мет)акрилатов, алифатических или ароматических полиуретан(мет)акрилатов и их смесей.

[041] Радикально-отверждаемые олигомеры, описанные в данном документе, предпочтительно представляют собой (мет)акрилатные олигомеры, которые могут быть разветвленными или по существу линейными, и (мет)акрилатная(-ые) функциональная(-ые) группа или группы, соответственно, могут быть концевыми группами и/или боковыми группами, связанными с цепью олигомера. Предпочтительно, радикально-отверждаемые олигомеры выбраны из группы, состоящей из (мет)акриловых олигомеров, уретан(мет)акрилатных олигомеров, полиэфир(мет)акрилатных олигомеров, (мет)акрилатных олигомеров на основе полиэфира, эпокси(мет)акрилатных олигомеров и их смесей, более предпочтительно выбраны из группы, состоящей из полиэфир(мет)акрилатных олигомеров, эпокси(мет)акрилатных олигомеров и их смесей.

[042] Подходящие примеры эпокси(мет)акрилатных олигомеров включают без ограничения алифатические эпокси(мет)акрилатные олигомеры, в частности моно(мет)акрилаты, ди(мет)акрилаты и три(мет)акрилаты, и ароматические эпокси(мет)акрилатные олигомеры. Подходящие примеры ароматических эпокси(мет)акрилатных олигомеров включают (мет)акрилатные олигомеры на основе бисфенол-А, такие как моно(мет)акрилаты на основе бисфенол-А, ди(мет)акрилаты на основе бисфенол-А и три(мет)акрилаты на основе бисфенол-А, а также алкоксилированные (такие как, например, этоксилированные и пропоксилированные) (мет)акрилатные олигомеры на основе бисфенол-А, такие как, например, алкоксилированные моно(мет)акрилаты на основе бисфенол-А, алкоксилированные ди(мет)акрилаты на основе бисфенол-А и алкоксилированные три(мет)акрилаты на основе бисфенол-А, при этом этоксилированные диакрилаты на основе бисфенол-А являются особенно подходящими.

[043] Радикально-отверждаемые (мет)акрилатные мономеры, описанные в данном документе, предпочтительно выбраны из группы, состоящей из моно(мет)акрилатов, ди(мет)акрилатов, три(мет)акрилатов, тетра(мет)акрилатов, пента(мет)акрилатов, гекса(мет)акрилатов и их смесей.

[044] Предпочтительные примеры моно(мет)акрилатов включают 2(2-этоксиэтокси)этил(мет)акрилат, 2-феноксиэтил(мет)акрилат, C12/C14 алкил(мет)акрилат, C16/C18 алкил(мет)акрилат, капролактон(мет)акрилат, циклический триметилолпропанформаль(мет)акрилат, нонилфенол(мет)акрилат, изоборнил(мет)акрилат, изодецил(мет)акрилат, лаурил(мет)акрилат, стеарил(мет)акрилат, октилдецил(мет)акрилат, тридецил(мет)акрилат, метоксиполи(этиленгликоль)(мет)акрилат, полипропиленгликоль(мет)акрилат, тетрагидрофурфурил(мет)акрилат, 1,3-бутиленгликольди(мет)акрилат, 1,4-бутандиолди(мет)акрилат, 1,6-гександиолди(мет)акрилат, 3-метил-1,5-пентандиолди(мет)акрилат, алкоксилированный ди(мет)акрилат, сложный эфирдиолди(мет)акрилат, а также их смеси.

[045] Предпочтительные примеры ди(мет)акрилатов включают ди(мет)акрилаты на основе бисфенол-А, алкоксилированные (такие как, например, этоксилированные и пропоксилированные) ди(мет)акрилат на основе бисфенол-А, диглицидилэфирди(мет)акрилат на основе бисфенол-А, этиленгликольди(мет)акрилат, диэтиленгликольди(мет)акрилат, триэтиленгликольди(мет)акрилат, тетраэтиленгликольди(мет)акрилат, дипропиленгликольди(мет)акрилат, трипропиленгликольди(мет)акрилат, полиэтиленгликольди(мет)акрилат, неопентилгликольди(мет)акрилат, трициклодекандиметанолди(мет)акрилат, а также их смеси.

[046] Предпочтительные примеры три(мет)акрилатов включают триметилолпропантри(мет)акрилаты, алкоксилированные (такие как, например, этоксилированные и пропоксилированные) триметилолпропантри(мет)акрилаты, алкоксилированные (такие как, например, этоксилированные и пропоксилированные) глицеринтри(мет)акрилаты, пентаэритриттри(мет)акрилаты, алкоксилированные пентаэритриттри(мет)акрилаты, алкоксилированные (такие как, например, этоксилированные и пропоксилированные) пентаэритриттри(мет)акрилаты, а также их смеси.

[047] Предпочтительные примеры тетра(мет)акрилатов включают дитриметилолпропантетра(мет)акрилаты, пентаэритриттетра(мет)акрилаты, алкоксилированные (такие как, например, этоксилированные и пропоксилированные) пентаэритритолтетра(мет)акрилаты и их смеси, предпочтительно выбранные из группы, состоящей из дитриметилолпропантетра(мет)акрилатов, алкоксилированных пентаэритриттетра(мет)акрилатов, а также их смесей.

[048] Для вариантов осуществления, в которых радикально-отверждаемую под воздействием УФ-светодиодного излучения краску для офсетной печати, описанную в данном документе, наносят с помощью процесса сухой офсетной печати, радикально-отверждаемая под воздействием УФ-светодиодного излучения краска для офсетной печати, описанная в данном документе, содержащая (мет)акрилатные соединения, описанные в данном документе, может дополнительно содержать один или более простых виниловых эфиров и/или их этоксилированных эквивалентов. Примеры предпочтительных простых виниловых эфиров включают метилвиниловый эфир, этилвиниловый эфир, н-пропилвиниловый эфир, н-бутилвиниловый эфир, изобутилвиниловый эфир, этилгексилвиниловый эфир, октадецилвиниловый эфир, додецилвиниловый эфир, изопропилвиниловый эфир, трет-бутилвиниловый эфир, трет-амилвиниловый эфир, циклогексилвиниловый эфир, циклогександиметанолмоновиниловый эфир, циклогександиметанолдивиниловый эфир, 4-(винилоксиметил)циклогексилметилбензоат, фенилвиниловый эфир, метилфенилвиниловый эфир, метоксифенилвиниловый эфир, 2-хлорэтилвиниловый эфир, 2-гидроксиэтилвиниловый эфир, 4-гидроксибутилвиниловый эфир, 1,6-гександиолмоновиниловый эфир, 3-амино-1-пропанолвиниловый эфир, этиленгликольдивиниловый эфир, этиленгликольмоновиниловый эфир, 1,4-бутандиолдивиниловый эфир, 1,6-гександиолдивиниловый эфир, 4-(винилокси)бутилбензоат, бис[4-(винилокси)бутил]адипат, бис[4-(винилокси)бутил]сукцинат, бис[4-(винилоксиметил)циклогексилметил]глутарат, 4-(винилокси)бутилстеарат, триметилолпропантривиниловый эфир, пропениловый эфир пропиленкарбоната, диэтиленгликольмоновиниловый эфир, диэтиленгликольдивиниловый эфир, этиленгликольбутилвиниловый эфир, дипропиленгликольдивиниловый эфир, триэтиленгликольдивиниловый эфир, триэтиленгликольметилвиниловый эфир, триэтиленгликольмонобутиловый эфир, тетраэтиленгликольдивиниловый эфир, поли(тетрагидрофуран)дивиниловый эфир, метилвиниловый эфир полиэтиленгликоля-520, дивиниловый эфир плюриол-Е200, трис[4-(винилокси)бутил]тримеллитат, бис[4-(винилокси)бутил]1,6-гександиилбискарбамат, 1,4-бис(2-винилоксиэтокси)бензол, 2,2-бис(4-винилоксиэтоксифенил)пропан, бис[4-(винилокси)метил]циклогексил]метил]терефталат, бис[4-(винилокси)метил]циклогексил]метил]изофталат, бис[4-(винилокси)бутил](4-метил-1,3-фенилен)бискарбамат и бис[4-винилокси)бутил](метиленди-4,1-фенилен)бискарбамат. Подходящие простые виниловые эфиры реализуются компанией BASF под торговыми марками EVE, IBVE, DDVE, ODVE, BDDVE, DVE-2, DVE-3, CHVE, CHDM-di, HBVE. При наличии, один или более простых виниловых эфиров и/или их этоксилированные эквиваленты присутствуют в количестве от приблизительно 1 масс. % до приблизительно 5 масс. %, причем массовое процентное содержание рассчитано исходя из общей массы радикально-отверждаемой под воздействием УФ-светодиодного излучения краски для офсетной печати.

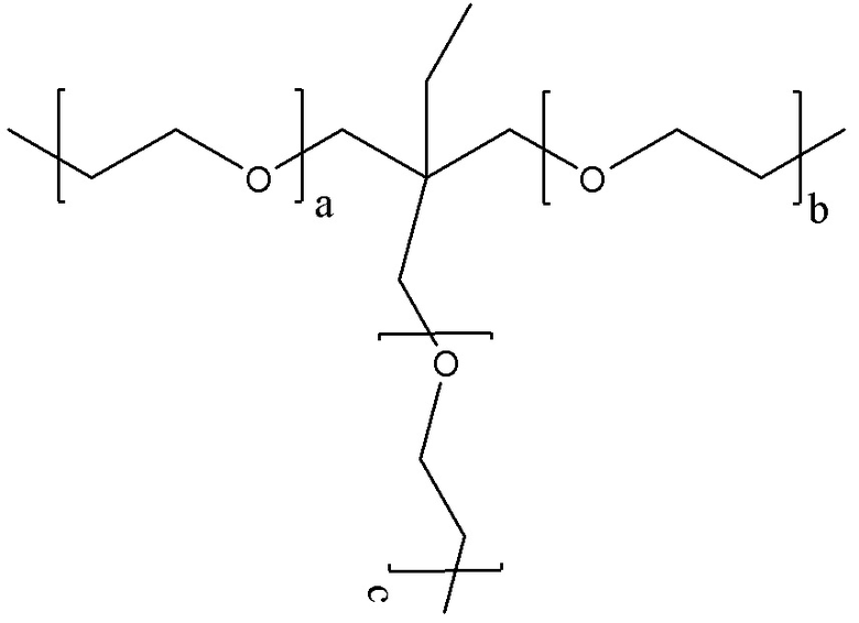
[049] Радикально-отверждаемая под воздействием УФ-светодиодного излучения краска для офсетной печати, описанная в данном документе, содержит один или более фотоинициаторов, описанных в данном документе, причем указанные один или более фотоинициаторов состоят из производных тиоксантона, связанных с остатком посредством сложноэфирной связи в положении 2, т. е. радикально-отверждаемая под воздействием УФ-светодиодного излучения краска для офсетной печати, описанная в данном документе, содержит один или более фотоинициаторов формулы (I):

(I)

где Q имеет следующую формулу (IIa), (IIb) или (IIc):

(IIc)

где n больше 1, R1 являются идентичными или отличаются друг от друга и выбраны из группы, состоящей из водорода и C1-C3-алкильных групп (т. е. метильных (Me, -CH3), этильных (Et, -CH2CH3), 1-пропильных (н-Pr, н-пропильных, -CH2CH2CH3), 2-пропильных (изо-Pr, изо-пропильных, -CH(CH3)2)), R2 выбраны из группы, состоящей из водорода и C1-C3-алкильных групп (т. е. метильных (Me, -CH3), этильных (Et, -CH2CH3), 1-пропильных (н-Pr, н-пропильных, -CH2CH2CH3), 2-пропильных (изо-Pr, изо-пропильных, -CH(CH3)2)), и где сумма a+b+c составляет в диапазоне от 3 до 12, и сумма d+e+f+g составляет в диапазоне от 4 до 16.

[050] Среднемассовая молекулярная масса (MW) одного или более фотоинициаторов формулы (I) предпочтительно выше или равна приблизительно 900 г/моль экв. PS, при этом указанные среднемассовые молекулярные массы определены с помощью GPC (гель-проникающей хроматографии) согласно методу испытаний OECD 118, в котором используется Malvern Viskotek GPCmax, и в котором устанавливается калибровочная кривая (log(молекулярная масса) = f(удерживаемый объем)) с использованием шести стандартов полистирола (с молекулярными массами в диапазоне от 472 до 512000 г/моль). Устройство оснащено изократическим насосом, дегазатором, автосамплером и тройным детектором TDA 302, состоящим из дифференциального рефрактометра, вискозиметра и детектора двухуглового светорассеяния (7° и 90°). Для этого конкретного измерения используют только дифференциальный рефрактометр. Две колонки Viskotek TM4008L (длина колонки 30,0 см, внутренний диаметр 8,0 мм) последовательно соединяли. Неподвижная фаза состояла из сополимера стирола и дивинилбензола с размером частиц 6 мкм и максимальным размером пор 3000 Å. Во время измерений температуру фиксировали на уровне 35°C, и образцы содержали 10 мг/мл анализируемого продукта, растворенного в THF (Acros, 99,9%, безводный). Как описано в примерах ниже, образцы независимо вводили со скоростью 1 мл/мин. Молекулярную массу соединения рассчитывали по хроматограмме как среднемассовую молекулярную массу, эквивалентную полистиролу (PS экв. MW), с уровнем достоверности 95% и средним значением трех измерений одного и того же раствора по следующей формуле:

где Hi - это уровень сигнала детектора от базовой линии для удерживаемого объема Vi, Mi - это молекулярная масса доли полимера при удерживаемом объеме Vi и n - это число точек данных. Omnisec 5.12, поставляемый с устройством, используют в качестве программного обеспечения.

[051] Согласно предпочтительному варианту осуществления радикально-отверждаемая под воздействием УФ-светодиодного излучения краска для офсетной печати, описанная в данном документе, содержит один или более фотоинициаторов формулы (I), где n равно 1, 2 или 3, и где Q имеет формулу (IIb), где сумма a+b+c составляет в диапазоне от 3 до 12. Согласно более предпочтительному варианту осуществления радикально-отверждаемая под воздействием УФ-светодиодного излучения краска для офсетной печати, описанная в данном документе, содержит один или более фотоинициаторов формулы (I), где n равно 1, 2 или 3, и где Q имеет формулу (IIb), где сумма a+b+c составляет в диапазоне от 3 до 12, и R1 являются одинаковыми и представляют собой этильные группы.

[052] Согласно еще более предпочтительному варианту осуществления радикально-отверждаемая под воздействием УФ-светодиодного излучения краска для офсетной печати, описанная в данном документе, содержит один или более фотоинициаторов формулы (I), где n равно 1 (см. формулу IIb-1), 2 (см. формулу IIb-2) или 3 (см. формулу IIb-3), и где Q имеет формулу (IIb), где сумма a+b+c составляет в диапазоне от 3 до 12, и R1 являются одинаковыми и представляют собой этиленовые группы, и R2 представляет собой этильную группу:

[053] Особенно подходящие фотоинициаторы формулы (I) реализуются компанией Rahn под торговой маркой Genopol® TX-2.

[054] Один или более фотоинициаторов, описанных в данном документе, присутствуют в количестве от приблизительно 4 масс. % до приблизительно 20 масс. %, предпочтительно в количестве от приблизительно 5 масс. % до приблизительно 15 масс. %, более предпочтительно в количестве от приблизительно 8 масс. % до приблизительно 12 масс. %, причем массовое процентное содержание рассчитано исходя из общей массы радикально-отверждаемой под воздействием УФ-светодиодного излучения краски для офсетной печати.

[055] Следует также отметить, что настоящее изобретение также охватывает соединения, в которых один или более атомов заменены изотопным вариантом, как, например, один или более атомов водорода могут быть заменены 2H или 3H, и/или один или более атомов углерода могут быть заменены 14C или 13C.

[056] Радикально-отверждаемая под воздействием УФ-светодиодного излучения краска для офсетной печати, описанная в данном документе, содержит от приблизительно 1 масс. % до приблизительно 15 масс. %, предпочтительно от приблизительно 2 масс. % до приблизительно 12 масс. %, одного или более аминосодержащих соединений, выбранных из группы, состоящей из соединений аминобензоата, среднемассовая молекулярная масса которых составляет по меньшей мере 400 г/моль экв. PS, акрилатов на основе модифицированного амином полиэфира, среднемассовая молекулярная масса которых составляет по меньшей мере 400 г/моль экв. PS, и их комбинаций, при этом среднемассовая молекулярная масса измерена, как описано в данном документе, причем массовое процентное содержание рассчитано исходя из общей массы радикально-отверждаемой под воздействием УФ-светодиодного излучения краски для офсетной печати. Указанные аминосодержащие соединения ведут себя как доноры водорода. Однако, из уровня техники известно, что из-за их довольно высокой гидрофильности указанные соединения отрицательно влияют на характеристики отверждаемых под воздействием УФ-излучения красок при использовании процессов влажной офсетной печати (т. е. амины имеют тенденцию делать обычно олеофильную краску гидрофильной, указанная гидрофильная краска, в свою очередь, загрязняет область без изображения печатной формы).

[057] Среднемассовая молекулярная масса одного или более соединений аминобензоата, описанных в данном документе, составляет по меньшей мере 400 г/моль экв. PS, предпочтительно по меньшей мере 700 г/моль экв. PS, и более предпочтительно по меньшей мере 900 г/моль экв. PS.

[058] Согласно одному варианту осуществления одно или более соединений аминобензоата, описанных в данном документе, содержат один или более третичных аминов, предпочтительно одну или более 4-диалкиламинобензоатных групп, более предпочтительно одну или более 4-диметиламинобензоатных групп. Одно или более соединений аминобензоата, описанных в данном документе, предпочтительно представляют собой соединения на основе полиэфира, являющиеся производными алкоксилированных (таких как, например, этоксилированных и пропоксилированных) глицеринов или алкоксилированных (таких как, например, этоксилированных и пропоксилированных) пентаэритритов. Подходящие примеры одного или более соединений аминобензоата имеют следующую формулу (III):

(III)

где m больше 1, предпочтительно в диапазоне от 1 до 4, и где сумма h+i+j+k составляет в диапазоне от 3 до 12.

[059] Особенно подходящие соединения аминобензоата реализуются компанией Lambson под торговой маркой SpeedCure 7040.

[060] Среднемассовая молекулярная масса одного или более акрилатов на основе модифицированного амином полиэфира, описанных в данном документе, составляет по меньшей мере 400 г/моль экв. PS, предпочтительно по меньшей мере 700 г/моль экв. PS, и более предпочтительно по меньшей мере 900 г/моль экв. PS. Предпочтительно, один или более акрилатов на основе модифицированного амином полиэфира, описанных в данном документе, характеризуются высокой вязкостью (такой как значение вязкости выше 500 мПас, предпочтительно выше 1000 мПас при 20-25°C) и высокоакрилатной функциональностью (например, число акрилатных групп на молекулу, в частности акрилатная функциональность выше 2, предпочтительно выше 3). Согласно одному варианту осуществления один или более акрилатов на основе модифицированного амином полиэфира, описанных в данном документе, получают путем приведения в реакцию малой доли (приблизительно 2-15 масс. %) акрилатных двойных связей полиэфиракрилата с амином (Radiation curing, P. Glöckner, Vincentz, 2008, стр. 66-67). Указанные амины предпочтительно представляют собой первичные или вторичные алкильные или циклоалкильные амины или алифатические циклические вторичные амины, такие как пирролидин, пиперидин или пиперазин. Особенно подходящие полиэфиракрилаты имеют акрилатную функциональность по меньшей мере 3. Соответствующие примеры включают этоксилированный или пропоксилированный глицеринтриакрилат, этоксилированный или пропоксилированный триметилолпропантриакрилат, этоксилированный или пропоксилированный пентаэритриттетраакрилат и т. п. Подходящие акрилаты на основе модифицированного амином полиэфира реализуются компанией Allnex под торговой маркой Ebecryl® 80), компанией Rahn под торговой маркой Genomer* 3457 и 3480, компанией IGM Resins под торговой маркой Photomer® 5662 и компанией DSM Resins под торговой маркой Neorad™ P-82 и Agisyn™ 701.

[061] Количество одного или более аминосодержащих соединений, описанных в данном документе (в частности одного или более соединений аминобензоата, описанных в данном документе, и одного или более акрилатов на основе модифицированного амином полиэфира, описанных в данном документе), и одного или более фотоинициаторов формулы (I), описанных в данном документе, предпочтительно выбрана таким образом, что молярное соотношение азота одного или более аминосодержащих соединений, описанных в данном документе (в частности одного или более соединений аминобензоата, описанных в данном документе, и одного или более акрилатов на основе модифицированного амином полиэфира, описанных в данном документе), и тиоксантонового фрагмента одного или более фотоинициаторов формулы (I), описанных в данном документе, предпочтительно составляет в диапазоне от приблизительно 0,1 до приблизительно 1, более предпочтительно от приблизительно 0,2 до приблизительно 0,8, и даже более предпочтительно от приблизительно 0,4 до приблизительно 0,6. Предпочтительные диапазоны, описанные в данном документе, являются особенно подходящими для вариантов осуществления, в которых радикально-отверждаемую под воздействием УФ-светодиодного излучения краску для офсетной печати, описанную в данном документе, наносят с помощью процесса влажной офсетной печати.

[062] Радикально-отверждаемая под воздействием УФ-светодиодного излучения краска для офсетной печати, описанная в данном документе, дополнительно содержит один или более неорганических пигментов и/или один или более органических пигментов, описанных в данном документе, при этом указанные один или более неорганических пигментов и/или один или более органических пигментов, описанных в данном документе, присутствуют в количестве от приблизительно 1 масс. % до приблизительно 30 масс. %, причем массовое процентное содержание рассчитано исходя из общей массы радикально-отверждаемой под воздействием УФ-светодиодного излучения краски для офсетной печати.

[063] Типичные примеры органических и неорганических пигментов включают без ограничения C.I. Pigment Yellow 12, C.I. Pigment Yellow 42, C.I. Pigment Yellow 93, C.I. Pigment Yellow 110, C.I. Pigment Yellow 147, C.I. Pigment Yellow 173, C.I. Pigment Orange 34, C.I. Pigment Orange 48, C.I. Pigment Orange 49, C.I. Pigment Orange 61, C.I. Pigment Orange 71, C.I. Pigment Orange 73, C.I. Pigment Red 9, C.I. Pigment Red 22, C.I. Pigment Red 23, C.I. Pigment Red 67, C.I. Pigment Red 122, C.I. Pigment Red 144, C.I. Pigment Red 146, C.I. Pigment Red 170, C.I. Pigment Red 177, C.I. Pigment Red 179, C.I. Pigment Red 185, C.I. Pigment Red 202, C.I. Pigment Red 224, C.I. Pigment Brown 6, C.I. Pigment Brown 7, C.I. Pigment Red 242, C.I. Pigment Red 254, C.I. Pigment Red 264, C.I. Pigment Brown 23, C.I. Pigment Blue 15, C.I. Pigment Blue 15:3, C.I. Pigment Blue 60, C.I. Pigment Violet 19, C.I. Pigment Violet 23, C.I. Pigment Violet 32, C.I. Pigment Violet 37, C.I. Pigment Green 7, C.I. Pigment Green 36, C.I. Pigment Black 7, C.I. Pigment Black 11, C. I. Pigment White 4, C.I Pigment White 6, C.I. Pigment White 7, C.I. Pigment White 21, C.I. Pigment White 22, сурьму желтую, хромат свинца, сульфат хромата свинца, молибдат свинца, ультрамарин синий, синий кобальт, марганцевый синий, зеленый оксид хрома, зеленый гидратированный оксид хрома, зеленый кобальт, сульфид церия, сульфид кадмия, сульфоселениды кадмия, феррит цинка, ванадат висмута, прусский синий, смешанные оксиды металлов, азопигменты, азометиновые, метиновые, антрахиноновые, фталоцианиновые, периноновые, периленовые, дикетопирролопирроловые пигменты, тиоиндигопигменты, тиазининдигопигменты, диоксазиновые, иминоизоиндолиновые, иминоизоиндолиноновые, хинакридоновые, флавантроновые, индантроновые, антрапиримидиновые и хинофталоновые пигменты. При наличии, неорганические пигменты, органические пигменты или их смеси, описанные в данном документе, предпочтительно присутствуют в количестве от приблизительно 0,1 масс. % до приблизительно 45 масс. %, причем массовое процентное содержание рассчитано исходя из общей массы радикально-отверждаемой под воздействием УФ-светодиодного излучения краски для офсетной печати.

[064] Согласно предпочтительному варианту осуществления размер частиц одного или более неорганических пигментов, описанных в данном документе, и одного или более органических пигментов, описанных в данном документе, независимо составляет менее или равен 5 мкм, предпочтительно менее или равен 3 мкм, при измерении с помощью прибора для измерения дисперсности (такого как гриндометр Erichsen модель 232, шкала 0-15 мкм) согласно стандарту ISO 1524:2013. Испытание на измерение дисперсности проводят непосредственно с готовой к использованию краской, т. е. краской, которая содержит все ингредиенты и была получена и измельчена, как описано для примеров E1-E2 и сравнительных примеров C1-C4, описанных в данном документе далее.

[065] Радикально-отверждаемая под воздействием УФ-светодиодного излучения краска для офсетной печати, описанная в данном документе, дополнительно содержит один или более наполнителей и/или разбавителей в количестве от приблизительно 0,5 масс. % до приблизительно 10 масс. %, предпочтительно от приблизительно 0,5 до приблизительно 5 масс. %, причем массовое процентное содержание рассчитано исходя из общей массы радикально-отверждаемой под воздействием УФ-светодиодного излучения краски для офсетной печати. Предпочтительно, один или более наполнителей и/или разбавителей выбраны из группы, состоящей из углеродных волокон, тальков, слюд (мусковитов), волластонитов, глин (кальцинированных глин и белых глин), каолинов, карбонатов (например, карбоната кальция, карбоната алюминия натрия), силикатов (например, силиката магния, силиката алюминия), сульфатов (например, сульфата магния, сульфата бария), титанатов (например, титаната калия), гидратов оксида алюминия, диоксида кремния (также в том числе коллоидальных диоксидов кремния), монтмориллонитов, графитов, анатазов, рутилов, бентонитов, вермикулитов, цинковых белил, сульфидов цинка, древесной муки, кварцевой муки, натуральных волокон, синтетических волокон и их комбинаций. Более предпочтительно, один или более наполнителей и/или разбавителей выбраны из группы, состоящей из углеродных волокон, тальков, слюд, волластонитов, глин, каолинов, карбонатов, силикатов, сульфатов, титанатов, гидратов оксида алюминия, диоксида кремния, монтмориллонитов, графитов, бентонитов, вермикулитов, древесной муки, кварцевой муки, натуральных волокон, синтетических волокон и их комбинаций. Еще более предпочтительно, один или более наполнителей и/или разбавителей выбраны из группы, состоящей из карбонатов (например, карбоната кальция, карбоната алюминия натрия), диоксидов кремния, тальков, глин и их смесей.

[066] Радикально-отверждаемая под воздействием УФ-светодиодного излучения краска для офсетной печати, описанная в данном документе, может дополнительно содержать один или более восков, предпочтительно выбранных из группы, состоящей из синтетических восков, нефтяных восков и натуральных восков. Предпочтительно, один или более восков выбраны из группы, состоящей из амидных восков, эрукамидных восков, парафиновых восков, полиэтиленовых восков, полипропиленовых восков, фторуглеродных восков, политетрафторэтиленовых восков, восков Фишера-Тропша, силиконовых жидкостей, пчелиных восков, канделильских восков, монтановых восков, карнаубских восков и их смесей, более предпочтительно выбраны из группы, состоящей из парафиновых восков, полиэтиленовых восков, фторуглеродных восков, политетрафторэтиленовых восков, карнаубских восков и их смесей. При наличии, один или более восков предпочтительно присутствуют в количестве от приблизительно 0,1 до приблизительно 5 масс. %, причем массовое процентное содержание рассчитано исходя из общей массы радикально-отверждаемой под воздействием УФ-светодиодного излучения краски для офсетной печати.

[067] Радикально-отверждаемая под воздействием УФ-светодиодного излучения краска для офсетной печати, описанная в данном документе, может дополнительно содержать один или более фосфиноксидов в качестве коинициаторов. Подходящие примеры фосфиноксидов включают без ограничения 2,4,6-триметилбензоилдифенилфосфиноксид; этил-(2,4,6-триметилбензоил)фенилфосфинат; фенилбис(2,4,6-триметилбензоил)фосфиноксид; бис(2,6-диметоксибензоил)-2,4,4-триметилпентилфосфиноксид; замещенные ацилфосфиноксиды, реализуемые как Speedcure XKm от компании Lambson; смесь дифенил(2,4,6-триметилбензоил)фосфиноксида и фенилбис(2,4,6-триметилбензоил)фосфиноксида; смесь дифенил(2,4,6-триметилбензоил)фосфиноксида и 2-гидрокси-2-метилпропиофенона, смесь фенилбис(2,4,6-триметилбензоил)фосфиноксида и 2-гидрокси-2-метилпропиофенона; и смесь этил(2,4,6-триметилбензоил)фенилфосфината и 2-гидрокси-2-метилпропиофенона. При наличии одного или более фосфиноксидов, описанных в данном документе, радикально-отверждаемые под воздействием УФ-светодиодного излучения краски для офсетной печати предпочтительно содержат от приблизительно 6 масс. % до приблизительно 25 масс. %, предпочтительно от приблизительно 10 масс. % до приблизительно 20 масс. % комбинации одного или более фотоинициаторов формулы (I), описанных в данном документе, и одного или более фосфиноксидов, описанных в данном документе, причем массовое процентное содержание рассчитано исходя из общей массы радикально-отверждаемой под воздействием УФ-светодиодного излучения краски для офсетной печати.

[068] Радикально-отверждаемая под воздействием УФ-светодиодного излучения краска для офсетной печати, описанная в данном документе, может дополнительно содержать один или более машиночитаемых материалов, выбранных из группы, состоящей из магнитных материалов, поглощающих ИК-излучение материалов и их смесей. В контексте настоящего документа термин «машиночитаемый материал» относится к материалу, который характеризуется по меньшей мере одним отличительным свойством, которое обнаруживается устройством или машиной, таким как, например, CCD- или CMOS-датчик, магнитный детектор (когда машиночитаемые материалы характеризуются магнитными свойствами) или ИК-камера (когда машиночитаемые материалы характеризуются свойствами поглощения ИК-излучения), и который может содержаться в защитном признаке, выполненном радикально-отверждаемой под воздействием УФ-светодиодного излучения краской для офсетной печати, описанной в данном документе, чтобы обеспечить способ аутентификации указанного защитного признака путем использования конкретного оборудования для его обнаружения и/или аутентификации. Один или более машиночитаемых материалов, описанных в данном документе, присутствуют в количестве от приблизительно 1 масс. % до приблизительно 60 масс. %, предпочтительно от приблизительно 5 масс. % до приблизительно 40 масс. %, причем массовое процентное содержание рассчитано исходя из общей массы радикально-отверждаемой под воздействием УФ-светодиодного излучения краски для офсетной печати.

[069] Магнитные материалы характеризуются конкретными, обнаруживаемыми магнитными свойствами ферромагнитного или ферримагнитного типа и включают постоянные магнитные материалы (магнитно-твердые материалы с коэрцитивной силой Hc > 1000 А/м) и намагничиваемые материалы (магнитно-мягкие материалы с коэрцитивной силой Hc <= 1000 А/м согласно стандарту IEC60404-1 (2000)). Типичные примеры магнитных материалов включают железо, никель, кобальт, марганец и их магнитные сплавы, карбонильное железо, диоксид хрома CrO2, магнитные оксиды железа (например, Fe2O3; Fe3O4), магнитные ферриты M(II)Fe(III)2O4 и гексаферриты M(II)Fe(III)12O19, магнитные гранаты M(III)3Fe(III)5O12 (такие как железоиттриевый гранат Y3Fe5O12) и их магнитные изоструктурные продукты замещения и частицы с постоянной намагниченностью (например, CoFe2O4). Магнитные частицы пигмента, содержащие материал магнитной сердцевины, который окружен (покрыт) по меньшей мере одним слоем другого материала, такие как описанные в документе WO 2010/115986 A2, можно также использовать для настоящего изобретения. При наличии, один или более магнитных материалов предпочтительно присутствуют в количестве от приблизительно 5 до приблизительно 60 масс. %, причем массовое процентное содержание рассчитано исходя из общей массы радикально-отверждаемой под воздействием УФ-светодиодного излучения краски для офсетной печати.

[070] Поглощающие инфракрасное (ИК) излучение материалы, т. е. материалы, поглощающие в ближнем инфракрасном (БИК) диапазоне электромагнитного спектра, чаще всего в диапазоне длин волн от 700 нм до 2500 нм, широко известны и используются в качестве маркировочных материалов в приложениях безопасности для обеспечения дополнительного, скрытого, защитного элемента печатаемым документам, что способствует установлению их подлинности. Например, защитные признаки, имеющие свойства поглощения ИК-излучения, были внедрены в банкноты для использования оборудованием для автоматической обработки банкнот в банковской и торговой сферах (банкоматы, торговые автоматы и т. д.) для распознавания купюры определенного номинала и удостоверения ее подлинности, в частности, для отличения ее от реплик, выполненных на цветных копировальных устройствах. Поглощающие ИК-излучение материалы включают поглощающие ИК-излучение неорганические материалы, стекла, содержащие значительные количества поглощающих ИК-излучение атомов или ионов, или вещества, проявляющие поглощение ИК-излучения в качестве сопутствующего эффекта, поглощающие ИК-излучение органические материалы и поглощающие ИК-излучение металлоорганические материалы (комплексы катиона(-ов) с органическим(-и) лигандом(-ами), причем либо отдельный катион и/или отдельный лиганд, либо оба в сочетании обладают свойствами поглощения ИК-излучения). Типичные примеры поглощающих ИК-излучение материалов включают, помимо всего прочего, углеродную сажу, соли хинон-дииммония или аминия, полиметины (например, цианины, скварены, кроконены), соединения фталоцианинового или нафталоцианинового типа (поглощающая ИК-излучения pi-система), дитиолены, диимиды кватеррилена, металл (например, переходные металлы или лантаниды), фосфаты, гексаборид лантана, оксид олова индия, оксид олова сурьмы в форме наночастиц и легированный оксид олова(IV) (ассоциативная часть кристалла SnO4). Поглощающие ИК-излучение материалы, содержащие соединение переходного элемента, инфракрасное поглощение которых является следствием электронных переходов внутри d-оболочки атомов или ионов переходных элементов, такие как описанные в документе WO 2007/060133 A2, также могут быть использованы в настоящем изобретении. При наличии, один или более поглощающих ИК-излучение материалов предпочтительно присутствуют в количестве от приблизительно 1 до приблизительно 40 масс. %, причем массовое процентное содержание рассчитано исходя из общей массы радикально-отверждаемой под воздействием УФ-светодиодного излучения краски для офсетной печати.

[071] Радикально-отверждаемая под воздействием УФ-светодиодного излучения краска для офсетной печати, описанная в данном документе, может дополнительно содержать один или более маркеров и/или меток.

[072] Радикально-отверждаемая под воздействием УФ-светодиодного излучения краска для офсетной печати, описанная в данном документе, может дополнительно содержать один или более УФ-стабилизаторов для стабилизации указанной краски, в частности во время ее хранения. Типичные примеры подходящих УФ-стабилизаторов включают без ограничения гидрохинон, монометиловый эфир гидрохинона, 4-трет-бутилкатехол, 4-трет-бутилфенол, 2,6-ди-трет-бутил-4-метилфенол (BHT), пирогаллол, фенотиазин (PTZ), 2,4-диазабицикло[2.2.2]октан (DABCO), соли меди (II) (такие как, например, феноксид меди (II), ацетилацетонат меди (II), глюконат меди (II), тартрат меди (II), ацетат меди (II), карбамат меди (II), тиокарбамат меди (II), дитиокарбамат меди (II) или диметилдитиокарбамат меди (II)), соли меди (I) (такие как, например, хлорид меди (I) или ацетат меди (I)), трис[N-(гидроксил-κO)-N-(нитрозо-κO)бензоламинато]-алюминий, а также любые их смеси. При наличии, один или более УФ-стабилизаторов, описанных в данном документе, присутствуют в радикально-отверждаемой под воздействием УФ-светодиодного излучения краске для офсетной печати в количестве от приблизительно 0,1 масс. % до приблизительно 5 масс. %, предпочтительно в количестве от приблизительно 0,5 масс. % до приблизительно 2 масс. %, причем массовое процентное содержание рассчитано исходя из общей массы радикально-отверждаемой под воздействием УФ-светодиодного излучения краски для офсетной печати, описанной в данном документе.

[073] Как известно специалистам в данной области техники, радикально-отверждаемая под воздействием УФ-светодиодного излучения краска для офсетной печати, описанная в данном документе, может дополнительно содержать один или более растворителей и/или разбавителей.

[074] Радикально-отверждаемая под воздействием УФ-светодиодного излучения краска для офсетной печати, описанная в данном документе, может дополнительно содержать одну или более инертных смол (т. е. смол, которые не берут участие в реакции полимеризации). Инертные смолы можно использовать для корректировки вязкости радикально-отверждаемой краски для офсетной печати, описанной в данном документе, для снижения температуры стеклования слоя краски, полученного с помощью радикально-отверждаемой краски для офсетной печати, описанной в данном документе, или для увеличения адгезии слоя краски, полученного с помощью радикально-отверждаемой краски для офсетной печати, описанной в данном документе. Одна или более инертных смол предпочтительно выбраны из группы, состоящей из углеводородов (таких как, например, углеводородные смолы на основе стирола), акрилов (таких как, например, акриловые сополимеры), стиролаллиловых спиртов, фенольных смол, смол, модифицированных канифолью, кетоновых смол, алкидных смол и их смесей. При наличии, одна или более инертных смол, описанных в данном документе, присутствуют в отверждаемой под воздействием УФ-светодиодного излучения краске для влажной офсетной печати, описанной в данном документе, в количестве от приблизительно 0,1 масс. % до приблизительно 10 масс. %, предпочтительно в количестве от приблизительно 0,5 масс. % до приблизительно 2 масс. %, причем массовое процентное содержание рассчитано исходя из общей массы отверждаемой под воздействием УФ-светодиодного излучения краски для влажной офсетной печати, описанной в данном документе.

[075] Радикально-отверждаемая под воздействием УФ-светодиодного излучения краска для офсетной печати, описанная в данном документе, может дополнительно содержать добавки, которые включают, но без ограничения, один или более из следующих компонентов, а также их комбинаций: коинициаторы, противоосаждающие средства, пеногасители, поверхностно-активные вещества и другие технологические добавки, известные в области красок для офсетной печати. Добавки, описанные в данном документе, могут присутствовать в отверждаемых под воздействием УФ-светодиодного излучения красках для влажной офсетной печати, описанных в данном документе, в количествах и в формах, известных из уровня техники, в том числе в форме так называемых наноматериалов, у которых по меньшей мере один из размеров частиц находится в диапазоне 1-1000 нм.

[076] Радикально-отверждаемые под воздействием УФ-светодиодного излучения краски для офсетной печати можно наносить с помощью процессов офсетной печати, описанных в данном документе, для печати признаков на защищаемых документах при высокой скорости, при этом указанные отверждаемые под воздействием УФ-светодиодного излучения краски для офсетной печати обладают хорошими свойствами отверждения и, после отверждения, позволяют производить печатные признаки, при этом указанные печатные признаки демонстрируют низкую флуоресценцию или ее отсутствие. Преимущественно, это позволяет производителям красок использовать в своих интересах эту низкую флуоресценцию или ее отсутствие для производства красок с низкой флуоресценцией или ее отсутствием и напечатанных признаков с низкой флуоресценцией или ее отсутствием. Также в данном документе описаны композиции, содержащие радикально-отверждаемую под воздействием УФ-светодиодного излучения краску для офсетной печати, описанную в данном документе, и один или более люминесцентных материалов. Используя преимущество низкой флуоресценции или ее отсутствия радикально-отверждаемых под воздействием УФ-светодиодного излучения красок для офсетной печати, это позволяет создавать композиции, содержащие один или более люминесцентных материалов, описанных в данном документе, при этом характеристики люминесценции указанных композиций были намеренно и свободно выбраны, поскольку между компонентами радикально-отверждаемой под воздействием УФ-светодиодного излучения краски для офсетной печати и включенными люминесцентными материалами не происходит маскирование или интерференция. Иными словами, радикально-отверждаемые под воздействием УФ-светодиодного излучения краски для офсетной печати можно использовать для получения композиций и защитных признаков с целевыми флуоресцентными свойствами (т. е. флуоресцентными свойствами, которые являются прогнозируемыми и неизменяемыми компонентами/ингредиентами самой радикально-отверждаемой под воздействием УФ-светодиодного излучения краски для офсетной печати). Иными словами, комбинация в радикально-отверждаемых под воздействием УФ-светодиодного излучения красках для офсетной печати, описанных в данном документе, одного или более радикально-отверждаемых (мет)акрилатных соединений, описанных в данном документе, одного или более фотоинициаторов формулы (I), описанных в данном документе, одного или более аминосодержащих соединений, выбранных из группы, состоящей из соединений аминобензоата, акрилатов на основе модифицированного амином полиэфира и их комбинаций, описанных в данном документе, одного или более неорганических пигментов и/или одного или более органических пигментов, описанных в данном документе, одного или более наполнителей и/или разбавителей и необязательных добавок, описанных в данном документе, собственно позволяет производить краски с низкой флуоресценцией или ее отсутствием и печатные признаки с низкой флуоресценцией или ее отсутствием или позволяет производить композиции с одним или более люминесцентными соединениями и печатные защитные признаки с низкой флуоресценцией или ее отсутствием с контролируемыми и желаемыми люминесцентными свойствами путем включения люминесцентных материалов, описанных в данном документе, при этом люминесцентные свойства указанных люминесцентных соединений по существу не изменяются или маскируются радикально-отверждаемыми под воздействием УФ-светодиодного излучения красками для офсетной печати, описанными в данном документе. Более того, и вследствие низкой флуоресценции или ее отсутствия радикально-отверждаемых под воздействием УФ-светодиодного излучения красок для офсетной печати, количество одного или более люминесцентных материалов, описанных в данном документе, можно уменьшить, тем самым уменьшая расходы на изготовление и производство.

[077] Типичные примеры люминесцентных материалов включают без ограничения неорганические пигменты (такие как неорганические кристаллы-хозяева или стекла, легированные люминесцентными ионами), органические и металлоорганические (комплексы люминесцентного(-ых) иона(-ов) с органическим(-и) лигандом(-ами)) вещества. При наличии, один или более люминесцентных материалов, являющихся неорганическими пигментами, предпочтительно присутствуют в композиции, содержащей радикально-отверждаемую под воздействием УФ-светодиодного излучения краску для офсетной печати, описанную в данном документе, в количестве от приблизительно 1 до приблизительно 40 масс. %, причем массовое процентное содержание рассчитано исходя из общей массы композиции, описанной в данном документе. При наличии, один или более люминесцентных материалов, являющихся органическими соединениями, предпочтительно присутствуют в композиции, содержащей радикально-отверждаемую под воздействием УФ-светодиодного излучения краску для офсетной печати, описанную в данном документе, в количестве от приблизительно 1 до приблизительно 20 масс. %, причем массовое процентное содержание рассчитано исходя из общей массы композиции, описанной в данном документе. Люминесцентные соединения могут поглощать определенные типы энергии, воздействующей на них, и, следовательно, испускать по меньшей мере частично данную поглощенную энергию в качестве электромагнитного излучения. Люминесцентные соединения обнаруживаются посредством подвергания воздействию определенной длины волны света и анализа испускаемого света. Люминесцентные соединения преобразования с понижением частоты поглощают электромагнитное излучение на более высокой частоте (более короткой длине волны) и по меньшей мере частично повторно испускают его на более низкой частоте (более длинной длине волны). Люминесцентные соединения преобразования с повышением частоты поглощают электромагнитное излучение на более низкой частоте и по меньшей мере частично повторно испускают его на более высокой частоте. Испускание света люминесцентными материалами возникает вследствие возбужденных состояний атомов или молекул. Радиоактивный распад таких возбужденных состояний имеет характерное время распада, которое зависит от материала и может варьировать в диапазоне от 10-9 секунд вплоть до нескольких часов. Как флуоресцентные, так и фосфоресцентные соединения являются подходящими для настоящего изобретения. В случае фосфоресцентных соединений, измерение характеристик распада также может быть выполнено и использовано в качестве машиночитаемого признака. Люминесцентные соединения в виде пигмента широко использовались в красках (см. документы US 6565770, WO 2008/033059 A2 и WO 2008/092522 A1). Примеры люминесцентных соединений включают, помимо всего прочего, сульфиды, оксисульфиды, фосфаты, ванадаты и т. д. нелюминесцентных катионов, легированных по меньшей мере одним люминесцентным катионом, выбранным из группы, состоящей из переходного металла и редкоземельных ионов; комплексы редкоземельных оксисульфидов и редкоземельных металлов, такие как описанные в документах WO 2009/005733 A2 или US 7108742. Примеры материалов неорганических соединений включают без ограничения La2O2S:Eu, ZnSiO4:Mn и YVO4:Nd.

[078] Радикально-отверждаемую под воздействием УФ-светодиодного излучения краску для офсетной печати, описанную в данном документе, как правило, получают способом, включающим этап диспергирования, смешивания и/или измельчения всех ингредиентов, описанных в данном документе, т. е. одного или более фотоинициаторов формулы (I), описанных в данном документе, одного или более аминосодержащих соединений, описанных в данном документе, одного или более неорганических пигментов и/или одного или более органических пигментов, описанных в данном документе, одного или более наполнителей и/или разбавителей, описанных в данном документе, одного или более восков, описанных в данном документе, при наличии, и одной или более добавок, при наличии, в присутствии (мет)акрилатных соединений, описанных в данном документе, тем самым образуя пастообразные композиции. Один или более фотоинициаторов, описанных в данном документе, можно добавлять в краску либо во время этапа диспергирования/смешивания/измельчения всех других ингредиентов, либо можно добавлять на последней стадии.

[079] Также в данном документе раскрыты краски для глубокой печати (также упоминаемые в данной области техники как краски для печати «тиснением гравированным стальным штампом» или «с помощью гравированных медных форм») и краски для высокой печати, содержащие ингредиенты, описанные в данном документе, в частности содержащие i) один или более фотоинициаторов формулы (I), описанных в данном документе, и ii) одно или более аминосодержащих соединений, выбранных из группы, состоящей из соединений аминобензоата, среднемассовая молекулярная масса которых составляет по меньшей мере 400 г/моль экв. PS, акрилатов на основе модифицированного амином полиэфира, среднемассовая молекулярная масса которых составляет по меньшей мере 400 г/моль экв. PS, и их комбинаций.

[080] Как описано в данном документе, способ получения печатного признака, описанного в данном документе, включает этап a) нанесения радикально-отверждаемой под воздействием УФ-светодиодного излучения краски для офсетной печати, описанной в данном документе, офсетной печатью с образованием слоя краски, и b) подвергания слоя краски воздействию УФ-света при дозе по меньшей мере 150 мДж/см2, предпочтительно по меньшей мере 200 мДж/см2, для отверждения указанного слоя краски источником УФ-светодиодного излучения. Как описано в данном документе далее, дозу могут измерять при помощи радиометра UV Power Puck® II от компании EIT, Inc., США.

[081] Радикально-отверждаемые под воздействием УФ-светодиодного излучения краски для офсетной печати, описанные в данном документе, наносят с помощью этапа офсетной печати, при этом указанная офсетная печать может представлять собой процесс влажной печати или процесс сухой офсетной печати.

[082] Также в данном документе описаны способы, в которых радикально-отверждаемую под воздействием УФ-светодиодного излучения краску для офсетной печати, описанную в данном документе, наносят офсетной печатью, описанной в данном документе, на обе стороны подложки, описанной в данном документе, с образованием слоев краски на обеих сторонах, т. е. одну и ту же радикально-отверждаемую под воздействием УФ-светодиодного излучения краску для офсетной печати используют на обеих сторонах. Также в данном документе описаны способы, в которых две радикально-отверждаемые под воздействием УФ-светодиодного излучения краски для офсетной печати, описанные в данном документе, наносят офсетной печатью, описанной в данном документе, на обе стороны подложки, описанной в данном документе, с образованием слоев краски на обеих сторонах, т. е. две разные радикально-отверждаемые под воздействием УФ-светодиодного излучения краски для офсетной печати используют на обеих сторонах.

[083] Предпочтительно, этап b), описанный в данном документе, состоит из подвергания слоя краски воздействию одной или более длин волн в диапазоне от 355 до 415 нм. Как правило, коммерчески доступные источники УФ-светодиодного излучения используют одну или более длин волн, таких как, например, 365 нм, 385 нм, 395 нм и 405 нм. Согласно одному варианту осуществления этап b), описанный в данном документе, состоит из подвергания слоя краски воздействию одной длины волны в диапазоне от 355 до 415 нм.

[084] Способ, описанный в данном документе, является особенно подходящим для получения одного или более печатных признаков на подложке, которая является подходящей в качестве подложки для защищаемого документа. Один или более печатных признаков, описанных в данном документе, могут быть непрерывными или прерывистыми.

[085] Согласно варианту осуществления один или более признаков, описанных в данном документе, используют в качестве фоновых признаков или рисунков на подложке или защищаемом документе (либо на одной, либо на обеих сторонах) для последующей печати или обработки другими красками или защитными признаками. Это означает, что поверх одного или более признаков, напечатанных с помощью процесса офсетной печати, описанного в данном документе, радикально-отверждаемой под воздействием УФ-светодиодного излучения краской для офсетной печати, описанной в данном документе, дополнительные признаки печатают или наносят в одном или более дополнительных тиражах печати или нанесения, и один или более признаков, напечатанных с помощью процесса офсетной печати, описанного в данном документе, и дополнительные признаки по меньшей мере частично перекрываются. На фиг. 1 изображена лицевая сторона защищаемого документа, в частности банкноты, которая содержит нефлуоресцентную подложку (1) для изготовления фидуциарных денег, такую как подложка на основе целлюлозы или полимерная подложка, фоновый рисунок (10), состоящий из печатного признака, полученного путем нанесения и отверждения радикально-отверждаемых под воздействием УФ-светодиодного излучения красок для офсетной печати, описанных в данном документе, с помощью этапа офсетной печати, описанного в данном документе, и дополнительных защитных элементов (2-9). Указанные защитные элементы (2-9) включают, помимо прочего, серийный номер (2), напечатанный высокой печатью, защитную нить (3), флуоресцентный или фосфоресцентный патч (4), защитный признак (5), напечатанный глубокой печатью, прозрачное окно (6), цифру (7), флуоресцентные защитные нити (8) и печатный люминесцентный защитный элемент (9). Флуоресцентные волокна (8) включаются в подложку во время ее подготовки, а флуоресцентный или фосфоресцентный патч (4) может быть либо нанесен в отдельном процессе, либо напечатан на последующем этапе. Печатный люминесцентный защитный элемент (9) может быть основан на композиции, описанной в данном документе и содержащей радикально-отверждаемую под воздействием УФ-светодиодного излучения краску для офсетной печати, описанную в данном документе, и один или более люминесцентных материалов, описанных в данном документе, и может быть нанесен офсетной печатью во время того же этапа печати, что и фоновый рисунок, выполненный радикально-отверждаемыми под воздействием УФ-светодиодного излучения красками для офсетной печати, описанными в данном документе.

[086] Согласно одному варианту осуществления общая поверхность одного или более печатных признаков, описанных в данном документе и состоящих из отвержденного слоя краски, выполненного радикально-отверждаемой под воздействием УФ-светодиодного излучения краской для офсетной печати, описанной в данном документе (т. е. добавление поверхности всех одного или более печатных признаков, описанных в данном документе), больше или равна приблизительно 50%, предпочтительно больше или равна приблизительно 60%, еще более предпочтительно больше или равна приблизительно 70%, причем % рассчитано исходя из общей поверхности подложки, на которой присутствуют указанные один или более печатных признаков. Один или более печатных признаков можно наносить на одну или на обе стороны подложки, описанной в данном документе. Когда обе стороны подложки содержат один или более печатных признаков, описанных в данном документе, процентное содержание, описанное в данном документе, т. е. большее или равное приблизительно 50%, предпочтительно большее или равное приблизительно 60%, еще более предпочтительно большее или равное приблизительно 70%, может быть одинаковым для обеих сторон или может быть разным для обеих сторон.

[087] Типичные примеры подложки включают без ограничения подложки на основе волокон, предпочтительно подложки на основе целлюлозных волокон, таких как бумага, содержащие бумагу материалы, подложки на основе полимеров, композитные материалы (например, подложки, полученные путем ламинирования слоев бумаги и полимерных пленок), металлы или металлизированные материалы, стекла, виды керамики и их комбинации. Типичные примеры подложек на основе полимеров представляют собой подложки, выполненные из гомо- и сополимеров на основе этилена или пропилена, таких как полипропилен (PP) и полиэтилен (PE), поликарбонат (PC), поливинилхлорид (PVC) и полиэтилентерефталат (PET). Как известно специалисту в данной области техники, подложки на основе полимеров не демонстрируют флуоресценцию. Типичные примеры композитных материалов включают без ограничения многослойные структуры (например, ламинаты) по меньшей мере одного бумажного слоя и по меньшей мере одной полимерной пленки, включая полимеры, такие как описанные в данном документе выше, а также подложки, подобные бумаге, на основе смесей целлюлозных волокон и синтетических полимерных волокон. В одном предпочтительном варианте осуществления признаки печатают на подложке, выбранной из офсетной бумаги и бумаги для изготовления фидуциарных денег. Офсетную бумагу изготавливают из целлюлозы из древесной массы со свойствами, которые делают бумагу подходящей для офсетной печати, включая стабильность размеров, устойчивость к скручиванию, высокую поверхностную прочность, поверхность, свободную от посторонних частиц, и высокий уровень устойчивости к проникновению влаги. Как правило, основная масса офсетной бумаги составляет от 30 г/м2 до 250 г/м2, предпочтительно от 50 г/м2 до 150 г/м2.

[088] Бумагу для изготовления фидуциарных денег (также упоминаемую в данной области техники как защитная бумага) изготавливают из целлюлозы, не содержащей лигнина, но содержащей хлопок. По сравнению с офсетными бумагами дополнительные свойства бумаг для изготовления фидуциарных денег включают повышенную механическую защищенность (особенно сопротивление разрыву и износу), устойчивость к загрязнению и защиту от разрушения микроорганизмами (бактериями, вирусами и грибками). Механическую защищенность бумаг для изготовления фидуциарных денег можно повышать за счет введения в бумажную (на хлопковой основе) пульпу синтетических волокон, а предупреждающие загрязнение свойства можно улучшать путем нанесения покрытия или печати предупреждающего загрязнение полимерного слоя перед печатью или нанесением признаков банкноты. Как правило, обработка биоцидами сочетается с предупреждающей загрязнение обработкой. Как правило, основная масса бумаги для изготовления фидуциарных денег составляет от 50 до 150 г/м2, предпочтительно от 80 до 120 г/м2.

[089] Кроме того, использование бумаги для изготовления фидуциарных денег вместо офсетной бумаги добавляет дополнительный элемент защиты от подделок, поскольку бумагу для изготовления фидуциарных денег изготавливают на специальных бумагоделательных машинах, которые доступны только производителям защитной бумаги, а цепь поставок защищена таким образом, чтобы предотвратить передачу бумаги для изготовления фидуциарных денег фальшивомонетчикам. В отличие от обычной бумаги для письма, бумага для изготовления фидуциарных денег не содержит оптических отбеливателей. Указанные оптические отбеливатели используются для придания более белого и яркого вида обычной бумаге для письма, но в то же время демонстрируют сильную синюю флуоресценцию при воздействии УФ-света, в то время как бумага для изготовления фидуциарных денег остается сравнительно темной при аналогичном облучении. Бумага, лишенная оптических отбеливателей, недоступна за пределами области защиты, а это означает, что ярко-синяя флуоресценция в УФ-свете уже является признаком подделки (Optical Document Security, третье изд., 2005, Artech House, 3.2.5 стр. 71).

[090] Согласно одному варианту осуществления подложка, описанная в данном документе, представляет собой нефлуоресцентную подложку, предпочтительно нефлуоресцентную подложку на основе полимера или бумагу для изготовления фидуциарных денег без оптического отбеливателя.

[091] Термин «защищаемый документ» относится к документу, имеющему ценность, что делает его потенциально подверженным попыткам подделки или незаконного воспроизведения, и который обычно защищен от подделки или фальсификации одним или более признаками. Примеры защищаемых документов включают без ограничения ценные документы и ценные коммерческие товары. Типичный пример ценных документов включает без ограничения банкноты, юридические документы, билеты, чеки, ваучеры, гербовые марки и акцизные марки, соглашения и тому подобное, документы, удостоверяющие личность, такие как паспорта, удостоверения личности, визы, банковские карты, кредитные карты, транзакционные карты, документы для получения доступа, знаки защиты, входные билеты, транспортные билеты или документы, дающие право на проезд в общественном транспорте, и тому подобное.

[092] Термин «ценный коммерческий товар» относится к упаковочному материалу, в частности для фармацевтической, косметической, электронной или пищевой промышленности, который может содержать один или более признаков для гарантирования подлинности содержимого упаковки, как, например, подлинные лекарственные средства. Пример данного упаковочного материала включает без ограничения этикетки, такие как аутентификационные товарные этикетки, акцизные марки, этикетки и печати с защитой от вскрытия. Защищаемый документ, описанный в данном документе, может дополнительно содержать один или более дополнительных слоев или покрытий либо под, либо поверх печатного признака, описанного в данном документе. В случае недостаточной адгезии между подложкой и печатным признаком, описанным в данном документе и состоящим из отвержденного слоя краски, выполненного радикально-отверждаемой под воздействием УФ-светодиодного излучения краской для офсетной печати, описанной в данном документе, например, вследствие материала подложки, неровности поверхности или неоднородности поверхности, между подложкой и печатным признаком можно наносить дополнительный слой, покрытие или грунтовку, как известно специалистам в данном области техники.

[093] С целью дополнительного увеличения уровня защиты и защищенности от подделки и незаконного воспроизведения защищаемых документов подложка может содержать водяные знаки, защитные нити, волокна, конфетти, люминесцентные соединения, окна, фольгу, переводные картинки, покрытия и их комбинации.

[094] Подложка, описанная в данном документе, на которую наносят радикально-отверждаемую под воздействием УФ-светодиодного излучения краску для офсетной печати, описанную в данном документе, может состоять из собственно части защищаемого документа, или в качестве альтернативы, радикально-отверждаемую под воздействием УФ-светодиодного излучения краску для офсетной печати, описанную в данном документе, наносят на вспомогательную подложку, такую как, например, защитная нить, защитная полоска, фольга, переводная картинка или этикета, а затем на отдельном этапе переносят на защищаемый документ.

[095] Также в данном документе описаны применения одного или более фотоинициаторов, описанных в данном документе, для получения радикально-отверждаемой под воздействием УФ-светодиодного излучения краски для офсетной печати, описанной в данном документе, причем указанная радикально-отверждаемая под воздействием УФ-светодиодного излучения краска для офсетной печати является подходящей для печати одного или более признаков на защищаемом документе.

Пример

[096] Настоящее изобретение будет далее описано более подробно со ссылкой на неограничивающие примеры. Далее примеры более подробно раскрывают получение радикально-отверждаемых под воздействием УФ-светодиодного излучения красок для печати и использование фотоинициаторов и аминосодержащих соединений согласно настоящему изобретению, а также сравнительные данные.

Фотоинициаторы и аминосодержащие соединения

Таблица 1A

Концентрация тиоксантонового фрагмента в фотоинициаторах P1-P3: определение с помощью ED-XRF

[097] Молярную концентрацию тиоксантонового фрагмента определяли с помощью ED-XRF (Spectro XEPOS) с использованием сигнала атома серы. Для каждого из фотоинициаторов P1-P3 из таблицы 1A получали три раствора по 50 мл с концентрацией 2 мг/мл соответствующего фотоинициатора в ацетонитриле (Sigma-Aldrich, 99,9%). Из каждого раствора отбирали образцы по 5 мл и добавляли возрастающие количества раствора Genocure ITX (Rahn, 99,3% согласно сертификату анализа) в ацетонитриле с концентрацией 5 мг/мл. Каждый образец доводили до 10 мл ацетонитрилом. Получали следующие растворы, представленные в таблице 1В.

Таблица 1B

[098] Каждый образец независимо подвергали измерению ED-XRF (Spectro XEPOS) и записывали спектр. Холостое измерение (чистый ацетонитрил) получали из всех спектров. Для каждой серии образцов (тройное измерение) измеренная интенсивность флуоресценции при 2,31 кэВ (пик S Kα1) отображалась как функция концентрации добавленного ITX, и выполнялась линейная регрессия. Отрезок по оси Х (абсцисса в начале координат) линии регрессии указывает на концентрацию тиоксантонового фрагмента, присутствующую на уровне 0 в каждом образце. Средние значения (среднее из трех измерений) представлены в таблице 1А. Соответствующее среднее значение использовали для определения концентрации тиоксантона в каждом из фотоинициаторов P1-P3 в ммоль/г и для расчета количества фотоинициатора P1-P3, которое нужно добавить для получения примеров и сравнительных примеров.

Таблица 1C

Концентрация азота в аминосодержащих соединениях S1-S3: определение потенциометрическим титрованием

[099] Молярную концентрацию азота в аминосодержащих соединениях S1-S3 из таблицы 1C получали потенциометрическим титрованием хлорной кислотой. Для каждого соединения S1-S3 получали три образца по 50 мл с концентрацией 3 мг/мл в дихлорметане (Acros, 99,99%). 5 мл каждого образца переносили в мерную колбу и доводили до 50 мл дихлорметаном. Эти растворы титровали 0,01 М раствором хлорной кислоты в ледяной уксусной кислоте, полученной путем смешивания 9 частей ледяной уксусной кислоты (Sigma-Aldrich, 99%) и 1 части раствора хлорной кислоты (Sigma-Aldrich, 0,1 моль/л в ледяной уксусной кислоте). Титрование проводили на приборе Metrohm Titrando 905, оснащенном кондуктометром 826 и электродом Solvotrode для неводных растворов (насыщенный LiCl в этаноле). Точку перегиба определяли графически. Средние значения (в ммоль/г) трех измерений представлены в таблице 1C.

Измерение среднемассовой молекулярной массы

[0100] Среднемассовую молекулярную массу фотоинициаторов P1 и P3 и аминосодержащих соединений S2 и S3 независимо определяли с помощью GPC (гель-проникающей хроматографии) согласно методу, описанному далее (на основе метода испытаний OECD 118):

использовали Malvern Viskotek GPCmax. Устройство было оснащено изократическим насосом, дегазатором, автосамплером и тройным детектором TDA 302, состоящим из дифференциального рефрактометра, вискозиметра и детектора двухуглового светорассеяния (7° и 90°). Для этого конкретного измерения использовали только дифференциальный рефрактометр. Калибровочную кривую (log(молекулярная масса) = f(удерживаемый объем)) построили с использованием шести стандартов полистирола (с молекулярными массами в диапазоне от 472 до 512000 г/моль). Две колонки Viskotek TM4008L (длина колонки 30,0 см, внутренний диаметр 8,0 мм) соединяли УФ-светодиодами последовательно. Неподвижная фаза состояла из сополимера стирола и дивинилбензола с размером частиц 6 мкм и максимальным размером пор 3000 Å. Во время измерения температуру фиксировали на уровне 35°C. Анализируемые образцы содержали 10 мг/мл исследуемых соединений, растворенных в THF (Acros, 99,9%, безводный), вводили при скорости 1 мл/мин. Молекулярную массу соединений рассчитывали по хроматограмме как среднемассовую молекулярную массу, эквивалентную полистиролу (PS экв. MW), с уровнем достоверности 95% и средним значением трех измерений одного и того же раствора по следующей формуле:

где Hi – это уровень сигнала детектора от базовой линии для удерживаемого объема Vi, Mi – это молекулярная масса доли соединения при удерживаемом объеме Vi и n – это число точек данных. Omnisec 5.12, поставляемый с устройством, использовали в качестве программного обеспечения.

Радикально-отверждаемые под воздействием УФ-светодиодного излучения краски для офсетной печати, содержащие цветные пигменты и печатные признаки, получаемые из них (C1-C4 и E1-E2)

Таблица 2A

Радикально-отверждаемые под воздействием УФ-светодиодного излучения краски для офсетной печати, содержащие цветные пигменты и люминесцентные пигменты, и печатные признаки, получаемые из них (C5-C8 и E3-E4)

Таблица 2B

[0101] Радикально-отверждаемые под воздействием УФ-светодиодного излучения краски для офсетной печати из таблицы 2A получали для оценки эффективности фотоинициаторов P1-P4 (таблица 1A) и аминных синергистов S1-S3 (таблица 1C) для отверждения слоев, напечатанных указанными красками, а также для оценки их влияния на остаточную флуоресценцию напечатанных и отвержденных слоев.

[0102] Радикально-отверждаемые под воздействием УФ-светодиодного излучения краски для офсетной печати из таблицы 2B получали для оценки эффективности фотоинициаторов P1, P3 и P4 (таблица 1A) и аминных синергистов S2 (таблица 1C) для отверждения слоев, напечатанных указанными красками, а также для оценки их влияния на измеренную люминесценцию напечатанных и отвержденных слоев, содержащих либо флуоресцентный пигмент (RADGLO VSFX02 UV GREEN), либо фосфоресцентный пигмент (LUMILUX GREEN CD 140 FS 52155 (Honeywell)). Цель состояла в том, чтобы установить, влияет ли остаточная флуоресценция напечатанных и отвержденных слоев из-за присутствия фотоинициатора (P1, P3 и P4, таблица 1A) на сигналы люминесценции люминесцентных пигментов.

[0103] Радикально-отверждаемые под воздействием УФ-светодиодного излучения краски для офсетной печати из таблиц 2A-B независимо получали путем смешивания с помощью SpeedMixer (DAC 150 SP CM31 от компании Hauschild Engineering) при комнатной температуре ингредиентов, перечисленных в таблицах 2A-B, за исключением фотоинициаторов P1-P4. Полученные в результате пасты независимо измельчали на трехвалковой мельнице SDY300 за три прохода (первый проход под давлением 5 бар, второй и третий проход при давлении 11 бар).

[0104] В полученные таким образом пасты независимо добавляли фотоинициаторы P1-P4 и полученные таким образом краски смешивали в SpeedMixer (DAC 150 SP CM31 от компании Hauschild Engineering) со скоростью 2500 об/мин в течение трех минут при комнатной температуре, измельчали на мельнице Loher (3 x 50 оборотов с массой 7,5 кг) и снова смешивали с помощью SpeedMixer в течение трех минут.

[0105] Значения вязкости радикально-отверждаемых под воздействием УФ-светодиодного излучения красок для офсетной печати из таблиц 2A-B независимо измеряли при 40˚C и 1000 c-1 на реометре Haake Roto-Visco RV1 с геометрией «конус» 2 см 0,5°, увеличение линейной скорости 0-1000 с-1 в течение 30 секунд, и они представлены в таблицах 2A-B.

Эффективность отверждения

[0106] Радикально-отверждаемые под воздействием УФ-светодиодного излучения краски для офсетной печати из таблиц 2A-B независимо печатали в виде признака (4,5 см x 23 см) на полимерной подложке для изготовления фидуциарных денег (GuardianTM, CCL Secure) с помощью под давлением 1000 Н (T = 22°C, относительная влажность = 54%).

[0107] Полученные напечатанные слои независимо отверждали УФ-светодиодной УФ-лампой (LUV3 385 нм, IST) при дозе приблизительно 200 мДж/см2. Дозу облучения определяли со следующими деталями:

источник облучения (LUV3 385 нм, IST) был включен. Радиометр Power Puck® II (EIT, Inc., США) размещали на конвейерной ленте облучающего устройства, предназначенного для приема облучаемых образцов. Power Puck®, оснащенный четырьмя фильтрами (UVA, UVB, UVC и UVA2), облучали источником облучения при различных скоростях ленты. Сохраняли только дозу, полученную в области UVA2. Определяли, что скорость конвейерной ленты для получения облучения приблизительно 200 мДж/см2 составляла приблизительно 36 м/мин (среднее значение двух измеренных значений).

[0108] Печатные признаки отверждали при скорости 36 м/мин (соответствующей дозе приблизительно 200 мДж/см2) с помощью УФ-светодиодной УФ-лампы (LUV3 385 нм, IST). Точное количество напечатанных и отвержденных слоев рассчитывали для каждого образца путем взвешивания подложки до и после печати и отверждения. Масса напечатанных и отвержденных слоев всех напечатанных признаков составляла 1 г/м2 ± 3%.

[0109] Для каждого образца проводили испытание на отверждение путем помещения кусочка пустой подложки (т. е. подложки без печати) на лицевую сторону подложки, несущей напечатанный и отвержденный слой, и путем подвергания сформированной таким образом сборки противодавлению в 3,4 бар при 65°C с помощью ORMAG Intaglio Proof Press. Подложку, несущую напечатанный и отвержденный слой, и пустую подложку разделяли и оптическую плотность пустой подложки проверяли на предмет переноса краски (перетиснения). Получали два бланка для определения двух возможных крайних значений поведения при отверждении. Первый бланк для определения максимальной эффективности (эффективность отверждения 100%) получали путем измерения оптической плотности образца подложки без печати, тогда как минимальную эффективность (эффективность отверждения 0%) определяли путем измерения оптической плотности образца, полученного противодавлением полностью неотвежденного слоя краски (без прохода под УФ-светодиодной УФ-лампой) сразу после печати. Максимальную оптическую плотность (соответствующую эффективности отверждения 0%) определяли как ODmax, в то время как минимальную оптическую плотность (соответствующую эффективности отверждения 100%) определяли как ODmin. Фактическую эффективность отверждения (эффективность отверждения для каждого образца в %) определяли как OD, и рассчитывали как

[0110] В таблице 3 предусмотрены результаты эффективности отверждения напечатанного слоя, полученного из радикально-отверждаемых под воздействием УФ-светодиодного излучения красок для офсетной печати из таблиц 2A-B.

Таблица 3

[0111] Как показано в таблице 3, сравнительная краска для офсетной печати 4, 7 и 8 (С4, С7 и С8), содержащая фосфиноксид в качестве фотоинициатора, страдала от очень плохой эффективности отверждения.

[0112] Как показано в таблице 3, сравнительная краска для офсетной печати 3 (С3), содержащая фотоинициатор в виде тиоксантона формулы (I), среднемассовая молекулярная масса (MW) которого составляет более 900 г/моль экв. PS, а также содержащая бензоатное соединение в качестве аминосодержащего соединение, молекулярная масса которого составляет менее 400 г/моль экв. PS (в частности молекулярная масса 277,4, как указано поставщиком), страдала от средней эффективности отверждения.

[0113] Как показано в таблице 3, сравнительные краски для офсетной печати 1, 2, 5 и 6 (С1, С2, С5 и С6), т. е. краски, содержащие фотоинициатор в виде тиоксантона формулы (I), отличной от формулы (I), среднемассовая молекулярная масса (MW) которого составляет менее 900 г/моль экв. PS, и содержащие акрилатное соединение на основе модифицированного амином полиэфира в качестве аминосодержащего соединения, молекулярная масса которого составляет более 400 г/моль экв. PS (в частности приблизительно 4000 г/моль экв. PS), демонстрировали среднюю или хорошую эффективность отверждения, тогда как краски для офсетной печати согласно настоящему изобретению (Е1-Е4), т. е. краски, содержащие фотоинициатор в виде тиоксантона формулы (I), среднемассовая молекулярная масса (MW) которого составляет более 900 г/моль экв. PS, и содержащие либо акрилатное соединение на основе модифицированного амином полиэфира в качестве аминосодержащего соединения, молекулярная масса которого составляет более 400 г/моль экв. PS (в частности приблизительно 4000 г/моль экв. PS), либо бензоатное соединение в качестве аминосодержащего соединения, молекулярная масса которого составляет более 400 г/моль экв. PS (в частности приблизительно 1000 г/моль экв. PS), демонстрировали хорошую эффективность отверждения.

Измерения флуоресценции

[0114] Радикально-отверждаемые под воздействием УФ-светодиодного излучения краски для офсетной печати из таблиц 2A-B независимо печатали в виде печатного признака (4,5 см x 23 см) на хлопковой подложке для изготовления фидуциарных денег (бумага BNP от компании Louisenthal, 100 г/м2) на при 800 Н. Полученные напечатанные слои независимо отверждали УФ-светодиодной УФ-лампой (LUV3 385 нм, IST) при дозе 200 мДж/см2(36 м/мин). Точное количество напечатанных и отвержденных слоев рассчитывали для каждого образца путем взвешивания подложки до и после печати и отверждения. Масса напечатанных и отвержденных слоев всех напечатанных признаков составляла 2 г/м2 ± 3%.

[0115] Флуоресценцию напечатанных и отвержденных слоев, выполненных красками из таблиц 2А-В, оценивали с использованием метода, как описано в данном документе далее. Результаты испытаний на флуоресценцию представлены в таблицах 4A-B.

Флуоресценция лицевой стороны (С1-С8 и Е1-Е4)

[0116] Остаточную флуоресценцию напечатанных и отвержденных слоев оценивали с помощью устройства Fluorolog II (Spex) при 254 нм и 365 нм, используя следующие параметры:

- Детектор: R928/0115/0381

- Угол: 30°

- Положение: лицевая сторона

- Щель возбуждения: 2 нм (254 нм) и 1,2 нм (365 нм)

- Покрываемая длина волны: 400-700 нм (шаг 1 нм)

- Щель обнаружения: 1 нм (254 нм) и 0,6 нм (365 нм).

[0117] Сначала измеряли спектр флуоресценции кусочка пустой подложки (т. е. подложки без печати). Затем записывали спектр флуоресценции напечатанных и отвержденных слоев. По полученному спектру определяли максимум интенсивности флуоресценции, рассчитывали флуоресценцию пустой подложки при той же длине волны и сообщали полученное значение с соответствующей длиной волны. Это соответствует максимальной флуоресценции лицевой стороны (печатной стороны).

[0118] Люминесценцию лицевой стороны напечатанных и отвержденных слоев, выполненных красками из таблицы 2В, оценивали для определения влияния остаточной флуоресценции напечатанного и отвержденного слоя на собственно интенсивность люминесценции добавленного люминесцентного соединения. УФ-кабинет CAMAG 4 (оснащенный двумя УФ-трубками на 254 нм и 366 нм, по 8 Вт каждая) использовали для наблюдения невооруженным глазом воспринимаемого цвета напечатанных и отвержденных защитных признаков. Измеренная интенсивность люминесценции и наблюдаемый цвет представлены в таблице 4В.

Флуоресценция обратной стороны (C1-C4 и E1-E2)

[0119] Каждый из напечатанных и отвержденных слоев помещали на кусочек равного размера пустой подложки (т. е. подложки без печати), так что напечатанная поверхность (поверхность «лицевая сторона» в таблице 4) соприкасалась с пустой подложкой. Оба кусочка удерживали между двумя стеклянными пластинами (20 см х 15 см х 3 мм), и эту сборку помещали горизонтально в печь при 60°C и 50% относительной влажности в течение 72 часов. Затем выполняли два измерения флуоресценции, как описано в данном документе:

флуоресценция обратной стороны напечатанного слоя: результат (среднее значение трех измерений в трех разных местах обратной стороны) отмечен как «обратная сторона напечатанного образца» в табл. 4;

флуоресценция обратной стороны ненапечатанного образца: результат (среднее значение трех измерений в трех разных местах обратной стороны) отмечен как «обратная сторона ненапечатанного образца» в таблице 4 и свидетельствует о переносе флуоресцентных соединений с напечатанного слоя одного листа на обратную сторону листа, лежащего на нем.

[0120] Во всех случаях сначала измеряли спектр флуоресценции пустой подложки (т. е. подложки без печати), а результат определяли по флуоресценции напечатанных и отвержденных слоев.

Таблица 4A

a) абсолютные значения даны в фотонах/секунду; значения в скобках относятся к интенсивности флуоресценции сравнительного примера C2 (ITX), используемого в качестве контроля (контр. = 100%),

b) при возбуждении при 365 нм.

Таблица 4B

a) абсолютные значения даны в фотонах/секунду; значения в скобках относятся к интенсивности люминесценции сравнительного примера C5 отн. C6 (фотоинициатор P1), используемого в качестве контроля (контр. = 100%)

[0121] Как показано в таблице 4А, печатный признак, выполненный сравнительной краской для офсетной печати 4 (С4), содержащей фосфиноксид в качестве фотоинициатора, демонстрировал очень низкую флуоресценцию на лицевой и обратной сторонах.

[0122] Как показано в таблице 4А, печатный признак, выполненный сравнительной краской для офсетной печати 3 (С3), содержащей фотоинициатор в виде тиоксантона формулы (I), а также содержащей бензоатное соединение в качестве аминосодержащего соединения, молекулярная масса которого составляет менее 400 г/моль экв. PS (в частности молекулярная масса 277,4, как указано поставщиком), демонстрировал низкую флуоресценцию.

[0123] Как показано в таблице 4А, печатный признак, выполненный сравнительными красками для офсетной печати 1 и 2 (С1 и С2), т. е. красками, содержащими фотоинициатор в виде тиоксантона формулы (I), отличной от формулы (I), среднемассовая молекулярная масса (MW) которого составляет менее 900 г/моль экв. PS, и содержащими акрилатное соединение на основе модифицированного амином полиэфира в качестве аминосодержащего соединения, молекулярная масса которого составляет более 400 г/моль экв. PS (в частности приблизительно 4000 г/моль экв. PS), демонстрировал сильную флуоресценцию на лицевой стороне, что делает его неподходящим. Как показано в таблице 4А, печатный признак, выполненный сравнительной краской для офсетной печати 2 (С2), т. е. краской, содержащей фотоинициатор в виде тиоксантона формулы (I), отличной от формулы (I), среднемассовая молекулярная масса (MW) которого составляет менее 900 г/моль экв. PS, и содержащей акрилатное соединение на основе модифицированного амином полиэфира в качестве аминосодержащего соединения, молекулярная масса которого составляет более 400 г/моль экв. PS), демонстрировал сильную флуоресценцию не только на лицевой и обратной сторонах печатного признака, но также на обратной стороне пустой подложки (подложки без печати).

[0124] Как показано в таблице 4А, печатный признак, выполненный красками для офсетной печати согласно настоящему изобретению (Е1 и Е2), т. е. красками, содержащими фотоинициатор в виде тиоксантона формулы (I), среднемассовая молекулярная масса (МW) которого составляет более 900 г/моль экв. PS, и содержащими либо акрилатное соединение на основе модифицированного амином полиэфира в качестве аминосодержащего соединения, молекулярная масса которого составляет более 400 г/моль экв. PS (в частности приблизительно 4000 г/моль экв. PS), либо бензоатное соединение в качестве аминосодержащего соединения, молекулярная масса которого составляет более 400 г/моль экв. PS (в частности приблизительно 1000 г/моль экв. PS), демонстрировал низкую флуоресценцию на лицевой и обратной сторонах.

[01258] Как показано в таблицах 3 и 4A, радикально-отверждаемые под воздействием УФ-светодиодного излучения краски для офсетной печати согласно настоящему изобретению (E1 и E2) сочетали в себе хорошую эффективность отверждения и позволяли производить признаки, демонстрирующие низкую флуоресценцию на их лицевой и обратной сторонах, в то время как сравнительные краски либо страдали от очень плохой или плохой эффективности отверждения, либо обеспечивали признаки, страдающие от флуоресценции.

[0126] Как показано в таблице 4В, люминесцентный печатный признак, выполненный сравнительными красками для офсетной печати С7 и С8 (содержащими фотоинициатор в виде фосфиноксида), демонстрировал сильный сигнал зеленой люминесценции добавленных люминесцентных соединений (С7: флуоресцентный пигмент; С8: фосфоресцентный пигмент). Иными словами, голубая остаточная флуоресценция напечатанного и отвержденного слоя, полученного из краски, содержащей фотоинициатор в виде фосфиноксида, не влияла отрицательно на сигнал добавленных люминесцентных пигментов.

[0127] Как показано в таблице 4B, люминесцентный печатный признак, выполненный сравнительными красками для офсетной печати C5 и C6 (содержащими тиоксантон со структурой, отличной от формулы (I), среднемассовая молекулярная масса (MW) которого составляет менее 900 г/моль экв. PS, и содержащими акрилатное соединение на основе модифицированного амином полиэфира, молекулярная масса которого составляет более 400 г/моль экв. PS (в частности приблизительно 4000 г/моль экв. PS)), демонстрировал сигнал синей люминесценции, по существу обусловленный сильной остаточной флуоресценцией напечатанного и отвержденного слоя. Иными словами, сигнал зеленой люминесценции, обусловленный добавленными люминесцентными соединениями (С5: флуоресцентный пигмент; С6: фосфоресцентный пигмент), был скрыт сильной остаточной флуоресценцией напечатанных и отвержденных слоев, что очень затрудняло обнаружение сигнала люминесценции добавленных люминесцентных соединений.

[0128] Как показано в таблице 4В, люминесцентный печатный признак, выполненный красками для офсетной печати согласно настоящему изобретению (Е3 и Е4), т. е. красками, содержащими фотоинициатор в виде тиоксантона формулы (I), среднемассовая молекулярная масса (MW) которого составляет менее 900 г/моль. экв. PS, и содержащими акрилатное соединение на основе модифицированного амином полиэфира, молекулярная масса которого составляет более 400 г/моль экв. PS (в частности приблизительно 4000 г/моль экв. PS)), демонстрировал сильный сигнал зеленой люминесценции добавленных люминесцентных соединений (E3: флуоресцентный пигмент, E4: фосфоресцентный пигмент). Иными словами, синяя остаточная флуоресценция напечатанных и отвержденных слоев, полученных из краски, содержащей фотоинициатор в виде тиоксантона со структурой согласно формуле (I), среднемассовая молекулярная масса (MW) которого составляет менее 900 г/моль экв. PS, не влияла отрицательно на сигнал добавленных люминесцентных пигментов.

[0129] Как показано в таблицах 3 и 4B, радикально-отверждаемые под воздействием УФ-светодиодного излучения краски для офсетной печати согласно настоящему изобретению (E3 и E4) сочетали в себе хорошую эффективность отверждения и позволяли производить люминесцентные защитные признаки, демонстрирующие сильные люминесцентные сигналы от добавленных люминесцентных (флуоресцентных или фосфоресцентных) пигментов, тогда как сравнительные краски (C5-C8) либо страдали от плохой эффективности отверждения, либо обеспечивали люминесцентные защитные признаки, страдающие от сильной остаточной флуоресценции напечатанных и отвержденных слоев, что очень затрудняло правильное обнаружение собственно сигналов люминесценции добавленных люминесцентных пигментов.

Похожие патенты RU2833478C1

название год авторы номер документа
ОТВЕРЖДАЕМЫЕ КРАСКИ ДЛЯ ОФСЕТНОЙ И ВЫСОКОЙ ПЕЧАТИ С НИЗКИМ ЭНЕРГОПОТРЕБЛЕНИЕМ И СПОСОБ ПЕЧАТИ 2017
  • Хоггетт, Джон
  • Шабрие, Стефан
RU2744113C2
ОТВЕРЖДАЕМЫЕ КРАСКИ ДЛЯ ОФСЕТНОЙ И ВЫСОКОЙ ПЕЧАТИ С НИЗКИМ ЭНЕРГОПОТРЕБЛЕНИЕМ И СПОСОБ ПЕЧАТИ 2017
  • Хоггетт, Джон
  • Шабрие, Стефан
RU2746938C2
СПОСОБЫ ПЕЧАТИ ОСЯЗАЕМЫХ ЭЛЕМЕНТОВ ЗАЩИТЫ 2013
  • Гарнье Кристоф
  • Вюйёмье Люсьен
  • Дего Пьер
RU2621657C2
КРАСКА, УСТРОЙСТВО И СПОСОБ ПЕЧАТИ 2010
  • Фассам Роберт Аугустус
  • Гоулд Найджел
  • Уорд Джереми
  • Макгрегор Барри
RU2561095C2
СПОСОБЫ КРАСКО-СТРУЙНОЙ ПЕЧАТИ ДЛЯ ДЕКОРАТИВНЫХ ПОВЕРХНОСТЕЙ 2017
  • Ленартс, Енс
  • Ван Арт, Хюбертус
  • Виллемс, Надине
RU2743731C2
СПОСОБ ПОЛУЧЕНИЯ ДИХРОИЧНЫХ ЗАЩИТНЫХ ПРИЗНАКОВ ДЛЯ ЗАЩИТЫ ЦЕННЫХ ДОКУМЕНТОВ 2021
  • Питте, Эрве
  • Демартин Мадер, Марлиз
  • Вейа, Патрик
  • Григоренко, Николай
  • Освальд, Андре
  • Рихерт, Мишель
RU2827751C1
СИСТЕМА ПЕЧАТНЫХ КРАСОК ДЛЯ ПЕЧАТИ НА ОБОЛОЧКАХ ДЛЯ ПИЩЕВЫХ ПРОДУКТОВ НА ОСНОВЕ ПОЛИАМИДА, ИМЕЮЩИХ ПЕЧАТЬ ОБОЛОЧКИ ДЛЯ ПИЩЕВЫХ ПРОДУКТОВ, И СПОСОБ ИХ ПОЛУЧЕНИЯ 2008
  • Фальтермайер Ральф
  • Гаугер Олаф
  • Зеельген Ханс-Вернер
  • Мораст Александр
  • Зенг Ханс-Петер
RU2485153C2
СПОСОБ ПЕЧАТИ ПРИЗНАКОВ ГЛУБОКОЙ ПЕЧАТИ, ИМЕЮЩИХ МНОЖЕСТВО ХАРАКТЕРИСТИК 2013
  • Лефебвр Оливье
  • Маньен Патрик
RU2623259C2
ОТВЕРЖДАЕМЫЕ ПОД ВОЗДЕЙСТВИЕМ ИЗЛУЧЕНИЯ В УФ И ВИДИМОЙ ОБЛАСТИ ЗАЩИТНЫЕ КРАСКИ 2021
  • Вейа, Патрик
RU2833559C1
ОПТИЧЕСКИ ИЗМЕНЯЮЩИЕСЯ МАГНИТНЫЕ ЗАЩИТНЫЕ НИТИ И ПОЛОСКИ 2015
  • Деманж Рейналь
  • Фавр Доминик
  • Риттер Гебхард
  • Крюгер Джессика
  • Дего Пьер
RU2676011C2

Иллюстрации к изобретению RU 2 833 478 C1

Реферат патента 2025 года РАДИКАЛЬНО-ОТВЕРЖДАЕМЫЕ ПОД ВОЗДЕЙСТВИЕМ УФ-СВЕТОДИОДНОГО ИЗЛУЧЕНИЯ КРАСКИ ДЛЯ ОФСЕТНОЙ ПЕЧАТИ И СПОСОБЫ ПЕЧАТИ

Изобретение относится к области радикально-отверждаемых под воздействием УФ-светодиодного излучения красок для офсетной печати защищаемых документов. Предложена радикально-отверждаемая под воздействием УФ-светодиодного излучения краска для офсетной печати, содержащая от 50 до 80 мас.% одного или более радикально-отверждаемых (мет)акрилатных соединений, от 8 до 12 мас.% одного или более фотоинициаторов, от 2 до 12 мас.% одного или более аминосодержащих соединений, от 1 до 30 мас.% одного или более неорганических пигментов и/или одного или более органических пигментов, от 0,5 до 5 мас.% одного или более наполнителей и/или разбавителей и добавки, выбранные из коинициаторов, противоосаждающих средств, пеногасителей, поверхностно-активных веществ и других технологических добавок, при этом вязкость которой составляет в диапазоне от 2,5 до 25 Па⋅с при 40°C и 1000 с-1; способ печати признака на подложке с помощью процесса офсетной печати с использованием предложенной краски; применение одного или более фотоинициаторов для получения предложенной краски; защитный признак, состоящий из отвержденного слоя предложенной краски, и защищаемый документ, содержащий предложенный защитный признак. Технический результат – получение красок для офсетной печати, которые характеризуются хорошими свойствами отверждения, при этом получаемые с их помощью печатные признаки имеют низкую флуоресценцию или её отсутствие. 5 н. и 16 з.п. ф-лы, 1 ил., 8 табл., 12 пр.

Формула изобретения RU 2 833 478 C1

1. Радикально-отверждаемая под воздействием УФ-светодиодного излучения краска для офсетной печати, вязкость которой составляет в диапазоне от 2,5 до 25 Па⋅с при 40 °C и 1000 с-1, для офсетной печати признака на подложке, причем указанная радикально-отверждаемая под воздействием УФ-светодиодного излучения краска для офсетной печати содержит:

i) от 50 до 80 мас.% одного или более радикально-отверждаемых (мет)акрилатных соединений, состоящих из одного или более радикально-отверждаемых (мет)акрилатных олигомеров и одного или более радикально-отверждаемых (мет)акрилатных мономеров, причем указанные радикально-отверждаемые (мет)акрилатные олигомеры выбраны из группы, состоящей из эпокси(мет)акрилатов, модифицированных (мет)акрилатом масел, модифицированных (мет)акрилатом эпоксидированных масел, сложных полиэфир(мет)акрилатов, алифатических или ароматических полиуретан(мет)акрилатов, (мет)акрилатов полиакриловой кислоты, (мет)акрилатов сложных полиакрилатных эфиров и их смесей, и

указанные радикально-отверждаемые (мет)акрилатные мономеры выбраны из группы, состоящей из моно(мет)акрилатов, ди(мет)акрилатов, три(мет)акрилатов, тетра(мет)акрилатов, пента(мет)акрилатов, гекса(мет)акрилатов и их смесей;

ii) от 8 до 12 мас.% одного или более фотоинициаторов формулы (I)

(I),

где Q имеет следующую формулу (IIa), (IIb) или (IIc):

(IIc),

где n представляет собой 1, 2 или 3, R1 являются идентичными или отличаются друг от друга и выбраны из группы, состоящей из C1-C3-алкиленовых групп, R2 выбраны из группы, состоящей из водорода и C1-C3-алкильных групп, и где сумма a+b+c составляет в диапазоне от 3 до 12 и сумма d+e+f+g составляет в диапазоне от 4 до 16,

iii) от 2 до 12 мас.% одного или более аминосодержащих соединений, выбранных из группы, состоящей из соединений аминобензоата, среднемассовая молекулярная масса которых составляет по меньшей мере 400 г/моль экв. PS, акрилатов на основе модифицированного амином полиэфира, среднемассовая молекулярная масса которых составляет по меньшей мере 400 г/моль экв. PS, и их комбинаций, и

iv) от 1 до 30 мас.% одного или более неорганических пигментов и/или одного или более органических пигментов, и

v) от 0,5 до 5 мас.% одного или более наполнителей и/или разбавителей, выбранных из группы, состоящей из углеродных волокон, тальков, слюд, волластонитов, глин, каолинов, карбонатов, силикатов, сульфатов, титанатов, гидратов оксида алюминия, диоксида кремния, монтмориллонитов, графитов, бентонитов, вермикулитов, древесной муки, кварцевой муки, натуральных волокон, синтетических волокон и их комбинаций, и

vi) добавки, выбранные из коинициаторов, противоосаждающих средств, пеногасителей, поверхностно-активных веществ и других технологических добавок;

причем массовое процентное содержание рассчитано исходя из общей массы радикально-отверждаемой под воздействием УФ-светодиодного излучения краски для офсетной печати.

2. Радикально-отверждаемая под воздействием УФ-светодиодного излучения краска для офсетной печати по п. 1, в которой указанные радикально-отверждаемые (мет)акрилатные олигомеры выбраны из группы, состоящей из эпокси(мет)акрилатов, сложных полиэфир(мет)акрилатов, алифатических или ароматических полиуретан(мет)акрилатов и их смесей.

3. Радикально-отверждаемая под воздействием УФ-светодиодного излучения краска для офсетной печати по п. 1 или 2, в которой указанные один или более наполнителей и/или разбавителей выбраны из группы, состоящей из карбонатов, диоксидов кремния, тальков, глин и их смесей.

4. Радикально-отверждаемая под воздействием УФ-светодиодного излучения краска для офсетной печати по пп. 1-3, в которой по меньшей мере один из одного или более фотоинициаторов имеет формулу (I) и в которой Q имеет следующую формулу (IIb-1), (IIb-2) или (IIb-3):

(IIb-3),

где n равно 1, 2 или 3 и где сумма a+b+c составляет в диапазоне от 3 до 12.

5. Радикально-отверждаемая под воздействием УФ-светодиодного излучения краска для офсетной печати по любому из предыдущих пунктов, в которой одно или более аминосодержащих соединений выбраны из группы, состоящей из соединений аминобензоата, среднемассовая молекулярная масса которых составляет по меньшей мере 700 г/моль экв. PS, акрилатов на основе модифицированного амином полиэфира, среднемассовая молекулярная масса которых составляет по меньшей мере 700 г/моль экв. PS, и их комбинаций.

6. Радикально-отверждаемая под воздействием УФ-светодиодного излучения краска для офсетной печати по любому из предыдущих пунктов, в которой одно или более аминосодержащих соединений выбраны из группы, состоящей из соединений аминобензоата.

7. Радикально-отверждаемая под воздействием УФ-светодиодного излучения краска для офсетной печати по п. 6, в которой одно или более аминосодержащих соединений выбраны из соединений, содержащих 4-диалкиламинобензоат.

8. Радикально-отверждаемая под воздействием УФ-светодиодного излучения краска для офсетной печати по п. 6 или 7, в которой одно или более аминосодержащих соединений выбраны из группы, состоящей из соединений аминобензоата с формулой (III)

(III),

где m составляет в диапазоне от 1 до 4, и где сумма h+i+j+k составляет в диапазоне от 3 до 12.

9. Радикально-отверждаемая под воздействием УФ-светодиодного излучения краска для офсетной печати по любому из предыдущих пунктов, в которой размер частиц одного или более неорганических пигментов и одного или более органических пигментов независимо меньше или равен 5 мкм при измерении с помощью прибора для измерения дисперсности.

10. Радикально-отверждаемая под воздействием УФ-светодиодного излучения краска для офсетной печати по любому из предыдущих пунктов, в которой размер частиц одного или более неорганических пигментов и одного или более органических пигментов независимо меньше или равен 3 мкм.

11. Радикально-отверждаемая под воздействием УФ-светодиодного излучения краска для офсетной печати по любому из предыдущих пунктов, дополнительно содержащая один или более восков, выбранных из группы, состоящей из парафиновых восков, полиэтиленовых восков, фторуглеродных восков, политетрафторэтиленовых восков, карнаубских восков и их смесей.

12. Способ печати признака на подложке с помощью процесса офсетной печати, включающий этапы:

a) нанесения радикально-отверждаемой под воздействием УФ-светодиодного излучения краски для офсетной печати по любому из пп. 1-11 с помощью офсетной печати с образованием слоя краски, и

b) подвергания слоя краски воздействию УФ-света при дозе по меньшей мере 150 мДж/см2 для отверждения указанного слоя краски источником УФ-светодиодного излучения.

13. Способ по п. 12, отличающийся тем, что этап b) включает подвергание слоя краски воздействию УФ-света при дозе по меньшей мере 200 мДж/см2.

14. Способ по п. 12 или 13, отличающийся тем, что этап b) состоит из подвергания слоя краски воздействию одной или более длин волн в диапазоне от 355 до 415 нм.

15. Применение одного или более фотоинициаторов по пп. 1-3 в количестве от 4 до 20 мас.% и одного или более аминосодержащих соединений, описанных в данном документе, в количестве от 1 до 15 мас.% для получения радикально-отверждаемой под воздействием УФ-светодиодного излучения краски для офсетной печати, вязкость которой составляет в диапазоне от 2,5 до 25 Па⋅с при 40 °C и 1000 с-1, причем указанная радикально-отверждаемая под воздействием УФ-светодиодного излучения краска для офсетной печати является подходящей для печати одного или более признаков на защищаемом документе, причем указанная радикально-отверждаемая под воздействием УФ-светодиодного излучения краска для офсетной печати содержит от 10 до 80 мас.% радикально-отверждаемых (мет)акрилатных соединений, от 1 до 30 мас.% одного или более неорганических пигментов и/или одного или более органических пигментов и от 0,5 до 10 мас.% одного или более наполнителей и/или разбавителей, причем массовое процентное содержание рассчитано исходя из общей массы радикально-отверждаемой под воздействием УФ-светодиодного излучения краски для офсетной печати.

16. Защитный признак, состоящий из отвержденного слоя краски, выполненного радикально-отверждаемой под воздействием УФ-светодиодного излучения краской для офсетной печати по любому из пп. 1-11.

17. Защищаемый документ, содержащий подложку и один или более печатных признаков по п. 16.

18. Защищаемый документ по п. 17, отличающийся тем, что общая поверхность одного или более печатных признаков больше или равна 50%, причем % рассчитан исходя из общей поверхности подложки, на которой представлены указанные один или более печатных признаков.

19. Защищаемый документ по п. 17, отличающийся тем, что общая поверхность одного или более печатных признаков больше или равна 60%, причем % рассчитан исходя из общей поверхности подложки, на которой представлены указанные один или более печатных признаков.

20. Защищаемый документ по п. 17, отличающийся тем, что общая поверхность одного или более печатных признаков больше или равна 70%, причем % рассчитан исходя из общей поверхности подложки, на которой представлены указанные один или более печатных признаков.

21. Защищаемый документ по любому из пп. 17-20, отличающийся тем, что подложка представляет собой нефлуоресцентную подложку.

Документы, цитированные в отчете о поиске Патент 2025 года RU2833478C1

JP 2015155499 A, 27.08.2015
WO 2014165323 A1, 09.10.2014
WO 2014035880 A1, 06.03.2014
WO 2018104213 A1, 14.06.2018
ЧЕРНИЛЬНЫЕ ПОКРЫТИЯ ДЛЯ ЗАЩИЩЕННЫХ ДОКУМЕНТОВ, ПРЕДНАЗНАЧЕННЫЕ ДЛЯ ПРЕДОТВРАЩЕНИЯ ПОДДЕЛЫВАНИЯ ПРИ ИСПОЛЬЗОВАНИИ ТЕРМОЧУВСТВИТЕЛЬНЫХ СТИРАЕМЫХ ЧЕРНИЛ 2012
  • Лёпренс Сесиль
  • Дюмюсуа Кристоф
  • Лукас Дагмар
RU2610072C2
Чертежный прибор 1928
  • Морозов В.Н.
SU18132A1
ЗАЩИТНЫЙ ЭЛЕМЕНТ, КОТОРЫЙ СОДЕРЖИТ СКРЫТУЮ ИНФОРМАЦИЮ, И СОДЕРЖАЩИЙ ЕГО ЦЕННЫЙ ДОКУМЕНТ 2016
  • Шапо Гийом
  • Борд Ксавье
RU2700008C1

RU 2 833 478 C1

Авторы

Ходжетт, Джон

Шабриер, Стефан

Даты

2025-01-22Публикация

2020-12-15Подача