ОБЛАСТЬ ТЕХНИКИ, К КОТОРОЙ ОТНОСИТСЯ ИЗОБРЕТЕНИЕ
Настоящее изобретение относится, в общем, к беспроводной связи и, более конкретно, к устройствам и способам формирования и передачи информации состояния канала (CSI) в системе беспроводной связи.
ПРЕДШЕСТВУЮЩИЙ УРОВЕНЬ ТЕХНИКИ
На современном этапе имеет место все более и более активное развертывание сетей беспроводной связи 5го поколения (5G) стандарта New Radio (NR), преимущества и возможности которых широко известны.
На базовых станциях (BS) в системе 5G NR используются массивные антенные решетки, содержащие множественные приемопередающие антенные элементы (AE), которые позволяют эффективно реализовать технологию MIMO (“многоканальный вход - многоканальный выход“), когда для передачи данных (например, физического нисходящего совместно используемого канала (PDSCH)) на одно или несколько пользовательских устройств (UE) формируется ряд одновременно передаваемых пространственных MIMO-слоев (MIMO layers).
Обобщенно говоря, цифровой сигнал передается с помощью одного или нескольких цифровых портов, связанных с антенными элементами базовой станции, посредством радиочастотного блока, выполняющего функцию преобразования цифрового сигнала в аналоговый и обратно. Так, для диапазона частот 3.5 ГГц могут задействоваться до 64 цифровых антенных портов, позволяющих на базовых станциях использовать различные схемы пространственной цифровой обработки сигнала (прекодинга). Например, с помощью технологии пространственного мультиплексирования (SM) обеспечивается возможность повторного использования одних и тех же частотно-временных ресурсов для DL передачи множественных сигналов (MIMO-слоев) на одно или несколько пользовательских устройств, а с помощью технологии адаптивного формирования диаграммы направленности (beamforming, BF) обеспечивается динамическое фокусирование мощности передаваемого сигнала в одном или более заданных направлениях. За счет применения передовых методов модуляции, таких как модуляция с ортогональным частотным разделением и мультиплексированием (OFDM), обеспечивается эффективная широкополосная передача сигнала.
Более конкретно, на текущий момент известно применение в системах беспроводной связи двух подходов к формированию диаграммы направленности для нисходящей линии связи (DL): аналоговое формирование диаграммы направленности (A-BF) и цифровое формирование диаграммы направленности (D-BF). Совместная реализация этих подходов именуется как гибридное формирование диаграммы направленности (H-BF).
A-BF выполняется в аналоговой части базовой станции и применяется к уже сформированному сигналу во временной области; этот подход характеризуется относительно малой вычислительной стоимостью, но, в то же время, и меньшей гибкостью. D-BF выполняется в цифровой части базовой станции и может применяться и в частотной области; данный подход является значительно более гибким по сравнению с A-BF, но при этом и более затратным.
В 5G NR поддерживаются адаптивные методы формирования диаграммы направленности с использованием A-BF и D-BF (т.е. H-BF). Ниже с иллюстративной ссылкой на Фиг.1 описывается обобщенная схема одного из возможных вариантов взаимодействия между сетью беспроводной связи (NW) и пользовательским устройством (UE), где для DL передачи данных применяется H-BF согласно 5G NR.
Базовая станция, являющаяся частью NW, широковещательно рассылает во всех или части пространственных лучей блоки ресурса SS/PBCH (SSB), где SS - сигнал синхронизации, PBCH - физический широковещательный канал (действие 1). Такая широковещательная рассылка может осуществляться базовой станцией на периодической основе. В левой части Фиг.1 совокупность возможных лучей проиллюстрирована контурами; далее по тексту эти лучи без ограничения общности могут упоминаться как 'аналоговые лучи', чем для наглядности указывается, что к передаваемым в них сигналам еще не был применен цифровой DL прекодинг, однако данным упоминанием никоим образом не подразумевается, что в отношении этих пространственных лучей не могла быть выполнена какая-либо иная цифровая обработка. Каждый SSB соответствует одному из аналоговых лучей, т.е. для каждого SSB базовая станция применяет один заранее заданный аналоговый луч.
Пользовательское устройство измеряет уровень приемной мощности (RSRP) каждого из принимаемых SSB, отбирает требующееся число SSB с наибольшей RSRP и формирует отчет об измерениях, в котором указываются индексы отобранных SSB и информация о соответствующих RSRP (действие 2); после этого, сформированный отчет передается пользовательским устройством на базовую станцию по восходящей линии связи (UL) на физическом уровне (L1) (действие 3).
Базовая станция осуществляет передачу на пользовательское устройство опорных сигналов (RS) информации состояния канала (CSI) (действие 4), к которым в аналоговой части базовой станции соответственно применена A-BF. Как вариант, базовая станция может использовать для передачи CSI-RS на пользовательское устройство один или более аналоговых лучей, соответствующих SSB, сообщенным в L1 отчете. Перед передачей CSI-RS базовая станция может указать пользовательскому устройству, какие CSI-RS будут передаваться в этих одном или более лучах, т.е., иными словами, сконфигурировать пользовательское устройство на выполнение оценки канала на основе указываемых CSI-RS, которые становятся так называемыми 'активными' CSI-RS для пользовательского устройства. Данное указание может быть осуществлено посредством передачи на пользовательское устройство RRC сообщения переконфигурации (RRC reconfig).
CSI-RS, в общем, передаются для получения пользовательскими устройствами информации о состоянии канала цифровых антенных портов базовой станции. В зависимости от реализации, каждый CSI-RS порт может соответствовать одному цифровому антенному порту, либо выполняется дополнительная виртуализация, так что каждый CSI-RS порт может соответствовать более чем одному (например, двум) цифровому антенному порту. Иными словами, учитывая данную дополнительную виртуализацию, в конечном итоге задействуется виртуализованное представление антенных элементов антенной решетки базовой станции в виде антенных портов CSI-RS. Следует отметить, что при сообщении с базовой станцией пользовательское устройство рассматривает каждый антенный порт CSI-RS как единый излучающий элемент, безотносительно охватываемых им антенных элементов.
В соответствии с 5G NR, CSI-RS могут передаваться базовой станцией в следующих режимах:
апериодически (aperiodic), когда базовая станция передает CSI-RS по необходимости, и пользовательское устройство(а) заранее информируется (к примеру, посредством управляющей информации нисходящей линии связи (DCI)) о передаче CSI-RS в конкретном слоте;
периодически (periodic), и в этом случае периодичность передачи преконфигуриурется на базовой станции и заблаговременно сообщается на пользовательское устройство(а);
полупостоянно (semi-persistent), когда выполняется преконфигурирование аналогично периодическому режиму, но базовая станция использует контрольную DL сигнализацию (к примеру, сообщение уровня MAC) для активации/деактивации конкретных CSI-RS.
Пользовательское устройство формирует CSI на основе измерений, выполняемых в отношении принимаемых CSI-RS (действие 5). Сформированная CSI передается с пользовательского устройства на базовую станцию в качестве канальной информации обратной связи (действие 6). Базовая станция на основе принятой CSI выполняет цифровое формирование диаграммы направленности (действие 7) для осуществления DL передачи (например, PDSCH) на пользовательское устройство (действие 8).
Здесь необходимо подчеркнуть, что выше исключительно в целях иллюстрации со ссылкой на действия 1-3 по Фиг.1 был описан один из вариантов реализации A-BF для передачи CSI-RS ресурсов на пользовательское устройство, и этот вариант реализации не является единственно возможным: так, базовая станция может выбирать аналоговые лучи для передачи соответствующих CSI-RS ресурсов на пользовательское устройство иным образом, используя известные подходы в области техники, к которой относится настоящее изобретение. Также следует отметить, что понятия 'CSI-RS', 'CSI-RS сигнал' и 'CSI-RS ресурс' могут использоваться взаимозаменяемо в тексте настоящей заявки, что является понятным для специалиста в данной области техники, по меньшей мере, в контексте 5G NR.
Более подробное изложение касаемо выполнения операций, соответствующих действиям 4-7 по Фиг.1, будет приведено ниже со ссылкой на Фиг.2.
Базовая станция, являющаяся частью NW, осуществляет передачу набора CSI-RS, состоящего из
CSI-RS, каждый из которых показан на Фиг.2 с соответствующим идентификатором (ID)
, где
; следует отметить, что речь здесь идет об идентификаторах, которыми CSI-RS ресурсы уникально обозначаются в системе связи 5G NR. В отношении передаваемого набора CSI-RS на базовой станции выполнена A-BF, т.е. для передачи каждого из
CSI-RS используется отдельный аналоговый луч. Как и в случае Фиг.1, в левой части Фиг.2 совокупность возможных аналоговых лучей соответственно проиллюстрирована пунктирными контурами.
На пользовательском устройстве выполняются измерения в отношении каждого из принимаемых CSI-RS и на основе выполненных измерений выбирается один CSI-RS. Например, данный выбор может быть реализован на основе измерения приемной мощности принимаемых CSI-RS, при этом в качестве упомянутого одного CSI-RS выбирается CSI-RS с наибольшей приемной мощностью. Аналоговый луч, использовавшийся для передачи выбранного CSI-RS, может именоваться здесь как 'наилучший' или 'самый качественный' луч для пользовательского устройства. На Фиг.3 проиллюстрирован выбор пользовательским устройством луча, который использовался для передачи CSI-RS с
, в качестве наилучшего.
На основе выбранного CSI-RS на пользовательском устройстве выполняется оценка канала для определения ряда параметров, которые включаются в формируемую CSI. В частности, пользовательское устройство выбирает предпочтительное количество MIMO-слоев, соответствующее числу одновременно передаваемых с базовой станции потоков данных, которое пользовательское устройство намеревается принимать. Данное количество MIMO-слоев отражается в составе CSI таким параметром, как указатель ранга (RI). Пользовательское устройство формирует матрицу прекодинга из векторов дискретного преобразования Фурье (DFT-векторов), которые выбираются из заранее заданной кодовой книги (code book). Сформированная матрица прекодинга отражается в составе CSI таким параметром, как указатель матрицы прекодинга (PMI). Помимо этого, пользовательское устройство определяет показатель качества канала (CQI), также включаемый в CSI. Кроме того, в CSI включается индекс CSI-RS ресурса (CRI) выбранного CSI-RS, и посредством CRI базовая станция, по сути, информируется о наилучшем луче для пользовательского устройства. Так, для иллюстрации по Фиг.3 CRI будет представлять собой индекс CSI-RS с
, и, соответственно, RI, PMI, CQI будут определяться именно в отношении данного CSI-RS.
Сформированная CSI, включающая в себя, помимо прочего, CRI, RI, PMI, CQI, передается с пользовательского устройства на базовую станцию. В соответствии с 5G NR, CSI передается посредством управляющей информации восходящей линии связи (UCI), UL передача которой предварительно планируется на базовой станции. Один из основных аспектов, связанных с организацией передачи CSI в составе UCI, заключается в том, что базовая станция при планировании передачи UCI не может знать точное количество бит, которое должно быть выделено для данной передачи, поскольку размер CSI заблаговременно не может быть известен - в частности, количество векторов прекодинга в матрице прекодинга зависит от предпочтительного количества MIMIO-слоев, которое выбирается на пользовательском устройстве в зависимости от фактического состояния канала и, соответственно, не может быть известно на базовой станции при упомянутом планировании.
В 5G NR данная проблема решается посредством следующего подхода.
В UCI для передачи CSI выделяются две части: часть 1 (part 1) c фиксированным размером (в битах) полезной нагрузки и часть 2 (part 2) c размером полезной нагрузки, который может быть переменным, при этом размер полезной нагрузки части 2 зависит от содержимого UCI в части 1. Параметры, входящие в состав CSI, соответственно распределяются по части 1 и части 2 UCI. В часть 1 UCI в типичном случае помещаются параметры CSI, для передачи которых требуется постоянное или фиксированное число бит, а в часть 2 - параметры с переменным числом бит.
Для части 2 UCI при этом предусмотрен механизм отбрасывания (omission), согласно которому в случае, если совокупная полезная нагрузка параметров CSI превосходит размер полезной нагрузки, изначально выделенный базовой станцией при планировании передачи UCI, то некоторые из параметров CSI, назначенных для помещения в часть 2 UCI, исключаются из состава передаваемой UCI для соответствия выделенному ее размеру. Для реализации механизма отбрасывания параметры CSI упорядочиваются в части 2 UCI таким образом, что в конец части 2 помещаются параметры, которые в меньшей степени важны для функционирования системы.
На Фиг.4a показан отвечающий 5G NR пример, когда CSI представляет собой отчет о широкополосном канале (WB). Соответствующие параметры CSI, относящиеся к контексту WB отчета, помечаются в тексте и на фигурах настоящей заявки символом 'w'.
Согласно 5G NR, PMI представляется в CSI двумя параметрами: PMI1 и PMI2, где PMI1 относится к DFT-векторам матрицы прекодинга, а PMI2 соответствует фазировке поляризаций в матрице прекодинга.
В соответствии с иллюстрацией по Фиг.4a, в часть 1 UCI помещены CRI, RI, wCQI из состава CSI, сформированной пользовательским устройством в качестве WB отчета. Здесь следует пояснить, что wCQI, по сути, обозначает CQI, рассчитанный для всей полосы частот, для которой осуществляется формирование CSI.
В часть 2 UCI включаются оба параметра PMI, упорядоченные как wPMI1, wPMI2, т.е. параметр wPMI1, относящийся к DFT-векторам матрицы прекодинга для всей упомянутой полосы частот, имеет более высокую важность для функционирования системы, чем параметр wPMI2, соответствующий фазировке для данной полосы частот. Соответственно, при задействовании механизма отбрасывания параметр wPMI2 может быть исключен из CSI, передаваемой в UCI.
На Фиг.4b показан отвечающий 5G NR пример, когда CSI представляет собой отчет о частотных подканалах (SB). Соответствующие параметры CSI, относящиеся к контексту SB отчета, помечаются в тексте и на фигурах настоящей заявки символом 's'. Здесь следует пояснить, что в 5G NR под подканалами понимаются частотные блоки, на которые разбивается вся полоса частот, для которой должна быть сформирована CSI, и каждый из которых состоит из нескольких соседних физических ресурсных блоков (PRB), где каждый PRB в типичном случае состоит из 12 частотных поднесущих.
В соответствии с иллюстрацией по Фиг.4b, в часть 1 UCI опять же помещены CRI, RI, wCQI, а также sCQI. В часть 2 UCI в данном случае включаются упорядоченные пары параметров {wPMI1, sPMI2} для каждого из частотных подканалов, при этом четные подканалы имеют более высокую важность в вышеуказанном смысле. Соответственно, при задействовании механизма отбрасывания исключению могут быть подвергнуты какие-либо из параметров {wPMI1, sPMI2}, соответствующих нечетным частотным подканалам. Далее по тексту и на чертежах настоящей заявки sPMI2 для четного частотного подканала может обозначаться как 'sPMI2(e)', а sPMI2 для нечетного частотного подканала может обозначаться как 'sPMI2(o)'.
Базовая станция выполняет обработку принятой CSI и осуществляет планирование частотно-временных ресурсов для DL передачи на пользовательское устройство. В частности, посредством CRI базовая станция, по сути, информируется о наилучшем луче для пользовательского устройства (в левой части Фиг.2 наилучший луч соответственно показан сплошным контуром среди совокупности аналоговых лучей); также базовая станция использует CQI для выбора схемы модуляции и скорости помехоустойчивого кодирования (MCS) и применяет полученную матрицу прекодинга для цифрового формирования диаграммы направленности для DL передачи (DL D-BF). Так, в соответствии с иллюстрацией по Фиг.2, для передачи PDSCH на пользовательское устройство может быть задействован наилучший луч.
Отвечающие 5G NR аспекты, связанные, в частности, с реализацией кодовой книги, оценкой канала на основе CSI-RS и вычислением матрицы прекодинга на стороне пользовательского устройства, конкретикой представления и передачи CRI, RI, PMI, CQI и прочих параметров в составе CSI, раскрыты в спецификациях TS 38.212 (см., в частности, раздел 6.3.2.1.2), TS 38.214 (см., в частности, раздел 5.2.2.1), а также отражены в публикации RU 2811989, все из которых во всей своей полноте включены в настоящее описание посредством ссылки. В частности, в качестве кодовой книги может использоваться кодовая книга Type 1 5G NR (см. Таблицу 5.2.2.2.1-2 из TS 38.214). Следует отметить, что в RU 2811989 также раскрыты перспективные технологии для реализации DL прекодинга.
Далее со ссылкой на Фиг.5 описывается такой связанный с DL H-BF аспект, как реализация ограничения на планировщике базовой станции. Как известно, основным предназначением планировщика базовой станции, в общем, является принятие решения в отношении того, какое пользовательское устройство(а) обслуживать в конкретном временном ресурсе (например, слоте).
В целях иллюстрации, на первом слева чертеже по Фиг.5 шестиугольником условно показан сектор соты, который обслуживается базовой станцией и в котором находится множество пользовательских устройств; сама базовая станция подразумевается расположенной в вершине шестиугольника, которая обведена на чертеже окружностью, и выполненной с возможностью использования, в общем, нескольких аналоговых лучей для DL передачи. Как было сказано выше, к CSI-RS, передаваемым с базовой станции на пользовательские устройства, применяется A-BF, т.е. передача CSI-RS ресурсов на каждое из пользовательских устройств осуществляется в соответствующих одном или более из нескольких аналоговых лучей.
В рассматриваемом по Фиг.5 случае предполагается, что базовой станцией на текущий момент намечено задействовать для обслуживания пользовательских устройств только один аналоговый луч, и этот луч далее по тексту будет условно обозначен как 'первый луч'. Для одних пользовательских устройств в секторе первый луч будет самым лучшим, и эти пользовательские устройства обозначены треугольниками на Фиг.5. Для других пользовательских устройств первый луч окажется вторым по качеству, и эти пользовательские устройства обозначены кружками на Фиг.5. Наконец, для остальных пользовательских устройств в секторе первый луч окажется третьим по качеству, и эти пользовательские устройства обозначены квадратами на Фиг.5.
Конфигурирование ограничения на планировщике базовой станцией иллюстрируется на Фиг.5 посредством использования параметра
, которым, по существу, указывается, в отношении какого количества аналоговых лучей базовая станция должна обладать обратной связью в виде CSI от пользовательских устройств в обслуживаемом секторе, для соответственного выполнения планирования DL передачи на пользовательские устройства.
В контексте изложения по второму слева чертежу на Фиг.5, который соответствует рабочей реализации согласно 5G NR, предполагается, что на базовой станции преконфигурирован параметр
, равный 1. В этом случае планировщик базовой станции будет осуществлять планирование ресурсов для DL передачи только на те пользовательские устройства, для которых первый аналоговый луч будет самым лучшим; соответственно, на базовой станции должна быть доступна CSI (включающая в себя, по меньшей мере, CRI, RI, PMI, CQI) от этих пользовательских устройств. Случай с
соответствует самому сильному ограничению на планировщике; данный случай проиллюстрирован на рассматриваемом чертеже наличием только треугольников, т.е. тех пользовательских устройств, для которых первый луч является самым лучшим. Такие пользовательские устройства, показанные на Фиг.5 в соответствии с текущим ограничением на планировщике, будут условно обозначаться как 'обслуживаемые' в изложении по данной фигуре; остальные пользовательские устройства, которые не показаны на соответствующем чертеже Фиг.5 согласно текущему ограничению на планировщике, будут условно обозначаться как 'необслуживаемые' в данном изложении. Из иллюстрации по рассматриваемому чертежу Фиг.5 видно, что обслуживаемые пользовательские устройства, для которых будет выполняться планирование ресурсов, сосредоточены, в основном, в левой по отношению к базовой станции области сектора, соответствующей зоне покрытия, обеспечиваемой первым лучом. Рассматриваемое ограничение (
) может быть заранее задано на пользовательских устройствах или заранее сообщено на пользовательские устройства, к примеру, посредством запроса CSI, передаваемого базовой станцией в DCI.
Сильное ограничение на планировщике, обсужденное выше со ссылкой на часть Фиг.5, дополнительно иллюстрируется на Фиг.6.
Как и в случае, рассмотренном со ссылкой на Фиг.2, базовая станция осуществляет передачу набора CSI-RS, состоящего из
CSI-RS, каждый из которых имеет соответствующий
,
. В отношении передаваемого набора CSI-RS на базовой станции выполнена A-BF, т.е. для передачи каждого из
CSI-RS используется свой аналоговый луч.
На Фиг.6 показаны два пользовательских устройства, UE1 и UE2, находящихся в зоне покрытия базовой станции и принимающих передаваемый набор CSI-RS.
По результатам измерений принимаемых CSI-RS ресурсов UE1 определяет в качестве наилучшего аналоговый луч, который использовался для передачи CSI-RS с
, а UE2 определяет в качестве наилучшего аналоговый луч, который использовался для передачи CSI-RS с
. Здесь следует напомнить, что, согласно имеющемуся в 5G NR ограничению, каждое из пользовательских устройств выбирает только один луч, который является наилучшим с точки зрения этого пользовательского устройства. Как отмечалось ранее, на каждом из UE1 и UE2 для выбранного CSI-RS определяется ряд параметров, которые включаются, наряду с соответствующим CRI, в формируемую CSI, которая передается на BS.
Как и в случае на Фиг.5, в рассматриваемом примере предполагается, что базовой станцией на текущий момент намечено задействовать для обслуживания пользовательских устройств только один аналоговый луч, при этом также предполагается, что этим лучом (иными словами, 'первым лучом' в терминологии по Фиг.5) является аналоговый луч, который использовался для передачи CSI-RS с
, т.е. наилучший луч для UE1. Тогда планировщик базовой станции будет осуществлять планирование ресурсов для DL передачи только на UE1 на основе CSI, полученной от UE1. В терминологии изложения по Фиг.5 UE1 будет 'обслуживаемым' пользовательским устройством, UE2 соответственно окажется 'необслуживаемым' и не будет охвачено текущим планированием DL передачи. Таким образом, в рассматриваемом режиме работы системы 5G NR, вследствие вышеуказанных ограничений, отсутствует возможность выполнения планирования DL передачи совместно как на UE1, так и на UE2.
Далее в канве настоящего обсуждения дополнительно затрагивается следующий аспект аналогового формирования диаграммы направленности в 5G NR со ссылкой на Фиг.7a, 7b.
В 5G NR поддерживаются две стратегии A-BF в контексте DL H-BF. Аналоговые лучи, отвечающие первой стратегии, ориентированы на оптимизацию зоны покрытия базовой станции. Такие лучи являются в высокой степени пространственно направленными, с фокусировкой мощности передачи в заданном направлении (т.е. узкие лучи с высоким коэффициентом усиления) (см. Фиг.7a). Аналоговые лучи согласно первой стратегии A-BF предпочтительны для планирования DL передачи данных на отдельные пользовательские устройства, с обеспечением максимальной пропускной способности; иными словами, такие лучи оптимизированы для однопользовательского режима MIMO (SU-MIMO). Далее по тексту настоящей заявки эти аналоговые лучи могут для краткости упоминаться как 'SU-MIMO лучи'.
Аналоговые лучи, соответствующие второй стратегии, ориентированы на обеспечение одновременной передачи данных на множество пользовательских устройств, т.е. такие лучи оптимизированы для многопользовательского режима MIMO (MU-MIMO). Аналоговые лучи согласно второй стратегии A-BF являются более широкими с меньшим коэффициентом усиления (см. Фиг.7b). Далее по тексту настоящей заявки эти лучи могут для краткости упоминаться как 'MU-MIMO лучи'.
При этом, с точки зрения системы необходимо, чтобы оба описанных подхода к A-BF эффективно работали.
В сценарии работы 5G NR, описанном выше со ссылкой на Фиг.2, 5, 6, базовой станцией для передачи единого набора CSI-RS могут использоваться и SU-MIMO лучи, и MU-MIMO лучи, т.е., по сути, поднаборы существенно разных аналоговых лучей. Пользовательское устройство(а) выбирает и сигнализирует (посредством CRI в CSI) один наилучший с точки зрения этого устройства аналоговый луч, основываясь, по существу, на коэффициенте усиления этого луча. Как было сказано выше, SU-MIMO лучи имеют более высокий коэффициент усиления, чем MU-MIMO лучи; соответственно, в большинстве случаев MU-MIMO лучи пользовательскими устройствами выбираться не будут. Здесь еще раз следует подчеркнуть, что, посредством указания одного CRI в CSI, пользовательское устройство сообщает базовой станции об одном выбранном пользовательском устройстве аналоговом луче, который является наилучшим именно с точки зрения пользовательского устройства; однако, с точки зрения сети выбранный луч может не быть оптимальным, например, в случае, когда базовая станция намеревается одновременно обслуживать множество пользовательских устройств (MU-MIMO).
Хотя развертывание систем 5G NR в мире только начинает набирать обороты, уже сейчас ведутся активные исследования в различных направлениях по стандартизации систем беспроводной связи следующего поколения, т.н. 6G, которые буду обладать характеристиками, превосходящими 5G NR.
В частности, для рабочего диапазона 6G 8-13 ГГц (UPPER MID BAND) на базовых станциях планируется поддержка сверхбольших антенных решеток (например, состоящих из 3072 антенных элементов) с гибридным аналоговым и цифровым формированием диаграммы направленности с большим количеством антенных портов (≤ 256). Таким образом, с поддержкой, в частности, до 64 одновременно передаваемых пространственных MIMO-слоев в системах связи UPPER MID BAND диапазона концепция радиоинтерфейса со сверхбольшой антенной решеткой (xMIMO) будет выведена на принципиально новый уровень. При этом, в 6G планируется поддержка набора опорных сигналов, аналогичного используемому в 5G NR, таких как DM-RS, CSI-RS, SRS, PT-RS, PSS/SSS.
В то же время, подходы, применяемые в 5G NR, далеко не всегда могут быть непосредственно расширены на системы беспроводной связи следующего поколения. Так, имеющиеся в 5G NR проблемы, обсужденные выше со ссылкой на Фиг.2, 5-7 и связанные с передачей одного единого набора CSI-RS с базовой станции и сообщением с пользовательского устройства об одном наилучшем аналоговом луче на базовую станцию (один CRI в составе CSI), не имеют существенного характера для функционирования системы 5G NR, однако они могут стать критическими для систем беспроводной связи 6G, где благодаря xMIMO будет обеспечена поддержка гораздо большего числа аналоговых лучей, с обеспечением поддержки большей пространственной направленности лучей, т.е. лучи будут еще более узкими и с еще большим коэффициентом усиления. Иными словами, известные технологии могут обеспечить недостаточную поддержку DL H-BF для xMIMO систем.
СУЩНОСТЬ ИЗОБРЕТЕНИЯ
В ввиду проблем предшествующего уровня техники, обсужденных выше, основной задачей настоящего изобретения является создание способа формирования и передачи CSI, который бы обеспечил должную поддержку DL H-BF для систем связи следующего поколения, избегая при этом недостатков предшествующего уровня техники, обсужденных выше.
В контексте решения этой технической задачи, согласно первому аспекту настоящего изобретения предложен способ формирования CSI в системе беспроводной связи.
Предложенный способ содержит этапы на которых: с базовой станции системы беспроводной связи осуществляют передачу совокупности CSI-RS, причем совокупность CSI-RS содержит два или более наборов CSI-RS; и на пользовательском устройстве в системе беспроводной связи выбирают заданное число CSI-RS из наборов CSI-RS, принимаемых от базовой станции, и формируют CSI на основе выбранных CSI-RS, при этом CSI содержит, для каждого из выбранных CSI-RS, соответствующие параметры, включая идентификатор CSI-RS сигнала. Упомянутые параметры предпочтительно включают в себя, по меньшей мере, RI, CQI, PMI, вычисленные на пользовательском устройстве для соответствующего из выбранных CSI-RS, причем упомянутым идентификатором является CRI, при этом PMI представлен в CSI двумя параметрами: PMI1 и PMI2, где PMI1 относится к DFT-векторам, а PMI2 соответствует фазировке поляризаций в матрице прекодинга. Согласно предпочтительному варианту осуществления, предложенный способ дополнительно содержащий этап, на котором передают сформированную CSI с пользовательского устройства на базовую станцию.
В соответствии с вариантом осуществления, для передачи совокупности CSI-RS базовая станция использует набор пространственных лучей, при этом упомянутые два или более наборов CSI-RS включают в себя первый набор CSI-RS, передаваемый с использованием поднабора лучей первого типа из набора пространственных лучей, и второй набор CSI-RS, передаваемый с использованием поднабора лучей второго типа из набора пространственных лучей. Лучами первого типа могут быть более узкие лучи с более высоким коэффициентом усиления, ориентированные на SU-MIMO, а лучами второго типа могут быть более широкие лучи с более низким коэффициентом усиления, ориентированные на MU-MIMO.
Согласно варианту осуществления, количество передаваемых CSI-RS в каждом из упомянутых по меньшей мере двух наборов CSI-RS заранее задается на базовой станции индивидуально для набора CSI-RS и заранее сигнализируется с базовой станции на пользовательское устройство.
В соответствии с одним вариантом осуществления, упомянутые выбор заданного числа CSI-RS, формирование CSI и передача CSI осуществляются периодически, с по меньшей мере одним заранее определенным периодом. Этот по меньшей мере один заранее определенный период может быть преконфигурирован на базовой станции и заранее сообщен с базовой станции на пользовательское устройство. При этом, базовая станция может дополнительно использовать контрольную DL сигнализацию (предпочтительно, сообщение уровня MAC) для указания пользовательскому устройству конкретных CSI-RS, на основе которых должна быть сформирована CSI.
В соответствии с другим вариантом осуществления, упомянутые выбор заданного числа CSI-RS, формирование CSI и передача CSI осуществляются по приему от базовой станции запроса CSI. Запрос CSI предпочтительно передается посредством DCI и содержит битовое поле, причем значение битового поля является соответственно выбранным на базовой станции из совокупности битовых значений, при этом каждое значение битового поля из по меньшей мере части совокупности битовых значений является указанием, по меньшей мере, заданного числа CSI-RS, на основе которых должна быть сформирована CSI. Данная совокупность битовых значений может быть преконфигурирована на базовой станции и заранее сообщена с базовой станции на пользовательское устройство посредством RRC сигнализации. Согласно одной реализации, заданное число CSI-RS может выбираться в соответствии со значением битового поля в запросе CSI по всем принятым наборам CSI-RS, например, на основе измерения приемной мощности CSI-RS. В контексте этой реализации, в отношении CSI-RS сигналов каждого из по меньшей мере одного из упомянутых двух или более наборов CSI-RS на базовой станции может быть задан соответствующий сдвиг по мощности, при этом сдвиг по мощности заранее сигнализируется с базовой станции на пользовательское устройство; при упомянутом выборе заданного числа CSI-RS по всем наборам CSI-RS, заданный сдвиг по мощности может соответственно применяться в отношении каждого из упомянутого по меньшей мере одного набора CSI-RS. Согласно другой реализации, каждое значение битового поля из упомянутой по меньшей мере части совокупности битовых значений дополнительно является указанием по меньшей мере одного набора CSI-RS из совокупности CSI-RS, и заданное число CSI-RS может выбираться в соответствии со значением битового поля в запросе CSI по указанному по меньшей мере одному набору CSI-RS (к примеру, независимо по каждому из этого по меньшей мере одного набора CSI-RS), например, на основе измерения приемной мощности CSI-RS в указанном по меньшей мере одном наборе CSI-RS.
В соответствии с предпочтительным вариантом осуществления, CSI передается посредством UCI, причем упомянутые параметры CSI размещаются в первой части UCI и второй части UCI, где размер полезной нагрузки первой части UCI является фиксированным, а размер полезной нагрузки второй части UCI является переменным и зависимым от содержимого UCI в первой части.
Согласно варианту осуществления, упомянутые параметры CSI содержат параметры, относящиеся к WB отчету.
В соответствии с одной реализацией, первая часть UCI содержит последовательность наборов {CRIi, RIi, wCQIi}, где
,
, - индекс выбранного CSI-RS, о котором сообщается в CSI,
- упомянутое заданное число CSI-RS. Наборы {CRIi, RIi, wCQIi} могут быть упорядочены в данной последовательности наборов согласно уровням приемной мощности соответствующих CSI-RS.
В соответствии с другой реализацией, первая часть UCI содержит кодовое значение, которое является результатом комбинаторного кодирования и представляет набор {CRIi}, и последовательность наборов {RIi, wCQIi}, упорядоченную согласно порядку CRIi в наборе {CRIi}, где
,
, - индекс выбранного CSI-RS, о котором сообщается в CSI,
- упомянутое заданное число CSI-RS.
Согласно варианту осуществления, упомянутые параметры CSI дополнительно содержат параметры, относящиеся к SB отчету.
В соответствии с одной реализацией, первая часть UCI содержит последовательность наборов {CRIi, RIi, wCQIi, sCQIi}, где
,
, - индекс выбранного CSI-RS, о котором сообщается в CSI,
- упомянутое заданное число CSI-RS. Наборы {CRIi, RIi, wCQIi, sCQIi} могут быть упорядочены в данной последовательности наборов согласно уровням приемной мощности соответствующих CSI-RS.
В соответствии с другой реализацией, первая часть UCI содержит кодовое значение, которое является результатом комбинаторного кодирования и представляет набор {CRIi}, и последовательность наборов {RIi, wCQIi, sCQIi}, упорядоченную согласно порядку CRIi в наборе {CRIi}, где
,
, - индекс выбранного CSI-RS, о котором сообщается в CSI,
- упомянутое заданное число CSI-RS.
Как вариант, вторая часть UCI может содержать последовательность наборов {wPMI1i, wPMI2i}, упорядоченную согласно упорядочению {CRIi} в первой части UCI, либо вторая часть UCI может содержать первый набор {wPMI1i}, за которым следует второй набор {wPMI2i}, причем каждый из первого набора и второго набора упорядочен согласно упорядочению {CRIi} в первой части UCI.
Как вариант, вторая часть UCI может содержать первый набор {wPMI1i}, за которым следует второй набор {sPMI2i(e)}, за которым следует третий набор {sPMI2i(o)}, причем каждый из первого набора, второго набора и третьего набора упорядочен согласно упорядочению {CRIi} в первой части UCI, либо вторая часть UCI может содержать последовательность наборов {wPMI1i, sPMI2i(e), sPMI2i(o)}, причем наборы {wPMI1i, sPMI2i(e), sPMI2i(o)} упорядочены в данной последовательности наборов согласно упорядочению {CRIi} в первой части UCI.
Согласно второму аспекту настоящего изобретения предложен способ формирования CSI в системе беспроводной связи.
Предложенный способ содержит этапы на которых: на пользовательском устройстве в системе беспроводной связи от базовой станции системы беспроводной связи принимают запрос CSI, содержащий указание, по меньшей мере, заданного числа CSI-RS, на основе которых должна быть сформирована CSI; с базовой станции осуществляют передачу совокупности CSI-RS, причем совокупность CSI-RS сигналов содержит два или более наборов CSI-RS; и на пользовательском устройстве, на основе упомянутого указания в принятом запросе CSI, выбирают заданное число CSI-RS из наборов CSI-RS, принимаемых от базовой станции, и формируют CSI на основе выбранных CSI-RS, при этом CSI содержит, для каждого из выбранных CSI-RS, соответствующие параметры, включая идентификатор CSI-RS сигнала. Упомянутые параметры предпочтительно включают в себя, по меньшей мере, RI, CQI, PMI, вычисленные на пользовательском устройстве для соответствующего из выбранных CSI-RS, причем упомянутым идентификатором является CRI, при этом PMI представлен в CSI двумя параметрами: PMI1 и PMI2, где PMI1 относится к DFT-векторам, а PMI2 соответствует фазировке поляризаций в матрице прекодинга. Согласно предпочтительному варианту осуществления, предложенный способ дополнительно содержащий этап, на котором передают сформированную CSI с пользовательского устройства на базовую станцию.
В соответствии с вариантом осуществления, для передачи совокупности CSI-RS базовая станция использует набор пространственных лучей, при этом упомянутые два или более наборов CSI-RS включают в себя первый набор CSI-RS, передаваемый с использованием поднабора лучей первого типа из набора пространственных лучей, и второй набор CSI-RS, передаваемый с использованием поднабора лучей второго типа из набора пространственных лучей. Лучами первого типа могут быть более узкие лучи с более высоким коэффициентом усиления, ориентированные на SU-MIMO, а лучами второго типа могут быть более широкие лучи с более низким коэффициентом усиления, ориентированные на MU-MIMO.
Согласно варианту осуществления, количество передаваемых CSI-RS в каждом из упомянутых по меньшей мере двух наборов CSI-RS заранее задается на базовой станции индивидуально для набора CSI-RS и заранее сигнализируется с базовой станции на пользовательское устройство.
В соответствии с предпочтительным вариантом осуществления, запрос CSI передается посредством DCI и содержит битовое поле, причем значение битового поля является соответственно выбранным на базовой станции из совокупности битовых значений, при этом каждое значение битового поля из по меньшей мере части совокупности битовых значений является указанием, по меньшей мере, заданного числа CSI-RS, на основе которых должна быть сформирована CSI. Данная совокупность битовых значений может быть преконфигурирована на базовой станции и заранее сообщена с базовой станции на пользовательское устройство посредством RRC сигнализации. Согласно одной реализации, заданное число CSI-RS может выбираться в соответствии со значением битового поля в запросе CSI по всем принятым наборам CSI-RS, например, на основе измерения приемной мощности CSI-RS. В контексте этой реализации, в отношении CSI-RS сигналов каждого из по меньшей мере одного из упомянутых двух или более наборов CSI-RS на базовой станции может быть задан соответствующий сдвиг по мощности, при этом сдвиг по мощности заранее сигнализируется с базовой станции на пользовательское устройство; при упомянутом выборе заданного числа CSI-RS по всем наборам CSI-RS, заданный сдвиг по мощности может соответственно применяться в отношении каждого из упомянутого по меньшей мере одного набора CSI-RS. Согласно другой реализации, каждое значение битового поля из упомянутой по меньшей мере части совокупности битовых значений дополнительно является указанием по меньшей мере одного набора CSI-RS из совокупности CSI-RS, и заданное число CSI-RS может выбираться в соответствии со значением битового поля в запросе CSI по указанному по меньшей мере одному набору CSI-RS (к примеру, независимо по каждому из этого по меньшей мере одного набора CSI-RS), например, на основе измерения приемной мощности CSI-RS в указанном по меньшей мере одном наборе CSI-RS.
В соответствии с предпочтительным вариантом осуществления, CSI передается посредством UCI, причем упомянутые параметры CSI размещаются в первой части UCI и второй части UCI, где размер полезной нагрузки первой части UCI является фиксированным, а размер полезной нагрузки второй части UCI является переменным и зависимым от содержимого UCI в первой части.
Согласно варианту осуществления, упомянутые параметры CSI содержат параметры, относящиеся к WB отчету.
В соответствии с одной реализацией, первая часть UCI содержит последовательность наборов {CRIi, RIi, wCQIi}, где
,
, - индекс выбранного CSI-RS, о котором сообщается в CSI,
- упомянутое заданное число CSI-RS. Наборы {CRIi, RIi, wCQIi} могут быть упорядочены в данной последовательности наборов согласно уровням приемной мощности соответствующих CSI-RS.
В соответствии с другой реализацией, первая часть UCI содержит кодовое значение, которое является результатом комбинаторного кодирования и представляет набор {CRIi}, и последовательность наборов {RIi, wCQIi}, упорядоченную согласно порядку CRIi в наборе {CRIi}, где
,
, - индекс выбранного CSI-RS, о котором сообщается в CSI,
- упомянутое заданное число CSI-RS.
Согласно варианту осуществления, упомянутые параметры CSI дополнительно содержат параметры, относящиеся к SB отчету.
В соответствии с одной реализацией, первая часть UCI содержит последовательность наборов {CRIi, RIi, wCQIi, sCQIi}, где
,
, - индекс выбранного CSI-RS, о котором сообщается в CSI,
- упомянутое заданное число CSI-RS. Наборы {CRIi, RIi, wCQIi, sCQIi} могут быть упорядочены в данной последовательности наборов согласно уровням приемной мощности соответствующих CSI-RS.
В соответствии с другой реализацией, первая часть UCI содержит кодовое значение, которое является результатом комбинаторного кодирования и представляет набор {CRIi}, и последовательность наборов {RIi, wCQIi, sCQIi}, упорядоченную согласно порядку CRIi в наборе {CRIi}, где
,
, - индекс выбранного CSI-RS, о котором сообщается в CSI,
- упомянутое заданное число CSI-RS.
Как вариант, вторая часть UCI может содержать последовательность наборов {wPMI1i, wPMI2i}, упорядоченную согласно упорядочению {CRIi} в первой части UCI, либо вторая часть UCI может содержать первый набор {wPMI1i}, за которым следует второй набор {wPMI2i}, причем каждый из первого набора и второго набора упорядочен согласно упорядочению {CRIi} в первой части UCI.
Как вариант, вторая часть UCI может содержать первый набор {wPMI1i}, за которым следует второй набор {sPMI2i(e)}, за которым следует третий набор {sPMI2i(o)}, причем каждый из первого набора, второго набора и третьего набора упорядочен согласно упорядочению {CRIi} в первой части UCI, либо вторая часть UCI может содержать последовательность наборов {wPMI1i, sPMI2i(e), sPMI2i(o)}, причем наборы {wPMI1i, sPMI2i(e), sPMI2i(o)} упорядочены в данной последовательности наборов согласно упорядочению {CRIi} в первой части UCI.
Согласно третьему аспекту настоящего изобретения предложена система беспроводной связи, содержащая базовую станцию, содержащую по меньшей мере: приемопередающие устройства, устройства обработки данных и устройства хранения данных, причем базовая станция выполнена с возможностью осуществления связи с пользовательским устройством, содержащим по меньшей мере: приемопередающие устройства, устройства обработки данных и устройства хранения данных. В устройстве хранения данных базовой станции сохранены машиноисполняемые коды и в устройстве хранения данных пользовательского устройства сохранены машиноисполняемые коды. При исполнении машиноисполняемых кодов устройствами обработки данных базовой станции и пользовательского устройства обеспечивается выполнение способа согласно любому варианту осуществления первого и второго аспектов настоящего изобретения.
Достигаемый настоящим изобретением технический результат заключается в обеспечении гибкого формирования и сигнализирования СSI в контексте DL H-BF, с поддержкой передачи нескольких наборов CSI-RS (в том числе, с использованием существенно разных пространственных лучей) на пользовательское устройство(а) и поддержкой возможности единовременного сообщения с пользовательского устройства на базовую станцию посредством CSI о нескольких CSI-RS, т.е. о нескольких пространственных лучах (в том числе, о CSI-RS из разных наборов CSI-RS), чем, в свою очередь, на стороне базовой станции обеспечивается более гибкое планирование ресурсов для DL передачи.
КРАТКОЕ ОПИСАНИЕ ЧЕРТЕЖЕЙ
Фиг.1 - обобщенная схема возможного варианта взаимодействия между сетью беспроводной связи и пользовательским устройством для обеспечения выполнения DL H-BF согласно 5G NR;
Фиг.2 - часть схемы по Фиг.1, иллюстрирующая операции, посредством которых обеспечивается формирование, передача и обработка CSI согласно 5G NR;
Фиг.3 - иллюстрация выбора пользовательским устройством наилучшего аналогового луча на основе передаваемых CSI-RS в соответствии с 5G NR;
Фиг.4a, 4b - иллюстративные варианты осуществления UL передачи CSI посредством UCI согласно 5G NR;
Фиг.5 - иллюстрации реализации ограничения на планировщике базовой станции;
Фиг.6 - иллюстрация планирования ресурсов для DL передачи на пользовательские устройства при ограничении на планировщике согласно 5G NR, проиллюстрированном на Фиг.5;
Фиг.7a, 7b - иллюстрация двух стратегий A-BF в контексте DL H-BF в соответствии с 5G NR;
Фиг.8 - иллюстративная схема системы беспроводной связи, в которой могут быть реализованы варианты осуществления настоящего изобретения;
Фиг.9, 10 - иллюстрации взаимодействия между базовой станцией и пользовательским устройством согласно варианту осуществления настоящего изобретения для обеспечения выполнения DL H-BF;
Фиг.11-12 - иллюстрации размещения параметров передаваемой CSI в UCI согласно вариантам осуществления настоящего изобретения;
Фиг.13 - блок-схема способа формирования CSI для DL H-BF согласно настоящему изобретению.
ПОДРОБНОЕ ОПИСАНИЕ ИЗОБРЕТЕНИЯ
Далее делается отсылка к примерным вариантам осуществления настоящего изобретения, которые иллюстрируются на сопровождающих чертежах, где одинаковые ссылочные номера обозначают аналогичные элементы. Следует при этом понимать, что варианты осуществления изобретения могут принимать различные формы и не должны рассматриваться как ограниченные приведенными здесь описаниями. Соответственно, иллюстративные варианты осуществления описываются ниже со ссылкой на фигуры чертежей для пояснения существа аспектов настоящего изобретения.
На Фиг.8 в общем виде проиллюстрирована система беспроводной связи, в которой могут быть реализованы различные аспекты настоящего изобретения. Как показано на Фиг.8, пользовательские устройства (UE) 801 осуществляют связь с базовыми станциями (BS) 802 в сети радиодоступа (RAN) 800. UE 801 (например, UE 801-1, 801-2, 801-3, …) распределены по RAN 800, и каждое из UE 801 может быть стационарным или мобильным. Широко известными примерами UE являются смартфоны, планшеты, модемы и т.п.
Базовые станции 802 (например, BS 802-A, 802-B, 802-C) могут обеспечить зону покрытия для конкретной географической области, зачастую именуемой 'сотой'. Базовые станции 802, в основном, имеют стационарную конструкцию, но могут быть и в подвижном исполнении. В общем, базовые станции могут представлять собой макро-BS (как иллюстрируется BS 802-A, 802-B, 802-C на Фиг.8), а также пико-BS для пикосот или фемто-BS для фемтосот. Соты, в свою очередь, могут быть разбиты на сектора.
Координацию и управление работой базовых станций 802 может обеспечивать контроллер сети, находящийся на связи с ними (например, через магистральное соединение (backhaul)). RAN 800 может быть на связи с базовой сетью (CN) (к примеру, через контроллер сети), которая обеспечивает различные сетевые функции, такие как, например, управление доступом и мобильностью, управление сеансами, функция сервера аутентификации, функция приложений и т.п. При этом, базовые станции 802 в RAN 800 могут также соединяться между собой, например, через прямое физическое соединение, которое предпочтительно является высокоскоростным соединением.
При перемещении пользовательского устройства в пределах RAN 800 может быть осуществлена передача его обслуживания (handover) от одной базовой станции другой базовой станции. Например, обслуживание UE 801-3 может быть передано от BS 802-B к BS 802-A. При этом осуществляется переконфигурирование соответствующих операционных параметров пользовательского устройства для работы с новой базовой станцией. Переключение обслуживания пользовательского устройства может осуществляться и между секторами одной базовой станции.
В рассматриваемой системе беспроводной связи возможно взаимодействие между пользовательским устройством и группой связанных между собой базовых станций, причем такое взаимодействие может иметь место не только в случае передачи обслуживания пользовательского устройства. Одна из группы базовых станций является обслуживающей базовой станцией для пользовательского устройства, а различные аспекты координации совместной работы базовых станций группы при таком взаимодействии могут осуществляться централизованным образом (например, контроллером сети) и/или обслуживающей базовой станцией.
В системе беспроводной связи 5G NR реализована концепция облачной RAN (Cloud RAN, С-RAN), которая заключается в разделении базовой станции на три части и использовании специального интерфейса, определенного для обмена информацией между этими функциональными частями. Так, базовая станция может быть разделена на радиоблок (RU), который выполняет функции радио приемопередатчика, распределенный блок (DU) для вычислений L1 (физического уровня) и вычислений L2 (уровня управления доступом к среде (MAC)) и централизованный блок (CU) для вычислений L2 и L3 (уровня управления радиоресурсами (RRC)). Такое разделение позволяет централизовать CU-блоки в соответствующем центральном узле сети, тогда как DU могут быть в большей степени распределенными, на сотовых узлах. В этом случае переключения соединений между сотовыми узлами можно проводить на уровне L1, то есть с относительно малыми задержками. Поддержка данной концепции ожидается и в сетях беспроводной связи 6G.
Следует отметить, что описание по Фиг.8 и сама данная фигура имеют исключительно иллюстративный, неограничивающий характер в целях обрисовки общей рабочей среды настоящего изобретения. Хотя на Фиг.8 проиллюстрированы лишь известные базовые компоненты системы связи, следует понимать, что система связи может дополнительно включать в себя множество других элементов.
Каждая из BS 802, показанных на Фиг.8, включает в себя аппаратные и логические средства для реализации соответствующих функций в базовой станции. К аппаратным средствам относятся, в частности, антенная решетка, состоящая из приемопередающих антенных элементов, о которых говорилось выше, различные специальным образом сконфигурированные процессоры, контроллеры, устройства хранения данных, прочие схемные элементы, а также связывающие их шины. К логическим средствам относится программное обеспечение, хранящееся в соответствующих запоминающих устройствах и конфигурирующее соответствующие схемные элементы. К программному обеспечению также относится и микропрограммное обеспечение, непосредственно прошитое в процессорах и контроллерах. Указанные аппаратные средства конфигурируются, в том числе, для выполнения различной обработки в отношении передаваемых и принимаемых сигналов, включая (де)модуляцию, (де)мультиплексирование, (де)кодирование, усиление, фильтрацию, оцифровку, (де)перемежение, распределение ресурсов, планирование приема/передачи.
Аналогичным образом, каждое из UE 801, показанных на Фиг.8, включает в себя аппаратные и логические средства для реализации соответствующих функций в пользовательском устройстве. К аппаратным средствам относятся, в частности, приемопередающие устройства с соответствующими антенными элементами, различные специальным образом сконфигурированные процессор(ы), контроллеры, устройства хранения данных, прочие схемные элементы, а также связывающие их шины. К логическим средствам относится программное обеспечение, хранящееся в соответствующих запоминающих устройствах и конфигурирующее соответствующие схемные элементы. К программному обеспечению также относится и микропрограммное обеспечение, непосредственно прошитое в контроллерах. Указанные аппаратные средства конфигурируются, в том числе, для выполнения различной обработки в отношении передаваемых и принимаемых сигналов, включая (де)модуляцию, (де)мультиплексирование, (де)кодирование, усиление, фильтрацию, оцифровку, (де)перемежение. Помимо этого, UE содержит средства для взаимодействия с пользователем, включая сенсорный экран, динамики/микрофон, кнопки, а также пользовательские приложения, хранящиеся в памяти пользовательского устройства и исполняющиеся процессором пользовательского устройства в соответствующей операционной системе.
Примеры вышеупомянутых процессоров/контроллеров включают в себя микропроцессоры, микроконтроллеры, устройства цифровой обработки сигналов (DSP), программируемые вентильные матрицы (FPGA), дискретные аппаратные микросхемы и т.п. (Микро)программное обеспечение, исполняемое процессорами/контроллерами, следует толковать в широком смысле, как означающее машиноисполняемые инструкции, наборы инструкций, программный код, сегменты кода, подпрограммы, программные модули, объекты, процедуры и т.п. Программное обеспечение хранится на соответствующих машиночитаемых носителях, которые могут быть реализованы, на пример, в виде ОЗУ (RAM), ПЗУ (ROM), перепрограммируемого ПЗУ (EEPROM), твердотельных запоминающих устройств, магнитных запоминающих устройств, оптических запоминающих устройств и т.п., на которых могут быть записаны или сохранены соответствующие программные коды и структуры данных, к которым может осуществляться доступ со стороны соответствующих процессоров/контроллеров.
Вышеперечисленные аппаратные и программные элементы базовых станций и пользовательских устройств конфигурируются для обеспечения выполнения в базовых станциях и пользовательских устройствах способов согласно настоящей заявке, которые описываются ниже. Сама реализация компонентных аппаратных средств базовых станций и пользовательских устройств и их специализированное конфигурирование, в том числе посредством соответствующих логических средств, является известным в области техники, к которой относится настоящая заявка. При этом, различные функции согласно способам, отвечающим настоящей заявке, могут выполняться в множестве отдельных элементов либо одном или нескольких интегральных элементах, что определяется проектными конструкционными характеристиками.
Для решения стоящей перед технической задачи, обрисованной выше, в соответствии с одним аспектом настоящего изобретения, в общем, предусмотрена передача с базовой станции множества наборов CSI-RS на пользовательское устройство(а), а также сообщение с пользовательского устройства, в составе CSI, о двух или более CSI-RS, в отношении которых выполнялась соответствующая оценка канала.
Данный аспект более подробно описывается со ссылкой на Фиг.9, формат которой подобен формату Фиг.2.
Базовая станция, являющаяся частью NW, осуществляет передачу совокупности CSI-RS, содержащей два набора CSI-RS, которые обозначены на Фиг.9 как набор 1 CSI-RS и набор 2 CSI-RS, соответственно. Набор 1 CSI-RS состоит из
CSI-RS, каждый из которых, аналогично Фиг.2, показан на Фиг.9 с соответствующим идентификатором
, где
; набор 2 CSI-RS состоит из
CSI-RS, каждый из которых также показан на Фиг.9 с соответствующим идентификатором
, где
. В отношении каждого из двух передаваемых наборов CSI-RS на базовой станции выполнена A-BF, т.е. для передачи каждого CSI-RS из
CSI-RS набора 1 и
CSI-RS набора 2 используется свой отдельный аналоговый луч. Здесь следует отметить отсутствие ограничивающей привязки к действиям 1-3 по Фиг.1 для выполнения A-BF в контексте описания настоящего изобретения.
Для передачи набора 1 CSI-RS и набора 2 CSI-RS могут соответственно использоваться, из совокупного набора аналоговых лучей, используемых базовой станцией для передачи совокупности CSI-RS, поднаборы аналоговых лучей разного типа. В частности, на иллюстрации по Фиг.9 предполагается, что для передачи набора 1 CSI-RS соответственно используются SU-MIMO лучи, а для передачи набора 2 CSI-RS соответственно используются MU-MIMO лучи. Каждый из указанных поднаборов SU-MIMO и MU-MIMO лучей соответственно проиллюстрирован пунктирными контурами в левой части Фиг.9. В силу специфики SU-MIMO лучей и MU-MIMO лучей, описанной выше, на Фиг.9 предполагается, что количество SU-MIMO лучей в их поднаборе больше количества MU-MIMO лучей в соответствующем поднаборе; следовательно,
.
Для заблаговременного информирования пользовательского устройства о совокупности CSI-RS, которые должны приниматься пользовательским устройством, согласно варианту осуществления настоящего изобретения может быть задействован подход 5G NR. А именно, согласно 5G NR для характеризации CSI-RS ресурса используется следующая структура:
Соответственно, согласно данному варианту осуществления, подобная структура CSI-RS ресурса заблаговременно сигнализируется с базовой станции на пользовательское устройство в отношении каждого из CSI-RS, которые должны стать активными для пользовательского устройства (это могут быть все из CSI-RS, подлежащих передаче с базовой станции, или их часть). К примеру, с базовой станции на пользовательское устройство может быть заблаговременно передан массив таких структур CSI-RS ресурса, охватывающий всю совокупность CSI-RS, активируемых на пользовательском устройстве. Данное заблаговременное сигнализирование может быть осуществлено посредством RRC сигнализации, например, посредством использования сообщения RRC reconfig, указанного выше.
Помимо этого, в соответствии с рассматриваемым вариантом осуществления настоящего изобретения, базовая станция заранее сообщает на пользовательское устройство информацию о наборах CSI-RS, которые будут присутствовать в передаваемой совокупности CSI-RS. Данное информирование может быть осуществлено, к примеру, посредством заблаговременного сигнализирования с базовой станции на пользовательское устройство следующей структуры в отношении каждого из наборов CSI-RS:
то есть, опять же, на пользовательское устройство может быть передан соответствующий массив подобных структур. При этом, данное информирование о наборах CSI-RS может быть осуществлено в том же самом сообщении RRC reconfig или аналогичным образом отдельно от него.
Как видно из вышеприведенного рассмотрения, принадлежность конкретного из активных CSI-RS к конкретному набору CSI-RS может быть идентифицирована на пользовательском устройстве, по меньшей мере, на основе элемента nzp-CSI-RS-Resources в соответствующей структуре NZP-CSI-RS-ResourceSet, в котором приведены уникальные идентификаторы NZP-CSI-RS-ResourceId CSI-RS ресурсов в этом наборе; также данный элемент позволяет определить количество CSI-RS в данном наборе.
Затем, согласно рассматриваемому аспекту настоящего изобретения, на пользовательском устройстве выбирается заданное число
CSI-RS из наборов CSI-RS, принимаемых от базовой станции, для формирования CSI. При этом, значение
задается на базовой станции и заблаговременно сообщается на пользовательское устройство.
В качестве одного из возможных вариантов реализации, конфигурирование, на стороне пользовательского устройства, конкретного выбора
CSI-RS среди принимаемых от базовой станции наборов CSI-RS может осуществляться на основе указания, содержащегося в запросе CSI, переданном с базовой станции. То есть, рассматриваемая реализация относится к апериодическому режиму CSI-RS, описанному выше. В верхней части Фиг.9 передача запроса CSI обозначена жирной пунктирной стрелкой. Как отмечалось ранее, запрос CSI в типичном случае передается на пользовательское устройство посредством DCI.
При этом,
может быть задано i) в отношении всех передаваемых наборов CSI-RS (т.е.
CSI-RS должны выбираться по всей совокупности CSI-RS), либо ii) в отношении части наборов CSI-RS (т.е. пользовательское устройство должно выбрать
CSI-RS по конкретному набору(ам) CSI-RS) или в отношении каждого из передаваемых наборов CSI-RS (т.е. в каждом из наборов CSI-RS должны быть независимо выбраны
CSI-RS). Вариант выбора, соответствующий опции i), может далее по тексту упоминаться как 'совместный выбор', а вариант выбора, соответствующий опции ii), может далее по тексту упоминаться как 'независимый выбор'.
Как и в случае 5G NR, сам выбор
CSI-RS из принимаемых наборов CSI-RS может быть выполнен на основе измерения приемной мощности каждого из CSI-RS, т.е. выбирается соответственно заданное число
CSI-RS с самыми большими значениями приемной мощности. Тем не менее, для специалиста должно быть очевидно, что указанная реализация не является единственно возможной, и могут быть использованы другие измерения для выбора
CSI-RS - например, основываясь на метрике спектральной эффективности или производительности передачи.
Для случая совместного выбора в рассматриваемом варианте реализации базовая станция может заранее задать сдвиг по мощности (power offset) в отношении некоторых из передаваемых наборов CSI-RS, причем этот сдвиг может задаваться на уровне набора CSI-RS или отдельных CSI-RS набора CSI-RS. Задание сдвига по мощности может быть осуществлено, к примеру, посредством элемента powerControlOffset в составе структуры CSI-RS ресурса, проиллюстрированной выше. В результате, при выборе заданного числа
CSI-RS пользовательское устройство применяет заранее заданные сдвиги по мощности к соответствующим CSI-RS. Посредством данной процедуры может быть обеспечено более гибкое управление, на стороне базовой станции, выбором CSI-RS ресурсов, осуществляемым пользовательским устройством.
Подход, отвечающий рассматриваемому одному варианту реализации, в общем, заключается в кодировании упомянутого указания посредством соответствующего битового поля в DCI, и для этого на базовой станции преконфигурируется соответствующая кодовая таблица, формат которой обобщенно иллюстрируется Таблицей 1:
CRI
CRI
CRI
Таблица 1
Многоточие перед двумя цифрами в левом столбце Таблицы 1 показывает, что битовое поле, которым кодируется конкретный набор активных CSI-RS, может иметь различную длину в зависимости от реализации. В Таблице 1 каждому значению битового поля (кроме того, которым кодируется 'CSI не запрашивается') соответствует заранее заданное целевое количество
CSI-RS, на основе которых пользовательским устройством должна быть сформирована CSI и сообщена на базовую станцию, т.е. целевое количество CRI, которые должны быть включены в формируемую CSI наряду с соответствующими параметрами (такими как RI, PMI, CQI).
Кодовая таблица, преконфигурированная на базовой станции, заранее сигнализируется с базовой станции на пользовательское устройство, к примеру, посредством RRC сигнализации.
Ниже в Таблицах 2, 3 приведены примеры реализации кодовой таблицы, в общем проиллюстрированной Таблицей 1, для случая, где соответствующее битовое поле DCI имеет длину 2 бита (Таблица 2) и длину 3 бита (Таблица 3). Таблицы 2, 3 могут неограничивающим образом считаться соответствующими рассматриваемому со ссылкой на Фиг.9 примеру с передачей двух наборов CSI-RS.
Таблица 2
Таблица 3
Базовая станция на свое усмотрение (например, в зависимости от текущего состояния сети) выбирает значение битового поля в соответствующей кодовой таблице, и это значение сигнализируется на пользовательское устройство в DCI запросе CSI. На основе значения битового поля, содержащегося в принятом запросе CSI, пользовательское устройство по своей кодовой таблице определяет, какое количество CSI-RS должно быть выбрано для формирования CSI и из какого принимаемого набора(ов) CSI-RS.
Битовыми значениями '01', '10', '11' в примерной реализации согласно Таблице 2 соответственно указываются, в отношении всей совокупности принимаемых наборов CSI-RS, количества
,
,
CRI, о которых должно быть сообщено в CSI; то есть, данная реализация в чистом виде относится к совместному выбору CSI-RS.
При приеме пользовательским устройством запроса CSI со значением битового поля '01' пользовательское устройство выберет один CSI-RS с наибольшей приемной мощностью и сообщит соответствующий CRI в составе CSI. Принимая во внимание вышеприведенное обсуждение, базовая станция посредством этого CRI будет проинформирована об одном наилучшем для пользовательского устройства аналоговом луче, который использовался для передачи выбранного CSI-RS.
Затем, при приеме пользовательским устройством запроса CSI со значением битового поля '10' пользовательское устройство выберет два CSI-RS с наибольшей и второй по величине приемными мощностями и сообщит два соответствующих CRI в составе CSI. Базовая станция посредством этих двух CRI соответственно будет проинформирована о наилучшем и втором по качеству лучах для пользовательского устройства.
Наконец, при приеме пользовательским устройством запроса CSI со значением битового поля '11' пользовательское устройство выберет три CSI-RS с наибольшей и второй и третьей по величине приемными мощностями и сообщит три соответствующих CRI в составе CSI. Аналогичным образом, базовая станция посредством этих трех CRI соответственно будет проинформирована о наилучшем и втором и третьем по качеству лучах для пользовательского устройства.
В другой примерной реализации, согласно Таблице 3, битовыми значениями (кроме значения '000') могут соответственно указываться не только целевые количества
сообщаемых CRI, но и то, из какого конкретного набора(ов) CSI-RS должны выбираться соответствующие CSI-RS. Так, значением '100' битового поля DCI запроса CSI пользовательскому устройству, по сути, предписывается выбрать два CSI-RS с наибольшей и второй по величине приемными мощностями только из набора 2 CSI-RS и сообщить два соответствующих CRI и ассоциированные параметры в составе CSI. То есть, в данном случае осуществляется независимый выбор заданного числа CSI-RS. В то же время, значением '101' пользовательскому устройству предписывается выбрать один CSI-RS с наибольшей приемной мощностью среди обоих принимаемых наборов CSI-RS; то есть, в этом случае осуществляется совместный выбор заданного числа CSI-RS.
Как видно, реализация согласно Таблице 3 связана с большей битовой нагрузкой на DCI, но обеспечивает большую гибкость конфигурирования заданного числа выбираемых CSI-RS для пользовательского устройства.
На Фиг.10, которая, по сути, является развитием иллюстрации по Фиг.9, показан пример осуществления пользовательским устройством выбора заданного числа CSI-RS из двух принимаемых наборов CSI-RS в предположении того, что пользовательским устройством был принят, посредством DCI, запрос CSI со значением упомянутого битового поля, равным '111' (см. Таблицу 3 выше) или равным '11' (см. Таблицу 2 выше). Иными словами, пользовательскому устройству предписано выбрать
CSI-RS по обоим из набора 1 CSI-RS и набора 2 CSI-RS, то есть осуществить совместный выбор.
На Фиг.10a показаны выбранные пользовательским устройством CSI-RS из набора 1 CSI-RS, для передачи которого используются SU-MIMO лучи (см. Фиг.9); используемый поднабор SU-MIMO лучей условно показан пунктирными контурами вверху Фиг.10a. На Фиг.10b показан выбранный пользовательским устройством CSI-RS из набора 2 CSI-RS, для передачи которого используются MU-MIMO лучи (см. Фиг.9); используемый поднабор MU-MIMO лучей аналогично показан пунктирными контурами вверху Фиг.10b.
В рассматриваемом примере также предполагается, что в отношении набора 2 CSI-RS на базовой станции был задан сдвиг по мощности в сторону увлечения, в соответствии с реализацией, описанной выше. Этим заданием сдвига по мощности, по сути, указывается повышенная значимость MU-MIMO лучей на стороне базовой станции.
Данный сдвиг применен пользовательским устройством при совместном выборе заданного числа
CSI-RS среди двух наборов CSI-RS. В результате, несмотря на то, что, как отмечалось ранее, для SU-MIMO лучей характерен более высокий коэффициент усиления, в рассматриваемом случае пользовательским устройством в соответствии с приемной мощностью выбраны два CSI-RS из набора 1 CSI-RS, а именно CSI-RS с
и
(см. Фиг.10a), а также один CSI-RS из набора 2 CSI-RS, а именно CSI-RS с
(см. Фиг.10b). То есть, к примеру, благодаря примененному сдвигу по мощности скорректированная приемная мощность CSI-RS с
из набора 2 CSI-RS стала третьей по величине при рассматриваемом совместном выборе; иными словами, данное применение сдвига по мощности отчасти нивелировало более высокий коэффициент усиления SU-MIMO лучей.
Возвращаясь к Фиг.9, для каждого из выбранных
CSI-RS на пользовательском устройстве определяется набор параметров (в частности, RI, PMI, CQI), которые включаются в формируемую CSI. На Фиг.9 проиллюстрирована передача с пользовательского устройства на базовую станцию CSI, содержащей: CRI1, RI1, PMI1, CQI1, соответствующие CSI-RS с
, выбранному из набора 1 CSI-RS; CRI2, RI2, PMI2, CQI2, соответствующие CSI-RS с
, выбранному из набора 1 CSI-RS; CRI3, RI3, PMI3, CQI3, соответствующие CSI-RS с
, выбранному из набора 2 CSI-RS. Аналоговые лучи, о которых сообщается посредством соответствующих CRI, показаны в каждом из поднаборов сплошными контурами слева на Фиг.9. Как и в случае 5G NR, передача CSI на базовую станцию предпочтительно осуществляется посредством UСI. Подходы к распределению параметров CSI в UCI согласно вариантам осуществления настоящего изобретения будут описаны ниже.
Базовая станция выполняет обработку принятой CSI и осуществляет планирование частотно-временных ресурсов для DL передачи на пользовательское устройство. Как показано в нижней части Фиг.9, ресурсы для передачи PDSCH были запланированы базовой станцией в отношении наилучшего MU-MIMO луча (CRI3), несмотря на то, что двум сообщенным SU-MIMO лучам (CRI1, CRI2) соответствовали CSI-RS с большей приемной мощностью.
Здесь следует отметить, что, хотя на Фиг.9, 10 показана передача двух наборов CSI-RS, настоящее изобретение предусматривает единовременную передачу и большего количества наборов CSI-RS, а также передачу одного набора CSI-RS, обеспечивая обратную совместимость с 5G NR; помимо этого, настоящим изобретением также предусмотрена возможность сообщения о других целевых количествах
выбранных CSI-RS, отличных от трех. Далее, использование поднабора SU-MIMO лучей и поднабора MU-MIMO лучей для соответствующей передачи наборов CSI-RS, показанное на Фиг.9, 10, имеет иллюстративный, но не ограничительный характер; соответственно, настоящим изобретением охватываются другие возможные распределения передаваемых наборов CSI-RS по используемым аналоговым лучам. В общем, количество CSI-RS в каждом из передаваемых наборов CSI-RS может конфигурироваться на базовой станции индивидуально для набора CSI-RS.
Затем, использование апериодического режима CSI-RS в описании иллюстрации по Фиг.9, 10 также не составляет ограничение, и отвечающий настоящему изобретению подход в равной степени применим для периодического и полупостоянного режимов CSI-RS. Так, в периодическом режиме передача совокупности CSI-RS с базовой станции, а также выбор заданного числа CSI-RS сигналов, формирование CSI и передача CSI на пользовательском устройстве осуществляются периодически, причем периоды для указанных операций могут быть разными. Соответствующий период(ы) преконфигурируется на базовой станции и заранее сообщается на пользовательское устройство. Как отмечалось ранее, в полупостоянном режиме базовая станция дополнительно использует контрольную DL сигнализацию нисходящей линии связи (например, MAC сигнализацию) для предварительного указания пользовательскому устройству (активации) конкретных CSI-RS ресурсов. Отвечающий варианту осуществления настоящего изобретения подход к конфигурированию, на стороне пользовательского устройства посредством базовой станции, выбора заданного числа CSI-RS ресурсов, описанный выше со ссылкой на Фиг.9, 10 и Таблицы 1-3, в равной степени применим и к рассматриваемым здесь двум режимам CSI-RS. Согласно возможному варианту реализации, данное конфигурирование (например, посредством передачи соответствующего битового значения) может быть осуществлено посредством MAC сигнализации, RRC сигнализации или их сочетания.
В контексте DL H-BF, проиллюстрированным подходом, отвечающим настоящему изобретению, обеспечивается поддержка передачи на пользовательское устройство(а) нескольких наборов CSI-RS (в том числе, с использованием существенно разных аналоговых лучей) и поддержка возможности единовременного сообщения с пользовательского устройства на базовую станцию о нескольких выбранных CSI-RS посредством соответственным образом сформированной CSI (в том числе, о CSI-RS из разных наборов CSI-RS), чем, в свою очередь, на стороне базовой станции обеспечивается более гибкое планирование ресурсов для DL передачи. Более конкретно, по приему такой CSI базовая станция становится более информированной о проведенной пользовательским устройством(ами) оценке канала, соответственно, планировщик базовой станции становится в меньшей степени ограниченным и получает возможность планировать DL передачи на большее количество пользовательских устройств, с поддержкой эффективного функционирования обоих вышеописанных подходов к A-BF, т.е. с оптимизацией для SU-MIMO и с оптимизацией для MU-MIMO. Этим, в общем, обеспечивается повышение эффективности всей системы. Следует подчеркнуть, что указанное преимущество особенно актуально для систем xMIMO, которые характеризуются широкой полосой частот и эффективной пространственной организацией DL передач и для которых, соответственно, очень важна надлежащая поддержка использования MU-MIMO лучей.
Возвращаясь в виду вышесказанного к Фиг.5, в канве изложения по второму справа чертежу на данной фигуре предполагается, что на базовой станции преконфигурируется целевое количество
CSI-RS, равное 2. Преконфигурированный параметр
может быть сообщен на пользовательские устройства, к примеру, посредством использования подхода, описанного выше со ссылкой на Таблицы 1-3. В данном случае планировщик будет осуществлять планирование ресурсов только для тех пользовательских устройств, для которых первый луч будет как самым лучшим, так и вторым по качеству; соответственно, на базовой станции должна быть доступна CSI, сообщаемая от таких пользовательских устройств. Случай с
соответствует умеренному ограничению на планировщике. Данный случай проиллюстрирован на рассматриваемом чертеже наличием в секторе только треугольников и кружков, т.е. тех обслуживаемых пользовательских устройств, для которых первый луч является самым лучшим и вторым по качеству; остальные пользовательские устройства не показаны как необслуживаемые в соответствии с текущим умеренным ограничением на планировщике.
Наконец, в контексте изложения по самому правому чертежу на Фиг.5 предполагается, что на базовой станции преконфигурируется параметр
, равный 3. В этом случае на базовой станции может быть доступна CSI от всех пользовательских устройств, показанных находящимися в секторе на Фиг.5. Случай с
соответствует слабому ограничению на планировщике базовой станции, что проиллюстрировано на рассматриваемом чертеже наличием треугольников, кружков и квадратов. Иными словами, DL передачи (например, PDSCH) могут быть запланированы планировщиком для любых из пользовательских устройств сектора, независимо от того, что базовой станцией намечено использование только первого луча, и, следовательно, все пользовательские устройства в секторе могут считаться обслуживаемыми в указанном выше смысле. Этот случай может соответствовать иллюстрации по Фиг.9, 10, где с учетом трех CSI-RS, сообщенных посредством CSI, был выбран один MU-MIMO луч (первый луч в терминологии по Фиг.5) для планирования DL передач на пользовательские устройства.
Таким образом, на Фиг.5 стрелками указано направление смягчения ограничения на планировщике базовой станции, обеспечиваемое настоящим изобретением. Еще раз, поддерживаемое настоящим изобретением предоставление CSI в отношении нескольких аналоговых лучей (
) обеспечивает смягчение вышеописанного ограничения, накладываемого на планировщик базовой станции в контексте DL H-BF, по меньшей мере в силу того, что чем больше канальной информации сообщается пользовательскими устройствами на базовую станцию, тем больше гибкости у планировщика в смысле планирования передач PDSCH на большее количество пользовательских устройств.
Далее со ссылкой на схемы по Фиг.11-12 описывается передача CSI, сформированной на пользовательском устройстве, на базовую станцию посредством UCI согласно иллюстративным вариантам осуществления настоящего изобретения.
Как и в случае 5G NR, передача UCI, посредством которой сформированная CSI, включающая в себя, помимо прочего, CRI, RI, PMI, CQI, переносится с пользовательского устройства на базовую станцию, заблаговременно планируется на базовой станции. Далее, аналогично 5G NR, в рассматриваемых вариантах осуществления в UCI для передачи CSI выделяются две части: часть 1 c фиксированным размером полезной нагрузки и часть 2 c размером полезной нагрузки, который может быть переменным, при этом параметры, входящие в состав CSI, соответственно распределяются по части 1 и части 2 UCI: в часть 1 UCI предпочтительно помещаются параметры CSI, для передачи которых требуется постоянное или фиксированное число бит, а в часть 2 - параметры с переменным числом бит; для части 2 UCI также поддерживается механизм отбрасывания, описанный выше. Соответственно, для реализации данного механизма в рассматриваемых вариантах осуществления параметры CSI также упорядочиваются в части 2 UCI таким образом, что в конец части 2 помещаются параметры, которые в меньшей степени важны для функционирования системы.
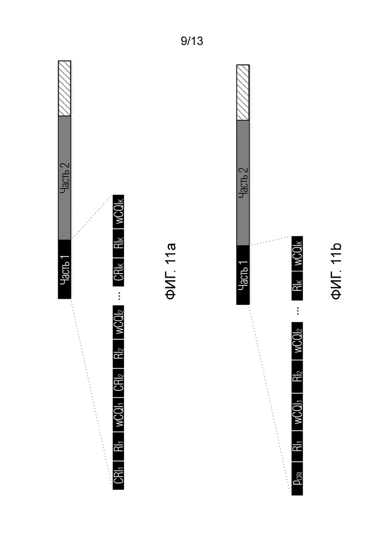
На Фиг.11a проиллюстрирован первый вариант осуществления заполнения части 1 UCI для случая, где CSI представляет собой WB отчет.
В соответствии с иллюстрацией по Фиг.11a, в часть 1 UCI помещается последовательность наборов {CRIi, RIi, wCQIi}, где
,
, обозначает индекс CSI-RS среди
выбранных CSI-RS, о которых сообщается в CSI с использованием соответствующих CRI (см. вышеприведенное описание со ссылкой на Фиг.9, 10 и Таблицы 1-3). Наборы {CRIi, RIi, wCQIi} в упомянутой последовательности могут быть упорядочены согласно уровням приемной мощности соответствующих CSI-RS. Так, {CRI1, RI1, wCQI1} будет соответствовать CSI-RS ресурсу с самым большим уровнем приемной мощности, {CRI2, RI2, wCQI2} будет соответствовать CSI-RS ресурсу со вторым по величине уровнем приемной мощности, и т.д. Следует отметить, что данный вариант упорядочения не является единственно возможным, и могут быть использованы другие варианты упорядочения рассматриваемых наборов в их последовательности, составляющей часть 1 UCI.
На Фиг.11b проиллюстрирован второй вариант осуществления заполнения части 1 UCI для случая, где CSI представляет собой WB отчет.
В рассматриваемом варианте осуществления, задействуется комбинаторное кодирование. А именно, осуществляется кодирование индексов
,
,
CSI-RS, о которых сообщается в CSI с использованием соответствующих CRI, среди совокупности последовательных индексов CSI-RS в количестве
, общей по всем передаваемым наборам CSI-RS (в частности, для варианта осуществления, раскрытого со ссылкой на Фиг.9, 10 и Таблицы 1-3,
), т.е.
, в виде кодового значения (кодовой точки)
:
. (1)
В уравнении (1)
,
.
В соответствии с иллюстрацией по Фиг.11b, в часть 1 UCI помещается кодовая точка
, которая посредством кодируемых ею индексов
представляет набор соответствующих {CRIi}, а также помещается последовательность наборов {RIi, wCQIi}, упорядоченная согласно порядку CRIi в наборе {CRIi}. По сравнению с первым вариантом осуществления, рассмотренным со ссылкой на Фиг.11a, второй вариант осуществления по Фиг.11b, очевидно, характеризуется меньшей битовой нагрузкой на UCI.
Далее, на Фиг.12a проиллюстрирован первый вариант осуществления заполнения части 1 UCI для случая, где CSI представляет собой SB отчет. Аналогично раскрытию по Фиг.11a, в соответствии с иллюстрацией на Фиг.12a, в часть 1 UCI помещается последовательность наборов {CRIi, RIi, wCQIi, sCQIi}, где
,
, обозначает индекс CRI среди
CRI, сообщаемых в CSI, при этом наборы {CRIi, RIi, wCQIi, sCQIi} в упомянутой последовательности могут быть также упорядочены согласно уровням приемной мощности соответствующих CSI-RS.
На Фиг.12b проиллюстрирован второй вариант осуществления заполнения части 1 UCI для случая, где CSI представляет собой SB отчет. В рассматриваемом варианте осуществления, аналогично раскрытию по Фиг.11b, задействуется комбинаторное кодирование с использованием уравнения (1), и в результате, в соответствии с иллюстрацией по Фиг.12b, в часть 1 UCI помещается кодовая точка
, которая посредством кодируемых ею индексов
представляет набор соответствующих {CRIi}, а также помещается последовательность наборов {RIi, wCQIi, sCQIi}, упорядоченная согласно порядку CRIi в наборе {CRIi}.
На Фиг.11c, 11d соответственно проиллюстрированы первый и второй варианты осуществления заполнения части 2 UCI для случая, где CSI представляет собой WB отчет.
В соответствии с иллюстрацией по Фиг.11с, в часть 2 UCI помещается последовательность наборов {wPMI1i, wPMI2i}, а согласно иллюстрации по Фиг.11d, в часть 2 UCI помещается набор {wPMI1i}, за которым следует набор {wPMI2i}. Для заполнения части 1 UCI, показанной на каждой из Фиг.11с, Фиг.11d, может неограничивающим образом использоваться либо вариант осуществления, показанный на Фиг.11a, или вариант осуществления, показанный на Фиг.11b, а также либо вариант осуществления, показанный на Фиг.12a, или вариант осуществления, показанный на Фиг.12b. В любом из указанных вариантов заполнения части 1 UCI, последовательность наборов {wPMI1i, wPMI2i} по Фиг.11с и каждый из наборов {wPMI1i}, {wPMI2i} по Фиг.11d будут упорядочены в части 2 UCI согласно упорядочению {CRIi} в части 1 UCI.
Наконец, на Фиг.12c, 12d соответственно проиллюстрированы первый и второй варианты осуществления заполнения части 2 UCI для случая, когда CSI представляет собой SB отчет.
В соответствии с иллюстрацией по Фиг.12с, в часть 2 UCI помещается набор {wPMI1i}, за которым следует набор {sPMI2i(e)} для четных частотных подканалов, за которым следует набор {sPMI2i(o)} для нечетных частотных подканалов, а согласно иллюстрации по Фиг.12d, в часть 2 UCI помещается последовательность наборов {wPMI1i, sPMI2i(e), sPMI2i(o)}.
Для заполнения части 1 UCI, показанной на каждой из Фиг.12с, Фиг.12d, может неограничивающим образом использоваться либо вариант осуществления, показанный на Фиг.12a, или вариант осуществления, показанный на Фиг.12b, а также либо вариант осуществления, показанный на Фиг.11a, или вариант осуществления, показанный на Фиг.11b. При любом из указанных вариантов заполнения части 1 UCI, каждый из наборов {wPMI1i}, {sPMI2i(e)}, {sPMI2i(o)} по Фиг.12c и последовательность наборов {wPMI1i, sPMI2i(e), sPMI2i(o)} по Фиг.12d будут упорядочены в части 2 UCI согласно упорядочению {CRIi} в части 1 UCI.
Варианты осуществления, рассмотренные выше со ссылкой на Фиг.11-12, по сути, представляют собой адаптацию используемого в 5G NR подхода к организации передачи параметров CSI в составе UCI для настоящего изобретения, в соответствии с которым в CSI могут передаваться параметры CSI, полученные на основе нескольких выбранных CSI-RS ресурсов. Следует подчеркнуть, что настоящим изобретением предусмотрено использование и других вариантов распределения параметров CSI по UCI, отличающихся от показанных на Фиг.11-12.
Затем со ссылкой на блок-схему по Фиг.13 приводится описание способа 1300 формирования CSI в системе беспроводной связи в контексте DL H-BF.
На этапе 1310 с базовой станции, например, такой как BS 802-A, 802-B, 802-C по Фиг.8, передается совокупность CSI-RS, которая может содержать два или более наборов CSI-RS. Например, как описано выше со ссылкой на Фиг.9-10, для передачи одного набора CSI-RS может использоваться поднабор SU-MIMO лучей, а для передачи другого набора CSI-RS может использоваться поднабор MU-MIMO лучей. Количество передаваемых CSI-RS в каждом наборе CSI-RS совокупности CSI-RS может конфигурироваться на базовой станции индивидуально для набора CSI-RS.
На этапе 1320 на пользовательском устройстве, например, таком как UE 801-1, 801-2, … по Фиг.8, выбирается заданное число
CSI-RS из наборов CSI-RS сигналов, принимаемых с базовой станции. На этапе 1320 на пользовательском устройстве выполняется оценка канала на основе каждого из выбранных
CSI-RS для вычисления соответствующего набора параметров, включая RI, PMI, CQI. На данном этапе пользовательское устройство также формирует CSI посредством включения в нее, для каждого из выбранных
CSI-RS, вычисленного для него набора параметров и соответствующего CRI.
Этапы 1310 и 1320 могут выполняться по приему от базовой станции запроса CSI, переданного посредством DCI (см. необязательный этап 1305, показанный пунктирным блоком на Фиг.13), при этом иллюстративные варианты конфигурирования конкретного выбора
CSI-RS среди принимаемых наборов CSI-RS на основе значения соответствующего битового поля в запросе CSI подробно обсуждены выше со ссылкой на Фиг.9, 10 и Таблицы 1-3. Здесь следует отметить, что этап 1305 может выполняться не перед этапом 1310, как проиллюстрировано на Фиг.13, а после этапа 1310; этим моментом не накладывается ограничение на настоящее изобретение.
На этапе 1330 пользовательское устройство передает сформированную CSI на базовую станцию, предпочтительно посредством UCI. Варианты размещения параметров CSI в составе UCI подробно обсуждены выше со ссылкой на Фиг.11-12.
Следует также понимать, что проиллюстрированные примерные варианты осуществления являются всего лишь предпочтительными, а не единственно возможными вариантами реализации настоящего изобретения. Точнее, объем настоящего изобретения определяется нижеследующей формулой изобретения и ее эквивалентами.
| название | год | авторы | номер документа |
|---|---|---|---|
| ПЕРЕДАЮЩЕЕ УСТРОЙСТВО БАЗОВОЙ СТАНЦИИ С АРХИТЕКТУРОЙ КОНФИГУРИРУЕМЫХ ГРУПП АНТЕННЫХ ЭЛЕМЕНТОВ И СПОСОБ ПОЛУЧЕНИЯ ИНФОРМАЦИИ СОСТОЯНИЯ КАНАЛА (CSI) | 2024 |
|
RU2838513C1 |
| СПОСОБЫ ФОРМИРОВАНИЯ ДИАГРАММЫ НАПРАВЛЕННОСТИ В НИСХОДЯЩЕЙ ЛИНИИ СВЯЗИ И СИСТЕМА БЕСПРОВОДНОЙ СВЯЗИ | 2024 |
|
RU2833492C1 |
| УСТРОЙСТВО И СПОСОБ ФОРМИРОВАНИЯ ДИАГРАММЫ НАПРАВЛЕННОСТИ ДЛЯ НИСХОДЯЩЕЙ ПЕРЕДАЧИ ДАННЫХ В СИСТЕМЕ БЕСПРОВОДНОЙ СВЯЗИ | 2023 |
|
RU2811989C1 |
| УСТРОЙСТВО И СПОСОБ ФОРМИРОВАНИЯ ДИАГРАММЫ НАПРАВЛЕННОСТИ ДЛЯ ПРИЕМА ПО ВОСХОДЯЩЕЙ ЛИНИИ СВЯЗИ | 2023 |
|
RU2817678C1 |
| УСТРОЙСТВА И СПОСОБЫ ФОРМИРОВАНИЯ ДИАГРАММЫ НАПРАВЛЕННОСТИ ДЛЯ ПРИЕМА ПО ВОСХОДЯЩЕЙ ЛИНИИ СВЯЗИ | 2024 |
|
RU2836039C1 |
| СПОСОБ ПЕРЕДАЧИ ОПОРНОГО СИГНАЛА ИНФОРМАЦИИ О СОСТОЯНИИ КАНАЛА | 2023 |
|
RU2820271C1 |
| УСТРОЙСТВА И СПОСОБЫ ФОРМИРОВАНИЯ ОПОРНЫХ СИГНАЛОВ ИНФОРМАЦИИ СОСТОЯНИЯ КАНАЛА В СИСТЕМЕ БЕСПРОВОДНОЙ СВЯЗИ | 2024 |
|
RU2824924C1 |
| СПОСОБ РАСШИРЕННОГО СООБЩЕНИЯ КАНАЛЬНЫХ СВОЙСТВ ДЛЯ X-MIMO СИСТЕМ, ПОЛЬЗОВАТЕЛЬСКОЕ ОБОРУДОВАНИЕ И БАЗОВАЯ СТАНЦИЯ, РЕАЛИЗУЮЩИЕ УПОМЯНУТЫЙ СПОСОБ | 2024 |
|
RU2838641C1 |
| СПОСОБ СООБЩЕНИЯ ИНФОРМАЦИИ О СОСТОЯНИИ КАНАЛА С СОКРАЩЕНИЕМ ЧИСЛА ПОРТОВ И РЕАЛИЗУЮЩЕЕ УПОМЯНУТЫЙ СПОСОБ УСТРОЙСТВО | 2024 |
|
RU2824879C1 |
| УКАЗАНИЕ ЛУЧА ДЛЯ УПРАВЛЕНИЯ МОЩНОСТЬЮ ВОСХОДЯЩЕЙ ЛИНИИ СВЯЗИ | 2018 |
|
RU2752694C1 |
Изобретение относится к области беспроводной связи и, более конкретно, к устройствам и способам формирования информации состояния канала (CSI). Техническим результатом является обеспечение гибкого формирования и сигнализирования СSI в контексте гибридного формирования диаграммы направленности для нисходящей линии связи, с поддержкой передачи нескольких наборов CSI-RS (в том числе, с использованием существенно разных пространственных лучей) на пользовательское устройство(а) и поддержкой возможности единовременного сообщения с пользовательского устройства на базовую станцию посредством CSI о нескольких CSI-RS (в том числе, о CSI-RS из разных наборов CSI-RS), чем, в свою очередь, на стороне базовой станции обеспечивается более гибкое планирование ресурсов для нисходящей передачи. Упомянутый технический результат достигается тем, что с базовой станции системы беспроводной связи осуществляют передачу совокупности опорных сигналов CSI-RS, причем совокупность CSI-RS содержит два или более наборов CSI-RS, и на пользовательском устройстве в системе беспроводной связи выбирают заданное число CSI-RS из наборов CSI-RS, принимаемых от базовой станции, и формируют CSI на основе выбранных CSI-RS, при этом CSI содержит, для каждого из выбранных CSI-RS, соответствующие параметры, включая идентификатор CSI-RS. 3 н. и 53 з.п. ф-лы, 13 ил., 3 табл.
1. Способ формирования информации состояния канала (CSI) в системе беспроводной связи, содержащий этапы, на которых:
с базовой станции (BS) системы беспроводной связи осуществляют передачу опорных сигналов информации состояния канала (CSI-RS), причем CSI-RS сигналы относятся к двум или более наборам CSI-RS ресурсов; и
на пользовательском устройстве (UE) в системе беспроводной связи, на основе измерений принимаемых CSI-RS сигналов, выбирают заданное число CSI-RS ресурсов среди двух или более наборов CSI-RS ресурсов и формируют CSI в отношении выбранных CSI-RS ресурсов, при этом CSI содержит, для каждого из выбранных CSI-RS ресурсов, по меньшей мере, идентификатор CSI-RS ресурса (CRI), указатель ранга (RI), указатель матрицы прекодинга (PMI), указатель качества канала (CQI).
2. Способ по п. 1, дополнительно содержащий этап, на котором передают сформированную CSI с пользовательского устройства на базовую станцию.
3. Способ по п. 2, в котором PMI представлен в CSI двумя параметрами: PMI1 и PMI2, где PMI1 относится к векторам дискретного преобразования Фурье (DFT-векторам), a PMI2 соответствует фазировке поляризаций в матрице прекодинга.
4. Способ по п. 3, в котором для передачи CSI-RS сигналов базовая станция использует набор пространственных лучей, при этом упомянутые два или более наборов CSI-RS ресурсов включают в себя первый набор CSI-RS ресурсов для передачи с использованием поднабора лучей первого типа из набора пространственных лучей и второй набор CSI-RS ресурсов для передачи с использованием поднабора лучей второго типа из набора пространственных лучей.
5. Способ по п. 4, в котором лучами первого типа являются более узкие лучи с более высоким коэффициентом усиления, ориентированные на однопользовательский режим MIMO (SU-MIMO), а лучами второго типа являются более широкие лучи с более низким коэффициентом усиления, ориентированные на многопользовательский режим MIMO (MU-MIMO).
6. Способ по любому одному из пп. 1-5, в котором количество CSI-RS ресурсов в каждом из упомянутых двух или более наборов CSI-RS ресурсов заранее задается на базовой станции индивидуально для набора CSI-RS ресурсов и заблаговременно сигнализируется с базовой станции на пользовательское устройство.
7. Способ по любому одному из пп. 2-6, в котором упомянутые выбор заданного числа CSI-RS ресурсов, формирование CSI и передача CSI осуществляются по приему запроса CSI от базовой станции.
8. Способ по любому одному из пп. 2-6, в котором упомянутые выбор заданного числа CSI-RS ресурсов, формирование CSI и передача CSI осуществляются периодически, с по меньшей мере одним заранее определенным периодом, причем данный по меньшей мере один заранее определенный период заранее задается на базовой станции и заблаговременно сигнализируется с базовой станции на пользовательское устройство.
9. Способ по п. 8, в котором базовая станция дополнительно использует контрольную сигнализацию нисходящей линии связи (DL) для указания пользовательскому устройству конкретных CSI-RS ресурсов, в отношении которых должна быть сформирована CSI, причем контрольная DL сигнализация передается посредством сообщения уровня управления доступом к среде (MAC).
10. Способ по п. 7, в котором запрос CSI передается посредством управляющей информации нисходящей линии связи (DCI), при этом запрос CSI содержит битовое поле, причем значение битового поля является соответственно выбранным на базовой станции из совокупности битовых значений, при этом каждое значение битового поля из по меньшей мере части совокупности битовых значений является указанием, по меньшей мере, заданного числа CSI-RS ресурсов, в отношении которых должна быть сформирована CSI.
11. Способ по п. 10, в котором при упомянутом выборе заданного числа CSI-RS ресурсов заданное число CSI-RS ресурсов выбирают в соответствии со значением битового поля в запросе CSI по всем наборам CSI-RS ресурсов.
12. Способ по п. 11, в котором упомянутый выбор заданного числа CSI-RS ресурсов в соответствии со значением битового поля осуществляют на основе измерения приемной мощности CSI-RS сигналов.
13. Способ по п. 11 или 12, в котором в отношении CSI-RS ресурса каждого из по меньшей мере одного из упомянутых двух или более наборов CSI-RS ресурсов на базовой станции задан соответствующий сдвиг по мощности, причем сдвиг по мощности заблаговременно сигнализируется с базовой станции на пользовательское устройство, при этом, при упомянутом выборе заданного числа CSI-RS ресурсов по всем наборам CSI-RS ресурсов, на пользовательском устройстве соответственно применяют заданный сдвиг по мощности в отношении каждого из упомянутого по меньшей мере одного набора CSI-RS ресурсов.
14. Способ по п. 10, в котором каждое значение битового поля из упомянутой по меньшей мере части совокупности битовых значений дополнительно является указанием по меньшей мере одного набора CSI-RS ресурсов из упомянутых двух или более наборов CSI-RS ресурсов.
15. Способ по п. 14, в котором при упомянутом выборе заданного числа CSI-RS ресурсов заданное число CSI-RS ресурсов выбирают в соответствии со значением битового поля в запросе CSI по указанному по меньшей мере одному набору CSI-RS ресурсов.
16. Способ по п. 15, в котором упомянутый выбор заданного числа CSI-RS в соответствии со значением битового поля осуществляют на основе измерения приемной мощности CSI-RS сигналов в указанном по меньшей мере одном наборе CSI-RS ресурсов.
17. Способ по п. 15 или 16, в котором заданное число CSI-RS ресурсов выбирают независимо по каждому из указанного по меньшей мере одного набора CSI-RS ресурсов.
18. Способ по любому одному из пп. 10-17, в котором упомянутая совокупность битовых значений заранее задается на базовой станции и заблаговременно сигнализируется с базовой станции на пользовательское устройство посредством сигнализации уровня управления радиоресурсами (RRC).
19. Способ по любому одному из пп. 3-18, в котором CSI передается посредством управляющей информации восходящей линии связи (UCI), причем упомянутые параметры CSI размещены в первой части UCI и второй части UCI, при этом размер полезной нагрузки первой части UCI является фиксированным, а размер полезной нагрузки второй части UCI является переменным и зависимым от содержимого UCI в первой части.
20. Способ по п. 19, в котором упомянутые параметры CSI содержат параметры, относящиеся к отчету о широкополосном канале (WB).
21. Способ по п. 20, в котором первая часть UCI содержит последовательность наборов {CRIi, RIi, wCQIi}, где i, 1≤i≤K, - индекс выбранного CSI-RS ресурса, о котором сообщается в CSI, K - упомянутое заданное число CSI-RS ресурсов, wCQI обозначает CQI, относящийся к WB отчету.
22. Способ по п. 21, в котором наборы {CRIi, RIi, wCQIi} упорядочены в упомянутой последовательности наборов согласно уровням приемной мощности соответствующих CSI-RS сигналов.
23. Способ по п. 20, в котором первая часть UCI содержит кодовое значение, которое является результатом комбинаторного кодирования и представляет набор {CRIi} и последовательность наборов {RIi, wCQIi}, упорядоченную согласно порядку CRIi в наборе {CRIi}, где i, 1≤i≤K, - индекс выбранного CSI-RS ресурса, о котором сообщается в CSI, K - упомянутое заданное число CSI-RS ресурсов, wCQI обозначает CQI, относящийся к WB отчету.
24. Способ по п. 20, в котором упомянутые параметры CSI дополнительно содержат параметры, относящиеся к отчету о частотных подканалах (SB).
25. Способ по п. 24, в котором первая часть UCI содержит последовательность наборов {CRIi, RIi, wCQIi, sCQIi}, где i, 1≤i≤K, - индекс выбранного CSI-RS ресурса, о котором сообщается в CSI, K - упомянутое заданное число CSI-RS ресурсов, wCQI обозначает CQI, относящийся к WB отчету, sCQI обозначает CQI, относящийся к SB отчету.
26. Способ по п. 25, в котором наборы {CRIi, RIi, wCQIi, sCQIi} упорядочены в упомянутой последовательности наборов согласно уровням приемной мощности соответствующих CSI-RS сигналов.
27. Способ по п. 24, в котором первая часть UCI содержит кодовое значение, которое является результатом комбинаторного кодирования и представляет набор {CRIi} и последовательность наборов {RIi, wCQIi, sCQIi}, упорядоченную согласно порядку CRIi в наборе {CRIi}, где i, 1≤i≤K, - индекс выбранного CSI-RS ресурса, о котором сообщается в CSI, K - упомянутое заданное число CSI-RS ресурсов, wCQI обозначает CQI, относящийся к WB отчету, sCQI обозначает CQI, относящийся к SB отчету.
28. Способ по любому одному из пп. 21-23, 25-27, в котором вторая часть UCI содержит
последовательность наборов {wPMI1i, wPMI2i}, упорядоченную согласно упорядочению {CRIi} в первой части UCI, либо
первый набор {wPMI1i}, за которым следует второй набор {wPMI2i}, причем каждый из первого набора и второго набора упорядочен согласно упорядочению {CRIi} в первой части UCI,
где wPMI1, wPMI2 соответственно обозначают PMI1, PMI2, относящиеся к WB отчету.
29. Способ по любому одному из пп. 21-23, 25-27, в котором вторая часть UCI содержит
первый набор {wPMIli}, за которым следует второй набор {sPMI2i(e)}, за которым следует третий набор {sPMI2i(o)}, причем каждый из первого набора, второго набора и третьего набора упорядочен согласно упорядочению {CRIi} в первой части UCI, либо
последовательность наборов {wPMIli, sPMI2i(e), sPMI2i(o)}, причем наборы {wPMIli, sPMI2i(e), sPMI2i(o)} упорядочены в данной последовательности наборов согласно упорядочению {CRIi} в первой части UCI,
где sPMI2 обозначает PMI2, относящийся к SB отчету, sPMI2i(e) обозначает sPMI2i для четного частотного подканала, sPMI2i(o) обозначает sPMI2i для нечетного частотного подканала.
30. Способ формирования информации состояния канала (CSI), выполняемый на пользовательском устройстве (UE) в системе беспроводной связи, при этом способ содержит этапы, на которых:
принимают от базовой станции (BS) системы беспроводной связи запрос CSI, содержащий указание, по меньшей мере, заданного числа ресурсов опорных сигналов информации состояния канала (CSI-RS), в отношении которых должна быть сформирована CSI;
принимают от базовой станции CSI-RS сигналы, причем CSI-RS сигналы относятся к двум или более наборам CSI-RS ресурсов; и
на основе измерений принимаемых CSI-RS сигналов выбирают заданное число CSI-RS ресурсов среди двух или более наборов CSI-RS ресурсов в соответствии с упомянутым указанием в принятом запросе CSI и формируют CSI в отношении выбранных CSI-RS ресурсов, при этом CSI содержит, для каждого из выбранных CSI-RS ресурсов, по меньшей мере, идентификатор CSI-RS ресурса (CRI), указатель ранга (RI), указатель матрицы прекодинга (PMI), указатель качества канала (CQI).
31. Способ по п. 30, дополнительно содержащий этап, на котором передают сформированную CSI с пользовательского устройства на базовую станцию.
32. Способ по п. 31, в котором PMI представлен в CSI двумя параметрами: PMI1 и PMI2, где PMI1 относится к DFT-векторам, а PMI2 соответствует фазировке поляризаций в матрице прекодинга.
33. Способ по п. 32, в котором для передачи CSI-RS сигналов базовая станция использует набор пространственных лучей, при этом упомянутые два или более наборов CSI-RS ресурсов включают в себя первый набор CSI-RS ресурсов для передачи с использованием поднабора лучей первого типа из набора пространственных лучей и второй набор CSI-RS ресурсов для передачи с использованием поднабора лучей второго типа из набора пространственных лучей.
34. Способ по п. 33, в котором лучами первого типа являются более узкие лучи с более высоким коэффициентом усиления, ориентированные на SU-MIMO, а лучами второго типа являются более широкие лучи с более низким коэффициентом усиления, ориентированные на MU-MIMO.
35. Способ по любому одному из пп. 30-34, в котором количество CSI-RS ресурсов в каждом из упомянутых двух или более наборов CSI-RS ресурсов заранее задано на базовой станции индивидуально для набора CSI-RS ресурсов и заблаговременно просигнализировано с базовой станции на пользовательское устройство.
36. Способ по любому одному из пп. 31-35, в котором запрос CSI передается посредством DCI, при этом запрос CSI содержит битовое поле, причем значение битового поля является соответственно выбранным на базовой станции из совокупности битовых значений, при этом каждое значение битового поля из по меньшей мере части совокупности битовых является указанием, по меньшей мере, заданного числа CSI-RS ресурсов, в отношении которых должна быть сформирована CSI.
37. Способ по п. 36, в котором при упомянутом выборе заданного числа CSI-RS ресурсов заданное число CSI-RS ресурсов выбирают в соответствии со значением битового поля в запросе CSI по всем наборам CSI-RS ресурсов.
38. Способ по п. 37, в котором упомянутый выбор заданного числа CSI-RS ресурсов в соответствии со значением битового поля осуществляют на основе измерения приемной мощности CSI-RS сигналов.
39. Способ по п. 37 или 38, в котором в отношении CSI-RS ресурса каждого из по меньшей мере одного из упомянутых двух или более наборов CSI-RS ресурсов на базовой станции задан соответствующий сдвиг по мощности, причем сдвиг по мощности заблаговременно просигнализирован с базовой станции на пользовательское устройство, при этом, при упомянутом выборе заданного числа CSI-RS ресурсов по всем наборам CSI-RS ресурсов, на пользовательском устройстве соответственно применяют заданный сдвиг по мощности в отношении каждого из упомянутого по меньшей мере одного набора CSI-RS ресурсов.
40. Способ по п. 36, в котором каждое значение битового поля из упомянутой по меньшей мере части совокупности битовых значений дополнительно является указанием по меньшей мере одного набора CSI-RS ресурсов в упомянутых двух или более наборах CSI-RS ресурсов.
41. Способ по п. 40, в котором при упомянутом выборе заданного числа CSI-RS ресурсов заданное число CSI-RS ресурсов выбирают в соответствии со значением битового поля в запросе CSI по указанному по меньшей мере одному набору CSI-RS ресурсов.
42. Способ по п. 41, в котором упомянутый выбор заданного числа CSI-RS ресурсов в соответствии со значением битового поля осуществляют на основе измерения приемной мощности CSI-RS сигналов в указанном по меньшей мере одном наборе CSI-RS ресурсов.
43. Способ по п. 41 или 42, в котором заданное число CSI-RS ресурсов выбирают независимо по каждому из указанного по меньшей мере одного набора CSI-RS ресурсов.
44. Способ по любому одному из пп. 36-43, в котором упомянутая совокупность битовых значений заранее задана на базовой станции и заблаговременно просигнализирована с базовой станции на пользовательское устройство посредством RRC сигнализации.
45. Способ по любому одному из пп. 32-44, в котором CSI передается посредством UCI, причем упомянутые параметры CSI размещены в первой части UCI и второй части UCI, при этом размер полезной нагрузки первой части UCI является фиксированным, а размер полезной нагрузки второй части UCI является переменным и зависимым от содержимого UCI в первой части.
46. Способ по п. 45, в котором упомянутые параметры CSI содержат параметры, относящиеся к отчету о широкополосном канале (WB).
47. Способ по п. 46, в котором первая часть UCI содержит последовательность наборов {CRIi, RIi, wCQIi}, где i, 1≤i≤K, индекс выбранного CSI-RS ресурса, о котором сообщается в CSI, K - упомянутое заданное число CSI-RS ресурсов, wCQI обозначает CQI, относящийся к WB отчету.
48. Способ по п. 47, в котором наборы {CRIi, RIi, wCQIi} упорядочены в упомянутой последовательности наборов согласно уровням приемной мощности соответствующих CSI-RS сигналов.
49. Способ по п. 46, в котором первая часть UCI содержит кодовое значение, которое является результатом комбинаторного кодирования и представляет набор {CRIi} и последовательность наборов {RIi, wCQIi}, упорядоченную согласно порядку CRIi в наборе {CRIi}, где i, 1≤i≤K, - индекс выбранного CSI-RS ресурса, о котором сообщается в CSI, K - упомянутое заданное число CSI-RS ресурсов, wCQI обозначает CQI, относящийся к WB отчету.
50. Способ по п. 46, в котором упомянутые параметры CSI дополнительно содержат параметры, относящиеся к отчету о частотных подканалах (SB).
51. Способ по п. 50, в котором первая часть UCI содержит последовательность наборов {CRIi, RIi, wCQIi, sCQIi}, где i, 1≤i≤K, - индекс выбранного CSI-RS ресурса, о котором сообщается в CSI, K - упомянутое заданное число CSI-RS ресурсов, wCQI обозначает CQI, относящийся к WB отчету, sCQI обозначает CQI, относящийся к SB отчету.
52. Способ по п. 51, в котором наборы {CRIi, RIi, wCQIi, sCQIi} упорядочены в упомянутой последовательности наборов согласно уровням приемной мощности соответствующих CSI-RS сигналов.
53. Способ по п. 50, в котором первая часть UCI содержит кодовое значение, которое является результатом комбинаторного кодирования и представляет набор {CRIi} и последовательность наборов {Rli, wCQIi, sCQIi}, упорядоченную согласно порядку CRIi в наборе {CRIi}, где i, 1≤i≤K, - индекс выбранного CSI-RS ресурса, о котором сообщается в CSI, K - упомянутое заданное число CSI-RS ресурсов, wCQI обозначает CQI, относящийся к WB отчету, sCQI обозначает CQI, относящийся к SB отчету.
54. Способ по любому одному из пп. 47-49, 51-53, в котором вторая часть UCI содержит
последовательность наборов {wPMI1i, wPMI2i}, упорядоченную согласно упорядочению {CRIi} в первой части UCI, либо
первый набор {wPMI1i}, за которым следует второй набор {wPMI2i}, причем каждый из первого набора и второго набора упорядочен согласно упорядочению {CRIi} в первой части UCI,
где wPMI1, wPMI2 соответственно обозначают PMI1, PMI2, относящиеся к WB отчету.
55. Способ по любому одному из пп. 47-49, 51-53, в котором вторая часть UCI содержит
первый набор {wPMI1i}, за которым следует второй набор {sPMI2i(e)}, за которым следует третий набор {sPMI2i(o)}, причем каждый из первого набора, второго набора и третьего набора упорядочен согласно упорядочению {CRIi} в первой части UCI, либо
последовательность наборов {wPMI1i, sPMI2i(e), sPMI2i(o)}, причем наборы {wPMI1i, sPMI2i(e), sPMI2i(o)} упорядочены в данной последовательности наборов согласно упорядочению {CRIi} в первой части UCI,
где sPMI2 обозначает PMI2, относящийся к SB отчету, sPMI2i(e) обозначает sPMI2i для четного частотного подканала, sPMI2i(o) обозначает sPMI2i для нечетного частотного подканала.
56. Пользовательское устройство (UE), содержащее по меньшей мере: приемопередающие устройства, устройства обработки данных и устройства хранения данных, при этом в устройстве хранения данных пользовательского устройства сохранены машиноисполняемые коды, которые при их исполнении устройствами обработки данных предписывают пользовательскому устройству:
принимать от базовой станции (BS) запрос CSI, содержащий указание, по меньшей мере, заданного числа CSI-RS ресурсов, в отношении которых должна быть сформирована CSI;
принимать от базовой станции CSI-RS сигналы, причем CSI-RS сигналы относятся к двум или более наборам CSI-RS ресурсов; и
на основе измерений принимаемых CSI-RS сигналов выбирать заданное число CSI-RS ресурсов среди двух или более наборов CSI-RS ресурсов в соответствии с упомянутым указанием в принятом запросе CSI и формировать CSI в отношении выбранных CSI-RS ресурсов, при этом CSI содержит, для каждого из выбранных CSI-RS ресурсов, по меньшей мере, идентификатор CSI-RS ресурса (CRI), указатель ранга (RI), указатель матрицы прекодинга (PMI), указатель качества канала (CQI).
| US 20200322957 A1, 08.10.2020 | |||
| US 20180241445 A1, 23.08.2018 | |||
| КОНСТРУКЦИЯ ОПОРНОГО СИГНАЛА ДЛЯ СИСТЕМ БЕСПРОВОДНОЙ СВЯЗИ | 2017 |
|
RU2737391C2 |
| СПОСОБ ДЛЯ ПЕРЕДАЧИ ОТЧЕТА С ИНФОРМАЦИЕЙ СОСТОЯНИЯ КАНАЛА В СИСТЕМЕ БЕСПРОВОДНОЙ СВЯЗИ И УСТРОЙСТВО ДЛЯ ЭТОГО | 2018 |
|
RU2699586C1 |
| US 20200068463 A1, 27.02.2020 | |||
| US 2013003788 A1, 03.01.2013 | |||
| US 2018034612 A1, 01.02.2018 | |||
| WO 2022131817 A1, 23.06.2022 | |||
| US 2018054290 A1, 22.02.2018. | |||
Авторы
Даты
2025-01-28—Публикация
2024-04-08—Подача