ПЕСТИЦИДНЫЕ ПИРАЗОЛЬНЫЕ И ТРИАЗОЛЬНЫЕ ПРОИЗВОДНЫЕ Российский патент 2025 года по МПК C07D417/12 C07D417/14 A01N43/78 A01N47/34 

Описание патента на изобретение RU2834738C2

Беспозвоночные вредители и, в частности, насекомые, паукообразные и нематоды, поражают растущие и собранные сельскохозяйственные культуры и нападают на деревянные жилые дома и торговые помещения и сооружения, тем самым вызывая большие экономические потери относительно продовольственных ресурсов и имущества. Соответственно, существует постоянная потребность в новых средствах для подавления беспозвоночных вредителей.

Карбамоилированные и тиокарбамоилированные оксимные производные для применения в качестве пестицидов известны, например, из патентной публикации WO 2016/156076, а семикарбазонные и тиосемикарбазонные производные для применения в качестве пестицидов известны из патентной публикации WO 2016/116445.

Вследствие способности целевых вредителей развивать устойчивость к пестицидно активным средствам, существует постоянная потребность в выявлении дополнительных соединений, которые пригодны для подавления беспозвоночных вредителей, таких как насекомые, паукообразные и нематоды. Кроме того, существует потребность в новых соединениях, обладающих высокой пестицидной активностью и демонстрирующих широкий спектр активности в отношении большого числа различных беспозвоночных вредителей, в особенности, в отношении насекомых, паукообразных и нематод, борьба с которыми вызывает трудности.

Таким образом, цель настоящего изобретения заключалась в выявлении и обеспечении соединений, которые проявляют высокую пестицидную активность и обладают широким спектром активности в отношении беспозвоночных вредителей.

Было обнаружено, что этой цели можно достичь с помощью замещенных бициклических соединений формулы (I), как изображено и определено ниже, включая их стереоизомеры, их соли, в частности, их сельскохозяйственно или ветеринарно приемлемые соли, их таутомеры и их N-оксиды.

В первом аспекте настоящее изобретение относится к соединениям формулы (I)

где

А означает N или CRA;

В1 означает N или CRB1;

В2 означает N или CRB2;

В3 означает N или CRB3;

В4 означает CRB4;

RA означает Н, галоген, N3, ОН, CN, NO2, -SCN, -SF5, C1-C6-алкил, C1-C6-алкокси, С26-алкенил, три-С16-алкилсилил, С26-алкинил, C16-алкокси-С14-алкил, С16-алкокси-С14-алкокси, С36-циклоалкил, С3-C6-циклоалкокси, С36-циклоалкил-С14-алкил, С14-алкил-С36-циклоалкокси, где алкильные, алкокси, алкенильные, алкинильные, циклоалкильные и циклоалкокси фрагменты не замещены или замещены галогеном,

C(=O)-ORa, NRbRc, C1-C6-алкилен-NRbRc, O-C1-C6-алкилен-NRbRc, C1-C6-алкилен-CN, NH-C1-C6-алкилен-NRbRc, C(=O)-NRbRc, C(=O)-Rd, SO2NRbRc или S(=O)mRe, фенил, фенокси, фенилкарбонил, фенилтио или -CH2-фенил, где фенильные кольца не замещены или замещены посредством Rf;

RB1, RB2, RB3 и RB4 независимо друг от друга означают Н, галоген, N3, ОН, CN, NO2, -SCN, -SF5, C1-C6-алкил, C1-C6-алкокси, С26-алкенил, три-C1-C6-алкилсилил, С26-алкинил, С16-алкокси-С14-алкил, С16-алкокси-С14-алкокси, С36-циклоалкил, С36-циклоалкокси, С36-циклоалкил-С14-алкил, С14-алкил-С36-циклоалкокси, где алкильные, алкокси, алкенильные, алкинильные, циклоалкильные и циклоалкокси фрагменты не замещены или замещены галогеном,

C(=O)-ORa, NRbRc, C1-C6-алкилен-NRbRc, O-C1-C6-алкилен-NRbRc, C1-C6-алкилен-CN, NH-C1-C6-алкилен-NRbRc, C(=O)-NRbRc, C(=O)-Rd, SO2NRbRc или S(=O)mRe, фенил, фенокси, фенилкарбонил, фенилтио или -СН2-фенил, где фенильные кольца не замещены или замещены посредством Rf; Q означает -C(R4R5)-O-, -C(=O)-O-, -S(=O)m-C(R7R8)-, -N(R2)-S(=O)m-, -N(R2)-C(R9R10)-, -C(=O)-C(R19R20)-, -N(R2)-C(=O)-, -N(R2)-C(=S)-, -C(R13R14)-C(R15R16)-, -N=C(X)-, -N(R2)-C(=NR)- или -C(R17)=C(R18)-; где Ar присоединен к одной из сторон Q;

m означает 0, 1 или 2;

X означает Н, галоген, SR7, OR8 или N(R3)2;

R означает Н, CN, C1-C6-алкил, С26-алкенил, С26-алкинил или С36-циклоалкил, где алкильные, алкенильные и циклоалкильные фрагменты не замещены или замещены галогеном,

OR8, N(R3)2;

R3 означает Н, C16-алкил, С16-алкокси-С14-алкил;

R2 означает Н, C1-C6-алкил, С26-алкенил, С26-алкинил, C1-C6-алкокси-С14-алкил, С36-циклоалкил, С36-циклоалкил-С14-алкил, С36-циклоалкокси-С14-алкил, где алкильные, алкокси, алкенильные, алкинильные, циклоалкильные и циклоалкокси фрагменты не замещены или замещены галогеном,

C(=O)-ORa, C1-C6-алкилен-NRbRc, С16-алкилен-CN, C(=O)-NRbRc, С(=O)-Rd, SO2NRbRc, S(=O)mRe, фенил или -СН2-фенил, где фенильные кольца не замещены или замещены посредством Rf;

R4, R5, R7, R8, R9, R10, R13, R14, R15, R16, R17, R18, R19, R20 являются одинаковыми или разными и означают Н, галоген, C1-C6-алкил, С26-алкенил, С26-алкинил, С16-алкокси-С14-алкил, С36-циклоалкил, С36-циклоалкил-С14-алкил, С36-циклоалкокси-С14-алкил, где алкильные, алкокси, алкенильные, алкинильные, циклоалкильные и циклоалкокси фрагменты не замещены или замещены галогеном,

C(=O)-ORa, C1-C6-алкилен-NRbRc, С16-алкилен-CN, C(=O)-NRbRc, С(=O)-Rd, SO2NRbRc, S(=O)mRe, фенил или -СН2-фенил, где фенильные кольца не замещены или замещены посредством Rf;

R6 означает Н, C16-алкил, С26-алкенил, С26-алкинил, C16-алкокси-С14-алкил, С36-циклоалкил, С36-циклоалкил-С14-алкил, С36-циклоалкокси-С14-алкил, где алкильные, алкокси, алкенильные, алкинильные, циклоалкильные и циклоалкокси фрагменты не замещены или замещены галогеном,

или R6 означает -СН2-фенил, где фенильные кольца не замещены или замещены посредством Rf;

Ar означает фенил или 5- или 6-членный гетарил, или 1,3-бензодиоксол, которые не замещены или замещены посредством RAr, где

RAr означает галоген, N3, ОН, CN, NO2, -SCN, -SF5, С16-алкил, C1-C6-алкокси, С26-алкенил, три-С16-алкилсилил, С26-алкинил, C1-C6-алкокси-С14-алкил, С16-алкокси-С14-алкокси, С36-циклоалкил, С3-C6-циклоалкокси, С36-циклоалкил-С14-алкил, С36-циклоалкокси-С14-алкил, где алкильные, алкокси, алкенильные, алкинильные, циклоалкильные и циклоалкокси фрагменты не замещены или замещены галогеном,

C(=C-)-ORa, NRbRc, C1-C6-алкилен-NRbRc, O-C1-C6-алкилен-NRbRc, C1-C6-алкилен-CN, NH-C1-C6-алкилен-NRbRc, C(=O)-NRbRc, C(=O)-Rd, SO2NRbRc или S(=O)mRe, фенил, фенокси, фенилкарбонил, фенилтио или СН2-фенил, где фенильные кольца не замещены или замещены посредством Rf;

R1 означает фрагмент формулы Y-Z-T-R11 или Y-Z-T-R12; где

Y означает -CRya=N-, где N присоединен к Z;

-NRyc-С(=O)-, где С(=O) присоединен к Z; или

-NRyc-C(=S)- где C(=S) присоединен к Z;

Z означает одинарную связь;

-NRzc-C(=O)-, где С(=O) присоединен к Т;

-NRzc-C(=S)-, где C(=S) присоединен к Т;

-N=C(S-Rza)-, где Т присоединен к атому углерода;

-O-С(=O)-, где Т присоединен к атому углерода; или

-NRzc-C(S-Rza)=, где Т присоединен к атому углерода;

Т означает О, N или N-RT;

R11 означает C16-алкил, С26-алкенил, С26-алкинил, С16-алкокси-С14-алкил, С36-циклоалкил, С36-циклоалкил-С14-алкил, С14-алкил-С36-циклоалкокси, где алкильные, алкокси, алкенильные, алкинильные, циклоалкильные и циклоалкокси фрагменты не замещены или замещены галогеном,

C1-C6-алкилен-NRbRc, С16-алкилен-CN, C(=O)-NRbRc, C(=O)-Rd, арил, арилкарбонил, арил-С14-алкил, арилокси-С14-алкил, гетарил, карбонилгетарил, гетарил-С14-алкил или гетарилокси-С14-алкил, где фенильные кольца не замещены или замещены посредством Rg, и где гетарил означает 5- или 6-членный моноциклический гетарил или 8-, 9- или 10-членный бициклический гетарил;

при условии, что когда Т означает О, R11 является другим, чем C1-C6-алкил;

R12 означает радикал формулы А1

где # указывает место присоединения к Т;

R121, R122, R123 являются одинаковыми или разными и означают Н, галоген, C1-C6-алкил, С26-алкенил, С26-алкинил, С16-алкокси-С14-алкил, C1-C6-алкокси, С26-алкенилокси, С26-алкинилокси, С16-алкокси-С14-алкокси, C16-алкилкарбонилокси, C16-алкенилкарбонилокси, С36-циклоалкилкарбонилокси, где алкильные, алкокси, алкенильные, алкенилокси, алкинильные, алкинилокси и циклоалкильные фрагменты не замещены или замещены галогеном, или NRbRc, или один из R121, R122, R123 также может означать оксо;

R124 означает Н, C16-алкил, С16-алкокси-С14-алкил, C16-алкокси или С26-алкенилокси, где алкильные, алкокси, алкенильные и алкенилокси фрагменты не замещены или замещены галогеном;

и где

Rya означает Н, галоген, C16-алкил, C16-алкокси, которые не замещены или замещены галогеном,

фенил или СН2-фенил, где фенильные кольца не замещены или замещены посредством Rf;

Ryc, Rzc являются одинаковыми или разными и означают Н, C16-алкил, С26-алкенил, С26-алкинил, С14-алкил-С16-алкокси, С36-циклоалкил, С14-алкил-С36-циклоалкил или С14-алкил-С36-циклоалкокси, где алкильные, алкокси, алкенильные, алкинильные, циклоалкильные и циклоалкокси фрагменты не замещены или замещены галогеном;

RT означает Н, C16-алкил, С26-алкенил, С26-алкинил, С14-алкил-C16-алкокси, С36-циклоалкил, С36-циклоалкил-С14-алкил, С36-цикло-алкокси-С14-алкил, где алкильные, алкокси, алкенильные, алкинильные, циклоалкильные и циклоалкокси фрагменты не замещены или замещены галогеном,

C(=C-)-ORa, C1-C6-алкилен-NRbRc, С16-алкилен-CN, C(=O)-NRbRc, С(=O)-Rd, SO2NRbRc, S(=O)mRe, фенил или -СН2-фенил, где фенильные кольца не замещены или замещены посредством Rf;

RZC вместе с RT, в случае присутствия, могут образовывать C16-алкиленовую или линейную С26-алкениленовую группу, где в линейном C1-C6-алкилене и линейном С26-алкенилене СН2 фрагмент может быть заменен на карбонил или C=N-R', и/или где 1 или 2 СН2 фрагмента могут быть заменены на О или S, и/или где линейный C16-алкилен и линейный С26-алкенилен могут быть не замещены или замещены посредством Rh;

Rza означает Н, C1-C6-алкил, C1-C6-алкокси, С26-алкенил, три-C16-алкилсилил, С26-алкинил, С14-алкил-С16-алкокси, С36-циклоалкил, C14-алкил-С36-циклоалкокси, С14-алкил-С36-циклоалкил, где алкильные, алкокси, алкенильные, алкинильные, циклоалкильные и циклоалкокси фрагменты не замещены или замещены галогеном, C1-C6-алкилен-NRbRc, С16-алкилен-CN, C(=O)-NRbRc, C(=O)-Rd, фенил, фенилкарбонил или -CH2-фенил, где фенильные кольца не замещены или замещены посредством Rf;

Rza вместе с RT, в случае присутствия, могут образовывать C16-алкиленовую или линейную С26-алкениленовую группу, где в линейном C1-C6-алкилене и линейном С26-алкенилене СН2 фрагмент может быть заменен на карбонил или C=N-R', и/или где 1 или 2 СН2 фрагмента могут быть заменены на О или S, и/или где линейный C16-алкилен и линейный С26-алкенилен могут быть не замещены или замещены посредством Rh;

Ra, Rb и Rc являются одинаковыми или разными и означают Н, C16-алкил, С26-алкенил, С26-алкинил, С16-алкокси-С14-алкил, С36-циклоалкил, С36-циклоалкил-С14-алкил, С36-циклоалкокси-С14-алкил, где алкильные, алкокси, алкенильные, алкинильные, циклоалкильные и циклоалкокси фрагменты не замещены или замещены галогеном,

C16-алкилен-CN, фенил или СН2-фенил, где фенильные кольца не замещены или замещены посредством Rf;

Rd означает Н, C16-алкил, С26-алкенил, С26-алкинил, C1-C6-алкокси-С14-алкил, С36-циклоалкил, С36-циклоалкил-С14-алкил, С36-циклоалкокси-С14-алкил, где алкильные, алкокси, алкенильные, алкинильные, циклоалкильные и циклоалкокси фрагменты не замещены или замещены галогеном,

фенил или -СН2-фенил, где фенильные кольца не замещены или замещены посредством Rf;

Re означает C16-алкил, С36-циклоалкил, С36-циклоалкил-С14-алкил, где алкильные, циклоалкильные фрагменты не замещены или замещены галогеном,

фенил и -СН2-фенил, где фенильные кольца не замещены или замещены посредством Rf;

Rf означает галоген, N3, ОН, CN, NO2, -SCN, -SF5, C16-алкил, C1-C6-алкокси, С26-алкенил, три-С16-алкилсилил, С26-алкинил, C1-C6-алкокси-С14-алкил, С16-алкокси-С14-алкокси, С36-циклоалкил, С3-C6-циклоалкокси, С36-циклоалкил-С14-алкил, С36-циклоалкокси-С14-алкил, где алкильные, алкокси, алкенильные, алкинильные, циклоалкильные и циклоалкокси фрагменты не замещены или замещены галогеном,

C(=O)-ORa, NRbRc, C1-C6-алкилен-NRbRc, O-C1-C6-алкилен-NRbRc, C16-алкилен-CN, NH-C1-C6-алкилен-NRbRc, C(=O)-NRbRc, C(=O)-Rd, SO2NRbRc или S(=O)mRe;

Rg означает галоген, N3, OH, CN, NO2, -SCN, -SF5, C16-алкил, C1-C6-алкокси, С26-алкенил, три-C16-алкилсилил, С26-алкинил, C1-C6-алкокси-С14-алкил, С16-алкокси-С14-алкокси, С36-циклоалкил, С36-циклоалкокси, С36-циклоалкил-С14-алкил, С36-циклоалкокси-С14-алкил, где алкильные, алкокси, алкенильные, алкинильные, циклоалкильные и циклоалкокси фрагменты не замещены или замещены галогеном,

C(=O)-ORa, NRbRc, C1-C6-алкилен-NRbRc, O-C1-C6-алкилен-NRbRc, C1-C6-алкилен-CN, NH-C1-C6-алкилен-NRbRc, C(=O)-NRbRc, C(=O)-Rd, SO2NRbRc или S(=O)mRe;

Rh означает галоген, ОН, C16-алкил, С36-циклоалкил или CN;

и их N-оксидам, стереоизомерам, таутомерам и сельскохозяйственно или ветеринарно приемлемым солям.

Более того, настоящее изобретение также относится к способам и промежуточным соединениям для получения соединений формулы (I), и к комбинациям активных соединений, содержащим их. Более того, настоящее изобретение относится к сельскохозяйственным или ветеринарным композициям, содержащим соединения формулы (I), и к применению соединений формулы (I) или композиций, содержащих их, для подавления или борьбы с беспозвоночными вредителями и/или для защиты сельскохозяйственных культур, растений, материала для размножения растений и/или растущих растений от нападения и/или заражения беспозвоночными вредителями. Настоящее изобретение также относится к способам нанесения соединений формулы (I). Настоящее изобретение также относится к способу защиты сельскохозяйственных культур, растений, материала для размножения растений и/или растущих растений от нападения или заражения беспозвоночными вредителями, включающему приведение в контакт или обработку сельскохозяйственных культур, растений, материала для размножения растений и растущих растений, или почвы, материала, поверхности, пространства, площади или воды, где хранят сельскохозяйственные культуры, растения, материал для размножения растений или выращивают растения, пестицидно эффективным количеством по меньшей мере одного соединения формулы (I) согласно вышеприведенному определению или композиции, содержащей по меньшей мере одно соединение формулы (I).

Кроме того, настоящее изобретение относится к семенам, содержащим соединения формулы (I). При этом соединения формулы (I) включают их N-оксиды, стереоизомеры, таутомеры и сельскохозяйственно или ветеринарно приемлемые соли.

Общая методика:

При надлежащей модификации исходных соединений, соединения формулы (I) можно получить с помощью методик, приведенных на схемах ниже.

Общая методика:

Соединения формулы (I) можно получить методами органической химии, например, методами, описанными в данной заявке далее на Схемах 1 - 17 и в описании синтезов примеров. На Схемах 1 - 17, радикалы Ar, А, В1, В2, В3, В4, Q и R2, R3, R4, R5, R6, R7, R8, R9, R10, Rya, Rzc, Eyc, Ryz, R11, R12, R13, R14, R15, R16, R17, R18, R19 и R20 являются такими, как определено выше для формулы (1), если не указано иное.

Соединения формулы (I), где Z означает одинарную связь или

-NRzc-C(=S), или -NRzc-C(=O)-, и T означает О, N или N-RT, являются соединениями формулы (Ia) и могут быть получены по аналогии с методами, описанными в WO 2011017504 или WO 2015007682, или методами, описанными на Схеме 1.

Схема 1:

В одном варианте осуществления Схемы 1, альдегид или кетон формулы (II) подвергают реакции с соединением формулы (Е1), где Z означает -NRzc-C(=S)- или -NRzc-C(=O)-, и Т означает N, в присутствии или в отсутствие растворителя. Пригодными растворителями являются полярные протонные растворители. Если реакцию выполняют в отсутствие растворителя, соединение формулы (Е1) обычно также служит растворителем. Соединения формулы (Е1) коммерчески доступны или могут быть получены с использованием реакций органической химии по аналогии с методом, описанным в March's Advanced Organic Chemistry 6-е изд., Michael В. Smith и Jerry March.

В соответствии с другим вариантом Схемы 1, альдегидное или кетонное соединение формулы (IIa) сначала подвергают реакции с гидразином формулы RZCNHNH2, и затем подвергают реакции с изоцианатом формулы R11-NCO или с изотиоцианатом R11-NCS с получением соединения формулы (Ia), где Z означает -N(Rzc)-C(=O) или -N(Rzc)-C(=S), и Т означает N.

В соответствии с другим вариантом Схемы 1, альдегидное или кетонное соединение формулы (IIa) сначала подвергают реакции с гидроксиламином, и затем подвергают реакции с соединением R12-L, где L означает пригодную уходящую группу, такую как галоген или активированная ОН. Таким образом, получается соединение формулы (Ia), где Z означает одинарную связь и Т означает О.

В соответствии с другим вариантом вышеуказанной реакции, альдегидное или кетонное соединение формулы (IIa) сначала подвергают реакции с гидроксиламином, и затем подвергают реакции с изоцианатом формулы R11-NCO или с изотиоцианатом R11-NCS с получением соединения формулы (Ia), где Z означает -O-С(=O)- или -O-C(=S)-, и Т означает N.

Соединения формулы (Ib), где Z означает -NRzc-C(=S)- или -NRzc-C(=O)-, где C(=S) или С(=O) присоединен к Т и Т означает О, N или N-RT, можно получить по аналогии с методом, описанным в Synthesis, 2010, 2990-296 или как показано на Схеме 2.

Схема 2:

В соответствии с методом, изображенным на Схеме 2, изоцианатное соединение формулы (IIb) подвергают реакции с соединением формулы (Е2) методами химии изоцианатов. Изоцианат формулы (IIb) можно получить, например, с помощью перегруппировки Лоссена из соответствующей гидроксамовой кислоты (IIIb). Гидроксамовую кислоту (IIIb) подвергают реакции с циклическим ангидридом 1-пропанфосфоновой кислоты (Т3Р) в присутствии основания. Основание предпочтительно представляет собой N-метилморфолин. Изоцианат формулы (IIb) также можно получить с помощью перегруппировки Курциуса из соответствующего азида формулы (IVb), например, по аналогии с методом, описанным в WO 2014204622.

Для превращения соединений формулы (Ia) и (Ib), где Ryz или Rzc означает Н, в соединения (I), где Ryz или Rzc отличается от Н, соединения формулы (Ia) и (Ib), где Ryz или Rzc означает Н, можно подвергнуть реакции с соединениями формулы Ryz-Lg или Rzc-Lg, где Ryz или Rzc не означает Н и Lg означает уходящую группу, такую как атом брома, хлора или йода, или тозилат, мезилат или трифлат, с получением соединений формулы (Ia) и (Ib), где Ryz или Rzc отличается от Н. Реакцию подходящим образом проводят в присутствии основания, такого как гидрид натрия или гидрид калия, соответственно, в полярном апротонном растворителе, таком как N,N-диметилформамид, тетрагидрофуран, диоксан, ацетонитрил, диметилсульфоксид или пиридин, или смеси этих растворителей, в температурном диапазоне от 0°С до 100°С.

Соединения формулы (Ic) можно получить из соединений формулы (IIc) с помощью реакций, показанных ниже.

Схема 3:

R11/12 соответствует радикалам R11 или R12, соответственно. Реакцию, показанную выше, можно выполнить по аналогии с обычными методами получения карбаматов. В соответствии с первым вариантом, амин формулы (IIc) превращают либо в изоцианат, либо в n-нитрофенилкарбамат, и затем обрабатывают спиртом формулы R11-ОН или R12-ОН, соответственно, в присутствии органического или неорганического основания. В соответствии с другим вариантом, соединение формулы (IIc) подвергают реакции с хлорформиатом формулы R11/12-O-C(=O)-Cl. Хлорформиат получают из спиртов R11/12-OH путем обработки фосгеном или трифосгеном в присутствии основания, например, пиридина. Соединения формулы (Ic), где Z означает -N(Rzc)-C(=O)-или -N(Rzc)-C(=S)-, можно получить по аналогии с методами, описанными в WO 2013009791, или по аналогии с методами, описанными в US 20120202687.

Соединения формул (IIa) и (IIc) можно получить из соединений формулы (IIa-1) с помощью реакций, показанных ниже.

Схема 4:

Реакционную стадию (i) можно выполнить методами химии SNAr (ароматического нуклеофильного замещения), исходя из коммерчески доступного и-фторбензальдегидного производного (1), как описано в Chem. Med. Chem, 2013, 8(6), 967-975. Реакционную стадию (ii) можно выполнить с помощью реакции сочетания Чана-Лама, исходя из арилбороновой кислоты - предшественника (2), как описано в Chem. A Eur. J., 2017, 23(14), 3285-3290. Реакционную стадию (стадия-iii) можно выполнить по аналогии с методом, описанным в WO 2015051341. Реакционную стадию (стадия-iv) можно выполнить по аналогии с методом, описанным в Е. J. Med. Chem., 2012, 49, 310-323. Соединения формулы (IIc) можно получить исходя из соединений формулы (IIa-1) в две стадии через промежуточное соединение (IIc-1). Первая стадия (стадия-v) включает SNAr реакцию между пиразолом (IIa-1) и п-фторнитроареном (3), как описано в J. Org. Chem., 2017, 82 (17). На 2-й стадии (стадия-vi) нитроарен (IIc-1) восстанавливают до его соответствующего амина (IIc), используя SnCl2 в кислой среде, как описано в March's Advanced Organic Chemistry, 6-е изд., Michael В. Smith и Jerry March.

Соединения формул (IId), (IIe) и (IIf) можно получить с помощью реакций, показанных ниже.

Схема 5:

Соединения формулы (IId) можно получить в две стадии из коммерчески доступного 3-нитро-1Н-пиразольного производного (4) и арилбороновой кислоты (2) с 1-й стадией (стадия-vii), как описано в WO 2016044666. 2-я стадия (стадия-viii) представляет собой восстановление нитрогруппы до аминогруппы с использованием SnCl2, как описано в March's Advanced Organic Chemistry, 6-е изд., Michael В. Smith и Jerry March. Соединения формулы (IIe) можно получить из коммерчески доступного оксима (5), легко получаемого из 1,3-дикетонного производного, по реакции указанного оксима с замещенными арилгидразинами (ArNHNH2, 6), как описано в WO 2016044666. Соединения формулы (IIf) можно получить в три стадии через промежуточные соединения формул (IIf-1) и (IIf-2). На 1-й стадии (стадия-х), оксадиазольное производное (IIf-1) можно синтезировать, как описано в Synthesis Communications, 2007, 37(24), 5539-4452. Соединения формулы (IIf) можно получить в две стадии (х-1 и х-2), следуя реакции перегруппировки Боултона-Катрицкого, как описано в J. Org. Chem., 2019, 84 (5), 2462-2469, из соединений формулы (IIf-1).

Соединения формул (IIg-1), (IIg-2), (IIg-3) и (IIg-4), где Q означает -C(R9R10)-N(R2)- или -S(=O)m-N(R2)-, или -C(=O)-N(R2)-, или -C(=S)-N(R2)-, и А означает N или CRA, можно получить согласно приведенным ниже реакциям.

Схема 6:

Соединения формулы (IIg-1) можно получить путем нагревания соединений формулы Ar-C(R9R10)-Lg (где Lg может означать бром, хлор, тозилат, мезилат) с общим промежуточным соединением формулы (IIg) в полярных протонных или апротонных растворителях в кислой, основной или нейтральной среде, аналогично описанному в WO 2010129053, WO 20070146824 или Chem. Commun., 2014, 50, 1465, как показано для стадии (xi-1). Соединения формулы (IIg-2) можно получить из соединений формулы (IIg) путем обработки подходящим Ar-SO2Cl в присутствии оснований, подобных пиридину, и реагентов сочетания, подобных DMAP, как описано в Chemistry - A European Journal, 2014, 20(1), 317-322, (стадия-xi-2). Соединения формулы (IIg-3) можно получить из соединений формулы (IIg) с использованием реакций амидного сочетания, аналогично описанному в March's Advanced Organic Chemistry 6-е изд., Michael В. Smith и Jerry March, как показано для стадии (xi-3). Соединения формулы (IIg-4) можно получить по реакции соединений формулы (IIg-3) с P2S5 или реагентом Лавессона, как описано, например, Strong. и др., J. Med. Chem., 2017, 60, 5556-5585, и как показано для стадии (xi-4).

Соединения формулы (IIh-1) и (IIh-2), где Q означает -N=C(X)-, X означает Cl или F, и А означает N или CRA, можно получить с помощью реакций, показанных ниже.

Схема 7:

В приведенной выше реакции соединения формулы (IIh-1) можно получить из соединений формулы (IIg-3), используя тионилхлорид, как описано в Angew. Chem. Int. Ed., 2014, 53, 9068-9071. Соединения формулы (IIh-2) можно получить из соединений формулы (IIh-1) методом, описанным в Aust. J. Chem., 1999, 52, 807-811.

Соединения формул (IIh-3), (IIh-4), (IIh-5) и (IIh-6), где Q означает -C(X)=N-, X означает OR8 или SR7, или N(R3)2, или -NHCN, и А означает N или CRA, можно получить согласно приведенным ниже реакциям.

Схема 8:

Соединения формул (IIh-3), (IIh-4), (IIh-5) и (IIh-6) можно получить путем нагревания соединений формулы (IIh-1) с соединениями формулы NH(R3)2 или NH2CN, или R8-ОН, или R7-SH в полярных протонных или апротонных растворителях в кислой, основной или нейтральной среде, как описано в WO 2010129053, WO 2007146824 или Chem. Commun., 2014, 50, 1465.

Соединения формул (IIi), (IIj) и (IIk) можно получить с помощью реакций, показанных ниже.

Схема 9:

Соединения формулы (IIi) можно получить по реакции сочетания Чана-Лама между коммерчески доступным пиразольным сложноэфирным производным (8) и арилбороновой кислотой (2), как описано в WO 2009110520. Соединения формулы (IIj) можно получить в две стадии через промежуточное соединение формулы (IIj-1), исходя из коммерчески доступного бета-кетосложноэфирного производного (9), как описано в Synthesis, 2019, 51(6), 1473-1481. 2-я стадия (стадия-xv-2), на которой предусмотрен синтез пиразола, описана в Angew., Chem., Int. Ed., 2010, 49(42), 7790-7794. Соединения формулы (IIk) можно получить по реакции сочетания Чана-Лама между коммерчески доступным триазольным сложноэфирным производным (11) и арилбороновой кислотой (2), как описано в Chem., Commun., 2019, 55(32), 4603-4606.

Соединения формул (IIl-2), (IIl-3), (IIl-4), (IIl-5), (IIl-6), (IIl-7) и (IIl-9), где Q означает -N(R2)-C(=O)- или -NR2-C(R9R10)-, или -N(R2)-C(=S)-, или -O-С(=O)-, или -O-C(R4R5)-, или -S-C(R7R8)-, и А означает N или CRA, можно получить с помощью реакций, показанных ниже.

Схема 10:

Соединения формулы (IIl-1) можно получить из сложноэфирного промежуточного соединения (IIl) путем гидролиза подходящим основанием, подобным LiOH, NaOH, как указано в WO 2011050245. Общее промежуточное соединение формулы (IIl-2) можно получить путем образования амида по реакции соединений формулы (IIl-1) с Ar-NH2 в присутствии подходящего реагента сочетания, подобного HATU, и основания, подобного DIPEA. Соединения формулы (IIl-3) можно получить из общего промежуточного соединения формулы (IIl-2) путем восстановления амида с помощью LiAlH4, как описано в Tet. Lett., 2015, 56 (16), 2062-2066. Соединения формулы (IIl-4) можно получить по реакции соединений формулы (IIl-2) с P2S5 или реагентом Лавессона, как описано, например, Strong и др., J. Med. Chem., 2017, 60, 5556-5585. Соединения формулы (IIl-5) можно получить из общего промежуточного соединения формулы (IIl-1) путем эстерификации по реакции соединения формулы (IIl-1) с ArOH в присутствии кислоты. Общее промежуточное соединение формулы (IIl-6) можно получить из соединения формулы (IIl) путем восстановления в присутствии подходящих восстановителей, подобных LiAlH4 или DIBAL-H. Общее промежуточное соединение формулы (IIl-7) можно получить из соединения формулы (IIl-6) с помощью реакции этерификации в условиях реакции Мицунобу. Соединения формулы (IIl-9) можно получить из соединений формулы (IIl-6) с помощью двухстадийной последовательности, с вовлечением промежуточных соединений формулы (IIl-8). Hal' означает хлор, бром, йод, тозилат, мезилат или трифлат. Стадии (xvii-1 и xvii-2), (xviii-1), (xviii-2), (xviii-3), (xviii-4), (xviii-5) и (xviii-6), (xviii-7) можно выполнить по аналогии со способом, описанным в March's Advanced Organic Chemistry 6-е изд., Michael В. Smith и Jerry March.

Соединения формул (IIm-1) и (IIm-2), где Q означает -N=C(X)-, X означает Cl или F, и А означает N или CRA, можно получить с помощью реакций, показанных ниже.

Схема 11:

Соединения формул (IIm-1) и (IIm-2) можно получить, используя метод, аналогичный изображенному на Схеме 7. Соединения формулы (IIm-1) можно получить, используя тионилхлорид, как описано в Angew. Chem. Int. Ed., 2014, 53, 9068-9071. Соединения формулы (IIm-2) можно получить из соединений формулы (IIm-1) методом, описанным в Australian Journal of Chemistry, 1999, 52, 807-811.

Соединения формул (IIm-3), (IIm-4), (IIm-5) и (IIm-6), где Q означает -N=C(X)-, X означает OR8 или SR7, или N(R3)2, или NHCN, и А означает N или CRA, можно получить с помощью реакций, показанных ниже.

Схема 12:

Соединения формул (IIm-3), (IIm-4), (IIm-5) и (IIm-6) можно получить путем нагревания соединений формулы (IIm-1) с соединениями формулы R8-ОН или R7-SH, или NH(R3)2, или NH2CN в полярных протонных или апротонных растворителях в кислой, основной или нейтральной среде, как описано в WO 2010129053, WO 2007146824 или Chem. Commun., 2014, 50, 1465.

Соединения формул (IIn-3) и (IIn-6), где Q означает -C(R13R20)-C(=O)- или -C(=O)-C(R19R20)-, и А означает N или CRA, можно получить с помощью реакций, показанных ниже.

Схема 13:

Соединения формулы (IIn-3) можно получить из соединений формулы (IIl-1) в две стадии через промежуточные соединения (lln-1) и (lln-2) в соответствии с методами, описанными в Org. Lett., 2016, 18(23), 6026-6029. Соединения формулы (IIn-6) можно получить исходя из соединений формулы (IIn-1) в три стадии через промежуточные соединения (lln-4) и (lln-5). Первая стадия (xxi-4) включает реакцию гомологизации Арндта-Эйстерта соединения (IIn-1), за которой следует стадия образования амида Вайнреба (стадия-xxi-5) и добавление арильного реактива Гриньяра (стадия-xxi-6) в соответствии с методами, описанными в Photochemical & Photobiological Sciences, 2014, 13(2), 324-341.

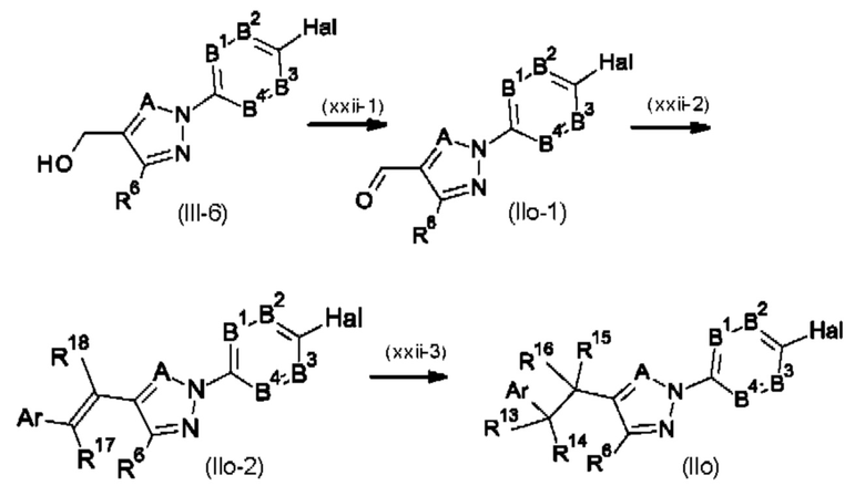
Соединения формул (IIo) и (IIo-2), где Q означает C(R17)=C(R18)- или -C(R13R14)-C(R15R16)-, и А означает N или CRA, можно получить согласно приведенным ниже реакциям.

Схема 14:

Соединения формулы (IIo-1) можно получить из соединений формулы (III-6) в соответствии с методами, описанными в WO 2011060217. Два соединения формул (IIo-2) и (IIo) можно получить из соединений формулы (Iio-1) с помощью реакций Виттига (стадия-xxii-2) с использованием фосфорсодержащих илидов Виттига и оснований, подобных tBuOK, в ТГФ, с последующим выполнением реакции гидрогенизации (стадия-xxii-3), известной в органической химии, такой как реакция с использованием газообразного водорода и подходящего металлического катализатора, как описано в Marchs Advanced Organic Chemistry 6-е изд., Michael В. Smith и Jerry March.

Соединения формул (IIp), (IIq) и (IIr) можно получить согласно приведенным ниже реакциям.

Схема 15:

Соединения формулы (IIp) можно получить из коммерчески доступного 1-бром-2,3-дионного производного (12) с помощью его реакции с замещенными арилгидразинами (ArNHNH2, 6), как описано в Science of Synthesis, 2002, 12, 15 -225. Соединения формулы (IIq) можно получить подобным образом из коммерчески доступного 1,3-дикетонного производного (13) с помощью его реакции с замещенными арилгидразинами (6), как описано в Science of Synthesis, 2002, 12, 15 - 225. Соединения формулы (IIr) можно получить из коммерчески доступного оксимного производного (14) и соответствующих арилгидразинов (6) в две стадии, через промежуточные соединения (IIr-1), как описано в Bulletin des Societies Chimique Beiges, 1997, 106 (11), 717-728.

Соединения формул (IIs-1), (IIs-3) и (IIs-4), где Q означает -C(R4R5)-O- или -C(R7R8)-S(=O)m-, или -C(=O)-O-, и А означает N или CRA, можно получить согласно приведенным ниже реакциям.

Схема 16:

Соединения формулы (IIs-1) можно получить из соединений формулы (IIs) по реакции с соединениями формулы ArC(R4R5)-Lg (где Lg означает бром, хлор, йод, тозилат или мезилат) в полярных и апротонных растворителях в присутствии основания, подобного NaH или K2CO3. Соединения формулы (IIs-2) можно получить из соединений формулы (IIs) по реакции с реагентом Лавессона, как описано в J. Med. Chem., 1992, 35(2), 368-374. Соединения формулы (IIs-3) можно получить из соединений формулы (IIs-2) по реакции с соединениями формулы ArC(R7R8)-Lg (где Lg означает бром, хлор, йод) в полярных и апротонных растворителях в присутствии основания, подобного NaH или K2CO3 и т.д. Соединения формулы (IIs-3) можно дополнительно окислить с использованием mCPBA для получения соединений с различными степенями окисления серы, как описано в March's Advanced Organic Chemistry 6-е изд., Michael В. Smith и Jerry March. Соединения формулы (IIs-4) можно получить из общего промежуточного соединения формулы (IIs) с помощью способа этерификации, аналогичного описанному в March's Advanced Organic Chemistry 6-е изд., Michael В. Smith и Jerry March.

Соединения формулы (IIt), где Q означает N(R2)-S(=O)m-, и А означает N или CRA, можно получить согласно приведенным ниже реакциям.

Схема 17:

Соединения формулы (IIt) можно получить исходя из соединений формулы (IIs-2) в три стадии через промежуточные соединения (IIt-1) и (IIt-2), используя подходящие условия протекания реакций, как описано в Chemistry Select, 2016, 3, 490-494, (стадия (xxvii-1), ЕР1992/524634 [стадия(xxvii-2)], Chemistry - А European Journal, 2014, 20(1), 317-322 (стадия-xxvii-3).

Индивидуальные соединения формулы (I) также можно получить путем дериватизации других соединений формулы (I) или промежуточных соединений для их получения.

Если синтез приводит к смесям изомеров, обычно не требуется обязательно выполнять их разделение, поскольку в некоторых случаях индивидуальные изомеры могут взаимопревращаться во время подготовки для применения или во время нанесения (например, под действием света, кислот или оснований). Такие превращения также могут иметь место после применения, например, при обработке растений в обработанном растении, или во вредном грибе, с которым необходимо вести борьбу.

Специалист в данной области без труда поймет, что предпочтения для заместителей, в частности, также и те, которые приведены в таблицах ниже для соответствующих заместителей, приведенных в данной заявке в связи с соединениями (I), применимы для промежуточных соединений соответствующим образом. Таким образом, заместители в каждом случае имеют независимо друг от друга или, более предпочтительно, в комбинации, значения в соответствии с определением в настоящей заявке.

Если не указано иное, термин "соединение(-я) в соответствии с изобретением" или "соединение(-я) изобретения" или "соединение(-я) формулы (I)", относится к соединениям формулы (I).

Термин "соединение(-я) в соответствии с изобретением" или "соединения формулы (I)" включает соединение(-я) в соответствии с определением в настоящей заявке, а также их стереоизомеры, соли, таутомеры или N-оксиды. Термин "соединение(-я) настоящего изобретения" следует понимать как эквивалент термину "соединение(-я) в соответствии с изобретением", таким образом, он также включает их стереоизомеры, соли, таутомеры или N-оксиды.

Термин "композиция(-и) в соответствии с изобретением" или "композиция(-и) настоящего изобретения" охватывает композицию(-и), содержащую(-ие) по меньшей мере одно соединение формулы (I) в соответствии с изобретением согласно вышеприведенному определению. Композиции изобретения предпочтительно представляют собой сельскохозяйственные или ветеринарные композиции.

В зависимости от схемы замещения, соединения в соответствии с изобретением могут иметь один или несколько центров хиральности, и в этом случае они присутствуют в виде смесей энантиомеров или диастереомеров. Изобретение обеспечивает как отдельные чистые энантиомеры или чистые диастереомеры соединений в соответствии с изобретением, так и их смеси, и применение в соответствии с изобретением чистых энантиомеров или чистых диастереомеров соединений в соответствии с изобретением или их смесей. Пригодные соединения в соответствии с изобретением также включают все возможные геометрические стереоизомеры (цис/транс изомеры) и их смеси. Цис/транс изомеры могут присутствовать за счет двойной связи алкена, двойной связи углерод-азот или амидной группы. Термин "стереоизомер(-ы)" охватывает как оптические изомеры, такие как энантиомеры или диастереомеры, где последние существуют в связи с наличием более чем одного центра хиральности в молекуле, так и геометрические изомеры (цис/транс изомеры). Настоящее изобретение относится к любому возможному стереоизомеру соединений формулы (I), т.е. к отдельным энантиомерам или диастереомерам, а также к их смесям.

Соединения в соответствии с изобретением могут быть аморфными или могут существовать в одной или нескольких различных кристаллических формах (полиморфы), которые могут иметь разные макроскопические свойства, такие как стабильность, или показывать разные биологические свойства, такие как активность. Настоящее изобретение относится к аморфным и кристаллическим соединениям в соответствии с изобретением, смесям различных кристаллических форм соответствующих соединений в соответствии с изобретением, а также их аморфным или кристаллическим солям.

Термин "таутомеры" охватывает изомеры, которые получаются из соединений формулы (I) путем сдвига Н-атома с вовлечением по меньшей мере одного Н-атома, расположенного у атома азота, кислорода или серы. Примерами таутомерных форм являются формы кетон-енол, имин-енамин, мочевина-изомочевина, тиомочевина-изотиомочевина, (тио)амид-(тио)имидат и т.д.

Термин "стереоизомеры" охватывает как оптические изомеры, такие как энантиомеры или диастереомеры, где последние существуют в связи с наличием более чем одного центра хиральности в молекуле, так и геометрические изомеры (цис/транс изомеры).

В зависимости от схемы замещения, соединения формулы (I) могут иметь один или несколько центров хиральности, и в этом случае они присутствуют в виде смесей энантиомеров или диастереомеров. Одним центром хиральности является кольцевой атом углерода изотиазолинового кольца, несущий радикал R1. Изобретение обеспечивает как чистые энантиомеры или диастереомеры, так и их смеси, и применение в соответствии с изобретением чистых энантиомеров или диастереомеров соединения формулы (I) или их смесей. Пригодные соединения формулы (I) также включают все возможные геометрические стереоизомеры (цис/транс изомеры) и их смеси.

Термин N-оксиды относится к форме соединений (I), в которой по меньшей мере один атом азота присутствует в окисленной форме (в виде NO). Более точно, данный термин относится к любому соединению настоящего изобретения, которое содержит по меньшей мере один третичный атом азота, который окислен до N-оксидного фрагмента. N-оксиды соединений (I), в частности, можно получить путем окисления, например, кольцевого атома азота N-гетероцикла, например, пиридинового или пиримидинового кольца, присутствующего в Ar или R11, или имино-азота, присутствующего в центральном трициклическом ядре, пригодным окислителем, таким как пероксокарбоновые кислоты или другие пероксиды. Специалист в данной области техники понимает, могут ли соединения настоящего изобретения образовывать N-оксиды и в каких положениях будет происходить окисление.

Соли соединений формулы (I) предпочтительно представляют собой сельскохозяйственно и ветеринарно приемлемые соли. Они могут быть получены обычным методом, например, по реакции соединения с кислотой рассматриваемого аниона, если соединение формулы (I) имеет основную функциональность, или по реакции кислотного соединения формулы (I) с пригодным основанием.

Пригодными сельскохозяйственно или ветеринарно приемлемыми солями являются главным образом соли тех катионов или кислотно-аддитивные соли тех кислот, катионы и анионы которых известны и приняты в данной области для образования солей для сельскохозяйственного или ветеринарного применения, соответственно, и не оказывают какого-либо неблагоприятного воздействия на действие соединений в соответствии с настоящим изобретением. Пригодными катионами являются, в частности, ионы щелочных металлов, предпочтительно лития, натрия и калия, щелочноземельных металлов, предпочтительно кальция, магния и бария, и переходных металлов, предпочтительно марганца, меди, цинка и железа, а также ионы аммония (NH4+) и замещенного аммония, в котором от одного до четырех атомов водорода заменены на С14-алкил, С14-гидроксиалкил, С14-алкокси, С14-алкокси-С14-алкил, гидрокси-С14-алкокси-С14-алкил, фенил или -СН2-фенил. Примеры ионов замещенного аммония включают ионы метиламмония, изопропиламмония, диметиламмония, диизопропиламмония, триметиламмония, тетраметиламмония, тетраэтиламмония, тетрабутиламмония, 2-гидроксиэтиламмония, 2-(2-гидрокси-этокси)этиламмония, бис(2-гидроксиэтил)аммония, бензилтриметиламмония и бензилтриэтиламмония, кроме того пригодны ионы фосфония, ионы сульфония, предпочтительно три(С14-алкил)сульфония, и ионы сульфоксония, предпочтительно три(С14-алкил)сульфоксония. Пригодные кислотно-аддитивные ветеринарно приемлемые соли, например, образованные соединениями формулы (I), содержащими основной атом азота, например, амино группу, включают соли с неорганическими кислотами, например, гидрохлориды, сульфаты, фосфаты и нитраты, и соли органических кислот, например, уксусной кислоты, малеиновой кислоты, дималеиновой кислоты, фумаровой кислоты, дифумаровой кислоты, метансульфеновой кислоты, метансульфоновой кислоты и янтарной кислоты.

Анионами пригодных кислотно-аддитивных солей являются в первую очередь хлорид, бромид, фторид, гидросульфат, сульфат, дигидрофосфат, гидрофосфат, фосфат, нитрат, гидрокарбонат, карбонат, гексафторсиликат, гексафторфосфат, бензоат и анионы С14-алкановых кислот, предпочтительно формиат, ацетат, пропионат и бутират. Их можно получить по реакции соединения формулы (I) с кислотой соответствующего аниона, предпочтительно соляной кислотой, бромистоводородной кислотой, серной кислотой, фосфорной кислотой или азотной кислотой.

Термин "беспозвоночный вредитель" в контексте данной заявки охватывает популяции животных, таких как насекомые, паукообразные и нематоды, которые могут нападать на растения, таким образом вызывая значительное повреждение подвергшихся нападению растений, а также эктопаразитов, которые могут приводить к заражению животных, в частности, теплокровных животных, таких как, например, млекопитающие или птицы, или других высших животных, таких как рептилии, земноводные или рыба, таким образом причиняя значительный вред подвергшимся заражению животным.

Термин "материал для размножения растений" следует понимать как означающий все генеративные части растения, такие как семена, и вегетативный растительный материал, такой как черенки и клубни (например, картофель), которые можно использовать для размножения растения. К нему относят семена, корни, плоды, клубни, луковицы, корневища, побеги, проростки и другие части растений, включая саженцы и молодые растения, которые пересаживают после прорастания или после появления из почвы. Материалы для размножения растений можно обрабатывать соединением для защиты растений профилактически либо во время, либо перед осуществлением посадки или пересадки. Указанные молодые растения могут быть также защищены перед пересаживанием путем полной или частичной обработки посредством окунания или полива.

Термин "растения" включает любые типы растений, включая "модифицированные растения" и, в частности, "культурные растения".

Термин "модифицированные растения" относится к любым видам дикого типа или родственным видам или родственным родам культурного растения.

Термин "культурные растения" следует понимать как включающий растения, которые были модифицированы путем бридинга, мутагенеза или методами генной инженерии, включая, но не ограничиваясь, биотехнологические аграрные продукты, находящиеся на рынке или в разработке (см. http://www.bio.org/speeches/pubs/er/agri_products.asp).

Генетически модифицированные растения представляют собой растения, генетический материал которых был изменен таким способом с использованием технологий рекомбинантной ДНК, который в природных условиях не может быть быстро получен путем кроссбридинга, мутаций или природной рекомбинации. Типично, один или несколько генов встраивали в генетический материал генетически модифицируемого растения для того, чтобы улучшить некоторые свойства растения. Такие генетические модификации также включают, но не ограничиваются ними, посттрансляционные модификации белка(-ов), олиго- или полипептидов, например, с помощью гликозилирования или присоединений полимеров, таких как пренилированные, ацетилированные или фарнезилированные фрагменты или ПЭГ фрагменты.

Также охвачены растения, которые были модифицированы с помощью бридинга, мутагенеза или генной инженерии, например, которые приобрели толерантность к применению отдельных классов гербицидов, таких как ауксиновые гербициды, такие как дикамба или 2,4-D; отбеливающие гербициды, такие как ингибиторы гидроксифенилпируват диоксигеназы (HPPD) или ингибиторы фитоендесатуразы (PDS); ингибиторы ацетолактатсинтазы (ALS), такие как сульфонилмочевины или имидазолиноны; ингибиторы енолпирувилшикимат-3-фосфатсинтазы (EPSP), такие как глифосат; ингибиторы глутаминсинтетазы (GS), такие как глуфосинат; ингибиторы протопорфириноген-ГХ оксидазы; ингибиторы биосинтеза липидов, такие как ингибиторы ацетил-КоА карбоксилазы (АСС); или оксиниловые гербициды (т.е., бромоксинил или иоксинил) в результате обычных методов бридинга или генной инженерии. К тому же были получены растения, которые благодаря многократным генетическим модификациям являются устойчивыми ко многим классам гербицидов, например, устойчивы к глифосату и глуфосинату или к глифосату и гербициду из другого класса, такому как ингибиторы ALS, ингибиторы HPPD, ауксиновые гербициды и ингибиторы АСС. Эти технологии устойчивости к гербицидам описаны, например, в Pest Managem. Sci. 61, 2005, 246; 61, 2005, 258; 61, 2005, 277; 61, 2005, 269; 61, 2005, 286; 64, 2008, 326; 64, 2008, 332; Weed Sci. 57, 2009, 108; Austral. J. Agricult. Res. 58, 2007, 708; Science 316, 2007, 1185; и в процитированных там ссылках. Благодаря обычным методам бридинга (мутагенеза) некоторые культурные растения приобрели толерантность к гербицидам, например, сурепица Clearfield® (Канола, BASF SE, Германия), которая обладает толерантностью к имидазолинонам, например, имазамоксу, или подсолнечник ExpressSun® (DuPont, США), который обладает толерантностью к сульфонилмочевинам, например, к трибенурону. Методы генной инженерии были использованы для придания культурным растениям, таким как соевые бобы, хлопчатник, кукуруза, свекла и рапс, толерантности к гербицидам, таким как глифосат и глуфосинат, некоторые из которых коммерчески доступны под торговыми наименованиями RoudupReady® (толерантные к глифосату, Monsanto, США), Cultivance® (толерантные к имидазолинону, BASF SE, Германия) и Liberty Link (толерантные к глуфосинату, Bayer CropScience, Германия).

Кроме того, также охвачены растения, которые с использованием технологий рекомбинантной ДНК способны синтезировать один или несколько инсектицидных белков, в особенности, известных из рода бактерий Bacillus, в частности, Bacillus thuringiensis, таких как 5-эндотоксины, например, CryIA(b), CryIA(c), CryIF, CryIF(a2), CryIA(b), CryIIIA, CryIIIB(b1) или Cry9c; вегетативные инсектицидные белки (VIP), например, VIP1, VIP2, VIP3 или VIP3A; инсектицидные белки колонизированных бактериями нематод, например, виды Photorhabdus или виды Xenorhabdus; токсины, вырабатываемые животными, такие как скорпионовые токсины, пауковые токсины, осиные токсины или другие присущие насекомым нейротоксины; токсины, вырабатываемые грибами, такие как токсины стрептомицетов; растительные лектины, такие как гороховые или ячменные лектины; агглютинины; ингибиторы протеиназы, такие как ингибиторы трипсина, ингибиторы серинпротеазы, ингибиторы пататина, цистатина или папаина; рибосом-инактивирующие белки (РИБ), такие как рицин, РИБ кукурузы, абрин, луффин, сапорин или бриодин; ферменты метаболизма стероидов, такие как 3-гидроксистероид-оксидаза, экдистероид-IDP-гликозил-трансфераза, холестериноксидаза, ингибиторы экдизона или HMG-CoA-редуктазы; блокаторы ионных каналов, такие как блокаторы натриевых или кальциевых каналов; эстераза ювенильного гормона; рецепторы диуретического гормона (геликокининовые рецепторы); стилбенсинтаза, бибензилсинтаза, хитиназы и глюканазы. В контексте настоящего изобретения эти инсектицидные белки или токсины следует явно понимать также как претоксины, гибридные белки, укороченные или по-другому модифицированные белки. Гибридные белки отличаются новой комбинацией доменов белков (см., например, WO 02/015701). Дополнительные примеры таких токсинов или генетически измененных растений, способных синтезировать такие токсины, раскрыты, например, в ЕР-А 374 753, WO 93/007278, WO 95/34656, ЕР-А 427 529, ЕР-А 451 878, WO 03/18810 и WO 03/52073. Способы получения таких генетически модифицированных растений в основном известны специалисту в данной области техники и описаны, например, в указанных выше публикациях. Эти инсектицидные белки, содержащиеся в генетически модифицированных растениях, придают растениям, которые их вырабатывают, толерантность к животным - вредителям из всех таксономических классов артропод, в частности, к жукам (Coeloptera), к двукрылым насекомым (Diptera), и к чешуекрылым (Lepidoptera) и к нематодам (Nematoda). Генетически модифицированные растения, способные синтезировать один или несколько инсектицидных белков, описаны, например, в указанных выше публикациях, и некоторые из них являются коммерчески доступными, такие как YieldGard (сорта кукурузы, которые вырабатывают токсин Cry1Ab), YieldGard® Plus (сорта кукурузы, которые вырабатывают токсины Cry1Ab и Cry3Bb1), Starlink® (сорта кукурузы, которые вырабатывают токсин Cry9c), Herculex® RW (сорта кукурузы, которые вырабатывают токсины Cry34Ab1, Cry35Ab1 и фермент фосфинотрицин-N-ацетилтрансферазу [PAT]); NuCOTN® 33В (сорта хлопчатника, которые вырабатывают токсин Cry 1 Ac), Bollgard® I (сорта хлопчатника, которые вырабатывают токсин Cry1Ac), Bollgard® II (сорта хлопчатника, которые вырабатывают токсины Cry1Ac и Cry2Ab2); VIPCOT® (сорта хлопчатника, которые вырабатывают VIP токсин); NewLeaf® (сорта картофеля, которые вырабатывают токсин Cry3A); Bt-Xtra®, NatureGard®, KnockOut®, BiteGard®, Protecta®, Bt11 (например, Agrisure® CB) и Bt176 от Syngenta Seeds SAS, Франция, (сорта кукурузы, которые вырабатывают токсин Cry1Ab и фермент PAT), MIR604 от Syngenta Seeds SAS, Франция (сорта кукурузы, которые вырабатывают модифицированную версию токсина Cry3A, см. WO 03/018810), MON 863 от Monsanto Europe S.A., Бельгия (сорта кукурузы, которые вырабатывают токсин Cry3Bb1), IPC 531 от Monsanto Europe S.A., Бельгия (сорта хлопчатника, которые вырабатывают модифицированную версию токсина Cry1Ac) и 1507 от Pioneer Overseas Corporation, Бельгия (сорта кукурузы, которые вырабатывают токсин Cry1F и фермент PAT).

К тому же охвачены растения, которые с использованием технологий рекомбинантной ДНК способны синтезировать один или несколько белков, которые вызывают повышенную устойчивость или толерантность таких растений к бактериальным, вирусным или грибковым патогенам. Примерами таких белков являются так называемые "связанные с патогенезом белки" (PR белки, см., например, ЕР-А 392 225), гены устойчивости к заболеваниям растений (например, сорта картофеля, которые экспрессируют гены устойчивости, действующие против Phytophthora infestans, выведенные из дикого мексиканского картофеля Solarium bulbocastanum) или Т4-лизоцим (например, сорта картофеля, которые способны синтезировать эти белки, с повышенной устойчивостью к бактериям, таким как Erwinia amylvora). Способы получения таких генетически модифицированных растений, в общем, известны специалисту в данной области техники и описаны, например, в указанных выше публикациях.

Кроме этого, также охвачены растения, которые благодаря использованию технологий рекомбинантной ДНК способны синтезировать один или несколько белков для повышения продуктивности (например, производства биомассы, урожая зерна, содержания крахмала, содержания масла или содержания белка), толерантности к засухе, засоленности или другим ограничивающим факторам окружающей среды, или толерантности к вредителям и грибковым, бактериальным и вирусным патогенам таких растений.

Кроме того, также охвачены растения, которые благодаря применению технологий рекомбинантной ДНК содержат измененное количество содержащихся веществ или новые вещества, в особенности, для улучшения питания людей и животных, например, масличные культуры, которые вырабатывают благоприятные для здоровья длинноцепочечные омега-3-жирные кислоты или ненасыщенные омега-9-жирные кислоты (например, рапс Nexera®, DOW Agro Sciences, Канада).

Кроме того, также охвачены растения, которые благодаря применению технологий рекомбинантной ДНК содержат измененное количество содержащихся веществ или новые вещества, в особенности, для улучшения выработки сырьевого материала, например, картофель, который вырабатывает повышенные количества амилопектина (например, картофель Amflora®, BASF SE, Германия).

Органические фрагменты, упомянутые в вышеприведенных определениях переменных, являются - подобно термину галоген - сборными терминами для индивидуальных перечней индивидуальных членов. Приставка Cn-Cm показывает в каждом случае возможное число атомов углерода в группе.

Термин галоген в каждом случае означает F, Br, Cl или I, в частности, F, Cl или Br.

Термин "алкил" в контексте данной заявки и в алкильных фрагментах алкокси, алкилтио и т.п. относится к насыщенным прямоцепочечным или разветвленным углеводородным радикалам, содержащим от 1 до 2 ("С12-алкил"), от 1 до 3 ("C13-алкил"), от 1 до 4 ("С14-алкил") или от 1 до 6 ("C16-алкил") атомов углерода. C12-Алкил означает СН3 или С2Н5. C13-Алкил дополнительно означает пропил и изопропил. С14-Алкил дополнительно означает бутил, 1-метилпропил (втор-бутил), 2-метилпропил (изобутил) или 1,1-диметилэтил (mpem-бутил). C16-Алкил дополнительно означает также, например, пентил, 1-метилбутил, 2-метилбутил, 3-метилбутил, 2,2-диметилпропил, 1-этилпропил, 1,1-диметилпропил, 1,2-диметилпропил, гексил, 1-метилпентил, 2-метилпентил, 3-метилпентил, 4-метилпентил, 1,1-диметилбутил, 1,2-диметилбутил, 1,3-диметилбутил, 2,2-диметилбутил, 2,3-диметилбутил, 3,3-диметилбутил, 1-этилбутил, 2-этилбутил, 1,1,2-триметилпропил, 1,2,2-триметилпропил, 1-этил-1-метилпропил или 1-этил-2-метилпропил.

Термин "галогеналкил" в контексте данной заявки, который также формулируется как "алкил, который частично или полностью галогенирован", относится к прямоцепочечным или разветвленным алкильным группам, содержащим от 1 до 2 ("С12-галогеналкил"), от 1 до 3 ("C13-галогеналкил"), от 1 до 4 ("С14-галогеналкил") или от 1 до 6 ("C16-галогеналкил") атомов углерода (как упомянуто выше), где некоторые или все атомы водорода в этих группах заменены на атомы галогенов, как упомянуто выше: в частности, означает С12-галогеналкил, такой как хлорметил, бромметил, дихлорметил, трихлорметил, фторметил, дифторметил, трифторметил, хлорфторметил, дихлорфторметил, хлордифторметил, 1-хлорэтил, 1-бромэтил, 1-фторэтил, 2-фторэтил, 2,2-дифторэтил, 2,2,2-трифторэтил, 2-хлор-2-фторэтил, 2-хлор-2,2-дифторэтил, 2,2-дихлор-2-фторэтил, 2,2,2-трихлорэтил или пентафторэтил. C13-галогеналкил дополнительно означает, например, 1-фторпропил, 2-фторпропил, 3-фторпропил, 1,1-дифторпропил, 2,2-дифторпропил, 1,2-дифторпропил, 3,3-дифторпропил, 3,3,3-трифторпропил, гептафторпропил, 1,1,1-трифторпроп-2-ил, 3-хлорпропил и т.п. Примерами С14-галогеналкила являются, кроме упомянутых для C13-галогеналкила, 4-хлорбутил и т.п.

Термин "алкилен" (или алкандиил) в контексте данной заявки в каждом случае означает алкильный радикал согласно вышеприведенному определению, где один атом водорода в любом положении углеродного скелета заменен на один дополнительный центр, участвующий в образовании связи, таким образом образуя двухвалентный фрагмент. Алкилен предпочтительно содержит от 1 до 6 атомов углерода (C16-алкилен), от 2 до 6 атомов углерода (С26-алкилен), в частности, от 1 до 4 атомов углерода (С14-алкилен) или от 2 до 4 атомов углерода (С24-алкилен). Примерами алкилена являются метилен (СН2), 1,1-этандиил, 1,2-этандиил, 1,3-пропандиил, 1,2-пропандиил, 2,2-пропандиил, 1,4-бутандиил, 1,2-бутандиил, 1,3-бутандиил, 2,3-бутандиил, 2,2-бутандиил, 1,5-пентандиил, 2,2-диметилпропан-1,3-диил, 1,3-диметил-1,3-пропандиил, 1,6-гександиил и т.д.

Термин "алкенил" в контексте данной заявки относится к мононенасыщенным прямоцепочечным или разветвленным углеводородным радикалам, содержащим от 2 до 3 ("С23-алкенил"), от 2 до 4 ("С24-алкенил") или от 2 до 6 ("С26-алкенил) атомов углерода и двойную связь в любом положении, например, означает С23-алкенил, такой как этенил, 1-пропенил, 2-пропенил или 1-метилэтенил; С24-алкенил, такой как этенил, 1-пропенил, 2-пропенил, 1-метилэтенил, 1-бутенил, 2-бутенил, 3-бутенил, 1-метил-1-пропенил, 2-метил-1-пропенил, 1-метил-2-пропенил или 2-метил-2-пропенил; С26-алкенил, такой как этенил, 1-пропенил, 2-пропенил, 1-метилэтенил, 1-бутенил, 2-бутенил, 3-бутенил, 1-метил-1-пропенил, 2-метил-1-пропенил, 1-метил-2-пропенил, 2-метил-2-пропенил, 1-пентенил, 2-пентенил, 3-пентенил, 4-пентенил, 1-метил-1-бутенил, 2-метил-1-бутенил, 3-метил-1-бутенил, 1-метил-2-бутенил, 2-метил-2-бутенил, 3-метил-2-бутенил, 1-метил-3-бутенил, 2-метил-3-бутенил, 3-метил-3-бутенил, 1,1-диметил-2-пропенил, 1,2-диметил-1-пропенил, 1,2-диметил-2-пропенил, 1-этил-1-пропенил, 1-этил-2-пропенил, 1-гексенил, 2-гексенил, 3-гексенил, 4-гексенил, 5-гексенил, 1-метил-1-пентенил, 2-метил-1-пентенил, 3-метил-1-пентенил, 4-метил-1-пентенил, 1-метил-2-пентенил, 2-метил-2-пентенил, 3-метил-2-пентенил, 4-метил-2-пентенил, 1-метил-3-пентенил, 2-метил-3-пентенил, 3-метил-3-пентенил, 4-метил-3-пентенил, 1-метил-4-пентенил, 2-метил-4-пентенил, 3-метил-4-пентенил, 4-метил-4-пентенил, 1,1-диметил-2-бутенил, 1,1-диметил-3-бутенил, 1,2-диметил- 1-бутенил, 1,2-диметил-2-бутенил, 1,2-диметил-3-бутенил, 1,3-диметил- 1-бутенил, 1,3-диметил-2-бутенил, 1,3-диметил-3-бутенил, 2,2-диметил-3-бутенил, 2,3-диметил-1-бутенил, 2,3-диметил-2-бутенил, 2,3-диметил-3-бутенил, 3,3-диметил-1-бутенил, 3,3-диметил-2-бутенил, 1-этил-1-бутенил, 1-этил-2-бутенил, 1-этил-3-бутенил, 2-этил-1-бутенил, 2-этил-2-бутенил, 2-этил-3-бутенил, 1,1,2-триметил-2-пропенил, 1-этил-1-метил-2-пропенил, 1-этил-2-метил- 1-пропенил, 1-этил-2-метил-2-пропенил и т.п.

Термин "алкинил" в контексте данной заявки относится к прямоцепочечным или разветвленным углеводородным группам, содержащим от 2 до 3 ("С23-алкинил"), от 2 до 4 ("С24-алкинил") или от 2 до 6 ("С26-алкинил") атомов углерода и одну или две тройных связи в любом положении, например, означает С23-алкинил, такой как этинил, 1-пропинил или 2-пропинил; С24-алкинил, такой как этинил, 1-пропинил, 2-пропинил, 1-бутинил, 2-бутинил, 3-бутинил, 1-метил-2-пропинил и т.п., С26-алкинил, такой как этинил, 1-пропинил, 2-пропинил, 1-бутинил, 2-бутинил, 3-бутинил, 1-метил-2-пропинил, 1-пентинил, 2-пентинил, 3-пентинил, 4-пентинил, 1-метил-2-бутинил, 1-метил-3-бутинил, 2-метил-3-бутинил, 3-метил-1-бутинил, 1,1-диметил-2-пропинил, 1-этил-2-пропинил, 1-гексинил, 2-гексинил, 3-гексинил, 4-гексинил, 5-гексинил, 1-метил-2-пентинил, 1-метил-3-пентинил, 1-метил-4-пентинил, 2-метил-3-пентинил, 2-метил-4-пентинил, 3-метил-1-пентинил, 3-метил-4-пентинил, 4-метил-1-пентинил, 4-метил-2-пентинил, 1,1-диметил-2-бутинил, 1,1-диметил-3-бутинил, 1,2-диметил-3-бутинил, 2,2-диметил-3-бутинил, 3,3-диметил-1-бутинил, 1-этил-2-бутинил, 1-этил-3-бутинил, 2-этил-3-бутинил, 1-этил-1-метил-2-пропинил и т.п.

Термин "циклоалкил" в контексте данной заявки относится к моно- или би- или полициклическим насыщенным углеводородным радикалам, содержащим, в частности, от 3 до 6 ("С36-циклоалкил") или от 3 до 5 ("С35-циклоалкил"), или от 3 до 4 ("С34-циклоалкил") атомов углерода. Примеры моноциклических радикалов, содержащих от 3 до 4 атомов углерода, включают циклопропил и циклобутил. Примеры моноциклических радикалов, содержащих от 3 до 5 атомов углерода, включают циклопропил, циклобутил и циклопентил. Примеры моноциклических радикалов, содержащих от 3 до 6 атомов углерода, включают циклопропил, циклобутил, циклопентил и циклогексил. Примеры моноциклических радикалов, содержащих от 3 до 8 атомов углерода, включают циклопропил, циклобутил, циклопентил, циклогексил, циклогептил и циклооктил. Примеры бициклических радикалов, содержащих 7 или 8 атомов углерода, включают бицикло[2.2.1]гептил, бицикло[3.1.1]гептил, бицикло[2.2.2]октил и бицикло[3.2.1]октил. Предпочтительно, термин циклоалкил означает моноциклический насыщенный углеводородный радикал.

Термин "циклоалкокси" в контексте данной заявки относится к циклоалкильному радикалу, в частности, моноциклическому циклоалкильному радикалу согласно вышеприведенному определению, содержащему, в частности, от 3 до 6 ("С36-циклоалкокси") или от 3 до 5 ("С35-циклоалкокси"), или от 3 до 4 ("С34-циклоалкокси") атомов углерода, который присоединен к остальной части молекулы через атом кислорода.

Термин "циклоалкил-С14-алкил" относится к С38-циклоалкилу ("С3-C8-циклоалкил-С14-алкил"), предпочтительно С36-циклоалкилу ("С36-циклоалкил-С14-алкил"), более предпочтительно С34-циклоалкилу ("С34-циклоалкил-С14-алкил") согласно вышеприведенному определению (предпочтительно моноциклической циклоалкильной группе), который присоединен к остальной части молекулы через С14-алкильную группу согласно вышеприведенному определению. Примерами С34-циклоалкил-С14-алкила являются циклопропилметил, циклопропилэтил, циклопропилпропил, циклобутилметил, циклобутилэтил и циклобутилпропил. Примерами С36-циклоалкил-С14-алкила, кроме упомянутых для С34-циклоалкил-С14-алкила, являются циклопентилметил, циклопентилэтил, циклопентилпропил, циклогексилметил, циклогексилэтил и циклогексилпропил.

Термин "С12-алкокси" означает С12-алкильную группу согласно вышеприведенному определению, присоединенную через атом кислорода. Термин "C13-алкокси" означает C13-алкильную группу согласно вышеприведенному определению, присоединенную через атом кислорода. Термин "С14-алкокси" означает С14-алкильную группу согласно вышеприведенному определению, присоединенную через атом кислорода. Термин "C16-алкокси" означает C16-алкильную группу согласно вышеприведенному определению, присоединенную через атом кислорода. Термин "C110-алкокси" означает C110-алкильную группу согласно вышеприведенному определению, присоединенную через атом кислорода. С12-Алкокси означает ОСН3 или ОС2Н5. C13-Алкокси дополнительно означает, например, н-пропокси и 1-метилэтокси (изопропокси). С14-Алкокси дополнительно означает, например, бутокси, 1-метилпропокси (втор-бутокси), 2-метилпропокси (изобутокси) или 1,1-диметилэтокси (трет-бутокси). C1-C6-Алкокси дополнительно означает, например, пентокси, 1-метилбутокси, 2-метилбутокси, 3-метилбутокси, 1,1-диметилпропокси, 1,2-диметилпропокси, 2,2-диметилпропокси, 1-этилпропокси, гексокси, 1-метилпентокси, 2-метилпентокси, 3-метилпентокси, 4-метилпентокси, 1,1-диметилбутокси, 1,2-диметилбутокси, 1,3-диметилбутокси, 2,2-диметилбутокси, 2,3-диметилбутокси, 3,3-диметилбутокси, 1-этилбутокси, 2-этилбутокси, 1,1,2-триметилпропокси, 1,2,2-триметилпропокси, 1-этил-1-метилпропокси или 1-этил-2-метилпропокси. С18-Алкокси дополнительно означает, например, гептилокси, октилокси, 2-этилгексилокси и их позиционные изомеры. C110-Алкокси дополнительно означает, например, нонилокси, децилокси и их позиционные изомеры.

Термин "С12-галогеналкокси" означает С12-галогеналкильную группу согласно вышеприведенному определению, присоединенную через атом кислорода. Термин "C13-галогеналкокси" означает C13-галогеналкильную группу согласно вышеприведенному определению, присоединенную через атом кислорода. Термин "С14-галогеналкокси" означает С14-галогеналкильную группу согласно вышеприведенному определению, присоединенную через атом кислорода. Термин "C16-галогеналкокси" означает C16-галогеналкильную группу согласно вышеприведенному определению, присоединенную через атом кислорода. С1-С2-Галогеналкокси означает, например, OCH2F, OCHF2, OCF3, OCH2Cl, OCHCl2, OCCl3, хлорфторметокси, дихлорфторметокси, хлордифторметокси, 2-фторэтокси, 2-хлорэтокси, 2-бромэтокси, 2-йодэтокси, 2,2-дифторэтокси, 2,2,2-трифторэтокси, 2-хлор-2-фторэтокси, 2-хлор-2,2-дифторэтокси, 2,2-дихлор-2-фторэтокси, 2,2,2-трихлорэтокси или OC2F5. С13-Галогеналкокси дополнительно означает, например, 2-фторпропокси, 3-фторпропокси, 2,2-дифторпропокси, 2,3-дифторпропокси, 2-хлорпропокси, 3-хлорпропокси, 2,3-дихлорпропокси, 2-бромпропокси, 3-бромпропокси, 3,3,3-трифторпропокси, 3,3,3-трихлорпропокси, OCH2-C2F5, OCF2-C2F5, 1-(CH2F)-2-фторэтокси, 1-(CH2Cl)-2-хлорэтокси или 1-(CH2Br)-2-бромэтокси. С14-Галогеналкокси дополнительно означает, например, 4-фторбутокси, 4-хлорбутокси, 4-бромбутокси или нонафторбутокси. C16-Галогеналкокси дополнительно означает, например, 5-фторпентокси, 5-хлорпентокси, 5-бромпентокси, 5-йодпентокси, ундекафторпентокси, 6-фторгексокси, 6-хлоргексокси, 6-бромгексокси, 6-йодгексокси или додекафторгексокси.

Термин "С16-алкокси-С14-алкил" в контексте данной заявки относится к прямоцепочечному или разветвленному алкилу, содержащему от 1 до 4 атомов углерода, согласно вышеприведенному определению, где один атом водорода заменен на C16-алкокси группу согласно вышеприведенному определению. Примерами являются метоксиметил, этоксиметил, пропоксиметил, изопропоксиметил, н-бутоксиметил, втор-бутоксиметил, изобутоксиметил, трет-бутоксиметил, 1-метоксиэтил, 1-этоксиэтил, 1-пропоксиэтил, 1-изопропоксиэтил, 1-н-бутоксиэтил, 1-втор-бутоксиэтил, 1-изобутоксиэтил, 1-трет-бутоксиэтил, 2-метоксиэтил, 2-этоксиэтил, 2-пропоксиэтил, 2-изопропоксиэтил, 2-н-бутоксиэтил, 2-втор-бутоксиэтил, 2-изобутоксиэтил, 2-трет-бутоксиэтил, 1-метоксипропил, 1-этоксипропил, 1-пропоксипропил, 1-изопропоксипропил, 1-н-бутоксипропил, 1-втор-бутоксипропил, 1-изобутоксипропил, 1-трет-бутоксипропил, 2-метоксипропил, 2-этоксипропил, 2-пропоксипропил, 2-изопропоксипропил, 2-н-бутоксипропил, 2-втор-бутоксипропил, 2-изобутоксипропил, 2-трет-бутоксипропил, 3-метоксипропил, 3-этоксипропил, 3-пропоксипропил, 3-изопропоксипропил, 3-н-бутоксипропил, 3-втор-бутоксипропил, 3-изобутоксипропил, 3-трет-бутоксипропил и т.п.

Термин "алкоксиалкокси" в контексте данной заявки относится к алкоксиалкильному радикалу, в частности, С16-алкокси-С14-алкильному радикалу согласно вышеприведенному определению, который присоединен к остальной части молекулы через атом кислорода. Примерами таких радикалов являются ОСН2-ОСН3, ОСН2-ОС2Н5, н-пропоксиметокси, ОСН2-ОСН(СН3)2, н-бутоксиметокси, (1-метилпропокси)метокси, (2-метилпропокси)метокси, ОСН2-ОС(СН3)3, 2-(метокси)этокси, 2-(этокси)этокси, 2-(н-пропокси)этокси, 2-(1-метилэтокси)этокси, 2-(н-бутокси)этокси, 2-(1-метилпропокси)этокси, 2-(2-метилпропокси)этокси, 2-(1,1-диметилэтокси)этокси и т.д.

Заместитель "оксо" заменяет СН2 на группу С(=O).

Термин "арил" относится к фенилу и би- или полициклическим карбоциклам, содержащим по меньшей мере одно конденсированное фениленовое кольцо, которое присоединено к остальной части молекулы. Примеры би- или полициклических карбоциклов, содержащих по меньшей мере одно фениленовое кольцо, включают нафтил, тетрагидронафтил, инданил, инденил, антраценил, флуоренил и т.д.

Термин "арил-С14-алкил" относится к С14-алкилу согласно вышеприведенному определению, где один атом водорода заменен на арильный радикал, в частности, фенильный радикал. Частные примеры арил-С14-алкила включают СН2-фенил, 1-фенэтил, 2-фенэтил, 1-фенилпропил, 2-фенилпропил, 3-фенил-1-пропил и 2-фенил-2-пропил.

Термин "арилокси-С14-алкил" относится к С14-алкилу согласно вышеприведенному определению, где один атом водорода заменен на арилокси радикал, в частности, фенокси радикал. Частные примеры арилокси-С14-алкила включают феноксиметил, 1-феноксиэтил, 2-феноксиэтил, 1-феноксипропил, 2-феноксипропил, 3-фенокси-1-пропил и 2-фенокси-2-пропил.

Термин "арил-С14-карбонил" относится к арилу согласно вышеприведенному определению, в частности, фенильному радикалу, который присоединен к остальной части молекулы с помощью карбонила. Частные примеры арилкарбонила включают бензоил, 1-нафтоил и 2-нафтоил.

Термин "гетарил" относится к ароматическим гетероциклам, которые содержат либо 5 или 6 кольцевых атомов (5- или 6-членный гетарил) и являются моноциклическими, либо 8, 9 или 10 кольцевых атомов и являются бициклическими. Как правило, гетарил содержит по меньшей мере один кольцевой атом, выбранный из О, S и N, который в случае атома N может представлять собой имино-азот или амино-азот, который несет водород или радикал, который отличается от водорода. Гетарил может содержать 1, 2, 3 или 4 дополнительных атома азота в качестве кольцевых членов, которые представляют собой атомы имино-азота. Примеры 5- или 6-членного гетарила включают 2-фурил, 3-фурил, 2-тиенил, 3-тиенил, 1-пирролил, 2-пирролил, 3-пирролил, 1-пиразолил, 3-пиразолил, 4-пиразолил, 5-пиразолил, 2-оксазолил, 4-оксазолил, 5-оксазолил, 2-тиазолил, 4-тиазолил, 5-тиазолил, 1-имидазолил, 2-имидазолил, 4-имидазолил, 1,3,4-триазол-1-ил, 1,3,4-триазол-2-ил, 1,3,4-оксадиазолил-2-ил, 1,3,4-тиадиазол-2-ил, 2-пиридинил, 3-пиридинил, 4-пиридинил, 3-пиридазинил, 4-пиридазинил, 2-пиримидинил, 4-пиримидинил, 5-пиримидинил, 2-пиразинил и 1,3,5-триазин-2-ил. Примеры 8-, 9- или 10-членного гетарила включают, например, хинолинил, изохинолинил, циннолинил, индолил, индолизинил, изоиндолил, индазолил, бензофурил, бензотиенил, бензо[b]тиазолил, бензоксазолил, бензтиазолил, бензимидазолил, имидазо[1,2-а]пиридин-2-ил, тиено[3,2-b]пиридин-5-ил, имидазо-[2,1-b]-тиазол-6-ил и 1,2,4-триазоло[1,5-а]пиридин-2-ил.

Примеры N-присоединенных 5-, 6-, 7 или 8-членных насыщенных гетероциклов включают: пирролидин-1-ил, пиразолидин-1-ил, имидазолидин-1-ил, оксазолидин-3-ил, изоксазолидин-2-ил, тиазолидин-3-ил, изотиазолидин-2-ил, пиперидин-1-ил, пиперазин-1-ил, морфолин-4-ил, тиоморфолин-4-ил, 1-оксотиоморфолин-4-ил, 1,1-диоксотиоморфолин-4-ил, азепан-1-ил и т.п.

Термин "гетарил-С14-алкил" относится к С14-алкилу согласно вышеприведенному определению, где один атом водорода заменен на гетарильный радикал, в частности, пиридильный радикал. Частные примеры гетарил-С14-алкила включают 2-пиридилметил, 3-пиридилметил, 4-пиридилметил, 1-(2-пиридил)этил, 2-(2-пиридил)этил, 1-(3-пиридил)этил, 2-(3-пиридил)этил, 1-(4-пиридил)этил, 2-(4-пиридил)этил и т.д.

Термин "гетарилокси-С14-алкил" относится к С14-алкилу согласно вышеприведенному определению, где один атом водорода заменен на гетарилокси радикал, в частности, пиридилокси радикал. Частные примеры гетарилокси-С14-алкила включают 2-пиридилоксиметил, 3-пиридилоксиметил, 4-пиридилоксиметил, 1-(2-пиридилокси)этил, 2-(2-пиридилокси)этил, 1-(3-пиридилокси)этил, 2-(3-пиридилокси)этил, 1-(4-пиридилокси)этил, 2-(4-пиридилокси)этил и т.д.

Термин "гетарил-С14-карбонил" относится к гетарилу согласно вышеприведенному определению, в частности, С-присоединенному гетарильному радикалу, например, 2-, 3- или 4-пиридильному, 2- или 3-тиенильному, 2- или 3-фурильному, 1-, 2- или 3-пирролильному, 2- или 4-пиримидинильному, пиридазинильному, 1-, 3- или 4-пиразолильному, 1-, 2- или 4-имидазолильному радикалу, который присоединен к остальной части молекулы с помощью карбонила.

Термин "замещенный", если не указано иное, относится к замещению 1, 2 или максимально возможным количеством заместителей. Если заместителей, как определено для соединений формулы (I), больше чем один, то они независимо друг от друга являются одинаковыми или разными, если не указано иное.

Что касается переменных, вариантами соединений формулы (I) являются следующие.

В одном предпочтительном варианте осуществления, В1 означает CRB1, В2 означает CRB2, В3 означает CRB3, и В4 означает CRB4.

В другом предпочтительном варианте осуществления, В1 означает N, В2 означает CRB2, В3 означает CRB3, В означает CRB4.

В другом предпочтительном варианте осуществления, В1 означает CRB1, В2 означает N, В3 означает CRB3, В4 означает CRB4.

В другом предпочтительном варианте осуществления, В1 означает N, В2 означает N, В3 означает CRB3, В4 означает CRB4.

В другом предпочтительном варианте осуществления, В1 означает N, В2 означает N, В3 означает N, В4 означает CRB4.

В другом предпочтительном варианте осуществления, В1 и В4, соответственно, означают CRB1 и CRB4, и В2 означает N или CRB2, В3 означает N или CRB3.

В другом предпочтительном варианте осуществления, А означает CRA, В1 означает CRB1, В2 означает CRB2, В3 означает CRB3, и В4 означает CRB4.

В другом предпочтительном варианте осуществления, А означает CRA, В1 означает N, В2 означает CRB2, В3 означает CRB3, B4 означает CRB4.

В другом предпочтительном варианте осуществления, А означает CRA, В1 означает N, В2 означает CRB2, В3 означает CRB3, B4 означает CRB4.

В другом предпочтительном варианте осуществления, А означает CRA, В1 означает N, В2 означает CRB2, В3 означает CRB3, B4 означает CRB4.

В другом предпочтительном варианте осуществления, А означает CRA, В1 означает N, В2 означает CRB2, В3 означает CRB3, B4 означает CRB4.

В другом предпочтительном варианте осуществления, А означает N, В1 означает N, CRB1 означает CRB2, В3 означает CRB3, B4 означает CRB4.

В другом предпочтительном варианте осуществления, А означает CRA, В1 означает N, В2 означает CRB2, В3 означает CRB3, B4 означает CRB4.

В другом предпочтительном варианте осуществления, А означает CRA, В1 означает N, В2 означает CRB2, В3 означает CRB3, B4 означает CRB4.

В другом предпочтительном варианте осуществления, А означает CRA, В1 означает N, В2 означает CRB2, В3 означает CRB3, B4 означает CRB4.

В другом предпочтительном варианте осуществления, А означает CRA, В1 означает N, В2 означает CRB2, В3 означает CRB3, B4 означает CRB4.

В одном предпочтительном варианте осуществления, RA означает Н, галоген, ОН, CN, C16-алкил, C16-алкокси, три-С16-алкилсилил, C16-алкокси-С14-алкил, С36-циклоалкил, где алкильные, алкокси, циклоалкильные фрагменты не замещены или замещены галогеном,

C(=O)-ORa, NRbRc, C(=O)-NRbRc, C(=O)-Rd, SO2NRbRc или S(=O)mRe.

В другом предпочтительном варианте осуществления, RA означает Н, галоген, C16-алкил, С36-циклоалкил, где алкильные или циклоалкильные фрагменты не замещены или замещены галогеном.

В другом предпочтительном варианте осуществления, RA означает Н, Cl, Br, F, СН3, С2Н5, Н-С3Н7, изопропил, циклопропил, CH2F, CHF2 или CF3.

В одном предпочтительном варианте осуществления, RB1, RB2, RB3 и RB4 независимо друг от друга означают Н, галоген или C16-алкил.

В другом предпочтительном варианте осуществления, RB1, RB2, RB3 и RB4 независимо друг от друга означают Н, Cl, Br, F, СН3, С2Н5, Н-С3Н7 или изопропил.

В одном предпочтительном варианте осуществления, Q означает -C(R4R5)-O-, где С присоединен к Ar.

В другом предпочтительном варианте осуществления, Q означает -C(R4R5)-O-, где О присоединен к Ar.

В другом предпочтительном варианте осуществления, Q означает С(=O)-O-, где С присоединен к Ar.

В другом предпочтительном варианте осуществления, Q означает С(=O)-O-, где О присоединен к Ar.

В другом предпочтительном варианте осуществления, Q означает S(=O)m-C(R7R8)-, где S присоединен к Ar.

В другом предпочтительном варианте осуществления, Q означает S(=O)m-C(R7R8)-, где С присоединен к Ar.

В другом предпочтительном варианте осуществления, Q означает -N(R2)-S(=O)m-, где N присоединен к Ar.

В другом предпочтительном варианте осуществления, Q означает -N(R2)-S(=O)m-, где S присоединен к Ar.

В другом предпочтительном варианте осуществления, Q означает -N(R2)-C(R9R10)-, где N присоединен к Ar.

В другом предпочтительном варианте осуществления, Q означает -N(R2)-C(R9R10)-, где С присоединен к Ar.

В другом предпочтительном варианте осуществления, Q означает C(=O)-C(R19R20)-, где С(=O) присоединен к Ar.

В другом предпочтительном варианте осуществления, Q означает C(=O)-C(R19R20)-, где C(R19R20) присоединен к Ar.

В другом предпочтительном варианте осуществления, Q означает -N(R2)-C(=O)-, где N присоединен к Ar.

В другом предпочтительном варианте осуществления, Q означает -N(R2)-С(=O)-, где С присоединен к Ar.

В другом предпочтительном варианте осуществления, Q означает -N(R2)-C(=S)-, где N присоединен к Ar.

В другом предпочтительном варианте осуществления, Q означает -N(R)-C(=S)-, где С присоединен к Ar.

В другом предпочтительном варианте осуществления, Q означает -N=C(X)-, где N присоединен к Ar.

В другом предпочтительном варианте осуществления, Q означает -N(R2)-C(=NR)-, где N присоединен к Ar.

В другом предпочтительном варианте осуществления, Q означает -N(R2)-C(=NR)-, где С присоединен к Ar.

В другом предпочтительном варианте осуществления, Q означает -C(R13R14)-C(R15R16)-.

В другом предпочтительном варианте осуществления, Q означает -C(R17)=C(R18)-.

В другом предпочтительном варианте осуществления, Q означает -C(R4R5)-O-, -N(R2)-S(=O)m-, -N(R2)-C(R9R10)-, -N(R2)-C(=O)-, -N(R2)-C(=S)-, -N=C(X)- или -N(R2)-C(=NR)-, где Ar присоединен к одной из сторон Q.

В другом предпочтительном варианте осуществления, Q означает -C(R4R5)-O-, -N(R2)-C(R9R10)-, -N(R2)-C(=C-)-, -N(R2)-C(=NR)-, где Ar присоединен к одной из сторон Q.

В одном предпочтительном варианте осуществления, X означает Н или N(R3)2.

В другом предпочтительном варианте осуществления, X означает Н.

В другом предпочтительном варианте осуществления, X означает N(R3)2.

В одном предпочтительном варианте осуществления, R3 означает Н, C16-алкил или С16-алкокси-С14-алкил.

В другом предпочтительном варианте осуществления, R3 означает Н, или C1-C6-алкил.

В другом предпочтительном варианте осуществления, R3 означает C16алкил.

В другом предпочтительном варианте осуществления, R3 означает Н.

В одном предпочтительном варианте осуществления, R означает Н, CN, С16-алкил, C16-галогеналкил, С26-алкенил, С26-галогеналкенил, С26-алкинил, С26-галогеналкинил, С36-циклоалкил, С36-галогенциклоалкил, OR8 или N(R3)2.

В другом предпочтительном варианте осуществления, R означает Н, CN, C16-алкил или OR8.

В другом предпочтительном варианте осуществления, R означает Н или C16-алкил.

В другом предпочтительном варианте осуществления, R означает Н, СН3, С2Н5, Н-С3Н7 или изопропил.

В одном предпочтительном варианте осуществления, R6 означает Н, C1-C6-алкил, С26-алкенил, С26-алкинил, С16-алкокси-С14-алкил, С36-циклоалкил, С36-циклоалкил-С14-алкил, С36-циклоалкокси-С14-алкил, где алкильные, алкокси, алкенильные, алкинильные, циклоалкильные и циклоалкокси фрагменты не замещены или замещены галогеном.

В другом предпочтительном варианте осуществления, R6 означает СН2-фенил, где фенильные кольца не замещены или замещены посредством Rf.

В другом предпочтительном варианте осуществления, R6 означает Н, C1-C6-алкил, С26-алкенил, С26-алкинил, С16-алкокси-С14-алкил, С36-циклоалкил, С36-циклоалкил-С14-алкил, С36-циклоалкокси-С14-алкил, где алкильные, алкокси, алкенильные, алкинильные, циклоалкильные и циклоалкокси фрагменты не замещены или замещены галогеном.

В другом предпочтительном варианте осуществления, R6 означает Н, C16-алкил, С36-циклоалкил, C16-галогеналкил или -СН2-фенил.

В другом предпочтительном варианте осуществления, R6 означает Н, C1-C6-алкил или C1-C6-галогеналкил.

В другом предпочтительном варианте осуществления, R6 означает Н.

В другом предпочтительном варианте осуществления, R6 означает C1-Свал кил.

В другом предпочтительном варианте осуществления, R6 означает С36-циклоалкил, который не замещен или замещен галогеном.

В другом предпочтительном варианте осуществления, R6 означает C1-C6-галогеналкил.

В другом предпочтительном варианте осуществления, R6 означает Н, СН3, С2Н5, С3Н5, CH2CF3 или CHF2.

В другом предпочтительном варианте осуществления, R6 означает Н, СН3, С2Н5, С3Н5 или CH2CF3.

В одном предпочтительном варианте осуществления, R4, R5, R7, R8, R9, R10, R13, R14, R15, R16, R17, R18, R19, R20 являются одинаковыми или разными и означают Н, галоген, C16-алкил, C16-галогеналкилалкил, С26-алкенил, С26-алкинил, С16-алкокси-С14-алкил, С36-циклоалкил, С36-галогенциклоалкил, С36-циклоалкил-С14-алкил, С36-циклоалкокси-С14-алкил, C(=O)-ORa, C(=O)-NRbRc, C(=O)-Rd, SO2NRbRc, S(=O)mRe, фенил или -СН2-фенил, где фенильные кольца не замещены или замещены посредством Rf.

В другом предпочтительном варианте осуществления, R4, R5, R7, R8, R9, R10, R13, R14, R15, R16, R17, R18, R19, R20 являются одинаковыми или разными и означают Н, галоген, C1-C6-алкил, C1-C6-галогеналкилалкил, С36-циклоалкил, С36-галогенциклоалкил, C(=O)-ORa, C(=O)-NRbRc, C(=O)-Rd, фенил или -СН2-фенил, где фенильные кольца не замещены или замещены посредством Rf.

В другом предпочтительном варианте осуществления, R4, R5, R7, R8, R9, R10, R13, R14, R15, R16, R17, R18, R19, R20 являются одинаковыми или разными и означают Н, галоген, C1-C6-алкил или C1-C6-галогеналкилалкил.

В другом предпочтительном варианте осуществления, R4, R5, R7, R8, R9, R10, R13, R14, R15, R16, R17, R18, R19, R20 являются одинаковыми или разными и означают Н, галоген или C16-алкил.

В другом предпочтительном варианте осуществления, R4, R5, R7, R8, R9, R10, R13, R14, R15, R16, R17, R18, R19, R20 являются одинаковыми или разными и означают Н или C16-алкил.

В одном предпочтительном варианте осуществления, Ar означает фенил, который не замещен или замещен посредством RAr.

В другом предпочтительном варианте осуществления, Ar означает 5- или 6-членный гетарил, который не замещен или замещен посредством RAr.

В более предпочтительном варианте осуществления, Ar означает фенил, пиримидинил, пиридазинил или пиридил, которые не замещены или замещены посредством RAr.

В одном предпочтительном варианте осуществления, R означает галоген, ОН, CN, NO2, SCN, C16-алкил, C16-галогеналкил, C16-алкокси, C1-C6-галогеналкокси или S-Re.

В другом предпочтительном варианте осуществления, RAr означает галоген, ОН, С16-алкил, C16-галогеналкил, C16-алкокси, С16-галогеналкокси или S-Re.

В более предпочтительном варианте осуществления, R означает F, Cl, Br, ОН, CN, NO2, SCN, СН3, С2Н5, н-С3Н7, изопропил, CH2F, CHF2, CF3, CH2CF3, CF2CHF2, C2F5, CH2CH2CF3, CH2CF2CHF2, CH2CF2CF3, OCH3, OC2H5, н-пропилокси, изопропилокси, OCH2F, OCHF2, OCF3, OCH2CF3, OCF2CHF2, OC2F5, OCH2CH2CF3, OCH2CF2CHF2, OCH2CF2CF3 или S-Re, где Re означает C1-C6-алкил, в частности, C13-алкил, такой как СН3, С2Н5, Н-С3Н7 или изопропил, или C16-галогеналкил, в частности, фторированный C13-алкил, такой как CH2F, CHF2, CF3, CH2CF3, CF2CHF2, C2F5, CH2CH2CF3, CH2CF2CHF2 или CH2CF2CF3.

Особенно предпочтительные Ar перечислены в Таблице А ниже.

Особенно предпочтительный Ar выбирают из AR1 - AR67;

также особенно предпочтительный Ar выбирают из AR1 - AR20;

также особенно предпочтительный Ar выбирают из AR1 - AR13;

также особенно предпочтительный Ar выбирают из AR1 - AR13 и AR17 - AR18;

также особенно предпочтительный Ar выбирают из AR1, AR2, Ar3, Ar4, AR10, AR17 и AR18.

также особенно предпочтительный Ar выбирают из AR17 и AR18;

также особенно предпочтительный Ar выбирают из AR1, AR2, Ar5, AR21 и AR22;

также особенно предпочтительный Ar означает AR17;

также особенно предпочтительный Ar означает AR18.

В одном предпочтительном варианте осуществления, R1 означает Y-Z-T-R11.

В другом предпочтительном варианте осуществления, R1 означает Y-Z-T-R12.

В одном предпочтительном варианте осуществления, Y означает CRya=N, где N присоединен к Z.

В другом предпочтительном варианте осуществления, Y означает -NRyc-C(=S)-, где C(=S) присоединен к Z.

В другом предпочтительном варианте осуществления, Y означает NRyc-С(=O), где С(=O) присоединен к Z.

В одном предпочтительном варианте осуществления, Z означает одинарную связь;

- NRzc-C(=O)-, где С(=O) присоединен к Т;

-NRzc-C(=S)-, где C(=S) присоединен к Т;

-N=C(S-Rza)-, где Т присоединен к атому углерода; или

-NRzc-C(S-Rza)=, где Т присоединен к атому углерода.

В другом предпочтительном варианте осуществления, Z означает -NRzc-C(=S)-, где C(=S) присоединен к Т.

В другом предпочтительном варианте осуществления, Z означает -NRzc-C(=O)-, где С(=O) присоединен к Т.

В другом предпочтительном варианте осуществления, Z означает -N=C(S-Rza)-, где Т присоединен к атому углерода.

В другом предпочтительном варианте осуществления, Z означает -NRzc-C(S-Rza)=, где Т присоединен к атому углерода.

В другом предпочтительном варианте осуществления, Z означает -O-С(=O)-, где Т присоединен к атому углерода.

В другом предпочтительном варианте осуществления, Z означает одинарную связь.

В одном предпочтительном варианте осуществления, Т означает О.

В другом предпочтительном варианте осуществления, Т означает N-RT.

В другом предпочтительном варианте осуществления, Т означает N.

В одном предпочтительном варианте осуществления, Rya означает Н, галоген, C16-алкил, C16-алкокси, которые не замещены или замещены галогеном,

фенил или -СН2-фенил, где фенильные кольца не замещены или замещены посредством Rf.

В более предпочтительном варианте осуществления, Rya означает Н, галоген, С16-алкил, С16-алкокси, которые не замещены или замещены галогеном,

или фенил, который не замещен или замещен посредством Rf.

В наиболее предпочтительном варианте осуществления, Rya означает Н, F, Cl, Br, СН3, С2Н5, н-С3Н7, изопропил, CH2F, CHF2, CF3, CH2CF3, CF2CHF2, C2F5, CH2CH2CF3, CH2CF2CHF2, CH2CF2CF3, OCH3, OC2H5, н-пропилокси, изопропилокси, OCH2F, OCHF2, OCF3, OCH2CF3, OCF2CHF2, OC2F5, OCF£2CH2CF3, OCH2CF2CHF2, OCH2CF2CF3 или фенил, который не замещен или замещен посредством Rf.

В дополнительном наиболее предпочтительном варианте осуществления, Rya означает Н или СН3.

В одном варианте осуществления, Ryc, Rzc означают Н, C1-C6-алкил, С36-циклоалкил, которые не замещены или замещены галогеном,

фенил или -СН2-фенил, где кольца не замещены или замещены посредством Rf.

В более предпочтительном варианте осуществления, Ryc и Rzc означают Н, C16-алкил, C16-галогеналкил или фенил, который не замещен или замещен посредством Rf.

В наиболее предпочтительном варианте осуществления, Ryc и Rzc означают Н, СН3, С2Н5, Н-С3Н7, изопропил, CH2F, CHF2, CF3, CH2CF3, CF2CHF2, C2F5, CH2CH2CF3, CH2CF2CHF2, CH2CF2CF3 или фенил, который не замещен или замещен посредством Rf.

В дополнительном наиболее предпочтительном варианте осуществления, Ryc и Rzc означают Н или СН3.

В одном предпочтительном варианте осуществления, RT означает C1-C6-алкил, С26-алкенил, С26-алкинил, С14-алкил-С16-алкокси, С36-циклоалкил, С36-циклоалкил-С14-алкил, С36-циклоалкокси-С14-алкил, где алкильные, алкокси, алкенильные, алкинильные, циклоалкильные и циклоалкокси фрагменты не замещены или замещены галогеном,

C(=O)-ORa, С16-алкилен-NRbRc, С16-алкилен-CN, C(=O)-NRbRc, С(=O)-Rd, SO2NRbRc, S(=O)mRe, фенил или -СН2-фенил, где фенильные кольца не замещены или замещены посредством Rf.

В другом предпочтительном варианте осуществления, RT означает Н, C1-C6-алкил, С26-алкенил, С26-алкинил, С14-алкил-С16-алкокси, которые не замещены или замещены галогеном,

C(=C-)-NRbRc, C(=O)-Rd, SO2NRbRc, S(=O)mRe, фенил или -СН2-фенил, где фенильные кольца не замещены или замещены посредством Rf.

В более предпочтительном варианте осуществления, RT означает Н, C1-C6-алкил, С26-алкенил, С26-алкинил, С14-алкил-С16-алкокси, которые не замещены или замещены галогеном.

В наиболее предпочтительном варианте осуществления, RT означает Н или C16-алкил.

В другом предпочтительном варианте осуществления, Rzc вместе с RT, в случае присутствия, образуют C16-алкиленовую или линейную C2-C6-алкениленовую группу, где в линейном C16-алкилене и линейном C2-C6-алкенилене СН2 фрагмент может быть заменен на карбонил или C=N-R', и/или где 1 или 2 СН2 фрагмента могут быть заменены на О или S, и/или где линейный C16-алкилен и линейный С26-алкенилен могут быть не замещены или замещены посредством R.

В более предпочтительном варианте осуществления, Rzc вместе с RT, в случае присутствия, образуют C16-алкиленовую или линейную С26-алкениленовую группу, где в линейном C16-алкилене и линейном C2-C6-алкенилене СН2 фрагмент заменен на карбонильную группу.

В другом более предпочтительном варианте осуществления, Rzc вместе с RT, в случае присутствия, образуют C16-алкиленовую или линейную C2-C6-алкениленовую группу, где в линейном C16-алкилене и линейном C2-C6-алкенилене СН2 фрагмент заменен на C=N-R', и где 1 или 2 СН2 фрагмента могут быть заменены на О или S, и/или где линейный C16-алкилен и линейный С26-алкенилен могут быть не замещены или замещены посредством Rh.

В другом более предпочтительном варианте осуществления, Rzc вместе с RT, в случае присутствия, образуют C16-алкиленовую или линейную C2-C6-алкениленовую группу, где в линейном C16-алкилене и линейном С26-алкенилене 1 или 2 СН2 фрагмента заменены на О или S, и/или где линейный C1-C6-алкилен и линейный С26-алкенилен могут быть не замещены или замещены посредством Rh.

В одном предпочтительном варианте осуществления, Rza означает Н, C1-C6-алкил, C1-C6-галогеналкил, С16-алкилен-NRbRc, C1-C6-C(=O)-Rd, фенил, фенилкарбонил или -СН2-фенил, где фенильные кольца не замещены или замещены посредством Rf.

В более предпочтительном варианте осуществления, Rza означает Н, C1-C6-алкил или C1-C6-галогеналкил.

В наиболее предпочтительном варианте осуществления, Rza означает Н, C16-алкил.

В другом предпочтительном варианте осуществления, Rza вместе с RT, в случае присутствия, образуют C16-алкиленовую или линейную С26-алкениленовую группу, где в линейном C16-алкилене и линейном С26-алкенилене СН2 фрагмент может быть заменен на карбонил или C=N-R', и/или где 1 или 2 СН2 фрагмента могут быть заменены на О или S, и/или где линейный C16-алкилен и линейный С26-алкенилен могут быть не замещены или замещены посредством Rh.

В более предпочтительном варианте осуществления, Rza вместе с RT, в случае присутствия, образуют C16-алкиленовую или линейную С26-алкениленовую группу, где в линейном C16-алкилене и линейном С26-алкенилене СН2 фрагмент заменен на карбонильную группу.

В другом более предпочтительном варианте осуществления, Rza вместе с RT, в случае присутствия, образуют C16-алкиленовую или линейную С26-алкениленовую группу, где в линейном C16-алкилене и линейном С26-алкенилене СН2 фрагмент заменен на C=N-R', и где 1 или 2 СН2 фрагмента могут быть заменены на О или S, и/или где линейный C16-алкилен и линейный С26-алкенилен могут быть не замещены или замещены посредством Rh.

В другом более предпочтительном варианте осуществления, Rza вместе с RT, в случае присутствия, образуют C16-алкиленовую или линейную С26-алкениленовую группу, где в линейном С16-алкилене и линейном С26-алкенилене 1 или 2 СН2 фрагмента заменены на О или S, и/или где линейный C16-алкилен и линейный С26-алкенилен могут быть не замещены или замещены посредством Rh.

В предпочтительном варианте осуществления, RA, Rb и Rc означают Н, C16-алкил, С26-алкенил, С26-алкинил, которые не замещены или замещены галогеном,

С16-алкилен-CN, фенил или -СН2-фенил, где фенильные кольца не замещены или замещены посредством Rf.

В более предпочтительном варианте осуществления, RA, Rb и Rc означают Н, C16-алкил, С26-алкенил, С26-алкинил, которые не замещены или замещены галогеном,

фенил или -СН2-фенил, где фенильные кольца не замещены или замещены посредством Rf.

В предпочтительном варианте осуществления, Rd означает Н, C16-алкил, С26-алкенил, С26-алкинил, которые не замещены или замещены галогеном, фенил или -СН2-фенил, где фенильные кольца не замещены или замещены посредством Rf.

В более предпочтительном варианте осуществления, Rd означает Н, C1-C6-алкил, C1-C6-галогеналкил или фенил, который не замещен или замещен посредством Rf.

В одном предпочтительном варианте осуществления, Re означает C16-алкил, C1-C6-галогеналкил, С36-циклоалкил, С36-галогенциклоалкил, фенил или -СН2-фенил, где фенильные кольца не замещены или замещены посредством Rf.

В более предпочтительном варианте осуществления, Re означает Н, C1-C6-алкил, C16-галогеналкил или фенил, который не замещен или замещен посредством Rf.

В одном предпочтительном варианте осуществления, R означает галоген, N3, ОН, CN, NO2, -SCN, -SF5, C1-C6-алкил, C16-алкокси, С26-алкенил, С26-алкинил, С36-циклоалкил, С36-циклоалкокси, которые не замещены или замещены галогеном,

C(=O)-ORa, NRbRc, C1-C6-алкилен-NRbRc, C1-C6-алкилен-CN, C(=O)-NRbRc, C(=O)-Rd, SO2NRbRc или S(=O)mRe.

В более предпочтительном варианте осуществления, Rf означает галоген, N3, ОН, CN, C16-алкил, C16-алкокси, С26-алкенил, С26-алкинил, С36-циклоалкил, С36-циклоалкокси, которые не замещены или замещены галогеном,

C(=O)-ORa, NRbRc, C1-C6-алкилен-NRbRc, С16-алкилен-CN, C(=O)-NRbRc, C(=O)-Rd, SO2NRbRc или S(=O)mRe.

В предпочтительном варианте осуществления, Rg означает галоген, N3, ОН, CN, NO2, -SCN, -SF5, C1-C6-алкил, C1-C6-алкокси, С26-алкенил, С26-алкинил, С36-циклоалкил, С36-циклоалкокси, которые не замещены или замещены галогеном,

C(=O)-ORa, NRbRc, C1-C6-алкилен-NRbRc, NH-C1-C6-алкилен-NRbRc, С(=O)-NRbRc, C(=O)-Rd, SO2NRbRc или S(=O)mRe.

В более предпочтительном варианте осуществления, Rg означает галоген, N3, ОН, CN, NO2, C16-алкил, C16-алкокси, С26-алкенил, С36-циклоалкил, С36-циклоалкокси, которые не замещены или замещены галогеном,

C(=O)-ORA, NRbRc, C1-C6-алкилен-NRbRc, C(=O)-NRbRc, C(=O)-Rd, SO2NRbRc или S(=O)mRe.

В одном варианте осуществления, m означает 0.

В другом варианте осуществления, m означает 1.

В другом варианте осуществления, m означает 2.

В другом варианте осуществления, m означает 0 или 1.

В другом варианте осуществления, m означает 1 или 2.

В более предпочтительном варианте осуществления, R1 представляет собой радикал формул Y-1 - Y-9, где обозначает присоединение к оставшейся части D означает R11 или R12, и где RT, R11, R12, Rya, Ryc, Rza и Rzc являются такими, как определено для соединений формулы (I).

В более предпочтительном варианте осуществления, R1 представляет собой радикал формул Y-1 - Y-8, где обозначает присоединение к оставшейся части соединения, D означает R11 или R12, и где RT, R11, R12, Rya, Ryc, Rza и Rzc являются такими, как определено для соединений формулы (I).

Также в более предпочтительном варианте осуществления, R1 представляет

собой радикал формул Y-l, Y-5 или Y-6, где обозначает присоединение к оставшейся части соединения, D означает R11 или R12, и где RT, R11, R12, Rya, Ryc, Rza и Rzc являются такими, как определено для соединений формулы (I). В другом более предпочтительном варианте осуществления, R1

представляет собой радикал формул YZT-1 - YZT-9, где обозначает присоединение к оставшейся части соединения, и где R11, R12, RT, Rya, Rza и Rzc являются такими, как определено для соединений формулы (I).

В другом более предпочтительном варианте осуществления, R1 представляет собой радикал формул YZT-1 - YZT-8, где обозначает присоединение к оставшейся части соединения, и где R11, R12, RT, Rya, Rza и Rzc являются такими, как определено для соединений формулы (I).

В наиболее предпочтительном варианте осуществления, R1 представляет собой радикал формул Y-1A - Y-9A, где обозначает присоединение к оставшейся части соединения, и где D означает R11 или R12.

В наиболее предпочтительном варианте осуществления, R1 представляет собой радикал формул Y-1A - Y-8B, где обозначает присоединение к оставшейся части соединения, и где D означает R11 или R12.

В одном предпочтительном варианте осуществления, R11 означает C1-C6-алкил, С26-алкенил, С26-алкинил, С16-алкокси-С14-алкил, С36-циклоалкил, С36-циклоалкил-С14-алкил, С14-алкил-С36-циклоалкокси, которые не замещены или замещены галогеном,

арил, арилкарбонил, арил-С14-алкил, арилокси-С14-алкил, гетарил, карбонилгетарил, С14-алкилгетарил и С14-алкилгетарилокси, где арильные или гетарильные кольца не замещены или замещены посредством Rg, и где гетарил означает 5- или 6-членный моноциклический гетарил или 8-, 9- или 10-членный бициклический гетарил.

В более предпочтительном варианте осуществления, R11 означает C1-C6-алкил, С26-алкенил, С26-алкинил, С36-циклоалкил, которые не замещены или замещены галогеном,

арил, арилкарбонил, арил-С14-алкил, арилокси-С14-алкил, гетарил, карбонилгетарил, С14-алкилгетарил и С14-алкилгетарилокси, где кольца не замещены или замещены посредством Rg, и где гетарил означает 5- или 6-членный моноциклический гетарил или 8-, 9- или 10-членный бициклический гетарил.

В наиболее предпочтительном варианте осуществления, R11 означает ар ил, арил-С14-алкил, гетарил или гетарил-С14-алкил, где кольца не замещены или замещены посредством Rg, и где гетарил в гетариле или гетарил-С14-алкиле предпочтительно означает 5- или 6-членный моноциклический гетарил, такой как пиридил, пиримидинил, пиридазинил, пирролил, пиразолил, имидазолил, оксазолил, тиазолил, изоксазолил или изотиазолил, который не замещен или замещен посредством Re.

Также в наиболее предпочтительном варианте осуществления, R11 означает арил, предпочтительно фенил, который не замещен или замещен посредством Re.

Примерами особенно предпочтительных радикалов R11 являются радикалы R11-1 - R11-29, сведенные в Таблицу А-1 ниже.

В другом предпочтительном варианте осуществления изобретения, R11 означает R11-1, R11-10, R11-29 или R11-30.

В другом предпочтительном варианте осуществления изобретения, R11 означает R11-1, R11-10 или R11-29.

В одном варианте осуществления, R12 означает радикал формулы А1

где # указывает место присоединения к Т, и где R121, R122, R123 и R124 являются такими, как определено выше, и где R121, R122, R123 и R124 независимо друг от друга и, в особенности, в комбинации предпочтительно имеют следующие значения:

R121 означает С14-алкокси, в частности, ОСН3, ОС2Н5;

R122 означает С14-алкокси, такой как ОСН3, ОС2Н5, н-пропокси или изопропокси, или С34-алкенилокси, такой как аллилокси, где R122, в частности, представляет собой ОСН3, ОС2Н5 или н-пропокси;

R123 означает ОН, С14-алкокси, такой как ОСН3, ОС2Н5, или С34-алкенилокси, такой как аллилокси, где R123, в частности, представляет собой ОСН3, ОС2Н5;

R124 означает С14-алкил, такой как СН3 или С2Н5, или С14-алкокси-С14-алкил, такой как метоксиметил, этоксиметил, 2-метоксиэтил или 2-этоксиэтил, где R124, в частности, представляет собой метил.

В более предпочтительном варианте осуществления, R12, в частности, означает радикал формулы А11, например, А11-а или А11-b:

где # указывает место присоединения к Т, и где R121, R122, R123 и R124 являются такими, как определено выше, и где R121, R122, R123 и R124 независимо друг от друга и, в особенности, в комбинации предпочтительно имеют следующие значения:

R121 означает С14-алкокси, в частности, ОСН3 или ОС2Н5;

R122 означает С14-алкокси, такой как ОСН3, ОС2Н5, н-пропокси или изопропокси, или С34-алкенилокси, такой как аллилокси, где R122, в частности, представляет собой ОСН3, ОС2Н5 или н-пропокси;

R123 означает ОН, С14-алкокси, такой как ОСН3 или ОС2Н5, или С34-алкенилокси, такой как аллилокси, где R123, в частности, представляет собой ОСН3 или ОС2Н5;

R124 означает С14-алкил, такой как СН3 или С2Н5, или С14-алкокси-С14-алкил, такой как метоксиметил, этоксиметил, 2-метоксиэтил или 2-этоксиэтил, где R124, в частности, представляет собой метил.

Частными примерами радикалов R12 являются следующие радикалы А11-1, А11-1а, А11-1b, А11-2, А11-2а, А11-2b, А11-3, А11-3а и А11-3b:

В более предпочтительном варианте осуществления, соединения формулы (I) выбирают из соединений формул (А.1) - (А.10).

где, Ar означает фенильное или 5- или 6-членное гетарильное кольцо, которое замещено посредством RAr;

RAr означает галоген, ОН, CN, NO2, SCN, C16-алкил, C16-алкокси или S-Re, где алкил и алкокси не замещены или замещены галогеном;

RA означает Н, галоген, C16-алкил, C16-галогеналкил, С36-циклоалкил или С36-галогенциклоалкил;

RB1, RB2, RB3 и RB4 независимо друг от друга означают Н, галоген или C16-алкил;

Q означает -C(R4R5)-O-, -N(R2)-S(=O)m-, -N(R2)-C(R9R10)-, -N(R2)-C(=O)-, -N(R2)-C(=S)-, -N=C(X)-, -N(R2)-C(=NR)-; где Ar присоединен к одной из сторон Q;

X означает N(R3)2;

и R1 означает Y-Z-T-R11 или Y-Z-T-R12, как определено для формулы (I).

Более предпочтительными соединениями формулы (I) являются соединения формул (I.1) - (I.24), где R1 выбирают из Y-1A, Y-1B, Y-2A, Y-2B, Y-3A, Y-3B, Y-3C, Y-3D, Y-4A, Y-4B, Y-4C, Y-4D, Y-5A, Y-5B, Y-6A, Y-6B, Y-7A, Y-7B, Y-8А и Y-8B; где D означает R11 или R12, и другие переменные принимают значения в соответствии с определением в настоящей заявке.

Также более предпочтительными являются соединения формулы (I), где

А означает N или CRA;

В1 означает CRB1, В2 означает CRB2, В3 означает CRB3, и В4 означает CRB4;

RB1, RB2, RB3 и RB4 независимо друг от друга означают Н, галоген, C1-C6-алкил;

Q означает -C(R4R5)-O-, -N(R2)-C(R9R10)-, -N(R2)-C(=O)-, -N(R2)-C(=NR)-; где Ar присоединен к одной из сторон Q;

R означает Н, CN или C1-C6-алкил;

R2 означает Н или C16-алкил;

R4, R5, R9, R10 являются одинаковыми или разными и означают Н или C1-C6-алкил;

R6 означает Н или C16-алкил;

R9, R10 независимо означают Н или C1-C6-алкил;

RA означает Н или C1-C6-алкил;

Ar означает фенил, пиримидинил, пиридазинил или пиридил, которые не замещены или замещены посредством RAr;

RAr означает галоген, ОН, C16-алкил, C1-C6-галогеналкил, C1-C6-алкокси, C1-C6-галогеналкокси или S-Re;

R1 означает Y-1A, Y-2A, Y-5A, Y-6A или Y-7A;

D означает R11 или R12;

R11 выбирают из R11-1 - R11-30;

R12 означает А11-1b или A11-3b.

Также более предпочтительными являются соединения формулы (I), где

А означает N или CRA;

В1 означает CRB1, В2 означает CRB2, В3 означает CRB3, и В4 означает CRB4;

RB1, RB2, RB3 и RB4 независимо друг от друга означают Н, галоген, C1-C6-алкил;

Q означает -C(R4R5)-O-, -N(R2)-C(R9R10)-, -N(R2)-C(=O)-, -N(R2)-C(=NR)-; где Ar присоединен к одной из сторон Q;

R означает Н, CN или C16-алкил;

R2 означает Н или С16-алкил;

R4, R5, R9, R10 являются одинаковыми или разными и означают Н или C1-C6-алкил;

R6 означает Н или C16-алкил;

Ar выбирают из Ar1 - Ar67;

R1 означает Y-1A, Y-2A, Y-5A, Y-6A или Y-7A;

D означает R11 или R12;

R11 выбирают из R11-1 - R11-30;

R12 означает A11-1b или A11-3b.

Также более предпочтительными являются соединения формулы (I), где

А означает CRA;

В1 означает CRB1, В2 означает CRB2, В3 означает CRB3, и В4 означает CRB4;

RB1, RB2, RB3 и RB4 независимо друг от друга означают Н, галоген, C1-C6-алкил;

Q означает -C(R4R5)-O-, -N(R2)-C(R9R10)-, -N(R2)-C(=O)-, -N(R2)-C(=NR)-; где Ar присоединен к одной из сторон Q;

R означает Н, CN или C1-C6-алкил;

R2 означает Н или C1-C6-алкил;

R4, R5, R9, R10 являются одинаковыми или разными и означают Н или C16-алкил;

R6 означает Н, C1-C6-алкил, C1-C6-галогеналкил или -СН2-фенил;

Ar означает Ar1, Ar2, Ar3, Ar4, Ar10, Ar17 или Ar18;

R1 означает Y-1A, Y-3C, Y-5A, Y-6A, Y-7A, Y-8A или Y-9A;

D означает R11 или R12;

R11 означает R11-1 или R11-10;

R12 означает А11-1b или А11-3b.

Также более предпочтительными являются соединения формулы (I), где

А означает N;

В1 означает CRB1, В2 означает CRB2, В3 означает CRB3, и В4 означает CRB4;

RB1, RB2, RB3 и RB4 независимо друг от друга означают Н, галоген, C1-C6-алкил;

Q означает -C(R4R5)-O-, -N(R2)-C(R9R10)-, -N(R2)-C(=O)-, -N(R2)-C(=NR)-; где Ar присоединен к одной из сторон Q;

R означает Н, CN или C16-алкил;

R2 означает Н или С16-алкил;

R4, R5, R9, R10 являются одинаковыми или разными и означают Н или C1-C6-алкил;

R6 означает Н, C16-алкил, C16-галогеналкил или -СН2-фенил;

Ar означает Ar1, Ar2, Ar3, Ar4, Ar10, Ar17 или Ar18;

R1 означает Y-1A, Y-3C, Y-5A, Y-6A, Y-7A, Y-8A или Y-9A;

D означает R11 или R12;

R11 означает R11-1 или R11-10;

R12 означает A11-1b или A11-3b.

Также более предпочтительными являются соединения формулы (I), где

А означает N или CRA;

В1 означает CRB1, В2 означает CRB2, В3 означает CRB3, и В4 означает CRB4;

RA означает Н, галоген, C16-алкил, C16-галогеналкил, С36-циклоалкил или С36-галогенциклоалкил;

RB1, RB2, RB3 и RB4 независимо друг от друга означают Н, галоген, C16-алкил;

Q означает -C(R4R5)-O-, -N(R2)-C(R9R10)-, -N(R2)-C(=O)-, -N(R2)-C(=NR)-; где Ar присоединен к одной из сторон Q;

R означает Н, CN или C16-алкил;

R2 означает Н или C16-алкил;

R4, R5, R9, R10 являются одинаковыми или разными и означают Н или C16-алкил;

R6 означает Н, СН3, СН(СН3)2, CH2(C6H5), CH2CHF2 или С2Н5;

Ar означает Ar1, Ar2, Ar3, Ar4, Ar10, Ar17 или Ar18;

R1 означает Y-1A, Y-3C, Y-5A, Y-6A, Y-7A, Y-8A или Y-9A;

D означает R11 или R12;

R11 означает R11-1 или R11-10;

R12 означает А11-1b или А11-3b.

Также более предпочтительными являются соединения формулы (I), где

А означает N или CRA;

В1 означает CRB1, В2 означает N, В3 означает CRB3, и В4 означает CRB4;

RA означает Н, галоген, C16-алкил, C16-галогеналкил, С36-циклоалкил или С36-галогенциклоалкил;

RB1, RB3 и RB4 независимо друг от друга означают Н, галоген, C16-алкил;

Q означает -C(R4R5)-O-, -N(R2)-C(R9R10)-, -N(R2)-C(=O)-, -N(R2)-C(=NR)-; где Ar присоединен к одной из сторон Q;

R означает Н, CN или C16-алкил;

R2 означает Н или C16-алкил;

R4, R5, R9, R10 являются одинаковыми или разными и означают Н или C1-C6-алкил;

R6 означает Н, СН3, СН(СН3)2, СН26Н5), CH2CHF2 или С2Н5;

Ar означает Ar1, Ar2, Ar3, Ar4, Ar10, Ar17 или Ar18;

R1 означает Y-1A, Y-3C, Y-5A, Y-6A, Y-7A, Y-8A или Y-9A;

D означает R11 или R12;

R11 означает R11-1 или R11-10;

R12 означает А11-1b или А11-3b.

Также более предпочтительными являются соединения формулы (I), где

А означает N или CRA;

В1 означает CRB1, В2 означает N, В3 означает N, и В4 означает CRB4;

RA означает Н, галоген, C1-C6-алкил, C16-галогеналкил, С36-циклоалкил или С36-галогенциклоалкил;

RB1, RB3 и RB4 независимо друг от друга означают Н, галоген, C16-алкил;

Q означает -C(R4R5)-O-, -N(R2)-C(R9R10)-, -N(R2)-C(=C-)-, -N(R2)-C(=NR)-; где Ar присоединен к одной из сторон Q;

R означает Н, CN или C16-алкил;

R2 означает Н или C16-алкил;

R4, R5, R9, R10 являются одинаковыми или разными и означают Н или C16-алкил;

R6 означает Н, СН3, СН(СН3)2, СН26Н5), CH2CHF2 или С2Н5;

Ar означает Ar1, Ar2, Ar3, Ar4, Ar10, Ar17 или Ar18;

R1 означает Y-1A, Y-3C, Y-5A, Y-6A, Y-7A, Y-8A или Y-9A;

D означает R11 или R12;

R11 означает R11-1 или R11-10;

R12 означает А11-1b или А11-3b.

Также более предпочтительными являются соединения формулы (I), где

А означает N или RA;

В1 означает N, В2 означает N, В3 означает CRB3, и В4 означает CRB4;

RA означает Н, галоген, C16-алкил, C16-галогеналкил, С36-циклоалкил или С36-галогенциклоалкил;

RB3 и RB4 независимо друг от друга означают Н, галоген, C16-алкил;

Q означает -C(R4R5)-O-, -N(R2)-C(R9R10)-, -N(R2)-C(=C-)-, -N(R2)-C(=NR)-; где Ar присоединен к одной из сторон Q;

R2 означает H или С16-алкил;

R означает Н, CN или C1-C6-алкил;

R4, R5, R9, R10 являются одинаковыми или разными и означают Н или C16-алкил;

R6 означает Н, СН3, СН(СН3)2, СН26Н5), CH2CHF2 или С2Н5;

Ar означает Ar1, Ar2, Ar3, Ar4, Ar10, Ar17 или Ar18;

R1 означает Y-1A, Y-3C, Y-5A, Y-6A, Y-7A, Y-8A или Y-9A;

D означает R11 или R12;

R11 означает R11-1 или R11-10;

R12 означает А11-1b или А11-3b.

В другом предпочтительном варианте осуществления, соединения формулы (I) являются соединениями формул (I.1) (I.24), где

Ar означает фенил, пиримидинил, пиридазинил или пиридил, которые не замещены или замещены посредством RAr;

RAr означает галоген, ОН, C16-алкил, C16-галогеналкил, C16-алкокси, C1-C6-галогеналкокси или S-Re;

В1 означает N или СН;

В2 означает N или СН;

В3 означает N или СН;

R1 означает Y-1A, Y-1B, Y-2A, Y-2B, Y-3A, Y-3B, Y-3C, Y-3D, Y-4A, Y-4B, Y-4C, Y-4D, Y-5A, Y-5B, Y-6A, Y-6B, Y-7A, Y-7B, Y-8A или Y-8B; где D означает R11 или R12;

R11 означает R11-1, R11-2, R11-3, R11-5, R11-6, R11-7, R11-8, R11-9, R11-10, R11-11, R11-12, R11-13, R11-14, R11-15, R11-16, R11-17, R11-18, R11-19, R11-20, R11-21, R11-22, R11-23, R11-25, R11-26, R11-27, R11-28 или R11-29;

R12 означает А11-1, А11-2 или A11-3;

R4 и R5 независимо означают H или СН3;

R6 означает Н, СН3, СН(СН3)2 или С2Н5;

R9 и R10 независимо означают Н или СН3;

R2 означает Н, СН3 или цикло-С3Н5;

R означает Н, СН3 или CN.

В другом предпочтительном варианте осуществления, соединения формулы (I) являются соединениями формул (I.1) - (I.24), где

Ar выбирают из Ar1 - Ar67;

В1 означает N или СН;

В2 означает N или СН;

В3 означает N или СН;

R1 означает Y-1A, Y-1B, Y-2A, Y-2B, Y-3A, Y-3B, Y-3C, Y-3D, Y-4A, Y-4B, Y-4C, Y-4D, Y-5A, Y-5B, Y-6A, Y-6B, Y-7A, Y-7B, Y-8A или Y-8B; где D означает R11 или R12;

R11 означает R11-1, R11-2, R11-3, R11-5, R11-6, R11-7, R11-8, R11-9, R11-10, R11-11, R11-12, R11-13, R11-14, R11-15, R11-16, R11-17, R11-18, R11-19, R11-20, R11-21, R11-22, R11-23, R11-25, R11-26, R11-27, R11-28 или R11-29;

R12 означает А11-1, А11-2 или A11-3;

R4 и R5 независимо означают H или СН3;

R6 означает Н, СН3, СН(СН3)2 или С2Н5;

R9 и R10 независимо означают Н или СН3;

R2 означает Н, СН3 или цикло-C3H3;

R означает Н, СН3 или CN.

В другом предпочтительном варианте осуществления, соединения формулы (I) являются соединениями формул (I.1) (I.24), где

Ar означает фенил, пиримидинил, пиридазинил или пиридил, которые не замещены или замещены посредством RAr;

RAr означает галоген, ОН, C16-алкил, C1-C6-галогеналкил, C1-C6-алкокси, C1-C6-галогеналкокси или S-Re;

В1 означает CRB1;

В2 означает CRB2;

В3 означает CRB3;

R1 означает Y-1A, Y-1B, Y-2A, Y-2B, Y-3A, Y-3B, Y-3C, Y-3D, Y-4A, Y-4B, Y-4C, Y-4D, Y-5A, Y-5B, Y-6A, Y-6B, Y-7A, Y-7B, Y-8A или Y-8B; где D означает R11 или R12;

R11 означает R11-1, R11-2, R11-3, R11-5, R11-6, R11-7, R11-8, R11-9, R11-10, R11-11, R11-12, R11-13, R11-14, R11-15, R11-16, R11-17, R11-18, R11-19, R11-20, R11-21, R11-22, R11-23, R11-25, R11-26, R11-27, R11-28 или R11-29;

R12 означает А11-1, А11-2 или A11-3;

R4 и R5 независимо означают H или СН3;

R6 означает Н, СН3, СН(СН3)2 или С2Н5;

R9 и R10 независимо означают Н или СН3;

R2 означает H, СН3 или цикло-С3Н5;

R означает Н, СН3 или CN.

В другом предпочтительном варианте осуществления, соединения формулы (I) являются соединениями формул (I.1) - (I.24), где

Ar выбирают из Ar1 - Ar67;

В1 означает СН;

В2 означает СН;

В3 означает СН;

R1 означает Y-1A, Y-1B, Y-2A, Y-2B, Y-3A, Y-3B, Y-3C, Y-3D, Y-4A, Y-4B, 10 Y-4C, Y-4D, Y-5A, Y-5B, Y-6A, Y-6B, Y-7A, Y-7B, Y-8A или Y-8B; где D означает R11 или R12;

R11 означает R11-1, R11-2, R11-3, R11-5, R11-6, R11-7, R11-8, R11-9, R11-10, R11-11, R11-12, R11-13, R11-14, R11-15, R11-16, R11-17, R11-18, R11-19, R11-20, R11-21, R11-22, R11-23, R11-25, R11-26, R11-27, R11-28 или R11-29;

R12 означает А11-1, А11-2 или A11-3;

R4 и R5 независимо означают H или СН3;

R6 означает Н, СН3, СН(СН3)2 или С2Н5;

R9 и R10 независимо означают Н или СН3;

R2 означает Н, СН3 или цикло-С3Н5;

R означает Н, СН3 или CN.

В другом предпочтительном варианте осуществления, соединения формулы (I) являются соединениями формул (I.1) - (I.24), где

Ar означает Ar1, Ar2, Ar3, Ar4, Ar10 Ar17 или Ar18;

В1 означает N или СН;

В2 означает N или СН;

В3 означает N или СН;

R1 означает Y-1A, Y-1B, Y-2A, Y-2B, Y-3A, Y-3B, Y-3C, Y-3D, Y-4A, Y-4B, Y-4C, Y-4D, Y-5A, Y-5B, Y-6A, Y-6B, Y-7A, Y-7B, Y-8A или Y-8B; где D означает R11 или R12;

R11 означает R11-1, R11-2, R11-3, R11-5, R11-6, R11-7, R11-8, R11-9, R11-10, R11-11, R11-12, R11-13, R11-14, R11-15, R11-16, R11-17, R11-18, R11-19, R11-20, R11-21, R11-22, R11-23, R11-25, R11-26, R11-27, R11-28 или R11-29;

R12 означает А11-1, А11-2 или A11-3;

R4 и R5 независимо означают H или СН3;

R6 означает H, СН3, СН(СН3)2 или С2Н5;

R9 и R10 независимо означают Н или СН3;

R2 означает Н, СН3 или цикло-С3Н5;

R означает Н, СН3 или CN.

В другом предпочтительном варианте осуществления, соединения формулы (I) являются соединениями формулы (I), где

А означает СН;

В1 означает CRB1, В2 означает CRB2, В3 означает CRB3, и В4 означает CRB4;

RB1, RB2, RB3 и RB4 независимо друг от друга означают Н, галоген, C16-алкил;

Q означает -N(R2)-С(=O)-, где Ar присоединен к одной из сторон Q;

R2 означает Н или C16-алкил;

R6 означает Н или C16-алкил;

Ar выбирают из Ar1, Ar2, Ar5, Ar21 и Ar22;

R1 означает Y-1A, Y-5A или Y-7A;

D означает R11-1 или А11-1b.

Частными соединениями формулы (I) являются соединения формул (I.1) - (I.24), которые сведены в следующие Таблицы 1 - 812, где комбинация переменных R6, В1, В2, В3, Ar и D для каждого соединения Таблиц 1 - 812 соответствует каждой строке Таблицы В. Кроме того, каждая из групп, упомянутых для заместителя в таблицах, является сама по себе, независимо от комбинации, в которой она упомянута, особенно предпочтительным аспектом рассматриваемого заместителя.

Таблица 1. Соединения формулы (I.1), где R1 означает Y-1A, R4 означает Н, и R5 означает Н.

Таблица 2. Соединения формулы (I.1), где R1 означает Y-2A, R4 означает Н, и R5 означает Н.

Таблица 3. Соединения формулы (I.1), где R1 означает Y-5A, R4 означает Н, и R5 означает Н.

Таблица 4. Соединения формулы (I.1), где R1 означает Y-6A, R4 означает Н, и R5 означает Н.

Таблица 5. Соединения формулы (I.1), где R1 означает Y-7A, R4 означает Н, и R5 означает Н.

Таблица 6. Соединения формулы (I.1), где R1 означает Y-1A, R4 означает СН3, и R5 означает Н.

Таблица 7. Соединения формулы (I.1), где R1 означает Y-2A, R4 означает СН3, и R5 означает Н.

Таблица 8. Соединения формулы (I.1), где R1 означает Y-5A, R4 означает СН3, и R5 означает Н.

Таблица 9. Соединения формулы (I.1), где R1 означает Y-6A, R4 означает СН3, и R5 означает Н.

Таблица 10. Соединения формулы (I.1), где R1 означает Y-7A, R4 означает СН3, и R5 означает Н.

Таблица 11. Соединения формулы (I.1), где R1 означает Y-1A, R4 означает СН3, и R5 означает СН3.

Таблица 12. Соединения формулы (I.1), где R1 означает Y-2A, R4 означает СН3, и R5 означает СН3.

Таблица 13. Соединения формулы (I.1), где R1 означает Y-5A, R4 означает СН3, и R5 означает СН3.

Таблица 14. Соединения формулы (I.1), где R1 означает Y-6A, R4 означает СН3, и R5 означает СН3.

Таблица 15. Соединения формулы (I.1), где R1 означает Y-7A, R4 означает СН3, и R5 означает СН3.

Таблица 16. Соединения формулы (I.2), где R1 означает Y-1A, R4 означает Н, и R5 означает Н.

Таблица 17. Соединения формулы (I.2), где R1 означает Y-2A, R4 означает Н, и R5 означает Н.

Таблица 18. Соединения формулы (I.2), где R1 означает Y-5A, R4 означает Н, и R5 означает Н.

Таблица 19. Соединения формулы (I.2), где R1 означает Y-6A, R4 означает Н, и R5 означает Н.

Таблица 20. Соединения формулы (I.2), где R1 означает Y-7A, R4 означает Н, и R5 означает Н.

Таблица 21. Соединения формулы (I.2), где R1 означает Y-1A, R4 означает СН3, и R5 означает Н.

Таблица 22. Соединения формулы (I.2), где R1 означает Y-2A, R4 означает СН3, и R5 означает Н.

Таблица 23. Соединения формулы (I.2), где R1 означает Y-5A, R4 означает СН3, и R5 означает Н.

Таблица 24. Соединения формулы (I.2), где R1 означает Y-6A, R4 означает СН3, и R5 означает Н.

Таблица 25. Соединения формулы (I.2), где R1 означает Y-7A, R4 означает СН3, и R5 означает Н.

Таблица 26. Соединения формулы (I.2), где R1 означает Y-1A, R4 означает СН3, и R5 означает СН3.

Таблица 27. Соединения формулы (I.2), где R1 означает Y-2A, R4 означает СН3, и R5 означает СН3.

Таблица 28. Соединения формулы (I.2), где R1 означает Y-5A, R4 означает СН3, и R5 означает СН3.

Таблица 29. Соединения формулы (I.2), где R1 означает Y-6A, R4 означает СН3, и R5 означает СН3.

Таблица 30. Соединения формулы (I.2), где R1 означает Y-7A, R4 означает СН3, и R5 означает СН3.

Таблица 31. Соединения формулы (I.3), где R1 означает Y-1A, R4 означает Н, и R5 означает Н.

Таблица 32. Соединения формулы (I.3), где R1 означает Y-2A, R4 означает Н, и R5 означает Н.

Таблица 33. Соединения формулы (I.3), где R1 означает Y-5A, R4 означает Н, и R5 означает Н.

Таблица 34. Соединения формулы (I.3), где R1 означает Y-6A, R4 означает Н, и R5 означает Н.

Таблица 35. Соединения формулы (I.3), где R1 означает Y-7A, R4 означает Н, и R5 означает Н.

Таблица 36. Соединения формулы (I.3), где R1 означает Y-1A, R4 означает СН3, и R5 означает Н.

Таблица 37. Соединения формулы (I.3), где R1 означает Y-2A, R4 означает СН3, и R5 означает Н.

Таблица 38. Соединения формулы (I.3), где R1 означает Y-5A, R4 означает СН3, и R5 означает Н.

Таблица 39. Соединения формулы (I.3), где R1 означает Y-6A, R4 означает СН3, и R5 означает Н.

Таблица 40. Соединения формулы (I.3), где R1 означает Y-7A, R4 означает СН3, и R5 означает Н.

Таблица 41. Соединения формулы (I.3), где R1 означает Y-1A, R4 означает СН3, и R5 означает СН3.

Таблица 42. Соединения формулы (I.3), где R1 означает Y-2A, R4 означает СН3, и R5 означает СН3.

Таблица 43. Соединения формулы (I.3), где R1 означает Y-5A, R4 означает СН3, и R5 означает СН3.

Таблица 44. Соединения формулы (I.3), где R1 означает Y-6A, R4 означает СН3, и R5 означает СН3.

Таблица 45. Соединения формулы (I.3), где R1 означает Y-7A, R4 означает СН3, и R5 означает СН3.

Таблица 46. Соединения формулы (I.4), где R1 означает Y-1A, R4 означает Н, и R5 означает Н.

Таблица 47. Соединения формулы (I.4), где R1 означает Y-2A, R4 означает Н, и R5 означает Н.

Таблица 48. Соединения формулы (I.4), где R1 означает Y-5A, R4 означает Н, и R5 означает Н.

Таблица 49. Соединения формулы (I.4), где R1 означает Y-6A, R4 означает Н, и R5 означает Н.

Таблица 50. Соединения формулы (I.4), где R1 означает Y-7A, R4 означает Н, и R5 означает Н.

Таблица 51. Соединения формулы (I.4), где R1 означает Y-1A, R4 означает СН3, и R5 означает Н.

Таблица 52. Соединения формулы (I.4), где R1 означает Y-2A, R4 означает СН3, и R5 означает Н.

Таблица 53. Соединения формулы (I.4), где R1 означает Y-5A, R4 означает СН3, и R5 означает Н.

Таблица 54. Соединения формулы (I.4), где R1 означает Y-6A, R4 означает СН3, и R5 означает Н.

Таблица 55. Соединения формулы (I.4), где R1 означает Y-7A, R4 означает СН3, и R5 означает Н.

Таблица 56. Соединения формулы (I.4), где R1 означает Y-1A, R4 означает СН3, и R5 означает СН3.

Таблица 57. Соединения формулы (I.4), где R1 означает Y-2A, R4 означает СН3, и R5 означает СН3.

Таблица 58. Соединения формулы (I.4), где R1 означает Y-5A, R4 означает СН3, и R5 означает СН3.

Таблица 59. Соединения формулы (I.4), где R1 означает Y-6A, R4 означает СН3, и R5 означает СН3.

Таблица 60. Соединения формулы (I.4), где R1 означает Y-7A, R4 означает СН3, и R5 означает СН3.

Таблица 61. Соединения формулы (I.5), где R1 означает Y-1A, R4 означает Н, и R5 означает Н.

Таблица 62. Соединения формулы (I.5), где R1 означает Y-2A, R4 означает Н, и R5 означает Н.

Таблица 63. Соединения формулы (I.5), где R1 означает Y-5A, R4 означает Н, и R5 означает Н.

Таблица 64. Соединения формулы (I.5), где R1 означает Y-6A, R4 означает Н, и R5 означает Н.

Таблица 65. Соединения формулы (I.5), где R1 означает Y-7A, R4 означает Н, и R5 означает Н.

Таблица 66. Соединения формулы (I.5), где R1 означает Y-1A, R4 означает СН3, и R5 означает Н.

Таблица 67. Соединения формулы (I.5), где R1 означает Y-2A, R4 означает СН3, и R5 означает Н.

Таблица 68. Соединения формулы (I.5), где R1 означает Y-5A, R4 означает СН3, и R5 означает Н.

Таблица 69. Соединения формулы (I.5), где R1 означает Y-6A, R4 означает СН3, и R5 означает Н.

Таблица 70. Соединения формулы (I.5), где R1 означает Y-7A, R4 означает СН3, и R5 означает Н.

Таблица 71. Соединения формулы (I.5), где R1 означает Y-1A, R4 означает СН3, и R5 означает СН3.

Таблица 72. Соединения формулы (I.5), где R1 означает Y-2A, R4 означает СН3, и R5 означает СН3.

Таблица 73. Соединения формулы (I.5), где R1 означает Y-5A, R4 означает СН3, и R5 означает СН3.

Таблица 74. Соединения формулы (I.5), где R1 означает Y-6A, R4 означает СН3, и R5 означает СН3.

Таблица 75. Соединения формулы (I.5), где R1 означает Y-7A, R4 означает СН3, и R5 означает СН3.

Таблица 76. Соединения формулы (I.6), где R1 означает Y-1A, R4 означает Н, и R5 означает Н.

Таблица 77. Соединения формулы (I.6), где R1 означает Y-2A, R4 означает Н, и R5 означает Н.

Таблица 78. Соединения формулы (I.6), где R1 означает Y-5A, R4 означает Н, и R5 означает Н.

Таблица 79. Соединения формулы (I.6), где R1 означает Y-6A, R4 означает Н, и R5 означает Н.

Таблица 80. Соединения формулы (I.6), где R1 означает Y-7A, R4 означает Н, и R5 означает Н.

Таблица 81. Соединения формулы (I.6), где R1 означает Y-1A, R4 означает СН3, и R5 означает Н.

Таблица 82. Соединения формулы (I.6), где R1 означает Y-2A, R4 означает СН3, и R5 означает Н.

Таблица 83. Соединения формулы (I.6), где R1 означает Y-5A, R4 означает СН3, и R5 означает Н.

Таблица 84. Соединения формулы (I.6), где R1 означает Y-6A, R4 означает СН3, и R5 означает Н.

Таблица 85. Соединения формулы (I.6), где R1 означает Y-7A, R4 означает СН3, и R5 означает Н.

Таблица 86. Соединения формулы (I.6), где R1 означает Y-1A, R4 означает СН3, и R5 означает СН3.

Таблица 87. Соединения формулы (I.6), где R1 означает Y-2A, R4 означает СН3, и R5 означает СН3.

Таблица 88. Соединения формулы (I.6), где R1 означает Y-5A, R4 означает СН3, и R5 означает СН3.

Таблица 89. Соединения формулы (I.6), где R1 означает Y-6A, R4 означает СН3, и R5 означает СН3.

Таблица 90. Соединения формулы (I.6), где R1 означает Y-7A, R4 означает СН3, и R5 означает СН3.

Таблица 91. Соединения формулы (I.7), где R1 означает Y-1A, R2 означает Н, R9 означает Н, и R10 означает Н.

Таблица 92. Соединения формулы (I.7), где R1 означает Y-1A, R2 означает Н, R9 означает СН3, и R10 означает Н.

Таблица 93. Соединения формулы (I.7), где R1 означает Y-1A, R2 означает Н, R9 означает СН3, и R10 означает СН3.

Таблица 94. Соединения формулы (I.7), где R1 означает Y-2A, R2 означает Н, R9 означает Н, и R10 означает Н.

Таблица 95. Соединения формулы (I.7), где R1 означает Y-2A, R2 означает Н, R9 означает СН3, и R10 означает Н.

Таблица 96. Соединения формулы (I.7), где R1 означает Y-2A, R2 означает Н, R9 означает СН3, и R10 означает СН3.

Таблица 97. Соединения формулы (I.7), где R1 означает Y-5A, R2 означает Н, R9 означает Н, и R10 означает Н.

Таблица 98. Соединения формулы (I.7), где R1 означает Y-5A, R2 означает Н, R9 означает СН3, и R10 означает Н.

Таблица 99. Соединения формулы (I.7), где R1 означает Y-5A, R2 означает Н, R9 означает СН3, и R10 означает СН3.

Таблица 100. Соединения формулы (I.7), где R1 означает Y-6A, R2 означает Н, R9 означает Н, и R10 означает Н.

Таблица 101. Соединения формулы (I.7), где R1 означает Y-6A, R2 означает Н, R9 означает СН3, и R10 означает Н.

Таблица 102. Соединения формулы (I.7), где R1 означает Y-6A, R2 означает Н, R9 означает СН3, и R10 означает СН3.

Таблица 103. Соединения формулы (I.7), где R1 означает Y-7A, R2 означает Н, R9 означает Н, и R10 означает Н.

Таблица 104. Соединения формулы (I.7), где R1 означает Y-7A, R2 означает Н, R9 означает СН3, и R10 означает Н.

Таблица 105. Соединения формулы (I.7), где R1 означает Y-7A, R2 означает Н, R9 означает СН3, и R10 означает СН3.

Таблица 106. Соединения формулы (I.7), где R1 означает Y-1A, R2 означает СН3, R9 означает Н, и R10 означает Н.

Таблица 107. Соединения формулы (I.7), где R1 означает Y-1A, R2 означает СН3, R9 означает СН3, и R10 означает Н.

Таблица 108. Соединения формулы (I.7), где R1 означает Y-1A, R2 означает СН3, и R9 означает СН3, и R10 означает СН3.

Таблица 109. Соединения формулы (I.7), где R1 означает Y-2A, R2 означает СН3, R9 означает СН3, и R10 означает Н.

Таблица 110. Соединения формулы (I.7), где R1 означает Y-2A, R2 означает СН3, R9 означает СН3, и R10 означает Н.

Таблица 111. Соединения формулы (I.7), где R1 означает Y-2A, R2 означает СН3, R9 означает СН3, и R10 означает СН3.

Таблица 112. Соединения формулы (I.7), где R1 означает Y-5A, R2 означает СН3, R9 означает Н, и R10 означает Н.

Таблица 113. Соединения формулы (I.7), где R1 означает Y-5A, R2 означает СН3, R9 означает СН3, и R10 означает Н.

Таблица 114. Соединения формулы (I.7), где R1 означает Y-5A, R2 означает СН3, R9 означает СН3, и R10 означает СН3.

Таблица 115. Соединения формулы (I.7), где R1 означает Y-6A, R2 означает СН3, R9 означает Н, и R10 означает Н.

Таблица 116. Соединения формулы (I.7), где R1 означает Y-6A, R2 означает СН3, R9 означает СН3, и R10 означает Н.

Таблица 117. Соединения формулы (I.7), где R1 означает Y-6A, R2 означает СН3, R9 означает СН3, и R10 означает СН3.

Таблица 118. Соединения формулы (I.7), где R1 означает Y-7A, R2 означает СН3, R9 означает Н, и R10 означает Н.

Таблица 119. Соединения формулы (I.7), где R1 означает Y-7A, R2 означает СН3, R9 означает СН3, и R10 означает Н.

Таблица 120. Соединения формулы (I.7), где R1 означает Y-7A, R2 означает СН3, R9 означает СН3, и R10 означает СН3.

Таблица 121. Соединения формулы (I.7), где R1 означает Y-1A, R2 означает С2Н5, R9 означает Н, и R10 означает Н.

Таблица 122. Соединения формулы (I.7), где R1 означает Y-1A, R2 означает С2Н5, R9 означает СН3, и R10 означает Н.

Таблица 123. Соединения формулы (I.7), где R1 означает Y-1A, R2 означает С2Н5, R9 означает СН3, и R10 означает СН3.

Таблица 124. Соединения формулы (I.7), где R1 означает Y-2A, R2 означает С2Н5, R9 означает Н, и R10 означает Н.

Таблица 125. Соединения формулы (I.7), где R1 означает Y-2A, R2 означает C2H5, R9 означает СН3, и R10 означает Н.

Таблица 126. Соединения формулы (I.7), где R1 означает Y-5A, R2 означает С2Н5, R9 означает Н, и R10 означает Н

Таблица 127. Соединения формулы (I.7), где R1 означает Y-5A, R2 означает С2Н5, R9 означает Н, и R10 означает Н.

Таблица 128. Соединения формулы (I.7), где R1 означает Y-5A, R2 означает С2Н5, R9 означает СН3, и R10 означает Н.

Таблица 129. Соединения формулы (I.7), где R1 означает Y-5A, R2 означает С2Н5, R9 означает СН3, и R10 означает СН3.

Таблица 130. Соединения формулы (I.7), где R1 означает Y-6A, R2 означает С2Н5, R9 означает Н, и R10 означает Н.

Таблица 131. Соединения формулы (I.7), где R1 означает Y-6A, R2 означает С2Н5, R9 означает СН3, и R10 означает Н.

Таблица 132. Соединения формулы (I.7), где R1 означает Y-6A, R2 означает С2Н5, R9 означает СН3, и R10 означает СН3.

Таблица 133. Соединения формулы (I.7), где R1 означает Y-7A, R2 означает С2Н5, R9 означает Н, и R10 означает Н.

Таблица 134. Соединения формулы (I.7), где R1 означает Y-7A, R2 означает С2Н5, R9 означает СН3, и R10 означает Н.

Таблица 135. Соединения формулы (I.7), где R1 означает Y-7A, R2 означает С2Н5, R9 означает СН3, и R10 означает СН3.

Таблица 136. Соединения формулы (I.7), где R1 означает Y-1A, R2 означает цикло-С3Н3, R9 означает Н, и R10 означает Н.

Таблица 137. Соединения формулы (I.7), где R1 означает Y-1A, R2 означает цикло-С3Н3, R9 означает СН3, и R10 означает Н.

Таблица 138. Соединения формулы (I.7), где R1 означает Y-1A, R2 означает цикло-С3Н3, R9 означает СН3, и R10 означает СН3.

Таблица 139. Соединения формулы (I.7), где R1 означает Y-2A, R означает цикло-С3Н3, R9 означает Н, и R10 означает Н.

Таблица 140. Соединения формулы (I.7), где R1 означает Y-2A, R2 означает цикло-С3Н3, R9 означает СН3, и R10 означает Н.

Таблица 141. Соединения формулы (I.7), где R1 означает Y-2A, R2 означает цикло-С3Н3, R9 означает СН3, и R10 означает СН3.

Таблица 142. Соединения формулы (I.7), где R1 означает Y-2A, R2 означает цикло-С3Н5, R9 означает Н, и R10 означает Н.

Таблица 143. Соединения формулы (I.7), где R1 означает Y-5A, R2 означает цикло-С3Н5, R9 означает СН3, и R10 означает СН3

Таблица 144. Соединения формулы (I.7), где R1 означает Y-5A, R2 означает цикло-С3Н5, R9 означает СН3, и R10 означает СН3.

Таблица 145. Соединения формулы (I.7), где R1 означает Y-6A, R2 означает цткло-С3Н5, R9 означает Н, и R10 означает Н.

Таблица 146. Соединения формулы (I.7), где R1 означает Y-6A, R2 означает цикло-С3Н5, R9 означает СН3, и R10 означает Н.

Таблица 147. Соединения формулы (I.7), где R1 означает Y-6A, R2 означает цикло-С3Н5, R9 означает СН3, и R10 означает СН3.

Таблица 148. Соединения формулы (I.7), где R1 означает Y-7A, R2 означает цикло-С3Н3, R9 означает Н, и R10 означает Н.

Таблица 149. Соединения формулы (I.7), где R1 означает Y-7A, R2 означает цикло-С3Н5, R9 означает СН3, и R10 означает Н.

Таблица 150. Соединения формулы (I.7), где R1 означает Y-7A, R2 означает цикло-С3Н3, R9 означает СН3, и R10 означает СН3.

Таблица 151. Соединения формулы (I.8), где R1 означает Y-1A, R2 означает Н, R9 означает Н, и R10 означает Н.

Таблица 152. Соединения формулы (I.8), где R1 означает Y-1A, R2 означает Н, R9 означает СН3 и, R10 означает Н.

Таблица 153. Соединения формулы (I.8), где R1 означает Y-1A, R2 означает Н, R9 означает СН3, и R10 означает СН3.

Таблица 154. Соединения формулы (I.8), где R1 означает Y-2A, R2 означает Н, R9 означает Н, и R10 означает Н.

Таблица 155. Соединения формулы (I.8), где R1 означает Y-2A, R2 означает Н, R9 означает СН3, и R10 означает Н.

Таблица 156. Соединения формулы (I.8), где R1 означает Y-2A, R2 означает Н, R9 означает СН3, и R10 означает СН3.

Таблица 157. Соединения формулы (I.8), где R1 означает Y-5A, R2 означает Н, R9 означает Н, и R10 означает Н.

Таблица 158. Соединения формулы (I.8), где R1 означает Y-5A, R2 означает Н, R9 означает СН3, и R10 означает Н.

Таблица 159. Соединения формулы (I.8), где R1 означает Y-5A, R2 означает Н, R9 означает CH3, и R10 означает СН3.

Таблица 160. Соединения формулы (I.8), где R1 означает Y-6A, R2 означает Н, R9 означает СН3, и R10 означает Н.

Таблица 161. Соединения формулы (I.8), где R1 означает Y-6A, R2 означает Н, R9 означает СН3, и R10 означает Н.

Таблица 162. Соединения формулы (I.8), где R1 означает Y-6A, R2 означает Н, R9 означает СН3, и R10 означает СН3.

Таблица 163. Соединения формулы (I.8), где R1 означает Y-7A, R2 означает Н, R9 означает Н, и R10 означает Н.

Таблица 164. Соединения формулы (I.8), где R1 означает Y-7A, R2 означает Н, R9 означает СН3, и R10 означает Н.

Таблица 165. Соединения формулы (I.8), где R1 означает Y-7A, R2 означает Н, R9 означает СН3, и R10 означает СН3.

Таблица 166. Соединения формулы (I.8), где R1 означает Y-1A, R2 означает СН3, R9 означает Н, и R10 означает Н.

Таблица 167. Соединения формулы (I.8), где R1 означает Y-1A, R2 означает СН3, R9 означает СН3, и R10 означает Н.

Таблица 168. Соединения формулы (I.8), где R1 означает Y-1A, R2 означает СН3, R9 означает СН3, и R10 означает СН3.

Таблица 169. Соединения формулы (I.8), где R1 означает Y-2A, R2 означает СН3, R9 означает Н, и R10 означает Н.

Таблица 170. Соединения формулы (I.8), где R1 означает Y-2A, R2 означает СН3, R9 означает СН3, и R10 означает Н.

Таблица 171. Соединения формулы (I.8), где R1 означает Y-2A, R2 означает СН3, R9 означает СН3, и R10 означает СН3.

Таблица 172. Соединения формулы (I.8), где R1 означает Y-5A, R2 означает СН3, R9 означает Н, и R10 означает Н.

Таблица 173. Соединения формулы (I.8), где R1 означает Y-5A, R2 означает СН3, R9 означает СН3, и R10 означает Н.

Таблица 174. Соединения формулы (I.8), где R1 означает Y-5A, R2 означает СН3, R9 означает СН3, и R10 означает СН3.

Таблица 175. Соединения формулы (I.8), где R1 означает Y-6A, R2 означает СН3, R9 означает Н, и R10 означает Н.

Таблица 176. Соединения формулы (I.8), где R1 означает Y-6A, R2 означает СН3, и R9 означает СН3, и R10 означает Н.

Таблица 177. Соединения формулы (I.8), где R1 означает Y-7A, R2 означает СН3, R9 означает Н, и R10 означает Н.

Таблица 178. Соединения формулы (I.8), где R1 означает Y-7A, R2 означает СН3, R9 означает Н, и R10 означает Н.

Таблица 179. Соединения формулы (I.8), где R1 означает Y-7A, R2 означает СН3, R9 означает СН3, и R10 означает Н.

Таблица 180. Соединения формулы (I.8), где R1 означает Y-7A, R2 означает СН3, R9 означает СН3, и R10 означает СН3.

Таблица 181. Соединения формулы (I.8), где R1 означает Y-1A, R2 означает С2Н5, R9 означает Н, и R10 означает Н.

Таблица 182. Соединения формулы (I.8), где R1 означает Y-1A, R2 означает С2Н5, R9 означает СН3, и R10 означает Н.

Таблица 183. Соединения формулы (I.8), где R1 означает Y-1A, R2 означает С2Н5, R9 означает СН3, и R10 означает СН3.

Таблица 184. Соединения формулы (I.8), где R1 означает Y-2A, R2 означает С2Н5, R9 означает Н, и R10 означает Н.

Таблица 185. Соединения формулы (I.8), где R1 означает Y-2A, R2 означает С2Н5, R9 означает СН3, и R10 означает Н.

Таблица 186. Соединения формулы (I.8), где R1 означает Y-2A, R2 означает С2Н5, R9 означает СН3, и R10 означает СН3.

Таблица 187. Соединения формулы (I.8), где R1 означает Y-5A, R2 означает С2Н5, R9 означает Н, и R10 означает Н.

Таблица 188. Соединения формулы (I.8), где R1 означает Y-5A, R2 означает С2Н5, R9 означает СН3, и R10 означает Н.

Таблица 189. Соединения формулы (I.8), где R1 означает Y-5A, R2 означает С2Н5, R9 означает СН3, и R10 означает СН3.

Таблица 190. Соединения формулы (I.8), где R1 означает Y-6A, R2 означает С2Н5, R9 означает Н, и R10 означает Н.

Таблица 191. Соединения формулы (I.8), где R1 означает Y-6A, R2 означает С2Н5, R9 означает СН3, и R10 означает Н.

Таблица 192. Соединения формулы (I.8), где R1 означает Y-6A, R2 означает С2Н5, R9 означает СН3, и R10 означает СН3.

Таблица 193. Соединения формулы (I.8), где R1 означает Y-6A, R2 означает C2H5, R9 означает Н, и R10 означает Н.

Таблица 194. Соединения формулы (I.8), где R1 означает Y-7A, R2 означает С2Н5, R9 означает СН3, и R10 означает Н.

Таблица 195. Соединения формулы (I.8); где R1 означает Y-7A, R2 означает С2Н5, R9 означает СН3, и R10 означает СН3.

Таблица 196. Соединения формулы (I.8), где R1 означает Y-1A, R2 означает цикло-C3H5, R9 означает Н, и R10 означает Н.

Таблица 197. Соединения формулы (I.8), где R1 означает Y-1A, R2 означает цикло-С3Н5, R9 означает СН3, и R10 означает Н.

Таблица 198. Соединения формулы (I.8), где R1 означает Y-1A, R2 означает цикло-С3Н5, R9 означает СН3, и R10 означает СН3.

Таблица 199. Соединения формулы (I.8), где R1 означает Y-2A, R2 означает цикло-С3Н5, R9 означает Н, и R10 означает Н.

Таблица 200. Соединения формулы (I.8), где R1 означает Y-2A, R2 означает цикло-C3H5, R9 означает СН3, и R10 означает Н.

Таблица 201. Соединения формулы (I.8), где R1 означает Y-2A, R2 означает цикло-С3Н5, R9 означает СН3, и R10 означает СН3.

Таблица 202. Соединения формулы (I.8), где R1 означает Y-5A, R2 означает цикло-С3Н5, R9 означает Н, и R10 означает Н.

Таблица 203. Соединения формулы (I.8), где R1 означает Y-5A, R2 означает цикло-С3Н5, R9 означает СН3, и R10 означает Н.

Таблица 204. Соединения формулы (I.8), где R1 означает Y-5A, R2 означает цикло-C3H5, R9 означает СН3, и R10 означает СН3.

Таблица 205. Соединения формулы (I.8), где R1 означает Y-6A, R2 означает цикло-C3H5, R9 означает Н, и R10 означает Н.

Таблица 206. Соединения формулы (I.8), где R1 означает Y-6A, R2 означает цикло-С3Н5, R9 означает СН3, и R10 означает Н.

Таблица 207. Соединения формулы (I.8), где R1 означает Y-6A, R2 означает цикло-С3Н5, R9 означает СН3, и R10 означает СН3.

Таблица 208. Соединения формулы (I.8), где R1 означает Y-7A, R2 означает цикло-С3Н5, R9 означает Н, и R10 означает Н.

Таблица 209. Соединения формулы (I.8), где R1 означает Y-7A, R2 означает цикло-C3H5, R9 означает СН3, и R10 означает Н.

Таблица 210. Соединения формулы (I.8), где R1 означает Y-7A, R2 означает цикло-C3H5, R9 означает СН3, и R10 означает СН3.

Таблица 211. Соединения формулы (I.9), где R1 означает Y-1A, R2 означает Н, R9 означает Н, и R10 означает Н.

Таблица 212. Соединения формулы (I.9), где R1 означает Y-1A, R2 означает Н, R9 означает СН3, и R10 означает Н.

Таблица 213. Соединения формулы (I.9), где R1 означает Y-1A, R2 означает Н, R9 означает СН3, и R10 означает СН3.

Таблица 214. Соединения формулы (I.9), где R1 означает Y-2A, R2 означает Н, R9 означает Н, и R10 означает Н.

Таблица 215. Соединения формулы (I.9), где R1 означает Y-2A, R2 означает Н, R9 означает СН3, и R10 означает Н.

Таблица 216. Соединения формулы (I.9), где R1 означает Y-2A, R2 означает Н, R9 означает СН3, и R10 означает СН3.

Таблица 217. Соединения формулы (I.9), где R1 означает Y-5A, R2 означает Н, R9 означает Н, и R10 означает Н.

Таблица 218. Соединения формулы (I.9), где R1 означает Y-5A, R2 означает Н, R9 означает СН3, и R10 означает Н.

Таблица 219. Соединения формулы (I.9), где R1 означает Y-5A, R2 означает Н, R9 означает СН3, и R10 означает СН3.

Таблица 220. Соединения формулы (I.9), где R1 означает Y-6A, R2 означает Н, R9 означает Н, и R10 означает Н.

Таблица 221. Соединения формулы (I.9), где R1 означает Y-6A, R2 означает Н, R9 означает СН3, и R10 означает Н.

Таблица 222. Соединения формулы (I.9), где R1 означает Y-6A, R2 означает Н, R9 означает СН3, и R10 означает СН3.

Таблица 223. Соединения формулы (I.9), где R1 означает Y-7A, R2 означает Н, R9 означает Н, и R10 означает Н.

Таблица 224. Соединения формулы (I.9), где R1 означает Y-7A, R2 означает Н, R9 означает СН3, и R10 означает Н.

Таблица 225. Соединения формулы (I.9), где R1 означает Y-7A, R2 означает Н, R9 означает СН3, и R10 означает СН3.

Таблица 226. Соединения формулы (I.9), где R1 означает Y-1A, R2 означает СН3, R9 означает Н, и R10 означает Н.

Таблица 227. Соединения формулы (I.9), где R1 означает Y-1A, R2 означает СН3, R9 означает СН3, и R10 означает Н.

Таблица 228. Соединения формулы (I.9), где R1 означает Y-1A, R2 означает СН3, R9 означает СН3, и R10 означает СН3.

Таблица 229. Соединения формулы (I.9), где R1 означает Y-2A, R2 означает СН3, R9 означает Н, и R10 означает Н.

Таблица 230. Соединения формулы (I.9), где R1 означает Y-2A, R2 означает СН3, R9 означает СН3, и R10 означает Н.

Таблица 231. Соединения формулы (I.9), где R1 означает Y-2A, R2 означает СН3, R9 означает СН3, и R10 означает СН3.

Таблица 232. Соединения формулы (I.9), где R1 означает Y-5A, R2 означает СН3, R9 означает Н, и R10 означает Н.

Таблица 233. Соединения формулы (I.9), где R1 означает Y-5A, R2 означает СН3, R9 означает СН3, и R10 означает Н.

Таблица 234. Соединения формулы (I.9), где R1 означает Y-5A, R2 означает СН3, R9 означает СН3, и R10 означает СН3.

Таблица 235. Соединения формулы (I.9), где R1 означает Y-6A, R2 означает СН3, R9 означает Н, и R10 означает Н.

Таблица 236. Соединения формулы (I.9), где R1 означает Y-6A, R2 означает СН3, R9 означает СН3, и R10 означает Н.

Таблица 237. Соединения формулы (I.9), где R1 означает Y-6A, R2 означает СН3, R9 означает СН3, и R10 означает СН3.

Таблица 238. Соединения формулы (I.9), где R1 означает Y-7A, R2 означает СН3, R9 означает Н, и R10 означает Н.

Таблица 239. Соединения формулы (I.9), где R1 означает Y-7A, R2 означает СН3, R9 означает СН3, и R10 означает Н.

Таблица 240. Соединения формулы (I.9), где R1 означает Y-7A, R2 означает СН3, R9 означает СН3, и R10 означает СН3.

Таблица 241. Соединения формулы (I.9), где R1 означает Y-1A, R2 означает С2Н5, R9 означает Н, и R10 означает Н.

Таблица 242. Соединения формулы (I.9), где R1 означает Y-1A, R2 означает С2Н5, R9 означает СН3, и R10 означает Н.

Таблица 243. Соединения формулы (I.9), где R1 означает Y-1A, R2 означает С2Н5, R9 означает СН3, и R10 означает СН3.

Таблица 244. Соединения формулы (I.9), где R1 означает Y-2A, R2 означает C2H5, R9 означает Н, и R10 означает Н.

Таблица 245. Соединения формулы (I.9), где R1 означает Y-2A, R2 означает С2Н5, R9 означает СН3, и R10 означает Н.

Таблица 246. Соединения формулы (I.9); где R1 означает Y-2A, R2 означает С2Н5, R9 означает СН3, и R10 означает СН3.

Таблица 247. Соединения формулы (I.9), где R1 означает Y-5A, R2 означает С2Н5, R9 означает Н, и R10 означает Н.

Таблица 248. Соединения формулы (I.9), где R1 означает Y-5A, R2 означает С2Н5, R9 означает СН3, и R10 означает Н.

Таблица 249. Соединения формулы (I.9), где R1 означает Y-5A, R2 означает С2Н5, R9 означает СН3, и R10 означает СН3.

Таблица 250. Соединения формулы (I.9), где R1 означает Y-6A, R2 означает С2Н5, R9 означает Н, и R10 означает Н.

Таблица 251. Соединения формулы (I.9), где R1 означает Y-6A, R2 означает С2Н5, R9 означает СН3, и R10 означает Н.

Таблица 252. Соединения формулы (I.9), где R1 означает Y-6A, R2 означает С2Н5, R9 означает СН3, и R10 означает СН3.

Таблица 253. Соединения формулы (I.9), где R1 означает Y-7A, R2 означает С2Н5, R9 означает Н, и R10 означает Н.

Таблица 254. Соединения формулы (I.9), где R1 означает Y-7A, R2 означает С2Н5, R9 означает СН3, и R10 означает Н.

Таблица 255. Соединения формулы (I.9), где R1 означает Y-7A, R2 означает С2Н5, R9 означает СН3, и R10 означает СН3.

Таблица 256. Соединения формулы (I.9), где R1 означает Y-1A, R2 означает цикло-C3H5, R9 означает Н, и R10 означает Н.

Таблица 257. Соединения формулы (I.9), где R1 означает Y-1A, R2 означает цикло-С3Н5, R9 означает СН3, и R10 означает Н.

Таблица 258. Соединения формулы (I.9), где R1 означает Y-1A, R2 означает цикло-С3Н5, R9 означает СН3, и R10 означает СН3.

Таблица 259. Соединения формулы (I.9), где R1 означает Y-2A, R2 означает цикло-С3Н5, R9 означает Н, и R10 означает Н.

Таблица 260. Соединения формулы (I.9), где R1 означает Y-2A, R2 означает цикло-C3H5, R9 означает СН3, и R10 означает Н.

Таблица 261. Соединения формулы (I.9), где R1 означает Y-2A, R2 означает цикло-C3H5, R9 означает СН3, и R10 означает СН3.

Таблица 262. С

Таблица 263. Соединения формулы (I.9), где R1 означает Y-5A, R2 означает цикло-С3Н5, R9 означает Н, и R10 означает Н.

Таблица 264. Соединения формулы (I.9), где R1 означает Y-5A, R2 означает цикло-С3Н5, R9 означает СН3, и R10 означает Н.

Таблица 265. Соединения формулы (I.9), где R1 означает Y-5A, R2 означает цикло-C3H5, R9 означает СН3, и R10 означает СН3.

Таблица 266. Соединения формулы (I.9), где R1 означает Y-6A, R2 означает цикло-C3H5, R9 означает Н, и R10 означает Н.

Таблица 267. Соединения формулы (I.9), где R1 означает Y-6A, R2 означает цикло-C3H5, R9 означает СН3, и R10 означает Н.

Таблица 268. Соединения формулы (I.9), где R1 означает Y-6A, R2 означает цикло-C3H5, R9 означает СН3, и R10 означает СН3.

Таблица 269. Соединения формулы (I.9), где R1 означает Y-7A, R2 означает цикло-C3H5, R9 означает Н, и R10 означает Н.

Таблица 270. Соединения формулы (I.9), где R1 означает Y-7A, R2 означает цикло-C3H5, R9 означает СН3, и R10 означает Н.

Таблица 271. Соединения формулы (I.9), где R1 означает Y-7A, R2 означает цикло-C3H5, R9 означает СН3, и R10 означает СН3.

Таблица 272. Соединения формулы (I.10), где R1 означает Y-1A, R2 означает Н, R9 означает Н, и R10 означает Н.

Таблица 273. Соединения формулы (I.10), где R1 означает Y-1A, R2 означает Н, R9 означает СН3, и R10 означает Н.

Таблица 274. Соединения формулы (I.10), где R1 означает Y-1A, R2 означает Н, R9 означает СН3, и R10 означает СН3.

Таблица 275. Соединения формулы (I.10), где R1 означает Y-2A, R2 означает Н, R9 означает Н, и R10 означает Н.

Таблица 276. Соединения формулы (I.10), где R1 означает Y-2A, R2 означает Н, R9 означает СН3, и R10 означает Н.

Таблица 277. Соединения формулы (I.10), где R1 означает Y-2A, R2 означает Н, R9 означает СН3, и R10 означает СН3.

Таблица 278. Соединения формулы (I.10), где R1 означает Y-5A, R2 означает Н, R9 означает Н, и R10 означает Н.

Таблица 279. Соединения формулы (I.10), где R1 означает Y-5A, R2 означает Н, R9 означает СН3, и R10 означает Н.

Таблица 280. Соединения формулы (I.10), где R1 означает Y-5A, R2 означает Н, R9 означает СН3, и R10 означает СН3.

Таблица 281. Соединения формулы (I.10), где R1 означает Y-6A, R2 означает Н, R9 означает Н, и R10 означает Н.

Таблица 282. Соединения формулы (I.10), где R1 означает Y-6A, R2 означает Н, R9 означает СН3, и R10 означает Н.

Таблица 283. Соединения формулы (I.10), где R1 означает Y-6A, R2 означает Н, R9 означает СН3, и R10 означает СН3.

Таблица 284. Соединения формулы (I.10), где R1 означает Y-7A, R2 означает Н, R9 означает Н, и R10 означает Н.

Таблица 285. Соединения формулы (I.10), где R1 означает Y-7A, R2 означает Н, R9 означает СН3, и R10 означает Н.

Таблица 286. Соединения формулы (I.10), где R1 означает Y-7A, R2 означает Н, R9 означает СН3, и R10 означает СН3.

Таблица 287. Соединения формулы (I.10), где R1 означает Y-1A, R2 означает СН3, R9 означает Н, и R10 означает Н.

Таблица 288. Соединения формулы (I.10), где R1 означает Y-1A, R2 означает СН3, R9 означает СН3, и R10 означает Н.

Таблица 289. Соединения формулы (I.10), где R1 означает Y-1A, R2 означает СН3, R9 означает СН3, и R10 означает СН3.

Таблица 290. Соединения формулы (I.10), где R1 означает Y-2A, R2 означает СН3, R9 означает Н, и R10 означает Н.

Таблица 291. Соединения формулы (I.10), где R1 означает Y-2A, R2 означает СН3, R9 означает СН3, и R10 означает Н.

Таблица 292. Соединения формулы (I.10), где R1 означает Y-2A, R2 означает СН3, R9 означает СН3, и R10 означает СН3.

Таблица 293. Соединения формулы (I.10), где R1 означает Y-5A, R2 означает СН3, R9 означает Н, и R10 означает Н.

Таблица 294. Соединения формулы (I.10), где R1 означает Y-5A, R2 означает СН3, R9 означает СН3, и R10 означает Н.

Таблица 295. Соединения формулы (I.10), где R1 означает Y-5A, R2 означает СН3, R9 означает СН3, и R10 означает СН3.

Таблица 296. Соединения формулы (I.10), где R1 означает Y-6A, R2 означает СН3, R9 означает Н, и R10 означает Н.

Таблица 297. Соединения формулы (I.10), где R1 означает Y-6A, R2 означает СН3, R9 означает СН3, и R10 означает Н.

Таблица 298. Соединения формулы (I.10), где R1 означает Y-6A, R2 означает СН3, R9 означает СН3, и R10 означает СН3.

Таблица 299. Соединения формулы (I.10), где R1 означает Y-7A, R2 означает СН3, R9 означает Н, и R10 означает Н.

Таблица 300. Соединения формулы (I.10), где R1 означает Y-7A, R2 означает СН3, R9 означает СН3, и R10 означает Н.

Таблица 301. Соединения формулы (I.10), где R1 означает Y-7A, R2 означает СН3, R9 означает СН3, и R10 означает СН3.

Таблица 302. Соединения формулы (I.10), где R1 означает Y-1A, R2 означает C2H5, R9 означает Н, и R10 означает Н.

Таблица 303. Соединения формулы (I.10), где R1 означает Y-1A, R2 означает С2Н5, R9 означает СН3, и R10 означает Н.

Таблица 304. Соединения формулы (I.10), где R1 означает Y-1A, R2 означает C2H5, R9 означает СН3, и R10 означает СН3.

Таблица 305. Соединения формулы (I.10), где R1 означает Y-2A, R2 означает С2Н5, R9 означает Н, и R10 означает Н.

Таблица 306. Соединения формулы (I.10), где R1 означает Y-2A, R2 означает C2H5, R9 означает СН3, и R10 означает Н.

Таблица 307. Соединения формулы (I.10), где R1 означает Y-2A, R2 означает С2Н5, R9 означает СН3, и R10 означает СН3.

Таблица 308. Соединения формулы (I.10), где R1 означает Y-5A, R2 означает С2Н5, R9 означает Н, и R10 означает Н.

Таблица 309. Соединения формулы (I.10), где R1 означает Y-5A, R2 означает С2Н5, R9 означает СН3, и R10 означает Н.

Таблица 310. Соединения формулы (I.10), где R1 означает Y-5A, R2 означает С2Н5, R9 означает СН3, и R10 означает СН3.

Таблица 311. Соединения формулы (I.10), где R1 означает Y-6A, R2 означает C2H5, R9 означает Н, и R10 означает Н.

Таблица 312. Соединения формулы (I.10), где R1 означает Y-6A, R2 означает С2Н5, R9 означает СН3, и R10 означает Н.

Таблица 313. Соединения формулы (I.10), где R1 означает Y-6A, R2 означает С2Н5, R9 означает СН3, и R10 означает СН3.

Таблица 314. Соединения формулы (I.10), где R1 означает Y-7A, R2 означает C2H5, R9 означает Н, и R10 означает Н.

Таблица 315. Соединения формулы (I.10), где R1 означает Y-7A, R2 означает С2Н5, R9 означает СН3, и R10 означает Н.

Таблица 316. Соединения формулы (I.10), где R1 означает Y-7A, R2 означает С2Н5, R9 означает СН3, и R10 означает СН3.

Таблица 317. Соединения формулы (I.10), где R1 означает Y-1A, R2 означает цикло-C3H5, R9 означает Н, и R10 означает Н.

Таблица 318. Соединения формулы (I.10), где R1 означает Y-1A, R2 означает цикло-С3Н5, R9 означает СН3, и R10 означает Н.

Таблица 319. Соединения формулы (I.10), где R1 означает Y-1A, R2 означает цикло-C3H5, R9 означает СН3, и R10 означает СН3.

Таблица 320. Соединения формулы (I.10), где R1 означает Y-2A, R2 означает цикло-C3H5, R9 означает Н, и R10 означает Н.

Таблица 321. Соединения формулы (I.10), где R1 означает Y-2A, R2 означает цикло-C3H5, R9 означает СН3, и R10 означает Н.

Таблица 322. Соединения формулы (I.10), где R1 означает Y-2A, R2 означает цикло-С3Н5, R9 означает СН3, и R10 означает СН3.

Таблица 323. С

Таблица 324. Соединения формулы (I.10), где R1 означает Y-5A, R2 означает цикло-С3Н5, R9 означает Н, и R10 означает Н.

Таблица 325. Соединения формулы (I.10), где R1 означает Y-5A, R2 означает цикло-С3Н5, R9 означает СН3, и R10 означает Н.

Таблица 326. Соединения формулы (I.10), где R1 означает Y-5A, R2 означает цикло-C3H5, R9 означает СН3, и R10 означает СН3.

Таблица 327. Соединения формулы (I.10), где R1 означает Y-6A, R2 означает цикло-С3Н5, R9 означает Н, и R10 означает Н.

Таблица 328. Соединения формулы (I.10), где R1 означает Y-6A, R2 означает цикло-C3H5, R9 означает СН3, и R10 означает Н.

Таблица 329. Соединения формулы (I.10), где R1 означает Y-6A, R2 означает цикло-С3Н5, R9 означает СН3, и R10 означает СН3.

Таблица 330. Соединения формулы (I.10), где R1 означает Y-7A, R2 означает цикло-С3Н5, R9 означает Н, и R10 означает Н.

Таблица 331. Соединения формулы (I.10), где R1 означает Y-7A, R2 означает цикло-C3H5, R9 означает СН3, и R10 означает Н.

Таблица 332. Соединения формулы (I.10); где R1 означает Y-7A, R2 означает цикло-C3H5, R9 означает СН3, и R10 означает СН3.

Таблица 333. Соединения формулы (I.11), где R1 означает Y-1A, R2 означает Н, R9 означает Н, и R10 означает Н.

Таблица 334. Соединения формулы (I.11), где R1 означает Y-1A, R2 означает Н, R9 означает СН3, и R10 означает Н.

Таблица 335. Соединения формулы (I.11), где R1 означает Y-1A, R2 означает Н, R9 означает СН3, и R10 означает СН3.

Таблица 336. Соединения формулы (I.11), где R1 означает Y-2A, R2 означает Н, R9 означает Н, и R10 означает Н.

Таблица 337. Соединения формулы (I.11), где R1 означает Y-2A, R2 означает Н, R9 означает СН3, и R10 означает Н.

Таблица 338. Соединения формулы (I.11), где R1 означает Y-2A, R2 означает Н, R9 означает СН3, и R10 означает СН3.

Таблица 339. Соединения формулы (I.11), где R1 означает Y-5A, R2 означает Н, R9 означает Н, и R10 означает Н.

Таблица 340. Соединения формулы (I.11), где R1 означает Y-5A, R2 означает Н, R9 означает СН3, и R10 означает Н.

Таблица 341. Соединения формулы (I.11), где R1 означает Y-5A, R2 означает Н, R9 означает СН3, и R10 означает СН3.

Таблица 342. Соединения формулы (I.11), где R1 означает Y-6A, R2 означает Н, R9 означает Н, и R10 означает Н.

Таблица 343. Соединения формулы (I.11), где R1 означает Y-6A, R2 означает Н, R9 означает СН3, и R10 означает Н.

Таблица 344. Соединения формулы (I.11), где R1 означает Y-6A, R2 означает Н, R9 означает СН3, и R10 означает СН3.

Таблица 345. Соединения формулы (I.11), где R1 означает Y-7A, R2 означает Н, R9 означает Н, и R10 означает Н.

Таблица 346. Соединения формулы (I.11), где R1 означает Y-7A, R2 означает Н, R9 означает СН3, и R10 означает Н.

Таблица 347. Соединения формулы (I.11), где R1 означает Y-7A, R2 означает Н, R9 означает СН3, и R10 означает СН3.

Таблица 348. Соединения формулы (I.11), где R1 означает Y-1A, R2 означает СН3, R9 означает Н, и R10 означает Н.

Таблица 349. Соединения формулы (I.11); где R1 означает Y-1A, R2 означает СН3, R9 означает СН3, и R10 означает Н.

Таблица 350. Соединения формулы (I.11), где R1 означает Y-1A, R2 означает СН3, R9 означает СН3, и R10 означает СН3.

Таблица 351. Соединения формулы (I.11), где R1 означает Y-2A, R2 означает СН3, R9 означает Н, и R10 означает Н.

Таблица 352. Соединения формулы (I.11), где R1 означает Y-2A, R2 означает СН3, R9 означает СН3, и R10 означает Н.

Таблица 353. Соединения формулы (I.11), где R1 означает Y-2A, R2 означает СН3, R9 означает СН3, и R10 означает СН3.

Таблица 354. Соединения формулы (I.11), где R1 означает Y-5A, R2 означает СН3, R9 означает Н, и R10 означает Н.

Таблица 355. Соединения формулы (I.11), где R1 означает Y-5A, R2 означает СН3, R9 означает СН3, и R10 означает Н.

Таблица 356. Соединения формулы (I.11), где R1 означает Y-5A, R2 означает СН3, R9 означает СН3, и R10 означает СН3.

Таблица 357. Соединения формулы (I.11), где R1 означает Y-6A, R2 означает СН3, R9 означает Н, и R10 означает Н.

Таблица 358. Соединения формулы (I.11), где R1 означает Y-6A, R2 означает СН3, R9 означает СН3, и R10 означает Н.

Таблица 359. Соединения формулы (I.11), где R1 означает Y-6A, R2 означает СН3, R9 означает СН3, и R10 означает СН3.

Таблица 360. Соединения формулы (I.11), где R1 означает Y-7A, R2 означает СН3, R9 означает Н, и R10 означает Н.

Таблица 361. Соединения формулы (I.11), где R1 означает Y-7A, R2 означает СН3, R9 означает СН3, и R10 означает Н.

Таблица 362. Соединения формулы (I.11), где R1 означает Y-7A, R2 означает СН3, R9 означает СН3, и R10 означает СН3.

Таблица 363. Соединения формулы (I.11), где R1 означает Y-1A, R2 означает C2H5, R9 означает Н, и R10 означает Н.

Таблица 364. Соединения формулы (I.11), где R1 означает Y-1A, R2 означает C2H5, R9 означает СН3, и R10 означает Н.

Таблица 365. Соединения формулы (I.11), где R1 означает Y- 1A, R2 означает С2Н5, R9 означает СН3, и R10 означает СН3.

Таблица 366. Соединения формулы (I.11), где R1 означает Y-2A, R2 означает С2Н5, R9 означает Н, и R10 означает Н.

Таблица 367. Соединения формулы (I.11), где R1 означает Y-2A, R2 означает C2H5, R9 означает СН3, и R10 означает Н.

Таблица 368. Соединения формулы (I.11), где R1 означает Y-2A, R2 означает С2Н5, R9 означает СН3, и R10 означает СН3.

Таблица 369. Соединения формулы (I.11), где R1 означает Y-5A, R2 означает С2Н5, R9 означает Н, и R10 означает Н.

Таблица 370. Соединения формулы (I.11), где R1 означает Y-5A, R2 означает С2Н5, R9 означает СН3, и R10 означает Н.

Таблица 371. Соединения формулы (I.11), где R1 означает Y-5A, R2 означает C2H5, R9 означает СН3, и R10 означает СН3.

Таблица 372. Соединения формулы (I.11), где R1 означает Y-6A, R2 означает С2Н5, R9 означает Н, и R10 означает Н.

Таблица 373. Соединения формулы (I.11), где R1 означает Y-6A, R2 означает С2Н5, R9 означает СН3, и R10 означает Н.

Таблица 374. Соединения формулы (I.11), где R1 означает Y-6A, R2 означает С2Н5, R9 означает СН3, и R10 означает СН3.

Таблица 375. Соединения формулы (I.11), где R1 означает Y-7A, R2 означает C2H5, R9 означает Н, и R10 означает Н.

Таблица 376. Соединения формулы (I.11), где R1 означает Y-7A, R2 означает C2H5, R9 означает СН3, и R10 означает Н.

Таблица 377. Соединения формулы (I.11), где R1 означает Y-7A, R2 означает С2Н5, R9 означает СН3, и R10 означает СН3.

Таблица 378. Соединения формулы (I.11), где R1 означает Y-1A, R2 означает цикло-С3Н5, R9 означает Н, и R10 означает Н.

Таблица 379. Соединения формулы (I.11), где R1 означает Y-1A, R2 означает цикло-C3H5, R9 означает СН3, и R10 означает Н.

Таблица 380. Соединения формулы (I.11), где R1 означает Y-1A, R2 означает цикло-С3Н5, R9 означает СН3, и R10 означает СН3.

Таблица 381. Соединения формулы (I.11), где R1 означает Y-2A, R2 означает цикло-С3Н5, R9 означает Н, и R10 означает Н.

Таблица 382. Соединения формулы (I.11), где R1 означает Y-2A, R2 означает цикло-C3H5, R9 означает СН3, и R10 означает Н.

Таблица 383. Соединения формулы (I.11); где R1 означает Y-2A, R2 означает цикло-C3H5, R9 означает СН3, и R10 означает СН3.

Таблица 384. Соединения формулы (I.11), где R1 означает Y-5A, R2 означает цикло-C3H5, R9 означает Н, и R10 означает Н.

Таблица 385. Соединения формулы (I.11), где R1 означает Y-5A, R2 означает цикло-С3Н5, R9 означает СН3, и R10 означает Н.

Таблица 386. Соединения формулы (I.11), где R1 означает Y-5A, R2 означает цикло-С3Н5, R9 означает СН3, и R10 означает СН3.

Таблица 387. Соединения формулы (I.11), где R1 означает Y-6A, R2 означает цикло-C3H5, R9 означает Н, и R10 означает Н.

Таблица 388. Соединения формулы (I.11), где R1 означает Y-6A, R2 означает цикло-С3Н5, R9 означает СН3, и R10 означает Н.

Таблица 389. Соединения формулы (I.11), где R1 означает Y-6A, R2 означает цикло-C3H5, R9 означает СН3, и R10 означает СН3.

Таблица 390. Соединения формулы (I.11), где R1 означает Y-7A, R2 означает цикло-С3Н5, R9 означает Н, и R10 означает Н.

Таблица 391. Соединения формулы (I.11), где R1 означает Y-7A, R2 означает цикло-C3H5, R9 означает СН3, и R10 означает Н.

Таблица 392. Соединения формулы (I.11), где R1 означает Y-7A, R2 означает цикло-С3Н5, R9 означает СН3, и R10 означает СН3.

Таблица 393. Соединения формулы (I.12), где R1 означает Y-1A, R2 означает Н, R9 означает Н, и R10 означает Н.

Таблица 394. Соединения формулы (I.12), где R1 означает Y-1A, R2 означает Н, R9 означает СН3, и R10 означает Н.

Таблица 395. Соединения формулы (I.12), где R1 означает Y-1A, R2 означает Н, R9 означает СН3, и R10 означает СН3.

Таблица 396. Соединения формулы (I.12), где R1 означает Y-2A, R2 означает Н, R9 означает Н, и R10 означает Н.

Таблица 397. Соединения формулы (I.12), где R1 означает Y-2A, R2 означает Н, R9 означает СН3, и R10 означает Н.

Таблица 398. Соединения формулы (I.12), где R1 означает Y-2A, R2 означает Н, R9 означает СН3, и R10 означает СН3.

Таблица 399. Соединения формулы (I.12), где R1 означает Y-5A, R2 означает Н, R9 означает Н, и R10 означает Н.

Таблица 400. Соединения формулы (I.12); где R1 означает Y-5A, R2 означает Н, R9 означает СН3, и R10 означает Н.

Таблица 401. Соединения формулы (I.12), где R1 означает Y-5A, R2 означает Н, R9 означает СН3, и R10 означает СН3.

Таблица 402. Соединения формулы (I.12), где R1 означает Y-6A, R2 означает Н, R9 означает Н, и R10 означает Н.

Таблица 403. Соединения формулы (I.12), где R1 означает Y-6A, R2 означает Н, R9 означает СН3, и R10 означает Н.

Таблица 404. Соединения формулы (I.12), где R1 означает Y-6A, R2 означает Н, R9 означает СН3, и R10 означает СН3.

Таблица 405. Соединения формулы (I.12), где R1 означает Y-7A, R2 означает Н, R9 означает Н, и R10 означает Н.

Таблица 406. Соединения формулы (I.12), где R1 означает Y-7A, R2 означает Н, R9 означает СН3, и R10 означает Н.

Таблица 407. Соединения формулы (I.12), где R1 означает Y-7A, R2 означает Н, R9 означает СН3, и R10 означает СН3.

Таблица 408. Соединения формулы (I.12), где R1 означает Y-1A, R2 означает СН3, R9 означает Н, и R10 означает Н.

Таблица 409. Соединения формулы (I.12), где R1 означает Y-1A, R2 означает СН3, R9 означает СН3, и R10 означает Н.

Таблица 410. Соединения формулы (I.12), где R1 означает Y-1A, R2 означает СН3, R9 означает СН3, и R10 означает СН3.

Таблица 411. Соединения формулы (I.12), где R1 означает Y-2A, R2 означает СН3, R9 означает Н, и R10 означает Н.

Таблица 412. Соединения формулы (I.12), где R1 означает Y-2A, R2 означает СН3, R9 означает СН3, и R10 означает Н.

Таблица 413. Соединения формулы (I.12), где R1 означает Y-2A, R2 означает СН3, R9 означает СН3, и R10 означает СН3.

Таблица 414. Соединения формулы (I.12), где R1 означает Y-5A, R2 означает СН3, R9 означает Н, и R10 означает Н.

Таблица 415. Соединения формулы (I.12), где R1 означает Y-5A, R2 означает СН3, R9 означает СН3, и R10 означает Н.

Таблица 416. Соединения формулы (I.12), где R1 означает Y-5A, R2 означает СН3, R9 означает СН3, и R10 означает СН3.

Таблица 417. Соединения формулы (I.12), где R1 означает Y-6A, R2 означает СН3, R9 означает Н, и R10 означает Н.

Таблица 418. Соединения формулы (I.12), где R1 означает Y-6A, R2 означает СН3, R9 означает СН3, и R10 означает Н.

Таблица 419. Соединения формулы (I.12), где R1 означает Y-6A, R2 означает СН3, R9 означает СН3, и R10 означает СН3.

Таблица 420. Соединения формулы (I.12), где R1 означает Y-7A, R2 означает СН3, R9 означает Н, и R10 означает Н.

Таблица 421. Соединения формулы (I.12), где R1 означает Y-7A, R2 означает СН3, R9 означает СН3, и R10 означает Н.

Таблица 422. Соединения формулы (I.12), где R1 означает Y-7A, R2 означает СН3, R9 означает СН3, и R10 означает СН3.

Таблица 423. Соединения формулы (I.12), где R1 означает Y-1A, R2 означает С2Н5, R9 означает Н, и R10 означает Н.

Таблица 424. Соединения формулы (I.12), где R1 означает Y-1A, R2 означает С2Н5, R9 означает СН3, и R10 означает Н.

Таблица 425. Соединения формулы (I.12), где R1 означает Y-1A, R2 означает С2Н5, R9 означает СН3, и R10 означает СН3.

Таблица 426. Соединения формулы (I.12), где R1 означает Y-2A, R2 означает C2H5, R9 означает Н, и R10 означает Н.

Таблица 427. Соединения формулы (I.12), где R1 означает Y-2A, R2 означает C2H5, R9 означает СН3, и R10 означает Н.

Таблица 428. Соединения формулы (I.12), где R1 означает Y-2A, R2 означает С2Н5, R9 означает СН3, и R10 означает СН3.

Таблица 429. Соединения формулы (I.12), где R1 означает Y-5A, R2 означает С2Н5, R9 означает Н, и R10 означает Н.

Таблица 430. Соединения формулы (I.12), где R1 означает Y-5A, R2 означает С2Н5, R9 означает СН3, и R10 означает Н.

Таблица 431. Соединения формулы (I.12), где R1 означает Y-5A, R2 означает C2H5, R9 означает СН3, и R10 означает СН3.

Таблица 432. Соединения формулы (I.12), где R1 означает Y-6A, R2 означает C2H5, R9 означает Н, и R10 означает Н.

Таблица 433. Соединения формулы (I.12), где R1 означает Y-6A, R2 означает С2Н5, R9 означает СН3, и R10 означает Н.

Таблица 434. Соединения формулы (I.12); где R1 означает Y-6A, R2 означает С2Н5, R9 означает СН3, и R10 означает СН3.

Таблица 435. Соединения формулы (I.12), где R1 означает Y-7A, R2 означает C2H5, R9 означает Н, и R10 означает Н.

Таблица 436. Соединения формулы (I.12), где R1 означает Y-7A, R2 означает C2H5, R9 означает СН3, и R10 означает Н.

Таблица 437. Соединения формулы (I.12), где R1 означает Y-7A, R2 означает C2H5, R9 означает СН3, и R10 означает СН3.

Таблица 438. Соединения формулы (I.12), где R1 означает Y-1A, R2 означает цикло-C3H5, R9 означает Н, и R10 означает Н.

Таблица 439. Соединения формулы (I.12), где R1 означает Y-1A, R2 означает цикло-С3Н5, R9 означает СН3, и R10 означает Н.

Таблица 440. Соединения формулы (I.12), где R1 означает Y-1A, R2 означает цикло-C3H5, R9 означает СН3, и R10 означает СН3.

Таблица 441. Соединения формулы (I.12), где R1 означает Y-2A, R2 означает цикло-С3Н5, R9 означает Н, и R10 означает Н.

Таблица 442. Соединения формулы (I.12), где R1 означает Y-2A, R2 означает цикло-C3H5, R9 означает СН3, и R10 означает Н.

Таблица 443. Соединения формулы (I.12), где R1 означает Y-2A, R2 означает цикло-С3Н5, R9 означает СН3, и R10 означает СН3.

Таблица 444. Соединения формулы (I.12), где R1 означает Y-5A, R2 означает цикло-С3Н5, R9 означает Н, и R10 означает Н.

Таблица 445. Соединения формулы (I.12), где R1 означает Y-5A, R2 означает цикло-C3H5, R9 означает СН3, и R10 означает Н.

Таблица 446. Соединения формулы (I.12), где R1 означает Y-5A, R2 означает цикло-С3Н5, R9 означает СН3, и R10 означает СН3.

Таблица 447. Соединения формулы (I.12), где R1 означает Y-6A, R2 означает цикло-C3H5, R9 означает Н, и R10 означает Н.

Таблица 448. Соединения формулы (I.12), где R1 означает Y-6A, R2 означает цикло-С3Н5, R9 означает СН3, и R10 означает Н.

Таблица 449. Соединения формулы (I.12), где R1 означает Y-6A, R2 означает цикло-С3Н5, R9 означает СН3, и R10 означает СН3.

Таблица 450. Соединения формулы (I.12), где R1 означает Y-7A, R2 означает цикло-C3H5, R9 означает Н, и R10 означает Н.

Таблица 451. Соединения формулы (I.12); где R1 означает Y-7A, R2 означает цикло-C3H5, R9 означает СН3, и R10 означает Н.

Таблица 452. Соединения формулы (I.12), где R1 означает Y-7A, R2 означает цикло-C3H5, R9 означает СН3, и R10 означает СН3.

Таблица 453. Соединения формулы (I.13), где R1 означает Y-1A, и R2 означает Н.

Таблица 454. Соединения формулы (I.13), где R1 означает Y-2A, и R2 означает Н.

Таблица 455. Соединения формулы (I.13), где R1 означает Y-5A, и R2 означает Н.

Таблица 456. Соединения формулы (I.13), где R1 означает Y-6A, и R2 означает Н.

Таблица 457. Соединения формулы (I.13), где R1 означает Y-7A, и R2 означает Н.

Таблица 458. Соединения формулы (I.13), где R1 означает Y-1A, и R2 означает СН3.

Таблица 459. Соединения формулы (I.13), где R1 означает Y-2A, и R2 означает СН3.

Таблица 460. Соединения формулы (I.13), где R1 означает Y-5A, и R2 означает СН3.

Таблица 461. Соединения формулы (I.13), где R1 означает Y-6A, и R2 означает СН3.

Таблица 462. Соединения формулы (I.13), где R1 означает Y-7A, и R2 означает СН3.

Таблица 463. Соединения формулы (I.13), где R1 означает Y-1A, и R2 означает цикло-С3Н5.

Таблица 464. Соединения формулы (I.13), где R1 означает Y-2A, и R2 означает цикло-C3H5.

Таблица 465. Соединения формулы (I.13), где R1 означает Y-5A, и R2 означает цикло-C3H5.

Таблица 466. Соединения формулы (I.13), где R1 означает Y-6A, и R2 означает цикло-C3H5.

Таблица 467. Соединения формулы (I.13), где R1 означает Y-7A, и R2 означает цикло-С3Н5.

Таблица 468. Соединения формулы (I.14); где R1 означает Y-1A, и R2 означает Н.

Таблица 469. Соединения формулы (I.14), где R1 означает Y-2A, и R2 означает Н.

Таблица 470. Соединения формулы (I.14), где R1 означает Y-5A, и R2 означает Н.

Таблица 471. Соединения формулы (I.14), где R1 означает Y-6A, и R2 означает Н.

Таблица 472. Соединения формулы (I.14), где R1 означает Y-7A, и R2 означает Н.

Таблица 473. Соединения формулы (I.14), где R1 означает Y-1A, и R2 означает СН3.

Таблица 474. Соединения формулы (I.14), где R1 означает Y-2A, и R2 означает СН3.

Таблица 475. Соединения формулы (I.14), где R1 означает Y-5A, и R2 означает СН3.

Таблица 476. Соединения формулы (I.14), где R1 означает Y-6A, и R2 означает СН3.

Таблица 477. Соединения формулы (I.14), где R1 означает Y-7A, и R2 означает СН3.

Таблица 478. Соединения формулы (I.14), где R1 означает Y-1A, и R2 означает цикло-C3H5.

Таблица 479. Соединения формулы (I.14), где R1 означает Y-2A, и R2 означает цикло-C3H5.

Таблица 480. Соединения формулы (I.14), где R1 означает Y-5A, и R2 означает цикло-С3Н5.

Таблица 481. Соединения формулы (I.14), где R1 означает Y-6A, и R2 означает цикло-C3H5.

Таблица 482. Соединения формулы (I.14), где R1 означает Y-7A, и R2 означает цикло-C3H5.

Таблица 483. Соединения формулы (I.15), где R1 означает Y-1A, и R2 означает Н.

Таблица 484. Соединения формулы (I.15), где R1 означает Y-2A, и R2 означает Н.

Таблица 485. Соединения формулы (I.15); где R1 означает Y-5A, и R2 означает Н.

Таблица 486. Соединения формулы (I.15), где R1 означает Y-6A, и R2 означает Н.

Таблица 487. Соединения формулы (I.15), где R1 означает Y-7A, и R2 означает Н.

Таблица 488. Соединения формулы (I.15), где R1 означает Y-1A, и R2 означает СН3.

Таблица 489. Соединения формулы (I.15), где R1 означает Y-2A, и R2 означает СН3.

Таблица 490. Соединения формулы (I.15), где R1 означает Y-5A, и R2 означает СН3.

Таблица 491. Соединения формулы (I.15), где R1 означает Y-6A, и R2 означает СН3.

Таблица 492. Соединения формулы (I.15), где R1 означает Y-7A, и R2 означает СН3.

Таблица 493. Соединения формулы (I.15), где R1 означает Y-1A, и R2 означает цикло-C2H5.

Таблица 494. Соединения формулы (I.15), где R1 означает Y-2A, и R2 означает цикло-C3H5.

Таблица 495. Соединения формулы (I.15), где R1 означает Y-5A, и R2 означает цикло-C3H5.

Таблица 496. Соединения формулы (I.15), где R1 означает Y-6A, и R2 означает цикло-C3H5.

Таблица 497. Соединения формулы (I.15), где R1 означает Y-7A, и R2 означает цикло-C3H5.

Таблица 498. Соединения формулы (I.16), где R1 означает Y-1A, и R2 означает Н.

Таблица 499. Соединения формулы (I.16), где R1 означает Y-2A, и R2 означает Н.

Таблица 500. Соединения формулы (I.16), где R1 означает Y-5A, и R2 означает Н.

Таблица 501. Соединения формулы (I.16), где R1 означает Y-6A, и R2 означает Н.

Таблица 502. Соединения формулы (I.16); где R1 означает Y-7A, и R2 означает Н.

Таблица 503. Соединения формулы (I.16), где R1 означает Y-1A, и R2 означает СН3.

Таблица 504. Соединения формулы (I.16), где R1 означает Y-2A, и R2 означает СН3.

Таблица 505. Соединения формулы (I.16), где R1 означает Y-5A, и R2 означает СН3.

Таблица 506. Соединения формулы (I.16), где R1 означает Y-6A, и R2 означает СН3.

Таблица 507. Соединения формулы (I.16), где R1 означает Y-7A, и R2 означает СН3.

Таблица 508. Соединения формулы (I.16), где R1 означает Y-1A, и R2 означает цикло-C3H5.

Таблица 509. Соединения формулы (I.16), где R1 означает Y-2A, и R2 означает цикло-С3Н5.

Таблица 510. Соединения формулы (I.16), где R1 означает Y-5A, и R2 означает цикло-C3H5.

Таблица 511. Соединения формулы (I.16), где R1 означает Y-6A, и R2 означает цикло-C3H5.

Таблица 512. Соединения формулы (I.16), где R1 означает Y-7A, и R2 означает цикло-C3H5.

Таблица 513. Соединения формулы (I.17), где R1 означает Y-1A, и R2 означает Н.

Таблица 514. Соединения формулы (I.17), где R1 означает Y-2A, и R2 означает Н.

Таблица 515. Соединения формулы (I.17), где R1 означает Y-5A, и R2 означает Н.

Таблица 516. Соединения формулы (I.17), где R1 означает Y-6A, и R2 означает Н.

Таблица 517. Соединения формулы (I.17), где R1 означает Y-7A, и R2 означает Н.

Таблица 518. Соединения формулы (I.17), где R1 означает Y-1A, и R2 означает СН3.

Таблица 519. Соединения формулы (I.17); где R1 означает Y-2A, и R2 означает СН3.

Таблица 520. Соединения формулы (I.17), где R1 означает Y-5A, и R2 означает СН3.

Таблица 521. Соединения формулы (I.17), где R1 означает Y-6A, и R2 означает СН3.

Таблица 522. Соединения формулы (I.17), где R1 означает Y-7A, и R2 означает СН3.

Таблица 523. Соединения формулы (I.17), где R1 означает Y-1A, и R2 означает цикло-C3H5.

Таблица 524. Соединения формулы (I.17), где R1 означает Y-2A, и R2 означает цикло-C3H5.

Таблица 525. Соединения формулы (I.17), где R1 означает Y-5A, и R2 означает цикло-C3H5.

Таблица 526. Соединения формулы (I.17), где R1 означает Y-6A, и R2 означает цикло-С3Н5.

Таблица 527. Соединения формулы (I.17), где R1 означает Y-7A, и R2 означает цикло-C3H5.

Таблица 528. Соединения формулы (I.18), где R1 означает Y-1A, и R2 означает Н.

Таблица 529. Соединения формулы (I.18), где R1 означает Y-2A, и R2 означает Н.

Таблица 530. Соединения формулы (I.18), где R1 означает Y-5A, и R2 означает Н.

Таблица 531. Соединения формулы (I.18), где R1 означает Y-6A, и R2 означает Н.

Таблица 532. Соединения формулы (I.18), где R1 означает Y-7A, и R2 означает Н.

Таблица 533. Соединения формулы (I.18), где R1 означает Y-1A, и R2 означает СН3.

Таблица 534. Соединения формулы (I.18), где R1 означает Y-2A, и R2 означает СН3.

Таблица 535. Соединения формулы (I.18), где R1 означает Y-5A, и R2 означает СН3.

Таблица 536. Соединения формулы (I.18); где R1 означает Y-6A, и R2 означает СН3.

Таблица 537. Соединения формулы (I.18), где R1 означает Y-7A, и R2 означает СН3.

Таблица 538. Соединения формулы (I.18), где R1 означает Y-1A, и R2 означает цикло-С3Н5.

Таблица 539. Соединения формулы (I.18), где R1 означает Y-2A, и R2 означает цикло-С3Н5.

Таблица 540. Соединения формулы (I.18), где R1 означает Y-5A, и R2 означает цикло-C3H5.

Таблица 541. Соединения формулы (I.18), где R1 означает Y-6A, и R2 означает цикло-C3H5.

Таблица 542. Соединения формулы (I.18), где R1 означает Y-7A, и R2 означает цикло-C3H5.

Таблица 543. Соединения формулы (I.19), где R1 означает Y-1A, R означает NH, и R2 означает Н.

Таблица 544. Соединения формулы (I.19), где R1 означает Y-2A, R означает NH, и R2 означает Н.

Таблица 545. Соединения формулы (I.19), где R1 означает Y-5A, R означает NH, и R2 означает Н.

Таблица 546. Соединения формулы (I.19), где R1 означает Y-6A, R означает NH, и R2 означает Н.

Таблица 547. Соединения формулы (I.19), где R1 означает Y-7A, R означает NH, и R2 означает Н.

Таблица 548. Соединения формулы (I.19), где R1 означает Y-1A, R означает NH, и R2 означает СН3.

Таблица 549. Соединения формулы (I.19), где R1 означает Y-2A, R означает NH, и R2 означает СН3.

Таблица 550. Соединения формулы (I.19), где R1 означает Y-5A, R означает NH, и R2 означает СН3.

Таблица 551. Соединения формулы (I.19), где R1 означает Y-6A, R означает NH, и R2 означает СН3.

Таблица 552. Соединения формулы (I.19), где R1 означает Y-7A, R означает NH, и R2 означает СН3.

Таблица 553. Соединения формулы (I.19), где R1 означает Y-1A, R означает NH, и R2 означает цикло-C3H5.

Таблица 554. Соединения формулы (I.19), где R1 означает Y-2A, R означает NH, и R2 означает цикло-C3H5.

Таблица 555. Соединения формулы (I.19), где R1 означает Y-5A, R означает NH, и R2 означает цикло-C3H5.

Таблица 556. Соединения формулы (I.19), где R1 означает Y-6A, R означает NH, и R2 означает цикло-C3H5.

Таблица 557. Соединения формулы (I.19), где R1 означает Y-7A, R означает NH, и R2 означает цикло-C3H5.

Таблица 558. Соединения формулы (I.19), где R1 означает Y-1A, R означает NCH3, и R2 означает Н.

Таблица 559. Соединения формулы (I.19), где R1 означает Y-2A, R означает NCH3, и R2 означает Н.

Таблица 560. Соединения формулы (I.19), где R1 означает Y-5A, R означает NCH3, и R2 означает Н.

Таблица 561. Соединения формулы (I.19), где R1 означает Y-6A, R означает NCH3, и R2 означает Н.

Таблица 562. Соединения формулы (I.19), где R1 означает Y-7A, R означает NCH3, и R2 означает Н.

Таблица 563. Соединения формулы (I.19), где R1 означает Y-1A, R означает NCH3, и R2 означает СН3.

Таблица 564. Соединения формулы (I.19), где R1 означает Y-2A, R означает NCH3, и R2 означает СН3.

Таблица 565. Соединения формулы (I.19), где R1 означает Y-5A, R означает NCH3, и R2 означает СН3.

Таблица 566. Соединения формулы (I.19), где R1 означает Y-6A, R означает NCH3, и R2 означает СН3.

Таблица 567. Соединения формулы (I.19), где R1 означает Y-7A, R означает NCH3, и R2 означает СН3.

Таблица 568. Соединения формулы (I.19), где R1 означает Y-1A, R означает NCH3, и R2 означает цикло-C3H5.

Таблица 569. Соединения формулы (I.19), где R1 означает Y-2A, R означает NCH3, и R2 означает цикло-C3H5.

Таблица 570. Соединения формулы (I.19); где R1 означает Y-5A, R означает NCH3, и R2 означает цикло-C3H5.

Таблица 571. Соединения формулы (I.19), где R1 означает Y-6A, R означает NCH3, и R2 означает цикло-C3H5.

Таблица 572. Соединения формулы (I.19), где R1 означает Y-7A, R означает NCH3, и R2 означает цикло-С3Н5.

Таблица 573. Соединения формулы (I.19), где R1 означает Y-1A, R означает NCN, и R2 означает Н.

Таблица 574. Соединения формулы (I.19), где R1 означает Y-2A, R означает NCN, и R2 означает Н.

Таблица 575. Соединения формулы (I.19), где R1 означает Y-5A, R означает NCN, и R2 означает Н.

Таблица 576. Соединения формулы (I.19), где R1 означает Y-6A, R означает NCN, и R2 означает Н.

Таблица 577. Соединения формулы (I.19), где R1 означает Y-7A, R означает NCN, и R2 означает Н.

Таблица 578. Соединения формулы (I.19), где R1 означает Y-1A, R означает NCN, и R2 означает СН3.

Таблица 579. Соединения формулы (I.19), где R1 означает Y-2A, R означает NCN, и R2 означает СН3.

Таблица 580. Соединения формулы (I.19), где R1 означает Y-5A, R означает NCN, и R2 означает СН3.

Таблица 581. Соединения формулы (I.19), где R1 означает Y-6A, R означает NCN, и R2 означает СН3.

Таблица 582. Соединения формулы (I.19), где R1 означает Y-7A, R означает NCN, и R2 означает СН3.

Таблица 583. Соединения формулы (I.19), где R1 означает Y-1A, R означает NCN, и R2 означает цикло-C3H5.

Таблица 584. Соединения формулы (I.19), где R1 означает Y-2A, R означает NCN, и R2 означает цикло-C3H5.

Таблица 585. Соединения формулы (I.19), где R1 означает Y-5A, R означает NCN, и R2 означает цикло-С3Н5.

Таблица 586. Соединения формулы (I.19), где R1 означает Y-6A, R означает NCN, и R2 означает цикло-C3H5.

Таблица 587. Соединения формулы (I.19); где R1 означает Y-7A, R означает NCN, и R2 означает цикло-С3Н5.

Таблица 588. Соединения формулы (I.20), где R1 означает Y-1A, R означает NH, и R2 означает Н.

Таблица 589. Соединения формулы (I.20), где R1 означает Y-2A, R означает NH, и R2 означает Н.

Таблица 590. Соединения формулы (I.20), где R1 означает Y-5A, R означает NH, и R2 означает Н.

Таблица 591. Соединения формулы (I.20), где R1 означает Y-6A, R означает NH, и R2 означает Н.

Таблица 592. Соединения формулы (I.20), где R1 означает Y-7A, R означает NH, и R2 означает Н.

Таблица 593. Соединения формулы (I.20), где R1 означает Y-1A, R означает NH, и R2 означает СН3.

Таблица 594. Соединения формулы (I.20), где R1 означает Y-2A, R означает NH, и R2 означает СН3.

Таблица 595. Соединения формулы (I.20), где R1 означает Y-5A, R означает NH, и R2 означает СН3.

Таблица 596. Соединения формулы (I.20), где R1 означает Y-6A, R означает NH, и R2 означает СН3.

Таблица 597. Соединения формулы (I.20), где R1 означает Y-7A, R означает NH, и R2 означает СН3.

Таблица 598. Соединения формулы (I.20), где R1 означает Y-1A, R означает NH, и R2 означает цикло-С3Н5.

Таблица 599. Соединения формулы (I.20), где R1 означает Y-2A, R означает NH, и R2 означает цикло-C3H5.

Таблица 600. Соединения формулы (I.20), где R1 означает Y-5A, R означает NH, и R2 означает цикло-C3H5.

Таблица 601. Соединения формулы (I.20), где R1 означает Y-6A, R означает NH, и R2 означает цикло-С3Н5.

Таблица 602. Соединения формулы (I.20), где R1 означает Y-7A, R означает NH, и R2 означает цикло-С3Н5.

Таблица 603. Соединения формулы (I.20), где R1 означает Y-1A, R означает NCH3, и R2 означает Н.

Таблица 604. Соединения формулы (I.20), где R1 означает Y-2A, R означает NCH3, и R2 означает Н.

Таблица 605. Соединения формулы (I.20), где R1 означает Y-5A, R означает NCH3, и R2 означает Н.

Таблица 606. Соединения формулы (I.20), где R1 означает Y-6A, R означает NCH3, и R2 означает Н.

Таблица 607. Соединения формулы (I.20), где R1 означает Y-7A, R означает NCH3, и R2 означает Н.

Таблица 608. Соединения формулы (I.20), где R1 означает Y-1A, R означает NCH3, и R2 означает СН3.

Таблица 609. Соединения формулы (I.20), где R1 означает Y-2A, R означает NCH3, и R2 означает СН3.

Таблица 610. Соединения формулы (I.20), где R1 означает Y-5A, R означает NCH3, и R2 означает СН3.

Таблица 611. Соединения формулы (I.20), где R1 означает Y-6A, R означает NCH3, и R2 означает СН3.

Таблица 612. Соединения формулы (I.20), где R1 означает Y-7A, R означает NCH3, и R2 означает СН3.

Таблица 613. Соединения формулы (I.20), где R1 означает Y-1A, R означает NCH3, и R2 означает цикло-С3Н5.

Таблица 614. Соединения формулы (I.20), где R1 означает Y-2A, R означает NCH3, и R7 означает цикло-С3Н5.

Таблица 615. Соединения формулы (I.20), где R1 означает Y-5A, R означает NCH3, и R2 означает цикло-C3H5.

Таблица 616. Соединения формулы (I.20), где R1 означает Y-6A, R означает NCH3, и R2 означает цикло-С3Н5.

Таблица 617. Соединения формулы (I.20), где R1 означает Y-7A, R означает NCH3, и R2 означает цикло-C3H5.

Таблица 618. Соединения формулы (I.20), где R1 означает Y-1A, R означает NCN, и R2 означает Н.

Таблица 619. Соединения формулы (I.20), где R1 означает Y-2A, R означает NCN, и R2 означает Н.

Таблица 620. Соединения формулы (I.20), где R1 означает Y-5A, R означает NCN, и R2 означает Н.

Таблица 621. Соединения формулы (I.20); где R1 означает Y-6A, R означает NCN, и R2 означает Н.

Таблица 622. Соединения формулы (I.20), где R1 означает Y-7A, R означает NCN, и R2 означает Н.

Таблица 623. Соединения формулы (I.20), где R1 означает Y-1A, R означает NCN, и R2 означает СН3.

Таблица 624. Соединения формулы (I.20), где R1 означает Y-2A, R означает NCN, и R2 означает СН3.

Таблица 625. Соединения формулы (I.20), где R1 означает Y-5A, R означает NCN, и R2 означает СН3.

Таблица 626. Соединения формулы (I.20), где R1 означает Y-6A, R означает NCN, и R2 означает СН3.

Таблица 627. Соединения формулы (I.20), где R1 означает Y-7A, R означает NCN, и R2 означает СН3.

Таблица 628. Соединения формулы (I.20), где R1 означает Y-1A, R означает NCN, и R2 означает цикло-C3H5.

Таблица 629. Соединения формулы (I.20), где R1 означает Y-2A, R означает NCN, и R2 означает цикло-C3H5.

Таблица 630. Соединения формулы (I.20), где R1 означает Y-5A, R означает NCN, и R2 означает цикло-C3H5.

Таблица 631. Соединения формулы (I.20), где R1 означает Y-6A, R означает NCN, и R2 означает цикло-C3H5.

Таблица 632. Соединения формулы (I.20), где R1 означает Y-7A, R означает NCN, и R2 означает цикло-C3H5.

Таблица 633. Соединения формулы (I.21), где R1 означает Y-1A, R означает NH, и R2 означает Н.

Таблица 634. Соединения формулы (I.21), где R1 означает Y-2A, R означает NH, и R2 означает Н.

Таблица 635. Соединения формулы (I.21), где R1 означает Y-5A, R означает NH, и R2 означает Н.

Таблица 636. Соединения формулы (I.21), где R1 означает Y-6A, R означает NH, и R2 означает Н.

Таблица 637. Соединения формулы (I.21), где R1 означает Y-7A, R означает NH, и R2 означает Н.

Таблица 638. Соединения формулы (I.21), где R1 означает Y-1A, R означает NH, и R2 означает СН3.

Таблица 639. Соединения формулы (I.21), где R1 означает Y-2A, R означает NH, и R2 означает СН3.

Таблица 640. Соединения формулы (I.21), где R1 означает Y-5A, R означает NH, и R2 означает СН3.

Таблица 641. Соединения формулы (I.21), где R1 означает Y-6A, R означает NH, и R2 означает СН3.

Таблица 642. Соединения формулы (I.21), где R1 означает Y-7A, R означает NH, и R2 означает СН3.

Таблица 643. Соединения формулы (I.21), где R1 означает Y-1A, R означает NH, и R2 означает цикло-С3Н5.

Таблица 644. Соединения формулы (I.21), где R1 означает Y-2A, R означает NH, и R2 означает цикло-С3Н5.

Таблица 645. Соединения формулы (I.21), где R1 означает Y-5A, R означает NH, и R2 означает цикло-C3H5.

Таблица 646. Соединения формулы (I.21), где R1 означает Y-6A, R означает NH, и R2 означает цикло-C3H5.

Таблица 647. Соединения формулы (I.21), где R1 означает Y-7A, R означает NH, и R2 означает цикло-С3Н5.

Таблица 648. Соединения формулы (I.21), где R1 означает Y-1A, R означает NCH3, и R2 означает Н.

Таблица 649. Соединения формулы (I.21), где R1 означает Y-2A, R означает NCH3, и R2 означает Н.

Таблица 650. Соединения формулы (I.21), где R1 означает Y-5A, R означает NCH3, и R2 означает Н.

Таблица 651. Соединения формулы (I.21), где R1 означает Y-6A, R означает NCH3, и R2 означает Н.

Таблица 652. Соединения формулы (I.21), где R1 означает Y-7A, R означает NCH3, и R2 означает Н.

Таблица 653. Соединения формулы (I.21), где R1 означает Y-1A, R означает NCH3, и R2 означает СН3.

Таблица 654. Соединения формулы (I.21), где R1 означает Y-2A, R означает NCH3, и R2 означает СН3.

Таблица 655. Соединения формулы (I.21), где R1 означает Y-5A, R означает NCH3, и R2 означает СН3.

Таблица 656. Соединения формулы (I.21), где R1 означает Y-6A, R означает NCH3, и R2 означает СН3.

Таблица 657. Соединения формулы (I.21), где R1 означает Y-7A, R означает NCH3, и R2 означает СН3.

Таблица 658. Соединения формулы (I.21), где R1 означает Y-1A, R означает NCH3, и R2 означает цикло-С3Н5.

Таблица 659. Соединения формулы (I.21), где R1 означает Y-2A, R означает NCH3, и R2 означает цикло-C3H5.

Таблица 660. Соединения формулы (I.21), где R1 означает Y-5A, R означает NCH3, и R2 означает цикло-С3Н5.

Таблица 661. Соединения формулы (I.21), где R1 означает Y-6A, R означает NCH3, и R2 означает цикло-C3H5.

Таблица 662. Соединения формулы (I.21), где R1 означает Y-7A, R означает NCH3, и R2 означает цикло-С3Н5.

Таблица 663. Соединения формулы (I.21), где R1 означает Y-1A, R означает NCN, и R2 означает Н.

Таблица 664. Соединения формулы (I.21), где R1 означает Y-2A, R означает NCN, и R2 означает Н.

Таблица 665. Соединения формулы (I.21), где R1 означает Y-5A, R означает NCN, и R2 означает Н.

Таблица 666. Соединения формулы (I.21), где R1 означает Y-6A, R означает NCN, и R2 означает Н.

Таблица 667. Соединения формулы (I.21), где R1 означает Y-7A, R означает NCN, и R2 означает Н.

Таблица 668. Соединения формулы (I.21), где R1 означает Y-1A, R означает NCN, и R2 означает СН3.

Таблица 669. Соединения формулы (I.21), где R1 означает Y-2A, R означает NCN, и R2 означает СН3.

Таблица 670. Соединения формулы (I.21), где R1 означает Y-5A, R означает NCN, и R2 означает СН3.

Таблица 671. Соединения формулы (I.21), где R1 означает Y-6A, R означает NCN, и R2 означает СН3.

Таблица 672. Соединения формулы (I.21); где R1 означает Y-7A, R означает NCN, и R2 означает СН3.

Таблица 673. Соединения формулы (I.21), где R1 означает Y-1A, R означает NCN, и R2 означает цикло-C3H5.

Таблица 674. Соединения формулы (I.21), где R1 означает Y-2A, R означает NCN, и R2 означает цикло-C3H5.

Таблица 675. Соединения формулы (I.21), где R1 означает Y-5A, R означает NCN, и R2 означает цикло-C3H5.

Таблица 676. Соединения формулы (I.21), где R1 означает Y-6A, R означает NCN, и R2 означает цикло-C3H5.

Таблица 677. Соединения формулы (I.21), где R1 означает Y-7A, R означает NCN, и R2 означает цикло-C3H5.

Таблица 678. Соединения формулы (I.22), где R1 означает Y-1A, R означает NH, и R2 означает Н.

Таблица 679. Соединения формулы (I.22), где R1 означает Y-2A, R означает NH, и R2 означает Н.

Таблица 680. Соединения формулы (I.22), где R1 означает Y-5A, R означает NH, и R2 означает Н.

Таблица 681. Соединения формулы (I.22), где R1 означает Y-6A, R означает NH, и R2 означает Н.

Таблица 682. Соединения формулы (I.22), где R1 означает Y-7A, R означает NH, и R2 означает Н.

Таблица 683. Соединения формулы (I.22), где R1 означает Y-1A, R означает NH, и R2 означает СН3.

Таблица 684. Соединения формулы (I.22), где R1 означает Y-2A, R означает NH, и R2 означает СН3.

Таблица 685. Соединения формулы (I.22), где R1 означает Y-5A, R означает NH, и R2 означает СН3.

Таблица 686. Соединения формулы (I.22), где R1 означает Y-6A, R означает NH, и R2 означает СН3.

Таблица 687. Соединения формулы (I.22), где R1 означает Y-7A, R означает NH, и R2 означает СН3.

Таблица 688. Соединения формулы (I.22), где R1 означает Y-1A, R означает NH, и R2 означает цикло-C3H5.

Таблица 689. Соединения формулы (I.22); где R1 означает Y-2A, R означает NH, и R2 означает цикло-C3H5.

Таблица 690. Соединения формулы (I.22), где R1 означает Y-5A, R означает NH, и R2 означает цикло-C3H5.

Таблица 691. Соединения формулы (I.22), где R1 означает Y-6A, R означает NH, и R2 означает цикло-C3H5.

Таблица 692. Соединения формулы (I.22), где R1 означает Y-7A, R означает NH, и R2 означает цикло-C3H5.

Таблица 693. Соединения формулы (I.22), где R1 означает Y-1A, R означает NCH3, и R2 означает Н.

Таблица 694. Соединения формулы (I.22), где R1 означает Y-2A, R означает NCH3, и R2 означает Н.

Таблица 695. Соединения формулы (I.22), где R1 означает Y-5A, R означает NCH3, и R2 означает Н.

Таблица 696. Соединения формулы (I.22), где R1 означает Y-6A, R означает NCH3, и R2 означает Н.

Таблица 697. Соединения формулы (I.22), где R1 означает Y-7A, R означает NCH3, и R2 означает Н.

Таблица 698. Соединения формулы (I.22), где R1 означает Y-1A, R означает NCH3, и R2 означает СН3.

Таблица 699. Соединения формулы (I.22), где R1 означает Y-2A, R означает NCH3, и R2 означает СН3.

Таблица 700. Соединения формулы (I.22), где R1 означает Y-5A, R означает NCH3, и R2 означает СН3.

Таблица 701. Соединения формулы (I.22), где R1 означает Y-6A, R означает NCH3, и R2 означает СН3.

Таблица 702. Соединения формулы (I.22), где R1 означает Y-7A, R означает NCH3, и R2 означает СН3.

Таблица 703. Соединения формулы (I.22), где R1 означает Y-1A, R означает NCH3, и R2 означает цикло-С3Н5.

Таблица 704. Соединения формулы (I.22), где R1 означает Y-2A, R означает NCH3, и R2 означает цикло-C3H5.

Таблица 705. Соединения формулы (I.22), где R1 означает Y-5A, R означает NCH3, и R2 означает цикло-C3H5.

Таблица 706. Соединения формулы (I.22); где R1 означает Y-6A, R означает NCH3, и R2 означает цикло-C3H5.

Таблица 707. Соединения формулы (I.22), где R1 означает Y-7A, R означает NCH3, и R2 означает цикло-C3H5.

Таблица 708. Соединения формулы (I.22), где R1 означает Y-1A, R означает NCN, и R2 означает Н.

Таблица 709. Соединения формулы (I.22), где R1 означает Y-2A, R означает NCN, и R2 означает Н.

Таблица 710. Соединения формулы (I.22), где R1 означает Y-5A, R означает NCN, и R2 означает Н.

Таблица 711. Соединения формулы (I.22), где R1 означает Y-6A, R означает NCN, и R2 означает Н.

Таблица 712. Соединения формулы (I.22), где R1 означает Y-7A, R означает NCN, и R2 означает Н.

Таблица 713. Соединения формулы (I.22), где R1 означает Y-1A, R означает NCN, и R2 означает СН3.

Таблица 714. Соединения формулы (I.22), где R1 означает Y-2A, R означает NCN, и R2 означает СН3.

Таблица 715. Соединения формулы (I.22), где R1 означает Y-5A, R означает NCN, и R2 означает СН3.

Таблица 716. Соединения формулы (I.22), где R1 означает Y-6A, R означает NCN, и R2 означает СН3.

Таблица 717. Соединения формулы (I.22), где R1 означает Y-7A, R означает NCN, и R2 означает СН3.

Таблица 718. Соединения формулы (I.22), где R1 означает Y-1A, R означает NCN, и R2 означает цикло-C3H5.

Таблица 719. Соединения формулы (I.22), где R1 означает Y-2A, R означает NCN, и R2 означает цикло-C3H5.

Таблица 720. Соединения формулы (I.22), где R1 означает Y-5A, R означает NCN, и R2 означает цикло-C3H5.

Таблица 721. Соединения формулы (I.22), где R1 означает Y-6A, R означает NCN, и R2 означает цикло-С3Н5.

Таблица 722. Соединения формулы (I.22), где R1 означает Y-7A, R означает NCN, и R2 означает цикло-C3H5.

Таблица 723. Соединения формулы (I.23); где R1 означает Y-1A, R означает NH, и R2 означает Н.

Таблица 724. Соединения формулы (I.23), где R1 означает Y-2A, R означает NH, и R2 означает Н.

Таблица 725. Соединения формулы (I.23), где R1 означает Y-5A, R означает NH, и R2 означает Н.

Таблица 726. Соединения формулы (I.23), где R1 означает Y-6A, R означает NH, и R2 означает Н.

Таблица 727. Соединения формулы (I.23), где R1 означает Y-7A, R означает NH, и R2 означает Н.

Таблица 728. Соединения формулы (I.23), где R1 означает Y-1A, R означает NH, и R2 означает СН3.

Таблица 729. Соединения формулы (I.23), где R1 означает Y-2A, R означает NH, и R2 означает СН3.

Таблица 730. Соединения формулы (I.23), где R1 означает Y-5A, R означает NH, и R2 означает СН3.

Таблица 731. Соединения формулы (I.23), где R1 означает Y-6A, R означает NH, и R2 означает СН3.

Таблица 732. Соединения формулы (I.23), где R1 означает Y-7A, R означает NH, и R2 означает СН3.

Таблица 733. Соединения формулы (I.23), где R1 означает Y-1A, R означает NH, и R2 означает цикло-C3H5.

Таблица 734. Соединения формулы (I.23), где R1 означает Y-2A, R означает NH, и R2 означает цикло-C3H5.

Таблица 735. Соединения формулы (I.23), где R1 означает Y-5A, R означает NH, и R2 означает цикло-С3Н5.

Таблица 736. Соединения формулы (I.23), где R1 означает Y-6A, R означает NH, и R2 означает цикло-C3H5.

Таблица 737. Соединения формулы (I.23), где R1 означает Y-7A, R означает NH, и R2 означает цикло-C3H5.

Таблица 738. Соединения формулы (I.23), где R1 означает Y-1A, R означает NCH3, и R2 означает Н.

Таблица 739. Соединения формулы (I.23), где R1 означает Y-2A, R означает NCH3, и R2 означает Н.

Таблица 740. Соединения формулы (I.23), где R1 означает Y-5A, R означает NCH3, и R2 означает Н.

Таблица 741. Соединения формулы (I.23), где R1 означает Y-6A, R означает NCH3, и R2 означает Н.

Таблица 742. Соединения формулы (I.23), где R1 означает Y-7A, R означает NCH3, и R2 означает Н.

Таблица 743. Соединения формулы (I.23), где R1 означает Y-1A, R означает NCH3, и R2 означает СН3.

Таблица 744. Соединения формулы (I.23), где R1 означает Y-2A, R означает NCH3, и R2 означает СН3.

Таблица 745. Соединения формулы (I.23), где R1 означает Y-5A, R означает NCH3, и R2 означает СН3.

Таблица 746. Соединения формулы (I.23), где R1 означает Y-6A, R означает NCH3, и R2 означает СН3.

Таблица 747. Соединения формулы (I.23), где R1 означает Y-7A, R означает NCH3, и R2 означает СН3.

Таблица 748. Соединения формулы (I.23), где R1 означает Y-1A, R означает NCH3, и R2 означает цикло-C3H5.

Таблица 749. Соединения формулы (I.23), где R1 означает Y-2A, R означает NCH3, и R2 означает цикло-С3Н5.

Таблица 750. Соединения формулы (I.23), где R1 означает Y-5A, R означает NCH3, и R2 означает цикло-С3Н5.

Таблица 751. Соединения формулы (I.23), где R1 означает Y-6A, R означает NCH3, и R2 означает цикло-C3H5.

Таблица 752. Соединения формулы (I.23), где R1 означает Y-7A, R означает NCH3, и R2 означает цикло-С3Н5.

Таблица 753. Соединения формулы (I.23), где R1 означает Y-1A, R означает NCN, и R2 означает Н.

Таблица 754. Соединения формулы (I.23), где R1 означает Y-2A, R означает NCN, и R2 означает Н.

Таблица 755. Соединения формулы (I.23), где R1 означает Y-5A, R означает NCN, и R2 означает Н.

Таблица 756. Соединения формулы (I.23), где R1 означает Y-6A, R означает NCN, и R2 означает Н.

Таблица 757. Соединения формулы (I.23); где R1 означает Y-7A, R означает NCN, и R2 означает Н.

Таблица 758. Соединения формулы (I.23), где R1 означает Y-1A, R означает NCN, и R2 означает СН3.

Таблица 759. Соединения формулы (I.23), где R1 означает Y-2A, R означает NCN, и R2 означает СН3.

Таблица 760. Соединения формулы (I.23), где R1 означает Y-5A, R означает NCN, и R2 означает СН3.

Таблица 761. Соединения формулы (I.23), где R1 означает Y-6A, R означает NCN, и R2 означает СН3.

Таблица 762. Соединения формулы (I.23), где R1 означает Y-7A, R означает NCN, и R2 означает СН3.

Таблица 763. Соединения формулы (I.23), где R1 означает Y-1A, R означает NCN, и R2 означает цикло-C3H5.

Таблица 764. Соединения формулы (I.23), где R1 означает Y-2A, R означает NCN, и R2 означает цикло-C3H5.

Таблица 765. Соединения формулы (I.23), где R1 означает Y-5A, R означает NCN, и R2 означает цикло-C3H3.

Таблица 766. Соединения формулы (I.23), где R1 означает Y-6A, R означает NCN, и R2 означает цикло-C3H5.

Таблица 767. Соединения формулы (I.23), где R1 означает Y-7A, R означает NCN, и R2 означает цикло-C3H5.

Таблица 768. Соединения формулы (I.24), где R1 означает Y-1A, R означает NH, и R2 означает Н.

Таблица 769. Соединения формулы (I.24), где R1 означает Y-2A, R означает NH, и R2 означает Н.

Таблица 770. Соединения формулы (I.24), где R1 означает Y-5A, R означает NH, и R2 означает Н.

Таблица 771. Соединения формулы (I.24), где R1 означает Y-6A, R означает NH, и R2 означает Н.

Таблица 772. Соединения формулы (I.24), где R1 означает Y-7A, R означает NH, и R2 означает Н.

Таблица 773. Соединения формулы (I.24), где R1 означает Y-1A, R означает NH, и R2 означает СН3.

Таблица 774. Соединения формулы (I.24); где R1 означает Y-2A, R означает NH, и R2 означает СН3.

Таблица 775. Соединения формулы (I.24), где R1 означает Y-5A, R означает NH, и R2 означает СН3.

Таблица 776. Соединения формулы (I.24), где R1 означает Y-6A, R означает NH, и R2 означает СН3.

Таблица 777. Соединения формулы (I.24), где R1 означает Y-7A, R означает NH, и R2 означает СН3.

Таблица 778. Соединения формулы (I.24), где R1 означает Y-1A, R означает NH, и R2 означает цикло-C3H5.

Таблица 779. Соединения формулы (I.24), где R1 означает Y-2A, R означает NH, и R2 означает цикло-С3Н5.

Таблица 780. Соединения формулы (I.24), где R1 означает Y-5A, R означает NH, и R2 означает цикло-С3Н5.

Таблица 781. Соединения формулы (I.24), где R1 означает Y-6A, R означает NH, и R2 означает цикло-C3H5.

Таблица 782. Соединения формулы (I.24), где R1 означает Y-7A, R означает NH, и R2 означает цикло-C3H5.

Таблица 783. Соединения формулы (I.24), где R1 означает Y-1A, R означает NCH3, и R2 означает Н.

Таблица 784. Соединения формулы (I.24), где R1 означает Y-2A, R означает NCH3, и R2 означает Н.

Таблица 785. Соединения формулы (I.24), где R1 означает Y-5A, R означает NCH3, и R2 означает Н.

Таблица 786. Соединения формулы (I.24), где R1 означает Y-6A, R означает NCH3, и R2 означает Н.

Таблица 787. Соединения формулы (I.24), где R1 означает Y-7A, R означает NCH3, и R2 означает Н.

Таблица 788. Соединения формулы (I.24), где R1 означает Y-1A, R означает NCH3, и R2 означает СН3.

Таблица 789. Соединения формулы (I.24), где R1 означает Y-2A, R означает NCH3, и R2 означает СН3.

Таблица 790. Соединения формулы (I.24), где R1 означает Y-5A, R означает NCH3, и R2 означает СН3.

Таблица 791. Соединения формулы (I.24), где R1 означает Y-6A, R означает NCH3, и R2 означает СН3.

Таблица 792. Соединения формулы (I.24), где R1 означает Y-7A, R означает NCH3, и R2 означает СН3.

Таблица 793. Соединения формулы (I.24), где R1 означает Y-1A, R означает NCH3, и R2 означает цикло-С3Н5.

Таблица 794. Соединения формулы (I.24), где R1 означает Y-2A, R означает NCH3, и R2 означает цикло-С3Н5.

Таблица 795. Соединения формулы (I.24), где R1 означает Y-5A, R означает NCH3, и R2 означает цикло-C3H5.

Таблица 796. Соединения формулы (I.24), где R1 означает Y-6A, R означает NCH3, и R2 означает цикло-С3Н5.

Таблица 797. Соединения формулы (I.24), где R1 означает Y-7A, R означает NCH3, и R2 означает цикло-C3H5.

Таблица 798. Соединения формулы (I.24), где R1 означает Y-1A, R означает NCN, и R2 означает Н.

Таблица 799. Соединения формулы (I.24), где R1 означает Y-2A, R означает NCN, и R2 означает Н.

Таблица 800. Соединения формулы (I.24), где R1 означает Y-5A, R означает NCN, и R2 означает Н.

Таблица 801. Соединения формулы (I.24), где R1 означает Y-6A, R означает NCN, и R2 означает Н.

Таблица 802. Соединения формулы (I.24), где R1 означает Y-7A, R означает NCN, и R2 означает Н.

Таблица 803. Соединения формулы (I.24), где R1 означает Y-1A, R означает NCN, и R2 означает СН3.

Таблица 804. Соединения формулы (I.24), где R1 означает Y-2A, R означает NCN, и R2 означает СН3.

Таблица 805. Соединения формулы (I.24), где R1 означает Y-5A, R означает NCN, и R2 означает СН3.

Таблица 806. Соединения формулы (I.24), где R1 означает Y-6A, R означает NCN, и R2 означает СН3.

Таблица 807. Соединения формулы (I.24), где R1 означает Y-7A, R означает NCN, и R2 означает СН3.

Таблица 808. Соединения формулы (I.24); где R1 означает Y-1A, R означает NCN, и R2 означает цикло-С3Н5.

Таблица 809. Соединения формулы (I.24), где R1 означает Y-2A, R означает NCN, и R2 означает цикло-C3H5.

Таблица 810. Соединения формулы (I.24), где R1 означает Y-5A, R означает NCN, и R2 означает цикло-C3H5.

Таблица 811. Соединения формулы (I.24), где R1 означает Y-6A, R означает NCN, и R2 означает цикло-C3H5.

Таблица 812. Соединения формулы (I.24), где R1 означает Y-7A, R означает NCN, и R2 означает цикло-С3Н5.

Также более предпочтительными являются соединения, раскрытые в Таблице 813 - Таблице 54404, которые подобны соединениям Таблицы 1 - Таблицы 812, содержащим другую группу Ar.

Таблица 813 - Таблица 1624: Включают все соединения, как раскрыто в Таблице 1 - Таблице 812, соответственно, где Ar1 заменена на Ar2;

Таблица 1625 - Таблица 2436: Включают все соединения, как раскрыто в Таблице 1 - Таблице 812, соответственно, где Ar1 заменена на Ar3;

Таблица 2437 - Таблица 3248: Включают все соединения, как раскрыто в Таблице 1 - Таблице 812, соответственно, где Ar1 заменена на Ar4;

Таблица 3249 - Таблица 4060: Включают все соединения, как раскрыто в Таблице 1 - Таблице 812, соответственно, где Ar1 заменена на Ar5;

Таблица 4061 - Таблица 4872: Включают все соединения, как раскрыто в Таблице 1 - Таблице 812, соответственно, где Ar1 заменена на Ar6;

Таблица 4873 - Таблица 5684: Включают все соединения, как раскрыто в Таблице 1 - Таблице 812, соответственно, где Ar1 заменена на Ar7;

Таблица 5685 - Таблица 6496: Включают все соединения, как раскрыто в Таблице 1 - Таблице 812, соответственно, где Ar1 заменена на Ar8;

Таблица 6497 - Таблица 7308: Включают все соединения, как раскрыто в Таблице 1 - Таблице 812, соответственно, где Ar1 заменена на Ar9;

Таблица 7309 - Таблица 8120: Включают все соединения, как раскрыто в Таблице 1 - Таблице 812, соответственно, где Ar1 заменена на Ar10;

Таблица 8121 - Таблица 8932: Включают все соединения, как раскрыто в Таблице 1 - Таблице 812, соответственно, где Ar1 заменена на Ar11;

Таблица 8933 - Таблица 9744: Включают все соединения, как раскрыто в Таблице 1 - Таблице 812, соответственно, где Ar1 заменена на Ar12;

Таблица 9745 - Таблица 10556: Включают все соединения, как раскрыто в Таблице 1 - Таблице 812, соответственно, где Ar1 заменена на Ar13;

Таблица 10557 - Таблица 11368: Включают все соединения, как раскрыто в Таблице 1 - Таблице 812, соответственно, где Ar1 заменена на Ar14;

Таблица 11369 - Таблица 12180: Включают все соединения, как раскрыто в Таблице 1 - Таблице 812, соответственно, где Ar1 заменена на Ar15;

Таблица 12181 - Таблица 12992: Включают все соединения, как раскрыто в Таблице 1 - Таблице 812, соответственно, где Ar1 заменена на Ar16;

Таблица 12993 - Таблица 13804: Включают все соединения, как раскрыто в Таблице 1 - Таблице 812, соответственно, где Ar1 заменена на Ar17;

Таблица 13805 - Таблица 14616: Включают все соединения, как раскрыто в Таблице 1 - Таблице 812, соответственно, где Ar1 заменена на Ar18;

Таблица 14617 - Таблица 15428: Включают все соединения, как раскрыто в Таблице 1 - Таблице 812, соответственно, где Ar1 заменена на Ar19;

Таблица 15429 - Таблица 16240: Включают все соединения, как раскрыто в Таблице 1 - Таблице 812, соответственно, где Ar1 заменена на Ar20;

Таблица 16241 - Таблица 17052: Включают все соединения, как раскрыто в Таблице 1 - Таблице 812, соответственно, где Ar1 заменена на Ar21;

Таблица 17053 - Таблица 17864: Включают все соединения, как раскрыто в Таблице 1 - Таблице 812, соответственно, где Ar1 заменена на Ar22;

Таблица 17865 - Таблица 18676: Включают все соединения, как раскрыто в Таблице 1 - Таблице 812, соответственно, где Ar1 заменена на Ar23;

Таблица 18677 - Таблица 19488: Включают все соединения, как раскрыто в Таблице 1 - Таблице 812, соответственно, где Ar1 заменена на Ar24;

Таблица 19489 - Таблица 20300: Включают все соединения, как раскрыто в Таблице 1 - Таблице 812, соответственно, где Ar1 заменена на Ar25;

Таблица 20301 - Таблица 21112: Включают все соединения, как раскрыто в Таблице 1 - Таблице 812, соответственно, где Ar1 заменена на Ar26;

Таблица 21113 - Таблица 21924: Включают все соединения, как раскрыто в Таблице 1 - Таблице 812, соответственно, где Ar1 заменена на Ar27;

Таблица 21925 - Таблица 22736: Включают все соединения, как раскрыто в Таблице 1 - Таблице 812, соответственно, где Ar1 заменена на Ar28;

Таблица 22737 - Таблица 23548: Включают все соединения, как раскрыто в Таблице 1 - Таблице 812, соответственно, где Ar1 заменена на Ar29;

Таблица 23549 - Таблица 24360: Включают все соединения, как раскрыто в Таблице 1 - Таблице 812, соответственно, где Ar1 заменена на Ar30;

Таблица 24361 - Таблица 25172: Включают все соединения, как раскрыто в Таблице 1 - Таблице 812, соответственно, где Ar1 заменена на Ar31;

Таблица 25173 - Таблица 25984: Включают все соединения, как раскрыто в Таблице 1 - Таблице 812, соответственно, где Ar1 заменена на Ar32;

Таблица 25985 - Таблица 26796: Включают все соединения, как раскрыто в Таблице 1 - Таблице 812, соответственно, где Ar1 заменена на Ar33;

Таблица 26797 - Таблица 27608: Включают все соединения, как раскрыто в Таблице 1 - Таблице 812, соответственно, где Ar1 заменена на Ar34;

Таблица 27609 - Таблица 28420: Включают все соединения, как раскрыто в Таблице 1 - Таблице 812, соответственно, где Ar1 заменена на Ar45;

Таблица 28421 - Таблица 29232: Включают все соединения, как раскрыто в Таблице 1 - Таблице 812, соответственно, где Ar1 заменена на Ar36;

Таблица 29233 - Таблица 30044: Включают все соединения, как раскрыто в Таблице 1 - Таблице 812, соответственно, где Ar1 заменена на Ar37;

Таблица 30045 - Таблица 30856: Включают все соединения, как раскрыто в Таблице 1 - Таблице 812, соответственно, где Ar1 заменена на Ar38;

Таблица 30857 - Таблица 31668: Включают все соединения, как раскрыто в Таблице 1 - Таблице 812, соответственно, где Ar1 заменена на Ar39;

Таблица 31669 - Таблица 32480: Включают все соединения, как раскрыто в Таблице 1 - Таблице 812, соответственно, где Ar1 заменена на Ar40;

Таблица 32481 - Таблица 33292: Включают все соединения, как раскрыто в Таблице 1 - Таблице 812, соответственно, где Ar1 заменена на Ar41;

Таблица 33293 - Таблица 34104: Включают все соединения, как раскрыто в Таблице 1 - Таблице 812, соответственно, где Ar1 заменена на Ar42;

Таблица 34105 - Таблица 34916: Включают все соединения, как раскрыто в Таблице 1 - Таблице 812, соответственно, где Ar1 заменена на Ar43;

Таблица 34917 - Таблица 35728: Включают все соединения, как раскрыто в Таблице 1 - Таблице 812, соответственно, где Ar1 заменена на Ar44;

Таблица 35729 - Таблица 36540: Включают все соединения, как раскрыто в Таблице 1 - Таблице 812, соответственно, где Ar1 заменена на Ar45;

Таблица 36541 - Таблица 37352: Включают все соединения, как раскрыто в Таблице 1 - Таблице 812, соответственно, где Ar1 заменена на Ar46;

Таблица 37353 - Таблица 38164: Включают все соединения, как раскрыто в Таблице 1 - Таблице 812, соответственно, где Ar1 заменена на Ar47;

Таблица 38165 - Таблица 38976: Включают все соединения, как раскрыто в Таблице 1 - Таблице 812, соответственно, где Ar1 заменена на Ar48;

Таблица 38977 - Таблица 39788: Включают все соединения, как раскрыто в Таблице 1 - Таблице 812, соответственно, где Ar1 заменена на Ar49;

Таблица 39789 - Таблица 40600: Включают все соединения, как раскрыто в Таблице 1 - Таблице 812, соответственно, где Ar1 заменена на Ar50;

Таблица 40601 - Таблица 41412: Включают все соединения, как раскрыто в Таблице 1 - Таблице 812, соответственно, где Ar1 заменена на Ar51;

Таблица 41413 - Таблица 42224: Включают все соединения, как раскрыто в Таблице 1 - Таблице 812, соответственно, где Ar1 заменена на Ar52;

Таблица 42225 - Таблица 43036: Включают все соединения, как раскрыто в Таблице 1 - Таблице 812, соответственно, где Ar1 заменена на Ar53;

Таблица 43037 - Таблица 43848: Включают все соединения, как раскрыто в Таблице 1 - Таблице 812, соответственно, где Ar1 заменена на Ar54;

Таблица 43849 - Таблица 44660: Включают все соединения, как раскрыто в Таблице 1 - Таблице 812, соответственно, где Ar1 заменена на Ar55;

Таблица 44661 - Таблица 45472: Включают все соединения, как раскрыто в Таблице 1 - Таблице 812, соответственно, где Ar1 заменена на Ar56;

Таблица 45473 - Таблица 46284: Включают все соединения, как раскрыто в Таблице 1 - Таблице 812, соответственно, где Ar1 заменена на Ar57;

Таблица 46285 - Таблица 47096: Включают все соединения, как раскрыто в Таблице 1 - Таблице 812, соответственно, где Ar1 заменена на Ar58;

Таблица 47097 - Таблица 47908: Включают все соединения, как раскрыто в Таблице 1 - Таблице 812, соответственно, где Ar1 заменена на Ar59;

Таблица 47909 - Таблица 48720: Включают все соединения, как раскрыто в Таблице 1 - Таблице 812, соответственно, где Ar1 заменена на Ar60;

Таблица 48721 - Таблица 49532: Включают все соединения, как раскрыто в Таблице 1 - Таблице 812, соответственно, где Ar1 заменена на Ar61;

Таблица 49533 - Таблица 50344: Включают все соединения, как раскрыто в Таблице 1 - Таблице 812, соответственно, где Ar1 заменена на Ar62;

Таблица 50345 - Таблица 51156: Включают все соединения, как раскрыто в Таблице 1 - Таблице 812, соответственно, где Ar1 заменена на Ar63;

Таблица 51157 - Таблица 51968: Включают все соединения, как раскрыто в Таблице 1 - Таблице 812, соответственно, где Ar1 заменена на Ar64;

Таблица 51968 - Таблица 52780: Включают все соединения, как раскрыто в Таблице 1 - Таблице 812, соответственно, где Ar1 заменена на Ar65;

Таблица 52781 - Таблица 53592: Включают все соединения, как раскрыто в Таблице 1 - Таблице 812, соответственно, где Ar1 заменена на Ar66;

Таблица 53593- Таблица 54404: Включают все соединения, как раскрыто в Таблице 1 - Таблице 812, соответственно, где Ar1 заменена на Ar67.

В контексте данной заявки, термин "соединение(-я) настоящего изобретения" или "соединение(-я) в соответствии с изобретением" относится к соединению(-ям) формулы (I) согласно вышеприведенному определению, которое(-ые) также упоминается(-ются) под названием "соединение(-я) формулы (I)" или "соединение(-я) (I)" или "соединение(-я) согласно формулы (I)", и включает его (их) соли, таутомеры, стереоизомеры и N-оксиды.

Настоящее изобретение также относится к смеси по меньшей мере одного соединения настоящего изобретения с по меньшей мере одним компонентом для смешивания в соответствии с определением в настоящей заявке. Предпочтительными являются двухкомпонентные смеси одного соединения настоящего изобретения в качестве компонента I с одним компонентом для смешивания в соответствии с определением, приведенным в настоящей заявке, в качестве компонента II. Предпочтительные массовые соотношения для таких двухкомпонентных смесей находятся в диапазоне от 5000:1 до 1:5000, предпочтительно от 1000:1 до 1:1000, более предпочтительно от 100:1 до 1:100, в частности, от 10:1 до 1:10. В таких двухкомпонентных смесях, компоненты I и II можно использовать в равных количествах, либо можно использовать избыток компонента I или избыток компонента II.

Компоненты для смешивания можно выбрать из пестицидов, в частности, инсектицидов, нематоцидов и акарицидов, фунгицидов, гербицидов, регуляторов роста растений, удобрений. Предпочтительными компонентами для смешивания являются инсектициды, нематоциды и фунгициды.

Следующий перечень Μ пестицидов, сгруппированных и пронумерованных в соответствии с классификацией по механизму действия, разработанной Комитетом по предупреждению устойчивости к действию инсектицидов (IRAC), вместе с которыми можно применять соединения настоящего изобретения и с которыми могут возникать потенциальные синергетические эффекты, предназначен для иллюстрации возможных комбинаций, но не ограничивает их каким-либо образом:

М.1 Ингибиторы ацетилхолинэстеразы (AChE): М.1А карбаматы, например, алдикарб, аланикарб, бендиокарб, бенфуракарб, бутокарбоксим, бутоксикарбоксим, карбарил, карбофуран, карбосульфан, этиофенкарб, фенобукарб, форметанат, фуратиокарб, изопрокарб, метиокарб, метомил, метолкарб, оксамил, пиримикарб, пропоксур, тиодикарб, тиофанокс, триметакарб, ХМС, ксилилкарб и триазамат, или М.1 В фосфорорганические соединения, например, ацефат, азаметифос, азинфос-этил, азинфос-метил, кадусафос, хлорэтоксифос, хлорфенвинфос, хлормефос, хлорпирифос, хлорпирифос-метил, коумафос, цианофос, деметон-S-метил, диазинон, дихлорвос/DDVP, дикротофос, диметоат, диметилвинфос, дисульфотон, EPN, этион, этопрофос, фамфур, фенамифос, фенитротион, фентион, фостиазат, гептенофос, имициафос, изофенфос, изопропил О-(метоксиаминотиофосфорил)салицилат, изоксатион, малатион, мекарбам, метамидофос, метидатион, мевинфос, монокротофос, налед, ометоат, оксидеметон-метил, паратион, паратион-метил, фентоат, форат, фосалон, фосмет, фосфамидон, фоксим, пиримифос-метил, профенофос, пропетамфос, протиофос, пираклофос, пиридафентион, хиналфос, сульфотеп, тебупиримфос, темефос, тербуфос, тетрахлорвинфос, тиометон, триазофос, трихлорфон и вамидотион;

М.2. Антагонисты ГАМК-регулируемых хлоридных каналов: М.2А циклодиен-хлорорганические соединения, например, эндосульфан или хлордан, или М.2 В фипролы (фенилпиразолы), например, этипрол, фипронил, флуфипрол, пирафлупрол и пирипрол;

М.3 Модуляторы натриевых каналов из класса М.3А пиретроидов, например, акринатрин, аллетрин, d-цис-транс аллетрин, d-транс аллетрин, бифентрин, каппа-бифентрин, биоаллетрин, биоаллетрин S-циклопентенил, биоресметрин, циклопротрин, цифлутрин, бета-цифлутрин, цигалотрин, лямбда-цигалотрин, гамма-цигалотрин, циперметрин, альфа-циперметрин, бета-циперметрин, тета-циперметрин, зета-циперметрин, цифенотрин, дельтаметрин, эмпентрин, эсфенвалерат, этофенпрокс, фенпропатрин, фенвалерат, флуцитринат, флуметрин, тау-флувалинат, галфенпрокс, гептафлутрин, имипротрин, меперфлутрин, метофлутрин, момфлуоротрин, эпсилон-момфлуоротрин, перметрин, фенотрин, праллетрин, профлутрин, пиретрин (пиретрум), ресметрин, силафлуофен, тефлутрин, каппа-тефлутрин, тетраметилфлутрин, тетраметрин, тралометрин и трансфлутрин, или М.3 В модуляторов натриевых каналов, таких как DDT или метоксихлор;

М.4 Агонисты никотиновых ацетилхолиновых рецепторов (nAChR): М.4А неоникотиноиды, например, ацетамиприд, клотианидин, циклоксаприд, динотефуран, имидаклоприд, нитенпирам, тиаклоприд и тиаметоксам, или соединения М.4А.1 4,5-дигидро-N-нитро-1-(2-оксиранилметил)-1Н-имидазол-2-амин, М.4А.2: (2Е-)-1-[(6-хлорпиридин-3-ил)метил]-N'-нитро-2-пентилиденгидразинкарбоксимидамид, или М4.А.3: 1-[(6-хлорпиридин-3-ил)метил]-7-метил-8-нитро-5-пропокси- 1,2,3,5,6,7-гексагидроимидазо[1,2-а]пиридин, или М.4 В никотин, М.4С сульфоксафлор, M.4D флупирадифурон, М.4Е трифлумезопирим, М.4Е.1а) (3R)-3-(2-хлортиазол-5-ил)-8-метил-5-оксо-6-фенил-2,3-дигидротиазоло[3,2-а]пиримидин-8-ий-7-олат, М.4Е.1b) (3S)-3-(6-хлор-3-пиридил)-8-метил-5-оксо-6-фенил-2,3-дигидротиазоло[3,2-а]пиримидин-8-ий-7-олат, М.4Е.1с) (3S)-8-метил-5-оксо-6-фенил-3-пиримидин-5-ил-2,3-дигидротиазоло[3,2-а]пиримидин-8-ий-7-олат, М.4Е.1d) (3R)-3-(2-хлортиазол-5-ил)-8-метил-5-оксо-6-[3-(трифторметил)фенил]-2,3-дигидротиазоло[3,2-а]пиримидин-8-ий-7-олат, М.4Е. 1е) (3R)-3-(2-хлортиазол-5-ил)-6-(3,5-дихлорфенил)-8-метил-5-оксо-2,3-дигидротиазоло[3,2-а]пиримидин-8-ий-7-олат, М.4Е.1f) (3R)-3-(2-хлортиазол-5-ил)-8-этил-5-оксо-6-фенил-2,3-дигидротиазоло[3,2-а]пиримидин-8-ий-7-олат;

Μ.5 Аллостерические активаторы никотиновых ацетилхолиновых рецепторов: спиносины, например, спиносад или спинеторам;

М.6 Активаторы хлоридных каналов из класса авермектинов и мильбемицинов, например, абамектин, бензоат эмамектина, ивермектин, лепимектин или мильбемектин;

М.7 Имитаторы ювенильных гормонов, такие как М.7А аналоги ювенильных гормонов, такие как гидропрен, кинопрен и метопрен, или М.7В феноксикарб, или М.7С пирипроксифен;

М.8 Различные неспецифические ингибиторы (с многосторонним действием), например, М.8А алкилгалогениды, такие как метилбромид и другие алкилгалогениды, М.8В хлорпикрин, М.8С сульфурилфторид, M.8D бура, или М.8Е антимонил-тартрат калия;

М.9 Модуляторы TRPV канала хордотонального органа, например, М.9В пиметрозин, пирифлухиназон;

М.10 Ингибиторы роста клещей, например, М.10А клофентезин, гекситиазокс и дифловидазин, или М.10В этоксазол;

М.11 Микробные разрушители мембран средней кишки насекомых, например, bacillus thuringiensis или bacillus sphaericus, и инсектицидные белки, которые они вырабатывают, такие как bacillus thuringiensis подвиды israelensis, bacillus sphaericus, bacillus thuringiensis подвиды aizawai, bacillus thuringiensis подвиды kurstaki и bacillus thuringiensis подвиды tenebrionis, или Bt белки растительных культур: Cry1Ab, Cry1Ac, Cry1Fa, Cry2Ab, mCry3A, Cry3Ab, Cry3 Bb и Cry34/35Ab1;

Μ. 12 Ингибиторы митохондриальной АТФ-синтазы, например, М.12А диафентиурон, или М.12В оловоорганические майтициды, такие как азоциклотин, цигексатин или фенбутатин-оксид, М.12С пропаргит или M.12D тетрадифон;

М.13 Разобщители окислительного фосфорилирования, которые разрушают протонный градиент, например, хлорфенапир, DNOC или сульфурамид;

Μ. 14 Блокаторы каналов никотиновых ацетилхолиновых рецепторов (nAChR), например, аналоги нереистоксина, например, бенсультап, картап-гидрохлорид, тиоциклам или тиосультап-натрий;

М.15 Ингибиторы биосинтеза хитина типа 0, такие как бензоилмочевины, например, бистрифлурон, хлорфлуазурон, дифлубензурон, флуциклоксурон, флуфеноксурон, гексафлумурон, луфенурон, новалурон, новифлумурон, тефлубензурон или трифлумурон;

М.16 Ингибиторы биосинтеза хитина типа 1, например, бупрофезин;

М.17 Соединения, нарушающие процесс линьки двукрылых, например, циромазин;

М.18 Агонисты экдизоновых рецепторов, такие как диацилгидразины, например, метоксифенозид, тебуфенозид, галофенозид, фуфенозид или хромафенозид;

М.19 Агонисты октопаминовых рецепторов, например, амитраз;

М.20 Ингибиторы переноса электронов через митохондриальный комплекс III, например, М.20А гидраметилнон, М.20В ацехиноцил, М.20С флуакрипирим, или M.20D бифеназат;

М.21 Ингибиторы переноса электронов через митохондриальный комплекс I, например, М.21А METI акарициды и инсектициды, такие как феназаквин, фенпироксимат, пиримидифен, пиридабен, тебуфенпирад или толфенпирад, или М.21В ротенон;

М.22 Блокаторы потенциалзависимых натриевых каналов, например, М.22А индоксакарб, М.22В метафлумизон или М.22В.1: 2-[2-(4-цианофенил)-1-[3-(трифторметил)фенил]этилиден]-N-[4-(дифторметокси)фенил]-гидразинкарбоксамид, или М.22В.2: N-(3-хлор-2-метилфенил)-2-[(4-хлорфенил) [4-[метил(метилсульфонил)амино]фенил] метилен]-гидразинкарбоксамид;

М.23 Ингибиторы ацетил-КоА карбоксилазы, такие как производные тетроновой и тетрамовой кислот, например, спиродиклофен, спиромезифен или спиротетрамат, М.23.1 спиропидион;

М.24 Ингибиторы переноса электронов через митохондриальный комплекс IV, например, М.24А фосфины, такие как фосфид алюминия, фосфид кальция, фосфин или фосфид цинка, или М.24В цианид;

Μ.25 Ингибиторы переноса электронов через митохондриальный комплекс II, такие как бета-кетонитрильные производные, например, циенопирафен или цифлуметофен;

М.28 Модуляторы рецепторов рианодина из класса диамидов, например, флубендиамид, хлорантранилипрол, циантранилипрол, тетранилипрол, М.28.1: (R)-3-хлор-N1-{2-метил-4-[1,2,2,2-тетрафтор-1-(трифторметил)этил]фенил}-Ν2-(1-метил-2-метилсульфонилэтил)фталамид, М.28.2: (S)-3-хлор-N1-{2-метил-4-[1,2,2,2-тетрафтор-1-(трифторметил)этил]фенил}-М2-(1-метил-2-метилсульфонилэтил)фталамид, М.28.3: цикланилипрол или М.28.4: метил-2-[3,5-дибром-2-({[3-бром-1-(3-хлорпиридин-2-ил)-1Н-пиразол-5-ил]карбонил}-амино)бензоил]-1,2-диметилгидразинкарбоксилат, Μ.28.5i) N-[2-(5-амино-1,3,4-тиадиазол-2-ил)-4-хлор-6-метилфенил]-3-бром-1-(3-хлор-2-пиридинил)-1Н-пиразол-5-карбоксамид, M.28.5j) 3-хлор-1-(3-хлор-2-пиридинил)-N-[2,4-дихлор-6-[[(1-циано-1-метилэтил)амино]карбонил]фенил]-1Н-пиразол-5-карбоксамид, М.28.5k) тетрахлорантранилипрол, М.28.51) N-[4-хлор-2-[[(1,1-диметилэтил)амино]карбонил]-6-метилфенил]-1-(3-хлор-2-пиридинил)-3-(фторметокси)-1Н-пиразол-5-карбоксамид; или

М.28.6: цигалодиамид; или

М.29: Модуляторы хордотонального органа - неопределенный сайт-мишень, например, флоникамид;

M.UN. Инсектицидные активные соединения с неизвестным или неопределенным механизмом действия, например, афидопиропен, афоксоланер, азадирахтин, амидофлумет, бензоксимат, брофланилид, бромпропилат, хинометионат, криолит, дихлоромезотиаз, дикофол, флуфенерим, флометоквин, флуенсульфон, флугексафон, флуопирам, флураланер, метальдегид, метоксадиазон, пиперонил бутоксид, пифлубумид, пиридалил, тиоксазафен, M.UN.3: 11-(4-хлор-2,6-диметилфенил)-12-гидрокси-1,4-диокса-9-азадиспиро[4.2.4.2]-тетрадец-11-ен-10-он;

M.UN.4: 3-(4'-фтор-2,4-диметилбифенил-3-ил)-4-гидрокси-8-окса-1-азаспиро[4.5]дец-3-ен-2-он;

M.UN.5: 1-[2-фтор-4-метил-5-[(2,2,2-трифторэтил)сульфинил]фенил]-3-(трифторметил)-1Н-1,2,4-триазол-5-амин, или активные вещества на основе bacillus firmus (Votivo, 1-1582);

M.UN.6: флупиримин;

Μ.UN.8: флуазаиндолизин; Μ.UN.9.а): 4-[5-(3,5-дихлорфенил)-5-(трифторметил)-4H-изоксаол-3-ил]-2-метил-N-(1-оксотетан-3-ил)бензамид, M.UN.9.b): флуксаметамид; Μ.UN.10: 5-[3-[2,6-дихлор-4-(3,3-дихлораллилокси)фенокси]пропокси]- 1Н-пиразол;

M.UN.11.i) 4-циано-N-[2-циано-5-[[2,6-дибром-4-[1,2,2,3,3,3-гексафтор-1-(трифторметил)пропил]фенил]карбамоил]фенил]-2-метилбензамид, M.UN.11.j) 4-циано-3-[(4-циано-2-метилбензоил)амино]-N-[2,6-дихлор-4-[1,2,2,3,3,3-гексафтор-1-(трифторметил)пропил]фенил]-2-фторбензамид, M.UN.11.k) N-[5-[[2-хлор-6-циано-4-[1,2,2,3,3,3-гексафтор-1-(трифторметил)пропил]фенил]карбамоил]-2-цианофенил]-4-циано-2-метилбензамид, M.UN. 11.1) N-[5-[[2-бром-6-хлор-4-[2,2,2-трифтор-1-гидрокси-1-(трифторметил)этил]фенил]карбамоил]-2-цианофенил]-4-циано-2-метилбензамид, M.UN.11.m) N-[5-[[2-бром-6-хлор-4-[1,2,2,3,3,3-гексафтор-1-(трифторметил)пропил]фенил]карбамоил]-2-цианофенил]-4-циано-2-метилбензамид, M.UN.11n) 4-циано-N-[2-циано-5-[[2,6-дихлор-4-[1,2,2,3,3,3-гексафтор-1-(трифторметил)пропил]фенил] карбамоил]фенил]-2-метилбензамид, M.UN.11.о) 4-циано-N-[2-циано-5-[[2,6-дихлор-4-[1,2,2,2-тетрафтор-1-(трифторметил)этил]фенил]карбамоил]фенил]-2-метилбензамид, M.UN.11.p) N-[5-[[2-бром-6-хлор-4-[1,2,2,2-тетрафтор-1-(трифторметил)этил]фенил]карбамоил]-2-цианофенил]-4-циано-2-метилбензамид; или

M.UN. 12.а) 2-(1,3-диоксан-2-ил)-6-[2-(3-пиридинил)-5-тиазолил]-пиридин, M.UN. 12.b) 2-[6-[2-(5-фтор-3-пиридинил)-5-тиазолил]-2-пиридинил]-пиримидин, M.UN.12.с) 2-[6-[2-(3-пиридинил)-5-тиазолил]-2-пиридинил]-пиримидин, M.UN.12.d) N-метилсульфонил-6-[2-(3-пиридил)тиазол-5-ил]пиридин-2-карбоксамид, M.UN.12.е) N-метилсульфонил-6-[2-(3-пиридил)тиазол-5-ил]пиридин-2-карбоксамид;

M.UN.14а) 1-[(6-хлор-3-пиридинил)метил]-1,2,3,5,6,7-гексагидро-5-метокси-7-метил-8-нитроимидазо[1,2-а]пиридин или M.UN.14b) 1-[(6-хлорпиридин-3-ил)метил]-7-метил-8-нитро-1,2,3,5,6,7-гексагидроимидазо[1,2-а]пиридин-5-ол;

M.UN. 16а) 1-изопропил-N-5-диметил-N-пиридазин-4-илпиразол-4-карбоксамид или M.UN.16b) 1-(1,2-диметилпропил)-N-этил-5-метил-N-пиридазин-4-илпиразол-4-карбоксамид, M.UN. 16 с) N,5-диметил-N-пиридазин-4-ил-1-(2,2,2-трифтор-1-метилэтил)пиразол-4-карбоксамид, Μ.UN. 16d) 1-[1-(1-цианоциклопропил)этил]-Н-этил-5-метил-К-пиридазин-4-илпиразол-4-карбоксамид, Μ.UN.16e) N-этил-1-(2-фтор-1-метилпропил)-5-метил-М-пиридазин-4-илпиразол-4-карбоксамид, Μ.UN.16f) 1-(1,2-диметилпропил)-N-5-диметил-N-пиридазин-4-илпиразол-4-карбоксамид, Μ.UN.16g) 1-[1-(1-цианоциклопропил)этил]-N,5-диметил-N-пиридазин-4-илпиразол-4-карбоксамид, Μ.UN. 16h) N-метил-1-(2-фтор-1-метилпропил]-5-метил-N-пиридазин-4-илпиразол-4-карбоксамид, M.UN.16i) 1-(4,4-дифторциклогексил)-N-этил-5-метил-N-пиридазин-4-илпиразол-4-карбоксамид или M.UN.16J) 1-(4,4-дифторциклогексил)-N,5-диметил-N-пиридазин-4-илпиразол-4-карбоксамид,

M.UN. 17a) N-(1-метилэтил)-2-(3-пиридинил)-2Н-индазол-4-карбоксамид; M.UN. 17b) N-циклопропил-2-(3-пиридинил)-2H-индазол-4-карбоксамид, M.UN.17c) N-циклогексил-2-(3-пиридинил)-2Н-индазол-4-карбоксамид, M.UN.17d) 2-(3-пиридинил) N-(2,2,2-трифторэтил)-2Н-индазол-4-карбоксамид, M.UN.17e) 2-(3-пиридинил)N--[(тетрагидро-2-фуранил)метил]-2Н-индазол-5-карбоксамид, M.UN.17f) метил 2-[[2-(3-пиридинил)-2Н-индазол-5-ил]карбонил]гидразинкарбоксилат, M.UN.17g) N-[(2,2-дифторциклопропил)метил]-2-(3-пиридинил)-2Н-индазол-5-карбоксамид, M.UN. 17h) N-(2,2-дифторпропил)-2-(3-пиридинил)-2H-индазол-5-карбоксамид, M.UN. 17i) 2-(3-пиридинил)-N-(2-пиримидинилметил)-2Н-индазол-5-карбоксамид, M.UN. 17j) N-[(5-метил-2-пиразинил)метил]-2-(3-пиридинил)-2Н-индазол-5-карбоксамид;

M.UN. 18. тиклопиразофлор;

M.UN. 19 сароланер;

M.UN.20 лотиланер;

M.UN. 21 N-[4-хлор-3-[[(фенилметил)амино]карбонил]фенил]-1-метил-3-(1,1,2,2,2-пентафторэтил)-4-(трифторметил)-1 Η-пиразол-5-карбоксамид;

M.UN.22а 2-(3-этилсульфонил-2-пиридил)-3-метил-6-(трифторметил)имидазо[4,5-Ь]пиридин или M.UN.22b 2-[3-этилсульфонил-5-(трифторметил)-2-пиридил]-3-метил-6-(трифторметил)имидазо[4,5-b]пиридин;

M.UN.23 изоциклосерам;

M.UN.24а) N-[4-хлор-3-(циклопропилкарбамоил)фенил]-2-метил-5-(1,1,2,2,2-пентафторэтил)-4-(трифторметил)пиразол-3-карбоксамид или M.UN.24b) N-[4-хлор-3-[(1-цианоциклопропил)карбамоил]фенил]-2-метил-5-(1,1,2,2,2-пентафторэтил)-4-(трифторметил)пиразол-3-карбоксамид; Μ.UN.25 ацинонапир; Μ.UN.26 бензпиримоксан; Μ.UN.27 тиголанер; Μ.UN.28 оксазосульфил;

M.UN.29a) [(2S,3R,4R,5S,6S)-3,5-диметокси-6-метил-4-пропокситетрагидропиран-2-ил] N-[4-[1-[4-(трифторметокси)фенил]-1,2,4-триазол-3-ил]фенил]карбамат; Μ.UN.29b) [(2S,3R,4R,5S,6S)-3,4,5-триметокси-6-метилтетрагидропиран-2-ил]-N-[4-[l-[4-(трифторметокси)фенил]-1,2,4-триазол-3-ил]фенил]карбамат; Μ.UN.29с) [(2S,3R,4R,5S,6S)-3,5-диметокси-6-метил-4-пропокситетрагидропиран-2-ил]-N-[4-[l-[4-(1,1,2,2,2-пентафторэтокси)фенил]-1,2,4-триазол-3-ил]фенил]карбамат, M.UN.29d) [(2S,3R,4R,5S,6S)-3,4,5-триметокси-6-метилтетрагидропиран-2-ил] N-[4-[1-[4-(1,1,2,2,2-пентафторэтокси)фенил]-1,2,4-триазол-3-ил]фенил]карбамат, Μ.UN.29.е) (2Z)-3-(2-изопропилфенил)-2-[(Е)-[4-[1-[4-(трифторметокси)фенил]-1,2,4-триазол-3-ил]фенил]метиленгидразоно]тиазолидин-4-он или M.UN.29f) (2Z)-3-(2-изопропилфенил)-2-[(Е)-[4-[1-[4-(1,1,2,2,2-пентафторэтокси)фенил]-1,2,4-триазол-3-ил] фенил] метиленгидразоно]тиазолидин-4-он;

М.UN.30а) 2-(6-хлор-3-этилсульфонилимидазо[1,2-а]пиридин-2-ил)-3-метил-6-(трифторметил)имидазо[4,5-b]пиридин, M.UN.30b) 2-(6-бром-3-этилсульфонилимидазо[1,2-а]пиридин-2-ил)-3-метил-6-(трифторметил)имидазо[4,5-b]пиридин, М.UN.30с) 2-(3-этилсульфонил-6-йодимидазо[1,2-а]пиридин-2-ил)-3-метил-6-(трифторметил)имидазо[4,5-b]пиридин, M.UN.30d) 2-[3-этилсульфонил-6-(трифторметил)имидазо[1,2-а]пиридин-2-ил]-3-метил-6-(трифторметил)имидазо[4,5-b]пиридин, M.UN.30e) 2-(7-хлор-3-этилсульфонилимидазо[1,2-а]пиридин-2-ил)-3-метил-6-(трифторметил)имидазо[4,5-b]пиридин, M.UN.30f) 2-(3-этилсульфонил-7-йодимидазо[1,2-а]пиридин-2-ил)-3-метил-6-(трифторметил)имидазо[4,5-Ь]пиридин, M.UN.30g) 3-этилсульфонил-6-йод-2-[3-метил-6-(трифторметил)имидазо[4,5-Ь]пиридин-2-ил]имидазо[1,2-а]пиридин-8-карбонитрил, M.UN.30h) 2-[3-этилсульфонил-8-фтор-6-(трифторметил)имидазо[1,2-а]пиридин-2-ил]-3-метил-6-(трифторметил)имидазо[4,5-Ь]пиридин, M.UN.30i) 2-[3-этилсульфонил-7-(трифторметил)имидазо[1,2-а]пиридин-2-ил]-3-метил-6-(трифторметилсульфинил)имидазо[4,5-b]пиридин, M.UN.30j) 2-[3-этилсульфонил-7-(трифторметил)имидазо[1,2-а]пиридин-2-ил]-3-метил-6-(трифторметил)имидазо[4,5-с]пиридин, M.UN.30k) 2-(6-бром-3-этилсульфонилимидазо[1,2-а]пиридин-2-ил)-6-(трифторметил)пиразоло[4,3-с]пиридин.

Перечисленные выше коммерчески доступные соединения из группы Μ можно найти, среди других публикаций, в The Pesticide Manual, 17-е изд., С.MacBean, British Crop Protection Council (2015). Онлайн-источник Pesticide Manual регулярно обновляется и доступен по адресу http://bcpcdata.com/pesticide-manual.html.

Еще одной онлайновой базой данных пестицидов, обеспечивающей тривиальные названия согласно ISO, является http://www.alanwood.net/pesticides.

М.4 циклоксаприд известен из WO 2010/069266 и WO 2011/069456. М.4А.1 известен из CN 103814937; CN 105367557, CN 105481839. М.4А.2, гуадипир, известен из WO 2013/003977, и М.4А.3 (утвержден как пайчонгдинг в Китае) известен из WO 2007/101369. М.4Е.1а) - М.4E.1t) известны из WO2018177970. М.22 В.1 описан в CN 10171577 и М.22 В.2 описан в CN 102126994. Спиропидион М.23.1 известен из WO 2014/191271. М.28.1 и М.28.2 известны из WO 2007/101540. М.28.3 описан в WO 2005/077934. М.28.4 описан в WO 2007/043677. М.28.5а) - M.28.5d) и M.28.5h) описаны в WO 2007/006670, WO 2013/024009 и WO 2013/024010, Μ.28.5i) описан в WO 2011/085575, M.28.5j) описан в WO 2008/134969, М.28.5k) описан в US 2011/046186 и М.28.51) описан в WO 2012/034403. М.28.6 можно найти в WO 2012/034472. M.UN.3 известен из WO 2006/089633 и M.UN.4 известен из WO 2008/067911. M.UN.5 описан в WO 2006/043635, и средства биологической борьбы на основе bacillus firmus описаны в WO 2009/124707. Флупиримин описан в WO 2012/029672. M.UN.8 известен из WO 2013/055584. M.UN.9.a) описан в WO 2013/050317. M.UN.9.b) описан в WO 2014/126208. M.UN. 10 известен из WO 2010/060379. Брофланилид и M.UN.11.b) - M.UN.11.h) описаны в WO 2010/018714, и M.UN.11i) - M.UN.11.p) описаны в WO 2010/127926. M.UN. 12.а) - M.UN. 12.с) известны из WO 2010/006713, M.UN. 12.d) и M.UN.12.e) известны из WO 2012/000896. M.UN. 14а) и M.UN.14b) известны из WO 2007/101369. M.UN.16.a) - M.UN.16h) описаны в WO 2010/034737, WO 2012/084670 и WO 2012/143317, соотв., и M.UN.16i) и M.UN.16j) описаны в WO 2015/055497. M.UN. 17а) - M.UN.17j) описаны в WO 2015/038503. M.UN.18 тиклопразофлор описан в US 2014/0213448. M.UN. 19 описан в WO 2014/036056. M.UN.20 известен из WO 2014/090918. M.UN.21 известен из ЕР 2910126. M.UN.22a и M.UN.22b известны из WO 2015/059039 и WO 2015/190316. M.UN.23a и M.UN.23b известны из WO 2013/050302. M.UN.24а) и M.UN.24b) известны из WO 2012/126766. Ацинонапир M.UN.25 известен из WO 2011/105506. Бензпиримоксан M.UN.26 известен из WO 2016/104516. M.UN.27 известен из WO 2016/174049. M.UN.28 оксазосульфил известен из WO 2017/104592. M.UN.29а) - M.UN.29f) известны из WO 2009/102736 или WO 2013116053. M.UN.30 известен из WO 2013/050302. M.UN.30a) - M.UN.30k) известны из WO 2018/052136.

Следующий перечень фунгицидов, в сочетании с которыми можно применять соединения настоящего изобретения, предназначен для иллюстрации возможных комбинаций, но не ограничивает их:

А) Ингибиторы дыхания

- Ингибиторы комплекса III в Qo сайте: азоксистробин (А. 1.1), куметоксистробин (А. 1.2), кумоксистробин (А. 1.3), димоксистробин (А. 1.4), энестробурин (А. 1.5), фенаминстробин (А. 1.6), феноксистробин/флуфеноксистробин (А.1.7), флуоксастробин (А. 1.8), крезоксим-метил (А.1.9), мандестробин (А.1.10), метоминостробин (А. 1.11), оризастробин (А.1.12), пикоксистробин (А.1.13), пираклостробин (А.1.14), пираметостробин (А.1.15), пираоксистробин (А.1.16), трифлоксистробин (А.1.17), 2-(2-(3-(2,6-дихлорфенил)-1-метилаллилиденаминооксиметил)-фенил)-2-метоксиимино-N-метилацетамид (А.1.18), пирибенкарб (А.1.19), триклопирикарб/хлординкарб (А.1.20), фамоксадон (А.1.21), фенамидон (А.1.21), метил-N-[2-[(1,4-диметил-5-фенилпиразол-3-ил)оксилметил]фенил]-N-метоксикарбамат (АЛ.22), метилтетрапол (А. 1.25), (Ζ,2E)-5-[1-(2,4-дихлорфенил)пиразол-3-ил]-окси-2-метоксиимино-N,3-диметилпент-3-енамид (А.1.34), (Z,2E)-5-[1-(4-хлорфенил)пиразол-3-ил]окси-2-метоксиимино-N,3-диметилпент-3-енамид (А.1.35), пириминостробин (А.1.36), бифуджунджи (А.1.37), сложный метиловый эфир 2-(орто-((2,5-диметилфенилоксиметилен)фенил)-3-метоксиакриловой кислоты (А.1.38);

- ингибиторы комплекса III в Qi сайте: циазофамид (А.2.1), амисульбром (А.2.2), [(6S,7R,8R)-8-бензил-3-[(3-гидрокси-4-метоксипиридин-2-карбонил)амино]-6-метил-4,9-диоксо-1,5-диоксонан-7-ил] 2-метилпропаноат (Α.2.3), фенпикоксамид (Α.2.4), флорилпикоксамид (Α.2.5);

- ингибиторы комплекса II: беноданил (А.3.1), бензовиндифлупир (А.3.2), биксафен (А.3.3), боскалид (А.3.4), карбоксин (А.3.5), фенфурам (А.3.6), флуопирам (А.3.7), флутоланил (А.3.8), флуксапироксад (А.3.9), фураметпир (А.3.10), изофетамид (А.3.11), изопиразам (А.3.12), мепронил (А.3.13), оксикарбоксин (А.3.14), пенфлуфен (А.3.15), пентиопирад (А.3.16), пидифлуметофен (А.3.17), пиразифлумид (А.3.18), седаксан (А.3.19), теклофталам (А.3.20), тифлузамид (А.3.21), инпирфлуксам (А.3.22), пирапропоин (А.3.23), флуиндапир (А.3.28), N-[2-[2-хлор-4-(трифторметил)фенокси]фенил]-3-(дифторметил)-5-фтор-1-метилпиразол-4-карбоксамид (А.3.29), метил (E)-2-[2-[(5-циано-2-метилфенокси)метил]фенил]-3-метоксипроп-2-еноат (А.3.30), изофлуципрам (А.3.31), 2-(дифторметил)-N-(1,1,3-триметилиндан-4-ил)пиридин-3-карбоксамид (А.3.32), 2-(дифторметил)-N-[(3R)-1,1,3-триметилиндан-4-ил]пиридин-3-карбоксамид (А.3.33), 2-(дифторметил)-N-(3-этил-1,1-диметилиндан-4-ил)пиридин-3-карбоксамид (А.3.34), 2-(дифторметил)-N-[(3R)-3-этил-1,1-диметилиндан-4-ил]пиридин-3-карбоксамид (А.3.35), 2-(дифторметил)-N-(1,1-диметил-3-пропилиндан-4-ил)пиридин-3-карбоксамид (А.3.36), 2-(дифторметил)-N-[(3R)-1,1-диметил-3-пропилиндан-4-ил]пиридин-3-карбоксамид (А.3.37), 2-(дифторметил)-N-(3-изобутил-1,1-диметилиндан-4-ил)пиридин-3-карбоксамид (А.3.38), 2-(дифторметил)-N-[(3R)-3-изобутил-1,1-диметилиндан-4-ил]пиридин-3-карбоксамид (А.3.39);

- другие ингибиторы дыхания: дифлуметорим (А.4.1); нитрофенильные производные: бинапакрил (А.4.2), динобутон (А.4.3), динокап (А.4.4), флуазинам (А.4.5), мептилдинокап (А.4.6), феримзон (А.4.7); металлоорганические соединения: соли фентина, например, фентинацетат (А.4.8), фентинхлорид (А.4.9) или фентингидроксид (А.4.10); аметоктрадин (А.4.11); силтиофам (А.4.12);

В) Ингибиторы биосинтеза стерола (фунгициды ИБС)

- ингибиторы С14 деметилазы: триазолы: азаконазол (В.1.1), битертанол (В.1.2), бромуконазол (В.1.3), ципроконазол (В.1.4), дифеноконазол (В.1.5), диниконазол (В.1.6), диниконазол-М (В.1.7), эпоксиконазол (В.1.8), фенбуконазол (В.1.9), флуквинконазол (В.1.10), флузилазол (В.1.11), флутриафол (В.1.12), гексаконазол (В.1.13), имибенконазол (В.1.14), ипконазол (В.1.15), метконазол (В.1.17), миклобутанил (В.1.18), окспоконазол (В.1.19), паклобутразол (В.1.20), пенконазол (В.1.21), пропиконазол (В.1.22), протиоконазол (В.1.23), симеконазол (В.1.24), тебуконазол (В.1.25), тетраконазол (В.1.26), триадимефон (В.1.27), триадименол (В.1.28), тритиконазол (В.1.29), униконазол (В.1.30), 2-(2,4-дифторфенил)-1,1-дифтор-3-(тетразол-1-ил)-1-[5-[4-(2,2,2-трифторэтокси)фенил]-2-пиридил]пропан-2-ол (В.1.31), 2-(2,4-дифторфенил)-1,1-дифтор-3-(тетразол-1-ил)-1-[5-[4-(трифторметокси)фенил]-2-пиридил]пропан-2-ол (В.1.32), ипфентрифлуконазол (В.1.37), мефентрифлуконазол (В.1.38), 2-(хлорметил)-2-метил-5-(n-толилметил)- 1-(1,2,4-триазол-1-илметил)циклопентанол (В. 1.43); имидазолы: имазалил (В.1.44), пефуразоат (В.1.45), прохлораз (В.1.46), трифлумизол (В. 1.47); пиримидины, пиридины, пиперазины: фенаримол (В. 1.49), пирифенокс (В.1.50), трифорин (В.1.51), [3-(4-хлор-2-фторфенил)-5-(2,4-дифторфенил)изоксазол-4-ил]-(3-пиридил)метанол (В.1.52);

- ингибиторы дельта-14-редуктазы: алдиморф (В.2.1), додеморф (В.2.2), додеморф-ацетат (В.2.3), фенпропиморф (В.2.4), тридеморф (В.2.5), фенпропидин (В.2.6), пипералин (В.2.7), спироксамин (В.2.8);

- ингибиторы 3-кеторедуктазы: фенгексамид (В.3.1);

- другие ингибиторы биосинтеза стерола: хлорфеномизол (В.4.1);

C) Ингибиторы синтеза нуклеиновых кислот

- фунгициды - фениламиды или ациламинокислоты: беналаксил (С.1.1), беналаксил-М (С.1.2), киралаксил (С.1.3), металаксил (С.1.4), металаксил-М (С.1.5), офураце (С.1.6), оксадиксил (С.1.7);

- другие ингибиторы синтеза нуклеиновых кислот: гимексазол (С.2.1), октилинон (С.2.2), оксолиновая кислота (С.2.3), бупиримат (С.2.4), 5-фторцитозин (С.2.5), 5-фтор-2-(n-толилметокси)пиримидин-4-амин (С.2.6), 5-фтор-2-(4-фторфенилметокси)пиримидин-4-амин (С.2.7), 5-фтор-2-(4-хлорфенилметокси)пиримидин-4-амин (С.2.8);

D) Ингибиторы деления клеток и цитоскелета

- ингибиторы тубулина: беномил (D.1.1), карбендазим (D.1.2), фуберидазол (D1.3), тиабендазол (D.1.4), тиофанат-метил (D.1.5), пиридахлометил (D.1.6), N-этил-2-[(3-этинил-8-метил-6-хинолил)окси]бутанамид (D. 1.8), N-этил-2-[(3-этинил-8-метил-6-хинолил)окси]-2-метилсульфанилацетамид (D. 1.9), 2-[(3-этинил-8-метил-6-хинолил)окси]-N-(2-фторэтил)бутанамид (D.1.10), 2-[(3-этинил-8-метил-6-хинолил)окси]-N-(2-фторэтил)-2-метоксиацетамид (D..11), 2-[(3-этинил-8-метил-6-хинолил)окси]-N-пропилбутанамид (D.1.12), 2-[(3-этинил-8-метил-6-хинолил)окси]-2-метокси-N-пропилацетамид (D..13), 2-[(3-этинил-8-метил-6-хинолил)окси]-2-метилсульфанил-N-пропилацетамид (D.1.14), 2-[(3-этинил-8-метил-6-хинолил)окси]-N-(2-фторэтил)-2-метилсульфанилацетамид (D.1.15), 4-(2-бром-4-фторфенил)-N-(2-хлор-6-фторфенил)-2,5-диметилпиразол-3-амин (D.1.16);

- другие ингибиторы деления клеток: диэтофенкарб (D.2.1), этабоксам (D.2.2), пенцикурон (D.2.3), флуопиколид (D.2.4), зоксамид (D.2.5), метрафенон (D.2.6), пириофенон (D.2.7);

E) Ингибиторы синтеза аминокислот и белков

- ингибиторы синтеза метионина: ципродинил (Е.1.1), мепанипирим (Е.1.2), пириметанил (Е.1.3);

- ингибиторы синтеза белков: бластицидин-S (Е.2.1), казугамицин (Е.2.2), гидрат гидрохлорида казугамицина (Е.2.3), милдиомицин (Е.2.4), стрептомицин (Е.2.5), окситетрациклин (Е.2.6);

F) Ингибиторы сигнальной трансдукции

- ингибиторы МАР/гистидин-киназы: фторимид (F.1.1), ипродион (F.1.2), процимидон (F.1.3), винклозолин (F.1.4), флудиоксонил (F.1.5); ингибиторы G-белков: квиноксифен (F.2.1);

G) Ингибиторы липидного и мембранного синтеза ингибиторы биосинтеза фосфолипидов: эдифенфос (G. 1.1),

- ипробенфос (G.1.2), пиразофос (G.1.3), изопротиолан (G.1.4);

- ингибиторы перекисного окисления липидов: диклоран (G.2.1), квинтозен (G.2.2), текназен (G.2.3), толклофос-метил (G.2.4), бифенил (G.2.5), хлоронеб (G.2.6), этридиазол (G.2.7);

- ингибиторы биосинтеза фосфолипидов и отложения клеточной оболочки: диметоморф (G.3.1), флуморф (G.3.2), мандипропамид (G.3.3), пириморф (G.3.4), бентиаваликарб (G.3.5), ипроваликарб (G.3.6), валифеналат (G.3.7);

- соединения, оказывающие влияние на проницаемость клеточной мембраны и жирные кислоты: пропамокарб (G.4.1);

- ингибиторы оксистерол-связывающего белка: оксатиапипролин (G.5.1), флуоксапипролин (G.5.3), 4-[1-[2-[3-(дифторметил)-5-метилпиразол-1-ил]ацетил]-4-пиперидил]-N-тетралин-1-илпиридин-2-карбоксамид (G.5.4), 4-[1-[2-[3,5-бис(дифторметил)пиразол-1-ил]ацетил]-4-пиперидил]-N-тетралии-1-илпиридин-2-карбоксамид (G.5.5), 4-[1-[2-[3-(дифторметил)-5-(трифторметил)пиразол-1 -ил]ацетил] -4-пиперид ил]-N-тетралин-1-илпиридин-2-карбоксамид (G.5.6), 4-[1-[2-[5-циклопропил-3-(дифторметил)пиразол-1-ил]ацетил]-4-пиперидил]-N-тетралин-1-илпиридин-2-карбоксамид (G.5.7), 4-[1-[2-[5-метил-3-(трифторметил)пиразол-1-ил]ацетил]-4-пиперидил]-N-тетралии-1-илпиридин-2-карбоксамид (G.5.8), 4-[1-[2-[5-(дифторметил)-3-(трифтор-метил)пиразол-1-ил]ацетил] -4-пиперидил]-N-тетралин-1-илпиридин-2-карбоксамид (G.5.9), 4-[1-[2-[3,5-бис(трифторметил)пиразол-1-ил]ацетил]-4-пиперидил]-N-тетралин-1-илпиридин-2-карбоксамид (G.5.10), (4-[1-[2-[5-циклопропил-3-(трифторметил)пиразол-1-ил] ацетил]-4-пиперидил]-N-тетралин-1-илпиридин-2-карбоксамид (G.5.11);

H) Ингибиторы с многосторонним действием

- неорганические действующие вещества: бордосская смесь (Н. 1.1), медь (Н.1.2), ацетат меди (Н.1.3), гидроксид меди (Н.1.4), оксихлорид меди (Н.1.5), основный сульфат меди (Н.1.6), сера (Н.1.7);

- тио- и дитиокарбаматы: фербам (Н.2.1), манкозеб (Н.2.2), манеб (Н.2.3), метам (Н.2.4), метирам (Н.2.5), пропинеб (Н.2.6), тирам (Н.2.7), цинеб (Н.2.8), цирам (Н.2.9);

- хлорорганические соединения: анилазин (Н.3.1), хлороталонил (Н.3.2), каптафол (Н.3.3), каптан (Н.3.4), фолпет (Н.3.5), дихлофлуанид (Н.3.6), дихлорофен (Н.3.7), гексахлорбензол (Н.3.8), пентахлорфенол (Н.3.9) и его соли, фталид (Н.3.10), толилфлуанид (Н.3.11);

- гуанидины и другие: гуанидин (Н.4.1), додин (Н.4.2), додин -свободное основание (Н.4.3), гуазатин (Н.4.4), гуазатин-ацетат (Н.4.5), иминоктадин (Н.4.6), иминоктадин-триацетат (Н.4.7), иминоктадин-трис(албезилат) (Н.4.8), дитианон (Н.4.9), 2,6-диметил-1H,5H-[1,4]дитиино[2,3-с:5,6-с']дипиррол-1,3,5,7(2H,6H)-тетраон (H.4.10);

I) Ингибиторы синтеза клеточной оболочки

- ингибиторы синтеза глюкана: валидамицин (I.1.1), полиоксин В (I.1.2);

- ингибиторы синтеза меланина: пироквилон (I.2.1), трициклазол (I.2.2), карпропамид (I.2.3), дицикломет (I.2.4), феноксанил (I.2.5);

J) Индукторы защиты растений

- ацибензолар-S-метил (J.1.1), пробеназол (J.1.2), изотианил (J.1.3), тиадинил (J..4), прогексадион-кальций (J.1.5); фосфонаты: фосэтил (J.1.6), фосэтил-алюминий (J..7), фосфористая кислота и ее соли (J.1.8), фосфонат кальция (J.1.11), фосфонат калия (J.1.12), бикарбонат калия или натрия (J.1.9), 4-циклопропил-N-(2,4-диметоксифенил)тиадиазол-5-карбоксамид (J.1.10);

K) Неизвестный механизм действия

бронопол (K.1.1), хинометионат (K.1.2), цифлуфенамид (K.1.3), цимоксанил (K. 1.4), дазомет (K. 1.5), дебакарб (K. 1.6), диклоцимет (K. 1.7), дикломезин (K.1.8), дифензокват (K.1.9), дифензокват-метилсульфат (K.1.10), дифениламин (K.1.11), фенитропан (K.1.12), фенпиразамин (K.1.13), флуметовер (K.1.14), флусульфамид (K.1.15), флутианил (K.1.16), гарпин (K.1.17), метасульфокарб (K.1.18), нитрапирин (K..19), нитротал-изопропил (K.1.20), толпрокарб (K.1.21), оксин-медь (K.1.22), проквиназид (K.1.23), тебуфлоквин (K.1.24), теклофталам (K.1.25), триазоксид (K.1.26), N'-(4-(4-хлор-3-трифторметилфенокси)-2,5-диметилфенил)-N-этил-N-метил формамидин (K.1.27), N'-(4-(4-фтор-3-трифторметилфенокси)-2,5-диметилфенил)-N-этил-N-метил формамидин (K.1.28), N'-[4-[[3-[(4-хлорфенил)метил]-1,2,4-тиадиазол-5-ил]окси]-2,5-диметилфенил]-N-этил-N-метил формамидин (K.1.29), N'-(5-бром-6-индан-2-илокси-2-метил-3-пиридил)-N-этил-N-метил формамидин (K.1.30), N'-[5-бром-6-[1-(3,5-дифторфенил)этокси]-2-метил-3-пиридил]-N-этил-N-метил формамидин (K.1.31), N'-[5-бром-6-(4-изопропилциклогексокси)-2-метил-3-пиридил]-N-этил-N-метил формамидин (K.1.32), N'-[5-бром-2-метил-6-(1-фенилэтокси)-3-пиридил]-N-этил-N-метил формамидин (K.1.33), N'-(2-метил-5-трифторметил-4-(3-триметилсиланилпропокси)-фенил)-N-этил-N-метил формамидин (K.1.34), N'-(5-дифторметил-2-метил-4-(3-

триметилсиланилпропокси)-фенил)-N-этил-N-метил формамидин (K.1.35), 2-(4-хлорфенил)-N-[4-(3,4-диметоксифенил)-изоксазол-5-ил]-2-проп-2-инилоксиацетамид (K.1.36), 3-[5-(4-хлорфенил)-2,3-диметилизоксазолидин-3-ил]-пиридин (пиризоксазол) (K.1.37), 3-[5-(4-метилфенил)-2,3-диметилизоксазолидин-3-ил]-пиридин (K.1.38), 5-хлор-1-(4,6-диметоксипиримидин-2-ил)-2-метил-1H-бензоимидазол (K.1.39), этил (Z)-3-амино-2-циано-3-фенилпроп-2-еноат (K.1.40), пикарбутразокс (K.1.41), пентил N-[6-[[(Z)-[(1-метилтетразол-5-ил)-фенилметилен]амино]оксиметил]-2-пиридил]карбамат (K.1.42), бут-3-инил N-[6-[[(Z)-[(1-метилтетразол-5-ил) фенилметилен]амино]оксиметил]-2-пиридил]карбамат (K.1.43), ипфлуфеноквин (K.1.44), квинофумелин (K.1.47), 2-(6-бензил-2-пиридил)хиназолин (K.1.50), 2-[6-(3-фтор-4-метоксифенил)-5-метил-2-пиридил]хиназолин (K.1.51), дихлобентиазокс (K.1.52), N'-(2,5-диметил-4-феноксифенил)-N-этил-NN--метилформамидин (K.1.53), пирифенамин (K.1.54).

Фунгициды, описанные с помощью тривиальных названий, их получение и их активность, например, против вредных грибов, являются известными (см.: http://www.alanwood.net/pesticides/); эти вещества являются коммерчески доступными.

Активные вещества, рассматриваемые как компонент 2, их получение и их активность, например, против вредных грибов, являются известными (см.: http://www.alanwood.net/pesticides/); эти вещества являются коммерчески доступными. Соединения, описанные с помощью номенклатуры IUPAC, их получение и их пестицидная активность также являются известными (см. Can. J. Plant Sci. 48(6), 587-94, 1968; ЕР-А 141 317; ЕР-А 152 031; ЕР-А 226 917; ЕР-А 243 970; ЕР-А 256 503; ЕР-А 428 941; ЕР-А 532 022; ЕР-А 1 028 125; ЕР-А 1 035 122; ЕР-А 1 201 648; ЕР-А 1 122 244, JP 2002316902; DE 19650197; DE 10021412; DE 102005009458; US 3,296,272; US 3,325,503; WO 98/46608; WO 99/14187; WO 99/24413; WO 99/27783; WO 00/29404; WO 00/46148; WO 00/65913; WO 01/54501; WO 01/56358; WO 02/22583; WO 02/40431; WO 03/10149; WO 03/11853; WO 03/14103; WO 03/16286; WO 03/53145; WO 03/61388; WO 03/66609; WO 03/74491; WO 04/49804; WO 04/83193; WO 05/120234; WO 05/123689; WO 05/123690; WO 05/63721; WO 05/87772; WO 05/87773; WO 06/15866; WO 06/87325; WO 06/87343; WO 07/82098; WO 07/90624, WO 10/139271, WO 11/028657, WO 12/168188, WO 07/006670, WO 11/77514; WO 13/047749, WO 10/069882, WO 13/047441, WO 03/16303, WO 09/90181, WO 13/007767, WO 13/010862, WO 13/127704, WO 13/024009, WO 13/24010, WO 13/047441, WO 13/162072, WO 13/092224, WO 11/135833, CN 1907024, CN 1456054, CN 103387541, CN 1309897, WO 12/84812, CN 1907024, WO 09094442, WO 14/60177, WO 13/116251, WO 08/013622, WO 15/65922, WO 94/01546, EP 2865265, WO 07/129454, WO 12/165511, WO 11/081174, WO 13/47441). Некоторые соединения идентифицируют по их регистрационному номеру CAS, который разделен дефисами на три части, первая из которых состоит из двух-семи цифр, вторая - из двух цифр, и третья - из одной цифры.

Биопестициды

Пригодные компоненты для смешивания с соединениями настоящего изобретения также включают биопестициды.

Биопестициды были определены как форма пестицидов на основе микроорганизмов (бактерий, грибов, вирусов, нематод и т.д.) или природных продуктов (соединений, таких как метаболиты, белки или экстракты из биологических или других природных источников) (Управление охраны окружающей среды США: http://www.epa.gov/pesticides/biopesticides/). Биопестициды подразделяют на два основных класса, микробные и биохимические пестициды:

(1) Микробные пестициды состоят из бактерий, грибов или вирусов (и часто включают метаболиты, которые вырабатываются бактериями и грибами). Энтомопатогенные нематоды также классифицируют как микробные пестициды, несмотря на то что они являются многоклеточными.

(2) Биохимические пестициды представляют собой встречающиеся в природе вещества или вещества, близкие по структуре и функционально идентичные встречающимся в природе веществам, и экстракты из биологических источников, которые борются с вредителями или обеспечивают другие применения с целью защиты сельскохозяйственных культур согласно приведенному ниже определению, но обладают нетоксичным механизмом действия (такие как регуляторы роста или развития, аттрактанты, репелленты или активаторы защиты (например, индукторы устойчивости)) и являются относительно нетоксичными для млекопитающих.

Биопестициды для применения против заболеваний сельскохозяйственных культур уже зарекомендовали себя на ряде культур. Например, биопестициды уже играют важную роль в борьбе с болезнями ложной мучнистой росы. Их преимущества включают: 0-дневный интервал до сбора урожая, возможность применения при умеренной - тяжелой степени болезни, и возможность применения в смеси или в чередующейся программе с другими зарегистрированными пестицидами.

Основным направлением разработки биопестицидов является область обработки семян и улучшения почвы. Например, обработку биопестицидами семян применяют для борьбы с передающимися через почву патогенными грибами, которые вызывают гниль сеянцев, выпревание, корневую гниль и белую гниль всходов. Они также могут применяться для борьбы с патогенными грибами, которые передаются с семенами, находясь внутри их, а также патогенными грибами, которые находятся на поверхности семян. Многие биопестицидные продукты также демонстрируют способность стимулировать механизмы защиты растений-хозяев и другие физиологические процессы, которые могут сделать обработанные культуры более устойчивыми к различным условиям биотического и абиотического стресса или могут регулировать рост растений. Многие биопестицидные продукты также демонстрируют способность стимулировать жизнеспособность растений, рост растений и/или повышение урожайности.

Следующий перечень биопестицидов, в сочетании с которыми можно применять соединения настоящего изобретения, предназначен для иллюстрации возможных комбинаций, но не ограничивает их:

L) Биопестициды

L1) Микробные пестициды с фунгицидной, бактерицидной, вирулицидной и/или активирующей защиту растений активностью: Ampelomyces quisqualis, Aspergillus flavus, Aureobasidium pullulans, Bacillus altitudinis, B. amyloliquefaciens, B. amyloliquefaciens ssp.plantarum (также называемый В. velezensis), В. megaterium, В. mojavensis, В. mycoides, В. pumilus, В. simplex, В. solisalsi, В. subtilis, В. subtilis var. amyloliquefaciens, B. velezensis, Candida oleo-phila, C. saitoana, Clavibacter michiganensis (бактериофаги), Coniothyrium minitans, Cryphonectria parasitica, Cryptococcus albidus, Dilophosphora alopecuri, Fusarium oxysporum, Clonostachys rosea f. catenulate (также называемый Gliocladium catenulatum), Gliocladium roseum, Lysobacter antibioticus, L. enzymogenes, Metschnikowia fructicola, Microdochium dimerum, Microsphaeropsis ochracea, Muscodor albus, Paenibacillus alvei, Paenibacillus epiphyticus, P. polymyxa, Pantoea vagans, Penicillium bilaiae, Phlebiopsis gigantea, Pseudomonas sp., Pseudomonas chloraphis, Ρseudozyma flocculosa, Pichia anomala, Pythium oligandrum, Sphaerodes mycoparasitica, Streptomyces griseoviridis, S. lydicus, S. violaceusniger, Talaromyces flavus, Trichoderma asperelloides, T. asperellum, T. atroviride, T. fertile, T. gamsii, T. harmatum, T. harzianum, T. polysporum, T. stromaticum, T. virens, T. viride, Typhula phacorrhiza, Ulocladium oudemansii, Verticillium dahlia, вирус желтой мозаики цуккини (авирулентный штамм);

L2) Биохимические пестициды с фунгицидной, бактерицидной, вирулицидной и/или активирующей защиту растений активностью: белок гарпин, экстракт Reynoutria sachalinensis;

L3) Микробные пестициды с инсектицидной, акарицидной, моллюскоцидной и/или нематоцидной активностью: Agrobacterium radiobacter, Bacillus cereus, В. firmus, В. thuringiensis, В. thuringiensis ssp.aizawai, B. t. ssp.israelensis, B. t. ssp.galleriae, B. t. ssp.kurstaki, B. t. ssp.tenebrionis, Beauveria bassiana, B. brongniartii, Burkholderia spp., Chromobacterium subtsugae, Cydia pomonella грануловирус (CpGV), Cryptophlebia leucotreta грануловирус (CrleGV), Flavobacterium spp., Helicoverpa armigera вирус ядерного полиэдроза (HearNPV), Helicoverpa zea вирус ядерного полиэдроза (HzNPV), Helicoverpa zea отдельный капсид вируса ядерного полиэдроза (HzSNPV), Heterorhabditis bacteriophora, Isaria fumosorosea, Lecanicillium longisporum, L. muscarium, Metarhizium anisopliae, M. anisopliae var. anisopliae, M. anisopliae var. acridum, Nomuraea rileyi, Paecilomyces fumosoroseus, P. lilacinus, Paenibacillus popilliae, Pasteuria spp., P. nishizawae, P. penetrans, P. ramosa, P. thornea, P. usgae, Pseudomonas fluorescens, Spodoptera littoralis вирус ядерного полиэдроза (SpliNPV), Steinernema carpocapsae, S. feltiae, S. kraussei, Streptomyces galbus, S. microflavus;

L4) Биохимические пестициды с инсектицидной, акарицидной, моллюскоцидной, феромонной и/или нематоцидной активностью: L-карвон, цитраль, (E,Z)-7,9-додекадиен-1-ил ацетат, этилформиат, (E,Z)-2,4-этил декадиеноат (грушевый сложный эфир), (Ζ,Ζ,Ε)-7,11,13-гексадекатриеналь, гептилбутират, изопропилмиристат, лавандулил сенециоат, цис-жасмон, 2-метил-1-бутанол, метилэвгенол, метилжасмонат, (E',Z)-2,13-октадекадиен-1-ол, (E',Z)-2,13-октадекадиен-1-ол ацетат, (E,Z)-3,13-октадекадиен-1-ол, (R)-1-октен-3-ол, пентатерманон, (E,Ζ,Ζ)-3,8,11-тетрадекатриенил ацетат, (Ζ,Ε)-9,12-тетрадекадиен-1-ил ацетат, (Z)-7-тетрадецен-2-он, (Z)-9-тетрадецен-1-ил ацетат, (Ζ)-11-тетрадеценаль, (Z)-l1-тетрадецен-1-ол, экстракт Chenopodium ambrosiodes, масло семян маргозы, экстракт квиллайи;

L5) Микробные пестициды со снижающей стресс растений, регулирующей рост растений, стимулирующей рост растений и/или увеличивающей урожайность растений активностью: Azospirillum amazonense, A. brasilense, А. lipoferum, A. irakense, A. halopraeferens, Bradyrhizobium spp., B. elkanii, B. japonicum, В. liaoningense, В. lupini, Delftia acidovorans, Glomus intraradices, Mesorhizobium spp., Rhizobium leguminosarum bv. phaseoli, R. l. bv. trifolii, R. l. bv. viciae, R. tropici, Sinorhizobium meliloti.

Биопестициды из группы L1) и/или L2) также могут обладать инсектицидной, акарицидной, молюскоцидной, феромонной, нематоцидной, снижающей стресс растений, регулирующей рост растений, стимулирующей рост растений и/или повышающей урожайность активностью. Биопестициды из группы L3) и/или L4) также могут обладать фунгицидной, бактерицидной, вирулицидной, активирующей защиту растений, снижающей стресс растений, регулирующей рост растений, стимулирующей рост растений и/или повышающей урожайность активностью. Биопестициды из группы L5) также могут обладать фунгицидной, бактерицидной, вирулицидной, активирующей защиту растений, инсектицидной, акарицидной, молюскоцидной, феромонной и/или нематоцидной активностью.

Многие из этих биопестицидов были задепонированы под депозитарными номерами, приведенными в данной заявке (префиксы, такие как АТСС или DSM относятся к акрониму соответствующей коллекции культур, относительно подробностей см., например, здесь: http://www.wfcc.info/ccinfo/collection/by_acronym/), указаны в литературных источниках, зарегистрированы и/или коммерчески доступны: смеси, содержащие Aureobasidium pullulans DSM 14940 и DSM 14941, выделенные в 1989 г.в Костанце, Германия (например, бластоспоры в BlossomProtect® от bio-ferm GmbH, Австрия), Azospirillum brasilense Sp245, первоначально выделенный в пшеничном регионе Южной Бразилии (Passo Fundo) по меньшей мере до 1980 г.(BR 11005; например, GELFIX Gramineas от BASF Agricultural Specialties Ltd., Бразилия),,4. brasilense штаммы Ab-V5 и Ab-V6 (например, в AzoMax от Novozymes BioAg Produtos papra Agricultura Ltda., Quattro Barras, Бразилия или Simbiose-Maiz® от Simbiose-Agro, Бразилия; Plant Soil 331, 413-425, 2010), Bacillus amyloliquefaciens штамм АР-188 (NRRL B-50615 и B-50331; US 8,445,255); штаммы микроорганизма В. amyloliquefaciens ssp.plantarum, ранее также иногда называемого В. subtilis, в последнее время вместе с В. methylotrophicus и В. velezensis классифицируемого как В. velezensis (Int. J. Syst. Evol. Microbiol. 66, 1212-1217, 2016): B. a. ssp.plantarum или В. velezensis D747, выделенный из воздуха в Кикугава-си, Япония (US 20130236522 A1; FERM ВР-8234; например, Double Nickel™ 55 WDG от Certis LLC, США), В. a. ssp.plantarum или В. velezensis FZB24, выделенный из почвы в Бранденбурге, Германия (также называемый SB3615; DSM 96-2; J. Plant Dis. Prot. 105, 181-197, 1998; например, Taegro® от Novozyme Biologicals, Inc., США), В. a. ssp.plantarum или В. velezensis FZB42, выделенный из почвы в Бранденбурге, Германия (DSM 23117; J. Plant Dis. Prot. 105, 181 197, 1998; например, RhizoVital® 42 от AbiTEP GmbH, Германия), В. a. ssp.plantarum или В. velezensis MBI600, выделенный из конских бобов в Саттон Бонингтон, Ноттингемшир, Соединенное Королевство, по меньшей мере до 1988 г.(также называемый 1430; NRRL В-50595; US 2012/0149571 А1; например, Integral® от BASF Corp., США), В. a. ssp.plantarum или В. velezensis QST-713, выделенный из персиковых садов в 1995 г.в Калифорнии, США (NRRL В-21661; например, Serenade® МАХ от Bayer Crop Science LP, США), В. a. ssp.plantarum или В. velezensis TJ1000, выделенный в 1992 г.в Южной Дакоте, США (также называемый 1 ВЕ; АТСС ВАА-390; СА 2471555 А1; например, QuickRoots™ от TJ Technologies, Уотертаун, Южная Дакота, США); В. firmus CNCM I-1582, вариант родительского штамма EIP-N1 (CNCM I-1556), выделенный из почвы центральной равнинной местности Израиля (WO 2009/126473, US 6,406,690; например, Votivo® от Bayer CropScience LP, США), В. pumilus GHA 180, выделенный из ризосферы яблоневых деревьев в Мексике (IDAC 260707-01; например, PRO-MIX® ВХ от Premier Horticulture, Квебек, Канада), В. pumilus INR-7, по-другому указываемый как BU-F22 и BU-F33, выделенный по меньшей мере до 1993 г.из огурца, инфицированного посредством Erwima tracheiphila (NRRL В-50185, NRRL В-50153; US 8,445,255), В. pumilus KFP9F, выделенный из ризосферы трав в Южной Африке по меньшей мере до 2008 г.(NRRL В-50754; WO 2014/029697; например, BAC-UP или FUSION-P от BASF Agricultural Specialities (Pty) Ltd., Южная Африка), В. pumilus QST 2808, выделенный из почвы, собранной в Понпеи, Федеративные Штаты Микронезии, в 1998 г.(NRRL В-30087; например, Sonata® или Ballad® Plus от Bayer Crop Science LP, США), В. simplex ABU 288 (NRRL B-50304; US 8,445,255), B. subtilis FB17, также называемый UD 1022 или UD10-22, выделенный из корней красной свеклы в Северной Америке (АТСС РТА-11857; System. Appl. Microbiol. 27, 372-379, 2004; US 2010/0260735; WO 2011/109395); В. thuringiensis ssp.aizawai ABTS-1857, выделенный из почвы, взятой с газона в Эфрейме, Висконсин, США, в 1987 г. (также называемый ABG-6346; АТСС SD-1372; например, XenTari® от BioFa AG, Мюнзинген, Германия), В. t. ssp.kurstaki ABTS-351, идентичный с HD-1, выделенный в 1967 г.из больной черной личинки розового коробочного червя в Браунсвилле, Техас, США (АТСС SD-1275; например, Dipel DF от Valent Biosciences, IL, США), В. t. ssp.kurstaki SB4, выделенный из трупов личинок Е. saccharina (NRRL В-50753; например, Beta Pro от BASF Agricultural Specialities (Pty) Ltd., Южная Африка), В. t. ssp.tenebrionis NB-176-1, мутант штамма NB-125, дикий тип штамма, выделенный в 1982 г.из мертвой куколки жука Tenebrio molitor (DSM 5480; ЕР 585 215 В1; например, Novodor от Valent Biosciences, Швейцария), Beauveria bassiana GHA (ATCC 74250; например, BotaniGard® 22WGP от Laverlam Int. Corp., США), В. bassiana JW-1 (ATCC 74040; например, Naturalis® от CBC (Европа) S.r.l., Италия), В. bassiana PPRI 5339, выделенный из личинки щитоноски Conchyloctenia punctata (NRRL 50757; например, BroadBand® от BASF Agricultural Specialities (Pty) Ltd., Южная Африка), Bradyrhizobium elkanii штаммы SEMIA 5019 (также называемый 29W), выделенный в Рио-де-Жанейро, Бразилия, и SEMIA 587, выделенный в 1967 г.в Штате Рио Гранде ду Суль, из площади, предварительно инокулированной Северо-Американским изолятом, и используемый в коммерческих инокулянтах с 1968 г.(Appl. Environ. Microbiol. 73(8), 2635, 2007; например, GELFIX 5 от BASF Agricultural Specialties Ltd., Бразилия), В. japonicum 532c, выделенный из полей Висконсина в США (Nitragin 61А152; Can. J. Plant. Sci. 70, 661-666, 1990; например, в Rhizoflo®, Histick®, Hicoat® Super от BASF Agricultural Specialties Ltd., Канада), В. japonicum Е-109 вариант штамма USDA 138 (INTA E109, SEMIA 5085; Eur. J. Soil Biol. 45, 28-35, 2009; Biol. Fertil. Soils 47, 81-89, 2011); штаммы В. japonicum, задепонированные в SEMIA, известные из Appl. Environ. Microbiol. 73(8), 2635, 2007: SEMIA 5079, выделенный из почвы в регионе Серраду, Бразилия от Embrapa-Cerrados, используемый в коммерческих инокулянтах с 1992 г. (СРАС 15; например, GELFIX 5 или ADHERE 60 от BASF Agricultural Specialties Ltd., Бразилия), В. japonicum SEMIA 5080, полученный в лабораторных условиях при содействии Embrapa-Cerrados в Бразилии и используемый в коммерческих инокулянтах с 1992 г., представляющий собой природный вариант SEMIA 586 (СВ1809) первоначально выделенный в США (СРАС 7; например, GELFIX 5 или ADHERE 60 от BASF Agricultural Specialties Ltd., Бразилия); Burkholderia sp.A396, выделенный из почвы в Nikko, Япония, в 2008 г. (NRRL В-50319; WO 2013/032693; Marrone Bio Innovations, Inc., США), Coniothyrium minitans CON/M/91-08, выделенный из масличного рапса (WO 1996/021358; DSM 9660; например, Contans® WG, Intercept® WG от Bayer CropScience AG, Германия), белок гарпин (альфа-бета) (Science 257, 85-88, 1992; например, Messenger™ или HARP-N-Tek от Plant Health Care plc, Соединенное Королевство), Helicoverpa armigera вирус ядерного полиэдроза (HearNPV) (J. Invertebrate Pathol. 107, 112-126, 2011; например, Helicovex® от Adermatt Biocontrol, Швейцария; Diplomata® от Koppert, Бразилия; Vivus® Max от AgBiTech Pty Ltd., Квинсленд, Австралия), Helicoverpa zea отдельный капсид вируса ядерного полиэдроза (HzSNPV) (например, Gemstar® от Certis LLC, США), Helicoverpa zea вирус ядерного полиэдроза ABA-NPV-U (например, Heligen® от AgBiTech Pty Ltd., Квинсленд, Австралия), Heterorhabditis bacteriophora (например, Nemasys® G от BASF Agricultural Specialities Limited, Соединенное Королевство), Isaria fumosorosea Apopka-97, выделенный из червеца мучнистого на гинуре в Апопка, Флорида, США (АТСС 20874; Biocontrol Science Technol. 22(7), 747-761, 2012; например, PFR-97™ или PreFeRal® от Certis LLC, США), Metarhizium anisopliae var. anisopliae F52, также называемый 275 или V275, выделенный из плодожорки яблонной в Австрии (DSM 3884, АТСС 90448; например, Met52® Novozymes Biologicals BioAg Group, Канада), Metschnikowia fructicola 277, выделенный из винограда в центральной части Израиля (US 6,994,849; NRRL Y-30752; например, ранее Shemer® от Agrogreen, Израиль), Paecilomyces ilacinus 251, выделенный из инфицированных яиц нематод на Филиппинах (AGAL 89/030550; WO1991/02051; Crop Protection 27, 352-361, 2008; например, BioAct® от Bayer CropScience AG, Германия и MeloCon® от Certis, США), Paenibacillus alvei NAS6G6, выделенный из ризосферы трав в Южной Африке по меньшей мере до 2008 г. (WO 2014/029697; NRRL В-50755; например, BAC-UP от BASF Agricultural Specialities (Pty) Ltd., Южная Африка), штаммы Paenibacillus, выделенные из образцов почвы в различных местах Европы, в том числе в Германии: P. epiphyticus Lu17015 (WO 2016/020371; DSM 26971), P. polymyxa ssp.plantarum Lu16774 (WO 2016/020371; DSM 26969), P. p. ssp. plantarum штамм Lu17007 (WO 2016/020371; DSM 26970); Pasteuria nishizawae Pn1, выделенный из поля с соевыми бобами в середине 2000-ых в Иллинойсе, США (АТСС SD-5833; Федеральный регистр 76(22), 5808, 2 февраля 2011 г.; например, Clariva™ PN от Syngenta Crop Protection, LLC, США), ΡeniciIlium bilaiae (также называемый P. bilaii) штаммы ATCC 18309 (=ATCC 74319), ATCC 20851 и/или ATCC 22348 (=ATCC 74318), первоначально выделенный из почвы в Альберте, Канада (Fertilizer Res. 39, 97-103, 1994; Can. J. Plant Sci. 78(1), 91-102, 1998; US 5,026,417, WO 1995/017806; например, Jump Start®, Provide® от Novozymes Biologicals BioAg Group, Канада), экстракт Reynoutria sachalinensis (EP 0307510 B1; например, Regalia SC от Marrone Biolnnovations, Дейвис, Калифорния, США или Milsana® от BioFa AG, Германия), Steinernema carpocapsae (например, Millenium® от BASF Agricultural Specialities Limited, Соединенное Королевство), S. feltiae (например, Nemashield® от BioWorks, Inc., США; Nemasys® от BASF Agricultural Specialities Limited, Соединенное Королевство), Streptomyces microflavus NRRL B-50550 (WO 2014/124369; Bayer CropScience, Германия), Trichoderma asperelloides JM41R, выделенный в Южной Африке (NRRL 50759; также упоминается как Т. fertile; например, Trichoplus® от BASF Agricultural Specialities (Pty) Ltd., Южная Африка), Т. harzianum Τ-22, также называемый KRL-AG2 (ATCC 20847; BioControl 57, 687-696, 2012; например, Plantshield® от BioWorks Inc., США или SabrEx™ от Advanced Biological Marketing Inc., Ван-Уэрт, Огайо, США).

В соответствии с изобретением, твердое вещество (сухое вещество) биопестицидов (за исключением масел, таких как масло семян маргозы) рассматривают в качестве активных компонентов (например, получаемых после сушки или упаривания экстракционной или суспензионной среды в случае жидких составов микробных пестицидов).

В соответствии с настоящим изобретением, массовые соотношения и процентные содержания, используемые в настоящей заявке для биологического экстракта, такого как экстракт квиллайи, приведены в пересчете на общую массу сухого вещества (твердого вещества), содержащегося в соответствующем(-их) экстракте(-ах).

Общие массовые соотношения композиций, содержащих по меньшей мере один микробный пестицид в виде жизнеспособных микробных клеток, включая спящие формы, можно определить, используя количество КОЕ соответствующего микроорганизма, подсчитывая общую массу соответствующего активного компонента с помощью уравнения, согласно которому 1 × 1010 КОЕ равняется одному грамму общей массы соответствующего активного компонента. Колониеобразующая единица является мерой жизнеспособных микробных клеток, в частности, грибковых и бактериальных клеток. К тому же, в данном контексте "КОЕ" можно также понимать как число (неполовозрелых) индивидуальных нематод в случае (энтомопатогенных) нематодных биопестицидов, таких как Steinernema feltiae.

Когда смеси, содержащие микробные пестициды, применяют для защиты сельскохозяйственных культур, нормы применения предпочтительно находятся в диапазоне от приблизительно 1 × 106 до 5 × 1015 (или более) КОЕ/га, предпочтительно от приблизительно 1 × 108 до приблизительно 1 × 1013 КОЕ/га, и еще более предпочтительно от приблизительно 1 × 109 до приблизительно 1 × 1012 КОЕ/га. В случае (энтомопатогенных) нематод в качестве микробных пестицидов (например, Steinernema feltiae), нормы применения предпочтительно находятся в диапазоне от приблизительно 1 × 105 до 1 × 1012 (или более), более предпочтительно от 1 × 108 до 1 × 1011, еще более предпочтительно от 5 × 108 до 1 × 1010 особей (например, в виде яиц, неполовозрелых особей или особей любых других жизненных стадий, предпочтительно неполовозрелых особей в инвазионной стадии) на га.

Когда смеси, содержащие микробные пестициды, применяют для обработки семян, нормы применения в отношении материала для размножения растений предпочтительно находятся в диапазоне от приблизительно 1 × 106 до приблизительно 1 × 1012 (или более) КОЕ/семена. Предпочтительно, концентрация составляет приблизительно от 1 × 106 до приблизительно 1 × 109 КОЕ/семена. В случае микробных пестицидов II, нормы применения в отношении материала для размножения растений также предпочтительно находятся в диапазоне от приблизительно 1 × 107 до приблизительно 1 × 1014 (или более) КОЕ на 100 кг семян, предпочтительно от приблизительно 1 × 109 до приблизительно 1 × 1012 КОЕ на 100 кг семян.

Изобретение также относится к агрохимическим композициям, содержащим вспомогательное средство и по меньшей мере одно соединение настоящего изобретения или смесь таких соединений.

Агрохимическая композиция содержит пестицидно эффективное количество соединения настоящего изобретения или смеси таких соединений. Термин "пестицидно эффективное количество" определен ниже.

Соединения настоящего изобретения или их смеси могут быть переведены в обычные типы агрохимических композиций, например, растворы, эмульсии, суспензии, тонкие порошки, порошки, пасты, гранулы, спрессованные продукты, капсулы и их смеси. Примерами типов композиций являются суспензии (например, SC, OD, FS), эмульгируемые концентраты (например, ЕС), эмульсии (например, EW, ЕО, ES, ME), капсулы (например, CS, ZC), пасты, пастилки, смачиваемые порошки или тонкие порошки (например, WP, SP, WS, DP, DS), спрессованные продукты (например, BR, ТВ, DT), гранулы (например, WG, SG, GR, FG, GG, MG), инсектицидные изделия (например, LN), а также гелевые составы для обработки материала для размножения растений, такого как семена (например, GF). Эти и другие типы композиций определены в "Catalogue of pesticide formulation types and international coding system", Technical Monograph №2, 6-е изд., май 2008, CropLife International.

Композиции получают известным образом, как описано в Mollet and Grube-mann, Formulation technology, Wiley VCH, Weinheim, 2001; или Knowles, New developments in crop protection product formulation, Agrow Reports DS243, T&F Informa, Лондон, 2005.

Примерами пригодных вспомогательных веществ являются растворители, жидкие носители, твердые носители или наполнители, поверхностно-активные вещества, диспергаторы, эмульгаторы, смачивающие средства, адъюванты, солюбилизаторы, вещества, способствующие проникновению, защитные коллоиды, вещества, улучшающие адгезию, загустители, увлажнители, репелленты, аттрактанты, стимуляторы поедания, улучшающие совместимость агенты, бактерициды, присадки, понижающие температуру замерзания, антивспениватели, красители, вещества для повышения клейкости и связующие вещества.

Пригодными растворителями и жидкими носителями являются вода и органические растворители, такие как фракции минеральных масел со средней -высокой температурой кипения, такие как керосин, дизельное масло; масла растительного или животного происхождения, алифатические, циклические или ароматические углеводороды, например, толуол, парафин, тетрагидронафталин, алкилированные нафталины; спирты, например, этанол, пропанол, бутанол, бензиловый спирт, циклогексанол; гликоли; ДМСО; кетоны, например, циклогексанон; сложные эфиры, например, лактаты, карбонаты, сложные эфиры жирных кислот, гамма-бутиролактон; жирные кислоты; фосфонаты; амины; амиды, например, N-метилпирролидон, диметиламиды жирных кислот; и их смеси.

Пригодными твердыми носителями или наполнителями являются минеральные земли, например, силикаты, силикагели, тальк, каолины, известняк, известь, мел, глины, доломит, диатомовая земля, бентонит, сульфат кальция, сульфат магния, оксид магния; полисахаридные порошки, например, целлюлоза, крахмал; удобрения, например, сульфат аммония, фосфат аммония, нитрат аммония, мочевины; продукты растительного происхождения, например, мука зерновых культур, мука древесной коры, древесная мука, мука ореховой скорлупы и их смеси.

Пригодными поверхностно-активными веществами являются поверхностно-активные соединения, такие как анионные, катионные, неионные и амфотерные поверхностно-активные вещества, блок-полимеры, полиэлектролиты и их смеси. Такие поверхностно-активные вещества могут применяться в качестве эмульгатора, диспергатора, солюбилизатора, смачивающего средства, вещества, способствующего проникновению, защитного коллоида или адъюванта. Примеры поверхностно-активных веществ приведены в McCutcheon's, том 1: Emulsifiers & Detergents, McCutcheon's Directories, Глен Рок, США, 2008 (Международное изд. или Североамериканское изд.).

Пригодными анионными поверхностно-активными веществами являются соли щелочных, щелочноземельных металлов или аммониевые соли сульфонаты, сульфаты, фосфаты, карбоксилаты и их смеси. Примерами сульфонатов являются алкиларилсульфонаты, дифенилсульфонаты, альфа-олефинсульфонаты, лигнинсульфонаты, сульфонаты кислот жирного ряда и масел, сульфонаты этоксилированных алкилфенолов, сульфонаты алкоксилированных арилфенолов, сульфонаты конденсированных нафталинов, сульфонаты додецил- и тридецилбензолов, сульфонаты нафталинов и алкилнафталинов, сульфосукцинаты или сульфосукцинаматы. Примерами сульфатов являются сульфаты жирных кислот и масел, этоксилированных алкилфенолов, спиртов, этоксилированных спиртов или сложных эфиров жирных кислот. Примерами фосфатов являются сложные фосфатные эфиры. Примерами карбоксилатов являются алкилкарбоксилаты и карбоксилированные этоксилаты спирта или алкилфенола.

Пригодными неионными поверхностно-активными веществами являются алкоксилаты, N-замещенные амиды кислот жирного ряда, аминоксиды, сложные эфиры, поверхностно-активные вещества на основе сахара, полимерные поверхностно-активные вещества и их смеси. Примерами алкоксилатов являются соединения, такие как спирты, алкилфенолы, амины, амиды, арилфенолы, жирные кислоты или эфиры жирных кислот, которые были алкоксилированы посредством от 1 до 50 эквивалентов соответствующего реагента. Для алкоксилирования может использоваться этиленоксид и/или пропиленоксид, предпочтительно этиленоксид. Примерами N-замещенных амидов кислот жирного ряда являются глюкамиды кислот жирного ряда или алканоламиды кислот жирного ряда. Примерами сложных эфиров являются эфиры кислот жирного ряда, сложные эфиры глицерина или моноглицериды. Примерами поверхностно-активных веществ на основе сахара являются сорбитаны, этоксилированные сорбитаны, сложные эфиры сахарозы и глюкозы или алкилполиглюкозиды. Примерами полимерных поверхностно-активных веществ являются гомо- или сополимеры винилпирролидона, виниловых спиртов или винилацетата.

Пригодными катионными поверхностно-активными веществами являются четвертичные поверхностно-активные вещества, например, четвертичные аммониевые соединения с одной или двумя гидрофобными группами или соли длинноцепочечных первичных аминов. Пригодными амфотерными поверхностно-активными веществами являются алкилбетаины и имидазолины. Пригодными блок-полимерами являются блок-полимеры типа А-В или А-В-А, включающие блоки из полиэтиленоксида и полипропиленоксида, или типа А-В-С, включающие алканол, полиэтиленоксид и полипропиленоксид. Пригодными полиэлектролитами являются поликислоты или полиоснования. Примерами поликислот являются соли щелочных металлов и полиакриловой кислоты или поликислотных гребнеобразных полимеров. Примерами полиоснований являются поливиниламины или полиэтиленамины.

Пригодными адъювантами являются соединения, которые сами по себе обладают весьма несущественной или даже не обладают пестицидной активностью, и которые улучшают биологическую эффективность соединений настоящего изобретения на цели. Примерами являются поверхностно-активные вещества, минеральные или растительные масла и другие вспомогательные средства. Дополнительные примеры приведены в Knowles, Adjuvants and additives, Agrow Reports DS256, T&F Informa UK, 2006, глава 5.

Пригодными загустителями являются полисахариды (например, ксантановая смола, карбоксиметилцеллюлоза), неорганические глины (органически модифицированные или немодифицированные), поликарбоксилаты и силикаты.

Пригодными бактерицидами являются бронопол и производные изотиазолинона, такие как алкилизотиазолиноны и бензизотиазолиноны.

Пригодными присадками, понижающими температуру замерзания, являются этиленгликоль, пропиленгликоль, мочевина и глицерин.

Пригодными антивспенивателями являются силиконы, длинноцепочечные спирты и соли кислот жирного ряда.

Пригодными красителями (например, красного, синего или зеленого цвета) являются пигменты с низкой растворимостью в воде и водорастворимые красители. Примерами являются неорганические красители (например, оксид железа, оксид титана, гексацианоферрат железа) и органические красители (например, ализариновые, азокрасители и фталоцианиновые красители).

Пригодными веществами для повышения клейкости или связующими веществами являются поливинилпирролидоны, поливинилацетаты, поливиниловые спирты, полиакрилаты, биологические или синтетические воски и простые эфиры целлюлозы.

Примерами типов композиций и их получения являются:

i) Водорастворимые концентраты (SL, LS)

10-60 мас.% соединения (I) в соответствии с изобретением и 5-15 мас. % смачивающего средства (например, алкоксилатов спирта) растворяют в воде и/или в водорастворимом растворителе (например, спиртах), взятых в количестве до 100 мас. %. Активное вещество растворяется при разбавлении водой.

ii) Диспергируемые концентраты (DC)

5-25 мас. % соединения (I) в соответствии с изобретением и 1-10 мас. % диспергатора (например, поливинилпирролидона) растворяют во взятом в количестве до 100 мас. % органическом растворителе (например, циклогексаноне). При разбавлении водой получают дисперсию.

iii) Эмульгируемые концентраты (ЕС)

15-70 мас. % соединения (I) в соответствии с изобретением и 5-10 мас. % эмульгаторов (например, додецилбензолсульфоната кальция и этоксилата касторового масла) растворяют во взятом в количестве до 100 мас. % нерастворимом в воде органическом растворителе (например, ароматическом углеводороде). При разбавлении водой получают эмульсию.

iv) Эмульсии (EW, ЕО, ES)

5-40 мас. % соединения (I) в соответствии с изобретением и 1-10 мас. % эмульгаторов (например, додецилбензолсульфоната кальция и этоксилата касторового масла) растворяют в 20-40 мас. % нерастворимого в воде органического растворителя (например, ароматического углеводорода). Эту смесь с помощью эмульгирующего устройства вводят в воду, взятую в количестве до 100 мас. %, и доводят до гомогенной эмульсии. При разбавлении водой получают эмульсию.

v) Суспензии (SC, OD, FS)

В шаровой мельнице с мешалкой измельчают 20-60 мас. % соединения (I) в соответствии с изобретением при добавлении 2-10 мас. % диспергаторов и смачивающих средств (например, лигносульфоната натрия и этоксилата спирта), 0.1-2 мас. % загустителя (например, ксантановой смолы) и взятой в количестве до 100 мас. воды с получением тонкой суспензии активного вещества. При разбавлении водой получают стабильную суспензию активного вещества. Для композиции FS типа добавляют до 40 мас. % связывающего вещества (например, поливинилового спирта).

vi) Диспергируемые в воде и водорастворимые гранулы (WG, SG)

50-80 мас.% соединения (I) в соответствии с изобретением тонко измельчают при добавлении взятых в количестве до 100 мас. % диспергаторов и смачивающих средств (например, лигносульфоната натрия и этоксилата спирта) и получают диспергируемые в воде или водорастворимые гранулы посредством технических устройств (например, экструзионного устройства, распылительной башни, псевдоожиженного слоя). При разбавлении водой получают стабильную дисперсию или раствор активного вещества.

vii) Диспергируемые в воде порошки и водорастворимые порошки (WP, SP, WS)

50-80 мас. % соединения (I) в соответствии с изобретением перемалывают в роторно-статорной мельнице при добавлении 1-5 мас. % диспергаторов (например, лигносульфоната натрия), 1-3 мас. % смачивающих средств (например, этоксилата спирта) и взятого в количестве до 100 мас. % твердого носителя, например, силикагеля. При разбавлении водой получают стабильную дисперсию или раствор активного вещества.

viii) Гель (GW, GF)

В шаровой мельнице с мешалкой, 5-25 мас. % соединения (I) в соответствии с изобретением измельчают при добавлении 3-10 мас.% диспергаторов (например, лигносульфоната натрия), 1-5 мас. % загустителя (например, карбоксиметилцеллюлозы) и взятой в количестве до 100 мас.% воды с получением тонкой суспензии активного вещества. При разбавлении водой получают стабильную суспензию активного вещества.

ix) Микроэмульсия (ME)

5-20 мас. % соединения (I) в соответствии с изобретением добавляют к 5-30 мас. % смеси органических растворителей (например, диметиламида жирной кислоты и циклогексанона), 10-25 мас. % смеси поверхностно-активных веществ (например, этоксилата спирта и этоксилата арилфенола), и воде, взятой в количестве до 100%. Эту смесь перемешивают в течение 1 ч с самопроизвольным получением термодинамически устойчивой микроэмульсии.

x) Микрокапсулы (CS)

Масляную фазу, содержащую 5-50 мас. % соединения (I) в соответствии с изобретением, 0-40 мас. % нерастворимого в воде органического растворителя (например, ароматического углеводорода), 2-15 мас. % акриловых мономеров (например, метилметакрилата, метакриловой кислоты и ди- или триакрилата) диспергируют в водном растворе защитного коллоида (например, поливинилового спирта). Радикальная полимеризация, инициированная радикальным инициатором, приводит к образованию поли(мет)акрилатных микрокапсул. Альтернативно, масляную фазу, содержащую 5-50 мас. % соединения (I) в соответствии с изобретением, 0-40 мас. % нерастворимого в воде органического растворителя (например, ароматического углеводорода) и изоцианатный мономер (например, дифенилметилен-4,4'-диизоцианат) диспергируют в водном растворе защитного коллоида (например, поливинилового спирта). Добавление полиамина (например, гексаметилендиамина) приводит к образованию полимочевинных микрокапсул.

Количество мономеров составляет до 1-10 мас. %. Мас. % относится к общей массе CS композиции.

xi) Тонкие порошки (DP, DS)

1-10 мас. % соединения (I) в соответствии с изобретением тонко измельчают и тщательно смешивают со взятым в количестве до 100 мас. % твердым носителем, например, тонкодисперсным каолином.

xii) Гранулы (GR, FG)

0.5-30 мас. % соединения (I) в соответствии с изобретением тонко измельчают и связывают с взятым в количестве до 100 мас. % твердым носителем (например, силикатом). Грануляции достигают с помощью экструзии, распылительной сушки или псевдоожиженного слоя.

xiii) Жидкости ультранизкого объема (UL)

1-50 мас. % соединения (I) в соответствии с изобретением растворяют во взятом в количестве до 100 мас. % органическом растворителе, например, ароматическом углеводороде.

Типы композиций от i) до xi) необязательно могут содержать дополнительные вспомогательные вещества, например, 0.1-1 мас. % бактерицидов, 5-15 мас. % присадок, понижающих температуру замерзания, 0.1-1 мас. % антивспенивателей и 0.1-1 мас. % красителей.

Агрохимические композиции обычно содержат между 0.01 и 95%, предпочтительно между 0.1 и 90%, и наиболее предпочтительно между 0.5 и 75 мас. % активного вещества. Активные вещества используют с чистотой от 90% до 100%, предпочтительно от 95% до 100% (в соответствии со спектром ЯМР).

Различные типы масел, смачивающих средств, адъювантов, удобрений или питательных микроэлементов, и дополнительных пестицидов (например, гербицидов, инсектицидов, фунгицидов, регуляторов роста, сафенеров) могут быть добавлены к активным веществам или композициям, содержащим их, в виде премикса, или, при необходимости только непосредственно перед применением (баковая смесь). Такие средства можно примешивать к композициям в соответствии с изобретением в массовом соотношении от 1:100 до 100:1, предпочтительно от 1:10 до 10:1.

Композицию в соответствии с изобретением пользователь обычно наносит из устройства предварительного дозирования, ранцевого распылителя, бака для распыления, самолета для распыления или оросительной системы. Обычно агрохимическую композицию разбавляют водой, буфером и/или другими вспомогательными веществами до желаемой концентрации применения и таким образом получают готовую к применению жидкость для распыления или агрохимическую композицию в соответствии с изобретением. Обычно наносят от 20 до 2000 литров, предпочтительно от 50 до 400 литров, готовой к применению жидкости для распыления на гектар сельскохозяйственных угодий.

В соответствии с одним вариантом осуществления, индивидуальные компоненты композиции в соответствии с изобретением, такие как части набора или части двойной или тройной смеси, могут быть смешаны пользователем самостоятельно в баке для распыления и, при необходимости, могут быть добавлены дополнительные вспомогательные вещества.

В дополнительном варианте осуществления, либо индивидуальные компоненты композиции в соответствии с изобретением, либо частично предварительно смешанные компоненты, например, компоненты, содержащие соединения настоящего изобретения и/или компоненты для смешивания согласно вышеприведенному определению, могут быть смешаны пользователем в баке для распыления и, при необходимости, могут быть добавлены дополнительные вспомогательные вещества и добавки.

В дополнительном варианте осуществления, либо индивидуальные компоненты композиции в соответствии с изобретением, либо частично предварительно смешанные компоненты, например, компоненты, содержащие соединения настоящего изобретения и/или компоненты для смешивания согласно вышеприведенному определению, могут применяться совместно (например, после смешивания в баке) или последовательно.

Соединения настоящего изобретения пригодны для применения для защиты сельскохозяйственных культур, растений, материалов для размножения растений, таких как семена, или почвы или воды, в которой растения растут, от нападения или заражения животными - вредителями. Таким образом, настоящее изобретение также относится к способу защиты растений, который включает приведение в контакт сельскохозяйственных культур, растений, материалов для размножения растений, таких как семена, или почвы или воды, в которой растения растут, подлежащих защите от нападения или заражения животными вредителями, с пестицидно эффективным количеством соединения настоящего изобретения.

Соединения настоящего изобретения также пригодны для применения для подавления или борьбы с животными - вредителями. Таким образом, настоящее изобретение также относится к способу подавления или борьбы с животными -вредителями, который включает приведение в контакт животных - вредителей, их среды обитания, места размножения или пищевых ресурсов, или сельскохозяйственных культур, растений, материалов для размножения растений, таких как семена, или почвы, или площади, материала или окружающей среды, в которых животные - вредители растут или могут расти, с пестицидно эффективным количеством соединения настоящего изобретения.

Соединения настоящего изобретения эффективны как при контакте, так и при проглатывании. Кроме того, соединения настоящего изобретения можно применять на любой и всех стадиях развития, таких как яйцо, личинка, куколка и взрослая особь.

Соединения настоящего изобретения можно применять как таковые или в виде содержащих их композиций согласно вышеприведенному определению. Кроме того, соединения настоящего изобретения можно применять вместе с компонентом для смешивания согласно вышеприведенному определению или в виде композиций, содержащих указанные смеси согласно вышеприведенному определению. Компоненты указанной смеси можно применять одновременно, совместно или раздельно, или последовательно, т.е. сразу один за другим, таким образом создавая смесь "in situ" в желаемом месте, например, на растении, последовательность, в случае раздельного применения, обычно не оказывает никакого влияния на результат мер борьбы.

Применение можно осуществлять как перед, так и после заражения вредителями сельскохозяйственных культур, растений, материалов для размножения растений, таких как семена, почвы или площади, материала или окружающей среды.

Пригодные методы применения среди прочих включают обработку почвы, обработку семян, внесение в борозду и внекорневое внесение. Методы обработки почвы включают пропитывание почвы, капельное орошение (капельное внесение в почву), погружение корней, клубней или луковиц, или впрыскивание в почву. Методики обработки семян включают протравливание семян, покрытие семян, опудривание семян, намачивание семян и дражирование семян. Методики внесения в борозду типично включают стадии создания борозды на обрабатываемой земле, засевание борозды семенами, нанесение пестицидно активного соединения в борозду и закрытие борозды. Внекорневое внесение относится к нанесению пестицидно активного соединения на листву растений, например, при помощи оборудования для распыления. Для внекорневого внесения может оказаться выгодным изменить поведение вредителей путем применения феромонов в комбинации с соединениями настоящего изобретения. Пригодные феромоны для конкретных сельскохозяйственных культур и вредителей известны специалисту в данной области техники и доступны публично из баз данных феромонов и химических сигнальных веществ, таких как http://www.pherobase.com.

В контексте данной заявки, термин "приведение в контакт" включает как непосредственный контакт (нанесение соединений/композиций непосредственно на животного - вредителя или растение - типично на листву, стебель или корни растения), так и непрямой контакт (нанесение соединений/композиций на локус животного - вредителя или растения, т.е. среду обитания, место размножения, растение, семена, почву, площадь, материал или окружающую среду, в которых вредитель растет или может расти).

Термин "животное - вредитель" включает артроподы, гастроподы и нематоды. Предпочтительные животные - вредители в соответствии с изобретением представляют собой артроподы, предпочтительно насекомые и паукообразные, в частности, насекомые. Насекомые, которые имеют особое значение для сельскохозяйственных культур, типично упоминаются как насекомые - вредители сельскохозяйственных культур.

Термин "сельскохозяйственная культура" относится как к растущим, так и к собранным сельскохозяйственным культурам.

Термин "растение" включает злаковые, например, твердую пшеницу и другие сорта пшеницы, рожь, ячмень, тритикале, овес, рис или кукурузу (кормовую кукурузу и сахарною кукурузу / сладкую и полевую кукурузу); свеклу, например, сахарную свеклу или кормовую свеклу; фруктовые растения, такие как семечковые плоды, косточковые плоды или ягодные фрукты, например, яблони, груши, сливы, персики, нектарины, миндаль, вишни, папайю, клубнику, малину, ежевику или крыжовник; бобовые растения, такие как фасоль, чечевица, горох, люцерна или соевые бобы; масличные растения, такие как рапс (масличный рапс), репа масличная, горчица, оливы, подсолнечник, кокосовый орех, бобы какао, клещевина обыкновенная, пальмы масличные, земляные орехи или соевые бобы; тыквенные, такие как кабачки, тыквы, огурцы или дыни; волокнистые растения, такие как хлопчатник, лен, конопля или джут; цитрусовые, такие как апельсины, лимоны, грейпфруты или мандарины; овощные растения, такие как баклажан, шпинат, салат-латук (например, салат айсберг), цикорий, кочанная капуста, спаржа, капустные растения, морковь, лук, полевой лук, лук-порей, томаты, картофель, тыквенные или перец сладкий; лавровые растения, такие как авокадо, корица или камфара; энергетические и сырьевые растения, такие как кукуруза, соевые бобы, рапс, сахарный тростник или пальма масличная; табак; орехи, например, грецкий орех; фисташковое дерево; кофе; чай; бананы; виноград (столовый виноград и виноград для сока и вина); хмель; сладкую траву (также называемая стевией); растения природного каучука или декоративные и лесные растения, такие как цветы (например, гвоздика, петуния, герань/пеларгония, анютины глазки и бальзамин), кустарники, широколиственные деревья (например, тополь) или вечнозеленые растения, например, хвойные деревья; эвкалипт; дерн; газонные травы; траву, такую как трава для корма животным или декоративного применения. Предпочтительные растения включают картофель, сахарную свеклу, табак, пшеницу, рожь, ячмень, овес, рис, кукурузу, хлопок, соевые бобы, рапс, бобовые растения, подсолнечник, кофе или сахарный тростник; фруктовые; виноград; декоративные растения; или овощи, такие как огурцы, томаты, фасоль или кабачки.

Термин "культурные растения" следует понимать как включающий растения, которые были модифицированы с помощью мутагенеза или генной инженерии с целью обеспечить растение новым признаком или модифицировать уже присутствующий признак.

Мутагенез включает методики случайного мутагенеза с использованием рентгеновских лучей или мутагенных химических веществ, а также методики направленного мутагенеза, с целью создания мутаций в конкретном локусе генома растения. В методиках направленного мутагенеза для достижения направленного действия часто используют олигонуклеотиды или белки, такие как CRISPR/Cas, цинк-пальцевые нуклеазы, нуклеазы TALEN или мегануклеазы.

В генной инженерии обычно используют методики рекомбинантной ДНК для создания таких модификаций в геноме растений, которые в природных условиях не могут быть легко получены путем кроссбридинга, мутагенеза или природной рекомбинации. Типично, один или несколько генов встраивают в геном растения с целью добавления признака или его улучшения. Эти встроенные гены в данной области техники также называют трансгенами, тогда как растения, содержащие такие трансгены, называют трансгенными растениями. Процесс трансформации растений обычно приводит к нескольким событиям трансформации, которые отличаются геномным локусом, в который встроен трансген. Растения, содержащие конкретный трансген на конкретном геномном локусе, обычно описываются как содержащие конкретное "событие", которое называют конкретным названием события. Признаки, которые были введены в растения или были модифицированы, включают, в частности, толерантность к гербицидам, устойчивость к насекомым, увеличенную урожайность и толерантность к абиотическим условиям, таким как засуха.

Толерантность к гербицидам была создана с использованием мутагенеза, а также с использованием генной инженерии. Растения, которым была придана толерантность к гербицидам - ингибиторам ацетолактатсинтазы (ALS) обычными методами мутагенеза и бридинга, включают сорта растений, коммерчески доступные под названием Clearfield®. Однако, большинство признаков толерантности к гербицидам было создано с помощью применения трансгенов.

Была создана толерантность к гербицидам, таким как глифосат, глюфосинат, 2,4-D, дикамба, оксинильные гербициды, такие как бромоксинил и иоксинил, гербициды - сульфонилмочевины, гербициды - ингибиторы ALS и ингибиторы 4-гидроксифенилпируватдиоксигеназы (HPPD), такие как изоксафлутол и мезотрион.

Трансгены, которые использовали для обеспечения признаков толерантности к гербицидам, включают: для толерантности к глифосату: ср4 epsps, epsps grg23ace5, mepsps, 2mepsps, gat4601, gat4621 и goxv247, для толерантности к глюфосинату: pat и bar, для толерантности к 2,4-D: aad-1 и aad-12, для толерантности к дикамба: dmo, для толерантности к оксинильным гербицидам: bxn, для толерантности к гербицидам - сульфонилмочевинам: zm-hra, csr1-2, gm-hra, S4-HrA, для толерантности к гербицидам - ингибиторам ALS: csr1-2, для толерантности к гербицидам - ингибиторам HPPD: hppdPF, W336 и avhppd-03.

Трансгенными событиями кукурузы, включающими гены толерантности к гербицидам, являются, без исключения других событий, например, DAS40278, MON801, MON802, MON809, MON810, MON832, MON87411, MON87419, MON87427, MON88017, MON89034, NK603, GA21, MZHGOJG, НСЕМ485, VCO-∅1981-5, 676, 678, 680, 33121, 4114, 59122, 98140, Bt10, Bt176, СВН-351, DBT418, DLL25, MS3, MS6, MZIR098, Т25, ТС1507 и ТС6275.

Трансгенными событиями соевых бобов, включающими гены толерантности к гербицидам, являются, без исключения других событий, например, GTS 40-3-2, MON87705, MON87708, MON87712, MON87769, MON89788, А2704-12, А2704-21, А5547-127, А5547-35, DP356043, DAS44406-6, DAS68416-4, DAS-81419-2, GU262, SYHT∅H2, W62, W98, FG72 и CV127.

Трансгенными событиями хлопка, включающими гены толерантности к гербицидам, являются, без исключения других событий, например, 19-51а, 31707, 42317, 81910, 281-24-236, 3006-210-23, BXN10211, BXN10215, BXN10222, BXN10224, MON1445, MON1698, MON88701, MON88913, GHB119, GHB614, LLCotton25, Т303-3 и Т304-40.

Трансгенными событиями канолы, включающими гены толерантности к гербицидам, являются, без исключения других событий, например, MON88302, HCR-1, HCN10, HCN28, HCN92, MSI, MS8, PHY14, PHY23, PHY35, PHY36, RF1, RF2 и RF3.

Устойчивость к насекомым в основном была создана путем переноса растениям бактериальных генов инсектицидных белков. Наиболее часто используемыми трансгенами являются гены токсинов вида Bacillus и их синтетические варианты, такие как cry1A, cry1Ab, cry1Ab-Ac, cry1Ac, cry1A.105, cry1F, cry1Fa2, cry2Ab2, cry2Ae, mcry3A, ecry3.1Ab, cry3Bb1, cry34Ab1, cry35Ab1, cry9C, vip3A(a), vip3Aa20. Однако, гены растительного происхождения также были перенесены другим растениям. В частности, были перенесены гены, кодирующие ингибиторы протеазы, такие как CpTI и pinII. Еще в одном подходе используют трансгены с целью получить у растений двухцепочечную РНК для нацеливания на гены насекомых и их понижающей регуляции. Примером такого трансгена является dvsnf7.

Трансгенными событиями кукурузы, содержащими гены инсектицидных белков или двухцепочечную РНК, являются, без исключения других событий, например, Bt10, Bi11, Bt176, MON801, MON802, MON809, MON810, MON863, MON87411, MON88017, MON89034, 33121, 4114, 5307, 59122, ТС1507, ТС6275, СВН-351, MIR162, DBT418 и MZIR098.

Трансгенными событиями соевых бобов, содержащими гены инсектицидных белков, являются, без исключения других событий, например, MON87701, MON87751 и DAS-81419.

Трансгенными событиями хлопка, содержащими гены инсектицидных белков, являются, без исключения других событий, например, SGK321, MON531, MON757, MON1076, MON15985, 31707, 31803, 31807, 31808, 42317, BNLA-601, Event1, СОТ67В, СОТ102, Т303-3, Т304-40, GFM Cry1A, GK12, MLS 9124, 281-24-236, 3006-210-23, GHB119 и SGK321.

Увеличенная урожайность была обеспечена за счет увеличения биомассы зерен с использованием трансгена athbl7, который присутствует в событии кукурузы MON87403, или путем усиления фотосинтеза с использованием трансгена bbx32, который присутствует в событии соевых бобов MON87712.

Культурные растения, содержащие модифицированное содержание масла, были созданы с использованием трансгенов: gm-fad2-1, Pj.D6D, Nc.Fad3, fad2-1A и fatb1-A. Событиями соевых бобов, содержащими по меньшей мере один из таких генов, являются: 260-05, MON87705 и MON87769.

Толерантность к абиотическим условиям, в частности, толерантность к засухе, была создана с использованием трансгена cspB, который включен в событие кукурузы MON87460, и с использованием трансгена Hahb-4, который включен в событие соевых бобов IND-∅∅41∅-5.

Признаки часто комбинируют путем объединения генов в событии трансформации или путем объединения различных событий в процессе бридинга. Предпочтительными комбинациями признаков являются толерантность к гербицидам из различных групп, толерантность к различным группам насекомых, в частности, толерантность к чешуекрылым и жесткокрылым насекомым, толерантность к гербицидам с одним или несколькими типами устойчивости к насекомым, толерантность к гербицидам с увеличенной урожайностью, а также комбинация толерантности к гербицидам и толерантности к абиотическим условиям.

Растения, содержащие сингулярные или пакетированные признаки, а также гены и события, обеспечивающие такие признаки, хорошо известны в данной области техники. Например, подробная информация касательно подвергнутых мутагенезу или встроенных генов и соответствующих событий доступна на вебсайтах организаций "Международная служба по сбору сведений о применении биотехнологий в сельском хозяйстве (ISAAA)" (http://www.isaaa.org/gmapprovaldatabase) и "Центр оценки риска для окружающей среды (CERA)" (http://cera-gmc.org/GMCropDatabase), Дополнительную информацию о конкретных событиях и методах их обнаружения для событий канолы MSI, MS8, RF3, GT73, MON88302, KK179 можно найти в WO 01/031042, WO 01/041558, WO 01/041558, WO 02/036831, WO 11/153186, WO 13/003558, для событий хлопчатника MON1445, MON15985, MON531 (MON15985), LLCotton25, MON88913, СОТ102, 281-24-236, 3006-210-23, СОТ67В, GHB614, Т304-40, GHB119, MON88701, 81910 - в WO 02/034946, WO 02/100163, WO 02/100163, WO 03/013224, WO 04/072235, WO 04/039986, WO 05/103266, WO 05/103266, WO 06/128573, WO 07/017186, WO 08/122406, WO 08/151780, WO 12/134808, WO 13/112527, для событий кукурузы GA21, MON810, DLL25, ТС1507, MON863, MIR604, LY038, MON88017, 3272, 59122, NK603, MIR162, MON89034, 98140, 32138, MON87460, 5307, 4114, MON87427, DAS40278, MON87411, 33121, MON87403, MON87419 - в WO 98/044140, US 02/102582, US 03/126634, WO 04/099447, WO 04/011601, WO 05/103301, WO 05/061720, WO 05/059103, WO 06/098952, WO 06/039376, US 2007/292854, WO 07/142840, WO 07/140256, WO 08/112019, WO 09/103049, WO 09/111263, WO 10/077816, WO 11/084621, WO 11/062904, WO 11/022469, WO 13/169923, WO 14/116854, WO 15/053998, WO 15/142571, для событий картофеля Е12, F10, J3, J55, V11, Х17, Y9 - в WO 14/178910, WO 14/178913, WO 14/178941, WO 14/179276, WO 16/183445, WO 17/062831, WO 17/062825, для событий риса LLRICE06, LLRICE601, LLRICE62 - в WO 00/026345, WO 00/026356, WO 00/026345, для событий соевых бобов Н7-1, MON89788, А2704-12, А5547-127, DP305423, DP356043, MON87701, MON87769, CV127, MON87705, DAS68416-4, MON87708, MON87712, SYHT0H2, DAS81419, DAS81419 х DAS44406-6, MON87751 - в WO 04/074492, WO 06/130436, WO 06/108674, WO 06/108675, WO 08/054747, WO 08/002872, WO 09/064652, WO 09/102873, WO 10/080829, WO 10/037016, WO 11/066384, WO 11/034704, WO 12/051199, WO 12/082548, WO 13/016527, WO 13/016516, WO 14/201235.

Применение композиций в соответствии с изобретением на культурных растениях может привести к эффектам, которые специфичны для культурного растения, содержащего определенный ген или событие. Эти эффекты могут включать изменения в характеристиках роста или измененную устойчивость к биотическим или абиотическим стрессовым факторам. Такие эффекты могут, в частности, включать повышенную урожайность, повышенную устойчивость или толерантность к насекомым, нематодам, грибковым, бактериальным, микоплазменным, вирусным или вироидным патогенам, а также раннее развитие мощности растения, раннее или замедленное созревание, толерантность к низким или высоким температурам, а также измененный спектр или содержание аминокислот или жирных кислот.

Неожиданно было обнаружено, что пестицидная активность соединений настоящего изобретения может быть усилена инсектицидным признаком модифицированного растения. Кроме того, было обнаружено, что соединения настоящего изобретения пригодны для предотвращения развития устойчивости насекомых к инсектицидному признаку или для подавления вредителей, которые уже стали устойчивыми к инсектицидному признаку модифицированного растения. Кроме того, соединения настоящего изобретения пригодны для подавления вредителей, против которых инсектицидный признак не эффективен, вследствие чего можно успешно использовать комплементарную инсектицидную активность.

Термин "материал для размножения растений" относится ко всем генеративным частям растения, таким как семена, и вегетативному растительному материалу, такому как черенки и клубни (например, картофель), которые можно использовать для размножения растения. К нему относят семена, корни, плоды, клубни, луковицы, корневища, побеги, проростки и другие части растений. Саженцы и молодые растения, которые пересаживают после прорастания или после появления из почвы, также могут быть охвачены данным термином. Эти материалы для размножения растений можно обрабатывать соединением для защиты растений профилактически либо во время, либо перед осуществлением посадки или пересадки.

Термин "семена" охватывает семена и растительные пропагулы всех видов, включая, кроме прочего, истинные семена, части семян, отростки, клубнелуковицы, луковицы, плоды, клубни, зерно, черенки, отрезанные побеги и т.п., и в предпочтительном варианте осуществления означает истинные семена.

В общем, "пестицидно эффективное количество" означает количество активного компонента, необходимое для достижения заметного эффекта на рост, включая эффекты некроза, гибели, ретардации, предотвращения и удаления, уничтожения или иным образом уменьшения частоты появления и активности целевого организма. Пестицидно эффективное количество может варьироваться для различных соединений/композиций, применяемых в настоящем изобретении. Пестицидно эффективное количество композиций также будет варьироваться в зависимости от преобладающих условий, таких как желаемое пестицидное действие и его продолжительность, погода, целевые виды, локус, способ применения и т.п.

В случае обработки почвы, внесения в борозду или нанесения на место обитания вредителей или гнездо, количество активного компонента варьируется в диапазоне от 0.0001 до 500 г на 100 м2, предпочтительно от 0.001 до 20 г на 100 м2.

Для применения для обработки сельскохозяйственных растений, например, путем внекорневого внесения, норма применения активных компонентов настоящего изобретения может находиться в диапазоне от 0.0001 г до 4000 г на гектар, например, от 1 г до 2 кг на гектар или от 1 г до 750 г на гектар, предпочтительно от 1 г до 100 г на гектар, более предпочтительно от 10 г до 50 г на гектар, например, от 10 до 20 г на гектар, от 20 до 30 г на гектар, от 30 до 40 г на гектар или от 40 до 50 г на гектар.

Соединения настоящего изобретения особенно пригодны для применения для обработки семян с целью защиты семян от насекомых-вредителей, в частности, от насекомых-вредителей, которые живут в почве, и получающихся в результате корней и побегов саженцев от почвенных вредителей и листовых насекомых. Таким образом, настоящее изобретение также относится к способу защиты семян от насекомых, в частности, от почвенных насекомых, и корней и побегов саженцев от насекомых, в частности, от почвенных и листовых насекомых, который включает обработку семян перед посевом и/или после предварительного проращивания соединением настоящего изобретения. Защита корней и побегов саженцев является предпочтительной. Более предпочтительной является защита побегов саженцев от жалящих и сосущих насекомых, грызущих насекомых и нематод.

Термин "обработка семян" включает все пригодные методики обработка семян, известные из уровня техники, такие как протравливание семян, покрытие семян, опудривание семян, намачивание семян, дражирование семян, и методы внесения в борозду. Предпочтительно, применение активного соединения для обработки семян осуществляют путем распыления или опудривания семян перед посевом растений и перед появлением всходов растений.

Настоящее изобретение также включает семена, которые покрыты или содержат активное соединение. Термин "покрытый и/или содержащий" обычно означает, что активный компонент находится большей частью на поверхности продукта для размножения во время нанесения, хотя большая или меньшая часть компонента может проникать в продукт для размножения, в зависимости от способа нанесения. Когда указанный продукт для размножения пересаживают или высаживают, он может абсорбировать активный компонент.

Пригодными семенами являются, например, семена зерновых, корнеплодных культур, масличных культур, овощей, специй, декоративных растений, например, семена твердой пшеницы и других сортов пшеницы, ячменя, овса, ржи, кукурузы (кормовой кукурузы и сахарной кукурузы / сладкой и полевой кукурузы), соевых бобов, масличных культур, крестоцветных, хлопчатника, подсолнечника, бананов, риса, масличного рапса, репы масличной, сахарной свеклы, кормовой свеклы, баклажанов, картофеля, травы, газонных трав, дерна, кормовой травы, томатов, лука-порея, тыквы/кабачка, кочанной капусты, салата айсберг, перца, огурца, дыни, видов декоративной капусты, дыни, фасоли, гороха, полевого лука, лука, моркови, клубневых растений, например, картофеля, сахарного тростника, табака, винограда, петунии, герани/пеларгонии, анютиных глазок и бальзамина.

Кроме того, активное соединение также можно применять для обработки семян растений, которые были модифицированы с помощью мутагенеза или методов генной инженерии, и которые, например, толерантны к действию гербицидов или фунгицидов или инсектицидов. Такие модифицированные растения были подробно описаны выше.

Обычные составы для обработки семян включают, например, текучие концентраты FS, растворы LS, суспоэмульсии SE, порошки для сухой обработки DS, диспергируемые в воде порошки для обработки взвесью WS, водорастворимые порошки SS и эмульсии ES и ЕС и гелевый состав GF. Рассматриваемые составы можно наносить на семена разбавленными или неразбавленными. Нанесение на семена осуществляют перед посевом, либо непосредственно на семена, либо после предварительного проращивания последних. Предпочтительно, составы наносят таким способом, который не вызывается прорастания.

Концентрации активного вещества в готовых к применению составах, которые можно получить после двух-десятикратного разбавления, предпочтительно составляют от 0.01 до 60 мас. %, более предпочтительно от 0.1 до 40 мас. %.

В предпочтительном варианте осуществления для обработки семян применяют FS состав. Типично, FS состав может содержать 1-800 г/л активного компонента, 1-200 г/л поверхностно-активного вещества, от 0 до 200 г/л присадки, понижающей температуру замерзания, от 0 до 400 г/л связующего вещества, от 0 до 200 г/л пигмента, и растворитель, в количестве, необходимом для доведения состава до объема 1 литр, предпочтительно воду.

Особенно предпочтительные FS составы соединений настоящего изобретения для обработки семян обычно содержат от 0.1 до 80 мас. % (от 1 до 800 г/л) активного компонента, от 0.1 до 20 мас. % (от 1 до 200 г/л) по меньшей мере одного поверхностно-активного вещества, например, от 0.05 до 5 мас. % смачивающего средства и от 0.5 до 15 мас. % диспергирующего средства, до 20 мас. %, например, от 5 до 20% присадки, понижающей температуру замерзания, от 0 до 15 мас. %, например, от 1 до 15 мас. % пигмента и/или красителя, от 0 до 40 мас. %, например, от 1 до 40 мас. % связующего вещества (клеящего состава / вещества, улучшающего адгезию), необязательно до 5 мас. %, например, от 0.1 до 5 мас. % загустителя, необязательно от 0.1 до 2% антивспенивателя, и необязательно консервант, такой как биоцид, антиоксидант или т.п., например, в количестве от 0.01 до 1 мас. %, и наполнитель/несущую среду, взятые в количестве до 100 мас. %.

При обработке семян, нормы применения соединений изобретения обычно составляют 0.1 г до 10 кг на 100 кг семян, предпочтительно от 1 г до 5 кг на 100 кг семян, более предпочтительно от 1 г до 1000 г на 100 кг семян и, в частности, от 1 г до 200 г на 100 кг семян, например, от 1 г до 100 г или от 5 г до 100 г на 100 кг семян.

Таким образом, изобретение также относится к семенам, содержащим соединение настоящего изобретения или его сельскохозяйственно пригодную соль, как определено в настоящей заявке. Количество соединения настоящего изобретения или его сельскохозяйственно пригодной соли в общем будет варьироваться от 0.1 г до 10 кг на 100 кг семян, предпочтительно от 1 г до 5 кг на 100 кг семян, в частности, от 1 г до 1000 г на 100 кг семян. Для особых сельскохозяйственных культур, таких как салат-латук, нормы могут быть выше.

Соединения настоящего изобретения также можно применять для улучшения жизнеспособности растения. Таким образом, настоящее изобретение также относится к способу улучшения жизнеспособности растения путем обработки растения, материала для размножения растения и/или локуса, где растение растет или должно расти, эффективным и нефитотоксичным количеством соединения настоящего изобретения.

В контексте данной заявки "эффективное и нефитотоксичное количество" означает, что соединение применяют в количестве, которое позволяет получить желаемый эффект, но которое не вызывает никакого фитотоксичного симптома на обработанном растении или на растении, растущем из обработанного пропагула или обработанной почвы.

Термины "растение" и "материал для размножения растений" определены выше.

"Жизнеспособность растения" определяют как состояние растения и/или его продуктов, которое определяется несколькими аспектами отдельно или в комбинации друг с другом, такими как урожайность (например, увеличенная биомасса и/или повышенное содержание ценных компонентов), качество (например, улучшенное содержание или состав определенных компонентов или срок хранения), сила растения (например, улучшенный рост растения и/или более зеленые листья ("эффект позеленения"), толерантность к абиотическому (например, засухе) и/или биотическому стрессу (например, болезни) и производственная эффективность (например, эффективность уборки, способность к обработке).

Установленные выше индикаторы для состояния жизнеспособности растения могут быть взаимозависимыми и могут быть следствием друг друга. Каждый индикатор определен в уровне техники и может быть определен методами, известными специалисту в данной области техники.

Соединения изобретения также пригодны для применения в отношении несельскохозяйственных насекомых - вредителей. Для применения в отношении указанных несельскохозяйственных вредителей, соединения настоящего изобретения можно применять в виде приманочной композиции, геля, состава для распыления от обычных насекомых, аэрозоля, в виде препаратов для применения в ультранизком объеме и надкроватной сетки (пропитанной или с обработанной препаратом поверхностью). Кроме того, можно применять методы пропитывания и штыкования.

В контексте данной заявки, термин "несельскохозяйственные насекомые - вредители" относится к вредителям, которые, в частности, направлены на несельскохозяйственные мишени, таким как муравьи, термиты, осы, мухи, клещи, комары, постельные клопы, сверчки или тараканы.

Приманка может представлять собой жидкий, твердый или полутвердый препарат (например, гель). Приманка, используемая в композиции, представляет собой продукт, достаточно эффективный для побуждения насекомых, таких как муравьи, термиты, осы, мухи, комары, сверчки и т.д., или тараканы, к его поеданию. Аттрактивностью можно управлять с помощью применения стимуляторов поедания или половых феромонов. Стимуляторы поедания выбирают, например, но не исключительно, из животных и/или растительных белков (мясная, рыбная или кровяная мука, части насекомых, яичный желток), из жиров и масел животного и/или растительного происхождения или моно-, олиго- или полиорганосахаридов, особенно из сахарозы, лактозы, фруктозы, декстрозы, глюкозы, крахмала, пектина или даже мелассы или меда. Свежие или гниющие части плодов, сельскохозяйственных культур, растений, животных, насекомых или особые их части также служат стимуляторами поедания. Половые феромоны, как известно, наиболее специфичны в отношении насекомых. Конкретные феромоны описаны в литературных источниках (например, http://www.pherobase.com), и известны специалисту в данной области техники.

Для применения в содержащих приманку композициях, типичное содержание активного компонента составляет от 0.001 мас. % до 15 мас. %, предпочтительно от 0.001 мас. % до 5% мас. % активного соединения.

Составы соединений настоящего изобретения в виде аэрозолей (например, в аэрозольных баллончиках), масляных препаратов для распыления или препаратов для распыления пульверизатором весьма пригодны для профессиональных или непрофессиональных пользователей для борьбы с вредителями, таким как мухи, блохи, клещи, постельные клопы, комары или тараканы. Аэрозольные составы предпочтительно содержат активное соединение, растворители, кроме того, вспомогательные вещества, такие как эмульгаторы, парфюмерные масла, при необходимости стабилизаторы, и, при необходимости, пропелленты.

Масляные составы для распыления отличаются от аэрозольных составов тем, что в них не используют пропелленты.

Для применения в композициях для распыления, содержание активного компонента составляет от 0.001 до 80 мас. %, предпочтительно от 0.01 до 50 мас. % и наиболее предпочтительно от 0.01 до 15 мас. %.

Соединения настоящего изобретения и их соответствующие композиции также можно применять в москитных и окуривающих спиралях, дымовых шашках, испарительных пластинах или длительно действующих испарителях, а также в противомолевых бумагах, противомолевых подушечках или других, независимых от нагревания испарительных системах.

Способы борьбы с инфекционными заболеваниями, передающимися насекомыми (например, малярией, лихорадкой денге и желтой лихорадкой, филяриатозом лимфоузлов и лейшманиозом) с помощью соединений настоящего изобретения и их соответствующих композиций также включают обработку поверхностей хижин и домов, обработку распылением сжатым воздухом и пропитывание занавесок, палаток, предметов одежды, надкроватных сеток, ловушек для мух це-це или т.п. Инсектицидные композиции для обработки нитей, тканей, трикотажных изделий, нетканых материалов, сетчатых материалов или пленок и брезентов предпочтительно включают смесь, содержащую инсектицид, необязательно репеллент и по меньшей мере одно связующее.

Соединения настоящего изобретения и их композиции можно применять для защиты деревянных материалов, таких как бревна, дощатые заборы, шпалы, рамы, художественные артефакты и т.д., а также зданий и сооружений, и строительных материалов, мебели, кожи, волокон, изделий из винила, электрических проводов и кабелей и т.д. от муравьев, термитов и/или разрушающих древесину или ткани жуков, и для борьбы с муравьями и термитами с целью предотвращения нанесения ими вреда сельскохозяйственным культурам или людям (например, в случае нашествия вредителей в дома и общественные помещения или присутствия гнезд во дворах, садах или парках).

Обычные нормы применения при защите материалов составляют, например, от 0.001 г до 2000 г или от 0.01 г до 1000 г активного соединения на м2 обработанного материала, предпочтительно от 0.1 г до 50 г на м2.

Инсектицидные композиции для применения для пропитывания материалов типично содержат от 0.001 до 95 мас. %, предпочтительно от 0.1 до 45 мас. %, и более предпочтительно от 1 до 25 мас. % по меньшей мере одного репеллента и/или инсектицида.

Соединения настоящего изобретения являются особенно пригодными для эффективной борьбы с животными - вредителями, такими как артроподы, гастроподы и нематоды, включая, кроме прочего, следующие:

насекомые из отряда Lepidoptera, например, Achroia grisella, Acleris spp., такие как A. fimbriana, A. gloverana, A. variana; Acrolepiopsis assectella, Acronicta major, Adoxophyes spp., такие как A. cyrtosema, A. orana; Aedia leucomelas, Agrotis spp., такие как A. exclamationis, A. fucosa, A. ipsilon, A. orthogoma, A. segetum, A. subterranea; Alabama argillacea, Aleurodicus dispersus, Alsophila pometaria, Ampelophaga rubiginosa, Amyelois transitella, Anacampsis sarcitella, Anagasta kuehniella, Anarsia lineatella, Anisota senatoria, Antheraea pernyi, Anticarsia (=Thermesia) spp., такие как A. gemmatalis; Apamea spp., Aproaerema modicella, Archips spp., такие как A. argyrospila, A. fuscocupreanus, A. rosana, A. xyloseanus; Argyresthia conjugella, Argyroploce spp., Argyrotaenia spp., такие как A. velutinana; Athetis mindara, Austroasca viridigrisea, Autographa gamma, Autographa nigrisigna, Barathra brassicae, Bedellia spp., Bonagota salubricola, Borbo cinnara, Bucculatrix thurberiella, Bupalus piniarius, Busseola spp., Cacoecia spp., такие как С. murinana, С. podana; Cactoblastis cactorum, Cadra cautella, Calingo braziliensis, Caloptilis theivora, Capua reticulana, Carposina spp., такие как С. niponensis, С. sasakii; Cephus spp., Chaetocnema aridula, Cheimatobia brumata, Chilo spp., такие как С. Indicus, С. suppressalis, С. partellus; Choreutis pariana, Choristoneura spp., такие как С. conflictana, C. fumiferana, C. longicellana, C. murinana, C. occidentalis, C. rosaceana; Chrysodeixis (=Pseudoplusia) spp., такие как С. eriosoma, С. includens; Cirphis unipuncta, Clysia ambiguella, Cnaphalocerus spp., Cnaphalocrocis medinalis, Cnephasia spp., Cochylis hospes, Coleophora spp., Colias eurytheme, Conopomorpha spp., Conotrachelus spp., Copitarsia spp., Corcyra cephalonica, Crambus caliginosellus, Crambus teterrellus, Crocidosema (=Epinotia) aporema, Cydalima (=Diaphania) perspectalis, Cydia (=Carpocapsa) spp., такие как С. pomonella, С. latiferreana; Dalaca noctuides, Datana integerrima, Dasychira pinicola, Dendrolimus spp., такие как D. pint, D. spectabilis, D. sibiricus; Desmia funeralis, Diaphania spp., такие как D. nitidalis, D. hyalinata; Diatraea grandiosella, Diatraea saccharalis, Diphthera festiva, Earias spp., такие как E. insulana, E. vittella; Ecdytolopha aurantianu, Egira (=Xylomyges) curialis, Elasmopalpus lignosellus, Eldana saccharina, Endopiza viteana, Ennomos subsignaria, Eoreuma loftini, Ephestia spp., такие как E. cautella, E. elutella, E. kuehniella; Epinotia aporema, Epiphyas postvittana, Erannis tiliaria, Erionota thrax, Etiella spp., Eulia spp., Eupoecilia ambiguella, Euproctis chrysorrhoea, Euxoa spp., Evetria bouliana, Faronta albilinea, Feltia spp., такие как F. subterranean; Galleria mellonella, Gracillaria spp., Grapholita spp., такие как G. funebrana, G. molesta, G. inopinata; Halysidota spp., Harrisina americana, Hedylepta spp., Helicoverpa spp., такие как H. armigera (=Heliothis armigera), H. zea (=Heliothis zea); Heliothis spp., такие как H., assulta, H. subflexa, H. virescens; Hellula spp., такие как H. undalis, H. rogatalis; Helocoverpa gelotopoeon, Hemileuca oliviae, Herpetogramma licarsisalis, Hibernia defoliaria, Hofmannophila pseudospretella, Homoeosoma electellum, Homona magnanima, Hypena scabra, Hyphantria cunea, Hyponomeuta padella, Hyponomeuta malinellus, Kakivoria flavofasciata, Keiferia lycopersicella, Lambdina fiscellaria fiscellaria, Lambdina fiscellaria lugubrosa, Lamprosema indicata, Laspeyresia molesta, Leguminivora glycinivorella, Lerodea eufala, Leucinodes orbonalis, Leucoma salicis, Leucoptera spp., такие как L. coffeella, L. scitella; Leuminivora lycinivorella, Lithocolletis blancardella, Lithophane antennata, Llattia octo (=Amyna axis), Lobesia botrana, Lophocampa spp., Loxagrotis albicosta, Loxostege spp., такие как L. sticticalis, L. cereralis; Lymantria spp., такие как L. dispar, L. monacha; Lyonetia clerkella, Lyonetia prunifoliella, Malacosoma spp., такие как М. americanum, M. californicum, M. constrictum, M. neustria; Mamestra spp., такие как M. brassicae, M. configurata; Mamstra brassicae, Manduca spp., такие как M. quinquemaculata, M. sexta; Marasmia spp, Marmara spp., Maruca testulalis, Megalopyge lanata, Melanchra picta, Melanitis leda, Mods spp., такие как M. lapites, M. repanda; Mocis latipes, Monochroa fragariae, Mythimna separata, Nemapogon cloacella, Neoleucinodes elegantalis, Nepytia spp., Nymphula spp., Oiketicus spp., Omiodes indicata, Omphisa anastomosalis, Operophtera brumata, Orgyia pseudotsugata, Oria spp., Orthaga thyrisalis, Ostrinia spp., такие как О. nubilalis; Oulema oryzae, Paleacrita vernata, Panolis flammea, Parnara spp., Papaipema nebris, Papilio cresphontes, Paramyelois transitella, Paranthrene regalis, Paysandisia archon, Pectinophora spp., такие как P. gossypiella; Peridroma saucia, Perileucoptera spp., такие как P. coffeella; Phalera bucephala, Phryganidia californica, Phthorimaea spp., такие как P. operculella; Phyllocnistis citrella, Phyllonorycter spp., такие как P. blancardella, P. crataegella, P. issikii, P. ringoniella; Pieris spp., такие как P. brassicae, P. rapae, P. napi; Pilocrocis tripunctata, Plathypena scabra, Platynota spp., такие как P. flavedana, P. idaeusalis, P. stultana; Platyptilia carduidactyla, Plebejus argus, Plodia interpunctella, Plusia spp, Plutella maculipennis, Plutella xylostella, Pontia protodica, Prays spp., Prodenia spp., Proxenus lepigone, Pseudaletia spp., такие как P. sequax, P. unipuncta; Pyrausta nubilalis, Rachiplusia nu, Richia albicosta, Rhizobius ventralis, Rhyacionia frustrana, Sabulodes aegrotata, Schizura concinna, Schoenobius spp., Schreckensteinia festaliella, Scirpophaga spp., такие как S. incertulas, S. innotata; Scotia segetum, Sesamia spp., такие как S. infer ens, Seudyra subflava, Sitotroga cerealella, Sparganothis pilleriana, Spilonota lechriaspis, S. ocellana, Spodoptera (=Lamphygma) spp., такие как S. cosmoides, S. eridania, S. exigua, S. frugiperda, S. latisfascia, S. littoralis, S. litura, S. omithogalli; Stigmella spp., Stomopteryx subsecivella, Strymon bazochii, Sylepta derogata, Synanthedon spp., такие как S. exitiosa, Tecia solanivora, Telehin licus, Thaumatopoea pityocampa, Thaumatotibia (=Cryptophlebia) leucotreta, Thaumetopoea pityocampa, Thecla spp., Theresimima ampelophaga, Thyrinteina spp, Tildenia inconspicuella, Tinea spp., такие как Т. cloacella, Т. pellionella; Tineola bisselliella, Tortrix spp., такие как Т. viridana; Trichophaga tapetzella, Trichoplusia spp., такие как Т. ni; Tuta (=Scrobipalpula) absoluta, Udea spp., такие как U. rubigalis, U. rubigalis; Virachola spp., Yponomeuta padella и Zeiraphera canadensis;

насекомые из отряда Coleoptera, например, Acalymma vittatum, Acanthoscehdes obtectus, Adoretus spp., Agelastica alni, Agrilus spp., такие как A. anxius, A. planipennis, A. sinuatus; Agriotes spp., такие как A. fuscicollis, A. lineatus, A. obscurus; Alphitobius diaperinus, Amphimallus solstitialis, Anisandrus dispar, Anisoplia austriaca, Anobium punctatum, Anomala corpulenta, Anomala rufocuprea, Anoplophora spp., такие как A. glabripennis; Anthonomus spp., такие как A. eugenii, A. grandis, A. pomorum; Anthrenus spp., Aphthona euphoridae, Apion spp., Apogonia spp., Athous haemorrhoidalis, Atomaria spp., такие как A. linearis; Attagenus spp., Aulacophora femoralis, Blastophagus piniperda, Blitophaga undata, Bruchidius obtectus, Bruchus spp., такие как В. lentis, В. pisorum, В. rufimanus; Byctiscus betulae, Callidiellum rufipenne, Callopistria floridensis, Callosobruchus chinensis, Cameraria ohridella, Cassida nebulosa, Cerotoma trifurcata, Cetonia aurata, Ceuthorhynchus spp., такие как С. assimilis, С. napi; Chaetocnema tibialis, Cleonus mendicus, Conoderus spp., такие как С. vespertinus; Conotrachelus nenuphar, Cosmopolites spp., Costelytra zealandica, Crioceris asparagi, Cryptolestes ferrugineus, Cryptorhynchus lapathi, Ctenicera spp., такие как С. destructor; Curculio spp., Cylindrocopturus spp., Cyclocephala spp., Dactylispa balyi, Dectes texanus, Dermestes spp., Diabrotica spp., такие как D. undecimpunctata, D. speciosa, D. longicornis, D. semipunctata, D. virgifera; Diaprepes abbreviates, Dichocrocis spp., Dicladispa armigera, Diloboderus abderus, Diocalandra frumenti (Diocalandra stigmaticollis), Enaphalodes rufulus, Epilachna spp., такие как E. varivestis, E. vigintioctomaculata; Epitrix spp., такие как E. hirtipennis, E. similaris; Eutheola humilis, Eutinobothrus brasiliensis, Faustinus cubae, Gibbium psylloides, Gnathocerus cornutus, Hellula undalis, Heteronychus arator, Hylamorpha elegans, Hylobius abietis, Hylotrupes bajulus, Hypera spp., такие как H. brunneipennis, H. postica; Hypomeces squamosus, Hypothenemus spp., Ips typographus, Lachnosterna consanguinea, Lasioderma serricorne, Latheticus oryzae, Lathridius spp., Lema spp., такие как L. bilineata, L. melanopus; Leptinotarsa spp., такие как L. decemlineata; Leptispa pygmaea, Limonius californicus, Lissorhoptrus oryzophilus, Lixus spp., Luperodes spp., Lyctus spp., такие как L. bruneus; Liogenys fuscus, Macrodactylus spp., такие как M. subspinosus; Maladera matrida, Megaplatypus mutates, Megascelis spp., Melanotus communis, Meligethes spp., такие как M. aeneus; Melolontha spp., такие как M. hippocastani, M. melolontha; Metamasius hemipterus, Microtheca spp., Migdolus spp., такие как M. fryanus, Monochamus spp., такие как M. alternatus; Naupactus xanthographus, Niptus hololeucus, Oberia brevis, Oemona hirta, Oryctes rhinoceros, Oryzaephilus surinamensis, Oryzaphagus oryzae, Otiorrhynchus sulcatus, Otiorrhynchus ovatus, Otiorrhynchus sulcatus, Oulema melanopus, Oulema oryzae, Oxycetonia jucunda, Phaedon spp., такие как P. brassicae, P. cochleariae; Phoracantha recurva, Phyllobius pyri, Phyllopertha horticola, Phyllophaga spp., такие как P. helleri; Phyllotreta spp., такие как P. chrysocephala, P. nemorum, P. striolata, P. vittula; Phyllopertha horticola, Popillia japonica, Premnotrypes spp., Psacothea hilaris, Psylliodes chrysocephala, Prostephanus truncates, Psylliodes spp., Ptinus spp., Pulga saltona, Rhizopertha dominica, Rhynchophorus spp., такие как R. billineatus, R. ferrugineus, R. palmarum, R. phoenicis, R. vulneratus; Saperda Candida, Scolytus schevyrewi, Scyphophorus acupunctatus, Sitona lineatus, Sitophilus spp., такие как S. granaria, S. oryzae, S. zeamais; Sphenophorus spp., такие как S. levis; Stegobium paniceum, Sternechus spp., такие как S. subsignatus; Strophomorphus ctenotus, Symphyletes spp., Tanymecus spp., Tenebrio molitor, Tenebrioides mauretanicus, Tribolium spp., такие как Т. castaneum; Trogoderma spp., Tychius spp., Xylotrechus spp., такие как X. pyrrhoderus; и Zabrus spp., такие как Z. tenebrioides;

насекомые из отряда Diptera, например, Aedes spp., такие как A. aegypti, A. albopictus, A. vexans; Anastrepha ludens, Anopheles spp., такие как A. albimanus, A. crucians, A. freeborni, A. gambiae, A. leucosphyrus, A. maculipennis, A. minimus, A. quadrimaculatus, A. sinensis; Bactrocera invadens, Bibio hortulanus, Calliphora erythrocephala, Calliphora vicina, Ceratitis capitata, Chrysomyia spp., такие как С. bezziana, С. hominivorax, С. macellaria; Chrysops atlanticus, Chrysops discalis, Chrysops silacea, Cochliomyia spp., такие как С. hominivorax; Contarinia spp., такие как С. sorghicola; Cordylobia anthropophaga, Culex spp., такие как С. nigripalpus, С. pipiens, С. quinquefasciatus, С. tarsalis, С. tritaeniorhynchus; Culicoides furens, Culiseta inornata, Culiseta melanura, Cuterebra spp., Dacus cucurbitae, Dacus oleae, Dasineura brassicae, Dasineura oxycoccana, Delia spp., такие как D. antique, D. coarctata, D. platura, D. radicum; Dermatobia hominis, Drosophila spp., такие как D. suzukii, Fannia spp., такие как F. canicularis; Gastraphilus spp., такие как G. intestinalis; Geomyza tipunctata, Glossina spp., такие как G. fuscipes, G. morsitans, G. palpalis, G. tachinoides; Haematobia irritans, Haplodiplosis equestris, Hippelates spp., Hylemyia spp., такие как H. platura; Hypoderma spp., такие как H. lineata; Hyppobosca spp., Hydrellia philippina, Leptoconops torrens, Liriomyza spp., такие как L. sativae, L. trifolii; Lucilia spp., такие как L. caprina, L. cuprina, L. sericata; Lycoria pectoralis, Mansonia titillanus, Mayetiola spp., такие как M. destructor; Musca spp., такие как M. autumnalis, M. domestica; Muscina stabulans, Oestrus spp., такие как О. ovis; Opomyza florum, Oscinella spp., такие как О. frit; Orseolia oryzae, Pegomya hysocyami, Phlebotomus argentipes, Phorbia spp., такие как P. antiqua, P. brassicae, P. coarctata; Phytomyza gymnostoma, Prosimulium mixtum, Psila rosae, Psorophora columbiae, Psorophora discolor, Rhagoletis spp., такие как R. cerasi, R. cingulate, R. indifferens, R. mendax, R. pomonella; Rivellia quadrifas data, Sarcophaga spp., такие как S. haemorrhoidalis; Simulium vittatum, Sitodiplosis mosellana, Stomoxys spp., такие как S. calcitrans; Tabanus spp., такие как Т. atratus, Т. bovinus, Т. lineola, Т. similis; Tannia spp., Thecodiplosis japonensis, Tipula oleracea, Tipula paludosa и Wohlfahrtia spp;

насекомые из отряда Thysanoptera, например, Baliothrips biformis, Dichromothrips corbetti, Dichromothrips ssp., Echinothrips americanus, Enneothrips flavens, Frankliniella spp., такие как F. fusca, F. occidentalis, F. tritici; Heliothrips spp., Hercinothrips femoralis, Kakothrips spp., Microcephalothrips abdominalis, Neohydatothrips samayunkur, Pezothrips kellyanus, Rhipiphorothrips cruentatus, Scirtothrips spp., такие как S. citri, S. dorsalis, S. perseae; Stenchaetothrips spp, Taeniothrips cardamom, Taeniothrips inconsequens, Thrips spp., такие как Т. imagines, Т. hawaiiensis, Т. oryzae, Т. palmi, Т. parvispinus, Т. tabaci;

насекомые из отряда Hemiptera, например, Acizzia jamatonica, Acrosternum spp., такие как A. hilare; Acyrthosipon spp., такие как A. onobrychis, A. pisum; Adelges laricis, Adelges tsugae, Adelphocoris spp., такие как A. rapidus, A. superbus; Aeneolamia spp., Agonoscena spp., Aulacorthum solani, Aleurocanthus woglumi, Aleurodes spp., Aleurodicus disperses, Aleurolobus barodensis, Aleurothrixus spp., Amrasca spp., Anasa tristis, Antestiopsis spp., Anuraphis cardui, Aonidiella spp., Aphanostigma piri, Aphidula nasturtii, Aphis spp., такие как A. craccivora, A. fabae, A. forbesi, A. gossypii, A. grossulariae, A. maidiradicis, A. pomi, A. sambuci, A. schneideri, A. spiraecola; Arboridia apicalis, Arilus critatus, Aspidiella spp., Aspidiotus spp., Atanus spp., Aulacaspis yasumatsui, Aulacorthum solani, Bactericera cockerelli (Paratrioza cockerelli), Bemisia spp., такие как В. argentifolii, В. tabaci (Aleurodes tabaci); Blissus spp., такие как В. leucopterus; Brachycaudus spp., такие как В. cardui, В. helichrysi, В. persicae, В. prunicola; Brachycolus spp., Brachycorynella asparagi, Brevicoryne brassicae, Cacopsylla spp., такие как С. fulguralis, С. pyricola (Psylla piri); Calligypona marginata, Calocoris spp., Campylomma livida, Capitophorus horni, Carneocephala fulgida, Cavelerius spp., Ceraplastes spp., Ceratovacuna lanigera, Ceroplastes ceriferus, Cerosipha gossypii, Chaetosiphon fragaefolii, Chionaspis tegalensis, Chlorita onukii, Chromaphis juglandicola, Chrysomphalus ficus, Cicadulina mbila, Cimex spp., такие как С. hemipterus, С. lectularius; Coccomytilus halli, Coccus spp., такие как С. hesperidum, С. pseudomagnoliarum; Corythucha arcuata, Creontiades dilutus, Cryptomyzus ribis, Chrysomphalus aonidum, Cryptomyzus ribis, Ctenarytaina spatulata, Cyrtopeltis notatus, Dalbulus spp., Dasynus piperis, Dialeurodes spp., такие как D. citrifolii; Dalbulus maidis, Diaphorina spp., такие как D. citri; Diaspis spp., такие как D. bromeliae; Dichelops furcatus, Diconocoris hewetti, Doralis spp., Dreyfusia nordmannianae, Dreyfusia piceae, Drosicha spp., Dysaphis spp., такие как D. plantaginea, D. pyri, D. radicola; Dysaulacorthum pseudosolani, Dysdercus spp., такие как D. cingulatus, D. intermedius; Dysmicoccus spp., Edessa spp., Geocoris spp., Empoasca spp., такие как E. fabae, E. solana; Epidiaspis leperii, Eriosoma spp., такие как E. lanigerum, E. pyricola; Erythroneura spp., Eurygaster spp., такие как E. integriceps; Euscelis bilobatus, Euschistus spp., такие как E. heros, E. impictiventris, E. servus; Fiorinia theae, Geococcus coffeae, Glycaspis brimblecombei, Halyomorpha spp., такие как H. halys; Heliopeltis spp., Homalodisca vitripennis (=H. coagulata), Horcias nobilellus, Hyalopterus pruni, Hyper omyzus lactucae, leery a spp., такие как L. purchase; Idiocerus spp., Idioscopus spp., Laodelphax striatellus, Lecanium spp., Lecanoideus floccissimus, Lepidosaphes spp., такие как L. ulmi; Leptocorisa spp., Leptoglossus phyllopus, Lipaphis erysimi, Lygus spp., такие как L. hesperus, L. lineolaris, L. pratensis; Maconellicoccus hirsutus, Marchalina hellenica, Macropes excavatus, Macrosiphum spp., такие как M. rosae, M. avenae, M. euphorbiae; Macrosteles quadrilineatus, Mahanarva fimbriolata, Megacopta cribraria, Megoura viciae, Melanaphis pyrarius, Melanaphis sacchari, Melanocallis (=Tinocallis) caryaefoliae, Metcafiella spp., Metopolophium dirhodum, Monellia costalis, Monelliopsis pecanis, Myzocallis coryli, Murgantia spp., Myzus spp., такие как M. ascalonicus, M. cerasi, M. nicotianae, M. persicae, M. varians; Nasonovia ribis-nigri, Neotoxoptera formosana, Neomegalotomus spp, Nephotettix spp., такие как N. malayanus, N. nigropictus, N. parvus, N. virescens; Nezara spp., такие как N. viridula; Nilaparvata lugens, Nysius huttoni, Oebalus spp., такие как О. pugnax; Oncometopia spp., Orthezia praelonga, Oxycaraenus hyalinipennis, Parabemisia myricae, Parlatoria spp., Parthenolecanium spp., такие как P. corni, P. persicae; Pemphigus spp., такие как P. bursarius, P. populivenae; Peregrinus maidis, Perkinsiella saccharicida, Phenacoccus spp., такие как P. aceris, P. gossypii; Phloeomyzus passerinii, Phorodon humuli, Phylloxera spp., такие как P. devastatrix, Piesma quadrata, Piezodorus spp., такие как P. guildinii; Pinnaspis aspidistrae, Planococcus spp., такие как P. citri, P. ficus; Prosapia bicincta, Protopulvinaria pyriformis, Psallus seriatus, Pseudacysta persea, Pseudaulacaspis pentagona, Pseudococcus spp., такие как P. comstocki; Psylla spp., такие как P. mali; Pteromalus spp., Pulvinaria amygdali, Pyrilla spp., Quadraspidiotus spp., такие как Q. perniciosus; Quesada gigas, Rastrococcus spp., Reduvius senilis, Rhizoecus americanus, Rhodnius spp., Rhopalomyzus ascalonicus, Rhopalosiphum spp., такие как R. pseudobrassicas, R. insertum, R. maidis, R. padi; Sagatodes spp., Sahlbergella singularis, Saissetia spp., Sappaphis mala, Sappaphis mali, Scaptocoris spp., Scaphoides titanus, Schizaphis graminum, Schizoneura lanuginosa, Scotinophora spp., Selenaspidus articulatus, Sitobion avenae, Sogata spp., Sogatella furcifera, Solubea insularis, Spissistilus festinus (=Stictocephala festina), Stephanitis nashi, Stephanitis pyrioides, Stephanitis takeyai, Tenalaphara malayensis, Tetraleurodes perseae, Therioaphis maculate, Thyanta spp., такие как Т. accerra, Т. perditor; Tibraca spp., Tomaspis spp., Toxoptera spp., такие как Т. aurantii; Trialeurodes spp., такие как Т. abutilonea, Т. ricini, Т. vaporariorum; Triatoma spp., Trioza spp., Typhlocyba spp., Unaspis spp., такие как U. citri, U. yanonensis; и Viteus vitifolii;

насекомые из отряда Hymenoptera, например, Acanthomyops interjectus, Athalia rosae, Atta spp., такие как A. capiguara, A. cephalotes, A. cephalotes, A. laevigata, A. robusta, A. sexdens, A. texana, Bombus spp., Brachymyrmex spp., Camponotus spp., такие как С. floridanus, С. pennsylvanicus, С. modoc; Cardiocondyla nuda, Chalibion sp, Crematogaster spp., Dasymutilla occidentalis, Diprion spp., Dolichovespula maculata, Dorymyrmex spp., Dryocosmus kuriphilus, Formica spp., Hoplocampa spp., такие как H. minuta, H. testudinea; Iridomyrmex humilis, Lasius spp., такие как L. niger, Linepithema humile, Liometopum spp., Leptocybe invasa, Monomorium spp., такие как M. pharaonis, Monomorium, Nylandria fulva, Pachycondyla chinensis, Paratrechina longicornis, Paravespula spp., такие как P. germanica, P. pennsylvanica, P. vulgaris; Pheidole spp., такие как P. megacephala; Pogonomyrmex spp., такие как P. barbatus, P. californicus, Polistes rubiginosa, Prenolepis impairs, Pseudomyrmex gracilis, Schelipron spp., Sirex cyaneus, Solenopsis spp., такие как S. geminata, S.invicta, S. molesta, S. richteri, S. xyloni, Sphecius speciosus, Sphex spp., Tapinoma spp., такие как Т. melanocephalum, Т. sessile; Tetramorium spp., такие как Т. caespitum, Т. bicarinatum, Vespa spp., такие как V. crabro; Vespula spp., такие как V. squamosal; Wasmannia auropunctata, Xylocopa sp;

насекомые из отряда Orthoptera, например, Acheta domesticus, Calliptamus italicus, Chortoicetes terminifera, Ceuthophilus spp., Diastrammena asynamora, Dociostaurus maroccanus, Gryllotalpa spp., такие как G. africana, G. gryllotalpa; Gryllus spp., Hieroglyphus daganensis, Kraussaria angulifera, Locusta spp., такие как L. migratoria, L. pardalina; Melanoplus spp., такие как M. bivittatus, M. femurrubrum, M. mexicanus, M. sanguinipes, M. spretus; Nomadacris septemfasciata, Oedaleus senegalensis, Scapteriscus spp., Schistocerca spp., такие как S. americana, S. gregaria, Stemopelmatus spp., Tachycines asynamorus и Zonozerus variegatus;

вредители из класса Arachnida, например, Acari, например, из семейств Argasidae, Ixodidae и Sarcoptidae, такие как Amblyomma spp.(например, А. americanum, A. variegatum, A. maculatum), Argas spp., такие как A. persicu, Boophilus spp., такие как В. annulatus, В. decoloratus, В. microplus, Dermacentor spp., такие как D. silvarum, D. andersoni, D. variabilis, Hyalomma spp., такие как H. truncatum, Ixodes spp., такие как I. ricinus, I. rubicundus, I. scapularis, I. holocyclus, I. pacificus, Rhipicephalus sanguineus, Ornithodorus spp., такие как О. moubata, О. hermsi, О. turicata, Ornithonyssus bacoti, Otobius megnini, Dermanyssus gallinae, Psoroptes spp., такие как P. ovis, Rhipicephalus spp., такие как R. sanguineus, R. appendiculatus, Rhipicephalus evertsi, Rhizoglyphus spp., Sarcopies spp., такие как S. Scabiei; и семейства Eriophyidae, включая Aceria spp., такие как A. sheldoni, A. anthocoptes, Acallitus spp., Aculops spp., такие как A. lycopersici, A. pelekassi; Aculus spp., такие как A. schlechtendali; Colomerus vitis, Epitrimerus pyri, Phyllocoptruta oleivora; Eriophytes ribis и Eriophyes spp., такие как Eriophyes sheldoni; семейства Tarsonemidae, включая Hemitarsonemus spp., Phytonemus pallidus и Polyphagotarsonemus latus, Stenotarsonemus spp. Steneotarsonemus spinki; семейства Tenuipalpidae, включая Brevipalpus spp., такие как В. phoenicis; семейства Tetranychidae, включая Eotetranychus spp., Eutetranychus spp., Oligonychus spp., Peirobia latens, Tetranychus spp., такие как Т. cinnabarinus, Т. evansi, Т. kanzawai, Т, paciflcus, Т. phaseulus, Т. telarius и Т. urticae; Bryobia praetiosa; Panonychus spp., такие как P. ulmi, P. citri; Metatetranychus spp. и Oligonychus spp., такие как О. pratensis, О. perseae, Vasates lycopersici; Raoiella indica, семейства Carpoglyphidae, включая Carpoglyphus spp.; Penthaleidae spp., такие как Halotydeus destructor; семейства Demodicidae с видами, такими как Demodex spp.; семейства Trombicidea, включая Trombicula spp.; семейства Macronyssidae, включая Ornothonyssus spp.; семейства Pyemotidae, включая Pyemotes tritici; Tyrophagus putrescentiae; семейства Acaridae, включая Acarus siro; семейства Araneida, включая Latrodectus mactans, Tegenaria agrestis, Chiracanthium sp, Lycos a sp Achaearanea tepidariorum и Loxosceles reclusa;

вредители из филума Nematoda, например, паразитические нематоды растений, такие как клубеньковые нематоды, Meloidogyne spp., такие как М. hapla, М. incognita, М. javanica; цистообразующие нематоды, Globodera spp., такие как G. rostochiensis; Heterodera spp., такие как Н. avenae, Н. glycines, Н. schachtii, Н. trifolii; семенные галловые нематоды, Anguina spp.; стеблевые и листовые нематоды, Aphelenchoides spp., такие как A. besseyi; жалящие нематоды, Belonolaimus spp., такие как В. longicaudatus; сосновые нематоды, Bursaphelenchus spp., такие как В. lignicolus, В. xylophilus; кольчатые нематоды, Criconema spp., Criconemella spp., такие как С. xenoplax и С. ornata; и Criconemoides spp., такие как Criconemoides informis; Mesocriconema spp.; стволовые и луковичные нематоды, Ditylenchus spp., такие как D. destructor, D. dipsaci; длинностилетные нематоды, Dolichodorus spp.; спиральные нематоды, Heliocotylenchus multicinctus; оболочковые и оболочкоподобные нематоды, Hemicycliophora spp.и Hemicriconemoides spp.; Hirshmanniella spp.; ланцетовидные нематоды, Hoploaimus spp.; ложные клубеньковые нематоды, Nacobbus spp.; игольчатые нематоды, Longidorus spp., такие как L. elongatus; ранящие нематоды, Pratylenchus spp., такие как P. brachyurus, P. neglectus, P. penetrans, P. curvitatus, P. goodeyi; роющие нематоды, Radopholus spp., такие как R. similis; Rhadopholus spp.; Rhodopholus spp.; почковидные нематоды, Rotylenchus spp., такие как R. robustus, R. reniformis; Scutellonema spp.; нематоды, вызывающие тупоконечность корней, Trichodorus spp., такие как Т. obtusus, Т. primitivus; Paratrichodorus spp., такие как P. minor; карликовые нематоды, Tylenchorhynchus spp., такие как Т. claytoni, Т. dubius; цитрусовые нематоды, Tylenchulus spp., такие как Т. semipenetrans; кинжальные нематоды, Xiphinema spp.; и другие виды паразитирующих на растениях нематод;

насекомые из отряда Blattodea, например, Macrotermes spp., такие как М. natalensis; Cornitermes cumulans, Procornitermes spp., Globitermes sulfureus, Neocapritermes spp., такие как N. opacus, N. parvus; Odontotermes spp., Nasutitermes spp., такие как N. corniger; Coptotermes spp., такие как С. formosanus, С. gestroi, С. acinaciformis; Reticulitermes spp., такие как R. hesperus, R. tibialis, R. speratus, R. flavipes, R. grassei, R. lucifugus, R. virginicus; Heterotermes spp., такие как H. aureus, H. longiceps, H. tenuis; Cryptotermes spp., такие как С. brevis, С. cavifrons; Incisitermes spp., такие как I. minor, I. snyderi; Marginitermes hubbardi, Kalotermes flavicollis, Neotermes spp., такие как N. castaneus, Zootermopsis spp., такие как Z. angusticollis, Z. nevadensis, Mastotermes spp., такие как М. darwiniensis; Blatta spp., такие как В. orientalis, В. lateralis; Blattella spp., такие как В. asahinae, В. germanica; Rhyparobia maderae, Panchlora nivea, Periplaneta spp., такие как P. americana, P. australasiae, P. brunnea, P. fuliginosa, P. japonica; Supella longipalpa, Parcoblatta pennsylvanica, Eurycotis floridana, Pycnoscelus surinamensis;

насекомые из отряда Siphonoptera, например, Cediopsylla simples, Ceratophyllus spp., Ctenocephalides spp., такие как С. felis, С. canis, Xenopsylla cheopis, Pulex irritans, Trichodectes canis, Tunga penetrans и Nosopsyllus fasciatus;

насекомые из отряда Thysanura, например, Lepisma saccharina, Ctenolepisma urbana и Thermobia domestica;

вредители из класса Chilopoda, например, Geophilus spp., Scutigera spp., такие как Scutigera coleoptrata;

вредители из класса Diplopoda, например, Blaniulus guttulatus, Julus spp., Narceus spp.;

вредители из класса Symphyla, например, Scutigerella immaculata;

насекомые из отряда Dermaptera, например, Forficula auricularia;

насекомые из отряда Collembola, например, Qnychiurus spp., такие как Onychiurus armatus;

вредители из отряда Isopoda, например, Armadillidium vulgare, Oniscus asellus, Porcellio scaber;

насекомые из отряда Phthiraptera, например, Damalinia spp., Pediculus spp., такие как Pediculus humanus capitis, Pediculus humanus corporis, Pediculus humanus humanus; Pthirus pubis, Haematopinus spp., такие как Haematopinus eurysternus, Haematopinus suis; Linognathus spp., такие как Linognathus vituli; Bovicola bovis, Menopon gallinae, Menacanthus stramineus и Solenopotes capillatus, Trichodectes spp.

Примеры дальнейших видов вредителей, с которыми можно вести борьбу с помощью соединений формулы (I), включают вредителей из филума Mollusca, класса Bivalvia, например, Dreissena spp.; класса Gastropoda, например, Arion spp., Biomphalaria spp., Bulinus spp., Deroceras spp., Galba spp., Lymnaea spp., Oncomelania spp., Pomacea canaliclata, Succinea spp.; из класса гельминтов, например, Ancylostoma duodenale, Ancylostoma ceylanicum, Acylostoma braziliensis, Ancylostoma spp., Ascaris lubricoides, Ascaris spp., Brugia malayi, Brugia timori, Bunostomum spp., Chabertia spp., Clonorchis spp., Cooperia spp., Dicrocoelium spp., Dictyocaulus filaria, Diphyllobothrium latum, Dracunculus medinensis, Echinococcus granulosus, Echinococcus multilocularis, Enterobius vermicularis, Faciola spp., Haemonchus spp., такие как Haemonchus contortus; Heterakis spp., Hymenolepis nana, Hyostrongulus spp., Loa Loa, Nematodirus spp., Oesophagostomum spp., Opisthorchis spp., Onchocerca volvulus, Ostertagia spp., Paragonimus spp., Schistosomen spp., Strongyloides fuelleborni, Strongyloides stercora lis, Stronyloides spp., Taenia saginata, Taenia solium, Trichinella spiralis, Trichinella nativa, Trichinella britovi, Trichinella nelsoni, Trichinella pseudopsiralis, Trichostrongulus spp., Trichuris trichuria, Wuchereria barterofti.

Соединения настоящего изобретения пригодны для применения для лечения или защиты животных от заражения или инфицирования паразитами. Таким образом, настоящее изобретение также относится к применению соединения настоящего изобретения для изготовления лекарственного средства для лечения или защиты животных от заражения или инфицирования паразитами. Кроме того, настоящее изобретение относится к способу лечения или защиты животных от заражения и инфицирования паразитами, который включает пероральное, местное или парентеральное введение или нанесение на животных паразитоцидно эффективного количества соединения настоящего изобретения.

Настоящее изобретение также относится к нетерапевтическому применению соединений настоящего изобретения для лечения или защиты животных от заражения и инфицирования паразитами. Кроме того, настоящее изобретение относится к нетерапевтическому способу лечения или защиты животных от заражения и инфицирования паразитами, который включает нанесение на локус паразитоцидно эффективного количества соединения настоящего изобретения.

Соединения настоящего изобретения, кроме того, пригодны для применения для подавления или борьбы с паразитами в животных и на них. Кроме того, настоящее изобретение относится к способу подавления или борьбы с паразитами в животных и на них, который включает приведение в контакт паразитов с парзитоцидно эффективным количеством соединения настоящего изобретения.

Настоящее изобретение также относится к нетерапевтическому применению соединений настоящего изобретения для борьбы или подавления паразитов. Кроме того, настоящее изобретение относится к нетерапевтическому способу подавления или борьбы с паразитами, который включает нанесение на локус паразитоцидно эффективного количества соединения настоящего изобретения.

Соединения настоящего изобретения могут быть эффективны как путем контакта (через почву, стекло, стены, надкроватные сетки, ковровое покрытие, другие покрытия или части животных), так и путем приема внутрь (например, приманки). Кроме того, соединения настоящего изобретения можно применять на любой и всех стадиях развития.

Соединения настоящего изобретения можно применять как таковые или в виде композиций, содержащих соединения настоящего изобретения.

Соединения настоящего изобретения можно также применять вместе с компонентом для смешивания, который действует против патогенных паразитов, например, с синтетическими соединениями против кокцидиоза, полиэфирными антибиотиками, такими как ампролиум, робенидин, толтразурил, моненсин, салиномицин, мадурамицин, лазалоцид, наразин или семдурамицин, или с другими компонентами для смешивания согласно вышеприведенному определению, или в виде композиций, содержащих указанные смеси.

Соединения настоящего изобретения и композиции, содержащие их, можно применять перорально, парентерально или местно, например, дермально. Соединения настоящего изобретения могут быть системно или несистемно эффективными.

Применение можно осуществлять профилактически, терапевтически или нетерапевтически. Кроме того, применение может быть осуществлено превентивно в местах, в которых ожидают появление паразитов.

В контексте данной заявки, термин "приведение в контакт" включает как непосредственный контакт (нанесение соединений/композиций непосредственно на паразита, включая нанесение непосредственно на животного или исключая нанесение непосредственно на животного, например, на его локус в последнем случае), так и непрямой контакт (нанесение соединений/композиций на локус паразита). Контакт паразита посредством нанесения на его локус представляет собой пример нетерапевтического применения соединений настоящего изобретения.

Термин "локус" означает среду обитания, пищевые ресурсы, место размножения, площадь, материал или окружающую среду, в которых паразит растет или может расти за пределами животного.

В контексте данной заявки, термин "паразиты" включает эндо- и эктопаразитов. В некоторых вариантах осуществления настоящего изобретения, предпочтение может быть отдано эндопаразитам. В других вариантах осуществления, предпочтение может быть отдано эктопаразитам. Заражения теплокровных животных и рыбы включают, но не ограничены ними, заражения вшами, пухоедами, клещами, носоглоточными оводами, кровососками, жалящими мухами, мускоидными мухами, мухами, личинками миазных мух, клещами-тромбикулидами, гнусом, комарами и блохами.

Соединения настоящего изобретения являются особенно пригодными для подавления паразитов из следующих отрядов и видов, соответственно:

блохи (Siphonaptera), например, Ctenocephalides felis, Ctenocephalides canis, Xenopsylla cheopis, Pulex irritans, Tunga penetrans и Nosopsyllus fasciatus; таракановые (Blattaria - Blattodea), например, Blattella germanica, Blattella asahinae, Periplaneta americana, Periplaneta japonica, Periplaneta brunnea, Periplaneta fuligginosa, Periplaneta australasiae и Blatta orientalis; мухи, комары (Diptera), например, Aedes aegypti, Aedes albopictus, Aedes vexans, Anastrepha ludens, Anopheles maculipennis, Anopheles crucians, Anopheles albimanus, Anopheles gambiae, Anopheles freeborni, Anopheles leucosphyrus, Anopheles minimus, Anopheles quadrimaculatus, Calliphora vicina, Chrysomya bezziana, Chrysomya hominivorax, Chrysomya macellaria, Chrysops discalis, Chrysops silacea, Chrysops atlanticus, Cochliomyia hominivorax, Cordylobia anthropophaga, Culicoides furens, Culex pipiens, Culex nigripalpus, Culex quinquefasciatus, Culex tarsalis, Culiseta inornata, Culiseta melanura, Dermatobia hominis, Fannia canicularis, Gasterophilus intestinalis, Glossina morsitans, Glossina palpalis, Glossina fuscipes, Glossina tachinoides, Haematobia irritans, Haplodiplosis equestris, Hippelates spp., Hypoderma lineata, Leptoconops torrens, Lucilia caprina, Lucilia cuprina, Lucilia sericata, Lycoria pectoralis, Mansonia spp., Musca domestica, Muscina stabulans, Oestrus ovis, Phlebotomus argentipes, Psorophora columbiae, Psorophora discolor, Prosimulium mixtum, Sarcophaga haemorrhoidalis, Sarcophaga sp., Simulium vittatum, Stomoxys calcitrans, Tabanus bovinus, Tabanus atratus, Tabanus lineola и Tabanus similis; вши (Phthiraptera), например, Pediculus humanus capitis, Pediculus humanus humanus, Pthirus pubis, Haematopinus eurysternus, Haematopinus suis, Linognathus vituli, Bovicola bovis, Menopon gallinae, Menacanthus stramineus и Solenopotes capillatus; клещи и паразитиформные клещи (Parasitiformes): клещи (Ixodida), например, Ixodes scapularis, Ixodes holocyclus, Ixodes paciflcus, Rhiphicephalus sanguineus, Dermacentor andersoni, Dermacentor variabilis, Amblyomma americanum, Ambryomma maculatum, Ornithodorus hermsi, Ornithodorus turicata и паразитиформные клещи (Mesostigmata), например, Ornithonyssus bacoti и Dermanyssus gallinae; Actinedida (Prostigmata) и Acaridida (Astigmata), например, Acarapis spp., Cheyletiella spp., Ornithocheyletia spp., Myobia spp., Psorergates spp., Demodex spp., Trombicula spp., Listrophorus spp., Acarus spp., Tyrophagus spp., Caloglyphus spp., Hypodectes spp., Pterolichus spp., Psoroptes spp., Chorioptes spp., Otodectes spp., Sarcoptes spp., Notoedres spp., Knemidocoptes spp., Cytodites spp.и Laminosioptes spp; клопы (Heteropterida): Cimex lectularius, Cimex hemipterus, Reduvius senilis, Triatoma spp., Rhodnius ssp., Panstrongylus ssp.и Arilus critatus; Anoplurida, например, Haematopinus spp., Linognathus spp., Pediculus spp., Phtirus spp. и Solenopotes spp.; Mallophagida (подотряды Arnblycerina и Ischnocerina), например, Trimenopon spp., Menopon spp., Trinoton spp., Bovicola spp., Werneckiella spp., Lepikentron spp., Trichodectes spp. и Felicola spp.; круглые черви - нематоды: проволочники и трихинеллы (Trichosyringida), например, Trichinellidae (Trichinella spp.), (Trichuridae) Trichuris spp., Capillaria spp.; Rhabditida, например, Rhabditis spp., Strongyloides spp., Helicephalobus spp.; Strongylida, например, Strongylus spp., Ancylostoma spp., Necator americanus, Bunostomum spp. (паразитические круглые черви), Trichostrongylus spp., Haemonchus contortus, Ostertagia spp., Cooperia spp., Nematodirus spp., Dictyocaulus spp., Cyathostoma spp., Oesophagostomum spp., Stephanurus dentatus, Ollulanus spp., Chabertia spp., Stephanurus dentatus, Syngamus trachea, Ancylostoma spp., Uncinaria spp., Globocephalus spp., Necator spp., Metastrongylus spp., Muellerius capillaris, Protostrongylus spp., Angiostrongylus spp., Parelaphostrongylus spp., Aleurostrongylus abstrusus и Dioctophyma renale; кишечные круглые черви (Ascaridida), например, Ascaris lumbricoides, Ascaris suum, Ascaridia galli, Par ascaris equorum, Enter obius vermicularis (острица), Toxocara canis, Toxascaris leonine, Skrjabinema spp. и Oxyuris equi; Camallanida, например, Dracunculus medinensis (ришта); Spirurida, например, Thelazia spp., Wuchereria spp., Brugia spp., Onchocerca spp., Dirofilari spp. a, Dipetalonema spp., Setaria spp., Elaeophora spp., Spirocerca lupi и Habronema spp.; колючеголовые черви (Acanthocephala), например, Acanthocephalus spp., Macracanthorhynchus hirudinaceus и Oncicola spp.; настоящие плапарии (плательминты): сосальщики (трематоды), например, Faciola spp., Fascioloides magna, Paragonimus spp., Dicrocoelium spp., Fasciolopsis buski, Clonorchis sinensis, Schistosoma spp., Trichobilharzia spp., Alaria alata, Paragonimus spp. и Nanocyetes spp.; Cercomeromorpha, в частности, цестоды (ленточные черви), например, Diphyllobothrium spp., Tenia spp., Echinococcus spp., Dipylidium caninum, Multiceps spp., Hymenolepis spp., Mesocestoides spp., Vampirolepis spp., Moniezia spp., Anoplocephala spp., Sirometra spp., Anoplocephala spp. и Hymenolepis spp.

В контексте данной заявки, термин "животное" включает теплокровных животных (включая людей) и рыбу. Предпочтительными являются млекопитающие, такие как крупный рогатый скот, овцы, кабаны, верблюды, олени, лошади, свиньи, домашняя птица, кролики, козы, собаки и кошки, азиатские буйволы, ослы, лани и северные олени, а также пушные звери, такие как норка, шиншилла и енот, птицы, такие как куры, гуси, индюки и утки, и рыба, такая как рыба, живущая в пресной и морской воде, например, форель, карп и угорь. Особенно предпочтительными являются домашние животные, такие как собаки или кошки.

В общем, "паразитоцидно эффективное количество" означает количество активного компонента, необходимое для достижения заметного эффекта на рост, включая эффекты некроза, гибели, ретардации, предотвращения и удаления, уничтожения или иным образом уменьшения случаев появления и активности целевого организма. Паразитоцидно эффективное количество может варьироваться для различных соединений/композиций, применяемых в настоящем изобретении. Паразитоцидно эффективное количество композиций также будет варьироваться в зависимости от преобладающих условий, таких как желаемое паразитоцидное действие и его продолжительность, целевые виды, способ применения и т.п.

В основном, выгодно применять соединения настоящего изобретения в общих количествах от 0.5 мг/кг до 100 мг/кг в сутки, предпочтительно от 1 мг/кг до 50 мг/кг в сутки.

С целью перорального введения теплокровным животным, составы соединений согласно формулы (I) могут быть приготовлены в виде корма для животных, премиксов к корму для животных, концентратов кормов для животных, пилюль, растворов, паст, суспензий, жидких лекарственных форм, гелей, таблеток, шариков и капсул. Кроме того, соединения согласно формулы (I) можно вводить животным с их питьевой водой. Для перорального введения лекарственную форму выбирают, учитывая необходимость введения животному соединения согласно формулы (I) в количестве от 0.01 мг/кг до 100 мг/кг массы тела животного в сутки, предпочтительно от 0.5 мг/кг до 100 мг/кг массы тела животного в сутки.

Альтернативно, соединения согласно формулы (I) могут быть введены животным парентерально, например, с помощью интраруминальной, внутримышечной, внутривенной или подкожной инъекции. Для подкожной инъекции соединения согласно формулы (I) можно диспергировать или растворить в физиологически приемлемом носителе. Альтернативно, соединения согласно формулы (I) могут быть введены в имплантат для подкожного введения. Кроме того, возможно трансдермальное введение животным соединения согласно формулы (I). Для парентерального введения лекарственную форму выбирают, учитывая необходимость введения животному соединения согласно формулы (I) в количестве от 0.01 мг/кг до 100 мг/кг массы тела животного в сутки.

Соединения согласно формулы (I) можно также наносить на животных местно в виде растворов для окунания, тонких порошков, порошков, ошейников, медальонов, составов для распыления, шампуней, составов spot-on и pour-on и в виде мазей или эмульсий масло-в-воде или вода-в-масле. Предназначенные для местного применения жидкости для окунания и составы для распыления обычно содержат от 0.5 ч./млн до 5.000 ч./млн и предпочтительно от 1 ч./млн до 3.000 ч./млн соединения согласно формулы (I). Кроме того, составы соединений согласно формулы (I) могут быть приготовлены в виде ушных бирок для животных, в частности, четвероногих, таких как крупный рогатый скот и овцы.

Пригодными препаратами являются:

- Растворы, такие как растворы для перорального введения, концентраты для перорального введения после разбавления, растворы для применения на кожу или в полости тела, составы pouring-on, гели;

- Эмульсии и суспензии для перорального или дермального введения; полутвердые препараты;

- Составы, в которых активное соединение вводится в мазевую основу или в эмульсионную основу типа масло-в-воде или вода-в-масле;

- Твердые препараты, такие как порошки, премиксы или концентраты, гранулы, пеллеты, таблетки, шарики, капсулы; аэрозоли и средства для ингаляции, и профилированные изделия, содержащие активное соединение.

Композиции, пригодные для введения с помощью инъекции, получают путем растворения активного компонента в пригодном растворителе и, необязательно, добавления дополнительных вспомогательных веществ, таких как кислоты, основания, буферные соли, консерванты и солюбилизаторы. Пригодные вспомогательные вещества для инъекционных растворов известны из уровня техники. Растворы фильтруют и стерильно заполняют ними необходимую емкость.

Растворы для перорального введения вводят непосредственно. Концентраты вводят перорально после предварительного разведения до применяемой концентрации. Растворы для перорального введения и концентраты приготовляют в соответствии с уровнем техники и как описано выше в случае растворов для инъекций, стерильные процедуры не являются необходимыми.

Растворы для применения на кожу представляют собой препараты для капания, намазывания, втирания, опрыскивания или распыления в/на кожу. Растворы для применения на кожу приготовляют в соответствии с уровнем техники и в соответствии с описанным выше в случае растворов для инъекций, стерильные процедуры не являются необходимыми.

Гели наносят или намазывают на кожу или вводят в полости тела. Гели получают путем обработки растворов, которые были получены, как описано в случае растворов для инъекций, достаточным количеством загустителя, который в результате дает прозрачное вещество, имеющее мазеподобную консистенцию. Пригодные загустители известны из уровня техники.

Составами pour-on поливают или их распыляют на ограниченные участки кожи, активное соединение проникает через кожу и действует системно. Составы pour-on получают путем растворения, суспендирования или эмульгирования активного соединения в пригодных совместимых с кожей растворителях или смесях растворителей. При необходимости добавляют другие вспомогательные вещества, такие как красители, вещества, стимулирующие биоабсорбцию, антиоксиданты, светостабилизаторы, клейкие вещества. Такие пригодные вспомогательные вещества известны из уровня техники.

Эмульсии можно вводить перорально, дермально или в виде инъекций. Эмульсии являются эмульсиями либо типа вода-в-масле, либо типа масло-вводе. Их получают путем растворения активного соединения либо в гидрофобной, либо в гидрофильной фазе и гомогенизации полученного раствора с растворителем другой фазы с помощью пригодных эмульгаторов и, при необходимости, при добавлении других вспомогательных веществ, таких как красители, вещества, стимулирующие абсорбцию, консерванты, антиоксиданты, светостабилизаторы, вещества, повышающих вязкость. Пригодные гидрофобные фазы (масла), пригодные гидрофильные фазы, пригодные эмульгаторы и пригодные дополнительные вспомогательные вещества для эмульсий известны из уровня техники.

Суспензии можно вводить перорально или местно/дермально. Их получают путем суспендирования активного соединения в суспендирующем средстве, при необходимости при добавлении других вспомогательных веществ, таких как смачивающие средства, красители, вещества, стимулирующие биоабсорбцию, консерванты, антиоксиданты, светостабилизаторы. Пригодные суспендирующие средства и пригодные другие вспомогательные вещества для суспензий, включая смачивающие средства, известны из уровня техники.

Полутвердые препараты можно вводить перорально или местно/дермально. Они отличаются от описанных выше суспензий и эмульсий только своей более высокой вязкостью.

Для изготовления твердых препаратов активное соединение смешивают с пригодными эксципиентами, при необходимости с добавлением вспомогательных веществ, и полученной массе придают желаемую форму. Пригодные вспомогательные вещества для этой цели известны из уровня техники.

Композиции, которые можно применять в изобретении, обычно могут содержать от приблизительно 0.001 до 95% соединения настоящего изобретения.

Готовые к применению препараты содержат соединения, действующие против паразитов, предпочтительно эктопаразитов, в концентрациях от 10 ч./млн до 80 мас. %, предпочтительно от 0.1 до 65 мас. %, более предпочтительно от 1 до 50 мас. %, наиболее предпочтительно от 5 до 40 мас. %.

Препараты, которые разбавляют перед применением, содержат соединения, действующие в отношении эктопаразитов, в концентрациях от 0.5 до 90 мас. %, предпочтительно от 1 до 50 мас. %.

Кроме того, препараты против эндопаразитов содержат соединения формулы (I) в концентрациях от 10 ч./млн до 2 мас. %, предпочтительно от 0.05 до 0.9 мас. %, наиболее предпочтительно от 0.005 до 0.25 мас. %.

Местное применение может быть осуществлено с помощью содержащих соединение формованных изделий, таких как ошейники, медальоны, ушные бирки, ленты для крепления на частях тела, и клейкие ленты и пленки.

Обычно выгодно применять твердые составы, которые высвобождают соединения настоящего изобретения в общих количествах от 10 мг/кг до 300 мг/кг, предпочтительно от 20 мг/кг до 200 мг/кг, наиболее предпочтительно от 25 мг/кг до 160 мг/кг массы тела животного, которое подвергают лечению, в течение трех недель.

Примеры:

Примеры получения:

Соединения могут быть охарактеризованы, например, спаренной высокоэффективной жидкостной хроматографией / масс-спектрометрией (ВЭЖХ/МС), с помощью 1H-ЯМР и/или посредством их температур плавления.

Аналитическая ВЭЖХ - Метод 1: Agilent Eclipse Plus С18, 50 X 4,6 мм, ID 5 мкм; элюирование: А = 10 мМ формиат аммония (0.1% муравьиной кислоты), В = ацетонитрил (0.1% муравьиной кислоты), поток = 1.2 мл/мин при 30°С; градиент: от 10% В до 100% В - 3 мин, удержание в течение 1 мин, 1 мин - 10% В. Время хроматографирования = 5.01 мин.

Аналитическая ВЭЖХ - Метод 2: Kinetex ХВ С18 1,7 мк 50 х 2,1 мм; А = вода + 0.1% ТФУ, В = ацетонитрил, поток = 0.8 мл/мин - 1.0 мл/мин в течение 1.5 мин при 60°С; градиент: от 5% В до 100% В - 1.5 мин.

1H-ЯМР: Сигналы охарактеризованы химическим сдвигом (м.д., δ [дельта]) в сравнении с тетраметилсиланом, соответственно CDCl3 для 13С-ЯМР, посредством их мультиплетности и посредством их интеграла (относительное число присутствующих атомов водорода). Следующие сокращения применены для описания мультиплетности сигналов: m = мультиплет, q = квартет, t = триплет, d = дублет и s = синглет.

Используемые сокращения означают: д для дня (дней), ч для часа (часов), мин для минуты (минут), к.т./комнатная температура для 20-25°С, Rt для времени удержания; ДМСО для диметилсульфоксида, ОАс для ацетата, EtOAc для этилацетата, ТГФ для тетрагидрофурана, ДМФА для N,N-диметилформамида, ACN для ацетонитрила, ДХМ для дихлорметана, TEA для триэтиламина и t-BuOH для трет-бутанола.

Пример С-1:

Соединение: С-1

Синтез N-[1-[2-фтор-4-[(Е)-[(2-изопропилфенил)карбамотиоилгидразоно]метил]фенил]-3-метилпиразол-4-ил]-4-(трифторметокси)бензамида:

Стадия 1: Синтез 3-метил-1H-пиразол-4-амина:

К перемешиваемому раствору 3-метил-4-нитропиразола (5 г) в смеси IPA (40 мл) и метанола (40 мл) добавляли биспинаколатодибор (30.0 г) и трет-бутилат калия (5.3 г) при к.т. Полную реакционную смесь нагревали при 110°С в течение 3 ч. Протекание реакции контролировали с помощью ГХМС анализа. Реакционную смесь фильтровали через целит и фильтрат упаривали при пониженном давлении с получением целевого продукта в виде коричневого твердого вещества (3.8 г). ГХ/МС: Rt: 4.07 мин; m/z=97 (М).

Стадия 2: Синтез N-(3-метил-1Н-пиразол-4-ил)-4-(трифторметокси)бензамида:

К перемешиваемому раствору 3-метил 4-аминопиразола (2.9 г) в сухом ТГФ (55 мл) добавляли триэтиламин (14.14 мл) с последующим медленным добавлением 4-трифторметоксибензоилхлорида (7.85 г) при 0°С. Реакционную смесь перемешивали при к.т. в течение 3 ч. Протекание реакции контролировали с помощью ТСХ. Реакционную смесь разбавляли водой (200 мл), затем экстрагировали этилацетатом (100 мл X 2). Органические слои сушили над сульфатом натрия и упаривали при пониженном давлении с получением целевого продукта в виде коричневого твердого вещества (8.0 г). 1Н ЯМР (300 МГц, ДМСО-d6) δ 12.43 (d, J=12.0 Гц, 1Н), 9.81 (s, 1Н), 8.15-7.99 (m, 2Н), 7.88 (s, 1Н), 7.61-7.40 (m, 2Н), 2.18 (s, 3Н).

Стадия 3: Синтез N-[1-(2-фтор-4-формилфенил)-3-метилпиразол-4-ил]-4-(трифторметокси)бензамида:

К перемешиваемому раствору N-(3-метил-1Н-пиразол-4-ил)-4-(трифторметокси)бензамида (1.2 г) в сухом ДМФА (20 мл) добавляли карбонат калия (0.872 г) и 3,4-фторбензальдегид (0.75 г) при к.т. Реакционную смесь нагревали при 145°С в течение 6 ч. Протекание реакции контролировали с помощью ЖХМС анализа. Реакционную смесь разбавляли водой (100 мл), затем экстрагировали этилацетатом (100 мл X 2). Объединенные органические слои сушили над сульфатом натрия и упаривали при пониженном давлении с получением сырого продукта. Сырой продукт очищали с помощью колоночной хроматографии, используя этилацетат и гептан в качестве элюента с получением целевого продукта в виде не совсем белого твердого вещества (0.80 г). ВЭЖХ/МС (метод 1): Rt: 1.93 мин; m/z=408 (М+1)+; 1Н ЯМР (500 МГц, ДМСО-d6) δ 10.16 (s, 1Н), 10,00 (s, 1H), 8.65 (d, J=3.0 Гц, 1Н), 8.15-8.08 (m, 3Н), 7.97-7.89 (m, 3Н), 7.55 (d, J=8.5 Гц, 2Н), 2.37 (s, 3Н).

Стадия 4: N-[1-[2-фтор-4-[(Е)-[(2-изопропилфенил)карбамотиоилгидразоно]метил]фенил]-3-метилпиразол-4-ил]-4-(трифторметокси)бензамид:

К перемешиваемому раствору N-[1-(2-фтор-4-формилфенил)-3-метилпиразол-4-ил]-4-(трифторметокси)бензамида (0.45 г) в уксусной кислоте (6 мл) добавляли 1-амино-3-(2-изопропилфенил)тиомочевину (0.230 г) при к.т. Реакционную смесь перемешивали при к.т. в течение 4 ч. Протекание реакции контролировали с помощью ЖХМС анализа. Реакционную смесь разбавляли водой (100 мл) и нейтрализовали твердым бикарбонатом натрия, затем экстрагировали этилацетатом (100 мл X 2). Объединенные органические слои сушили над сульфатом натрия и упаривали при пониженном давлении с получением целевого продукта. Сырой продукт очищали с помощью колоночной хроматографии, используя этилацетат и гептан в качестве элюента с получением целевого продукта в виде желтого твердого вещества (0.62 г). ВЭЖХ/МС (метод 1): Rt: 2.101 мин; m/z=599 (М+1)+. 1Н ЯМР (500 МГц, ДМСО-d6) δ 11.90 (s, 1Н), 10.15 (s, 1H), 10.10 (s, 1H), 8.54 (d, J=2.9 Гц, 1H), 8.29 (dd, J=13.7, 1.7 Гц, 1Н), 8.15 (s, 1H), 8.12-8.05 (m, 2Н), 7.88 (t, J=8.3 Гц, 1H), 7.69 (dd, J=8.5, 1.8 Гц, 1H), 7.58-7.49 (m, 2Н), 7.38 (dd, J=7.9, 1.6 Гц, 1H), 7.32 (td, J=7.5, 1.5 Гц, 1Н), 7.24 (td, J=7.5, 1.6 Гц, 1H), 7.19 (dd, J=7.8, 1.5 Гц, 1Н), 3.14 (р, J=6.9 Гц, 1Н), 2.34 (s, 3Н), 1.20 (d, J=6.9 Гц, 6Н).

Соединение: С-2

Синтез N-[1-[2-фтор-4-[(Е)-[(7)-[3-(2-изопропилфенил)-4-оксотиазолидин-2-илиден]гидразоно]метил]фенил]-3-метилпиразол-4-ил]-4-(трифторметокси)бензамида:

К перемешиваемому раствору N-[1-[2-фтор-4-[(Е)-[(2-изопропилфенил)карбамотиоилгидразоно]метил]фенил]-3-метилпиразол-4-ил]-4-(трифторметокси)бензамида (0.44 г) в этаноле (6 мл) добавляли ацетат натрия (0.12 г) и метилбромацетат (0.27 мл) при к.т. Смесь нагревали при 50°С в течение 12 ч. Протекание реакции контролировали с помощью ЖХМС анализа. Реакционную смесь разбавляли водой (100 мл), затем экстрагировали этилацетатом (50 мл × 2). Объединенные органические слои сушили над сульфатом натрия и упаривали при пониженном давлении с получением сырого продукта. Сырой продукт очищали путем растирания, используя диэтиловый эфир и гептан в качестве элюента с получением целевого продукта в виде желтого твердого вещества (0.41 г). ВЭЖХ/МС (метод 1): Rt: 2.101 мин; m/z=637 (М-1)+. 1Н ЯМР (500 МГц, ДМСО-d6) δ 10.12 (s, 1Н), 8.55 (d, J=2.9 Гц, 1Н), 8.37 (s, 1Н), 8.16-8.03 (m, 2Н), 7.95 (t, J=8.3 Гц, 1H), 7.81-7.63 (m, 2Н), 7.57-7.52 (m, 2Н), 7.49 (ddd, J=15.0, 8.6, 1.6 Гц, 2Н), 7.34 (td, J=7.5, 1.7 Гц, 1Н), 7.27 (dd, J=7.8, 1.4 Гц, 1H), 4.28 (d, J=17.4 Гц, 1Н), 4.16 (d, J=17.3 Гц, 1Н), 2.80 (р, J=6.8 Гц, 1H), 2.34 (s, 3Н), 1.15 (dd, J=11.2, 6.8 Гц, 6Н).

Соединение: С-3

Синтез N-[1-[2-фтор-4-[(Е)-[(22)-2-(2-изопропилфенил)имино-4-оксотиазолидин-3-ил]иминометил]фенил]-3-метилпиразол-4-ил]-4-(трифторметокси)бензамида:

К перемешиваемому раствору N-[1-(2-фтор-4-формилфенил)-3-метилпиразол-4-ил]-4-(трифторметокси)бензамида (0.21 г) в уксусной кислоте (5 мл) добавляли (2Z)-3-амино-2-(2-изопропилфенил)иминотиазолидин-4-онат (0.129 г) при к.т., и реакционную смесь перемешивали при к.т.в течение 12 ч. Протекание реакции контролировали с помощью ЖХМС анализа. Реакционную смесь разбавляли водой (100 мл), затем нейтрализовали твердым бикарбонатом натрия, сырой продукт экстрагировали этилацетатом (50 мл X 2). Объединенные органические слои сушили над сульфатом натрия и упаривали при пониженном давлении с получением сырого продукта. Сырой продукт очищали с помощью колоночной хроматографии, используя этилацетат и гептан в качестве элюента с получением целевого продукта в виде желтого твердого вещества (0.06 г). ВЭЖХ/МС (метод 1): Rt: 2.144 мин; m/z=639 (М+1)+; 1Н ЯМР (300 МГц, ДМСО-d6) δ 10.14 (s, 1Н), 9.20 (s, 1H), 8.62 (d, J=3.1 Гц, 1H), 8.07 (dd, J=11.5, 8.5 Гц, 3Н), 8.01-7.83 (m, 2Н), 7.54 (d, J=8.3 Гц, 2Н), 7.31 (d, J=7.5 Гц, 1Н), 7.23-7.06 (m, 2Н), 6.87 (dd, J=7.7, 1.5 Гц, 1H), 4.16 (s, 2Н), 3.10-2.87 (m, 1H), 2.36 (s, 3Н), 1.15 (d, J=6.9 Гц, 6Н).

Соединение: С-4

Синтез N-[1-[4-[(E)-[(2-изопропилфенил)карбамотиоилгидразоно]метил]фенил]-3-метилпиразол-4-ил]-4-(трифторметокси)бензамида:

Стадия 1: Синтез 3-метил-1H-пиразол-4-амина:

К перемешиваемому раствору 3-метил-4-нитропиразола (5.0 г) в смеси IPA (40 мл) и метанола (40 мл) добавляли биспинаколатодибор (30.0 г) и трет-бутилат калия (5.3 г) при к.т. Полную реакционную смесь нагревали при 110°С в течение 3 ч. Протекание реакции контролировали с помощью ГХМС анализа. Реакционную смесь фильтровали через целит и фильтрат упаривали при пониженном давлении с получением целевого продукта в виде коричневого твердого вещества (3.8 г). ГХ/МС: Rt: 4.07 мин; m/z=97 (М).

Стадия 2: Синтез N-(3-метил-1Н-пиразол-4-ил)-4-(трифторметокси)бензамида:

К перемешиваемому раствору 3-метил-4-аминопиразола (2.9 г) в сухом ТГФ (55 мл) добавляли триэтиламин (14.14 мл) с последующим медленным добавлением 4-трифторметоксибензоилхлорида (7.85 г) при 0°С. Реакционную смесь перемешивали при к.т.в течение 3 ч. Протекание реакции контролировали с помощью ТСХ. Реакционную смесь разбавляли водой (200 мл), затем экстрагировали этилацетатом (100 мл X 2). Органические слои сушили над сульфатом натрия и упаривали при пониженном давлении с получением целевого продукта в виде коричневого твердого вещества (8.0 г). 1Н ЯМР (300 МГц, ДМСО-d6) δ 12.43 (d, J=12.0 Гц, 1Н), 9.81 (s, 1Н), 8.15-7.99 (m, 2Н), 7.88 (s, 1Н), 7.61-7.40 (m, 2Н), 2.18 (s, 3Н).

Стадия 3: Синтез N-[1-(4-формилфенил)-3-метилпиразол-4-ил]-4-(трифторметокси)бензамида:

К перемешиваемому раствору N-(3-метил-1Н-пиразол-4-ил)-4-(трифторметокси)бензамида (0.6 г) в сухом ДМФА (10 мл) добавляли карбонат калия (0.582 г) и 4-фторбензальдегид (0.3 г) при к.т. Реакционную смесь нагревали при 125°С в течение 24 ч. Протекание реакции контролировали с помощью ЖХМС анализа. Реакционную смесь разбавляли водой (50 мл), затем экстрагировали этилацетатом (50 мл X 2). Объединенные органические слои сушили над сульфатом натрия и упаривали при пониженном давлении с получением сырого продукта. Сырой продукт очищали с помощью колоночной хроматографии, используя этилацетат и гептан в качестве элюента с получением целевого продукта в виде не совсем белого твердого вещества (0.43 г). ВЭЖХ/МС (метод 1): Rt: 1.867 мин; m/z=390 (М+1)+; 1Н ЯМР (300 МГц, ДМСО-d6) δ 10.14 (s, 1Н), 9.99 (s, 1H), 8.84 (s, 1H), 8.13-8.07 (m, 2Н), 8.07-7.96 (m, 4Н), 7.59-7.51 (m, 2Н), 2.34 (s, 3Н).

Стадия 4: Синтез N-[1-[4-[(E)-[(2-изопропилфенил)карбамотиоилгидразоно]метил]фенил]-3-метилпиразол-4-ил]-4-(трифторметокси)бензамида:

К перемешиваемому раствору N-[1-(4-формилфенил)пиразол-4-ил]-4-(трифторметокси)бензамида (0.43 г) в уксусной кислоте (6 мл) добавляли 1-амино-3-(2-изопропилфенил)тиомочевину (0.231 г) при к.т. Реакционную смесь перемешивали при к.т. в течение 5 ч. Протекание реакции контролировали с помощью ЖХМС анализа. Реакционную смесь разбавляли водой (100 мл) и нейтрализовали твердым бикарбонатом натрия, затем экстрагировали этилацетатом (100 мл X 2). Объединенные органические слои сушили над сульфатом натрия и упаривали при пониженном давлении с получением целевого продукта. Сырой продукт очищали с помощью колоночной хроматографии, используя ДХМ и метанол в качестве элюента с получением целевого продукта в виде желтого твердого вещества (0.630 г). ВЭЖХ/МС (метод 1): Rt: 2.059 мин; m/z=581 (M+1)+; 1H ЯМР (300 МГц, ДМСО-d6) δ 11.79 (s, 1Н), 10.07 (d, J=11.0 Гц, 2Н), 8.76 (s, 1H), 8.16 (s, 1Н), 8.13-8.05 (m, 2Н), 8.00 (d, J=8.7 Гц, 2Н), 7.85 (d, J=8.7 Гц, 2Н), 7.60-7.48 (m, 2Н), 7.41-7.33 (m, 1H), 7.33-7.24 (m, 1Н), 7.24-7.18 (m, 2Н), 3.24-2.88 (m, 1H), 2.31 (s, 3Н), 1.19 (d, J=6.8 Гц, 6Н).

Соединение: С-5

Стадия 1: Синтез N-[1-[4-[(Е)-[(2)-[3-(2-изопропилфенил)-4-оксотиазолидин-2-илиден]гидразоно] метил] фенил]-3-метилпиразол-4-ил]-4-(трифторметокси)бензамида:

К перемешиваемому раствору N-[1-[4-[(E)-[(2-изопропилфенил)карбамотиоилгидразоно]метил]фенил]-3-метилпиразол-4-ил]-4-(трифторметокси)бензамида (0.320 г) в этаноле (5 мл) добавляли ацетат натрия (0.09 г) и метилбромацетат (0.2 мл) при к.т. Смесь нагревали при 45°С в течение 3 ч. Протекание реакции контролировали с помощью ЖХМС анализа. Реакционную смесь разбавляли водой (50 мл), затем экстрагировали этилацетатом (50 мл X 2). Объединенные органические слои сушили над сульфатом натрия и упаривали при пониженном давлении с получением сырого продукта. Сырой продукт очищали путем растирания, используя диэтиловый эфир и гептан в качестве элюента с получением целевого продукта в виде бежевого твердого вещества (0.3 г). ВЭЖХ/МС (метод 1): Rt: 2.165 мин; m/z=621 (М+1)+; 1Н ЯМР (300 МГц, ДМСО-d6) δ 10.10 (s, 1Н), 8.74 (s, 1H), 8.34 (s, 1Н), 8.15-8.04 (m, 2Н), 7.89 (d, J=8.8 Гц, 2Н), 7.82 (d, J=8.8 Гц, 2Н), 7.61-7.42 (m, 4Н), 7.34 (td, J=7.3, 6.7, 1.9 Гц, 1Н), 7.29-7.21 (m, 1H), 4.33-4.02 (m, 2Н), 2.78 (q, J=6.8 Гц, 1Н), 2.32 (s, 3Н), 1.15 (t, J=7.2 Гц, 6Н).

Соединение: С-6

Синтез [(2S,3R,4R,5S,6S)-3,4,5-триметокси-6-метилтетрагидропиран-2-ил] N-[4-[3-метил-4-[[4-(трифторметокси)бензоил]амино]пиразол-1-ил]фенил] карбамата:

Стадия 1: Синтез N-[3-метил-1-(4-нитрофенил)пиразол-4-ил]-4-(трифторметокси)бензамида

К перемешиваемому раствору N-(3-метил-1Н-пиразол-4-ил)-4-(трифторметокси)бензамида (0.3 г) в сухом ДМФА (4 мл) добавляли карбонат калия (0.306 г) и 1-фтор-4-нитробензол (0.190 г) при к.т. Реакционную смесь нагревали при 125°С в течение 24 ч. Протекание реакции контролировали с помощью ЖХМС анализа. Реакционную смесь разбавляли водой (100 мл), затем экстрагировали этилацетатом (50 мл X 2). Объединенные органические слои сушили над сульфатом натрия и упаривали при пониженном давлении с получением сырого продукта. Сырой продукт очищали с помощью колоночной хроматографии, используя этилацетат и гептан в качестве элюента с получением указанного в заголовке соединения в виде коричневого твердого вещества (0.210 г). ВЭЖХ/МС (метод 1): Rt: 2.016 мин; m/z=405 (М-1)+; 1H ЯМР (500 МГц, ДМСО-d6) δ 10.15 (s, 1Н), 8.88 (s, 1H), 8.36-8.27 (m, 2Н), 8.13-8.03 (m, 4Н), 7.55 (d, J=8.3 Гц, 2Н), 2.35 (s, 3Н).

Стадия 2: Синтез N-[1-(4-аминофенил)-3-метилпиразол-4-ил]-4-(трифторметокси)бензамида:

К перемешиваемому раствору N-[3-метил-1-(4-нитрофенил)пиразол-4-ил]-4-(трифторметокси)бензамида (1.13 г) в этилацетате (40 мл) добавляли дигидрат хлорида олова (1.85 г) при к.т. Полную смесь нагревали при 85°С в течение 24 ч. Протекание реакции контролировали с помощью ЖХМС анализа. Реакционную смесь разбавляли водой (200 мл) и гасили насыщенным раствором гидроксида лития, доводя рН до значения 7, и затем в реакционную смесь добавляли этилацетат (200 мл). Реакционную смесь фильтровали через целит. Слои разделяли, органический слой сушили над сульфатом натрия и упаривали при пониженном давлении с получением продукта в виде бледно-коричневого твердого вещества (1.0 г). ВЭЖХ/МС (метод 1): Rt: 1.709 мин; m/z=375 (М-1)+; 1Н ЯМР (500 МГц, ДМСО-d6) δ 9.96 (s, 1Н), 8.35 (s, 1H), 8.08 (d, J=8.6 Гц, 2Н), 7.53 (d, J=8.3 Гц, 2Н), 7.39 (d, J=8.6 Гц, 2Н), 6.65-6.56 (m, 2Н), 5.17 (s, 2Н), 2.25 (s, 3Н).

Стадия 3: Синтез (4-нитрофенил) N-[4-[3-метил-4-[[4-(трифторметокси)бензоил]амино]пиразол-1-ил]фенил]карбамата:

К перемешиваемому раствору N-[1-(4-аминофенил)-3-метилпиразол-4-ил]-4-(трифторметокси)бензамида (0.5 г) в сухом ТГФ (10 мл) добавляли n-нитрофенилхлорформиат (0.402 г) при 0°С. Полную смесь перемешивали при к.т. в течение 2 ч. Протекание реакции контролировали с помощью ЖХМС анализа. Избыток ТГФ - растворителя удаляли путем продувки газообразным азотом, затем к сырому твердому веществу добавляли гептан (15 мл), и смесь перемешивали в течение 15 минут. Твердое вещество отфильтровывали и сушили в высоком вакууме с получением продукта в виде бледно-серого твердого вещества. ВЭЖХ/МС (метод 1): Rt: 1.963 мин; m/z=540 (M-1)+.

Стадия 4: Синтез [(2S,3R,4R,5S,6S)-3,4,5-триметокси-6-метилтетрагидропиран-2-ил] N-[4-[3-метил-4-[[4-(трифторметокси)бензоил]амино]пиразол-1-ил]фенил]карбамата:

К перемешиваемому раствору (4-нитрофенил) N-[4-[3-метил-4-[[4-(трифторметокси)бензоил]амино]пиразол-1-ил]фенил]карбамата (0.7 г) в сухом ацетонитриле (15 мл) последовательно добавляли фосфат калия (0.685 г), DIPEA (0.417 г) и затем рамнозу при 0°С. Реакционную смесь перемешивали при к.т. в течение ночи. Протекание реакции контролировали с помощью ЖХМС анализа. Реакционную смесь разбавляли водой (250 мл), затем экстрагировали этилацетатом (250 мл X 2), органические слои сушили над сульфатом натрия и упаривали при пониженном давлении с получением сырого продукта. Сырой продукт очищали с помощью препаративной ВЭЖХ с получением целевого продукта в виде бледно-оранжевого твердого вещества (0.10 г). ВЭЖХ/МС (метод 1): Rt: 1.899 мин; m / z=609 (М+1)+; 1H ЯМР (500 МГц, ДМСО-d6) δ 10.03 (s, 1Н), 9.93 (s, 1Н), 8.58 (s, 1H), 8.13 - 8.02 (m, 2Н), 7.73 (d, J=8.8 Гц, 2Н), 7.56 (dd, J=14.1, 8.2 Гц, 4Н), 5.97 (d, J=2.2 Гц, 1H), 3.76 (t, J=2.7 Гц, 1Н), 3.61 (d, J=25.1 Гц, 1H), 3.51 (d,J=9.1 Гц, 1Н), 3.45 (d, J=9.5 Гц, 6Н), 3.40 (s, 3Н), 3.07 (t, J=9.3 Гц, 1H), 2.29 (s, 3H), 1.19 (d, J=6.2 Гц, 3H).

Соединение: С-7

Синтез N-[1-[4-[(E)-[(2-изопропилфенил)карбамотиоилгидразоно]метил]фенил]пиразол-4-ил]-4-(трифторметокси)бензамида выполняли, следуя предшествующему методу.

ВЭЖХ/МС (метод 1): Rt: 2.101 мин; m / z=667 (М+1)+; 1Н ЯМР (300 МГц, ДМСО-d6) δ 11.81 (s, 1Н), 10.80 (s, 1H), 10.07 (s, 1H), 8.80 (s, 1Н), 8.21 - 8.07 (m, 3H), 8.03 (d, J=8.6 Гц, 2Н), 7.97 - 7.84 (m, 3H), 7.62 - 7.49 (m, 2Н), 7.41 - 7.34 (m, 1H), 7.34 - 7.24 (m, 1Н), 7.24 - 7.12 (m, 2Н), 3.23 - 3.04 (m, 1Н), 1.19 (d, J=6.8 Гц, 6Н).

Соединение: С-8

Синтез N-[1-[4-[(Е)-[(Z)-[3-(2-изопропилфенил)-4-оксотиазолидин-2-илиден]гидразоно]метил]фенил]пиразол-4-ил]-4-(трифторметокси)бензамид а выполняли, следуя предшествующему методу.

ВЭЖХ/МС (метод 1): Rt: 2.176 мин; m / z=607 (M+1)+. 1H ЯМР (300 МГц, ДМСО-d6) δ 10.82 (s, 1Н), 8.78 (s, 1H), 8.36 (s, 1H), 8.16 - 8.04 (m, 2Н), 7.99 - 7.89 (m, 3H), 7.85 (d, J=8.7 Гц, 2Н), 7.57 (d, J=8.3 Гц, 2Н), 7.53 - 7.42 (m, 2Н), 7.34 (td, J=7.3, 6.8, 1.9 Гц, 1H), 7.27 (dd, J=7.7, 1.5 Гц, 1Н), 4.34 - 4.04 (m, 3H), 2.79 (р, J=6.8 Гц, 1H), 1.15 (t,J=7.3 Гц, 6Н).

Соединение: С-9

Синтез N-[1-[4-[(Е)-[(2-изопропилфенил)карбамотиоилгидразоно]метил]-2-метилфенил]-3-метилпиразол-4-ил]-4-(трифторметокси)бензамида выполняли, как описано выше.

ВЭЖХ/МС (метод 1): Rt: 2.069 мин; m / z=595 (М+1)+; 1H ЯМР (500 МГц, ДМСО-d6) δ 11.84 (s, 1Н), 10.03 (d, J=3.6 Гц, 2Н), 8.28 (s, 1Н), 8.16 (s, 1H), 8.12 - 8.05 (m, 2Н), 7.95 - 7.82 (m, 2Н), 7.58 - 7.50 (m, 2Н), 7.41 (d, J=8.2 Гц, 1Н), 7.39 - 7.35 (m, 1Н), 7.31 (m, J=7.9 Гц, 1H), 7.23 (dd, J=5.8, 1.8 Гц, 2Н), 3.20 -3.05 (m, 1H), 2.36 (s, 3H), 2.30 (s, 3H), 1.20 (d, J=6.9 Гц, 6Н).

Соединение: С-10

Синтез N-[1-[4-[(Е)-[(Z)-[3-(2-изопропилфенил)-4-оксотиазолидин-2-илиден]гидразоно]метил]-2-метилфенил]-3-метилпиразол-4-ил]-4-(трифторметокси)бензамида выполняли, как описано выше.

ВЭЖХ/МС (метод 1): Rt: 2.144 мин; m / z=635 (М+1)+; 1Н ЯМР (300 МГц, ДМСО-d6) δ 10.03 (s, 1Н), 8.31 (d, J=15.3 Гц, 2Н), 8.13 - 8.02 (m, 2Н), 7.70 (d, J=7.8 Гц, 2Н), 7.58 - 7.42 (m, 6Н), 7.34 (td, J=7.4, 6.7, 1.9 Гц, 1Н), 7.27 (dd, J=7.7, 1.4 Гц, 1Н), 4.43 - 4.01 (m, 2Н), 2.87 - 2.70 (m, 1Н), 2.32 (d, J=16.3 Гц, 6Н), 1.15 (t, J=7.3 Гц, 6Н).

Соединение: С-11

Синтез N-[1-[4-[(Е)-[(2Z)-2-(2-изопропилфенил)имино-4-оксотиазолидин-3-ил]иминометил]-2-метилфенил]-3-метилпиразол-4-ил]-4-(трифторметокси)бензамида выполняли, как описано выше.

ВЭЖХ/МС (метод 1): Rt: 2.176 мин; m / z=633 (N-1)+. 1H ЯМР (500 МГц, ДМСО-d6) δ 10.06 (s, 1Н), 9.13 (s, 1H), 8.36 (s, 1H), 8.13 - 8.05 (m, 2Н), 7.92 (d, J=2.0 Гц, 1H), 7.87 (dd, J=8.2, 2.0 Гц, 1H), 7.61 - 7.51 (m, 3H), 7.32 (dd, J=7.7, 1.6 Гц, 1Н), 7.19 (td, J=7.5, 1.6 Гц, 1H), 7.12 (td, J=7.5, 1.5 Гц, 1H), 6.87 (dd, J=7.7, 1.4 Гц, 1H), 4.16 (s, 2H), 3.01 (p, J=6.9 Гц, 1H), 2.43 (s, 3H), 2.32 (s, 3H), 1.15 (d, J=6.9 Гц, 6H).

Соединение: C-12

Синтез N-[1-[2-хлор-4-[(Е)-[(2-изопропилфенил)карбамотиоилгидразоно]метил]фенил]-3-метилпиразол-4-ил]-4-(трифторметокси)бензамида выполняли, как описано выше.

ВЭЖХ/МС (метод 1): Rt: 2.133 мин; m/z=615 (М+1)+; 1Н ЯМР (500 МГц, ДМСО-d6) δ 11.93 (s, 1Н), 10.17 (s, 1H), 10.08 (s, 1H), 8.47 (s, 1Н), 8.38 (d, J=1.8 Гц, 1H), 8.16 (d, J=1.0 Гц, 1H), 8.11 - 8.02 (m, 2Н), 7.90 (dd, J=8.3, 1.9 Гц, 1H), 7.64 (d, J=8.3 Гц, 1H), 7.59 - 7.49 (m, 2Н), 7.38 (dd, J=7.9, 1.6 Гц, 1H), 7.32 (td, J=7.4, 1.6 Гц, 1H), 7.28-7.14 (m, 2Н), 3.14 (р, J=6.9 Гц, 1H), 2.32 (s, 3H), 1.20 (d, J=6.9 Гц, 6Н).

Соединение: С-13

Синтез N-[1-[2-хлор-4-[(Е)-[(Z)-[3-(2-изопропилфенил)-4-оксотиазолидин-2-илиден]гидразоно]метил]фенил]-3-метилпиразол-4-ил]-4-(трифторметокси)бензамида выполняли, как описано выше.

ВЭЖХ/МС (метод 1): Rt: 2.19 мин; m / z=654 (N-1)+; 1Н ЯМР (300 МГц, ДМСО-d6) δ 10.09 (s, 1Н), 8.44 (d, J=8.4 Гц, 2Н), 8.08 (d, J=8.6 Гц, 2Н), 7.95 (d, J=1.8 Гц, 1H), 7.85 (dd, J=8.5, 1.7 Гц, 1H), 7.71 (d, J=8.4 Гц, 1Н), 7.59 - 7.40 (m, 4Н), 7.40 - 7.20 (m, 2Н), 4.37 - 4.04 (m, 2Н), 2.87 - 2.66 (m, 1Н), 2.31 (s, 3H), 1.15 (t, J=7.0 Гц, 6Н).

Соединение: С-14

Синтез N-[1-[2-хлор-4-[(E)-[(2Z)-2-(2-изопропилфенил)имино-4-оксотиазолидин-3-ил]иминометил]фенил]-3-метилпиразол-4-ил]-4-(трифторметокси)бензамида выполняли, следуя предшествующему методу.

ВЭЖХ/МС (метод 1): Rt: 2.25 мин; m / z=654 (M-1)+. 1H ЯМР (500 МГц, ДМСО-d6) δ 10.21 (s, 1Н), 8.49 (s, 1H), 8.39 (s, 1H), 8.13 - 8.07 (m, 2Н), 7.95 (d, J=1.8 Гц, 1H), 7.85 (dd, J=8.4, 1.8 Гц, 1H), 7.71 (d, J=8.4 Гц, 1Н), 7.56 - 7.44 (m, 4Н), 7.34 (td, J=7.5, 1.7 Гц, 1H), 7.28 (dd, J=7.9, 1.4 Гц, 1Н), 4.28 (d, J=17.3 Гц, 1H), 4.16 (d, J=17.3 Гц, 1H), 2.80 (m, J=6.9 Гц, 1H), 2.32 (s, 3H),1.16 (dd, J=12.0, 6.8 Гц, 6Н).

Соединение: С-15

Синтез N-[1-[4-[(Е)-[(Z)-[3-(2-изопропилфенил)-4-оксотиазолидин-2-илиден]гидразоно]метил]фенил]-3-метилпиразол-4-ил]-3-(трифторметокси)бензамида выполняли, следуя предшествующему методу.

ВЭЖХ/МС (метод 1): Rt: 2.09 мин; m / z=619 (N-1)+. 1Н ЯМР (500 МГц, ДМСО-d6) δ 10.14 (s, 1Н), 8.74 (s, 1H), 8.34 (s, 1H), 8.04 (dt, J=7.8, 1.3 Гц, 1Н), 7.95 - 7.86 (m, 3H), 7.86 - 7.80 (m, 2Н), 7.71 (t, J=8.0 Гц, 1Н), 7.63 (m, J=8.2 Гц, 1Н),7.51 - 7.44 (m, 2Н), 7.34 (td, J=7.5, 1.7 Гц, 1Н), 7.27 (dd, J=7.8, 1.4 Гц, 1Н), 4.26 (d, J=17.2 Гц, 1Н), 4.15 (d, J=17.2 Гц, 1H), 2.85 - 2.72 (m, 1Н), 2.32 (s, 3H), 1.16 (dd, J=12.8, 6.9 Гц, 6Н).

Соединение: С-16

Синтез 2,2-дифтор-N-[1-[4-[(Е)-[(2-изопропилфенил)карбамотиоилгидразоно]метил]фенил]-3-метилпиразол-4-ил]-1,3-бензодиоксол-5-карбоксамида выполняли, следуя предшествующему методу.

ВЭЖХ/МС (метод 1): Rt: 2.114 мин; m / z=575 (N-1)+. 1H ЯМР (300 МГц, ДМСО-d6) δ 11.78 (s, 1Н), 10.02 (d, J=11.3 Гц, 2Н), 8.75 (s, 1H), 8.16 (s, 1H), 8.08 - 7.94 (m, 3H), 7.94 - 7.78 (m, 3H), 7.60 (d, J=8.4 Гц, 1H), 7.41 - 7.32 (m, 1H), 7.30 (q,J=4.8, 4.1 Гц, 1Н), 7.27-7.16 (m, 2Н), 3.14(р, J=6.9 Гц, 1H), 2.31 (s, 3H), 1.19 (d, J=6.8 Гц, 6Н).

Соединение: С-17

Синтез 2,2-дифтор-N-[1-[4-[(Е)-[(Z)-[3-(2-изопропилфенил)-4-оксотиазолидин-2-илиден]гидразоно]метил]фенил]-3-метилпиразол-4-ил]-1,3-бензодиоксол-5-карбоксамида выполняли, следуя предшествующему методу.

ВЭЖХ/МС (метод 1): Rt: 2.069 мин; m / z=615 (N-1)+. 1Н ЯМР (500 МГц, ДМСО-d6) δ 10.02 (s, 1Н), 8.73 (s, 1H), 8.34 (s, 1H), 8.00 (d, J=1.6 Гц, 1H), 7.94 -7.86 (m, 3H), 7.83 (d, J=8.5 Гц, 2Н), 7.60 (d, J=8.4 Гц, 1Н), 7.55 - 7.44 (m, 2Н), 7.34 (td, J=7.5, 1.7 Гц, 1Н), 7.27 (dd, J=7.9, 1.4 Гц, 1Н), 4.26 (d, J=17.3 Гц, 1Н), 4.15 (d, J=17.3 Гц, 1Н), 2.80 (m, J=7.1 Гц, 1Н), 2.32 (s, 3H), 1.25 - 1.12 (m, 6Н).

Соединение: С-18

Синтез 1-[4-[(Е)-[(2-изопропилфенил)карбамотиоилгидразоно]метил]фенил]-3-метил-N-[4-(трифторметокси)фенил]пиразол-4-карбоксамида:

Стадия 1: Синтез 3-метил-N-[4-(трифторметокси)фенил]-1Н-пиразол-4-карбоксамида:

К перемешиваемому раствору 5-метил-1Н-пиразол-4-карбоновой кислоты (1.0 г) в ДМФА (25 мл) добавляли 4-(трифторметокси)анилин (1.4 г), HATU (3.9 г) и триэтиламин (1.6 г) при к.т. Полную смесь нагревали при 90°С в течение 12 ч. Протекание реакции контролировали с помощью ЖХМС. После завершения реакции, реакционную смесь разбавляли водой (150 мл), затем экстрагировали этилацетатом (100 мл X 2). Объединенные органические слои сушили над сульфатом натрия и упаривали при пониженном давлении с получением продукта. Сырой продукт очищали с помощью колоночной хроматографии, используя этилацетат и гептан в качестве элюента. ВЭЖХ/МС (метод 1): Rt: 1.632 мин; m / z=284 (N-1)+. 1Н ЯМР (500 МГц, ДМСО-d6) δ 13.00 (s, 1Н), 9.83 (s, 1Н), 8.23 (d, J=73.3 Гц, 1Н), 7.82 (d, J=8.7 Гц, 2Н), 7.32 (d, J=8.5 Гц, 2Н), 2.45 (s, 3H).

Стадия 2: Синтез 1-(4-формилфенил)-3-метил-N-[4-(трифторметокси)фенил]пиразол-4-карбоксамида:

К перемешиваемому раствору 3-метил-N-[4-(трифторметокси)фенил]-1Н-пиразол-4-карбоксамида (0.580 г) в сухом ДМФА (10 мл) добавляли карбонат калия (0.843 г) и 4-фторбензальдегид (0.379 г) при к.т. Реакционную смесь нагревали при 140°С в течение 5 ч, и протекание реакции контролировали с помощью ЖХМС анализа. После завершения реакции, реакционную смесь выливали в воду (50 мл), затем экстрагировали этилацетатом (50 мл X 2). Объединенные органические слои сушили над сульфатом натрия, затем упаривали при пониженном давлении с получением сырого продукта. Сырой продукт очищали с помощью колоночной хроматографии, используя этилацетат и гептан в качестве элюента с получением целевого продукта в виде не совсем белого твердого вещества (0.425 г). ВЭЖХ/МС (метод 1): Rt: 2.027 мин; m / z=388 (N-1)+. 1Н ЯМР (500 МГц, CDCl3) δ 10.06 (s, 1Н), 8.46 (s, 1H), 8.09 - 7.96 (m, 2H), 7.96 - 7.79 (m, 2H), 7.69 - 7.62 (m, 2H), 7.59 (s, 1H), 7.29 - 7.22 (m, 2H), 2.67 (s, 3H).

Стадия 3: Синтез 1-[4-[(E)-[(2-изопропилфенил)карбамотиоилгидразоно]метил]фенил]-3-метил-N-[4-(трифторметокси)фенил]пиразол-4-карбоксамида:

К перемешиваемому раствору 1-(4-формилфенил)-3-метил-N-[4-(трифторметокси)фенил]пиразол-4-карбоксамида (0.2 г) в уксусной кислоте (2 мл) добавляли 1-амино-3-(2-изопропилфенил)тиомочевину (0.107 г) при к.т., и реакционную смесь перемешивали при к.т. в течение 16 ч. Протекание реакции контролировали с помощью ЖХМС анализа. Реакционную смесь разбавляли водой (50 мл), затем нейтрализовали твердым бикарбонатом натрия, сырой продукт экстрагировали этилацетатом (30 мл X 2). Объединенные органические слои сушили над сульфатом натрия и упаривали при пониженном давлении с получением сырого продукта. Сырой продукт затем очищали путем растирания, используя диэтиловый эфир и гептан в качестве элюента с получением целевого продукта в виде белого твердого вещества (0.250 г). ВЭЖХ/МС (метод 1): Rt: 2.219 мин; m / z=579 (M-1)+.

1Н ЯМР (300 МГц, ДМСО-d6) δ 11.83 (s, 1Н), 10.06 (d, J=2.6 Гц, 2Н), 9.13 (s, 1Н), 8.18 (s, 1H), 8.13 - 8.01 (m, 2Н), 7.90 - 7.74 (m, 4Н), 7.41 -7.28 (m, 4Н), 7.28 - 7.15 (m, 2Н), 3.14 (р, J=6.8 Гц, 1H), 2.49 (s, 3H), 1.20 (d, J=6.9 Гц, 6Н).

Соединение: С-19

Стадия 4: Синтез 1-[4-[(Е)-[(Z)-[3-(2-изопропилфенил)-4-оксотиазолидин-2-илиден]гидразоно]метил]фенил]-3-метил-N-[4-(трифторметокси)фенил]пиразол-4-карбоксамида

К перемешиваемому раствору 1-[4-[(Е)-[(2-изопропилфенил)карбамотиоилгидразоно]метил]фенил]-3-метил-N-[4-(трифторметокси)фенил]пиразол-4-карбоксамида (0.176 г) в этаноле (5 мл) добавляли ацетат натрия (0.1 г) и метилбромацетат (0.185 г) при к.т. Реакционную смесь перемешивали при к.т. в течение 12 ч. Протекание реакции контролировали с помощью ЖХМС анализа. После завершения реакции, реакционную смесь разбавляли водой (50 мл), затем экстрагировали этилацетатом (30 мл X 2). Объединенные органические слои сушили над сульфатом натрия и упаривали при пониженном давлении с получением целевого продукта. Сырой продукт очищали с помощью колоночной хроматографии, используя этилацетат и гептан в качестве элюента с получением целевого продукта в виде белого твердого вещества (0.15 г). ВЭЖХ/МС (метод 1): Rt: 1.94 мин; m / z=619 (N-1)+. 1Н ЯМР (500 МГц, ДМСО-d6) δ 10.10 (s, 1Н), 9.11 (s, 1Н), 8.37 (s, 1Н), 7.90 (s, 4Н), 7.86 - 7.74 (m, 2Н), 7.54 - 7.41 (m, 2Н), 7.41 - 7.30 (m, 3H), 7.27 (dd, J=7.8, 1.4 Гц, 1Н), 4.27 (d, J=17.3 Гц, 1H), 4.15 (d, J=17.3 Гц, 1Н), 2.80 (р, J=6.8 Гц, 1Н), 2.49 (s, 3H), 1.16 (dd, J=12.0, 6.8 Гц, 6Н).

Соединение: С20

Стадия 5: Синтез 1-[4-[(Е)-[(2Z)-2-(2-изопропилфенил)имино-4-оксотиазолидин-3-ил]иминометил]фенил]-3-метил-N-[4-(трифторметокси)фенил]пиразол-4-карбоксамида

К перемешиваемому раствору 1-(4-формилфенил)-3-метил-N-[4-(трифторметокси)фенил]пиразол-4-карбоксамида (0.179 г) в смеси этанола (2 мл) и уксусной кислоты (2 мл) добавляли (2Z)-3-амино-2-(2-изопропилфенил)имино-тиазолидин-4-он при к.т. Реакционную смесь перемешивали при к.т. в течение 12 ч. Протекание реакции контролировали с помощью ЖХМС анализа. После завершения реакции, реакционную смесь разбавляли водой (50 мл), затем нейтрализовали твердым бикарбонатом натрия, сырой продукт экстрагировали этилацетатом (40 мл X 2). Объединенные органические слои сушили над сульфатом натрия и упаривали при пониженном давлении с получением сырого продукта. Сырой продукт затем очищали с использованием этилацетата и гептана в качестве элюента с получением целевого продукта в виде белого твердого вещества (0.2 г). ВЭЖХ/МС (метод 1): Rt: 1.94 мин; m / z=621 (M+1)+. 1Н ЯМР (300 МГц, ДМСО-d6) δ 10.11 (s, 1H), 9.16 (d, J=14.3 Гц, 2Н), 8.09 (d, J=8.5 Гц, 2Н), 8.00 (d, J=8.7 Гц, 2Н), 7.86 - 7.77 (m, 2Н), 7.37 (d, J=8.6 Гц, 2Н), 7.31 (dd, J=7.4, 1.7 Гц, 1Н), 7.18 (td, J=7.5, 1.7 Гц, 1Н), 7.12 (td, J=7.4, 1.6 Гц, 1Н), 6.86 (dd, J=7.6, 1.6 Гц, 1H), 4.16 (s, 2Н), 3.01 (р, J=6.9 Гц, 1H), 1.15 (d, J=6.9 Гц, 6Н).

Соединение С-20:

Стадия 5: Синтез 1-[4-[(Е)-[(2Z)-2-(2-изопропилфенил)имино-4-оксотиазолидин-3-ил]иминометил]фенил]-3-метил-N-[4-(трифторметокси)фенил]пиразол-4-карбоксамида

К перемешиваемому раствору 1-(4-формилфенил)-3-метил-N-[4-(трифторметокси)фенил]пиразол-4-карбоксамида (0.179 г) в смеси этанола (2 мл) и уксусной кислоты (2 мл) добавляли (2Z)-3-амино-2-(2-изопропилфенил)иминотиазолидин-4-он при к.т. Реакционную смесь перемешивали при к.т. в течение 12 ч. Протекание реакции контролировали с помощью ЖХМС анализа. После завершения реакции, реакционную смесь разбавляли водой (50 мл), затем нейтрализовали твердым бикарбонатом натрия, сырой продукт экстрагировали этилацетатом (40 мл X 2). Объединенные органические слои сушили над сульфатом натрия и упаривали при пониженном давлении с получением сырого продукта. Сырой продукт затем очищали с использованием этилацетата и гептана в качестве элюента с получением целевого продукта в виде белого твердого вещества (0.2 г). ВЭЖХ/МС (Метод 1): Rt: 1.94 мин; m / z=621 (М+1)+; 1H ЯМР (300 МГц, ДМСО-d6) δ 10.11 (s, 1H), 9.16 (d, J=14.3 Гц, 2Н), 8.09 (d, J=8.5 Гц, 2Н), 8.00 (d, J=8.7 Гц, 2Н), 7.86 -7.77 (m, 2Н), 7.37 (d, J=8.6 Гц, 2Н), 7.31 (dd, J=7.4, 1.7 Гц, 1H), 7.18 (td, J=7.5, 1.7 Гц, 1Н), 7.12 (td, J=7.4, 1.6 Гц, 1H), 6.86 (dd, J=7.6, 1.6 Гц, 1H), 4.16 (s, 2Н), 3.01 (р, J=6.9 Гц, 1Н), 1.15 (d, J=6.9 Гц, 6Н).

Соединение С-52:

Синтез 1-(2-изопропилфенил)-3-[(Е)-[4-[3-метил-4-[N-[4-(трифторметокси)фенил]карбамимидоил]пиразол-1-ил]фенил]метиленамино]тиомочевины

Стадия 1: Синтез этил 1-(4-бромфенил)-3-метилпиразол-4-карбоксилата К перемешиваемому раствору этил 3-метил-1H-пиразол-4-карбоксилата (12.0 г, 77.92 ммоль) в дихлорэтане (120 мл) добавляли ацетат меди (15.58 г, 77.92 ммоль), пиридин (23.676 г, 299.7 ммоль), молекулярные сита (10 г) и 4-бромфенилбороновую кислоту (15.649 г, 77.92 ммоль) при к.т., и полную смесь нагревали при 60°С в течение 12 ч. После завершения реакции, реакционную смесь фильтровали через набивку целита и фильтрат упаривали при пониженном давлении с получением сырого продукта. Сырой продукт очищали с помощью колоночной хроматографии, используя этилацетат и гептан в качестве элюента с выделением обоих, целевого и побочного, продуктов (9.8 г). ВЭЖХ/МС (Метод 1): Rt: 1.63 мин; m / z=309 (M+1)+.

Стадия 2: Синтез [1-(4-бромфенил)-3-метилпиразол-4-ил]метанола

В высушенной в сушильном шкафу трехгорлой колбе, оснащенной якорем магнитной мешалки, приготовляли раствор этил 1-(4-бромфенил)-3-метилпиразол-4-карбоксилата (8.80 г, 28.464 ммоль) в сухом ТГФ (80 мл). Смесь охлаждали до -78°С и затем по каплям добавляли DIBAL-H (150 мл, 113.9 ммоль (1 М раствор)). Реакционную смесь перемешивали, поддерживая такую же температуру в течение 3 ч, и затем температуре давали медленно вернуться к комнатной. После завершения реакции, реакционную смесь гасили путем добавления насыщенного раствора хлорида аммония. Полученную в результате смесь экстрагировали этилацетатом (3 × 50 мл), объединенный органический слой промывали соляным раствором и сушили над сульфатом натрия. Выполнение упаривания растворителя при пониженном давлении и очистки сырого продукта с помощью флэш-хроматографии (циклогексан/AcOEt 9:1) приводило к получению целевого продукта в виде твердого вещества (7.0 г). ВЭЖХ/МС (Метод 1): Rt: 1.63 мин; m / z=269 (M+1)+.

Стадия 3: Синтез 1-(4-бромфенил)-3-метилпиразол-4-карбальдегида

К раствору [1-(4-бромфенил)-3-метилпиразол-4-ил]метанола (6.4 г, 23.96 ммоль) в ДХМ (10 мл) добавляли перйодинан Десса-Мартина (12.194 г, 28.751 ммоль), и смесь перемешивали при к.т. в течение 3 ч. После завершения реакции, растворитель упаривали и сырой продукт очищали с помощью колоночной хроматографии (силикагель: 100-200 Up меш, элюент: гептан:EtOAc) с получением целевого продукта (6.0 г).

Стадия 4: Синтез 1-(4-бромфенил)-3-метилпиразол-4-карбонитрила

К перемешиваемому раствору 1-(4-бромфенил)-3-метилпиразол-4-карбальдегида (5.6 г, 21.12 ммоль) в ацетонитриле (60 мл) добавляли триэтиламин (8.532 г, 84.48 ммоль) и гидрохлорид гидроксиламина (1.761 г, 25.348 ммоль) при к.т. Реакционную смесь затем нагревали до 65°С в течение 2 ч. После завершения реакции (образование промежуточного оксима), смесь охлаждали до 0°С и добавляли триэтиламин (12.798 г, 126.72 ммоль) с последующим добавлением по каплям ангидрида трифторуксусной кислоты (8.873 г, 42.25 ммоль) при 0°С, и реакционную смесь перемешивали в течение 12 ч, давая температуре медленно вернуться к комнатной. Реакционную смесь выливали в воду со льдом, образовавшееся твердое вещество отфильтровывали и промывали водой. Затем твердое вещество растворяли в этилацетате и органический слой промывали водой, соляным раствором, и сушили над сульфатом натрия. Упаривание растворителя давало сырую смолистую массу. Сырой продукт вносили в холодный этанол и перемешивали в течение 20 мин, после чего наблюдали осаждение твердого вещества, которое отфильтровывали, промывали холодным этанолом и сушили с получением белого твердого вещества (5.0 г).

Стадия 5: Синтез 1-(4-бромфенил)-3-метил-N-[4-(трифторметокси)фенил]пиразол-4-карбоксамидина

К перемешиваемому раствору 2-(4-бромфенил)-5-метил-1Н-пиразол-4-карбонитрила (2.30 г, 8.741 ммоль) в сухом толуоле (30 мл) добавляли 3-(трифторметокси)анилин (1.548 г, 8.741 ммоль). Затем по каплям добавляли триметилалюминий (8.881 г, 12.238 ммоль) при к.т., и полную реакционную смесь нагревали до 80°С в течение 12 ч. После завершения реакции, реакционную смесь гасили води, раствором гидроксида калия до достижения основной среды (рН~10), добавляли воду (20 мл) и перемешивали в течение 10 мин. Реакционную смесь затем экстрагировали этилацетатом (3 × 30 мл), объединенный органический слой сушили над сульфатом натрия и упаривали с получением сырого твердого вещества, которое очищали с помощью колоночной хроматографии (силикагель: 100-200 меш, элюент: гептан:EtOAc) с получением целевого продукта (2.3 г). ВЭЖХ/МС (Метод 1): Rt: 2.05 мин; m / z=439 (M+1)+.

Стадия 6: Синтез 3-метил-N-[4-(трифторметокси)фенил]-1-(4-винилфенил)пиразол-4-карбоксамидина

Перемешиваемый раствор трибутил(винил)олова (1.993 г, 6.284 ммоль) и 1-(4-бромфенил)-3-метил-N-[4-(трифторметокси)фенил]пиразол-4-карбоксамидина (2.30 г, 5.236 ммоль) в сухом диоксане (30 мл) дегазировали в течение 15 минут азотом. Затем добавляли палладиевый реагент [1,1'-бис(дифенилфосфино)ферроцен]дихлорпалладий(II) (0.383 г, 0.524 ммоль), и смесь перемешивали при 110°С в течение 5 ч. После завершения реакции, реакционную массу охлаждали до комнатной температуры и разбавляли водой (200 мл). Затем реакционную смесь экстрагировали этилацетатом (2 × 100 мл) и объединенный органический слой промывали соляным раствором и сушили над безводным сульфатом натрия. Растворитель упаривали при пониженном давлении с получением сырого продукта, который очищали с помощью колоночной хроматографии (силикагель: 100-200 меш, элюент: гептан:EtOAc) с получением целевого продукта (1.5 г). ВЭЖХ/МС (Метод 1): Rt: 1.97 мин; m / z=387 (M+1)+.

Стадия 7: Синтез 1-(4-формилфенил)-3-метил-N-[4-(трифторметокси)фенил]пиразол-4-карбоксамидина

К охлажденному перемешиваемому раствору 3-метил-N-[4-(трифторметокси)фенил]-1-(4-винилфенил)пиразол-4-карбоксамидина (1.55 г, 4.012 ммоль) в смеси 1,4-диоксан:вода (1:1, 40 мл) при 10°С добавляли тетраоксид осмия (0.051 г, 0.201 ммоль), и смесь перемешивали в течение 10 мин. Затем порциями добавляли метаперйодат натрия (1.716 г, 8.023 ммоль) в течение 10 мин, и температуре реакционной смеси давали вернуться к комнатной. После завершения реакции реакционную массу разбавляли водой (100 мл) и экстрагировали этилацетатом (3×35 мл). Объединенный органический слой промывали соляным раствором и сушили над безводным сульфатом натрия. Растворитель упаривали при пониженном давлении и сырой продукт очищали с помощью колоночной хроматографии (силикагель: 100-200 меш, элюент: гептан:EtOAc) с получением целевого продукта (0.5 г). ВЭЖХ/МС (Метод 1): Rt: 1.85 мин; m / z=389 (M+1)+.

Стадия 8: Синтез 1-(2-изопропилфенил)-3-[(Е)-[4-[3-метил-4-[N-[4-(трифторметокси)фенил]карбамимидоил]пиразол-1-ил]фенил]метиленамино]тиомочевины

К перемешиваемому раствору 1-(4-формилфенил)-3-метил-N-[4-(трифторметокси)фенил]пиразол-4-карбоксамидина (0.336 г, 0.865 ммоль) в уксусной кислоте (7 мл) добавляли 1-амино-3-(2-изопропилфенил)тиомочевину (0.180 г, 0.865 ммоль) при к.т., и полную реакционную смесь перемешивали в течение 16 ч. После завершения реакции (ТСХ) реакционную смесь разбавляли водой (60 мл) и нейтрализовали твердым бикарбонатом натрия, и сырой продукт экстрагировали этилацетатом (2 × 30 мл). Объединенный органический слой промывали соляным раствором, сушили над безводным сульфатом натрия и упаривали при пониженном давлении с получением сырого продукта, который очищали с помощью препаративной ВЭЖХ с получением чистого целевого продукта (250 мг). ВЭЖХ/МС (Метод 1): Rt: 2.13 мин; m / z=578 (N-1)+; 1Н ЯМР (500 МГц, ДМСО-d6) δ 11.81 (s, 1H), 10.05 (s, 1H), 8.99 (s, 1H), 8.18 (s, 1Н), 8.05 (d, J=8.3 Гц, 2Н), 7.81 (d, J=8.3 Гц, 2Н), 7.40 - 7.35 (m, 1H), 7.31 (ddd, J=14.1, 7.6, 4.2 Гц, 2Н), 7.26 (d, J=6.8 Гц, 1Н), 7.25 - 7.19 (m, 2Н), 6.94 (d, J=8.3 Гц, 2Н), 6.20 (s, 1Н), 3.33 (s, 3H), 3.14 (h, J=6.8 Гц, 1Н), 1.20 (d, J=6.9 Гц, 6Н).

Соединение С-53:

Синтез 1-[4-[(Е)-[(2Z)-2-(2-изопропилфенил)имино-4-оксотиазолидин-3-ил]иминометил]фенил]-3-метил-N-[4-(трифторметокси)фенил]пиразол-4-карбоксамидина

К перемешиваемому раствору 1-(4-формилфенил)-3-метил-N-[4-(трифторметокси)фенил]пиразол-4-карбоксамидина (0.1 г, 0.258 ммоль) в уксусной кислоте (2 мл) добавляли (2Z)-3-амино-2-(2-изопропилфенил)имино-тиазолидин-4-он (0.064 г, 0.258 ммоль) при к.т., и полную реакционную смесь перемешивали при к.т. в течение 5 часов. После завершения реакции, реакционную смесь разбавляли водой (25 мл) и нейтрализовали твердым бикарбонатом натрия. Смесь экстрагировали этилацетатом (2×15 мл), объединенные органические слои промывали соляным раствором и сушили над сульфатом натрия. Растворитель упаривали при пониженном давлении с получением сырого продукта, который растирали с использованием диэтилового эфира и гептана с получением твердого вещества (100 мг). ВЭЖХ/МС (Метод 1): Rt: 2.21 мин; m / z=620 (М+1)+; 1Н ЯМР (500 МГц, ДМСО-d6) δ 9.11 (s, 1Н), 9.06 (s, 1Н), 8.06 (d, J=8.3 Гц, 2Н), 7.96 (d, J=8.4 Гц, 2Н), 7.38 - 7.23 (m, 3H), 7.19 (td, J=7.5, 1.6 Гц, 1H), 7.12 (td, J=7.5, 1.5 Гц, 1H), 6.94 (d, J=7.5 Гц, 2Н), 6.87 (dd, J=7.8, 1.5 Гц, 1H), 6.23 (s, 1Н), 4.16 (s, 3H), 3.01 (р, J=6.9 Гц, 1H), 1.15 (d, J=6.9 Гц, 6Н).

При должной модификации исходных веществ, методики, показанные при описании примеров получения выше, использовали для получения дополнительных соединений формулы (I). Полученные таким образом соединения вместе с физическими данными перечислены в Таблице С, причем i-Pr означает изопропильную группу.

Биологические примеры:

Пример В1: Действие на желтолихорадочного комара (Aedes aegypti)

Для оценки эффективности борьбы с желтолихорадочным комаром (Aedes aegypti) тестовый модуль состоял из 96-луночных микротитрационных планшетов, содержащих 200 мкл водопроводной воды на лунку и 5-15 недавно вылупившихся личинок A. aegypti.

Приготовляли состав активных соединений или смесей, используя раствор, содержащий 75% (об./об.) воды и 25% (об./об.) ДМСО. Разными концентрациями введенных в состав соединений или смесей опрыскивали корм для насекомых в объеме 2.5 мкл, используя изготовленный на заказ микрораспылитель, в двух повторностях.

В случае экспериментальных смесей, соответственно, в этих тестах смешивали вместе одинаковые объемы обоих компонентов для смешивания в желаемых концентрациях.

После нанесения, микротитрационные планшеты инкубировали при температуре 28±1°С и относительной влажности 80±5% в течение 2 дней. Смертность личинок затем оценивали визуально.

В этом тесте, соединения С-1, С-2, С-4, С-5, С-6, С-7, С-8, С-10, С-11, С-15, С-16, С-17, С-18, С-19, С-22, С-29, С-33, С-36, С-41, С-46, С-47, С-48, С-51, С-52, С-53, С-54, С-56, С-57, С-58, С-60, С-61, С-62, С-63, С-64, С-65, С-66, С-67, С-68, С-71, С-72, С-73, С-74, С-75, С-16, С-80, С-82, С-83, С-84, С-85, С-86, С-87, С-88, С-91, С-93, С-95, С-98, С-100, С-101, С-102, С-103, С-104, С-106, С-107, С-111, С-112, С-116, С-117, С-118, С-119, С-120 при концентрации 800 ч./млн показывали, по сравнению с необработанными контролями, по меньшей мере 50%-ную смертность.

Пример В2: Действие на трипе орхидеи (Dichromothriys corbetti)

Взрослые особи Dichromothrips corbetti, используемые для биоанализа, получали из колонии, постоянно содержавшейся в лабораторных условиях. Для целей тестирования, тестируемое соединение разбавляли в смеси 1:1 ацетон: вода (об.:об.), плюс Kinetic® HV в количестве 0.01% об./об.

Действенность каждого соединения в отношении трипсов оценивали путем применения методики погружения цветка. Все лепестки отдельных, неповрежденных цветков орхидеи погружали в раствор для обработки и позволяли им высушиться в чашках Петри. Обработанные лепестки помещали в отдельные пластиковые герметизируемые емкости многоразового использования вместе с приблизительно 20 взрослыми трипсами. Все участки проведения тестирования выдерживали при непрерывном освещении и температуре приблизительно 28°С на протяжении периода анализа. Спустя 3 дня, на каждом лепестке подсчитывали число живых трипсов. Процентную смертность регистрировали через 72 часа после обработки.

В этом тесте, соединения С-1, С-2, С-5, С-6, С-7, С-8, С-9, С-15, С-16, С-22, С-45, С-47, С-48, С-52, С-56, С-58, С-61, С-108, С-111, С-112, С-115, С-116, С-118, С-119, С-120 при концентрации 500 ч./млн показывали, по сравнению с необработанными контролями, по меньшей мере 75%-ную смертность.

Пример В3: Действие на долгоносика хлопкового (Anthonomus grandis)

Для оценки эффективности борьбы с долгоносиком хлопковым (Anthonomus grandis) тестовый модуль состоял из 96-луночных микротитрационных планшетов, содержащих корм для насекомых и 5-10 яиц A. grandis.

Приготовляли состав соединений, используя раствор, содержащий 75% (об./об.) воды и 25% (об./об.) ДМСО. Разными концентрациями введенных в состав соединений опрыскивали корм для насекомых в объеме 5 мкл, используя изготовленный на заказ микрораспылитель, в двух повторностях.

После нанесения, микротитрационные планшеты инкубировали при температуре приблизительно 25±1°С и относительной влажности приблизительно 75±5% в течение 5 дней. Смертность яиц и личинок затем оценивали визуально.

В этом тесте, соединения С-1, С-2, С-3, С-4, С-5, С-6, С-7, С-8, С-9, С-10, С-11, С-15, С-16, С-17, С-22, С-26, С-27, С-28, С-29, С-30, С-31, С-32, С-33, С-35, С-36, С-37, С-38, С-41, С-42, С-43, С-45, С-46, С-47, С-48, С-51, С-52, С-53, С-54, С-56, С-57, С-58, С-60, С-61, С-62, С-63, С-64, С-67, С-68, С-71, С-72, С-74, С-75, С-76, С-82, С-84, С-86, С-87, С-88, С-90, С-92, С-93, С-95, С-98, С-100, С-101, С-102, С-103, С-104, С-105, С-106, С-111, С-112, С-115, С-116, С-117, С-118, С-119, С-120 при концентрации 800 ч./млн показывали, по сравнению с необработанными контролями, по меньшей мере 75%-ную смертность.

Пример В4: Действие на серебряную белокрылку (Bemisia argentifolii) (взрослые особи)

Приготовляли состав активных соединений с помощью устройства для манипуляций с жидкостями Tecan в 100% циклогексаноне в виде 10,000 ч./млн раствора, поставляемого в тюбиках. 10,000 ч./млн раствор серийно разбавляли в 100% циклогексаноне с получением промежуточных растворов. Они служили в качестве базовых растворов, для которых конечные разведения приготовляли с помощью устройства Tecan в смеси 50% ацетон: 50% вода (об./об.) в 5 или 10 мл стеклянных пробирках. Неионное поверхностно-активное вещество (Kinetic®) включали в раствор в объеме 0.01% (об./об.). Пробирки затем вставляли в автоматический электростатический распылитель, оснащенный распыляющим соплом, для нанесения на растения/насекомых.

Растения хлопчатника на стадии семядоли (одно растение на горшок) опрыскивали с помощью автоматического электростатического распылителя для растений, оснащенного тонко распыляющим соплом. Растения сушили в вытяжном устройстве распылителя и затем удаляли из распылителя. Каждый горшок помещали в пластиковую чашку и вводили приблизительно 10-12 взрослых особей белокрылки (приблизительно в возрасте 3-5 дней). Насекомых собирали, используя аспиратор и нетоксичную трубку Tygon®, соединенную с наконечником пипетки с барьером. Наконечник, содержащий собранных насекомых, затем осторожно вставляли в почву, содержащую обработанное растение, позволяя насекомым выползать за пределы наконечника для достижения листьев для питания. Чашки закрывали многоразовой решетчатой крышкой. Тестируемые растения выдерживали в теплице при температуре приблизительно 25°С и относительной влажности приблизительно 20-40% в течение 3 дней, избегая прямого воздействия флуоресцентного света (фотопериод 24 часа) для предотвращения поглощения тепла внутренней частью чашки. Смертность, по сравнению с необработанными контрольными растениями, оценивали через 3 дня после обработки.

В этом тесте, соединения С-1, С-2, С-33, С-111, С-119, С-120 при концентрации 300 ч./млн показывали, по сравнению с необработанными контролями, по меньшей мере 75%-ную смертность.

Пример В5: Действие на табачную листовертку (Heliothis virescens)

Для оценки эффективности борьбы с табачной листоверткой (Heliothis virescens) тестовый модуль состоял из 96-луночных микротитрационных планшетов, содержащих корм для насекомых и 15-25 яиц Н. virescens.

Приготовляли состав соединений, используя раствор, содержащий 75% об./об. воды и 25% об./об. ДМСО. Разными концентрациями введенных в состав соединений опрыскивали корм для насекомых в объеме 10 мкл, используя изготовленный на заказ микрораспылитель, в двух повторностях.

После нанесения, микротитрационные планшеты инкубировали при температуре приблизительно 28±1°С и относительной влажности приблизительно 80±5% в течение 5 дней. Смертность яиц и личинок затем оценивали визуально.

В этом тесте, соединения С-1, С-2, С-4, С-5, С-6, С-7, С-8, С-9, С-10, С-11, С-15, С-16, С-17, С-18, С-19, С-20, С-21, С-22, С-29, С-30, С-32, С-33, С-35, С-36, С-37, С-40, С-41, С-42, С-45, С-46, С-47, С-48, С-51, С-52, С-53, С-54, С-56, С-57, С-58, С-60, С-61, С-62, С-63, С-64, С-65, С-66, С-67, С-68, С-69, С-70, С-71, С-72, С-73, С-74, С-75, С-16, С-77,С-78, С-79, С-80, С-81,С-82, С-83, С-84, С-85, С-86, С-87, С-88, С-89, С-90, С-91, С-92, С-93, С-94, С-95, С-96, С-97, С-98, С-99, С-100, С-101, С-102, С-103, С-104, С-105, С-106, С-107, С-108, С-111, С-112, С-115, С-116, С-117, С-118, С-119, С-120 при концентрации 800 ч./млн показывали, по сравнению с необработанными контролями, по меньшей мере 75%-ную смертность.

Пример В6: Действие на моль капустную (Plutella xylostella)

Активное соединение растворяли в желаемой концентрации в смеси 1:1 (об./об.) дистиллированная вода: ацетон. Поверхностно-активное вещество (Kinetic® HV) добавляли в количестве 0.01% (об./об.). Тестируемый раствор приготовляли в день применения.

Листья кочанной капусты погружали в тестируемый раствор и высушивали на воздухе. Обработанные листья помещали в чашки Петри, выстланные влажной фильтровальной бумагой, и инокулировали десятью личинками 3-й личиночной стадии. Смертность регистрировали через 72 часа после обработки. Также регистрировали нарушения питания, используя шкалу 0-100%.

В этом тесте, соединения С-1, С-2, С-4, С-5, С-6, С-7, С-8, С-9, С-10, С-11, С-15, С-16, С-17, С-18, С-22, С-29, С-30, С-33, С-35, С-36, С-37, С-38, С-40, С-41, С-42, С-45, С-46, С-47, С-48, С-51, С-52, С-53, С-54, С-56, С-58, С-60, С-61, С-108, С-111, С-112, С-115, С-116, С-118, С-119, С-120 при концентрации 500 ч./млн показывали, по сравнению с необработанными контролями, по меньшей мере 75%-ную смертность.

Пример В7: Действие на южную совку (Spodoptera eridania), 2-я личиночная стадия

Приготовляли состав активных соединений с помощью устройства для манипуляций с жидкостями Tecan в 100% циклогексаноне в виде 10,000 ч./млн раствора, поставляемого в тюбиках. 10,000 ч./млн раствор серийно разбавляли в 100% циклогексаноне с получением промежуточных растворов. Они служили в качестве базовых растворов, для которых конечные разведения приготовляли с помощью устройства Tecan в смеси 50% ацетон: 50% вода (об./об.) в 10 или 20 мл стеклянных пробирках. Неионное поверхностно-активное вещество (Kinetic®) включали в раствор в объеме 0.01% (об./об.). Пробирки затем вставляли в автоматический электростатический распылитель, оснащенный распыляющим соплом, для нанесения на растения/насекомых.

Растения лимской фасоли (сорт Sieva) выращивали по 2 растения на горшок и отбирали для обработки на стадии 1-го настоящего листа. Тестируемыми растворами опрыскивали листву с помощью автоматического электростатического распылителя для растений, оснащенного тонко распыляющим соплом. Растения сушили в вытяжном устройстве распылителя и затем удаляли из распылителя. Каждый горшок помещали в перфорированный пластиковый пакет с застежкой-молнией. Приблизительно 10-11 личинок совки помещали в каждый пакет и пакеты закрывали молнией. Тестируемые растения выдерживали в теплице при температуре приблизительно 25°С и относительной влажности приблизительно 20-40% в течение 4 дней, избегая прямого воздействия флуоресцентного света (фотопериод 24 часа) для предотвращения поглощения тепла внутренней частью пакетов. Смертность и уменьшение потребления пищи оценивали, по сравнению с необработанными контролями, через 4 дня после обработки.

В этом тесте, соединения С-1, С-2, С-4, С-5, С-6, С-7, С-8, С-10, С-11, С-15, С-16, С-17, С-18, С-19, С-22, С-33, С-34, С-37, С-41, С-45, С-47, С-48, С-51, С-52, С-53, С-54, С-48, С-56, С-61, С-62, С-63, С-65, С-67, С-69, С-71, С-72, С-73, С-75, С-16, С-77, С-78, С-79, С-80, С-81, С-82, С-83, С-84, С-86, С-87, С-88, С-89, С-90, С-91, С-92, С-94, С-95, С-98, С-99, С-101, С-102, С-103, С-104, С-105, С-106, С-107, С-108, С-111, С-112, С-115, С-116, С-117, С-118, С-119, С-120 при концентрации 300 ч./млн показывали, по сравнению с необработанными контролями, по меньшей мере 75%-ную смертность.

Похожие патенты RU2834738C2

название год авторы номер документа
ПРОИЗВОДНЫЕ ПИРИМИДОНА, СОДЕРЖАЩИЕ ДВА КОНДЕНСИРОВАННЫХ БИЦИКЛИЧЕСКИХ КОЛЬЦА 2020
  • Фон Дайн Вольфганг
  • Шейх Ризван Шаббир
  • Адисечан Ашоккумар
RU2827542C1
ПРОИЗВОДНЫЕ ПРОПАНОЛАМИНА, СПОСОБЫ ИХ ПОЛУЧЕНИЯ И СРЕДСТВО НА ИХ ОСНОВЕ 1998
  • Гломбик Хайнер
  • Энзен Альфонс
  • Крамер Вернер
  • Барингхаус Карл-Хайнц
RU2198876C2
ПУРИНОВЫЕ ПРОИЗВОДНЫЕ КАК ИНГИБИТОРЫ ТИРОЗИНПРОТЕИНАЗЫ SYK 2000
  • Коллингвуд Стивен Пол
  • Хайлер Джуди
  • Ле Гранд Даррен Марк
  • Матте Анри
  • Минэр Кейт Аллан
  • Уолкер Клайв Виктор
  • Коккрофт Сяолин
RU2248977C2
ПРОТИВОПАРАЗИТАРНЫЕ ДИГИДРОАЗОЛОВЫЕ СОЕДИНЕНИЯ И СОДЕРЖАЩИЕ ИХ КОМПОЗИЦИИ 2010
  • Ле Ир Де Фаллуа Лоик Патрик
  • Ли Хуонг Ик
  • Уилкинсон Дуглас Эдвард
  • Бек Брент Кристофер
RU2549900C9
СОЕДИНЕНИЯ ДЛЯ ПРИМЕНЕНИЯ ДЛЯ ЛЕЧЕНИЯ НЕРВНО-МЫШЕЧНЫХ РАССТРОЙСТВ 2016
  • Хольм Педерсен Томас
  • Брох-Липс Мартин
  • Эльсборг Олесен Клаус
  • Лабель Марк
  • Бекгор Нильсен Оле
RU2745065C2
СПОСОБ ПОЛУЧЕНИЯ ГИДРИРОВАННОГО НИТРИЛЬНОГО КАУЧУКА, ОБЛАДАЮЩЕГО НИЗКОЙ МОЛЕКУЛЯРНОЙ МАССОЙ 2010
  • Онг Кристофер
  • Мюллер Юлия Мария
RU2548681C9
СПОСОБ ПОЛУЧЕНИЯ ОКСАЗОЛОВ КОНДЕНСАЦИЕЙ АРОМАТИЧЕСКИХ АЛЬДЕГИДОВ С АЛЬФА-КЕТОКСИМАМИ С ОБРАЗОВАНИЕМ N-ОКСИДОВ И ПОСЛЕДУЮЩИМ ВЗАИМОДЕЙСТВИЕМ С АКТИВИРОВАННЫМИ ПРОИЗВОДНЫМИ КИСЛОТ 2005
  • Холла Вольфганг
  • Херляйн Рольф-Людвиг
  • Кулитцшер Берндт
  • Лаукс Вольфганг
  • Штюдеманн Томас
  • Таппертцхофен Кристоф
  • Шеффер Роберт Дж. Х.
RU2402537C2
ПЕСТИЦИДНЫЕ СОЕДИНЕНИЯ 2018
  • Чаудхури Рупша
  • Самбасиван Сундерраман
  • Нарине Арун
  • Адисечан Ашоккумар
  • Вьяс Девендра
RU2786724C2
НОВЫЕ ИМИНОПРОИЗВОДНЫЕ В КАЧЕСТВЕ ИНГИБИТОРОВ РЕЗОРБЦИИ КОСТИ И АНТАГОНИСТОВ РЕЦЕПТОРА ВИТРОНЕКТИНА 1997
  • Венер Фолкмар
  • Кнолле Йохен
  • Штилц Ханс Ульрих
  • Гурве Жан-Франсуа
  • Карниато Дени
  • Гадек Томас Ричард
  • Макдауэлл Роберт
  • Питти Роберт Морис
  • Боудари Сара Кэтрин
RU2197476C2
ФАРМАЦЕВТИЧЕСКИ АКТИВНЫЕ СОЕДИНЕНИЯ В КАЧЕСТВЕ ИНГИБИТОРОВ РЕЦЕПТОРНОЙ ТИРОЗИНКИНАЗЫ СЕМЕЙСТВА ТАМ 2016
  • Нам, Кийян
  • Ким, Джэсын
  • Ан, Сохён
  • Чон, Еджин
  • Ли, Духён
  • Парк, Донсик
  • Ян,
  • Ли, Сэён
  • Ким, Чонджун
  • Ан, Чийе
  • Ким, Хана
  • Чжун, Чон-Вон
  • Шульц-Фадемрехт, Карстен
RU2750727C2

Реферат патента 2025 года ПЕСТИЦИДНЫЕ ПИРАЗОЛЬНЫЕ И ТРИАЗОЛЬНЫЕ ПРОИЗВОДНЫЕ

Изобретение относится к соединениям формулы (I) и их сельскохозяйственно или ветеринарно приемлемым солям,

где А означает N или CRA; В1 означает N или CRB1; B2 означает CRB2; B3 означает CRB3; B4 означает CRB4; RA означает Н, галоген, C16-алкил, C1-C6-алкокси, С36-циклоалкил, NRbRc; RB1, RB2, RB3 и RB4 независимо друг от друга означают Н, галоген, CN или С16-алкил; Q означает -C(R4R5)-O-, -N(R2)-C(R9R10)-, -N(R2)-C(=O)-, -N=C(X)-; где Ar присоединен к одной из сторон Q; m означает 0; X означает N(R3)2; R3 означает Н, C16-алкил; R2 означает Н, С16-алкил; R4 и R5 означают Н; R9 и R10 означают Н; R6 означает Н, C16-алкил или С36-циклоалкил; Ar означает фенил или 5- или 6-членный гетарил, или 1,3-бензодиоксол, которые замещены посредством RAr, где RAr означает галоген, C16-алкил, C16-алкокси, где алкильные и алкокси фрагменты не замещены или замещены галогеном, или S(=O)mRe; R1 представляет собой радикал формул YZT-1 - YZT-7, где обозначает присоединение к оставшейся части соединения

R11 означает фенил, где фенильные кольца замещены посредством Rg; R12 означает радикал формулы А1 где # указывает место присоединения к Т; R121, R122, R123 означают С16-алкокси; R124 означает C16-алкил; и где Rya означает Н; Ryc означает Н; Rzc означает Н; RT означает Н; Rza означает Н; или Rza вместе с RT, в случае присутствия, могут образовывать C16-алкилен, где линейный C16-алкилен не замещен; Rb и Rc являются одинаковыми или разными и означают Н или C1-C6-алкил; Re означает C16-алкил, который не замещен или замещен галогеном; Rg означает галоген, CN, C16-алкил; где термин "гетарил" обозначает ароматический гетероцикл, который является моноциклическим и имеет либо 5 или 6 кольцевых атомов, и где гетарил имеет по меньшей мере один кольцевой атом, выбранный из О, S и N, а также к пестицидной композиции и способу подавления или борьбы с беспозвоночными вредителями, способу защиты растущих растений и применению соединений для защиты растений. Технический результат: получены новые соединения, которые могут быть применимы для борьбы с беспозвоночными вредителями. 5 н. и 4 з.п. ф-лы, 4 табл., 8 пр.

Формула изобретения RU 2 834 738 C2

1. Соединения формулы (I)

где

А означает N или CRA;

В1 означает N или CRB1;

B2 означает CRB2;

B3 означает CRB3;

B4 означает CRB4;

RA означает Н, галоген, C16-алкил, C1-C6-алкокси, С36-циклоалкил, NRbRc;

RB1, RB2, RB3 и RB4 независимо друг от друга означают Н, галоген, CN или С16-алкил;

Q означает -C(R4R5)-O-, -N(R2)-C(R9R10)-, -N(R2)-C(=O)-, -N=C(X)-;

где Ar присоединен к одной из сторон Q;

m означает 0;

X означает N(R3)2;

R3 означает Н, C16-алкил;

R2 означает Н, С16-алкил;

R4 и R5 означают Н;

R9 и R10 означают Н;

R6 означает Н, C16-алкил или С36-циклоалкил;

Ar означает фенил или 5- или 6-членный гетарил, или 1,3-бензодиоксол, которые замещены посредством RAr, где

RAr означает галоген, C16-алкил, C16-алкокси, где алкильные и алкокси фрагменты не замещены или замещены галогеном,

или S(=O)mRe;

R1 представляет собой радикал формул YZT-1 - YZT-7, где обозначает присоединение к оставшейся части соединения

R11 означает фенил, где фенильные кольца замещены посредством Rg;

R12 означает радикал формулы А1

где # указывает место присоединения к Т;

R121, R122, R123 означают С16-алкокси;

R124 означает C16-алкил;

и где

Rya означает Н;

Ryc означает Н;

Rzc означает Н;

RT означает Н;

Rza означает Н; или

Rza вместе с RT, в случае присутствия, могут образовывать C16-алкилен, где линейный C16-алкилен не замещен;

Rb и Rc являются одинаковыми или разными и означают Н или C1-C6-алкил;

Re означает C16-алкил, который не замещен или замещен галогеном;

Rg означает галоген, CN, C16-алкил;

где термин "гетарил" обозначает ароматический гетероцикл, который является моноциклическим и имеет либо 5 или 6 кольцевых атомов, и где гетарил имеет по меньшей мере один кольцевой атом, выбранный из О, S и N;

и их сельскохозяйственно или ветеринарно приемлемые соли.

2. Соединения формулы (I) по п. 1, где А означает CRA, В1 означает CRB1, В2 означает CRB2, В3 означает CRB3, и В4 означает CRB4.

3. Соединения формулы (I) по п. 1, где А означает N, В1 означает CRB1, В2 означает CRB2, В3 означает CRB3, и В4 означает CRB4.

4. Соединения формулы (I) по п. 1, где А означает N, В1 означает N, В2 означает CRB2, В3 означает CRB3, В4 означает CRB4.

5. Соединения формулы (I) по любому из пп. 1-4, где

Ar означает фенил, пиримидинил, пиридазинил или пиридил, которые не замещены или замещены посредством RAr;

RAr означает галоген, C16-алкил, C16-галогеналкил, C16-алкокси, C1-C6-галогеналкокси или S-Re;

Re означает C1-C6-алкил, который не замещен или замещен галогеном.

6. Пестицидная композиция против беспозвоночных вредителей, содержащая сельскохозяйственно эффективное количество соединения формулы (I) по любому из пп. 1-5 или его сельскохозяйственно приемлемую соль и носители.

7. Способ подавления или борьбы с беспозвоночными вредителями, который включает приведение в контакт указанного вредителя или его пищевых ресурсов, среды обитания или мест размножения с пестицидно эффективным количеством по меньшей мере одного соединения по любому из пп. 1-5 или композиции по п. 6.

8. Способ защиты растущих растений от нападения или заражения беспозвоночными вредителями, который включает приведение в контакт растения, или почвы, или воды, в которых растение растет, с пестицидно эффективным количеством по меньшей мере одного соединения по любому из пп. 1-5 или композиции по п. 6.

9. Применение соединения формулы (I) по любому из пп. 1-5 и его сельскохозяйственно приемлемой соли или композиции по п. 6 для защиты растущих растений от нападения или заражения беспозвоночными вредителями.

Документы, цитированные в отчете о поиске Патент 2025 года RU2834738C2

WO 2015140222 A1, 24.09.2015
WO 2016156076 A1, 06.10.2016
Способ комплексной дооперационной дифференциальной диагностики доброкачественных и злокачественных узловых образований щитовидной железы 2022
  • Зима Дмитрий Владимирович
  • Безруков Олег Филиппович
  • Зяблицкая Евгения Юрьевна
  • Голубинская Елена Петровна
  • Макалиш Татьяна Павловна
  • Максимова Полина Евгеньевна
  • Непритимова Елена Андреевна
  • Кубышкин Анатолий Владимирович
RU2805941C1
WO 2016156076 A1, 06.10.2016
ПЕСТИЦИДНЫЕ КОМПОЗИЦИИ И СВЯЗАННЫЕ С НИМИ СПОСОБЫ 2014
  • Чжан Юй
  • Кубота Асако
  • Нияз Ноормохамед М.
  • Бартон Томас
  • Траллингер Тони К.
  • Лоу Кристиан Т.
  • Лепла Поль Р.
  • Байсс Энн М.
  • Уолш Мартин Дж.
  • Гарици Негар
  • Хантер Рики
  • Ньюеппел Дэниел
RU2658995C2
МОЛЕКУЛЫ С ОПРЕДЕЛЕННОЙ ПЕСТИЦИДНОЙ АКТИВНОСТЬЮ И ОТНОСЯЩИЕСЯ К НИМ ПРОМЕЖУТОЧНЫЕ ПРОДУКТЫ, КОМПОЗИЦИИ И СПОСОБЫ 2014
  • Фишер Линдси Г.
  • Баум Эрих В.
  • Крауз Гари Д.
  • Деамикис Карл
  • Лорсбах Бет
  • Петкус Джефф
  • Спаркс Томас К.
  • Уайтекер Грегори Т.
  • Уорд Эндрю Л.
  • Росс Рональд
  • Хао Янь
  • Джампьетро Натали К.
RU2650498C2

RU 2 834 738 C2

Авторы

Маити Пулакеш

Нарине Арун

Чаудхури Рупша

Гарса Санчес Розарио Алейда

Самбасиван Сундерраман

Адисечан Ашоккумар

Шейх Ризван Шаббир

Даты

2025-02-13Публикация

2020-07-09Подача