Область техники, к которой относится настоящее изобретение
[1] Варианты осуществления настоящего изобретения относятся к области технологий обеспечения информационной безопасности в облачных средах, в частности, к способу и устройству для аутентификации личности, а также к терминалу, носителю данных и его программному продукту.
Предшествующий уровень техники настоящего изобретения
[2] Двухфакторная аутентификация (2FA) представляет собой способ аутентификации личности пользователя путем комбинирования двух различных типов факторов аутентификации (таких как пароли учетных записей, проверочные коды службы коротких сообщений (SMS) и биометрические данные). В процессе проверки личности пользователю необходимо предоставить два различных фактора аутентификации для подтверждения своей личности, что позволяет лучше защитить учетные данные пользователей и доступные ему ресурсы по сравнению со способом проверки, где используется всего один фактор.
[3] В некоторых практиках способ 2FA обычно использует два фактора из числа следующих трех факторов аутентификации: (1) личной информации пользователей, такой как пароли или персональные идентификационные номера (PIN); (2) биометрических данных пользователей, таких как образцы голоса, черты лица, отпечатки пальцев и тому подобное; и (3) персональных средств пользователей, таких как проверочные коды SMS, электронные ключи безопасности и тому подобное.
[4] Однако способы аутентификации личности в некоторых случаях предусматривают следующее: все способы, основанные на двух типах биометрических данных, такие как способ, основанный на кодовых фразах и паролях, и способ, основанный на биометрических данных и личной информации пользователя, требуют от пользователей выполнения, по меньшей мере, двух проверочных операций, таких как ввод образцов голоса и отпечатков пальцев или ввод отпечатков пальцев и паролей, что усложняет проверочные операции и затягивает процесс проверки.
Краткое раскрытие настоящего изобретения
[5] Вариантами осуществления настоящего изобретения предложен способ и устройство для аутентификации личности, а также терминал, носитель данных и его программный продукт. Ниже описаны технические решения, реализованные в настоящем изобретении.
[6] Согласно одному из аспектов настоящего изобретения вариантами его осуществления предложен способ аутентификации личности. Этот способ предусматривает выполнение следующих стадий:
[7] генерирование целевой функции произвольного соответствия в ответ на команду на проверку личности, причем целевая функция произвольного соответствия представляет собой функцию, сгенерированную с возможностью соотнесения символов с жестами произвольным образом;
[8] отображение виртуальной клавиатуры на основе целевой функции произвольного соответствия, причем на виртуальной клавиатуре отображается информация с указанием на необходимость преобразования пароля, которая соответствует целевой функции произвольного соответствия, и которая определяется как указание на необходимость преобразования символов пароля в исходном пароле в жесты, причем разные символы пароля соответствуют разным жестам, режим преобразования символов пароля, отображаемый информацией с указанием на необходимость преобразования пароля, генерируется произвольным образом, а символы пароля включают в себя, по меньшей мере, один тип цифр, букв, знаков препинания и специальных символов; при этом отображение виртуальной клавиатуры на основе целевой функции произвольного соответствия предусматривает: определение блока преобразования пароля на основе целевой функции произвольного соответствия, причем блок преобразования пароля включает в себя один из символов пароля и жест, соответствующий одному из символов пароля в целевой функции произвольного соответствия; и отображение блока преобразования пароля на виртуальной клавиатуре на основе первого режима отображения, соответствующего одному из символов пароля, и второго режима отображения, соответствующего идентификатору жеста, причем первый режим отображения отличается от второго режима отображения;
[9] получение данных о чертах лица путем извлечения черт лица из изображений для проверки личности, собранных камерой;
[10] получение последовательности жестов путем детектирования активности на изображениях для проверки личности;
[11] получение исходного пароля путем преобразования пароля из последовательности жестов на основе целевой функции произвольного соответствия; и
[12] выполнение аутентификации личности на основе исходного пароля и данных о чертах лица.
[13] Согласно другому аспекту настоящего изобретения вариантами его осуществления предложено устройство для аутентификации личности. Это устройство включает в себя:
[14] первый модуль отображения, выполненный с возможностью генерирования целевой функции произвольного соответствия в ответ на команду на проверку личности, причем целевая функция произвольного соответствия представляет собой функцию, сгенерированную с возможностью соотнесения символов с жестами произвольным образом; и отображения виртуальной клавиатуры на основе целевой функции произвольного соответствия, причем на виртуальной клавиатуре отображается информация с указанием на необходимость преобразования пароля, которая соответствует целевой функции произвольного соответствия, и которая определяется как указание на необходимость преобразования символов пароля в исходном пароле в жесты, причем разные символы пароля соответствуют разным жестам, режим преобразования символов пароля, отображаемый информацией с указанием на необходимость преобразования пароля, генерируется произвольным образом, а символы пароля включают в себя, по меньшей мере, один тип цифр, букв, знаков препинания и специальных символов; при этом первый модуль отображения выполнен с дополнительной возможностью: определения блока преобразования пароля на основе целевой функции произвольного соответствия, причем блок преобразования пароля включает в себя один из символов пароля и жест, соответствующий одному из символов пароля в целевой функции произвольного соответствия; и отображения блока преобразования пароля на виртуальной клавиатуре на основе первого режима отображения, соответствующего одному из символов пароля, и второго режима отображения, соответствующего идентификатору жеста, причем первый режим отображения отличается от второго режима отображения;
[15] первый модуль извлечения черт лица, выполненный с возможностью получения данных о чертах лица путем извлечения черт лица из изображений для проверки личности, собранных камерой;
[16] модуль детектирования активности, выполненный с возможностью получения последовательности жестов путем детектирования активности на изображениях для проверки личности;
[17] модуль преобразования пароля, выполненный с возможностью получения исходного пароля путем преобразования пароля из последовательности жестов; и
[18] модуль аутентификации личности, выполненный с возможностью осуществления аутентификации личности на основе исходного пароля и данных о чертах лица.
[19] Согласно еще одному аспекту настоящего изобретения вариантами его осуществления предложен терминал, включающий в себя процессор и память; при этом в памяти хранится, по меньшей мере, одна команда, по меньшей мере, одна программа, набор кодов или набор команд, и при загрузке и исполнении, по меньшей мере, одной команды, по меньшей мере, одной программы, набора кодов или набора команд инициируется реализация процессором способа аутентификации личности согласно указанного аспекту.
[20] Согласно еще одному аспекту настоящего изобретения вариантами его осуществления предложен машиночитаемый носитель данных, в котором хранится, по меньшей мере, одна компьютерная программа, причем эта компьютерная программа при ее загрузке и выполнении процессором инициирует реализацию этим процессором способа аутентификации личности согласно указанного аспекту.
[21] Технические решения, реализованные в вариантах осуществления настоящего изобретения, обеспечивают достижение, по меньшей мере, следующих положительных эффектов:
[22] Вариантами осуществления настоящего изобретения предложен механизм аутентификации личности на основе двух факторов аутентификации, таких как пароль пользователя и черты лица, так что пользователь может одновременно осуществить ввод пароля и выполнить идентификацию лица, введя жест всего один раз. Таким образом, упрощается процесс аутентификации личности пользователя и повышается эффективность аутентификации личности. На основе генерируемого произвольным образом режима преобразования символов пароля пользователь вводит произвольную последовательность жестов, полученную путем преобразования исходного пароля, так что исходный пароль пользователя не «утекает» на этапе ввода пароля, а мгновенный пароль, полученный на основе корректного исходного пароля, позволяет успешно пройти аутентификацию, защищая процесс идентификации лица от атак с использованием поддельных черт лица и дополнительно повышая уровень безопасности и точность аутентификации личности.
Краткое описание чертежей
[23] На фиг. 1 представлено схематическое изображение среды реализации согласно некоторым вариантам осуществления настоящего изобретения;
[24] На фиг. 2 представлена блок-схема, иллюстрирующая способ аутентификации личности согласно некоторым вариантам осуществления настоящего изобретения;
[25] На фиг. 3 представлена блок-схема, иллюстрирующая способ аутентификации личности согласно некоторым вариантам осуществления настоящего изобретения;
[26] На фиг. 4 представлено схематическое изображение виртуальной клавиатуры согласно некоторым вариантам осуществления настоящего изобретения;
[27] На фиг. 5 представлена блок-схема, иллюстрирующая способ аутентификации личности согласно некоторым вариантам осуществления настоящего изобретения;
[28] На фиг. 6 представлена блок-схема, иллюстрирующая способ аутентификации личности согласно некоторым вариантам осуществления настоящего изобретения; и
[29] На фиг. 7 представлена структурная схема устройства для аутентификации личности согласно некоторым вариантам осуществления настоящего изобретения.
Подробное раскрытие настоящего изобретения
[30] Для разъяснения целей, технических решений и преимуществ настоящего изобретения далее по тексту подробно описаны варианты его осуществления, раскрытые в привязке к прилагаемым чертежам.
[31] Термин «множество», используемый в контексте настоящего документа, означает два или более. Термин «и/или» описывает ассоциативное соотношение между связанными объектами и указывает на то, что существует три варианта соотношений. Например, фраза «А и/или В» означает (А), (В) или (А и В). Символ «/» обычно указывает на соотношение «или» между связанными объектами.
[32] В некоторых практиках способ 2FA обычно использует лишь два фактора из числа следующих трех факторов аутентификации: (1) личной информации пользователей, такой как пароли или персональные идентификационные номера (PIN); (2) биометрических данных пользователей, таких как образцы голоса, черты лица, отпечатки пальцев и тому подобное; и (3) персональных средств пользователей, таких как проверочные коды SMS, электронные ключи безопасности и тому подобное. Однако в некоторых случаях способы аутентификации личности предусматривают следующее: способ 2FA, основанный на образцах голоса и прочих биометрических данных (например, на отпечатках пальцев и изображениях лица) требует, чтобы пользовательское устройство было снабжено дополнительными специальными датчиками (например, сканером отпечатков пальцев) или дополнительными программными и аппаратными ключами безопасности; а решение 2FA, основанное на паролях и графических условных обозначениях, часто требует от пользователя ввода информации по несколько раз. Все способы аутентификации личности, как основанные на биометрических данных двух типов, так и основанные на кодовых фразах и паролях, а также на биометрических данных пользователя, требуют от пользователей выполнения, по меньшей мере, двух проверочных операций, таких как ввод образцов голоса и отпечатков пальцев или ввод отпечатков пальцев и паролей, что усложняет проверочные операции и затягивает процесс проверки.
[33] Вариантами осуществления настоящего изобретения предложен способ аутентификации личности, устраняющий указанные технические проблемы, повышающий эффективность способа 2FA и упрощающий сам процесс. На фиг. 1 представлено схематическое изображение среды реализации настоящего изобретения согласно некоторым вариантам его осуществления. Среда реализации включает в себя: терминал 110 и бэкэнд-сервер 120.
[34] Терминал 110 включает в себя модуль 111 преобразования пароля и модуль 112 извлечения черт лица. В ответ на команду на проверку личности модуль 111 преобразования пароля генерирует режим преобразования символов пароля, причем режим преобразования символов пароля генерируется произвольным образом. Терминал 110 отображает режим преобразования символов пароля через интерфейс, и на основании этого режима пользователь преобразует исходный пароль и вводит последовательность жестов через камеру, после чего терминал 110 осуществляет извлечение черт лица и детектирует активность на изображениях для проверки личности, собранных камерой. Модуль 111 преобразования пароля получает исходный пароль путем восстановления идентифицированной последовательности жестов на основе режима преобразования символов пароля. Модуль 112 извлечения черт лица получает данные о чертах лица путем извлечения черт лица из изображений для проверки личности. Терминал 110 передает исходный пароль и данные о чертах лица на бэкэнд-сервер 120 для аутентификации личности. Следовательно, в предложенном способе осуществляется ввод двух факторов аутентификации лишь с использованием одних и тех же данных пользователя всего один раз, что упрощает работу пользователя.
[35] После получения исходного пароля и данных о чертах лица бэкэнд-сервер 120 выполняет аутентификацию личности на основе базы данных и передает результат аутентификации на терминал 110. Хотя на фиг. 1 показан лишь один терминал 110, на практике с бэкэнд-сервером 120 для аутентификации личности может поддерживать связь большее количество терминалов. В бэкэнд-сервере 120 хранятся исходные пароли и данные о чертах лица, соответствующие различным учетным записям.
[36] Далее по тексту иллюстративно описаны сценарии применения способа аутентификации личности согласно вариантам осуществления настоящего изобретения.
[37] 1. Оплата в режиме онлайн
[38] Предложенный способ аутентификации личности может быть реализован в виде функции оплаты в режиме онлайн в таком приложении, как приложение для покупок или приложение для оплаты в режиме онлайн или на веб-странице таким образом, что процесс 2FA реализуется путем однократного ввода данных. По факту получения операции оплаты терминал произвольным образом генерирует режим преобразования символов пароля, отображает режим преобразования символов пароля на интерфейсе и собирает изображения для проверки личности, включив камеру. Пользователь преобразует исходный пароль своей учетной записи в мгновенную последовательность жестов на основе режима преобразования символов пароля, отображаемого терминалом, и показывает соответствующие жесты камере. Терминал получает данные о чертах лица путем извлечения черт лица из изображений для проверки личности, идентифицирует последовательность жестов, выполняет аутентификацию личности на основе исходного пароля и черт лица после получения исходного пароля путем восстановления идентифицированной последовательности жестов и завершает операцию оплаты в случае успешного прохождения 2FA.
[39] 2. Вход в учетную запись
[40] Для учетных записей пользователей, содержащих важную информацию или ресурсы пользователей, описанный выше способ аутентификации личности применим к аутентификации личности при входе в систему. В случае получения операции входа в учетную запись пользователь вводит идентификатор учетной записи, запускает процесс аутентификации личности и одновременно вводит исходный пароль и черты лица с помощью входной последовательности жестов для аутентификации личности. Кроме того, предложенный способ аутентификации личности применим к сценарию входа в учетную запись в приложении и на веб-странице на терминале.
[41] На фиг. 2 представлена блок-схема, иллюстрирующая способ аутентификации личности согласно некоторым вариантам осуществления настоящего изобретения. Варианты осуществления настоящего изобретения описаны на примере способа, применимого к терминалу, который обладает функциями сбора и обработки изображений. Этот способ предусматривает выполнение стадий, описанных ниже.
[42] На стадии S201 отображается информация с указанием на необходимость преобразования пароля в ответ на команду на проверку личности.
[43] Информация с указанием на необходимость преобразования пароля определяется как указание на необходимость преобразования символов пароля в исходном пароле в жесты, причем разные символы пароля соответствуют разным жестам, а режим преобразования символов пароля, отображаемый информацией с указанием на необходимость преобразования пароля, генерируется произвольным образом.
[44] В некоторых вариантах осуществления настоящего изобретения аутентификации личности требует получения двух факторов аутентификации, таких как пароль и черты лица пользователя. Идентификация лица используется в вариантах осуществления заявленного изобретения для упрощения процесс аутентификации личности пользователя, т.е. ввод указанных двух факторов аутентификации осуществляется путем выполнения всего одной операции. Терминал обеспечивает произвольный режим преобразования символов пароля для предотвращения взлома исходного пароля. В ответ на команду на проверку личности терминал предоставляет пользователю режим преобразования символов пароля путем отображения информации с указанием на необходимость преобразования пароля. Пользователь должен преобразовать исходный пароль своей учетной записи в мгновенную последовательность жестов на основе режима преобразования символов пароля, предоставленного терминалом, а затем выполнить последовательность жестов для ее ввода через камеру терминала. Режим преобразования символов пароля генерируется произвольным образом и является нефиксированным режимом преобразования, благодаря чему режим преобразования символов пароля не может быть взломан третьими лицами.
[45] В некоторых вариантах осуществления настоящего изобретения режим преобразования символов пароля обеспечивает взаимное преобразование символов и жестов и соотносит символы с жестами, которые могут быть выполнены пользователем. Например, символы включают в себя цифры, буквы, знаки препинания, специальные символы и прочее, а жесты включают в себя различные выражения лица, движения головы, комбинированные движения головы и рук и прочее, что не носит ограничительного характера в вариантах осуществления заявленного изобретения.
[46] На стадии S202 обеспечивается получение данных о чертах лица путем извлечения черт лица из изображений для проверки личности, собранных камерой.
[47] После отображения информации с указанием на необходимость преобразования пароля терминал включает камеру и с помощью камеры собирает данные в виде изображений, таких как видео или фотографии. По завершении сбора изображений для проверки личности терминал получает данные о чертах лица пользователя путем извлечения черт лица из изображений для проверки личности.
[48] В некоторых вариантах осуществления настоящего изобретения предусмотрено, что после получения команды на проверку личности терминал автоматически включает камеру с целью сбора изображения для проверки личности. В альтернативном варианте терминал отображает информацию с указанием на необходимость преобразования пароля и включает камеру после получения операции подтверждения ввода пароля (например, операции запуска с помощью органа управления идентификацией лица) для сбора изображений. Терминал выключает камеру для завершения сбора изображений в случае, если продолжительность работы камеры достигает порогового значения. В альтернативном варианте терминал выключает камеру при получении операции завершения ввода пароля (например, операции запуска с помощью органа управления завершением ввода информации). В качестве альтернативы терминал идентифицирует собранные изображения для проверки личности в режиме реального времени и автоматически выключает камеру в случае, если лицо не обнаружено или жест пользователя на изображениях не изменился в течение заданного периода времени, что не носит ограничительного характера в вариантах осуществления настоящего изобретения.
[49] В некоторых вариантах осуществления настоящего изобретения терминал содержит модуль извлечения черт лица, и терминал вводит изображения для проверки личности в модуль извлечения черт лица для получения данных о чертах лица.
[50] В некоторых вариантах осуществления настоящего изобретения изображения для проверки личности представляют собой изображения, захваченные терминалом с помощью камеры, или видеокадры, извлеченные терминалом из видео, захваченного камерой.
[51] На стадии S203 обеспечивается получения последовательности жестов путем детектирования активности на изображениях для проверки личности.
[52] После получения изображений для проверки личности терминал дополнительно осуществляет детектирование активности на изображениях для проверки личности, получает жесты пользователя и определяет последовательность жестов в хронологическом порядке.
[53] В некоторых вариантах осуществления настоящего изобретения терминал содержит модуль детектирования живого тела, и терминал вводит изображения для проверки личности в этот модуль детектирования и получает последовательность жестов путем идентификации жестов в изображениях.
[54] В некоторых вариантах осуществления настоящего изобретения терминал вводит все собранные изображения для проверки личности в модуль извлечения черт лица и в модуль детектирования живого пользователя. В альтернативном варианте терминал выбирает подходящие изображения, такие как четкие изображения, содержащие полные лица, из собранных изображений для проверки личности на основе стандарта сбора изображений системы распознавания лиц, и вводит выбранные изображения в модуль извлечения черт лица и в модуль обнаружения живого пользователя, что повышает эффективность и точность проверки личности.
[55] Следует отметить, что на фиг. 2 показан лишь один из возможных алгоритмов реализации предложенного способа, а стадии S202 и S203 не ограничены строгой последовательностью их выполнения, и в альтернативном варианте терминал может выполнить стадию S203 перед стадией S202 или выполнить стадии S202 и S203 одновременно.
[56] На стадии S204 обеспечивается получение исходного пароля путем преобразования пароля из последовательности жестов.
[57] После получения последовательности жестов терминал выполняет обратное преобразование последовательности жестов (т.е. восстанавливает пароль, определяя, какое слово или слова были преобразованы с использованием режима преобразования символов пароля для получения указанной выше последовательности жестов) на основе режима преобразования символов пароля, используемого при текущей аутентификации личности, в результате чего обеспечивается получение исходного пароля.
[58] Например, в режиме преобразования символов пароля, генерируемого произвольным образом терминалом, символ «1» соответствует жесту «Поворот головы влево». По факту детектирования жеста «Поворот головы влево» в последовательности жестов терминал определяет, что символом, соответствующим этому жесту, является символ «1».
[59] На стадии S205 осуществляется аутентификация личности на основе исходного пароля и данных о чертах лица.
[60] Терминал осуществляет аутентификацию личности на основе двух факторов аутентификации, таких как исходный пароль и данные о чертах лица. Терминал подтверждает успешность аутентификации личности только в том случае, если исходный пароль, полученный путем его «перевода», совпадает с зарегистрированным паролем, соответствующим учетной записи, а данные о чертах лица совпадают с зарегистрированными данными о чертах лица, соответствующими учетной записи. В случае несовпадения какого-либо из этих факторов аутентификация личности будет безуспешной.
[61] В некоторых вариантах осуществления настоящего изобретения предусмотрено, что после получения исходного пароля и данных о чертах лица терминал осуществляет аутентификацию личности локально. В альтернативном варианте терминал передает исходный пароль и данные о чертах лица на облако, после чего облачный сервер осуществляет аутентификацию личности и передает результат этой аутентификации обратно.
[62] Суммируя все вышесказанное, можно сказать, что вариантами осуществления настоящего изобретения предложен механизм аутентификации личности, основанный на двух факторах аутентификации, т.е. на пароле и чертах лица пользователя, с помощью которого пользователь может осуществить ввод пароля и идентификацию лица путем однократного ввода жеста. Таким образом, упрощается процесс аутентификации личности и повышается эффективность аутентификации личности. За счет использования произвольным образом сгенерированного режима преобразования символов пароля пользователь вводит произвольную последовательность жестов, полученную путем преобразования исходного пароля, благодаря чему предотвращается возможность взлома исходного пароля пользователя на стадии его ввода, а мгновенный пароль, полученный на основе корректного исходного пароля, позволяет успешно пройти аутентификацию, защищая идентификацию лица от атак с использованием поддельных черт лица и дополнительно повышая безопасность и точность аутентификации личности.
[63] В некоторых вариантах осуществления настоящего изобретения терминал определяет режим преобразования символов пароля на основе функции произвольного соответствия и отображает режим преобразования символов пароля с помощью виртуальной клавиатуры. На фиг. 3 представлена блок-схема, иллюстрирующая способ аутентификации личности согласно некоторым вариантам осуществления настоящего изобретения. Эти варианты осуществления описаны на примере способа, применимого к терминалу, который обладает функцией сбора и обработки изображений. Предложенный способ предусматривает выполнение стадий, описанных ниже.
[64] На стадии S301 генерируется целевая функция произвольного соответствия в ответ на команду на проверку личности.
[65] Функция произвольного соответствия представляет собой функцию, сгенерированную с возможностью соотнесения символов с жестами произвольным образом.
[66] В некоторых вариантах осуществления настоящего изобретения предусмотрено, что виды жестов предварительно сохраняются в терминале, и терминал произвольным образом генерирует целевую функцию произвольного соответствия при каждой аутентификации личности для задания соответствующего соотношения между символами пароля и жестами. Количество видов жестов превышает или равно количеству видов символов пароля.
[67] К примеру, символы, задающие пароль, представляют собой цифры от 0 до 9, и терминал генерирует функцию произвольного соответствия (Hrand(x)=FaceExp) следующим образом:
[68] Hrand(1)=LV, Hrand(2)=RV, Hrand(3)=UP, Hrand(4)=RT, Hrand(5)=LT, Hrand(6)=DW, Hrand(7)=LW, Hrand(8)=RW, Hrand(9)=CE, a Hrand(0)=SM.
[69] В функции произвольного соответствия величина X соответствует символу, величина FaceExp соответствует идентификатору жеста, а соответствующие соотношения между идентификатором и жестом показаны в Таблице 1:
[70] На стадии S302 отображается виртуальная клавиатура на основе целевой функции произвольного соответствия, причем на виртуальной клавиатуре будет отображаться информация с указанием на необходимость преобразования пароля, соответствующая целевой функции произвольного соответствия.
[71] Терминал отображает информацию с указанием на необходимость преобразования пароля на интерфейсе в виде виртуальной клавиатуры, при этом блок преобразования пароля отображается на одной и той же клавише виртуальной клавиатуры. Сначала пользователь ищет на виртуальной клавиатуре символы, содержащиеся в исходном пароле, затем определяет требуемую для ввода последовательность жестов, используя для этого блоки преобразования пароля, после чего совершает соответствующие жесты.
[72] В некоторых вариантах осуществления настоящего изобретения стадия S302 включает в себя подстадии, описанные ниже.
[73] На подстадии S302a определяется блок преобразования пароля на основе целевой функции произвольного соответствия, причем блок преобразования пароля включает в себя символ пароля и жест, соответствующий символу пароля в целевой функции произвольного соответствия.
[74] Терминал определяет блоки преобразования пароля, каждый из которых включает в себя символ пароля и жест, на основе целевой функции произвольного соответствия. Пользователь преобразует исходный пароль в последовательность жестов на основе символов пароля в исходном пароле и блоков преобразования пароля, отображаемых терминалом.
[75] Основываясь на примере стадии S301, терминал определяет, что блоки преобразования пароля включают в себя: (1, LV), (2, RV), (3, UP), (4, DW), (5, LT), (6, RT), (7, LW), (8, RW), (9, СЕ) и (0, SM).
[76] В некоторых вариантах осуществления настоящего изобретения блок преобразования пароля включает в себя символ пароля и множество жестов.
[77] На подстадии S302b блок преобразования пароля отображается на виртуальной клавиатуре на основе первого режима отображения, соответствующего символу пароля, и второго режима отображения, соответствующего идентификатору жеста, причем первый режим отображения отличается от второго режима отображения.
[78] В некоторых вариантах осуществления настоящего изобретения терминал отображает символ пароля и идентификатор жеста соответственно в двух разных режимах отображения с тем, чтобы провести различие между символом пароля и идентификатором жеста на общей клавише и избежать длительного времени на идентификацию пользователем символа и идентификатора в случае, если символ пароля и идентификатор жеста отображаются в одном режиме отображения. Первый режим отображения отличается от второго режима отображения, по меньшей мере, одним из следующих параметров:
[79] имеются различия в типе между символом пароля и символом идентификатора жеста; имеются различия в цвете отображения между символом пароля и идентификатором жеста; имеются различия в шрифте отображения между символом пароля и идентификатором жеста; имеются различия в размере шрифта отображения между символом пароля и идентификатором жеста; или имеются различия в специальных эффектах отображения между символом пароля и идентификатором жеста.
[80] К примеру, на фиг. 4 представлено схематическое изображение виртуальной клавиатуры. Виртуальная клавиатура содержит 10 клавиш, каждая из которых отображает блок преобразования пароля. В каждом блоке преобразования пароля символ пароля отображается слева, а идентификатор жеста - справа. На виртуальной клавиатуре - в отличие от символов пароля - идентификаторы жестов дополнительно снабжены двумя специальными эффектами в виде выделения жирным шрифтом и подчеркивания. В частности, идентификаторы жестов могут отличаться от символов пароля по цвету. Например, символы пароля могут быть черного цвета, а идентификаторы жестов красного.
[81] В некоторых вариантах осуществления настоящего изобретения символы пароля и идентификаторы жестов отображаются на виртуальной клавиатуре одновременно, а подстадия S302b, в частности, предусматривает выполнение операций, описанных ниже.
[82] Операция S1: определение первого положения отображения символа пароля на виртуальной клавиатуре.
[83] Операция S2: отображение блока преобразования пароля, соответствующего каждому символу пароля, на виртуальной клавиатуре в соответствии с первым положением отображения на основе первого режима отображения и второго режима отображения.
[84] В некоторых вариантах осуществления настоящего изобретения положение отображения символа пароля на виртуальной клавиатуре является фиксированным, и терминал сначала определяет первое положение отображения символа пароля на виртуальной клавиатуре, а затем отображает символ пароля в первом положении отображения.
[85] Например, на виртуальной клавиатуре, показанной на фиг. 4, символы пароля каждый раз отображаются в виде цифр от 1 до 0, если двигаться сверху вниз и слева направо. Сначала терминал определяет первые положения 10-и символов пароля на клавиатуре по порядку их следования, а затем отображает 10 блоков преобразования пароля, соответствующих 10-и символам пароля, в соответствующих первых положениях отображения. Например, блок (1, LV) преобразования пароля, соответствующий цифре 1, отображается на клавише в верхнем левом углу, а блок (2, RV) преобразования пароля, соответствующий цифре 2, отображается на клавиатуре посередине первого ряда.
[86] Поскольку пользователю постоянно необходимо отслеживать, обдумывать и выполнять процессы восстановления исходного пароля, поиска положения отображения каждого символа пароля в исходном пароле, определения жеста, соответствующего каждому символу пароля, и т.д., то в случае, когда терминал одновременно отображает символы пароля и идентификаторы жестов, на виртуальных клавишах отображается множество символов, что вызывает путаницу. В некоторых вариантах осуществления настоящего изобретения терминал сначала отображает на виртуальной клавиатуре только символы пароля, а затем - после подтверждения пользователем возможности начала преобразования пароля - отображает идентификаторы жестов. Подстадия S302b дополнительно включает в себя операции, описанные ниже.
[87] Операция S3: отображение символа пароля на виртуальной клавиатуре на основании первого положения отображения символа пароля на виртуальной клавиатуре и первого режима отображения.
[88] Аналогичным образом терминал отображает символы пароля в первых положениях на виртуальной клавиатуре по порядку их следования, заданному по умолчанию, благодаря чему пользователь может быстро определить положение отображения каждого символа пароля в исходном пароле в соответствии со знакомым положением, что максимально облегчает последующее определение последовательности жестов.
[89] Операция S4: определение второго положения отображения идентификатора жеста на виртуальной клавиатуре на основании символа пароля, соответствующего этому идентификатору жеста в блоке преобразования пароля, в соответствии с операцией отображения режима преобразования.
[90] Когда пользователь готов к преобразованию пароля, выполняется операция отображения режима преобразования, позволяющая терминалу отобразить идентификатор жеста на виртуальной клавиатуре и отобразить блок преобразования пароля.
[91] В некоторых вариантах осуществления настоящего изобретения операция отображения режима преобразования представляет собой операцию запуска посредством органа управления подтверждением преобразования или голосовой команды на преобразование пароля, вводимой пользователем, что не носит ограничительного характера в вариантах осуществления настоящего изобретения.
[92] После получения операции отображения режима преобразования терминал определяет второе положение отображения каждого идентификатора жеста на основании символа пароля, соответствующего идентификатору жеста в блоке преобразования пароля, и первого положения отображения символа пароля.
[93] Например, при использовании виртуальной клавиатуры, показанной на фиг. 4, терминал сначала отображает цифру в левой части каждой клавиши, а затем отображает идентификатор жеста в ее правой части при получении операции отображения режима преобразования.
[94] Операция S5: отображение идентификатора жеста на виртуальной клавиатуре в соответствии со вторым положением отображения на основании второго режима отображения.
[95] После определения вторых положений отображения всех идентификаторов жестов терминал отображает идентификаторы жестов на виртуальной клавиатуре, благодаря чему пользователь может определить мгновенную последовательность жестов.
[96] При выполнении всех указанных операций отображается виртуальная клавиатура, фиксирующая положения отображения символов пароля. Иначе говоря, положения отображения блоков преобразования пароля определяются на основе первых положений отображения символов пароля, причем первые положения отображения представляют собой фиксированные положения, что облегчает быстрое определение последовательности жестов пользователем на основе знакомых положений клавиш. При практическом применении первое положение отображения может быть также произвольным.
[97] На стадии S303 обеспечивается получение данных о чертах лица путем извлечения черт лица из изображений для проверки личности, собранных камерой.
[98] На стадии S304 обеспечивается получение последовательности жестов путем детектирования активности на изображениях для проверки личности.
[99] Для ознакомления с частными вариантами реализации стадий S303-S304 следует обратиться к стадиям S202-S203, которые повторно не описываются в вариантах осуществления настоящего изобретения.
[100] На стадии S305 обеспечивается получение исходного пароля путем преобразования пароля из последовательности жестов на основе целевой функции произвольного соответствия.
[101] После получения последовательности жестов на основе изображений для проверки личности терминал получает символ пароля, соответствующий каждому жесту, путем обратного преобразования (восстановления) каждого жеста в последовательности жестов на основе сгенерированной на данный момент времени целевой функции произвольного соответствия, после чего он определяет исходный пароль.
[102] К примеру, при использовании режима преобразования символов пароля на виртуальной клавиатуре, показанной на фиг. 4, предусмотрено, что если исходный пароль записан как «1234», то пользователь определит, что последовательность жестов будет выглядеть как «Поворот головы влево-поворот головы вправо-подъем головы-опускание головы», и выполнит последовательность этих жестов. После получения последовательности жестов «Поворот головы влево-поворот головы вправо-подъем головы-опускание головы» путем сбора и идентификации изображений для проверки личности терминал придет к выводу (на основе целевой функции произвольного соответствия), что исходным паролем является пароль «1234».
[103] На стадии S306 выполняется аутентификация личности на основе исходного пароля и данных о чертах лица.
[104] Для ознакомления с частными вариантами реализации стадии S306 следует обратиться к стадии S205, которая повторно не описывается в вариантах осуществления настоящего изобретения.
[105] В вариантах осуществления настоящего изобретения терминал генерирует целевую функцию произвольного соответствия, определяет режим преобразования символов пароля и визуально отображает блоки преобразования пароля, задаваемые целевой функцией произвольного соответствия в виде виртуальной клавиатуры, благодаря чему пользователь может быстро и точно преобразовать пароль, а эффективность и точность ввода пароля при этом повышается.
[106] Описанные выше варианты осуществления настоящего изобретения иллюстрируют процессы определения и отображения терминалом режима преобразования символов пароля и получения терминалом исходного пароля методом преобразования на основе мгновенной последовательности жестов. Для реализации стадии аутентификации личности, в частности, терминал передает полученный исходный пароль и данные о чертах лица на бэкэнд-сервер, а бэкэнд-сервер определяет результат аутентификации личности на основании базы данных. Перед выполнением стадии аутентификации личности пользователю сначала необходимо ввести свои черты лица и исходный пароль для сохранения на бэкэнд-сервере. На фиг. 5 представлена блок-схема, иллюстрирующая способ аутентификации личности согласно некоторым вариантам осуществления настоящего изобретения. Эти варианты осуществления описаны на примере способа, применимого к терминалу, который обладает функциями сбора и обработки изображений. Предложенный способ предусматривает выполнение стадий, описанных ниже.
[107] На стадии S501 отображается набор жестов в ответ на команду на ввод черт лица.
[108] Набор жестов содержит все жесты, необходимые для преобразования символов пароля.
[109] В некоторых вариантах осуществления настоящего изобретения пользователю необходимо ввести свои черты лица перед запуском указанной функции 2FA. Как и на стадии аутентификации личности, терминал произвольным образом преобразует символы исходного пароля в любые жесты в наборе жестов, причем жесты варьируются, когда они совершаются другими пользователями, после чего терминал получает изображения всех жестов пользователя для повышения точности идентификации жестов. Жесты представляют собой выражения лица или движения головы, и терминал извлекает черты лица, когда пользователь совершает соответствующий жест. В ответ на команду на ввод черт лица терминал отображает набор жестов для облегчения ввода жестов пользователем в определенном порядке.
[110] На стадии S502 обеспечивается получение целевых данных о чертах лица, соответствующих каждому жесту, путем извлечения черт лица из изображений лица, собранных камерой.
[111] На стадии регистрации черт лица терминал получает целевые данные о чертах лица для каждого жеста путем извлечения черт лица из собранных изображений лица. В альтернативном варианте терминал напрямую передает собранные изображения лица на бэкэнд-сервер, а бэкэнд-сервер осуществляет извлечение черт лица и сохраняет данные о чертах лица.
[112] На стадии S503 осуществляется передача данных о чертах лица и идентификатора учетной записи на бэкэнд-сервер.
[113] Бэкэнд-сервер выполнен с возможностью обновления базы данных, в которой хранятся соответствующие соотношения между учетной записью, целевым исходным паролем и целевыми данными о чертах лица.
[114] Терминал передает данные о чертах лица и идентификатор учетной записи на бэкэнд-сервер, а бэкэнд-сервер сохраняет в базе данных идентификатор учетной записи совместно с данными о чертах лица после получения данных о чертах лица и идентификатора учетной записи. В базе данных хранится такая информация, как идентификатор учетной записи, данные о чертах лица и исходный пароль каждой учетной записи, причем эта информация используются для аутентификации личности на основе базы данных и полученной информации для аутентификации на последующей стадии аутентификации личности.
[115] Кроме того, в случае использования указанного механизма 2FA пользователю также необходимо ввести исходный пароль. Исходный пароль вводится перед сбором целевых данных о чертах лица или после сбора целевых данных о чертах лица, что не носит ограничительного характера в вариантах осуществления настоящего изобретения.
[116] На стадии S504 отображается информация с указанием на необходимость преобразования пароля в ответ на команду на проверку личности.
[117] На стадии S505 обеспечивается получение данных о чертах лица путем извлечения черт лица из изображений для проверки личности, собранных камерой.
[118] На стадии S506 обеспечивается получение последовательности жестов путем детектирования активности на изображениях для проверки личности.
[119] На стадии S507 обеспечивается получение исходного пароля путем преобразования пароля из последовательности жестов.
[120] Для ознакомления с частными вариантами реализации стадий S504-S507 следует обратиться к стадиям S201-S204, которые повторно не описываются в вариантах осуществления настоящего изобретения.
[121] На стадии S508 осуществляется передача исходного пароля и данных о чертах лица на бэкэнд-сервер.
[122] Бэкэнд-сервер выполнен с возможностью выполнения аутентификации личности на основе исходного пароля и данных о чертах лица.
[123] В некоторых вариантах осуществления настоящего изобретения предусмотрено, что после получения исходного пароля, введенного лицом, личность которого подлежит аутентификации, и данных о чертах лица терминал одновременно передает два типа информации для аутентификации на бэкэнд-сервер, в результате чего бэкэнд-сервер одновременно выполняет два типа аутентификации и определяет конечный результат аутентификации личности на основе результатов аутентификации двух типов. В альтернативном варианте предусмотрено, что после получения исходного пароля, введенного лицом, личность которого подлежит аутентификации, и данных о чертах лица терминал сначала передает один из двух типов информации для аутентификации на бэкэнд-сервер. Если бэкэнд-сервер подтверждает, что аутентификация на основе двух типов информации для аутентификации прошла успешно, то терминал передает другой тип информации из двух типов информации для аутентификации на бэкэнд-сервер; а если аутентификация первого типа информации для аутентификации прошла безуспешно, то терминал напрямую подтверждает безуспешность аутентификации, не передавая второй тип информации для аутентификации, благодаря чему эффективность аутентификации возрастает с одновременным повышением точности и уровня безопасности аутентификации личности.
[124] После получения исходного пароля и данных о чертах лица терминал сначала определяет один тип информации для аутентификации, а затем передает другой тип информации для аутентификации в случае, если аутентификация информации для аутентификации прошла успешно. В некоторых вариантах осуществления настоящего изобретения терминал сначала передает исходный пароль для его аутентификации, при этом стадия S508 включает в себя подстадии, описанные ниже.
[125] На подстадии S508a исходный пароль и идентификатор учетной записи текущей учетной записи для входа передаются на бэкэнд-сервер, причем бэкэнд-сервер выполнен с возможностью определения первого результата аутентификации личности на основании целевого исходного пароля, соответствующего текущей учетной записи для входа, содержащейся в базе данных.
[126] Терминал передает идентификатор учетной записи (такой как имя пользователя) текущей учетной записи для входа и преобразованный исходный пароль на бэкэнд-сервер. На основе полученного идентификатора учетной записи бэкэнд-сервер осуществляет поиск в базе данных с тем, чтобы получить целевой исходный пароль, соответствующий идентификатору учетной записи, и сравнивает целевой исходный пароль с исходным паролем, полученным от терминала. Если целевой исходный пароль полностью совпадает с исходным паролем, то бэкэнд-сервер подтверждает успешность прохождения аутентификации; а если целевой исходный пароль не полностью совпадает с исходным паролем, то бэкэнд-сервер подтверждает безуспешность прохождения аутентификации. Бэкэнд-сервер передает первый результат аутентификации личности на терминал.
[127] На подстадии S508b данные о чертах лица передаются на бэкэнд-сервер по факту получения с бэкэнд-сервера первого результата аутентификации личности, указывающего на успешность аутентификации пароля, причем бэкэнд-сервер выполнен с возможностью определения второго результата аутентификации личности на основании целевых данных о чертах лица, соответствующих текущей учетной записи для входа, содержащейся в базе данных.
[128] По факту получения первого результата аутентификации личности, указывающего на успешность аутентификации пароля, терминал передает данные о чертах лица на бэкэнд-сервер. Бэкэнд-сервер осуществляет поиск в базе данных на основе идентификатора учетной записи с тем, чтобы получить целевые данные о чертах лица, соответствующие идентификатору учетной записи. Бэкэнд-сервер определяет второй результат аутентификации личности путем сравнения целевых данных о чертах лица с данными о чертах лица человека, личность которого подлежит аутентификации, полученными с терминала.
[129] В некоторых вариантах осуществления настоящего изобретения на бэкэнд-сервере задается пороговое значение степени сходства. Если степень сходства между целевыми данными о чертах лица и данными о чертах лица человека, личность которого подлежит аутентификации, полученными от терминала, превышает пороговое значение степени сходства, то бэкэнд-сервер подтверждает успешность прохождения аутентификации лица; а если степень сходства между целевыми данными о чертах лица и данными о чертах лица человека, личность которого подлежит аутентификации, полученными от терминала, меньше порогового значения степени сходства, то бэкэнд-сервер подтверждает безуспешность прохождения аутентификации лица. Бэкэнд-сервер передает второй результат аутентификации личности на терминал.
[130] После выполнения подстадии S508a способ аутентификации личности согласно вариантам осуществления настоящего изобретения дополнительно предусматривает выполнение следующей операции:
[131] определения безуспешности аутентификации личности и отмены передачи данных о чертах лица по факту получения первого результата аутентификации личности с бэкэнд-сервера, указывающего на безуспешность аутентификации лица.
[132] Если первый результат аутентификации личности указывает на безуспешность аутентификации пароля, то терминал не передает данные о чертах лица и прямо подтверждает конечный результат как неудачную попытку аутентификации, благодаря чему уменьшается объем предаваемых данных и повышается эффективность аутентификации личности.
[133] В некоторых вариантах осуществления настоящего изобретения терминал сначала передает данные о чертах лица для аутентификации образца голоса, а стадия S508 дополнительно включает в себя подстадии, описанные ниже.
[134] На подстадии S508c данные о чертах лица и идентификатор учетной записи текущей учетной записи для входа передаются на бэкэнд-сервер, при этом бэкэнд-сервер выполнен с возможностью определения третьего результата аутентификации личности на основании данных о чертах лица, соответствующих текущей учетной записи для входа, содержащейся в базе данных.
[135] Терминал передает идентификатор учетной записи (такой как имя пользователя) текущей учетной записи для входа и извлеченные данные о чертах лица на бэкэнд-сервер. Бэкэнд-сервер осуществляет поиск в базе данных на основе полученного идентификатора учетной записи с тем, чтобы получить целевые данные о чертах лица, соответствующие идентификатору учетной записи. Бэкэнд-сервер определяет третий результат аутентификации личности путем сравнения целевых черт лица с данными о чертах лица человека, личность которого подлежит аутентификации, полученными с терминала.
[136] На стадии S508d исходный пароль передается на бэкэнд-сервер по факту получения третьего результата аутентификации личности с бэкэнд-сервера, указывающего на то, что аутентификации лица прошла успешно, причем бэкэнд-сервер выполнен с возможностью определения четвертого результата аутентификации личности на основе целевого исходного пароля, соответствующего текущей учетной записи для входа, содержащейся в базе данных.
[137] По факту получения третьего результата аутентификации личности, указывающего на успешность прохождения аутентификации лица, терминал передает исходный пароль на бэкэнд-сервер. Бэкэнд-сервер осуществляет поиск в базе данных на основе идентификатора учетной записи с тем, чтобы получить целевой исходный пароль, соответствующий идентификатору учетной записи, и сравнивает целевой исходный пароль с исходным паролем, полученным от терминала. Если целевой исходный пароль полностью совпадает с исходным паролем, то бэкэнд-сервер подтверждает успешность аутентификации пароля; а если целевой исходный пароль не полностью совпадает с исходным паролем, то бэкэнд-сервер подтверждает безуспешность аутентификации пароля. Бэкэнд-сервер передает четвертый результат аутентификации личности на терминал.
[138] После выполнения подстадии S508c способ аутентификации личности согласно вариантам осуществления настоящего изобретения дополнительно предусматривает выполнение следующей операции:
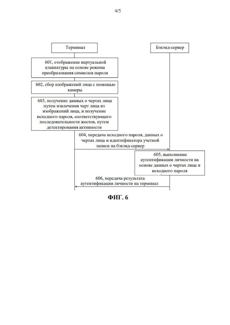
[139] определения безуспешности аутентификации личности и отмены передачи исходного пароля по факту получения третьего результата аутентификации личности с бэкэнд-сервера, указывающего на безуспешность аутентификации лица.
[140] На стадии S509 осуществляется получение результата аутентификации личности с бэкэнд-сервера, причем результат аутентификации личности определяется как успешная или безуспешная попытка аутентификации.
[141] В случае, если терминал одновременно передает на бэкэнд-сервер два типа информации для аутентификации, т.е. данные о чертах лица и исходный пароль, то терминал сразу определяет успешность или безуспешность аутентификации на основе результата аутентификации личности, полученного с бэкэнд-сервера. В случае, если терминал сначала передает один из двух типов информации для аутентификации, то сразу же определяется безуспешность аутентификации личности по факту получения первого результата аутентификации личности или третьего результата аутентификации личности, указывающего на безуспешность аутентификации, или же успешность или безуспешность аутентификации определяется на основе второго результата аутентификации личности или четвертого результата аутентификации личности.
[142] В вариантах осуществления настоящего изобретения терминал передает исходный пароль и данные о чертах лица на бэкэнд-сервер с тем, чтобы бэкэнд-сервер выполнил аутентификацию личности на основе базы данных, что повышает уровень безопасности и конфиденциальности пользовательской информации. Кроме того, терминал сначала передает на бэкэнд-сервер один из типов информации для аутентификации; определяет, предавать ли второй тип информации для аутентификации, исходя из результата аутентификации первого типа информации для аутентификации; и сразу же определяет результат аутентификации в случае безуспешности аутентификации первого типа информации для аутентификации, благодаря чему максимально уменьшается объем передачи данных и их утечка, а также повышается эффективность аутентификации личности.
[143] В некоторых вариантах осуществления настоящего изобретения, основанных на вариантах осуществления, описанных выше, способ выполнения задачи 2FA терминалом и бэкэнд-сервером проиллюстрирован на фиг. 6. Этот способ предусматривает выполнение стадий, описанных ниже.
[144] На стадии S601 терминал отображает виртуальную клавиатуру на основе режима преобразования символов пароля.
[145] На стадии S602 терминал собирает изображения лица с помощью камеры.
[146] На стадии S603 терминал получает данные о чертах лица путем извлечения черт лица из изображений лица и получает исходный пароль, соответствующий последовательности жестов, путем детектирования активности.
[147] На стадии S604 терминал передает исходный пароль, данные о чертах лица и идентификатор учетной записи на бэкэнд-сервер.
[148] На стадии S605 бэкэнд-сервер осуществляет аутентификацию личности на основе данных о чертах лица и исходного пароля.
[149] На стадии S606 бэкэнд-сервер передает результат аутентификации личности на терминал.
[150] На фиг. 7 представлена структурная схема устройства для аутентификации личности согласно некоторым иллюстративным вариантам осуществления настоящего изобретения. Это устройство включает в себя модули, описанные ниже.
[151] Первый модуль 701 отображения выполнен с возможностью отображения информации с указанием на необходимость преобразования пароля в ответ на команду на проверку личности, при этом информация с указанием на необходимость преобразования пароля определяется как указание на необходимость преобразования символов пароля в исходном пароле в жесты, причем разные символы пароля соответствуют разным жестам, а режим преобразования символов пароля, отображаемый информацией с указанием на необходимость преобразования пароля, генерируется произвольным образом.
[152] Первый модуль 702 извлечения черт лица выполнен с возможностью получения данных о чертах лица путем извлечения черт лица из изображений для проверки личности, собранных камерой.
[153] Модуль 703 детектирования активности выполнен с возможностью получения последовательности жестов путем детектирования активности на изображениях для проверки личности.
[154] Модуль 704 преобразования пароля выполнен с возможностью получения исходного пароля путем преобразования пароля из последовательности жестов.
[155] Модуль 705 аутентификации личности выполнен с возможностью осуществления аутентификации личности на основе исходного пароля и данных о чертах лица.
[156] В некоторых вариантах осуществления настоящего изобретения первый модуль 701 отображения включает в себя блоки, описанные ниже.
[157] Генерирующий блок выполнен с возможностью генерирования целевой функции произвольного соответствия в ответ на команду на проверку личности, причем функция произвольного соответствия представляет собой функцию, сгенерированную с возможностью соотнесения символов с жестами произвольным образом.
[158] Блок отображения выполнен с возможностью отображения виртуальной клавиатуры на основе целевой функции произвольного соответствия, при этом на виртуальной клавиатуре отображается информация с указанием на необходимость преобразования пароля, соответствующая целевой функции произвольного соответствия.
[159] Модуль 704 преобразования пароля включает в себя блоки, описанные ниже.
[160] Блок преобразования выполнен с возможностью получения исходного пароля путем преобразования пароля в последовательность жестов на основе целевой функции произвольного соответствия.
[161] В некоторых вариантах осуществления настоящего изобретения блок отображения выполнен с дополнительной возможностью:
[162] определения блока преобразования пароля на основе целевой функции произвольного соответствия, причем блок преобразования пароля включает в себя один из символов пароля и жест, соответствующий этому одному из символов пароля в целевой функции произвольного соответствия; и
[163] отображения блока преобразования пароля на виртуальной клавиатуре на основе первого режима отображения, соответствующего одному из символов пароля, и второго режима отображения, соответствующего идентификатору жеста, причем первый режим отображения отличается от второго режима отображения.
[164] В некоторых вариантах осуществления настоящего изобретения блок отображения выполнен с дополнительной возможностью:
[165] определения первого положения отображения одного из символов пароля на виртуальной клавиатуре; и
[166] отображения блока преобразования пароля, соответствующего одному из символов пароля, на виртуальной клавиатуре в соответствии с первым положением отображения на основе первого режима отображения и второго режима отображения.
[167] В некоторых вариантах осуществления настоящего изобретения блок отображения выполнен с дополнительной возможностью:
[168] отображения одного из символов пароля на виртуальной клавиатуре на основе первого положения отображения одного из символов пароля на виртуальной клавиатуре и первого режима отображения;
[169] определения - в ответ на получение операции отображения режима преобразования - второго положения отображения идентификатора жеста на виртуальной клавиатуре на основе одного из символов пароля, соответствующего идентификатору жеста в блоке преобразования пароля; и
[170] отображения идентификатора жеста на виртуальной клавиатуре в соответствии со вторым положением отображения на основе второго режима отображения.
[171] В некоторых вариантах осуществления настоящего изобретения первый режим отображения отличается от второго режима отображения, по меньшей мере, одним из следующих параметров:
[172] имеются различия в типе между одним из символов пароля и символом идентификатора жеста;
[173] имеются различия в цвете отображения между одним из символов пароля и идентификатором жеста;
[174] имеются различия в шрифте отображения между одним из символов пароля и идентификатором жеста; и
[175] имеются различия в размере шрифта отображения между одним из символов пароля и идентификатором жеста;
[176] имеются различия в специальных эффектах отображения между одним из символов пароля и идентификатором жеста.
[177] В некоторых вариантах осуществления настоящего изобретения жест включает в себя выражение лица и движение головы.
[178] Предложенное устройство дополнительно включает в себя модули, описанные ниже.
[179] Второй модуль отображения выполнен с возможностью отображения набора жестов в ответ на команду на ввод черт лица, причем набор жестов содержит все жесты для преобразования символов пароля.
[180] Модуль сбора черт лица выполнен с возможностью получения целевых данных го чертах лица, соответствующих каждому жесту, путем извлечения черт лица из изображений лица, собранных камерой.
[181] Модуль передачи информации выполнен с возможностью передачи целевых данных о чертах лица и идентификатора учетной записи на бэкэнд-сервер, причем бэкэнд-сервер выполнен с возможностью обновления базы данных, в которой содержатся соответствующие соотношения между учетной записью, целевым исходным паролем и целевыми данными о чертах лица.
[182] В некоторых вариантах осуществления настоящего изобретения модуль 705 аутентификации личности включает в себя блоки, описанные ниже.
[183] Блок передачи информации выполнен с возможностью передачи исходного пароля и данных о чертах лица на бэкэнд-сервер, причем бэкэнд-сервер выполнен с возможностью осуществления аутентификации личности на основе исходного пароля и данных о чертах лица.
[184] Блок приема информации выполнен с возможностью получения результата аутентификации личности с бэкэнд-сервера, причем результат аутентификации личности указывает на успешность или безуспешность попытки аутентификации.
[185] В некоторых вариантах осуществления настоящего изобретения блок передачи информации выполнен с дополнительной возможностью:
[186] передачи исходного пароля и идентификатора учетной записи текущей учетной записи для входа на бэкэнд-сервер, причем бэкэнд-сервер выполнен с возможностью определения первого результата аутентификации личности на основе целевого исходного пароля, соответствующего текущей учетной записи для входа, содержащейся в базе данных; и
[187] передачи данных о чертах лица на бэкэнд-сервер по факту получения первого результата аутентификации личности с бэкэнд-сервера, указывающего на успешность аутентификации пароля, причем бэкэнд-сервер выполнен с возможностью определения второго результата аутентификации личности на основе целевых данных о чертах лица, соответствующих текущей учетной записи для входа, содержащейся в базе данных.
[188] Предложенное устройство дополнительно включает в себя следующий модуль:
[189] первый модуль определения, выполненный с возможностью определения безуспешности аутентификации личности и отмены передачи данных о чертах лица по факту получения первого результата аутентификации личности с бэкэнд-сервера, указывающего на безуспешность попытки аутентификации пароля.
[190] В некоторых вариантах осуществления настоящего изобретения блок передачи информации выполнен с дополнительной возможностью:
[191] передачи данных о чертах лица и идентификатора учетной записи текущей учетной записи для входа на бэкэнд-сервер, причем бэкэнд-сервер выполнен с возможностью определения третьего результата аутентификации личности на основе целевых данных о чертах лица, соответствующих текущей учетной записи для входа, содержащейся в базе данных; и
[192] передачи исходного пароля на бэкэнд-сервер по факту получения третьего результата аутентификации личности с бэкэнд-сервера, указывающего на успешность прохождения аутентификации лица, причем бэкэнд-сервер выполнен с возможностью определения четвертого результата аутентификации личности на основе целевого исходного пароля, соответствующего текущей учетной записи для входа, содержащейся в базе данных.
[193] Предложенное устройство дополнительно включает в себя следующий модуль:
[194] Второй модуль определения, выполненный с возможностью определения безуспешности аутентификации личности и отмены передачи исходного пароля по факту получения третьего результата аутентификации личности с бэкэнд-сервера, указывающего на безуспешность попытки аутентификации лица.
[195] Суммируя все вышеизложенное, можно сказать, что вариантами осуществления настоящего изобретения предложен механизм аутентификации личности, основанный на двух факторах, т.е. на пароле и чертах лица пользователя, используя который пользователь может одновременно ввести пароль и выполнить аутентификацию личности путем лишь однократного ввода жеста. Таким образом, упрощается процесс аутентификации личности пользователя и повышается эффективность аутентификации личности. На основе генерируемого произвольным образом режима преобразования символов пароля пользователь вводит произвольную последовательность жестов, полученную путем преобразования исходного пароля, так что исходный пароль пользователя не «утекает» на этапе ввода пароля, а мгновенный пароль, полученный на основе корректного исходного пароля, позволяет успешно пройти аутентификацию, защищая процесс идентификации лица от атак с использованием поддельных черт лица и дополнительно повышая уровень безопасности и точность аутентификации личности.
[196] Некоторыми вариантами осуществления настоящего изобретения дополнительно предложен терминал. Терминал включает в себя процессор и память, при этом в памяти хранится, по меньшей мере, одна команда, по меньшей мере, одна программа, набор кодов или набор команд, и при загрузке и исполнении, по меньшей мере, одной команды, по меньшей мере, одной программы, набора кодов или набора команд инициируется реализация процессором способа аутентификации личности, применимого к терминалу, как это определено в описанных выше вариантах осуществления настоящего изобретения.
[197] Вариантами осуществления настоящего изобретения дополнительно предложен машиночитаемый носитель данных, на котором хранится, по меньшей мере, одна команда, причем, по меньшей мере, одна команда при ее загрузке и исполнении процессором инициирует реализацию этим процессором способа аутентификации личности согласно описанным выше вариантам осуществления заявленного изобретения.
[198] Согласно одному из аспектов настоящего изобретения предложен компьютерный программный продукт или компьютерная программа. Этот компьютерный программный продукт или компьютерная программа содержит машинные команды, которые хранятся на машиночитаемом носителе данных. Процессор терминала считывает машинные команды из машиночитаемого носителя данных, и при исполнении машинных команд процессором этот процессор инициирует реализацию терминалом способа аутентификации личности согласно различным вариантам осуществления указанного аспекта заявленного изобретения.
[199] Специалистам в данной области техники должно быть понятно, что в одном или нескольких вариантах осуществления настоящего изобретения функции, описанные в рамках раскрытия вариантов осуществления заявленного изобретения, могут быть реализованы в виде аппаратных средств, программных средств, встроенных программных средств или любой комбинации указанных средств. Функции, реализованные в виде программных средств, могут быть сохранены на машиночитаемом носителе данных или переданы в виде одной или нескольких команд или кодов на машинном носителе данных. Машиночитаемый носитель данных включает в себя носитель данных компьютера и среду передачи данных, причем среда передачи данных включает в себя любой носитель, который облегчает перенос компьютерной программы с одного места в другое. Носителем данных может служить любой доступный носитель данных, к которому может иметь доступ универсальный компьютер или специализированный компьютер.
[200] Следует отметить, что информация (включающая в себя, помимо прочего, информацию об устройстве пользователя, личные данные пользователя и тому подобное), данные (включающие в себя, помимо прочего, данные для анализа, сохраненные данные, отображаемые данные и тому подобное) и сигналы, упомянутые в настоящем документе, должны быть авторизированы пользователем или полностью авторизированы различными третьими сторонами, а сбор, использование и обработка соответствующих данных должны соответствовать применяемых законам и нормативным актам и стандартам в соответствующих странах и регионах. Например, получение идентификаторов учетной записи, исходных паролей, данных о чертах лица и всех прочих данных подобного рода, задействованных в настоящем изобретении, осуществляется только при надлежащей авторизации.
[201] Выше описаны лишь необязательные варианты осуществления настоящего изобретения, которые никоим образом не ограничивают заявленное изобретение. Любые модификации, эквивалентные замены и усовершенствования и прочие изменения, внесенные в рамках сущности и принципа настоящего изобретения, должны входить в объем правовой охраны заявленного изобретения.
| название | год | авторы | номер документа |
|---|---|---|---|
| Способ и устройство для перевода финансовых средств | 2015 |
|
RU2649777C2 |
| СИСТЕМА БЕЗОПАСНОСТИ | 2014 |
|
RU2615111C1 |
| Способ и система аутентификации | 2016 |
|
RU2719460C2 |
| СПОСОБ И УСТРОЙСТВО ДЛЯ АУТЕНТИФИКАЦИИ ЛИЧНОЙ ИНФОРМАЦИИ И СЕРВЕР | 2019 |
|
RU2799096C2 |
| Способы и системы аутентификации | 2016 |
|
RU2724310C2 |
| СПОСОБ ИДЕНТИФИКАЦИИ ЛИЧНОСТИ НА ОСНОВЕ ДИНАМИЧЕСКОЙ РАСТЕРИЗАЦИИ И УСТРОЙСТВО И СЕРВЕР ДЛЯ ЕГО ОСУЩЕСТВЛЕНИЯ | 2019 |
|
RU2787851C1 |
| СПОСОБ И УСТРОЙСТВО ДЛЯ ИДЕНТИФИКАЦИИ ЛИЧНОСТИ ДЛЯ АВТОРИЗАЦИИ С ОПОРНОЙ ТОЧКОЙ И СЕРВЕР | 2019 |
|
RU2782842C1 |
| СПОСОБ И УСТРОЙСТВО ДЛЯ ПРИНЯТИЯ РЕШЕНИЯ О ВЫПОЛНЕНИИ ОПЕРАЦИИ НА ОСНОВЕ ГРУПП ВЫРАЖЕНИЙ ЛИЦА И ЭЛЕКТРОННОЕ УСТРОЙСТВО | 2019 |
|
RU2791846C2 |
| Способ и система, использующие кибер-идентификатор для обеспечения защищенных транзакций | 2013 |
|
RU2625949C2 |
| СПОСОБ И УСТРОЙСТВО ДЛЯ ОТОБРАЖЕНИЯ ИНФОРМАЦИИ | 2014 |
|
RU2621643C2 |
Изобретение относится к способу, устройству, терминалу и машиночитаемому носителю данных для аутентификации личности. Технический результат заключается в повышении надежности аутентификации личности. В способе выполняют генерирование целевой функции произвольного соответствия в ответ на команду на проверку личности, причем целевая функция произвольного соответствия представляет собой функцию, сгенерированную с возможностью соотнесения символов с жестами произвольным образом; отображение виртуальной клавиатуры на основе целевой функции произвольного соответствия, причем на виртуальной клавиатуре отображается информация с указанием на необходимость преобразования пароля, которая соответствует целевой функции произвольного соответствия и которая определяется как указание на необходимость преобразования символов пароля в исходном пароле в жесты, причем разные символы пароля соответствуют разным жестам, режим преобразования символов пароля, отображаемый информацией с указанием на необходимость преобразования пароля, генерируется произвольным образом, а символы пароля включают в себя по меньшей мере один тип цифр, букв, знаков препинания и специальных символов; при этом отображение виртуальной клавиатуры на основе целевой функции произвольного соответствия предусматривает: определение блока преобразования пароля на основе целевой функции произвольного соответствия, причем блок преобразования пароля включает в себя один из символов пароля и жест, соответствующий одному из символов пароля в целевой функции произвольного соответствия; и отображение блока преобразования пароля на виртуальной клавиатуре на основе первого режима отображения, соответствующего одному из символов пароля, и второго режима отображения, соответствующего идентификатору жеста, причем первый режим отображения отличается от второго режима отображения; получение данных о чертах лица путем извлечения черт лица из изображений для проверки личности, собранных камерой; получение последовательности жестов путем детектирования активности на изображениях для проверки личности; получение исходного пароля путем преобразования пароля из последовательности жестов на основе целевой функции произвольного соответствия; и выполнение аутентификации личности на основе исходного пароля и данных о чертах лица. 4 н. и 7 з.п. ф-лы, 7 ил., 1 табл.
1. Способ аутентификации личности, предусматривающий:
генерирование целевой функции произвольного соответствия в ответ на команду на проверку личности, причем целевая функция произвольного соответствия представляет собой функцию, сгенерированную с возможностью соотнесения символов с жестами произвольным образом;
отображение виртуальной клавиатуры на основе целевой функции произвольного соответствия, причем на виртуальной клавиатуре отображается информация с указанием на необходимость преобразования пароля, которая соответствует целевой функции произвольного соответствия и которая определяется как указание на необходимость преобразования символов пароля в исходном пароле в жесты, причем разные символы пароля соответствуют разным жестам, режим преобразования символов пароля, отображаемый информацией с указанием на необходимость преобразования пароля, генерируется произвольным образом, а символы пароля включают в себя по меньшей мере один тип цифр, букв, знаков препинания и специальных символов; при этом отображение виртуальной клавиатуры на основе целевой функции произвольного соответствия предусматривает: определение блока преобразования пароля на основе целевой функции произвольного соответствия, причем блок преобразования пароля включает в себя один из символов пароля и жест, соответствующий одному из символов пароля в целевой функции произвольного соответствия; и отображение блока преобразования пароля на виртуальной клавиатуре на основе первого режима отображения, соответствующего одному из символов пароля, и второго режима отображения, соответствующего идентификатору жеста, причем первый режим отображения отличается от второго режима отображения;
получение данных о чертах лица путем извлечения черт лица из изображений для проверки личности, собранных камерой;
получение последовательности жестов путем детектирования активности на изображениях для проверки личности;
получение исходного пароля путем преобразования пароля из последовательности жестов на основе целевой функции произвольного соответствия; и
выполнение аутентификации личности на основе исходного пароля и данных о чертах лица.
2. Способ по п. 1, в котором отображение блока преобразования пароля на виртуальной клавиатуре на основе первого режима отображения, соответствующего одному из символов пароля, и второго режима отображения, соответствующего идентификатору жеста, предусматривает:
определение первого положения отображения одного из символов пароля на виртуальной клавиатуре; и
отображение блока преобразования пароля, соответствующего каждому из символов пароля, на виртуальной клавиатуре в соответствии с первым положением отображения на основе первого режима отображения и второго режима отображения.
3. Способ по п. 1, в котором отображение блока преобразования пароля на виртуальной клавиатуре на основе первого режима отображения, соответствующего одному из символов пароля, и второго режима отображения, соответствующего идентификатору жеста, предусматривает:
отображение одного из символов пароля на виртуальной клавиатуре на основе первого положения отображения одного из символов пароля на виртуальной клавиатуре и первого режима отображения;
определение - в ответ на операцию отображения режима преобразования - второго положения отображения идентификатора жеста на виртуальной клавиатуре на основе одного из символов пароля, соответствующего идентификатору жеста в блоке преобразования пароля; и
отображение идентификатора жеста на виртуальной клавиатуре в соответствии с вторым положением отображения на основе второго режима отображения.
4. Способ по п. 1, в котором первый режим отображения отличается от второго режима отображения по меньшей мере одним из следующих параметров:
имеются различия в типе между одним из символов пароля и символом идентификатора жеста;
имеются различия в цвете отображения между одним из символов пароля и идентификатором жеста;
имеются различия в шрифте отображения между одним из символов пароля и идентификатором жеста;
имеются различия в размере шрифта отображения между одним из символов пароля и идентификатором жеста; или
имеются различия в специальных эффектах отображения между одним из символов пароля и идентификатором жеста.
5. Способ по любому из пп. 1-4, в котором
жест включает в себя выражение лица и движение головы, а
перед отображением виртуальной клавиатуры на основе целевой функции произвольного соответствия предложенный способ предусматривает:
отображение набора жестов в ответ на команду на ввод черт лица, причем набор жестов содержит все жесты для преобразования символов пароля;
получение целевых данных о чертах лица, соответствующих каждому жесту, путем извлечения черт лица из изображений лица, собранных камерой; и
передачу целевых данных о чертах лица и идентификатора учетной записи на бэкэнд-сервер, причем бэкэнд-сервер выполнен с возможностью обновления базы данных, в которой содержатся соответствующие соотношения между учетной записью, целевым исходным паролем и целевыми данными о чертах лица.
6. Способ по п. 5, в котором осуществление аутентификации личности на основе исходного пароля и данных о чертах лица предусматривает:
передачу исходного пароля и данных о чертах лица на бэкэнд-сервер, причем бэкэнд-сервер выполнен с возможностью осуществления аутентификации личности на основе исходного пароля и данных о чертах лица; и
получение результата аутентификации личности с бэкэнд-сервера, причем результат аутентификации личности указывает на успешность или безуспешность попытки аутентификации.
7. Способ по п. 6, в котором
передача исходного пароля и данных о чертах лица на бэкэнд-сервер предусматривает:
передачу исходного пароля и идентификатора учетной записи текущей учетной записи для входа на бэкэнд-сервер, причем бэкэнд-сервер выполнен с возможностью определения первого результата аутентификации личности на основе целевого исходного пароля, соответствующего текущей учетной записи для входа, содержащейся в базе данных; и
передачу данных о чертах лица на бэкэнд-сервер по факту получения первого результата аутентификации личности с бэкэнд-сервера, указывающего на успешность аутентификации пароля, причем бэкэнд-сервер выполнен с возможностью определения второго результата аутентификации личности на основе целевых данных о чертах лица, соответствующих текущей учетной записи для входа, содержащейся в базе данных; а предложенный способ дополнительно предусматривает
определение безуспешности аутентификации личности и отмену передачи данных о чертах лица по факту получения первого результата аутентификации личности с бэкэнд-сервера, указывающего на безуспешность попытки аутентификации пароля.
8. Способ по п. 6, в котором
передача исходного пароля и данных о чертах лица на бэкэнд-сервер предусматривает:
передачу данных о чертах лица и идентификатора учетной записи текущей учетной записи для входа на бэкэнд-сервер, причем бэкэнд-сервер выполнен с возможностью определения третьего результата аутентификации личности на основе целевых данных о чертах лица, соответствующих текущей учетной записи для входа, содержащейся в базе данных; и
передачу исходного пароля на бэкэнд-сервер по факту получения третьего результата аутентификации личности с бэкэнд-сервера, указывающего на успешность прохождения аутентификации лица, причем бэкэнд-сервер выполнен с возможностью определения четвертого результата аутентификации личности на основе целевого исходного пароля, соответствующего текущей учетной записи для входа, содержащейся в базе данных; а
предложенный способ дополнительно предусматривает
определение безуспешности аутентификации личности и отмену передачи исходного пароля по факту получения третьего результата аутентификации личности с бэкэнд-сервера, указывающего на безуспешность попытки аутентификации лица.
9. Устройство для аутентификации личности, содержащее:
первый модуль отображения, выполненный с возможностью генерирования целевой функции произвольного соответствия в ответ на команду на проверку личности, причем целевая функция произвольного соответствия представляет собой функцию, сгенерированную с возможностью соотнесения символов с жестами произвольным образом; и отображения виртуальной клавиатуры на основе целевой функции произвольного соответствия, причем на виртуальной клавиатуре отображается информация с указанием на необходимость преобразования пароля, которая соответствует целевой функции произвольного соответствия и которая определяется как указание на необходимость преобразования символов пароля в исходном пароле в жесты, причем разные символы пароля соответствуют разным жестам, режим преобразования символов пароля, отображаемый информацией с указанием на необходимость преобразования пароля, генерируется произвольным образом, а символы пароля включают в себя по меньшей мере один тип цифр, букв, знаков препинания и специальных символов; при этом первый модуль отображения выполнен с дополнительной возможностью: определения блока преобразования пароля на основе целевой функции произвольного соответствия, причем блок преобразования пароля включает в себя один из символов пароля и жест, соответствующий одному из символов пароля в целевой функции произвольного соответствия; и отображения блока преобразования пароля на виртуальной клавиатуре на основе первого режима отображения, соответствующего одному из символов пароля, и второго режима отображения, соответствующего идентификатору жеста, причем первый режим отображения отличается от второго режима отображения;
первый модуль извлечения черт лица, выполненный с возможностью получения данных о чертах лица путем извлечения черт лица из изображений для проверки личности, собранных камерой;
модуль детектирования активности, выполненный с возможностью получения последовательности жестов путем детектирования активности на изображениях для проверки личности;
модуль преобразования пароля, выполненный с возможностью получения исходного пароля путем преобразования пароля из последовательности жестов на основе целевой функции произвольного соответствия; и
модуль аутентификации личности, выполненный с возможностью осуществления аутентификации личности на основе исходного пароля и данных о чертах лица.
10. Терминал для аутентификации личности, содержащий процессор и память, причем в памяти хранится по меньшей мере одна команда, по меньшей мере одна программа, набор кодов или набор команд и при загрузке и исполнении по меньшей мере одной команды, по меньшей мере одной программы, набора кодов или набора команд инициируется реализация процессором способа аутентификации личности по любому из пп. 1-8.
11. Машиночитаемый носитель данных, на котором хранится по меньшей мере одна компьютерная программа, причем эта компьютерная программа при ее загрузке и выполнении процессором инициирует реализацию этим процессором способа аутентификации личности по любому из пп. 1-8.
| БЕСКОНТАКТНОЕ БИОМЕТРИЧЕСКОЕ УСТРОЙСТВО ИДЕНТИФИКАЦИИ ПОЛЬЗОВАТЕЛЯ ПО ЧЕРТАМ ЛИЦА | 2015 |
|
RU2629541C2 |
| US 8627096 B2, 07.01.2014 | |||
| US 10509951 B1, 17.12.2019 | |||
| US 20200169566 A1, 28.05.2020 | |||
| US 20180196966 A1, 12.07.2018 | |||
| US 9880629 B2, 30.01.2018 | |||
| US 10733275 B1, 04.08.2020 | |||
| EP 3540621 B1, 29.07.2020. | |||
Авторы
Даты
2025-02-17—Публикация
2022-02-25—Подача