Соединение на основе агарофурана, способ его получения и его применение Российский патент 2025 года по МПК C07D307/94 A61K31/34 A61P25/00 

Описание патента на изобретение RU2836640C2

ПЕРЕКРЕСТНЫЕ ССЫЛКИ НА РОДСТВЕННЫЕ ЗАЯВКИ

Настоящая заявка претендует на приоритет патентной заявки Китая No. 202110305886.0, поданной в Патентное Ведомство Китая и озаглавленной "Agarofuran Compound, Preparation Method therefor, and Application Thereof (Соединение агарофуран, способ его получения и его применение)", содержание которой полностью включено в настоящее описание посредством ссылки.

ОБЛАСТЬ ТЕХНИКИ

Настоящее изобретение относится к области биомедицины, в частности к соединению на основе агарофурана, способу его получения и к применению таких соединений.

ПРЕДШЕСТВУЮЩИЙ УРОВЕНЬ ТЕХНИКИ

Тревожность - это заболевание или расстройство центральной нервной системы человека, и по мере ежедневного ускорения общественной жизни людей, рабочего ритма и давления с каждым днем повышается частота случаев развития тревожного расстройства.

Многочисленные клинические эпидемиологические исследования психических заболеваний показали, что психические заболевания очень часто сопровождаются сопутствующими патологиями, и наиболее часто встречающимся среди различных типов сопутствующих патологий является именно тревожное расстройство, которое сочетается с депрессивным расстройством. Многочисленные исследования показали, что сопутствующее тревожное расстройство может углублять существующую депрессию, снижать частоту излечения, повышать частоту повторного помещения в лечебное учреждение, повышать риск суицида и ухудшать рабочие и коммуникативные функции. Аналогичные тенденции также наблюдаются у пациентов с другими сопутствующими психиатрическими тревожными расстройствами. Таким образом, лечение тревожного расстройства чрезвычайно важно. В настоящее время в мире не имеется достаточно удовлетворительных способов лечения тревожных расстройств: только 9,8% получает предположительно достаточное лечение, однако, среди пациентов с тревожными расстройствами только 41,3% понимают необходимость такого лечения, и при этом соответствующие группы населения Китая в процентном отношении меньше, чем в среднем в мире.

С одной стороны, лечение тревожного расстройства чрезвычайно желательно, но, с другой стороны, лечение не всегда является достаточным; следовательно, такая ситуация показывает, что все еще имеется необходимость усовершенствования стандартного достаточного лечения тревожного расстройства. Кроме антидепрессантов, в настоящее время имеется не слишком много видов клинически специфичных лекарственных средств для лечения тревожных расстройств. При этом при наличии психических нарушений лечение тревожности является ключевым этапом терапии.

Одним из репрезентативных примеров уже разработанных к настоящему времени анксиолитических лекарственных средств являются производные бензодиазепина, однако, было показано, что клиническая терапия бензодиазепинами приводит к возникновению побочных явлений, таких как привыкание, зависимость, рецидивы после прекращения приема лекарственного средства или замедленное действие. Таким образом, имеется насущная необходимость разработки анксиолитического средства с улучшенной эффективностью и меньшим количеством побочных явлений.

Агаровое дерево традиционное ценное китайское медицинское растение, которое содержит ряд соединений на основе агарофурана, и лекарственное средство на основе агарофурана, 4-бутил-α-агарофуран (БАФ), является известным новым анксполитическим средством, которое в настоящее время уже одобрено для проведения фазы II\III клинических испытаний. Это соединение обладает значительной анксиолитической активностью и очень слабыми побочными эффектами, то есть приводит к развитию очень малого количества нежелательных явлений. Однако это лекарственное средство имеет неудовлетворительные фармакокинетические параметры, в частности, низкую общую действующую дозу, низкую биодоступность, короткий период полувыведения и подобные свойства, и поэтому его эффективность в относительно низка.

Информация раздела Предшествующий уровень техники приведена для понимания общего предшествующего уровня техники настоящего изобретения и не должна рассматриваться как признание или подразумевание того, что любая форма этой информации полностью описывает существующий уровень техники, уже известный специалистам в данной области техники.

СУЩНОСТЬ ИЗОБРЕТЕНИЯ

Задача изобретения

Задача настоящего изобретения состоит в предоставлении нового соединения на основе агарофурана, имеющего более высокую активность, улучшенную эффективность и улучшенные фармакокинетические параметры, для лечения психических заболеваний, таких как тревожное расстройство, посредством структурных модификаций основных участков метаболизма, таких как алкильные боковые цепочки 4-бутил-α-агарофурана (БАФ).

Решение задачи изобретения

Для реализации задачи настоящего изобретения предложены воплощения настоящего изобретения, предоставляющие следующие технические решения.

Один из аспектов настоящего изобретения относится к соединению на основе агарофурана, структура которого представлена общей формулой (I):

где

в цикле А отсутствует двойная связь или имеется одна двойная связь, находящаяся в положении 2-3 цикла А;

R1 представляет собой метил, замещенный одним, двумя или тремя атомами фтора;

R2 представляет собой С29 линейный гидрокарбилен, разветвленный гидрокарбилен или циклоалкилен, который может быть незамещенным, замещенным гидроксильной группой или замещенным карбонильной группой, и линейный гидрокарбилен или разветвленный гидрокарбилен представляет собой алкилен или алкенилен, содержащий 1-3 двойные связи;

m означает количество R3 групп, связанных с атомом углерода, находящимся в положении 4 цикла А, m=1 или 2, и если m=1, то R3 выбран из атома водорода, карбонила или гидроксила; если m=2, то R3 представляет собой атом дейтерия; и

R4 выбран из атома водорода, атома дейтерия, карбонила или гидроксила.

Как указано выше, цикл А представляет собой в целом оксатрициклическую группу, в которой: R2 присоединен к положению 2 цикла A, R3 присоединен к положению 4 цикла A, R4 присоединен к положению 12 цикла А, и m означает количество R3 групп, а не количество повторяющихся звеньев в одной группе.

В одном из возможных воплощений описанного выше соединения на основе агарофурана, представленного общей формулой (I), R2 представляет собой С25 линейный алкилен, который может быть незамещенным, замещенным гидроксильной группой или замещенным карбонильной группой.

В одном из возможных воплощений описанного выше соединения на основе агарофурана, представленного общей формулой (I), R2 представляет собой С34 линейный алкилен, который может быть незамещенным, замещенным гидроксильной группой или замещенным карбонильной группой.

В одном из возможных воплощений описанного выше соединения на основе агарофурана, представленного общей формулой (I), R2 представляет собой С3 линейный алкилен, который может быть незамещенным, замещенным гидроксильной группой или замещенным карбонильной группой.

В одном из возможных воплощений описанного выше соединения на основе агарофурана, представленного общей формулой (I), оно выбрано из следующих соединений:

Другой аспект настоящего изобретения относится к фармацевтической композиции, которая содержит соединение на основе агарофурана, представленное общей формулой (I), его фармацевтически приемлемую соль или его пролекарство, а также содержит по меньшей мере один из следующих компонентов: фармацевтически приемлемый носитель, разбавитель или вспомогательное вещество.

Другой аспект настоящего изобретения относится к применению соединения на основе агарофурана, представленного общей формулой (I), его фармацевтически приемлемой соли, его пролекарства или фармацевтической композиции, содержащей указанное средство, для получения лекарственного средства для профилактики и/или лечения тревожного расстройства.

Другой аспект настоящего изобретения относится к способу лечения тревожного расстройства, включающему введение терапевтически эффективного количества соединения на основе агарофурана, представленного общей формулой (I), его фармацевтически приемлемой соли, его пролекарства или фармацевтической композиции, содержащей указанное вещество, субъекту, нуждающемуся в лечении тревожного расстройства.

Соединение на основе агарофурана согласно настоящему изобретению, представленное общей формулой (I), или содержащая его фармацевтическая композиция могут быть введены в виде единичной дозировки, и введение может быть осуществлено через желудочно-кишечный тракт или иным способом, таким как пероральное, внутримышечное, подкожное, назальное введение, пероральное введение через слизистую, введение через кожу, интраперитонеальное или ректальное введение. Лекарственная форма, такая как таблетки, капсулы, капли, аэрозоли, пилюли, порошки, растворы, суспензии, эмульсии, гранулы, суппозитории и лиофилизированные порошки для инъекций, может представлять собой обычный препарат, препарат с замедленным высвобождением, препарат с контролируемым высвобождением и различные системы введения частиц.

Вводимая доза лекарственного средства зависит от различных факторов, примеры которых включают, без ограничений, следующие факторы: активность конкретного применяемого соединения, природу и тяжесть заболевания, которое лечат, пол, возраст, массу, состояние здоровья, поведение, диету пациента, время введения, путь введения, скорость выведения из организма, комбинации лекарственных средств и подобные параметры. Кроме того, оптимальный режим лечения, включающий режим введения и суточную дозу соединения, представленного общей формулой (I), может быть уточнен в соответствии с традиционными лечебными планами.

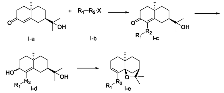
Другой аспект настоящего изобретения относится к способу получения соединения на основе агарофурана, представленного общей формулой (I), который может быть описан как способ получения, изложенный в публикации "Stereoselective Synthesis of Antianxiety Candidate Drug AF-5 Using (+) Dihydrocarvone as Raw Material (Стереоселективный синтез перспективного анксиолитического средства AF-5 с использованием в качестве исходного материала (+) дигидрокарвона)" (Yin Dali, с соавт."Chinese Journal of Medicinal chemistry", 2003, том 13, вып.4, стр. 187-193). Способ получения выбран из любого из следующих способов:

(1) Если имеется одна двойная связь, находящаяся в положении 2-3 цикла А соединения на основе агарофурана, представленного общей формулой (I), m=1, и как R3, так и R4 представляют собой атомы водорода, то способ получения включает следующие этапы:

где

соединения, представленные формулами (I-а) и (I-b), вводят в реакцию замещения в щелочных условиях с получением соединения, представленного формулой (I-c); R1 представляет собой метил, замещенный одним, двумя или тремя атомами фтора; R2 представляет собой С29 линейный гидрокарбилен, разветвленный гидрокарбилен или циклоалкилен, который может быть незамещенным, замещенным гидроксильной группой или замещенным карбонильной группой, и линейный гидрокарбилен или разветвленный гидрокарбилен представляет собой алкилен или алкенилен, содержащий 1-3 двойные связи; X представляет собой галоген, предпочтительно бром;

соединение, представленное формулой (I-c), вводят в реакцию восстановления в присутствии восстановителя с получением соединения, представленного формулой (I-d); и

соединение, представленное формулой (I-d), вводят в реакцию циклизации в кислотных условиях с получением соединения, представленного формулой (I-c).

(2) Если в цикле А соединения на основе агарофурана, представленного общей формулой (I), двойная связь отсутствует, m=1, и как R3, так и R4 представляют собой атомы водорода, то способ получения включает следующие этапы: соединение (I-e), указанное в способе получения (1), подвергают каталитическому гидрированию с получением соединения, представленного формулой (I-f):

(3) Если имеется одна двойная связь, находящаяся в положении 2-3 цикла А соединения на основе агарофурана, представленного общей формулой (I), m=2, и как R3, так и R4 представляют собой атомы дейтерия, то способ получения включает следующие этапы:

где

соединения, представленные формулами (I-а) и (I-b), вводят в реакцию замещения в щелочных условиях с получением соединения, представленного формулой (I-c); R1 представляет собой метил, замещенный одним, двумя или тремя атомами фтора; R2 представляет собой С29 линейный гидрокарбилен, разветвленный гидрокарбилен или циклоалкилен, который может быть незамещенным, замещенным гидроксильной группой или замещенным карбонильной группой, и линейный гидрокарбилен или разветвленный гидрокарбилен представляет собой алкилен или алкенилен, содержащий 1-3 двойные связи; X представляет собой галоген, предпочтительно бром;

соединение, представленное формулой (I-c), вводят в реакцию дейтерирования дейтерированным спиртом в щелочных условиях с получением соединения, представленного формулой (I-j);

соединение, представленное формулой (I-j), вводят в реакцию восстановления в присутствии восстановителя с получением соединения, представленного формулой (I-g);

соединение, представленное формулой (I-g), вводят в реакцию циклизации в кислотных условиях с получением соединения, представленного формулой (I-h).

(4) Если в цикле А соединения на основе агарофурана, представленного общей формулой (I), двойная связь отсутствует, m=2, и как R3, так и R4 представляют собой атомы дейтерия, то способ получения включает следующие этапы: соединение (I-h), указанное в способе получения (3), подвергают каталитическому гидрированию с получением соединения, представленного формулой (I-i):

(5) Если в цикле А соединения на основе агарофурана, представленного общей формулой (I), имеется одна двойная связь, m=1, R3 представляет собой карбонил, и R4 представляет собой водород, то способ получения включает следующие этапы: соединение, имеющее формулу (I-е), указанное в способе получения (1), вводят в реакцию окисления в присутствии окислителя с получением соединения, представленного формулой (I-k):

(6) Если в цикле А соединения на основе агарофурана, представленного Общей формулой (I), имеется одна двойная связь, m=1, R3 представляет собой гидроксил, и R4 представляет собой водород, то способ получения включает следующие этапы: соединение, имеющее формулу (I-k), указанное в способе получения (5), вводят в реакцию восстановления в присутствии восстановителя с получением соединения, представленного формулой (I-m):

В одном из возможных воплощений описанного выше способа получения R2 представляет собой С25 линейный алкилен, который может быть незамещенным, замещенным гидроксильной группой или замещенным карбонильной группой; необязательно R2 представляет собой С34 линейный алкилен, который может быть незамещенным, замещенным гидроксильной группой или замещенным карбонильной группой; и, дополнительно, необязательно R2 представляет собой -С3 линейный алкилен, который является незамещенным, замещенным гидроксильной группой или замещенным карбонильной группой.

В одном из возможных воплощений описанного выше способа получения R1 и R2 выбраны из любой из следующих комбинаций:

В одном из возможных воплощений описанного выше способа получения реагент для создания щелочных условий обычно включает неорганическое основание, и неорганическое основание включает одно или более из следующих веществ: гидрид натрия, гидроксид натрия, гидроксид калия, трет-бутилат натрия и трет-бутилат калия.

В одном из возможных воплощений описанного выше способа получения восстановитель включает одно или более из следующих веществ: боргидрид натрия, боргидрид калия и алюмогидрид лития.

В одном из возможных воплощений описанного выше способа получения реагент для создания кислотных условий включает одно или более из следующих веществ: трифторуксусную кислоту, соляную кислоту, серную кислоту, фосфорную кислоту и пара-толуолсульфоновую кислоту.

В одном из возможных воплощений описанного выше способа получения катализатор на основе металла для каталитического гидрирования включает одно или более из следующих веществ: палладий на угле, родий на угле, диоксид платины и никель Ренея.

В одном из возможных воплощений описанного выше способа получения окислитель в реакции окисления включает одно или более из следующих веществ: кислород, пероксид водорода, пероксид и реактив Сарретта.

В одном из возможных воплощений описанного выше способа получения растворители, применяемые в способе (1) получения, включают: на этапе 1: один или более из следующих: метанол, этанол, изопропанол и трет-бутанол; на этапе 2: один или более из следующих: простой эфир и тетрагидрофуран; и на этапе 3: один или более из следующих: н-гексан и простой петролейный эфир.

В одном из возможных воплощений описанного выше способа получения растворитель, применяемый в способе (2) получения, включает одно или более из следующих веществ: этанол, метанол и простой эфир.

В одном из возможных воплощений описанного выше способа получения растворители, применяемые в способе (3) получения включают: на этапе 1: один или более из следующих: метанол, этанол, изопропанол и трет-бутанол; на этапе 2: один или более из следующих: дейтерированный метанол и дейтерированный этанол; на этапе 3: один или более из следующих: простой эфир и тетрагидрофуран; и на этапе 4: один или более из следующих: н-гексан и простой петролейный эфир.

В одном из возможных воплощений описанного выше способа получения растворитель, применяемый в способе (4) получения, включает одно или более из следующих веществ: этанол, метанол и простой эфир.

В одном из возможных воплощений описанного выше способа получения растворитель, применяемый в способе (5) получения, включает одно или более из следующих веществ: дихлорметан, толуол, бензол и пиридин.

В одном из возможных воплощений описанного выше способа получения растворитель, применяемый в способе получения (6), включает одно или более из следующих веществ: этанол, метанол и простой эфир.

Полезный эффект

Соединение на основе агарофурана согласно воплощениям настоящего изобретения, представленное общей формулой (I), проявляет высокую анксиолитическую активность, характеризуется быстрым наступлением эффекта и хорошей безопасностью по сравнению с известными анксполитическими соединениями группы бензодиазепина (такими как диазепам), а также имеет улучшенные фармакокинетические параметры по сравнению с 4-бутил-α-агарофураном, такие как более подходящий период полувыведения, более высокая действующая доза, более высокая биодоступность и подобные свойства.

КРАТКОЕ ОПИСАНИЕ ГРАФИЧЕСКИХ МАТЕРИАЛОВ

На Фиг. 1 представлено влияние лекарственного средства, вводимого посредством внутрибрюшинной инъекции, на время пребывания мышей в открытом рукаве и закрытом рукаве приподнятого крестообразного лабиринта в примере 8 (Среднее ± СПСВ (стандартная погрешность средней величины), n=13). Показано сравнение с группой, получавшей вспомогательное вещество: *Р<0,05, **Р<0,01 и ***Р<0,001, и группой, получавшей БАФ (2 мг/кг): #Р<0,05.

На Фиг. 2 представлено влияние лекарственного средства, вводимого посредством внутрибрюшинной инъекции, на вход мышей в открытый рукав и закрытый рукав приподнятого крестообразного лабиринта в примере 8 (Среднее ± СПСВ, n = 13). Показано сравнение с группой, получавшей вспомогательное вещество: *Р<0,05 и **Р<0,01.

На Фиг. 3 представлено влияние лекарственного средства, вводимого посредством внутрибрюшинной инъекции, на соотношение входов в открытый рукав и закрытый рукав и соотношение времени пребывания в открытом рукаве и закрытом рукаве приподнятого крестообразного лабиринта в примере 8 (Среднее ± СПСВ, n = 13). Показано сравнение с группой, получавшей вспомогательное вещество: *Р<0,05 и **Р<0,01.

На Фиг. 4 представлена кривая зависимости концентрации экспериментального препарата в плазме крови после внутрибрюшинной инъекции мыши БАФ (10 мг/кг) в примере 8.

На Фиг. 5 представлена кривая зависимости концентрации экспериментального препарата в плазме крови после внутрибрюшинной инъекции мыши соединения 2 (10 мг/кг) в примере 8.

ПОДРОБНОЕ ОПИСАНИЕ ИЗОБРЕТЕНИЯ

Для лучшего разъяснения целей, технических решений и полезных эффектов воплощений настоящего изобретения, ниже подробно и ясно рассмотрены технические решения воплощений настоящего изобретения. Очевидно, что описанные примеры представляют собой часть примеров воплощения настоящего изобретения, но не все такие примеры. Все другие примеры, созданные специалистами в данной области техники без применения творческих усилий на основании примеров, описанных в настоящей работе, включены в объем защиты настоящего изобретения.

Кроме того, для лучшего описания настоящего изобретения ниже приведено множество конкретных деталей конкретных воплощений. Специалистам в данной области техники должно быть понятно, что настоящее изобретение также может быть воплощено без некоторых конкретных деталей. В некоторых примерах для лучшей концентрации внимания на основной задаче настоящего изобретения не приведены подробные описания исходных материалов, элементов, способов, средств и подобных параметров, которые известны специалистами в данной области техники.

Если ясно не указано иное, употребляемый в настоящем описании и пунктах формулы изобретения термин "включающий" или его синонимы, такие как "содержащий", может рассматриваться как включающий указанные элементы или составляющие части, но не исключающий наличия других элементов или других составляющих частей.

Если не указано иное, употребляемые в настоящем описании и пунктах формулы изобретения термины имеют следующие значения.

Термин "алкилен" включает линейный или разветвленный алкилен, содержащий от 2 до 9 атомов углерода, такой как пропилен, изопропилен, н-бутилен, изобутилен, втор-бутилен, трет-бутилен, пентилен, изопентилен, неопентилен и втор-пентилен, и алкилен является незамещенным или замещен гидроксилом или карбонилом.

Употребляемый в настоящей работе термин "алкенилен, содержащий от 1 до 3 двойных связей" относится к линейному или разветвленному алкенилену, содержащему от 1 до 3 двойных связей, такому как винилен, пропенилен, 3-ен-бутилен, 2-ен-бутилен, 2-ен-пентилен и 3-ен-пентилен, и алкенилен является незамещенным или замещен гидроксилом или карбонилом.

В примерах воплощения настоящего изобретения все структуры соединений определяют способом ядерного магнитного резонанса (ЯМР) и/или масс-спектрометрии (МС). Спектры ЯМР регистрировали с помощью ядерного магнитного спектрометра Varian Mercury-400 или Bruker-600, растворителями для определений были дейтерированный метанол (CD3OD) и дейтерированный хлороформ (CDCl3), и внутренним стандартом являлся тетраметилсилан (ТМС). Масс-спектры регистрировали с помощью масс-спектрометра с ИЭР (ионизацией электроспреем) (производитель: Thermo, модель: Exactive Plus).

Высокоэффективную жидкостную хроматографию (ВЭЖХ) выполняли на жидкостном хроматографе высокого давления Agilent 1200 (аналитическая хроматографическая колонка С8 150×4,6 мм).

Для тонкослойной хроматографии применяли пластинки с силикагелем Qingdao GF254, спецификация: 0,15-0,2 мм.

Колоночную хроматографию проводили с использованием в качестве носителя силикагеля Yantai Huanghai 300-400 меш.

Известные исходные материалы для осуществления настоящего изобретения могут быть синтезированы способами, известными в данной области техники, или по аналогии со способами, известными в данной области техники, или приобретены у компаний, предоставляющих реагенты, таких как ITC, Alfa, Bide и Inno Chem. Если не указано иное, реакции, описанные в примерах, могут быть проведены в атмосфере аргона или азота.

Протекание реакций в примерах отслеживали с помощью тонкослойной хроматографии (ТСХ), система проявляющих агентов, используемая в реакции, обычно представляла собой простой петролейный эфир и этилацетат, и объемное отношение растворителей регулировали в соответствии с разными полярностями соединений.

Применяемая для очистки соединений колоночной хроматографией система элюентов обычно включала простой петролейный эфир и этилацетат, и объемное отношение растворителей регулировали в соответствии с разными полярностями соединений.

Пример 1

Этап 1

Получение (6R,9R)6-метил-9-(1-гидроксиизопропил)-2-(4,4,4-трифторбутил)дицикло[4.4.0]дека-1-ен-3-она (1)

В защитной атмосфере аргона соединение (1000 мг, 4,50 ммоль), представленное формулой (I-а), и KOH (343 мг, 6,117 ммоль) растворяли в трет-бутаноле и нагревали до кипения с обратным холодильником, к смеси по каплям добавляли 10 мл раствора 4-бром-1,1,1-трифторбутана (1051 мг, 5,53 ммоль), и по завершении добавления по каплям реакцию проводили в течение 1 часа. Реакционный материал охлаждали, к нему добавляли 10 мл дистиллированной воды, затем материал нейтрализовали добавлением 1н соляной кислоты до достижения рН=7 и испаряли для удаления растворителя; остаток после испарения растворяли в простом эфире, эфирный слой промывали насыщенным раствором хлорида натрия, сушили безводным сульфатом натрия и испаряли для удаления растворителя. Неочищенный продукт очищали колоночной хроматографией на силикагеле, элюируя смесью растворителей простой петролейный эфир/этилацетат (10:1) и получая целевое соединение 1 (745 мг, выход: 64%). [α]D20=-66,6° (с 0,89, CHCl3), 1Н ЯМР (600 МГц, CDCl3) δ 1,21 (s, 3Н), 1,72 (s, 3Н), 1,75 (s, 3Н), 1,42-1,48 (m, 2Н), 1,50-1,56 (m, 2Н), 1,78-1,83 (m, 5Н), 1,91-1,98 (m, 2Н), 2,05-2,13 (m, 2Н), 2,33-2,37 (m, 1Н), 2,41-2,51 (m, 3Н), 2,58-2,64 (m, 1Н), 2,67-2,71 (m, 1Н). 13С ЯМР (150 МГц, CDCl3) δ 198,1, 166,5, 133,2, 73,4, 44,0, 36,9, 36,4, 35,9, 34,1, 33,7, 33,5, 29,0, 27,1, 27,0, 25,0, 24,4, 21,5, 21,4, 21,2 (s - синглет, d - дублет, m - мультиплет). МСВР (масс-спектрометрия высокого разрешения) m/z (ИЭС (ионизация электроспреем)) 333,2030 [М+Н]+, C18H28O2F3 Вычислено: 333,2036.

Этап 2

Получение (1R,6S,9R)6,10,10-триметил-2-(4,4,4-трифторбутил)-11-оксатрицикло[7.2.1.01,6]додец-2-ена (2)

Соединение 1 (530 мг, 1,58 ммоль) растворяли в 8 мл метанола, и к смеси добавляли боргидрид натрия для проведения реакции восстановления; реакционный материал перемешивали при комнатной температуре в течение 3 часов, и к смеси добавляли 5 мл воды; затем рН материала доводили до 3-4 добавлением концентрированной соляной кислоты, добавляли 10 мл н-гексана, материал перемешивали при комнатной температуре в течение ночи для проведения реакции циклизации; слой н-гексана отделяли, промывали водой до нейтральной реакции, сушили, концентрировали и очищали (простой петролейный эфир: этилацетат = 50:1) колоночной хроматографией, получая соединение 2 (300 мг, выход: 60,1%). [α]D20=29,3° (с 1,32, CHCl3), 1H ЯМР (600 МГц, CDCl3) δ 0,90 (s, 3Н), 1,04-1,09 (m, 1Н), 1,21-1,25 (m, 5Н), 1,36 (s, 3Н), 1,62-1,76 (m, 7Н), 1,94-2,18 (m, 7Н), 5,60-5,61 (m, 1Н); 13С ЯМР (150 МГц, CDCl3) δ 135,1, 127,2, 85,1, 81,0, 44,10, 37,0, 34,4, 33,8, 33,6, 32,9, 32,6, 30,4, 30,1, 24,4, 22,9, 22,5, 21,9, 21,3, 21,2. МСВР m/z (ИЭС) 299,1990 [М+Н-H2O]+, C18H26F3 Вычислено: 299,1981.

Пример 2

Этап 1

Получение (6R,9R)6-метил-9-(1-гидроксиизопропил)-2-(4-фторбутил)дицикло[4.4.0]дека-1-ен-3-она (3)

В защитной атмосфере аргона соединение (500 мг, 2,25 ммоль), представленное формулой (I-а), и КОН (171 мг, 3,0 ммоль) растворяли в трет-бутаноле и нагревали до кипения с обратным холодильником, туда по каплям добавляли 5 мл раствора 4-бром-1-фторбутана (426 мг, 2,75 ммоль), и по завершении добавления по каплям реакцию проводили в течение 1 часа. Реакционный материал охлаждали, к нему добавляли 10 мл дистиллированной воды, затем материал нейтрализовали добавлением 1н соляной кислоты до достижения рН=7 и испаряли для удаления растворителя; остаток после испарения растворяли в простом эфире, эфирный слой промывали насыщенным раствором хлорида натрия, сушили безводным сульфатом натрия и испаряли для удаления растворителя. Неочищенный продукт очищали колоночной хроматографией на силикагеле, элюируя смесью растворителей простой петролейный эфир/этилацетат (10:1) и получая целевое соединение 3 (421 мг, выход: 63%). [α]D20=-28,7° (с 0,195, CH3OH), 1Н ЯМР (400 МГц, CDCl3) δ 1,17 (s, 3Н), 1,21 (s, 3Н), 1,23 (s, 3Н), 1,32-1,50 (m, 4Н), 1,63-1,69 (m, 3Н), 1,71-1,79 (m, 2Н), 1,85-1,93 (m, 2Н), 2,23-2,30 (m, 1Н), 2,35-2,46 (m, 3Н), 2,52-2,61 (m, 1Н), 2,63-2,69 (m, 1Н), 4,34-4,38 (m, 1Н), 4,46-4,50 (m, 1Н). 13С ЯМР (100 МГц, CDCl3) δ 198,3, 166,6, 134,2, 85,0, 83,3, 73,6, 44,1, 37,0, 36,6, 35,8, 34,3, 30,6, 30,3, 29,0, 27,2, 27,0, 26,0, 25,0, 24,9, 24,8, 21,3. МСВР m/z (ИЭС) 297,2232 [М+Н]+, C18H30O2F Вычислено: 297,2224.

Этап 2

Получение (1R,6S,9R)6,10,10-триметил-2-(4-фторбутил)-11-оксатрицикло[7.2.1.01,6]додец-2-ена (4)

Соединение 3 (400 мг, 1,35 ммоль) растворяли в 5 мл метанола, к нему для проведения реакции восстановления добавляли боргидрид натрия (205 мг, 5,4 ммоль); реакционный материал перемешивали при комнатной температуре в течение 3 часов и добавляли 2 мл воды; затем рН материала доводили до 3-4 добавлением концентрированной соляной кислоты, добавляли 7 мл н-гексана, и материал перемешивали при комнатной температуре в течение ночи для проведения реакции циклизации; слой н-гексана отделяли, промывали водой до нейтральной реакции, сушили, концентрировали и очищали колоночной хроматографией (простой петролейный эфир: этилацетат = 50:1), получая соединение 4 (227 мг, выход: 60,0%). [α]D20=20,0° (с 0,5, CHCl3), 1Н ЯМР (600 МГц, CDCl3) δ 0,89 (s, 3Н), 1,02-1,07 (m, 1Н), 1,16-1,19 (m, 1Н), 1,22 (s, 3Н), 1,36 (s, 3Н), 1,41-1,68 (m, 2Н) 1,61-1,77 (m, 7Н), 1,93-2,03 (m, 5Н), 2,16-2,20 (m, 1Н), 4,36-4,39 (m, 1Н), 4,48-4,60 (m, 1Н), 5,60-5,61 (m, 1Н). 13С ЯМР (150 МГц, CDCl3) δ 136,0, 126,7, 85,3, 85,0, 83,4, 80,9, 44,2, 37,0, 34,6, 32,9, 32,7, 30,8, 30,7, 30,5, 24,7, 24,5, 23,0, 22,7, 22,0. МСВР m/z (ИЭС) 263,2167 [М+Н-H2O]+, C18H28F Вычислено: 263,2170.

Пример 3

Этап 1

Получение (6R,9R)6-метил-9-(1-гидроксиизопропил)-2-(5,5,5-трифторпентил)дицикло[4.4.0]дека-1-ен-3-она (5)

В защитной атмосфере аргона соединение (1000 мг, 4,5 ммоль), представленное формулой (I-а), и трет-бутилат калия (758 мг, 6,75 ммоль) растворяли в 10 мл трет-бутанола и нагревали до кипения с обратным холодильником; к смеси по каплям добавляли 10 мл раствора 5-бром-1,1,1-трифторпентана (1,108 г, 5,40 ммоль) в трет-бутаноле, и по завершении добавления по каплям реакцию проводили в течение 1 часа. Реакционный материал охлаждали, к нему добавляли 10 мл дистиллированной воды, затем материал нейтрализовали добавлением 1н соляной кислоты до достижения рН=7 и испаряли для удаления растворителя; остаток после испарения растворяли в простом эфире, эфирный слой промывали насыщенным раствором хлорида натрия, сушили безводным сульфатом натрия и испаряли для удаления растворителя. Неочищенный продукт очищали колоночной хроматографией на силикагеле, элюируя смесью растворителей простой петролейный эфир/этилацетат (10:1) и получая продукт 5 (950 мг, выход: 61%). [α]D20=-63,3° (с 2,4, CHCl3), 1Н ЯМР (600 МГц, CDCl3) δ 1,16 (s, 3Н), 1,21 (s, 3Н), 1,23 (s, 3Н), 1,24-1,28 (m, 1Н), 1,30-1,45 (m, 4Н), 1,48-1,66 (m, 6Н), 1,72-1,77 (m, 1Н), 1,85-1,93 (m, 2Н), 1,99-2,09 (m, 2Н), 2,20-2,27 (m, 1Н), 2,35-2,44 (m, 3Н), 2,52-2,67 (m, 2Н). 13С ЯМР (150 МГц, CDCl3) δ 198,2, 165,7, 133,8, 73,4, 44,0, 36,9, 36,5, 35,8, 34,2, 29,0, 28,2, 27,1, 26,9, 25,0, 24,9, 21,9, 21,8, 21,2. МСВР m/z (ИЭС) 347,2189 [М+Н]+, C19H30O2F3 Вычислено: 347,2192.

Этап 2

Получение (1R,6S,9R)6,10,10-триметил-2-(5,5,5-трифторпентил)-11-оксатрицикло[7.2.1.01,6]додец-2-ена (6)

Продукт 5 (461 мг, 1,61 ммоль) растворяли в 6 мл метанола, к нему для проведения реакции восстановления добавляли боргидрид натрия; реакционный материал перемешивали при комнатной температуре в течение 3 часов, добавляли 5 мл воды и затем рН материала доводили до 3-4 добавлением концентрированной соляной кислоты; добавляли 10 мл н-гексана и материал перемешивали при комнатной температуре в течение ночи для проведения реакции циклизации; слой н-гексана отделяли, промывали водой до нейтральной реакции, сушили, концентрировали и очищали колоночной хроматографией (простой петролейный эфир/этилацетат = 50:1), получая конечный продукт 6 (258 мг, выход: 55,6%). [α]D20=17,0° (с 2,1, CHCl3), 1Н ЯМР (600 МГц, CDCl3) δ 0,91 (s, 3Н), 1,05-1,09 (m, 1Н), 1,24-1,34 (m, 7Н), 1,37 (s, 3Н), 1,58-1,73 (m, 8 Н), 1,95-2,21 (m, 6Н), 5,60 (brs, 1Н); 13С ЯМР (150 МГц, CDCl3) δ 135,6, 126,5, 85,2, 80,9, 44,1, 37,0, 34,5, 33,8, 33,6, 32,9, 32,6, 30,7, 30,4, 28,1, 24,4, 22,9, 22,5, 22,1, 21,9. МСВР m/z (ИЭС) 313,2134 [М+Н-H2O]+, C19H28F3 Вычислено: 313,2138.

Пример 4

Этап 1

Получение (6R,9R)6-метил-9-(1-гидроксиизопропил)-2-(4,4,4-трифторбутил)-4,4,10,10-тетрадейтериодицикло[4.4.0]дека-1-ен-3-она (7)

Соединение 1 (298 мг, 0,90 ммоль) растворяли в 3 мл дейтерированного метанола, к смеси добавляли метилат натрия (49 мг, 0,90 ммоль), и в защитной атмосфере аргона материал перемешивали в течение ночи при комнатной температуре; рН полученного материала доводили до 7 добавлением 1н соляной кислоты, метанол испаряли, и затем полученный материал последовательно промывали насыщенным раствором бикарбоната натрия и насыщенным раствором хлорида натрия, сушили безводным сульфатом натрия и испаряли для удаления растворителя. Неочищенный продукт очищали колоночной хроматографией на силикагеле (простой петролейный эфир/этил ацетат = 20:1) получая желтое маслянистое вещество 7 (290 мг, выход: 97%). [α]D20=-66,6° (с 0,89, CHCl3), 1Н ЯМР (600 МГц, CDCl3) δ 1,21 (s, 3Н), 1,25 (s, 3Н), 1,28 (s, 3Н), 1,43-1,48 (m, 1Н), 1,50-1,68 (m, 8Н), 1,78-1,83 (m, 1Н), 1,92-1,96 (m, 2Н), 2,06-2,12 (m, 2Н), 2,32-2,37 (m, 1Н), 2,46-2,51 (m, 1Н). 13С ЯМР (150 МГц, CDCl3) δ 198,2, 166,4, 133,3, 126,3, 73,4, 43,9, 36,9, 36,2, 35,8, 33,7, 33,5, 29,0, 27,0, 25,0, 24,4, 21,5, 21,2. МСВР m/z (ИЭС) 337,2260 [М+Н]+, C18H24D4O2F3 Вычислено: 337,2287.

Этап 2

Получение (1R,6R,9R)6,10,10-триметил-2-(4,4,4-трифторбутил)-4,4,10-тридейтерий-11-оксатрицикло[7.2.1.01,6]додец-2-ена (8)

Алюмогидрид лития (32 мг, 0,83 ммоль) суспендировали в 3 мл безводного тетрагидрофурана и при охлаждении на ледяной бане к нему по каплям добавляли раствор желтого маслянистого вещества 7 (280 мг, 0,83 ммоль) в тетрагидрофуране; после добавления температуру повышали до комнатной температуры и материал перемешивали в течение 3 часов для проведения реакции восстановления; к смеси добавляли 3 мл воды, рН полученного материала доводили до 3-4 добавлением концентрированной соляной кислоты, добавляли 3 мл н-гексана, и затем материал перемешивали при комнатной температуре в течение ночи для проведения реакции циклизации; слой н-гексана отделяли, промывали водой до нейтральной реакции, сушили, концентрировали и очищали колоночной хроматографией (простой петролейный эфир/этилацетат = 50:1) получая конечный продукт 8 (200 мг, выход: 76%). [α]D20=29,3° (с 1,32, CHCl3), 1Н ЯМР (600 МГц, CDCl3) δ 0,93 (s, 3Н), 1,08-1,10 (m, 1Н), 1,22-1,25 (m, 4Н), 1,39 (s, 3Н), 1,67-1,75 (m, 6 H), 1,96-1,98 (m, 1 H), 2,05-2,19 (m, 4 H), 5,63 (s, 1H); 13C ЯМР (150 МГц, CDCl3) δ 135,2, 127,0, 85,0, 81,0, 44,0, 36,9, 34,4, 33,8, 33,6, 32,6, 30,4, 30,1, 24,3, 22,9, 21,9, 21,2, 21,2. MCBP m/z (ИЭС) 302,2161 [M+H-H2O]+, C18H23D3F3 Вычислено: 302,2169.

Пример 5

Получение (1R,2R/S,6S,9R)6,10,10-триметил-2-(4,4,4-трифторбутил)-11-оксатрицикло[7.2.1.01,6]додекана (9)

Соединение 2 (50 мг, 0,16 ммоль) растворяли в 5 мл эфира, к нему добавляли 30 мг 10% палладия на угле, и материал гидрировали при комнатной температуре и атмосферном давлении в течение 7 часов; затем палладий на угле отфильтровывали, материал испаряли для удаления растворителя и очищали колоночной хроматографией (простой петролейный эфир/этилацетат = 50:1), получая конечный продукт 9 (15 мг, выход: 30%). [α]D20=11,2° (с 0,68, CHCl3), 1Н ЯМР (600 МГц, CDCl3) δ 0,86 (s, 3Н), 1,10-1,14 (m, 4Н), 1,20 (m, 3Н), 1,27-1,77 (m, 14Н), 1,81-2,14 (m, 4Н), 2,31-2,66 (m, 1Н); МСВР m/z (ИЭС) 301,2132 [М+Н-Н2О]+, C18H28F3 Вычислено: 301,2138.

Пример 6

Получение (1R,6R,9R)6,10,10-триметил-2-(4,4,4-трифторбутил)-11-оксатрицикло[7.2.1.01,6]додец-2-ен-4-она (10)

Соединение 2 (100 мг, 0,32 ммоль) растворяли в 5 мл дихлорметана, к нему добавляли 100 мг хлор хромата пиридиния (ХХП), полученный материал перемешивали в течение ночи при комнатной температуре, фильтровали через слой силикагеля, испаряли для удаления растворителя и очищали колоночной хроматографией (простой петролейный эфир/этилацетат = 50:1), получая конечный продукт 10 (80 мг, выход: 76%). [α]D20=28,6° (с 1,01, CHCl3), 1Н ЯМР (600 МГц, CDCl3) δ 0,90 (s, 3Н), 1,04-1,09 (m, 1Н), 1,21-1,25 (m, 5Н), 1,36 (s, 3Н), 1,62-1,76 (m, 6Н), 1,94-2,18 (m, 3Н), 2,38-2,45 (m, 3Н), 5,60-5,61 (m, 1Н); MS m/z (ИЭС) 313,2 [М+Н-H2O]+.

Пример 7

Получение (1R,4R/S,6R,9R)6,10,10-триметил-2-(4,4,4-трифторбутил)-4-гидрокси-11-оксатрицикло[7.2.1.01,6]додец-2-ена (11)

Готовый продукт 10 (50 мг, 0,15 ммоль) растворяли в 2 мл метанола, к нему добавляли боргидрид натрия (20 мг, 0,53 ммоль), полученный материал перемешивали при комнатной температуре в течение 2 часов, и затем добавляли 3 мл дистиллированной воды; рН материала доводили до 3-4 2М соляной кислотой, добавляли дихлорметан для экстракции, и материал последовательно промывали водой и насыщенным раствором хлорида натрия, сушили безводным сульфатом натрия, фильтровали, испаряли для удаления растворителя и очищали колоночной хроматографией (простой петролейный эфир/этилацетат = 20:1), получая конечный продукт 11 (30 мг, выход: 60%), [α]D20=20,7° (с 1,03, CHCl3), 1Н ЯМР (600 МГц, CDCl3) δ 0,90 (s, 3Н), 1,04-1,09 (m, 1Н), 1,21-1,25 (m, 5Н), 1,36 (s, 3Н), 1,51-1,80 (m, 7Н), 1,94-2,18 (m, 2Н), 2,38-2,45 (m, 3Н), 4,05-4,08 (m, 1Н), 5,60-5,61 (m, 1Н); MS m/z (ИЭС) 298,2 [М+2Н-2H2O]+.

Пример 8

Биологические исследования

I. Фармакодинамический анализ

Представленное формулой (I) новое производное агарофурана согласно настоящему изобретению показало прекрасные результаты в опытах по исследованию тревожности у животных, таких как эксперимент с крысами в приподнятом крестообразном лабиринте. Активным ингредиентом, применяемым в описанном ниже фармакологическом эксперименте, является представленное формулой (I) новое производное агарофурана согласно настоящему изобретению, то есть готовый продукт примера 1 настоящего изобретения, а именно, (1R,6S,9R)6,10,10-триметил-2-(4,4,4-трифторбутил)-11-оксатрицикло[7.2.1.01,6]додец-2-ен (далее называемый соединением 2). Соединение 2 и вспомогательное вещество PVP (повидон K30) смешивали в этанольном растворе в массовом отношении 1:15, сушили в центробежной сушилке и готовили в виде препарата соединения 2 (далее соединением 2 называется только препарат, полученный из соединения 2). В качестве положительного контрольного средства использовали препарат, в котором активным ингредиентом был 4-бутил-а-агарофуран (сокращенно БАФ), причем способ получения этого препарата был идентичен способу получения препарата соединения 2, и далее аббревиатурой БАФ называется только этот препарат, полученный из БАФ. Холостым контролем был PVP. Кроме того, вводимую дозу рассчитывали, исходя из массы лекарственного сырья.

Эксперимент в приподнятом крестообразном лабиринте (ПКЛ) В этом эксперименте применяют наиболее часто используемую в исследовании анксиолитических средств модель поведения животных. Приподнятый крестообразный лабиринт состоит из открытого рукава (30×5×0,5 см) и закрытого рукава (30×8×15 см), которые перекрещены и образуют крест, и это устройство приподнято на 50 см выше уровня пола. Из-за того, что открытый рукав узок, приподнят над полом и залит ярким светом, в нем может проявляться внутренний "страх" или конфликт, а в закрытом рукаве, напротив, грызунам находиться комфортнее. Спустя 5 минут после введения препарата, мышь помещали в центр лабиринта так, чтобы морда мыши была обращена к открытому рукаву. Записывали, соответственно, количество входов в открытый рукав и закрытый рукав и время пребывания в обоих рукавах в течение периода эксперимента (обычно 5 минут). В качестве индикатора оценки тревожности рассчитывали процентную долю входов в открытый рукав от общего количества входов в рукава (суммарное количество входов в открытый рукав и закрытый рукав) и долю времени пребывания в открытом рукаве от общего времени пребывания (сумма периодов пребывания в открытом рукаве и закрытом рукаве), соответственно. В целом, полагали, что лекарственное средство оказывает анксиолитическое действие, если суммарное время пребывания в открытом рукаве увеличивается в отсутствие уменьшения количества входов в открытый рукав и закрытый рукав.

Эксперимент проводили, используя самцов мышей, полученных в Institute of Cancer Research (ICR) (коммерчески предоставленных Beijing Weitong Lihua Experimental Animal Technology Co., Ltd.), масса которых составляла 18-20 г; мышей разделяли случайным образом на 7 групп по массе, и в каждой группе было 13 мышей. До начала эксперимента проводили адаптационную тренировку захвата у мышей (grip adaptation training). Мышей не кормили в течение 12 часов перед началом эксперимента. Препараты вводили через внутрибрюшинную инъекцию. В качестве положительного контроля использовали 4-бутил-α-агарофуран (сокращенно БАФ), и в качестве холостого раствора применяли PVP. Разбиение на конкретные группы и получаемые препараты были следующими.

Во время эксперимента после внутрибрюшинной инъекции БАФ/соединения 2 каждую мышь немедленно помещали в открытый бокс для животного и позволяли свободно передвигаться в течение 5 минут; затем мышь помещали на центральную платформу приподнятого крестообразного лабиринта мордой к фиксированному открытому рукаву. Начинали эксперимент, который продолжался 5 минут и записывался с помощью камерной головки и программного обеспечения Supermaze. При проведении всех экспериментов с помощью программного обеспечения Supermaze записывали величины времени пребывания мышей в открытом рукаве и закрытом рукаве, количество входов в открытый рукав и закрытый рукав, и отношения времени и отношения частоты входов в открытый рукав и закрытый рукав. При времени ожидания входа в рукав, составляющем 0, к количеству входов добавляли 1. Результаты экспериментов представлены в Таблице 2 и на Фиг. 1-3.

Результаты экспериментов показывают, что по сравнению с БАФ испытуемое соединение 2 обладает значительным анксполитическим действием при введении внутрибрюшинно в дозах 2,4, 4,8 и 9,6 мг/кг (дозы, эквимолярные 2, 4 и 8 мг/кг БАФ). Соединение 2 имеет более высокую эффективность, чем БАФ, в низких и средних дозах, в частности, при низкой дозе, и между полученными величинами эффективности имеются статистически значимые различия.

Кроме того, в соответствии с описанной выше схемой оценивали анксиолитическую активность соединения 6 и соединения 8, соответственно. Как показано в Таблицах 3 и 4, по сравнению с группой, получавшей БАФ, время пребывания в открытом рукаве и количество входов в открытый рукав увеличивались, и статистически значимые различия наблюдались также при низкой дозе.

II. Фармакокинетический эксперимент Исследования фармакокинетики соединения 2 в плазме крови мыши после

внутрибрюшинной инъекции

1. Экспериментальный материал

Положительный контроль - препарат лекарственного средства 4-бутил-а-агарофуран (БАФ) и препарат соединения 2 вводили внутрибрюшинно в дозировке 10 мг/кг/10 мл (рассчитывали, исходя из массы лекарственного сырья); суспензию готовили ультразвуковым измельчением в дважды дистиллированной воде.

Самцы мышей ICR массой 21-24 г были приобретены у SPF (Beijing) Biotechnology Co., Ltd.

2. Методика эксперимента

1) Отбор образцов

12 мышей разделяли случайным образом на 4 группы, и в каждой группе было 3 параллельных перекрестных точки забора крови (5 точек в группах 1 и 3 и 6 точек в группах 2 и 4); препарат вводили в соответствии с массой животного, отбирая кровь из орбитального венозного сплетения, спустя 5 минут, 10 минут, 15 минут, 30 минут, 1 час, 2 часа, 4 часа, 6 часов, 8 часов, 12 часов и 24 часа после введения. В каждый момент времени забора кровь собирали в пробирки Eppendorf (ЕР), содержащие антикоагулянт гепарин, помещали на лед и центрифугировали со скоростью 8000 об./минх5 минут для отделения плазмы для дальнейшего использования.

2) Построение стандартной кривой

Отбирали 20 мкл плазмы крови мыши, которой вводили холостой раствор, и добавляли 55 мкл ацетонитрила, содержащего раствор внутреннего стандарта (200 нг/мл, лекарственное сырье - БАФ и лекарственное сырье - соединение 2 представляли собой внутренние стандарты по отношению друг к другу, то есть БАФ использовали как внутренний стандарт для соединения 2, и аналогично далее соединение 2 использовали как внутренний стандарт для БАФ, соответственно добавляли по 5 мкл рабочего метанольного раствора соединения БАФ или соединения 2 в разных концентрациях и равномерно перемешивали, так, чтобы конечные концентрации в плазме составляли 0,2, 0,5, 2, 5, 10, 25, 50, 100, 200, 500, 750 и 1000 нг/мл, соответственно; дважды проводили высокоскоростное центрифугирование при 13000 об./мин. × 5 минут, и для анализа СВЭЖХ-МС/МС (сверхэффективная жидкостная хроматография - масс-спектрометрия/масс-спектрометрия) отбирали 5 мкл жидкости над осадком.

3) Обработка образцов

Отбирали 10 мкл плазмы, для осаждения белков добавляли 30 мкл ацетонитрила, содержащего раствор внутреннего стандарта (100 нг/мл), после чего материал дважды центрифугировали с высокой скоростью при 13000 об./мин.х5 минут, и для анализа СВЭЖХ-МС/МС отбирали 5 мкл жидкости над осадком.

4) СВЭЖХ-МС/МС анализ

Хроматографическая колонка: Symmetry С8 (2,1 мм × 50 мм, 3,5 мкм), температура колонки: 25°С, подвижная фаза: ацетонитрил (0,1% муравьиной кислоты)/вода (0,1% муравьиной кислоты) = 70:30, градиентное элюирование, скорость течения: 0,2 мл/минута, обнаружение: мониторинг параллельных реакций (МПР), БАФ: m/z 263,2 → 245,2; и соединение 2: m/z 317,2→299,2.

Результаты экспериментов представлены в Таблицах 5-8 и на Фиг. 4-5. После внутрибрюшинной инъекции мыши БАФ или соединения 2 (10 мг/кг) наблюдается быстрое всасывание, которое достигает пика в течение 5-15 минут; Смах и AUC(o-t) соединения 2 составляют 150% и 142% от соответствующих параметров БАФ; наблюдается повышение действующей дозы, и среднее время пребывания (СВП)(0-1) увеличивается с 1,05 до 1,32 часа, а Т1/2 возрастает с 1,29 до 1,61 часа. Таким образом, как показано, соединение 2 имеет лучшие фармакокинетические параметры, чем БАФ.

Кроме того, описанным выше способом также оценивали фармакокинетические параметры соединений 6 и 8. Смах соединения 6 составляет 342 нг/мл, AUC(0-t) составляет 142 час-нг/мл, и Т1/2 составляет 1,39 часа. Смах соединения 8 составляет 350 нг/мл, AUC(0-t) составляет 148 час⋅нг/мл, и Т1/2 составляет 1,41 часа, что свидетельствует о том, что фармакологические свойства соединений 6 и 8 также превосходят соответствующие параметры БАФ.

Заключение

Соединение 2, соединение 6 и соединение 8 согласно настоящему изобретению проявляют анксиолитическую активность с гораздо более высокой действующей дозой и периодом полувыведения in vivo по сравнению с БАФ, что указывает на улучшенные фармакокинетические параметры. В то же время, при низких дозировках все эти соединения проявляют более высокую эффективность, что указывает на то, что эти соединения имеют более низкую эффективную дозу, что позволяет снижать вводимую клиническую дозировку.

Кроме того, в соединении, представленном общей формулой (I), R2, R3 и R4 являются участками метаболизма соединения. Когда соединение подвергается метаболизму in vivo, линейный гидрокарбилен, разветвленный гидрокарбилен или циклоалкилен С29 в положении R2 легко замещается карбонилом или гидроксилом, и R3 и R4 также легко метаболически превращаются в карбонил или гидроксил. Если линейный гидрокарбилен, разветвленный гидрокарбилен или циклоалкилен С29 в положении R2 не имеет заместителя карбонила или гидроксила, то, как показано, прототип лекарственного средства, в котором R3 и R4 представляют собой атомы водорода или атомы дейтерия, обладает активностью или улучшенной активностью in vivo, и специалисты в данной области техники могут прогнозировать, что его метаболизированная форма, замещенная карбонилом или гидроксилом, также обладает активностью или улучшенной активностью in vivo.

Возможность промышленного применения

Настоящим изобретением предоставлено соединение на основе агарофурана, способ его получения и его применения, где способ получения включает структурные модификации основных участков метаболизма, таких как алкильные боковые цепочки 4-бутил-α-агарофурана (БАФ); таким образом, получено новое соединение на основе агарофурана, имеющее более высокую активность, улучшенную эффективность и улучшенные фармакокинетические параметры, для лечения психических заболеваний, таких как тревожное расстройство.

Похожие патенты RU2836640C2

название год авторы номер документа
ФАРМАЦЕВТИЧЕСКАЯ КОМПОЗИЦИЯ, ПРОИЗВОДНЫЕ ТРИТЕРПЕНА 1996
  • Сасаки Казуе
  • Минова Нобуто
  • Нисияма Содзи
  • Кузухара Хироюки
RU2182154C2
ПРОИЗВОДНЫЕ ПИРАЗОЛАМИНОПИРИМИДИНА В КАЧЕСТВЕ МОДУЛЯТОРОВ ОБОГАЩЕННОЙ ЛЕЙЦИНОВЫМИ ПОВТОРАМИ КИНАЗЫ 2 (LRRK2) ДЛЯ ПРИМЕНЕНИЯ ПРИ ЛЕЧЕНИИ БОЛЕЗНИ ПАРКИНСОНА 2013
  • Бейкер-Гленн Чарльз
  • Чань Брайан К.
  • Дотсон Дженнафер
  • Эстрада Энтони
  • Хеффрон Тимоти
  • Лиссикатос Джозеф
  • Свини Закари Кевин
RU2637948C2
ПРОИЗВОДНЫЕ АМИНОПИРИМИДИНА В КАЧЕСТВЕ МОДУЛЯТОРОВ БОГАТОЙ ЛЕЙЦИНОМ ПОВТОРНОЙ КИНАЗЫ 2 (LRRK2) 2012
  • Бейкер-Гленн Чарльз
  • Чэмберс Марк
  • Чань Брайан К.
  • Эстрада Энтони
  • Свини Закари Кевин
RU2651544C2
ПРОИЗВОДНЫЕ β-КАРБОЛИНА, СПОСОБЫ ИХ ПОЛУЧЕНИЯ И ЛЕКАРСТВЕННОЕ СРЕДСТВО 1999
  • Фуртиллан Жан-Бернар
  • Фуртиллан Марианн
  • Жаккези Жан-Клод
  • Жуаннето Мари-Поль
  • Виоло Брюно
  • Карам Омар
RU2210571C2
КАТАЛИТИЧЕСКИЕ КОМПЛЕКСЫ С КАРБЕНОВЫМ ЛИГАНДОМ, СПОСОБ ИХ ПОЛУЧЕНИЯ И ПРИМЕНЕНИЕ В РЕАКЦИИ МЕТАТЕЗИСА 2014
  • В. К. Верпурт Франсис
  • Юй Баои
RU2644556C2
ЦИТОТОКСИЧЕСКИЕ ПРОИЗВОДНЫЕ БЕНЗОДИАЗЕПИНА 2012
  • Ли Вей
  • Миллер Майкл
  • Фишкин Нейтан
  • Чари Рави В. Дж.
RU2631498C2
СОЕДИНЕНИЯ КАРБОНОВЫХ КИСЛОТ 2013
  • Хори Сейдзи
  • Хасегава Футоси
  • Урабе Дайсукэ
  • Куребаяси Хиротака
RU2636146C2
НОВЫЕ ПРОМЕЖУТОЧНЫЕ ПРОДУКТЫ И СПОСОБ ПОЛУЧЕНИЯ ПРОИЗВОДНЫХ КАМПТОТЕЦИНА (СРТ-11) И РОДСТВЕННЫХ СОЕДИНЕНИЙ 1996
  • Кевин Е. Хенегар
  • Джон К. Сих
RU2164917C2
ФУНКЦИОНАЛИЗОВАННЫЕ СОЕДИНЕНИЯ БЕНЗОПИРАНА И ИХ ПРИМЕНЕНИЕ 2015
  • Хитон Эндрю
  • Браун Дэвид
  • Келли Грэхем
RU2676766C2
ПРОИЗВОДНЫЕ ТРИЦИКЛИЧЕСКОГО ТРИАЗОЛОБЕНЗАЗЕПИНА, СПОСОБЫ ИХ ПОЛУЧЕНИЯ, ФАРМАЦЕВТИЧЕСКАЯ КОМПОЗИЦИЯ И СПОСОБ ЛЕЧЕНИЯ АЛЛЕРГИЧЕСКИХ ЗАБОЛЕВАНИЙ, ПРОМЕЖУТОЧНЫЕ СОЕДИНЕНИЯ И СПОСОБЫ ИХ ПОЛУЧЕНИЯ 1998
  • Охтсука Йасуо
  • Нисизука Тосио
  • Сиокава Сохдзиро
  • Тсутсуми Сейдзи
  • Кавагути Мами
  • Китагава Хидео
  • Таката Хироми
  • Сисикура Такаси
  • Исикура Тойоаки
  • Фусихара Кенити
  • Окада Йумико
  • Мийамото Сатико
  • Сиобара Маки
RU2198885C2

Иллюстрации к изобретению RU 2 836 640 C2

Реферат патента 2025 года Соединение на основе агарофурана, способ его получения и его применение

Изобретение относится к соединению на основе агарофурана, имеющее структурную формулу (I): где имеется одна двойная связь, находящаяся в положении 2-3 цикла A; R1 представляет собой трифторметил; R2 представляет собой C3-C4 линейный алкилен; m означает количество групп R3, связанных с атомом углерода, находящимся в положении 4 цикла A, m=1 или 2, и если m=1, то R3 выбран из атома водорода или гидроксила; если m=2, то R3 представляет собой атом дейтерия; и R4 выбран из атома водорода, атома дейтерия или гидроксила; или имеющее структурную формулу (I-k):

где R1 и R2 являются такими, как определено выше, применению для получения лекарственного средства для профилактики и/или лечения тревожного расстройства и способу получения соединения. Технический результат: получены новые производные агарофурана, имеющие более высокую активность, улучшенный терапевтический эффект и улучшенные метаболические параметры лекарственного средства, которое применяют для лечения психических заболеваний, таких как тревожные расстройства. 3 н. и 10 з.п. ф-лы, 5 ил., 8 табл., 8 пр.

Формула изобретения RU 2 836 640 C2

1. Соединение на основе агарофурана, имеющее структурную формулу (I):

где имеется одна двойная связь, находящаяся в положении 2-3 цикла A;

R1 представляет собой трифторметил;

R2 представляет собой C3-C4 линейный алкилен;

m означает количество групп R3, связанных с атомом углерода, находящимся в положении 4 цикла A, m=1 или 2, и если m=1, то R3 выбран из атома водорода или гидроксила; если m=2, то R3 представляет собой атом дейтерия; и

R4 выбран из атома водорода, атома дейтерия или гидроксила; или

имеющее структурную формулу (I-k):

где R1 и R2 являются такими, как определено выше.

2. Соединение на основе агарофурана по п. 1, где R2 представляет собой C3 линейный алкилен.

3. Соединение на основе агарофурана по п. 1, где соединение выбрано из следующих соединений:

4. Соединение на основе агарофурана по п. 3, где соединение выбрано из следующих соединений:

, и .

5. Соединение на основе агарофурана по п. 3, где соединение имеет следующую структурную формулу:

.

6. Применение соединения на основе агарофурана по любому из пп. 1-5 или содержащей его фармацевтической композиции для получения лекарственного средства для профилактики и/или лечения тревожного расстройства.

7. Способ получения соединения на основе агарофурана по п. 1, где способ получения выбран из любого из следующих способов:

(1) если имеется одна двойная связь, находящаяся в положении 2-3 цикла A соединения на основе агарофурана, представленного общей формулой (I), m=1, и как R3, так и R4 представляют собой атомы водорода, то способ получения включает следующие этапы:

;

где

соединения, представленные формулами (I-a) и (I-b), вводят в реакцию замещения в щелочных условиях с получением соединения, представленного формулой (I-c); R1 представляет собой трифторметил; R2 представляет собой C3-C4 линейный алкилен; X представляет собой галоген;

соединение, представленное формулой (I-c), вводят в реакцию восстановления в присутствии восстановителя с получением соединения, представленного формулой (I-d); и

соединение, представленное формулой (I-d), вводят в реакцию циклизации в кислотных условиях с получением соединения, представленного формулой (I-e);

(2) если имеется одна двойная связь, находящаяся в положении 2-3 цикла A соединения на основе агарофурана, представленного общей формулой (I), m=2, и как R3, так и R4 представляют собой атом дейтерия, то способ получения включает следующие этапы:

;

где

соединения, представленные формулами (I-a) и (I-b), вводят в реакцию замещения в щелочных условиях с получением соединения, представленного формулой (I-c); R1 представляет собой трифторметил; R2 представляет собой C3-C4 линейный алкилен; X представляет собой галоген;

соединение, представленное формулой (I-c), вводят в реакцию дейтерирования дейтерированным спиртом в щелочных условиях с получением соединения, представленного формулой (I-j);

соединение, представленное формулой (I-j), вводят в реакцию восстановления в присутствии восстановителя с получением соединения, представленного формулой (I-g); и

соединение, представленное формулой (I-g), вводят в реакцию циклизации в кислотных условиях с получением соединения, представленного формулой (I-h);

(3) если соединение на основе агарофурана, представленное общей формулой (I), представляет собой соединение, имеющее формулу (I-k) , где R1 представляет собой трифторметил, и R2 представляет собой C3-C4 линейный алкилен, то способ получения включает следующие этапы: соединение, представленное формулой (I-e), в способе получения (1) вводят в реакцию окисления в присутствии окислителя, с получением соединения, представленного формулой (I-k):

;

(4) если в цикле A соединения на основе агарофурана, представленного общей формулой (I), имеется одна двойная связь, m=1, R3 представляет собой гидроксил, и R4 представляет собой водород, то способ получения включает следующие этапы: соединение, представленное формулой (I-k) в способе получения (3), вводят в реакцию восстановления в присутствии восстановителя с получением соединения, представленного формулой (I-m):

.

8. Способ получения по п. 7, где в способе получения (1) Х представляет собой бром.

9. Способ получения по п. 7, где в способе получения (2) Х представляет собой бром.

10. Способ получения по п. 7, где R2 представляет собой C3 линейный алкилен.

11. Способ получения по п. 7, где R1 и R2 выбраны из любой из следующих комбинаций:

1) R1 = -CF3, R2 = -CH2CH2CH2-

2) R1 = -CF3, R2 = -CH2CH2CH2CH2-.

12. Способ получения по п. 7, где реагент для создания щелочных условий включает неорганическое основание, и неорганическое основание включает одно или более из следующих веществ: гидрид натрия, гидроксид натрия, гидроксид калия, трет-бутилат натрия, и трет-бутилат калия;

и/или восстановитель включает одно или более из следующих веществ: боргидрид натрия, боргидрид калия и алюмогидрид лития;

и/или реагент для создания кислотных условий включает одно или более из следующих веществ: трифторуксусную кислоту, соляную кислоту, серную кислоту, фосфорную кислоту и пара-толуолсульфоновую кислоту;

и/или окислитель в реакции окисления включает одно или более из следующих веществ: кислород, пероксид водорода, пероксид и реактив Сарретта.

13. Способ получения по п. 7, где растворители, применяемые в способе (1) получения, включают:

на этапе 1: один или более из следующих: метанол, этанол, изопропанол и трет-бутанол;

на этапе 2: один или более из следующих: простой эфир и тетрагидрофуран; и

на этапе 3: один или более из следующих: н-гексан и простой петролейный эфир;

и/или растворители, применяемые в способе (2) получения, включают:

на этапе 1: один или более из следующих: метанол, этанол, изопропанол и трет-бутанол;

на этапе 2: один или более из следующих: дейтерированный метанол и дейтерированный этанол;

на этапе 3: один или более из следующих: простой эфир и тетрагидрофуран; и

на этапе 4: один или более из следующих: н-гексан и простой петролейный эфир;

и/или растворитель, применяемый в способе (3) получения, включает одно или более из следующих веществ: дихлорметан, толуол, бензол и пиридин;

и/или растворитель, применяемый в способе (4) получения, включает одно или более из следующих веществ: этанол, метанол и простой эфир.

Документы, цитированные в отчете о поиске Патент 2025 года RU2836640C2

EP 1132383 B1, 26.05.2010
EP 3611170 A1, 19.02.2020
CN 1322525 A, 21.11.2001
СПОСОБ ПОЛУЧЕНИЯ ПРОИЗВОДНЫХ ЗАМЕЩЕННОГО БЕНЗОФУРАНА ИЛИ ИХ ФАРМАЦЕВТИЧЕСКИ ПРИЕМЛЕМЫХ СОЛЕЙ 1993
  • Анджело Бедески[It]
  • Вальтер Кабри[It]
  • Илариа Кандиани[It]
  • Сильвия Де Бернардинис[It]
  • Марчелло Марчи[It]
RU2098415C1

RU 2 836 640 C2

Авторы

Чэн Сян

Даты

2025-03-18Публикация

2022-03-14Подача