ЗАЯВЛЕНИЕ ПРИОРИТЕТА
В данной заявке заявлен приоритет по предварительной заявке на патент США с серийным номером 62/788049, поданной 3 января 2019 года, а также по предварительной заявке на патент США с серийным номером 62/879374, поданной 26 июля 2019 года, полное содержание которых включено в данный документ посредством ссылки.
НАУЧНО-ИССЛЕДОВАТЕЛЬСКИЕ РАБОТЫ, ФИНАНСИРУЕМЫЫЕ ИЗ ФЕДЕРАЛЬНОГО БЮДЖЕТА
Данное изобретение сделано при государственной поддержке по грантам номер 1R35HL139860 и 1R01HL142777, присужденным Национальным институтом здравоохранения (NIH). Государство имеет определенные права на данное изобретение.
ОБЛАСТЬ ТЕХНИКИ
Данный документ относится к способам и материалам для повышения уровней полипептида фактора транскрипции EB (TFEB). Например, в данном документе предложены соединения (например, органические соединения), обладающие способностью повышать уровни полипептида TFEB в клетках, лекарственные формы, содержащие соединения, обладающие способностью повышать уровни полипептида TFEB, способы получения соединений, обладающих способностью повышать уровни полипептида TFEB в клетках, способы повышения уровней полипептида TFEB в клетках и способы лечения млекопитающих (например, людей), страдающих от патологического состояния, восприимчивого к повышению уровней полипептида TFEB.
УРОВЕНЬ ТЕХНИКИ
Лизосомы представляют собой связанные с мембраной клеточные органеллы, которые содержат различные расщепляющие ферменты, отвечающие за метаболизм и разложение различных биомолекул, таких как белки, липиды и нуклеиновые кислоты, которые являются поврежденными или уже не нужными для клетки. В отсутствие функциональных лизосом нерасщепленные молекулы быстро накапливаются в лизосоме и затем в цитоплазме, что приводит к клеточному повреждению и является одной из причин многих патологических состояний.
TFEB является важным фактором транскрипции, который регулирует экспрессию сотен генов, контролирующих аутофагию, биогенез лизосом и липолиз (Sardiello et al., Science, 325(5939):473-7 (2009); и Wang et al., Nat. Commun., 8:2270 (2017)). При транслокации TFEB из цитоплазмы клетки в ядро, он активирует экспрессию своих генов-мишеней, что, как было показано, индуцирует лизосомный биогенез и усиливает распад сложных молекул, включая гликозаминогликаны и патогенные белковые агрегаты, такие как те, которые участвуют в болезни Хантингтона, болезни Паркинсона и болезни Альцгеймера (Sardiello et al., Science, 325(5939):473-7 (2009); and Napolitano et al., J. Cell Sci., 129:2475-2481 (2016)). Было показано, что некоторые низкомолекулярные активаторы TFEB могут быть пригодны для лечения метаболических и возрастных расстройств (Wang et al., Nat. Commun., 8:2270 (2017)).
СУЩНОСТЬ ИЗОБРЕТЕНИЯ
В данном документе предложены способы и материалы для повышения уровней полипептида TFEB. Например, в данном документе предложены соединения (например, органические соединения), обладающие способностью повышать уровни полипептида TFEB в клетках, лекарственные формы, содержащие соединения, обладающие способностью повышать уровни полипептида TFEB, способы получения соединений, обладающих способностью повышать уровни полипептида TFEB в клетках, способы получения лекарственных форм, содержащих соединения, обладающие способностью повышать уровни полипептида TFEB в клетках, способы повышения уровней полипептида TFEB в клетках и способы лечения млекопитающих (например, людей), страдающих от патологического состояния, восприимчивого к повышению уровней полипептида TFEB. В данном документе также предложены соединения (например, органические соединения), обладающие способностью повышать уровни полипептида TFEB в ядрах клеток, лекарственные формы, содержащие соединения, обладающие способностью повышать уровни полипептида TFEB, способы получения соединений, обладающих способностью повышать уровни полипептида TFEB в ядрах клеток, способы получения лекарственных форм, содержащих соединения, обладающие способностью повышать уровни полипептида TFEB в ядрах клеток, способы повышения уровней полипептида TFEB в ядрах клеток и способы лечения млекопитающих (например, людей), страдающих от патологического состояния, восприимчивого к повышению уровней полипептида TFEB в ядрах клеток.
Как описано в данном документе, предложенные соединения могут быть использованы для повышения уровней полипептида TFEB в клетках in vitro или in vivo и/или в ядрах клеток in vitro или in vivo. Например, соединения, предложенные в данном документе, могут быть использованы для повышения ядерных полипептидных уровней эндогенно вырабатываемого полипептида TFEB в клетках млекопитающего (например, человека). Кроме того, соединения, предложенные в данном документе, могут быть использованы для лечения млекопитающих (например, людей), страдающих от заболевания, расстройства или патологического состояния, связанного с низким клеточным и/или ядерным уровнем полипептидов TFEB. В некоторых случаях соединения, предложенные в данном документе, могут быть использованы для лечения млекопитающих (например, людей), страдающих от заболевания, расстройства или патологического состояния, восприимчивого к увеличению уровней полипептида TFEB в клетках и/или в ядрах клеток.
В некоторых вариантах реализации данного документа предложен способ повышения уровней полипептида TFEB в клетке и/или в ядре клетки. Предложенный способ включает (или состоит по существу, или состоит) введение млекопитающему (например, человеку), содержащему указанную клетку, соединения формулы (I):
(I),
или его фармацевтически приемлемой соли, где X1, X2, X3, X4, X5, X6, RA, RB, L и n являются такими, как описано в данном документе. В некоторых случаях стадия введения может приводить к увеличению уровня полипептида TFEB в ядре клетки, по сравнению с уровнем полипептида TFEB в ядре клетки до стадии введения.
В некоторых вариантах реализации данного документа предложен способ лечения заболевания, расстройства или патологического состояния, выбранного из группы, состоящей из болезней лизосомального накопления (LSD), острых или хронических воспалительных расстройств, неврологических заболеваний и патологических состояний возрастного ухудшения функциональных способностей у млекопитающих (например, человека). Предложенный способ включает (или состоит по существу, или состоит) введение млекопитающему (например, человеку), страдающему от указанного заболевания, расстройства или патологического состояния, соединения формулы (I):
(I),
или его фармацевтически приемлемой соли, где X1, X2, X3, X4, X5, X6, RA, RB, L и n являются такими, как описано в данном документе. В некоторых вариантах реализации стадия введения может снижать тяжесть симптома заболевания, расстройства или патологического состояния. В некоторых случаях стадия введения может приводить к увеличению уровня полипептида TFEB в ядре клетки млекопитающего, по сравнению с уровнем полипептида TFEB в ядре клетки до стадии введения.
В некоторых вариантах реализации данного документа предложено соединение формулы (IIа):
(IIa),
или его фармацевтически приемлемая соль, где X1, X2, X3, X4, X5, X6, RA, RB и Y являются такими, как описано в данном документе.
В некоторых вариантах реализации данного документа предложено соединение формулы (IIb):
(IIb),
или его фармацевтически приемлемая соль, где X1, X2, X3, X4, X5, X6, RC, RB, L и n являются такими, как описано в данном документе.
В некоторых вариантах реализации данного документа предложено соединение, выбранное из любой из следующих формул:
(IIc);
(IId);
(IIe);
(IIf);
(IIg);
(IIh) и
(IIi),
или его фармацевтически приемлемая соль, где R1, R2, R3, R4, R5, R6, RA, RB, L и n являются такими, как описано в данном документе.
В некоторых вариантах реализации данного документа предложено соединение формулы (III):
(III),
или его фармацевтически приемлемая соль, где R1, R2, R3, R4, R5 и R6 являются такими, как описано в данном документе.
В некоторых вариантах реализации данного документа предложена фармацевтическая композиция, содержащая любое из соединений, описанных в данном документе (или его фармацевтически приемлемую соль) и фармацевтически приемлемый носитель.
В некоторых вариантах реализации данного документа предложен способ повышения уровней полипептида TFEB в клетке и/или в ядре клетки. Предложенный способ включает (или состоит по существу, или состоит) введение млекопитающему (например, человеку), содержащему указанную клетку, терапевтически эффективного количества любого одного или более соединений, описанных в данном документе (или одной или более их фармацевтически приемлемых солей).
В некоторых вариантах реализации данного документа предложен способ лечения заболевания, расстройства или патологического состояния, выбранного из группы, состоящей из болезней лизосомального накопления (LSD), острых или хронических воспалительных расстройств, неврологических заболеваний и патологических состояний возрастного ухудшения функциональных способностей у млекопитающих (например, человека), а также врожденных или приобретенных мышечных заболеваний. Предложенный способ включает (или состоит по существу, или состоит) введение млекопитающему (например, человеку), страдающему от указанного заболевания, расстройства или патологического состояния, терапевтически эффективного количества любого одного или более соединений, описанных в данном документе (или одной или более их фармацевтически приемлемых солей).
В некоторых вариантах реализации данного документа предложен способ лечения заболевания, расстройства или патологического состояния, выбранного из группы, состоящей из болезней лизосомального накопления (LSD), острых или хронических воспалительных расстройств, неврологических заболеваний и патологических состояний возрастного ухудшения функциональных способностей у млекопитающих (например, человека). Предложенный способ включает (или состоит по существу, или состоит) введение млекопитающему (например, человеку), страдающему от указанного заболевания, расстройства или патологического состояния, терапевтически эффективного количества любого одного или более соединений, описанных в данном документе (или одной или более их фармацевтически приемлемых солей).
Если не указано иное, все технические и научные термины, использованные в данном документе, имеют то же значение, которое обычно подразумевается специалистом в той области техники, к которой относится данная заявка. Способы и материалы описаны в данном документе в контексте применения по данной заявке; можно использовать также другие пригодные способы и материалы, известные в данной области техники. Материалы, способы и примеры являются лишь иллюстративными и не предназначены для ограничения. Все публикации, патентные заявки, патенты, последовательности, номера доступа в базах данных и другие ссылки, упомянутые в данном документе, включены в данный документ посредством ссылки в полном объеме. В случае противоречий следует руководствоваться данным описанием, включая определения.
Другие признаки и преимущества данной заявки станут понятны из следующего подробного описания и графических материалов, а также из формулы изобретения.
ОПИСАНИЕ ГРАФИЧЕСКИХ МАТЕРИАЛОВ
Фиг. 1. Аминокислотная последовательность человеческого полипептида TFEB (SEQ ID NO:1).
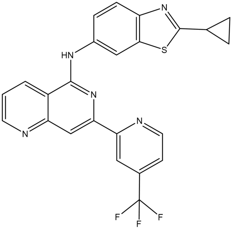
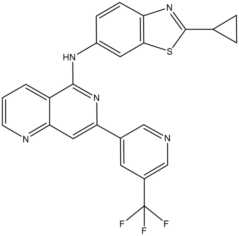
Фиг. 2A-C. BC1753 повышает уровни полипептида TFEB. A. Представлена структура BC1753. B. Клетки MLE12, стабильно экспрессирующие TFEB-EGFP, обрабатывали указанными количествами BC1753 в течение 24 часов, затем проводили иммуноблоттинг для обнаружения TFEB-GFP и β-актина. C. Клетки MLE12, стабильно экспрессирующие TFEB-EGFP, обрабатывали указанными количествами BC1753 в течение 24 часов с последующей визуализацией с помощью конфокальной микроскопии (масштабный отрезок=10 мкм).
Фиг. 3. Многопараметрический скрининговый анализ (384 лунки) для измерения накопления TFEB в ядрах. Около 2500 первичных и иммортализованных клеток бронхиального эпителия человека (BEAS-2B), стабильно экспрессирующих TFEB-EGFP, в 25 мкл среды HITE с 10% FBS распределяли в 384-луночном планшете (черный со стеклянным дном) и инкубировали в течение 8 часов. Серийные разбавления соединений (среда DMEM с низким содержанием глюкозы с 2% FBS, объем 25 мкл) получали с помощью роботизированного жидкостного манипулятора. Затем растворы соединений добавляли на планшет с клетками и инкубировали в течение 18 часов. Затем клетки фиксировали с помощью 4% PFA, затем окрашивали с помощью DAPI. Локализацию TFEB визуализировали на GFP-канале вместе с сигналом DAPI, используя многопараметрическое устройство формирования изображений Cytation 5. Изображения обрабатывали с помощью программного обеспечения Biotek Gen5; в частности, сигнал DAPI использовали в качестве первичной маски для количественного измерения сигнала ядерного TFEB-GFP. Сигнал цитозольного TFEB-GFP количественно измеряли посредством расширения первичной маски. Рассчитывали соотношение ядерного/цитозольного TFEB на основании отношения сигнала ядерного TFEB-GFP к сигналу цитозольного TFEB-GFP, которое определяет эффективность соединения. В таблице указана эффективность соединения (при увеличении концентраций соединения) по увеличению соотношения ядерного/цитозольного TFEB. Активности соединений (мкМ) определяли по минимальной концентрации соединения, необходимой для увеличения отношения ядерного/цитозольного TFEB на 25%. Активность: «-» означает > 25 мкМ; «+» означает от≤25 мкМ до >10 мкМ; «++» означает от≤10 мкМ до > 1 мкМ; и «+++» означает≤1 мкМ. N=4.
Фиг. 4A-B. Соединение 178 (BC1834) и соединение 160 (BC 18200) увеличивают количество лизосом. A. Клетки Beas2B обрабатывали соединением 178, соединением 160 или ингибитором GSK3b TWS119 (1 мкМ в течение 18 часов). Затем клетки визуализировали под световым микроскопом. B. Клетки Beas2B обрабатывали соединением 178 в течение 18 часов при указанных концентрациях. Затем клетки окрашивали лизотрекером красным (100 нМ) в течение 30 минут. Затем клетки промывали и визуализировали с помощью конфокальной микроскопии.
Фиг. 5A-B. Соединение 133 и соединение 115 увеличивают экспрессию и секрецию лизосомального белка. A. Клетки Beas2B обрабатывали соединением 133 при 10 мкМ в течение 24 часов. Затем клетки собирали и анализировали на экспрессию гена лизосомального белка. B. Клетки Beas2B обрабатывали соединением 115 при указанных концентрациях в течение 18 часов. Затем измеряли активность секретируемой β-гексозаминидазы (лизосомный фермент) и нормализовали по активности клеточной β-гексозаминидазы.
Фиг. 6A-B. Соединение 178 снижает экспрессию гена Хантингтина. A-B. Клетки SH5Y, стабильно трансфицированные GFP-72Q (Хантингтином), обрабатывали указанными количествами соединения 178 в течение 24 часов. Затем клетки визуализировали с помощью конфокального микроскопа или собирали и анализировали на экспрессию белка с использованием иммуноблоттинга GFP-Хантингтина.
Фиг. 7. Соединение 15 увеличивает лизосомальную активность в печени. Самкам мышей C57BL6 внутрибрюшинно (i.p.) вводили соединение 15 (50 мг/кг/сутки) в течение 4 дней. Затем мышам внутривенно (i.v.) вводили декстрановый синий. Через 24 часа мышей усыпляли, удаляли печень и визуализировали ее с помощью конфокальной микроскопии. Белый флуоресцентный сигнал указывает на декстрановый синий в лизосомах и обеспечивает возможность измерения количества и активности лизосом в ткани печени (верхние блоки). В другом эксперименте гистологические препараты из печени, полученные в вышеописанном эксперименте, подвергали иммуноокрашиванию антителом Lamp2 (нижние блоки) и выявляли усиленные сигналы при обработке соединением 15. Масштабный отрезок: 50 микрон.
ПОДРОБНОЕ ОПИСАНИЕ
В данном документе предложены способы и материалы для повышения уровней полипептида TFEB. Например, в данном документе предложены терапевтические соединения (например, терапевтические органические соединения), обладающие способностью повышать уровни полипептида TFEB в клетках, лекарственные формы, содержащие терапевтические соединения, обладающие способностью повышать уровни полипептида TFEB, способы получения терапевтических соединений, обладающих способностью повышать уровни полипептида TFEB в клетках, способы получения лекарственных форм, содержащих терапевтические соединения, обладающие способностью повышать уровни полипептида TFEB в клетках, способы повышения уровней полипептида TFEB в клетках и способы лечения млекопитающих (например, людей), страдающих от патологического состояния, восприимчивого к повышению уровней полипептида TFEB. В данном документе также предложены терапевтические соединения (например, органические соединения), обладающие способностью повышать уровни полипептида TFEB в ядрах клеток, лекарственные формы, содержащие терапевтические соединения, обладающие способностью повышать уровни полипептида TFEB, способы получения терапевтических соединений, обладающих способностью повышать уровни полипептида TFEB в ядрах клеток, способы получения лекарственных форм, содержащих терапевтические соединения, обладающие способностью повышать уровни полипептида TFEB в ядрах клеток, способы повышения уровней полипептида TFEB в ядрах клеток и способы лечения млекопитающих (например, людей), страдающих от патологического состояния, восприимчивого к повышению уровней полипептида TFEB в ядрах клеток.
Способы лечения
Лизосома представляет собой это отдел внутри клетки, который отвечает за разложение поврежденных белков и органелл (например, митохондрий). Внутри лизосомы поддерживается очень кислый pH, и существует множество расщепляющих ферментов, которые могут эффективно разрушать органеллы и различные биомолекулы, такие как белки, липиды и нуклеиновые кислоты, которые либо повреждены, либо больше не нужны клетке. Доставка поврежденного содержимого в лизосому может происходить множеством способов, но один из способов, которым поврежденный груз попадает в лизосому, является процесс макроаутофагии (в данном контексте «аутофагия»). В этом случае происходит оборачивание поврежденных биомолекул и органелл двойной мембранной структурой, известной как аутофагосома, которая затем сливается с лизосомой. Этот процесс отвечает за поддержание гомеостаза клеток и тканей. В отсутствие аутофагического потока и функциональных лизосом в клетке накапливаются поврежденные биомолекулы и органеллы. Такие поврежденные и нефункциональные компоненты могут способствовать дальнейшему повреждению. Нарушение этой системы обычно приводит к ряду патологических состояний. При редких наследственных состояниях, называемых болезнями лизосомального накопления (LSD), ребенок часто наследует две копии дефектного лизосомального фермента. LSDs представляют собой совокупность примерно 50 различных наследственных состояний, которые делают лизосомы пациента неспособными к метаболизму определенной молекулы, которую обычно расщепляет недостающий фермент. Такой недостаток приводит к тому, что неразрушенные молекулы накапливаются в лизосоме, а лизосома сильно набухает. По мере того как лизосома увеличивается в размерах и заполняется не разложившимся материалом, она в конечном итоге становится дисфункциональной не только для разрушения конкретной молекулы, обычно расщепляемой отсутствующим ферментом, но и в отношении ее способности к рециркуляции в целом. Несмотря на то, что в последнее время стал доступен ряд заместительных терапий для конкретных заболеваний, при которых ребенку возвращают «недостающий» фермент для частичной компенсации унаследованного дефекта, при многих болезнях лизосомального накопления в настоящее время нет заместительной терапии. Более того, даже когда существуют заместительные способы лечения, такие способы лечения на основе белков часто имеют лишь умеренный успех, поскольку они часто не могут обеспечивать лечение патологического состояния в центральной нервной системе (вследствие гематоэнцефалического барьера) или проникать в определенные типы клеток. Помимо LSD, известно, что описанный процесс аутофагии и лизосомальной деградации естественным образом замедляется с возрастом. Естественным следствием этого является возрастное накопление поврежденного содержимого в клетках и тканях. Это может быть вредным и способствовать развитию ряда возрастных заболеваний. Усиление аутофагии и лизосомной функции, как описано в данном документе, может быть использовано для устранения такого нарушения. В других обстоятельствах может быть целесообразным стимулирование аутофагии и лизосомальной функции. Сюда входят метаболические состояния (например, неалкогольный стеатогепатит (NASH) или ожирение печени), нейродегенеративные состояния (например, болезнь Паркинсона, ALS, болезнь Альцгеймера и болезнь Хантингтона), ряд других общих возрастных состояний (например, дегенерация желтого пятна, саркопения и слабость), не неврологические нарушения агрегации белков (например, б-1-антитрипсина, амилоидоз и пигментный ретинит) или в условиях ослабленного иммунитета (например, помощь в удалении микробиологических патогенов, включая внутриклеточные патогены, такие как туберкулезные микобактерии, или при состояниях, характеризующихся хронической бактериальной колонизацией, таких как кистозный фиброз).
TFEB является главным регулятором биогенеза лизосом. Повышение уровней полипептида TFEB в клетках и/или в ядре клеток с применением соединения, предложенного в данном документе (например, соединения, представленного формулой (I), (IIa-IIi) или (III), или его фармацевтически приемлемой соли) как описано в данном документе, может обеспечивать одно или несколько преимуществ для клетки и/или млекопитающего. Например, повышение уровней полипептида TFEB в клетках и/или в ядре клеток с применением соединения, предложенного в данном документе (например, соединения, представленного формулой (I), (IIa-IIi) или (III), или его фармацевтически приемлемой соли) как описано в данном документе, может обеспечивать увеличение количества лизосом в клетках и/или усиление лизосомальной функции в клетках. В некоторых случаях повышение уровней полипептида TFEB в клетках и/или в ядре клеток с помощью соединения, предложенного в данном документе (например, соединения, представленного формулой (I), (IIa-IIi) или (III), или фармацевтически его приемлемой соли), как описано в данном документе, может обеспечивать (а) повышение уровня лизосомного экзоцитоза (процесс выделения содержимого лизосомы из клетки в сыворотку), (b) транскрипционное увеличение множества факторов, регулирующих аутофагию, и/или (c) скоординированное увеличение способности к рециклингу внутри клетки и удаление внутриклеточного дебриса (например, повышение аутофагии, количества лизосом и лизосомального экзоцитоза). В некоторых случаях повышение уровней полипептида TFEB в клетках и/или в ядре клеток с помощью соединения, предложенного в данном документе (например, соединения, представленного формулой (I), (IIa-IIi) или (III), или фармацевтически его приемлемой соли), как описано в данном документе, может обеспечивать уменьшение одного или нескольких симптомов, связанных с LSD, дефицитом б-1-антитрипсина, нейродегенеративным заболеванием (например, болезнью Альцгеймера, болезнью Паркинсона, ALS или болезнью Хантингтона), метаболическим заболеванием (например, NASH) или возрастным состоянием (например, саркопенией).
В некоторых случаях в данном документе предложены способы увеличения уровней полипептида TFEB в клетках и/или в ядре клеток посредством приведения в контакт клетки с одним или более соединениями, представленными в данном документе (например, с соединением, представленным формулой (I), (IIa-IIi) или (III), или его фармацевтически приемлемой солью). Увеличение уровней полипептида TFEB можно сравнивать с уровнями полипептида TFEB до стадии приведения в контакт. В некоторых случаях способы увеличения уровней полипептида TFEB в клетках и/или в ядре клеток могут быть осуществлены in vivo. Например, одно или более соединений, предложенных в данном документе (например, соединение, представленное формулой (I), (IIa-IIi) или (III), или его фармацевтически приемлемую соль), можно вводить млекопитающему (например, человеку) для увеличения уровней полипептида TFEB в клетках и/или в ядре клеток указанного млекопитающего. В некоторых случаях способы увеличения уровней полипептида TFEB в клетках и/или в ядре клеток могут быть осуществлены in vitro. Например, одно или более соединений, предложенных в данном документе (например, соединение, представленное формулой (I), (IIa-IIi) или (III), или его фармацевтически приемлемую соль), можно добавлять в клеточную культуру, содержащую клетки (например, клетки человека), для увеличения уровней полипептида TFEB в клетках и/или в ядре указанных клеток. В некоторых случаях такое вмешательство может обеспечивать улучшение качества клетки, пока она находится в культуре, или позже. В некоторых случаях одно или более соединений, предложенных в данном документе, можно использовать во время ex vivo размножения генно-инженерных T-клеток (например, T-клеток CAR) или инфильтрующих опухоль T-клеток (например, TIL) для того, чтобы обработанные T-клетки проявляли улучшенную in vivo стойкость и/или эффективность. Ряд других клеточных продуктов, которые в конечном итоге должны быть введены млекопитающему (например, человеку), можно обрабатывать, как описано в данном документе, во время их размножения in vitro.
В некоторых случаях в данном документе предложены способы усиления лизосомального экзоцитоза в клетке посредством приведения в контакт клетки с одним или более соединениями, представленными в данном документе (например, с соединением, представленным формулой (I), (IIa- IIi) или (III), или его фармацевтически приемлемой солью). Усиление лизосомального экзоцитоза можно сравнивать с уровнем лизосомального экзоцитоза до стадии приведения в контакт. В некоторых случаях способы усиления лизосомального экзоцитоза в клетке можно осуществлять in vivo. Например, одно или более соединений, предложенных в данном документе (например, соединение, представленное формулой (I), (IIa-IIi) или (III), или его фармацевтически приемлемую соль), можно вводить млекопитающему (например, человеку) для усиления лизосомального экзоцитоза в клетке, которая находится в организме указанного млекопитающего. В некоторых случаях, затрагивающих LSD, одно или более соединений, предложенных в настоящем документе, можно вводить млекопитающему, страдающему от LSD, что обеспечивает высвобождение накопленного нерасщепленного лизосомального материала посредством экзоцитоза из пораженной клетки, ткани и/или органа. В некоторых случаях способы усиления лизосомального экзоцитоза в клетке можно осуществлять in vitro. Например, одно или более соединений, предложенных в данном документе (например, соединение, представленное формулой (I), (IIa-IIi) или (III), или его фармацевтически приемлемую соль), можно добавлять в клеточную культуру, содержащую клетки (например, клетки человека), для усиления лизосомального экзоцитоза в указанных клетках.
В некоторых случаях в данном документе предложены способы усиления клеточной аутофагии в клетке посредством приведения в контакт клетки с одним или более соединениями, представленными в данном документе (например, с соединением, представленным формулой (I), (IIa- IIi) или (III), или его фармацевтически приемлемой солью). Усиление клеточной аутофагии можно сравнивать с уровнем клеточной аутофагии до стадии приведения в контакт. В некоторых случаях способы усиления клеточной аутофагии в клетке можно осуществлять in vivo. Например, одно или более соединений, предложенных в данном документе (например, соединение, представленное формулой (I), (IIa-IIi) или (III), или его фармацевтически приемлемую соль), можно вводить млекопитающему (например, человеку) для усиления клеточной аутофагии в клетке, которая находится в организме указанного млекопитающего. В некоторых случаях способы усиления клеточной аутофагии в клетке можно осуществлять in vitro. Например, одно или более соединений, предложенных в данном документе (например, соединение, представленное формулой (I), (IIa-IIi) или (III), или его фармацевтически приемлемую соль), можно добавлять в клеточную культуру, содержащую клетки (например, клетки человека), для усиления клеточной аутофагии в указанных клетках.
В некоторых случаях в данном документе предложены способы повышения ядерной локализации полипептидов TFEB в клетке посредством приведения в контакт клетки с одним или более соединениями, представленными в данном документе (например, с соединением, представленным формулой (I), (IIa- IIi) или (III), или его фармацевтически приемлемой солью). Повышение ядерной локализации полипептидов TFEB можно сравнивать с уровнем ядерной локализации полипептидов TFEB до стадии приведения в контакт. В некоторых случаях способы повышения ядерной локализации полипептидов TFEB в клетке можно осуществлять in vivo. Например, одно или более соединений, предложенных в данном документе (например, соединение, представленное формулой (I), (IIa-IIi) или (III), или его фармацевтически приемлемую соль), можно вводить млекопитающему (например, человеку) для повышения ядерной локализации полипептидов TFEB в клетке, которая находится в организме указанного млекопитающего. В некоторых случаях способы повышения ядерной локализации полипептидов TFEB в клетке можно осуществлять in vitro. Например, одно или более соединений, предложенных в данном документе (например, соединение, представленное формулой (I), (IIa-IIi) или (III), или его фармацевтически приемлемую соль), можно добавлять в клеточную культуру, содержащую клетки (например, клетки человека), для повышения ядерной локализации полипептидов TFEB в указанных клетках.
В данном документе также предложены способы лечения заболеваний, расстройств и патологических состояний у млекопитающего посредством введения одного или более соединений, представленных в данном документе (например, соединения, представленного формулой (I), (IIa-IIi) или (III), или его фармацевтически приемлемой соли), млекопитающему, нуждающемуся в этом. В некоторых случаях заболевание, расстройство или патологическое состояние, подлежащее лечению, может представлять собой заболевание, расстройство или патологическое состояние, восприимчивое к повышению уровней полипептидов TFEB в клетках и/или в ядре клеток в организме млекопитающего. В некоторых случаях заболевание, расстройство или патологическое состояние, подлежащее лечению, может представлять собой заболевание, расстройство или патологическое состояние, связанное с низким уровнем полипептидов TFEB в клетках и/или в ядре клеток в организме млекопитающего. Примеры заболеваний, расстройств и патологических состояний, которые можно лечить одним или более соединениями, предложенными в данном документе (например, соединением, представленным формулой (I), (IIa-IIi) или (III), или его фармацевтически приемлемой солью), как описано в данном документе, включают, без ограничения, заболевания лизосомального накопления, острые и хронические воспалительные расстройства, состояния, связанные с возрастным ухудшением функциональных способностей, острую или хроническую недостаточность органа (например, нарушение функции почек, легких, сердца или печени), расстройства агрегации белков, нейродегенеративные состояния и врожденные или приобретенные мышечные заболевания. Примеры заболеваний, расстройств и патологических состояний, которые можно лечить одним или более соединениями, предложенными в данном документе (например, соединением, представленным формулой (I), (IIa-IIi) или (III), или его фармацевтически приемлемой солью), как описано в данном документе, включают, без ограничения, заболевания лизосомального накопления, острые и хронические воспалительные расстройства, состояния, связанные с возрастным ухудшением функциональных способностей, острую или хроническую недостаточность органа (например, нарушение функции почек, легких, сердца или печени), расстройства агрегации белков и нейродегенеративные состояния.
Примеры заболеваний лизосомального накопления, которые можно лечить одним или более соединениями, предложенными в данном документе (например, соединением, представленным формулой (I), (IIa-IIi) или (III), или его фармацевтически приемлемой солью), как описано в данном документе, включают, без ограничения, болезнь Краббе, синдром Санфилиппо, множественную сульфатазную недостаточность, альфа-маннозидоз, болезнь Фабри, синдром Хантера, синдром Шейе, синдром Санфилиппо, синдром Марото-Лами, дефицит гиалуронидазы, сиалидоз, дефицит муколипидина 1, нейрональный цероидный липофусциноз (болезнь Баттена), мукополисахаридозы типа I, II, III, IV, VI, VII и IX, синдром Гурлера-Шейе, синдром Моркио, гликопротеиноз, болезнь накопления гликогена, метахроматическую лейкодистрофию, синдром Слая, I-клеточную болезнь, болезнь Данона, болезнь Ниманна-Пика типа A, B, C1 и C2, болезнь Сандхоффа, дефицит лизосомной кислой липазы, ганглиозидоз GM2, болезнь Тея-Сакса, болезнь Гоше, болезнь Салла, болезнь Помпе, болезнь Данона, болезнь накопления эфиров холестерина, аспартилглюкозаминурию, цистиноз, муколипидоз типа I-IV, болезнь Шиндлера типа I и II, болезнь Вольмана, фукозидоз, пикнодизостоз и болезнь накопления свободной сиаловой кислоты.
Примеры острых или хронических воспалительных расстройств, которые можно лечить одним или более соединениями, предложенными в данном документе (например, соединением, представленным формулой (I), (IIa-IIi) или (III), или его фармацевтически приемлемой солью), как описанные в данном документе, включают, без ограничения, астму, хроническую обструктивную болезнь легких, легочный фиброз, пневмонит (например, пневмонит гиперчувствительности или лучевой пневмонит), пневмонию, кистозный фиброз, псориаз, артрит/ревматоидный артрит, ринит, фарингит, цистит, простатит, дерматит, аллергию, включая сенную лихорадку, нефрит, конъюнктивит, энцефалит, менингит, офтальмит, увеит, плеврит, перикардит, миокардит, атеросклероз, воспаление, связанное с вирусом иммунодефицита человека, диабет, остеоартрит, псориатический артрит, воспалительную болезнь кишечника (например, болезнь Крона или язвенный колит), колит, сепсис, васкулит, бурсит, заболевание соединительной ткани, аутоиммунные заболевания (например, системную красную волчанку (SLE)), ревматическую полимиалгию, склеродермию, гранулематоз Вегенера, височный артериит, васкулит, криоглобулинемию, рассеянный склероз, вирусное или вызванное гриппом воспаление, хроническую бактериальную колонизацию или стойкий внутриклеточный патоген, а также нарушение реакции на антигенную провокацию или введение вакцин.
Примеры патологических состояний, связанных с возрастным ухудшением функциональных способностей, которые можно лечить одним или более соединениями, предложенными в данном документе (например, соединением, представленным формулой (I), (IIa-IIi) или (III), или фармацевтически приемлемой солью), как описано в данном документе, включают, без ограничения, нейродегенеративные заболевания (например, болезнь Альцгеймера, ALS, болезнь Хантингтона, болезнь Паркинсона, первичную возрастную таупатию, прогрессирующий надъядерный паралич, хроническую травматическую энцефалопатию, острое или хроническое травматическое повреждение головного мозга и лобно-височную деменцию), метаболические заболевания (например, NASH), метаболический синдром, диабет, саркопению, слабость, дегенерацию желтого пятна, другие наследственные или приобретенные дегенеративные заболевания сетчатки, возрастную потерю слуха, раннее снижение когнитивных функций, остеопороз, острую или возрастную дисфункцию органов (например, сердечную и/или почечную дисфункцию), возрастную иммунную дисфункцию (например, нарушение ответа на вакцинацию или иммунное старение) и другие не неврологические нарушения агрегации белков (например, амилоидоз или дефицит α-1-антитрипсина).
Примеры наследственных или приобретенных мышечных заболеваний, которые можно лечить одним или более соединениями, предложенным в данном документе (например, соединением, представленным формулой (I), (IIa-IIi) или (III), или его фармацевтически приемлемой солью), включают, без ограничения, миофибриллярную миопатию, спорадический миозит с включенными тельцами, миопатию с включенными тельцами с лобно-височной деменцией (IBMFTD) и кардиомиопатию (например, дилатационную кардиомиопатию или протеотоксическую кардиомиопатию, такую как распространенная протеотоксическая кардиомиопатия).
В некоторых случаях одно или более соединений, предложенных данном документе (например, соединение, представленное формулой (I), (IIa-IIi) или (III), или его фармацевтически приемлемую соль), можно использовать так, как описано в данном документе (например, для увеличения уровней полипептида TFEB в ядре клеток и/или для лечения заболевания, расстройства или патологического состояния, описанного в данном документе) в качестве единственного активного ингредиента(ов). Например, композиция, содержащая соединение, представленное формулой (I), (IIa-IIi) или (III), или его фармацевтически приемлемую соль, может не содержать других активных ингредиентов, которые повышают уровни полипептидов TFEB в ядре клеток. В некоторых случаях композиция, содержащая соединение, представленное формулой (I), (IIa-IIi) или (III), или его фармацевтически приемлемую соль, может не содержать других активных ингредиентов, которые эффективны для лечения заболевания, расстройства или патологического состояния, описанного в данном документе.
Терапевтические соединения
Как описано в данном документе, любое одно или более соединений, предложенных в данном документе, можно использовать для повышения уровней полипептида TFEB в клетках и/или в ядре клеток для усиления лизосомального экзоцитоза в клетке, для повышения клеточной аутофагии в клетке, для повышения ядерной локализации полипептидов TFEB в клетке и/или для лечения заболевания, расстройства и патологического состояния, описанного в данном документе, у млекопитающего.
В некоторых вариантах реализации данного документа предложено соединение формулы (I):
(I),
или его фармацевтически приемлемая соль, где:
каждый L независимо выбран из O, S, S(=O)2, C1-3 алкилена, C(=O) и N(RN), причем указанный C1-3 алкилен необязательно замещен 1, 2 или 3 заместителями, независимо выбранными из галогена, CN, NO2, OH, C1-3 алкокси, амино, C1-3 алкиламино и ди(C1-3 алкил)амино;
каждый RN независимо выбран из H и C1-6 алкила, причем указанный C1-6 алкил необязательно замещен 1, 2 или 3 заместителями, независимо выбранными из галогена, CN, NO2, ORa1, C(O)Rb1, C(O)NRc1Rd1, C(O)ORa1, NRc1Rd1, NRc1C(O)Rb1, NRc1C(O)ORa1, NRc1S(O)2Rb1, S(O)2Rb1 и S(O)2NRc1Rd1;
n представляет собой целое число, выбранное из 1, 2 и 3;
X1 выбран из N, N+-O- и CR1;
X2 выбран из N, N+-O- и CR2;
X3 выбран из N, N+-O- и CR3;
X4 выбран из N, N+-O- и CR4;
X5 выбран из N, N+-O- и CR5;
X6 выбран из N, N+-O- и CR6;
при условии, что не более четырех из X1, X2, X3, X4, X5 и X6 представляют собой N;
каждый R1, R2, R3, R4, R5 и R6 независимо выбран из H, галогена, CN, NO2, C1-6 алкила, C1-6 галогеналкила, C2-6 алкенила, C2-6 алкинила, ORa1, C(O)Rb1, C(O)NRc1Rd1, C(O)ORa1, NRc1Rd1, NRc1C(O)Rb1, NRc1C(O)ORa1, NRc1S(O)2Rb1, S(O)2Rb1 и S(O)2NRc1Rd1; причем каждый указанный C1-6 алкил, C2-6 алкенил и C2-6 алкинил необязательно замещен 1, 2 или 3 заместителями, независимо выбранными из CN, NO2, ORa1, C(O)Rb1, C(O)NRc1Rd1, C(O)ORa1, NRc1Rd1, NRc1C(O)Rb1, NRc1C(O)ORa1, NRc1S(O)2Rb1, S(O)2Rb1 и S(O)2NRc1Rd1;
RA выбран из CyA1, O-CyA1 и N(RN)-CyA1;
CyA1 выбран из C6-10 арила, C3-10 циклоалкила, 5-10-членного гетероарила и 4-10-членного гетероциклоалкила, каждый из которых необязательно замещен 1, 2, 3, 4 или 5 заместителями, независимо выбранными из RCy1;
RB выбран из C1-6 алкила, C1-6 галогеналкила, C2-6 алкенила, C2-6 алкинила и Cy1, причем каждый указанный C1-6 алкил, C2-6 алкенил и C2-6 алкинил необязательно замещен 1, 2 или 3 заместителями, независимо выбранными из Cy1, CN, NO2, ORa1, C(O)Rb1, C(O)NRc1Rd1, C(O)ORa1, NRc1Rd1, NRc1C(O)Rb1, NRc1C(O)ORa1, NRc1S(O)2Rb1, S(O)2Rb1 и S(O)2NRc1Rd1;
или если RB присоединен к L, который представляет собой N(RN), то RB и RN вместе с атомом N, к которому они присоединены, образуют 4-14-членный гетероциклоалкил, который необязательно замещен 1, 2 или 3 заместителями, независимо выбранными из Cy1, галогена, CN, NO2, C1-6 алкила, C1-6 галогеналкила, C2-6 алкенила, C2-6 алкинила, ORa1, C(O)Rb1, C(O)NRc1Rd1, C(O)ORa1, NRc1Rd1, NRc1C(O)Rb1, NRc1C(O)ORa1, NRc1S(O)2Rb1, S(O)2Rb1 и S(O)2NRc1Rd1; причем каждый указанный C1-6 алкил, C2-6 алкенил и C2-6 алкинил необязательно замещен 1, 2 или 3 заместителями, независимо выбранными из Cy1, CN, NO2, ORa1, C(O)Rb1, C(O)NRc1Rd1, C(O)ORa1, NRc1Rd1, NRc1C(O)Rb1, NRc1C(O)ORa1, NRc1S(O)2Rb1, S(O)2Rb1 и S(O)2NRc1Rd1;
каждый Cy1 независимо выбран из C6-10 арила, C3-14 циклоалкила, 5-10-членного гетероарила и 4-14-членного гетероциклоалкила, каждый из которых необязательно замещен 1, 2, 3, 4 или 5 заместителями, независимо выбранными из RCy2;
каждый RCy1 и RCy2 независимо выбран из оксо, галогена, CN, NO2, Cy2, C1-6 алкила, C1-6 галогеналкила, C2-6 алкенила, C2-6 алкинила, ORa2, C(O)Rb2, C(O)NRc2Rd2, C(O)ORa2, NRc2Rd2, NRc2C(O)Rb2, NRc2C(O)ORa2, NRc2S(O)2Rb2, S(O)2Rb2 и S(O)2NRc2Rd2; причем каждый указанный C1-6 алкил, C2-6 алкенил и C2-6 алкинил необязательно замещен 1, 2 или 3 заместителями, независимо выбранными из Cy2, галогена, CN, NO2, ORa2, C(O)Rb2, C(O)NRc2Rd2, C(O)ORa2, NRc2Rd2, NRc2C(O)Rb2, NRc2C(O)ORa2, NRc2S(O)2Rb2, S(O)2Rb2 и S(O)2NRc2Rd2;
каждый Cy2 независимо выбран из C6-10 арила, C3-10 циклоалкила, 5-10-членного гетероарила и 4-10-членного гетероциклоалкила, каждый из которых необязательно замещен 1, 2, 3, 4 или 5 заместителями, независимо выбранными из галогена, CN, NO2, C1-6 алкила, C1-6 галогеналкила, C2-6 алкенила, C2-6 алкинила, ORa2, C(O)Rb2, C(O)NRc2Rd2, C(O)ORa2, NRc2Rd2, NRc2C(O)Rb2, NRc2C(O)ORa2, NRc2S(O)2Rb2, S(O)2Rb2 и S(O)2NRc2Rd2; причем каждый указанный C1-6 алкил, C2-6 алкенил и C2-6 алкинил необязательно замещен 1, 2 или 3 заместителями, независимо выбранными из галогена, CN, NO2, ORa2, C(O)Rb2, C(O)NRc2Rd2, C(O)ORa2, NRc2Rd2, NRc2C(O)Rb2, NRc2C(O)ORa2, NRc2S(O)2Rb2, S(O)2Rb2 и S(O)2NRc2Rd2;
каждый Ra1, Rb1, Rc1, Rd1, Ra2, Rb2, Rc2 и Rd2 независимо выбран из H, C1-6 алкила, C1-4 галогеналкила, C2-6 алкенила, C2-6 алкинила, C6-10 арила, C3-10 циклоалкила, 5-10-членного гетероарила, 4-10-членного гетероциклоалкила, C6-10 арил-C1-4 алкилена, C3-10 циклоалкил-C1-4 алкилена, (5-10-членный гетероарил)-C1-4 алкилена и (4-10-членный гетероциклоалкил)-C1-4 алкилена, причем каждый указанный C1-6 алкил, C2-6 алкенил, C2-6 алкинил, C6-10 арил, C3-10 циклоалкил, 5-10-членный гетероарил, 4-10-членный гетероциклоалкил, C6-10 арил-C1-4 алкилен, C3-10 циклоалкил-C1-4 алкилен, (5-10-членный гетероарил)-C1-4 алкилен и (4-10-членный гетероциклоалкил)-C1-4 алкилен необязательно замещен 1, 2, 3, 4 или 5 заместителями, независимо выбранными из Rg;
или любой из Rc1 и Rd1 вместе с атомом N, к которому они присоединены, образует 4-7-членный гетероциклоалкил, необязательно замещенный 1, 2 или 3 заместителями, независимо выбранными из Rg;
или любой из Rc2 и Rd2 вместе с атомом N, к которому они присоединены, образует 4-7-членный гетероциклоалкил, необязательно замещенный 1, 2 или 3 заместителями, независимо выбранными из Rg; и
каждый Rg независимо выбран из OH, NO2, CN, галогена, C1-6 алкила, C2-6 алкенила, C2-6 алкинила, C1-4 галогеналкила, C1-6 алкокси, C1-6 галогеналкокси, циано-C1-3 алкилена, HO-C1-3 алкилена, C6-10 арила, C6-10 арилокси, C3-10 циклоалкила, 5-10-членного гетероарила, 4-10-членного гетероциклоалкила, C6-10 арил-C1-4 алкилена, C3-10 циклоалкил-C1-4 алкилена, (5-10-членный гетероарил)-C1-4 алкилена, (4-10-членный гетероциклоалкил)-C1-4 алкилена, амино, C1-6 алкиламино, ди(C1-6 алкил)амино, тио, C1-6 алкилтио, C1-6 алкилсульфинила, C1-6 алкилсульфонила, карбамила, C1-6 алкилкарбамила, ди(C1-6 алкил)карбамила, карбокси, C1-6 алкилкарбонила, C1-6 алкоксикарбонила, C1-6 алкилкарбониламино, C1-6 алкилсульфониламино, аминосульфонила, C1-6 алкиламиносульфонила, ди(C1-6 алкил)аминосульфонила, аминосульфониламино, C1-6 алкиламиносульфониламино, ди(C1-6 алкил)аминосульфониламино, аминокарбониламино, C1-6 алкиламинокарбониламино и ди(C1-6 алкил)аминокарбониламино.
В некоторых вариантах реализации:
RB и RN вместе с атомом N, к которому они присоединены, образуют 4-7-членный гетероциклоалкил, который необязательно замещен 1, 2 или 3 заместителями, независимо выбранными из Cy1, галогена, CN, NO2, C1-6 алкила, C1-6 галогеналкила, C2-6 алкенила, C2-6 алкинила, ORa1, C(O)Rb1, C(O)NRc1Rd1, C(O)ORa1, NRc1Rd1, NRc1C(O)Rb1, NRc1C(O)ORa1, NRc1S(O)2Rb1, S(O)2Rb1 и S(O)2NRc1Rd1; причем каждый указанный C1-6 алкил, C2-6 алкенил и C2-6 алкинил необязательно замещен 1, 2 или 3 заместителями, независимо выбранными из Cy1, CN, NO2, ORa1, C(O)Rb1, C(O)NRc1Rd1, C(O)ORa1, NRc1Rd1, NRc1C(O)Rb1, NRc1C(O)ORa1, NRc1S(O)2Rb1, S(O)2Rb1 и S(O)2NRc1Rd1; и
каждый Cy1 независимо выбран из C6-10 арила, C3-10 циклоалкила, 5-10-членного гетероарила и 4-10-членного гетероциклоалкила, каждый из которых необязательно замещен 1, 2, 3, 4 или 5 заместителями, независимо выбранными из RCy2.
В некоторых вариантах реализации:
RA выбран из C6-10 арила, C3-10 циклоалкила, 5-10-членного гетероарила и 4-10-членного гетероциклоалкила, каждый из которых необязательно замещен 1, 2, 3, 4 или 5 заместителями, независимо выбранными из RCy1; и
каждый RCy1 и RCy2 независимо выбран из галогена, CN, NO2, Cy2, C1-6 алкила, C1-6 галогеналкила, C2-6 алкенила, C2-6 алкинила, ORa2, C(O)Rb2, C(O)NRc2Rd2, C(O)ORa2, NRc2Rd2, NRc2C(O)Rb2, NRc2C(O)ORa2, NRc2S(O)2Rb2, S(O)2Rb2 и S(O)2NRc2Rd2; причем каждый указанный C1-6 алкил, C2-6 алкенил и C2-6 алкинил необязательно замещен 1, 2 или 3 заместителями, независимо выбранными из Cy2, галогена, CN, NO2, ORa2, C(O)Rb2, C(O)NRc2Rd2, C(O)ORa2, NRc2Rd2, NRc2C(O)Rb2, NRc2C(O)ORa2, NRc2S(O)2Rb2, S(O)2Rb2 и S(O)2NRc2Rd2.
В некоторых вариантах n реализации равен 1. В некоторых вариантах реализации n равен 2. В некоторых вариантах реализации n равен 3.
В некоторых вариантах реализации L независимо выбран из C1-3 алкилена, C(=O) и N(RN), причем указанный C1-3 алкилен необязательно замещен группой OH.
В некоторых вариантах реализации L представляет собой C1-3 алкилен, который необязательно замещен галогеном, CN, NO2, OH, C1-3 алкокси или амино.
В некоторых вариантах реализации L представляет собой C1-3 алкилен, который необязательно замещен группой OH.
В некоторых вариантах реализации L представляет собой C(=O).
В некоторых вариантах реализации L представляет собой N(RN).
В некоторых вариантах реализации RN выбран из H и C1-6 алкила, причем указанный C1-6 алкил необязательно замещен 1, 2 или 3 заместителями, независимо выбранными из галогена, CN, NO2 и C1-3 алкокси.
В некоторых вариантах реализации RN выбран из H и C1-6 алкила. В некоторых вариантах реализации RN представляет собой H. В некоторых вариантах реализации RN представляет собой C1-6 алкил, необязательно замещенный галогеном, CN, NO2 или C1-3 алкокси.
В некоторых вариантах реализации L представляет собой NH.
В некоторых вариантах реализации каждый R1, R2, R3, R4, R5 и R6 независимо выбран из H, галогена, CN, C1-6 алкила, C1-6 галогеналкила, ORa1, C(O)Rb1, C(O)NRc1Rd1, C(O)ORa1, NRc1Rd1, NRc1C(O)Rb1, NRc1S(O)2Rb1, S(O)2Rb1 и S(O)2NRc1Rd1.
В некоторых вариантах реализации каждый R1, R2, R3, R4, R5 и R6 независимо выбран из H, галогена, CN, C1-6 алкила, ORa1, NRc1Rd1 и S(O)2Rb1.
В некоторых вариантах реализации каждый R1, R2, R3, R4, R5 и R6 независимо выбран из H, галогена, C1-6 алкила, C1-6 галогеналкила, ORa1, C(O)Rb1, C(O)NRc1Rd1, C(O)ORa1, NRc1Rd1, NRc1C(O)Rb1, NRc1S(O)2Rb1, S(O)2Rb1 и S(O)2NRc1Rd1.
В некоторых вариантах реализации каждый R1, R2, R3, R4, R5 и R6 независимо выбран из H, галогена, C1-6 алкила и C1-6 алкокси.
В некоторых вариантах реализации соединение формулы (I) имеет формулу:
,
или его фармацевтически приемлемая соль.
В некоторых вариантах реализации каждый R3, R4, R5 и R6 независимо выбран из H, галогена, C1-6 алкила и C1-6 алкокси. В некоторых вариантах реализации каждый R3, R4, R5 и R6 представляет собой H.
В некоторых вариантах реализации соединение формулы (I) имеет формулу:
,
или его фармацевтически приемлемая соль.
В некоторых вариантах реализации каждый R1, R2, R3, R4, R5 и R6 независимо выбран из H, галогена, C1-6 алкила и C1-6 алкокси. В некоторых вариантах реализации каждый R1, R2, R3, R4, R5 и R6 представляет собой H.
В некоторых вариантах реализации соединение формулы (I) имеет формулу:
(IIc),
или его фармацевтически приемлемая соль.
В некоторых вариантах реализации каждый R1, R3, R4, R5 и R6 независимо выбран из H, галогена, C1-6 алкила и C1-6 алкокси. В некоторых вариантах реализации каждый R1, R3, R4, R5 и R6 представляет собой H.
В некоторых вариантах реализации соединение формулы (I) имеет формулу:
(IId),
или его фармацевтически приемлемая соль.
В некоторых вариантах реализации каждый R2, R3, R4, R5 и R6 независимо выбран из H, галогена, C1-6 алкила и C1-6 алкокси. В некоторых вариантах реализации каждый R2, R3, R4, R5 и R6 представляет собой H.
В некоторых вариантах реализации соединение формулы (I) имеет формулу:
(IIe),
или его фармацевтически приемлемая соль.
В некоторых вариантах реализации каждый R3, R4 и R5 независимо выбран из H, галогена, C1-6 алкила и C1-6 алкокси. В некоторых вариантах реализации каждый R3, R4 и R5 представляет собой H.
В некоторых вариантах реализации соединение формулы (I) имеет формулу:
(IIf),
или его фармацевтически приемлемая соль.
В некоторых вариантах реализации каждый R4, R5 и R6 независимо выбран из H, галогена, C1-6 алкила и C1-6 алкокси. В некоторых вариантах реализации каждый R4, R5 и R6 представляет собой H.
В некоторых вариантах реализации соединение формулы (I) имеет формулу:
(IIg),
или его фармацевтически приемлемая соль.
В некоторых вариантах реализации каждый R3, R5 и R6 независимо выбран из H, галогена, C1-6 алкила и C1-6 алкокси. В некоторых вариантах реализации каждый R3, R5 и R6 представляет собой H.
В некоторых вариантах реализации соединения формулы (IIg) указанное соединение формулы (IIg) не представляет собой:
.
В некоторых вариантах реализации соединения формулы (IIg) RB выбран из 4-10-членного гетероциклоалкила и 5-10-членного гетероарила, каждый из которых необязательно замещен 1, 2 или 3 заместителями, независимо выбранными из RCy2.
В некоторых вариантах реализации соединения формулы (IIg) RB представляет собой 5-10-членный гетероарил, необязательно замещенный 1, 2 или 3 заместителями, независимо выбранными из RCy2. В некоторых вариантах реализации формулы (IIg) RB не представляет собой C6-10 арил, замещенный одним галогеном.
В некоторых вариантах реализации соединение формулы (I) имеет формулу (IIh):
(IIh),
или его фармацевтически приемлемая соль.
В некоторых вариантах реализации соединения формулы (IIh) RB представляет собой 5-10-членный гетероарил, необязательно замещенный 1, 2 или 3 заместителями, независимо выбранными из RCy2.
В некоторых вариантах реализации соединение формулы (IIh) имеет формулу:
,
или его фармацевтически приемлемая соль.
В некоторых вариантах реализации формулы (IIh) каждый R1, R3, R4 и R5 независимо выбран из H, галогена, CN, C1-6 алкила, ORa1, NRc1Rd1 и S(O)2Rb1.
В некоторых вариантах реализации формулы (IIh) R3 выбран из H, галогена, CN, ORa1, NRc1Rd1 и S(O)2Rb1. В некоторых вариантах реализации формулы (IIh) R1 выбран из H, галогена и C1-6 алкила.
В некоторых вариантах реализации соединение формулы (I) имеет формулу (IIi):
(IIi),
или его фармацевтически приемлемая соль.
В некоторых вариантах реализации соединения формулы (IIi) RB представляет собой 5-10-членный гетероарил, необязательно замещенный 1, 2 или 3 заместителями, независимо выбранными из RCy2. В некоторых вариантах реализации соединения формулы (IIi) RA представляет собой 5-10-членный гетероарил, необязательно замещенный 1, 2 или 3 заместителями, независимо выбранными из RCy1. В некоторых вариантах реализации соединения формулы (IIi) каждый R1, R3, R4 и R6 представляет собой H.
В некоторых вариантах реализации данного описания предложено соединение, выбранное из любой из следующих формул (IIc)-(IIi), или его фармацевтически приемлемая соль. В некоторых вариантах реализации данного описания предложено соединение, выбранное из любой из следующих формул (IIc)-(IIg), или его фармацевтически приемлемая соль.
В некоторых вариантах реализации RA выбран из C6-10 арила, C3-10 циклоалкила, 5-10-членного гетероарила и 4-10-членного гетероциклоалкила, каждый из которых необязательно замещен 1, 2, 3, 4 или 5 заместителями, независимо выбранными из RCy1.
В некоторых вариантах реализации RA выбран из C6-10 арила, 5-10-членного гетероарила и 4-10-членного гетероциклоалкила, каждый из которых необязательно замещен 1, 2 или 3 заместителями, независимо выбранными из RCy1.
В некоторых вариантах реализации RA представляет собой CyA1.
В некоторых вариантах реализации RA представляет собой O-CyA1.
В некоторых вариантах реализации RA представляет собой NH-CyA1.
В некоторых вариантах реализации CyA1 выбран из C6-10 арила, C3-10 циклоалкила, 5-10-членного гетероарила и 4-10-членного гетероциклоалкила, каждый из которых необязательно замещен 1, 2, 3, 4 или 5 заместителями, независимо выбранными из RCy1.
В некоторых вариантах реализации CyA1 выбран из C6-10 арила, 5-10-членного гетероарила и 4-10-членного гетероциклоалкила, каждый из которых необязательно замещен 1, 2, 3, 4 или 5 заместителями, независимо выбранными из RCy1.
В некоторых вариантах реализации CyA1 представляет собой 5-10-членный гетероарил, необязательно замещенный 1, 2 или 3 заместителями, независимо выбранными из RCy1.
В некоторых вариантах реализации CyA1 представляет собой C6-10 арил, необязательно замещенный 1, 2 или 3 заместителями, независимо выбранными из RCy1. В некоторых вариантах реализации C6-10 арил имеет формулу:
.
В некоторых вариантах реализации CyA1 представляет собой 5-10-членный гетероарил, необязательно замещенный 1, 2 или 3 заместителями, независимо выбранными из RCy1.
В некоторых вариантах реализации 5-10-членный гетероарил имеет формулу, выбранную из:
;
;
;
;
;
;
;
;
;
;
;
;
; и
.
В некоторых вариантах реализации 5-10-членный гетероарил имеет формулу, выбранную из:
;
;
;
; и
.
В некоторых вариантах реализации CyA1 представляет собой 4-10-членный гетероциклоалкил, необязательно замещенный 1, 2 или 3 заместителями, независимо выбранными из RCy1.
В некоторых вариантах реализации 4-10-членный гетероциклоалкил имеет формулу, выбранную из:
;
;
;
; и
.
В некоторых вариантах реализации 4-10-членный гетероциклоалкил имеет формулу, выбранную из:
;
;
; и
.
В некоторых вариантах реализации каждый RCy1 независимо выбран из галогена, CN, NO2, Cy2, C1-6 алкила, C1-6 галогеналкила, C2-6 алкенила, C2-6 алкинила, ORa2, C(O)Rb2, C(O)NRc2Rd2, C(O)ORa2, NRc2Rd2, NRc2C(O)Rb2, NRc2C(O)ORa2, NRc2S(O)2Rb2, S(O)2Rb2 и S(O)2NRc2Rd2; причем каждый указанный C1-6 алкил, C2-6 алкенил и C2-6 алкинил необязательно замещен 1, 2 или 3 заместителями, независимо выбранными из Cy2, галогена, CN, NO2, ORa2, C(O)Rb2, C(O)NRc2Rd2, C(O)ORa2, NRc2Rd2, NRc2C(O)Rb2, NRc2C(O)ORa2, NRc2S(O)2Rb2, S(O)2Rb2 и S(O)2NRc2Rd2.
В некоторых вариантах реализации каждый RCy1 независимо выбран из галогена, NO2, C1-6 алкила, C1-6 галогеналкила, ORa2, C(O)ORa2, C(O)Rb2, C(O)NRc2Rd2, NRc2Rd2 и S(O)2Rb2, причем указанный C1-6 алкил необязательно замещен группой ORa2.
В некоторых вариантах реализации каждый RCy1 независимо выбран из галогена, NO2, C1-6 алкила, ORa2 и C(O)ORa2.
В некоторых вариантах реализации каждый RCy1 независимо выбран из галогена, NO2, C1-6 алкила, OH, C1-6 алкокси и C(O)(C1-6 алкокси).
В некоторых вариантах реализации каждый RCy1 независимо выбран из галогена, NO2, C1-6 алкила, C1-6 алкокси и C(O)(C1-6 алкокси).
В некоторых вариантах реализации RCy1 выбран из Cl и F. В некоторых вариантах реализации RCy1 представляет собой NO2. В некоторых вариантах реализации RCy1 представляет собой C1-6 алкил или C1-6 алкокси.
В некоторых вариантах реализации RB выбран из C1-6 алкила и Cy1, причем указанный C1-6 алкил необязательно замещен 1, 2 или 3 заместителями, независимо выбранными из Cy1, CN, ORa1, S(O)2Rb1 и S(O)2NRc1Rd1.
В некоторых вариантах реализации RB представляет собой C1-6 алкил, необязательно замещенный 1, 2 или 3 заместителями, независимо выбранными из Cy1, CN, ORa1, S(O)2Rb1 и S(O)2NRc1Rd1.
В некоторых вариантах реализации RB представляет собой C1-6 алкил, необязательно замещенный 1, 2 или 3 заместителями, независимо выбранными из Cy1, CN, OH, S(O)2CH3 и S(O)2NH2.
В некоторых вариантах реализации RB представляет собой Cy1.
В некоторых вариантах реализации Cy1 представляет собой C6-10 арил, необязательно замещенный 1, 2 или 3 заместителями, независимо выбранными из RCy2. В некоторых вариантах реализации C6-10 арил имеет формулу:
.
В некоторых вариантах реализации Cy1 представляет собой C3-14 циклоалкил, необязательно замещенный 1, 2 или 3 заместителями, независимо выбранными из RCy2.
В некоторых вариантах реализации Cy1 представляет собой C3-14 циклоалкил, имеющий формулу, выбранную из:
;
;
;
; и
.
В некоторых вариантах реализации Cy1 представляет собой C3-10 циклоалкил, необязательно замещенный 1, 2 или 3 заместителями, независимо выбранными из RCy2. В некоторых вариантах реализации C3-10 циклоалкил имеет формулу, выбранную из:
;
;
; и
.
В некоторых вариантах реализации Cy1 представляет собой 4-14-членный гетероциклоалкил, необязательно замещенный 1, 2 или 3 заместителями, независимо выбранными из RCy2.
В некоторых вариантах реализации Cy1 представляет собой 4-14-членный гетероциклоалкил, имеющий формулу, выбранную из:
;
;
;
;
;
;
;
;
;
; и
.
В некоторых вариантах реализации Cy1 представляет собой 4-10-членный гетероциклоалкил, необязательно замещенный 1, 2 или 3 заместителями, независимо выбранными из RCy2. В некоторых вариантах реализации 4-10-членный гетероциклоалкил имеет формулу, выбранную из:
;
;
;
;
;
;
;
;
; и
.
В некоторых вариантах реализации Cy1 представляет собой 5-10-членный гетероарил, необязательно замещенный 1, 2 или 3 заместителями, независимо выбранными из RCy2.
В некоторых вариантах реализации 5-10-членный гетероарил имеет формулу, выбранную из:
;
;
;
;
;
;
;
;
;
;
;
;
;
;
;
;
;
;
;
;
;
; и
.
В некоторых вариантах реализации 5-10-членный гетероарил имеет формулу, выбранную из:
;
;
;
;
;
;
;
;
;
;
;
;
;
;
;
;
; и
.
В некоторых вариантах реализации каждый RCy2 независимо выбран из галогена, CN, NO2, Cy2, C1-6 алкила, C1-6 галогеналкила, C2-6 алкенила, C2-6 алкинила, ORa2, C(O)Rb2, C(O)NRc2Rd2, C(O)ORa2, NRc2Rd2, NRc2C(O)Rb2, NRc2C(O)ORa2, NRc2S(O)2Rb2, S(O)2Rb2 и S(O)2NRc2Rd2; причем каждый указанный C1-6 алкил, C2-6 алкенил и C2-6 алкинил необязательно замещен 1, 2 или 3 заместителями, независимо выбранными из Cy2, галогена, CN, NO2, ORa2, C(O)Rb2, C(O)NRc2Rd2, C(O)ORa2, NRc2Rd2, NRc2C(O)Rb2, NRc2C(O)ORa2, NRc2S(O)2Rb2, S(O)2Rb2 и S(O)2NRc2Rd2.
В некоторых вариантах реализации каждый RCy2 независимо выбран из галогена, Cy2, C1-6 алкила, C1-6 галогеналкила, ORa2, C(O)NRc2Rd2, NRc2Rd2, NRc2C(O)Rb2 и S(O)2Rb2.
В некоторых вариантах реализации каждый RCy2 независимо выбран из галогена, CN, C3-10 циклоалкила, C1-6 алкила, C1-6 галогеналкила, ORa2, C(O)Rb2, C(O)NRc2Rd2 и NRc2Rd2.
В некоторых вариантах реализации каждый RCy2 независимо выбран из галогена, CN, C3-10 циклоалкила, C1-6 алкила, C1-6 галогеналкила, C1-6 алкокси, C(O)(C1-6 алкила), C(O)NH2 и NH2.
В некоторых вариантах реализации RCy2 представляет собой галоген.
В некоторых вариантах реализации RCy2 представляет собой C1-6 алкил, C1-6 галогеналкил или C1-6 алкокси.
В некоторых вариантах реализации RCy2 представляет собой NH2.
В некоторых вариантах реализации каждый Ra1, Rb1, Rc1, Rd1, Ra2, Rb2, Rc2 и Rd2 независимо выбран из H и C1-6 алкила.
В некоторых вариантах реализации RB представляет собой C6-10 арил, необязательно замещенный 1, 2 или 3 заместителями, независимо выбранными из RCy2; и RA представляет собой C6-10 арил, необязательно замещенный 1, 2 или 3 заместителями, независимо выбранными из RCy1.
В некоторых вариантах реализации RB представляет собой 5-10-членный гетероарил, необязательно замещенный 1, 2 или 3 заместителями, независимо выбранными из RCy2; и RA представляет собой C6-10 арил, необязательно замещенный 1, 2 или 3 заместителями, независимо выбранными из RCy1.
В некоторых вариантах реализации RB представляет собой 5-10-членный гетероарил, необязательно замещенный 1, 2 или 3 заместителями, независимо выбранными из RCy2; и RA представляет собой 5-10-членный гетероарил, необязательно замещенный 1, 2 или 3 заместителями, независимо выбранными из RCy1.
В некоторых вариантах реализации RB представляет собой C6-10 арил, необязательно замещенный 1, 2 или 3 заместителями, независимо выбранными из RCy2; и RA представляет собой 5-10-членный гетероарил, необязательно замещенный 1, 2 или 3 заместителями, независимо выбранными из RCy1.
В некоторых вариантах реализации:
n равен 1;
L выбран из C1-3 алкилена, C(=O) и N(RN), причем указанный C1-3 алкилен необязательно замещен группой OH;
RN выбран из H и C1-6 алкила;
каждый R1, R2, R3, R4, R5 и R6 независимо выбран из H, галогена, CN, C1-6 алкила, ORa1, NRc1Rd1 и S(O)2Rb1;
RA выбран из CyA1, O-CyA1 и NH-CyA1;
каждый CyA1 выбран из C6-10 арила, 5-10-членного гетероарила и 4-10-членного гетероциклоалкила, каждый из которых необязательно замещен 1, 2 или 3 заместителями, независимо выбранными из RCy1;
RB выбран из C1-6 алкила и Cy1, причем указанный C1-6 алкил необязательно замещен 1, 2 или 3 заместителями, независимо выбранными из Cy1, CN, ORa1, S(O)2Rb1 и S(O)2NRc1Rd1;
или если RB присоединен к N(RN), то RB и RN вместе с атомом N, к которому они присоединены, образуют 4-14-членный гетероциклоалкил, который необязательно замещен группой Cy1, C1-6 алкилом, ORa1 и галогеном;
каждый RCy1 независимо выбран из галогена, NO2, C1-6 алкила, C1-6 галогеналкила, ORa2, C(O)ORa2, C(O)Rb2, C(O)NRc2Rd2, NRc2Rd2 и S(O)2Rb2, причем указанный C1-6 алкил необязательно замещен группой ORa2;
каждый Cy1 независимо выбран из C6-10 арила, C3-14 циклоалкила, 5-10-членного гетероарила и 4-14-членного гетероциклоалкила, каждый из которых необязательно замещен 1, 2, 3, 4 или 5 заместителями, независимо выбранными из RCy2;
каждый RCy2 независимо выбран из галогена, Cy2, C1-6 алкила, C1-6 галогеналкила, ORa2, C(O)NRc2Rd2, NRc2Rd2, NRc2C(O)Rb2 и S(O)2Rb2; и
каждый Ra1, Rb1, Rc1, Rd1, Ra2, Rb2, Rc2 и Rd2 независимо выбран из H и C1-6 алкила.
В некоторых вариантах реализации:
n равен 1;
L выбран из C1-3 алкилена, C(=O) и N(RN), причем указанный C1-3 алкилен необязательно замещен группой OH;
RN выбран из H и C1-6 алкила;
каждый R1, R2, R3, R4, R5 и R6 независимо выбран из H, галогена, CN, C1-6 алкила, ORa1, NRc1Rd1 и S(O)2Rb1;
RA выбран из CyA1, O-CyA1 и NH-CyA1;
каждый CyA1 выбран из C6-10 арила, 5-10-членного гетероарила и 4-10-членного гетероциклоалкила, каждый из которых необязательно замещен 1, 2 или 3 заместителями, независимо выбранными из RCy1;
RB выбран из C1-6 алкила и Cy1, причем указанный C1-6 алкил необязательно замещен 1, 2 или 3 заместителями, независимо выбранными из Cy1, CN, ORa1, S(O)2Rb1 и S(O)2NRc1Rd1;
или если RB присоединен к N(RN), то RB и RN вместе с атомом N, к которому они присоединены, образуют 4-7-членный гетероциклоалкил, который необязательно замещен группой ORa1;
каждый RCy1 независимо выбран из галогена, NO2, C1-6 алкила, C1-6 галогеналкила, ORa2, C(O)ORa2, C(O)Rb2, C(O)NRc2Rd2, NRc2Rd2 и S(O)2Rb2, причем указанный C1-6 алкил необязательно замещен группой ORa2;
каждый RCy2 независимо выбран из галогена, CN, C3-10 циклоалкила, C1-6 алкила, C1-6 галогеналкила, ORa2, C(O)Rb2, C(O)NRc2Rd2 и NRc2Rd2; и
каждый Ra1, Rb1, Rc1, Rd1, Ra2, Rb2, Rc2 и Rd2 независимо выбран из H и C1-6 алкила.
В некоторых вариантах реализации:
n равен 1;
L выбран из C1-3 алкилена, C(=O) и N(RN), причем указанный C1-3 алкилен необязательно замещен группой OH;
RN выбран из H и C1-6 алкила;
каждый R1, R2, R3, R4, R5 и R6 независимо выбран из H, галогена, C1-6 алкила и ORa1;
RA выбран из C6-10 арила, 5-10-членного гетероарила и 4-10-членного гетероциклоалкила, каждый из которых необязательно замещен 1, 2 или 3 заместителями, независимо выбранными из RCy1;
RB выбран из C1-6 алкила и Cy1, причем указанный C1-6 алкил необязательно замещен 1, 2 или 3 заместителями, независимо выбранными из Cy1, CN, ORa1, S(O)2Rb1 и S(O)2NRc1Rd1;
или если RB присоединен к N(RN), то RB и RN вместе с атомом N, к которому они присоединены, образуют 4-7-членный гетероциклоалкил, который необязательно замещен группой ORa1;
каждый RCy1 независимо выбран из галогена, NO2, C1-6 алкила, ORa2 и C(O)ORa2;
каждый RCy2 независимо выбран из галогена, CN, C3-10 циклоалкила, C1-6 алкила, C1-6 галогеналкила, ORa2, C(O)Rb2, C(O)NRc2Rd2 и NRc2Rd2; и
каждый Ra1, Rb1, Rc1, Rd1, Ra2, Rb2, Rc2 и Rd2 независимо выбран из H и C1-6 алкила.
В некоторых вариантах реализации соединение формулы (I) или его фармацевтически приемлемая соль выбраны из любых соединений в таблице 1, таблице 1a, таблице 2, таблице 3, таблице 5, таблице 5a и таблице 6.
В некоторых вариантах реализации соединение формулы (I) или его фармацевтически приемлемая соль выбраны из любых соединений в таблице 1, таблице 1a, таблице 2, таблице 3, таблице 5 и таблице 6.
В некоторых вариантах реализации соединение формулы (I) или его фармацевтически приемлемая соль выбраны из любых соединений в таблице 1, таблице 2 или таблице 3.
В некоторых вариантах реализации соединение формулы (I) или его фармацевтически приемлемая соль выбраны из любых соединений в таблице 1. В некоторых вариантах реализации соединение формулы (I) или его фармацевтически приемлемая соль выбраны из любых соединений в таблице 1a. В некоторых вариантах реализации соединение формулы (I) или его фармацевтически приемлемая соль выбраны из любых соединений в таблице 2. В некоторых вариантах реализации соединение формулы (I) или его фармацевтически приемлемая соль выбраны из любых соединений в таблице 3. В некоторых вариантах реализации соединение формулы (I) или его фармацевтически приемлемая соль выбраны из любых соединений в таблице 5. В некоторых вариантах реализации соединение формулы (I) или его фармацевтически приемлемая соль выбраны из любых соединений в таблице 5a. В некоторых вариантах реализации соединение формулы (I) или его фармацевтически приемлемая соль выбраны из любых соединений в таблице 6.
В некоторых вариантах реализации соединение формулы (I) выбрано из любой из формул (IIc)-(IIi).
В некоторых вариантах реализации соединение формулы (I) выбрано из любых из следующих соединений:
или его фармацевтически приемлемая соль.
В некоторых вариантах реализации соединение формулы (I) выбрано из любых из следующих соединений:
или его фармацевтически приемлемая соль.
В некоторых вариантах реализации соединение любой из формул (IIc)-(IIi) выбрано из любых из следующих соединений:
или его фармацевтически приемлемая соль.
В некоторых вариантах реализации соединение любой из формул (IIc)-(IIi) выбрано из любых из следующих соединений:
или его фармацевтически приемлемая соль.
В некоторых вариантах реализации соединение формулы (IIh) или его фармацевтически приемлемая соль выбраны из любых соединений, перечисленных в таблице 5.
В некоторых вариантах реализации соединение формулы (IIh) или его фармацевтически приемлемая соль выбраны из любых соединений, перечисленных в таблице 5a.
В некоторых вариантах реализации соединение формулы (IIh) или его фармацевтически приемлемая соль выбраны из любых соединений, перечисленных в таблице 5 или в таблице 5a.
В некоторых вариантах реализации соединение формулы (IIi) или его фармацевтически приемлемая соль выбраны из любых соединений, перечисленных в таблице 6.
В некоторых вариантах реализации соединение формулы (I) имеет формулу (IIa):
(IIa),
или его фармацевтически приемлемая соль, где:
Y выбран из C(=O) и C(R7)(R8);
каждый R7 и R8 независимо выбран из H, галогена, CN, NO2, OH, C1-3 алкокси, амино, C1-3 алкиламино и ди(C1-3 алкил)амино;
X1 выбран из N, N+-O- и CR1;
X2 выбран из N, N+-O- и CR2;
X3 выбран из N, N+-O- и CR3;
X4 выбран из N, N+-O- и CR4;
X5 выбран из N, N+-O- и CR5;
X6 выбран из N, N+-O- и CR6;
при условии, что не более четырех из X1, X2, X3, X4, X5 и X6 представляют собой N;
каждый R1, R2, R3, R4, R5 и R6 независимо выбран из H, галогена, CN, NO2, C1-6 алкила, C1-6 галогеналкила, C2-6 алкенила, C2-6 алкинила, ORa1, C(O)Rb1, C(O)NRc1Rd1, C(O)ORa1, NRc1Rd1, NRc1C(O)Rb1, NRc1C(O)ORa1, NRc1S(O)2Rb1, S(O)2Rb1 и S(O)2NRc1Rd1; причем каждый указанный C1-6 алкил, C2-6 алкенил и C2-6 алкинил необязательно замещен 1, 2 или 3 заместителями, независимо выбранными из CN, NO2, ORa1, C(O)Rb1, C(O)NRc1Rd1, C(O)ORa1, NRc1Rd1, NRc1C(O)Rb1, NRc1C(O)ORa1, NRc1S(O)2Rb1, S(O)2Rb1 и S(O)2NRc1Rd1;
RA выбран из C6-10 арила, C3-10 циклоалкила, 5-10-членного гетероарила и 4-10-членного гетероциклоалкила, каждый из которых необязательно замещен 1, 2, 3, 4 или 5 заместителями, независимо выбранными из RCy1;
RB выбран из C1-6 алкила, C1-6 галогеналкила, C2-6 алкенила, C2-6 алкинила и Cy1, причем каждый указанный C1-6 алкил, C2-6 алкенил и C2-6 алкинил необязательно замещен 1, 2 или 3 заместителями, независимо выбранными из Cy1, CN, NO2, ORa1, C(O)Rb1, C(O)NRc1Rd1, C(O)ORa1, NRc1Rd1, NRc1C(O)Rb1, NRc1C(O)ORa1, NRc1S(O)2Rb1, S(O)2Rb1 и S(O)2NRc1Rd1;
каждый Cy1 независимо выбран из C6-10 арила, C3-10 циклоалкила, 5-10-членного гетероарила и 4-10-членного гетероциклоалкила, каждый из которых необязательно замещен 1, 2, 3, 4 или 5 заместителями, независимо выбранными из RCy2;
каждый RCy1 и RCy2 независимо выбран из галогена, CN, NO2, Cy2, C1-6 алкила, C1-6 галогеналкила, C2-6 алкенила, C2-6 алкинила, ORa2, C(O)Rb2, C(O)NRc2Rd2, C(O)ORa2, NRc2Rd2, NRc2C(O)Rb2, NRc2C(O)ORa2, NRc2S(O)2Rb2, S(O)2Rb2 и S(O)2NRc2Rd2; причем каждый указанный C1-6 алкил, C2-6 алкенил и C2-6 алкинил необязательно замещен 1, 2 или 3 заместителями, независимо выбранными из Cy2, галогена, CN, NO2, ORa2, C(O)Rb2, C(O)NRc2Rd2, C(O)ORa2, NRc2Rd2, NRc2C(O)Rb2, NRc2C(O)ORa2, NRc2S(O)2Rb2, S(O)2Rb2 и S(O)2NRc2Rd2;
каждый Cy2 независимо выбран из C6-10 арила, C3-10 циклоалкила, 5-10-членного гетероарила и 4-10-членного гетероциклоалкила, каждый из которых необязательно замещен 1, 2, 3, 4 или 5 заместителями, независимо выбранными из галогена, CN, NO2, C1-6 алкила, C1-6 галогеналкила, C2-6 алкенила, C2-6 алкинила, ORa2, C(O)Rb2, C(O)NRc2Rd2, C(O)ORa2, NRc2Rd2, NRc2C(O)Rb2, NRc2C(O)ORa2, NRc2S(O)2Rb2, S(O)2Rb2 и S(O)2NRc2Rd2; причем каждый указанный C1-6 алкил, C2-6 алкенил и C2-6 алкинил необязательно замещен 1, 2 или 3 заместителями, независимо выбранными из галогена, CN, NO2, ORa2, C(O)Rb2, C(O)NRc2Rd2, C(O)ORa2, NRc2Rd2, NRc2C(O)Rb2, NRc2C(O)ORa2, NRc2S(O)2Rb2, S(O)2Rb2 и S(O)2NRc2Rd2;
каждый Ra1, Rb1, Rc1, Rd1, Ra2, Rb2, Rc2 и Rd2 независимо выбран из H, C1-6 алкила, C1-4 галогеналкила, C2-6 алкенила, C2-6 алкинила, C6-10 арила, C3-10 циклоалкила, 5-10-членного гетероарила, 4-10-членного гетероциклоалкила, C6-10 арил-C1-4 алкилена, C3-10 циклоалкил-C1-4 алкилена, (5-10-членный гетероарил)-C1-4 алкилена и (4-10-членный гетероциклоалкил)-C1-4 алкилена, причем каждый указанный C1-6 алкил, C2-6 алкенил, C2-6 алкинил, C6-10 арил, C3-10 циклоалкил, 5-10-членный гетероарил, 4-10-членный гетероциклоалкил, C6-10 арил-C1-4 алкилен, C3-10 циклоалкил-C1-4 алкилен, (5-10-членный гетероарил)-C1-4 алкилен и (4-10-членный гетероциклоалкил)-C1-4 алкилен необязательно замещен 1, 2, 3, 4 или 5 заместителями, независимо выбранными из Rg;
или любой из Rc1 и Rd1 вместе с атомом N, к которому они присоединены, образует 4-7-членный гетероциклоалкил, необязательно замещенный 1, 2 или 3 заместителями, независимо выбранными из Rg;
или любой из Rc2 и Rd2 вместе с атомом N, к которому они присоединены, образует 4-7-членный гетероциклоалкил, необязательно замещенный 1, 2 или 3 заместителями, независимо выбранными из Rg; и
каждый Rg независимо выбран из OH, NO2, CN, галогена, C1-6 алкила, C2-6 алкенила, C2-6 алкинила, C1-4 галогеналкила, C1-6 алкокси, C1-6 галогеналкокси, циано-C1-3 алкилена, HO-C1-3 алкилена, C6-10 арила, C6-10 арилокси, C3-10 циклоалкила, 5-10-членного гетероарила, 4-10-членного гетероциклоалкила, C6-10 арил-C1-4 алкилена, C3-10 циклоалкил-C1-4 алкилена, (5-10-членный гетероарил)-C1-4 алкилена, (4-10-членный гетероциклоалкил)-C1-4 алкилена, амино, C1-6 алкиламино, ди(C1-6 алкил)амино, тио, C1-6 алкилтио, C1-6 алкилсульфинила, C1-6 алкилсульфонила, карбамила, C1-6 алкилкарбамила, ди(C1-6 алкил)карбамила, карбокси, C1-6 алкилкарбонила, C1-6 алкоксикарбонила, C1-6 алкилкарбониламино, C1-6 алкилсульфониламино, аминосульфонила, C1-6 алкиламиносульфонила, ди(C1-6 алкил)аминосульфонила, аминосульфониламино, C1-6 алкиламиносульфониламино, ди(C1-6 алкил)аминосульфониламино, аминокарбониламино, C1-6 алкиламинокарбониламино и ди(C1-6 алкил)аминокарбониламино.
В некоторых вариантах реализации соединение формулы (IIa) имеет формулу:
,
или его фармацевтически приемлемая соль.
В некоторых вариантах реализации R7 представляет собой H, и R8 выбран из H, галогена, CN, NO2, OH и C1-3 алкокси. В некоторых вариантах реализации R7 представляет собой H, и R8 выбран из H и OH.
В некоторых вариантах реализации Y представляет собой CH2.
В некоторых вариантах реализации Y представляет собой CH(OH).
В некоторых вариантах реализации Y представляет собой C(=O).
В некоторых вариантах реализации соединение формулы (IIa) имеет формулу:
,
или его фармацевтически приемлемая соль.
В некоторых вариантах реализации формулы (IIa) каждый R1, R2, R3, R4, R5 и R6 независимо выбран из H, галогена, C1-6 алкила и C1-6 алкокси. В некоторых вариантах реализации каждый R3, R4, R5 и R6 независимо выбран из H, галогена, C1-6 алкила и C1-6 алкокси. В некоторых вариантах реализации каждый R3, R4, R5 и R6 представляет собой H.
В некоторых вариантах реализации формулы (IIa) RB выбран из C6-10 арила, C3-10 циклоалкила, 5-10-членного гетероарила и 4-10-членного гетероциклоалкила, каждый из которых необязательно замещен 1, 2 или 3 заместителями, независимо выбранными из RCy2.
В некоторых вариантах реализации формулы (IIa) RB представляет собой C6-10 арил, необязательно замещенный галогеном.
В некоторых вариантах реализации формулы (IIa) RA выбран из C6-10 арила, 5-10-членного гетероарила и 4-10-членного гетероциклоалкила, каждый из которых необязательно замещен 1, 2 или 3 заместителями, независимо выбранными из RCy1.
В некоторых вариантах реализации формулы (IIa) RA представляет собой 5-10-членный гетероарил, необязательно замещенный галогеном, NO2, C1-6 алкилом или C1-6 алкокси.
В некоторых вариантах реализации формулы (IIa):
R7 представляет собой H; и R8 выбран из H и OH;
каждый R1, R2, R3, R4, R5 и R6 независимо выбран из H, галогена, C1-6 алкила и C1-6 алкокси;
RB представляет собой C6-10 арил, необязательно замещенный галогеном; и
RA представляет собой 5-10-членный гетероарил, необязательно замещенный галогеном, NO2, C1-6 алкилом или C1-6 алкокси.
В некоторых вариантах реализации соединение формулы (IIa) выбрано из любых из следующих соединений:
или его фармацевтически приемлемая соль.
В некоторых вариантах реализации соединение формулы (I) имеет формулу (IIb):
(IIb),
или его фармацевтически приемлемая соль, где:
каждый L независимо выбран из O, S, S(=O)2, C1-3 алкилена, C(=O) и N(RN), причем указанный C1-3 алкилен необязательно замещен 1, 2 или 3 заместителями, независимо выбранными из галогена, CN, NO2, OH, C1-3 алкокси, амино, C1-3 алкиламино и ди(C1-3 алкил)амино;
каждый RN независимо выбран из H и C1-6 алкила, причем указанный C1-6 алкил необязательно замещен 1, 2 или 3 заместителями, независимо выбранными из галогена, CN, NO2, ORa1, C(O)Rb1, C(O)NRc1Rd1, C(O)ORa1, NRc1Rd1, NRc1C(O)Rb1, NRc1C(O)ORa1, NRc1S(O)2Rb1, S(O)2Rb1 и S(O)2NRc1Rd1;
n представляет собой целое число, выбранное из 1, 2 и 3;
X1 выбран из N, N+-O- и CR1;
X2 выбран из N, N+-O- и CR2;
X3 выбран из N, N+-O- и CR3;
X4 выбран из N, N+-O- и CR4;
X5 выбран из N, N+-O- и CR5;
X6 выбран из N, N+-O- и CR6;
при условии, что не более четырех из X1, X2, X3, X4, X5 и X6 представляют собой N;
каждый R1, R2, R3, R4, R5 и R6 независимо выбран из H, галогена, CN, NO2, C1-6 алкила, C1-6 галогеналкила, C2-6 алкенила, C2-6 алкинила, ORa1, C(O)Rb1, C(O)NRc1Rd1, C(O)ORa1, NRc1Rd1, NRc1C(O)Rb1, NRc1C(O)ORa1, NRc1S(O)2Rb1, S(O)2Rb1 и S(O)2NRc1Rd1; причем каждый указанный C1-6 алкил, C2-6 алкенил и C2-6 алкинил необязательно замещен 1, 2 или 3 заместителями, независимо выбранными из CN, NO2, ORa1, C(O)Rb1, C(O)NRc1Rd1, C(O)ORa1, NRc1Rd1, NRc1C(O)Rb1, NRc1C(O)ORa1, NRc1S(O)2Rb1, S(O)2Rb1 и S(O)2NRc1Rd1;
RC выбран из:
4-10-членного гетероциклоалкила, необязательно замещенного 1, 2 или 3 заместителями, независимо выбранными из RCy1; и
группы, выбранной из O-CyA1, N(RN)-CyA1; и CyA1;
каждый CyA1 представляет собой 5-10-членную гетероарильную группу, имеющую формулу, выбранную из:
;
;
;
;
;
;
;
;
;
;
;
; и
;
RB выбран из C1-6 алкила, C1-6 галогеналкила, C2-6 алкенила, C2-6 алкинила и Cy1, причем каждый указанный C1-6 алкил, C2-6 алкенил и C2-6 алкинил необязательно замещен 1, 2 или 3 заместителями, независимо выбранными из Cy1, CN, NO2, ORa1, C(O)Rb1, C(O)NRc1Rd1, C(O)ORa1, NRc1Rd1, NRc1C(O)Rb1, NRc1C(O)ORa1, NRc1S(O)2Rb1, S(O)2Rb1 и S(O)2NRc1Rd1;
или если RB присоединен к N(RN), то RB и RN вместе с атомом N, к которому они присоединены, образуют 4-7-членный гетероциклоалкил, который необязательно замещен 1, 2 или 3 заместителями, независимо выбранными из Cy1, галогена, CN, NO2, C1-6 алкила, C1-6 галогеналкила, C2-6 алкенила, C2-6 алкинила, ORa1, C(O)Rb1, C(O)NRc1Rd1, C(O)ORa1, NRc1Rd1, NRc1C(O)Rb1, NRc1C(O)ORa1, NRc1S(O)2Rb1, S(O)2Rb1 и S(O)2NRc1Rd1; причем каждый указанный C1-6 алкил, C2-6 алкенил и C2-6 алкинил необязательно замещен 1, 2 или 3 заместителями, независимо выбранными из Cy1, CN, NO2, ORa1, C(O)Rb1, C(O)NRc1Rd1, C(O)ORa1, NRc1Rd1, NRc1C(O)Rb1, NRc1C(O)ORa1, NRc1S(O)2Rb1, S(O)2Rb1 и S(O)2NRc1Rd1;
каждый Cy1 независимо выбран из C6-10 арила, C3-10 циклоалкила, 5-10-членного гетероарила и 4-10-членного гетероциклоалкила, каждый из которых необязательно замещен 1, 2, 3, 4 или 5 заместителями, независимо выбранными из RCy2;
каждый RCy1 и RCy2 независимо выбран из галогена, CN, NO2, Cy2, C1-6 алкила, C1-6 галогеналкила, C2-6 алкенила, C2-6 алкинила, ORa2, C(O)Rb2, C(O)NRc2Rd2, C(O)ORa2, NRc2Rd2, NRc2C(O)Rb2, NRc2C(O)ORa2, NRc2S(O)2Rb2, S(O)2Rb2 и S(O)2NRc2Rd2; причем каждый указанный C1-6 алкил, C2-6 алкенил и C2-6 алкинил необязательно замещен 1, 2 или 3 заместителями, независимо выбранными из Cy2, галогена, CN, NO2, ORa2, C(O)Rb2, C(O)NRc2Rd2, C(O)ORa2, NRc2Rd2, NRc2C(O)Rb2, NRc2C(O)ORa2, NRc2S(O)2Rb2, S(O)2Rb2 и S(O)2NRc2Rd2;
каждый Cy2 независимо выбран из C6-10 арила, C3-10 циклоалкила, 5-10-членного гетероарила и 4-10-членного гетероциклоалкила, каждый из которых необязательно замещен 1, 2, 3, 4 или 5 заместителями, независимо выбранными из галогена, CN, NO2, C1-6 алкила, C1-6 галогеналкила, C2-6 алкенила, C2-6 алкинила, ORa2, C(O)Rb2, C(O)NRc2Rd2, C(O)ORa2, NRc2Rd2, NRc2C(O)Rb2, NRc2C(O)ORa2, NRc2S(O)2Rb2, S(O)2Rb2 и S(O)2NRc2Rd2; причем каждый указанный C1-6 алкил, C2-6 алкенил и C2-6 алкинил необязательно замещен 1, 2 или 3 заместителями, независимо выбранными из галогена, CN, NO2, ORa2, C(O)Rb2, C(O)NRc2Rd2, C(O)ORa2, NRc2Rd2, NRc2C(O)Rb2, NRc2C(O)ORa2, NRc2S(O)2Rb2, S(O)2Rb2 и S(O)2NRc2Rd2;
каждый Ra1, Rb1, Rc1, Rd1, Ra2, Rb2, Rc2 и Rd2 независимо выбран из H, C1-6 алкила, C1-4 галогеналкила, C2-6 алкенила, C2-6 алкинила, C6-10 арила, C3-10 циклоалкила, 5-10-членного гетероарила, 4-10-членного гетероциклоалкила, C6-10 арил-C1-4 алкилена, C3-10 циклоалкил-C1-4 алкилена, (5-10-членный гетероарил)-C1-4 алкилена и (4-10-членный гетероциклоалкил)-C1-4 алкилена, причем каждый указанный C1-6 алкил, C2-6 алкенил, C2-6 алкинил, C6-10 арил, C3-10 циклоалкил, 5-10-членный гетероарил, 4-10-членный гетероциклоалкил, C6-10 арил-C1-4 алкилен, C3-10 циклоалкил-C1-4 алкилен, (5-10-членный гетероарил)-C1-4 алкилен и (4-10-членный гетероциклоалкил)-C1-4 алкилен необязательно замещен 1, 2, 3, 4 или 5 заместителями, независимо выбранными из Rg;
или любой из Rc1 и Rd1 вместе с атомом N, к которому они присоединены, образует 4-7-членный гетероциклоалкил, необязательно замещенный 1, 2 или 3 заместителями, независимо выбранными из Rg;
или любой из Rc2 и Rd2 вместе с атомом N, к которому они присоединены, образует 4-7-членный гетероциклоалкил, необязательно замещенный 1, 2 или 3 заместителями, независимо выбранными из Rg; и
каждый Rg независимо выбран из OH, NO2, CN, галогена, C1-6 алкила, C2-6 алкенила, C2-6 алкинила, C1-4 галогеналкила, C1-6 алкокси, C1-6 галогеналкокси, циано-C1-3 алкилена, HO-C1-3 алкилена, C6-10 арила, C6-10 арилокси, C3-10 циклоалкила, 5-10-членного гетероарила, 4-10-членного гетероциклоалкила, C6-10 арил-C1-4 алкилена, C3-10 циклоалкил-C1-4 алкилена, (5-10-членный гетероарил)-C1-4 алкилена, (4-10-членный гетероциклоалкил)-C1-4 алкилена, амино, C1-6 алкиламино, ди(C1-6 алкил)амино, тио, C1-6 алкилтио, C1-6 алкилсульфинила, C1-6 алкилсульфонила, карбамила, C1-6 алкилкарбамила, ди(C1-6 алкил)карбамила, карбокси, C1-6 алкилкарбонила, C1-6 алкоксикарбонила, C1-6 алкилкарбониламино, C1-6 алкилсульфониламино, аминосульфонила, C1-6 алкиламиносульфонила, ди(C1-6 алкил)аминосульфонила, аминосульфониламино, C1-6 алкиламиносульфониламино, ди(C1-6 алкил)аминосульфониламино, аминокарбониламино, C1-6 алкиламинокарбониламино и ди(C1-6 алкил)аминокарбониламино.
В некоторых вариантах реализации RC выбран из 4-10-членного гетероциклоалкила, который необязательно замещен 1, 2 или 3 заместителями, независимо выбранными из RCy1; и 5-10-членной гетероарильной группы, имеющей формулу, выбранную из:
;
;
; и
.
В некоторых вариантах реализации соединения формулы (IIb) указанный 4-10-членный гетероциклоалкил для RC имеет формулу, выбранную из:
;
;
;
; и
.
В некоторых вариантах реализации соединения формулы (IIb) указанный 4-10-членный гетероциклоалкил для RC имеет формулу, выбранную из:
;
;
; и
.
В некоторых вариантах реализации соединения формулы (IIb):
n равен 1;
L выбран из C1-3 алкилена, C(=O) и N(RN), причем указанный C1-3 алкилен необязательно замещен группой OH;
RN выбран из H и C1-6 алкила;
каждый R1, R2, R3, R4, R5 и R6 независимо выбран из H, галогена, CN, C1-6 алкила, ORa1, NRc1Rd1 и S(O)2Rb1;
RC выбран из:
4-10-членного гетероциклоалкила, выбранного из:
;
;
;
; и
; и
группы, выбранной из O-CyA1, N(RN)-CyA1; и CyA1, причем каждый CyA1 представляет собой 5-10-членную гетероарильную группу, имеющую формулу, выбранную из:
;
;
;
;
;
;
;
;
;
;
;
; и
;
RB выбран из C1-6 алкила и Cy1, причем указанный C1-6 алкил необязательно замещен 1, 2 или 3 заместителями, независимо выбранными из Cy1, CN, ORa1, S(O)2Rb1 и S(O)2NRc1Rd1;
или если RB присоединен к N(RN), то RB и RN вместе с атомом N, к которому они присоединены, образуют 4-7-членный гетероциклоалкил, который необязательно замещен группой ORa1;
каждый RCy1 независимо выбран из галогена, NO2, C1-6 алкила, C1-6 галогеналкила, ORa2, C(O)ORa2, C(O)Rb2, C(O)NRc2Rd2, NRc2Rd2 и S(O)2Rb2, причем указанный C1-6 алкил необязательно замещен группой ORa2;
каждый RCy2 независимо выбран из галогена, CN, C3-10 циклоалкила, C1-6 алкила, C1-6 галогеналкила, ORa2, C(O)Rb2, C(O)NRc2Rd2 и NRc2Rd2; и
каждый Ra1, Rb1, Rc1, Rd1, Ra2, Rb2, Rc2 и Rd2 независимо выбран из H и C1-6 алкила.
В некоторых вариантах реализации соединения формулы (IIb):
n равен 1;
L выбран из C1-3 алкилена, C(=O) и N(RN), причем указанный C1-3 алкилен необязательно замещен группой OH;
RN выбран из H и C1-6 алкила;
каждый R1, R2, R3, R4, R5 и R6 независимо выбран из H, галогена, C1-6 алкила и ORa1;
RC выбран из:
;
;
;
;
;
;
; и
;
RB выбран из C1-6 алкила и Cy1, причем указанный C1-6 алкил необязательно замещен 1, 2 или 3 заместителями, независимо выбранными из Cy1, CN, ORa1, S(O)2Rb1 и S(O)2NRc1Rd1;
или если RB присоединен к L, который представляет собой N(RN), то RB и RN вместе с атомом N, к которому они присоединены, образуют 4-7-членный гетероциклоалкил, который необязательно замещен группой ORa1;
каждый RCy1 независимо выбран из галогена, NO2, C1-6 алкила, ORa2 и C(O)ORa2;
каждый RCy2 независимо выбран из галогена, CN, C3-10 циклоалкила, C1-6 алкила, C1-6 галогеналкила, ORa2, C(O)Rb2, C(O)NRc2Rd2 и NRc2Rd2; и
каждый Ra1, Rb1, Rc1, Rd1, Ra2, Rb2, Rc2 и Rd2 независимо выбран из H и C1-6 алкила.
В некоторых вариантах реализации соединение формулы (IIb) выбрано из любых из следующих соединений:
или его фармацевтически приемлемая соль.
В некоторых вариантах реализации соединение формулы (IIb) выбрано из любых из следующих соединений:
или его фармацевтически приемлемая соль.
В некоторых вариантах реализации данного документа предложено соединение формулы (III):
(III),
или его фармацевтически приемлемая соль, где:
R1 выбран из C1-6 алкила, C1-6 галогеналкила, C2-6 алкенила, C2-6 алкинила и Cy1, причем каждый указанный C1-6 алкил, C2-6 алкенил и C2-6 алкинил необязательно замещен 1, 2 или 3 заместителями, независимо выбранными из Cy1, CN, NO2, ORa1, C(O)Rb1, C(O)NRc1Rd1, C(O)ORa1, NRc1Rd1, NRc1C(O)Rb1, NRc1C(O)ORa1, NRc1S(O)2Rb1, S(O)2Rb1 и S(O)2NRc1Rd1;
R2 выбран из H, C1-6 алкила, C1-6 галогеналкила, C2-6 алкенила, C2-6 алкинила и Cy1, причем каждый указанный C1-6 алкил, C2-6 алкенил и C2-6 алкинил необязательно замещен 1, 2 или 3 заместителями, независимо выбранными из Cy1, CN, NO2, ORa1, C(O)Rb1, C(O)NRc1Rd1, C(O)ORa1, NRc1Rd1, NRc1C(O)Rb1, NRc1C(O)ORa1, NRc1S(O)2Rb1, S(O)2Rb1 и S(O)2NRc1Rd1;
каждый R3, R4, R5 и R6 независимо выбран из H, галогена, CN, NO2, C1-6 алкила, C1-6 галогеналкила, C2-6 алкенила, C2-6 алкинила, ORa1, C(O)Rb1, C(O)NRc1Rd1, C(O)ORa1, NRc1Rd1, NRc1C(O)Rb1, NRc1C(O)ORa1, NRc1S(O)2Rb1, S(O)2Rb1 и S(O)2NRc1Rd1; причем каждый указанный C1-6 алкил, C2-6 алкенил и C2-6 алкинил необязательно замещен 1, 2 или 3 заместителями, независимо выбранными из CN, NO2, ORa1, C(O)Rb1, C(O)NRc1Rd1, C(O)ORa1, NRc1Rd1, NRc1C(O)Rb1, NRc1C(O)ORa1, NRc1S(O)2Rb1, S(O)2Rb1 и S(O)2NRc1Rd1;
каждый Cy1 независимо выбран из C6-10 арила, C3-10 циклоалкила, 5-10-членного гетероарила и 4-10-членного гетероциклоалкила, каждый из которых необязательно замещен 1, 2, 3, 4 или 5 заместителями, независимо выбранными из RCy2;
каждый RCy2 независимо выбран из галогена, CN, NO2, C1-6 алкила, C1-6 галогеналкила, C2-6 алкенила, C2-6 алкинила, ORa2, C(O)Rb2, C(O)NRc2Rd2, C(O)ORa2, NRc2Rd2, NRc2C(O)Rb2, NRc2C(O)ORa2, NRc2S(O)2Rb2, S(O)2Rb2 и S(O)2NRc2Rd2; причем каждый указанный C1-6 алкил, C2-6 алкенил и C2-6 алкинил необязательно замещен 1, 2 или 3 заместителями, независимо выбранными из галогена, CN, NO2, ORa2 и C(O)Rb2, C(O)NRc2Rd2;
каждый Ra1, Rb1, Rc1, Rd1, Ra2, Rb2, Rc2 и Rd2 независимо выбран из H, C1-6 алкила, C1-4 галогеналкила, C2-6 алкенила, C2-6 алкинила, C6-10 арила, C3-10 циклоалкила, 5-10-членного гетероарила, 4-10-членного гетероциклоалкила, C6-10 арил-C1-4 алкилена, C3-10 циклоалкил-C1-4 алкилена, (5-10-членный гетероарил)-C1-4 алкилена и (4-10-членный гетероциклоалкил)-C1-4 алкилена, причем каждый указанный C1-6 алкил, C2-6 алкенил, C2-6 алкинил, C6-10 арил, C3-10 циклоалкил, 5-10-членный гетероарил, 4-10-членный гетероциклоалкил, C6-10 арил-C1-4 алкилен, C3-10 циклоалкил-C1-4 алкилен, (5-10-членный гетероарил)-C1-4 алкилен и (4-10-членный гетероциклоалкил)-C1-4 алкилен необязательно замещен 1, 2, 3, 4 или 5 заместителями, независимо выбранными из Rg;
или любой из Rc1 и Rd1 вместе с атомом N, к которому они присоединены, образует 4-7-членный гетероциклоалкил, необязательно замещенный 1, 2 или 3 заместителями, независимо выбранными из Rg;
или любой из Rc2 и Rd2 вместе с атомом N, к которому они присоединены, образует 4-7-членный гетероциклоалкил, необязательно замещенный 1, 2 или 3 заместителями, независимо выбранными из Rg; и
каждый Rg независимо выбран из OH, NO2, CN, галогена, C1-6 алкила, C2-6 алкенила, C2-6 алкинила, C1-4 галогеналкила, C1-6 алкокси, C1-6 галогеналкокси, циано-C1-3 алкилена, HO-C1-3 алкилена, C6-10 арила, C6-10 арилокси, C3-10 циклоалкила, 5-10-членного гетероарила, 4-10-членного гетероциклоалкила, C6-10 арил-C1-4 алкилена, C3-10 циклоалкил-C1-4 алкилена, (5-10-членный гетероарил)-C1-4 алкилена, (4-10-членный гетероциклоалкил)-C1-4 алкилена, амино, C1-6 алкиламино, ди(C1-6 алкил)амино, тио, C1-6 алкилтио, C1-6 алкилсульфинила, C1-6 алкилсульфонила, карбамила, C1-6 алкилкарбамила, ди(C1-6 алкил)карбамила, карбокси, C1-6 алкилкарбонила, C1-6 алкоксикарбонила, C1-6 алкилкарбониламино, C1-6 алкилсульфониламино, аминосульфонила, C1-6 алкиламиносульфонила, ди(C1-6 алкил)аминосульфонила, аминосульфониламино, C1-6 алкиламиносульфониламино, ди(C1-6 алкил)аминосульфониламино, аминокарбониламино, C1-6 алкиламинокарбониламино и ди(C1-6 алкил)аминокарбониламино.
В некоторых вариантах реализации R1 выбран из C1-6 алкила, C2-6 алкенила и Cy1, причем указанный C1-6 алкил необязательно замещен 1, 2 или 3 заместителями, независимо выбранными из Cy1.
В некоторых вариантах реализации R1 представляет собой C1-6 алкил, необязательно замещенный 1, 2 или 3 заместителями, независимо выбранными из Cy1.
В некоторых вариантах реализации R1 представляет собой Cy1.
В некоторых вариантах реализации R1 представляет собой C2-6 алкенил.
В некоторых вариантах реализации R2 выбран из H и C1-6 алкила, причем указанный C1-6 алкил необязательно замещен 1, 2 или 3 заместителями, независимо выбранными из Cy1, C(O)NRc1Rd1 и NRc1Rd1.
В некоторых вариантах реализации, R2 представляет собой Н.
В некоторых вариантах реализации R2 представляет собой C1-6 алкил, необязательно замещенный 1, 2 или 3 заместителями, независимо выбранными из Cy1, C(O)NRc1Rd1 и NRc1Rd1.
В некоторых вариантах реализации R2 представляет собой C1-6 алкил, необязательно замещенный группой Cy1.
В некоторых вариантах реализации R2 представляет собой C1-6 алкил, необязательно замещенный группой C(O)NRc1Rd1 или NRc1Rd1.
В некоторых вариантах реализации R2 представляет собой C1-6 алкил, необязательно замещенный группой C(O)NRc1Rd1.
В некоторых вариантах реализации R2 представляет собой C1-6 алкил, необязательно замещенный группой NRc1Rd1. В некоторых вариантах реализации каждый Rc1 и Rd1 представляет собой H. В некоторых вариантах реализации каждый Rc1 и Rd1 представляет собой C1-6 алкил. В некоторых вариантах реализации Rc1 и Rd1 вместе с атомом N, к которому они присоединены, образуют 4-7-членный гетероциклоалкил, необязательно замещенный 1, 2 или 3 заместителями, независимо выбранными из Rg.
В некоторых вариантах реализации каждый R3, R4, R5 и R6 независимо выбран из H и C(O)NRc1Rd1.
В некоторых вариантах реализации каждый R3 и R6 представляет собой H.
В некоторых вариантах реализации R4 представляет собой C(O)NRc1Rd1. В некоторых вариантах реализации каждый R3, R5 и R6 представляет собой H. В некоторых вариантах реализации R5 представляет собой C(O)NRc1Rd1. В некоторых вариантах реализации каждый R3, R4 и R6 представляет собой H. В некоторых вариантах реализации Rc1 представляет собой H, и Rd1 выбран из C6-10 арил-C1-4 алкилена и (5-10-членный гетероарил)-C1-4 алкилена.
В некоторых вариантах реализации каждый Cy1 независимо выбран из C6-10 арила и 4-10-членного гетероциклоалкила, каждый из которых необязательно замещен 1, 2 или 3 заместителями, независимо выбранными из RCy2.
В некоторых вариантах реализации Cy1 представляет собой C6-10 арил (например, фенил), необязательно замещенный 1, 2 или 3 заместителями, независимо выбранными из RCy2.
В некоторых вариантах реализации Cy1 представляет собой 4-10-членный гетероциклоалкил (например, пирролидинил, морфолинил), необязательно замещенный 1, 2 или 3 заместителями, независимо выбранными из RCy2.
В некоторых вариантах реализации каждый RCy2 независимо выбран из галогена, CN, C1-6 алкила, ORa2; причем указанный C1-6 алкил необязательно замещен группой C(O)NRc2Rd2.
В некоторых вариантах реализации RCy2 представляет собой галоген.
В некоторых вариантах реализации RCy2 представляет собой CN, C1-6 алкил или C1-6 алкокси.
В некоторых вариантах реализации RCy2 представляет собой C1-6 алкил, необязательно замещенный группой C(O)NRc2Rd2. В некоторых вариантах реализации Rc2 представляет собой H, и Rd2 выбран из C6-10 арила, 5-10-членного гетероарила, C6-10 арил-C1-4 алкилена и (5-10-членный гетероарил)-C1-4 алкилена, каждый из которых необязательно замещен 1, 2 или 3 заместителями, независимо выбранными из Rg.
В некоторых вариантах реализации каждый Ra1, Rb1, Rc1, Rd1, Ra2, Rb2, Rc2 и Rd2 независимо выбран из H, C1-6 алкила, C6-10 арила, 5-10-членного гетероарила, C6-10 арил-C1-4 алкилена и (5-10-членный гетероарил)-C1-4 алкилена, причем каждый указанный C1-6 алкил, C6-10 арил, 5-10-членный гетероарил, C6-10 арил-C1-4 алкилен и (5-10-членный гетероарил)-C1-4 алкилен необязательно замещен 1, 2 или 3 заместителями, независимо выбранными из Rg.
В некоторых вариантах реализации каждый Rg независимо выбран из галогена, C1-6 алкила и C1-6 алкокси.
В некоторых вариантах реализации:
R1 выбран из C1-6 алкила, C2-6 алкенила и Cy1, причем указанный C1-6 алкил необязательно замещен 1, 2 или 3 заместителями, независимо выбранными из Cy1;
R2 выбран из H и C1-6 алкила, причем указанный C1-6 алкил необязательно замещен 1, 2 или 3 заместителями, независимо выбранными из Cy1, C(O)NRc1Rd1 и NRc1Rd1;
каждый R3, R4, R5 и R6 независимо выбран из H и C(O)NRc1Rd1;
Cy1 независимо выбран из C6-10 арила и 4-10-членного гетероциклоалкила, каждый из которых необязательно замещен 1, 2 или 3 заместителями, независимо выбранными из RCy2;
RCy2 независимо выбран из галогена, CN, C1-6 алкила и ORa2; причем указанный C1-6 алкил необязательно замещен группой C(O)NRc2Rd2;
каждый Ra1, Rb1, Rc1, Rd1, Ra2, Rb2, Rc2 и Rd2 независимо выбран из H, C1-6 алкила, C6-10 арила, 5-10-членного гетероарила, C6-10 арил-C1-4 алкилена и (5-10-членный гетероарил)-C1-4 алкилена, причем каждый указанный C1-6 алкил, C6-10 арил, 5-10-членный гетероарил, C6-10 арил-C1-4 алкилен и (5-10-членный гетероарил)-C1-4 алкилен необязательно замещен 1, 2 или 3 заместителями, независимо выбранными из Rg; и
каждый Rg независимо выбран из галогена, C1-6 алкила и C1-6 алкокси.
В некоторых вариантах реализации соединение формулы (III) или его фармацевтически приемлемая соль представляет собой любое из соединений, представленных в таблице 4.
В некоторых вариантах реализации соль соединения любой из формул, описанных в данном документе, образована между кислотой и основной группой соединения, такой как функциональная аминогруппа, или между основанием и кислотной группой соединения, такой как карбоксильная функциональная группа. В соответствии с другим вариантом реализации, соединение представляет собой фармацевтически приемлемую соль присоединения кислоты.
В некоторых вариантах реализации кислоты, обычно используемые для получения фармацевтически приемлемых солей соединений любой из формул, описанных в данном документе, включают неорганические кислоты, такие как бисульфид водорода, хлористоводородная кислота, бромистоводородная кислота, йодистоводородная кислота, серная кислота и фосфорная кислота, а также органические кислоты, такие как пара-толуолсульфоновая кислота, салициловая кислота, винная кислота, дивинная кислота, аскорбиновая кислота, малеиновая кислота, безиловая кислота, фумаровая кислота, глюконовая кислота, глюкуроновая кислота, муравьиная кислота, глутаминовая кислота, метансульфоновая кислота, этансульфоновая кислота, бензолсульфоновая кислота, молочная кислота, щавелевая кислота, пара-бромфенилсульфоновая кислота, угольная кислота, янтарная кислота, лимонная кислота, бензойная кислота и уксусная кислота, а также родственные неорганические и органические кислоты. Таким образом, указанные фармацевтически приемлемые соли включают сульфатные, пиросульфатные, бисульфатные, сульфитные, бисульфитные, фосфатные, моногидрофосфатные, дигидрофосфатные, метафосфатные, пирофосфатные, хлоридные, бромидные, йодидные, ацетатные, пропионатные, деканоатные, каприлатные, акрилатные, формиатные, изобутиратные, капратные, гептаноатные, пропиолатные, оксалатные, малонатные, сукцинатные, субератные, себацинатные, фумаратные, малеатные, бутин-1,4-диолатные, гексин-1,6-диолатные, бензоатные, хлорбензоатные, метилбензоатные, динитробензоатные, гидроксибензоатные, метоксибензоатные, фталатные, терефталатные, сульфонатные, ксилолсульфонатные, фенилацетатные, фенилпропионатные, фенилбутиратные, цитратные, лактатные, β-гидроксибутиратные, гликолятные, малеатные, тартратные, метансульфонатные, пропансульфонатные, нафталин-1-сульфонатные, нафталин-2-сульфонатные, манделатные и другие соли. В одном варианте реализации фармацевтически приемлемые соли присоединения кислот включают соли, образованные с неорганическими кислотами, такими как хлористоводородная кислота и бромистоводородная кислота, и соли, образованные с органическими кислотами, такими как малеиновая кислота.
В некоторых вариантах реализации основания, обычно используемые для получения фармацевтически приемлемых солей соединений любой из предложенных формул, включают гидроксиды щелочных металлов, включая гидроксиды натрия, калия и лития; гидроксиды щелочноземельных металлов, таких как кальций и магний; гидроксиды других металлов, таких как алюминий и цинк; аммиак, органические амины, такие как незамещенные или гидроксил-замещенные моно-, ди- или триалкиламины, дициклогексиламин; трибутиламин; пиридин; N-метил-, N-этиламин; диэтиламин; триэтиламин; моно-, бис- или трис(2-OH-(C1-C6)-алкиламин), такой как N, N-диметил-N-(2-гидроксиэтил)амин или три-(2-гидроксиэтил)амин; N-метил-D-глюкамин; морфолин; тиоморфолин; пиперидин; пирролидин; и аминокислоты, такие как аргинин, лизин и т.п.
В некоторых вариантах реализации соединения любой из формул, описанных в данном документе, или их фармацевтически приемлемые соли являются по существу выделенными.
В некоторых вариантах реализации соединение любой из формул, описанных в данном документе, или его фармацевтически приемлемая соль может обладать способностью повышать уровни полипептида TFEB в клетке и/или в ядре клетки. Такие клетки могут быть in vitro или in vivo. Например, соединение любой из формул, описанных в данном документе, или его фармацевтически приемлемая соль может обладать способностью повышать уровни полипептида TFEB в ядре клеток, находящихся в организме млекопитающего (например, человека), после введения указанному млекопитающему.
Способы получения терапевтических соединений
Соединения любой из формул, описанных в данном документе, включая их соли, могут быть получены известными способами органического синтеза и могут быть синтезированы в соответствии с любым из множества возможных путей синтеза. Например, соединения, описанные в данном документе, могут быть получены способами и приемами, аналогичными тем, которые описаны в данном документе в примерах 1a-1p. Специалистам в данной области техники известно, как выбирать и осуществлять соответствующие протоколы синтеза, а также понятно, что описанные способы не являются единственно возможным способом синтеза соединений, предложенных в данном документе, и что потенциально можно использовать широкий спектр синтетических органических реакций для синтеза соединений, предложенных в данном документе.
Подходящие способы синтеза исходных веществ, промежуточных соединений и продуктов можно найти со ссылкой на литературные источники, включая следующие справочные материалы: Advances in Heterocyclic Chemistry, тома 1-107 (Elsevier, 1963-2012); Journal of Heterocyclic Chemistry, тома V 1-49 (J. Heterocyclic Chemistry, 1964-2012); Carreira et al., (Ed.) Science of Synthesis, тома 1-48 (2001-2010) и Knowledge Updates KU2010/1-4; 2011/1-4; 2012/1-2 (Thieme, 2001-2012); Katritzky et al., (Ed.) Comprehensive Organic Functional Group Transformations, (Pergamon Press, 1996); Katritzky et al., (ред.) Comprehensive Organic Functional Group Transformations II (Elsevier, 2е изд., 2004); Katritzky et al., (ред.) Comprehensive Heterocyclic Chemistry (Pergamon Press, 1984); Katritzky et al., Comprehensive Heterocyclic Chemistry II, (Pergamon Press, 1996); Smith et al., March's Advanced Organic Chemistry: Reactions, Mechanisms, and Structure, 6е изд. (Wiley, 2007); Trost et al. (ред.) Comprehensive Organic Synthesis (Pergamon Press, 1991).
Реакции получения соединений, предложенных в данном документе, могут быть выполнены в подходящих растворителях, могут быть без труда выбраны специалистом в области органического синтеза. Пригодными растворителями могут быть растворители, по существу не реагирующие с исходными веществами (реагентами), промежуточными соединениями или продуктами при температурах проведения реакции, например, при температурах, которые могут варьироваться от температуры замерзания растворителя до температуры кипения растворителя. Данную реакцию можно проводить в одном растворителе или в смеси более чем одного растворителя. В зависимости от конкретной стадии реакции, пригодные растворители для конкретной стадии реакции могут быть выбраны специалистом в данной области техники.
Получение соединений, предложенных в данном документе, может включать защиту и снятие защиты с различных химических групп. Необходимость защиты или снятия защиты, а также выбор соответствующих защитных групп, может быть без труда установлена специалистом в данной области. Химия защитных групп представлена, например, в публикации P. G. M. Wuts and T. W. Greene, Protective Groups in Organic Synthesis, 4е изд., Wiley & Sons, Inc., Нью-Йорк (2006).
Фармацевтические композиции и лекарственные формы
В данном документе также предложены фармацевтические композиции, содержащие эффективное количество соединения любой из формул (I)-(III), описанных в данном документе, или его фармацевтически приемлемой соли; и фармацевтически приемлемый носитель. Фармацевтическая композиция также может содержать любой из дополнительных терапевтических агентов и/или терапевтических молекул, описанных в данном документе. Носитель(и) является «приемлемым» в том смысле, что он совместим с другими ингредиентами лекарственной формы и, в случае фармацевтически приемлемого носителя, не является вредным для его реципиента в том количестве, в котором он использован в лекарственном средстве.
Фармацевтически приемлемые носители, адъюванты и среды, которые можно использовать в фармацевтических композициях, предложенных в данном документе, включают, без ограничения, ионообменники, оксид алюминия, стеарат алюминия, лецитин, белки сыворотки (например, альбумин сыворотки человека), буферные вещества, такие как фосфаты, глицин, сорбиновую кислоту, сорбат калия, смеси неполных глицеридов насыщенных растительных жирных кислот, воду, соли или электролиты, такие как сульфат протамина, гидрофосфат динатрия, гидрофосфат калия, хлорид натрия, соли цинка, коллоидный диоксид кремния, трисиликат магния, поливинилпирролидон, вещества на основе целлюлозы, полиэтиленгликоль, карбоксиметилцеллюлозу натрия, полиакрилаты, воски, полиэтилен-полиоксипропиленовые блок-полимеры, полиэтиленгликоль и ланолин.
Композиции или лекарственные формы могут содержать любое одно или более соединений или терапевтических агентов, описанных в данном документе, в количестве от 0,005 процента до 100 процентов, причем остальное составляют подходящие фармацевтически приемлемые носители или вспомогательные вещества. Предусмотренные композиции могут содержать от около 0,001 процента до около 100 процентов (например, от около 0,1 процента до около 95 процентов, от около 75 процентов до около 85 процентов или от около 20 процентов до около 80 процентов) любого одного или более соединений или терапевтических агентов, предложенных в данном документе, причем остальное могут составлять любой фармацевтически приемлемый носитель или вспомогательное вещество, описанное в данном документе, или любая комбинация указанных носителей или вспомогательных веществ.
Способы введения и лекарственные формы
Терапевтические соединения и/или фармацевтические композиции, предложенные в данном документе (например, композиция, содержащая одно или более соединений, представленных формулой (I), (IIa-IIi) или (III), или его фармацевтически приемлемую соль), могут включать те, которые пригодны для любого приемлемого способа введения. Приемлемые способы введения включают, без ограничения, буккальный, кожный, эндоцервикальный, эндосинусиальный, эндотрахеальный, энтеральный, эпидуральный, интерстициальный, интраабдоминальный, внутриартериальный, интрабронхиальный, интрабурсальный, интрацеребральный, интрацистернальный, интракоронарный, внутрикожный, интрадуктальный, интрадуоденальный, интрадуральный, интраэпидермальный, интраэзофагеальный, внутрижелудочный, интрагингивальный, интраилеальный, внутрилимфатический, интрамедуллярный, интраменингеальный, внутримышечный, интраназальный, интраовариальный, интрапериотнеальный, интрапростатический, интрапульмональный, интрасинальный, интраспинальный, интрасиновиальный, интратестикулярный, интратекальный, интратубулярный, внутриопухолевый, внутриматочный, интраваскулярный, внутривенный, назальный, назогастральный, пероральный, прентеральный, чрескожный, перидуральный, ректальный, респираторный (ингаляционный), подкожный, сублингвальный, субмукозальный, местный, трансдермальный, трансмукозальный, транстрахеальный, мочеточниковый, уретральный, вагинальный, интравитреальный, субретинальный или другие интраокулярные способы введения.
Композиции и лекарственные формы, описанные в данном документе, для удобства могут быть представлены в единичной лекарственной форме, например, в таблетках, капсулах с устойчивым высвобождением и в липосомах, и могут быть получены любыми способами, известными в области фармацевтики. См., например, Remington: The Science and Practice of Pharmacy, Lippincott Williams & Wilkins, Балтимор, штат Мэриленд (20е изд., 2000). Такие препаративные способы включают, без ограничения, стадию приведения в контакт с молекулой, подлежащей введению, таких ингредиентов как носитель, который составляет один или более вспомогательных ингредиентов. Обычно композиции могут быть получены посредством равномерного и тщательного приведения в контакт активных ингредиентов с жидкими носителями, липосомами или тонкоизмельченными твердыми носителями, или с обоими, с последующим формование продукта, при необходимости.
В некоторых вариантах реализации любое одно или более из соединений или терапевтических агентов, описанных в данном документе, можно вводить перорально. Композиции, описанные в данном документе, которые пригодны для перорального введения, могут быть представлены в виде отдельных единиц, таких как капсулы, саше, гранулы или таблетки, каждая из которых содержит заранее определенное количество (например, эффективное количество) активного ингредиента(ов); в виде порошков или гранул; раствора или суспензии в водной жидкости или неводной жидкости; жидкой эмульсии типа «масло в воде»; жидкой эмульсии типа «вода в масле»; могут быть упакованы в липосомы; или в виде болюса. Мягкие желатиновые капсулы могут быть пригодны для включения таких суспензий, что может преимущественно увеличивать скорость усвоения соединения. В случае таблеток для орального применения, обычно используемые носители включают, без ограничения, лактозу, сахарозу, глюкозу, маннит, кремниевую кислоту и крахмалы. Другие приемлемые вспомогательные вещества могут включать, без ограничения, (a) наполнители или сухие разбавители, такие как крахмалы, лактоза, сахароза, глюкоза, маннит и кремниевая кислота, (b) связующие вещества, такие как карбоксиметилцеллюлоза, альгинаты, желатин, поливинилпирролидинон, сахароза и гуммиарабик, (c) увлажнители, такие как глицерин, (d) с разрыхлители, такие как агар-агар, карбонат кальция, картофельный или тапиоковый крахмал, альгиновая кислота, некоторые силикаты и карбонат натрия, (e) агенты для замедления растворения, такие как парафин, (f) ускорители абсорбции, такие как четвертичные аммониевые соединения, (g) смачивающие агенты, такие как цетиловый спирт и моностеарат глицерина, (h) абсорбенты, такие как каолин и бентонитовая глина, и (i) смазывающие вещества, такие как тальк, стеарат кальция, стеарат магния, твердые полиэтиленгликоли, лаурилсульфат натрия, и их смеси. Для перорального введения в форме капсул применимые разбавители включают, без ограничения, лактозу и высушенный кукурузный крахмал. При пероральном введении водных суспензий активный ингредиент(ы) может быть объединен с эмульгирующими и суспендирующими агентами. При необходимости могут быть добавлены некоторые подсластители и/или ароматизаторы, и/или окрашивающие агенты. Композиции, пригодные для перорального введения, включают, без ограничения, леденцы, содержащие ингредиенты во вкусовой основе, обычно в сахарозе и гуммиарабике или трагаканте; и пастилки, содержащие активный ингредиент(ы) в инертной основе, такой как желатин и глицерин, или сахароза и гуммиарабик.
Композиции, пригодные для парентерального введения, включают, без ограничения, водные и неводные стерильные растворы для инъекций или инфузий, которые могут содержать антиоксиданты, буферы, бактериостаты и растворенные вещества, обеспечивающие изотоничность лекарственной формы с кровью предполагаемого реципиента; а также водные и неводные стерильные суспензии, которые могут содержать суспендирующие агенты и загустители. Лекарственные формы могут быть представлены в форме разовой дозы или в многодозовых контейнерах, например, в запаянных ампулах и флаконах, и могут храниться в высушенном замораживанием (лиофилизированном) состоянии, требующем лишь добавления стерильного жидкого носителя, например, воды для инъекций, солевого раствора (например, 0,9% солевого раствора) или 5% раствора декстрозы, непосредственно перед применением. Инъекционные растворы и суспензии для незамедлительного введения могут быть получены из стерильных порошков, гранул и таблеток. Растворы для инъекций могут быть в форме, например, стерильной водной или маслянистой суспензии для инъекций. Такая суспензия может быть составлена способами, известными в данной области, с использованием подходящих диспергирующих или смачивающих агентов и суспендирующих агентов. Стерильный препарат для инъекций также может быть стерильным раствором или суспензией для инъекций в нетоксичном, приемлемом для парентерального введения разбавителе или растворителе, например, раствором в 1,3-бутандиоле. К приемлемым средам и растворителям, которые могут быть использованы, относятся маннит, вода, раствор Рингера и изотонический раствор хлорида натрия. Кроме того, в качестве растворителя или суспендирующей среды можно использовать стерильные нелетучие масла. Для этой цели можно использовать любые безвкусные нелетучие масла, включая, без ограничения, синтетические моно- или диглицериды. Для получения препаратов для инъекций могут быть использованы жирные кислоты, такие как олеиновая кислота и ее глицеридные производные. В некоторых случаях для получения препаратов для инъекций могут быть использованы природные фармацевтически приемлемые масла, такие как оливковое масло или касторовое масло, особенно в форме их полиоксиэтилированных производных. Такие масляные растворы или суспензии также могут содержать длинноцепочечный спиртовой разбавитель или диспергатор.
В некоторых случаях терапевтическое соединение и/или фармацевтическую композицию, предложенную в данном документе, можно вводить в форме суппозитория для ректального введения. Такие композиции могут быть получены посредством смешивания соединения, описанного в данном документе (например, соединения, представленного формулой (I), (IIa-IIi) или (III), или его фармацевтически приемлемой соли), с подходящим нераздражающим вспомогательным веществом, которое является твердым при комнатной температуре, но жидким при ректальной температуре и, следовательно, плавится в прямой кишке, высвобождая активный компонент(ы). Такие материалы включают, без ограничения, масло какао, пчелиный воск и полиэтиленгликоли.
В некоторых случаях терапевтические соединения и/или фармацевтические композиции, предложенные в данном документе, можно вводить в форме назального аэрозоля или ингаляцией. Такие композиции могут быть получены в соответствии со способами, известными в области составления фармацевтических препаратов, и могут быть получены в виде растворов в солевом растворе с использованием бензилового спирта или других подходящих консервантов, ускорителей абсорбции для повышения биодоступности, фторуглеродов и/или других солюбилизирующих или диспергирующих агентов, известных в данной области техники. См., например, патент США № 6803031. Дополнительные лекарственные формы и способы интраназального введения представлены в публикациях Ilium, L., J. Pharm. Pharmacol., 56:3-17 (2004); и Ilium, L., Eur. J. Pharm. Sci., 11:1-18 (2000).
В некоторых случаях терапевтические соединения и/или фармацевтические композиции, предложенные в данном документе, могут быть получены в виде композиции для местного применения и использованы в форме аэрозольного спрея, крема, эмульсии, твердого вещества, жидкости, дисперсии, пены, масла, геля, гидрогеля, лосьона, мусса, мази, порошка, пластыря, помады, раствора, спрея с дозатором, стика, влажной салфетки, мыла или в других формах, обычно используемых для местного введения и/или в косметических составах и средствах для ухода за кожей. Композиции для местного применения могут быть в форме эмульсии. Местное введение терапевтических соединений и/или фармацевтических композиций, предложенных в данном документе, может быть удобным, если требуемое лечение предусматривает лечение зон или органов, легко доступных при местном нанесении. В некоторых случаях композиция для местного применения может содержать комбинацию любого одного или более соединений или терапевтических агентов, описанных в данном документе (например, соединение, представленное формулой (I), (IIa-IIi) или (III), или его фармацевтически приемлемая соль), и один или более дополнительных ингредиентов, носителей, вспомогательных веществ или разбавителей, включая, без ограничения, абсорбенты, средства против раздражения, противоугревые агенты, консерванты, антиоксиданты, окрашивающие агенты/пигменты, мягчители (увлажнители), эмульгаторы, пленкообразующие/удерживающие агенты, ароматизаторы, не требующие смывания отшелушивающие агенты, рецептурные лекарства, консерванты, скрабы, кремнийорганические соединения, идентичные коже/восстанавливающие агенты, скользящие агенты, солнцезащитные активные вещества, поверхностно-активные/моющие очищающие агенты, усилители проницаемости и загустители.
В некоторых случаях одно или более соединений или терапевтических агентов, описанных в данном документе (например, соединение, представленное формулой (I), (IIa-IIi) или (III), или его фармацевтически приемлемая соль), могут быть введены в композицию для покрытия имплантируемого медицинского устройства, такого как протез, искусственный клапан, сосудистый трансплантат, стент или катетер. Подходящие покрытия и общие способы получения имплантируемых устройств с покрытием известны в данной области техники и представлены на примерах в патентах США № 6099562; 5886026; и 5304121. Покрытия могут представлять собой биосовместимые полимерные материалы, такие как гидрогелевый полимер, полиметилдисилоксан, поликапролактон, полиэтиенгликоль, полимолочная кислота, этиленвинилацетат или их смесь. В некоторых случаях указанное покрытие может быть дополнительно покрыто подходящим поверхностным покрытием из фторсиликона, полисахаридов, полиэтиленгликоля, фосфолипидов или их комбинаций для обеспечения свойств контролируемого высвобождения предложенной композиции.
В некоторых случаях в данном документе предложено имплантируемое устройство для высвобождения лекарственного соединения, пропитанное или содержащее одно или более соединений или терапевтических агентов, описанных в данном документе (например, соединение, представленное формулой (I), (IIa-IIi) или (III), или его фармацевтически приемлемую соль), так что указанное соединение(ия) или терапевтический агент(ы) высвобождаются из указанного устройства и являются терапевтически активными.
Дозы и схемы введения
Композиция (например, фармацевтические композиции, предложенные в данном документе), содержащая соединение, предложенное в данном документе (например, соединение, представленное формулой (I), (IIa-IIi) или (III), или его фармацевтически приемлемую соль), может содержать указанное соединение в эффективном количестве (например, в терапевтически эффективном количестве).
Эффективные дозы могут варьироваться в зависимости от заболеваний, подлежащих лечению, тяжести заболевания, способа введения, пола, возраста и общего состояния здоровья субъекта, используемого вспомогательного вещества, возможности совместного использования с другими терапевтическими средствами лечения, например, возможности использования с другими агентами, а также от решения лечащего врача.
В некоторых вариантах реализации эффективное количество соединения любой из формул (I)-(III) или его фармацевтически приемлемой соли может составлять, например, от около 0,1 мг до около 1000 мг. В некоторых случаях эффективное количество может составлять от около 0,5 мг до около 500 мг соединения, описанного в данном документе, или любое количество между указанными двумя значениями, например, около 0,5 мг, около 1 мг, около 2 мг, около 5 мг, около 10 мг, около 20 мг, около 50 мг, около 100 мг, около 200 мг, около 250 мг, около 300 мг, около 400 мг или около 500 мг. Эффективное количество может представлять собой количество, достаточное для облегчения или уменьшения одного или более симптомов, связанных с заболеванием, расстройством или патологическим состоянием, подлежащим лечению, как описано в данном документе.
В некоторых случаях эффективное количество соединения любой из формул (I)-(III) или его фармацевтически приемлемой соли может составлять, например, от около 0,001 мг/кг до около 500 мг/кг (например, от около 0.001 мг/кг до около 200 мг/кг; от около 0,01 мг/кг до около 200 мг/кг; от около 0,01 мг/кг до около 150 мг/кг; от около 0,01 мг/кг до около 100 мг/кг; от около 0,01 мг/кг до около 50 мг/кг; от около 0,01 мг/кг до около 10 мг/кг; от около 0,01 мг/кг до около 5 мг/кг; от около 0,01 мг/кг до около 1 мг/кг; от около 0,01 мг/кг до около 0,5 мг/кг; от около 0,01 мг/кг до около 0,1 мг/кг; от около 0, 1 мг/кг до около 200 мг/кг; от около 0,1 мг/кг до около 150 мг/кг; от около 0,1 мг/кг до около 100 мг/кг; от около 0,1 мг/кг до около 50 мг/кг; от около 0, 1 мг/кг до около 10 мг/кг; от около 0,1 мг/кг до около 5 мг/кг; от около 0,1 мг/кг до около 2 мг/кг; от около 0,1 мг/кг до около 1 мг/кг; от около 0,1 мг/кг до около 0,5 мг/кг или от около 0,5 мг/кг до около 500 мг/кг),
В некоторых случаях эффективное количество соединения любой из формул (I)-(III) или его фармацевтически приемлемой соли может составлять около 0,1 мг/кг, около 0,5 мг/кг, около 1 мг/кг, около 2 мг/кг или около 5 мг/кг.
Вышеуказанные дозы можно вводить на ежедневной основе (например, в виде однократной дозы или в виде двух или более дробных доз, например, один раз в сутки, два раза в сутки, три раза в сутки) или на не ежедневной основе (например, через день, через два дня, через три дня, один раз в неделю, два раза в неделю, один раз в две недели или один раз в месяц). В некоторых случаях дозы можно вводить каждые 4 часа, 6 часов, 8 часов, 12 часов или 24 часа.
Наборы
В данном документе также предложены фармацевтические наборы, пригодные, например, для повышения уровней полипептида TFEB в клетках и/или в ядре клеток в организме млекопитающего (например, человека). В некоторых случаях в данном документе предложены фармацевтические наборы, пригодные, например, для лечения заболеваний, расстройств и патологических состояний, упомянутых в данном документе. Такие фармацевтические наборы могут содержать один или более контейнеров, содержащих фармацевтическую композицию, которая содержит терапевтически эффективное количество соединения, предложенного в данном документе (например, соединения, представленного формулой (I), (IIa-IIi) или (III), или его фармацевтически приемлемой соли). В некоторых случаях такие наборы могут дополнительно содержать, при необходимости, один или более различных стандартных компонентов фармацевтических наборов, таких как контейнеры с одним или более фармацевтически приемлемыми носителями. В набор, предложенный в данном документе, также могут быть включены инструкции в виде вкладышей или этикеток, где указаны количества компонентов для введения, инструкции по введению и/или руководства по смешиванию компонентов.
Комбинированная терапия
В некоторых случаях одно или более соединений, предложенных в данном документе (например, соединение формулы (I), (IIa-IIi) или (III), или его фармацевтически приемлемая соль), могут быть объединены с одной или более терапевтическими молекулами. Примеры терапевтических молекул, которые можно использовать в комбинации с одним или более соединениями, предложенными в данном документе (например, с соединением, представленным формулой (I), (IIa-IIi) или (III), или с его фармацевтически приемлемой солью), включают, без ограничения, ферментозаместительную терапию (например, одобренную ферментную терапию) для LSD (например, фабразим или церезим). В таких случаях добавление одного или более таких соединений может способствовать лечению заболевания центральной нервной системы, недоступного для ферментозаместительной терапии вследствие ограничений, накладываемых гематоэнцефалическим барьером на белки сыворотки. В некоторых случаях добавление одного или более таких соединений может усиливать клеточное усвоение данного терапевтического белка, предназначенного для замещения лизосомального фермента, на периферии посредством усиления экспрессии рецептора манноза-6-фосфата, транскрипционной мишени TFEB, и опосредованного данным рецептором механизма, посредством которого происходит проникновение ферментозаместительного терапевтического агента в пораженную клетку или ткань. Дополнительные примеры терапевтических молекул, которые можно использовать в комбинации с одним или более соединениями, предложенными в данном документе (например, с соединением, представленным формулой (I), (IIa-IIi) или (III), или с его фармацевтически приемлемой солью), включают, без ограничения, противовоспалительные агенты (например, стероиды и антитела против IL-6 или TNF-альфа), противомикробные агенты (например, антибиотики, антимикобактериальные лекарства и противовирусные агенты), противораковые агенты (например, химиотерапевтические агенты и клеточные продукты, такие как сконструированные T-клетки), агенты против старения (например, никотинамид-рибозид или рапамицин), неврологические агенты (например, L-DOPA, мемантин и рилузол), терапевтические средства лечения нейродегенеративных заболеваний (например, эдаравон или тетрабеназин) и агенты, используемые для лечения хронической дисфункции органов (например, ингибитор ACE и лактулоза).
Одно или более соединений, предложенных в данном документе (например, соединение формулы (I), (IIa-IIi) или (III), или его фармацевтически приемлемую соль), и одну или более терапевтических молекул можно вводить в любом порядке или одновременно. При одновременном введении они могут быть представлены в одной объединенной форме или в нескольких формах (например, в форме одной пилюли или в форме двух отдельных пилюль). Один из агентов может быть представлен в виде нескольких доз, или оба агента могут быть представлены в виде нескольких доз. При неодновременном введении время между несколькими дозами может варьироваться от более нуля недель до менее четырех недель.
Определения
В данном контексте термин «около» означает «приблизительно» (например, плюс или минус приблизительно 10% от указанного значения).
В различных местах данного документа заместители соединений, предложенных в данном документе, описаны в группах или в диапазонах. Специально предусмотрено, что такие группы и диапазоны включают все и каждую отдельную подкомбинацию членов таких групп и диапазонов. Например, термин «C1-6 алкил» специально подразумевает отдельное описание метила, этила, C3 алкила, C4 алкила, C5 алкила и C6 алкила.
В различных местах данного документа описаны различные арильные, гетероарильные, циклоалкильные и гетероциклоалкильные кольца. Если не указано иное, то указанные кольца могут быть присоединены к остальной части молекулы у любого члена кольца, если это допустимо валентностью. Например, термин «пиридиновое кольцо» или «пиридинил» может относиться к пиридин-2-ильному, пиридин-3-ильному или пиридин-4-ильному кольцу.
Дополнительно следует понимать, что некоторые признаки, описанные в данном документе, которые для ясности описаны в контексте отдельных вариантов реализации, также могут быть представлены в виде комбинации в составе одного варианта реализации. И наоборот, некоторые признаки, описанные в данном документе, которые для краткости описаны в контексте одного варианта реализации, также могут быть представлены по отдельности или в любой подходящей подкомбинации.
Термин «ароматический» относится к карбоциклу или гетероциклу, содержащему одно или более полиненасыщенных колец, имеющих ароматический характер (т.е. содержащих (4n+2) делокализованных π (пи) электронов, где n представляет собой целое число).
Термин «n-членный», где n представляет собой целое число, обычно описывает количество атомов, образующих кольцо, во фрагменте, причем количество атомов, образующих кольцо, равно n. Например, пиперидинил представляет собой пример 6-членного гетероциклоалкильного кольца, пиразолил представляет собой пример 5-членного гетероарильного кольца, пиридил представляет собой пример 6-членного гетероарильного кольца, и 1,2,3,4-тетрагидронафталин представляет собой пример 10-членной циклоалкильной группы.
В данном контексте выражение «необязательно замещенный» означает незамещенный или замещенный. Заместители выбраны независимо, и замещение может быть в любом химически допустимом положении. В данном контексте термин «замещенный» означает, что атом водорода удален и заменен заместителем. Один двухвалентный заместитель, например, оксо, может заменять два атома водорода. Следует понимать, что замещение у данного атома ограничено валентностью.
В контексте определений термин «Cn-m» означает диапазон, который включает крайние значения, где n и m представляют собой целые числа и указывают количество атомов углерода. Примеры включают C1-4, C1-6 и т.п.
В данном контексте термин «Cn-m алкил», используемый отдельно или в комбинации с другими терминами, относится к насыщенной углеводородной группе, которая может быть неразветвленной или разветвленной, содержащей от n до m атомов углерода. Примеры алкильных фрагментов включают, без ограничения, такие химические группы как метил, этил, н-пропил, изопропил, н-бутил, трет-бутил, изобутил, втор-бутил; высшие гомологи, такие как 2-метил-1-бутил, н-пентил, 3-пентил, н-гексил, 1,2,2-триметилпропил и т.п. В некоторых вариантах реализации алкильная группа содержит от 1 до 6 атомов углерода, от 1 до 4 атомов углерода, от 1 до 3 атомов углерода или от 1 до 2 атомов углерода.
В данном контексте термин «Cn-m галогеналкил», используемый отдельно или в комбинации с другими терминами, относится к алкильной группе, содержащей от одного атома галогена до 2s+1 атомов галогена, которые могут быть одинаковыми или различными, причем «s» представляет собой количество атомов углерода в алкильной группе, и указанная алкильная группа содержит от n до m атомов углерода. В некоторых вариантах реализации, галогеналкильная группа является только фторированной. В некоторых вариантах реализации алкильная группа содержит от 1 до 6, от 1 до 4 или от 1 до 3 атомов углерода.
В данном контексте термин «Cn-m алкенил» относится к алкильной группе, содержащей одну или более двойных углерод-углеродных связей и содержащей от n до m атомов углерода. Примеры алкенильных групп включают, без ограничения, этенил, н-пропенил, изопропенил, н-бутенил, втор-бутенил и т.п. В некоторых вариантах реализации алкенильный фрагмент содержит от 2 до 6, от 2 до 4 или от 2 до 3 атомов углерода.
В данном контексте термин «Cn-m алкинил» относится к алкильной группе, содержащей одну или более тройных углерод-углеродных связей и содержащей от n до m атомов углерода. Примеры алкинильны групп включают, без ограничения, этинил, пропин-1-ил, пропин-2-ил и т.п. В некоторых вариантах реализации алкинильный фрагмент содержит от 2 до 6, от 2 до 4 или от 2 до 3 атомов углерода.
В данном контексте термин «Cn-m алкилен», используемый отдельно или в комбинации с другими терминами, относится к двухвалентной алкильной линкерной группе, содержащей от n до m атомов углерода. Примеры алкиленовых групп включают, без ограничения, этан-1,1-диил, этан-1,2-диил, пропан-1,1-диил, пропан-1,3-диил, пропан-1,2-диил, бутан-1,4-диил, бутан-1,3-диил, бутан-1,2-диил, 2-метилпропан-1,3-диил и т.п. В некоторых вариантах реализации алкиленовый фрагмент содержит от 2 до 6, от 2 до 4, от 2 до 3, от 1 до 6, от 1 до 4 или от 1 до 2 атомов углерода.
В данном контексте термин «Cn-m алкокси», используемый отдельно или в комбинации в другими терминами, относится к группе формулы -О-алкил, в которой алкильная группа содержит от n до m атомов углерода. Примеры алкокси-групп включают, без ограничения, метокси, этокси, пропокси (например, н-пропокси и изопропокси), бутокси (например, н-бутокси и трет-бутокси) и т.п. В некоторых вариантах реализации алкильная группа содержит от 1 до 6, от 1 до 4 или от 1 до 3 атомов углерода.
В данном контексте «Cn-m галогеналкокси» относится к группе формулы -O-галогеналкил, содержащей от n до m атомов углерода. Пример галогеналкокси-группы представляет собой OCF3. В некоторых вариантах реализации галогеналкокси-группа является только фторированной. В некоторых вариантах реализации алкильная группа содержит от 1 до 6, от 1 до 4 или от 1 до 3 атомов углерода.
В данном контексте термин «амино» относится к группе формулы -NH2.
В данном контексте термин «Cn-m алкиламино» относится к группе формулы -NH(алкил), в которой алкильная группа содержит от n до m атомов углерода. В некоторых вариантах реализации алкильная группа содержит от 1 до 6, от 1 до 4 или от 1 до 3 атомов углерода. Примеры алкиламино-групп включают, без ограничения, N-метиламино, N-этиламино, N-пропиламино (например, N-(н-пропил)амино и N-изопропиламино), N-бутиламино (например, N-(н-бутил)амино и N-(трет-бутил)амино) и т.п.
В данном контексте термин «ди(Cn-m-алкил)амино» относится к группе формулы -N(алкил)2, в которой две алкильные группы, каждая независимо, содержат от n до m атомов углерода. В некоторых вариантах реализации каждая алкильная группа независимо содержит от 1 до 6, от 1 до 4 или от 1 до 3 атомов углерода.
В данном контексте термин «Cn-m алкоксикарбонил» относится к группе формулы -C(O)O-алкил, в которой алкильная группа содержит от n до m атомов углерода. В некоторых вариантах реализации алкильная группа содержит от 1 до 6, от 1 до 4 или от 1 до 3 атомов углерода. Примеры алкоксикарбонильных групп включают, без ограничения, метоксикарбонил, этоксикарбонил, пропоксикарбонил (например, н-пропоксикарбонил и изопропоксикарбонил), бутоксикарбонил (например, н-бутоксикарбонил и трет-бутоксикарбонил) и т.п.
В данном контексте термин «Cn-m алкилкарбонил» относится к группе формулы -C(O)-алкил, в которой алкильная группа содержит от n до m атомов углерода. В некоторых вариантах реализации алкильная группа содержит от 1 до 6, от 1 до 4 или от 1 до 3 атомов углерода. Примеры алкилкарбонильных групп включают, без ограничения, метилкарбонил, этилкарбонил, пропилкарбонил (например, н-пропилкарбонил и изопропилкарбонил), бутилкарбонил (например, н-бутилкарбонил и трет-бутилкарбонил) и т.п.
В данном контексте термин «Cn-m алкилкарбониламино» относится к группе формулы -NHC(O)-алкил, в которой алкильная группа содержит от n до m атомов углерода. В некоторых вариантах реализации алкильная группа содержит от 1 до 6, от 1 до 4 или от 1 до 3 атомов углерода.
В данном контексте термин «Cn-m алкилсульфониламино» относится к группе формулы -NHS(O)2-алкил, в которой алкильная группа содержит от n до m атомов углерода. В некоторых вариантах реализации алкильная группа содержит от 1 до 6, от 1 до 4 или от 1 до 3 атомов углерода.
В данном документе термин «аминосульфонил» относится к группе формулы -S(O)2NH2.
В данном контексте термин «Cn-m алкиламиносульфонил» относится к группе формулы -S(O)2NH(алкил), в которой алкильная группа содержит от n до m атомов углерода. В некоторых вариантах реализации алкильная группа содержит от 1 до 6, от 1 до 4 или от 1 до 3 атомов углерода.
В данном контексте термин «ди(Cn-m алкил)аминосульфонил» относится к группе формулы -S(O)2N(алкил)2, в которой каждая алкильная группа независимо содержит от n до m атомов углерода. В некоторых вариантах реализации каждая алкильная группа независимо содержит от 1 до 6, от 1 до 4 или от 1 до 3 атомов углерода.
В данном контексте термин «аминосульфониламино» относится к группе формулы -NHS(O)2NH2.
В данном контексте термин «Cn-m алкиламиносульфониламино» относится к группе формулы -NHS(O)2NH(алкил), в которой алкильная группа содержит от n до m атомов углерода. В некоторых вариантах реализации алкильная группа содержит от 1 до 6, от 1 до 4 или от 1 до 3 атомов углерода.
В данном контексте термин «ди(Cn-m алкил)аминосульфониламино» относится к группе формулы -NHS(O)2N(алкил)2, в которой каждая алкильная группа независимо содержит от n до m атомов углерода. В некоторых вариантах реализации каждая алкильная группа независимо содержит от 1 до 6, от 1 до 4 или от 1 до 3 атомов углерода.
В данном контексте термин «аминокарбониламино», используемый отдельно или в комбинации с другими терминами, относится к группе формулы -NHC(O)NH2.
В данном контексте термин «Cn-m алкиламинокарбониламино» относится к группе формулы -NHC(O)NH(алкил), в которой алкильная группа содержит от n до m атомов углерода. В некоторых вариантах реализации алкильная группа содержит от 1 до 6, от 1 до 4 или от 1 до 3 атомов углерода.
В данном контексте термин «ди(Cn-m алкил)аминокарбониламино» относится к группе формулы -NHC(O)N(алкил)2, в которой каждая алкильная группа независимо содержит от n до m атомов углерода. В некоторых вариантах реализации каждая алкильная группа независимо содержит от 1 до 6, от 1 до 4 или от 1 до 3 атомов углерода.
В данном контексте термин «карбамил» относится к группе формулы -C(O)NH2.
В данном контексте термин «Cn-m алкилкарбамил» относится к группе формулы -C(O)-NH(алкил), в которой алкильная группа содержит от n до m атомов углерода. В некоторых вариантах реализации алкильная группа содержит от 1 до 6, от 1 до 4 или от 1 до 3 атомов углерода.
В данном контексте термин «ди(Cn-m -алкил)карбамил» относится к группе формулы -C(O)N(алкил)2, в которой две алкильные группы, каждая независимо, содержат от n до m атомов углерода. В некоторых вариантах реализации каждая алкильная группа независимо содержит от 1 до 6, от 1 до 4 или от 1 до 3 атомов углерода.
В данном контексте термин «тио» относится к группе формулы -SН.
В данном контексте термин «Cn-m алкилтио» относится к группе формулы -S-алкил, в которой алкильная группа содержит от n до m атомов углерода. В некоторых вариантах реализации алкильная группа содержит от 1 до 6, от 1 до 4 или от 1 до 3 атомов углерода.
В данном контексте термин «Cn-m алкилсульфинил» относится к группе формулы -S(O)-алкил, в которой алкильная группа содержит от n до m атомов углерода. В некоторых вариантах реализации алкильная группа содержит от 1 до 6, от 1 до 4 или от 1 до 3 атомов углерода.
В данном контексте термин «Cn-m алкилсульфонил» относится к группе формулы -S(O)2-алкил, в которой алкильная группа содержит от n до m атомов углерода. В некоторых вариантах реализации алкильная группа содержит от 1 до 6, от 1 до 4 или от 1 до 3 атомов углерода.
В данном контексте термин «карбонил», используемый отдельно или в комбинации с другими терминами, относится к группе -C(=O)-, которая также может быть записана как C(O).
В данном контексте термин «карбокси» относится к группе -C(O)OH. В некоторых вариантах реализации «карбокси» группа также относится к биоизостерной группе заместителя, выбранной из группы, состоящей из:
и т.п., где R относится к водороду, (C1-C8) алкилу или C6 арилу.
В данном контексте термин «циано-C1-3 алкил» относится к группе формулы -(C1-3 алкилен)-CN.
В данном контексте термин «HO-C1-3 алкил» относится к группе формулы -(C1-3 алкилен)-OH.
В данном контексте «галоген» относится к F, Cl, Br или I. В некоторых вариантах реализации, галоген представляет собой F, Cl или Br.
В данном контексте термин «арил», используемый отдельно или в комбинации с другими терминами, относится к ароматической углеводородной группе, которая может быть моноциклической или полициклической (например, содержащей 2, 3 или 4 конденсированных кольца). Термин «Cn-m арил» относится к арильной группе, содержащей от n до m кольцевых атомов углерода. Арильные группы включают, например, фенил, нафтил, антраценил, фенантренил, инданил, инденил и т.п. В некоторых вариантах реализации арильные группы могут содержать от 6 до 10 атомов углерода. В некоторых вариантах реализации арильная группа представляет собой фенил или нафтил.
В данном контексте «циклоалкил» относится к неароматическим циклическим углеводородам, включая циклизованные алкильные и/или алкенильные группы. Циклоалкильные группы могут включать моно- или полициклические (например, содержащие 2, 3 или 4 конденсированных кольца) группы и спироциклы. Образующие кольцо атомы углерода циклоалкильной группы могут быть необязательно замещены 1 или 2 независимо выбранными оксо- или сульфидными группами (например, C(O) или C(S)). Также в определение циклоалкила включены фрагменты, которые содержат одно или более ароматических или неароматических колец, конденсированных (то есть, имеющих общую связь) с циклоалкильным кольцом, например, бензо- или тиенильные производные циклопентана, циклогексана и т.п. Циклоалкильная группа, содержащая конденсированное ароматическое кольцо, может быть присоединена через любой образующий кольцо атом, включая кольцевой атом конденсированного ароматического кольца. Циклоалкильная группа может содержать конденсированное гетероциклоалкильное кольцо, которое само может быть конденсировано с другим кольцом, таким как ароматическое кольцо. В таком случае циклоалкильная группа может быть присоединена через любой атом, образующий кольцо, включая образующие кольцо атомы гетероциклоалкильного кольца или ароматического кольца. Циклоалкильные группы могут содержать 3, 4, 5, 6, 7, 8, 9 или 10 атомов углерода, образующих кольцо (C3-10). Циклоалкильные группы также могут содержать 3, 4, 5, 6, 7, 8, 9, 10, 11, 12, 13 или 14 атомов, образующих кольцо (атомов углерода или гетероатомов, если циклоалкильная группа конденсирована с гетероциклоалкильным кольцом) (C3-14 циклоалкил). В некоторых вариантах реализации циклоалкил представляет собой C3-10 моноциклический или бициклический циклоалкил. В некоторых вариантах реализации циклоалкил представляет собой C3-7 моноциклический циклоалкил. В некоторых вариантах реализации циклоалкил представляет собой C3-14 бициклический или трициклический циклоалкил. Примеры циклоалкильных групп включают, без ограничения, циклопропил, циклобутил, циклопентил, циклогексил, циклогептил, циклопентенил, циклогексенил, циклогексадиенил, циклогептатриенил, норборнил, норпинил, норкарнил, адамантил и т.п. В некоторых вариантах реализации циклоалкил представляет собой циклопропил, циклобутил, циклопентил или циклогексил.
В данном контексте «гетероарил» относится к моноциклическому или полициклическому ароматическому гетероциклу, содержащему по меньшей мере один кольцевой гетероатом, выбранный из серы, кислорода и азота. В некоторых вариантах реализации гетероарильное кольцо содержит 1, 2, 3 или 4 кольцевых гетероатома, независимо выбранных из азота, серы и кислорода. В некоторых вариантах реализации любой образующий кольцо атом N в гетероарильном фрагменте может представлять собой N-оксид. В некоторых вариантах реализации гетероарил представляет собой 5-10-членны моноциклический или бициклический гетероарил, содержащий 1, 2, 3 или 4 кольцевых гетероатома, независимо выбранных из азота, серы и кислорода. В некоторых вариантах реализации гетероарил представляет собой 5-14-членны моноциклический, бициклический или трициклический гетероарил, содержащий 1, 2, 3 или 4 кольцевых гетероатома, независимо выбранных из азота, серы и кислорода. В некоторых вариантах реализации гетероарильное кольцо представляет собой 5-6-членный моноциклический гетероарил, содержащий 1 или 2 кольцевых гетероатома, независимо выбранных из азота, серы и кислорода. В некоторых вариантах реализации гетероарил представляет собой пятичленное или шестичленное гетероарильное кольцо. Пятичленное гетероарильное кольцо представляет собой гетероарил с кольцом, содержащим пять кольцевых атомов, причем один или более (например, 1, 2 или 3) кольцевых атомов независимо выбраны из N, O и S. Иллюстративные пятичленные кольцевые гетероарилы включают, без ограничения, тиенил, фурил, пирролил, имидазолил, тиазолил, оксазолил, пиразолил, изотиазолил, изоксазолил, 1,2,3-триазолил, тетразолил, 1,2,3-тиадиазолил, 1,2,3-оксадиазолил, 1,2,4-триазолил, 1,2,4-тиадиазолил, 1,2,4-оксадиазолил, 1,3,4-триазолил, 1,3,4-тиадиазолил и 1,3,4-оксадиазолил. Шестичленное гетероарильное кольцо представляет собой гетероарил с кольцом, содержащим шесть кольцевых атомов, причем один или более (например, 1, 2 или 3) кольцевых атомов независимо выбраны из N, O и S. Иллюстративные шестичленные кольцевые гетероарилы включают, без ограничения, пиридил, пиразинил, пиримидинил, триазинил и пиридазинил.
В данном контексте «гетероциклоалкил» относится к неароматическим моноциклическим или полициклическим гетероциклам, содержащим один или более образующих кольцо гетероатомов, выбранных из O, N или S. В термин «гетероциклоалкил» включены моноциклические 4-, 5-, 6-, 7-, 8-, 9- или 10-членные гетероциклоалкильные группы. В термин «гетероциклоалкил» включены моно-, би-, три- и тетрациклические 4-, 5-, 6-, 7-, 8-, 9-, 10-, 11-, 12-, 13- или 14-членные гетероциклоалкильные группы. Гетероциклоалкильные группы также могут содержать спироциклы. Примеры гетероциклоалкильных групп включают, без ограничения, пирролидин-2-он, 1,3-изоксазолидин-2-он, пиранил, тетрагидропиран, оксетанил, азетидинил, морфолино, тиоморфолино, пиперазинил, тетрагидрофуранил, тетрагидротиенил, пиперидинил, пирролидинил, изоксазолидинил, изотиазолидинил, пиразолидинил, оксазолидинил, тиазолидинил, имидазолидинил, азепанил, бензазапен и т.п. Образующие кольцо атомы углерода и гетероатомы гетероциклоалкильной группы могут быть необязательно замещены 1 или 2 независимо выбранными оксо- или сульфидо-группами (например, C(O), S(O), C(S) или S(O)2 и т.д.). Гетероциклоалкильная группа может быть присоединена через кольцевой атом углерода или кольцевой гетероатом. В некоторых вариантах реализации гетероциклоалкильная группа содержит от 0 до 3 двойных связей. В некоторых вариантах реализации гетероциклоалкильная группа содержит от 0 до 2 двойных связей. В определение гетероциклоалкила включены также фрагменты, которые содержат одно или более ароматических или неароматических колец, конденсированных (т.е. имеющих общую связь) с гетероциклоалкильным кольцом, например, бензо- или тиенильные производные пиперидина, морфолина, азепина и т.д. Гетероциклоалкильная группа, содержащая конденсированное ароматическое кольцо, может быть присоединена через любой атом, образующий кольцо, включая кольцевой атом конденсированного ароматического кольца. В некоторых вариантах реализации гетероциклоалкил представляет собой моноциклический 4-6-членный гетероциклоалкил, содержащий 1 или 2 гетероатома, независимо выбранных из азота, кислорода или серы, и содержащий один или более окисленных членов кольца. В некоторых вариантах реализации гетероциклоалкил представляет собой моноциклический или бициклический 4-10-членный гетероциклоалкил, содержащий 1, 2, 3 или 4 гетероатома, независимо выбранных из азота, кислорода или серы, и содержащий один или более окисленных членов кольца.
В некоторых случаях указанные определения или варианты реализации относятся к конкретным кольцам (например, к азетидиновому кольцу, пиридиновому кольцу и т.д.). Если не указано иное, указанные кольца могут быть присоединены к любому члену кольца, при условии, что не превышена валентность указанного атома. Например, азетидиновое кольцо может быть присоединено в любом положении кольца, тогда как пиридин-3-ильное кольцо присоединено в 3-положении.
В данном контексте термин «оксо» относится к атому кислорода как к двухвалентному заместителю, образующему карбонильную группу при присоединении к атому углерода (например, C=O) или при присоединении к гетероатому с образованием сульфоксидной или сульфоновой группы.
Термин «соединение» в данном контексте включает все стереоизомеры, геометрические изомеры, таутомеры и изотопы изображенных структур. Предусмотрено, что соединения, указанные в настоящем документе по названию или структуре как одна конкретная таутомерная форма, включают другие таутомерные формы, если не указано иное.
Соединения, описанные в данном документе, могут быть асимметричными (например, содержащими один или более стереоцентров). Предусмотрены все стереоизомеры, такие как энантиомеры и диастереомеры, если не указано иное. Соединения, предложенные в данном документе, которые содержат асимметрично замещенные атомы углерода, могут быть выделены в оптически активных или рацемических формах. Для получения оптически активных форм, например, из оптически неактивных исходных веществ, можно использовать любой подходящий способ. Например, для получения оптически активных форм соединения, предложенного в данном документе, можно использовать такие технологии как разделение рацемических смесей или стереоселективный синтез. В соединении, описанном в данном документе, также могут присутствовать многие геометрические изомеры олефинов, двойных связей C=N, двойных связей N=N и т.п., и все такие стабильные изомеры предусмотрены в данном документе. Описаны цис- и транс-геометрические изомеры соединений, предложенных в данном документе, и они могут быть выделены в виде смеси изомеров или как отдельные изомерные формы. В некоторых вариантах реализации соединение, предложенное в данном документе, имеет (R)-конфигурацию. В некоторых вариантах реализации соединение, предложенное в данном документе, имеет (S)-конфигурацию.
Соединения, предложенные в данном документе, также включают таутомерные формы. Таутомерные формы возникают в результате обмена одинарной связи и соседней двойной связью, вместе с сопутствующей миграцией протона. Таутомерные формы включают прототропные таутомеры, которые представляют собой изомерные состояния протонирования, имеющие одинаковую эмпирическую формулу и общий заряд. Примеры прототропных таутомеров включают, без ограничения кетон-енольные пары, амид-имидные кислотные пары, лактам-лактимные пары, енамин-иминные пары и кольцевые формы, в которых протон может занимать два или более положений гетероциклической системы, например, 1H- и 3H-имидазол, 1H-, 2H- и 4H-1,2,4-триазол, 1H- и 2H-изоиндол, и 1H- и 2H-пиразол. Таутомерные формы могут находиться в равновесии или быть стерически заблокированными в одной форме при помощи соответствующего замещения. Например, в водном растворе пиразолы могут иметь следующие изомерные формы, которые называются таутомерами друг друга:
Как понятно специалистам в данной области техники, таутомерию может проявлять широкий ряд функциональных групп и других структур, и все таутомеры соединений, описанных в данном документе, входят в объем данного описания.
В данном контексте термин «клетка» относится к клетке, которая находится in vitro, ex vivo или in vivo. В некоторых вариантах реализации ex vivo клетка может быть частью образца ткани, вырезанного из организма, такого как млекопитающее (например, человек). В некоторых вариантах реализации in vitro клетка может быть клеткой в клеточной культуре. В некоторых вариантах реализации in vivo клетка представляет собой живую клетку организма, такого как млекопитающее (например, человек).
В данном контексте термин «приведение в контакт» относится к приведению во взаимодействие указанных фрагментов или элементов в системе in vitro, в системе ex vivo или в системе in vivo. Например, «приведение в контакт» клетки с соединением, предложенным в данном документе, включает акт введения указанного соединения млекопитающему (например, человеку), содержащему указанную клетку, а также, например, введение указанного соединения в клеточную культуру, содержащую указанную клетку.
В данном контексте термин «млекопитающее» включает, без ограничения, мышей, крыс, других грызунов, кроликов, собак, кошек, свиней, крупный рогатый скот, овец, лошадей, слонов, оленей, низших приматов (например, обезьян и человекообразных), домашних питомцев и людей.
В данном контексте выражение «эффективное количество» или «терапевтически эффективное количество» относится к такому количеству активного соединения или фармацевтического агента, которое вызывает биологический или медицинский ответ, ожидаемый исследователем, ветеринаром, лечащим врачом или другим клиницистом, в ткани, системе, организме млекопитающего или человека.
В данном контексте «лечить» или «лечение» относится к (a) замедлению заболевания, расстройства или патологического состояния, например, к замедлению заболевания, расстройства или патологического состояния у млекопитающего (например, человека), который испытывает или проявляет патологию или симптоматологию указанного заболевания, расстройства или патологического состояния (например, к остановке дальнейшего развития патологии и/или симптоматологии), или (b) облегчению заболевания, расстройства или патологического состояния, например, к облегчению заболевания, расстройства или патологического состояния у млекопитающего (например, человека), который испытывает или проявляет патологию или симптоматологию указанного заболевания, расстройства или патологического состояния (например, к реверсированию патологии и/или симптоматологии).
В данном контексте термин «предупреждать» или «предупреждение» заболевания, расстройства или патологического состояния относится к снижению риска возникновения заболевания, расстройства или патологического состояния у млекопитающего или группы млекопитающих (например, у млекопитающего или группы млекопитающих, предрасположенных или восприимчивых к указанному заболеванию, расстройству или патологическому состоянию). В некоторых вариантах реализации предупреждение заболевания, расстройства или патологического состояния относится к снижению вероятности приобретения заболевания, расстройства или патологического состояния и/или связанных с ним симптомов. В некоторых вариантах реализации предупреждение заболевания, расстройства или патологического состояния относится к полному или почти полному прекращению возникновения заболевания, расстройства или патологического состояния.
ПРИМЕРЫ
Материалы и способы
Все реакции в неводных средах проводили в атмосфере азота в высушенной в печи или на огне стеклянной посуде, если не указано иное. Безводный тетрагидрофуран и диэтиловый эфир перегоняли из растворов бензофенонкетила натрия; безводный дихлорметан и толуол перегоняли над CaH2; альтернативно, те же растворители получали на системе очистки растворителей, используя колонки из оксида алюминия. Все остальные растворители и реагенты использовали в том виде, в котором они были приобретены у коммерческих поставщиков, без дополнительной очистки, если не указано иное. За ходом реакции следили с помощью ТСХ, используя 250 мкм планшеты, предварительно покрытые силикагелем 60 F254, которые визуализировали при УФ свете при 254 нм и/или 365 нм с окрашиванием с помощью KMnO4 (1,5 г KMnO4, 10 г K2CO3 и 1,25 мл 10% NaOH в 200 мл воды), молибдата церия (0,5 г Ce(NH4)2(NO3)6, 12 г (NH4)6Mo7O24•4H2O и 28 мл конц. H2SO4 в 235 мл воды) или ванилина (6 г ванилина и 1,5 мл конц. H2SO4 в 100 мл EtOH). Флэш-хроматографию проводили на силикагеле SiliCycle 60 (230-400 меш) или на системе ISCO MPLC. Спектры 1H и 13C ЯМР записывали на спектрометрах Bruker Avance 300, 400 или 500 МГц, используя остаточный растворитель в качестве внутреннего стандарта. ИК спектры записывали на приборе Smiths IdentifyIR ил PerkinElmer Spectrum 100. Данные МСВР записывали на приборе Thermo Scientific Exactive HRMS, подключенном к системе Thermo Scientific Accela HPLC, используя колонку C18 Waters XTerra 2,1×50 мм, 3,5 мкм, элюируя смесью MeCN/H2O, содержащей 0,1% муравьиной кислоты. Чистоту соединений оценивали на той же системе ВЭЖХ, используя детектор с фотодиодной матрицей (PDA) или испарительный детектор светорассеяния (ELSD) Agilent 385. Все образцы для окончательного скрининга прошли контроль качества по чистоте >95%, по данным анализа ЖХ/МС/ELSD.
Общая схема синтеза
Например, для получения соединений формулы (I), где n равен 1, и L представляет собой NH (1), эквимолярные количества 4-хлорхиназолинового аналога (2) и амина (3) смешивают в подходящем растворителе (например, изопропаноле). Полученную реакционную смесь перемешивают и кипятят с обратным холодильником, например, в течение 4 часов. За ходом реакции следят способами, известными в данной области техники. После расходования исходного вещества реакционную смесь концентрируют и очищают требуемое соединение препаративной ТСХ или флэш-хроматографией. Продукты могут быть дополнительно очищены кристаллизацией способами, известными в данной области техники. На приведенной общей схеме X1, X2, X3, X4, X5, X6, RA и RB являются такими, как описано в данном документе, и LG представляет собой уходящую группу (например, Cl, Br, I или OTf). Соединения формулы (I), где L отличен от NH, могут быть получены из аналогичных исходных веществ с использованием реакций и способов синтеза, известных в данной области техники. Опытный специалист может выбрать и осуществить на практике подходящие протоколы и условия реакции.
Пример 1a. Синтез соединения 8 (BC18618)
Получение соединения 3 :
К раствору 1 (1 г, 5,0 ммоль, 1 экв.) в i-PrOH (20 мл) добавляли 2 (615 мг, 5,5 ммоль, 1,1 экв.) и DIEA (1,29 г, 10 ммоль, 2 экв.). Реакционную смесь перемешивали при 85°C в течение ночи. Смесь концентрировали и очищали остаток колоночной хроматографией на диоксиде кремния (PE/EA, 2:1) с получением 1,2 г 3 (желтое маслянистое вещество, 87%). МС (ИЭР) m/z: 274 [M+H]+
Получение соединения 8 (BC18618)
К раствору 3 (273 мг, 1 ммоль, 1 экв.) в смеси диоксан/H2O (1:1, 15 мл) добавляли 4 (248 мг, 2 ммоль, 2 экв.), K2CO3 (276 мг, 2 ммоль, 2 экв.) и Pd(PPh3)4 (124 мг, 0,1 ммоль, 0,1 экв.) в атмосфере N2. Смесь перемешивали при 115°C в течение ночи. Затем смесь фильтровали и промывали осадок на фильтре MeOH с получением 205 мг BC18618 (соединения 8) (грязновато-белое твердое вещество, 52%).
МС (ИЭР) m/z: 318 [M+H]+, 316 [M-H]-
1H ЯМР (400 МГц, ДМСО) δ 10,10 (с, 1H), 9,57 (с, 2H), 9,28 (с, 1H), 8,57 (д, J=8,1 Гц, 1H), 7,92-7,88 (м, 3H), 7,73 (д, J=8,2 Гц, 1H), 7,67 (дт, J=7,3, 3,8 Гц, 1H), 7,48 (дд, J=15,4, 8,2 Гц, 1H), 6,99 (тд, J=8,5, 2,0 Гц, 1H).
Пример 1b. Синтез соединения 76 (BC18703)
Общий способ получения соединения 3:
К раствору 1 (0,5 г, 2,51 ммоль, 1 экв.) в i-PrOH (15 мл) добавляли 2 (367 мг, 2,76 ммоль, 1,1 экв.) и DIEA (650 мг, 5,02 ммоль, 2 экв.). Реакционную смесь перемешивали при 85°C в течение ночи. Раствор концентрировали и очищали остаток колоночной хроматографией на диоксиде кремния (PE/EA, 2:1) с получением 0,45 г 3 (желтое маслянистое вещество, 61%). МС (ИЭР) m/z: 296 [M+H]+
Общий способ получения соединения 5
К раствору 3 (0,4 г, 1,36 ммоль, 1 экв.) в смеси диоксан/H2O (2:1, 1,5 мл) добавляли 4 (632 мг, 2,04 ммоль, 1,5 экв.), K2CO3 (844 мг, 6,12 ммоль, 4,5 экв.) и PdCl2(dppf) (95 мг, 0,13 ммоль, 0,1 экв.) в атмосфере N2. Смесь перемешивали при 85°C в течение ночи. Смесь фильтровали и промывали осадок на фильтре EA. Органическую фазу промывали насыщенным солевым раствором, затем сушили и концентрировали. Остаток очищали колоночной хроматографией на диоксиде кремния (PE/EA, 5:1) с получением 0,4 г 5 (желтое твердое вещество, 70%). МС (ИЭР) m/z: 443 [M+H]+.
Общий способ получения соединения 6
К раствору 5 (0,2 г, 0,45 ммоль, 1 экв.) в MeOH (5 мл) добавляли Pd(OH)2 (30 мг, 15% мас./мас.) в атмосфере N2. Систему три раза вакуумировали и наполняли H2. После перемешивания при комнатной температуре в течение ночи смесь фильтровали и концентрировали фильтрат с получением 0,16 г 6 (бесцветное маслянистое вещество, 80%). МС (ИЭР) m/z: 445 [M+H]+.
Общий способ получения соединения BC18703
К раствору 6 (160 мг) в MeOH (2 мл) добавляли 3 M HCl/EA (4 мл). После перемешивания при комнатной температуре в течение 2 часов раствор концентрировали с получением 120 мг BC18703 (серое твердое вещество, 88%). МС (ИЭР) m/z: 345 [M+H]+, 343 [M-H]-
1H ЯМР (400 МГц, ДМСО) δ 11,85 (с, 1H), 9,13 (д, J=11,3 Гц, 1H), 8,96 (д, J=8,4 Гц, 1H), 8,22 (с, 1H), 8,14 (с, 1H), 8,07-8,03 (м, 2H), 7,79 (ддд, J=8,2, 5,3, 2,6 Гц, 1H), 7,75 (дд, J=9,0, 1,6 Гц, 1H), 7,65 (д, J=9,0 Гц, 1H), 3,36-3,33 (м, 1H), 3,29 (д, J=11,7 Гц, 2H), 2,94 (дд, J=21,0, 11,0 Гц, 2H), 2,11 (д, J=13,0 Гц, 2H), 2,05-1,92 (м, 2H).
Пример 1c. Синтез соединения 78 (BC18705)
Общий способ получения соединения 3
К раствору 1 (200 мг, 1,0 ммоль, 1 экв.) в i-PrOH (3 мл) добавляли DIEA (284 мг, 2,0 ммоль, 2 экв.) и 2 (146 мг, 1,1 ммоль, 1,1 экв.). Реакционную смесь перемешивали при 85°C в течение ночи. Раствор концентрировали и очищали остаток колоночной хроматографией на диоксиде кремния (PE/EA, 2:1) с получением 150 мг 3 (желтое твердое вещество, 76%). МС (ИЭР) m/z: 295 [M+H]+
Общий способ получения соединения BC18705
К раствору 3 (100 мг, 0,339 ммоль, 1 экв.) в смеси диоксан/H2O (1:1, 3 мл) добавляли 4 (215 мг, 1,02 ммоль, 3 экв.), K2CO3 (210 мг, 1,5 ммоль, 4,5 экв.) и Pd(dppf)Cl2 (25 мг, 0,034 ммоль, 0,1 экв.) в атмосфере N2. Смесь перемешивали при 95°C в течение ночи. Смесь концентрировали и очищали остаток препаративной ВЭЖХ с получением 5 мг BC18705 (грязновато-белое твердое вещество, 4%). МС (ИЭР) m/z: 344 [M+H]+, 342 [M-H]-
1H ЯМР (400 МГц, ДМСО) δ 11,09 (с, 1H), 9,88 (с, 1H), 9,11 (с, 1H), 8,54 (д, J=8,2 Гц, 1H), 8,45 (с, 1H), 8,03 (с, 1H), 7,88-7,69 (м, 2H), 7,62-7,47 (м, 20H), 7,43 (д, J=8,6 Гц, 1H), 7,34 (т, J=2,7 Гц, 1H), 6,46 (с, 1H).
Пример 1d. Синтез соединения 383 (BC18829)
Общий способ получения соединения 3-1
К раствору 1 (0,2 г, 1,01 ммоль, 1 экв.) в i-PrOH (3 мл) добавляли 2 (148 мг, 1,11 ммоль, 1,1 экв.) и DIEA (260 мг, 2,02 ммоль, 2 экв.). Реакционную смесь перемешивали при 85°C в течение ночи. Реакционную смесь фильтровали. Осадок на фильтре сушили с получением 0,29 г 3-1 (желтое твердое вещество, 97%). МС (ИЭР) m/z: 297 [M+H]+.
Общий способ получения соединения BC18829
К раствору 3-1 (50 мг, 0,17 ммоль, 1 экв.) в смеси диоксан/H2O (4:1, 5 мл) добавляли 4-1 (40 мг, 0,19 ммоль, 1,1 экв.), K2CO3 (47 мг, 0,34 ммоль, 2 экв.) и PdCl2(dppf) (25 мг, 0,03 ммоль, 0,2 экв.) в атмосфере N2. Смесь перемешивали при 95°C в течение 4 часов. Смесь фильтровали. Осадок на фильтре промывали EA, и органическую фазу сушили и концентрировали. Остаток очищали препаративной ТСХ (ДХМ/MeOH, 10:1) с получением 5 мг BC18829 (коричневое твердое вещество, 9%). МС (ИЭР) m/z: 346 [M+H]+, 344 [M-H]-
1H ЯМР (400 МГц, ДМСО) δ 10,77 (с, 1H), 9,37-9,15 (м, 2H), 9,06 (с, 1H), 8,63 (дд, J=7,1, 5,9 Гц, 1H), 8,37-8,05 (м, 2H), 7,89-7,48 (м, 3H).
Пример 1e. Синтез соединения 384 (BC18830)
Общий способ получения соединения 3-2
К раствору 1 (0,2 г, 1,01 ммоль, 1 экв.) в i-PrOH (3 мл) добавляли 2 (167 мг, 1,11 ммоль, 1,1 экв.) и DIEA (260 мг, 2,02 ммоль, 2 экв.). Реакционную смесь перемешивали при 85°C в течение ночи. Реакционную смесь фильтровали. Осадок на фильтре сушили с получением 0,3 г 3-2 (желтое твердое вещество, 96%). МС (ИЭР) m/z: 314 [M+H]+
Общий способ получения соединения BC18830
К раствору 3-2 (0,1 г, 0,32 ммоль, 1 экв.) в ДМСО (5 мл) добавляли 4-2 (34 мг, 0,38 ммоль, 1,2 экв.) и DIEA (83 мг, 0,64 ммоль, 2 экв.). Реакционную смесь перемешивали при 95°C в течение 2 часов и гасили, добавляя H2O (5 мл). Смесь экстрагировали EA (10 мл×2). Органическую фазу сушили и концентрировали. Остаток очищали препаративной ТСХ с получением 49 мг BC18830 (желтое твердое вещество, 42%). МС (ИЭР) m/z: 365 [M+H]+, 363 [M-H]-.
1H ЯМР (400 МГц, ДМСО) δ 11,59 (с, 1H), 9,86 (с, 1H), 8,77-8,60 (м, 2H), 7,66 (с, 1H), 7,47-7,28 (м, 2H), 7,23-7,11 (м, 1H), 6,50 (с, 1H), 3,73 (шс, 4H), 3,62 (д, J=3,7 Гц, 7H).
Пример 1f. Синтез соединения 385 (BC18831)
Общий способ получения соединения 3-3
К раствору 3-2 (полученного в примере 1e) (150 мг, 0,48 ммоль, 1 экв.) в смеси диоксан/H2O (4:1, 5 мл) добавляли 2-3 (185 мг, 0,53 ммоль, 1,1 экв.), K2CO3 (133 мг, 0,96 ммоль, 2 экв.) и Pd(dppf)Cl2 (37 мг, 0,05 ммоль, 0,1 экв.) в атмосфере N2. Смесь перемешивали при 95°C в течение 4 часов. Смесь фильтровали. Осадок на фильтре промывали EA, и органическую фазу сушили и концентрировали с получением 245 мг 3-3 (желтое твердое вещество, 100%). МС (ИЭР) m/z: 483 [M+H]+
Общий способ получения соединения BC18831
К раствору 3-3 (245 мг, неочищенное, 0,51 ммоль, 1 экв.) в ТГФ (2 мл) добавляли 1 M TBAF в ТГФ (1,02 мл, 1,02 ммоль, 2 экв.). Реакционную смесь перемешивали при комнатной температуре в течение 4 часов. Смесь концентрировали и очищали остаток препаративной ВЭЖХ с получением 44 мг BC18831 (желтое твердое вещество, 25%). МС (ИЭР) m/z: 345 [M+H]+, 343 [M-H]-
1H ЯМР (400 МГц, ДМСО) δ 11,58 (с, 1H), 11,18 (с, 1H), 9,83 (с, 1H), 8,88 (дд, J=15,9, 5,5 Гц, 2H), 8,13 (с, 1H), 7,92 (с, 1H), 7,66 (д, J=13,9 Гц, 1H), 7,50 (д, J=1,2 Гц, 1H), 7,47-7,37 (м, 2H), 6,82 (д, J=2,1 Гц, 1H), 6,71 (д, J=1,3 Гц, 1H), 6,57-6,50 (м, 1H).
Пример 1g. Синтез соединения 43 (BC18663)
Общий способ получения соединения 3
К раствору 1 (1,5 г, 6,1 ммоль, 1 экв.) в ДМСО (6 мл) добавляли 2 (1,1 г, 9,1 ммоль, 1,5 экв.), карбонат цезия (4,0 г, 12,2 моль, 2,0 экв.) и бромид меди (I) (86 мг, 0,6 ммоль, 0,1 экв.). Смесь перемешивали при 80°C в течение 4 часов. Смесь разбавляли водой (30 мл). Твердое вещество, выпавшее в осадок, собирали и сушили с получением 1,3 г 3 (серое твердое вещество, 96%). МС (ИЭР) m/z: 223 [M+H]+
Общий способ получения соединения 4
К раствору соединения 3 (220 мг, 1,0 ммоль, 1 экв.) в ДМСО (0,6 мл) добавляли оксихлорид фосфора (465 мл, 5,0 ммоль, 5 экв.). Смесь перемешивали при 80°C в течение 3,5 часа. После завершения реакции смесь выливали в лед (~1 г). Твердое вещество собирали и сушили с получением 200 мг 4 (желтое твердое вещество, 84%). МС (ИЭР) m/z: 241 [M+H]+
Общий способ получения соединения BC18663
К раствору 4 (83 мг, 0,35 ммоль, 1,0 экв.) в 4 M растворе HCl/диоксан (2 мл) добавляли 5 (58 мг, 0,53 ммоль, 1,5 экв.). Реакционную смесь перемешивали при 92°C в течение 96 часов. Раствор концентрировали и очищали остаток препаративной ВЭЖХ с получением 19 мг BC18663 (желтое твердое вещество, 18%). МС (ИЭР) m/z: 316 [M+H]+, 314 [M-H]-
1H ЯМР (400 МГц, ДМСО) δ 9,50 (с, 1H), 8,67 (дд, J=4,6, 1,6 Гц, 2H), 8,56 (д, J=8,7 Гц, 1H), 8,05 (дд, J=4,5, 1,7 Гц, 3H), 8,00-7,91 (м, 2H), 7,83-7,72 (м, 2H), 7,68 (ддд, J=8,2, 6,9, 1,3 Гц, 1H), 7,39 (дд, J=15,3, 8,2 Гц, 1H), 6,82 (тд, J=8,1, 1,9 Гц, 1H).
Пример 1h. Синтез соединения 48 (BC18668)
Общий способ получения соединения BC18668
К раствору 6 (57 мг, 0,43 ммоль, 1 экв.) в ДМФА (2 мл) добавляли 60% NaH (52 мг, 1,29 ммоль, 3 экв.) при 0 °C. Смесь перемешивали в течение 10 минут и затем добавляли 4 (полученное в примере 1g) (103 мг, 0,43 ммоль, 1 экв.). Смесь перемешивали при 80°C в течение 3 часов. Добавляли воду (10 мл). Твердое вещество, выпавшее в осадок, собирали и очищали препаративной ВЭЖХ с получением 31 мг BC18668 (белое твердое вещество, 22%). МС (ИЭР) m/z: 338 [M+H]+
1H ЯМР (400 МГц, ДМСО) δ 8,73 (д, J=6,1 Гц, 2H), 8,70-8,63 (м, 2H), 8,23-8,17 (м, 4H), 8,15 (д, J=8,0 Гц, 1H), 7,86 (т, J=7,5 Гц, 1H), 7,77-7,69 (м, 1H), 7,54 (д, J=8,6 Гц, 1H), 7,22 (с, 1H), 6,67 (дд, J=8,6, 1,7 Гц, 1H), 5,60 (с, 2H).
Пример 1i. Синтез соединения 69 (BC18689)
Общий способ получения соединения BC18689
К раствору 2 (111 мг, 1,0 ммоль, 1,2 экв.) в ДМФА (4 мл) добавляли 60% NaH (100 мг, 2,49 ммоль, 3 экв.) при 0°C и перемешивали смесь в течение 15 минут, затем в полученный раствор добавляли 1 (полученное в соответствии с тем же литературным источником, 0,2 г, 0,83 ммоль, 1 экв.). Смесь нагревали до 80°C в течение 3 часов. После охлаждения до комнатной температуры медленно добавляли H2O (5 мл). Смесь экстрагировали EA (10 мл×2) и концентрировали органическую фазу. Остаток очищали препаративной ТСХ с получением 187 мг BC18689 (белое твердое вещество, 72%). МС (ИЭР) m/z: 316 [M+H]+
1H ЯМР (400 МГц, ДМСО) δ 9,25 (с, 1H), 8,67 (дд, J=4,5, 1,6 Гц, 2H), 8,37 (дд, J=8,2, 0,8 Гц, 1H), 8,01-7,96 (м, 3H), 7,76 (ддд, J=8,3, 6,8, 1,2 Гц, 1H), 7,61 (с, 1H), 7,58 (ддд, J=8,2, 7,0, 1,2 Гц, 1H), 7,47-7,40 (м, 1H), 7,29 (дд, J=7,7, 2,3 Гц, 1H), 7,24 (дт, J=11,1, 2,3 Гц, 1H), 6,93 (тд, J=8,5, 2,4 Гц, 1H).
Пример 1j. Синтез соединения 126 (BC18763)
Общий способ получения соединения 3
К раствору 1 (7,7 г, 56 ммоль, 1,0 экв.) в ДМФА (80 мл) добавляли 2 (8,2 г, 67,2 ммоль, 1,2 экв.), HATU (27,6 г, 73 ммоль, 1,3 экв.) и DIEA (14,4 г, 112 ммоль, 2,0 экв.) в атмосфере N2. Реакционную смесь перемешивали при комнатной температуре в течение ночи. Реакционную смесь концентрировали и очищали остаток колоночной хроматографией на диоксиде кремния (ДХМ/MeOH, 50:1) с получением 11,5 г 3 (желтое твердое вещество, 85%). МС (ИЭР) m/z: 243 [M+H]+
Общий способ получения соединения 4
Раствор 3 (2 г, 8,26 ммоль, 1,0 экв.) в KOH (1 н., 20 мл) нагревали до 100 °С и перемешивали в течение 3 часов. ТСХ показала, что осталось соединение 3. рН смеси доводили до 7 водным раствором HCl (4 M). Смесь фильтровали. Твердое вещество, выпавшее в осадок, собирали и сушили с получением 1, 4 г 4 (белое твердое вещество, 70%). МС (ИЭР) m/z: 225 [M+H]+
Общий способ получения соединения 5
Раствор 4 (1,4 г, 6,3 ммоль, 1,0 экв.) в POCl3 (10 мл) перемешивали при 100 °С в течение ночи. Реакционную смесь концентрировали и доводили остаток до pH 9~10 насыщенным раствором Na2CO3. Смесь экстрагировали CHCl3 (15 мл×3), и органическую фазу сушили и концентрировали с получением 750 мг 5 (желтое твердое вещество, 50%). МС (ИЭР) m/z: 243 [M+H]+
Общий способ получения соединения BC18763
К раствору 5 (50 мг, 0,21 ммоль, 1 экв.) в i-PrOH (3 мл) добавляли 6-1 (33 мг, 0,23 ммоль, 1,1 экв.). Реакционную смесь перемешивали при 85°C в течение ночи. Реакционную смесь фильтровали. Осадок на фильтре промывали i-PrOH и сушили с получением 30,1 мг BC18763 (коричневое твердое вещество, 41%). МС (ИЭР) m/z: 353 [M+H]+, 351 [M-H]-
1H ЯМР (400 МГц, ДМСО) δ 11,26 (с, 1H), 10,81 (с, 1H), 10,05 (с, 1H), 8,80 (д, J=37,3 Гц, 3H), 8,18 (с, 2H), 7,84 (д, J=5,4 Гц, 1H), 7,51-7,25 (м, 2H), 7,16 (д, J=8,3 Гц, 1H), 6,55 (с, 1H), 2,47 (с, 3H)
Пример 1k. Синтез соединения 127 (BC18764)
Общий способ получения соединения BC18764
К раствору 5 (полученного в примере 1j) (100 мг, 0,21 ммоль, 1 экв.) в i-PrOH (3 мл) добавляли 6-2 (33 мг, 0,23ммоль, 1,1 экв.). Реакционную смесь перемешивали при 85°C в течение ночи. Реакционную смесь концентрировали и очищали остаток препаративной ВЭЖХ с получением 10.6 мг BC18764 (коричневое твердое вещество, 8%). МС (ИЭР) m/z: 351 [M+H]+, 349 [M-H]-
1H ЯМР (400 МГц, ДМСО) δ 10,85 (с, 1H), 9,95 (с, 1H), 8,85 (д, J=5,7 Гц, 2H), 8,76 (д, J=5,9 Гц, 2H), 8,55 (д, J=2,0 Гц, 1H), 8,42 (д, J=7,6 Гц, 1H), 8,27 (дд, J=5,4, 3,7 Гц, 3H), 8,11 (д, J=9,2 Гц, 1H), 7,77 (д, J=5,9 Гц, 1H), 7,55 (дд, J=8,1, 4,2 Гц, 1H).
Пример 1l. Синтез соединения 120 (BC18757)
Общий способ получения соединения BC18757
К раствору 5 (полученного в примере 1j) (100 мг, 0,41 ммоль, 1 экв.) в i-PrOH (3 мл) добавляли 6-3 (86 мг, 0,45 ммоль, 1,1 экв.). Реакционную смесь перемешивали при 85°C в течение ночи. Реакционную смесь концентрировали и очищали остаток препаративной ВЭЖХ с получением 20 мг BC18757 (желтое твердое вещество, 11%). МС (ИЭР) m/z: 399 [M+H]+, 397 [M-H]-
1H ЯМР (400 МГц, ДМСО) δ 10,67 (с, 1H), 9,84 (с, 1H), 8,80 (д, J=5,8 Гц, 1H), 8,69 (д, J=5,5 Гц, 2H), 8,52 (д, J=1,8 Гц, 1H), 8,15 (д, J=5,8 Гц, 2H), 7,99 (д, J=8,7 Гц, 1H), 7,89 (дд, J=8,8, 1,9 Гц, 1H), 7,70 (д, J=5,7 Гц, 1H), 4,26 (с, 1H), 1,40 (д, J=6,9 Гц, 6H).
Пример 1m. Синтез соединения 83 (BC18711)
Общий способ получения соединения 3
К раствору 1 (1,0 г, 5,0 ммоль, 1 экв.) в i-PrOH (15 мл) добавляли 2 (726 мг, 5,5 ммоль, 1,1 экв.) и DIEA (1,29 г, 10,0 ммоль, 2 экв.). Реакционную смесь перемешивали при 85°C в течение 4 часов. Смесь фильтровали. Осадок на фильтре промывали i-PrOH и сушили с получением 1,2 г 3 (желтое твердое вещество, 81%). МС (ИЭР) m/z: 296 [M+H]+
Общий способ получения соединения BC18711
К раствору 3 (700 мг, 2,36 ммоль, 1 экв.) в смеси диоксан/H2O (4:1, 10 мл) добавляли 4 (348 мг, 2,83 ммоль, 1,2 экв.), K2CO3 (651 мг, 4,72 ммоль, 2 экв.) и PdCl2(dppf) (176 мг, 0,24 ммоль, 0,1 экв.) в атмосфере N2. Смесь перемешивали при 119°C в течение ночи. Смесь фильтровали. Осадок на фильтре промывали EA, и органическую фазу сушили и концентрировали. Остаток очищали препаративной ВЭЖХ с получением 34 мг BC18711 (серое твердое вещество, 5%). МС (ИЭР) m/z: 339 [M+H]+, 337 [M-H]-
1H ЯМР (400 МГц, ДМСО) δ 12,33 (с, 1H), 11,43 (с, 1H), 10,09 (дд, J=4,2, 1,4 Гц, 1H), 9,92 (д, J=5,4 Гц, 2H), 9,44 (ддд, J=11,0, 6,8, 1,8 Гц, 4H), 9,09 (дд, J=8,5, 4,2 Гц, 1H), 8,89 (дд, J=8,7, 1,9 Гц, 1H), 8,65 (д, J=8,7 Гц, 1H), 8,56 (т, J=2,7 Гц, 1H), 7,68 (с, 1H).
Пример 1n. Синтез промежуточного соединения 8 (пригодного для получения соединения BC18847)
Общий способ получения соединения 6
Соединение 5 (44 г, 225 ммоль, 1 экв.), трет-бутилнитрит (45 мл, 375 ммоль, 1,67 экв.) и CuBr2 (60 г, 270 ммоль, 1,2 экв.) суспендировали в ацетонитриле (500 мл, 10 об.) и перемешивали при комнатной температуре в течение 1-2 часов. За ходом реакции следили с помощью ТСХ (PE:EA 5:1). Полученную реакционную смесь гасили 1 н. водным раствором HCl (3 л) и экстрагировали CH2Cl2 (3×2 л). Объединенные органические слои сушили над Na2SO4 и концентрировали с получением соединения 6 (66,4 г, 99%) в виде желтого порошка, который использовали на следующей стадии без дополнительной очистки. МС (ИЭР) m/z: 259 [M+H]+.
Общий способ получения соединения 7
К раствору 6 (50,0 г, 194 ммоль, 1,0 экв.) в смеси толуол/H2O (об./об.=2:1, 2 л) добавляли 6-1 (50 г, 581 ммоль, 3,0 экв.), Cs2CO3 (126 г, 389 ммоль, 2,0 экв.) и Pd(dppf)Cl2 (14,2 г, 19,4 ммоль, 0,1 экв.). Смесь три раза вакуумировали и наполняли Ar, и затем перемешивали при 100°C в течение ночи. Смесь фильтровали через слой целита и промывали этилацетатом (мл). Органические слои промывали водой и насыщенным солевым раствором, и сушили над сульфатом натрия. Концентрировали и очищали остаток колоночной хроматографией на диоксиде кремния (PE/EA, 10:1) с получением 19,1 г 7 (грязновато-белое твердое вещество, 45%).
Общий способ получения соединения 8
К раствору соединения 7 (20,0 г, 90,9 ммоль, 1,0 экв.) в MeOH (200 мл) добавляли 10% Pd-C (6 г, 20% мас./мас.) и перемешивали в атмосфере H2 при комнатной температуре в течение 3~4 часов. ТСХ показала, что осталось соединение 7, добавляли еще одну порцию Pd-C (6 г, 20% мас./мас.) и продолжали перемешивать реакционную смесь при комнатной температуре в течение 4~6 часов. ТСХ показала отсутствие соединения 7, но два пятна по ТСХ. Добавляли еще одну порцию Pd-C (6 г, 20% мас./мас.) и продолжали перемешивать реакционную смесь при комнатной температуре в течение 3~5 часов. За ходом реакции следили с помощью ВЭЖХ. После того как ТСХ показала только одно пятно, смесь фильтровали через целит, промывали метанолом (50 мл) и концентрировали фильтрат с получением неочищенного продукта, который перекристаллизовали из EA с получением 12,1 г 8 (серое твердое вещество, 73%). МС (ИЭР) m/z: 191 [M+H]+
Пример 1o. Синтез соединения 241 (BC18847)
Общий способ получения соединения 2
Соединение 1 (150,0 г, 960 ммоль, 1,0 экв.), 1-(пиридин-4-ил)этанон (174,0 г, 1,44 моль, 1,5 экв.), карбонат цезия (630 г, 1,93 моль, 2,0 экв.) и бромид меди (I) (13,8 г, 9,6 ммоль, 0,1 экв.) растворяли в N, N-диметилформамиде (750 мл) и перемешивали при 80°C в течение ночи, смесь разбавляли водой (2 л). Твердое вещество отфильтровывали, промывали водой и сушили с получением черного остатка (175,2 г), который использовали для следующей стадии без дополнительной очистки.
Общий способ получения соединения 3
Раствор соединения 2 (175,2 г) в оксихлориде фосфора (500 мл) перемешивали при 110°C в течение ночи и следили за ходом реакции с помощью ЖХМС. Избыток оксихлорида фосфора отгоняли при пониженном давлении. В систему добавляли EA (400 мл) и воду (200 мл). Смесь доводили до pH 7 насыщенным водным раствором NaHCO3. Водную фазу экстрагировали EA (500 мл×3). Органическую фазу промывали насыщенным солевым раствором и сушили над безводным сульфатом натрия, и концентрировали с получением неочищенного продукта, который очищали колоночной хроматографией на силикагеле (EA:PE=от 10:1 до 1:1) с получением 14,5 г 3 (желтое твердое вещество, 7%, 2 стадии). МС (ИЭР) m/z: 242 [M+H]+
Общий способ получения соединения 4
К суспензии NaH (2,4 г, 100 ммоль, 3 экв.) в ДМФА (65 мл) при 0°C добавляли амин 8 (5,3 г, 33,7 ммоль, 1,01 экв.). Смесь перемешивали при комнатной температуре в течение 30 минут. К полученной смеси добавляли соединение 3 (8,0 г, 33,2 ммоль, 1 экв.). Смесь перемешивали при 80°C в течение 16 часов. После завершения реакции смесь охлаждали до комнатной температуры и медленно добавляли воду (350 мл). Собранное твердое вещество растирали с EA и сушили с получением 9,7 г 4 (желтое твердое вещество, 74%). МС (ИЭР) m/z: 396 [M+H]+, 394 [M-H]-
Общий способ получения соединения BC18847
К раствору соединения 4 (30 г, 75,9 ммоль, 1 экв.) в ACN (60 мл) добавляли 1 н. HCl (114 мл, 113,9 ммоль, 1,5 экв.). Смесь перемешивали в течение 0,5 часа. Затем смесь лиофилизировали с получением 32 г BC18847 (красное твердое вещество, 97%). МС (ИЭР) m/z: 396 [M+H]+, 394 [M-H]-
1H ЯМР (400 МГц, ДМСО) δ 9,02-8,91 (м, 2H), 8,71 (д, J=6,4 Гц, 2H), 8,37 (д, J=6,5 Гц, 2H), 8,18 (д, J=1,5 Гц, 1H), 7,90 (с, 1H), 7,73-7,62 (м, 3H), 2,47 (с, 1H), 1,30-1,15 (м, 2H), 1,09-0,94 (м, 2H).
Пример 1p. Синтез соединения 244 (BC18850)
Общий способ получения соединения BC18850
К раствору 3 (полученного в примере 1o) (0,12 г, 0,50 ммоль, 1 экв.) и 9 (0,17 г, 1,0 ммоль, 2 экв.) в NMP (1,5 мл) добавляли 4 M раствор HCl/диоксан (0,13 мл, 0,50 ммоль, 1 экв.) и перемешивали смесь при 100°C в течение ночи. После охлаждения до комнатной температуры смесь напрямую очищали препаративной ВЭЖХ с получением 17 мг BC18850 (желтое твердое вещество, 9%). МС (ИЭР) m/z: 378 [M+H]+.
1H ЯМР (400 МГц, ДМСО) δ 10,80 (с, 1H), 9,39 (с, 1H), 9,04-8,90 (м, 2H), 8,62 (дд, J=4,6, 1,5 Гц, 2H), 8,05 (дд, J=4,6, 1,6 Гц, 2H), 7,87-7,78 (м, 2H), 7,59 (дд, J=8,4, 4,3 Гц, 1H), 7,40 (дд, J=8,6, 2,0 Гц, 1H), 7,25 (д, J=8,6 Гц, 1H), 6,09 (д, J=1,8 Гц, 1H), 1,99 (тд, J=8,4, 4,1 Гц, 1H), 0,98-0,89 (м, 2H), 0,82-0,74 (м, 2H).
Пример 1. Структуры соединений
Соединения в таблице 1 получали так, как показано на общей схеме, исходя из доступных исходных веществ.
Таблица 1
Примечание: Соединение 35 выделяли и тестировали в форме соли с ТФК. Соединения 42, 51, 59, 63, 64 и 65 выделяли и тестировали в форме соли с HCl. Соединения 82, 83, 89, 106, 107, 108, 113, 115, 116, 117, 119, 120 и 121 выделяли и тестировали в форме формиатной соли.
Следующие соединения, представленные в таблице 1a, могут быть получены с применением способов синтеза, понятных специалистам в данной области техники, из доступных исходных веществ.
Таблица 1a
Примечание: Соединения 353, 364 и 376 выделяли и тестировали в форме соли с HCOOH.
Следующие соединения (свободные основания), представленные в таблице 2, приобретали из коммерческих источников (ChemDIV, Inc. и Molport, Inc.):
Таблица 2

















Следующие соединения, представленные в таблице 3, могут быть получены с применением способов синтеза, понятных специалистам в данной области техники, из доступных исходных веществ.
Таблица 3
Примечание: Соединения 197 и 199 выделяли и тестировали в форме соли с HCl.
Следующие соединения, представленные в таблице 4, приобретали у компании ChemDIV, Inc.
Таблица 4
Следующие соединения, представленные в таблице 5, могут быть получены с применением способов синтеза, понятных специалистам в данной области техники, из доступных исходных веществ.
Таблица 5
Примечание: Соединения 239, 240, 242 и 243 выделяли и тестировали в форме соли с HCOOH; соединения 246, 247 и 248 выделяли и тестировали в форме соли с HCl.
Следующие соединения, представленные в таблице 5a, могут быть получены с применением способов синтеза, понятных специалистам в данной области техники, из доступных исходных веществ.
Таблица 5a
Следующие соединения, представленные в таблице 6, могут быть получены с применением способов синтеза, понятных специалистам в данной области техники, из доступных исходных веществ.
Таблица 6
Примечание: Соединения 397, 398 и 399 выделяли и тестировали в форме соли с HCl.
Пример 2. Результаты анализа
Протокол анализа
Приблизительно 2500 первичных и иммортализованных клеток бронхиального эпителия человека (BEAS-2B), стабильно экспрессирующих TFEB-EGFP, в 25 мкл среды HITE с 10% FBS распределяли в 384-луночном планшете (черный со стеклянным дном) и инкубировали в течение 8 часов. Серийные разбавления соединения (среда DMEM с низким содержанием глюкозы с 2% FBS, объем 25 мкл) получали с помощью роботизированного жидкостного манипулятора. Затем на планшет с клетками добавляли раствор соединения и инкубировали в течение 18 часов. Затем клетки фиксировали с помощью 4% PFA, затем окрашивали с помощью DAPI. Локализацию TFEB визуализировали на GFP-канале вместе с сигналом DAPI, используя многопараметрическое устройство формирования изображений Cytation 5. Изображения обрабатывали в программном обеспечении Biotek Gen5. В частности, сигнал DAPI использовали в качестве первичной маски для количественного измерения сигнала ядерного TFEB-GFP. Сигнал цитозольного TFEB-GFP количественно измеряли посредством расширения первичной маски. Рассчитывали соотношение ядерного/цитозольного TFEB на основании отношения сигнала ядерного TFEB-GFP к сигналу цитозольного TFEB-GFP, которое определяет эффективность соединения.
Эффективность соединений (мкМ) определяли по минимальной концентрации соединения, необходимой для увеличения отношения ядерного/цитозольного TFEB на 25%. Активность: «+» означает > 25 мкМ; «++» означает от ≤ 25 мкМ до > 1 мкМ; и «+++» означает≤1 мкМ.
Токсичность определяли посредством измерения концентрации соединения, необходимой для инициации потери клеток более 50 процентов. Для описания токсичности потерю клеток более 50 процентов при концентрации, составляющей ровно или более 25 мкм, обозначали как «+»; потерю клеток более 50 процентов при концентрации менее 25 мкМ и более 1 мкМ обозначали как «++»; и потерю клеток более 50 процентов при концентрации, составляющей ровно или менее 1 мкМ, обозначали как «+++». Результаты анализа соединений 1-202, 214-248, 332, 333 и 352-402 представлены в таблице A.
Таблица A. Результаты эффективности и токсичности соединений
Пример 3. Использование BC1753 для повышения уровней полипептида TFEB
BC1753 (Фиг. 2A) испытывали на его способность увеличивать уровни полипептида TFEB. Вкратце, эпителиальные клетки легких мышей (MLE12), стабильно экспрессирующие TFEB-EGFP, обрабатывали соединением BC1753 дозозависимым образом в течение 18 часов. Затем клетки собирали и анализировали с помощью иммуноблоттинга для определения уровней белка TFEB-GFP (Фиг. 2B). Эпителиальные клетки легких мышей (MLE12), стабильно экспрессирующие TFEB-EGFP, обрабатывали соединением BC1753 дозозависимым образом в течение 18 часов. Затем клетки фиксировали с помощью 4% PFA, затем окрашивали с помощью DAPI. Локализацию TFEB визуализировали на GFP-канале вместе с сигналом DAPI, используя конфокальный микроскоп Nikon A1 (Фиг. 2C). Соединение BC1753 обеспечивает резкое увеличение общего уровня полипептида TFEB в клетках (Фиг. 2B) и усиление накопления полипептида TFEB в ядрах (Фиг. 2C).
Пример 4. Соединения для повышения уровней полипептида TFEB в ядре клеток
Многопараметрическую скрининговую визуализацию проводили с использованием клеток Beas2B, стабильно экспрессирующих GFP-TFEB. Такой подход продемонстрировал надежное и точное измерение соотношения TFEB в ядре/цитозоле при обработке различными соединениями (Фиг. 3).
Пример 5. Повышение количества лизосом, лизосомальной экспрессии белка и секреции лизосомальных ферментов
Было обнаружено, что соединения 178 (BC1834) и/или 160 (BC18200) в указанных концентрациях увеличивают количество лизосом (Фиг. 4A-B), повышают лизосомальную экспрессию белка (Фиг. 5A) и усиливают секрецию лизосомального фермента бета-гексозаминидазы (Фиг. 5B).
Пример 6. Использование соединений, предложенных в данном документе, для снижения уровня полипептидов Хантгингтина
Соединение 178 (BC1834) испытывали на способность снижать уровни полипептидов Хантингтина в клетках. Вкратце, соединение 178 вводили в клетки SH5Y, стабильно экспрессирующие GFP-Хантингтин (72Q). Как показано на Фиг. 6A-B, соединение 178 снижает уровни полипептида GFP-Хантингтина дозозависимым образом. Полученные результаты демонстрируют, что соединения, предложенные в данном документе, можно использовать для лечения неврологических состояний, таких как болезнь Хантингтона.
Пример 7. In vivo эффект
Самкам мышей C57BL6 вводили i.p. инъекции соединения 15 (50 мг/кг/сутки) на протяжении 4 дней. Затем мышам внутривенно i.v. вводили инъекцию декстранового синего. Через 24 часа мышей усыпляли и брали образцы печени, и визуализировали их с помощью конфокальной микроскопии. Как показано на Фиг. 7, введение соединения 15 обеспечивает резкое усиление лизосомального сигнала декстранового синего и окрашивания LAMP2 (псевдоокрашенного белого). Полученные результаты демонстрируют, что соединения, предложенные в данном документе, могут увеличивать количество и активность лизосом in vivo.
ДРУГИЕ ВАРИАНТЫ РЕАЛИЗАЦИИ
Следует понимать, что хотя данная заявка представлена вместе с ее подробным описанием, изложенное выше описание предназначено для иллюстрации, а не ограничения объема данной заявки, который следует определять объемом прилагаемой формулы изобретения. Другие аспекты, преимущества и модификации входят в объем следующей формулы изобретения.
--->
ПЕРЕЧЕНЬ ПОСЛЕДОВАТЕЛЬНОСТЕЙ
<110> Питтсбургский университет - система высшего образования
Британского Содружества
<120> СПОСОБЫ И МАТЕРИАЛЫ ДЛЯ ПОВЫШЕНИЯ УРОВНЕЙ ПОЛИПЕПТИДА
ФАКТОРА ТРАНСКРИПЦИИ EB
<130> 45049-0021WO1
<140> PCT/US2020/012268
<141> 2020-01-03
<150> 62/879,374
<151> 2019-07-26
<150> 62/788,049
<151> 2019-01-03
<160> 1
<170> PatentIn, версия 3.5
<210> 1
<211> 419
<212> PRT
<213> Homo sapiens
<400> 1
Met Ala Ser Arg Ile Gly Leu Arg Met Gln Leu Met Arg Glu Gln Ala
1 5 10 15
Gln Gln Glu Glu Gln Arg Glu Arg Met Gln Gln Gln Ala Val Met His
20 25 30
Tyr Met Gln Gln Gln Gln Gln Gln Gln Gln Gln Gln Leu Gly Gly Pro
35 40 45
Pro Thr Pro Ala Ile Asn Thr Pro Val His Gln Ser Pro Pro Pro Val
50 55 60
Pro Gly Glu Val Leu Lys Val Gln Ser Tyr Leu Glu Asn Pro Thr Ser
65 70 75 80
Tyr His Leu Gln Gln Ser Gln His Gln Lys Val Arg Glu Tyr Leu Ser
85 90 95
Glu Thr Tyr Gly Asn Lys Phe Ala Ala His Ile Ser Pro Ala Gln Gly
100 105 110
Ser Pro Lys Pro Pro Pro Ala Ala Ser Pro Gly Val Arg Ala Gly His
115 120 125
Val Leu Ser Ser Ser Ala Gly Asn Ser Ala Pro Asn Ser Pro Met Ala
130 135 140
Met Leu His Ile Gly Ser Asn Pro Glu Arg Glu Leu Asp Asp Val Ile
145 150 155 160
Asp Asn Ile Met Arg Leu Asp Asp Val Leu Gly Tyr Ile Asn Pro Glu
165 170 175
Met Gln Met Pro Asn Thr Leu Pro Leu Ser Ser Ser His Leu Asn Val
180 185 190
Tyr Ser Ser Asp Pro Gln Val Thr Ala Ser Leu Val Gly Val Thr Ser
195 200 205
Ser Ser Cys Pro Ala Asp Leu Thr Gln Lys Arg Glu Leu Thr Asp Ala
210 215 220
Glu Ser Arg Ala Leu Ala Lys Glu Arg Gln Lys Lys Asp Asn His Asn
225 230 235 240
Leu Ile Glu Arg Arg Arg Arg Phe Asn Ile Asn Asp Arg Ile Lys Glu
245 250 255
Leu Gly Met Leu Ile Pro Lys Ala Asn Asp Leu Asp Val Arg Trp Asn
260 265 270
Lys Gly Thr Ile Leu Lys Ala Ser Val Asp Tyr Ile Arg Arg Met Gln
275 280 285
Lys Asp Leu Gln Lys Ser Arg Glu Leu Glu Asn His Ser Arg Arg Leu
290 295 300
Glu Met Thr Asn Lys Gln Leu Trp Leu Arg Ile Gln Glu Leu Glu Met
305 310 315 320
Gln Ala Arg Val His Gly Leu Pro Thr Thr Ser Pro Ser Gly Met Asn
325 330 335
Met Ala Glu Leu Ala Gln Gln Val Val Lys Gln Glu Leu Pro Ser Glu
340 345 350
Glu Gly Pro Gly Glu Ala Leu Met Leu Gly Ala Glu Val Pro Asp Pro
355 360 365
Glu Pro Leu Pro Ala Leu Pro Pro Gln Ala Pro Leu Pro Leu Pro Thr
370 375 380
Gln Pro Pro Ser Pro Phe His His Leu Asp Phe Ser His Ser Leu Ser
385 390 395 400
Phe Gly Gly Arg Glu Asp Glu Gly Pro Pro Gly Tyr Pro Glu Pro Leu
405 410 415
Ala Pro Gly
<---
| название | год | авторы | номер документа |
|---|---|---|---|
| КОМБИНИРОВАННЫЕ ПРОДУКТЫ, СОДЕРЖАЩИЕ ИНГИБИТОРЫ ТИРОЗИНКИНАЗ, И ИХ ПРИМЕНЕНИЕ | 2013 |
|
RU2660354C2 |
| ИНГИБИТОРЫ ВЗАИМОДЕЙСТВИЯ МЕНИН-MLL | 2017 |
|
RU2829484C2 |
| ЗАМЕЩЕННЫЕ ПИРРОЛО [2,3-b] ПИРИДИН И ПИРАЗОЛО [3,4-b] ПИРИДИНОВЫЕ ПРОИЗВОДНЫЕ В КАЧЕСТВЕ ИНГИБИТОРОВ ПРОТЕИНКИНАЗЫ | 2020 |
|
RU2824583C2 |
| ИНГИБИТОРЫ ЦИТОКИНОВ | 2008 |
|
RU2485113C2 |
| ЗАМЕЩЕННЫЕ ПИРРОЛО[2,3-D]ПИРИДАЗИН-4-ОНЫ И ПИРАЗОЛО[3,4-D]ПИРИДАЗИН-4-ОНЫ В КАЧЕСТВЕ ИНГИБИТОРОВ ПРОТЕИНКИНАЗЫ | 2017 |
|
RU2749038C2 |
| АПОПТОЗ-ИНДУЦИРУЮЩИЕ АГЕНТЫ | 2018 |
|
RU2782469C2 |
| БИЦИКЛИЧЕСКИЕ СОЕДИНЕНИЯ В КАЧЕСТВЕ ИНГИБИТОРОВ ВЗАИМОДЕЙСТВИЯ/АКТИВАЦИИ PD1/PD-L1 | 2019 |
|
RU2777980C2 |
| КФТР РЕГУЛЯТОРЫ И СПОСОБЫ ИХ ПРИМЕНЕНИЯ | 2016 |
|
RU2749834C2 |
| НЕЙРОАКТИВНЫЕ СОЕДИНЕНИЯ И СПОСОБЫ ИХ ПРИМЕНЕНИЯ | 2015 |
|
RU2764702C2 |
| МАКРОЦИКЛИЧЕСКИЕ СОЕДИНЕНИЯ КАК ИНГИБИТОРЫ КИНАЗ TRK | 2019 |
|
RU2778294C2 |
Изобретение относится к области биотехнологии и может быть применимо в медицине. Раскрываются новые гетероциклические соединения, пригодные для повышения уровней полипептида фактора транскрипции EB в ядре клетки в организме млекопитающего. Изобретение может быть применимо для индукции лизосомного биогенеза, а также при лечении заболеваний, течение которых сопровождается накоплением патологических агрегатов сложных молекул, например гликозаминогликанов и ряда других белков. 3 н. и 5 з.п. ф-лы, 7 ил., 7 табл., 8 пр.
1. Соединение формулы (IIh)
или его фармацевтически приемлемая соль,
где L представляет собой N(RN);
RN представляет собой H;
n равен 1;
каждый R1, R3, R4 и R5 независимо выбран из H, галогена и C1-6 алкила;
RA представляет собой
;
RB представляет собой Cy1;
каждый Cy1 независимо выбран из C6-10 арила или 5-10-членного гетероарила, каждый из которых необязательно замещен 1, 2, 3, 4 или 5 заместителями, независимо выбранными из RCy2;
каждый RCy2 независимо представляет собой галоген, Cy2, C1-6 алкила, ORa2 и NRc2C(O)Rb2;
каждый Cy2 представляет собой C3-10 циклоалкил;
каждый Ra2, Rb2 и Rc2 независимо выбран из H и C1-6 алкила.
2. Соединение по п. 1, отличающееся тем, что RB выбран из группы, состоящей из
3. Соединение по п. 1, отличающееся тем, что RB представляет собой 5-10-членный гетероарил, необязательно замещенный 1, 2 или 3 заместителями, независимо выбранными из RCy2.
4. Соединение по п. 1, имеющее формулу
или его фармацевтически приемлемая соль.
5. Соединение по п. 1, выбранное из группы, состоящей из:
или его фармацевтически приемлемая соль.
6. Соединение по п. 1, выбранное из группы, состоящей из:
или его фармацевтически приемлемая соль.
7. Фармацевтическая композиция для повышения уровней полипептида фактора транскрипции EB в ядре клетки в организме млекопитающего, включающая эффективное количество соединения по п. 1 или его фармацевтически приемлемой соли и фармацевтически приемлемый носитель.
8. Способ повышения уровней полипептида фактора транскрипции EB в ядре клетки в организме млекопитающего, включающий введение указанному млекопитающему соединения по п. 1 или его фармацевтически приемлемой соли.
| THOMA G | |||
| et al.: "Orally bioavailable Syk inhibitors with activity in a rat PK/PD model", Bioorg | |||
| Med | |||
| Chem | |||
| Lett., 2015 | |||
| SINGH R | |||
| et al.: "Discovery and Development of Spleen Tyrosine Kinase (SYK) Inhibitors", J | |||
| Med | |||
| Chem., 2012, v | |||
| Устройство двукратного усилителя с катодными лампами | 1920 |
|
SU55A1 |
| CYWIN Ch | |||
| Печь для непрерывного получения сернистого натрия | 1921 |
|
SU1A1 |
Авторы
Даты
2025-04-22—Публикация
2020-01-03—Подача