Изобретение относится к системам телекоммуникации и компьютерной технике. Оно может быть использовано в системах передачи данных по каналам связи в условиях несоответствия между требуемыми высокими показателями скорости передачи информации и ограниченной пропускной способностью каналов связи, которая зависит, в том числе, и от интенсивности воздействия на передаваемые сообщения помех различного происхождения. Также изобретение может быть использовано для хранения передаваемой и принятой информации.
Его использование позволяет:
1) повысить показатели помехозащищенности передаваемой и архивированной информации без введения структурной избыточности в передаваемые сообщения и при сжатии данных;
2) обнаруживать возникающие при передаче и хранении данных ошибки, как одиночные, так и кратные;
3) увеличить, при необходимости, скорость передачи информации и обеспечить показатели ее энергетической и структурной скрытности.
Изобретение определяет новое направление в теории передачи и архивации информации, которое получило название: «помехоустойчивое сжатие данных».
Его основу составляют разработанные инновационные технологии в виде экономного помехоустойчивого кодирования, истоки которого определяют патенты RU №№2475861 [1], 2480840 [2], 2581774 [3], 2586605 [4], 2586833 [5], 2609747 [6], 2649291 [7], 2658795 [8], 2672392 [9].
В настоящее время «помехоустойчивое сжатие данных» ориентировано на следующие три основные составляющие, определяющие такие этапы формирования, передачи и приема информации, как:
экономное представление, малоизбыточное и безызбыточное кодирование цифровых сигналов, данных и сообщений с использованием образов-остатков и эквивалентных им структурно-алгоритмических преобразований (САП) (патенты RU №№2586605 [4], 2586833 [5], 2609747 [6], 2649291 [7]);
дополнительное кодирование информации с заменой потоков данных, представленных двоичным кодом, в том числе и после первичного экономного помехоустойчивого САП, их эквивалентным аналогом в виде логического помехоустойчивого кода с использованием двумерными троичных символов Si(Ti), где i=0,1,2, повторяющих друг друга с точки зрения передаваемой информации с расшифровками в виде: S0(T0)↔{<00>2,<11>2}, S1(T1)↔{<00>2,<11>2} и S2(T2)↔<101>2 (здесь Si - определяют при первичной модуляции три разрешенных состояния i=0,1,2 амплитуды импульсов, где Тi - это три значения Т0, Τ1=1,5Τ0 и Т2=2Т0 их продолжительности во времени, а Т0 - это длительность двоичных символов «1» и «0» исходного потока) (патенты RU №№475861 [1], 2480840 [2], 2581774 [3]);
обработка восстановленной информации с обнаружением и исправлением ошибок передачи сообщений (патент RU №2658795 [7]) и адаптивной нелинейной фильтрацией полученных данных (патент RU №2672392 [8]).
Известны «Способы передачи информации и системы для их осуществления» (патент RU №2475861 с приоритетом от 27.04.2013 г. [1] и патент RU №2581774 с приоритетом от 30.09.2014 г. [3]).
В патенте [1] приведена последовательность операций, посредством которых реализуют алгоритм кодирования, а также представлен один из возможных вариантов реализации патента на основе логических схем. Эпюры, поясняющие основополагающие логические операции и составляющие основу предлагаемого перехода от традиционного двоичного кодирования к его замещающему коду на основе дублирующих троичных символов S2(Т2), S1(Τ1) и S0(T0), приведены на фиг. 1-6. Основная задача патента [1] заключалась в том, чтобы показать возможность достаточно простой реализации возможности перехода от двоичного кода к предлагаемому троичному кодированию на основе двоичной логики существующей элементной базы.
Недостаток изобретения [1] заключен в том, что потенциальные возможности предлагаемого троичного кодирования не были достаточно полно раскрыты. В частности, не были продемонстрированы новые свойства предлагаемого троичного кода с точки зрения обеспечения помехоустойчивого сжатия данных.
В патенте [3], который был награжден дипломом Роспатента в номинации «100 лучших изобретений России - 2016», предлагаемый троичный код с символами S2(T2), S1(T1) и S0(T0) был использован для повышения информационной нагруженности несущей частоты, излучаемой передатчиком, для чего была использована комплексная модуляция по амплитуде, частоте и фазе. Помимо этого, была обеспечена «сопоставимость результатов демодуляции относительной фазовой модуляции (ОФМ) с основанием два, применяемой по основному каналу связи, и предлагаемой троичной фазовой модуляции с основанием два (ФМ23), основу которой составляют логические помехоустойчивые коды с основанием три, представленные символами S2(T2), S1(T1) и S0(T0)» (п. 4 формулы изобретения). Однако для реализации такой возможности требуется наличие дополнительного (дублирующего) канала передачи информации, что не всегда может быть обеспечено в разнообразных практических приложениях.
Суть предлагаемого логического помехоустойчивого кодирования сформированных сообщений замещающим троичным кодом, как и в патентах-аналогах [1-3], заключается в следующем.
Основу способа составляют формулы преобразования F, связанные с заменой последовательности символов ai0, аi1,..., аin двоичного алфавита А={0,1} последовательностями символов di0, di1,...., dim алфавита D={00, 11, 10, 001, 101} на основе следующих логических схем кодирования:
Предлагаемое кодирование устанавливает логическое соответствие между двоичными символами, представленными в скобках, и их троичными эквивалентами S0, S1 и S2.
Кроме того, при получении сигналов S0, S1 и S2 обеспечивают их дублирование сигналами Т0, Τ1 и Т2 (фиг. 1 (Б)). В результате этого формируют две модулирующие последовательности на основе сигналов S0, S1, S2 и сигналов Т0, Т1, Т2. При этом если сигналы S0, S1, S2 представлены в виде амплитудно-импульсной модуляции на три состояния (АИМ3), то соответствующие им сигналы Т0, Т1, Т2 отображают в виде широтно-импульсной модуляции (ШИМ3), имеющей также три разрешенные позиции длительности импульсов Т0, Τ1=1,5Τ0, Т2=2Т0, где Т0 - временная продолжительность символов «1» и «0» исходного двоичного кода. В результате этого поток сформированных для передачи цифровых данных, отображаемый вначале последовательностями символов «1» и «0» двоичного кода, после перекодирования в логический помехоустойчивый троичный код с символами S2(T2), S1(T1) и S0(T0), представляют двумя дублирующими потоками на уровне первичной (импульсной) модуляции: АИМ3 и ШИМ3. Возможность подобного представления исходного потока передаваемых символов на уровне первичной (импульсной) модуляции двумя их копиями с использованием АИМ3 и ШИМ3 не имеет аналогов за исключением первоисточников [1] и [2]. Их структурные схемы приведены на фиг. 2 и 3. При этом на фиг. 3 представлена схема формирователя 5 логического троичного кода, показывающая наиболее простой технический вариант перевода двоичного кода в предлагаемый троичный код.
Сущностные характеристики способа [3] также заключаются в обеспечении дублирования логического помехоустойчивого кодирования с троичными символами S2(T2), S1(T1) и S0(T0), связанном с первичной импульсной модуляцией передаваемых сигналов, которая составляет основу синтеза различных проблемно-ориентированных структурно-кодовых (СтКК) и сигнально-кодовых конструкций (СиКК) [1-3].
Известен «Способ передачи информации и система для его осуществления» ([4], патент RU 2586605). В нем для дополнительного распараллеливания трактов формирования копий передаваемой информации предлагается использовать нетрадиционное представление данных и сообщений их образами-остатками. При этом исходный поток данных и/или сообщений разделяют на подпотоки, каждый из которых состоит из образов-остатков, представляющих собой независимые информационные элементов меньшей разрядности. Таким образом, получают еще один вариант дополнительного дублирования исходного потока передаваемых данных и/или сообщений. В результате этого создают глубоко распараллеленную структуру представления данных и/или сообщений новыми СтКК и СиКК, в результате чего повышают информационную нагрузку несущей частоты передаваемого сигнала.
В патентах RU №2475861 С1, опубл. 22.03.2013, бюл. №16 [1] и №2480840 С1, опубл. 25.04.2013, бюл. №2 [2] и 2581774 [3], разработаны способы, реализующие операции обратных САП и демодуляции сигналов со сложной модуляцией.
Предлагаемый алгоритм перекодирования исходного двоичного кода с символами «1» и «0» заключается в следующем. Дана последовательность двоичных символов<10101000111100101>2 (N1=17) (фиг. 1(A)).
Необходимо перевести его в новое алфавитное кодирование с использованием верхних и нижних разбиений (К1 и К2) (фиг. 1(A)):
из 11 символов Si (i=0,1,2), используемая для передачи информации.
В результате кодирования последний двоичный символ предыдущей закодированной посылки Si повторяет первый двоичный символ последующей троичной посылки Si+1 (повторы двоичных символов выделены жирно и обведены). Если при приеме данные условия не обеспечивается, то это свидетельствует об ошибке. Исправление ошибок обеспечивается при достоверном приеме символов S2, которые расшифровываются однозначно
На фиг. 1 показан пример предлагаемого перехода от 16-разрядного двоичного кодового слова Х=<1011100010100101>2, соответствующего десятичному представлению X=<788>10, в предлагаемый троичный код с дублирующими символами Si(Ti), i=0,1,2. Из приведенной иллюстрации следует, количество символов Si(Ti), i=0,1,2 уменьшено в 1,6 раза по сравнению с исходными двоичными символами «1» и «0», имеющими длительность Т0. Это соответствует теоретическому значению, определяемому следующим аналитическим представлением: k=log23=1,6 (фиг. 1 (Б)).
Предлагаемый способ восстановления переданной информации заключается в следующем. Предположим, что в результате демодуляции восстановлен следующий фрагмент последовательности троичных сигналов Si:
1. Первая операция восстановления данных в исходном двоичном коде заключается в том, чтобы выделить сигналы S2, допускающие однозначную расшифровку: S2 ↔ «101». В результате этого в принятой последовательности (2) формируют признак приема символа S2, который выделяют для контроля достоверности приема символов S1 на временном интервале между соседними символами S2:
2. Преобразование в двоичный код всей последовательности принятых троичных символов начинают с того, что записывают в двоичном коде результат однозначной расшифровки символов S2:
Для контроля достоверности приема символов S1 на временном интервале между соседними символами S2 используют следующее правило: число символов S1 должно быть четным.
3. Затем, используя первый из полученный признаков приема символа S2, приступают к расшифровке следующего за ним троичного символа S1, которому поставлены в соответствие не одна, а две кодовые комбинации, составленные из двоичных символов: S1 ↔ «10» и «001». Так как по условию формирования предлагаемого троичного кода последний двоичный символ, предыдущей расшифровки 101, должен быть первым символом последующей расшифровки троичного символа (в приведенном приеме сигнала S1), то в качестве кандидата на замену следует выбрать кодовую комбинацию 10. Выбор подходящей следующей кодовой комбинации, соответствующей принятому сигналу S1, определяется последним двоичным символом, полученным в результате расшифровки предыдущего сигнала троичного кода S2 (совпадающие символы выделены жирным шрифтом).
Далее очередной восстановленный троичный символ соответствует сигналу S0, у которого также два возможных варианта расшифровки: S0 ↔ «00» и «11». Так как предыдущая расшифровка 10 оканчивалась двоичным символом «0», то и очередной сигнал S0 должен быть заменен на двоичную кодовую комбинацию, состоящую из двух символов «0» - 00. Аналогичным образом, следующий восстановленный троичный символ S1 ↔ «10» и «001» должен быть замещен двоичной кодовой комбинацией 001. Затем следуют подряд два символа S0 ↔ «00» и «11» и, поскольку расшифровка предыдущей двоичной кодовой комбинации заканчивалась символом «1», то и два последующих троичных символа S0 должны быть заменены на последовательность, состоящую из двух символов «1» - 11. О том, что расшифровка произведена правильно, свидетельствует то обстоятельство, что следующим троичным символом снова будет S2 ↔ «101», который начинается с такого же двоичного символа «1», который получен в конце предыдущей расшифровки сигнала S0. Последующий процесс восстановления переданных сообщений в традиционном двоичном коде аналогичен. Исправляющая способность предлагаемого кода заключена в том, что вся цепочка восстановленных при приеме троичных символов определяется опорными сигналами S2 ↔ «101».
4. Следующая операция предполагает, что принятую последовательность троичных символов S1 и S0, допускающих не однозначные расшифровки
замещают двоичным кодом таким образом, чтобы последний двоичный символ расшифровки предшествующего символа Si, где i=0,1,2, совпадал с первым символом расшифровки последующего символа S1 или S0.
В результате этого для последовательности (8) получают следующую восстановленную последовательность исходного двоичного кода:
где «точками» разделены между собой результаты расшифровок символов S2, S1 и S0 троичного кода.
Затем совпадающие двоичные символы на границах расшифровок троичных сигналов Si, где i=0,1,2, объединяют и заменяют одним соответствующим двоичным символом:
где выделены и подчеркнуты совпадающие символы, которые объединяют и заменяют одним двоичным символом.
В результате будет восстановлен следующий фрагмент исходной последовательности двоичных кодов: 10100011101.
Последовательность сформированных троичных символов Si, где i=0,1,2, с первичной АИМ3 и троичных символов Ti, где i=0,1,2 с первичной ШИМ3 объединяют в единую импульсную последовательность видеосигналов (фиг. 1 (Б)). При последующей вторичной их модуляции типа: АИМ3 - АМ3 и АИМ3-ЧМ3, а также ШИМ3-ФМ2(3) промодулированный сигнал, передаваемый в канал связи будет иметь вид, условная иллюстрация которого приведена на (фиг. 1 (Б)).
Основное достоинство способов-аналогов (патенты RU №2475861 С1, опубл. 22.03.2013, бюл. №16 [1] и №2480840 С1, опубл. 25.04.2013, бюл. №2 [2] и №2581774 [3]) заключается в том, что ими определена наиболее простая реализация перехода от традиционного двоичного кода к предлагаемому логическому помехоустойчивому троичному кодированию с использованием дублирующих символов Si(Ti), i=0,1,2, которые при первичной модуляции преобразуют одновременно и в импульсы АИМ3 с использованием символов Si, i=0,1,2, и в импульсы ШИМ3 на основе символов Ti, i=0,1,2. При этом были рассмотрены в патенте RU №2581774 [3] и различные другие варианты последующего их представления на этапе вторичной модуляции, когда сформированной последовательностью импульсов осуществляют модуляцию несущей частоты передаваемого сигнала.
Общий их недостаток заключается в том, что не использованы уникальные преимущества троичного кода с точки зрения обеспечения сжатия данных при их передаче и хранении, а процесс декодирования и обнаружения ошибок передачи, вызванных действием помех, ограничен необходимостью выделения символов троичного кода S2(Τ2), обеспечивающих однозначное их декодирование. Этот недостаток устранен в предлагаемом изобретении.
В настоящее время наиболее остро обозначены проблемы повышения эффективности передачи данных по высокоскоростным радиоканалам, временные характеристики организации которого ограничены, например, при передаче информации с КА дистанционного зондирования земли (ДЗЗ). При этом требуемые скорости, превышающие 1 Гбит/с, уже не могут быть поддержаны наиболее совершенными ПЛИС, производительность которых в настоящее время ограничена значениями 500 Мбит/с, в результате чего должны более активно развиваться способы распараллеливания каналов формирования потоков передаваемой информации и сжатия данных. В настоящее время способы распараллеливания каналов формирования потоков передаваемой информации связаны, в основном, с разделением исходного потока цифровых данных, представленных двоичным кодом, на подпотоки, которые формируют примитивным способом деления на подпотоки в соответствии с принципом четных и нечетных бит. При этом не используются математические методы деления, основу которых составляет нетрадиционное представление данных и сообщений в системе остаточных классов (СОК) и эквивалентные им САП, представленные в ряде патентов, например, в патентах RU №№2586605 [4], 2586833 [5], 2609747 [6], 2649291 [7], 2658795 [8]. Задача данного изобретения заключается в том, чтобы создать единую технологию объединения различных актуальных для теории и практики технических предложений, содержащихся в патентах [1-9], на основе разработанной конструктивной теории конечных полей (КтКП) [10], обладающей расширенными возможностями по сравнению с ее аналогом - классической теорией конечных полей Э. Галуа [11].
Также одной из задач данного изобретения является обоснование технических решений, основу которых составляют нетрадиционные методы помехоустойчивого сжатия и расширенное их применение для решения актуальных научных проблем. Особую значимость это приобретает его использование, как для передачи информации, так и для ее хранения. Отсутствие возможности передачи больших объемов информации с КА за короткое время их радиовидимости приводит к необходимости хранения значительной их части в бортовых запоминающих устройствах, где они должны ожидать своей очереди в продолжительном процессе передачи. Однако, в отличие от условий хранения информации в наземных компьютерах, жесткое космическое излучение сопровождается появлением большого количества ошибок при хранении информации. Это наблюдается во многих случаях, характерные особенности которых проявляются в том, что каждая их переданных частей хранящейся на борту информации, дождавшись своей очереди, при ее приеме становится все хуже по качеству и показателям достоверности по сравнению с ранее полученными данными.
Для устранения этого недостатка используют различные материалы, в которые заворачивают устройства памяти, размещаемые на борту КА и других летательных аппаратов (ЛА), назначение которых заключается в уменьшении интенсивности различных деструктивных факторов, например, жесткого космического излучения. Известные методы помехоустойчивого кодирования являются избыточными, поскольку их основу составляет введение избыточных проверочных символов. Кроме того, они имеют границу работоспособности, которая ограничена значением вероятности искажения бит (Рб), равным Рб=10-2 ([12] Емельянов Г.А., Шварцман В.О. Передача дискретной информации. М.: Радио и связь, 1982. 240 с.), а потребность в повышении скоростей передачи данных приводит к тому, что в настоящее время реальные показатели Рб имеют устойчивую тенденцию их приближения к этой границе.
Сущностные характеристики изобретения связаны с объединением различных структурно-алгоритмических преобразований (САП), использующих новые системы представления сигналов, данных и сообщений в системе остаточных классов (СОК) (патенты RU №№2586605 [4], 2586833 [5], 2609747 [6]), относящихся к экономному кодированию (патент RU №2649291 [7]) и модуляции сигналов на основе логического помехоустойчивого троичного кода (патент RU №2581774 [3]) в единую непротиворечивую информационную систему.
В соответствии с известными техническими решениями начало цикла или кадра определяют сигналы синхронизации ССi, ([13], патент RU №2591565 С2 «Способ синхронизации передаваемых сообщений и сигналов и устройство для его осуществления», опубликован 22.06.16 г., бюл. №18). Для упрощения технической реализации и обеспечения совместимости с существующими системами передачи данных (СПД) они представлены в двоичном коде; Mi - маркеры, определяющие начало перехода от двоичного кода к замещающему логическому троичному кодированию сжатых данных и передаваемой информации.
Известно ([14], Былински П., Ингрем Д. Цифровые системы передачи // Перевод с анг., под ред. А.А. Венцеля / М.: «Связь», 1980. - 360 с.) предложение по использованию биортогонального троичного кода с символами S0, S1 и S2, иллюстрация которого представлена на фиг. 7(A). На фиг. 7(Б) приведена иллюстрация логического перехода от исходного двоичного кода к предлагаемому троичному, при котором, как было показано на фиг. 1(Б), в среднем в 1,6 раза сокращается количество символов информации, используемых при передаче и хранении.
Для представления сути предлагаемого изобретения рассмотрим в качестве примера исходный поток бит и соответствующие им данные 10-разрядных слов (сообщений):
Результаты перекодирования исходного потока данных, представленных двоичным кодом, в эквивалентный поток с троичными символами Si(Ti) (i=0,1,2), предварительно объединяют в информационные фразы F(x)(j), каждая из которых содержит одно и то же выбранное количество (N) троичных символов (р). Применительно к приведенному примеру выделены три информационные фразы, каждая из которых содержит, например, по 22 символа Si(Ti) (i=0,1,2) (p=22):
Для упрощения записи в дальнейшем будем оперировать только символами Si (i=0,1,2), техническое представление которых связано с соответствующими 0,1,2 значениями позиций амплитуд А0, Α1 и А2 импульсов ШИМ3, формируемых при первичной импульсной модуляции передаваемых сигналов, понимая, что при этом присутствуют и дублирующие их копии в виде символов Тi (i=0,1,2), представляющих собой длительности этих модулирующих импульсов, равные соответствующим трем значениям: Т0, Τ1=1,5Т0 и Т2=2Т0, где Т0 - длительность символов «1» и «0» исходного двоичного кода, наблюдаемая при приеме сигналов синхронизации CCi.
Количество (N) троичных символов Si (i=0,1,2) в информационной фразе выбрано равным: p=22: 
где Mi - маркер перехода к троичному коду Si(Ti) (i=0,1,2) представляют в виде
соответствующему случаю представления слов и сообщений 10-разрядным двоичным кодом. При этом также последние два символа Si маркера Mi также включены в первую информационную фразу, дополненную последующими 20 информационными символами Si(Ti) (i=0,1,2):
где знаком (*) определено их формальное соответствие исходным 10-разрядным словам или сообщениям, представленным двоичным кодом.
Тогда вторая информационная фраза с числом символов Si, равным p=22, будет определена следующей последовательностью:
Третья информационная фраза с числом символов Si, равным ρ=22, представлена последовательностью:
В результате 78 двоичных символов «1» и «0» исходного потока бит заменены 66 символами замещающего троичного кода Si (i=0,1,2) (таблица 1).
В результате представления данных, подлежащих передаче и/или хранению с использованием замещающего логического троичного помехоустойчивого кода были сформированы:
1) первая информационная фраза, состоящая из последовательности в 22 символа Si (i=0,1,2) представлена формальным многочленом:
где коэффициенты полинома - это соответствующие символы Si (i=0,1,2), представленные подстрочными номерами 0,1,2;
2) вторая информационная фраза:
3) третья информационная фраза:
Следующая операция предполагает, что полученные формальные полиномы F(x)(i) последовательно делят на выбранные модули сравнения, например m1(х)=xn+1 - 1 и m2(х)=хn, где n для рассмотренного случая сжатого помехоустойчивого кодирования данных выбрано равным: n=11.
1) F(x)(1)=2x21+x20+x17+x12+x+2/m1(x)=x11 - 1;
F(x)(1)=2x21+x20+x17+x12+x+2/m2(x)=x11, или используют операции, замещающие деление.
В результате деления получают следующие формальные полиномы-остатки по двойным модулям (modd (3, (x11 - 1))) и (modd (3, x11)):
где цифра «3» в обозначениях (modd (3, (x11 - 1))) и (modd (3, x11)) означает, что коэффициенты, получающиеся при делении, сравнивают по модулю 3, соответствующему троичному коду. Например, если по окончании процесса деления в полиномах-остатках b1(1) (х) и b2(1) (х) появится коэффициент, равный kn=3, где n - это занимаемая им позиция при полиномиальном представлении, то результат его сравнения равен 0, так как 3≡0(mod 3). Если kn= -1, то положительный результат сравнения по модулю 3 будет равен 2, поскольку -1≡2(mod 3) и т.д. Это соответствует математическому представлению операции в виде: modd (3, mi(x)).
Полученные в результате сравнения по модулю 3 коэффициенты kn подлежат передаче или хранению (при этом вводят специальный отличительный знак, позволяющий отличить коэффициенты одного полинома-остатка от другого).
Такой последовательности операций подвергают второй и следующие формальные полиномы.
2) F(x)(2)=x20+x12+2х8+x7/m1(x)=x11 - 1; F(x)(2)=x20+x12+2x8+x7/m2(x)=x11.
В итоге, получают следующие образы-остатки в виде полиномов:
Для третьей информационной фразы:
3) F (х)(2)=x20+x19+x18+2x17+x16+x7+x6+x5+x3 последовательное деление на выбранные модули сравнения modd (3, (x11 -1)) и modd (3, x11) даст следующие полиномы-остатки:
Полученные коэффициенты полиномов-остатков представляют для передачи или хранения в виде символов Si(Ti) (i=0,1,2). Результаты их кодирования с использованием символов Si(Ti) (i=0,1,2), данных сравнений по двойным модулям modd (3, (x11 - 1)) и modd (3, x11) и разделительных знаков представлены на иллюстрации (фиг. 8).
При приеме передаваемой информации или воспроизведении сжатых данных из последовательности, представленной на фиг. 8, выделяют троичные символы Si(Ti) (i=0,1,2), заключенные между разделительными символами, отличительная особенность которых заключается в наличии неоднозначности пи декодировании дублирующих символов Si (i=0,1,2) и (Ti) (i=0,1,2). Восстанавливают на выделенный временных интервалах информационные совпадающие символы Si (i=0,1,2) и (Ti) (i=0,1,2), по которым определяют коэффициенты полиномов-остатков, полученные при сравнении по двойным модулям modd (3, (x11 -1)) и modd (3, x11).
В результате получают по первой информационной фразе следующую последовательность:
определяющую коэффициенты полиномов-остатков в обратном порядке: от х0 в сторону увеличения на единицу степени x (при этом максимальная степень полинома-остатка не может превысить цифру 10, поскольку модули сравнения имеют наивысшую степень, равную 11: x11):
В итоге вместо исходных 22 символов троичного кода Si(Тi), i=0,1,2, содержащихся в информационной фразе, передаче или подлежат 13 символов и еще один символ, позволяющий отделить коэффициенты одного полинома-остатка от другого.
Для второй информационной фразы переданная или хранимая последовательность символов
В результате получили 19 символов + один разделительный знак, итого 20, вместо исходных 22 символов троичного кода Si (Тi), i=0,1,2, содержащихся вв второй информационной фразе. Коэффициент сжатия меньше по сравнению с предыдущей информационной фразой, на зато существенно увеличено количество совпадающих символов Si (Ti), i=0,1,2) в полиномах-остатках, выделенных красным цветом. Следовательно, в качестве компенсации потерь при сжатии увеличивается показатель достоверности приема символов Si (Ti), i=0,1,2).
Для третьей информационной фразы переданная или хранимая последовательность символов имеет вид:
Итого 18 символов Si(Тi), i=0,1,2 вместо исходных 22.
Следующая последовательность операций относится к восстановлению исходной последовательность троичных символов Si(Тi), i=0,1,2 при их приеме или воспроизведении архивированных данных:
1) из последовательности
выделяют информационную часть i-той фразы, которая в нашем случае она рассматривается как первая:
где Рi; Р и Ρi+1 - разделительные знаки (символы);
2) осуществляют контроль достоверности принятых символов Si(Ti), i=0,1,2, которые могут быть искажены при передаче по каналу связи с помехами, путем подсчета количества символов S1(Τ1), заключенных между соседними символами S2(T2): если их четное число, то ошибки передачи информации отсутствуют, если подсчитанное их число окажется нечетным, то ошибки присутствуют и для их обнаружения и исправления необходим подсчет синхронизирующих тактовых импульсов, следующих с периодом Т0, совпадающим с длительностями символов исходного двоичного кода «1» и «0».
Основу универсального алгоритма декодирования, реализующего режим «жесткого» декодирования, составляют алгоритмы конструктивной теоремы об остатках (КтТО), которые выгодно отличаются от известных аналогов (китайской теоремы об остатках и теоремы Х.Л. Гарнера) возможностью значительного уменьшения объемов вычислений и, как следствие этого, высокой оперативностью процесса декодирования кодовых слов и сообщений, значения которых x представлены двумя и более образами-остатками b1 и b2, получаемых при делении x на модули сравнения m1 и m2. В результате аналитическое описание исходного значения x, представляемое системой уравнений:
заменяют системой сравнений (15) ([4]):
В результате такой замены приходят к сжатому математическому описанию системы уравнений (14), поскольку исключают данные, относящиеся к значениям неполных частных
Эта особенность использована в изобретении [4] для обеспечения сжатия данных при двоичном кодировании информации и достижения комплексного положительного эффекта в виде повышения помехозащищенности систем передачи данных (СПД) за счет обнаружения и исправления ошибок при реализации режима «мягкого» декодирования кодовых слов и сообщений.
При этом основу «жесткого» декодирования кодовых слов и сообщений составляют алгоритмы восстановления исходных значений x на основе теорем об остатках. Среди них наименьшей вычислительной сложностью и, следовательно, простотой построения «жесткого» декодера кодовых слов и сообщений x отличается конструктивная теорема об остатках [4]. При ее использовании оперативность восстановления определяется абсолютной разностью между выбранными модулями сравнения mi: n=|mi-mi+k|. При этом чем меньше n, тем выше показатели оперативности обратного преобразования (восстановления x) на основе следующих многозвенных формул:
где mi - модули сравнения, bi - образы-остатки, n=|m1 - m2| - абсолютная разность между модулями сравнения, 1), 2), …, 2k+2) - звенья формулы, используемой для восстановления неизвестных значений x, число которых на единицу больше значения n.
Обозначения
«n/Δ, n/(km2-Δ)», [k=0, 1, …] читаются как: «Δ не делится на n без остатка» и «(km2-Δ), Δ, (km2+Δ) делятся на n без остатка».
Алгоритм является адаптивным, так как число его звеньев k, которые необходимо использовать для восстановления данных в традиционном виде, определяется значением n=|m1 - m2|, k=n+1. Это означает, что, если n=1, то необходимо использовать только два первых звена формулы (16):
Если n=|m1 - m2|=2, как это имеет место в случае выбора m1=15 и m2=17, то число звеньев k алгоритма равно 3 (16(2)):
Подобный алгоритм используют в предлагаемом изобретении. Основное отличие проявляется в том, что вместо чисел используют полиномы.
В описании предлагаемого изобретения выбранные в качестве примера модули-полиномы m1(x)=x11 - 1 и m1(x)=x11 отличаются друг от друга на 1 (n=1), следовательно, в соответствии с алгоритмом (16 (1)) значение Δ12(х) равно неизвестному неполному частному
исключенному из передачи и хранения:
В результате этого сжатие при математическом представлении, выполненное в связи с заменой системы уравнений (14) на системы сравнений (15), было превращено в сжатие, которое реализовано на техническом уровне.
При этом так же, как и ранее, определяют следующие исходные данные:
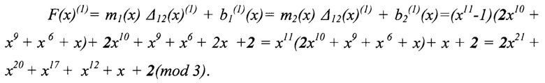
n=|m1(x) - m2(x)|=1 и Δ12(x)(1)=b1(1) (x) - b2(1) (x)=2x10+x9+x6+2x+2-(x+2)=2x10+x9+x6+x.
В этом случае полином, представляющий первую и последующие информационные фразы F(x)(i), находят, используя следующую модернизированную формулу (14):
Воспользовавшись ей, находим восстановленную первую информационную фразу:
Такая формализованная запись позволяет восстановить исходную последовательность троичных символов Si(Ti), i=0,1,2 в первой информационной фразе:
где красным цветом с коэффициентами, равными 0, отмечены восстановленные символы S0(T0), которые отсутствовали при представлении передаваемых или хранимых сжатых данных.
Далее контролируют наличие ошибок передачи или хранения по правилу наличия четного количества символов S1(T1) (ненулевых значений хk, k=0,1,2,…, при формальном представлении информационной фразы или полиномов-остатков) между соседними символами S2(T2) (значениями 2хk, k=0,1,2,…). Если количество символов S1(T1) между соседними символами символов S2(T2) представляется нечетным числом, то этот факт свидетельствует о наличии ошибки (фиг. 9). Ее обнаруживают на основе различий между значениями амплитуды импульсов ШИМ3 и их продолжительности во времени, при этом предпочтение отдают результатам СT1* восстановления кодированной последовательности троичных символов по длительности при использовании символов Ti, i=0,1,2. Результат восстановления СT1* ↔ {2Т0 1Т0 1,5Т0 1,5Т0 1Т0 1,5Т0 2Т0} (фиг. 9) при нахождении суммы Т0 определяется значением 11,5Т0, а на рассматриваемом временном интервале число периодов Т0, соответствующих длительности символов двоичного кода «1» и «0» в исходном потоке цифровой информации, должно быть целым. Технический эффект, связанный с обнаружением и исправлением ошибок при приеме и восстановлении последовательности символов Si(Ti), i=0,1,2, является следствием того факта, что троичная система представления данных по сравнению с двоичным кодом становится функционально более полной.
Далее восстанавливают в исходном виде формальные полиномы второй и последующих информационных фраз, представленных троичными символами Si(Ti), i=0,1,2.
Так, для второй информационной фразы снова определяют исходные данные в виде неполного частного 
Следовательно, 
Этому соответствует следующая восстановленная последовательность 22 символов исходного троичного кода Si(Ti):
0х21+х20+0х19+0х18+0х77+0х16+0х15+0х14+0х13+х12+0х11+0х10+0х9+2х8+х7+0хб+0х5+0х4+0х3+0х2+0х+0
- в результате восстановлен 21 символ троичного кода Si(Ti), а их в информационной фразе должно быть 22. Следовательно, слева необходимо дописать еще один символ S0(T0).
В результате получим полную восстановленную последовательность символов троичного кода Si(Ti) во второй информационной фразе:
Очередная операция заключается в том, чтобы от троичного кода Si(Ti) восстановленных информационных фраз перейти к первоначальному двоичному коду.
В этом случае в соответствии с ранее определенными правилами кодирования необходимо от символов троичного кода Si(Ti) восстановленных информационных фраз перейти к двоичному коду, используя принятое правило их замены троичным кодом: S0(Т0) ↔ {<00>2,<11>2}, S1(T1) ↔ {<00>2,<11>2} и S2(T2) ↔ <101>2.
При выполнении последующих операций необходимо учесть использовалось ли структурно-алгоритмические преобразования (САП) (дополнительное кодирование) по отношению к исходному двоичному коду (патенты РФ №№2586605 [4], 2586833 [5], 2609747 [6]). Пример наиболее простого такого дополнительного кодирования на уровне двоичных кодов приведен на фиг.10, когда для обеспечения дополнительной возможности обнаружения и исправления ошибок использовано самая простая операция САП-1, предполагающая разделение исходного кодового слова или сообщения на старшее (аст) и младшее (амл) полуслова с последующей перестановкой их местами [6]. Тогда для реализации режима «жесткого» декодирования слов или сообщений при приеме или восстановлении необходимо полуслова вернуть на свои места. При этом для обнаружения ошибок необходимо использовать режим «мягкого» декодирования, работоспособность которого обеспечивают при наличии корреляционной зависимости между соседними передаваемыми или хранимыми значениями слов или сообщений.
Таким образом, предлагаемый «Способ помехоустойчивого сжатия данных для передачи и хранения информации», предполагает выполнение следующей последовательности операций: кодовые слова и сообщения, подлежащие передаче или хранению, представляют позиционным двоичным кодом с символами «1» и «0», имеющими длительность Т0, из которых формируют цифровой групповой сигнал (ЦГС) в виде последовательности бит, которую затем подвергают структурно-алгоритмическим преобразованиям первого этапа (САП-1), простейшая техническая реализация которого связана с разделением исходных кодовых слов или сообщений на старшее (аст) и младшее (амл) полуслова с последующей перестановкой их местами, в результате чего формируют новый поток ЦГС, обладающий свойствами повышенной помехозащищенности при наличии корреляционной зависимости между соседними передаваемыми или хранимыми значениями кодовых слов или сообщений, после чего переходят ко второму этапу САП (САП-2) на основе преобразования новой последовательности бит в замещающий троичный помехоустойчивый код с символами Si(Ti), i=0,1,2, который формируют на основе принятого логического правила кодирования, устанавливающего следующие соответствия «↔» например, S0(Т0) ↔ {<00>2,<11>2}, S1(T1) ↔ {<10>2,<001>2} и S2(T2) ↔ <101>2, каждая из которых имеет по три символа кодирования, условно определяемые как «S0» и «Т0», «S1» и «Т1», «S2» и «Т2», при этом символы «S0», «S1» и «S2» представляют в виде амплитудно-импульсной модуляции (АИМ3) с тремя разрешенными позициями кода, а вторую модулирующую составляющую видеосигнала с символами трехосновного кода «Т0», «Τ1» и «Т2» с длительностями Т0, Τ1=1,5Т0 и Т2=2Т0, где Т0 - продолжительность одного символа исходного двоичного кода, используют для широтно-импульсной модуляции (ШИМ3) второго видеосигнала, подлежащего дальнейшему структурно-алгоритмическому преобразованию (САП-3) третьего этапа, отличающийся тем, что на этапе, обозначенном как САП-3, при формировании кадров или циклов передаваемых данных или информации, подлежащей хранению, начало каждого кадра или цикла передачи информации помечают специальным маркером Mi, дополняющим сигналы существующие синхронизации Сi и состоящим из нескольких следующих подряд символов S2(Т2) ↔ <101>2, дополненных для сохранения используемой структуры представления кодовых слов или сообщений дополнительным символом S1(T1) ↔ {<10>2,001>2}, после чего из троичных символов Si (Тi), i=0,1,2, которые являются результатом выполнения операции САП-2, формируют информационные фразы, представленные символами Si (Ti), i=0,1,2 с выбранным их числом р, которые представляют формальными полиномами F(x)(i), где i - счетное множество i=1,2,3,..., определяющее количество информационных фраз в кадре или цикле, выбирают модули сравнения, например m1(х)=хn+1 - 1 и m2(х)=хn, где n - число, равное р/2 при p четном или р/2+1 - при нечетном р, затем формальные полиномы F(x)(i) последовательно делят на выбранные модули сравнения, например m1(х) и m2(х), или используют операции, замещающие деление, основанные, например, на методе неопределенных коэффициентов при представлении полиномов, и получают полиномы, которые являются остатками от деления b1(i)(x) и b2(i)(x), коэффициенты которых используют в качестве замещающих значений исходных кодовых слов или сообщений, подвергшихся сжатию (сокращению символьной избыточности кодов), при этом вводят специальный разделительный знак, позволяющий отличить коэффициенты одного полинома-остатка b1(i)(х) от другого b2(i)(x), при этом формальное описание полиномов-остатков b1(1)(х) и b2/2)(х), оперирующих коэффициентами kn=0,1,2 при неизвестном x в соответствующей степени, после чего их переводят в последовательность соответствующих им символов Si(Ti) с такими же нижними индексами i=0,1,2, в результате чего получают новую сформированную последовательность символов Si(Ti), при этом для отличия друг от друга полиномов-остатков b1(i)(x) и b2(i)(x) используют разделительные сигналы (Р), которые являются запрещенными в выбранной системе представления исходного потока бит последовательностью символов Si(Ti), i=0,1,2: Si(Tj)), где i,j=0,1,2, но они не являются совпадающими (i ≠ j), что противоречит принятому правилу кодирования информации троичным кодом с символами Si(Ti), i=0,1,2, при приеме и восстановлении информации, на основе отличительных сигналов Ρ осуществляют разделение как кодовых слов и сообщений, так и коэффициентов 0, 1 и 2 полиномов-образов-остатков b1(1)(x) и b2(1)(х), затем на основе выделенных коэффициентов 0, 1 и 2 полиномов-образов-остатков b1(i)(x) и b2(i)(x) с использованием адаптивных алгоритмов конструктивной теоремы об остатках восстанавливают исходные формальные полиномы F(x)(i) информационных фраз в кадре или цикле, для чего определяют полином Δ12(х), равный разности полиномов-образов-остатков b1(1)(x) и b2(1)(х): Δ12(х)=b1(1)(x) - b2(1)(х), который при абсолютной разности, определенной по отношению к полиномам-модулям n(х)=|m1(x) - m2(х)| и равной 1: n(х)=|m1(x) - m2(х)|=1, равен полиному-частному
в результате чего формальные полиномы F(x)(i) информационных фраз восстанавливают на основе следующего алгоритма: F(x)(i)=m1(x) Δ12(x)(i)+b1(i)(x)=m2(x) Δ12(x)(i)+b2(i)(x), после чего их коэффициенты, равные 0, 1 и 2, замещают символами троичного кода Si(Тi), i=0,1,2 с совпадающими нижними индексами при их обозначении, при этом подсчитывают число восстановленных символов троичного кода Si(Тi), i=0,1,2 и, если их количество не равно выбранному при кодировании числу р, то перед восстановленной последовательностью символов Si(Ti), i=0,1,2, добавляют такое количество символов S0 (Т0), при котором это равенство обеспечивают, затем полученную последовательность символов троичного кода Si(Тi), i=0,1,2, преобразуют в результате дополнительной операции декодирования, представляющей собой операцию, обратную САП-2 (ОСАП-2), в двоичный код с символами «1» и «0», восстановленный при-декодировании двоичный код подвергают очередной операции восстановления, осуществляемой на основе алгоритмов обратного САП-1 (ОСАП-1), с использованием универсального режима «жесткого» декодирования, обеспечивающего безусловное восстановление информации в исходном виде без исправления ошибок передачи или хранения и алгоритма «мягкого» декодирования, позволяющего обнаружить и исправить ошибки при наличии корреляционной зависимости, проявляющейся по отношению к следующим друг за другом кодовым словам или сообщениям, когда их количество больше трех.
В качестве заключения, позволяющего подвести окончательный итог новизны и сущностных характеристик предлагаемого изобретения, необходимо отметить следующее.
Проведенное моделирование операций, составляющих основу предлагаемого способа применительно к сжатию данных, которое производилось для обеспечения сравнимости с существующими способами их архивации, применяемыми в компьютерной технике, показало возможность достижения более высоких показателей сокращения избыточности информации на синтаксическом уровне по сравнению с известными техническими решениями. При этом была показана возможность дополнительного улучшения ряда других показателей эффективности СПД и повышения информационной безопасности хранимой и передаваемой информации: помехозащищенности и достоверности восстановления исходных данных.
Приведенное описание существенно обогащает теорию сжатия данных и помехоустойчивого экономного кодирования информации [15] на основе использования новой прикладной математической теории, расширяет области возможного использования изобретения, способствует появлению новых информационных технологий, имеющих необычное, с позиций существующей практики, название «помехоустойчивое сжатие».
Список использованных источников информации
1. «Способ передачи информации и устройство для его реализации», патент RU №2475861.
2. «Способ передачи информации и система для его реализации», патент RU №2480840.
3. «Способ передачи информации и устройство для его реализации», патент RU №2581774.
4. «Способ передачи информации и система для его реализации», патент RU №2586605.
5. «Способ передачи информации и система для его реализации», патент RU №2586833.
6. «Способ передачи информации и система для его реализации», патент RU №2609747.
7. «Способ экономного кодирования информации и система для его реализации», патент RU №2649291.
8. «Способ первичной обработки информации с обнаружением и исправлением ошибок передачи», патент RU №2658795.
9. «Способ первичной обработки информации с адаптивной нелинейной фильтрацией данных», патент RU №2672392.
10. Кукушкин С.С. Теория конечных полей и информатика: В 2 т. - т. 1: Методы и алгоритмы, классические и нетрадиционные, основанные на использовании конструктивной теоремы об остатках. - М.: МО РФ, 2003. - 284 с.
11. Лидл Р., Нидеррайтер Г. Конечные поля. В 2 томах. Пер с англ. М.: Мир, 1988. 882 с.
12. Емельянов Г.А., Шварцман В.О. Передача дискретной информации. М.: Радио и связь, 1982. 240 с.
13. «Способ синхронизации передаваемых сообщений и устройство для его реализации», патент RU №2591565 С1, опубл. 10.07.16, бюл. №20.
14. Былински П., Ингрем Д. Цифровые системы передачи // Перевод с англ., под ред. А.А. Венцеля / М.: «Связь», 1980. - 360 с.
15. Семенюк В.В. Экономное кодирование дискретной информации. - СПб.: СПбГИТМО (ТУ), 2001. - 115 с.
| название | год | авторы | номер документа |
|---|---|---|---|
| СПОСОБ СЖАТОГО ПОМЕХОУСТОЙЧИВОГО КОДИРОВАНИЯ ДАННЫХ ДЛЯ ПЕРЕДАЧИ И ХРАНЕНИЯ ИНФОРМАЦИИ | 2021 |
|
RU2789785C1 |
| СПОСОБ ПЕРЕДАЧИ ИНФОРМАЦИИ С ИСПОЛЬЗОВАНИЕМ ЗАМЕЩАЮЩЕГО ЛОГИЧЕСКОГО ТРОИЧНОГО ПОМЕХОУСТОЙЧИВОГО КОДА | 2019 |
|
RU2724794C1 |
| СПОСОБ ПОМЕХОУСТОЙЧИВОЙ ПЕРЕДАЧИ ИНФОРМАЦИИ В КОРОТКОВОЛНОВЫХ СИСТЕМАХ СВЯЗИ | 2024 |
|
RU2838878C1 |
| СПОСОБ ПЕРЕДАЧИ ИНФОРМАЦИИ С ИСПОЛЬЗОВАНИЕМ РАСШИРЕННОГО ЛОГИЧЕСКОГО ТРОИЧНОГО ПОМЕХОУСТОЙЧИВОГО КОДА В РЕЖИМАХ УЗКОПОЛОСНОЙ И ШИРОКОПОЛОСНОЙ СВЯЗИ | 2023 |
|
RU2834404C2 |
| СПОСОБ ПЕРЕДАЧИ ИНФОРМАЦИИ С ИСПОЛЬЗОВАНИЕМ ЗАМЕЩАЮЩЕГО ЛОГИЧЕСКОГО ТРОИЧНОГО ПОМЕХОУСТОЙЧИВОГО КОДА | 2020 |
|
RU2735419C1 |
| СПОСОБ ПЕРЕДАЧИ ИНФОРМАЦИИ С ИСПОЛЬЗОВАНИЕМ ЗАМЕЩАЮЩЕГО ЛОГИЧЕСКОГО ПОМЕХОУСТОЙЧИВОГО КОДА | 2020 |
|
RU2755640C1 |
| СПОСОБ ПЕРЕДАЧИ ИНФОРМАЦИИ И СИСТЕМА ДЛЯ ЕГО ОСУЩЕСТВЛЕНИЯ | 2011 |
|
RU2480840C2 |
| СПОСОБ ПЕРЕДАЧИ ИНФОРМАЦИИ И СИСТЕМА ДЛЯ ЕГО ОСУЩЕСТВЛЕНИЯ | 2014 |
|
RU2581774C1 |
| СПОСОБ ПЕРЕДАЧИ ДИСКРЕТНЫХ СООБЩЕНИЙ С МНОГОПАРАМЕТРИЧЕСКОЙ АДАПТАЦИЕЙ К СОСТОЯНИЮ КАНАЛА СВЯЗИ И СИСТЕМА ДЛЯ ЕГО РЕАЛИЗАЦИИ | 2022 |
|
RU2795047C1 |
| СПОСОБ ПЕРЕДАЧИ ИНФОРМАЦИИ И СИСТЕМА ДЛЯ ЕГО ОСУЩЕСТВЛЕНИЯ | 2015 |
|
RU2586833C1 |
Изобретение относится к системам телекоммуникации. Технический результат заключается в повышении показателей помехозащищенности передаваемой и архивированной информации без введения структурной избыточности в передаваемые сообщения и при сжатии данных. В способе помехоустойчивого сжатия данных для передачи и хранения информации на этапе дополнительного кодирования представления кодовых слов или сообщений троичными символами Si(Τi), i=0,1,2, формируют информационные фразы, включающие в себя равное их число р, которые представляют формальными полиномами F(x)(i), где i - счетное множество i=1,2,3,…, определяющее количество информационных фраз в кадре или цикле, выбирают модули сравнения, например m1(х)=xn+1 - 1 и m2(х)=xn, где n - число, равное р/2 при p четном или р/2+1 - при нечетном р, затем формальные полиномы F(x)(i) последовательно делят на выбранные модули сравнения, например m1(x) и m2(х), и получают полиномы, которые являются остатками от деления b1(i)(х) и b2(i)(x), коэффициенты которых используют в качестве замещающих значений исходных кодовых слов или сообщений, подвергшихся сжатию, при этом вводят специальный разделительный знак, позволяющий отличить коэффициенты одного полинома-остатка b1(i)(х) от другого b2(i)(х), при этом формальное описание полиномов-остатков b1(1)(x) и b2(2) (х), оперирующих коэффициентами kn=0,1,2 при неизвестном x в соответствующей степени, после чего их переводят в последовательность соответствующих им символов Si(Τi) с такими же нижними индексами i=0,1,2, в результате чего получают новую сформированную последовательность символов Si(Ti), при этом для отличия друг от друга полиномов-остатков b1(i)(х) и b2(i)(х) используют разделительные сигналы (Р), которые являются запрещенными в выбранной системе представления символов, на основе отличительных сигналов Ρ осуществляют разделение как кодовых слов и сообщений, так и коэффициентов, принимающих значения 0,1 и 2 у полиномов-остатков b1(1)(х) и b2(1)(х), затем на основе выделенных коэффициентов 0,1 и 2 полиномов-образов-остатков b1(i)(х) и b2(i)(x) с использованием адаптивных алгоритмов конструктивной теоремы об остатках восстанавливают исходные формальные полиномы F(x)(i) информационных фраз в кадре или цикле. 9 ил., 1 табл.
Способ помехоустойчивого сжатия данных для передачи и хранения информации, заключающийся в выполнении следующей последовательности операций: кодовые слова и сообщения, подлежащие передаче или хранению, представляют позиционным двоичным кодом с символами «1» и «0», имеющими длительность Т0, из которых формируют цифровой групповой сигнал (ЦГС) в виде последовательности бит, которую затем подвергают структурно-алгоритмическим преобразованиям первого этапа (САП-1), простейшая техническая реализация которого связана с разделением исходных кодовых слов или сообщений на старшее (аст) и младшее (aмл) полуслова с последующей перестановкой их местами, в результате чего формируют новый поток ЦГС, обладающий свойствами повышенной помехозащищенности при наличии корреляционной зависимости между соседними передаваемыми или хранимыми значениями кодовых слов или сообщений, после чего переходят ко второму этапу САП (САП-2) на основе преобразования новой последовательности бит в замещающий троичный помехоустойчивый код с символами Si(Ti), i=0,1,2, который формируют на основе принятого логического правила кодирования, устанавливающего следующие соответствия «↔» например, S0(T0) ↔ {<00>2,<11>2}, S1(T1) ↔ {<10>2,<001>2} и S2(Т2) ↔ <101>2, каждая из которых имеет по три символа кодирования, условно определяемые как «S0» и «Т0», «S1» и «Т1», «S2» и «Т2», при этом символы «S0», «S1» и «S2» представляют в виде амплитудно-импульсной модуляции (АИМ3) с тремя разрешенными позициями кода, а вторую модулирующую составляющую видеосигнала с символами трехосновного кода «Т0», «Τ1» и «Т2» с длительностями Т0, T1=1,5Т0 и Т2=2Т0, где Т0 - продолжительность одного символа исходного двоичного кода, используют для широтно-импульсной модуляции (ШИМ3) второго видеосигнала, подлежащего дальнейшему структурно-алгоритмическому преобразованию (САП-3) третьего этапа, отличающийся тем, что на этапе, обозначенном как САП-3, при формировании кадров или циклов передаваемых данных или информации, подлежащей хранению, начало каждого кадра или цикла передачи информации помечают специальным маркером
дополняющим сигналы существующие синхронизации Ci и состоящим из нескольких следующих подряд символов S2(T2) ↔ <101>2, дополненных для сохранения используемой структуры представления кодовых слов или сообщений дополнительным символом S1(Τ1) ↔ {<10>2,<001>2}, после чего из троичных символов Si(Тi), i=0,1,2, которые являются результатом выполнения операции САП-2, формируют информационные фразы, представленные символами Si(Ti), i=0,1,2, с выбранным их числом р, которые представляют формальными полиномами F(x)(i), где i - счетное множество i=1,2,3,…, определяющее количество информационных фраз в кадре или цикле, выбирают модули сравнения, например m1(x)=xn+1 - 1 и m2(х)=xn, где n - число, равное р/2 при p четном или р/2+1 - при нечетном р, затем формальные полиномы
последовательно делят на выбранные модули сравнения, например m1(x) и m2(х), или используют операции, замещающие деление, основанные, например, на методе неопределенных коэффициентов при представлении полиномов, и получают полиномы, которые являются остатками от деления b1(i)(x) и b2(i)(x), коэффициенты которых используют в качестве замещающих значений исходных кодовых слов или сообщений, подвергшихся сжатию (сокращению символьной избыточности кодов), при этом вводят специальный разделительный знак, позволяющий отличить коэффициенты одного полинома-остатка b1(i)(x) от другого b2(i)(х), при этом формальное описание полиномов-остатков b1(1)(x) и b2(2)(х), оперирующих коэффициентами kn=0,1,2 при неизвестном n в соответствующей степени, после чего их переводят в последовательность соответствующих им символов Si(Τi) с такими же нижними индексами i=0,1,2, в результате чего получают новую сформированную последовательность символов
при этом для отличия друг от друга полиномов-остатков b1(i)(х) и b2(i)(x) используют разделительные сигналы (Р), которые являются запрещенными в выбранной системе представления исходного потока бит последовательностью символов Si(Ti), i=0,1,2: Si(Tj), где i,j=0,1,2, но они не являются совпадающими (i ≠ j), что противоречит принятому правилу кодирования информации троичным кодом с символами Si(Ti), i=0,1,2, при приеме и восстановлении информации, на основе отличительных сигналов Ρ осуществляют разделение как кодовых слов и сообщений, так и коэффициентов 0,1 и 2 полиномов-образов-остатков b1(1)(x) и b2(1)(x), затем на основе выделенных коэффициентов 0,1 и 2 полиномов-образов-остатков b1(i)(x) и b2(i)(x) с использованием адаптивных алгоритмов конструктивной теоремы об остатках восстанавливают исходные формальные полиномы F(x)(i) информационных фраз в кадре или цикле, для чего определяют полином Δ12(x), равный разности полиномов-образов-остатков b1(1)(x) и b2(1)(х): Δ12(х)=b1(1)(x) - b2(1)(x), который при абсолютной разности, определенной по отношению к полиномам-модулям n(х)=|m1(x) - m2(х)| и равной 1: n(х)=|m1(х) - m2(х)|=1, равен полиному-частному
в результате чего формальные полиномы F(x)(i) информационных фраз восстанавливают на основе следующего алгоритма: F(x)(i)=m1(х)Δ12(x)(i)+b1(i)(x)=m2(х)Δl2(x)(i)+b2(i)(x), после чего их коэффициенты, равные 0,1 и 2, замещают символами троичного кода Si(Ti), i=0,1,2, с совпадающими нижними индексами при их обозначении, при этом подсчитывают число восстановленных символов троичного кода Si(Ti), i=0,1,2, и, если их количество не равно выбранному при кодировании числу р, то перед восстановленной последовательностью символов
i=0,1,2, добавляют такое количество символов S0(Т0), при котором это равенство обеспечивают, затем полученную последовательность символов троичного кода
i=0,1,2, преобразуют в результате дополнительной операции декодирования, представляющей собой операцию, обратную САП-2 (ОСАП-2), в двоичный код с символами «1» и «0», восстановленный при декодировании двоичный код подвергают очередной операции восстановления, осуществляемой на основе алгоритмов обратного САП-1 (ОСАП-1), с использованием универсального режима «жесткого» декодирования, обеспечивающего безусловное восстановление информации в исходном виде без исправления ошибок передачи или хранения и алгоритма «мягкого» декодирования, позволяющего обнаружить и исправить ошибки при наличии корреляционной зависимости, проявляющейся по отношению к следующим друг за другом кодовым словам или сообщениям, когда их количество больше трех.
| СПОСОБ ПЕРЕДАЧИ ИНФОРМАЦИИ И СИСТЕМА ДЛЯ ЕГО ОСУЩЕСТВЛЕНИЯ | 2014 |
|
RU2581774C1 |
| СПОСОБ ПЕРЕДАЧИ ИНФОРМАЦИИ И СИСТЕМА ДЛЯ ЕГО ОСУЩЕСТВЛЕНИЯ | 2011 |
|
RU2480840C2 |
| СПОСОБ ПЕРЕДАЧИ ИНФОРМАЦИИ И УСТРОЙСТВО ДЛЯ ЕГО ОСУЩЕСТВЛЕНИЯ | 2011 |
|
RU2475861C1 |
| СПОСОБ ПЕРЕДАЧИ ИНФОРМАЦИИ И СИСТЕМА ДЛЯ ЕГО ОСУЩЕСТВЛЕНИЯ | 2013 |
|
RU2586605C2 |
| СПОСОБ ПЕРЕДАЧИ ИНФОРМАЦИИ И СИСТЕМА ДЛЯ ЕГО ОСУЩЕСТВЛЕНИЯ | 2015 |
|
RU2586833C1 |
| СПОСОБ ПЕРЕДАЧИ ИНФОРМАЦИИ И СИСТЕМА ДЛЯ ЕГО ОСУЩЕСТВЛЕНИЯ | 2015 |
|
RU2609747C1 |
| СПОСОБ ЭКОНОМНОГО ПРЕДСТАВЛЕНИЯ И ПЕРЕДАЧИ БИПОЛЯРНЫХ ДАННЫХ И СИГНАЛОВ | 2017 |
|
RU2649291C1 |
| СПОСОБ ПЕРВИЧНОЙ ОБРАБОТКИ ИНФОРМАЦИИ С ОБНАРУЖЕНИЕМ И ИСПРАВЛЕНИЕМ ОШИБОК ПЕРЕДАЧИ | 2017 |
|
RU2658795C1 |
| СПОСОБ ПЕРВИЧНОЙ ОБРАБОТКИ ИНФОРМАЦИИ С ИСПОЛЬЗОВАНИЕМ АДАПТИВНОЙ НЕЛИНЕЙНОЙ ФИЛЬТРАЦИИ ДАННЫХ ИЗМЕРЕНИЙ | 2017 |
|
RU2672392C1 |
| СПОСОБ ПЕРЕДАЧИ ИНФОРМАЦИИ С ИСПОЛЬЗОВАНИЕМ ЗАМЕЩАЮЩЕГО ЛОГИЧЕСКОГО ТРОИЧНОГО ПОМЕХОУСТОЙЧИВОГО КОДА | 2019 |
|
RU2724794C1 |
| US 20020054557 A1, 09.05.2002. | |||
Авторы
Даты
2025-05-20—Публикация
2021-02-25—Подача