Промоторы гидратообразования углекислого газа на основе амидов аминокислот и этилендиаминтетрауксусной кислоты Российский патент 2024 года по МПК B01D53/14 B01D53/62 C10K1/00 C07C237/22 C07C279/14 C07C309/14 C07D207/16 

Описание патента на изобретение RU2830051C1

Изобретение относится к химии комплексонов, а именно к способу применения соединений на основе амидов аминокислот и этилендиаминтетрауксусной кислоты общей формулы I, обладающих способностью промотировать образование газовых гидратов углекислого газа. Соединения могут найти применение в улавливании углекислого газа и разделении газов.

Увеличение концентрации диоксида углерода (CO2) в атмосфере повышает температуру Земли. Выбросы CO2 тесно связаны с деятельностью человека, такой как сжигание ископаемого топлива. Учитывая тот факт, что по прогнозам потребность в энергии увеличится более чем вдвое до 2060 года, встает актуальный вопрос эффективного сокращения выбросов CO2. В основном источниками выбросов диоксида углерода являются промышленная деятельность и тепловые электростанции [Aminu M.D. et al. A review of developments in carbon dioxide storage //Applied Energy. – 2017. – Т. 208. – С. 1389-1419]. Для обеспечения устойчивости окружающей среды требуются подходы к снижению выбросов парниковых газов, одним из которых является улавливание и хранение углекислого газа. Таким образом, задача улавливания выбросов CO2, возникающих в результате промышленных процессов, является актуальной и требует решения.

На данный момент разработано несколько стратегий, позволяющих физически и химически улавливать CO2: с помощью смешанных растворов [Li H., Zhang Z. Mining the intrinsic trends of CO2 solubility in blended solutions //Journal of CO2 Utilization. – 2018. – Т. 26. – С. 496-502, Hai I.U. et al. Assessment of biomass energy potential for SRC willow woodchips in a pilot scale bubbling fluidized bed gasifier //Fuel. – 2019. – Т. 258. – С. 116143.; Hai I. U. et al. Assessment of biomass energy potential for SRC willow woodchips in a pilot scale bubbling fluidized bed gasifier //Fuel. – 2019. – Т. 258. – С. 116143], наноструктурированных мембран из полимеров, цеолитов и различных углеродных или неорганических нанокомпозитов [Han Y., Zhang Z. Nanostructured membrane materials for CO2 capture: a critical review //Journal of Nanoscience and Nanotechnology. – 2019. – Т. 19. – № 6. – С. 3173-3179], адсорбционных сред, криогенных систем [Xu J., Lin W. A CO2 cryogenic capture system for flue gas of an LNG-fired power plant //international journal of hydrogen energy. – 2017. – Т. 42. – № 29. – С. 18674-18680], комбинированного цикла газификации [Cormos A.M., Dinca C., Cormos C.C. Multi-fuel multi-product operation of IGCC power plants with carbon capture and storage (CCS) //Applied Thermal Engineering. – 2015. – Т. 74. – С. 20-27], газоразделения на основе гидратов [Zheng J. et al. Impact of fixed bed reactor orientation, liquid saturation, bed volume and temperature on the clathrate hydrate process for pre-combustion carbon capture //Journal of Natural Gas Science and Engineering. – 2016. – Т. 35. – С. 1499-1510] и химического петлевого сжигания [Zhu L. et al. Tech-economic assessment of second-generation CCS: Chemical looping combustion //Energy. – 2018. – Т. 144. – С. 915-927].

Среди всех вышеупомянутых стратегий газоразделение на основе гидратов является одним из новых подходов к улавливанию и хранению CO2 с относительно низким потреблением энергии [Li L. et al. Experimental and modeling phase equilibria of gas hydrate systems for post-combustion CO2 capture //Journal of the Taiwan Institute of Chemical Engineers. – 2019. – Т. 96. – С. 35-44]. Гидратная технология является особенно перспективной из-за способности непрерывного образования гидрата углекислого газа, что позволяет обрабатывать большие объемы потока газа при меньших эксплуатационных затратах [Babu P., Kumar R., Linga P. Pre-combustion capture of carbon dioxide in a fixed bed reactor using the clathrate hydrate process //Energy. – 2013. – Т. 50. – С. 364-373].

Газовые гидраты представляют собой класс льдоподобных кристаллических соединений включения, в которых пористый кристаллический каркас образован молекулами воды, связанными водородными связями, а молекулы газов заполняют поры этого каркаса. Газовые гидраты образуются в результате захвата молекул газа молекулами воды в условиях высокого давления и низкой температуры.

Поскольку CO2 очень склонен к гидратообразованию при низких давлениях, он способен быстрее, чем другие газы, образовывать гидраты с высоким соотношением превращения углекислого газа в гидрат. Затем выделенный CO2 может быть изолирован или сохранен в резервуарах в виде гидрата. Кроме того, гидраты CO2 могут осаждаться в виде гидратных гранул на морском дне, если они стабильны.

Чтобы сделать технологии улавливания CO2 на основе гидратов устойчивыми и экономически жизнеспособными, необходимо обеспечить высокую стабильность гидратов и значительную скорость их образования. Для достижения этих целей можно использовать химические добавки, которые способствуют образованию и росту гидратов. Такие добавки подразделяются на термодинамические и кинетические промоторы.

Участвуя в образовании гидратов, термодинамические промоторы могут изменять/сдвигать условия равновесия образования гидратов в сторону более низких давлений и высоких температур по сравнению с исходными системами без промоторов, однако конкурируют с молекулами газа за гидратные ячейки.

В качестве термодинамических промоторов образования гидрата углекислого газа могут использоваться различные вещества. Например: циклопентан [Shifeng L. et al. Clathrate hydrate capture of CO2 from simulated flue gas with cyclopentane/water emulsion //Chinese Journal of Chemical Engineering. – 2010. – Т. 18. – № 2. – С. 202-206], тетра-н-бутил хлорид аммония [Zhong D.L. et al. Using Tetra-n-butyl ammonium chloride semiclathrate hydrate for methane separation from low-concentration coal mine gas //Energy Procedia. – 2017. – Т. 105. – С. 4854-4858], тетра-н-бутил бромид аммония [Babu P. et al. Systematic evaluation of tetra-n-butyl ammonium bromide (TBAB) for carbon dioxide capture employing the clathrate process //Industrial & Engineering Chemistry Research. – 2014. – Т. 53. – № 12. – С. 4878-4887], тетра-н-бутил фторид аммония [Zheng J. et al. Semiclathrate based CO2 capture from fuel gas mixture at ambient temperature: Effect of concentrations of tetra-n-butylammonium fluoride (TBAF) and kinetic additives //Applied Energy. – 2018. – Т. 217. – С. 377-389], тетра-н-бутил нитрат аммония [Li X.S. et al. Effects of tetrabutyl-(ammonium/phosphonium) salts on clathrate hydrate capture of CO2 from simulated flue gas //Energy & fuels. – 2012. – Т. 26. – № 4. – С. 2518-2527], пропан [Kumar R., Wu H., Englezos P. Incipient hydrate phase equilibrium for gas mixtures containing hydrogen, carbon dioxide and propane //Fluid phase equilibria. – 2006. – Т. 244. – № 2. – С. 167-171] и тетрагидрофуран (ТГФ), который способен стабилизировать гидраты CO2 в условиях, близких к атмосферным [Kumar A. et al. Kinetic promotion of mixed methane-THF hydrate by additives: Opportune to energy storage //Energy Procedia. – 2019. – Т. 158. – С. 5287-5292; Veluswamy H. P., Premasinghe K. P., Linga P. CO2 hydrates–effect of additives and operating conditions on the morphology and hydrate growth //Energy Procedia. – 2017. – Т. 105. – С. 5048-5054; Torré J.P. et al. CO2 enclathration in the presence of water-soluble hydrate promoters: Hydrate phase equilibria and kinetic studies in quiescent conditions //Chemical engineering science. – 2012. – Т. 82. – С. 1-13; Phan A., Schlösser H., Striolo A. Molecular mechanisms by which tetrahydrofuran affects CO2 hydrate Growth: Implications for carbon storage //Chemical Engineering Journal. – 2021. – Т. 418. – С. 129423]. Использование термодинамических промоторов позволяет получать газогидраты при более низком давлении и высокой температуре. Однако при их использовании снижается конверсия газа в гидрат, и они не решают проблему медленного роста гидрата, а иногда и вовсе усугубляют ее.

Кинетические промоторы, с другой стороны, в основном представляют собой добавки, которые помогают уменьшить время индукции и повысить скорость образования гидратов, но сами не участвуют в гидратообразовании. Таким образом, условия образования гидратов (температура и давление) и структура гидратов не будут затронуты включением кинетических промоторов.

К известным промоторам этого типа чаще всего относятся поверхностно-активные вещества (ПАВ) [Dashti H., Yew L. Z., Lou X. Recent advances in gas hydrate-based CO2 capture //Journal of Natural Gas Science and Engineering. – 2015. – Т. 23. – С. 195-207]. Например: неионогенный твин-80 [Zhang B.Y., Qiang W., Sun D.L. Effect of surfactant Tween on induction time of gas hydrate formation //Journal of China University of Mining and Technology. – 2008. – Т. 18. – № 1. – С. 18-21], катионный додецилтриметиламмонийхлорид [Zhang F. et al. The effect of sodium dodecyl sulfate and dodecyltrimethylammonium chloride on the kinetics of CO2 hydrate formation in the presence of tetra-n-butyl ammonium bromide for carbon capture applications //Energy. – 2021. – Т. 227. – С. 120424] и наиболее эффективный и часто применяющийся анионный додецилсульфат натрия (SDS) [US-6389820-B1; RU 2293907 C2; Y. Zhong, R.E. Rogers, Surfactant effects on gas hydrate formation, Chemical Engineering Science, 55, 4175–87, 2000]. Помимо поверхностно-активных веществ, недавно было обнаружено, что некоторые аминокислоты также являются эффективными кинетическими промоторами системы гидрата углекислого газа, например, лейцин [Li Y. et al. Evaluation of amino acid L-leucine as a kinetic promoter for CO2 sequestration as hydrate: A kinetic and morphological study //Journal of Environmental Chemical Engineering. – 2023. – Т. 11. – № 6. – С. 111363], метионин [Liu X. et al. Comparison of SDS and L-Methionine in promoting CO2 hydrate kinetics: Implication for hydrate-based CO2 storage //Chemical Engineering Journal. – 2022. – Т. 438. – С. 135504; Cai Y. et al. CO2 hydrate formation promoted by a natural amino acid l‐methionine for possible application to CO2 capture and storage //Energy Technology. – 2017. – Т. 5. – № 8. – С. 1195-1199], норлейцин, норвалин [Cai Y. et al. CO2 hydrate formation promoted by a natural amino acid l‐methionine for possible application to CO2 capture and storage //Energy Technology. – 2017. – Т. 5. – № 8. – С. 1195-1199], триптофан [Khandelwal H. et al. Effect of l-tryptophan in promoting the kinetics of carbon dioxide hydrate formation //Energy & Fuels. – 2020. – Т. 35. – № 1. – С. 649-658]. Аминокислоты являются биоразлагаемыми соединениями, не вызывающими пенообразования, что выгодно отличает их от ПАВ. [Li B., Lu Y. Y., Li Y. L. A Review of Natural Gas Hydrate Formation with Amino Acids //Journal of Marine Science and Engineering. – 2022. – Т. 10. – № 8. – С. 1134].

Использование кинетических промоторов как в индивидуальном виде, так и в виде композиций приводит в большей или меньшей степени к ускорению образования газогидратов. Однако следует отметить, что кинетические промоторы обладают рядом отрицательных свойств. Так, ПАВ способствуют интенсивному пенообразованию при диссоциации гидратов, что снижает эффективность извлечения газа и ухудшает эксплуатационные характеристики, что является известной проблемой при использовании промоторов гидратообразования на основе ПАВ [Pang W.X. et al. Experimental study on the scale-up effect of gas storage in the form of hydrate in a quiescent reactor //Chemical engineering science. – 2007. – Т. 62. – № 8. – С. 2198-2208]. Нативные природные аминокислоты обладают низкой стабильностью за счет того, что являются питательным субстратом для микроорганизмов – бактерий и грибов. Помимо этого, многие из них не всегда обладают достаточной эффективностью.

Также известны гетерогенные промоторы гидратообразования, используемые в реакторах с неподвижным слоем. Такие системы способны улучшить контакт газа с водой и устраняют необходимость в дорогостоящем и энергоемком перемешивании, что является их преимуществом. В качестве неподвижного слоя могут использоваться различные пористые материалы, такие как кварцевый песок [Babu P., Kumar R., Linga P. Pre-combustion capture of carbon dioxide in a fixed bed reactor using the clathrate hydrate process //Energy. – 2013. – Т. 50. – С. 364-373], силикагели с различным размером пор [Babu P., Kumar R., Linga P. Pre-combustion capture of carbon dioxide in a fixed bed reactor using the clathrate hydrate process //Energy. – 2013. – Т. 50. – С. 364-373; Adeyemo A. et al. Capture of carbon dioxide from flue or fuel gas mixtures by clathrate crystallization in a silica gel column //International journal of greenhouse gas control. – 2010. – Т. 4. – № 3. – С. 478-485.; Seo Y., Kang S.P. Enhancing CO2 separation for pre-combustion capture with hydrate formation in silica gel pore structure //Chemical Engineering Journal. – 2010. – Т. 161. – № 1-2. – С. 308-312] или пенополиуретан [Babu P., Kumar R., Linga P. A new porous material to enhance the kinetics of clathrate process: application to precombustion carbon dioxide capture //Environmental science & technology. – 2013. – Т. 47. – № 22. – С. 13191-13198]. Также промоторами могут быть наночастицы диоксида титана (TiO2), диоксида кремния (SiO2), оксида хрома (Cr2O3) или многостенные углеродные нанотрубки [ZareNezhad B., Montazeri V., Rahimi M. Experimental and theoretical investigations regarding the effect of chromium oxide nanoparticles on the CO2 gas capture through gas hydrate process in petroleum industry //Petroleum Science and Technology. – 2019. – Т. 37. – № 8. – С. 869-875; Li A. et al. Experimental study on CO2 hydrate formation in the presence of TiO2, SiO2, MWNTs nanoparticles //Separation Science and Technology. – 2019. – Т. 54. – № 15. – С. 2498-2506], однако их использование требует предварительной специальной обработки и стабилизации дисперсности. Также стоит отметить абразивные свойства гетерогенных промоторов, которые снижают эксплуатационные характеристики оборудования.

Возможно применение различных комбинированных систем промоторов, например, термодинамический промотор + пористая среда, такие как, ТГФ + кварцевый песок [Zheng J. et al. Impact of fixed bed reactor orientation, liquid saturation, bed volume and temperature on the clathrate hydrate process for pre-combustion carbon capture //Journal of Natural Gas Science and Engineering. – 2016. – Т. 35. – С. 1499-1510], ТГФ+силикагель [Adeyemo A. et al. Capture of carbon dioxide from flue or fuel gas mixtures by clathrate crystallization in a silica gel column //International journal of greenhouse gas control. – 2010. – Т. 4. – № 3. – С. 478-485] или тетра-н-бутил бромид аммония + нано-Al2O3 [Li Z. Y. et al. Hydrate-based CO2 capture from integrated gasification combined cycle syngas with tetra-n-butylammonium bromide and nano-Al2O3//Energy & fuels. – 2018. – Т. 32. – № 2. – С. 2064-2072], или кинетический промотор + пористая среда, например, Твин-80 + силикагель, додецилтриметиламмонийхлорид + силикагель, SDS + силикагель [Kumar A. et al. Influence of contact medium and surfactants on carbon dioxide clathrate hydrate kinetics //Fuel. – 2013. – Т. 105. – С. 664-671]. Также используют системы термодинамический промотор + кинетический промотор, например, ТГФ + метионин [Liu X. et al. Coupling Amino Acid with THF for the Synergistic Promotion of CO2 Hydrate Micro Kinetics: Implication for Hydrate-Based CO2 Sequestration //ACS Sustainable Chemistry & Engineering. – 2023. – Т. 11. – № 15. – С. 6057-6069] или сочетающие в себе термодинамический промотор, кинетический промотор и пористый материал, например, ТГФ + SDS + силикагель, тетра-н-бутил бромид аммония + SDS + силикагель, моноэтиловый эфир этиленгликоля + SDS + силикагель [Hassan M.H. A. et al. Kinetic and thermodynamic evaluation of effective combined promoters for CO2 hydrate formation //Journal of Natural Gas Science and Engineering. – 2020. – Т. 78. – С. 103313], или кварцевый песок + SDS + насадка из нержавеющей сталь [Kumar A., Kumar R. Role of metallic packing and kinetic promoter in designing a hydrate-based gas separation process //Energy & Fuels. – 2015. – Т. 29. – № 7. – С. 4463-4471].

Известно изобретение по патенту RU 2798318 C1 «Промоторы гидратообразования на основе амидов аминокислот и этилендиаминтетрауксусной кислоты», сущностью являются промоторы гидратообразования на основе амидов аминокислот и этилендиаминтетрауксусной кислоты, обладающих способностью промотировать образование газовых гидратов метана. Применение этих соединений в качестве промоторов гидратообразования углекислого газа заявителем из исследованного уровня техники не выявлено.

Технической проблемой, решаемой заявленным изобретением, и его техническим результатом является применение амидов аминокислот и этилендиаминтетрауксусной кислоты формулы (I) в качестве промоторов гидратообразования углекислого газа, что в конечном счете обеспечивает расширение линейки реагентов указанного назначения.

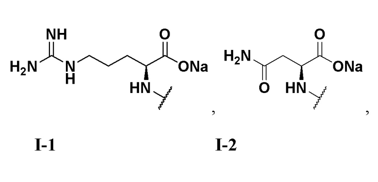
Сущностью заявленного технического решения является применение амидов аминокислот и этилендиаминтетрауксусной кислоты формулы (I) в качестве промоторов гидратообразования углекислого газа:

где R =

Заявленное техническое решение иллюстрируется фиг. 1, фиг. 2:

На фиг. 1 представлена блок-схема установки для тестирования гидратообразования, где:

1 – баллон с модельным газом;

2 – газовый бустер;

3 – датчик давления;

4 – источник постоянного тока;

5 – верхнеприводная мешалка;

6 – магнитная муфта;

7 – термопара;

8 – автоклав;

9 – термостат;

10 – коммутатор;

11 – система сбора данных (Теркон);

12 – компьютер.

На фиг. 2 представлена таблица, где приведены конверсия воды в гидрат, время индукции, поглощение ммоль углекислого газа на моль воды, начальная и максимальная скорости роста гидрата углекислого газа для чистой воды, растворов триптофана и амидов аминокислот и этилендиаминтетрауксусной кислоты формулы при концентрации 0,05 мас.%. Также для сравнения промотирующей активности на образование гидратов разных газов в таблице для некоторых соединений приведены данные для образования гидрата углекислого газа.

Далее заявителем приведено описание заявленного технического решения.

Заявленный технический результат достигается применением соединений формулы I в качестве промоторов гидратообразования углекислого газа.

Получение соединений формулы I (I-1–I-7) и их характеристики представлены в примерах 1, 2, 5, 7, 11, 10, 4, соответственно, патента на изобретение RU 2798318 C1 «Промоторы гидратообразования на основе амидов аминокислот и этилендиаминтетрауксусной кислоты».

Далее заявителем приведен пример осуществления заявленного технического решения.

Пример . Исследование способности амидов аминокислот и этилендиаминтетрауксусной кислоты (I) промотировать образование газовых гидратов углекислого газа.

Исследование образования гидратов углекислого газа в присутствии промоторов проводили с использованием автоклава высокого давления. Схема установки для проведения экспериментов по оценке промотирования гидратообразования представлена на фиг. 1. Основным элементом установки является автоклавная ячейка высокого давления (8) (например, TOP INDUSTRIE, Франция), оборудованная верхнеприводной мешалкой (5) с магнитной муфтой (6). Измерение процесса гидратообразования проводится с помощью калиброванных датчиков давления (3) и термопары (7). Погрешности измерения температуры и давления составляют 0,1°С и 0,005 МПа соответственно. Для преобразования сети переменного тока в постоянный использовался источник постоянного тока (4).

Растворы промоторов формулы I концентрации 0,05 мас.% готовят с использованием деионизированной воды. В автоклавную ячейку высокого давления (8) общим объемом 284 мл добавляют 50 мл раствора промотора гидратообразования, и остаточный воздух из ячейки трижды продувают углекислым газом 0,5 МПа из баллона (1). После этого в автоклавной ячейке высокого давления (8) с помощью газового бустера (2) создают давление до 4 МПа при 20°С, начинают перемешивание со скоростью 400 об/мин с помощью верхнеприводной мешалкой (5). Затем запускают запись данных с помощью системы сбора данных (11) и коммутатора (10), которые регистрируют на локальном компьютере (12), а затем с помощью термостата (9) осуществляют цикл охлаждения от +20°С до +1°С за 1 ч с последующим изотермическим режимом при +1°С в течение 8 ч.

Для исследования образования гидратов углекислого газа в присутствии промоторов взяли:

– соединения I-1–I-7 концентрацией 0,05 мас.%,

– чистую воду (контроль),

– раствор триптофана концентрацией 0,05 мас.% – самый известный и широко применяемый промотор гидратообразования углекислого газа (опыт сравнения).

Результаты представлены в таблице на фиг. 2.

При этом заявитель поясняет, что чем больше конверсия воды в гидрат, поглощение газа и скорость, и чем меньше время индукции по отношению к чистой воде, тем более эффективным считается промотор.

Как видно из Таблицы, для чистой воды конверсия воды в гидрат составляет 41±3%, а время индукции 48±37 мин. При этом конверсия воды в гидрат и время индукции 0,05 мас.% раствора триптофана, как хорошо известного кинетического промотора, составляют 66±1% и 237±10 мин соответственно.

Соединение I-5, которое является амидом пролина и этилендиаминтетрауксусной кислоты, ведет себя как ингибитор и не образовывает гидрат на протяжении всего эксперимента во всех повторностях. При использовании I-4 наблюдается увеличение времени индукции до 115 минут и уменьшение конверсии до 35%, что является незначительным ингибированием по сравнению с водой (48 мин, 41%). Соединение I-6 оказывает незначительную промотирующую активность, увеличивает конверсию до 51%, но также увеличивает и время индукции до 145 мин. Таким образом соединения I-4 и I-6 не обладают выраженными промотирующими или ингибирующими свойствами. Соединение I-3, образованное лейцином, способствует достижению конверсии (66±1%), идентичной триптофану (66±1%), со схожим временем индукции. Остальные соединения обладают значительно меньшим временем индукции, чем триптофан (237±10 мин). Так, наименьшее время индукции показали соединение I-2 (19±1 мин), образованное гидрофильным аспарагином, и соединение I-7, образованное также гидрофильной цистеиновой кислотой (29±1 мин), что, соответственно, в 12.5 и 8.2 раз меньше времени индукции для триптофана и в 1.7, 2.5 раз меньше времени индукции для системы без добавок. Также соединения I-2 и I-7 характеризуются не только меньшим временем индукции, но и большей конверсией, равной соответственно 46±2% и 55±1%, по сравнению с водой (41±3%), что доказывает возможность применения их в качестве эффективных промоторов образования гидрата углекислого газа.

Соединения формулы I обеспечивают устойчивый более быстрый рост гидрата по сравнению с водой в течение длительного периода времени, что позволяет достичь более высокой конверсии. Скорость роста гидрата в случае соединения I-3 поддерживается на приблизительно постоянном уровне в течение более длительного периода времени.

При сравнении промотирующих активностей соединений на образование гидратов метана и углекислого газа было выявлено, что соединение I-3, которое является амидом лейцина и этилендиаминтетрауксусной кислоты, демонстрирует большую конверсию и короткое время индукции для гидрата метана, и аналогичную конверсию с близким временем индукции по сравнению с триптофаном для гидрата углекислого газа, что может сделать его эффективным промотором образования гидратов обоих газов. Особый интерес вызывает соединение I-2, которое незначительно уменьшает время индукции для метана (71 мин), но обладает наименьшим временем индукции для углекислого газа (19 мин), что указывает на возможность его дальнейшего использования в технологиях замещения метана углекислым газом в гидратных месторождениях. Соединение I-5, образованное пролином, в свою очередь, является эффективным промотором образования гидрата метана, но показало себя ингибитором нуклеации гидрата углекислого газа, что может оказаться полезным.

Таким образом, можно сделать вывод, что большинство соединений формулы I показали промотирующую активность при образовании гидратов углекислого газа при концентрации 0,05 мас.% Особенно эффективными промоторами нуклеации углекислого газа являются I-2 и I-7. Времена индукции в присутствии данных образцов в 12.5 и 8.2 раз меньше времени индукции в присутствии триптофана и в 1.7, 2.5 раз меньше времени индукции для системы с чистой водой.

Таким образом, из описанного выше можно сделать вывод, что заявителем решена выявленная техническая проблема и достигнут заявленный технический результат, а именно – показано применение амидов аминокислот и этилендиаминтетрауксусной кислоты формулы (I) в качестве промоторов гидратообразования углекислого газа, что в конечном счете обеспечивает расширение линейки реагентов указанного назначения.

Заявленное техническое решение соответствует критерию «новизна», предъявляемому к изобретениям, так как из исследованного уровня техники не выявлены технические решения, обладающие заявленной совокупностью признаков, обеспечивающих достижение заявленных результатов.

Заявленное техническое решение соответствует критерию «изобретательский уровень», предъявляемому к изобретениям, так как не является очевидным для специалиста в данной области науки и техники.

Заявленное техническое решение соответствует критерию «промышленная применимость», так как может быть реализовано на любом специализированном предприятии с использованием стандартного оборудования, известных отечественных материалов и технологий.

Похожие патенты RU2830051C1

название год авторы номер документа
Промоторы гидратообразования на основе амидов аминокислот и нитрилотриуксусной кислоты 2023
  • Варфоломеев Михаил Алексеевич
  • Павельев Роман Сергеевич
  • Семенов Матвей Егорович
  • Гайнуллин Шамиль Эдуардович
  • Казакова Полина Юрьевна
RU2825391C1
Промоторы гидратообразования на основе амидов аминокислот и этилендиаминтетрауксусной кислоты 2022
  • Варфоломеев Михаил Алексеевич
  • Павельев Роман Сергеевич
  • Семенов Матвей Егорович
  • Гайнуллин Шамиль Эдуардович
  • Казакова Полина Юрьевна
RU2798318C1
Способ транспортировки нефти с высоким газовым фактором с использованием контролируемого потока гидратов 2021
  • Варфоломеев Михаил Алексеевич
  • Стопорев Андрей Сергеевич
  • Павельев Роман Сергеевич
  • Семенов Матвей Егорович
RU2757196C1
Промоторы гидратообразования углекислого газа на основе амидов аминокислот и лимонной кислоты 2024
  • Варфоломеев Михаил Алексеевич
  • Павельев Роман Сергеевич
  • Семенов Матвей Егорович
  • Гайнуллин Шамиль Эдуардович
  • Тавочкин Владимир Максимович
RU2836617C1
Промотор гидратообразования на основе касторового масла 2020
  • Варфоломеев Михаил Алексеевич
  • Фархадиан Абдолреза
  • Павельев Роман Сергеевич
  • Ярковой Владимир Вадимович
  • Зарипова Юлия Фаизовна
  • Семенов Матвей Егорович
RU2755790C1
Промотор гидратообразования на основе трис-сульфосукцината касторового масла 2023
  • Варфоломеев Михаил Алексеевич
  • Павельев Роман Сергеевич
  • Фархадиан Абдолреза
  • Семенов Матвей Егорович
  • Мирзакимов Улукбек Жылдызбекович
RU2820709C1
Промоторы гидратообразования на основе производных касторового масла 2023
  • Варфоломеев Михаил Алексеевич
  • Павельев Роман Сергеевич
  • Фархадиан Абдолреза
  • Семенов Матвей Егорович
  • Мирзакимов Улукбек Жылдызбекович
RU2813108C1
Ингибитор роста гидратов метана на основе сульфированного хитозана 2020
  • Варфоломеев Михаил Алексеевич
  • Фархадиан Абдолреза
  • Павельев Роман Сергеевич
  • Семенов Матвей Егорович
RU2751893C1
Ингибитор гидратообразования и коррозии на основе полиуретана, содержащего фрагменты дибутиламина 2022
  • Варфоломеев Михаил Алексеевич
  • Павельев Роман Сергеевич
  • Гнездилов Дмитрий Олегович
  • Семенов Антон Павлович
RU2783443C1
Ингибитор гидратообразования и коррозии на основе полиуретанов для добычи, переработки и транспортировки углеводородного сырья 2020
  • Варфоломеев Михаил Алексеевич
  • Павельев Роман Сергеевич
  • Фархадиан Абдалреза
  • Ярковой Владимир Вадимович
  • Зарипова Юлия Фаизовна
  • Кудбанов Арман Гумарович
RU2746210C1

Иллюстрации к изобретению RU 2 830 051 C1

Реферат патента 2024 года Промоторы гидратообразования углекислого газа на основе амидов аминокислот и этилендиаминтетрауксусной кислоты

Изобретение относится к химии комплексонов, а именно к применению соединений на основе амидов аминокислот и этилендиаминтетрауксусной кислоты общей формулы (I), где R выбран из I-1, I-2, I-3 и I-7, в качестве промоторов гидратообразования углекислого газа. Соединения могут найти применение в улавливании углекислого газа и разделении газов. 2 ил., 1 пр.

Формула изобретения RU 2 830 051 C1

Применение амидов аминокислот и этилендиаминтетрауксусной кислоты формулы (I) в качестве промоторов гидратообразования углекислого газа:

где R =

Документы, цитированные в отчете о поиске Патент 2024 года RU2830051C1

KHANDELWAL H
et al., Effect of L-Tryptophan in Promoting the Kinetics of Carbon Dioxide Hydrate Formation, Energy & Fuels, 2020, v
Скоропечатный станок для печатания со стеклянных пластинок 1922
  • Дикушин В.И.
  • Левенц М.А.
SU35A1
Печь для непрерывного получения сернистого натрия 1921
  • Настюков А.М.
  • Настюков К.И.
SU1A1
ИСКРОУЛОВИТЕЛЬ ДЛЯ ПАРОВОЗОВ 1923
  • Шорохов В.Н.
SU649A1
LI Y
et al., Evaluation of amino acid L-leucine as a kinetic promoter for CO2 sequestration as hydrate: A kinetic and morphological study, Journal of Environmental Chemical Engineering, 2023,

RU 2 830 051 C1

Авторы

Варфоломеев Михаил Алексеевич

Павельев Роман Сергеевич

Семенов Матвей Егорович

Гайнуллин Шамиль Эдуардович

Казакова Полина Юрьевна

Даты

2024-11-11Публикация

2024-03-26Подача