Промоторы гидратообразования углекислого газа на основе амидов аминокислот и лимонной кислоты Российский патент 2025 года по МПК C07C235/12 B01D53/62 C10L3/10 

Описание патента на изобретение RU2836617C1

Изобретение относится к химии комплексонов, а именно – к промоторам гидратообразования углекислого газа на основе амидов аминокислот и лимонной кислоты формулы (I). Соединения могут найти применение в улавливании углекислого газа и разделении газов.

.

Известно, что увеличение концентрации диоксида углерода (CO2) в атмосфере повышает температуру Земли. При этом выбросы CO2 тесно связаны с деятельностью человека, такой как сжигание ископаемого топлива. Учитывая тот факт, что по прогнозам потребность в энергии увеличится более чем вдвое до 2060 года, встает актуальный вопрос эффективного сокращения выбросов CO2. В основном источниками выбросов диоксида углерода являются промышленная деятельность и тепловые электростанции [Aminu M. D. et al. Обзор разработок в области хранения углекислого газа // Applied Energy. – 2017. – Т. 208. – С. 1389-1419]. Для обеспечения устойчивости окружающей среды требуются подходы к снижению выбросов парниковых газов, одним из которых является улавливание и хранение углекислого газа. Таким образом, задача улавливания выбросов CO2, возникающих в результате промышленных процессов, является актуальной и требует решения.

На дату подачи настоящей заявки разработано несколько стратегий, позволяющих физически и химически улавливать CO2: с помощью смешанных растворов, что изложено в обзорной работе, посвященной внутренним закономерностям растворимости углекислого газа [см. Li H., Zhang Z. Выявление закономерностей растворимости CO2 в смешанных растворах наноструктурированных мембран из полимеров, цеолитов и различных углеродных или неорганических нанокомпозитов // Journal of CO2 Utilization. – 2018. – Т. 26. – С. 496-502], кроме того, указанное также упоминается в обзорной статье о применении мембранных материалов для улавливания углекислого газа используются наноструктурированные мембранные материалы для улавливания CO2 адсорбционных сред, криогенных систем, в статье предлагается использование CO2, обеспечивающее полное задействование холодной энергии СПГ в процессе газификации: (см. критический обзор Han Y., Zhang Z. // Journal of Nanoscience and Nanotechnology. – 2019. – Т. 19. – №. 6. – С. 3173-3179], [Xu J., Lin W.]. Система криогенного улавливания CO2 из дымовых газов электростанции, работающей на сжиженном природном газе //international journal of hydrogen energy. – 2017. – Т. 42. – №. 29. – С. 18674-18680, комбинированного цикла газификации, в работе рассматривается изучение особенности многотопливной и многопродуктовой работы установок IGCC с улавливанием и хранением углерода (CCS) [Cormos A.M., Dinca C., Cormos C.C. Многотопливная многопродуктовая эксплуатация электростанций IGCC с улавливанием и хранением углерода (CCS) // Applied Thermal Engineering. – 2015. – Т. 74. – С. 20-27] и химического петлевого сжигания, которое обсуждается в публикации, посвященной исследованию технических и экономических характеристик электростанции химического циклического сжигания с подачей CH4 с использованием перспективных кислородных носителей на основе никеля, меди и ильменита [Zhu L. et al. Технико-экономическая оценка CCS второго поколения: сжигание с химическим циклом // Energy. – 2018. – Т. 144. – С. 915-927].

Таким образом, среди всех вышеупомянутых стратегий газоразделение на основе гидратов является одним из новых подходов к улавливанию и хранению CO2 с относительно низким потреблением энергии, что было показано также в работе, изучающей фазовое равновесие систем газовых гидратов для улавливания CO2 [Li L. et al. Экспериментальное и модельное фазовое равновесие систем газовых гидратов для улавливания CO2 после сжигания // Journal of the Taiwan Institute of Chemical Engineers. – 2019. – Т. 96. – С. 35-44]. Гидратная технология является особенно перспективной из-за способности непрерывного образования гидрата углекислого газа, что позволяет обрабатывать большие объемы потока газа при меньших эксплуатационных затратах.

Газовые гидраты представляют собой класс льдоподобных кристаллических соединений включения, в которых пористый кристаллический каркас образован молекулами воды, связанными водородными связями, а молекулы газов заполняют поры этого каркаса. Газовые гидраты образуются в результате захвата молекул газа молекулами воды в условиях высокого давления и низкой температуры.

Поскольку CO2 очень склонен к гидратообразованию при низких давлениях, он способен быстрее, чем другие газы, образовывать гидраты с высоким соотношением превращения углекислого газа в гидрат. Затем выделенный CO2 может быть изолирован или сохранен в резервуарах в виде гидрата. Кроме того, гидраты CO2 могут осаждаться в виде гидратных гранул на морском дне, если они стабильны.

Чтобы сделать технологии улавливания CO2 на основе гидратов устойчивыми и экономически жизнеспособными, необходимо обеспечить высокую стабильность гидратов и значительную скорость их образования.

Для достижения этих целей можно использовать химические добавки, которые способствуют образованию и росту гидратов. Такие добавки подразделяются на два вида, а именно, термодинамические и кинетические промоторы.

Участвуя в образовании гидратов, термодинамические промоторы могут изменять/сдвигать условия равновесия образования гидратов в сторону более низких давлений и высоких температур по сравнению с исходными системами без промоторов, однако они (термодинамические промоторы) конкурируют с молекулами газа за гидратные ячейки.

В качестве термодинамических промоторов образования гидрата углекислого газа могут использоваться различные вещества, например, циклопентан, эмульсия которого с водой может значительно увеличить скорость образования гидрата, что было показано в работе [Shifeng L. et al. Улавливание CO2 клатратным гидратом из имитатора дымовых газов с помощью эмульсии циклопентана/воды // Chinese Journal of Chemical Engineering. – 2010. – Т. 18. – №. 2. – С. 202-206], тетра-н-бутил хлорид аммония, который применялся для отделения метана от низкоконцентрированного шахтного газа с помощью получения его гидрата полуклатрата [Zhong D. L. et al. Использование полуклатрата гидрата тетра-н-бутилхлорида аммония для отделения метана от угольного газа с низкой концентрацией //Energy Procedia. – 2017. – Т. 105. – С. 4854-4858], тетра-н-бутил бромид аммония, систематическое влияние которого изучалось при различных концентрациях [Babu P. et al. Систематическая оценка тетра-н-бутилбромида аммония (TBAB) для улавливания углекислого газа с помощью клатратного процесса // Industrial & Engineering Chemistry Research. – 2014. – Т. 53. – №. 12. – С. 4878-4887], тетра-н-бутил фторид аммония, который обладает более высокой рабочей температурой по сравнению с тетра-н-бутил бромидом аммония [Zheng J. et al. Улавливание CO2 на основе полугидрата из топливной газовой смеси при температуре окружающей среды: влияние концентрации тетра-н-бутилфторида аммония (TBAF) и кинетических добавок // Applied Energy. – 2018. – Т. 217. – С. 377-389], тетра-н-бутил нитрат аммония, который так же является четвертичной аммониевой солью [Li X. S. et al. Влияние тетрабутил-(аммониевых/фосфониевых) солей на улавливание CO2 клатратным гидратом из имитатора дымовых газов // Energy & fuels. – 2012. – Т. 26. – №. 4. – С. 2518-2527], пропан, который значительно снижает давление начала образования гидрата [Kumar R., Wu H., Englezos P. Равновесие зарождающейся гидратной фазы для газовых смесей, содержащих водород, углекислый газ и пропан // Fluid phase equilibria. – 2006. – Т. 244. – №. 2. – С. 167-171] и тетрагидрофуран (ТГФ), который способен стабилизировать гидраты CO2 в условиях, близких к атмосферным. Исследованию ТГФ посвящено много работ, изучающих кинетическое ускорение процесса образования гидрата [Kumar A. et al. Кинетическое стимулирование образования смешанного гидрата метана-ТГФ с помощью добавок: подходит для хранения энергии // Energy Procedia. – 2019. – Т. 158. – С. 5287-5292], морфологию и рост гидратов в присутствии ТГФ [Veluswamy H.P., Premasinghe K.P., Linga P. Гидраты CO2 – влияние добавок и условий эксплуатации на морфологию и рост гидратов // Energy Procedia. – 2017. – Т. 105. – С. 5048-5054], фазовое равновесие в статических условиях [Torré J.P. et al. Энклатрация CO2 в присутствии водорастворимых промоторов гидратации: равновесие фаз гидрата и кинетические исследования в спокойных условиях // Chemical engineering science. – 2012. – Т. 82. – С. 1-13], и молекулярные механизмы влияния ТГФ на рост гидрата углекислого газа [Phan A., Schlösser H., Striolo A. Молекулярные механизмы, с помощью которых тетрагидрофуран влияет на рост гидрата CO2: значение для хранения углерода // Chemical Engineering Journal. – 2021. – Т. 418. – С. 129423]. Таким образом, использование термодинамических промоторов позволяет получать газогидраты при более низком давлении и высокой температуре.

Однако при их использовании снижается конверсия газа в гидрат, и они не решают проблему медленного роста гидрата, а иногда и вовсе усугубляют ее.

Кинетические промоторы, с другой стороны, в основном представляют собой добавки, которые помогают уменьшить время индукции и повысить скорость образования гидратов, но сами не участвуют в гидратообразовании. Таким образом, условия образования гидратов (температура и давление) и структура гидратов не будут затронуты включением кинетических промоторов.

К известным промоторам этого типа чаще всего относятся поверхностно-активные вещества (ПАВ), что указано в обзорном исследовании по улавливанию CO2 на основе гидратов [Dashti H., Yew L. Z., Lou X. Последние достижения в улавливании CO2 на основе газогидратов //Journal of Natural Gas Science and Engineering. – 2015. – Т. 23. – С. 195-207]. Например: неионогенный твин [Zhang B.Y., Qiang W., Sun D.L. Влияние поверхностно-активного вещества твин на время индукции газогидратообразования // Journal of China University of Mining and Technology. – 2008. – Т. 18. – №. 1. – С. 18-21], катионный додецилтриметиламмонийхлорид [Zhang F. et al. Влияние додецилсульфата натрия и додецилтриметиламмонийхлорида на кинетику образования гидрата CO2 в присутствии тетра-н-бутилбромида аммония для улавливания углерода // Energy. – 2021. – Т. 227. – С. 120424] и наиболее эффективный и часто применяющийся анионный додецилсульфат натрия (SDS) [US-6389820-B1; RU2293907C2; Y. Zhong, R.E. Rogers, Влияние поверхностно-активных веществ на образование газогидратов, Chemical Engineering Science, 55, 4175–87, 2000.]. Помимо поверхностно-активных веществ, недавно было обнаружено, что некоторые аминокислоты также являются эффективными кинетическими промоторами системы гидрата углекислого газа. Было показано, что лейцин может использоваться в качестве экологически чистого кинетического промотора образования гидрата CO2 [Li Y. et al. Оценка эффективности аминокислоты L-лейцина в качестве кинетического промотора связывания CO2 в виде гидрата: кинетическое и морфологическое исследование // Journal of Environmental Chemical Engineering. – 2023. – Т. 11. – №. 6. – С. 111363]. Изучение влияния метионина на кинетику образования гидратов углекислого газа установило, что он может использоваться в качестве эффективного, надёжного и экологически чистого кинетического промотора для технологии секвестрации CO2 на основе гидратов [Liu X. et al. Сравнение SDS и L-метионина в стимулировании кинетики гидрата CO2: значение для хранения CO2 на основе гидрата // Chemical Engineering Journal. – 2022. – Т. 438. – С. 135504] При изучении взаимосвязи между структурой и свойствами способности промотировать образование газовых гидратов углекислого газа было выявлено, что норлейцин и норвалин, схожие по строению с метионином, также способствуют улучшению кинетики образования гидратов [Cai Y. et al. Образование гидратов CO2 под воздействием природной аминокислоты l-метионина для возможного применения в улавливании и хранении CO2 // Energy Technology. – 2017. – Т. 5. – №. 8. – С. 1195-1199]. Классическим кинетическим промотором гидратообразования углекислого газа является - триптофан [Khandelwal H. et al. Влияние l-триптофана на кинетику образования гидрата диоксида углерода // Energy & Fuels. – 2020. – Т. 35. – №. 1. – С. 649-658]. Аминокислоты являются биоразлагаемыми соединениями, не вызывающими пенообразования, что выгодно отличает их от ПАВ, в чем можно убедиться, проанализировав различные работы, в которых изучают аминокислоты [Li B., Lu Y.Y., Li Y.L. Анализ образования гидратов природного газа под влиянием аминокислот // Journal of Marine Science and Engineering. – 2022. – Т. 10. – №. 8. – С. 1134]

Использование кинетических промоторов как в индивидуальном виде, так и в виде композиций приводит в большей или меньшей степени к ускорению образования газогидратов. Однако следует отметить, что кинетические промоторы обладают рядом отрицательных свойств. Так, ПАВ способствуют интенсивному пенообразованию при диссоциации гидратов, что снижает эффективность извлечения газа и ухудшает эксплуатационные характеристики, что является известной проблемой при использовании промоторов гидратообразования на основе ПАВ, что было подробно изучено при экспериментальном исследовании возможности масштабирования процесса хранения газа в виде гидратов [Pang W.X. et al. Экспериментальное исследование эффекта масштабирования при хранении газа в виде гидрата в реакторе в состоянии покоя // Chemical engineering science. – 2007. – Т. 62. – №. 8. – С. 2198-2208]. Нативные природные аминокислоты обладают низкой стабильностью за счет того, что являются питательным субстратом для микроорганизмов – бактерий и грибов. Помимо этого, многие из них не всегда обладают достаточной эффективностью.

Также известны гетерогенные промоторы гидратообразования, используемые в реакторах с неподвижным слоем. Такие системы способны улучшить контакт газа с водой и устраняют необходимость в дорогостоящем и энергоемком перемешивании, что является их преимуществом. В качестве неподвижного слоя могут использоваться различные пористые материалы такие как кварцевый песок [Babu P., Kumar R., Linga P. Улавливание углекислого газа перед сжиганием в реакторе с неподвижным слоем с использованием процесса клатратного гидрата // Energy. – 2013. – Т. 50. – С. 364-373], силикагели с различным размером пор [Adeyemo A. et al. Улавливание углекислого газа из дымовых или топливных газовых смесей путем кристаллизации клатрата в колонке с силикагелем //International journal of greenhouse gas control. – 2010. – Т. 4. – №. 3. – С. 478-485.; Seo Y., Kang S.P. Улучшение разделения CO2 для улавливания перед сжиганием с образованием гидрата в структуре пор силикагеля // Chemical Engineering Journal. – 2010. – Т. 161. – №. 1-2. – С. 308-312] или пенополиуретан [Babu P., Kumar R., Linga P. Новый пористый материал для повышения кинетики процесса клатрации: применение для улавливания углекислого газа при предварительном сжигании // Environmental science & technology. – 2013. – Т. 47. – №. 22. – С. 13191-13198], которые могут быть использованы для улавливания диоксида углерода перед сжиганием. Также промоторами могут быть наночастицы диоксида титана (TiO2), диоксида кремния (SiO2), оксида хрома (Cr2O3) или многостенные углеродные нанотрубки [ZareNezhad B., Montazeri V., Rahimi M. Экспериментальные и теоретические исследования влияния наночастиц оксида хрома на улавливание CO2 в процессе образования газовых гидратов в нефтяной промышленности//Petroleum Science and Technology. – 2019. – Т. 37. – №. 8. – С. 869-875; Li A. et al. Экспериментальное исследование образования гидрата CO2 в присутствии наночастиц TiO2, SiO2, MWNTs // Separation Science and Technology. – 2019. – Т. 54. – №. 15. – С. 2498-2506], однако их использование требует предварительной специальной обработки и стабилизации дисперсности. Также стоит отметить абразивные свойства гетерогенных промоторов, которые снижают эксплуатационные характеристики оборудования.

Возможно применение различных комбинированных систем промоторов, например, термодинамический промотор + пористая среда. Так, совместное использование ТГФ и кварцевого песка дополнительно повышают потенциал и целесообразность использования этого процесса для улавливания CO2 перед сжиганием [Zheng J. et al. Влияние ориентации реактора с неподвижным слоем, насыщенности жидкостью, объема слоя и температуры на процесс получения клатратного гидрата для улавливания углерода перед сжиганием // Journal of Natural Gas Science and Engineering. – 2016. – Т. 35. – С. 1499-1510]. В другой работе было показано, что помощью добавления 1 моль% ТГФ в колонку с силикагелем можно снизить рабочее давление с 9,0 до 5,0 МПа [Adeyemo A. et al. Улавливание углекислого газа из дымовых или топливных газовых смесей путём кристаллизации клатрата в колонке с силикагелем //International journal of greenhouse gas control. – 2010. – Т. 4. – №. 3. – С. 478-485]. Использование системы тетра-н-бутил бромид аммония + нано-Al2O3 по результатам эксперимента показывает синергетический эффект их совместного для улавливания CO2 из синтез-газа [Li Z.Y. et al. Улавливание CO2 из сингаза при комбинированном цикле газификации на основе гидратов с помощью бромида тетра-н-бутиламмония и нано-Al2O3 //Energy & fuels. – 2018. – Т. 32. – №. 2. – С. 2064-2072]. Результаты изучения влияние добавок на кинетику образования гидрата диоксида углерода в кристаллизаторе с неподвижным слоем при постоянном давлении и температуре показывают значительное улучшение преобразования воды в гидрат в среде силикагеля по сравнению с неподвижной водой или системой «поверхностно-активное вещество – вода» при аналогичных условиях. В данной работе использовались системы кинетический промотор + пористая среда, например, Твин-80 + силикагель, додецилтриметиламмонийхлорид + силикагель, SDS + силикагель [Kumar A. et al. Влияние контактной среды и поверхностно-активных веществ на кинетику клатрат-гидрата диоксида углерода // Fuel. – 2013. – Т. 105. – С. 664-671]. Также используют системы термодинамический промотор + кинетический промотор, например, был выявлен синергетический эффект, способствующий образованию гидрата CO2, когда термодинамический промоутер в малых дозах (тетрагидрофуран) сочетается с экологически безопасным кинетическим промоутером (метионином). На основании кинетических экспериментов и морфологических наблюдений был сделан вывод, что 0,6 мольных % тетрагидрофуран в сочетании с 0,1 вес.% метионина обеспечивает оптимальное поглощение CO2 [Liu X. et al. Соединение аминокислоты с THF для синергетического стимулирования микрокинетики гидрата CO2: Последствия для секвестрации CO2 на основе гидратов //ACS Sustainable Chemistry & Engineering. – 2023. – Т. 11. – №. 15. – С. 6057-6069] Также изучают влияние иных комбинаций прмоторов, сочетающих в себе термодинамический промотор, кинетический промотор и пористый материал, например, ТГФ + SDS + силикагель, тетра-н-бутил бромид аммония + SDS + силикагель, моноэтиловый эфир этиленгликоля + SDS + силикагель [Hassan M. H. A. et al. Кинетическая и термодинамическая оценка эффективных комбинированных промоторов для образования гидрата CO2 // Journal of Natural Gas Science and Engineering. – 2020. – Т. 78. – С. 103313.], или кварцевый песок + SDS + насадка из нержавеющей сталь [Kumar A., Kumar R. Роль металлической упаковки и кинетического промотора в разработке процесса разделения газа на основе гидратов // Energy & Fuels. – 2015. – Т. 29. – №. 7. – С. 4463-4471]

В качестве прототипа заявленных соединений можно рассматривать промоторы гидратообразования на основе амидов аминокислот и этилендиаминтетрауксусной кислоты по патенту на изобретение №2830051 «Промоторы гидратообразования углекислого газа на основе амидов аминокислот и этилендиаминтетрауксусной кислоты», которые также являются амидами аминокислот и поликислоты, которыми являются лимонная кислота и этилендиаминтетрауксусная кислота (ЭДТА). В описании изобретения показано, что прототипы заявленных соединений являются эффективными промотирами образования гидратов углекислого газа при концентрации 0,05% мас. Среди них особенно эффективным оказалось соединение, которое является амидом лейцина и этилендиаминтетрауксусной кислоты, так как демонстрирует наибольшую конверсию углекислого газа в гидрат.

В отличие от ЭДТА, молекула лимонной кислоты не содержит аминогруппы и является трехосновной карбоновой кислотой, содержащей одну гидроксильную группу. К тому же лимонная кислота является безопасным и доступным соединением, которое широко применяется в пищевой промышленности, парфюмерии и косметике. В качестве соединения сравнения использовался амид лейцина и этилендиаминтетрауксусной кислоты (далее – ЭДТА+Лей), который обладает лучшими промотирующими способностями среди соединений, которые представлены в патенте на изобретение RU № 2830051. Стоит отметить отличия рабочего давления и температуры, используемых при получении гидрата. В патенте на изобретение RU № 2830051 создают давление до 4МПа при 20°С, а затем охлаждают до +1°С. В то же время в настоящей работе используется меньшее давление (3,5 МПа при 20°С) и большая температура (+2°С). Поэтому сравнение проводится в неравных условиях. Движущая сила экспериментов в настоящей работе ниже, что может привести к уменьшению конверсии и увеличению времени индукции. Далее в настоящем описании показано, что ЭДТА+Лей менее эффективен некоторых представленных амидов аминокислот и лимонной кислоты формулы I.

Технической проблемой, решаемой заявленным изобретением, и его техническим результатом является разработка промоторов гидратообразования углекислого газа на основе амидов аминокислот и лимонной кислоты формулы (I), что, в конечном счете, обеспечивает расширение линейки реагентов указанного назначения.

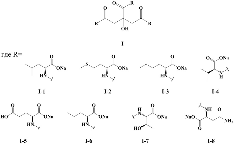
Сущностью заявленного технического решения являются промоторы гидратообразования углекислого газа на основе амидов аминокислот и лимонной кислоты формулы (I):

.

Заявленное техническое решение иллюстрируется Фиг.1, Фиг.2:

На Фиг.1 представлена блок-схема установки для тестирования гидратообразования, где:

1 – баллон с модельным газом;

2 – газовый бустер, PSL Systemtechnik gas booster (Германия);

3 – датчик давления, МИДА-ПИ-51 фирмы ПГ «МИДА»;

4 – источник постоянного тока;

5 – верхнеприводная мешалка, Heidolph 100;

6 – магнитная муфта, Premex Minipower;

7 – термопара типа К фирмы ООО «ПК Тесей»;

8 – автоклав, собран в КФУ;

9 – термостат, КРИО ВТ-06 фирмы ООО «Термэкс» (Россия);

10 – коммутатор, Теркон фирмы ООО «Термэкс» (Россия);

11 – система сбора данных, Теркон фирмы ООО «Термэкс» (Россия);

12 – компьютер.

На Фиг.2 представлена Таблица, где приведены конверсия воды в гидрат, время индукции, поглощение ммоль углекислого газа на моль воды, начальная и максимальная скорости роста гидрата углекислого газа для чистой воды, растворов триптофана и амидов аминокислот и лимонной кислоты формулы при концентрации 0,05 мас.%. Также для сравнения промотирующей активности на образование гидратов разных газов в таблице для некоторых соединений приведены данные для образования гидрата углекислого газа.

Далее заявителем приведено описание заявленного технического решения.

Заявленный технический результат достигается разработкой промоторов гидратообразования углекислого газа на основе амидов аминокислот и лимонной кислоты формулы (I).

Заявленные соединения получены согласно нижеприведенной Схеме 1 и обозначены номерами от I-1 до I-8.

Характеристики заявленных соединений представлены в примерах конкретного выполнения заявленного технического решения.

В работе использовались следующие реактивы: лейцин, метионин, норлейцин, валин, глутаминовая кислота, норвалин, треонин, аспарагин, триптофан и додецилсульфат натрия (SDS) с массовой долей более 98 мас.%, которые были получены из коммерческих источников и использовались без дополнительной очистки.

Спектры ЯМР 1H, 13C регистрировали с помощью ЯМР спектрометра Bruker AVANCE 400 (Bruker, Германия) при рабочей частоте 400 и 101 МГц, соответственно. Химические сдвиги определяли относительно остаточных протонов дейтерированного растворителя (D2O).

Далее заявителем приведена общая методика получения амидов аминокислот и лимонной кислоты формулы I (Схема 1).

В качестве исходного соединения использовался легко доступный и нетоксичный триэтилцитрат и аминокислоты. Каждую аминокислоту превращают в натриевую соль с использованием эквимольного количества гидроксида натрия на каждую карбоксильную группу аминокислоты путем растворения исходной аминокислоты и гидроксида натрия в воде. Далее проводят процесс амидирования, для чего берут смесь: 1 эквивалент соединения триэтилцитрата и 3 эквивалента соли соответствующей аминокислоты в водном метаноле (в объемном соотношении V метанола : V воды = 1:1), и перемешивают при 50°C в течение 7 дней. По завершении реакции растворитель выпаривают при пониженном давлении, например, в ротационном испарителе. Остаточную массу высушивают в вакууме.

Получают целевые продукты I-1 – I-8.

.

Схема 1.

Далее заявителем приведены примеры осуществления заявленного технического решения.

Пример 1. Получение соединения 2,2'-((2-(2-((1-карбоксилато-3-метилбутил)амино)-2-оксоэтил)-2-гидроксисукцинил)бис(азанедил))бис(4-метилпентаноат) натрия (I-1)

Получали в соответствии с общей методикой получения амидов аминокислот и лимонной кислоты по Схеме 1, где R – I-1. Выход соединения: 96%.

Спектр ЯМР 1H (400 МГц, D2O) δ 3.46 (м, 3H), 2.62 (м, 4H), 1.58 (м, 9H), 0.92 (м, 18H).

Спектр ЯМР 13C (101 МГц, D2O) δ 180.77, 179.58, 74.74, 62.65, 54.31, 46.19, 45.91, 42.49, 24.53, 22.48, 21.39.

Пример 2. Получение соединения (4-((1-карбоксилато-3-(метилтио)пропил)амино)-2-(2-((1-карбоксилато-3-(метилтио)пропил)амино)-2-оксоэтил)-2-гидрокси-4-оксобутаноил)метионинат натрия (I-2)

Получали в соответствии с общей методикой получения амидов аминокислот и лимонной кислоты по Схеме 1, где R – I-2. Выход соединения: 95%.

Спектр ЯМР 1H (400 МГц, D2O) δ 3.33 (м, 3H), 2.56 (м, 10H), 2.11 (с, 9H), 1.83 (м, 6H).

Спектр ЯМР 13C (101 МГц, D2O) δ 183.18, 182.33, 179.66, 75.54, 55.59, 46.10, 34.49, 30.05, 14.43.

Пример 3. Получение соединения 2,2'-((2-(2-((1-карбоксилатопентил)амино)-2-оксоэтил)-2-гидроксисукцинил)бис(азанедиил))дигексаноат натрия (I-3)

Получали в соответствии с общей методикой получения амидов аминокислот и лимонной кислоты по Схеме 1, где R – I-3. Выход соединения: 94%.

Спектр ЯМР 1H (400 МГц, D2O) δ 3.66 (т, 3H), 2.55 (м, 4H), 1.80 (м, 6H), 1.34 (м, 12H), 0.90 (т, 9H).

Спектр ЯМР 13C (101 МГц, D2O) δ 179.62, 178.28, 176.58, 75.55, 55.30, 46.24, 45.98, 30.96, 26.80, 21.99, 13.30.

Пример 4. Получение соединения 2,2'-((2-(2-((1-карбоксилато-2-метилпропил)амино)-2-оксоэтил)-2-гидроксисукцинил)бис(азанедиил))бис(3-метилбутаноат) натрия (I-4)

Получали в соответствии с общей методикой получения амидов аминокислот и лимонной кислоты по Схеме 1, где R – I-4. Выход соединения: 95%.

Спектр ЯМР 1H (400 МГц, D2O) δ 3.48 (с, 3H), 2.62 (м, 4H), 2.19 (м, 3H), 0.95 (м, 18H).

Спектр ЯМР 13C (101 МГц, D2O) δ 179.62, 178.29, 176.30, 75.54, 60.96, 46.07, 29.89, 18.47, 16.98.

Пример 5. Получение соединения 2,2'-((2-(2-((3-карбокси-1-карбоксилатопропил)амино)-2-оксоэтил)-2-гидроксисукцинил)бис(азанедиил))бис(4-карбоксибутаноат) натрия (I-5)

Получали в соответствии с общей методикой получения амидов аминокислот и лимонной кислоты по Схеме 1, где R – I-5. Выход соединения: 93%.

Спектр ЯМР 1H (400 МГц, D2O) δ 3.43 (м, 3H), 2.47 (м, 4H), 2.19 (м, 6H), 2.86 (м, 6H).

Спектр ЯМР 13C (101 МГц, D2O) δ 182.29, 178.49, 178.33, 74.77, 55.48, 46.25, 34.06, 29.33.

Пример 6. Получение соединения 2,2'-((2-(2-((1-карбоксилатобутил)амино)-2-оксоэтил)-2-гидроксисукцинил)бис(азанедиил))дипентаноат натрия (I-6)

Получали в соответствии с общей методикой получения амидов аминокислот и лимонной кислоты по Схеме 1, где R – I-6. Выход соединения: 92%.

Спектр ЯМР 1H (400 МГц, D2O) δ 3.55 (м, 3H), 2.54 (м, 4H), 1.72 (м, 6H), 1.34 (м, 6H), 0.92 (т, 9H).

Спектр ЯМР 13C (101 МГц, D2O) δ 179.62, 178.27, 177.04, 74.78, 55.31, 46.23, 34.20, 18.29, 13.34.

Пример 7. Получение соединения 2,2'-((2-(2-((1-карбоксилато-2-гидроксипропил)амино)-2-оксоэтил)-2-гидроксисукцинил)бис(азанедиил))бис(3-гидроксибутаноат) натрия (I-7)

Получали в соответствии с общей методикой получения амидов аминокислот и лимонной кислоты по Схеме 1, где R – I-7. Выход соединения: 87%.

Спектр ЯМР 1H (400 МГц, D2O) δ 4.12 (м, 3H), 3.39 (м, 3H), 2.54 (м, 4H), 1.27 (д, 9H).

Спектр ЯМР 13C (101 МГц, D2O) δ 178.29, 177.05, 175.92, 74.78, 67.47, 61.22, 46.24, 19.61.

Пример 8. Получение соединения 2,2'-((2-(2-((3-амино-1-карбоксилато-3-оксопропил)амино)-2-оксоэтил)-2-гидроксисукцинил)бис(азанедиил))бис(4-амино-4-оксобутаноат) натрия (I-8)

Получали в соответствии с общей методикой получения амидов аминокислот и лимонной кислоты по Схеме 1, где R – I-8. Выход соединения: 90%.

Спектр ЯМР 1H (400 МГц, D2O) δ 3.3 (м, 3H), 3.63 (м, 10H).

Спектр ЯМР 13C (101 МГц, D2O) δ 178.58, 178.31, 177.11, 176.18, 74.79, 52.84, 46.26, 38.53.

Пример 9 . Исследование способности амидов аминокислот и лимонной кислоты (I) промотировать образование газовых гидратов углекислого газа

Исследование образования гидратов углекислого газа в присутствии промоторов проводили с использованием автоклава высокого давления. Схема установки для проведения экспериментов по оценке промотирования гидратообразования представлена на Фиг. 1. Основным элементом установки является автоклавная ячейка высокого давления (8) (например, TOP INDUSTRIE, Франция), оборудованная верхнеприводной мешалкой (5) с магнитной муфтой (6). Измерение процесса гидратообразования проводится с помощью калиброванных датчиков давления (3) и термопары (7). Погрешности измерения температуры и давления составляют 0,1°С и 0,005 МПа соответственно. Для преобразования сети переменного тока в постоянный использовался источник постоянного тока (4).

Растворы промоторов формулы I концентрации 0,05 мас.% готовят с использованием деионизированной воды. В автоклавную ячейку высокого давления (8) общим объемом 284 мл добавляют 50 мл раствора промотора гидратообразования, и остаточный воздух из ячейки трижды продувают углекислым газом 0,5 МПа из баллона (1). После этого в автоклавной ячейке высокого давления (8) с помощью газового бустера (2) создают давление до 3,5 МПа при 20°С, начинают перемешивание со скоростью 400 об/мин с помощью верхнеприводной мешалкой (5). Затем запускают запись данных с помощью системы сбора данных (11) и коммутатора (10), которые регистрируют на локальном компьютере (12), а затем с помощью термостата (9) осуществляют цикл охлаждения от +20°С до +2°С за 1 ч с последующим изотермическим режимом при +2°С в течение 8 ч.

Для исследования образования гидратов углекислого газа в присутствии промоторов взяли:

– соединения I-1 – I-8 концентрацией 0,05 мас.%,

– чистую воду (контроль),

– раствор триптофана концентрацией 0,05 мас.% – самый известный и широко применяемый промотор гидратообразования углекислого газа (опыт сравнения),

– раствор додецилсульфата натрия (SDS) концентрацией 0,05 мас.% – самый известный и широко применяемый промотор гидратообразования (опыт сравнения)

– в качестве соединения сравнения использовали амид лейцина и этилендиаминтетрауксусной кислоты (далее – ЭДТА+Лей), который обладает лучшими промотирующими способностями среди соединений, которые представлены в патенте на изобретение RU № 2830051.

Результаты представлены в Таблице на Фиг.2.

При этом заявитель поясняет, что чем больше конверсия воды в гидрат и поглощение газа, и чем меньше время индукции и время достижения 90% конверсии, тем более эффективным считается промотор.

Как видно из Таблицы, для чистой воды конверсия воды в гидрат составляет 36,3 ± 3,3%, а время индукции 283 ± 173 мин. При этом конверсия воды в гидрат и время индукции 0,05 масс.% раствора триптофана, как хорошо известного кинетического промотора для CO2, составляют 59,6 ± 0,3% и 202 ± 22 мин, соответственно. Раствор SDS достигает меньшей конверсии 53,9 ± 0,6%, но и обладает значительно меньшим временем индукции 40 ± 2 мин и временем достижения 90% конверсии, что способствует его конкурентоспособности. Однако важно отметить, что SDS является поверхностно-активным веществом, из-за чего вызывает обильное пенообразование раствора, что ухудшает его эксплуатационные характеристики. Также SDS обладает некоторой токсичностью, несвойственной аминокислотам и их амидам. Раствор соединения сравнения ЭДТА+Лей при большей движущей силе (большее давление и меньшая температура) характеризуется наибольшим значением конверсии 66 ± 1%, но и самым длинным временем индукции среди рассматриваемых промоторов равным 259 ± 84 мин.

В присутствии соединений общей формулы I (концентрация 0,05 масс.%) образование гидрата углекислого газа проходит с конверсией воды в гидрат от (40,9 ± 3,4)% до (57,3 ± 2,8)%, что превышает таковой показатель для чистой воды. Особенно выделяется амид лимонной кислоты и норлейцина I-3, который способствует достижению конверсии до 57,3 ± 2,8%. Этот показатель выше, чем для раствора SDS, но немного ниже, чем для раствора триптофана.

Также добавление соединений I-1 – I-8 не только увеличивает конверсию воды в гидрат, но и сокращает время ее достижения, то есть ускоряет процесс гидратообразования. Так время достижения 90% конверсии для всех соединений формулы I меньше, чем для чистой воды и лежит в пределах 175-305 минут, против 330 минут для воды без добавок. Раствор триптофана лишь немного уменьшает время достижения 90% конверсии до 300 минут, что сравнимо с чистой водой и соединениями I-6 (амид лимонной кислоты и норвалина) и I-8 (амид лимонной кислоты и аспарагина). Для остальных соединений формулы I время достижения 90% конверсии не превышает 245 минут, что указывает на значительное увеличение скорости роста гидрата углекислого газа в присутствии данных соединений. Наибольшее ускорение роста гидрата наблюдается при добавлении амида метионина и лимонной кислоты (соединение I-2) на что указывает значительное сокращение времени достижения 90% конверсии до 175 минут.

Помимо невысокой конверсии и низкой скорости роста гидрата, лимитирующим фактором, препятствующим широкому применению гидратной технологии, также является стохастичность и длительность зарождения гидрата, которое можно охарактеризовать временем индукции. Все соединения формулы I значительно сокращают время индукции в сравнении с чистой водой, растворами триптофана и ЭДТА+Лей. Соединения I-6, I-8 способствуют уменьшению времени индукции более чем в два раза по сравнению с чистой водой. Остальные соединения I-2 – I-5, I-7 уменьшают времени индукции в пределах в 6,7 – 9,4 раза по сравнению с чистой водой и в пределах 4,8 – 8,6 раз в сравнении с растворами триптофана и ЭДТА+Лей, что указывает на их высокую эффективность промотирования нуклеации гидратов углекислого газа. Растворы соединений I-1, I-3 и I-5, которые являются амидами лимонной кислоты и лейцина, норлейцина и глутаминовой кислоты, соответственно, демонстрируют даже меньшее время индукции, чем раствор SDS, который известен как высокоэффективный промотор процесса зарождения гидрата, за счет своей поверхностной активности.

Таким образом, соединения формулы I обеспечивают быстрое зарождение гидрата и стабильно высокую скорость роста гидрата, что позволяет достичь высокой степени конверсии за непродолжительное время.

Таким образом, из описанного выше можно сделать вывод, что заявителем решена выявленная техническая проблема и достигнут заявленный технический результат, а именно – разработаны промоторы гидратообразования углекислого газа на основе амидов аминокислот и лимонной кислоты формулы (I), что, в конечном счете, обеспечивает расширение линейки реагентов указанного назначения.

Заявленное техническое решение соответствует условию патентоспособности «новизна», предъявляемому к изобретениям, так как из исследованного уровня техники не выявлены технические решения, обладающие заявленной совокупностью признаков, обеспечивающих достижение заявленных результатов.

Заявленное техническое решение соответствует условию патентоспособности «изобретательский уровень», предъявляемому к изобретениям, так как не является очевидным для специалиста в данной области науки и техники.

Заявленное техническое решение соответствует условию патентоспособности «промышленная применимость», так как может быть реализовано на любом специализированном предприятии с использованием стандартного оборудования, известных отечественных материалов и технологий.

Похожие патенты RU2836617C1

название год авторы номер документа
Промоторы гидратообразования углекислого газа на основе амидов аминокислот и этилендиаминтетрауксусной кислоты 2024
  • Варфоломеев Михаил Алексеевич
  • Павельев Роман Сергеевич
  • Семенов Матвей Егорович
  • Гайнуллин Шамиль Эдуардович
  • Казакова Полина Юрьевна
RU2830051C1
Промоторы гидратообразования на основе амидов аминокислот и нитрилотриуксусной кислоты 2023
  • Варфоломеев Михаил Алексеевич
  • Павельев Роман Сергеевич
  • Семенов Матвей Егорович
  • Гайнуллин Шамиль Эдуардович
  • Казакова Полина Юрьевна
RU2825391C1
Промоторы гидратообразования на основе амидов аминокислот и этилендиаминтетрауксусной кислоты 2022
  • Варфоломеев Михаил Алексеевич
  • Павельев Роман Сергеевич
  • Семенов Матвей Егорович
  • Гайнуллин Шамиль Эдуардович
  • Казакова Полина Юрьевна
RU2798318C1
Промотор гидратообразования на основе сульфосукцинатов спиртов 2022
  • Варфоломеев Михаил Алексеевич
  • Павельев Роман Сергеевич
  • Фархадиан Абдолреза
  • Семенов Матвей Егорович
  • Мирзакимов Улукбек Жылдызбекович
RU2797598C1
Промотор гидратообразования на основе трис-сульфосукцината касторового масла 2023
  • Варфоломеев Михаил Алексеевич
  • Павельев Роман Сергеевич
  • Фархадиан Абдолреза
  • Семенов Матвей Егорович
  • Мирзакимов Улукбек Жылдызбекович
RU2820709C1
Промоторы гидратообразования на основе производных касторового масла 2023
  • Варфоломеев Михаил Алексеевич
  • Павельев Роман Сергеевич
  • Фархадиан Абдолреза
  • Семенов Матвей Егорович
  • Мирзакимов Улукбек Жылдызбекович
RU2813108C1
Промотор гидратообразования на основе касторового масла 2020
  • Варфоломеев Михаил Алексеевич
  • Фархадиан Абдолреза
  • Павельев Роман Сергеевич
  • Ярковой Владимир Вадимович
  • Зарипова Юлия Фаизовна
  • Семенов Матвей Егорович
RU2755790C1
Ингибитор роста гидратов метана на основе сульфированного хитозана 2020
  • Варфоломеев Михаил Алексеевич
  • Фархадиан Абдолреза
  • Павельев Роман Сергеевич
  • Семенов Матвей Егорович
RU2751893C1
Ингибитор гидратообразования и коррозии на основе полиуретанов для добычи, переработки и транспортировки углеводородного сырья 2020
  • Варфоломеев Михаил Алексеевич
  • Павельев Роман Сергеевич
  • Фархадиан Абдалреза
  • Ярковой Владимир Вадимович
  • Зарипова Юлия Фаизовна
  • Кудбанов Арман Гумарович
RU2746210C1
Способ транспортировки нефти с высоким газовым фактором с использованием контролируемого потока гидратов 2021
  • Варфоломеев Михаил Алексеевич
  • Стопорев Андрей Сергеевич
  • Павельев Роман Сергеевич
  • Семенов Матвей Егорович
RU2757196C1

Иллюстрации к изобретению RU 2 836 617 C1

Реферат патента 2025 года Промоторы гидратообразования углекислого газа на основе амидов аминокислот и лимонной кислоты

Изобретение относится к области химии, а именно к промотору гидратообразования углекислого газа на основе амида аминокислоты и лимонной кислоты формулы (I): . Технический результат заключается в обеспечении промоторов гидратообразования углекислого газа. 2 ил., 9 пр.

Формула изобретения RU 2 836 617 C1

Промотор гидратообразования углекислого газа на основе амида аминокислоты и лимонной кислоты формулы (I):

.

Документы, цитированные в отчете о поиске Патент 2025 года RU2836617C1

GAINULLIN S.E
et al
Comparison of the Promoting Activity of Amides of Ethylenediaminetetraacetic Acid and Some Amino Acids in the Nucleation and Growth of Hydrates of Methane and Carbon Dioxide // Chemistry and Technology of Fuels and Oils
Электромагнитный прерыватель 1924
  • Гвяргждис Б.Д.
  • Горбунов А.В.
SU2023A1
- Vol
Устройство для охлаждения водою паров жидкостей, кипящих выше воды, в применении к разделению смесей жидкостей при перегонке с дефлегматором 1915
  • Круповес М.О.
SU59A1
- No
Очаг для массовой варки пищи, выпечки хлеба и кипячения воды 1921
  • Богач Б.И.
SU4A1
- P
СТЕРЕОСКОП 1921
  • Тамбовцев Д.Г.
SU726A1
Промоторы гидратообразования на основе амидов аминокислот и этилендиаминтетрауксусной кислоты 2022
  • Варфоломеев Михаил Алексеевич
  • Павельев Роман Сергеевич
  • Семенов Матвей Егорович
  • Гайнуллин Шамиль Эдуардович
  • Казакова Полина Юрьевна
RU2798318C1
WO 2010101477 A1, 10.09.2010

RU 2 836 617 C1

Авторы

Варфоломеев Михаил Алексеевич

Павельев Роман Сергеевич

Семенов Матвей Егорович

Гайнуллин Шамиль Эдуардович

Тавочкин Владимир Максимович

Даты

2025-03-18Публикация

2024-12-19Подача