ТАБЛЕТИРОВАНИЕ СПЕЦИФИЧЕСКИХ ПОЛИМЕРНЫХ СТАБИЛИЗАТОРОВ Российский патент 2024 года по МПК C08J3/22 C08K5/00 C08K7/00 

Описание патента на изобретение RU2830535C2

Настоящее изобретение относится к способу получения таблетки, которая содержит полимерный стабилизатор или смесь полимерных стабилизаторов в качестве исходного материала, который включает стадию прессования исходного материала в полости, образованной двумя пуансонами и матрицей, с получением таблетки. Еще один вариант осуществления представляет собой таблетку из исходного материала. Дополнительный вариант осуществления представляет собой способ получения стабилизированного полимера, который включает стадию включения таблетки из исходного материала в полимер, который представляет собой полиолефин, полистирол или их смесь, с получением стабилизированного полимера. Еще одним вариантом является применение таблетки из исходного материала для беспыльного обращения с ее компонентами при получении стабилизированного полимера.

Органический полимер, который используется в качестве конструкционного материала для изготовления или в качестве части изделия, подвержен разложению под действием окисления, тепла или света. Существует кратковременная деградация, которая происходит при переработке полимера, например, когда полимер, полученный в результате синтеза полимера, механически превращается в желаемое конечное изделие или в промежуточное изделие. Промежуточное изделие часто является продуктом процесса, который служит для включения специально желаемых добавок в полимер, полученный в результате синтеза полимера. Специальные желательные добавки придают полимеру дополнительные функциональные эффекты, например, цвет, или улучшают существующие свойства, например, механическую прочность или устойчивость к разложению. Кратковременная деградация часто характеризуется относительно коротким воздействием относительно высокой температуры процесса, например, от 80°С до 330°С, что во многих случаях происходит в сочетании с механическим напряжением. В отличие от кратковременной деградации, долговременная деградация полимера, как правило, в форме желаемого конечного изделия, происходит во время предполагаемого использования. Предполагаемое использование желаемого конечного изделия может привести к длительному воздействию на полимер света, кислорода, повышенных температур, например, выше комнатной температуры, но ниже 80°С, воды или агрессивных химикатов.

Давно известно включение полимерного стабилизатора в органический полимер для стабилизации против разложения под действием окисления, тепла или света. Введение полимерного стабилизатора обычно проводят для термопластичного полимера во время обработки полимера, когда нагретый полимер обладает пониженной вязкостью или находится в состоянии, близком к жидкому, и, таким образом, поддерживается гомогенное распределение полимерного стабилизатора в полимере. В случае термоотверждающегося полимера включение полимерного стабилизатора обычно проводят до отверждения, например, путем гомогенного введения в предшественник термоотверждающегося полимера. В зависимости от химического типа полимера стабилизатор полимера различается и часто меняется, включают определенные смеси двух или более полимерных стабилизаторов. Стабилизатор полимера очень часто бывает твердым при комнатной температуре и образуется в результате его синтеза в виде порошка. Практические проблемы возникают при фактическом введении полимерного стабилизатора в виде порошка или смеси полимерных стабилизаторов в виде порошка. При обращении с порошком легко образуется пыль. Пыль имеет решающее значение с точки зрения гигиены труда для рабочих на заводе-изготовителе, с точки зрения безопасности предприятия, например, взрыв пыли, и с точки зрения чистоты предприятия, например, загрязнение пылью заводского оборудования. Кроме того, введение порошка в полимер обычно не проводят периодическим способом. Вместо этого непрерывное дозирование порошка к полимеру, который обрабатывается непрерывным образом, например, в экструдере, в количестве, которое обычно составляет менее 0,5 мас. % полимера, подвержено колебаниям действительно включенного количества в конкретный момент времени. Следовательно, большое общее количество полимера впоследствии содержит статистически такое же количество полимерного стабилизатора, но это не обязательно верно для отдельных единиц из общего количества полимера.

Известно несколько подходов к получению подходящей беспылевой дозируемой формы полимерного стабилизатора или смеси полимерных стабилизаторов. Одно направление состоит в том, чтобы обеспечить подходящую беспыльную дозированную форму без добавления дополнительного ингредиента, т.е. ингредиента, который не требуется в качестве стабилизатора полимера. Например, полимерный стабилизатор в виде порошка или смесь полимерных стабилизаторов в виде порошка подвергают прессованию-агломерации посредством уплотнения вальцами с получением хлопьев. Другим подходом является формирование пастилок из полимерного стабилизатора в виде порошка или смеси полимерных стабилизаторов в виде порошка путем расплавления указанного стабилизатора и затвердевания отдельных капель расплава на охлаждаемой поверхности. Другой подход заключается в формировании пеллет из полимерного стабилизатора в виде порошка или смеси полимерных стабилизаторов в виде порошка путем нагревания и замешивания указанного в экструдере при температуре выше точки размягчения хотя бы одного из полимерных стабилизаторов, экструзии нагретой массы через фильеру с образованием теплой пряди и разрезания теплой пряди на пеллеты. Другим направлением является обеспечение подходящей беспылевой дозированной формы путем добавления дополнительного ингредиента, т.е. ингредиента, который не требуется в качестве стабилизатора полимера. Дополнительный ингредиент, иногда называемый уплотняющей добавкой или связующим, в случае полимерного дополнительного ингредиента также полимер маточной смеси или полимер-носитель, обычно действует как тип термоплавкого клея для порошка полимерного стабилизатора, соответственно, его частиц. Плавится ли полимерный стабилизатор или один или несколько полимерных стабилизаторов смеси полимерных стабилизаторов, по меньшей мере, до большей части, зависит от применяемой температуры и химической природы дополнительного ингредиента по отношению к полимерному стабилизатору, в частности, от типа взаимной растворимости. Хотя очевидно, что добавление дополнительного ингредиента как минимум разбавляет активное содержание стабилизатора полимера в дозированной форме и дополнительно встраивается в полимер, это направление все же может иметь свои преимущества. В частности, дозированная форма полимерного стабилизатора или смеси полимерных стабилизаторов может быть получена изначально без пыли путем простого просеивания или просеивания пыли в конце ее изготовления. Однако стойкость к истиранию изначально беспылевой дозированной формы является свойством, которое становится актуальным с учетом транспортировки дозированной формы и связанного с этим образования пыли.

WO 2008-033410 относится к высококонцентрированным гранулированным добавкам или агентам стабилизации полимера или их смесям и их препаратам, которые можно использовать в различных процессах полимеризации для повышения стабильности. Гранулированные концентраты добавок содержат по меньшей мере 10 мас. % полимера-носителя и образуются в примерах путем нагревания смесей добавок вместе с полимером-носителем в экструдере выше температуры плавления полимера-носителя, но ниже температуры плавления полимера-носителя основной добавки, за которой следует нарезка теплых прядей на пеллеты.

JP Н05-057726 относится к способу, в котором порошкообразный антипирен превращают в гранулированный продукт с использованием компрессионного гранулятора таблеточного типа и измельчения полученного продукта. Полученное изделие прессовано и имеет на своей поверхности бороздки. В примерах используется порошкообразный антипирен поликарбонатного типа под торговой маркой FG 8500 компании Teijin Chemicals Ltd, и диски диаметром 45 мм и высотой 5 мм изготавливаются при давлении сжатия 200 кг/см2 (2 МПа) или 250 кг/см2 (2 МПа) при нормальной температуре. В примерах изобретения диски имеют четыре канавки. В сравнительном примере канавка не выдавлена. Все таблетки измельчают в грануляторе осцилляторного типа с ситом для получения желаемого гранулированного продукта с выходом от 50 до 90 мас. %.

US 5593619 относится к композициям, содержащим гранулированные огнезащитные продукты на основе гексабромциклододекана, содержащим продукты огнестойким составам, и к способу получения гранулированных огнезащитных продуктов, при этом гранулированный продукт характеризуется потерей хрупкости менее около 8 процентов. Один способ включает (а) нагрев валков уплотняющего пресса до температуры выше примерно 35°С, (b) подачу порошкообразного материала на нагретые валки уплотнителя и (с) приложение силы к порошкообразному материалу, достаточной для образования уплотненного материала, благодаря чему эффективность уплотнения повышается более чем на 5 процентов. Эффективность уплотнения связана с неотъемлемым свойством валкового уплотнения, заключающимся в том, что часть продукта должна быть повторно использована в валковом уплотнителе из-за образования мелких частиц в грануляторе. Гранулятор служит для измельчения плит, полученных в результате непосредственного прессования валков. Один процесс формирует усовершенствованный гранулированный огнезащитный продукт с преобладанием гексабромциклододекана и включает (а) нагрев валков уплотняющего пресса до температуры выше примерно 35°С, (b) подачу продукта с преобладанием гексабромциклододекана в виде порошка в прессующий пресс, (с) приложение гидравлического давления к валкам пресса, достаточного для уплотнения продукта, и (d) гранулирование продукта с образованием частиц продукта, имеющих средний размер от 0,5 до менее примерно 2 миллиметров. Предложен улучшенный гранулированный огнестойкий продукт с преобладанием гексабромциклододекана, при этом гранулированный продукт характеризуется потерей хрупкости менее около 8%. В примере 1 получают таблетки из гексабромциклододекана. Каждая таблетка имеет диаметр 29 мм, массу 10 г и приложенное давление сжатия 89000 Н (135 МПа). Таблетки, полученные при температуре корпуса таблеточного пресса 25°С, имеют потерю хрупкости при испытании на размалывание 13,2%, тогда как температуры корпуса таблеточного пресса 50°С или 100°С изменяют это значение в сторону 0,4% или 0,3%. Температура порошка указана как 25°С во всех трех примерах.

DE 19628359 описан концентрат стабилизатора для полиамидов, который содержит несколько компонентов стабилизатора и восковое связующее. После тщательного перемешивания без жидких добавок и без нагревания смесь прессуют в таблетки под действием силы сжатия, при которой смесь нагревается до температуры по меньшей мере 40°С. В примере 2 56 мас. % 2-меркапто-1- метилимидазола, 7 мас. % йодида меди(1), 3 мас. % - пентасульфида дифосфора, 6 мас. % 2,6-ди-трет-бутил-п-крезола, 1 мас. % высокодисперсной кремниевой кислоты и 27 мас. % октадеканамида смешивают с образованием порошковой смеси с температурой около 35°С. Порошковую смесь подают в роторный таблеточный пресс, в результате чего получают таблетки диаметром 3 мм и температурой 57°С. Сообщается о реакции пентасульфида дифосфора и 2-меркапто-1-метилимидазола с иодидом меди (I).

US 5892128 описан пероксид бензоила, который временно инактивируется прессованием пероксида бензоила, десенсибилизированного диметилфталатом, в таблетки. В примере смесь 50 мас. % пероксида бензоила в виде порошка и 50 мас. % диметилфталата подают в таблеточный пресс. Выпускаются таблетки диаметром 7 мм и высотой 2 мм. Никакой полимеризации или сшивания не происходит, когда эти таблетки вступают в непосредственный контакт с типичными смесями радикально полимеризуемых или сшиваемых мономеров.

Все еще существует потребность в других твердых дозированных формах полимерного стабилизатора или смеси полимерных стабилизаторов, которые изначально были в форме порошков в качестве исходного материала. В первом аспекте производство дозированной формы, соответственно единиц дозированной формы, в идеале должно происходить без нагревания полимерных стабилизаторов или, по меньшей мере, сводить его к минимуму. Во-первых, это экономит технологическую энергию, которая была бы необходима для разогрева полимерных стабилизаторов либо прямым нагревом, либо косвенным нагревом, т.е. механическое напряжение преобразуется в тепловую энергию, что приводит к явному повышению температуры обрабатываемых полимерных стабилизаторов. Во-вторых, это также позволяет избежать ненужного воздействия повышенной температуры на полимерные стабилизаторы. Хотя ненужного воздействия, как правило, следует избегать, отдельный полимерный стабилизатор может также подвергаться фазовому переходу, например, первоначально кристаллический материал переходит в вязкое состояние. Кроме того, в идеальном случае производство дозированной формы должно происходить без образования дефицитного продукта, т.е. используемый исходный материал полимерного стабилизатора должен быть в идеале переработан до 100% в дозированную форму за один цикл. Другими словами, брак не должен образовываться, даже если брак находится в такой форме, что его можно повторно использовать непосредственно в качестве исходного материала. Примером удаления брака является просеивание желаемой дозированной формы для получения первоначально беспылевой дозированной формы, если применяемое производство дозированной формы также приводит к образованию мелких частиц в качестве побочных продуктов. Во втором аспекте лекарственная форма полимерного стабилизатора или смеси полимерных стабилизаторов после изготовления должна оставаться стабильной при хранении и транспортировке. В частности, первоначально беспыльная дозированная форма может снова образовывать пыль или мелкие частицы за счет истирания единиц дозированной формы друг о друга при воздействии вибрации, например, при заполнении мешка, при транспортировке наполненного мешка или при операциях подачи единицы дозированной формы для включения в стабилизируемый полимер. Соответственно, желателен определенный уровень устойчивости дозированной формы к истиранию. В третьем аспекте единицы дозированной формы в идеале должны быть однородными по форме и массе, поскольку это позволяет более точно подавать единицы дозированной формы при включении в стабилизируемый полимер. Следствием более точной подачи является, особенно при непрерывной дозировке стабилизируемого полимера, концентрация стабилизаторов полимера в стабилизированном полимере меньше флуктуаций. Другими словами, локальная концентрация полимерных стабилизаторов в определенной части стабилизированного полимера показывает меньшее отклонение от средней концентрации полимерных стабилизаторов во всем стабилизированном полимере. Если подача единиц дозированной формы происходит при включении в стабилизируемый полимер на стадии, когда сам полимер все еще присутствует в виде твердых единиц, например, пеллет, то выгодно, чтобы единицы дозированной формы были похожи по форме и массы твердых звеньев полимера. Это не способствует тому, что смесь единиц дозированной формы и твердых единиц стабилизируемого полимера разделяется при транспортировке в виде смеси. Примером такой транспортировки является пневматическая транспортировка смеси стабилизируемого полимера и предусмотренных стабилизаторов от хранилища к оборудованию для включения в полимер, например, экструдеру. В четвертом аспекте дозированная форма полимерного стабилизатора или смеси полимерных стабилизаторов в идеале не должна содержать вспомогательного ингредиента. Вспомогательный ингредиент может присутствовать только при изготовлении дозированной формы, например, при добавлении растворителя, который затем удаляют. Вспомогательный ингредиент может присутствовать постоянно, т.е. состав дозированной формы содержит вспомогательный ингредиент, который, во-первых, разбавляет содержание полимерного стабилизатора или смеси полимерных стабилизаторов в дозированной форме, а во-вторых, встраивается в стабилизируемый полимер. В пятом аспекте дозированная форма в идеале должна работать без требования химической реакции, протекающей между двумя или более полимерными стабилизаторами. Это обеспечивает большую гибкость для композиции полимерных стабилизаторов, подходящих для дозированной формы, и, таким образом, адаптирует композицию полимерных стабилизаторов в первую очередь для удовлетворения потребности в стабилизации стабилизируемого полимера. В шестом аспекте необходимо найти правильный выбор стабилизаторов полимера или соотношения между ними в смеси для дозированной формы с учетом предполагаемого включения в стабилизируемый полимер. Стабилизация полимера обеспечивается за счет идеально однородного распределения отдельных молекул полимерного стабилизатора в стабилизируемом полимере. Или в случае, когда полимерный стабилизатор не растворяется как индивидуальная молекула в стабилизируемом полимере, агрегаты отдельных молекул нерастворимого полимерного стабилизатора или даже более крупные частицы из агрегатов отдельных молекул полимерного стабилизатора гомогенно распределяются в полимере, подлежащем стабилизации. Потенциальное влияние дозированной формы на распределение полимерного стабилизатора или смеси полимерных стабилизаторов становится очевидным, если учесть, что вначале все полимерные стабилизаторы концентрируются в дозированной форме, тогда как впоследствии все полимерные стабилизаторы идеально гомогенно распределяются в полимере дозированной формы, подлежащем стабилизации. Неоднородное распределение полимерных стабилизаторов в стабилизируемом полимере также может проявляться иначе, чем снижение устойчивости к разложению стабилизируемого полимера по сравнению с полимером, стабилизированным более совершенным начальным распределением, как в случае смешивания порошков полимера и полимерных стабилизаторов. Например, неравномерно распределенные полимерные стабилизаторы в стабилизированном полимере могут нарушить свойства поверхности в случае изготовления тонкой полимерной пленки из стабилизированного полимера или привести к засорению фильтров или сопел в случае центрифугирования стабилизированного полимера. Природа стабилизируемого полимера зависит от подходящего выбора стабилизаторов полимера или соотношения между ними. Например, полиамид на пути к расплавленному состоянию превращается в тип растворителя, сравнимый с диметилсульфоксидом, тогда как полиолефин обычно превращается в расплавленном состояния только в такой тип растворителя, как н-гексан или декалин. Следовательно, возможности коррекции распределения полимерных стабилизаторов в полиолефине при его обработке при высокой температуре меньше, чем в полиамиде.

Был обнаружен способ получения таблетки, который включает стадии

(А) заполнение исходным материалом, находящимся в твердой форме, первой открытой полости, которая образована первым пуасоном и матрицей, с получением второй открытой полости, которая по меньшей мере частично заполнена исходным материалом,

(B) закрытие второй открытой полости вторым пуансоном с получением первой закрытой полости,

(C) прессование исходного материала при температуре прессования ниже 37°С путем перемещения по меньшей мере одного из первого пуансона и второго пуансона с получением второй закрытой полости, которая имеет меньший объем, чем первая закрытая полость, что приводит к образование захваченной таблетки исходного материала во второй закрытой полости,

(D) удаление захваченной таблетки с получением таблетки, которая имеет температуру таблетки ниже 37°С непосредственно после удаления,

где стадии (А), (В), (С) и (D) проводят в таблеточном прессе,

где исходный материал является твердым при 37°С и 101,32 кПа и состоит из

(i) от 60 до 100 мас. % первого полимерного стабилизатора, который представляет собой

(i-1) трис(2,4-дитрет-бутилфенил) фосфит (№CAS 31570-04-4),

(i-2) бис(2,4-дикумилфенил) пентаэритрит дифосфит (№CAS 154862-43-8),

(i-3) бис(2,4-дитрет-бутилфенил)пентаэритрит дифосфит (№CAS 26741-53-7),

(i-4) тетракис-[3-(3,5-дитрет-бутил-4-гидрокси-фенил)-пропионилоксиметил]метан (№CAS 6683-19-8),

(i-5) 3-(3,5-дитрет-бутил-4-гидрокси-фенил)-пропионовой кислоты стеариловый сложный эфир (№CAS 2082-79-3),

(i-6) 3-(3,5-дитрет-бутил-4-гидрокси-фенил)-N-[6-[3-(3,5-дитрет-бутил-4-гидрокси-фенил)пропаноиламино]гексил]пропанамид (№CAS 23128-74-7),

(i-7) 3-(3,5-дитрет-бутил-4-гидроксифенил)-N'-[3-(3,5-дитрет-бутил-4-гидроксифенил)пропаноил]пропангидразид(№CAS 3268-78-8),

(i-8) 2-[2-[2-[3-(3-трет-бутил-4-гидрокси-5-метил-фенил)пропаноилокси]этокси]-этокси]этил 3-(3-трет-бутил-4-гидрокси-5-метил-фенил)пропаноат(№CAS 36443-68-2),

(i-9) 4-[[3,5-бис[(3,5-дитрет-бутил-4-гидрокси-фенил)метил]-2,4,6-триметил-фенил]метил]-2,6-дитрет-бутил-фенол (№CAS 1709-70-2),

(i-10)1,3,5-трис(3,5-дитрет-бутил-4-гидроксибензил)-1,3,5-триазин-2,4,6(1Н,ЗН,5Н)-трион (№CAS 27676-62-6),

(i-11)бис[3,3-бис(4'-гидрокси-3'-трет-бутилфенил) бутановая кислота] гликолевый сложный эфир (№CAS 32509-66-3),

(i-12) N,N-диоктадецилгидроксиламин (№CAS 123250-74-8),

(i-13) додецил 3-(3-додецокси-3-оксо-пропил)сульфанилпропаноат(№CAS 123-28-4),

(i-14) октадецил 3-(3-октадецокси-3-оксо-пропил)сульфанилпропаноат(№CAS 693-36-7),

(i-15) пентаэритрит тетракис[3-додецилтиопропионат] (№CAS 29598-76-3),

(i-16) бис(2,2,6,6-тетраметил-4-пиперидил) декандиоат (№CAS52829-07-9),

(i-17) (2-гидрокси-4-октокси-фенил)-фенил-метанон (№CAS 1843-05-6),

(i-18) 2-трет-бутил-6-(5-хлорбензотриазол-2-ил)-4-метил-фенол (№CAS 3896-11-5),

(i-19) 2-(4,6-дифенил-1,3,5-триазин-2-ил)-5-гексокси-фенол (№CAS 147315-50-2),

(i-20) 2-[4,6-бис(4-фенилфенил)-1,3,5-триазин-2-ил]-5-(2-этилгексокси)фенол (№CAS 204583-39-1),

(i-21) 2-[4,6-бис(2,4-диметилфенил)-1,3,5-триазин-2-ил]-5-[3-(2-этилгексокси)-2-гидрокси-пропокси]фенол (№CAS 137658-79-8),

(i-22) бутандиовая кислота, 1,4-диметиловый сложный эфир, полимер с 4-гидрокси-2,2,6,6-тетраметил-1-пиперидинэтанол (№CAS 65447-77-0),

(i-23) N,N',N'',N'''-тетракис-(2,4-бис[N-(1-циклогексилокси-2,2,6,6-тетраметилпиперидин-4-ил)-бутиламино]-1,3,5-триазин-6-ил)-1,5,8,12-тетразадодекан (№CAS 122587-07-9),

(i-24) N,N',N'',N'''-Тетракис-(2,4-бис[N-(1-циклогексилокси-2,2,6,6-тетраметилпиперидин-4-ил)-бутиламино]-1,3,5-триазин-6-ил)-1,5,8,12-тетразадодекан (№CAS 106990-43-6),

(i-25) N,N'-бис-(2,4-бис[N-(1-пропокси-2,2,6,6-тетраметилпиперидин-4-ил)-бутиламино]-1,3,5-триазин-6-ил)-N,N'-бис[N-(1-пропокси-2,2,6,6-тетраметилпиперидин-4-ил)]-1,8-диазаоктан (№CAS 1271737-36-0),

(i-26) поли[[6-[бутил(2,2,6,6-тетраметил-4-пиперидинил)амино]-1,3,5-триазин-2,4-диил] [(2,2,6,6-тетраметил-4-пиперидинил)имино]-1,6-гександиил [(2,2,6,6-тетраметил-4-пиперидинил)имино]], α-[[6-[[4,6-бис(дибутиламино)-1,3,5-триазин-2-ил](2,2,6,6-тетраметил-4-пиперидинил)амино] гексил] (2,2,6,6-тетраметил-4-пипер ид инил)амино]-ю - [4, 6-бис(дибутиламино)-1,3,5-триазин-2-ил]- (№CAS 195300-91-5),

(i-27) поли[[6-[бутил(2,2,6,6-тетраметил-1-пропокси-4-пиперидинил)амино]-1,3,5-триазин-2,4-диил][(2,2,6,6-тетраметил-1-пропокси-4-пиперидинил)имино]-1,6-гександиил[(2,2,6,6-тетраметил-1-пропокси-4-пиперидинил)имино]], α-[[6-[[4,6-бис(дибутиламино)-1,3,5-триазин-2-ил](2,2,6,6-тетраметил-1-пропокси-4-пиперидинил) амино]гексил](2,2,6,6-тетраметил-1-пропокси-4-пиперидинил)амино]-ω-[4,6-бис(дибутил-амино)-1,3,5-триазин-2-ил]- (№CAS 297748-93-7),

(i-28) поли[[6-[(1,1,3,3-тетраметилбутил)амино]-1,3,5-триазин-2,4-диил] [(2,2,6,6-тетраметил-4-пиперидинил)имино]-1,6-гександиил[(2,2,6,6-тетраметил-4-пиперидинил) имино]] (№CAS 71878-19-8),

(i29) тетракис(1,2,2,6,6-пентаметил-4-пиперидил) бутан-1,2,3,4-тетракарбоксилат (№CAS 91788-83-9),

или их смесь,

(ii) от 0 до 40 мас. % второго полимерного стабилизатора, который представляет собой стеарат цинка, стеарат кальция, стеарат магния или их смесь,

(iii) от 0 до 34 мас. % третьего полимерного стабилизатора, который представляет собой оксид цинка, гидроталькит, бензоат натрия или их смесь,

(iv) от 0 до 20 мас. % дополнительного ингредиента, который отличен от первого полимерного стабилизатора, второго полимерного стабилизатора и третьего полимерного стабилизатора,

где сумма компонентов (i), (ii), (iii) и (iv) составляет 100 мас. %,

где таблетка имеет массу выше 20 мг и ниже 330 мг и размер поперечного сечения выше 3 мм и ниже 18 мм.

На стадии (А) исходный материал заполняют в первую открытую полость в твердой форме. Следовательно, гравиметрия поддерживает заполнение, особенно в случае использования гравиметрической подачи, например, питающего башмака таблеточного пресса. Твердая форма исходного материала исключает, что исходный материал является жидкостью или теоретически газом на стадии (А). Исходный материал на стадии (А) предпочтительно имеет температуру исходного материала ниже 37°С, очень предпочтительно ниже 32°С, особенно выше 10°С и ниже 30С, особенно предпочтительно выше 15°С и ниже 28°С, особенно выше 18С и ниже 26°С и особенно температура исходного материала составляет комнатную температуру от 20 до 25°С.

Стадию (А) предпочтительно проводят при температуре ниже 37°С, наиболее предпочтительно ниже 32°С, особенно выше 10°С и ниже 30°С, особенно предпочтительно выше 15°С и ниже 28°С, особенно выше 18°С и ниже 26°С, и особенно, стадию (А) проводят при комнатной температуре от 20 до 25°С.

Твердая форма исходного материала на стадии (А) способствует свободному течению исходного материала. Твердая форма состоит из твердых частиц, причем каждая отдельная частица достаточно мала, чтобы упасть в открытую полость, образованную первым пуансоном и матрицей. Например, твердая форма исходного материала представляет собой порошок. Предпочтительно исходный материал имеет средний размер частиц, определенный по светорассеянию, выше 15 мкм и ниже 1000 мкм, очень предпочтительно выше 18 мкм и ниже 900 мкм и особенно выше 20 мкм и ниже 800 мкм. Рассеяние света анализируют, например, на основе модели рассеяния Ми и Фраунгофера при давлении сухой дисперсии 0,2 бар. Предпочтительно исходный материал имеет насыпную плотность выше 300 г/л и ниже 950 г/л согласно DIN EN ISO 17892-3, наиболее предпочтительно выше 350 г/л и ниже 900 г/л, особенно выше 360 г/л и ниже 800 г/л и особенно выше 370 г/л и ниже 750 г/л. На стадии (А) вторую открытую полость предпочтительно полностью заполняют исходным материалом. Также содержится некоторое количество воздуха, который заполняет остаточный объем, поскольку частицы твердой формы исходного материала не заполняют полностью заданный объем.

Предпочтительным является способ получения таблетки, где исходный материал находится в твердой форме порошка.

Предпочтительным является способ получения таблетки, где исходный материал имеет средний размер частиц выше 15 мкм и ниже 1000 мкм, как определено по светорассеянию.

Предпочтительным является способ получения таблетки, где исходный материал имеет насыпную плотность выше 300 г/л и ниже 950 г/л, как определено согласно DIN EN ISO 17892-3.

На стадии (В) закрытие второй открытой полости вторым пуансоном с получением первой закрытой полости следует понимать как механическое закрытие, но не как газонепроницаемое закрытие. Несмотря на подгонку пуансонов и матрицы часто на оставшееся расстояние иногда всего 1/100 мм, по-прежнему не обеспечивается газонепроницаемое закрытие. Следовательно, захваченный газ, такой как воздух, может в определенной степени выходить из первой закрытой полости на стадии (В) и второй закрытой полости на стадии (С). В противном случае содержание газа под давлением в захваченной таблетке может привести к разрушению при удалении захваченной таблетки, например, путем взрыва или неконтролируемого выброса.

Стадию (В) предпочтительно проводят при температуре ниже 37°С, наиболее предпочтительно ниже 32°С, особенно выше 10°С и ниже 30°С, особенно предпочтительно выше 15°С и ниже 28°С, особенно выше 18°С и ниже 26°С, и особенно, стадию (В) проводят при комнатной температуре от 20 до 25°С.

На стадии (С) исходный материал подвергают холодному прессованию. Под холодным прессованием подразумевается, что во время операции прессования не добавляется никакого внешнего тепла и что прессование в основном осуществляется за счет механического давления. Стадия (С) не включает подвод тепла извне к исходному материалу, в частности подвод тепла извне, который мог бы привести к фазовому переходу исходного материала. Исходный материал внутри матрицы испытывает механическую деформацию, которая приводит к увеличению точек контакта между частицами исходных материалов. Эти контакты связывают и увеличивают сцепление между частицами, что превращает исходный материал в захваченную таблетку. Предпочтительно прессование на стадии (С) происходит при давлении прессования выше 90 МПа и ниже 600 МПа, наиболее предпочтительно выше 95 МПа и ниже 500 МПа и особенно выше 97 МПа и ниже 470 МПа. Давление прессования создается за счет относительного сближения двух пуансонов друг с другом и образования второй закрытой полости. Перемещение хотя бы одного из первого пуансона и второго пуансона с получением второй закрытой полости означает, например, что оба пуансона перемещаются навстречу друг другу, что один из двух пуансонов остается, и только другой пуансон движется к оставшемуся пуансону, или что оба пуансоны движутся в одном направлении, но один из двух пуансонов движется быстрее, в результате чего образуется вторая закрытая полость меньшего объема. Достигнутый минимальный объем второй закрытой полости при перемещении хотя бы одного из первого и второго пуансона по существу равен объему таблетки. По существу здесь имеется в виду определенная эластичность спрессованной таблетки, т.е. незначительное расширение после снятия давления прессования. Предпочтительно температура прессования на стадии (С) ниже 32°С, очень предпочтительно выше 10°С и ниже 30°С, особенно выше 15°С и ниже 28°С, особенно предпочтительно выше 18°С и ниже 26°С и, в частности, температура прессования составляет комнатную температуру от 20 до 25°С. Температура прессования аналогична температуре таблетки, если сразу после этого вынуть таблетку и сразу после этого определить температуру таблетки. Кроме того, температура двух пуансонов и матрицы достигла постоянного уровня при выполнении способа поучения таблетки в течение определенного времени, например, с помощью двух пуансонов и матрицы было изготовлено по меньшей мере 40 таблеток.

Стадию (С) предпочтительно проводят при температуре ниже 37°С, наиболее предпочтительно ниже 32°С, особенно выше 10°С и ниже 30°С, особенно предпочтительно выше 15°С и ниже 28°С, особенно выше 18°С и ниже 26°С, и особенно стадию (D) проводят при комнатной температуре от 20 до 25°С.

Предпочтительным является способ получения таблетки, где прессование на стадии (С) происходит при давлении прессования выше 90 МПа и ниже 600 МПа.

На стадии (D) удаляют захваченную таблетку со стадии (С). Для этого необходимо, чтобы вторая закрытая полость была открыта. Например, один из первого пуансона и один из второго пуансона удаляются из матрицы и, таким образом, ведут к открытой полости. Предпочтительно другой пуансон выталкивает таблетку, перемещаясь в матрице. Под температурой таблетки понимают температуру таблетки непосредственно после извлечения полученной таблетки. Предпочтительно, чтобы температура таблетки на стадии (D) была ниже 32°С, очень предпочтительно выше 10°С и ниже 30°С, особенно выше 15°С и ниже 28°С, особенно предпочтительно выше 18°С и ниже 26°С и особенно температура таблетки составляет комнатную температуру от 20 до 25°С. Температура таблетки аналогична температуре прессования на стадии (С), если таблетку сразу после этого извлекают и температуру таблетки определяют непосредственно после этого. Кроме того, температура двух пуансонов и матрицы достигала постоянного уровня при выполнении способа получения таблетки в течение определенного времени, например, с помощью двух пуансонов и матрицы было изготовлено по меньшей мере 40 таблеток.

Стадию (D) предпочтительно проводят при температуре ниже 37°С, очень предпочтительно ниже 32°С, в частности выше 10°С и ниже 30°С, более конкретно выше 15°С и ниже 28°С, особенно выше 18°С и ниже 26°С и очень особенно, стадию (D) проводят при комнатной температуре от 20 до 25°С.

Температура прессования и температура таблетки предпочтительно составляют ниже 32°С, очень предпочтительно выше 10°С и ниже 30°С, в частности выше 15°С и ниже 28°С, более конкретно выше 18°С и ниже 26°С и особенно, температура прессования и температура таблетки составляют комнатную температуру от 20 до 25°С.

Предпочтительным является способ получения таблетки, где температура прессования составляет ниже 32°С и температура таблетки составляет ниже 32°С.

Стадии (А), (В), (С) и (D) предпочтительно проводят при температуре ниже 37°С, очень предпочтительно ниже 32°С, в частности выше 10°С и ниже 30°С, более конкретно выше 15°С и ниже 28°С, особенно выше 18°°С и ниже 26°С и очень особенно стадии (А), (В), (С) и (D) и стадию (D) проводят при комнатной температуре от 20 до 25°С.

Предпочтительным является способ получения таблетки, где стадии (А), (В), (С) и (D) проводят при температуре ниже 37°С.

Стадии (А), (В), (С) и (D) осуществляют в таблеточном прессе, предпочтительно эксцентриковом таблеточном прессе или ротационном таблеточном прессе. Таблеточный пресс содержит матрицу, первый пуансон и второй пуансон. Таблеточный пресс предпочтительно содержит матрицу, первый пуансон и второй пуансон, а также подающее устройство для заполнения исходным материалом первой открытой полости на стадии (А). Например, подходят таблеточные прессы для вогнутых таблеток.

Предпочтительным является способ получения таблетки, где таблеточный пресс представляет собой эксцентриковый таблеточный пресс или роторный таблеточный пресс.

Способ получения таблетки дает значительно меньше мелких частиц по сравнению со многими другими способами холодного прессования. В случае просеивания полученной таблетки или множества полученных таблеток предпочтительно менее 3 мас. % исходного материала, используемого на стадии (А), удаляют путем просеивания таблетки на сите с размером пор менее половины размера поперечного сечения таблетки и более 10% размера поперечного сечения таблетки. Очень предпочтительно при просеивании удаляют менее 2 мас. %, в частности, при просеивании удаляют менее 1 мас. % и наиболее предпочтительно удаляют менее 0,5 мас. %. Предпочтительно способ получения таблетки не требует просеивания полученной таблетки или множества полученных таблеток.

Предпочтительным является способ получения таблетки, где таблетку или множество таблеток не просеивают.

Предпочтительным является способ получения таблетки, где таблетка со стадии (D) не является покрытой.

Исходный материал является твердым при 37°С и 101,32 кПа, что означает, что диапазон плавления исходного материала начинается выше 37°С и 101,32 кПа. Предпочтительно исходный материал является твердым при 40°С и 101,32 кПа, а додецил-3-(3-додекокси-3-оксопропил)сульфанилпропаноат (CAS-No. 123-28-4) [=(i-13)] исключен как компонент исходного материала, что означает, что диапазон плавления исходного материала начинается выше 40°С. Очень предпочтительно, чтобы исходный материал был твердым при 43°С и 101,32 кПа и додецил-3-(3-додекокси-3-оксопропил)сульфанилпропаноат (CAS-No. 123-28-4) [=(i-1 3)] был исключен как компонент исходного материала, что означает, что диапазон плавления исходного материала начинается выше 43°С. В частности, исходный материал является твердым при 46°С и 101,32 кПа и додецил-3-(3-додекокси-3-оксопропил) сульфанилпропаноат (CAS-№123-28-4) [=(i-1 3)] исключен как компонент исходного материала, что означает, что диапазон плавления начинается выше 46°С.

Первичные полимерные стабилизаторы функционируют в полимере как кратковременный стабилизатор обработки, как долговременный термостабилизатор или как УФ-светостабилизаторы.

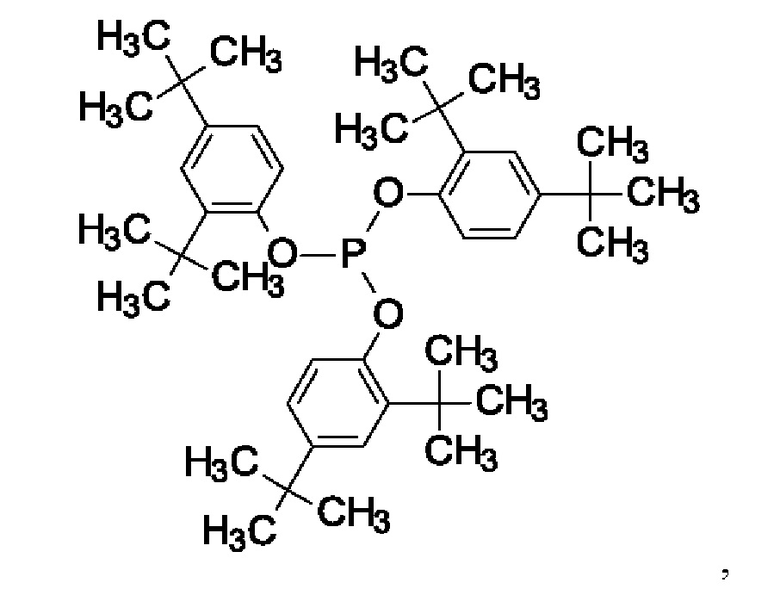
Трис(2,4-дитрет-бутилфенил) фосфит (№CAS 31570-04-4) [=(i-1)] приведен ниже

имеет диапазон плавления 180-183°С и, например, содержится в Irgafos 168 (ТМ, коммерчески доступен от BASF SE). Он действует в качестве кратковременного стабилизатора обработки.

Бис(2,4-дикумилфенил) пентаэритрит дифосфит (альтернативное название: 3,9-бис[2,4-бис(1-метил-1-фенил-этил)фенокси]-2,4,8,10-тетраокса-3,9-дифосфаспиро[5.5]ундекан) (№CAS 154862-43-8) [=(i-2)] приведен ниже

имеет диапазон плавления около 225°С и, например, содержится в Doverphos S-9228 (ТМ, коммерчески доступен от Dover Chemicals Corp.). Он действует в качестве кратковременного стабилизатора обработки.

Бис(2,4-дитрет-бутилфенил) пентаэритрит дифосфит (альтернативное название: 3,9-бис(2,4-дитрет-бутилфенокси)-2,4,8,10-тетраокса-3,9-дифосфаспиро[5.5]ундекан) (№CAS 26741-53-7) [=(i-3)] приведен ниже

имеет диапазон плавления около 160°С и, например, содержится в Irgaphos 126 (ТМ, коммерчески доступен от BASF SE). Он действует в качестве кратковременного стабилизатора обработки.

Тетракис-[3-(3,5-дитрет-бутил-4-гидрокси-фенил)-пропионилоксиметил]метан (№CAS 6683-19-8) [=(i-4)] приведен ниже

имеет диапазон плавления 110-125°С и, например, содержится в Irganox 1010 (ТМ, коммерчески доступен от BASF SE). Он действует как как долговременный термостабилизатор.

3-(3,5-Дитрет-бутил-4-гидрокси-фенил)-пропионовой кислоты стеариловый сложный эфир (№CAS 2082-79-3) [=(i-5)] приведен ниже

имеет диапазон плавления 50-55°С и, например, содержится в Irganox 1076 (ТМ, коммерчески доступен от BAFS SE). Он действует как как долговременный термостабилизатор.

3-(3,5-Дитрет-бутил-4-гидрокси-фенил)-Н-[6-[3-(3,5-дитрет-бутил-4-гидрокси-фенил)пропаноиламино]гексил]пропанамид (№CAS 23128-74-7) [=(i-6)] приведен ниже

имеет диапазон плавления 156-161°С и, например, содержится в Irganox 1098 (ТМ, коммерчески доступен от BASF SE). Он действует как как долговременный термостабилизатор.

3 -(3,5-Дитрет-бутил-4-гидроксифенил)-N'-[3-(3,5-дитрет-бутил-4-гидроксифенил)пропаноил]пропангидразид(№CAS 32687-78-8) [=(i-7)] приведен ниже

имеет диапазон плавления 221-232°С и, например, содержится в Irganox MD 1024 (ТМ, коммерчески доступен от BASF SE). Он действует как как долговременный термостабилизатор.

2-[2-[2-[3-(3-Трет-бутил-4-гидрокси-5-метил-фенил)пропаноилокси]этокси]этокси]этил 3-(3-трет-бутил-4-гидрокси-5-метил-фенил)пропаноат(№CAS 36443-68-2) [=(i-8)] приведен ниже

имеет диапазон плавления около 78 С и, например, содержится в Irganox 245 (ТМ, коммерчески доступен от BASF SE). Он действует как как долговременный термостабилизатор.

4-[[3,5-бис[(3,5-дитрет-бутил-4-гидрокси-фенил)метил]-2,4,6-триметил-фенил]метил]-2,6-дитрет-бутил-фенол (№CAS 1709-70-2) [=(i-9)] приведен ниже

имеет диапазон плавления 241-245°С и, например, содержится в Irganox 1330 (ТМ, коммерчески доступен от BASF SE). Он действует как как долговременный термостабилизатор.

1,3,5-Трис(3,5-дитрет-бутил-4-гидроксибензил)-1,3,5-триазин-2,4,6(1Н,ЗН,5Н)-трион (№CAS 27676-62-6) [=(i-10)] приведен ниже

имеет диапазон плавления 218-223°С и, например, содержится в Irganox 3114 (ТМ, коммерчески доступен от BASF SE). Он действует как как долговременный термостабилизатор.

Бис[3,3-бис(4'-гидрокси-3'-трет-бутилфенил) бутановая кислота] гликолевый сложный эфир (альтернативное название: 2-[3,3-бис(3-трет-бутил-4-гидрокси-фенил)бутаноилокси]этил 3,3-бис(3-трет-бутил-4-гидрокси-фенил)бутаноат) (№CAS 32509-66-3) [=(i-11)] приведен ниже

имеет диапазон плавления 167-171°С и, например, содержится в Hostanox 03 (ТМ, коммерчески доступен от Clariant Ltd). Он действует как долговременный термостабилизатор.

N,N-диоктадецилгидроксиламин (№CAS 123250-74-8) [=(i-12)] приведен ниже

имеет диапазон плавления около 96°С и, например, содержится в Irgastab FS 042 (ТМ, коммерчески доступен от BASF SE). Он действует в качестве кратковременного стабилизатора обработки.

Додецил 3-(3-додецокси-3-оксо-пропил)сульфанилпропаноат(№CAS 123-28-4) [=(i-13)] приведен ниже

имеет диапазон плавления 38-40°С и, например, содержится в Irganox PS 800 (ТМ, коммерчески доступен от BASF SE). Он действует как как долговременный термостабилизатор.

Октадецил 3-(3-октадецокси-3-оксо-пропил)сульфанилпропаноат(№CAS 693-36-7) [=(i-14)] приведен ниже

имеет диапазон плавления 64-67°С и, например, содержится в Irganox PS 802 (ТМ, коммерчески доступен от BASF SE). Он действует как долговременный термостабилизатор.

Пентаэритрит тетракис[3-додецилтиопропионат (альтернативное название: [3-(3-додецилсульфанилпропаноилокси)-2,2-бис(3- додецилсульфанилпропаноилоксиметил)пропил] 3-додецилсульфанилпропаноат) (№CAS 29598-76-3) [=(i-15)] приведен ниже

имеет диапазон плавления 46-52°С и, например, содержится в ADK STAB АО-4215 (ТМ, коммерчески доступен от Adeka). Он действует как как долговременный термостабилизатор.

Бис(2,2,6,6-тетраметил-4-пиперидил) декандиоат (№CAS52829-07-9) [=(i-16)] приведен ниже

имеет диапазон плавления 81-85°С и, например, содержится в Tinuvin 770 (ТМ, коммерчески доступен от BASF SE). Он действует в качестве УФ-светостабилизатора.

(2-Гидрокси-4-октокси-фенил)-фенил-метанон (№CAS 1843-05-6) [=(i-17)] приведен ниже

имеет диапазон плавления около 48°С и, например, содержится в Chimassorb 81 (ТМ, коммерчески доступен от BASF SE). Он действует в качестве УФ-светостабилизатора.

2-Трет-бутил-6-(5-хлорбензотриазол-2-ил)-4-метил-фенол (№CAS 3896-11-5) [=(i-18)] приведен ниже

имеет диапазон плавления 137-140°С и, например, содержится в Tinuvin 326 (ТМ, коммерчески доступен от BASF SE). Он действует в качестве УФ-светостабилизатора.

2-(4,6-дифенил-1,3,5-триазин-2-ил)-5-гексокси-фенол (№CAS 147315-50-2) [=(i-19)] приведен ниже

имеет диапазон плавления около 149°С и, например, содержится в Tinuvin 1577 (ТМ, коммерчески доступен от BASF SE). Он действует в качестве УФ-светостабилизатора.

2-[4,6-Бис(4-фенилфенил)-1,3,5-триазин-2-ил]-5-(2-этилгексокси)фенол (№CAS 204583-39-1) [=(i-20)] приведен ниже

имеет диапазон плавления 120-130°С и, например, содержится в Tinuvin 1600 (ТМ, коммерчески доступен от BASF SE). Он действует в качестве УФ-светостабилизатора.

2-[4,6-Бис(2,4-диметилфенил)-1,3,5-триазин-2-ил]-5-[3-(2-этилгексокси)-2-гидрокси-пропокси]фенол (№CAS 137658-79-8) [=(i-21)] приведен ниже

имеет диапазон плавления 75-77°С и, например, содержится в Tinuvin 405 (ТМ, коммерчески доступен от BASF SE). Он действует в качестве УФ-светостабилизатора.

Бутандиовая кислота, 1,4-диметиловый сложный эфир, полимер с 4-гидрокси-2,2,6,6-тетраметил-1-пиперидинэтанол (№CAS 65447-77-0) [=(i-22)], с исходными мономерами, приведенными ниже

И с повторяющимися звеньями, приведенными ниже

имеет диапазон плавления 50-135°С и, например, содержится в Tinuvin 622 (ТМ, коммерчески доступен от BASF SE). Он действует в качестве УФ-светостабилизатора.

N,N',N'',N'''-Тетракис-(2,4-бис[N-(1-циклогексилокси-2,2,6,6-тетраметилпиперидин-4-ил)-бутиламино]-1,3,5-триазин-6-ил)-1,5,8,12-тетразадодекан (альтернативное название: N6-[3-[[4,6-бис[бутил-[1-(циклогексокси)-2,2,6,6-тетраметил-4-пиперидил]амино]-1,3,5-триазин-2-ил]-[2-[[4,6-бис[бутил-[1-(циклогексокси)-2,2,6,6-тетраметил-4-пиперидил] амино] -1,3,5 -триазин-2-ил]-[3-[[4,6-бис [бутил-[1-(циклогексокси)-2,2,6,6-тетраметил-4-пиперидил]амино]-1,3,5-триазин-2-ил]амино]-пропил]амино]этил]амино]пропил]-N2,N4-дибутил-N2,N4-бис[1-(циклогексокси)-2,2,6,6-тетраметил-4-пиперидил]-1,3,5-триазин-2,4,6-триамин) (№CAS 122587-07-9) [=(i-23)] приведен ниже

имеет диапазон плавления 113-121°С. Его, например, получают согласно примеру 68 в ЕР 0309402. Он действует в качестве УФ-светостабилизатора.

N, N',N'',N'''-Тетракис-(2,4-бис[К-(1,2,2,6,6-пентаметилпиперидин-4-ил)-бутиламино]-1,3,5-триазин-6-ил)-1,5,8,12-тетразадодекан (альтернативное название 1: 1,3,5-триазин-2, 4,6-триамин, N,N'''-1,2-этандиилбис[N[3-[[4,6-бис[бутил(1,2,2,6,6-пентаметил-4-пиперидинил)амино]-1,3,5-триазин-2-ил]амино]пропил]-N',N''-бис(1,2,2,6,6-пентаметил-4-пиперидинил)-; альтернативное название 2: N6-[3-[[4,6-бис[бутил-(1-гидрокси-2,2,6,6-тетраметил-4-пиперидил)амино]-1,3,5-триазин-2-ил]-[2-[[4,6-бис[бутил-(1-гидрокси-2,2,6,6-тетраметил-4-пиперидил)амино]-1,3,5-триазин-2-ил]-[3-[[4,6-бис[бутил-(1-гидрокси-2,2,6,6-тетраметил-4-пиперидил)амино]-1,3,5-триазин-2-ил]амино]пропил]амино]этил]амино]пропил]-N2,N4-дибутил-N2N4-бис(1-гидрокси-2,2,6,6-тетраметил-4-пиперидил)-1,3,5-триазин-2,4,6-триамин) (№CAS 106990-43-6) [=(i-24)) приведен ниже

имеет диапазон плавления 115-150°С и, например, содержится в Sabostab UV 119 (ТМ, коммерчески доступен от Sabo). Он действует в качестве УФ-светостабилизатора.

N,N'-бис-(2,4-бис[N-(1-пропокси-2,2,6,6-тетраметилпиперидин-4-ил)-бутиламино]-1,3,5-триазин-6-ил)-N,N'-бис[N-(1-пропокси-2,2,6,6-тетраметилпиперидин-4-ил)]-1,8-диазаоктан (альтернативное название: М4-[6-[[4,6-бис[бутил-(2,2,6,6-тетраметил-1-пропокси-4-пиперидил)амино]-1,3,5-триазин-2-ил]-(2,2,6,6-тетраметил-1-пропокси-4-пиперидил)амино]гексил]-N2,N6-дибутил-N2,N4,N6-трис(2,2,6,6-тетраметил-1-пропокси-4-пиперидил)-1,3,5-триазин-2,4,6-триамин) (№CAS 1271737-36-0) [=(i-25)] имеет диапазон плавления 139-143°С и является получаемым согласно примеру 2 в WO 2011/029744. Он действует в качестве УФ-светостабилизатора.

Поли[[6-[бутил(2,2,6,6-тетраметил-4-пиперидинил)амино]-1,3,5-триазин-2,4-диил] [(2,2,6,6-тетраметил-4-пиперидинил)имино]-1,6-гександиил [(2,2,6,6-тетраметил-4-пиперидинил)имино]], α-[[6-[[4,6-бис(дибутиламино)-1,3,5-триазин-2-ил](2,2,6,6-тетр аметил-4-пиперидинил)амино] гексил] (2,2,6,6-тетраметил-4-пиперидинил)амино]-ω-[4,6-бис(дибутиламино)-1,3,5-триазин-2-ил]- (№CAS 195300-91-5) [=(i-26)] имеет диапазон плавления 120-150°С и является получаемым согласно примеру 10 в ЕР 0782994 А. Он действует в качестве УФ-светостабилизатора.

Поли[[6-[бутил(2,2,6,6-тетраметил-1-пропокси-4-пиперидинил)амино]-1,3,5-триазин-2,4-диил][(2,2,6,6-тетраметил-1-пропокси-4-пиперидинил)имино]-1,6-гександиил[(2,2,6,6-тетраметил-1-пропокси-4-пиперидинил)имино]], α-[[6-[[4,6-бис(дибутиламино)-1,3,5-триазин-2-ил](2,2,6,6-тетраметил-1-пропокси-4-пиперидинил)амино]гексил](2,2,6,6-тетраметил-1-пропокси-4-пиперидинил)амино]-ω-[4,6-бис(дибутил-амино)-1,3,5-триазин-2-ил]- (№CAS 297748-93-7) [=(i-27)] имеет диапазон плавления 91-104°С и получен, например, согласно WO 2008/003605 с приведенными в нем получениями соединения формулы (I). Он действует в качестве УФ-светостабилизатора.

Поли[[6-[(1,1,3,3-тетраметилбутил)амино]-1,3,5-триазин-2,4-диил][(2,2,6,6-тетраметил-4-пиперидинил)имино]-1,6-гександиил[(2,2,6,6-тетраметил-4-пиперидинил)имино]] (№CAS 71878-19-8) [=(i-28)] приведен ниже

имеет диапазон плавления 100-135°С и, например, содержится в Chimassorb 944 (ТМ, коммерчески доступен от BASF SE). Он действует в качестве УФ-светостабилизатора.

Тетракис(1,2,2,6,6-пентаметил-4-пиперидил) бутан-1,2,3,4-тетракарбоксилат (альтернативное название: 1,2,3,4-Бутантетракарбоновая кислота, тетракис(1,2,2,6,6-пентаметил4-пиперидинил) сложный эфир) (№CAS 91788-83-9) [=(i-29)] приведен ниже

Имеет диапазон плавления более 65°С и, например, содержится в ADK STAB LA-52 (ТМ, коммерчески доступен от Adeka). Он действует в качестве УФ-светостабилизатора.

Предпочтительным является способ получения таблетки, где первый полимерный стабилизатор представляет собой

(i-1) трис(2,4-дитрет-бутилфенил) фосфит (№CAS 31570-04-4),

(i-4) тетракис-[3-(3,5-дитрет-бутил-4-гидрокси-фенил)-пропионилоксиметил]метан (№CAS 6683-19-8),

(i-3) 3-(3,5-дитрет-бутил-4-гидрокси-фенил)-пропионовой кислоты стеариловый сложный эфир (№С AS 2082-79-3),

(i-5) 3-(3,5-дитрет-бутил-4-гидрокси-фенил)-N-[6-[3-(3,5-дитрет-бутил-4-гидрокси-фенил)пропаноиламино]гексил]пропанамид (№CAS 23128-74-7),

(i-7) 3-(3,5-дитрет-бутил-4-гидроксифенил)-N'-[3-(3,5-дитрет-бутил- 4-гидроксифенил)пропаноил]пропангидразид(№CAS 32687-78-8),

(i-8) 2-[2-[2-[3-(3-трет-бутил-4-гидрокси-5-метил-фенил)пропаноилокси]этокси]-этокси]этил 3-(3-трет-бутил-4-гидрокси-5-метил-фенил)пропаноат(№CAS 36443-68-2),

(i-9) 4-[[3,5-бис[(3,5-дитрет-бутил-4-гидрокси-фенил)метил]-2,4,6-триметил-фенил]метил]-2,6-дитрет-бутил-фенол (№CAS 1709-70-2),

(i-10) 1,3,5-трис(3,5-дитрет-бутил-4-гидроксибензил)-1,3,5-триазин-2,4,6(1Н,3Н,5Н)-трион (№CAS 27676-62-6),

(i12) N,N-диоктадецилгидроксиламин (№CAS 123250-74-8),

(i-13)додецил 3-(3-додецокси-3-оксо-пропил)сульфанилпропаноат(№CAS 123-28-4),

(i14) октадецил 3-(3-октадецокси-3-оксо-пропил)сульфанилпропаноат(№CAS 693-36-7),

(i-16)бис(2,2,6,6-тетраметил-4-пиперидил) декандиоат (№CAS52829-07-9), или их смесь.

Предпочтительным является способ получения таблетки, где первый полимерный стабилизатор представляет собой

(i-1) трис(2,4-дитрет-бутилфенил) фосфит (№CAS 31570-04-4),

(i-4) тетракис-[3-(3,5-дитрет-бутил-4-гидрокси-фенил)-пропионилоксиметил]метан (№CAS 6683-19-8),

(i-3) 3-(3,5-дитрет-бутил-4-гидрокси-фенил)-пропионовой кислоты стеариловый сложный эфир (№CAS 2082-79-3),

(i-5) 3-(3,5-дитрет-бутил-4-гидрокси-фенил)-N-[6-[3-(3,5-дитрет-бутил-4-гидрокси-фенил)пропаноиламино]гексил]пропанамид (№CAS 23128-74-7),

(i-7) 3-(3,5-дитрет-бутил-4-гидроксифенил)-N'-[3-(3,5-дитрет- бутил- 4-гидроксифенил)пропаноил]пропангидразид(№CAS 32687-78-8),

(i-8) 2-[2-[2-[3-(3-трет-бутил-4-гидрокси-5-метил-фенил)пропаноилокси]этокси]-этокси]этил 3-(3-трет-бутил-4-гидрокси-5-метил-фенил)пропаноат (№CAS 36443-68-2),

(i-9) 4-[[3,5-бис[(3,5-дитрет-бутил-4-гидрокси-фенил)метил]-2,4,6-триметил-фенил]метил]-2,6-дитрет-бутил-фенол (№CAS 1709-70-2),

(1-10) 1,3,5-трис(3,5-дитрет-бутил-4-гидроксибензил)-1,3,5-триазин-2,4,6(1Н,3Н,5Н)-трион (№CAS 27676-62-6),

(i12) N,N-диоктадецилгидроксиламин (№CAS 123250-74-8),

(i-14) октадецил 3-(3-октадецокси-3-оксо-пропил)сульфанилпропаноат (№CAS 693-36-7),

(i16) бис(2,2,6,6-тетраметил-4-пиперидил) декандиоат (№CAS52829-07-9), или их смесь.

Предпочтительным является способ получения таблетки, где первый полимерный стабилизатор представляет собой

(i-1) трис(2,4-дитрет-бутилфенил) фосфит (№CAS 31570-04-4),

(i-4) тетракис-[3-(3,5-ди-трет-бутил-4-гидрокси-фенил)-пропионил-оксиметил]метан (№CAS 6683-19-8),

(i-5) 3-(3,5-дитрет-бутил-4-гидрокси-фенил)-пропионовой кислоты стеариловый сложный эфир (№CAS 2082-79-3),

(i-7) 3-(3,5-дитрет-бутил-4-гидрокси-фенил)-N'-[3-(3,5-дитрет- бутил- 4-гидроксифенил)пропаноил]пропангидразид (№CAS 32687-78-8),

(i-10) 1,3,5-трис(3,5-дитрет-бутил-4-гидроксибензил)-1,3,5-триазин-2,4,6-(1Н,ЗН,5Н)-трион (№CAS 27676-62-6),

(i-16) бис(2,2,6,6-тетраметил-4-пиперидил) декандиоат (№CAS52829-07-9),

или их смесь.

Предпочтительным является способ получения таблетки, где первый полимерный стабилизатор представляет собой кратковременный стабилизатор обработки, который представляет собой (i-1), (i-2), (i-3), (i-12) или их смесь.

Предпочтительным является способ получения таблетки, где первый полимерный стабилизатор представляет собой долговременный термостабилизатор, который представляет собой (i-4), (i-5), (i-6), (i-7), (i-8), (i-9), (i-10), (i-11), (i-13), (i-14), (i-15) или их смесь.

Предпочтительным является способ получения таблетки, где первый полимерный стабилизатор представляет собой УФ-светостабилизатор, которым является (i-16), (i-17), (i-18), (i-19), (i-20), (i-21), (i-22), (i-23), (i-24), (i-25), (i-26), (i-27), (i-28), (i-29) или их смесь.

Предпочтительным является способ получения таблетки, где первый полимерный стабилизатор представляет собой УФ-светостабилизатор, который обладает фенольной гидроксигруппой и представляет собой (i-17), (i-18), (i-19), (i-20), (i-21) или их смесь.

Предпочтительным является способ получения таблетки, где первый полимерный стабилизатор представляет собой УФ-светостабилизатор, который обладает затрудненный амин и представляет собой (i-16), (i-22), (i-23), (i-24), (i-25), (i-26), (i-27), (i-28), (i-29) или их смесь.

Предпочтительным является способ получения таблетки, где первый полимерный стабилизатор представляет собой (i-1), (i-2), (i-3), (i-4), (i-5), (i-6), (i-7), (i-8), (i-9), (i-10), (i-ll), (i-12), (i-13), (i-14), (i-15), (i-16), (i-17), (i-18), (i-19), (i-20), (i-21), (i-23), (i-24), (i-25), (i-29) или их смесь.

Предпочтительным является способ получения таблетки, где первый полимерный стабилизатор представляет собой (i-1), (i-2), (i-3), (i-4), (i-5), (i-6), (i-7), (i-8), (i-9), (i-10), (i-ll), (i-12), (i-13), (i-14), (i-15), (i-16), (i-17), (i-18), (i-19), (i-20), (i-21), (i-22), (i-23), (i-24), (i-28), (i-29) или их смесь.

Предпочтительным является способ получения таблетки, где первый полимерный стабилизатор представляет собой (i-1), (i-2), (i-3), (i-4), (i-5), (i-6), (i-7), (i-8), (i-9), (i-10), (i-ll), (i-12), (i-13), (i-14), (i-15), (i-16), (i-17), (i-18), (i-19), (i-20), (i-21), (i-23), (i-24), (i-29) или их смесь.

Предпочтительным является способ получения таблетки, где дополнительный ингредиент (iv) содержит менее 3 мас. % полимерных компонентов, которые отличны от первых первичных полимерных стабилизаторов (i-22), (i-26), (i-27) и (i-28), на основе суммы компонентов (i), (ii), (iii) и (iv), которые составляют 100 мас. %. Очень предпочтительно составляет менее 2 мас. % полимерных компонентов, в частности предпочтительно составляет менее 1 мас. % полимерных компонентов и более конкретно предпочтительно составляет 0 мас. % полимерных компонентов.

Предпочтительным является способ получения таблетки, где дополнительный ингредиент (iv) содержит менее 9 мас. % связующего, которое представляет собой молекулу, содержащую алкильную или алкенильную группу с более чем 14 атомами углерода, и отличен от первых первичных полимерных стабилизаторов (i-5), (i-12) и (i-14) и вторых полимерных стабилизаторов стеарата цинка, стеарата кальция и стеарата магния, на основе суммы компонентов (i), (ii), (iii) и (iv), которые составляют 100 мас. %. Очень предпочтительно составляет менее 5 мас. % связующего, в частности предпочтительно составляет менее 3 мас. % связующего, более конкретно предпочтительно составляет менее 1 мас. % связующего и особенно предпочтительно составляет 0 мас. % связующего.

Предпочтительным является способ получения таблетки, где дополнительный ингредиент (iv) содержит менее 1 мас. % микроцеллюлозы на основе суммы компонентов (i), (ii), (iii) и (iv), которые составляют 100 мас. %, очень предпочтительно менее 0.1 мас. % и в частности предпочтительно, дополнительный ингредиент (iv) свободен от микроцеллюлозы.

Предпочтительным является способ получения таблетки, где дополнительный ингредиент (iv) содержит менее 1 мас. % углевода на основе суммы компонентов (i), (ii), (iii) и (iv), которые составляют 100 мас. %, очень предпочтительно менее 0.1 мас. % и в частности предпочтительно, дополнительный ингредиент (iv) свободен от углевода.

Предпочтительным является способ получения таблетки, где дополнительный ингредиент (iv) содержит менее 1 мас. % SiO2 на основе суммы компонентов (i), (ii), (iii) и (iv), которые составляют 100 мас. %, очень предпочтительно менее 0.1 мас. % и в частности предпочтительно, дополнительный ингредиент (iv) свободен от SiO2.

Предпочтительным является способ получения таблетки, где дополнительный ингредиент (iv) содержит менее 1 мас. % кремний-содержащего вещества на основе суммы компонентов (i), (ii), (iii) и (iv), которые составляют 100 мас. %, очень предпочтительно менее 0.1 мас. % и в частности предпочтительно, дополнительный ингредиент (iv) свободен от кремний-содержащего вещества.

Предпочтительным является способ получения таблетки, где дополнительный ингредиент (iv) содержит менее 1 мас. % неорганического вещества на основе суммы компонентов (i), (ii), (iii) и (iv), которые составляют 100 мас. %, очень предпочтительно менее 0.1 мас. % и в частности предпочтительно, дополнительный ингредиент (iv) свободен от неорганического вещества.

Предпочтительным является способ получения таблетки, где дополнительный ингредиент (iv) содержит менее 1 мас. % ионной соли на основе суммы компонентов (i), (ii), (iii) и (iv), которые составляют 100 мас. %, очень предпочтительно менее 0.1 мас. % и в частности предпочтительно, дополнительный ингредиент (iv) свободен от ионной соли.

Предпочтительным является способ получения таблетки, где дополнительный ингредиент (iv) содержит менее 1 мас. % красителя, который имеет максимальное поглощение света выше 430 нм, на основе суммы компонентов (i), (ii), (iii) и (iv), которые составляют 100 мас. %, очень предпочтительно менее 0.1 мас. % и в частности предпочтительно, дополнительный ингредиент (iv) свободен от красителя, который имеет максимальное поглощение света выше 430 нм.

Предпочтительным является способ получения таблетки, где второй полимерный стабилизатор (ii) содержится в количестве от 0 до 29 мас. % на основе суммы компонентов (i), (ii), (iii) и (iv), которые составляют 100 мас. %. Очень предпочтительно составляет количество от 0 до 20 мас. %, в частности предпочтительно составляет количество от 0 до 15 мас. %, более конкретно предпочтительно составляет количество от 0 до 10 мас. %, особенно предпочтительно составляет количество от 0 до 5 мас. % и очень особенно предпочтительно составляет количество 0 мас. %.

Предпочтительным является способ получения таблетки, где третий полимерный стабилизатор (iii) содержится в количестве от 0 до 25 мас. % на основе суммы компонентов (i), (ii), (iii) и (iv), которые составляют 100 мас. %. Очень предпочтительно составляет количество от 0 до 20 мас. %, в частности предпочтительно составляет количество от 0 до 15 мас. %, более конкретно предпочтительно составляет количество от 0 до 10 мас. %, особенно предпочтительно составляет количество от 0 до 5 мас. % и очень особенно предпочтительно составляет количество 0 мас. %.

Предпочтительным является способ получения таблетки, где дополнительный ингредиент (iv) свободен от компонента, который является жидким при 37°С и 101,32 кПа, что означает, что диапазон плавления компонента начинается ниже 37°С и 101,32 кПа. Очень предпочтительно, дополнительный ингредиент (iv) свободен от компонента, который является жидким при 40°С и 101,32 кПа, что означает, что диапазон плавления компонента начинается ниже 40°С. В частности предпочтительно, дополнительный ингредиент (iv) свободен от компонента, который является жидким при 43°С и 101,32 кПа, что означает, что диапазон плавления компонента начинается ниже 43°С. Более конкретно предпочтительно, компонент свободен от компонента, который является жидким при 46°С и 101,32 кПа, что означает, что диапазон плавления компонента начинается ниже 46°С.

Предпочтительным является способ получения таблетки, где дополнительный ингредиент (iv) содержится в количестве от 0 до 9 мас. на основе суммы компонентов (i), (ii), (iii) и (iv), которые составляют 100 мас.. Очень предпочтительно составляет количество от 0 до 7 мас. дополнительного ингредиента (iv), в частности предпочтительно составляет количество от 0 до 5 мас. дополнительного ингредиента (iv), более конкретно предпочтительно составляет количество от 0 до 3 мас. дополнительного ингредиента (iv), особенно предпочтительно составляет количество от 0 до 1 мас. дополнительного ингредиента (iv) и очень особенно предпочтительно составляет 0 мас. дополнительного ингредиента (iv).

Размер поперечного сечения планшета - это максимально возможное расстояние между двумя точками таблетки. Например, если геометрическая форма таблетки представляет собой шар, размер поперечного сечения таблетки равен диаметру шара. Например, если геометрическая форма таблетки представляет собой куб, размер поперечного сечения таблетки представляет собой пространственную диагональ куба. Например, если геометрическая форма таблетки представляет собой тетраэдр, размер поперечного сечения таблетки равен длине стороны тетраэдра.

Заданная масса таблетки допускает различные размеры поперечного сечения в зависимости от плотности таблетки и геометрической формы таблетки. Шар как геометрическая форма обеспечивает для данной массы наименьший размер поперечного сечения, тогда как цилиндр с относительно малым диаметром окружности и относительно большой высотой, т.е. стержнеобразное тело, допускает очень большой размер поперечного сечения. Соответственно, конкретный исходный материал и степень его прессования обеспечивают такую плотность таблетки, которая позволяет исходя из удельной массы различать размеры поперечного сечения таблетки в зависимости от геометрической формы таблетки. Однако дополнительное условие размера поперечного сечения в определенном диапазоне ограничивает возможные геометрические формы. Условия для того, чтобы таблетка попадала в определенный диапазон массы и попадала в определенный диапазон размеров поперечного сечения, должны выполняться независимо друг от друга.

Таблетку, которая является слишком тяжелой, трудно точно дозировать в полимер. Предпочтительно, таблетка имеет массу выше 35 мг и ниже 300 мг, очень предпочтительно выше 55 мг и ниже 200 мг, в частности выше 65 мг и ниже 170 мг и более конкретно выше 65 мг и ниже 150 мг.

Таблетку, которая является слишком большой, также трудно точно дозировать в полимер. Предпочтительно таблетка имеет размер поперечного сечения выше 4 мм и ниже 15 мм, очень предпочтительно выше 5 мм и ниже 13 мм, в частности выше 6 мм и ниже 12 мм, более конкретно выше 7 мм и ниже 11 мм и особенно выше 7 мм и ниже 10 мм.

Предпочтительным является способ получения таблетки, где таблетка имеет массу выше 55 мг и ниже 200 мг и размер поперечного сечения выше 4 мм и ниже 15 мм.

Таблетка геометрической формы с острой вершиной или острым краем более уязвима, чем таблетка геометрической формы с меньшим количеством или без острых вершин или острых краев. Предпочтительно, таблетка имеет геометрическую форму, при которой при наличии угла каждый угол имеет только углы, направленные к внутренней стороне таблетки 90°, или каждый угол является выпукло закругленным, и при которой при наличии кромки каждая кромка имеет только углы, направленные к внутренней стороне таблетки выше 90° или каждая кромка выпукло закруглена, за исключением случая, когда угол или кромка исходят из выдавленного желобка. Выпукло-закругленный в контексте настоящего изобретения понимается как выпукло-закругленный, если смотреть из внешнего окружения на таблетку. Соответственно, если смотреть изнутри таблетки, можно было бы увидеть вогнутую форму. Рельефная канавка, например, разделительная канавка или тисненый знак, исключаются, т.е. не учитываются. Недостатки таблетки, возникающие из практического применения способа получения таблетки, т.е. не из-за предполагаемой геометрической формы таблетки, также исключаются, т.е. не учитываются. Вершину или ребро с начальным углом, направленным к внутренней стороне таблетки ниже 90° или 90°, можно избежать путем выпуклого скругления в вершине или ребре, которого следует избегать, т.е. выпукло закругленный новый край. Вершину или ребро с начальным углом, направленным к внутренней стороне таблетки ниже 90° или 90°, можно избежать с помощью фасетки на вершине или ребре, которых нужно избежать, т.е. генерация двух новых вершин или трех новых ребер, которые имеют только углы, направленные к внутренней стороне таблетки выше 90°, путем надреза. Например, таблетка, которая при виде сверху круглая, а при виде сбоку круглая, эллиптическая, прямоугольная с выпукло-закругленными вершинами, прямоугольная с гранеными краями или состоящая из двух параллельных линий одинаковой длины с противоположными сторонами и двух выпуклых кривых в качестве сторон, противостоящих друг другу (=двояковыпуклые). Например, таблетка, которая при виде сверху имеет эллиптическую форму, при виде сбоку является круглой, эллиптической, прямоугольной с выпукло-закругленными вершинами, прямоугольной с гранеными краями или состоящей из двух параллельных линий одинаковой длины сторонами, противоположными друг другу, и двух выпуклых кривых в качестве сторон, противостоящих друг другу (=двояковыпуклые). Например, таблетка, которая при виде сверху имеет прямоугольную форму с выпукло-закругленными вершинами или прямоугольную форму с гранеными краями, при виде сбоку является прямоугольной с выпукло-закругленными вершинами или прямоугольной с гранеными гранями. Таблетка, которая при виде сверху или сбоку только прямоугольная, не удовлетворяет вышеупомянутому условию всех углов больше 90° или выпукло закруглена. Очень предпочтительно, чтобы таблетка имела геометрическую форму, при которой при наличии угла каждый угол выпукло закруглен, а при наличии ребра каждый край выпукло закруглен, за исключением случая, когда вершины или край происходит из рельефной канавки. Предпочтительно таблетка имеет геометрическую форму, круглую при виде сверху. Очень предпочтительно, чтобы таблетка имела геометрическую форму, которая при виде сверху является круглой, а при виде сбоку круглой, эллиптической, прямоугольной с выпукло-закругленными вершинами, прямоугольной с ограненными краями или состоящей из двух параллельных линий одинаковой длины в качестве сторон, противоположных друг другу и двух выпуклых кривых в качестве сторон, противостоящих друг другу. В частности, таблетка имеет геометрическую форму, которая при виде сверху круглая, а при виде сбоку круглая, прямоугольная с выпукло-закругленными вершинами, прямоугольная с фаской по краям или состоящая из двух параллельных линий одинаковой длины в качестве сторон, противолежащих друг другу, и двух выпуклых кривых в качестве сторон, противостоящих друг другу. В частности, таблетка имеет геометрическую форму, которая при виде сверху круглая, а при виде сбоку прямоугольная с выпукло-закругленными вершинами, прямоугольная с гранеными краями или состоящая из двух параллельных линий одинаковой длины с противолежащими сторонами и двух выпуклых кривых в качестве сторон, противоположных друг другу. В частности, таблетка имеет геометрическую форму, круглую при виде сверху и прямоугольную при виде сбоку, прямоугольную с выпукло-закругленными вершинами или состоящую из двух параллельных линий одинаковой длины в качестве сторон, противоположных друг другу, и двух выпуклых кривых в качестве сторон, противоположных друг другу. В частности, таблетка имеет геометрическую форму, круглую при виде сверху и состоящую при виде сбоку из двух параллельных линий одинаковой длины в качестве сторон, противоположных друг другу, и двух выпуклых кривых в качестве сторон, противоположных друг другу. Предпочтительно, чтобы таблетка имела не более четырех тисненых канавок, очень предпочтительно, не более трех тисненых канавок, в частности, не более двух тисненых канавок, в частности, не более одной тисненой канавки, и особенно таблетка не имеет тисненой канавки. Таблетка предпочтительно не имеет рельефного знака.

Предпочтительным является способ получения таблетки, где таблетка имеет геометрическую форму, при которой при наличии угла каждый угол имеет только углы, направленные к внутренней стороне таблетки 90°, или каждый угол является выпукло закругленным, и при которой при наличии кромки каждая кромка имеет только углы, направленные к внутренней стороне таблетки выше 90°, или каждая кромка выпукло закруглена, за исключением случая, когда угол или кромка исходят из выдавленного желобка.

Предпочтительным является способ получения таблетки, где таблетка имеет геометрическую форму, у которой при наличии угла каждый угол выпукло закруглен, а при наличии края каждый край выпукло закруглен, за исключением случаев, когда угол или кромка происходят из выпуклой канавки.

Предпочтительным является способ получения таблетки, где таблетка имеет геометрическую форму, круглую при виде сверху.

Предпочтительным является способ получения таблетки, где таблетка имеет геометрическую форму, круглую при виде сверху и круглую при виде сбоку круглую, эллиптическую, прямоугольную с выпукло-закругленными вершинами, прямоугольную с фацетными краями или состоящую из двух параллельных линий той же длины, что и стороны, противостоящие друг другу, и двух выпуклых кривых в качестве сторон, противостоящих друг другу.

Геометрическая форма таблетки достигается соответствующим подбором геометрической формы пуансонов и матрицы. Например, для круглой таблетки при виде сверху и состоящей из двух параллельных линий в качестве сторон, противостоящих друг другу, и двух выпуклых кривых в качестве сторон, противоположных друг другу (=двояковыпуклых) при виде сбоку, первый пуансон и второй пуансон являются круглыми и вогнутыми, так как матрица является круглой. Отделочная поверхность таблетки отражает дизайн пуансонов и матрицы.

Таблетка, которая является однородной, имеет ряд преимуществ. Для таблетки, которая имеет круглую геометрическую форму при виде сверху, в дополнение к размеру поперечного сечения существуют диаметр окружности (d) и высота (h). Высота проходит по оси вращения геометрической формы от одного конца к другому концу, а самая большая окружность, какая только возможна, располагается перпендикулярно высоте и имеет центр на оси вращения. Этот максимально возможный круг имеет диаметр, который в данном случае является диаметром круга. Соотношение между диаметром окружности (d) и высотой (h) является показателем однородности геометрической формы, которая при виде сверху является круглой. Если диаметр окружности достигается в окружности с центром на оси вращения на середине высоты, обеспечивается еще лучшее указание на однородность. Предпочтительно соотношение между диаметром окружности (d) и высотой (h) для геометрического изгиба, который является круглым при виде сверху, составляет от 0,7 до 2,5, очень предпочтительно от 0,8 до 2,0, особенно от 0,9 до 1,6, очень предпочтительно от 0,7 до 2,5. особенно от 0,9 до 1,3 и особенно от 0,9 до 1,1. Соотношение 1 указывает, например, на шар. Предпочтительно отношение диаметра окружности (d) к высоте (h) для геометрической фигуры, которая является круглой при виде сверху и в которой диаметр окружности приходится на середину высоты, составляет от 0,7 до 2,5, очень предпочтительно от 0,8 до 2,0, особенно от 0,9 до 1,6, особенно предпочтительно от 0,9 до 1,3 и особенно предпочтительно от 0,9 до 1,1. Например, таблетка геометрической формы, круглая при виде сверху и имеющая диаметр окружности 5 мм, имеет при отношении диаметра окружности (d) к высоте (h) от 0,7 до 2,5 высоту от 7 мм до 2,5 мм. Например, таблетка геометрической формы, круглая при виде сверху и имеющая диаметр окружности 6 мм, имеет при отношении диаметра окружности (d) к высоте (h) от 0,7 до 2,5 высоту от 8,6 мм до 2,4 мм.

Более однородная таблетка позволяет предотвратить разрушение таблетки или образование мелких частиц во время хранения и транспортировки перед дозированием в полимер. Если диаметр окружности более чем в два раза превышает высоту, таблетка может стать менее стабильной. Если диаметр окружности меньше половины высоты, то на стадии открытия второй закрытой полости в таблетке может произойти закупоривание, вызванное дегазацией уплотненного исходного материала. Кроме того, если диаметр круга меньше половины высоты, то получается таблетка более вытянутой геометрической формы. Более вытянутая геометрическая форма может быть менее предпочтительной для смеси таблетка-полимер, в которой полимер присутствует в виде пеллет.Во время транспортировки этой таблеточно-полимерной смеси, например, пневматической транспортировкой перед выдержкой таблеточно-полимерной смеси при температуре в диапазоне от 120 до 340°С при механическом перемешивании или путем транспортировки таблеточно-полимерной смеси в контейнере, которая при транспортировке подвергается вибрациям, таблетка с более вытянутой геометрической формой может быть в большей степени склонна к расслоению, чем таблетка с более однородной геометрической формой. Предпочтительно таблетка имеет размер поперечного сечения, подобный пеллетам стабилизируемого полимера.

Вышеописанные определения и предпочтения для способа получения таблетки, для исходного материала и для таблетки описаны для способа получения таблетки. Эти определения и предпочтения применимы также к дополнительным вариантам осуществления изобретения.

Еще одним вариантом осуществления изобретения является таблетка, которая является твердой при 37°С и 101,32 кПа и состоит из

(i) от 60 до 100 мас. % первого полимерного стабилизатора, который представляет собой

(i-1) трис(2,4-дитрет-бутилфенил) фосфит (№CAS 31570-04-4),

(i-2) бис(2,4-дикумилфенил) пентаэритрит дифосфит (№CAS 154862-43-8),

(i-3) бис(2,4-дитрет-бутилфенил)пентаэритрит дифосфит (№CAS 26741-53-7),

(i-4) тетракис-[3-(3,5-дитрет-бутил-4-гидрокси-фенил)-пропионилоксиметил]метан (№CAS 6683-19-8),

(i-5) 3-(3,5-дитрет-бутил-4-гидрокси-фенил)-пропионовой кислоты стеариловый сложный эфир (№CAS 2082-79-3),

(i-6) 3-(3,5-дитрет-бутил-4-гидрокси-фенил)-N-[6-[3-(3,5-дитрет-бутил-4-гидрокси-фенил)пропаноиламино]гексил]пропанамид (№CAS 23128-74-7),

(i-7) 3-(3,5-дитрет-бутил-4-гидроксифенил)-N'-[3-(3,5-дитрет-бутил-4-гидроксифенил)пропаноил]пропангидразид(№CAS 3268-78-8),

(i-8) 2-[2-[2-[3-(3-трет-бутил-4-гидрокси-5-метил-фенил)пропаноилокси]этокси]-этокси]этил 3-(3-трет-бутил-4-гидрокси-5-метил-фенил)пропаноат (№CAS 36443-68-2),

(i-9) 4-[[3,5-бис[(3,5-дитрет-бутил-4-гидрокси-фенил)метил]-2,4,6-триметил-фенил]метил]-2,6-дитрет-бутил-фенол (№CAS 1709-70-2),

(i-10) 1,3,5-трис(3,5-дитрет-бутил-4-гидроксибензил)-1,3,5-триазин-2,4,6(1Н,3Н,5Н)-трион (№CAS 27676-62-6),

(i-11)бис[3,3-бис(4'-гидрокси-3'-трет-бутилфенил) бутановая кислота] гликолевый сложный эфир (№CAS 32509-66-3),

(i-12) N,N-диоктадецилгидроксиламин (№CAS 123250-74-8),

(i-13) додецил 3-(3-додецокси-3-оксо-пропил)сульфанилпропаноат (№CAS 123-28-4),

(i-14) октадецил 3-(3-октадецокси-3-оксо-пропил)сульфанилпропаноат (№CAS 693-36-7),

(i-15) пентаэритрит тетракис[3-додецилтиопропионат] (№CAS 29598-76-3),

(i-16) бис(2,2,6,6-тетраметил-4-пиперидил) декандиоат (№CAS52829-07-9),

(i-17)(2-гидрокси-4-октокси-фенил)-фенил-метанон (№CAS 1843-05-6),

(i-18) 2-трет-бутил-6-(5-хлорбензотриазол-2-ил)-4-метил-фенол (№CAS 3896-11-5),

(i-19) 2-(4,6-дифенил-1,3,5-триазин-2-ил)-5-гексокси-фенол (№CAS 147315-50-2),

(i-20) 2-[4,6-бис(4-фенилфенил)-1,3,5-триазин-2-ил]-5-(2-этилгексокси)фенол (№CAS 204583-39-1),

(i-21) 2-[4,6-бис(2,4-диметилфенил)-1,3,5-триазин-2-ил]-5-[3-(2-этилгексокси)-2-гидрокси-пропокси]фенол (№CAS 137658-79-8),

(i-22) бутандиовая кислота, 1,4-диметиловый сложный эфир, полимер с 4-гидрокси-2,2,6,6-тетраметил-1-пиперидинэтанол (№CAS 65447-77-0),

(i-23) N,N',N'',N'''-тетракис-(2,4-бис[N-(1-циклогексилокси-2,2,6,6-тетраметилпиперидин-4-ил)-бутиламино]-1,3,5-триазин-6-ил)-1,5,8,12-тетразадодекан (№С AS 122587-07-9),

(i-24) N,N',N'',N'''-Тетракис-(2,4-бис[N-(1-циклогексилокси-2,2,6,6-тетраметилпиперидин-4-ил)-бутиламино]-1,3,5-триазин-6-ил)-1,5,8,12-тетразадодекан (№CAS 106990-43-6),

(i-25) N,N'-бис-(2,4-бис[N-(1-пропокси-2,2,6,6-тетраметилпиперидин-4-ил)-бутиламино]-1,3,5-триазин-6-ил)-N,N'-бис[N-(1-пропокси-2,2,6,6-тетраметилпиперидин-4-ил)]-1,8-диазаоктан (№CAS 1271737-36-0),

(1-26)поли[[6-[бутил(2,2,6,6-тетраметил-4-пиперидинил)амино]-1,3,5-триазин-2,4-диил] [(2,2,6,6-тетраметил-4-пиперидинил)имино]-1,6-гександиил [(2,2,6,6-тетраметил-4-пиперидинил)имино]], α-[[6-[[4,6-бис(дибутиламино)-1,3,5-триазин-2-ил](2,2,6,6- тетраметил-4-пиперидинил)амино] гексил] (2,2,6,6-тетраметил-4-пиперидинил)амино]-ω-[4,6-бис(дибутиламино)-1,3,5-триазин-2-ил]- (№CAS 195300-91-5),

(i-27)поли[[6-[бутил(2,2,6,6-тетраметил-1-пропокси-4-пиперидинил)амино]-1,3,5-триазин-2,4-диил][(2,2,6,6-тетраметил-1-пропокси-4-пиперидинил)имино]-1,6-гександиил[(2,2,6,6-тетраметил-1-пропокси-4-пиперидинил)имино]], α-[[6-[[4,6-бис(дибутиламино)-1,3,5-триазин-2-ил](2,2,6,6-тетраметил-1-пропокси-4-пиперидинил) амино]гексил](2,2,6,6-тетраметил-1-пропокси-4-пиперидинил)амино]-ω-[4,6-бис(дибутил-амино)-1,3,5-триазин-2-ил]- (№CAS 297748-93-7),

(i-28) поли[[6-[(1,1,3,3-тетраметилбутил)амино]-1,3,5-триазин-2,4-диил] [(2,2,6,6-тетраметил-4-пиперидинил)имино]-1,6-гександиил[(2,2,6,6-тетраметил-4-пиперидинил) имино]] (№CAS 71878-19-8),

(i-29) тетракис(1,2,2,6,6-пентаметил-4-пиперидил) бутан-1,2,3,4-тетракарбоксилат (№CAS 91788-83-9),

или их смесь,

(ii) от 0 до 40 мас. % второго полимерного стабилизатора, который представляет собой стеарат цинка, стеарат кальция, стеарат магния или их смесь,

(iii) от 0 до 34 мас. % третьего полимерного стабилизатора, который представляет собой оксид цинка, гидроталькит, бензоат натрия или их смесь,

(iv) от 0 до 20 мас. % дополнительного ингредиента, который отличен от первого полимерного стабилизатора, второго полимерного стабилизатора и третьего полимерного стабилизатора,

где сумма компонентов (i), (ii), (iii) и (iv) составляет 100 мас. %,

где таблетка имеет массу выше 20 мг и ниже 330 мг и размер поперечного сечения выше 3 мм и ниже 18 мм.

Предпочтительной является таблетка, где таблетка имеет геометрическую форму, при которой при наличии угла каждый угол имеет только углы, направленные к внутренней стороне таблетки 90°, или каждый угол является выпукло закругленным, и при которой при наличии кромки каждая кромка имеет только углы, направленные к внутренней стороне таблетки выше 90°, или каждая кромка выпукло закруглена, за исключением случая, когда угол или кромка исходят из выдавленного желобка.

Предпочтительной является таблетка, где первый полимерный стабилизатор представляет собой

(i-1) трис(2,4-дитрет-бутилфенил) фосфит (№CAS 31570-04-4), (i-4) тетракис-[3-(3,5-дитрет-бутил-4-гидрокси-фенил)-пропионилоксиметил]метан (№CAS 6683-19-8),

(i-5) 3-(3,5-дитрет-бутил-4-гидрокси-фенил)-пропионовой кислоты стеариловый сложный эфир (№CAS 2082-79-3),

(i-6) 3-(3,5-дитрет-бутил-4-гидрокси-фенил)-N-[6-[3-(3,5-дитрет-бутил-4-гидрокси-фенил)пропаноиламино]гексил]пропанамид (№CAS 23128-74-7),

(i-7) 3-(3,5-дитрет-бутил-4-гидроксифенил)-N'-[3-(3,5-дитрет- бутил- 4-гидроксифенил)пропаноил]пропангидразид (№CAS 32687-78-8),

(i-8) 2-[2-[2-[3-(3-трет-бутил-4-гидрокси-5-метил-фенил)пропаноилокси]этокси]-этокси]этил 3-(3-трет-бутил-4-гидрокси-5-метил-фенил)пропаноат (№CAS 36443-68-2),

(i-9) 4-[[3,5-бис[(3,5-дитрет-бутил-4-гидрокси-фенил)метил]-2,4,6-триметил-фенил]метил]-2,6-дитрет-бутил-фенол (№CAS 1709-70-2),

(i-10) 1,3,5-трис(3,5-дитрет-бутил-4-гидроксибензил)-1,3,5-триазин-2,4,6(1Н,3Н,5Н)-трион (№CAS 27676-62-6),

(i-2) N,N-диоктадецилгидроксиламин (№CAS 123250-74-8)

(i-13) додецил 3-(3-додецокси-3-оксо-пропил)сульфанилпропаноат(№CAS 123-28-4),

(i-14) октадецил 3-(3-октадецокси-3-оксо-пропил)сульфанилпропаноат (№CAS 693-36-7),

(i-16)бис(2,2,6,6-тетраметил-4-пиперидил) декандиоат (№CAS52829-07-9), или их смесь.

Предпочтительной является таблетка, где первый полимерный стабилизатор представляет собой

(i-1) трис(2,4-дитрет-бутилфенил) фосфит (№CAS 31570-04-4),

(i-4) тетракис-[3-(3,5-ди-трет-бутил-4-гидрокси-фенил)-пропионил-оксиметил]метан (№CAS 6683-19-8),

(i-5) 3-(3,5-дитрет-бутил-4-гидрокси-фенил)-пропионовой кислоты стеариловый сложный эфир (№CAS 2082-79-3),

(i-7) 3-(3,5-дитрет-бутил-4-гидроксифенил)-N'-[3-(3,5-дитрет-бутил-4-гидроксифенил)пропаноил]пропангидразид (№CAS 32687-78-8),

(i-10) 1,3,5-трис(3,5-ди-трет-бутил-4-гидроксибензил)-1,3,5-триазин-2,4,6-(1Н,3Н,5Н)-трион (№CAS 27676-62-6),

(i-16) бис(2,2,6,6-тетраметил-4-пиперидил) декандиоат (№CAS52829-07-9),

или их смесь.

Предпочтительной является таблетка, где дополнительный ингредиент (iv) содержит менее 3 мас. % полимерных компонентов, которые отличны от первых первичных полимерных стабилизаторов (i-22), (i-26), (i-27) и (i-28), на основе суммы компонентов (i), (ii), (iii) и (iv), которые составляют 100 мас. %.

Предпочтительной является таблетка, где дополнительный ингредиент (iv) содержит менее 9 мас. % связующего, которое представляет собой молекулу, содержащую алкильную или алкенильную группу с более чем 14 атомами углерода, и отличен от первых первичных полимерных стабилизаторов (i-5), (i-12) и (i-14) и вторых полимерных стабилизаторов стеарата цинка, стеарата кальция и стеарата магния, на основе суммы компонентов (i), (ii), (iii) и (iv), которые составляют 100 мас. %.

Предпочтительной является таблетка, где второй полимерный стабилизатор (ii) содержится в количестве от 0 до 29 мас. % на основе суммы компонентов (i), (ii), (iii) и (iv), которые составляют 100 мас. %.

Предпочтительной является таблетка, где дополнительный ингредиент (iv) содержится в количестве от 0 до 9 мас. % на основе суммы компонентов (i), (ii), (iii) и (iv), которые составляют 100 мас. %.

Предпочтительной является таблетка, где таблетка имеет массу выше 55 мг и ниже 200 мг и размер поперечного сечения выше 4 мм и ниже 15 мм.

Еще одним вариантом осуществления изобретения является способ получения стабилизированного полимера, который включает стадии:

(АР) дозирование таблетки в полимер с получением смеси таблетка-полимер,

(ВР) воздействие на смесь таблетка-полимер температурой в интервале от 120 до 340°С при механическом перемешивании с получением стабилизированного полимера,

где полимер представляет собой полиолефин, полистирол или их смесь,

где таблетка является твердой при 37°С и 101,32 кПа и состоит из

(i) от 60 до 100 мас. % первого полимерного стабилизатора, который представляет собой

(i-1) трис(2,4-дитрет-бутилфенил) фосфит (№CAS 31570-04-4),

(i-2) бис(2,4-дикумилфенил) пентаэритрит дифосфит (№CAS 154862-43-8),

(i-3) бис(2,4-дитрет-бутилфенил)пентаэритрит дифосфит (№CAS 26741-53-7),

(i-4) тетракис-[3-(3,5-дитрет-бутил-4-гидрокси-фенил)-пропионилоксиметил]метан (№CAS 6683-19-8),

(i-5) 3-(3,5-дитрет-бутил-4-гидрокси-фенил)-пропионовой кислоты стеариловый сложный эфир (№CAS 2082-79-3),

(i-6) 3-(3,5-дитрет-бутил-4-гидрокси-фенил)-N-[6-[3-(3,5-дитрет-бутил-4-гидрокси-фенил)пропаноиламино]гексил]пропанамид (№CAS 23128-74-7),

(i-7) 3-(3,5-дитрет-бутил-4-гидроксифенил)-N'-[3-(3,5-дитрет-бутил- 4-гидроксифенил)пропаноил]пропангидразид (№CAS 3268-78-8),

(i-8) 2-[2-[2-[3-(3-трет-бутил-4-гидрокси-5-метил-фенил)пропаноилокси]этокси]-этокси]этил 3-(3-трет-бутил-4-гидрокси-5-метил-фенил)пропаноат (№CAS 36443-68-2),

(i-9) 4-[[3,5-бис[(3,5-дитрет-бутил-4-гидрокси-фенил)метил]-2,4,6-триметил-фенил]метил]-2,6-дитрет-бутил-фенол (№CAS 1709-70-2),

(i-10) 1,3,5-трис(3,5-дитрет-бутил-4-гидроксибензил)-1,3,5-триазин-2,4,6(1Н,3Н,5Н)-трион (№CAS 27676-62-6),

(i-11) бис[3,3-бис(4'-гидрокси-3'-трет-бутилфенил) бутановая кислота] гликолевый сложный эфир (№CAS 32509-66-3),

(i-12) N,N-диоктадецилгидроксиламин (№CAS 123250-74-8),

(i-13) додецил 3-(3-додецокси-3-оксо-пропил)сульфанилпропаноат(№CAS 123-28-4),

(i-14) октадецил-3-(3-октадецокси-3-оксо-пропил)сульфанилпропаноат(№CAS 693-36-7),

(i-15) пентаэритриттетракис[3-додецилтиопропионат] (№CAS 29598-76-3),

(i-16) бис(2,2,6,6-тетраметил-4-пиперидил) декандиоат (№CAS 52829-07-9),

(i-17) (2-гидрокси-4-октокси-фенил)-фенил-метанон (№CAS 1843-05-6),

(i-18) 2-трет-бутил-6-(5-хлорбензотриазол-2-ил)-4-метил-фенол (№CAS 3896-11-5),

(i-19) 2-(4,6-дифенил-1,3,5-триазин-2-ил)-5-гексокси-фенол (№CAS 147315-50-2),

(i-20) 2-[4,6-бис(4-фенилфенил)-1,3,5-триазин-2-ил]-5-(2-этилгексокси)фенол (№CAS 204583-39-1),

(i-21) 2-[4,6-бис(2,4-диметилфенил)-1,3,5-триазин-2-ил]-5-[3-(2-этилгексокси)-2-гидрокси-пропокси]фенол (№CAS 137658-79-8),

(i-22) бутандиовая кислота, 1,4-диметиловый сложный эфир, полимер с 4-гидрокси-2,2,6,6-тетраметил-1-пиперидинэтанол (№CAS 65447-77-0),

(i-23) N,N',N'',N'''-тетракис-(2,4-бис[N-(1-циклогексилокси-2,2,6,6-тетраметилпиперидин-4-ил)-бутиламино]-1,3,5-триазин-6-ил)-1,5,8,12-тетразадодекан (№CAS 122587-07-9),

(i-24) N,N',N'',N'''-Тетракис-(2,4-бис[N-(1-циклогексилокси-2,2,6,6-тетраметилпиперидин-4-ил)-бутиламино]-1,3,5-триазин-6-ил)-1,5,8,12-тетразадодекан (№CAS 106990-43-6),

(i-25) N,N'-бис-(2,4-бис[N-(1-пропокси-2,2,6,6-тетраметилпиперидин-4-ил)-бутиламино]-1,3,5-триазин-6-ил)-N,N'-бис[N-(1-пропокси-2,2,6,6-тетраметилпиперидин-4-ил)]-1,8-диазаоктан (№CAS 1271737-36-0),

(i-26) поли[[6-[бутил(2,2,6,6-тетраметил-4-пиперидинил)амино]-1,3,5-триазин-2,4-диил] [(2,2,6,6-тетраметил-4-пиперидинил)имино]-1,6-гександиил [(2,2,6,6-тетраметил-4-пиперидинил)имино]], α-[[6-[[4,6-бис(дибутиламино)-1,3,5-триазин-2-ил](2,2,6,6-тетраметил-4-пиперидинил)амино]гексил] (2,2,6,6-тетраметил-4-пиперидинил)амино]-ω-[4,6-бис(дибутиламино)-1,3,5-триазин-2-ил]- (№CAS 195300-91-5),

(i-27) поли[[6-[бутил(2,2,6,6-тетраметил-1-пропокси-4-пиперидинил)амино]-1,3,5-триазин-2,4-диил][(2,2,6,6-тетраметил-1-пропокси-4-пиперидинил)имино]-1,6-гександиил[(2,2,6,6-тетраметил-1-пропокси-4-пиперидинил)имино]], α-[[6-[[4,6-бис(дибутиламино)-1,3,5-триазин-2-ил](2,2,6,6-тетраметил-1-пропокси-4-пиперидинил) амино]гексил](2,2,6,6-тетраметил-1-пропокси-4-пиперидинил)амино]-ω-[4,6-бис(дибутил-амино)-1,3,5-триазин-2-ил]-(№CAS 297748-93-7),

(i-28) поли[[6-[(1,1,3,3-тетраметилбутил)амино]-1,3,5-триазин-2,4-диил] [(2,2,6,6-тетраметил-4-пиперидинил)имино]-1,6-гександиил[(2,2,6,6-тетраметил-4-пиперидинил) имино]] (№CAS 71878-19-8),

(i-29) тетракис(1,2,2,6,6-пентаметил-4-пиперидил) бутан-1,2,3,4-тетракарбоксилат (№CAS 91788-83-9),

или их смесь,

(ii) от 0 до 40 мас. % второго полимерного стабилизатора, который представляет собой стеарат цинка, стеарат кальция, стеарат магния или их смесь,

(iii) от 0 до 34 мас. % третьего полимерного стабилизатора, который представляет собой оксид цинка, гидроталькит, бензоат натрия или их смесь,

(iv) от 0 до 20 мас. % дополнительного ингредиента, который отличен от первого полимерного стабилизатора, второго полимерного стабилизатора и третьего полимерного стабилизатора,

где сумма компонентов (i), (ii), (iii) и (iv) составляет 100 мас. %,

где таблетка имеет массу выше 20 мг и ниже 330 мг и размер поперечного сечения выше 3 мм и ниже 18 мм.

На стадии (АР) большую таблетку в принципе труднее дозировать, смешивать и диспергировать в полимере.

На стадии (BP) компоненты таблетки однородно распределяют и/или растворяют в полимере, подлежащем стабилизации, при механическом перемешивании. Этому способствует тепловое воздействие на смесь таблетка-полимер, что приводит к снижению вязкости полимера с одной стороны и плавлению компонентов таблетки с другой, если достигается соответствующий диапазон плавления компонента. Предпочтительно температура на стадии (BP) находится в диапазоне от 135°С до 330°С, очень предпочтительно от 150°С до 310°С, особенно от 180°С до 300°С, особенно от 190°С до 300°С. 290°С, особенно от 200°С до 280°C и особенно от 210°С до 260°С.

Полиолефином является, например:

1. Гомополимер моноолефинов и диолефинов, например полипропилен, полиизобутилен, полибут-1-ен, поли-4-метилпент-1-ен, поливинилциклогексан, полиизопрен или полибутадиен, а также полимеры циклоолефинов, например, из циклопентена или норборнена, полиэтилена, например, из полиэтилена высокой плотности (HDPE), полиэтилена средней плотности (MDPE), полиэтилена низкой плотности (LDPE), линейного полиэтилена низкой плотности (LLDPE) или их смеси, например, смеси полипропилена с полиизобутиленом, полипропилена с полиэтиленом (например, PP/HDPE, PP/LDPE) или смесей различных типов полиэтилена (например, LDPE/HDPE).

2. Сополимер моноолефинов или диолефинов друг с другом или с другими виниловыми мономерами, например сополимеры этилена/пропилена, сополимеры пропилена/бут-1-ена, сополимеры пропилена/ изобутилена, сополимеры этилена/бут-1-ена, сополимеры этилена/гексена, сополимеры этилена/метилпентена, сополимеры этиле-на/гептена, сополимеры этилена/октена, сополимеры этилена/винилциклогексана, сополимеры этилена/циклоолефина, например, этилен/норборнен, подобные СОС, сополимеры этилен/1-олефины, в которых 1-олефин образуется на месте; сополимеры пропилена/бутадиена, сополимеры изобутилена/изопрена, сополимеры этилена/винилциклогексена, сополимеры этилена/алкилакрилата, сополимеры этилена/алкилметакрилата, сополимеры этилена/винилацетата или сополимеры этилена/акриловой кислоты и их соли (иономеры), а также терполимеры этилена с пропиленом и диеном, таким как гексадиен, дициклопентадиен или этилиден-норборнен; и смеси таких сополимеров друг с другом или смеси с другими полиолефинами, например, сополимерами полипропилена/этилен-пропилена, сополимерами LDPE/этилен-винилацетата (EVA) или сополимерами LDPE /этилен-акриловой кислоты (ЕАА).

Полиолефины из моноолефинов, предпочтительно полиэтилен и полипропилен, могут быть получены различными, в частности, следующими способами:

a) радикальная полимеризация (обычно под высоким давлением и при повышенной температуре)

b) каталитическая полимеризация с использованием катализатора, который обычно содержит один или несколько металлов групп 4, 5, 6 (например, хром) или 7 периодической таблицы. Эти металлы обычно имеют один или более чем один лиганд, обычно оксиды, галогениды, алкоголяты, сложные эфиры, простые эфиры, амины, алкилы, алкенилы и/или арилы, которые могут быть пи- или сигма-координированы. Эти комплексы металлов могут быть в свободной форме или зафиксированы на подложках, обычно на активированном хлориде магния, хлориде титана (III), оксиде алюминия или оксиде кремния. Эти катализаторы могут быть растворимыми или нерастворимыми в полимеризационной среде. Катализаторы можно использовать сами по себе в полимеризации или можно использовать дополнительные активаторы, обычно алкилы металлов, гидриды металлов, алкилгалогениды металлов, алкилоксиды металлов или алкилоксаны металлов, причем указанные металлы являются элементами 1, 2 и/или 3 групп Периодической таблицы. Активаторы могут быть легко модифицированы дополнительными сложноэфирными, эфирными, аминовыми или силилэфирными группами. Эти каталитические системы обычно называют катализаторами Phillips, Standard Oil Indiana, Ziegler (-Natta), TNZ (DuPont), металлоценовыми или катализаторами с единым центром полимеризации на металле (SSC). Полистиролом является, например:

1. Гомополимер стирола

2. Сополимер стирола и сомономера, который представляет собой, например, этилен, пропилен, диены, нитрилы, кислоты, малеиновые ангидриды, малеимиды, винилацетат, акриловые производные и их смеси, например, стирол/бутадиен, стирол/акр ил онитрил, стирол/этилен, стирол/алкилметакрилат, стирол/бутадиен/алкилакрилат, стирол/бутадиен/ал кил метакрилат, стирол/малеиновый ангидрид, стирол/акрилонитрил/метилакрилат, блок-сополимеры стирола с сомономером, например, стирол/бутадиен/стирол, стирол/изопрен/стирол, стирол/этилен/бутилен/стирол или стирол/этилен/пропилен/стирол.

3. Привитые сополимеры стирола, например стирол на полибутадиене, стирол на полибутадиен-стироле или сополимерах полибутадиена-акрилонитрила, стирол и акрилонитрил на полибутадиене, стирол, акрилонитрил и метилметакрилат на полибутадиене, стирол и малеиновый ангидрид на полибутадиене и акрилонитриле, стирол и малеиновый ангидрид на полибутадиене, стирол, акрилонитриле и малеимид на полибутадиене, стирол и малеимид на полибутадиене, стирол и малеимид на полибутадиене, стирол и алкилакрилаты или метакрилаты, кроме метилакрилата, на полибутадиене, стирол и акрилонитрил на этилен/пропилен/диеновых терполимерах, стирол и акрилонитрил на полиалкилакрилатах или полиалкилметакрилатах, стирол/акрилонитрил на сополимерах акрилата и бутадиена.

В сополимере полиолефина сополимеризованы по меньшей мере два разных мономера. Предпочтительным является сополимер полиолефина, в котором массовое содержание полимеризованного олефинового мономера превышает 50% на основе массы всех полимер изо ванных мономеров. В сополимере полистирола сополимеризованы по меньшей мере два разных мономера или один мономер привит по меньшей мере к другому мономеру, который был полимеризован. Предпочтительным является сополимер полистирола, в котором массовое содержание полимеризованного или привитого стирола превышает 50% на основе массы всех полимеризованных или привитых мономеров.

Предпочтительно полимер, представляющий собой полиолефин, полистирол или их смесь, является термопластичным, т.е. ему можно придавать новую форму при повышенной температуре, например, при температуре в диапазоне от 120°С до 340°С, особенно от 135°С до 330°С.

Полимер, представляющий собой полиолефин, полистирол или их смесь, подвержен окислительному, термическому или световому разложению.

Количество таблеток, дозируемое на полимер, который представляет собой полиолефин, полистирол или их смесь, варьируется в зависимости от конкретного полимера и желаемой степени защиты от окислительного, термического или индуцированного светом разложения. Предпочтительно количество таблеток в массовых процентах составляет от 0,01 до 5 мас. % на основе массы полимера, наиболее предпочтительно от 0,02 до 3 мас. %, особенно от 0,04 до 2 мас. %, наиболее предпочтительно от 0,05 до 1 мас. %, особенно от 0,08 до 0,8 мас. % и особенно от 0,1 до 0,4 мас. %.

Предпочтительным является способ получения стабилизированного полимера, где стадию (BP) проводят в экструдере или совместном смесителе.

На стадии (АР) таблетки могут дозироваться в полимер, температура которого уже находится в диапазоне от 120 до 340°С. Например, таблетки дозируют к полимеру, уже подогретому в экструдере или смесителе. Например, таблетки вводятся устройством подачи, например, экструдером, в уже теплый и вязкий полимер, подлежащий стабилизации. Соответственно, смесь таблетка-полимер сразу же достигает температуры полимера в диапазоне от 120 до 340°С, и таблетка начинает распадаться.

Предпочтительным является способ получения стабилизированного полимера, в котором полимер, в который дозируют таблетку на стадии (АР), имеет температуру полимера в диапазоне от 120 до 340°С.

На стадии (АР) таблетки можно дозировать к полимеру, температура полимера которого ниже 37°С. В случае, когда полимер присутствует в форме пеллет, образуется смесь таблеток и полимеров, которая включает компоненты (а) таблетки и (b) полимерные пеллеты. Пеллеты полимера имеют, например, геометрическую форму цилиндра и получаются, например, путем горячей резки экструдированной теплой нити полимера с последующим охлаждением в водяной закалке. Пеллеты полимера в идеальном случае имеют такую же массу, что и таблетка, такой же размер поперечного сечения, как и таблетка, и геометрическую форму, которая подобна форме таблетки. Разница между средним значением для пеллет и значением для отдельной пеллеты зависит от применяемого способа получения полимерных пеллет с результирующим значением полидисперсности полимерных пеллет. Предпочтительно полимер на стадии (АР) присутствует в виде пеллет, где пеллеты имеют среднюю массу пеллет выше 20 мг и ниже 330 мг и средний размер поперечного сечения пеллет выше 3 мм и ниже 18 мм. Разница между средним значением для пеллет и отдельной пеллеты зависит от применяемого способа получения полимерных пеллет, например, полученная полидисперсность полимерных гранул. Весьма предпочтительно полимер на стадии (АР) присутствует в виде гранул, при этом гранулы имеют средний вес гранул от 22 до 200 мг и средний размер поперечного сечения от 4 до 15 мм. Смесь таблетка-полимер, полученная на стадии (АР), где полимер находится в форме пеллет, может быть получена и храниться независимо от стадии (BP) или приготовлена непосредственно перед стадией (BP).

Полимерную пеллету, которая является слишком большой, также трудно точно дозировать в полимер. Предпочтительно средняя полимерная пеллета имеет размер поперечного сечения пеллеты более 4 мм и менее 15 мм, очень предпочтительно более 5 мм и менее 13 мм, особенно более 6 мм и менее 12 мм, особенно более 7 мм и менее 11 мм и особенно выше 7 мм и ниже 10 мм.

Предпочтительным является способ получения стабилизированного полимера, в котором полимер на стадии (АР) присутствует в виде пеллет, которые имеют среднюю массу гранул от 22 до 200 мг и средний размер поперечного сечения от 4 до 15 мм.

Предпочтительным является способ получения стабилизированного полимера, в котором полимер, в который дозируют таблетку на стадии (АР), находится в форме пеллет и имеет температуру полимера ниже 37°С.

Определения и предпочтения, описанные для способа получения стабилизированного полимера или его применения, применимы также к дополнительным вариантам осуществления настоящего изобретения.

Еще одним вариантом осуществления настоящего изобретения является смесь таблетка-полимер, содержащая компоненты

(а) таблетка, которая является твердой при 37°С и 101,32 кПа и состоит из

(i) от 60 до 100 мас. % первого полимерного стабилизатора, который представляет собой

(i-1) трис(2,4-дитрет-бутилфенил) фосфит (№CAS 31570-04-4),

(i-2) бис(2,4-дикумилфенил) пентаэритрит дифосфит (№CAS 154862-43-8),

(i-3) бис(2,4-дитрет-бутилфенил)пентаэритрит дифосфит (№CAS 26741-53-7),

(i-4) тетракис-[3-(3,5-дитрет-бутил-4-гидрокси-фенил)-пропионилоксиметил]метан (№CAS 6683-19-8),

(i-5) 3-(3,5-дитрет-бутил-4-гидрокси-фенил)-пропионовой кислоты стеариловый сложный эфир (№CAS 2082-79-3),

(i-6) 3-(3,5-дитрет-бутил-4-гидрокси-фенил)-N-[6-[3-(3,5-дитрет-бутил-4-гидрокси-фенил)пропаноиламино]гексил]пропанамид (№CAS 23128-74-7),

(i-7) 3-(3,5-дитрет-бутил-4-гидроксифенил)-N'-[3-(3,5-дитрет-бутил-4-гидроксифенил)пропаноил]пропангидразид(№CAS 3268-78-8),

(i-8) 2-[2-[2-[3-(3-трет-бутил-4-гидрокси-5-метил-фенил)пропаноилокси]этокси]-этокси]этил 3-(3-трет-бутил-4-гидрокси-5-метил-фенил)пропаноат (№CAS 36443-68-2),

(i-9) 4-[[3,5-бис[(3,5-дитрет-бутил-4-гидрокси-фенил)метил]-2,4,6-триметил-фенил]метил]-2,6-дитрет-бутил-фенол (№CAS 1709-70-2),

(i-10) 1,3,5-трис(3,5-дитрет-бутил-4-гидроксибензил)-1,3,5-триазин-2,4,6(1Н,3Н,5Н)-трион (№CAS 27676-62-6),

(i-11) бис[3,3-бис(4'-гидрокси-3'-трет-бутилфенил) бутановая кислота] гликолевый сложный эфир (№CAS 32509-66-3),

(i-12) N,N-диоктадецилгидроксиламин (№CAS 123250-74-8),

(i-13) додецил 3-(3-додецокси-3-оксо-пропил)сульфанилпропаноат(№CAS 123-28-4),

(i-14) октадецил 3-(3-октадецокси-3-оксо-пропил)сульфанилпропаноат(№CAS 693-36-7),

(i-15) пентаэритрит тетракис[3-додецилтиопропионат] (№CAS 29598-76-3),

(i-16) бис(2,2,6,6-тетраметил-4-пиперидил) декандиоат (№CAS 52829-07-9),

(i-17) (2-гидрокси-4-октокси-фенил)-фенил-метанон (№CAS 1843-05-6),

(i-18) 2-трет-бутил-6-(5-хлорбензотриазол-2-ил)-4-метил-фенол (№CAS 3896-11-5),

(i-19) 2-(4,6-дифенил-1,3,5-триазин-2-ил)-5-гексокси-фенол (№CAS 147315-50-2),

(i-20) 2-[4,6-бис(4-фенилфенил)-1,3,5-триазин-2-ил]-5-(2-этилгексокси)фенол (№CAS 204583-39-1),

(i-21) 2-[4,6-бис(2,4-диметилфенил)-1,3,5-триазин-2-ил]-5-[3-(2-этилгексокси)-2-гидрокси-пропокси]фенол (№CAS 137658-79-8),

(i-22) бутандиовая кислота, 1,4-диметиловый сложный эфир, полимер с 4-гидрокси-2,2,6,6-тетраметил-1-пиперидинэтанол (№CAS 65447-77-0),

(i-23) N,N',N'',N'''-тетракис-(2,4-бис[N-(1-циклогексилокси-2,2,6,6-тетраметилпиперидин-4-ил)-бутиламино]-1,3,5-триазин-6-ил)-1,5,8,12-тетразадодекан (№CAS 122587-07-9),

(i-24) N,N',N'',N'''-Тетракис-(2,4-бис[N-(1-циклогексилокси-2,2,6,6-тетраметилпиперидин-4-ил)-бутиламино]-1,3,5-триазин-6-ил)-1,5,8,12-тетразадодекан (№CAS 106990-43-6),

(i-25) N,N'-бис-(2,4-бис[N-(1-пропокси-2,2,6,6-тетраметилпиперидин-4-ил)-бутиламино]-1,3,5-триазин-6-ил)-N,N'-бис[N-(1-пропокси-2,2,6,6-тетраметилпиперидин-4-ил)]-1,8-диазаоктан (№CAS 1271737-36-0),

(i-26) поли[[6-[бутил(2,2,6,6-тетраметил-4-пиперидинил)амино]-1,3,5-триазин-2,4-диил] [(2,2,6,6-тетраметил-4-пиперидинил)имино]-1,6-гександиил [(2,2,6,6-тетраметил-4-пиперидинил)имино]], α-[[6-[[4,6-бис(дибутиламино)-1,3,5-триазин-2-ил](2,2,6,6-тетраметил-4-пиперидинил)амино]гексил] (2,2,6,6-тетраметил-4-пиперидинил)амино]-ω-[4, 6-бис(дибутиламино)-1,3,5-триазин-2-ил] (№CAS 195300-91-5),

(i-27) поли[[6-[бутил(2,2,6,6-тетраметил-1-пропокси-4-пиперидинил)амино]-1,3,5-триазин-2,4-диил][(2,2,6,6-тетраметил-1-пропокси-4-пиперидинил)имино]-1,6-гександиил[(2,2,6,6-тетраметил-1-пропокси-4-пиперидинил)имино]], α-[[6-[[4,6-бис(дибутиламино)-1,3,5-триазин-2-ил](2,2,6,6-тетраметил-1-пропокси-4-пиперидинил) амино]гексил](2,2,6,6-тетраметил-1-пропокси-4-пиперидинил)амино]-ω-[4,6-бис(дибутил-амино)-1,3,5-триазин-2-ил] (№CAS 297748-93-7),

(i-28) поли[[6-[(1,1,3,3-тетраметилбутил)амино]-1,3,5-триазин-2,4-диил] [(2,2,6,6-тетраметил-4-пиперидинил)имино]-1,6-гександиил[(2,2,6,6-тетраметил-4-пиперидинил) имино]] (№CAS 71878-19-8),

(i-29) тетракис(1,2,2,6,6-пентаметил-4-пиперидил)бутан-1,2,3,4-тетракарбоксилат (№CAS 91788-83-9),

или их смесь,

(ii) от 0 до 40 мас. % второго полимерного стабилизатора, который представляет собой стеарат цинка, стеарат кальция, стеарат магния или их смесь,

(iii) от 0 до 34 мас. % третьего полимерного стабилизатора, который представляет собой оксид цинка, гидроталькит, бензоат натрия или их смесь,

(iv) от 0 до 20 мас. % дополнительного ингредиента, который отличен от первого полимерного стабилизатора, второго полимерного стабилизатора и третьего полимерного стабилизатора,

где сумма компонентов (i), (ii), (iii) и (iv) составляет 100 мас. %,

где таблетка имеет массу выше 20 мг и ниже 330 мг и размер поперечного сечения выше 3 мм и ниже 18 мм, и

(b) полимер, который представляет собой полиолефин, полистирол или их смесь, где полимер находится в форме пеллет и пеллеты имеют среднюю массу пеллеты выше 20 мг и ниже 330 мг и средний размер поперечного сечения пеллеты выше 3 мм и ниже 18 мм, и

где компонент (а) содержится в количестве от 0.01 мас. % до 5 мас. % на основе количества компонента (b).

Другим вариантом осуществления настоящего изобретения является применение таблетки для беспыльного обращения с ее компонентами при производстве стабилизированного полимера, где полимер представляет собой полиолефин, полистирол или их смесь, где таблетка является твердой при 37°С и 101,32 кПа и состоит из

(i) от 60 до 100 мас. % первого полимерного стабилизатора, который представляет собой

(i-1) трис(2,4-дитрет-бутилфенил) фосфит (№CAS 31570-04-4),

(i-2) бис(2,4-дикумилфенил) пентаэритрит дифосфит (№CAS 154862-43-8),

(i-3) бис(2,4-дитрет-бутилфенил)пентаэритрит дифосфит (№CAS 26741-53-7),

(i-4) тетракис-[3-(3,5-дитрет-бутил-4-гидрокси-фенил)-пропионилоксиметил]метан (№CAS 6683-19-8),

(i-5) 3-(3,5-дитрет-бутил-4-гидрокси-фенил)-пропионовой кислоты стеариловый сложный эфир (№CAS 2082-79-3),

(i-6) 3-(3,5-дитрет-бутил-4-гидрокси-фенил)-К-[6-[3-(3,5-дитрет-бутил-4-гидрокси-фенил)пропаноиламино]гексил]пропанамид (№CAS 23128-74-7),

(i-7) 3-(3,5-дитрет-бутил-4-гидроксифенил)-N'-[3-(3,5-дитрет-бутил-4-гидроксифенил)пропаноил]пропангидразид (№CAS 3268-78-8),

(i-8) 2-[2-[2-[3-(3-трет-бутил-4-гидрокси-5-метил-фенил)пропаноилокси]этокси]-этокси]этил 3-(3-трет-бутил-4-гидрокси-5-метил-фенил)пропаноат (№CAS 36443-68-2),

(i-9) 4-[[3,5-бис[(3,5-дитрет-бутил-4-гидрокси-фенил)метил]-2,4,6-триметил-фенил]метил]-2,6-дитрет-бутил-фенол (№CAS 1709-70-2),

(i-10) 1,3,5-трис(3,5-дитрет-бутил-4-гидроксибензил)-1,3,5-триазин-2,4,6(1Н,3Н,5Н)-трион (№CAS 27676-62-6),

(1-11) бис[3,3-бис(4'-гидрокси-3'-трет-бутилфенил) бутановая кислота] гликолевый сложный эфир (№CAS 32509-66-3),

(i-12) N,N-диоктадецилгидроксиламин (№CAS 123250-74-8),

(i-13) додецил 3-(3-додецокси-3-оксо-пропил)сульфанилпропаноат(№CAS 123-28-4),

(i-14) октадецил 3-(3-октадецокси-3-оксо-пропил)сульфанилпропаноат(№CAS 693-36-7),

(i-15) пентаэритрит тетракис[3-додецилтиопропионат] (№CAS 29598-76-3),

(i-16) бис(2,2,6,6-тетраметил-4-пиперидил) декандиоат (№CAS52829-07-9),

(i-17) n(2-гидрокси-4-октокси-фенил)-фенил-метанон (№CAS 1843-05-6),

(i-18) 2-трет-бутил-6-(5-хлорбензотриазол-2-ил)-4-метил-фенол (№CAS 3896-11-5),

(i-19) 2-(4,6-дифенил-1,3,5-триазин-2-ил)-5-гексокси-фенол (№CAS 147315-50-2),

(i-20) 2-[4,6-бис(4-фенилфенил)-1,3,5-триазин-2-ил]-5-(2-этилгексокси)фенол (№CAS 204583-39-1),

(i-21) 2-[4,6-бис(2,4-диметилфенил)-1,3,5-триазин-2-ил]-5-[3-(2-этилгексокси)-2-гидрокси-пропокси]фенол (№CAS 137658-79-8),

(i-22) бутандиовая кислота, 1,4-диметиловый сложный эфир, полимер с 4-гидрокси-2,2,6,6-тетраметил-1-пиперидинэтанол (№CAS 65447-77-0),

(i-23) N,N',N'',N'''-тетракис-(2,4-бис[N-(1-циклогексилокси-2,2,6,6-тетраметилпиперидин-4-ил)-бутиламино]-1,3,5-триазин-6-ил)-1,5,8,12-тетразадодекан (№CAS 122587-07-9),

(i-24) N,N',N'',N'''-Тетракис-(2,4-бис[N-(1-циклогексилокси-2,2,6,6-тетраметилпиперидин-4-ил)-бутиламино]-1,3,5-триазин-6-ил)-1,5,8,12-тетразадодекан (№CAS 106990-43-6),

(i-25) N,N'-бис-(2,4-бис[N-(1-пропокси-2,2,6,6-тетраметилпиперидин-4-ил)-бутиламино]-1,3,5-триазин-6-ил)-N,N'-бис[N-(1-пропокси-2,2,6,6-тетраметилпиперидин-4-ил)]-1,8-диазаоктан (№CAS 1271737-36-0),

(i-26) поли[[6-[бутил(2,2,6,6-тетраметил-4-пиперидинил)амино]-1,3,5-триазин-2,4-диил] [(2,2,6,6-тетраметил-4-пиперидинил)имино]-1,6-гександиил [(2,2,6,6-тетраметил-4-пиперидинил)имино]], α-[[6-[[4,6-бис(дибутиламино)-1,3,5-триазин-2-ил](2,2,6,6-тетраметил-4-пиперидинил)амино]гексил] (2,2,6,6-тетраметил-4-пиперидинил)амино]-ω-[4, 6-бис(дибутиламино)-1,3,5-триазин-2-ил] (№CAS 195300-91-5),

(i-27) поли[[6-[бутил(2,2,6,6-тетраметил-1-пропокси-4-пиперидинил)амино]-1,3,5-триазин-2,4-диил][(2,2,6,6-тетраметил-1-пропокси-4-пиперидинил)имино]-1,6-гександиил[(2,2,6,6-тетраметил-1-пропокси-4-пиперидинил)имино]], α-[[6-[[4,6-бис(дибутиламино)-1,3,5-триазин-2-ил](2,2,6,6-тетраметил-1-пропокси-4-пиперидинил) амино]гексил](2,2,6,6-тетраметил-1-пропокси-4-пиперидинил)амино]-ω-[4,6-бис(дибутил-амино)-1,3,5-триазин-2-ил]- (№CAS 297748-93-7),

(i-28) поли[[6-[(1,1,3,3-тетраметилбутил)амино]-1,3,5-триазин-2,4-диил] [(2,2,6,6-тетраметил-4-пиперидинил)имино]-1,6-гександиил[(2,2,6,6-тетраметил-4-пиперидинил)имино]] (№CAS 71878-19-8),

(i-29) тетракис(1,2,2,6,6-пентаметил-4-пиперидил) бутан-1,2,3,4-тетракарбоксилат (№CAS 91788-83-9),

или их смесь,

(ii) от 0 до 40 мас. % второго полимерного стабилизатора, который представляет собой стеарат цинка, стеарат кальция, стеарат магния или их смесь,

(iii) от 0 до 34 мас. % третьего полимерного стабилизатора, который представляет собой оксид цинка, гидроталькит, бензоат натрия или их смесь,

(iv) от 0 до 20 мас. % дополнительного ингредиента, который отличен от первого полимерного стабилизатора, второго полимерного стабилизатора и третьего полимерного стабилизатора,

где сумма компонентов (i), (ii), (iii) и (iv) составляет 100 мас. %,

где таблетка имеет массу выше 20 мг и ниже 330 мг и размер поперечного сечения выше 3 мм и ниже 18 мм.

На фиг. 1 показана конкретная геометрическая форма таблетки, круглой при виде сверху (слева) и состоящей из двух параллельных линий одинаковой длины в качестве сторон, противостоящих друг другу, и двух выпуклых кривых в качестве сторон, противоположных друг другу (=двояковыпуклая) при виде сбоку (справа). Две параллельные линии при виде сбоку, ограниченные выпуклыми кривыми, нарисованы только для обозначения местоположения круга, показанного при виде сверху.

На фиг. 2 показаны таблетки из примера ТА-1-2 из исходного материала SM-2 с карманной линейкой, включающей сантиметровую/миллиметровую шкалу на заднем плане. Фиг. 2 представляет собой увеличенный участок из фиг. 7.

На фиг. 3 показаны таблетки из примера ТА-1-3 из исходного материала SM-3 с карманной линейкой, включающей сантиметровую/миллиметровую шкалу на заднем плане. Фиг. 3 представляет собой увеличенный участок из фиг. 6.

На фиг. 4 показаны хлопья, как описано в Е-1), из исходного материала SM-3 с карманной линейкой, включающей сантиметровую/миллиметровую шкалу на заднем плане. Фиг. 4 представляет собой увеличенный участок из фиг. 6.

На фиг. 5 показаны пастилки, как описано в Е-2), из исходного материала SM-2 с карманной линейкой, включающей сантиметровую/миллиметровую шкалу на заднем плане. Фиг. 5 представляет собой увеличенный участок из фиг. 7.

На фиг. 6 показаны таблетки из примера ТА-1-3 (слева) и хлопья, как описано в Е-1) (справа) из исходного материала SM-3 с карманной линейкой, включающей сантиметровую/миллиметровую шкалу на заднем плане.

На фиг. 7 показаны таблетки из примера ТА-1-2 (слева) и пастилки, как описано в Е-2) (справа) из исходного материала SM-2 с карманной линейкой, включающей сантиметровую/миллиметровую шкалу на заднем плане.

Следующие примеры дополнительно иллюстрируют настоящее изобретение, не ограничивая его. Процентные значения являются массовыми процентами, если не указано иное.

А) Способы получения характеристик

Средний размер частиц определяют, если не указано иное, с помощью Mastersizer 2000 от компании Malvern Panalytical посредством светорассеяния. Анализ выполняли на основе модели рассеяния Ми и Фраунгофера при давлении сухой дисперсии 0,2 бар.

Размер частиц материалов, содержащих частицы >0,8 мм, можно также измерить с помощью вибрационного просеивателя (например, вибрационного просеивателя Fritsch Analysette А-3, модель «PRO») с ситами в диапазоне от 0,1 мм до 4,0 мм в зависимости от крупной фракции материала. Время просеивания 1 минута, амплитуда просеивания 1 мм.

Насыпная плотность измеряется в соответствии с DIN EN ISO 17892-3.

Масса таблетки (m), диаметр таблетки (d), высота таблетки (h) и прочность на боковое сжатие (SCS) одной и той же таблетки охарактеризованы с помощью имеющегося в продаже оборудования для определения твердости таблеток 4 в 1, т.е. PharmaTest WHT2 от компании Pharma Test Apparatebau AG. Прочность на растяжение (а) при поперечном сжатии таблетки [в МПа] рассчитывается по формуле

σ=2⋅SCS-106/π⋅d⋅h.

Испытание Норнера на истирание представляет собой испытание с использованием вибрационного просеивателя и стеклянных шариков для механической обработки испытуемой формы. Первоначальный ситовой анализ проводят в течение 1 минуты с последующим дальнейшим просеиванием с использованием стеклянных шариков на ситовых деках для механического воздействия на материал и измерения изменения ситовых фракций через 5, 10 и 20 минут. Выбранные сита расположены снизу вверх: 200 мкм, 500 мкм, 1 мм, 1,6 мм, 2,5 мм и 4 мм. Используемые стеклянные шарики (компания Sigmund Lindner GmbH, тип Р) имеют размеры 16 мм±0,02 мм, вес 5,36 г/стеклянный шарик и изготовлены из натриево-кальциевого стекла с тонкой матовой поверхностью.

Процедура тестирования следующая:

1. В просеивающее устройство без стеклянных шариков загружают 50 г пробы и проводят просеивание с амплитудой 1 мм в течение 1 минуты. Измеряют массу на каждой ситчатой тарелке и сите.

2. Добавляют 8 стеклянных шариков на сито 500 мкм; 9 стеклянных шариков на сито 1,0 мм, 10 на сите 1,6 мм и 11 на сито 2,5 мм. Продолжают просеивание в течение 5 минут, затем измеряют массу на каждой ситчатой тарелке и сите.

3. Продолжают просеивать еще 5 минут, повторяют процедуру взвешивания.

4. Продолжают просеивать еще 10 минут, повторяют процедуру взвешивания.

В качестве просеивающего устройства используется система управления Retsch Sieve Shaker AS 200 от компании Retsch GmbH.

Общие тонкие частицы представляют собой сумму всего материала, собранного с нижней пластины, сита с размером отверстий 200 мкм и сита с размером ячеек 500 мкм. Соответственно, фрагменты образца, образующиеся под действием трения и проходящие через сито с размером 500 мкм (<500 мкм), считаются мелкими частицами. Доля размера частиц в мас. %<500 мкм через 20 минут является ключевым результатом (значение Норнера) для определения сопротивления истиранию и ударопрочности тестируемой формы. Диапазон результатов может варьироваться от 0% для очень стабильного до 100% для крайне нестабильного.

Анализ методом дифференциальной сканирующей калориметрии (DSC) проводят при постоянной скорости нагревания 20 К/мин.

Индекс текучести расплава полимера измеряют в соответствии с ISO 1133 на устройстве Goettfert MI-Robo со специально установленными параметрами.

Индекс желтизны (YI) измеряется в соответствии с DIN 6167, а дельта Е индекса желтизны (YI) измеряется в соответствии с DIN 6174.

В) исходный материал

SM-1: Irganox 1010

Irganox 1010 (ТМ, коммерчески доступен от BASF SE, диапазон плавления 110-125°С), который содержит тетракис-[3-(3,5-дитрет-бутил-4-гидрокси-фенил)-пропионил-оксиметил]метан (№CAS 6683-19-8) как показано ниже,

в виде порошка, т.е. рыхлого сыпучего материала с объемной плотностью 643 г/л и средним размером частиц 260 мкм.

SM-2: Irganox 1076

Irganox 1076 (ТМ, коммерчески доступен от BASF SE, диапазон плавления 50-55°С), который содержит 3-(3,5-дитрет-бутил-4-гидрокси-фенил)-пропионовой кислоты стеариловый сложный эфир (№CAS 2082-79-3) как показано ниже

в виде порошка, т.е. рыхлого сыпучего материала с объемной плотностью 520 г/л и средним размером частиц 748 мкм.

SM-3: Irgafos 168

Irgafos 168 (ТМ, коммерчески доступен от BASF SE, диапазон плавления 180-183°С), который содержит трис(2,4-дитрет-бутилфенил) фосфит (№CAS 31570-04-4) как показано ниже

в виде порошка, т.е. рыхлого сыпучего материала с объемной плотностью 467 г/л и средним размером частиц 400 мкм.

SM-4: Irganox MP 1024

Irganox MD 1024 (ТМ, коммерчески доступен от BASF SE, диапазон плавления 221-232°С), который содержит 3-(3,5-дитрет-бутил-4-гидроксифенил)-N'-[3-(3,5-дитрет-бутил-4-гидроксифенил)пропаноил]пропангидразид (№CAS 32687-78-8) как показано ниже

в виде порошка, т.е. рыхлого сыпучего материала с объемной плотностью 384 г/л и средним размером частиц 46 мкм.

SM-5: Irganox 3114

Irganox 3114 (ТМ, коммерчески доступен от BASF SE, диапазон плавления 218-223°С), который содержит 1,3,5-трис(3,5-дитрет-бутил-4-гидроксибензил)-1,3,5-триазин-2,4,6(1Н,3Н,5Н)-трион (№CAS 27676-62-6) как показано ниже

в виде порошка, т.е. рыхлого сыпучего материала с объемной плотностью 561 г/л и средним размером частиц 82 мкм.

SM-6: Tinuvin 770

Tinuvin 770 (ТМ, коммерчески доступен от BASF SE, диапазон плавления 81-85°С), который содержит бис(2,2,6,6-тетраметил-4-пиперидил) декандиоат (№CAS52829-07-9) как показано ниже

в виде порошка, т.е. рыхлого сыпучего материала с объемной плотностью 586 г/л и средним размером частиц 347 мкм.

SM-7: стеарат цинка

Стеарат цинка (коммерчески доступен, диапазон плавления около 123°С, №CAS 557-05-1) в виде порошка, т.е. рыхлого сыпучего материала с объемной плотностью 470 г/л и средним размером частиц 21 мкм.

SM-8: стеарат кальция

Стеарат кальция (коммерчески доступен, диапазон плавления 140-160°С, №CAS 1592-23-0) в виде порошка, т.е. рыхлого сыпучего материала с объемной плотностью 521 г/л и средним размером частиц 325 мкм.

SM-9: оксид цинка

Оксид цинка (коммерчески доступен, диапазон плавления >400°С, №CAS 1314-13-2) в виде порошка, т.е. рыхлого сыпучего материала с объемной плотностью 880 г/л и средним размером частиц 22 мкм.

SM-10: смесь SM-1 (50) и SM-3 (50)

SM-10 получают в виде порошка путем смешивания 50 мас. % SM -1 (Irganox 1010) и 50 мас. % CM-SM (Irganox 168) в свободнопадающем или барабанном смесителе, т.е. смеситель фирмы J. Engelsmann AG, заполненном на 50% объема барабана, при 40 об/мин в течение 10 мин при 25°С. Размер образца 250 г. Диапазон плавления SM-10 выше 37°С при 101,32 кПа.

Далее готовят смеси исходных материалов, т.е. SM-11, SM-12, SM-13, SM-14, SM-15, SM-16, SM-17, SM-18, SM-19 и SM-20, тем же методом, что и исходную смесь SM-10, отличающиеся только составом, если не указано иное. Диапазоны плавления выше 37°С при 101,32 кПа.

SM-11: смесь SM-3 (80) и SM-2 (20)

SM-11 получают в форме порошка путем смешивания 80 мас. % SM-3 (Irgafos 168) и 20 мас. % SM-2 (Irganox 1076).

SM-12: смесь SM-1 (33) и SM-3 (67)

SM-12 получают в форме порошка путем смешивания 33 мас. % SM-1 (Irganox 1010) и 67 мас. % SM-3 (Irgafos 168).

SM-13: смесь SM-1 (18.8). SM-3 (18.8) и SM-6 (62.4)

SM-13 получают в форме порошка путем смешивания 18.8 мас. % SM-1 (Irganox 1010), 18.8 мас. % SM-3 (Irgafos 168) и 62.4 мас. % SM-6 (Tinuvin 770).

SM-14: смесь SM-3 (84) и SM-4 (16)

SM-14 получают в форме порошка путем смешивания 84 мас. % SM-3 (Irgafos 168) и 16 мас. % SM-4 (Irganox MD 1024).

SM-15: смесь SM-1 (50) и SM-2 (50)

SM-15 получают в форме порошка путем смешивания 50 мас. % SM-1 (Irganox 1010) и 50 мас. % SM-4 (Irganox 1076).

SM-16: смесь SM-3 (78.4) и SM-5 (21.6)

SM-16 получают в форме порошка путем смешивания 78.4 мас. % SM-3 (Irgafos 168) и 21.6 мас. % SM-5 (Irganox 3114).

SM-17: смесь SM-3 (67) и SM-2 (33)

SM-17 получают в форме порошка путем смешивания 67 мас. % SM-3 (Irgafos 168) и 33 мас. % SM-2 (Irganox 1076).

SM-18: смесь SM-1 (24), SM-3 (48) и SM-8 (28)

SM-18 получают в форме порошка путем смешивания 24 мас. % SM-1 (Irganox 1010), 48 мас. % SM-3 (Irgafos 168) и 28 мас. % SM-8 (стеарат кальция).

SM-19: смесь SM-1 (20), SM-3 (60) и SM-7 (20)

SM-19 получают в форме порошка путем смешивания 20 мас. % SM-1 (Irganox 1010), 60 мас. % SM-3 (Irgafos 168) и 20 мас. % SM-7 (стеарат цинка).

SM-20: смесь SM-2 (66.7) и SM-9 (33.3)

SM-20 получают в форме порошка путем смешивания 66.7 мас. % SM-2 (Irganox 1076) и 33.3 мас. % SM-9 (оксид цинка).

С) таблетирование исходного материала

ТА-1: таблетирование SM-1 в SM-3 и SM-10 в SM-20 на эксцентриковом таблеточном прессе

Используемый таблеточный пресс представляет собой эксцентриковый таблеточный пресс с одной полостью для прессования (так называемый однопуансонный пресс), т.е. модель ХР1 фирмы Korsch AG. На модели ХР1 установлены пуансоны типа EU D (Ев-ростандарт) биплана 6 мм и соответствующая матрица. Все примеры таблетирования из таблицы С-1-1 со всеми их стадиями происходят при комнатной температуре в диапазоне 20 25°С. Никакая внешняя тепловая энергия не передается исходному материалу во время таблетирования. Исходный материал, указанный в таблице С-1-1, имеющий комнатную температуру и находящийся в твердой форме, загружают в загрузочный башмак модели ХР1. Открытая полость, образованная матрицей и нижним пуансоном, через питающий башмак заполняется исходным материалом. Второй пуансон закрывает заполненную полость. На следующей стадии прессования, проводимой при комнатной температуре, пуансоны движутся навстречу друг другу, и достигается давление сжатия. Это приводит к образованию таблетки путем уплотнения исходного материала в полости, образованной матрицей и двумя пуансонами. Сформированную таблетку удаляют непосредственно после удаления одного пуансона и выброса через другой пуансон. Извлеченная таблетка имеет комнатную температуру непосредственно после извлечения. Применяемые параметры таблеточных прессов модели ХР1 для соответствующего исходного материала указаны в таблице С-1. Параметры таблеток, полученных на ТА-1, указаны в таблице С-2.

Положение пуансонов задается вручную для каждого SM в зависимости от таких факторов, как сыпучий материал продукта и поведение потока при заполнении матрицы. Цель состоит в том, чтобы получить таблетку с высотой таблетки не менее 2,5 мм.

Параметры таблеток, полученных на ТА-1, указаны в таблице С-2. Фотографии таблеток из ТА-1-2 и ТА-1-3 изображены на фиг.2/фиг.7 и фиг. 3/фиг. 6.

D) Дифференциальная сканирующая калориметрия таблетки

Дифференциальная сканирующая калориметрия (DSC) проводится для определения поведения при плавлении. Характеристики плавления исходных материалов и таблеток из исходных материалов сравниваются, как показано в таблице D-1.

Таблица D-1 показывает, что не наблюдается значительного изменения поведения расплава, определенного методом DSC для исходных материалов SM-10 (смесь 50 мас. % SM-1 [Irganox 1010]) и 50 мас. % SM-3 [Irgafos]. 168]) и SM -16 (смесь 78,4% СМ-3 [Irgafos 168] и 21,6 мас. % SM -5 [Irganox 3114]) и таблетки ТА-1-4 из СМ-10 и ТА-1- 10 из SM -16. Если исходные материалы SM -10 и SM -16 в виде порошка один раз расплавить и снова охладить, то наблюдается только фаза стеклования при 39°С. Отсутствие существенного изменения поведения расплава у таблеток ТА-1-4 и ТА-1-10 свидетельствует об отсутствии воздействия внешней тепловой энергии.

Е) получение форм, отличных от таблетки Е-1): хлопья из процесса уплотнения валков

Исходные материалы SM-1, SM-3 и SM-10 подвергают агломерации прессованием посредством процесса уплотнения валками для получения сравнимых хлопьев. Соответствующий исходный материал в виде порошка в бункере принудительно подается через подающий шнек в зону уплотнения. Зона уплотнения образована оставшимся зазором между двумя валками со слегка поцарапанными поверхностями, вращающимися навстречу друг другу. Подходящим лабораторным катком является, например, модель WP 50N/75 (диаметр ролика: 150 мм, длина ролика: 75 мм, максимальная мощность пресса: 12,8 т, максимальная линейная нагрузка: 1,71 т/см) от компании Alexanderwerk GmbH, Германия. Уплотненный исходный материал, выходящий из зоны уплотнения в виде пластин, гранулируется с помощью ситчатого гранулятора с образованием сыпучих хлопьев. Подходящим ситовым гранулятором является модель GLA-ORV-0215 фирмы Frewitt Ltd, Швейцария. На этой стадии пластины гранулируют на фрагменты с помощью сита с размером ячеек 4 мм, выступающего в качестве экрана. Эти фрагменты размером менее 4 мм дополнительно просеивают на 2 категории с помощью сита с размером ячеек 1 мм, действующего как сито. Получают две просеянные фракции, т.е. желаемые хлопья и мелкие фракции. Соответственно, мелкие фракции представляют собой фрагменты размером менее 4 мм, которые также проходят через сито с размером ячеек 1 мм. В зависимости от исходной твердости пластин просеиваемая мелкая фракция составляет от 10 мас. % до 30 мас. % исходного материала. Эту просеянную мелкую фракцию необходимо снова уплотнить валками. В процессе уплотнения валками механическое напряжение, прикладываемое валками к исходному материалу, является единственным источником энергии, воздействующей на исходный материал во время уплотнения. При валковом уплотнении, в том числе и при грануляции ситовым гранулятором, дополнительного внешнего теплообмена не происходит.У плотните льны е валки охлаждаются, чтобы избежать прилипания материала к поверхности. Роликовое прессование SM-1, SM-3 и SM-10 происходит при атмосферном давлении с температурой от 20°С до 30°С. В таблице Е-1 показаны полученные средние размеры частиц и объемная плотность.

Изображение хлопьев из SM-3 представлено на фиг. 4/фиг. 6. Изображение на фиг. 6 показывает, что хлопья, полученные методом вальцевания из SM-3, имеют менее определенную форму по сравнению с таблетками из SM-3.

Е-2): пастилки из процесса гранулирования в ротоформе

Для сравнения, исходный материал SM-2 уплотняют методом ротоформной грануляции с получением сравнительных пастилок. Исходный материал SM-2 поступает непосредственно из Синтеза в виде расплава. Расплав обрабатывается в скребковом охладителе для образования зародышей кристаллов, которые необходимы для инициации кристаллизации в процессе грануляции в ротоформе. Насос подает расплавленный продукт в систему ротоформования (например, от IPCO, ранее Sandvik) по нагретым трубам. Сама ро-тоформа состоит из нагреваемого цилиндрического статора, в который подается жидкий продукт, и перфорированной вращающейся оболочки, вращающейся концентрически вокруг статора. Капли продукта наносятся соплом по всей рабочей ширине непрерывно движущейся ленты из нержавеющей стали. Скорость вращения ротора синхронизирована со скоростью ленты, что позволяет аккуратно наносить капли жидкости на движущуюся ленту. Ремень охлаждается водой, распыляемой под ним. Капли продукта затвердевают или кристаллизуются на охлаждающей ленте, и получаются пастилки. Полученные пастилки имеют диаметр около 5 мм и высоту от 0,5 до 1 мм.

Изображение пастилок из SM-2 изображено на фиг. 5/фиг. 7. Изображение на фиг. 7 показывает, что пастилки из SM-2 имеют менее определенную форму по сравнению с таблетками из SM-2.

F) сравнение сопротивления истиранию

Для сравнения сопротивления истиранию таблетки, полученные из исходного материала, сравнивают по сопротивлению истиранию со сравнительными хлопьями, полученными на стадии Е-1), как показано в таблице F-1.

Таблица F-1 показывает, что исходные материалы SM-1, SM-3 и SM-10 в форме таблетки более устойчивы к истиранию, чем в форме хлопьев.

Для сравнения сопротивления истиранию таблетки, полученные из исходного материала, сравнивают по сопротивлению истиранию со сравнительными таблетками, полученными в Е-2, как показано в таблице F-2.

Таблица F-2 показывает, что исходный материал SM-2 в форме таблетки более устойчив к истиранию, чем в форме пастилки.

G) стабилизация линейного полиэтилена низкой плотности

G-1) введение полимерного стабилизатора в линейный полиэтилен низкой плотности

Смесь линейного полиэтилена низкой плотности в форме пеллет и стабилизатора в форме таблеток сравнивают со смесью линейного полиэтилена низкой плотности в форме порошка и стабилизатора в форме порошка

Линейный полиэтилен низкой плотности в виде пеллет:

LLDPE (Dowlex SC 2108G (ТМ Dow Chemicals), индекс текучести расплава (230°С/2,16 кг) 2,6 г/10 мин, размер пеллет: средний диаметр 3,7 мм, средняя высота 4,0 мм, средняя масса пеллет 33 мг)

Линейный полиэтилен низкой плотности в виде порошка:

LLDPE (Dowlex SC 2108G (ТМ Dow Chemicals), пеллеты, измельченные с помощью мельницы Паллмана до порошка со средним размером частиц, определенным Camsizier Р4: D50=1,1 мм, D90=1,9 мм)

Для получения смеси с массовым соотношением, показанным в таблице G-1, LLDPE в форме пеллет смешивают с соответствующей таблеткой в смесителе Roehnrad Elite 650 при комнатной температуре. LLDPE в виде порошка смешивают со стабилизатором или смесью стабилизаторов в виде порошка, т.е. с исходным материалом, как описано в В), в барабанном смесителе при комнатной температуре.

Соответствующую смесь полимерных стабилизаторов, как показано в таблице G-1, смешивают в двухшнековом экструдере (Collin 25/42 L/D) при 190°С под азотной подушкой и гранулируют. Получены пеллеты стабилизированного линейного полиэтилена низкой плотности.

G-2) получение из стабилизированного линейного полиэтилена низкой плотности Свойства текучести расплава полученных гранул из стабилизированного линейного

полиэтилена низкой плотности измеряют при 190°С/2,16 кг (индекс текучести расплава в соответствии с ISO 1133), и результаты показаны в таблице G-1.

Таблица G-1 показывает, что измеренный показатель текучести расплава пеллет стабилизированного линейного полиэтилена низкой плотности, полученного из смеси пеллет и таблеток, находится в том же диапазоне, что и показатель текучести пеллет стабилизированного линейного полиэтилена низкой плотности, полученных из смеси порошок-порошок.

Н) стабилизация полипропилена

Н-1) введение стабилизатора полимера в полипропилен

Смесь полипропилена в форме пеллет и стабилизатора в форме таблеток сравнивают со смесью полипропилена в форме порошка и стабилизатора в форме порошка. Полипропилен в виде пеллет:

РР (HD 120 МО компании Borealis, фирмы Borealis, показатель текучести расплава (230°С/2,16 кг) 8,0 г/10 мин, размер пеллет: средний диаметр 3,3 мм, средняя высота 4,3 мм, средняя масса пеллет 25 мг)

Полипропилен в виде порошка:

PP (HD 120 МО фирмы Borealis, пеллет измельчены на мельнице Паллмана до порошка со средним размером частиц, определенным Camsizier Р4: D50=1,1 мм, D90=1,6 мм)

Для получения композиции с массовым соотношением, показанным в таблице Н-1, полипропилен в форме пеллет смешивают с соответствующей таблеткой в смесителе Roehnrad Elite 650 при комнатной температуре. РР в виде порошка смешивают со стабилизатором или смесью стабилизаторов в виде порошка, т.е. с исходным материалом, как описано в пункте В), в барабанном смесителе при комнатной температуре.

Соответствующая смесь полимерных стабилизаторов, показанная в таблице Н-1, компаундируется в двухшнековом экструдере (Collin 25/42 L/D) при 230°С в атмосфере азота и гранулируется. Получают пеллеты стабилизированного полипропилена.

Н-2) эффективность стабилизированного полипропилена

Свойства текучести расплава полученных пеллет стабилизированного полипропилена измеряли при 230°С/2,16 кг (индекс текучести расплава в соответствии с ISO 1133), и результаты показаны в таблице Н-1.

Таблица Н-1 показывает, что измеренный показатель текучести расплава стабилизированных полипропиленовых пеллет, полученных из смеси пеллет и таблеток, находится в том же диапазоне, что и показатель текучести стабилизированных полипропиленовых пеллет, полученных из смеси порошок-порошок.

I) стабилизация ABS полимера

1-1) введение полимерного стабилизатора в полимер

Смесь полимера ABS (акрилонитрил-бутадиен-стирол) в форме пеллет и стабилизатора в форме таблеток сравнивают со смесью полимера ABS в виде порошка и стабилизатора в виде порошка.

ABS-полимер в виде пеллет:

ABS-полимер (Terluran GP-22 (торговая марка Styrolution), индекс текучести расплава пеллет (220°С/10 кг) 19,0 г/10 мин, размер пеллет: средний диаметр 3,3 мм, средняя высота 4,6 мм, средняя масса пеллет 30 мг)

ABS полимер в виде порошка:

ABS-полимер (Terluran GP-22 (торговая марка Styrolution), пеллеты, измельченные на мельнице Палмана до порошка со средним размером частиц, определенным Camsizier Р4: D50=0,7 мм, D90=1,2 мм, показатель текучести расплава порошка (220°С/10 кг) 20,5 г/10 мин)

Отмечено, что измельчение пеллет ABS-полимера до состояния порошка приводит к деградации, о чем свидетельствует показатель текучести расплава, равный 20,5 для порошка по сравнению с 19,0 для пеллет. Более высокий индекс текучести расплава указывает на более низкую вязкость нагретого полимера и, таким образом, например, на разложение длинной полимерной цепи на более мелкие полимерные цепи.

Для получения композиции с массовым соотношением, показанным в таблице 1-1, ABS-полимер в форме пеллет смешивают с соответствующей таблеткой в смесителе Roehnrad Elite 650 при комнатной температуре. ABS-полимер в виде порошка смешивают со стабилизатором или смесью стабилизаторов в виде порошка, т.е. с исходным материалом, как описано в пункте В), в барабанном смесителе при комнатной температуре. Смесь пеллет и таблеток и смесь порошок-порошок сушат перед компаундированием в течение 3 ч при 80°С (Vacutherm 1600).

Соответствующую смесь полимерных стабилизаторов, показанную в таблице 1-1, смешивают в двухшнековом экструдере (Collin 25/42 L/D) при 230°С в атмосфере азота и пеллетируют.Получают пеллеты стабилизированного ABS-полимера. Пеллеты стабилизированного ABS-полимера сушат перед дальнейшей обработкой в течение 3 ч при 80°С (Heliomat 2000 6К).

Высушенные пеллеты стабилизированного ABS-полимера подвергают литью под давлением при температуре 230°С для получения ударных стержней размером 65×10×2 мм (Engele-mac 100).

Высушенные пеллеты стабилизированного ABS-полимера подвергают прессованию при температуре 230°С в течение 3 мин с получением пластин (Suter LP 322, пластины толщиной 2 мм).

1-2) эффективность стабилизированного ABS-полимера

Свойства текучести расплава полученных пеллет стабилизированного ABS-полимера измеряют при 220°С/10 кг (индекс текучести расплава в соответствии с ISO 1133), и результаты показаны в таблице 1-1.

Таблица 1-1 показывает, что наземный ABS всегда показывает MFI примерно на одну единицу выше. Это связано со стадией измельчения. Кроме того, в диапазоне +/- 0,2 единицы текучесть расплава примеров согласно изобретению по сравнению с соответствующим сравнительным примером находится в том же диапазоне.

Для атмосферного воздействия пластины толщиной 2 мм подвергают искусственному атмосферному воздействию согласно DIN EN IS04892-2, цикл 1 (сухой), как показано в таблице 1-2. Изменение цвета пластин определяют путем измерения индекса желтизны и дельты Е индекса желтизны, как показано в таблице 1-2, после установленных периодов времени искусственного атмосферного воздействия.

Таблица I-2 показывает, что поведение в отношении обесцвечивания, измеренное с помощью индекса желтизны и дельты Е примера согласно изобретению по сравнению со сравнительным примером, находится в том же диапазоне.

Похожие патенты RU2830535C2

название год авторы номер документа
АДДИТИВНАЯ СМЕСЬ ДЛЯ СТАБИЛИЗАЦИИ ПОЛИОЛА И ПОЛИУРЕТАНА 2017
  • Вегманн Алекс
  • Тартарини Чинциа
RU2732401C2
ПОЛИПРОПИЛЕНОВАЯ КОМПОЗИЦИЯ 2019
  • Вейланд, Таниа
  • Бертэ, Мари Лор
  • Хербст, Хайнц
RU2815313C2
КОМПОЗИЦИЯ ДЛЯ ИЗДЕЛИЙ И ПОКРЫТИЙ 2002
  • Шриннер Керстин
  • Хантопулос Паскаль
RU2286361C2
ПРОИЗВОДНЫЕ ИЗОИНДОЛО[2,1-а]ХИНАЗОЛИНА ДЛЯ СТАБИЛИЗАЦИИ ОРГАНИЧЕСКИХ МАТЕРИАЛОВ 2013
  • Хельцль Вернер
  • Ротцингер Бруно
RU2637807C2
ИНКАПСУЛИРОВАННЫЕ КОМПОЗИЦИИ НА ОСНОВЕ СТАБИЛИЗАТОРА 2016
  • Тейхейс Динанд
  • Тейхейс Эрвин
  • Козакевич Джозеф
  • Энг Джерри Мон Хей
  • Гупта Рам Б.
  • Вэнзин Дэвид
  • Мажмудар Шаилеш
RU2679252C1
ИЗДЕЛИЯ ИЗ ПОЛИЭТИЛЕНА ИЛИ ПОЛИПРОПИЛЕНА 2019
  • Вейланд, Таниа
  • Хербст, Хайнц
  • Бертэ, Мари Лор
RU2820503C2
СМАЧИВАЕМЫЕ ПОЛИОЛЕФИНОВЫЕ ВОЛОКНА И ТКАНИ 2001
  • Ли Шэншин
  • Леггио Эндрью Джозеф
  • Мензи Джордж Х.
  • Девор Дейвид
  • Макнамара Джон Джеймс
  • Юй Тахуа
  • Хорси Даглас Уэйн
RU2280111C2
Стабилизированный полиолефин, полученный ротационным формованием 2019
  • Сиглер, Джон
RU2831778C2
ФЕНОЛЬНЫЕ АНТИОКСИДАНТЫ В КРИСТАЛЛИЧЕСКОЙ ФОРМЕ 2003
  • Рем Даниель
  • Шэфтер Иоганнес
  • Ван-Дер-Саф Паул- Адриан
  • Гуккель Кристиан
RU2362764C2
СТАБИЛИЗАЦИЯ ЦВЕТА ПРОБКИ И ОКРАШЕННОЙ ДРЕВЕСИНЫ СОВМЕСТНЫМ ПРИМЕНЕНИЕМ НЕОРГАНИЧЕСКИХ И ОРГАНИЧЕСКИХ ПОГЛОТИТЕЛЕЙ УФ-ЛУЧЕЙ 2006
  • Шаллер Кристиан Маркус
  • Мейер Рафаэль
RU2438864C2

Иллюстрации к изобретению RU 2 830 535 C2

Реферат патента 2024 года ТАБЛЕТИРОВАНИЕ СПЕЦИФИЧЕСКИХ ПОЛИМЕРНЫХ СТАБИЛИЗАТОРОВ

Группа изобретений относится к полимерным стабилизаторам. Способ получения таблетки включает стадии: заполнение исходным материалом, находящимся в твердой форме, первой открытой полости, которая образована первым пуансоном и матрицей, с получением второй открытой полости, которая по меньшей мере частично заполнена исходным материалом, закрытие второй открытой полости вторым пуансоном с получением первой закрытой полости, прессование исходного материала при температуре прессования ниже 37°C путем перемещения по меньшей мере одного из первого пуансона и второго пуансона с получением второй закрытой полости, которая имеет меньший объем, чем первая закрытая полость, что приводит к образованию захваченной таблетки исходного материала во второй закрытой полости, удаление захваченной таблетки с получением таблетки, которая имеет температуру таблетки ниже 37°C непосредственно после удаления, где стадии проводят в таблеточном прессе, где исходный материал является твердым при 37°C и 101,32 КПа и состоит из 60-100 мас.% первого полимерного стабилизатора, 0-40 мас.% второго полимерного стабилизатора, который представляет собой стеарат цинка, стеарат кальция, стеарат магния или их смесь, 0-34 мас.% третьего полимерного стабилизатора, который представляет собой оксид цинка, гидроталькит, бензоат натрия или их смесь, 0-20 мас.% дополнительного ингредиента, который отличен от первого, второго и третьего полимерного стабилизатора; связующего, которое представляет собой молекулу, содержащую алкильную или алкенильную группу с более чем 14 атомами углерода; микроцеллюлозы; углевода; SiO2; кремний-содержащего вещества; неорганического вещества; ионной соли и красителя, где таблетка имеет массу выше 20 мг и ниже 330 мг и размер поперечного сечения выше 3 мм и ниже 18 мм. Также раскрыты таблетка полимерного стабилизатора, способ получения стабилизированного полимера, смесь таблетка-полимер, применение таблетки для беспыльного обращения с ее компонентами при производстве стабилизированного полимера. Группа изобретений обеспечивает беспыльное обращение с компонентами при производстве стабилизированного полимера. 5 н. и 27 з.п. ф-лы, 7 ил., 11 табл., 9 пр.

Формула изобретения RU 2 830 535 C2

1. Способ получения таблетки, который включает стадии

(A) заполнение исходным материалом, находящимся в твердой форме, первой открытой полости, которая образована первым пуансоном и матрицей, с получением второй открытой полости, которая по меньшей мере частично заполнена исходным материалом,

(B) закрытие второй открытой полости вторым пуансоном с получением первой закрытой полости,

(C) прессование исходного материала при температуре прессования ниже 37°C путем перемещения по меньшей мере одного из первого пуансона и второго пуансона с получением второй закрытой полости, которая имеет меньший объем, чем первая закрытая полость, что приводит к образованию захваченной таблетки исходного материала во второй закрытой полости,

(D) удаление захваченной таблетки с получением таблетки, которая имеет температуру таблетки ниже 37°C непосредственно после удаления,

где стадии (A), (B), (C) и (D) проводят в таблеточном прессе,

где исходный материал является твердым при 37°C и 101,32 кПа и состоит из

(i) от 60 до 100 мас.% первого полимерного стабилизатора, который представляет собой

(i-1) трис(2,4-дитрет-бутилфенил) фосфит (№ CAS 31570-04-4),

(i-2) бис(2,4-дикумилфенил) пентаэритрит дифосфит (№ CAS 154862-43-8),

(i-3) бис(2,4-дитрет-бутилфенил)пентаэритрит дифосфит (№ CAS 26741-53-7),

(i-4) тетракис-[3-(3,5-дитрет-бутил-4-гидрокси-фенил)-пропионил-оксиметил]метан (№ CAS 6683-19-8),

(i-5) 3-(3,5-дитрет-бутил-4-гидрокси-фенил)-пропионовой кислоты стеариловый сложный эфир (№ CAS 2082-79-3),

(i-6) 3-(3,5-дитрет-бутил-4-гидрокси-фенил)-N-[6-[3-(3,5-дитрет-бутил-4-гидрокси-фенил)пропаноиламино]гексил]пропанамид (№ CAS 23128-74-7),

(i-7) 3-(3,5-дитрет-бутил-4-гидроксифенил)-N'-[3-(3,5-дитрет-бутил-4-гидроксифенил)пропаноил]пропангидразид (№ CAS 3268-78-8),

(i-8) 2-[2-[2-[3-(3-трет-бутил-4-гидрокси-5-метил-фенил)пропаноилокси]этокси]этокси]этил 3-(3-трет-бутил-4-гидрокси-5-метил-фенил)пропаноат(№ CAS 36443-68-2),

(i-9) 4-[[3,5-бис[(3,5-дитрет-бутил-4-гидрокси-фенил)метил]-2,4,6-триметил-фенил]метил]-2,6-дитрет-бутил-фенол (№ CAS 1709-70-2),

(i-10) 1,3,5-трис(3,5-дитрет-бутил-4-гидроксибензил)-1,3,5-триазин-2,4,6(1H,3H,5H)-трион (№ CAS 27676-62-6),

(i-11) бис[3,3-бис(4'-гидрокси-3'-трет-бутилфенил)бутановая кислота]гликолевый сложный эфир (№ CAS 32509-66-3),

(i-12) N,N-диоктадецилгидроксиламин (№ CAS 123250-74-8),

(i-13) додецил 3-(3-додецокси-3-оксо-пропил)сульфанилпропаноат(№ CAS 123-28-4),

(i-14) октадецил 3-(3-октадецокси-3-оксо-пропил)сульфанилпропаноат(№ CAS 693-36-7),

(i-15) пентаэритрит тетракис[3-додецилтиопропионат] (№ CAS 29598-76-3),

(i-16) бис(2,2,6,6-тетраметил-4-пиперидил) декандиоат (№ CAS 52829-07-9),

(i-17) (2-гидрокси-4-октокси-фенил)-фенил-метанон (№ CAS 1843-05-6),

(i-18) 2-трет-бутил-6-(5-хлорбензотриазол-2-ил)-4-метил-фенол (№ CAS 3896-11-5),

(i-19) 2-(4,6-дифенил-1,3,5-триазин-2-ил)-5-гексокси-фенол (№ CAS 147315-50-2),

(i-20) 2-[4,6-бис(4-фенилфенил)-1,3,5-триазин-2-ил]-5-(2-этилгексокси)фенол (№ CAS 204583-39-1),

(i-21) 2-[4,6-бис(2,4-диметилфенил)-1,3,5-триазин-2-ил]-5-[3-(2-этил-гексокси)-2-гидрокси-пропокси]фенол (№ CAS 137658-79-8),

(i-22) бутандиовая кислота, 1,4-диметиловый сложный эфир, полимер с 4-гидрокси-2,2,6,6-тетраметил-1-пиперидинэтанол (№ CAS 65447-77-0),

(i-23) N,N',N'',N'''-тетракис-(2,4-бис[N-(1-циклогексилокси-2,2,6,6-тетраметилпиперидин-4-ил)-бутиламино]-1,3,5-триазин-6-ил)-1,5,8,12-тетразадодекан (№ CAS 122587-07-9),

(i-24) N,N',N'',N'''-Тетракис-(2,4-бис[N-(1-циклогексилокси-2,2,6,6-тетраметилпиперидин-4-ил)-бутиламино]-1,3,5-триазин-6-ил)-1,5,8,12-тетразадодекан (№ CAS 106990-43-6),

(i-25) N,N'-бис-(2,4-бис[N-(1-пропокси-2,2,6,6-тетраметилпиперидин-4-ил)-бутиламино]-1,3,5-триазин-6-ил)-N,N'-бис[N-(1-пропокси-2,2,6,6-тетраметилпиперидин-4-ил)]-1,8-диазаоктан (№ CAS 1271737-36-0),

(i-26) поли[[6-[бутил(2,2,6,6-тетраметил-4-пиперидинил)амино]-1,3,5-триазин-2,4-диил][(2,2,6,6-тетраметил-4-пиперидинил)имино]-1,6-гександиил[(2,2,6,6-тетраметил-4-пиперидинил)имино]], α-[[6-[[4,6-бис(дибутиламино)-1,3,5-триазин-2-ил](2,2,6,6-тетраметил-4-пиперидинил)амино]гексил](2,2,6,6-тетраметил-4-пиперидинил)амино]-ω-[4,6-бис(дибутиламино)-1,3,5-триазин-2-ил] (№ CAS 195300-91-5),

(i-27) поли[[6-[бутил(2,2,6,6-тетраметил-1-пропокси-4-пиперидинил)амино]-1,3,5-триазин-2,4-диил][(2,2,6,6-тетраметил-1-пропокси-4-пиперидинил)имино]-1,6-гександиил[(2,2,6,6-тетраметил-1-пропокси-4-пиперидинил)имино]], α-[[6-[[4,6-бис(дибутиламино)-1,3,5-триазин-2-ил](2,2,6,6-тетраметил-1-пропокси-4-пиперидинил)амино]гексил](2,2,6,6-тетраметил-1-пропокси-4-пиперидинил)амино]-ω-[4,6-бис(дибутиламино)-1,3,5-триазин-2-ил] (№ CAS 297748-93-7),

(i-28) поли[[6-[(1,1,3,3-тетраметилбутил)амино]-1,3,5-триазин-2,4-диил][(2,2,6,6-тетраметил-4-пиперидинил)имино]-1,6-гександиил[(2,2,6,6-тетраметил-4-пиперидинил)имино]] (№ CAS 71878-19-8),

(i-29) тетракис(1,2,2,6,6-пентаметил-4-пиперидил) бутан-1,2,3,4-тетракарбоксилат (№ CAS 91788-83-9),

или их смесь,

(ii) от 0 до 40 мас.% второго полимерного стабилизатора, который представляет собой стеарат цинка, стеарат кальция, стеарат магния или их смесь,

(iii) от 0 до 34 мас.% третьего полимерного стабилизатора, который представляет собой оксид цинка, гидроталькит, бензоат натрия или их смесь,

(iv) от 0 до 20 мас.% дополнительного ингредиента, который отличен от первого полимерного стабилизатора, второго полимерного стабилизатора и третьего полимерного стабилизатора, выбранного из группы, состоящей из полимерных компонентов, которые отличны от первых первичных полимерных стабилизаторов (i-22), (i-26), (i-27) и (i-28); связующего, которое представляет собой молекулу, содержащую алкильную или алкенильную группу с более чем 14 атомами углерода, и отличен от первых первичных полимерных стабилизаторов (i-5), (i-12) и (i-14) и вторых полимерных стабилизаторов стеарата цинка, стеарата кальция и стеарата магния; микроцеллюлозы; углевода; SiO2; кремний-содержащего вещества; неорганического вещества; ионной соли и красителя,

где сумма компонентов (i), (ii), (iii) и (iv) составляет 100 мас.%,

где таблетка имеет массу выше 20 мг и ниже 330 мг и размер поперечного сечения выше 3 мм и ниже 18 мм.

2. Способ получения таблетки по п. 1, где таблетка имеет геометрическую форму, при которой при наличии угла каждый угол имеет только углы, направленные к внутренней стороне таблетки 90°, или каждый угол является выпукло-закругленным, и при которой при наличии кромки каждая кромка имеет только углы, направленные к внутренней стороне таблетки выше 90°, или каждая кромка выпукло закруглена, за исключением случая, когда угол или кромка исходят из выдавленного желобка.

3. Способ получения таблетки по п. 1, где первый полимерный стабилизатор представляет собой

(i-1) трис(2,4-дитрет-бутилфенил) фосфит (№ CAS 31570-04-4),

(i-4) тетракис-[3-(3,5-дитрет-бутил-4-гидрокси-фенил)-пропионил-оксиметил]метан (№ CAS 6683-19-8),

(i-5) 3-(3,5-дитрет-бутил-4-гидрокси-фенил)-пропионовой кислоты стеариловый сложный эфир (№ CAS 2082-79-3),

(i-6) 3-(3,5-дитрет-бутил-4-гидрокси-фенил)-N-[6-[3-(3,5-дитрет-бутил-4-гидрокси-фенил)пропаноиламино]гексил]пропанамид (№ CAS 23128-74-7),

(i-7) 3-(3,5-дитрет-бутил-4-гидроксифенил)-N'-[3-(3,5-дитрет-бутил-4-гидроксифенил)пропаноил]пропангидразид(№ CAS 32687-78-8),

(i-8) 2-[2-[2-[3-(3-трет-бутил-4-гидрокси-5-метил-фенил)пропаноилокси]этокси]этокси]этил 3-(3-трет-бутил-4-гидрокси-5-метил-фенил)пропаноат(№ CAS 36443-68-2),

(i-9) 4-[[3,5-бис[(3,5-дитрет-бутил-4-гидрокси-фенил)метил]-2,4,6-триметил-фенил]метил]-2,6-дитрет-бутил-фенол (№ CAS 1709-70-2),

(i-10) 1,3,5-трис(3,5-дитрет-бутил-4-гидроксибензил)-1,3,5-триазин-2,4,6(1H,3H,5H)-трион (№ CAS 27676-62-6),

(i-12) N,N-диоктадецилгидроксиламин (№ CAS 123250-74-8),

(i-13) додецил 3-(3-додецокси-3-оксо-пропил)сульфанилпропаноат(№ CAS 123-28-4),

(i-14) октадецил 3-(3-октадецокси-3-оксо-пропил)сульфанилпропаноат(№ CAS 693-36-7),

(i-16) бис(2,2,6,6-тетраметил-4-пиперидил) декандиоат (№ CAS 52829-07-9),

или их смесь.

4. Способ получения таблетки по п. 3, где первый полимерный стабилизатор представляет собой

(i-1) трис(2,4-дитрет-бутилфенил) фосфит (№ CAS 31570-04-4),

(i-4) тетракис-[3-(3,5-ди-трет-бутил-4-гидрокси-фенил)-пропионил-оксиметил]метан (№ CAS 6683-19-8),

(i-5) 3-(3,5-дитрет-бутил-4-гидрокси-фенил)-пропионовой кислоты стеариловый сложный эфир (№ CAS 2082-79-3),

(i-7) 3-(3,5-дитрет-бутил-4-гидроксифенил)-N'-[3-(3,5-дитрет-бутил-4-гидроксифенил)пропаноил]пропангидразид(№ CAS 32687-78-8),

(i-10) 1,3,5-трис(3,5-ди-трет-бутил-4-гидроксибензил)-1,3,5-триазин-2,4,6(1H,3H,5H)-трион (№ CAS 27676-62-6),

(i-16) бис(2,2,6,6-тетраметил-4-пиперидил) декандиоат (№ CAS 52829-07-9),

или их смесь.

5. Способ получения таблетки по п. 1, где дополнительный ингредиент (iv) содержит менее 3 мас.% полимерных компонентов, которые отличны от первых первичных полимерных стабилизаторов (i-22), (i-26), (i-27) и (i-28), на основе суммы компонентов (i), (ii), (iii) и (iv), которые составляют 100 мас.%.

6. Способ получения таблетки по п. 1, где дополнительный ингредиент (iv) содержит менее 9 мас.% связующего, которое представляет собой молекулу, содержащую алкильную или алкенильную группу с более чем 14 атомами углерода, и отличен от первых первичных полимерных стабилизаторов (i-5), (i-12) и (i-14) и вторых полимерных стабилизаторов стеарата цинка, стеарата кальция и стеарата магния, на основе суммы компонентов (i), (ii), (iii) и (iv), которые составляют 100 мас.%.

7. Способ получения таблетки по п. 1, где второй полимерный стабилизатор (ii) содержится в количестве от 0 до 29 мас.% на основе суммы компонентов (i), (ii), (iii) и (iv), которые составляют 100 мас.%.

8. Способ получения таблетки по п. 1, где дополнительный ингредиент (iv) содержится в количестве от 0 до 9 мас.% на основе суммы компонентов (i), (ii), (iii) и (iv), которые составляют 100 мас.%.

9. Способ получения таблетки по п. 1, где таблетка имеет массу выше 55 мг и ниже 200 мг и размер поперечного сечения выше 4 мм и ниже 15 мм.

10. Способ получения таблетки по п. 1, где исходный материал находится в твердой форме порошка.

11. Способ получения таблетки по п. 1, где исходный материал имеет средний размер частиц выше 15 мкм и ниже 1000 мкм, как определено по светорассеянию.

12. Способ получения таблетки по п. 1, где исходный материал имеет насыпную плотность выше 300 г/л и ниже 950 г/л.

13. Способ получения таблетки по п. 1, где прессование на стадии (C) происходит при давлении прессования выше 90 МПа и ниже 600 МПа.

14. Способ получения таблетки по п. 1, где стадии (A), (B), (C) и (D) проводят при температуре ниже 37°C.

15. Способ получения таблетки по п. 1, где температура прессования ниже 32°C и температура таблетки ниже 32 °C.

16. Способ получения таблетки по п. 1, где таблетку или множество таблеток не просеивают.

17. Способ получения таблетки по любому из пп. 1-16, где таблеточный пресс представляет собой эксцентриковый таблеточный пресс или роторный таблеточный пресс.

18. Таблетка полимерного стабилизатора, которая является твердой при 37°C и 101,32 кПа и состоит из

(i) от 60 до 100 мас.% первого полимерного стабилизатора, который представляет собой

(i-1) трис(2,4-дитрет-бутилфенил) фосфит (№ CAS 31570-04-4),

(i-2) бис(2,4-дикумилфенил) пентаэритрит дифосфит (№ CAS 154862-43-8),

(i-3) бис(2,4-дитрет-бутилфенил)пентаэритрит дифосфит (№ CAS 26741-53-7),

(i-4) тетракис-[3-(3,5-дитрет-бутил-4-гидрокси-фенил)-пропионил-оксиметил]метан (№ CAS 6683-19-8),

(i-5) 3-(3,5-дитрет-бутил-4-гидрокси-фенил)-пропионовой кислоты стеариловый сложный эфир (№ CAS 2082-79-3),

(i-6) 3-(3,5-дитрет-бутил-4-гидрокси-фенил)-N-[6-[3-(3,5-дитрет-бутил-4-гидрокси-фенил)пропаноиламино]гексил]пропанамид (№ CAS 23128-74-7),

(i-7) 3-(3,5-дитрет-бутил-4-гидроксифенил)-N'-[3-(3,5-дитрет-бутил-4-гидроксифенил)пропаноил]пропангидразид(№ CAS 3268-78-8),

(i-8) 2-[2-[2-[3-(3-трет-бутил-4-гидрокси-5-метил-фенил)пропаноилокси]этокси]этокси]этил 3-(3-трет-бутил-4-гидрокси-5-метил-фенил)пропаноат(№ CAS 36443-68-2),

(i-9) 4-[[3,5-бис[(3,5-дитрет-бутил-4-гидрокси-фенил)метил]-2,4,6-триметил-фенил]метил]-2,6-дитрет-бутил-фенол (№ CAS 1709-70-2),

(i-10) 1,3,5-трис(3,5-дитрет-бутил-4-гидроксибензил)-1,3,5-триазин-2,4,6(1H,3H,5H)-трион (№ CAS 27676-62-6),

(i-11) бис[3,3-бис(4'-гидрокси-3'-трет-бутилфенил) бутановая кислота]гликолевый сложный эфир (№ CAS 32509-66-3),

(i-12) N,N-диоктадецилгидроксиламин (№ CAS 123250-74-8),

(i-13) додецил 3-(3-додецокси-3-оксо-пропил)сульфанилпропаноат(№ CAS 123-28-4),

(i-14) октадецил 3-(3-октадецокси-3-оксо-пропил)сульфанилпропаноат(№ CAS 693-36-7),

(i-15) пентаэритрит тетракис[3-додецилтиопропионат] (№ CAS 29598-76-3),

(i-16) бис(2,2,6,6-тетраметил-4-пиперидил) декандиоат (№ CAS 52829-07-9),

(i-17) (2-гидрокси-4-октокси-фенил)-фенил-метанон (№ CAS 1843-05-6),

(i-18) 2-трет-бутил-6-(5-хлорбензотриазол-2-ил)-4-метил-фенол (№ CAS 3896-11-5),

(i-19) 2-(4,6-дифенил-1,3,5-триазин-2-ил)-5-гексокси-фенол (№ CAS 147315-50-2),

(i-20) 2-[4,6-бис(4-фенилфенил)-1,3,5-триазин-2-ил]-5-(2-этилгексокси)фенол (№ CAS 204583-39-1),

(i-21) 2-[4,6-бис(2,4-диметилфенил)-1,3,5-триазин-2-ил]-5-[3-(2-этил-гексокси)-2-гидрокси-пропокси]фенол (№ CAS 137658-79-8),

(i-22) бутандиовая кислота, 1,4-диметиловый сложный эфир, полимер с 4-гидрокси-2,2,6,6-тетраметил-1-пиперидинэтанол (№ CAS 65447-77-0),

(i-23) N,N',N'',N'''-тетракис-(2,4-бис[N-(1-циклогексилокси-2,2,6,6-тетраметилпиперидин-4-ил)-бутиламино]-1,3,5-триазин-6-ил)-1,5,8,12-тетразадодекан (№ CAS 122587-07-9),

(i-24) N,N',N'',N'''-Тетракис-(2,4-бис[N-(1-циклогексилокси-2,2,6,6-тетраметилпиперидин-4-ил)-бутиламино]-1,3,5-триазин-6-ил)-1,5,8,12-тетразадодекан (№ CAS 106990-43-6),

(i-25) N,N'-бис-(2,4-бис[N-(1-пропокси-2,2,6,6-тетраметилпиперидин-4-ил)-бутиламино]-1,3,5-триазин-6-ил)-N,N'-бис[N-(1-пропокси-2,2,6,6-тетраметилпиперидин-4-ил)]-1,8-диазаоктан (№ CAS 1271737-36-0),

(i-26) поли[[6-[бутил(2,2,6,6-тетраметил-4-пиперидинил)амино]-1,3,5-триазин-2,4-диил][(2,2,6,6-тетраметил-4-пиперидинил)имино]-1,6-гександиил[(2,2,6,6-тетраметил-4-пиперидинил)имино]], α-[[6-[[4,6-бис(дибутиламино)-1,3,5-триазин-2-ил](2,2,6,6-тетраметил-4-пиперидинил)амино]гексил](2,2,6,6-тетраметил-4-пиперидинил)амино]-ω-[4,6-бис(дибутиламино)-1,3,5-триазин-2-ил]- (№ CAS 195300-91-5),

(i-27) поли[[6-[бутил(2,2,6,6-тетраметил-1-пропокси-4-пиперидинил)амино]-1,3,5-триазин-2,4-диил][(2,2,6,6-тетраметил-1-пропокси-4-пиперидинил)имино]-1,6-гександиил[(2,2,6,6-тетраметил-1-пропокси-4-пиперидинил)имино]], α-[[6-[[4,6-бис(дибутиламино)-1,3,5-триазин-2-ил](2,2,6,6-тетраметил-1-пропокси-4-пиперидинил)амино]гексил](2,2,6,6-тетраметил-1-пропокси-4-пиперидинил)амино]-ω-[4,6-бис(дибутиламино)-1,3,5-триазин-2-ил]- (№ CAS 297748-93-7),

(i-28) поли[[6-[(1,1,3,3-тетраметилбутил)амино]-1,3,5-триазин-2,4-диил][(2,2,6,6-тетраметил-4-пиперидинил)имино]-1,6-гександиил[(2,2,6,6-тетраметил-4-пиперидинил)имино]] (№ CAS 71878-19-8),

(i-29) тетракис(1,2,2,6,6-пентаметил-4-пиперидил) бутан-1,2,3,4-тетракарбоксилат (№ CAS 91788-83-9),

или их смесь,

(ii) от 0 до 40 мас.% второго полимерного стабилизатора, который представляет собой стеарат цинка, стеарат кальция, стеарат магния или их смесь,

(iii) от 0 до 34 мас.% третьего полимерного стабилизатора, который представляет собой оксид цинка, гидроталькит, бензоат натрия или их смесь,

(iv) от 0 до 20 мас.% дополнительного ингредиента, который отличен от первого полимерного стабилизатора, второго полимерного стабилизатора и третьего полимерного стабилизатора, выбранного из группы, состоящей из полимерных компонентов, которые отличны от первых первичных полимерных стабилизаторов (i-22), (i-26), (i-27) и (i-28); связующего, которое представляет собой молекулу, содержащую алкильную или алкенильную группу с более чем 14 атомами углерода, и отличен от первых первичных полимерных стабилизаторов (i-5), (i-12) и (i-14) и вторых полимерных стабилизаторов стеарата цинка, стеарата кальция и стеарата магния; микроцеллюлозы; углевода; SiO2; кремний-содержащего вещества; неорганического вещества; ионной соли и красителя,

где сумма компонентов (i), (ii), (iii) и (iv) составляет 100 мас.%,

где таблетка имеет массу выше 20 мг и ниже 330 мг и размер поперечного сечения выше 3 мм и ниже 18 мм.

19. Таблетка по п. 18, где таблетка имеет геометрическую форму, при которой при наличии угла каждый угол имеет только углы, направленные к внутренней стороне таблетки 90°, или каждый угол является выпукло-закругленным, и при которой при наличии кромки каждая кромка имеет только углы, направленные к внутренней стороне таблетки выше 90°, или каждая кромка выпукло закруглена, за исключением случая, когда угол или кромка исходят из выдавленного желобка.

20. Таблетка по п. 18, где первый полимерный стабилизатор представляет собой

(i-1) трис(2,4-дитрет-бутилфенил) фосфит (№ CAS 31570-04-4),

(i-4) тетракис-[3-(3,5-дитрет-бутил-4-гидрокси-фенил)-пропионил-оксиметил]метан (№ CAS 6683-19-8),

(i-5) 3-(3,5-дитрет-бутил-4-гидрокси-фенил)-пропионовой кислоты стеариловый сложный эфир (№ CAS 2082-79-3),

(i-6) 3-(3,5-дитрет-бутил-4-гидрокси-фенил)-N-[6-[3-(3,5-дитрет-бутил-4-гидрокси-фенил)пропаноиламино]гексил]пропанамид (№ CAS 23128-74-7),

(i-7) 3-(3,5-дитрет-бутил-4-гидроксифенил)-N'-[3-(3,5-дитрет-бутил-4-гидроксифенил)пропаноил]пропангидразид(№ CAS 32687-78-8),

(i-8) 2-[2-[2-[3-(3-трет-бутил-4-гидрокси-5-метил-фенил)пропаноилокси]этокси]этокси]этил 3-(3-трет-бутил-4-гидрокси-5-метил-фенил)пропаноат(№ CAS 36443-68-2),

(i-9) 4-[[3,5-бис[(3,5-дитрет-бутил-4-гидрокси-фенил)метил]-2,4,6-триметил-фенил]метил]-2,6-дитрет-бутил-фенол (№ CAS 1709-70-2),

(i-10) 1,3,5-трис(3,5-дитрет-бутил-4-гидроксибензил)-1,3,5-триазин-2,4,6(1H,3H,5H)-трион (№ CAS 27676-62-6),

(i-12) N,N-диоктадецилгидроксиламин (№ CAS 123250-74-8),

(i-13) додецил 3-(3-додецокси-3-оксо-пропил)сульфанилпропаноат(№ CAS 123-28-4),

(i-14) октадецил 3-(3-октадецокси-3-оксо-пропил)сульфанилпропаноат(№ CAS 693-36-7),

(i-16) бис(2,2,6,6-тетраметил-4-пиперидил) декандиоат (№ CAS 52829-07-9),

или их смесь.

21. Таблетка по п. 20, где первый полимерный стабилизатор представляет собой

(i-1) трис(2,4-дитрет-бутилфенил) фосфит (№ CAS 31570-04-4),

(i-4) тетракис-[3-(3,5-ди-трет-бутил-4-гидрокси-фенил)-пропионил-оксиметил]метан (№ CAS 6683-19-8),

(i-5) 3-(3,5-дитрет-бутил-4-гидрокси-фенил)-пропионовой кислоты стеариловый сложный эфир (№ CAS 2082-79-3),

(i-7) 3-(3,5-дитрет-бутил-4-гидроксифенил)-N'-[3-(3,5-дитрет-бутил-4-гидроксифенил)пропаноил]пропангидразид(№ CAS 3268-78-8),

(i-10) 1,3,5-трис(3,5-ди-трет-бутил-4-гидроксибензил)-1,3,5-триазин-2,4,6(1H,3H,5H)-трион (№ CAS 27676-62-6),

(i-16) бис(2,2,6,6-тетраметил-4-пиперидил) декандиоат (№ CAS 52829-07-9),

или их смесь.

22. Таблетка по п. 18, где дополнительный ингредиент (iv) содержит менее 3 мас.% полимерных компонентов, которые отличны от первых первичных полимерных стабилизаторов (i-22), (i-26), (i-27) и (i-28), на основе суммы компонентов (i), (ii), (iii) и (iv), которые составляют 100 мас.%.

23. Таблетка по п. 18, где дополнительный ингредиент (iv) содержит менее 9 мас.% связующего, которое представляет собой молекулу, содержащую алкильную или алкенильную группу с более чем 14 атомами углерода, и отличен от первых первичных полимерных стабилизаторов (i-5), (i-12) и (i- 14) и вторых полимерных стабилизаторов стеарата цинка, стеарата кальция и стеарата магния, на основе суммы компонентов (i), (ii), (iii) и (iv), которые составляют 100 мас.%.

24. Таблетка по п. 18, где второй полимерный стабилизатор (ii) содержится в количестве от 0 до 29 мас.% на основе суммы компонентов (i), (ii), (iii) и (iv), которые составляют 100 мас.%.

25. Таблетка по п. 18, где дополнительный ингредиент (iv) содержится в количестве от 0 до 9 мас.% на основе суммы компонентов (i), (ii), (iii) и (iv), которые составляют 100 мас.%.

26. Таблетка по любому из пп. 18-25, где таблетка имеет массу выше 55 мг и ниже 200 мг и размер поперечного сечения выше 4 мм и ниже 15 мм.

27. Способ получения стабилизированного полимера, который включает стадии

(AP) дозирование таблетки, как определено в любом из пп. 18-26, в полимер с получением смеси таблетка-полимер,

(BP) воздействие на смесь таблетка-полимер температурой в интервале от 120 до 340°C при механическом перемешивании с получением стабилизированного полимера,

где полимер представляет собой полиолефин, полистирол или их смесь.

28. Способ получения стабилизированного полимера по п. 27, где стадию (BP) проводят в экструдере или совместном смесителе.

29. Способ получения стабилизированного полимера по п. 27 или 28, где полимер, в который дозируют таблетку на стадии (AP), присутствует в форме пеллет.

30. Способ получения стабилизированного полимера по п. 27 или 28, где полимер, в который дозируют таблетку на стадии (AP), имеет температуру полимера в интервале от 120 до 340°C.

31. Смесь таблетка-полимер, содержащая компоненты

(a) таблетка, как определено в любом из пп. 18-26, и

(b) полимер, который представляет собой полиолефин, полистирол или их смесь, где полимер находится в форме пеллет, и пеллеты имеют среднюю массу пеллеты выше 20 мг и ниже 330 мг и средний размер поперечного сечения пеллеты выше 3 мм и ниже 18 мм, и

где компонент (a) содержится в количестве от 0.01 мас.% до 5 мас.% на основе количества компонента (b).

32. Применение таблетки по любому из пп. 18-26 для беспыльного обращения с ее компонентами при производстве стабилизированного полимера, где полимер представляет собой полиолефин, полистирол или их смесь.

Документы, цитированные в отчете о поиске Патент 2024 года RU2830535C2

DE 19628359 A1, 25.09.1997
WO 2008033410 A1, 20.03.2008
ТЕХНОЛОГИЧЕСКИЕ ДОБАВКИ И ИХ ПРИМЕНЕНИЯ В РОТАЦИОННОМ ФОРМОВАНИИ 2011
  • Сэмьюэлз Сери-Бет
  • Стил Томас
  • Инг Дж. Мон Хей
  • Гупта Рам
  • Пэн Линцин
RU2597918C2
СМЕСИ СТАБИЛИЗАТОРОВ ДЛЯ ПОЛИОЛЕФИНОВ 2001
  • Гюгюмю Франсуа
RU2263688C2

RU 2 830 535 C2

Авторы

Георг, Ян Йик

Гфроерер, Томас Георг

Рукдешел, Хольгер

Сатианараяна, Шиам Сандар

Зайдеманн, Лотар

Хербст, Хайнц

Даты

2024-11-22Публикация

2020-07-06Подача