Область техники, к которой относится изобретение
Изобретение относится к микробиологии и может быть использовано для получения инокулюма с единичным количеством микроорганизмов.
Уровень техники
Известны способы прямого определения количества микроорганизмов с помощью счетной камеры (гемоцитометра) или с помощью использования мембранных фильтров. Подсчет микробных клеток при использовании счетной камеры на 225 больших квадратов включает подсчитывание количества клеток в 5 горизонтальных и 15 диагональных больших квадратах, после чего концентрация клеток в 1 мл рабочего раствора вычисляется по формуле:
         
      
где:
a - число клеток в 20 квадратах;
d - коэффициент разведения исходной суспензии микроорганизма;
N - число больших квадратов в камере (N = 225);
        n - коэффициент, равный величине, обратной объему камеры  .
.
При подсчете микробных клеток с помощью мембранного фильтра, рабочий инокулюм необходимо профильтровать через мембрану с сеткой. Допускается использовать фильтры, размер пор которых равен 0,22 мкм или 0,45 мкм. Далее микроорганизмы на фильтре окрашивают и подсчитывают в 20 полях зрения микроскопа. Концентрация клеток в 1 мл суспензии рассчитывается по формуле:
         
      
где:
x - общее количество микроорганизмов;
V - объем профильтрованной жидкости, мл;
S - фильтрующая площадь, мм2;
N - среднее количество бактерий в одном квадрате;
106 - переводной коэффициент квадратных миллиметров в квадратные микрометры;
s - площадь квадрата окулярного микрометра, мкм2.
[Фармакопейная статья 1.7.2.0008.15 Определение концентрации микробных клеток. Государственная фармакопея Российской Федерации XV издания]
Недостатками данных методов является субъективность оценки полученных результатов исследования и отсутствие возможности регулирования числа микроорганизмов в рабочем инокулюме при содержании их количества в диапазоне 2-10 КОЕ на единицу объема.
Известен способ кондуктометрического определения концентрации клеток рабочего инокулюма. Метод основан на зависимости сопротивления или проводимости рабочего инокулюма от концентрации микробных клеток и заключается в подсчете числа клеток в электронных счетчиках (например, счетчика Култера). Суспендированные в электролите клетки проходят через апертуру («электрочувствительную зону») малого диаметра, расположенную между двумя электродами, вытесняя определенное количество электролита, вызывая возрастание сопротивления, в результате чего изменяется величина электрического тока в усилителе, который преобразует колебания силы тока в импульсы напряжения, которые находятся в прямой зависимости от размера клетки, прошедшей через апертуру. [Фармакопейная статья 1.7.2.0008.15 Определение концентрации микробных клеток. Государственная фармакопея Российской Федерации XV издания]
Недостатком данного метода является необходимость использования дорогостоящего оборудования.
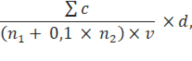
За прототип принимается способ приготовления серии последовательных разведений из инокулюма, содержащего рабочую культуру; рабочий инокулюм получают путем разведений и последующего определения концентрации жизнеспособных клеток с помощью посева на агаровую питательную среду: из рабочей культуры, полученной из культуры референтного образца микроорганизма, хранящегося в коллекции лаборатории, готовят последовательные суспензии путём разведений первичного инокулюма. Первичный инокулюм готовят из 18-20 -часовой агаровой культуры по имеющемуся в лаборатории стандарту мутности или по нефелометру с концентрацией 108 КОЕ/мл (стандарт МакФарланда 0,5). Далее инокулюм подвергается последовательному разведению в 4,5 мл 0,9% NaCl в 6 пробирках: инокулюм переносят в пробирку №1 в объеме 0,5 мл с помощью пипетки Пастера или дозатора. Число КОЕ в пробирке №1 соответствует 1*107 КОЕ/мл. Далее эти действия последовательно повторяют с пробирками №2-№6. Для каждого шага используется новая пипетка Пастера или наконечник дозатора. Число КОЕ рабочего инокулюма в пробирке №6 соответствует 102 КОЕ в 1 мл или 101 КОЕ в 0,1 мл, соответственно. Посев осуществляют с каждой пробирки серии разведений на чашки с агаровой средой. Определяется среднее количество колоний на каждой чашке. После подсчета, вычисляется концентрация жизнеспособных клеток в 1 мл инокулюма по формуле:
         
      
где:
         - количество колоний на всех чашках двух разведений;
 - количество колоний на всех чашках двух разведений;
n1 - количество чашек первого разведения;
n2 - количество чашек второго разведения;
d - коэффициент первого разведения;
v - объем образца, высеваемый на чашку, в миллилитрах;
0,1 - коэффициент, учитывающий кратность первого и второго разведения.
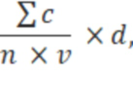
В случае подсчета колоний в чашках одного разведения, концентрацию жизнеспособных клеток в 1 мл рассчитывают по формуле:
         
      
где:
         - количество колоний на всех чашках разведения;
 - количество колоний на всех чашках разведения;
n - количество чашек;
v - объем образца, высеваемый на чашку, в миллилитрах;
d - коэффициент разведения испытуемого образца.
[Фармакопейная статья 1.7.2.0008.15 Определение концентрации микробных клеток. Государственная фармакопея Российской Федерации XV издания]
Недостатком данного способа является отсутствие возможности регулирования числа микроорганизмов в рабочем инокулюме при содержании их количества в диапазоне 2-10 КОЕ на единицу объема.
Раскрытие изобретения
Задачей изобретения является улучшение методики получения рабочего инокулюма с возможностью регулирования числа микроорганизмов при содержании их в диапазоне 2-10 КОЕ на единицу объема.
Это достигается тем, что, в отличие от известных способов, приготовление рабочего инокулюма осуществляют путем выполнения серии разведений первичного инокулюма, который готовят из рабочей культуры с помощью нефелометра или по лабораторным стандартам мутности в концентрации 1*108 КОЕ/мл. Первичный инокулюм подвергается последующим разведениям в серии из 6 пробирок с 0,9% раствором NaCl, где число КОЕ конечной пробирки №6 будет соответствовать 1*102 КОЕ в 1 мл суспензии или 1*101 КОЕ в 0,1мл суспензии. Контроль числа КОЕ рабочего инокулюма проводится путем посева его аликвоты на 5 чашек Петри с агаром Мюллера-Хинтон (МХА) для бактерий с обычными питательными потребностями и с добавлением 5% механически дефибринированной лошадиной крови и 20мг/л β-НАД для бактерий со сложными питательными потребностями (МХА-П) и последующим подсчетом числа КОЕ на чашках Петри, с возможностью регулирования числа микроорганизмов инокулюма при содержании их количества в диапазоне 2-10 КОЕ на единицу объема: в случае отсутствия роста на чашках с питательной средой или числа КОЕ меньше 2, серия разведений готовится повторно с уменьшением объема раствора 0,9% NaCl во всех пробирках на 0,5 мл; если число КОЕ на чашках больше 10, то серия разведений готовится повторно с увеличением объема раствора 0,9% NaCl во всех пробирках на 0,5 мл.
Осуществление изобретения
Сущность предложенного метода заключается в следующем: готовится первичный инокулюм из 18-20 -часовой агаровой культуры микроорганизма в пробирке с 0,9% раствором NaCl. Суспензию доводят до мутности стандарта 0,5 МакФарланда с помощью денситометра (DEN-1, Biosan), что соответствует 1*108 КОЕ/мл. Пробирка с первичным инокулюмом и каждая последующая пробирка серии разведений должны быть перемешаны с помощью вихревого смесителя (V-1 plus, Вортекс персональный, Biosan). Суспензия первичного инокулюма должна быть пошагово разведена в 6 пробирках с 4,5 мл 0,9% раствора NaCl в соотношении 1:10, для этого 0,5 мл суспензии с помощью пипетки Пастера или дозатора переносят в пробирку №1. Для каждого шага используется индивидуальная пипетка Пастера или наконечник дозатора. После перемешивания, 0,5 мл суспензии из пробирки №1 переносится в пробирку №2 и также перемешивается с помощью вихревого смесителя. Данные действия повторяются со всеми проибрками серии (1-6). Рабочий инокулюм в пробирке №6 имеет число КОЕ, соответствующее 1*102 КОЕ в 1 мл или 1*101 КОЕ в 0,1 мл суспензии. Контроль числа КОЕ проводится путем пересева 0,1 мл инокулюма на 5 чашек Петри с агаром Мюллера-Хинтон (Mueller Hinton Agar, Condalab, Испания) для бактерий с обычными питательными потребностями и с добавлением 5% механически дефибринированной лошадиной крови и 20мг/л β-НАД для бактерий со сложными питательными потребностями. Посевная доза рабочего инокулюма составляет 0,1 мл на каждую чашку Петри. Распределение внесенного инокулюма по всей чашке производится с помощью стерильного микробиологического шпателя. Для каждой чашки используется индивидуальный микробиологический шпатель. По окончании работы, чашки подвергаются инкубации в термостате на 18-20 часов в соответствующих потребностям внесенного микроорганизма условиях (аэробные условия, анаэробные условия, микроаэрофильные условия). По окончании инкубации, производится подсчет числа колоний на всех чашках. Результат считается удовлетворительным, если рост колоний наблюдается на всех 5 чашках Петри, а количество КОЕ всех чашек входит в диапазон 2-10 КОЕ. При работе учитываются индивидуальные особенности роста различных видов микроорганизмов: при отсутствии роста на чашках, а также в случаях, когда число КОЕ на одной или нескольких чашках меньше 2, объем 0,9% раствора NaCl пробирок №1-6 уменьшается на 0,5 мл и эксперимент повторяется. Если число КОЕ одной или нескольких чашках больше 10, объем 0,9% раствора NaCl пробирок №1-6 увеличивается на 0,5 мл и эксперимент повторяется. Объем 0,9% раствора NaCl пробирок последовательно уменьшается или увеличивается на 0,5 мл до тех пор, пока не будет получено число КОЕ рабочего инокулюма, входящее в диапазон 2-10 КОЕ на единицу объема.
Предлагаемый способ может быть использован в микробиологии для получения инокулюма с единичным количеством микроорганизмов.
Сущность заявленного способа поясняется следующими примерами:
Пример 1. Для приготовления инокулюма был выбран штамм 18-часовой культуры St.aureus. Был приготовлен первичный инокулюм пробирке с 0,9% раствором NaCl, доведенный до мутности стандарта 0,5 МакФарланда с помощью денситометра, что соответствовало 1*108 КОЕ/мл. Суспензия первичного инокулюма была пошагово разведена в 6 пробирках с 4,5 мл 0,9% раствора NaCl в соотношении 1:10, для этого 0,5 мл суспензии с помощью пипетки Пастера или дозатора переносили в пробирку №1. После перемешивания, 0,5 мл суспензии из пробирки №1 переносили в пробирку №2, далее данные действия повторялись со всеми проибрками серии (1-6). Рабочий инокулюм в пробирке №6 в объеме 0,1 мл для контроля помещался на 5 чашек Петри с агаром Мюллера-Хинтон, чашки помещались в инкубатор и по окончании инкубации подсчитывалось число колоний St.aureus на чашках Петри. Количество КОЕ St.aureus на трех чашках составило меньше 2, что означало, что результат не соответствовал заявленному значению, в данном случае объем 0,9% раствора NaCl пробирок №1-6 уменьшался на 0,5 мл и эксперимент повторялся аново. При повторном выполнении серии разведений и посеве нового рабочего инокулюма на 5 чашек Петри с агаром Мюллера-Хинтон, подсчет количества КОЕ St.aureus после инкубации дал следующие результаты: на двух чашках число КОЕ равнялось 4, на двух - 7, на одной - 8, что означало, что результат соответствовал заявленному значению.
Пример 2. Для приготовления инокулюма был выбран штамм 20-часовой культуры Kl.pneumoniae. Был приготовлен первичный инокулюм пробирке с 0,9% раствором NaCl, доведенный до мутности стандарта 0,5 МакФарланда с помощью денситометра, что соответствовало 1*108 КОЕ/мл. Суспензия первичного инокулюма была пошагово разведена в 6 пробирках с 4,5 мл 0,9% раствора NaCl в соотношении 1:10, для этого 0,5 мл суспензии с помощью пипетки Пастера или дозатора переносили в пробирку №1. После перемешивания, 0,5 мл суспензии из пробирки №1 переносили в пробирку №2, далее данные действия повторялись со всеми проибрками серии (1-6). Рабочий инокулюм пробирки №6 в объеме 0,1 мл для контроля помещался на 5 чашек Петри с агаром Мюллера-Хинтон, чашки помещались в инкубатор и по окончании инкубации подсчитывалось число колоний Kl.pneumoniae на чашках Петри. Количество КОЕ Kl.pneumoniae на всех чашках составило 2, что означало, что результат соответствовал заявленному значению.
Пример 3. Для приготовления инокулюма был выбран штамм 18-часовой культуры E.coli. Был приготовлен первичный инокулюм пробирке с 0,9% раствором NaCl, доведенный до мутности стандарта 0,5 МакФарланда с помощью денситометра, что соответствовало 1*108 КОЕ/мл. Суспензия первичного инокулюма была пошагово разведена в 6 пробирках с 4,5 мл 0,9% раствора NaCl в соотношении 1:10, для этого 0,5 мл суспензии с помощью пипетки Пастера или дозатора переносили в пробирку №1. После перемешивания, 0,5 мл суспензии из пробирки №1 переносили в пробирку №2, далее данные действия повторялись со всеми проибрками серии (1-6). Рабочий инокулюм пробирки №6 в объеме 0,1 мл для контроля помещался на 5 чашек Петри с агаром Мюллера-Хинтон, чашки помещались в инкубатор и по окончании инкубации подсчитывалось число колоний E.coli на чашках Петри. Количество КОЕ E.coli на всех чашках составило 10, что означало, что результат соответствовал заявленному значению.
Пример 4. Для приготовления инокулюма был выбран штамм 20-часовой культуры Str.pneumoniae. Был приготовлен первичный инокулюм пробирке с 0,9% раствором NaCl, доведенный до мутности стандарта 0,5 МакФарланда с помощью денситометра, что соответствовало 1*108 КОЕ/мл. Суспензия первичного инокулюма была пошагово разведена в 6 пробирках с 4,5 мл 0,9% раствора NaCl в соотношении 1:10, для этого 0,5 мл суспензии с помощью пипетки Пастера или дозатора переносили в пробирку №1. После перемешивания, 0,5 мл суспензии из пробирки №1 переносили в пробирку №2, далее данные действия повторялись со всеми проибрками серии (1-6). Рабочий инокулюм пробирки №6 в объеме 0,1 мл для контроля помещался на 5 чашек Петри с агаром Мюллера-Хинтон с добавлением 5% механически дефибринированной лошадиной крови и 20мг/л β-НАД, чашки помещались в инкубатор и по окончании инкубации подсчитывалось число колоний Str.pneumoniae на чашках Петри. Количество КОЕ Str.pneumoniae на трех чашках составило больше 10, что означало, что результат не соответствовал заявленному значению, в данном случае объем 0,9% раствора NaCl пробирок №1-6 уменьшался на 0,5 мл и эксперимент повторялся заново. При повторном выполнении серии разведений и посеве нового рабочего инокулюма на 5 чашек Петри с агаром Мюллера-Хинтон с добавлением 5% механически дефибринированной лошадиной крови и 20мг/л β-НАД, подсчет количества КОЕ Str.pneumoniae после инкубации дал следующие результаты: на трех чашках число КОЕ равнялось 6, на одной - 8, на одной - 10, что означало, что результат соответствовал заявленному значению.
| название | год | авторы | номер документа | 
|---|---|---|---|
| АНТИСЕПТИЧЕСКОЕ ЛЕКАРСТВЕННОЕ СРЕДСТВО | 2017 | 
 | RU2641309C1 | 
| СПОСОБ ОЦЕНКИ СОХРАНЕНИЯ ЖИЗНЕСПОСОБНОСТИ ЛАКТОБАКТЕРИЙ ПРИ ВОЗДЕЙСТВИИ РАЗЛИЧНЫХ КОНЦЕНТРАЦИЙ АНТИСЕПТИКА | 2023 | 
 | RU2818369C1 | 
| СПОСОБ КОЛИЧЕСТВЕННОЙ ОЦЕНКИ БАКТЕРИЦИДНОЙ АКТИВНОСТИ ДЕЗИНФИЦИРУЮЩИХ СРЕДСТВ | 2011 | 
 | RU2510610C2 | 
| Способ повышения чувствительности холерных вибрионов к антибактериальным препаратам | 2018 | 
 | RU2688165C1 | 
| СПОСОБ НАНЕСЕНИЯ АНТИМИКРОБНОГО ПОКРЫТИЯ НА МЕДИЦИНСКИЙ КАТЕТЕР И ПОКРЫТИЕ, ПОЛУЧЕННОЕ ДАННЫМ СПОСОБОМ | 2022 | 
 | RU2810427C1 | 
| Способ снижения резистентности возбудителя туляремии к цефалоспоринам (варианты) | 2016 | 
 | RU2630645C1 | 
| АНТИБАКТЕРИАЛЬНАЯ КОМПОЗИЦИЯ НА ОСНОВЕ ЭНДОЛИЗИНОВ И ЛЕКАРСТВЕННЫЕ СРЕДСТВА В ФОРМЕ ГЕЛЯ ИЛИ СПРЕЯ С ЕЕ ИСПОЛЬЗОВАНИЕМ | 2021 | 
 | RU2790481C1 | 
| ШТАММ БАКТЕРИЙ CAMPYLOBACTER JEJUNI ДЛЯ МИКРОБИОЛОГИЧЕСКИХ ИССЛЕДОВАНИЙ, СВЯЗАННЫХ С ОПРЕДЕЛЕНИЕМ ЧУВСТВИТЕЛЬНОСТИ МИКРООРГАНИЗМОВ К АНТИБАКТЕРИАЛЬНЫМ ПРЕПАРАТАМ | 2022 | 
 | RU2796348C1 | 
| Четвертичная аммониевая соль, обладающая антимикотической и антибактериальной активностью | 2018 | 
 | RU2666544C1 | 
| ШТАММ БАКТЕРИЙ SALMONELLA ENTERICA SUBSP. ENTERICA SEROVAR NEWPORT B-9044 МЕЖДУНАРОДНОГО ПОЛИРЕЗИСТЕНТНОГО КЛОНА SALMONELLA NEWPORT MDR-AMPC/CMY-2, ИСПОЛЬЗУЕМЫЙ В КАЧЕСТВЕ КОНТРОЛЬНОГО ШТАММА ДЛЯ ФЕНОТИПИЧЕСКИХ И МОЛЕКУЛЯРНЫХ ИССЛЕДОВАНИЙ ПРИ ДИАГНОСТИКЕ САЛЬМОНЕЛЛЕЗОВ | 2020 | 
 | RU2744205C1 | 
Изобретение относится к микробиологии и может быть использовано для получения инокулюма с единичным количеством микроорганизмов. Задачей изобретения является улучшение методики получения инокулюма с возможностью регулирования числа микроорганизмов при содержании их в диапазоне 2-10 КОЕ на единицу объема. Это достигается тем, что, в отличие от известных способов, приготовление рабочего инокулюма осуществляют путем выполнения серии последовательных разведений первичного инокулюма, который готовят из рабочей культуры с помощью нефелометра или по лабораторным стандартам мутности в концентрации 1*108 КОЕ/мл. Первичный инокулюм подвергается последующим разведениям в серии из 6 пробирок с 0,9% раствором NaCl, где число КОЕ конечной пробирки №6 будет соответствовать 1*102 КОЕ в 1 мл суспензии или 1*101 КОЕ в 0,1 мл суспензии. Контроль числа КОЕ рабочего инокулюма проводится путем посева его аликвоты на 5 чашек Петри с агаром Мюллера-Хинтон (МХА) для бактерий с обычными питательными потребностями и с добавлением 5% механически дефибринированной лошадиной крови и 20 мг/л β-НАД для бактерий со сложными питательными потребностями (МХА-П) и последующим подсчетом числа КОЕ на чашках Петри, с возможностью регулирования числа микроорганизмов инокулюма при содержании их количества в диапазоне 2-10 КОЕ на единицу объема: в случае отсутствия роста на чашках с питательной средой или числа КОЕ меньше 2 серия разведений готовится повторно с уменьшением объема раствора 0,9% NaCl во всех пробирках на 0,5 мл; если число КОЕ на чашках больше 10, то серия разведений готовится повторно с увеличением объема раствора 0,9% NaCl во всех пробирках на 0,5 мл.
Способ получения рабочего инокулюма с единичным количеством микроорганизмов с помощью последовательных разведений первичного инокулюма, характеризующийся тем, что рабочий инокулюм получают путем выполнения серии разведений первичного инокулюма, который готовят из культуры микроорганизма с помощью нефелометра или по лабораторным стандартам мутности в концентрации 1*108 КОЕ/мл с последующими разведениями в серии из 6 пробирок с 0,9% раствором NaCl, где число КОЕ инокулюма конечной пробирки 6 будет соответствовать 1*102 КОЕ в 1 мл взвеси или 1*101 КОЕ в 0,1 мл взвеси, что проверяется путем посева 0,1 мл рабочего инокулюма на 5 чашек Петри с агаром Мюллера-Хинтон для бактерий с обычными питательными потребностями и с добавлением 5% механически дефибринированной лошадиной крови и 20 мг/л β-НАД для бактерий со сложными питательными потребностями и последующим подсчетом числа микроорганизмов на чашках Петри, с последующим регулированием числа микроорганизмов в рабочем инокулюме при содержании их количества в диапазоне 2-10 КОЕ на единицу объема: в случае отсутствия роста на чашках с питательной средой или числа КОЕ на единицу объема меньше 2 серия разведений готовится повторно с уменьшением объема раствора 0,9% NaCl во всех пробирках на 0,5 мл; если число КОЕ на единицу объема на чашках больше 10, то серия разведений готовится повторно с увеличением объема раствора 0,9% NaCl во всех пробирках на 0,5 мл.
| Печь для непрерывного получения сернистого натрия | 1921 | 
 | SU1A1 | 
| Государственная фармакопея Российской Федерации XV издания, дата введения в действие 01.01.2026, найдено в интернет 16.09.2024, адрес сайта: https://pharmacopoeia.regmed.ru/pharmacopoeia/izdanie-13/1/1-7/1-7-2/1-7-2-8/opredelenie-kontsentratsii-mikrobnykh-kletok/ | |||
Авторы
Даты
2024-11-26—Публикация
2024-05-06—Подача