ПРОТИВОКОКЦИДНОЕ СРЕДСТВО И СПОСОБЫ ЕГО ПРИМЕНЕНИЯ Российский патент 2025 года по МПК A01N43/52 A01N47/02 A01P7/04 A61K31/4439 A61K31/444 A61K31/695 A61P33/02 C07D401/04 C07D491/113 

Описание патента на изобретение RU2832845C1

Область техники, к которой относится изобретение

[0001]

Настоящее изобретение относится к противококцидному средству, содержащему соединение бензимидазола или соль указанного соединения в качестве активного ингредиента, и способу применения указанного противококцидного средства.

Уровень техники

[0002]

Кокцидиозы известны как разновидность протозойных паразитозов и представляют собой инфекционные заболевания, вызываемые простейшими организмами кокцидиями (Coccidian protozoans). Такие кокцидии обычно заражают сельскохозяйственных птиц (домашних птиц), таких как куры, индейки, утки, перепела, гибриды дикой и домашней утки, и вызывают такие симптомы, как желудочно-кишечное кровотечение, подавление роста или смерть. В последнее время такая домашняя птица зачастую интенсивно разводится в больших масштабах, и заражение кокцидиозом, если оно распространяется, влечет за собой большие экономические потери для коммерческих производителей. Во избежание таких потерь или для их снижения до минимума были разработаны и применялись различные противококцидные средства, такие как сульфаниламидные, нитрофурановые, хинолиновые, антитиаминовые лекартвенные средства, бензамиды, производные нафтохинона (см., например, Патентная литература - PTL 1) и полиэфирные антибиотики. Однако диапазон безопасных концентраций этих лекарственных средств узок, и их дозы и периоды введения в значительной степени ограниченны. Это связано с тем, что когда продукты, полученные от животных, которым были введены эти препараты, такие как мясо или яйца, съедаются человеком, оставшиеся в организме животных препараты могут перейти в организм человека. Еще одним недостатком этих лекарственных средств является то, что при длительном применении они приводят к появлению устойчивых к лекарственным средствам штаммов и снижению эффективности этих лекарственных средств.

[0003]

В отличие от указанных выше лекарственных средств, некоторые производные бензимидазола или их соли известны как подходящие для применения в сельском хозяйстве и садоводстве в качестве инсектицидов и акарицидов, а также средств борьбы с эктопаразитами или эндопаразитами (см., например, PTL 2), но противококцидная активность таких соединений не описана.

Список цитированной литературы

Патентная литература

[0004]

PTL 1: Japanese Unexamind Patent Application Publication (JP-A) No. 2004-51510

PTL 2: PCT International Publication Number WO2019/225663

Сущность изобретения

Техническая задача

[0005]

Возникла потребность в разработке противококцидного средства, которое устраняет и минимизирует недостатки обычных методов, обладает превосходной противококцидной активностью и может предотвращать или минимизировать массовую вспышку кокцидозов, а также в разработке способа применения указанного противококцидного средства.

Решение задачи

[0006]

После интенсивных исследований, проведенных для решения поставленной задачи, заявители настоящего изобретения установили, что соединение бензимидазола, представленное общей формулой (1), которое содержит пиридильный фрагмент в положении 2 и N-алкилсульфонил, или соль указанного соединения не только обладает превосходной противококцидной эффективность, но и позволяет решить поставленную задачу. Эти результаты стали основой настоящего изобретения.

В частности, настоящее изобретение относится к следующим предметам.

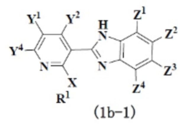
(1) Противококцидное средство, содержащее соединение бензимидазола, представленное общей формулой (1), или соль указанного соединения в качестве активного ингредиента, где общая формула (1) представлена следующей структурой:

[Химическая формула 1]

где:

R представляет собой:

(a1) (C1-C8)алкил;

(a2) (C3-C8)циклоалкил; или

(a3) галоген-(C1-C8)алкил;

R1 представляет собой:

(b1) (C1-C8)алкил;

(b2) галоген-(C1-C8)алкил;

(b3) (C1-C8)циклоалкил;

(b4) (C1-C8)алкокси(C1-C8)алкил;

(b5) арил; или

(b6) арил, содержащий от одного до пяти одинаковых или разных заместителей, выбранных из (a) галогена, (b) (C1-C6)алкила, (c) галоген-(C1-C6)алкила, (d) (C1-C6)алкокси, (e) галоген-(C1-C6)алкокси, (f) (C1-C6)алкилтио, (g) галоген-(C1-C6)алкилтио, (h) (C1-C6)алкилсульфинила, (i) галоген-(C1-C6)алкилсульфинила, (j) (C1-C6)алкилсульфонила, (k) галоген-(C1-C6)алкилсульфонила и (l) триметилсилила;

X представляет собой O, S, SO, SO2 или NR2, где R2 представляет собой водород, (C1-C6)алкил, (C1-C6)алкилкарбонил, (C1-C6)алкоксикарбонил, (C1-C6)алкилсульфонил или галоген-(C1-C6)алкилсульфонил; или

R2 в NR2 может объединяться с R1 и вместе с атомом азота, к которому присоединен, образовывать незамещенный или монозамещенный 5-8-членный насыщенный азотсодержащий алифатический гетероцикл, где заместитель, который может содержать алифатический гетероцикл, представляет собой этоксикарбонил или (C5-C8)алкилендиокси, где алкилендиокси связан с одним атомом углерода;

Y представляет собой (c1) галоген;

m означает 0 или 1;

Z представляет собой, в каждом случае одинаковые или разные:

(d1) галоген; или

(d2) (C1-C8)алкил; и

n означает 0, 1 или 2,

где ни один из (C1-C8)алкилсульфонила, (C1-C8)алкокси(C1-C8)алкилсульфонила, (C3-C8)циклоалкилсульфонила и галоген-(C1-C8)алкилсульфонила не находится в положении 2 и в положении 4 пиридинового кольца.

(2) Противококцидное средство, содержащее соединение или соль указанного соединения по пункту (1) в качестве активного ингредиента, где:

R представляет собой (a1) (C1-C8)алкил;

R1 представляет собой:

(b1) (C1-C8)алкил;

(b2) галоген-(C1-C8)алкил;

(b3) (C3-C8)циклоалкил; или

(b6) арил, содержащий от одного до пяти одинаковых или разных заместителей, выбранных из (a) галогена, (b) (C1-C6)алкила, (c) галоген-(C1-C6)алкила, (d) (C1-C6)алкокси, (e) галоген-(C1-C6)алкокси, (f) (C1-C6)алкилтио, (g) галоген-(C1-C6)алкилтио, (h) (C1-C6)алкилсульфинила, (i) галоген-(C1-C6)алкилсульфинила, (j) (C1-C6)алкилсульфонила, (k) галоген-(C1-C6)алкилсульфонила и (l) триметилсилила;

X представляет собой O, S или NR2, где R2 принимает значения, определенные выше;

Y представляет собой (c1) галоген;

m представляет собой 0 или 1;

Z представляет собой, в каждом случае одинаковые или разные, (d1) галоген или (d2) (C1-C8)алкил;

n представляет собой 0, 1 или 2.

(3) Противококцидное средство, содержащее соединение бензимидазола или соль указанного соединения по пункту (1) в качестве активного ингредиента, где:

R представляет собой (a1) (C1-C8)алкил;

R1 представляет собой (b1) галоген-(C1-C8)алкил; и

m представляет собой 0.

(4) Противококцидное средство, содержащие соединение бензимидазола или соль указанного соединения по пункту (1) в качестве активного ингредиента, где:

R представляет собой (a1) (C1-C8)алкил;

R1 представляет собой (b1) галоген-(C1-C8)алкил;

m представляет собой 0;

Z представляет собой, в каждом случае одинаковые или разные, (d1) галоген; или (d2) (C1-C8)алкил; и

n представляет собой 2.

(5) Способ применения противококцидного средства, где указанный способ включает введение эффективного количества противококцидного средства по любому из пунктов с (1) по (4) субъекту-животному, за исключением человека.

(6) Способ по пункту (5), в котором субъект-животное представляет собой птицу.

(7) Способ по пункту (5), в котором субъект-животное представляет собой цыпленка (молодую курицу).

(8) Способ контроля кокцидий, где указанный способ включает введение противококцидного средства по любому из пунктов с (1) по (4) субъекту-животному, за исключением человека.

(9) Способ по пункту (8), в котором субъект-животное представляет собой птицу.

(10) Способ по пункту (8), в котором субъект-животное представляет собой цыпленка.

(11) Соединение бензимидазола, представленное общей формулой (1-1), или соль указанного соединения, где общая формула (1-1) представлена следующей структурой:

[Химическая формула 2]

где:

R1 представляет собой:

(b1) (C1-C8)алкил;

(b2) галоген-(C1-C8)алкил;

(b3) (C3-C8)циклоалкил;

(b4) (C1-C8)алкокси(C1-C8)алкил;

(b5) арил; или

(b6) арил, содержащий от одного до пяти одинаковых или разных заместителей, выбранных из (a) галогена, (b) (C1-C6)алкила, (c) галоген-(C1-C6)алкила, (d) (C1-C6)алкокси, (e) галоген-(C1-C6)алкокси, (f) (C1-C6)алкилтио, (g) галоген-(C1-C6)алкилтио, (h) (C1-C6)алкилсульфинила, (i) галоген-(C1-C6)алкилсульфинила, (j) (C1-C6)алкилсульфонила, (k) галоген-(C1-C6)алкилсульфонила и (l) триметилсилила;

X представляет собой O, S, SO, SO2 или NR2, где R2 представляет собой водород, (C1-C6)алкил, (C1-C6)алкилкарбонил, (C1-C6)алкоксикарбонил, (C1-C6)алкилсульфонил или галоген-(C1-C6)алкилсульфонил; или

R2 в NR2 может объединяться с R1 и вместе с атомом азота, к которому присоединен, образовывать незамещенный или монозамещенный 5-8-членный насыщенный азотсодержащий алифатический гетероцикл, где заместитель, который может содержать алифатический гетероцикл, представляет собой этоксикарбонил или (C5-C8)алкилендиокси, и где алкилендиокси присоединен к одному атому углерода;

Y представляет собой (c1) галоген;

m означает 0 или 1;

Z представляет собой, в каждом случае одинаковые или разные:

(d1) галоген; или

(d2) (C1-C8)алкил; и

n означает 0, 1 или 2,

где ни один из (C1-C8)алкилсульфонила, (C1-C8)алкокси(C1-C8)алкилсульфонила, (C3-C8)циклоалкилсульфонила и галоген-(C1-C8)алкилсульфонила не находится в положении 2 и в положении 4 пиридинового кольца.

(12) Соединение бензимидазола или соль указанного соединения по пункту (11), где:

R1 представляет собой:

(b1) (C1-C8)алкил;

(b2) галоген-(C1-C8)алкил;

(b3) (C3-C8)циклоалкил; или

(b6) арил, содержащий от одного до пяти одинаковых или разных заместителей, выбранных из (a) галогена, (b) (C1-C6)алкила, (c) галоген-(C1-C6)алкила, (d) (C1-C6)алкокси, (e) галоген-(C1-C6)алкокси, (f) (C1-C6)алкилтио, (g) галоген-(C1-C6)алкилтио, (h) (C1-C6)алкилсульфинила, (i) галоген-(C1-C6)алкилсульфинила, (j) (C1-C6)алкилсульфонила, (k) галоген-(C1-C6)алкилсульфонила и (l) триметилсилила;

X представляет собой O, S или NR2, где R2 принимает значения, определенные выше;

Y представляет собой (c1) галоген;

m представляет собой 0 или 1;

Z представляет собой, в каждом случае одинаковые или разные: (d1) галоген; или (d2) (C1-C8)алкил; и

n представляет собой 0, 1 или 2.

(13) Соединение бензимидазола или соль указанного соединения по пункту (11), где:

R1 представляет собой (b1) галоген-(C1-C8)алкил; и

m представляет собой 0.

(14) Соединение бензимидазола или соль указанного соединения по пункту (11), где:

R1 представляет собой (b1) галоген-(C1-C8)алкил;

m представляет собой 0; и

Z представляет собой, в каждом случае одинаковые или разные:

(d1) галоген; или

(d2) (C1-C8)алкил; и

n равно 2.

(15) Противококцидное средство, содержащее соединение бензимидазола или соль указанного соединения по любому из пунктов с (11) по (14) в качестве активного ингредиента.

(16) Способ применения противококцидного средства, где указанный способ включает введение эффективного количества противококцидного средства по пункту (15) субъекту-животному, за исключением человека.

(17) Способ по пункту (16), в котором субъект-животное представляет собой птицу.

(18) Способ по пункту (16), в котором субъект-животное представляет собой цыпленка.

(19) Способ контроля кокцидий, где указанный способ включает введение соединения бензимидазола или соли указанного соединения по любому из пунктов с (11) по (14) субъекту-животному, за исключением человека.

(20) Способ по пункту (19), в котором субъект-животное представляет собой птицу.

(21) Способ по пункту (19), в котором субъект-животное представляет собой цыпленка.

Полезные эффекты изобретения

[0007]

Соединение бензимидазола, содержащее пиридил в положении 2 и N-алкилсульфонил, или соль указанного соединения по настоящему изобретению обладает превосходной эффективностью в качестве противококцидного средства. В настоящем изобретении предложена также композиция, содержащая противококцидное средство, для домашних животных.

Описание вариантов осуществления изобретения

[0008]

В определениях общих формул (1) и (1-1), представляющих соединения бензимидазола, содержащие пиридил, присоединенный в положении 2, (и содержащие N-алкилсульфонил) или соли указанных соединений по настоящему изобретению, термин «галоген» означает «атом галогена» и относится к атому фтора, хлора, брома или йода.

[0009]

Термин «(C1-C8)алкил» относится к линейной или разветвленной алкильной группе, содержащей от 1 до 8 атомов углерода, такой как метил, этил, н-пропил, изопропил, н-бутил, изобутил, втор-бутил, трет-бутил, н-пентил, изопентил, трет-пентил, неопентил, 2,3-диметилпропил, 1-этилпропил, 1-метилбутил, 2-метилбутил, н-гексил, изогексил, 2-гексил, 3-гексил, 2-метилпентил, 3-метилпентил, 1,1,2-триметилпропил, 3,3-диметилбутил, н-гептил, 2-гептил, 3-гептил, 2-метилгексил, 3-метилгексил, 4-метилгексил, изогептил или н-октил. Термин «(C2-C8)алкенил» относится к линейной или разветвленной алкенильной группе, содержащей от 2 до 8 атомов углерода, такой как винил, аллил, изопропенил, 1-бутенил, 2-бутенил, 2-метил-2-пропенил, 1-метил-2-пропенил, 2-метил-1-пропенил, пентенил, 1-гексенил, 3,3-диметил-1-бутенил, гептенил или октенил. Термин «(C2-C8)алкинил» относится к линейной или разветвленной алкинильной группе, содержащей от 2 до 8 атомов углерода, такой как этинил, 1-ропинил, 2-пропинил, 1-бутинил, 2-бутинил, 3-бутинил, 3-метил-1-пропинил, 2-метил-3-пропинил, пентинил, 1-гексинил, 3-метил-1-бутинил, 3,3-диметил-1-бутинил, гептинил или актинил.

[0010]

Термин «(C1-C6)алкил» относится к линейной или разветвленной алкильной группе, содержащей от 1 до 6 атомов углерода, такой как метил, этил, н-пропил, изопропил, н-бутил, изобутил, втор-бутил, трет-бутил, н-пентил, изопентил, трет-пентил, неопентил, 2,3-диметилпропил, 1-этилпропил, 1-метилбутил, 2-метилбутил, н-гексил, изогексил, 2-гексил, 3-гексил, 2-метилпентил, 3-метилпентил, 1,1,2-триметилпропил или 3,3-диметилбутил.

[0011]

Термин «(C3-C8)циклоалкил» относится к циклической алкильной группе, содержащей от 3 до 8 атомов углерода, такой как циклопропил, циклобутил, циклопентил, циклогексил, циклогептил или циклооктил. Термин «(C1-C8)алкокси» относится к линейной или разветвленной алкокси-группе, содержащей от 1 до 8 атомов углерода, такой как метокси, этокси, н-пропокси, изополплкси, н-бутокси, втор-бутокси, трет-бутокси, н-пентилокси, изопентилокси, трет-пентилокси, неопентилокси, 2,3-диметилппропокси, 1-этилпропокси, 1-метилбутокси, н-гексилокси, изогексилокси, 1,1,2-триметилпропокси, н-гептилокси или н-октилокси.

[0012]

Термин «(C3-C6)циклоалкил» относится к циклической алкильной группе, содержащей от 3 до 6 атомов углерода, такой как циклопропил, циклобутил, циклопентил или циклогексил. Термин «(C1-C6)алкокси» относится к линейной или разветвленной алкокси-группе, содержащей от 1 до 6 атомов углерода, такой как метокси, этокси, н-пропокси, изопропокси, н-бутокси, втор-бутокси, трет-бутокси, н-пентилокси, изопентилокси, трет-пентилокси, неопентилокси, 2,3-диметилпропокси, 1-этилпропокси, 1-метилбутокси, н-гексилокси, изогексилокси или 1,1,2-триметилпропокси.

[0013]

Термин «(C1-C8)алкилтио» относится к линейной или разветвленной алкилтио-группе, содержащей от 1 до 8 атомов углерода, такой как метилтио, этилтио, н-пропилтио, изопропилтио, н-бутилтио, втор-бутилтио, трет-бутилтио, н-пентилтио, изопентилтио, трет-пентилтио, неопентилтио, 2,3-диметилпропилтио, 1-этилпропилтио, 1-метилбутилтио, н-гексилтио, изогексилтио, 1,1,2-триметилпропилтио, н-гептилтио или н-октилтио. Термин «(C1-C8)алкилсульфинил» относится к линейной или разветвленной алкилсульфинильной группе, содержащей от 1 до 8 атомов углерода, такой как метилсульфинил, этилсульфинил, н-пропилсульфинил, изопропилсульфинил, н-бутилсульфинил, втор-бутилсульфинил, трет-бутилсульфинил, н-пентилсульфинил, изопентилсульфинил, трет-пентилсульфинил, неопентилсульфинил, 2,3-диметилпропилсульфинил, 1-этилпропилсульфинил, 1-метилбутилсульфинил, н-гексилсульфинил, изогексилсульфинил, 1,1,2-триметилпропилсульфинил, н-гептилсульфинил или н-октилсульфинил. Термин «(C1-C8)алкилсульфонил» относится к линейной или разветвленной алкилсульфонильной группе, содержащей от 1 до 8 атомов углерода, такой как метилсульфонил, этилсульфонил, н-пропилсульфонил, изопропилсульфонил, н-бутилсульфонил, втор-бутилсульфонил, трет-бутилсульфонил, н-пентилсульфонил, изопентилсульфонил, трет-пентилсульфонил, неопентилсульфонил, 2,3-диметилпропилсульфонил, 1-этилпропилсульфонил, 1-метилбутилсульфонил, н-гексилсульфонил, изогексилсульфонил, 1,1,2-триметилпропилсульфонил, н-гептилсульфонил или н-октилсульфонил.

[0014]

Термин «(C1-C6)алкилтио» относится к линейной или разветвленной алкилтио-группе, содержащей от 1 до 6 атомов углерода, такой как метилтио, этилтио, н-пропилтио, изопропилтио, н-бутилтио, втор-бутилтио, трет-бутилтио, н-пентилтио, изопентилтио, трет-пентилтио, неопентилтио, 2,3-диметилпропилтио, 1-этилпропилтио, 1-метилбутилтио, н-гексилтио, изогексилтиоo или 1,1,2-триметилпропилтиоo. Термин «(C1-C6)алкилсульфинил» относится к линейной или разветвленной алкилсульфинильной группе, содержащей от 1 до 6 атомов углерода, такой как метилсульфинил, этилсульфинил, н-пропилсульфинил, изопропилсульфинил, н-бутилсульфинил, втор-бутилсульфинил, трет-бутилсульфинил, н-пентилсульфинил, изопентилсульфинил, трет-пентилсульфинил, неопентилсульфинил, 2,3-диметилпропилсульфинил, 1-этилпропилсульфинил, 1-метилбутилсульфинил, н-гексилсульфинил, изогексилсульфинил или 1,1,2-триметилпропилсульфинил. Термин «(C1-C6)алкилсульфонил» относится к линейной или разветвленной алкилсульфонильной группе, содержащей от 1 до 6 атомов углерода, такой как метилсульфонил, этилсульфонил, н-пропилсульфонил, изопропилсульфонил, н-бутилсульфонил, втор-бутилсульфонил, трет-бутилсульфонил, н-пентилсульфонил, изопентилсульфонил, трет-пентилсульфонил, неопентилсульфонил, 2,3-диметилпропилсульфонил, 1-этилпропилсульфонил, 1-метилбутилсульфонил, н-гексилсульфонил, изогексилсульфонил или 1,1,2-триметилпропилсульфонил.

[0015]

Группы «(C1-C8)алкил», «(C2-C8)алкенил», «(C2-C8)алкинил», «(C3-C8)циклоалкил», «(C1-C8)алкокси», «(C1-C8)алкилтио», «(C1-C8)алкилсульфинил» и «(C1-C8)алкилсульфонил» могут быть замещенными одним или несколькими атомами галогенов в положении или положениях, подходящих для замещения. Когда замещение осуществлено двумя или большим количеством атомов галогенов, эти атомы галогенов могут быть одинаковыми или разными. Каждая из групп, замещенная одним или несколькими атомами галогенов, представлена, соответственно, как «галоген-(C1-C8)алкил», «галоген-(C2-C8)алкенил», «галоген-(C2-C8)алкинил», «галоген-(C3-C8)циклоалкил», «галоген-(C1-C8)алкокси», «галоген-(C1-C8)алкилтио», «галоген-(C1-C8)алкилсульфинил» или «галоген-(C1-C8)алкилсульфонил».

[0016]

Группы «(C1-C6)алкил», «(C2-C6)алкенил», «(C2-C6)алкинил», «(C3-C6)циклоалкил», «(C1-C6)алкокси», «(C1-C6)алкилтио», «(C1-C6)алкилсульфинил» и «(C1-C6)алкилсульфонил» могут быть замещенными одним или несколькими атомами галогенов в положении или положениях, подходящих для замещения. Когда замещение осуществляется двумя или большим количеством атомов галогенов, эти атомы галогенов могут быть одинаковыми или разными. Каждая из групп, замещенная одним или большим количеством атомов галогенов, представлена, соответственно, как «галоген-(C1-C6)алкил», «галоген-(C2-C6)алкенил», «галоген-(C2-C6)алкинил», «галоген-(C3-C6)циклоалкил», «галоген-(C1-C6)алкокси», «галоген-(C1-C6)алкилтио», «галоген-(C1-C6)алкилсульфинил» или «галоген-(C1-C6)алкилсульфонил».

[0017]

В терминах фрагменты «(C1-C6)», «(C2-C6)», «(C3-C6)», «(C1-C8)», «(C2-C8)» и «(C3-C8)» относятся к интервалам количества атомов углерода различных заместителей. Такое определение также применимо к группе, с которой связаны указанные заместители, и, например, термин «(C3-C8)циклоалкил(C1-C8)алкил» относится к линейной или разветвленной алкильной группе, содержащей от 1 до 8 атомов углерода, с которой соединяется циклоалкильная группа, содержащая от 3 до 8 атомов углерода.

[0018]

Неограничивающие примеры соли соединения бензимидазола, представленного общей формулой (1) или (1-1) по настоящему изобретению, включают соли неорганических кислот, такие как гидрохлориды, сульфаты, нитриты и фосфаты; соли органических кислот, такие как ацетаты, фумараты, малеаты, оксалаты, метансульфонаты, бензолсульфонаты и п-толуолсульфонаты; и соли с неорганическим или органическим основанием, таким как ион натрия, калия, кальция или триметиламмония.

[0019]

Соединение бензимидазола, представленное общей формулой (1) или (1-1), или соль указанного соединения по настоящему изобретению может содержать в структурной формуле один амимметричный центр, и настоящее изобретение включает или охватывает все оптические изомеры и смеси этих изомеров в любом соотношении.

[0020]

В соединении бензимидазола, представленном общей формулой (1), или в соли указанного соединения, которые выступают в качестве активного ингредиента в противококцидном средстве по настоящему изобретению,

R предпочтительно представляет собой (a1) (C1-C8)алкил;

R1 предпочтительно представляет собой:

(b1) (C1-C8)алкил;

(b2) галоген-(C1-C8)алкил;

(b3) (C3-C8)циклоалкил; или

(b6) арил, содержащий от одного до пяти одинаковых или разных заместителей, выбранных из (a) галогена, (b) (C1-C6)алкила, (c) галоген-(C1-C6)алкила, (d) (C1-C6)алкокси, (e) галоген-(C1-C6)алкокси, (f) (C1-C6)алкилтио, (g) галоген-(C1-C6)алкилтио, (h) (C1-C6)алкилсульфинила, (i) галоген-(C1-C6)алкилсульфинила, (j) (C1-C6)алкилсульфонила, (k) галоген-(C1-C6)алкилсульфонила и (l) триметилсилила;

X предпочтительно представляет собой O, S или NR2, где R2 принимает значения, определенные выше;

Y предпочтительно представляет собой (c1) галоген; и m предпочтительно представляет равно 0 или 1;

Z предпочтительно представляет собой, в каждом случае одинаковые или разные, (d1) галоген; или (d2) (C1-C8)алкил; и n предпочтительно представляет собой 0, 1 или 2.

Более предпочтительно, R представляет собой (a1) (C1-C8)алкил; R1 представляет собой (b1) галоген-(C1-C8)алкил; и m представляет собой 0.

Еще более предпочтительно, R представляет собой (a1) (C1-C8)алкил; R1 представляет собой (b1) галоген-(C1-C8)алкил; m представляет собой 0; Z представляет собой, в каждом случае одинаковые или разные, (d1) галоген или (d2) (C1-C8)алкил; и n представляет собой 2.

[0021]

Соединение бензимидазола, представленное общей формулой (1-1), или соль указанного соединения по настоящему изобретению применимы в качестве промежуточного продукта для получения соединения бензимидазола, представленного общей формулой (1), или соли указанного соединения.

Авторы настоящего изобретения установили, что соединение бензимидазола, представленное общей формулой (1), быстро подвергается гидролизу в присутствии воды и превращается в соответствующее соединение бензимидазола, представленное общей формулой (1-1). Кроме того, авторы настоящего изобретения установили, что при анализе крови субъекта-животного после введения соединения бензимидазола, представленного общей формулой (1), или соли указанного соединения в крови обнаруживается соответствующее соединение бензимидазола, представленное общей формулой (1-1). Это указывает на то, что противококцидная активность соединения бензимидазола, представленного общей формулой (1), или соли указанного соединения может быть получена из соединения бензимидазола, представленного общей формулой (1-1), или соли указанного соединения, которое является промежуточным продуктом первого соединения. Таким образом, соединение бензимидазола, представленное общей формулой (1), или соль указанного соединения с высокой вероятностью является пролекарством.

[0022]

Кроме того, было установлено, что соединение бензимидазола, представленное общей формулой (1-1), или соль указанного соединения также обладает противококцидной активностью, как показано в примерах, описанных ниже. Следовательно, соединение бензимидазола, представленное общей формулой (1-1), или соль указанного соединения может применяться в качестве активного ингредиента в противококцидном средстве.

[0023]

В соединении бензимидазола, представленном общей формулой (1-1), или в соли указанного соединения по настоящему изобретению

R1 предпочтительно представляет собой:

(b1) (C1-C8)алкил;

(b2) галоген-(C1-C8)алкил;

(b3) (C3-C8)циклоалкил; или

(b6) арил, содержащий от одного до пяти одинаковых или разных заместителей, выбранных из (a) галогена, (b) (C1-C6)алкила, (c) галоген-(C1-C6)алкила, (d) (C1-C6)алкокси, (e) галоген-(C1-C6)алкокси, (f) (C1-C6)алкилтио, (g) галоген-(C1-C6)алкилтио, (h) (C1-C6)алкилсульфинила, (i) галоген-(C1-C6)алкилсульфинила, (j) (C1-C6)алкилсульфонила, (k) галоген-(C1-C6)алкилсульфонила и (l) триметилсилила;

X предпочтительно представляет собой O, S или NR2, где R2 принимает значения, определенные выше;

Y предпочтительно представляет собой (c1) галоген;

m предпочтительно представляет собой 0 или 1;

Z предпочтительно представляет собой, в каждом случае одинаковые или разные, (d1) галоген; или (d2) (C1-C8)алкил; и

n предпочтительно представляет собой 0, 1 или 2.

Более предпочтительно, R1 представляет собой (b1) галоген-(C1-C8)алкил; и m представляет собой 0.

Еще более предпочтительно, R1 представляет собой (b1) галоген-(C1-C8)алкил; m представляет собой 0; Z представляет собой, в каждом случае одинаковые или разные, (d1) галоген; или (d2) (C1-C8)алкил; и n представляет собой 2.

[0024]

Соединения бензимидазола, представленные общей формулой (1) и (1-1), или соли указанных соединений, которые выступают в качестве активных ингредиентов в противококцидных средствах по настоящему изобретению, обычно могут быть получены способами, описанными далее. Однако настоящее изобретения не ограничивается указанными способами.

[0025]

Способ получения 1

[Химическая формула 3]

На схеме R, R1, X, Y, Z, m и n принимают значения, определенные выше; и hal представляет собой галоген.

[0026]

Стадия А способа получения

Нитрильное соединение, представленное общей формулой (2-2), может быть получено взаимодействием соединения, представленного общей формулой (2-3), с соединением, представленным общей формулой (4), в присутствии основания и инертного растворителя.

[0027]

Неограничивающие примеры основания для применения в настоящей реакции включают неорганические основания, такие как гидроксид натрия, гидроксид калия, карбонат натрия, карбонат калия, гидрокарбонат натрия и гидрокарбонат калия; ацетаты, такие как ацетат натрия и ацетат калия; алкоксиды щелочных металлов, такие как трет-бутоксид калия, метоксид натрия и этоксид натрия; третичные амины, такие как триэтиламин, диизопропилэтиламин и 1,8-диазабицикло[5.4.0]ундец-7-ен; и азотсодержащие ароматические соединения, такие как пиридин и диметиламинопиридин. Основание используется в количестве в интервале от равного числу молей соединения, представленного формулой (4), до в 10 раз превышающего число молей соединения, представленного общей формулой (4).

[0028]

Инертный растворитель для применения в настоящей реакции может представлять собой любой растворитель, если он не существенно ингибирует ход настоящей реакции, и неограничивающие примеры таких инертных растворителей включают ароматические углеводороды, такие как бензол, толуол и ксилол; галогенированные углеводороды, такие как метиленхлорид, хлороформ и тетрахлорметан; галогенированные ароматические углеводороды, такие как хлорбензол и дихлорбензол; ациклические или циклические простые эфиры, такие как диэтиловый эфир, метил-трет-бутиловый эфир, диоксан и тетрагидрофуран; сложные эфиры, такие как этилацетат; амиды, такие как диметилформамид и диметилацетамид; кетоны, такие как ацетон и метилэтилкетон; и полярные растворители, такие как диметилсульфоксид, 1,3-диметил-2-имидазолидинон и N-метилпирролидон. Каждый из этих инертных растворителей может использоваться сам по себе или в комбинации.

[0029]

Настоящая реакция является эквимолярной реакцией, следовательно, каждый реагент может использоваться в эквимолярном количестве, но любой из реагентов также может использоваться в избытке. Температура реакции может находиться в диапазоне от комнатной температуры до температуры кипения используемого инертного растворителя. Продолжительность реакции может изменяться в зависимости от величины загрузки и температуры реакции, но может составлять от нескольких минут до 48 часов.

[0030]

После завершения реакции целевое соединение может выделяться из реакционной системы, содержащей целевое соединение, обычным методом. Таким образом, целевое соединение может быть получено после очистки, когда она необходима, обычно перекристаллизацией или колоночной хроматографией. Альтернативно, целевое соединение в качестве промежуточного продукта может использоваться в следующей стадии без выделения из реакционной системы.

[0031]

Стадия В способа получения

Соединение карбоновой кислоты, представленное общей формулой (2-1), может быть получено взаимодействием нитрильного соединения, представленного общей формулой (2-2), в присутствии основания и инертного растворителя.

[0032]

Примеры основания для применения в настоящей реакции включают неорганические основания, такие как гидроксид натрия, гидроксид калия, карбонат натрия, карбонат калия, гидрокарбонат натрия и гидрокарбонат калия; и ацетаты, такие как ацетат натрия и ацетат калия. Основание обычно используется в количестве в интервале от равного числу молей соединения, представленного общей формулой (2-2), до в 10 раз превышающего число молей соединения, представленного общей формулой (2-2).

[0033]

Инертный растворитель для применения в настоящей реакции может представлять собой любой растворитель, если он не существенно ингибирует ход настоящей реакции, и неограничивающие примеры таких инертных растворителей включают спирты, такие как метанол, этанол, пропанол и изопропанол; ароматические углеводороды, такие как бензол, толуол и ксилол; галогенированные ароматические углеводороды, такие как хлорбензол и дихлорбензол; ациклические или циклические простые эфиры, такие как диэтиловый эфир, метил-трет-бутиловый эфир, диоксан и тетрагидрофуран; амиды, такие как диметилформамид и диметилацетамид; кетоны, такие как ацетон и метилэтилкетон; полярные растворители, такие как диметилсульфоксид, 1,3-диметил-2-имидазолидинон и N-метилпирролидон; а также воду. Каждый из этих инертных растворителей может использоваться сам по себе или в комбинации.

[0034]

После завершения реакции целевое соединение может выделяться из реакционной системы, содержащей целевое соединение, обычным методом. Таким образом, целевое соединение может быть получено после очистки, когда она необходима, обычно перекристаллизацией или колоночной хроматографией.

[0035]

Стадия С способа получения

Амидное соединение, представленное общей формулой (2), может быть получено взаимодействием производного карбоновой кислоты, представленного общей формулой (2-1), с диамином, представленным общей формулой (3), в присутствии конденсирующего агента, основания и инертного растворителя.

[0036]

Неограничивающие примеры конденсирующего агента для применения в настоящей реакции включают диэтилфосфороцианидат (DEPC), карбонилдиимидазол (CDI), 1,3-дициклогексилкарбодиимид (DCC), гидрохлорид 1-этил-3-(3-диметиламинопропил)карбодиимида (EDC⋅HCl), сложные эфиры хлоругольной кислоты и йодид 2-хлор-1-метилиридиния. Конденсирующий агент используется в количестве, соответствующим образом выбранном в интервале от равного числу молей соединения, представленного общей формулой (2-1), до в 1,5 раз превышающего число молей соединения, представленного общей формулой (2-1).

[0037]

Неограничивающие примеры основания для применения в настоящей реакции включают неорганические основания, такие как гидроксид натрия, гидроксид калия, карбонат натрия, карбонат калия, гидрокарбонат натрия и гидрокарбонат калия; ацетаты, такие как ацетат натрия и ацетат калия; алкоксиды щелочных металлов, такие как трет-бутоксид калия, метоксид натрия и этоксид натрия; третичные амины, такие как триэтиламин, диизопропилэтиламин и 1,8-диазабицикло[5.4.0]ундец-7-ен; и азотсодержащие ароматические соединения, такие как пиридин и диметиламинопиридин. Основание используется в количестве в интервале от равного числу молей соединения, представленного общей формулой (2-1), до в 10 раз превышающего число молей соединения, представленного общей формулой (2-1).

[0038]

Инертный растворитель для применения в данной реакции может представлять собой любой растворитель, если он не существенно ингибирует ход настоящей реакции, и неограничивающие примеры таких инертных растворителей включают ароматические углеводороды, такие как бензол, толуол и ксилол; галогенированные углеводороды, такие как метиленхлорид, хлороформ и тетрахлорметан; галогенированные ароматические углеводороды, такие как хлорбензол и дихлорбензол; ациклические или циклические простые эфиры, такие как диэтиловый эфир, метил-трет-бутиловый эфир, диоксан и тетрагидрофуран; сложные эфиры, такие как этилацетат; амиды, такие как диметилформамид и диметилацетамид; кетоны, такие как ацетон и метилэтилкетон; полярные растворители, такие как диметилсульфоксид, 1,3-диметил-2-имидазолидинон и N-метилпирролидон; и азотсодержащие ароматические соединения, такие как пиридин. Каждый из этих инертных растворителей может использоваться сам по себе или в комбинации.

[0039]

Настоящая реакция является эквимолярной реакцией, следовательно, каждый реагент может использоваться в эквимолярном количестве, но любой из реагентов также может использоваться в избытке. Температура реакции но может находиться в диапазоне от комнатной температуры до температуры кипения инертного растворителя. Продолжительность реакции может изменяться в зависимости от величины загрузки и температуры реакции, но может составлять от нескольких минут до 48 часов.

[0040]

После завершения реакции целевое соединение выделяется из реакционной системы, содержащей целевое соединение, обычным методом. Таким образом, целевое соединение может быть получено после очистки, когда она необходима, обычно перекристаллизацией или колоночной хроматографией. Альтернативно, целевое соединение в качестве промежуточного продукта может использоваться в следующей стадии без выделения из реакционной системы.

[0041]

Стадия D способа получения

Соединение бензимидазола, представленное общей формулой (1-1), может быть получено взаимодействием амидного соединения, представленного общей формулой (2), в присутствии кислоты и инертного растворителя.

[0042]

Неограничивающие примеры кислоты для применения в реакции включают неорганические кислоты, такие как соляная кислота, серная кислота и азотная кислота; органические кислоты, такие как муравьиная кислота, уксусная кислота, пропионовая кислота, трифторуксусная кислота и бензойная киcлота; сульфоновые кислоты, такие как метансульфоновая кислота, трифторметансульфоновая кислота и п-толуолсульфоновая кислота; и фосфорные кислоты. Кислота используется в количестве, соответствующим образом выбранном в интервале от равного 0,01 моля соединения, представленного общей формулой (2), до в 10 раз превышающего число молей соединения, представленного общей формулой (2).

[0043]

Инертный растворитель для применения в настоящей реакции может представлять собой любой растворитель, если он не существенно ингибирует ход настоящей реакции, и неограничивающие примеры таких инертных растворителей включают ароматические углеводороды, такие как бензол, толуол и ксилол; галогенированные углеводороды, такие как метиленхлорид, хлороформ и тетрахлорметан; галогенированные ароматические углеводороды, такие как хлорбензол и дихлорбензол; ациклические или циклические простые эфиры, такие как диэтиловый эфир, метил-трет-бутиловый эфир, диоксан и тетрагидрофуран; сложные эфиры, такие как этилацетат; амиды, такие как диметилформамид и диметилацетамид; кетоны, такие как ацетон и метилэтилкетон; и полярные растворители, такие как диметилсульфоксид, 1,3-диметил-2-имидазолидинон и N-метилпирролидон. Каждый из этих инертных растворителей может использоваться сам по себе или в комбинации.

После завершения реакции целевое соединение выделяют из реакционной системы, содержащей целевое соединение, обычным методом. Таким образом, целевое соединение может быть получено после очистки, когда она необходима, обычно перекристаллизацией или колоночной хроматографией.

[0044]

Стадия Е способа получения

Соединение бензимидазола, представленное общей формулой (1), может быть получено взаимодействием соединения бензимидазола, представленного общей формулой (1-1), с сульфонилхлоридом RSO2Cl в присутствии инертного растворителя и основания.

[0045]

Неограничивающие примеры основания для применения в настоящей реакции включают неорганические основания, такие как гидрид натрия, гидроксид натрия, гидроксид калия, карбонат натрия, карбонат калия, гидрокарбонат натрия и гидрокарбонат калия; и ацетаты, какие как ацетат натрия и ацетат калия. Основание обычно используется в количестве в интервале от равного числу молей соединения, представленного общей формулой (1-1), до в 10 раз превышающего число молей соединения, представленного общей формулой (1-1).

Сульфонилхлорид RSO2Cl обычно используется в количестве в интервале от равного числу молей соединения, представленного общей формулой (1-1), до в 10 раз превышающего число молей соединения, представленного общей формулой (1-1).

[0046]

Инертный растворитель для применения в настоящей реакции может представлять собой любой растворитель, если он не существенно ингибирует ход настоящей реакции. Неограничивающие примеры таких инертных растворителей включают ароматические углеводороды, такие как бензол, толуол и ксилол; галогенированные углеводороды, такие как метиленхлорид, хлороформ и тетрахлорметан; галогенированные ароматические углеводороды, такие как хлорбензол и дихлорбензол; ациклические или циклические простые эфиры, такие как диэтиловый эфир, тетрагидрофуран (ТГФ) и диоксан. Каждый из этих инертных растворителей может использоваться сам по себе или в комбинации.

[0047]

Температура реакции обычно может находиться в интервале от примерно 0°C до температуры кипения используемого растворителя. Продолжительность реакции может изменяться в зависимости от величины загрузки и температуры реакции, но может быть соответствующим образом выбрана в интервале от нескольких минут до 48 часов.

[0048]

После завершения реакции целевое соединение выделяется обычным методом. Таким образом, целевое соединение может быть получено после очистки, когда она необходима, обычно перекристаллизацией или перегонкой.

[0049]

Далее представлены конкретные примеры соединения по настоящему изобретению и его промежуточного продукта. В представленных далее таблицах Me означает метил, Et - этил, n-Pro - нормальный пропил, n-Bu - нормальный бутил, n-Pen - нормальный пентил, n-Hex - нормальный гексил, c-Pro - циклопропил, c-Pen - циклопентил, c-Hep - циклогептил, Ph - фенил, и TMS - триметилсилил. В графе «Физическое свойство» приводится температура плавления (°C) или указывается наличие данных H1-ЯМР. Данные H1-ЯМР представлены в таблице 5 и таблице 9.

[0050]

[Химическая формула 4]

[0051]

[Таблица 1]

Соединение номер R1 X Y1 Y2 Y3 Z1 Z2 Z3 Z4 R Физическое свойство 1-1 CF3CF2CH2 O H H H H Br H H Et 130-131 1-2 CF3CF2CH2 O H H H H H Br H Et 154-159 1-3 CF3CF2CH2 O H H H H Me Me H Et 148-149 1-4 CF3CF2CH2 O H H H H Cl Cl H Et 177-178 1-5 CF3CF2CH2 O H H H H Br Br H Et 184-186 1-6 CF3CF2CH2 O H H H H H H H Me 170-172 1-7 CF3CF2CH2 O H H H H H H H Et 105-106 1-8 CF3CF2CH2 O H H H H H H H c-Pro 97-98 1-9 CF3CF2CH2 O H H H H H H H n-Bu 86-87 1-10 CF3CF2CH2 O H H H H H H H CF3 104-106 1-11 CF3CH2 O H H H H H H H Et 99-101 1-12 CHF2CF2CH2 O H H H H H H H Et 77-78 1-13 CF3CF2CF2CH2 O H H H H H H H Et 99-101 1-14 4-CF3SO2Ph O H H H H H H H Et 122-123 1-15 4-CF3SOPh O H H H H H H H Et 120-121 1-16 4-CF3SPh O H H H H H H H Et 135-136 1-17 4-CF3OPh O H H H H H H H Et 137-138 1-18 4-TMSPh O H H H H H H H Et 147-149 1-19 n-Hex O H H H H H H H Et 67-68 1-20 n-Pro O H H H H H H H Et 90-91 1-21 CH3OCH2CH2 O H H H H H H H Et 111-112 1-22 c-Pen O H H H H H H H Et 81-82 1-23 CF3CH2 O Cl H H H H H H Et 102-105 1-24 CHF2CF2CH2 O Cl H H H H H H Et 98-99 1-25 CF3CF2CH2 O Cl H H H H H H Et 88-90 1-26 n-Pro SO2 H H H H H H H Et 134-135 1-27 n-Pro SO H H H H H H H Et 118-119 1-28 n-Pro S H H H H H H H Et 110-111 1-29 n-Pro N(n-Pro) H H H H H H H Et 102-103

[0052]

[Химическая формула 5]

[0053]

[Таблица 2]

Соединение номер R1 X Y1 Y2 Y4 Z1 Z2 Z3 Z4 R Физическое свойство 2-1 CF3CF2CH2 O H H H H H H H Et ЯМР

[0054]

[Химическая формула 6]

[0055]

[Таблица 3]

Соединение номер R1 X Y2 Y3 Y4 Z1 Z2 Z3 Z4 R Физическое свойство 3-1 CF3CF2CH2 O H H H H H H H Et 93-94

[0056]

[Химическая формула 7]

[0057]

[Таблица 4]

Соединение номер N(R1)R2 Y1 Y2 Y3 Z1 Z2 Z3 Z4 R Физическое свойство 4-1 H H H H H H H Et ЯМР

[0058]

[Таблица 5]

Соединение номер Данные 1H-ЯМР (CDCl3) 2-1 8,33 (дд, 1H), 7,97-7,91 (м, 1H), 7,89-7,81 (м, 2H), 7,50-7,43 (м, 2H), 7,16 (дд, 1H), 4,89 (уш, 2H), 3,32 (кв, 2H), 1,21 (т, 3H) 4-1 8,56 (д, 1H), 7,99 (дд, 1H), 7,85 (дд, 1H), 7,79 (дд, 1H), 7,40 (м, 2H), 6,68 (д, 1H), 3,66 (м, 4H), 3,11 (кв, 2H), 1,67 (м, 5H), 1,51 (т, 1H), 1,04 (т, 3H)

[0059]

[Химическая формула 8]

[0060]

[Таблица 6]

Промежуточное соединение номер R1 X Y1 Y2 Y3 Z1 Z2 Z3 Z4 Физическое свойство 11-1 CF3CF2CH2 O H H H H Br H H 192-193 11-3 CF3CF2CH2 O H H H H Me Me H 163-165 11-4 CF3CF2CH2 O H H H H Cl Cl H 198-201 11-5 CF3CF2CH2 O H H H H Br Br H 218-220 11-6 CF3CF2CH2 O H H H H H H H 234-239 11-11 CF3CH2 O H H H H H H H 247-248 11-12 CHF2CF2CH2 O H H H H H H H 186-203 11-17 4-CF3OPh O H H H H H H H 214-215 11-18 4-TMSPh O H H H H H H H ЯМР 11-19 n-Hex O H H H H H H H 170-171 11-20 n-Pro O H H H H H H H ЯМР 11-21 CH3OCH2CH2 O H H H H H H H ЯМР 11-22 c-Pen O H H H H H H H 237-238 11-23 CF3CH2 O Cl H H H H H H 182-184 11-24 CHF2CF2CH2 O Cl H H H H H H 98-99 11-26 n-Pro SO2 H H H H H H H ЯМР 11-27 n-Pro SO H H H H H H H ЯМР 11-28 n-Pro S H H H H H H H 194-195 11-29 n-Pro N(n-Pro) H H H H H H H 187-188

[0061]

[Химическая формула 9]

[0062]

[Таблица 7]

Промежуточное соединение номер R1 X Y1 Y2 Y4 Z1 Z2 Z3 Z4 Физическое свойство 12-1 CF3CF2CH2 O H H H H H H H 106-107

[0063]

[Химическая формула 10]

[0064]

[Таблица 8]

Соединение номер N(R1)R2 Y1 Y2 Y3 Z1 Z2 Z3 Z4 Физическое свойство 14-1 H H H H H H H ЯМР

[0065]

[Таблица 9]

Промежуточное соединение номер Данные 1H-ЯМР (растворитель) 11-18 11,5 (уш, 1H), 8,58-8,57 (м, 1H), 8,18-8,16 (м, 1H), 7,55-7,48 (м, 1H), 7,30-7,24 (м, 2H), 7,04-6,93 (м, 5H), 6,79-6,73 (м, 1H), 0,01 (c, 9H), (CDCl3) 11-20 12,9 (уш, 1H), 8,93-8,92 (м, 1H), 8,42-8,39 (м, 1H), 7,68-7,50 (м, 2H), 7,23-7,16 (м, 2H), 6,98 (дд, 1H), 4,30 (т, 2H), 1,78-1,75 (м, 2H), 1,00 (т, 3H), (ДМСО-d6) 11-21 12,9 (уш, 1H), 8,93 (дд, 1H), 8,41 (дд, 1H), 7,68-7,63 (м, 1H), 7,55-7,50 (м, 1H), 7,25-7,16 (м, 2H), 7,02 (дд, 1H), 4,47 (т, 2H), 3,70 (т, 2H), 3,31 (c, 3H), (ДМСО-d6) 11-26 12,9 (уш, 1H), 9,10-9,09 (м, 1H), 8,37-8,35 (м, 1H), 8,21 (дд, 1H), 8,02-8,00 (м, 1H), 7,90-7,88 (м, 1H), 7,54-7,51 (м, 2H), 3,46-3,42 (м, 2H), 1,86-1,80 (м, 1H), 1,07 (т, 3H), (ДМСО-d6) 11-27 12,8 (уш, 1H), 8,98-8,97 (м, 1H), 8,33-8,30 (м, 1H), 8,15-8,13 (м, 1H), 8,02-8,00 (м, 1H), 7,89-7,86 (м, 1H), 7,54-7,49 (м, 2H), 3,18-3,12 (м, 1H), 2,99-2,92 (м, 1H), 2,04-1,93 (м, 1H), 1,71-1,62 (м, 1H), 1,08 (т, 3H), (ДМСО-d6) 14-1 12,7 (уш, 1H), 8,57-8,54 (м, 1H), 8,02-7,98 (м, 1H), 7,89-7,86 (м, 1H), 7,82-7,79 (м, 1H), 7,46-7,38 (м, 2H), 6,73 (дд, 1H), 4,02 (т, 4H), 3,84-3,80 (м, 4H), 1,82-1,78 (м, 4H), (ДМСО-d6)

[0066]

Неограничивающие примеры животных, по которым применяют или которым вводят противококцидное средство по настоящему изобретению, включают домашних животных, таких как крупный рогатый скот, свиньи, кролики и птицы; и комнатных животных, таких как собаки, кролики и кошки (далее они обобщенно называются «субъект-животное», где термин «субъект-животное» не включает человека). Субъект-животное предпочтительно выбирают из птиц (домашней птицы), более предпочтительно из цыплят (молодых кур). Однако термин «субъект-животное» не ограничивается перечисленными выше животными. Термин «контроль» или приставка «противо-», когда используется в настоящем документе, относится к профилактике и лечению и включает эти значения.

[0067]

Кокцидиозы представляют собой инфекционные заболевания, вызываемые простейшими организмами, в основном принадлежащими к роду Eimeria, или другими простейшими, такими как Isospora (описаны в Kaitei Juui-Kiseichugaku/Kiseichubyougaku (in Japanese; «Revised Veterinary Parasitology/Parasitosis»), Vol. 1, General/Protozoa, published November 20, 2007, Kodansha Scientific, Ltd.).

[0068]

Известно, что среди кокцидозов, вызываемых простейшими рода Eimeria, кокцидозы цыплят обычно вызываются Eimeria tenella, Eimeria acervulina, Eimeria necatrix, Eimeria brunetti, Eimeria maxima, Eimeria mivati, Eimeria mitis, Eimeria precox и Eimeria hagani; а кокцидозы индейки обычно вызываются Eimeria meleagrimitis, Eimeria adenoids и Eimeria gallopovonis. Известно, что кокцидозы жвачных животных, таких как крупный рогатый скот и овцы, обычно вызываются Eimeria bovis, Eimeria zuernii, Eimeria auburnensis, Eimeria ellipsoidalis, Eimeria arloingi, Eimeria ovina и Eimeria parva. Известно, что кокцидозы свиней обычно вызываются Eimeria debliecki и Eimeria scabra. Кокцидозы кроликов, как известно, обычно вызываются Eimeria stiedai, Eimeria perforans, Eimeria magna, Eimeria media, Eimeria irresidua, Eimeria piriformis, Eimeria neoleporis, Eimeria intenstinalis и Eimeria matsubayashii. Однако простейшие рода Eimeria не ограничены видами, перечисленными выше.

[0069]

Кокцидозы, обусловленные простейшими рода Isospora (которые также называются Cystoisospora), как известно, обычно вызываются Isospora alamataensis, Isosporan anseris, Isospora bigemina, Isospora bronchocelae, Isospora heydorni, Isospora mandari, Isospora mejiro, Isospora peromysci, Isospora rara, Isospora thibetana, Isospora canis, Isospora ohioensis, Isospora felis, Isospora rivolta и Isospora suis. Простейшие рода Isospora не ограничены видами, перечисленными выше.

[0070]

При использовании противококцидного средства по настоящему изобретению соединение бензимидазола или соль указанного соединения может применяться без добавления любых других компонентов. Однако обычно соединение бензимидазола или соль указанного соединения предпочтительно объединяется с эксципиентом, таким как твердый носитель или жидкий носитель, и перед использованием вводится в препарат, например таблетки, порошки, гранулы, капсулы, растворимые в воде порошки, смачивающиеся порошки (вододиспергируемыe порошки) и суспензии, в соответствии с обычным методом (таким как методы, описанные в “Textbook of Pharmaceutics”, edited by OTSUKA, Akinobu et al., 1995, Nankodo Co., Ltd.). Неограничивающие примеры эксципиентов, используемых в качестве твердых носителей, включают лактозу, сахарозу, глюкозу, кукурузный крахмал, желатин, казеин, крахмал, гуммиарабик, производные целлюлозы и альгиновую кислоту. Неограничивающие примеры эксципиентов, используемых в качестве жидких носителей, включают воду, глицерин, растительные масла, жирные кислоты, сложные эфиры жирных кислот и сорбит.

[0071]

Противококцидное средство по настоящему изобретению может дополнительно содержать любые другие компоненты, примеры которых включают, но без ограничения, органические минералы, такие как пептид-цинк и пептид-железо; неорганические минералы, такие как карбонат цинка, карбонат марганца, сульфат железа и карбонат магния; витамины, такие как витамин A, витамин B, витамин C, витамин D, витамин E, витамин K, фолевая кислота, пантотеновая кислота и никотиновая кислота; люцерновую муку; и кукурузные хлопья. Для улучшения вкуса одновременно может вводиться, например, ароматизирующая добавка. При необходимости противококцидное средство может дополнительно содержать любую из обычных добавок, таких как бактерицидные средства, фунгицидные средства, противоглистные средства, антиоксиданты, красители, ароматизирующие добавки, вкусовые вещества и ферменты. Противококцидное средство предпочтительно используется после введения в препарат, например порошки, гранулы, жидкости и таблетки, обычным методом. Каждый из этих препаратов обычно может содержать в качестве активного ингредиента соединение бензимидазола или соль указанного соединения в количестве, составляющем от примерно 0,01 до примерно 95 процентов по массе (массовое соотношение).

[0072]

Противококцидное средство по настоящему изобретению, которое введено в препарат описанным выше способом, может применяться в неизмененном виде или, как правило, после разбавления водой. Дополнительно или альтернативно, любой из других материалов может использоваться в смеси с противококцидным средством либо использоваться одновременно или не одновременно с противококцидным средством. Неограничивающие примеры других материалов включают обычные добавки, такие как бактерицидные средства, фунгицидные средства, противогельминтные средства, антиоксиданты, красители, ароматизирующие добавки, вкусовые вещества и ферменты.

[0073]

Метод введения субъекту-животному противококцидного средства по настоящему изобретению не ограничен и может представлять собой известный метод, такой как рассеивание по корму или смешивание с кормом, как описано ниже. Доза противококцидного средства представляет собой эффективное количество для противококцидного воздействия на субъект-животное, то есть такое количество противококцидного средства по настоящему изобретению, введение которого повышает противококцидное воздействие на субъект-животное (например, сельскохозяйственную птицу) по сравнению со случаем, когда противококцидное средство не вводится, при условии, что остальные условия идентичны.

[0074]

Неограничивающим примером способа введения субъекту-животному противококцидного средства по настоящему изобретению является методика смешивания или желатинирования активного ингредиента противококцидного средства по настоящему изобретению и предоставление субъекту-животному свободного доступа к получению смешанного или желатинированного вещества. Эта методика может применяться в любом инкубаторе или брудере (например, на птицеферме). Указанный способ также может применяться при транспортировке птицы (субъекта-животного) из инкубатора в брудер.

[0075]

Другим неограничивающим примером способа введения, который может применяться согласно настоящему изобретению, является метод, который включает добавление предопределенного количество порошка водоростворимого полисахарида к активному ингредиенту противококцидного средства по настоящему изобретению с получением препарата, способного образовывать гель, разбавление указанного препарата водой с получением гелеобразного твердого вещества при использовании, как правило, в инкубаторе или брудере и введение с кормом субъекту-животному (т.е. предоставление свободного доступа к корму или прямое введение в кормовую культуру).

[0076]

Препарат с введенным в него противококцидным средством обычно используется отдельно, но может использоваться в виде разбавленного препарата после разбавления водой (то есть введением в виде раствора в питьевой воде). Обычно разбавленный препарат содержит активный(е) ингредиент(ы) в концентрации предпочтительно от примерно 10 до 10000 м.д., более предпочтительно от примерно 35 до 5000 м.д. Разбавленный препарат может вводиться при растворении от примерно 0,01 до примерно 500 г противококцидного средства в 1 л воды и выделением части раствора с дозой, предназначенной для введения. Предпочтительно, в 1 л воды растворяют от примерно 0,035 до примерно 350 г противококцидного средства перед введением.

[0077]

Разбавленный препарат, полученный описанным выше методом, может вводиться субъекту-животному обычно с помощью устройства добавления разбавленного препарата в питьевую воду. Вводимое количество (количество жидкости) разбавленного препарата может определяться приблизительно, обычно в соответствии с размером, фазой роста и плотностью вскармливания субъекта-животного (такого сельскохозяйственная птица), а также способом введения, но обычно составляет от примерно 300 до примерно 2000 литров на 10000 животных.

[0078]

В случае птиц-несушек и птиц мясных пород, противококцидное средство по настоящему изобретению может вводиться непрерывно в течение всего периода вскармливания субъекта-животного и предпочтительно вводится на стадии развития цыпленка (например, цыпленку возраста от 0 до 5 недель после выведения).

[0079]

Доза противококцидного средства может определяться обычно в соответствии с типом и размером субъекта-животного, но предпочтительно составляет от 0,005 до 2 г, более предпочтительно от 0,005 до 1 г, из расчета на общую дозу.

[0080]

Композицию противококцидного средства по настоящему изобретению получают добавлением противококцидного средства обычно в корм или питьевую воду или физиологический электролитный раствор для животных. Количество противококцидного средства, предназначенное для добавления, предпочтительно составляет от примерно 0,005 до примерно 10,0 процентов по массе из расчета на общую массу композиции противококцидного средства.

[0081]

Корм или питьевая вода либо физиологический электролитный раствор для субъекта-животного для применения в композиции противококцидного средства по настоящему изобретению могут быть любыми и конкретно не ограничены. Их неограничивающие примеры включают корма, полученные смешиванием подходящих компонентов. Неограничивающие примеры компонентов включают маис (кукурузу), рис, пшеницу или ячмень, майло, соевый жмых, пшеничные отруби, обезжиренные рисовые отруби, рыбную муку, сухое обезжиренное молоко, сухую молочную сыворотку, жиры и масла, люцерновую муку, муку из белой рыбы, соевое масло, сухой очищенный говяжий жир, пшеничную муку, рапсовое масло, мясокостную муку (перьевую муку), животные жиры и масла, фосфат кальция, муку из кукурузного глютена, патоку (сироп), муку из зародышей кукурузы, карбонат кальция, тркальцийфосфат, хлорид натрия, хлорид холина, витамины (такие как витамин А, витамин В1, витамин В2, витамин В6, витамин В12, витамин D, витамин Е, пантотенат кальция, никотинамид и фолиевая кислота), аминокислоты (такие как лизин и метионин), неорганические соли с добавлением микроэлементов (такие как сульфат магния, сульфат железа, сульфат меди, сульфат цинка, йодид калия и сульфат кобальта) и аттенуированные вакцины.

[0082]

Композиция противококцидного средства по настоящему изобретению может дополнительно содержать любой другой компонент. Неограничивающие примеры таких других компонентов включают минералы, такие как пептид-цинк и пептид-железо; неорганические минералы, такие как карбонат цинка, карбонат марганца, сульфат железа и карбонат магния; витамины, такие как витамин A, витамин B, витамин C, витамин D, витамин E, витамин K, фолевая кислота, пантотеновая кислота и никотиновая кислота; люцерновую муку; и кукурузные хлопья. Для улучшения вкуса может одновременно вводиться, например, ароматизирующая добавка.

[0083]

Способ введения композиции противококцидного средства по настоящему изобретению субъекту-животному не ограничен и может представлять собой подходящий метод введения или кормления с использованием такого процесса, как рассеивание по корму или смешивание с кормом, как описано ниже. В общем, доза композиции противококцидного средства представляет собой эффективное количество для противококцидного воздействия на субъект-животное, то есть такое количество композиции противококцидного средства по настоящему изобретению, введение которого повышает противококцидное воздействие на субъект-животное (такое как сельскохозяйственная птица) по сравнению со случаем, когда композицию противококцидного средства не вводят, при условии, что остальные условия идентичны.

[0084]

В случае птиц-несушек и птиц мясных пород, композиция противококцидного средства по настоящему изобретению может вводиться непрерывно в течение всего периода вскармливания субъекта-животного и предпочтительно вводится на стадии развития цыпленка (например, цыпленку возраста от 0 до 5 недель после выведения) и предпочтительно вводится непрерывно с 0 дня до 21 дня после выведения.

[0085]

При введении в корм субъекта-животного композиция противококцидного средства по настоящему изобретению может применяться в таком количестве, чтобы количество соединения бензимидазола или соли указанного соединения составляло от примерно 0,0005 до примерно 5 процентов по массе, предпочтительно от примерно 0,05 до примерно 2 процентов по массе. При добавлении в питьевую воду или в физиологический электролитный раствор композиция противококцидного средства может применяться в таком количестве, чтобы соединение бензимидазола или соль указанного соединения присутствовали количестве, составляющем от примерно 0,035 до примерно 3,5 процента по массе, предпочтительно от примерно 0,035 до примерно 1,4 процента по массе.

[0086]

Способ контроля по варианту осуществления настоящего изобретения включает стадию введения субъекту-животному эффективного количества противококцидного средства по настоящему изобретению или композиции противококцидного средства по настоящему изобретению. В указанном способе противококцидное средство или композиция противококцидного средства может вводиться или скармливаться животному обычным методом. Эффективное количество изменяется в зависимости от условий, таких как тип каждого препарата, вид субъекта-животного и продолжительность введения, оно может подбираться соответствующим образом независимо от указанных выше диапазонов и может быть выше или ниже указанных диапазонов.

[0087]

В конкретном случае, например, противококцидное средство по настоящему изобретению разбавляется водой до концентрации, подходящей для введения субъекту-животному, и разбавленное средство вводится субъекту-животному. Степень разбавления может быть определена в соответствии с обычными методами разбавления питьевой водой и предпочтительно, для получения разбавленного средства, представляет собой 5-10-кратное разбавление. В качестве альтернативы, субъекту-животному (такому как сельскохозяйственная птица) может вводиться гелеобразное твердое вещество. Гелеобразное твердое вещество получают следующим образом. Противококцидное средство по настоящему изобретению разбавляют водой до заданной концентрации, соединяют с водорастворимым полисахаридом при перемешивании с получением однородного раствора и оставляют раствор при комнатной температуре или хранят в холодном месте (например, в холодильнике) для получения гелеобразного твердого вещества. Альтернативно, гелеобразное твердое вещество может быть получено с использованием желирующего вещества, которое плавится при высокой температуре и застывает при низкой температуре (например, агар или желатин). В этом случае желирующее вещество предварительно добавляют к противококцидному средству по настоящему изобретению. Его оставляют при комнатной температуре или оно хранится в холодном месте (например, в холодильнике) с получением гелеобразного твердого вещества. При желатинизации прочность геля составляет соответственно от примерно 200 до примерно 2000 г/см2. Предположим, что в качестве желирующего вещества используется агар. В этом случае прочность геля в указанном диапазоне соответствует концентрации агара от примерно 0,5% до примерно 3,0%, хотя концентрация агара может изменяться в зависимости от типа используемого агара.

[0088]

Неограничивающие примеры полисахарида, используемого для желирования противококцидного средства по настоящему изобретению в водной среде, включают агар, каррагинан, карбоксиметилцеллюлозу, крахмал, маннан, желатин, альгинат натрия, гуммиарабик, камедь рожкового дерева, ксантановую камедь, хитозан, гуаровую камедь, пектин, эфир пропилальгинатгликоля, арабиногалактан, камедь гхатти, камедь семян тамаринда, пуллулан, соли жирных кислот морфолина, курдлан и трагантовую камедь (трагакантовую камедь). Среди этих полисахаридов особенно предпочтительны для применения агар, крахмал, маннан или желатин, поскольку они недорогие и легкодоступные.

[0089]

Например, гелеобразное твердое вещество может вводиться домашней птице в возрасте от 0 до 7 дней, которая получает небольшое количество питьевой воды и корма. Этот способ позволяет скормить домашней птице необходимое количество противококцидного средства по настоящему изобретению в течение короткого промежутка времени с меньшими затратами труда, поскольку домашняя птица имеет генетическую программу (привычку) клевать твердое вещество на полу, чтобы взять его в твердом виде. В соответствии с этой методикой материал, который с трудом поддается введению такой молодой домашней птице, как указано выше, также может эффективно вводиться домашней птице вместе с противококцидным средством по настоящему изобретению. Это может осуществляться при смешивании материала с противококцидным средством по настоящему изобретению и желировании смеси с водорастворимым полисахаридом. Неограничивающие примеры материала включают аттенуированные вакцины, вакцины, лекарственные средства и питательные вещества. На стадии развития цыпленка (молодого цыпленка) обеспечение водой и питательными веществами значительно влияет на последующую продуктивность. Когда питательные вещества вводятся одновременно с противококцидным средством, неограничивающие примеры питательных веществ включают углеводы, представленные сахаридами, такими как глюкоза, манноза, фруктоза и другие моносахариды и их олигомеры, а также сахароза и другие дисахариды; белки, такие как обезжиренное молоко; и липиды; а также витамины и минералы.

[0090]

Противококцидное средство по настоящему изобретению может применяться в комбинации с любым из существующих в настоящее время противококцидных средств для усиления или дополнения его действия или эффективности. При таком комбинированном применении два или более активных ингредиентов могут смешиваться и вводиться в один препарат перед введением, или два или более различных препаратов могут приготавливаться и вводиться отдельно.

Примеры

[0091]

Далее настоящее изобретение будет проиллюстрировано более подробно со ссылкой на примеры получения, примеры препаратов и пример биологического испытания, которые представлены ниже. Однако следует отметить, что указанные примеры не предназначены для ограничения области настоящего изобретения.

[0092]

Пример получения 1

Пример получения промежуточного продукта (2-2)

Способ получения 5-циано-2-(2,2,3,3,3-пентафторпропокси)пиридина

[Химическая формула 11]

В NMP (60 мл) растворяют 2-хлор-5-цианoпиридин (4,16 г, 30 ммоль), полученный раствор объединяют с 2,2,3,3,3-пентафторпропанолом (6,77 г, 1,5 эквивалента) и карбонатом калия (12,4 г, 3,0 эквивалента), затем нагревают до 100°C и выдерживают в указанных условиях в течение 2 часов. После охлаждения до комнатной температуры реакционную смесь объединяют с водой и этилацетатом и слои разделяют. Органический слой промывают насыщенным раствором соли и затем сушат над сульфатом натрия. После отгонки растворителя остаток очищают колоночной хроматографией с получением целевого соединения (7,03 г, выход: 93%).

[0093]

Пример получения 2

Способ получения 6-(2,2,3,3,3-пентафторпропокси)никотиновой кислоты

[Химическая формула 12]

5-Циано-2-(2,2,3,3,3-пентафторпропокси)пиридин (6,02 г, 24 ммоль), полученный в предыдущей стадии, растворяют в этаноле (30 мл), полученный раствор объединяют с водой (30 мл) и гидроксидом натрия (9,60 г, 10 эквивалентов) и полученную смесь кипятят с обратным холодильником в течение 2 часов. После охлаждения до комнатной температуры раствор нейтрализуют, помещая на ледяную баню и каплям добавляя 10% соляную кислоту, с последующей экстракцией этилацетатом. Органический слой промывают насыщенным раствором соли и затем сушат над сульфатом натрия. Растворитель отгоняют с получением смеси, содержащей главным образом целевое соединение (6,40 г).

[0094]

Пример получения 3

Способ получения 2-(6-(2,2,3,3,3-пентафторпропокси)пирид-3-ил)бензимидазола (промежуточное соединение 11-6)

[Химическая формула 13]

В пиридине (10 мл) растворяют 6-(2,2,3,3,3-пентафторпропокси)никотиновую кислоту (1,47 г, 5,4 ммоль), раствор объединяют с фенилендиамином (0,70 г, 1,2 эквивалента), DMAP (0,13 г, 0,2 эквивалента) и EDC⋅HCl (1,54 г, 1,5 эквивалента) и выдерживают реакционную смесь при комнатной температуре в течение 3 часов. Реакционную смесь объединяют с водой и этилацетатом и слои разделяют. Органический слой промывают последовательно 10% соляной кислотой, водным раствором карбоната калия и насыщенным раствором соли и затем сушат над сульфатом натрия. Растворитель отгоняют, остаток растворяют в NMP (10 мл), раствор объединяют с моногидратом п-толуолсульфоновой кислоты (3,08 г, 3 эквивалента) и подвергают взаимодействию при 140°C в течение 1 часа. После охлаждения до комнатной температуры реакционную смесь объединяют с водным раствором карбоната калия и этилацетатом и слои разделяют. Органический слой промывают насыщенным раствором соли и сушат над сульфатом натрия. После отгонки растворителя остаток очищают колоночной хроматографией с получением целевого соединения (0,67 г, температура плавления: 234-239°C, выход: 36% (от предыдущей стадии)).

[0095]

Пример получения 4

Способ получения 2-(6-(2,2,3,3,3-пентафторпропокси)пирид-3-ил)-1-этансульфонилбензимидазола (соединение номер 1-7)

[Химическая формула 14]

2-(6-(2,2,3,3,3-Пентафторпропокси)пирид-3-ил)бензимидазол (610 мг, 1,8 ммоль), полученный в предыдущей стадии, растворяют в ТГФ (10 мл) и полученный раствор объединяют с 60% гидридом натрия (108 мг, 1,5 эквивалента) при комнатной температуре с перемешиванием. После взаимодействия в течение 10 минут реакционную смесь объединяют с этансульфонилхлоридом (463 мг, 2,0 эквивалента) с последующим взаимодействием в течение 1 часа. Реакционную смесь объединяют последовательно с водой и этилацетатом и слои разделяют. Органический слой промывают последовательно водным раствором карбоната калия и насыщенным раствором соли и сушат над сульфатом натрия. После отгонки растворителя концентрированный остаток очищают колоночной хроматографией с получением целевого соединения (695 мг, выход: 89%).

[0096]

Пример получения 5

Способ получения 5,6-дибром-2-(6-(2,2,3,3,3-пентафторпропокси)пирид-3-ил)бензимидазол (промежуточное соединение 11-5)

[Химическая формула 15]

В пиридине (10 мл) растворяют 6-(2,2,3,3,3-пентафторпропокси)никотиновую кислоту (1,47 г, 5,4 ммоль), полученный раствор объединяют с 4,5-дибромфенилендиамином (1,72 г, 1,2 эквивалента), DMAP (0,13 г, 0,2 эквивалента) и EDC⋅HCl (1,54 г, 1,5 эквивалента) и выдерживают реакционную смесь при комнатной температуре в течение 3 часов. Реакционную смесь объединяют с водой и этилацетатом и слои разделяют. Органический слой промывают последовательно 10% соляной кислотой, водным раствором карбоната калия и насыщенным раствором соли и сушат над сульфатом натрия. Растворитель отгоняют, остаток растворяют в уксусной кислоте (10 мл) и кипятят полученную смесь с обратным холодильником в течение 1 часа. После охлаждения до комнатной температуры реакционную смесь нейтрализуют водным раствором гидроксида натрия и экстрагируют этилацетатом. Органический слой промывают насыщенным раствором соли и сушат над сульфатом натрия. После отгонки растворителя остаток очищают колоночной хроматографией с получением целевого соединения (0,43 г, температура плавления: 218-220°C, выход: 16% (от предыдущей стадии)).

[0097]

Пример препарата 1: Порошок

В ступке смешивают 25 частей соединения бензимидазола и 25 частей лактозы, смесь тщательно перемешивают с получением порошка.

[0098]

Пример препарата 2: Гранулы

25 частей соединения бензимидазола объединяют с 25 частями лактозы и тщательно перемешивают. Далее смесь объединяют с подходящим количеством воды, дополнительно перемешивают, формируют в гранулы с помощью гранулятора и сушат принудительной воздушной сушкой с получением гранул.

[0099]

Пример препарата 3: Смачивающийся порошок

Смачивающийся порошок получают однородным смешиванием 25 частей соединения бензимидазола, 65 частей диатомовой земли, 5 частей сложного серного эфира высшего спирта и 5 частей соли алкилнафталинсульфоновой кислоты и полученную смесь подвергяют тонкому измельчению.

[0100]

Пример биологического испытания 1: Оценка ингибирования роста кокцидия кур (Eimeria tenella)

Каждое из соединений бензимидазола, представленных общей формулой (1), или солей указанных соединений по настоящему изобретению разбавляют регулирующей жидкостью до предопределенной концентрации и помещают в титрационный микропланшет. До разведения на планшете инкубируют клетки млекопитающих, инфицированные спорозоитом куриного кокцидия. Спустя сорок восемь часов степень ингибирования роста куриного кокцидия до зрелого шизонта исследуют методом непрямой иммунофлуоресценции и рассчитывают EC50.

[0101]

В результате, значение EC50 соединений по настоящему изобретению, в частности соединений 1-1, 1-2, 1-3, 1-4, 1-5, 1-6, 1-7, 1-8, 1-9, 1-10, 1-11, 1-12, 1-13, 1-14, 1-15, 1-16, 1-17, 1-18, 1-19, 1-20, 1-21, 1-22, 1-23, 1-24, 1-25, 1-26, 1-27, 1-28, 1-29, 2-1, 3-1, 4-1, 11-1, 11-3, 11-4 и 11-5, составляет 20 мкМ или менее. Среди них у соединений 1-2, 1-3, 1-4, 1-5, 1-6, 1-7, 1-11, 1-12, 1-13, 1-14, 1-15, 1-16, 1-17, 1-18, 1-19, 1-20, 1-22, 1-23, 1-24, 1-25, 1-26, 1-27, 1-28, 1-29, 3-1 и 4-1 значение EC50 составляет 1 мкM или менее.

[0102]

Было установлено, что соединения по настоящему изобретению быстро подвергаются гидролизу в присутствии воды и превращаются в соответствующие промежуточные соединения. Кроме того, при анализе крови субъекта-животного после введения соединения по настоящему изобретению обнаруживается соответствующее промежуточное соединение. Это указывает на то, что активность контроля кокцидий соединений по настоящему изобретению быть обусловлена их промежуточными соединениями. Таким образом, соединения по настоящему изобретению с высокой вероятностью являются пролекарствами.

Промышленная применимость

[0103]

Настоящее изобретение может предложить противококцидное средство для применения у субъектов-животных, где противококцидное средство проявляет превосходную эффективность после введению субъекту-животному; и используя указанное противококцидное средство, настоящее изобретение может также предложить способ применения такого противококцидного средства у субъекта-животного.

Похожие патенты RU2832845C1

название год авторы номер документа
ПРОИЗВОДНОЕ БЕНЗИМИДАЗОЛА ИЛИ ЕГО СОЛЬ, СЕЛЬСКОХОЗЯЙСТВЕННОЕ И САДОВОДЧЕСКОЕ ИНСЕКТИЦИДНОЕ И АКАРИЦИДНОЕ СРЕДСТВО, СОДЕРЖАЩЕЕ УКАЗАННОЕ СОЕДИНЕНИЕ, И СПОСОБ ЕГО ПРИМЕНЕНИЯ 2019
  • Фудзихара, Хироказу
  • Абе, Ютака
  • Танака, Риосуке
  • Фути, Сунсуке
RU2807181C2
ДИАМИДЫ АНТРАНИЛОВОЙ КИСЛОТЫ, СПОСОБ БОРЬБЫ С НАСЕКОМЫМИ, КОМПОЗИЦИЯ ДЛЯ БОРЬБЫ С НАСЕКОМЫМИ 2002
  • Кларк Дэвид Алан
RU2299198C2
ОРТОЗАМЕЩЕННЫЕ АРИЛАМИДЫ, СПОСОБ БОРЬБЫ С НАСЕКОМЫМИ, КОМПОЗИЦИЯ ДЛЯ БОРЬБЫ С НАСЕКОМЫМИ, ПРОМЕЖУТОЧНОЕ СОЕДИНЕНИЕ 2002
  • Финкельстейн Брюс Лоренс
  • Лэм Джордж Филип
  • Селби Томас Пол
  • Стивенсон Томас Мартин
RU2283839C2
ПРОТИВОГЕЛЬМИНТНЫЕ ДЕПСИПЕПТИДНЫЕ СОЕДИНЕНИЯ 2016
  • Ле Ир Де Фалуа Лоик
  • Пасофски Грегори
  • Лонг Алан
  • Менг Чарльз
  • Ли Хён Ик
RU2715556C2
Азолины 2015
  • Бинджадлер Паскаль
  • Вон Дейн Вольфганг
RU2727307C2
СПОСОБ ПОЛУЧЕНИЯ ПРОИЗВОДНЫХ 5-ГАЛОГЕНАЛКИЛ-4,5-ДИГИДРОИЗОКСАЗОЛА 2008
  • Аннис Гари Дэвид
  • Смит Брентон Тодд
RU2536039C2
СПОСОБ ПОЛУЧЕНИЯ ПРОИЗВОДНЫХ 2-АМИНО-4-ХЛОР-1,3,5-ТРИАЗИНОВ 1999
  • Циндель Юрген
  • Холландер Йенс
  • Минн Клеменс
  • Вилльмс Лотар
RU2271353C2
МЕСТНО ВВОДИМЫЙ СОСТАВ ДЛЯ БОРЬБЫ С ПАРАЗИТАМИ ЖИВОТНЫХ И ИХ ПРОФИЛАКТИКИ 2018
  • Виль, Вольфганг
  • Охаге-Шпитцлей, Петра
  • Шмидт, Франциска
RU2786638C2
ИНГИБИТОРЫ АЛЬДОЗОРЕДУКТАЗЫ И СПОСОБЫ ИХ ПРИМЕНЕНИЯ 2017
  • Уазмут Эндрю
  • Лэндри Дональд В.
RU2795195C2
АРИЛЗАМЕЩЕННЫЕ БИЦИКЛИЧЕСКИЕ СОЕДИНЕНИЯ В КАЧЕСТВЕ ГЕРБИЦИДОВ 2016
  • Кемпбелл Мэттью Джеймс
  • Стивенсон Томас Мартин
  • Саттерфилд Эндрю Дункан
RU2750293C2

Реферат патента 2025 года ПРОТИВОКОКЦИДНОЕ СРЕДСТВО И СПОСОБЫ ЕГО ПРИМЕНЕНИЯ

Настоящее изобретение относится к применению соединения бензимидазола, представленного общей формулой (1-1), или соли указанного соединения в качестве противококцидного средства, где общая формула (1-1) представлена следующей структурой:

где R1 представляет собой: (b1) (С18)алкил; (b2) галоген-(С1-C8)алкил; (b3) (С38) циклоалкил; (b4) (С18) алкокси (С18)алкил; или (b6) фенил, содержащий один заместитель, выбранный из (е) галоген-(C1-C6)алкокси, (g) галоген-(С16)алкилтио, (i) галоген-(С16) алкилсульфинила, (k) галоген- (C1-C6)алкилсульфонила и (1) триметилсилила; X представляет собой О, S, SO, SO2 или NR2, где R2 представляет собой (C1-C6) алкил; или R2 в NR2 может объединяться с R1 с образованием вместе с атомом азота, к которому присоединен R2, монозамещенного 6-членного насыщенного азотсодержащего алифатического гетероцикла, где заместитель, который может содержать алифатический гетероцикл, представляет собой (С58)алкилендиокси, где алкилендиокси присоединен к одному атому углерода; Y представляет собой (c1) галоген; m означает 0 или 1; Z представляет собой, в каждом случае одинаковые или разные: (d1) галоген; или (d2) (C1-C8) алкил; и n означает 0, 1 или 2, где ни один из (С18)алкилсульфонила, (С18)алкокси (C1-C8)алкилсульфонила, (С38)циклоалкилсульфонила и галоген-(С18)алкилсульфонила не находится в положении 2 и в положении 4 пиридинового кольца и способу контроля кокцидий. Технический результат: предложено применение соединений представленных общей формулой (1-1), которые обладают превосходной противококцидной активностью и могут устранять или минимизировать массовую вспышку кокцидозов. 2 н. и 8 з.п. ф-лы, 7 пр., 9 табл.

Формула изобретения RU 2 832 845 C1

1. Применение соединения бензимидазола, представленного общей формулой (1-1), или соли указанного соединения в качестве противококцидного средства, где общая формула (1-1) представлена следующей структурой:

где:

R1 представляет собой:

(b1) (С18)алкил;

(b2) галоген-(С1-C8)алкил;

(b3) (С38)циклоалкил;

(b4) (С18)алкокси(С18)алкил;

или

(b6) фенил, содержащий один заместитель, выбранный из (е) галоген-(C1-C6) алкокси, (g) галоген- (С16)алкилтио, (i) галоген-(С16)алкилсульфинила, (k) галоген-(C1-C6)алкилсульфонила и (l) триметилсилила;

X представляет собой О, S, SO, SO2 или NR2, где R2 представляет собой (C1-C6) алкил; или

R2 в NR2 может объединяться с R1 с образованием вместе с атомом азота, к которому присоединен R2, монозамещенного 6-членного насыщенного азотсодержащего алифатического гетероцикла, где заместитель, который может содержать алифатический гетероцикл, представляет собой (С58)алкилендиокси, где алкилендиокси присоединен к одному атому углерода;

Y представляет собой (c1) галоген;

m означает 0 или 1;

Z представляет собой, в каждом случае одинаковые или разные:

(d1) галоген; или

(d2) (C1-C8)алкил; и

n означает 0, 1 или 2,

где ни один из (С18)алкилсульфонила, (С18)алкокси(C1-C8)алкилсульфонила, (С38)циклоалкилсульфонила и галоген-(С18)алкилсульфонила не находится в положении 2 и в положении 4 пиридинового кольца.

2. Применение по п. 1, где

R1 представляет собой:

(b1) (C1-C8)алкил;

(b2) галоген-(C1-C8)алкил;

(b3) (С38)циклоалкил; или

(b6) фенил, содержащий один заместитель, выбранный из (e) галоген-(С16) алкокси, (g) галоген-(С16)алкилтио, (i) галоген-(С16)алкилсульфинила, (k) галоген-(С16)алкилсульфонила и (l) триметилсилила;

X представляет собой О, S или NR2, где R2 имеет значения, определенные выше; или

Y представляет собой (c1) галоген;

m означает 0 или 1;

Z представляет собой, в каждом случае одинаковые или разные:

(d1) галоген; или

(d2) (C1-C8)алкил; и

n означает 0, 1 или 2.

3. Применение по п. 1, где

R1 представляет собой (b2) галоген-(C1-C8)алкил; и

m означает 0.

4. Применение по п. 1, где R1 представляет собой (b2) галоген-(C1-C8)алкил;

m означает 0;

Z представляет собой, в каждом случае одинаковые или разные:

(d1) галоген; или

(d2) (C1-C8)алкил; и m означает 2.

5. Применение по любому из пп. 1-4, где противококцидное средство применяется к животному за исключением человека.

6. Применение по п. 5, в котором субъект-животное представляет собой птицу.

7. Применение по п. 5, в котором субъект-животное представляет собой курицу.

8. Способ контроля кокцидий, где указанный способ включает введение эффективного количества соединения бензимидазола, представленного общей формулой (1-1), или соли указанного соединения субъекту-животному, за исключением человека, где общая формула (1-1) представлена следующей структурой:

где:

R1 представляет собой:

(b1) (C1-C8)алкил;

(b2) галоген-(C1-C8)алкил;

(b3) (С38)циклоалкил;

(b4) (C1-C8)алкокси(C1-C8)алкил;

или

(b6) фенил, содержащий один заместитель, выбранный из (е) галоген-(C1-C6)алкокси, (g) галоген-(C1-C6)алкилтио, (i) галоген-(C16)алкилсульфинила, (k) галоген-(C1-C6) алкилсульфонила и (l) триметилсилила;

X представляет собой О, S, SO, SO2 или NR2, где R2 представляет собой (C16)алкил; или

R2 в NR2 может объединяться с R1 с образованием вместе с атомом азота, к которому присоединен R2, монозамещенного 6-членного насыщенного азотсодержащего алифатического гетероцикла, где заместитель, который может содержать алифатический гетероцикл, представляет собой (С58)алкилендиокси, где алкилендиокси присоединен к одному атому углерода;

Y представляет собой (c1) галоген;

m означает 0 или 1;

Z представляет собой, в каждом случае одинаковые или разные:

(d1) галоген; или

(d2) (C1-C8) алкил; и

n означает 0, 1 или 2,

где ни один из (C1-C8)алкилсульфонила, (C1-C8)алкокси(С18)алкилсульфонила, (С38)циклоалкилсульфонила и галоген-(C1-C8)алкилсульфонила не находится в положении 2 и в положении 4 пиридинового кольца.

9. Способ по п. 8, в котором субъект-животное представляет собой птицу.

10. Способ по п. 8, в котором субъект-животное представляет собой курицу.

Документы, цитированные в отчете о поиске Патент 2025 года RU2832845C1

WO 2019225663 A1, 28.11.2019
US 20120101096 A1, 26.04.2012
СПОСОБ ЛЕЧЕНИЯ КОКЦИДИОЗА (ЭЙМЕРИОЗА) СЕЛЬСКОХОЗЯЙСТВЕННЫХ ЖИВОТНЫХ И ПТИЦ 2011
  • Клименко Александр Иванович
  • Зубенко Александр Александрович
  • Фетисов Леонид Николаевич
  • Морковник Анатолий Савельевич
  • Диваева Людмила Николаевна
  • Бодряков Анатолий Николаевич
  • Кузьменко Татьяна Андреевна
RU2477129C1
Производные нитропиридина, обладающие антибактериальной и протистоцидной активностью 2019
  • Дробин Юрий Дмитриевич
  • Зубенко Александр Александрович
  • Кононенко Кристина Николаевна
  • Фетисов Леонид Николаевич
  • Бодрякова Мария Анатольевна
  • Бодряков Анатолий Николаевич
RU2711098C1

RU 2 832 845 C1

Авторы

Фудзихара, Хирокадзу

Фути, Сюнсуке

Абе, Ютака

Даты

2025-01-09Публикация

2021-07-02Подача