Изобретение относится к области средств и методов выявления радиационной обстановки и обеспечения радиационной безопасности, а именно, поиска точечных источников гамма-излучения.
Источники гамма-излучения, находящиеся в местах нахождения людей, представляют собой объекты высокой опасности. Высокая активность источника и длительное нахождение в поле излучения могут привести к переоблучению, обуславливающему радиационные поражения человека, вплоть до летального исхода. В этой связи при появлении информации о превышении уровня радиации по сравнению с фоновой величиной должны быть организованы поиски источника, попавшего в окружающую среду для дальнейшей его локализации.
В настоящее время существует ряд способов аналогов, заключающихся в нахождении на пройденном маршруте движения точки с максимальным значением мощности дозы, в области расположения которой впоследствии проводят более детальное обследование по принципу наибольшего градиента возрастания мощности дозы. Обследование также может осуществляться методом гребенки, параллельного галсирования, расходящегося (сходящегося) квадрата или спирали в зависимости от площади обследуемого участка и условий рельефа местности.
К недостаткам указанных способов можно отнести то, что обследование предполагает нахождение оператора в поле ионизирующего излучения, создаваемом одним или несколькими источниками высокой активности, в результате чего может быть получена значительная доза облучения.
В качестве аналога может послужить способ поиска и обнаружения источников гамма-излучения в условиях неравномерного радиоактивного загрязнения с помощью наземных робототехнических комплексов [1]. Способ заключается в регистрации гамма-излучения тремя детекторами, размещенными на платформе мобильного робота. Один из блоков детектирования является поисковым и состоит из двух детекторов, разделенных экраном. Блок детектирования располагают на платформе робота таким образом, чтобы ось разделительного экрана совпадала с продольной осью робота. При поиске источника мобильный робот двигается в направлении, определенном равноинтенсивными сигналами с обоих детекторов. Второй блок детектирования обнаружительный и представляет собой детектор, размещенный на манипуляторе робота. С его помощью регистрируется изменение мощности дозы и определяется примерное местоположение источника гамма-излучения.
Еще одним аналогом является способ автоматического определения местоположения точечного источника гамма-излучения на местности с помощью беспилотного летательного аппарата, заключающийся в том, что корректировка направления на источник гамма-излучения осуществляется на основе сравнения скоростей счета импульсов от трех детекторов, расположенных вокруг свинцового цилиндрического экрана [2].
К недостаткам способов аналогов является то, что заложенный в них принцип работы позволяет определять направление только лишь на один источник и не дает информацию о наличии нескольких источников в обследуемом районе.
В качестве прототипа был выбран способ определения положения точечного источника гамма-излучения, который основан на использовании носимого измерителя мощности дозы [3]. Сущность способа заключается в том, что предварительно осуществляют измерения мощности дозы гамма-излучения в точках по периметру участка, внутри которого находится источник. Определяются точки с наименьшим, наибольшим и две со средними значениями мощности дозы. Затем намечаются два прямолинейных маршрута разведки, представляющих собой отрезки, соединяющие точку минимума мощности дозы с точками, где наблюдаются средние значения. В точках, лежащих на данных отрезках, проводятся измерения значений мощности дозы, строятся зависимости изменения мощности дозы вдоль маршрутов разведки. Используя установленные зависимости, на маршрутах определяются точки с максимальными значениями и в этих точках строятся два перпендикуляра к соответствующим линиям маршрутов. Находится точка пересечения этих перпендикуляров, которая и указывает на положение источника гамма-излучения.
Основным недостатком способа-прототипа является сложность проведения расчетов, которые снижают оперативность поиска. Движение оператора по маршрутам внутри круга, в котором находится радиационно опасный объект, приводит к получению дополнительных дозовых нагрузок. Также значительный объем требуемой информации в совокупности с построением большого количества линий на карте местности делает процесс поиска трудоемким и вносит дополнительную погрешность в определение координат источника гамма-излучения.
Вместе с тем, практически все указанные способы основаны на использовании центральной симметрии поля гамма-излучения и позволяют определить положение источника, проводя измерения прибором, не приближаясь к нему на опасное расстояние. Однако в том случае, если имеется несколько достаточно близко расположенных источников, то расчетное положение источника излучения будет иметь большую погрешность. В этой связи важной задачей является определение количества источников гамма-излучения, расположенных в пределах обследуемого района, до начала проведения поисковых работ.
В настоящее время определение положения нескольких близко расположенных источников может быть получено только за счет проведения измерений мощности дозы гамма-излучения в большом количестве точек, расположенных в пределах обследуемого района. Очевидно, что такой подход приведет к получению больших доз излучения, так как предполагает многократное проведение измерений и в том числе на малых расстояниях от источников гамма-излучения. Следовательно, поиск нескольких источников с применением носимых приборов приведет к нарушению требований радиационной безопасности, а для решения задач потребуется привлечение специализированных робототехнических поисковых средств.
Предлагаемое техническое решение позволяет уже на начальном этапе поисковых работ определить количество источников в пределах обследуемого района на основе анализа результатов измерений мощности дозы гамма-излучения в точках на окружности, охватывающей обследуемый район. Количество источников определяется путем выявления количества максимумов мощности дозы гамма-излучения при измерениях по данной окружности.
Достоверность предлагаемого решения можно обосновать путем анализа функции, описывающей распределение мощности дозы гамма-излучения вдоль окружности.
Доказательство проведем при условии, что энергия Е первичных гамма-квантов составляет не менее нескольких сотен килоэлектронвольт, а расстояние r до источников не превышает нескольких десятков метров (Е~n-100 кэВ, r~ n⋅10 м, где n≥1). Расчеты, проведенные с привлечением исходных данных работы [4], показывают, что в воздушной среде на расстоянии 100 м от точечного источника с радионуклидом Cs-137 точный учет ослабления мощности дозы дает отличие по сравнению с ослаблением по закону r-2, не превышающее 15%. Принятые условия вполне удовлетворяют большинству практических поисковых задач и позволяют исключить из проводимого анализа рассеянное излучение, что обуславливает возможность получения аналитического решения.
Будем полагать, как это отображено на схеме фигуры 1, что источники находятся внутри круга радиусом R с центром в точке, задаваемой радиус-вектором R=(x0,y0). Внутри круга имеется N источников, положение которых определяется радиус-векторами ri={x0i, y0i).
Суммарная мощность дозы гамма-излучения, создаваемая всеми источниками в произвольной точке на окружности, составляет
где Pi(x,y) - мощность дозы гамма-излучения, создаваемая i-ым источником в точке (х,у), рад/ч;
N - количество источников гамма-излучения;
Кγ - гамма-постоянная, (рад⋅м2)/(ч⋅Ки);
Ai - активность i-го источника, Ки.
Уравнение окружности с радиусом R=|R| имеет вид
Выражая координату у точек окружности через х и подставляя полученную зависимость в (1), получаем выражение для мощности дозы гамма-излучения в точках окружности
Знак «±» учитывает тот факт, что координата у может принимать как положительные, так и отрицательные значения.
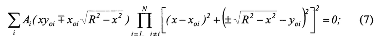
Количество экстремумов полученной функциональной зависимости основывается на определении количества корней у уравнения
Дифференцирование дает следующий результат:
Выполнив тождественные преобразования, получаем:
Приведя члены суммы к единому знаменателю, получаем итоговое уравнение для поиска экстремумов и дополнительные ограничивающие условия:
Преобразование уравнения дает следующий результат:
Выражение, являющееся первым сомножителем в левой части (10) и стоящее в круглых скобках, имеет степень по переменной х равную 1. Остальные сомножители в количестве (N-X), представленные выражениями, стоящими в квадратных скобках, имеют максимальные степени по х равные 2. Следовательно, уравнение (10) имеет порядок по переменной x, равный 1+(N-2)⋅2=2N-1. Это означает, согласно известным положениям [5], функция Ps(x) на области х∈]-R,R[имеет 2N-1 экстремума, среди которых присутствует N максимумов и N-1 минимумов.
Следует уточнить, что в декартовой системе координат Ps(x) состоит из двух ветвей. Одна из ветвей строится для случая у>0, а вторая ветвь - для случая, когда у<0. С формальной точки зрения при замыкании обеих ветвей функции точками Ps(-R) и Ps(R) создается дополнительный минимум. В целом получаем, что при обходе контура прибор будет регистрировать N максимумов и N минимумов мощности дозы, что можно интерпретировать как наличие внутри контура N источников.
Дополнительно отметим, что условие (9), согласно которому должно выполняться х ≠R или х ≠-R, появляется после проведения операции дифференцирования. На самом деле данный запрет является формальным, поскольку исходное выражение (3) для суммарной мощности дозы не накладывает данного ограничения.
Возможно построение рассматриваемой функциональной зависимости в полярной системе координат, у которой полюс расположен в центре окружности обхода рассматриваемого района, используя в качестве переменной угол ϕ между полярной осью (прямой ОХ) и прямой, соединяющей текущую точку окружности и полюс
Использование такого представления целесообразно для практической реализации способа, так как дает наиболее наглядное представление о количестве и расположении максимумов значений мощности дозы гамма-излучения.
Таким образом, с учетом доказанных положений предлагается способ определение количества точечных источников гамма-излучения в пределах обследуемого района, заключающийся в проведении измерений значений мощности дозы в точках на местности и определении на основе анализа полученных результатов количества точечных источников гамма-излучения, отличающийся тем, что измерения осуществляются в точках при движении по окружности, охватывающей обследуемый район, на основе полученных результатов строят график зависимости величины мощности дозы гамма-излучения от расстояния, пройденного от начальной точки движения, по графику определяют количество максимумов мощности дозы гамма-излучения, полученное число идентифицируют как количество точечных источников в пределах обследуемого района.
Для проверки обоснованного способа было проведено математическое моделирование поля мощности дозы гамма-излучения, создаваемого несколькими источниками.
Были использованы следующие исходные данные:
- Kγ=0,3242 (рад⋅м2)/(ч⋅Ки) для источника на основе радионуклида Cs-137 [6];
- R=30 м;
- x01=-15 м; γ01=-5 м; A1=10 Ки;
- х02=0 м; у02=10 м; А2=18 Ки;
- х03=10 м; у03=-7 м; А3=14 Ки.
На фигуре 2 показана схема расположения источников гамма-излучения. На фигуре 3 представлен вид функции (3) в декартовой системе координат, построенной для трех источников гамма-излучения на основе радионуклида Cs-137.
Из построенного графика видно, что распределение мощностей доз гамма-излучения имеет 3 максимума.
На фигуре 4 представлен тот же график, построенный в полярной системе координат с использованием выражения (11). Подобное построение может быть выполнено при проведении реальных работ непосредственно в ходе проведения измерений. Как видно, полученная зависимость позволяет установить наличие максимумов в распределении значений мощности дозы и определить количество источников излучения.
В целом предлагаемый способ позволяет на начальном этапе поисковых работ определить количество источников гамма-излучения на обследуемой местности и осуществить планирование дальнейших работ, позволяющих в наиболее короткие сроки и с минимальными радиационными нагрузками на задействованный персонал осуществить локализацию и последующую утилизацию опасных объектов.
СПИСОК ЛИТЕРАТУРЫ
1 Пат. 2195005 Российская Федерация, МПК G01T 1/169. Способ поиска и обнаружения источников гамма-излучения в условиях неравномерного радиоактивного загрязнения / Соловых С.Н., Алимов Н.И., Перевозчиков А.Н.; Глухов Ю.А.; Андриевский Э.Ф.; заявитель и патентообладатель воинская часть 61469 / публикация патента 29.12.2002 г.
2 Пат. 2620451 Российская Федерация G01T 1/169. Способ автоматического определения местоположения точечного источника гамма-излучения на местности / Кулагин И.Ю., Глухов Ю.А., Садовников Р.Н.; заявитель и патентообладатель ФГБУ «33 ЦНИИИ» Минобороны России. - №2016133814 от 17.08.2016; опубл. 25.05.2017.
3 Пат. 2481597 Российская Федерация, МПК G01 T1/169. Способ определения положения точечного источника гамма-излучения / Садовников Р.Н., Быков А.В., Васильев А.В., Тырышкин С.Н.; заявитель и патентообладатель «33 ЦНИИИ» МО РФ - №2011144488 от 02.11.2011 г. опубл. 10.05.2013 г., Бюл. №13.
4 Машкович В.П., Кудрявцев А.В. Защита от ионизирующих излучений: справочник - 5 изд. - М.: АП «Столица», 2013. - 496 с.
5 Корн Г., Корн Т. Справочник по математике (для научных работников и инженеров): определения, теоремы, формулы. - Пер. с англ. под общ. ред. И.Г. Арамановича. - 4 изд. - М.: Наука, 1977. - 832 с.
6 Гусев Н.Г., Дмитриев П.П. Квантовое излучение радиоактивных нуклидов: справочник. - М.: Атомиздат, 1977. - 397 с.
| название | год | авторы | номер документа |
|---|---|---|---|
| Способ определения местоположения точечного источника гамма-излучения на местности | 2019 |
|
RU2698496C1 |
| Способ определения местоположения и активности точечных источников гамма-излучения на местности | 2024 |
|
RU2838014C1 |
| Способ определения местоположения точечного источника гамма-излучения с анизотропным полем | 2021 |
|
RU2770797C1 |
| СПОСОБ ОПРЕДЕЛЕНИЯ ПОЛОЖЕНИЯ ТОЧЕЧНОГО ИСТОЧНИКА ГАММА-ИЗЛУЧЕНИЯ | 2011 |
|
RU2481597C1 |
| Способ определения местоположения точечного источника гамма-излучения на местности | 2015 |
|
RU2620449C2 |
| Способ определения оптимального маршрута движения при преодолении участка холмистой радиоактивно загрязненной местности | 2020 |
|
RU2741732C1 |
| УСТРОЙСТВО ДЛЯ ОСУЩЕСТВЛЕНИЯ НАВИГАЦИИ РОБОТА В ПОЛЯХ ГАММА-ИЗЛУЧЕНИЯ | 2009 |
|
RU2390799C1 |
| Роботизированный поиск источников ионизирующего излучения на местности | 2023 |
|
RU2836638C1 |
| Способ автоматического определения местоположения точечного источника гамма-излучения на местности | 2016 |
|
RU2620451C1 |
| Способ поиска затонувшего радиационного источника автономным необитаемым подводным аппаратом | 2023 |
|
RU2825830C1 |
Изобретение относится к области средств и методов выявления радиационной обстановки и обеспечения радиационной безопасности. В способе определения количества точечных источников гамма-излучения в пределах обследуемого района на начальном этапе поисковых работ определяют количество источников гамма-излучения в пределах обследуемого района путем выявления количества максимумов мощности дозы гамма-излучения вдоль окружности, охватывающей обследуемый район. Информация о количестве источников делает возможным планирование дальнейших работ по выбору наиболее подходящих средств и методов, обеспечивающих наиболее оперативную локализацию опасных объектов при соблюдении требований радиационной безопасности задействованного в работе персонала. 4 ил.
Способ определения количества точечных источников гамма-излучения в пределах обследуемого района, заключающийся в проведении измерений значений мощности дозы в точках на местности и определении на основе анализа полученных результатов количества точечных источников гамма-излучения, отличающийся тем, что измерения осуществляются в точках при движении по окружности, охватывающей обследуемый район, на основе полученных результатов строят график зависимости величины мощности дозы гамма-излучения от расстояния, пройденного от начальной точки движения, по графику определяют количество максимумов мощности дозы гамма-излучения, полученное число идентифицируют как количество точечных источников в пределах обследуемого района.
| СПОСОБ ОПРЕДЕЛЕНИЯ ПОЛОЖЕНИЯ ТОЧЕЧНОГО ИСТОЧНИКА ГАММА-ИЗЛУЧЕНИЯ | 2011 |
|
RU2481597C1 |
| Способ определения местоположения точечного источника гамма-излучения на местности | 2019 |
|
RU2698496C1 |
| СПОСОБ ВЫЯВЛЕНИЯ ПРОСТРАНСТВЕННО-ВРЕМЕННЫХ ХАРАКТЕРИСТИК РАДИАЦИОННО ОПАСНОГО РАЙОНА МЕСТНОСТИ, СФОРМИРОВАВШЕГОСЯ В РЕЗУЛЬТАТЕ ПРИМЕНЕНИЯ НЕЙТРОННОГО ОРУЖИЯ | 2008 |
|
RU2402790C2 |
| JP 2013195274 A, 30.09.2013 | |||
| CN 105372507 A, 02.03.2016 | |||
| CN 102681548 A, 19.09.2012. | |||
Авторы
Даты
2025-01-13—Публикация
2024-06-10—Подача