α-Гидроксифосфонаты с алкильными заместителями у атома фосфора, обладающие антимикробной активностью Российский патент 2025 года по МПК C07F9/09 A61K31/683 A61P31/04 

Описание патента на изобретение RU2834476C1

Изобретение относится к области фосфорорганической химии, в частности к α-гидроксифосфонатам, а именно - к рацематам О, О-диалкил(Z)-(2-бром-1-гидрокси-3-фенил-2-пропен-1-ил) фосфонатов общей формулы (I):

обладающим антимикробной (бактерицидной и фунгицидной) активностью при низких концентрациях, которые могут найти применение в области ветеринарии и сельского хозяйства в качестве дезинфицирующих средств. На дату представления заявочных материалов является актуальным разработка новых эффективных веществ, обладающих антимикробными свойствами, в том числе и в целях импортозамещения.

Из исследованного уровня техники не выявлено структурных аналогов заявленных соединений, поэтому обзор уровня техники проведен по аналогам по назначению.

Известен Фосфомицин (моно (2-аммоний-2-гидроксиметил-1,3-пропандиол)(2R-цис)-(3-метилоксиранил) фосфонат) – антибиотик широкого спектра действия, активный в отношении как грамотрицательных, так и грамположительных бактерий: E. Coli, S. aureus, Enterococcus, P. aeruginosa и K. Pneumoniae, предназначенное для лечения инфекций мочевыводящих путей [Shrestha N.K., Chua J.D., Tuohy M.J. Antimicrobial susceptibility of vancomycin-resistant Enterococcus faecum: potential utility of fosfomycin // Scand J Infect Dis. – 2003. – V.35. - P.12-14.; Perri M.B., Hershberger E., Ionescu M. et al. In vitro susceptibility of vancomycin-resistant enterococci (VRE) to Fosfomycin // Diagn Microbiol Infect Dis. – 2002. – V.42. – №4. – P.269-271].

Недостатком известного препарата является то, что большая часть данных по использованию фосфомицина касается лечения неосложненных инфекций мочевыводящих путей с помощью однократной терапии, ввиду его низкой эфективности [Shrestha N.K., Tomford J.W. Fosfomycin: a review // Infectious Diseases in Clinical Practice. – 2001. – V.10. – №5. – P.255-260].

Известен аналог по назначению – бензалкония хлорид (алкилдиметилбензиламмония хлорид) – антисептическое средство, относящийся к классу четвертичных аммониевых солей [Янгсон Р.М. Медицинский энциклопедический словарь (Collins), М.: АСТ Астрель, 2006, 1375с.].

Недостатком известного препарата является то, что выявлены сведения о его цитотоксическом действии на кожно-мышечные и легочные фибропласты эмбриона человека. [Еропкина Е.М., Афиногенов Г.Е., Еропкин М. Ю. Сравнительное исследование антимикробного и цитотоксического действия антисептиков in vitro с применением модели культуры эмбриональных фибробластов человека // Токсикологический вестник. – 1997. – Т.2. – С.12–17].

Известен аналог по назначению ко-тримоксазол (бисептол) – комбинированный антибактериальный препарат широкого спектра действия, содержащий два действующих вещества: сульфаметоксазол (производное сульфаниламида) и триметоприм (производное диамино-5-пиримидина) в соотношении 5 : 1. Бисептол является одним из наиболее известных антибактериальных препаратов для лечения легких и средне-тяжелых внебольничных инфекций дыхательных и мочевыводящих путей, кишечных инфекций [Страчунский Л.С., Козлов Р.С. Современные взгляды на применение ко-тримоксазола // Клиническая фармакология и терапия. – 1997. – Т.6. – №2. – С.27-31].

Недостатком известного препарата являются редкие, но чрезвычайно опасные синдромы Лайелла и Стивенса-Джонсона, миелотоксические реакции, а также реакции со стороны центральной нервной системы: головная боль, головокружение и тремор [Постников С.С., Семыкин С.Ю., Костылева М.Н., Грацианская А.Н., Татаринов П.А. Редкий нежелательный эффект ко-тримоксазола // Лечебное дело. - 2010. - №1. – С.78-81]. В некоторых источниках сообщается о токсичности данного препарата [Anyogu D.C., Shoyinka V.S.O., Ihedioha J.I. Effects of prolonged treatment with co-trimoxazole on the thyroid gland, liver, and epididymal sperm reserve in dogs // Clinical Medicine Insights: Pathology. – 2017. – V.10. – P.1-7].

Известен аналог по назначению – препарат Хлоргексидин (N',N'''''-гексан-1,6-диилбис[N-(4-хлорфенил)(имидодикарбонимид диамид)]), который эффективен против грамположительных бактерий, резистентных микроорганизмов, включая устойчивый к пенициллину золотистый стафилококк, устойчивый к Ванкомицину энтерококк, стрептококки и синегнойную палочку [WHO Guidelines Approved by the Guidelines Review Committee. WHO Guidelines on Hand Hygiene in Health Care: First Global Patient Safety Challenge Clean Care Is Safer Care. Geneva: World Health Organization; 2009].

Недостатком известного препарата является то, что он менее активен против грамотрицательных бактерий, и кроме, того, антисептическая обработка поверхности кожи 0,05% водным раствором хлоргексидина биглюконата при катетеризации центральных вен менее эффективна по сравнению с 70% раствором этилового спирта [Ионов О.В., Никитина И.В., Киртбая А.Р., Балашова Е.Н., Ленюшкина А.А., Любасовская Л.А., Родченко Ю.В., Припутневич Т.В., Зубков В.В., Дегтярев Д.Н. Раствор хлоргексидина биглюконата и этиловый спирт: какой из антисептиков эффективнее у новорожденных? // Неонатология: новости, мнения, обучение. – 2017. – №1. – С.79-85].

Известен аналог по назначению Нафтифин ((E)-N-метил-N-(3-фенил-2пропенил)-1- нафталинметанамин) – противогрибковый препарат для наружного использования из группы аллиламинов. Препарат обладает широким спектром антифунгального действия в отношении дерматофитов, плесневых, дрожжевых, дрожжеподобных и диморфных грибов [Косенкова С.И., Краснюк И.И., Краснюк (мл) И.И. Использование нафтифина гидрохлорида и преимущества его применения для лечения различных форм грибковых инфекций // Разработка и регистрация лекарственных средств. – 2018. – № 2(23). – С.144-148].

Недостатком известного технического решения является низкая активность Нафтифина in vitro против грибов Candida albicans. [Monk J.P., Brogden R.N. Naftifine. A review of its antimicrobial activity and therapeutic use in superficial dermatomycoses // Drugs. – 1991. – V.42. – Р.659–672].

Известен аналог по назначению – Миконазол (1-[2,4-дихлор-b-(2,4-дихлорбензилокси)фенетил]нитрат), который представляет собой клинически доступное соединение имидазола и классифицируется как антимикотик широкого спектра действия и активное соединение против грамположительных бактерий [Piérard, G.E, Hermanns-Lê.T, Delvenne P., Piérard-Franchimont C. Miconazole, a pharmacological barrier to skin fungal infections // Expert Opinion on Pharmacotherapy. – 2012. – V.13. – Is.8. – P.1187–1194], который является часто используемым противогрибковым препаратом из группы имидазолов. Основные изменения, вызываемые у грибов действием азолов, заключаются в массивном нарушении проницаемости клеточных мембран с выходом из клетки ионов калия и натрия, а также низкомолекулярных фосфатов и белков. Сделано предположение, что Миконазол и некоторые другие азолы связываются с ненасыщенными жирными кислотами цитоплазматической мембраны грибов.

Недостатком известного технического решения является то, побочные реакции, включающие в основном дискретное жжение, зуд, покалывание обработанного участка [Fernández L., Maquiera E., Rodriguez F., Picans I., Duque S. Systemic contact dermatitis from miconazole // Contact dermatitis. – 1996. – V.34. – Is.3. – P.217-217]. Сообщалось о «перекрестной чувствительности к Изоконазолу, Тиоконазолу и Оксиконазолу [Baes H. Contact sensitivity to miconazole with ortho-chloro crosssensitivity to other imidazoles // Contact Dermatitis. – 1991. – V.24. – P.89-93].

Кроме того, была показана перекрестная чувствительность Миконазола к Кетоконазолу и Сертаконазолу. Сообщалось о нескольких лекарственных взаимодействиях при местном применении Миконазола [Dvorak Z. Drug-drug interactions by azole antifungals: beyond a dogma of CYP3A4 enzyme activity inhibition // Toxicol Lett. – 2011. – V.202. – Is.2. – P.129-132], особенно с кумаринами [Kovac M., Mitic G., Kovaz Z. Miconazole and nystatin used as topical antifungal drugs interact equally strongly with warfarin // Journal of Clinical Pharmacy and Therapeutics. – 2012. – V.37. – P.45-48].

Известен аналог по назначению – Фуразолидон (3-{[(5-Нитрофуран-2-ил)метилиден]амино}-1,3-оксазолидин2-он), как лекарственный препарат, обладает антибактериальным специфичным механизмом действия, широким спектром антимикробной активности и низкой резистентностью микроорганизмов к своему действию [Елагина А.О., Беляцкая А.В., Краснюк (мл) И.И., Краснюк И.И., Степанова О.И., Фатеева Т.В., Плахотная О.Н., Растопчина О.В. Изучение антимикробной активности твердых быстрорастворимых форм фуразолидона в опытах in vitro //Вестник Воронежского государственного университета. – 2022. – №2. – С. 70-77], эффективен в борьбе с сальмонеллами, трихомонадами, лямблиями.

Недостатком известного препарата являются серьезные побочные эффекты: снижение аппетита, вплоть до анорексии, тошнота, рвота, аллергические реакции, а при длительном применении повышение риска новообразований почек [Порхоменко, С.А., Басарева О.И. Описание препарата фуразолидона и его технологическая схема производства // Биотехнология и биомедицинская инженерия: сборник научных трудов по материалам ХII Всероссийской научно-практической конференции с международным участием, посвященной 87-летию Курского государственного медицинского университета, Курск, 27 октября 2022 года. – Курск: Курский государственный медицинский университет. – 2022. – С.75-76].

Кроме того, Фуразолидон обладает достаточно узким спектром безопасности и почти полностью метаболизируется в печени, создавая дополнительную нагрузку на детоксицирующие системы [Захаренко С.М. Этиотропная терапия острых кишечных инфекций // Лечащий врач. – 2009. – №2. – С.60-63].

Таким образом, анализ уровня техники, проведенный заявителем, показал, что структурных аналогов заявленных соединений общей формулы (I) на основе рацемата О,О-диалкил(Z)-(2-бром-1-гидрокси-3-фенил-2-пропен-1-ил) фосфонатов обладающих антимикробной активностью, из выявленного уровня техники на дату подачи настоящей заявки не выявлено, поэтому формула изобретения составлена без ограничительной части.

Техническим результатом заявленного технического решения являются новые соединения – рацематы О, О-диалкил(Z)-(2-бром-1-гидрокси-3-фенил-2-пропен-1-ил) фосфонатов (I), не требующие сложных процедур синтеза и очистки, обладающие высокой бактерицидной и фунгицидной активностью, расширяющие арсенал известных средств указанного назначения.

Сущностью заявленного технического решения являются α-гидроксифосфонаты – рацематы О, О-диалкил(Z)-(2-бром-1-гидрокси-3-фенил-2-пропен-1-ил) фосфонатов общей формулы (I).

обладающие бактерицидной и фунгицидной активностью.

Заявленное техническое решение иллюстрируется Фиг. 1 – Фиг.3.

На Фиг.1 приведена геометрия молекулы S-изомера соединения (Ia).

На Фиг.2 приведена геометрия молекулы S-изомера соединения (Id).

На Фиг. 3 приведена Таблица бактерицидной и фунгицидной активности заявленных α-гидроксифосфонатов – рацематов О, О-диалкил(Z)-(2-бром-1-гидрокси-3-фенил-2-пропен-1-ил) фосфонатов формулы (I) по сравнению с известными препаратами. Величина зоны задержки роста: 22-33 мм – высокая активность, 15-21 мм – средняя активность, ниже 14 мм – низкая активность.

Далее заявителем приведено описание заявленного технического решения.

Заявленный технический результат достигается получением рацематов О, О-диалкил(Z)-(2-бром-1-гидрокси-3-фенил-2-пропен-1-ил) фосфонатов (I), обладающих антимикробной активностью.

Далее заявителем приведено описание исходных реагентов.

Диэтилфосфит является коммерчески доступным соединением [https://chimmed.ru/products/dietilfosfit-98-id=527983].

Диизопропилфосфит является коммерчески доступным соединением [https://chimmed.ru/products/diisopropyl-phosphite-98-id=284079].

Диизобутилфосфит получают из 2-метилпропанола-1 и треххлористого фосфора. Метод синтеза диалкилфосфитов описан в работе [Кормачев, В.В. Препаративная химия фосфора / В.В. Кормачев, М.С. Федосеев. Пермь: УрО РАН. 1992. – 457 с].

α-бромциннамальдегид является коммерчески доступным соединением [https://www.sigmaaldrich.com/RU/en/product/aldrich/161160?srsltid=AfmBOooNnwm2eOEOEnnTkLl8Wthv07OAUhzsnw4-C5dOg5nSo3SlWL9J]

Фосфат калия является коммерчески доступным соединением [https://www.ozon.ru/category/ortofosfat-kaliya/?__rr=1].

Заявленные соединения получают в один этап (Схема 1).

Берут диалкилфосфит (II) и α-бромциннамальдегид в мольном соотношении диалкилфосфит : α-бромциннамальдегид = 1 : 1, добавляют фосфат калия в качестве катализатора и энергично перемешивают при комнатной температуре (например, 25 °С) в течение часа.

Очистку полученных соединений проводят следующим образом:

1. Растворяют полученные продукты в хлористом метилене и отфильтровывают от фосфата калия. Растворитель удаляют на роторном испарителе.

2. Осадок перекристаллизовывают из гексана.

3. Продукты высушивают в вакуум-эксикаторе.

Получают заявленные соединения формулы (I).

где:

Схема 1

Далее заявителем приведены примеры получения заявленных соединений.

Пример 1 . Получение рацемата О, О-диэтил(Z)-(2-бром-1-гидрокси-3-фенил-2-пропен-1-ил) фосфоната ( Ia ) (Схема 2).

Схема 2

Эквимольное количество реагентов, например, по 0.02 моль диэтилфосфита (IIa) и α-бромциннамальдегида, 2 ммоль фосфата калия энергично перемешивают в течение часа при комнатной температуре 25°С.

Полученный продукт растворяют в хлористом метилене, осадок фосфата калия отделяют фильтрованием, затем удаляют растворитель на роторном испарителе. Проводят перекристаллизацию остатка из гексана, затем высушивают в вакуум-эксикаторе.

Получают рацемат О, О-диэтил(Z)-(2-бром-1-гидрокси-3-фенил-2-пропен-1-ил) фосфоната – соединение (Ia). Выход 6.42 г (92 %), желтый порошок.

ИК-спектр, см-1: 1017 (P-O-C), 1226 (Р=О), 3204 (OH).

Спектр ЯМР 1Н (CDCl3), δH, м.д.: 1.29 т. (3Н, СН3, 3JНH = 7.3 Гц), 1.31 т. (3Н, *СН3, 3JНH = 7.2 Гц), 4.15 – 4.25 м. (4Н, ОСН2), 4.80 д. (1Н, РСН, 2JPH = 13.6 Гц), 5.40 с. (1Н, ОН), 7.27 – 7.37 м. (4Н, Ar-H, C=CH), 7.61 д. (2Н, Ar-H, 3JHH = 7.4 Гц).

Спектр ЯМР 13С{1H} (CDCl3), δС, м.д.: 16.48 д. (СН3, 3J = 4.1 Гц), 16.52 д. (*СН3, 3J = 4.2 Гц), 63.47 д. (ОСН2, 2J = 7.1 Гц), 63.94 д. (О*СН2, 2J = 7.0 Гц), 74.41 д. (РС, 1J = 163.5 Гц), 120.43 д. (3J = 2.1 Гц), 128.15 с. 128.27 с., 129.15 с., 129.16 с., 130.89 д. (2J = 12.0 Гц), 135.10 с., 135.13 с. (Ar, C=C).

Спектр ЯМР 31P {1H} (CDCl3), δР, м.д.: 19.6

C13H18BrO4P.

Tпл 67.3°С.

Получены кристаллы S-изомера рацемата О, О-диэтил(Z)-(2-бром-1-гидрокси-3-фенил-2-пропен-1-ил) фосфоната – соединения (Ia). Кристаллы S-изомера рацемата О, О-диэтил(Z)-(2-бром-1-гидрокси-3-фенил-2-пропен-1-ил) фосфоната () моноклинные, C13H18BrO4P; размер кристалла 0.182×0.132×0.099 мм3, M = 349.15 г/моль, пространственная группа P21/c (№ 14), Z = 4, a = 9.2576(9) Å, b = 8.1076(8) Å, c = 20.286(2) Å, V = 1494.4(3)Å3, ρcalc = 1.552 г·cм–3, μ = 2.864 мм–1, собрано отражений 36856 (–12≤h≤12, –10≤k≤10, –27≤l≤27), в пределах θ: от 2.046° до 28.723°, 3859 независимых (Rint = 0.0649) и 3358 наблюдаемых отражений [I ≥ 2σ(I)], 178 параметров уточнения, R1 = 0.0294, wR2 = 0.0801, максимальная (минимальная) остаточная электронная плотность 0.623 (–0.631) e·Å–3. Геометрия молекулы S-изомера соединения () представлена на Фиг.1

Пример 2 . Получение рацемата О, О-диизопропил(Z)-(2-бром-1-гидрокси-3-фенил-2-пропен-1-ил) фосфоната ( Ib ) (Схема 3).

Схема 3

Эквимольное количество реагентов, например, по 0.02 моль диизопропилфосфита (IIb) и α-бромциннамальдегида, 2 ммоль фосфата калия энергично перемешивают в течение часа при комнатной температуре 25°С.

Полученный продукт растворяют в хлористом метилене, осадок фосфата калия отделяют фильтрованием, затем удаляют растворитель на роторном испарителе. Проводят перекристаллизацию остатка из гексана, затем высушивают в вакуум-эксикаторе.

Получают рацемат О, О-диизопропил(Z)-(2-бром-1-гидрокси-3-фенил-2-пропен-1-ил) фосфоната – соединение (Ib). Выход 7.24 г (96 %), желтый порошок.

ИК-спектр, см-1: 981 (P-O-C), 1231 (Р=О), 3267 (OH).

Спектр ЯМР 1Н (CDCl3), δH, м.д.: 1.27 – 1.37 м. (12Н, СН3), 4.70 д. (1Н, РСН, 2JPH = 13.7 Гц), 4.73 – 4.83 м. (2H, OCH), 5.25 с. (1Н, ОН), 7.27 – 7.37 м. (4Н, Ar-H, C=CH), 7.61 д. (2Н, Ar-H, 3JНH = 7.4 Гц).

Спектр ЯМР 13С{1H} (CDCl3), δС, м.д.: 23.91 д. (СН3, 3J = 5.6 Гц), 24.07 д. (*СН3, 3J = 4.9 Гц), 23.27 д. (***СН3, 3J = 3.5 Гц), 24.37 д. (****СН3, 3J = 2.8 Гц), 72.26 д. (ОСН2, 2J = 7.5 Гц), 72.67 д. (О*СН2, 2J = 7.5 Гц), 74.72 д. (РС, 1J = 164.4 Гц), 120.99 д. (3J = 2.0 Гц), 128.21 с. 128.25 с., 129.20 с., 129.21 с., 130.78 д. (2J = 10.1 Гц), 135.29 с., 135.31 с. (Ar, C=C).

Спектр ЯМР 31P{1H} (CDCl3), δР, м.д.: 18.2.

C15H22BrO4P.

Tпл 48.5°С.

Пример 3. Получение рацемата О, О-дибутил(Z)-(2-бром-1-гидрокси-3-фенил-2-пропен-1-ил) фосфоната ( Ic ) (Схема 4).

Схема 4

Эквимольное количество реагентов, например, по 0.02 моль дибутилфосфита (IIc) и α-бромциннамальдегида, 2 ммоль фосфата калия энергично перемешивают в течение часа при комнатной температуре 25 °С.

Полученный продукт растворяют в хлористом метилене, осадок фосфата калия отделяют фильтрованием, затем удаляют растворитель на роторном испарителе. Проводят перекристаллизацию остатка из гексана, затем высушивают в вакуум-эксикаторе.

Получают рацемат О, О-дибутил(Z)-(2-бром-1-гидрокси-3-фенил-2-пропен-1-ил) фосфоната – соединение (). Выход 7.62 г (94 %), желтый порошок.

ИК-спектр, см-1: 1026 (P-O-C), 1229 (Р=О), 3192 (OH).

Спектр ЯМР 1Н (CDCl3), δH, м.д.: 0.88 т. (3Н, СН3, 3JНH = 7.4 Гц), 0.91 т. (3Н, *СН3, 3JНH = 7.3 Гц), 1.31 – 1.45 м. (4Н, СН2СН3), 1.59 – 1.70 м. (4Н, СН2СН2CH3), 4.10 – 4.20 м. (4Н, ОСН2), 4.79 д. (1Н, РСН, 2JPH = 13.4 Гц), 5.20 с. (1Н, ОН), 7.27 – 7.37 м. (4Н, Ar-H, C=CH), 7.62 д. (2Н, Ar-H, 3JНH = 7.6 Гц).

Спектр ЯМР 13С{1H} (CDCl3), δС, м.д.: 13.56 с. (СН3), 18.65 с. (СН2СН3), 32.50 д. (СН2СН2CH3, 3J = 4.0 Гц), 32.55 д. (*СН2СН2CH3, 3J = 3.9 Гц), 66.99 д. (ОСН2, 2J = 7.4 Гц), 67.32 д. (О*СН2, 2J = 6.9 Гц), 74.46 д. (РС, 1J = 164.0 Гц), 120.57 с., 128.05 с. 128.14 с., 129.10 с., 129.11 с., 130.71 д. (2J = 9.9 Гц), 135.18 с., 135.20 с. (Ar, C=C).

Спектр ЯМР 31P{1H} (CDCl3), δР, м.д.: 19.6

C17H26BrO4P.

Tпл 70.4 °С.

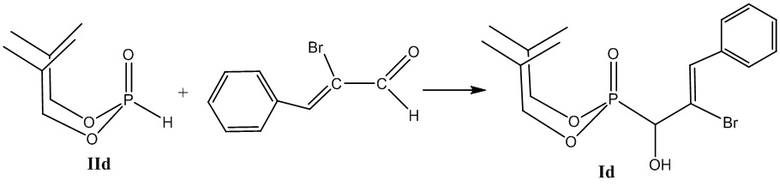
Пример 4 . Получение рацемата О, О-диизобутил(Z)-(2-бром-1-гидрокси-3-фенил-2-пропен-1-ил) фосфоната ( Id ) (Схема 5).

Схема 5

Эквимольное количество реагентов, например, по 0.02 моль диизобутилфосфита (IId) и α-бромциннамальдегида, 2 ммоль фосфата калия энергично перемешивают в течение часа при комнатной температуре 25°С.

Полученный продукт растворяют в хлористом метилене, осадок фосфата калия отделяют фильтрованием, затем удаляют растворитель на роторном испарителе. Проводят перекристаллизацию остатка из гексана, затем высушивают в вакуум-эксикаторе.

Получают рацемат О, О-диизобутил(Z)-(2-бром-1-гидрокси-3-фенил-2-пропен-1-ил) фосфоната – соединение (Id). Выход 7.45 г (92 %), желтый порошок.

ИК-спектр, см-1: 1018 (P-O-C), 1230 (Р=О), 3220 (OH).

Спектр ЯМР 1Н (CDCl3), δH, м.д.: 0.89 – 0.98 м. (12Н, СН3), 1.88 – 2.03 м. (2Н, СН(СН3)2), 3.90 – 3.96 м. (4Н, ОСН2), 4.78 д. (1Н, РСН, 2JPH = 13.5 Гц), 7.27 – 7.37 м. (4Н, Ar-H, C=CH), 7.61 д. (2Н, Ar-H, 3JНH = 7.3 Гц).

Спектр ЯМР 13С{1H} (CDCl3), δС, м.д.: 18.77 с. (СН3), 18.81 с. (*СН3), 29.42 д. (СН(СН3)2, 3J = 4.7 Гц), 73.22 д. (OСН2, 2JPC = 7.6 Гц), 73.65 д. (О*СН2, 2J = 7.5 Гц), 74.58 д. (РС, 1J = 162.4 Гц), 120.61 д. (3J = 2.7 Гц), 128.28 с. 128.41 с., 129.23 с., 129.24 с., 131.06 д. (2J = 10.3 Гц), 135.17 с., 135.19 с. (Ar, C=C).

Спектр ЯМР 31P{1H} (CDCl3), δР, м.д.: 19.5

C17H26BrO4P.

Tпл 51.2°С.

Получены кристаллы S-изомера рацемата О, О-диизобутил(Z)-(2-бром-1-гидрокси-3-фенил-2-пропен-1-ил) фосфоната – соединения (Id). Кристаллы S-изомера рацемата О, О-диизобутил(Z)-(2-бром-1-гидрокси-3-фенил-2-пропен-1-ил) фосфоната (Id) моноклинные, C17H26BrO4P; размер кристалла 0.123×0.118×0.098 мм3, M = 405.26 г/моль, пространственная группа P21 (№ 4), Z = 2, a = 9.6619(19) Å, b = 7.8650(14) Å, c = 12.630(2) Å, V = 948.7(3) Å3, ρcalc = 1.419 г·cм–3, μ = 2.267 мм–1, собрано отражений 36774 (–13≤h≤13, –10≤k≤10, –17≤l≤17), в пределах θ: от 2.481 до 28.849°, 4923 независимых (Rint = 0.1074) и 3476 наблюдаемых отражений [I ≥ 2σ(I)], 232 параметров уточнения, R1 = 0.0584, wR2 = 0.1361, максимальная (минимальная) остаточная электронная плотность 1.213 (–0.842) e·Å–3. Геометрия молекулы S-изомера соединения (Id) представлена на Фиг.2.

Пример 5. Исследование антимикробной (бактерицидной и фунгицидной) активности соединений формулы (I).

Бактерицидные и фунгицидные свойства заявленных α-гидроксифосфонатов формулы (I) исследовали на тест-культурах: Escherichia coli (E. coli), Bacillus cereus (B. cereus), Pseudomonas aeruginosa (Ps. aeruginosa), Staphylococcus aureus (S. aureus), Candida albicans (C. albicans), по известному методу [Першин Г.Н. Методы экспериментальной химиотерапии. // Москва: Медицина, 1971. – 245с.].

Для оценки бактерицидной и фунгицидной активности заявленные соединения формулы (I) вносили в лунки агаризированной питательной среды. О бактерицидной и фунгицидной активности судили по наличию зоны ингибирования роста тест-культур, которая образуется вокруг лунок с исследуемым веществом.

Результаты исследования бактерицидной и фунгицидной активности рацематов О, О-диалкил(Z)-(2-бром-1-гидрокси-3-фенил-2-пропен-1-ил) фосфонатов (I) представлены в Таблице на Фиг.3. Величина зоны задержки роста: 22-33 мм – высокая активность, 15-21 мм – средняя активность, ниже 14 мм – низкая активность.

В качестве контроля исследованы аналоги по назначению: Нафтифин гидрохлорид – противогрибковый препарат и Бензалкония хлорид – антимикробный препарат.

Эксперименты по микробиологии выполнены в 1 % спиртовом растворе.

Из данных, приведенных в Таблице, можно сделать вывод, что заявленные α-гидроксифосфонаты – рацематы О, О-диалкил(Z)-(2-бром-1-гидрокси-3-фенил-2-пропен-1-ил) фосфонатов (Ia-Id) обладают антибактериальной активностью, как против грамположительных, так и против грамотрицательных бактерий.

Высокая активность наблюдается по отношению к кишечной палочке E. Coli, которая вызывает целую группу острых инфекций, поражающих желудочно-кишечный тракт, и сохраняет жизнеспособность длительное время, что делает ее крайне опасным патогеном.

Все соединения (Ia-Id) обладают высокой активностью в отношении бактерий B.Сereus и золотистого стафилокока S.Aureus.

При этом высокие зоны задержки роста наблюдаются в отношении S.Aureus для соединений (Ia) и (Ib), содержащих короткоцепочечные заместители у атома фосфора.

Введение бутоксильных и изобутоксильных заместителей к атому фосфора заметно снижают бактерицидную активность заявленных α-гидроксифосфонатов (I), в особенности для синегнойной палочки Ps. Aeruginosa, для которой активность снижается до 7 мм.

Все заявленные соединения (Ia-Id) показали бактерицидную активность выше, чем у известного аналога Бензалкония хлорида в отношении бактерий E. Coli, B.Cereus и S.Aureus.

Высокая фунгицидная активность наблюдается для C. albicans – дрожжеподобного гриба, являющегося представителем нормальной микробиоты кожи и слизистых оболочек человека, и относится к условно-патогенным. Однако при нарушениях иммунных механизмов защиты, он становится причиной кандидоза, проявляющегося поражениями кожно-слизистой ткани.

Самую высокую активность к грибам рода Кандида проявляют соединения (Ia) и (Ib), содержащие этоксильные и изопропоксильные заместители у атома фосфора.

Все заявленные соединения (Ia-Id) показали фунгицидную активность выше, чем у известного аналога Нафтифин гидрохлорида.

Замена бутоксильного заместителя на его структурный изо-аналог не оказывает влияния на бактерицидную активность заявленных соединений (Ia-Id), в то время как фунгицидная активность увеличивается.

Таким образом, полученные результаты свидетельствуют о перспективности дальнейшего изучения заявленных α-гидроксифосфонатов – рацематов О, О-диалкил(Z)-(2-бром-1-гидрокси-3-фенил-2-пропен-1-ил) фосфонатов (Ia-Id).

Таким образом, из описанного выше можно сделать вывод, что заявителем достигнут заявленный технический результат, а именно: получены новые
α-гидроксифосфонаты – рацематы О, О-диалкил(Z)-(2-бром-1-гидрокси-3-фенил-2-пропен-1-ил) фосфонатов формулы (I), не требующие сложных процедур синтеза и очистки, обладающие высокой антимикробной – бактерицидной и фунгицидной активностью, расширяющие арсенал известных средств указанного назначения. Преимуществами заявленных соединений является то, что они обладают высокой бактерицидной активностью по отношению как к грамположительным, так и к грамотрицательным штаммам микроорганизмов, а также очень высокой фунгицидной активностью к грибам Candida albicans.

Фунгицидная активность отдельных соединений по отношению к грибам рода Кандида выше в сравнении с нафтифин гидрохлоридом более чем в три раза; бактерицидная активность в отношении штаммов E. Coli и S. Aureus выше по сравнению с Бензалконий хлоридом более чем в два раза.

Заявленное техническое решение соответствует условию патентоспособности «новизна» предъявляемому к изобретениям, т.к. из исследованного уровня техники не выявлено средство, обладающее совокупностью заявленных в формуле изобретения признаков, позволяющих получить заявленный технический результат, а именно – α-гидроксифосфонаты с алкильными заместителями у атома фосфора, обладающие высокой бактерицидной и фунгицидной активностью, расширяющие арсенал известных средств указанного назначения.

Заявленное техническое решение соответствует условию патентоспособности «изобретательский уровень», предъявляемому к изобретениям, т.к. совокупность заявленных признаков обеспечивает получение неочевидных для специалиста технических результатов, а именно – получение неизвестных из уровня техники соединений.

Заявленное техническое решение соответствует условию патентоспособности «промышленная применимость» предъявляемому к изобретениям, так как может быть осуществлено на стандартном оборудовании с использованием известных реагентов.

Похожие патенты RU2834476C1

название год авторы номер документа
Фосфорилсодержащие четвертичные соли аммония с высшими алкильными заместителями, обладающие бактерицидной и фунгицидной активностью 2021
  • Давлетшин Рустам Рифхатович
  • Гайнеев Айдар Маратович
  • Галкина Ирина Васильевна
  • Давлетшина Наталья Викторовна
  • Шулаева Марина Петровна
  • Поздеев Оскар Кимович
RU2770537C1
Замещенные 4-(азол-1-илметил)-1-фенил-5,5-диалкилспиро-[2.5]октан-4-олы, способ их получения (варианты), фунгицидная и рострегуляторная композиции на их основе 2016
  • Попков Сергей Владимирович
  • Шебеко Никита Александрович
  • Макаренко Алина Александровна
  • Алексеенко Анна Леонидовна
  • Никишин Геннадий Иванович
  • Терентьев Александр Олегович
  • Кузнецова Мария Алексеевна
  • Рогожин Александр Николаевич
  • Сметанина Татьяна Ивановна
  • Глинушкин Алексей Павлович
RU2648240C1
ПОЛУЧЕНИЕ НОВОГО КЛАССА ЖИДКОКРИСТАЛЛИЧЕСКИХ СОЕДИНЕНИЙ, СОДЕРЖАЩИХ ЧЕТЫРЕХАТОМНЫЙ ФТОРСОДЕРЖАЩИЙ ФРАГМЕНТ МОСТИКОГО ТИПА 2012
  • Гольдберг Алексей Андреевич
  • Шастин Алексей Владимирович
  • Музалевский Василий Михайловичч
  • Баленкова Елизавета Сергеевна
  • Ненайденко Валентин Георгиевич
RU2511009C2
ЭНАНТИОМЕРНО ЧИСТЫЕ ОСНОВНЫЕ ЭФИРЫ АРИЛ-ЦИКЛОАЛКИЛГИДРОКСИКАРБОНОВЫХ КИСЛОТ, СПОСОБ ИХ ПОЛУЧЕНИЯ И ПРИМЕНЕНИЕ В ЛЕКАРСТВЕННЫХ СРЕДСТВАХ 1997
  • Ное Кристиан Р.
  • Мучлер Эрнст
  • Ламбрехт Гюнтер
  • Эльгерт Михель
  • Чехе Зиттах
  • Валбрук Магали
RU2238936C2
ЗАМЕЩЕННОЕ ПИРИДИНОВОЕ СОЕДИНЕНИЕ 2011
  • Накамура Цуйоси
  • Намики Хиденори
  • Терасака Наоки
  • Сима Акико
  • Хагихара Масахико
  • Ивасе Нориаки
  • Таката Кацунори
  • Кикути Осаму
  • Цубоике Кадзунари
  • Сетогути Хироюки
  • Йонеда Кендзи
  • Сунамото Хидетоси
  • Ито Кодзи
RU2572606C2
СИНТЕЗ НОВОГО КЛАССА ФТОРСОДЕРЖАЩИХ ЖИДКОКРИСТАЛЛИЧЕСКИХ СОЕДИНЕНИЙ С ИСПОЛЬЗОВАНИЕМ ХЛАДОНА 114В2 В КАЧЕСТВЕ ИСХОДНОГО СОЕДИНЕНИЯ 2012
  • Гольдберг Алексей Андреевич
  • Шастин Алексей Владимирович
  • Музалевский Василий Михайлович
  • Баленкова Елизавета Сергеевна
  • Ненайденко Валентин Георгиевич
RU2505529C1
Фосфорсодержащие бетаины с липофильными октильными заместителями у атома азота, обладающие бактерицидной активностью 2022
  • Давлетшина Наталья Викторовна
  • Ермакова Екатерина Александровна
  • Долгова Диляра Рамилевна
  • Давлетшин Рустам Рифхатович
  • Галкина Ирина Васильевна
  • Шулаева Марина Петровна
  • Стойков Иван Иванович
  • Черкасов Рафаэль Асхатович
RU2794901C1
ДИСПИРОИНДОЛИНОНЫ НА ОСНОВЕ РОДАНИНОВ КАК ИНГИБИТОРЫ Р53-MDM2 БЕЛОК-БЕЛКОВОГО ВЗАИМОДЕЙСТВИЯ 2019
  • Белоглазкина Анастасия Александровна
  • Мажуга Александр Георгиевич
  • Белоглазкина Елена Кимовна
  • Мефедова София Романовна
  • Карпов Никита Александрович
RU2730286C1
ИНГИБИТОРЫ ТЕЛОМЕРАЗЫ И СПОСОБ ИХ ПОЛУЧЕНИЯ 2010
  • Мажуга Александр Георгиевич
  • Зверева Мария Эмильевна
  • Агрон Леонид Александрович
  • Белоглазкина Елена Кимовна
  • Ворожцов Николай Игоревич
  • Донцова Ольга Анатольевна
  • Зык Николай Васильевич
  • Киселев Федор Львович
  • Скворцов Дмитрий Александрович
RU2468030C2
N,N'-ДИ(АЛКАДИИНИЛ)ДИАЗАЦИКЛОАЛКАНЫ И СПОСОБ ПОЛУЧЕНИЯ N,N'-ДИ(АЛКАДИИНИЛ)ДИАЗАЦИКЛОАЛКАНОВ, ПРОЯВЛЯЮЩИХ ФУНГИЦИДНУЮ АКТИВНОСТЬ ПО ОТНОШЕНИЮ К ГРИБАМ Bipolaris sorokiniana и Rhizoctonia solani 2019
  • Джемилев Усеин Меметович
  • Ибрагимов Асхат Габдрахманович
  • Хабибуллина Гузель Ражаповна
  • Зайнуллина Фируза Тимирьяновна
  • Галимзянова Наиля Фауатовна
RU2727138C1

Иллюстрации к изобретению RU 2 834 476 C1

Реферат патента 2025 года α-Гидроксифосфонаты с алкильными заместителями у атома фосфора, обладающие антимикробной активностью

Изобретение относится к области фосфорорганической химии, а именно к α-гидроксифосфонатам-рацематам О, О-диалкил(Z)-(2-бром-1-гидрокси-3-фенил-2-пропен-1-ил) фосфонатов общей формулы (I): R = C2H5 (этил) (), R = i-C3H7 (изо-пропил) (Ib), R = C4H9 (бутил) (Ic), R = i-C4H9 (изо-бутил), (Id), обладающих бактерицидной и фунгицидной активностью. Настоящее изобретение обеспечивает разработку новых соединений – рацематов О, О-диалкил(Z)-(2-бром-1-гидрокси-3-фенил-2-пропен-1-ил) фосфонатов, не требующих сложных процедур синтеза и очистки, обладающих высокой бактерицидной и фунгицидной активностью, расширяющих арсенал известных средств указанного назначения. 5 пр., 3 ил.

Формула изобретения RU 2 834 476 C1

α-Гидроксифосфонаты - рацематы О, О-диалкил(Z)-(2-бром-1-гидрокси-3-фенил-2-пропен-1-ил) фосфонатов общей формулы (I):

обладающие бактерицидной и фунгицидной активностью.

Документы, цитированные в отчете о поиске Патент 2025 года RU2834476C1

Шнигирев Р.Б., СИНТЕЗ ПОЛИФУНКЦИОНАЛЬНЫХ α-ГИДРОКСИФОСФОНАТОВ, Проблемы теоретической и экспериментальной химии - XXXII, Иркутск, 2022, с
ПРИСПОСОБЛЕНИЕ, ЗАТРУДНЯЮЩЕЕ КРАЖУ ЭЛЕКТРИЧЕСКОЙ ЛАМПЫ 1922
  • Шикульский П.Л.
SU399A1
Каппель М.А., МИКРОВОЛНОВЫЙ СИНТЕЗ - НОВЫЙ ПОДХОД К ПОЛУЧЕНИЮ α-ГИДРОКСИФОСФОНАТОВ, Химия 21 века в школе, Казань, 2022, с
Видоизменение пишущей машины для тюркско-арабского шрифта 1923
  • Мадьяров А.
  • Туганов Т.
SU25A1
Седов А.Н
и др., СИНТЕЗ, КРИСТАЛЛИЧЕСКАЯ СТРУКТУРАИ БИОЛОГИЧЕСКАЯ

RU 2 834 476 C1

Авторы

Давлетшин Рустам Рифхатович

Седов Андрей Николаевич

Шулаева Марина Петровна

Ившин Камиль Анатольевич

Давлетшина Наталья Викторовна

Галкина Ирина Васильевна

Поздеев Оскар Кимович

Даты

2025-02-11Публикация

2024-08-27Подача