ИНДАЗОЛИЛИЗОКСАЗОЛЬНЫЕ ПРОИЗВОДНЫЕ ДЛЯ ЛЕЧЕНИЯ ЗАБОЛЕВАНИЙ, ТАКИХ КАК ЗЛОКАЧЕСТВЕННОЕ НОВООБРАЗОВАНИЕ Российский патент 2025 года по МПК C07D231/56 C07D413/04 C07D413/14 C07D417/14 C07D471/10 C07D487/04 C07D491/107 A61K31/416 A61P35/00 

Описание патента на изобретение RU2836662C2

ПРЕДПОСЫЛКИ СОЗДАНИЯ ИЗОБРЕТЕНИЯ

Задачей изобретения являлось обнаружение новых соединений, которые обладают ценными свойствами, в частности, таких, которые можно применять для приготовления лекарственных средств.

Настоящее изобретение относится к индазолилизоксазольным производным, которые ингибируют c-KIT киназу в широком диапазоне мутаций c-KIT и вторичных мутаций (вторичная мутация резистентности V654A в экзоне 13), которые могут возникать у пациентов с ЖКСО (желудочно-кишечная стромальная опухоль).

Таким образом, соединения настоящего изобретения являются полезными для лечения заболеваний, таких как злокачественное новообразование.

Настоящее изобретение также обеспечивает способы получения этих соединений, фармацевтические композиции, содержащие эти соединения, соединения для применения для лечения заболеваний и способы лечения заболеваний с использованием фармацевтических композиций, содержащих эти соединения.

Мутировавшие формы рецепторной тирозинкиназы c-KIT являются движущими силами некоторых злокачественных новообразований и являются привлекательными мишенями для терапии. В то время, как была получена польза от применения ингибиторов активности KIT киназы, таких как иматиниб, в особенности, при ЖКСО, при определенных онкогенных мутациях возникает первичная резистентность. Более того, резистентность часто развивается вследствие вторичных мутаций (L.К. Ashman & R.Griffith (2013) Expert Opinion on Investigational Drugs, 22:1, 103-115).

L.L. Chen и др. в Cancer res. 2004; 64:5913-5919 описывают, что "Миссенс-мутация в KIT киназном домене 1 коррелирует с резистентностью к иматинибу при желудочно-кишечных стромальных опухолях".

K.G. Roberts и др. в Mol. Cancer Ther. 2007; 6:1159-1166 описывают, что "Резистентность к ингибиторам киназы с-KIT обуславливается мутацией V654A".

Желудочно-кишечные стромальные опухоли (ЖКСО) являются наиболее распространенными мезенхимальными опухолями желудочно-кишечного (ЖК) тракта.

ЖКСО определяю как c-KIT (CD 117, рецептор фактора стволовых клеток)-положительные мезенхимальные веретеноклеточные или эпителиоидные новообразования.

ЖКСО обычно имеют первичные активирующие мутации KIT гена (90%), приводящие к лиганд-независимой активации рецепторной тирозинкиназы с-KIT, что делает опухоль зависимой от онкогенной активности KIT.

Лечение ЖКСО с первичной мутацией иматинибом дает показатель первоначального ответа ~70%, однако в 40-50% случаев в среднем в течение двух лет развивается приобретенная резистентность. Вторичная мутация V654A в экзоне 13 является наиболее частой мутацией резистентности после иматиниба.

Существует острая неудовлетворенная медицинская потребность в разработке безопасного и специфического ингибитора в целях предотвращения мутации резистентности KIT V654A.

Было обнаружено, что соединения в соответствии с изобретением и их соли обладают чрезвычайно ценными фармакологическими свойствами при хорошей переносимости.

В особенности, настоящее изобретение относится к соединениям формулы I, которые ингибируют c-KIT киназу, предпочтительно мутант V654A c-KIT киназы.

Кроме того, соединения формулы I ингибируют PDGFRa(V65ID). Мутации PDGFRa с приобретением функции, по-видимому, играют важную роль в развитии ЖКСО без мутаций KIT (S. Hirota и др., Gastroenterology 2003;125:660-667).

Хозяин или пациент может принадлежать к любому из видов млекопитающих, например, к видам приматов, в частности, к людям; грызунам, включая мышей, крыс и хомяков; кроликам, лошадям, коровам, собакам, кошкам и т.д. Животные модели представляют интерес для экспериментальных исследований, обеспечивая модель для лечения болезней человека.

Чувствительность определенной клетки к лечению с помощью соединений в соответствии с изобретением можно определить с помощью тестов in-vitro. Типично, культуру клеток объединяют с соединением в соответствии с изобретением при различных концентрациях на период времени, который является достаточным для того, чтобы позволить активным агентам, таким, как анти IgM, индуцировать клеточный ответ, такой как экспрессия поверхностного маркера, обычно в интервале от приблизительно одного часа до одной недели. In-vitro тестирование можно осуществлять при использовании культивируемых клеток, полученных из крови или из образца биопсии. Количество экспрессированного поверхностного маркера оценивают с помощью проточной цитометрии при использовании специфических антител, которые распознают маркер.

Доза варьирует в зависимости от используемого специфического соединения, специфического заболевания, состояния пациента, и т.д. Терапевтическая доза типично является достаточной для того, чтобы значительно уменьшить численность нежелательной клеточной популяции в целевой ткани при поддержании жизнеспособности пациента. Лечение в общем случае продолжается до возникновения значительного снижения, например, снижения, которое составляет, по крайней мере, 50% клеточной нагрузки, и может продолжаться до отсутствия существенного обнаружения нежелательных клеток в организме.

ИЗВЕСТНЫЙ УРОВЕНЬ ТЕХНИКИ

WO 2012/084704 раскрывает индазолилтриазольные производные следующей формулы в качестве ингибиторов IRAK киназы:

Заявленные в настоящее время изоксазольные соединения проявляют более высокую активность по сравнению с соответствующими триазольными производными (таблица 2).

В Hongchan An и др. (Bioorganic and Medicinal Chemistry Letters 21 (2011) 6297-6300), индазолилизоксазолы описаны в качестве ингибиторов HIF-1:

В Nicolo Vivona и др., Journal of Heterocyclic Chemistry 22 (1985) 29-32, описан следующий индазолилизоксазол:

КРАТКОЕ ИЗЛОЖЕНИЕ СУЩНОСТИ ИЗОБРЕТЕНИЯ

Изобретение относится к соединениям формулы I

в которой

R1 означает Hal, CF3, OA, Het1, COOR3 или CON(R3)2,

R2 означает H, Hal или CN,

R3 означает H или A,

X означает фенилен, пиридиндиил, 1,3-тиазолдиил или пиразолдиил, каждый из которых не замещен или моно-, ди- или тризамещен посредством Hal и/или А,

Y отсутствует или означает СО, O[C(R3)2]n, NR3CO, CONR3, CONR3[C(R3)2]n, CONHCH2C(CH3)2, SO2, SO2N(R3), -N=или S(=O,=NR3),

Z означает H, A, Hal, OA, [C(R3)2]nHet2 или N=S(=O)A2,

А означает неразветвленный или разветвленный алкил, содержащий 1-10 атомов С, в котором одна или две СН- и/или СН2-группы, не расположенные рядом, могут быть заменены на атомы О, и где 1-7 атомов Н могут быть заменены на R5,

или означает (СН2)nCyc,

Сус означает циклический алкил, содержащий 3-7 атомов С,

R5 означает F, Cl, ОН, SO2A или N(R3)2,

Het1 означает пиразолил, который может быть моно- или дизамещенным посредством А,

Het2 означает 4-7-членный моноциклический ароматический, ненасыщенный или насыщенный гетероцикл, содержащий от 1 до 4 атомов N, О и/или S, который может быть незамещенным или моно-, ди- или тризамещенным посредством A, Hal, CN, OR3, [C(R3)2]nN(R3)2, [C(R3)2]nSO2A, [C(R3)2]nNR3SO2A, Het3, =NR3 и/или =O,

или

означает 7-10-членный бициклический ароматический, ненасыщенный или насыщенный гетероцикл, содержащий от 1 до 4 атомов N, О и/или S, который может быть незамещенным или моно-, ди- или тризамещенным посредством A, Hal, CN, OR3, [C(R3)2]nN(R3)2, [C(R3)2]nSO2A, [C(R3)2]nNR3SO2A, Het3, =NR3 и/или =O,

Het3 означает 4-7-членный моноциклический ароматический, ненасыщенный или насыщенный гетероцикл, содержащий от 1 до 4 атомов N, О и/или S, который может быть незамещенным или моно- или дизамещенным посредством A, Hal, OR3, оксетанила и/или =O,

или

означает 7-10-членный бициклический ароматический, ненасыщенный или насыщенный гетероцикл, содержащий от 1 до 4 атомов N, О и/или S, который может быть незамещенным или моно- или дизамещенным посредством A, Hal, OR3, оксетанила и/или =O,

Hal означает F, Cl, Br или I,

n означает 0, 1, 2 или 3,

и их фармацевтически приемлемым солям, таутомерам и стереоизомерам, включая их смеси во всех соотношениях.

Изобретение также относится к оптически активным формам (стереоизомерам), энантиомерам, рацематам, диастереомерам и гидратам и сольватам этих соединений.

Кроме того, изобретение относится к фармацевтически приемлемым производным соединений формулы I.

Термин сольваты соединений обозначает аддукции молекул инертного растворителя на соединениях, которые образуются благодаря их силе взаимного притяжения. Сольваты представляют собой, например, моно- или дигидраты или алкоголяты.

Подразумевается, что изобретение также относится к сольватам солей.

Термин фармацевтически приемлемые производные обозначает, например, соли соединений в соответствии с изобретением, а также так называемые пролекарства соединений.

Как используется в настоящей заявке и если специально не указано иначе, термин "пролекарство" обозначает производное соединения формулы I, которое может быть гидролизовано, окислено или по-другому реагировать в биологических условиях (in-vitro или in-vivo) с обеспечением активного соединения, в частности соединения формулы I. Примеры пролекарств включают, но не ограничиваются только ими, производные и метаболиты соединения формулы I, которые включают биогидролизируемые фрагменты, такие как биогидролизируемые амиды, биогидролизируемые сложные эфиры, биогидролизируемые карбаматы, биогидролизируемые карбонаты, биогидролизируемые уреиды и биогидролизируемые фосфатные аналоги. В определенных вариантах осуществления, пролекарства соединений с карбоксильными функциональными группами представляют собой низшие алкиловые сложные эфиры карбоновой кислоты. Карбоксилатные сложные эфиры легко образуются путем эстерификации любых фрагментов карбоновой кислоты, присутствующих в молекуле. Пролекарства типично можно получать, используя хорошо известные методы, такие как методы, описанные в Burger's Medicinal Chemistry and Drug Discovery, 6-е изд. (Donald J. Abraham ред., 2001, Wiley) и Design and Application of Prodrugs (H.Bundgaard ред., 1985, Harwood Academic Publishers Gmfh).

Выражение "эффективное количество" обозначает количество лекарственного средства или фармацевтического активного компонента, которое вызывает в ткани, системе, животном или человеке биологическую или медицинскую ответную реакцию, которую предполагает или желает получить, например, исследователь или лечащий врач.

Дополнительно, выражение "терапевтически эффективное количество" обозначает то количество, которое имеет следующие последствия по сравнению с соответствующим субъектом, который не получал этого количества:

улучшение лечения, излечение, предотвращение или элиминация заболевания, синдрома, состояния, жалобы, расстройства или побочных действий, или также уменьшение прогрессирования заболевания, жалобы или расстройства.

Термин "терапевтически эффективное количество" также охватывает количества, которые эффективны для повышения нормальной физиологической функции.

Изобретение также относится к применению смесей соединений формулы I, например, смесей двух диастереомеров, например, в соотношении 1:1, 1:2, 1:3, 1:4, 1:5, 1:10, 1:100 или 1:1000.

Особенно предпочтительными являются смеси стереоизомерных соединений.

"Таутомеры" относятся к изомерным формам соединения, которые находятся в равновесии друг с другом. Концентрации изомерных форм будут зависеть от окружения, в котором находится соединение, и могут отличаться в зависимости от того, например, будет ли соединение представлять собой твердое вещество или находится в органическом или водном растворе.

Изобретение относится к соединениям формулы I и их солям, и к способу получения соединений формулы I и их фармацевтически приемлемых солей, сольватов, таутомеров и стереоизомеров, отличающемуся тем, что

а) для получения соединений формулы I,

в которой

X означает фенилен,

Y означает СО,

Z означает [C(R3)2]nHet2 и

n означает 0,

соединение формулы II

в которой R1 и R2 имеют значения, указанные в пункте 1, подвергают реакции с соединением формулы III

в которой Het2 имеет значение, указанное в пункте 1,

или

b) для получения соединений формулы I,

в которой

R1 означает Het1,

соединение формулы IV

в которой

R2, X, Y и Z имеют значения, указанные в пункте 1, подвергают реакции с соединением формулы V

в которой Het1 имеет значения, указанные в пункте 1,

или

c) для получения соединений формулы Ia

в которой

R1, R2, X, Y и Z имеют значения, указанные в пункте 1,

соединение формулы VI

в которой

R1 и R2 имеют значения, указанные в пункте 1,

подвергают реакции с соединением формулы VII

в которой

X, Y и Z имеют значения, указанные в пункте 1,

или

d) для получения соединений формулы Ib

в которой

R1, R2, X, Y и Z имеют значения, указанные в пункте 1,

соединение формулы VIII

в которой

R1 и R2 имеют значения, указанные в пункте 1,

подвергают реакции с соединением формулы IX

в которой

X, Y и Z имеют значения, указанные в пункте 1,

и/или

основание или кислоту формулы I превращают в одну из его(ее) солей.

В случае всех радикалов, встречающихся более одного раза, таких как, например, R3, их значения являются независимыми друг от друга.

Выше и ниже радикалы R1, R2, X, Y и Z имеют значения, указанные для формулы I, если явным образом не указано иное.

Предпочтительными являются соединения формулы Ia,

в которой R1, R2, X, Y и Z имеют значения, указанные в пункте 1.

Кроме того, предпочтительными являются соединения формулы Ib

в которой

R1, R2, X, Y и Z имеют значения, указанные в пункте 1.

А означает алкил, который является неразветвленным (линейным) или разветвленным, и содержит 1, 2, 3, 4, 5, 6, 7, 8, 9 или 10 атомов С.А предпочтительно означает метил, этил, пропил, изопропил, бутил, изобутил, втор-бутил или трет-бутил, кроме того, также пентил, 1-, 2- или 3-метилбутил, 1,1-, 1,2- или 2,2-диметилпропил, 1-этилпропил, гексил, 1-, 2-, 3- или 4-метилпентил, 1,1-, 1,2-, 1,3-, 2,2-, 2,3- или 3,3-диметилбутил, 1- или 2-этилбутил, 1-этил-1-метилпропил, 1-этил-2-метилпропил, 1,1,2-или 1,2,2-триметилпропил, более того, предпочтительно трифторметил.

А чрезвычайно предпочтительно означает алкил, содержащий 1, 2, 3, 4, 5 или 6 атомов С, предпочтительно метил, этил, пропил, изопропил, бутил, изобутил, втор-бутил, трет-бутил, пентил, гексил, трифторметил, пентафторэтил или 1,1,1-трифторэтил.

Сус предпочтительно означает циклопропил, циклобутил, циклопентил или циклогексил.

Кроме того, А означает предпочтительно СН2ОСН3, СН2СН2ОН или СН2СН2ОСН3.

R1 предпочтительно означает Hal, CF3, ОСН3, ОСН2СН2ОСН3, ОСН2СН2ОН, 1-метил-1Н-пиразол-4-ил, СООСН3, CONH2, CONHCH3 или CONHCH2CH2OCH3,

R2 предпочтительно означает Н, Hal или CN.

R3 означает Н или А, предпочтительно Н или СН3.

X предпочтительно означает 1,4-фенилен, 1,3-фенилен, 2-фтор-1,4-фенилен, 2-метил-1,4-фенилен, пиридин-3,6-диил, 1,3-тиазол-3,5-диил, 1,3-тиазол-2,4-диил, 1,3-тиазол-2,5-диил или пиразол-1,4-диил, каждый из которых не замещен или моно-, ди- или тризамещен посредством Hal и/или А.

Y предпочтительно означает СО, SO2, NHCO, NCH3, CONH(CH2)n, CONHCH2C(CH3)2, CON(CH3)(CH2)n, О, OCH2, OCH2CH2, S(=O)(=NH),

-N=, SO2N(CH3) или отсутствует.

Z предпочтительно означает Н, Hal, OA, Het2, A, N=S(=O)A2.

Бициклические соединения также включают спиросоединения.

Вне зависимости от дальнейших замещений, Het2 означает, например, 2- или 3-фурил, 2- или 3-тиенил, 1-, 2- или 3-пирролил, 1-, 2, 4- или 5-имидазолил, 1-, 3-, 4- или 5-пиразолил, 2-, 4- или 5-оксазолил, 3-, 4- или 5-изоксазолил, 2-, 4- или 5-тиазолил, 3-, 4- или 5-изотиазолил, 2-, 3- или 4-пиридил, 2-, 4-, 5- или 6-пиримидинил, более того, предпочтительно 1,2,3-триазол-1-, -4- или -5-ил, 1,2,4-триазол-1-, -3- или 5-ил, 1- или 5-тетразолил, 1,2,3-оксадиазол-4- или -5-ил, 1,2,4-оксадиазол-3- или -5-ил, 1,3,4-тиадиазол-2-или -5-ил, 1,2,4-тиадиазол-3- или -5-ил, 1,2,3-тиадиазол-4- или -5-ил, 3- или 4-пиридазинил, пиразинил, 1-, 2-, 3-, 4-, 5-, 6- или 7-индолил, 4- или 5-изоиндолил, индазолил, 1-, 2-, 4- или 5-бензимидазолил, 1-, 3-, 4-, 5-, 6- или 7-бензопиразолил, 2-, 4-, 5-, 6- или 7-бензоксазолил, 3-, 4-, 5-, 6- или 7- бензизоксазолил, 2-, 4-, 5-, 6- или 7-бензотиазолил, 2-, 4-, 5-, 6- или 7-бензизотиазолил, 4-, 5-, 6- или 7-бенз-2,1,3-оксадиазолил, 2-, 3-, 4-, 5-, 6-, 7- или 8-хинолил, 1-, 3-, 4-, 5-, 6-, 7- или 8-изохинолил, 3-, 4-, 5-, 6-, 7- или 8-циннолинил, 2-, 4-, 5-, 6-, 7- или 8-хиназолинил, 5- или 6-хиноксалинил, 2-, 3-, 5-, 6-, 7- или 8-2Н-бензо-1,4-оксазинил, пирролопиридинил, пуринил, более предпочтительно 1,3-бензодиоксол-5-ил, 1,4-бензодиоксан-6-ил, 2,1,3-бензотиадиазол-4- или -5-ил, 2,1,3-бензоксадиазол-5-ил, азабицикло[3.2.1]-октил или дибензофуранил.

Гетероциклические радикалы также могут быть частично или полностью гидрированными.

Таким образом, вне зависимости от дальнейших замещений, Het может также означать, например, 2,3-дигидро-2-, -3-, -4- или -5-фурил, 2,5-дигидро-2-, -3-, -4- или 5-фурил, тетрагидро-2- или -3-фурил, 1,3-диоксолан-4-ил, тетрагидро-2- или -3-тиенил, 2,3-дигидро-1-, -2-, -3-, -4- или -5-пирролил, 2,5-дигидро-1-, -2-, -3-, -4- или -5-пирролил, 1-, 2- или 3-пирролидинил, тетрагидро-1-, -2- или -4-имидазолил, 2,3-дигидро-1-, -2-, -3-, -4- или -5-пиразолил, тетрагидро-1-, -3- или -4-пиразолил, 1,4-дигидро-1-, -2-, -3- или -4-пиридил, 1,2,3,4-тетрагидро-1-, -2-, -3-, -4-, -5- или -6-пиридил, 1-, 2-, 3- или 4-пиперидинил, 2-, 3- или 4-морфолинил, тетрагидро-2-, -3- или -4-пиранил, 1,4-диоксанил, 1,3-диоксан-2-, -4- или -5-ил, гексагидро-1-, -3- или -4-пиридазинил, гексагидро-1-, -2-, -4- или -5-пиримидинил, 1-, 2- или 3-пиперазинил, 1,2,3,4-тетрагидро-1-, -2-, -3-, -4-, -5-, -6-, -7- или -8-хинолил, 1,2,3,4-тетрагидро-1-, -2-, -3-, -4-, -5-, -6-, -7- или -8-изохинолил, 2-, 3-, 5-, 6-, 7- или 8- 3,4-дигидро-2Н-бензо-1,4-оксазинил, более того, предпочтительно 2,3-метилендиоксифенил, 3,4-метилендиоксифенил, 2,3-этилендиоксифенил, 3,4-этилендиоксифенил, 3,4-(дифторметилендиокси)фенил, 2,3-дигидробензофуран-5- или 6-ил, 2,3-(2-оксометилендиокси)фенил или также 3,4-дигидро-2Н-1,5-бензодиоксепин-6-или -7-ил, более того, предпочтительно 2,3-дигидробензофуранил, 2,3-дигидро-2-оксофуранил, 3,4-дигидро-2-оксо-1H-хиназолинил, 2,3-дигидробензоксазолил, 2-оксо-2,3-дигидробензоксазолил, 2,3-дигидробензимидазолил, 1,3-дигидроиндол, 2-оксо-1,3-дигидроиндол или 2-оксо-2,3-дигидробензимидазолил.

Вне зависимости от дальнейших замещений, Het3 означает, например, 2- или 3-фурил, 2- или 3-тиенил, 1-, 2- или 3-пирролил, 1-, 2, 4- или 5-имидазолил, 1-, 3-, 4- или 5-пиразолил, 2-, 4- или 5-оксазолил, 3-, 4- или 5-изоксазолил, 2-, 4- или 5-тиазолил, 3-, 4- или 5-изотиазолил, 2-, 3- или 4-пиридил, 2-, 4-, 5- или 6-пиримидинил, более того, предпочтительно 1,2,3-триазол-1-, -4- или -5-ил, 1,2,4-триазол-1-, -3- или 5-ил, 1- или 5-тетразолил, 1,2,3-оксадиазол-4- или -5-ил, 1,2,4-оксадиазол-3- или -5-ил, 1,3,4-тиадиазол-2-или -5-ил, 1,2,4-тиадиазол-3- или -5-ил, 1,2,3-тиадиазол-4- или -5-ил, 3- или 4-пиридазинил, пиразинил, 1-, 2-, 3-, 4-, 5-, 6- или 7-индолил, 4- или 5-изоиндолил, индазолил, 1-, 2-, 4- или 5-бензимидазолил, 1-, 3-, 4-, 5-, 6- или 7-бензопиразолил, 2-, 4-, 5-, 6- или 7-бензоксазолил, 3-, 4-, 5-, 6- или 7- бензизоксазолил, 2-, 4-, 5-, 6- или 7-бензотиазолил, 2-, 4-, 5-, 6- или 7-бензизотиазолил, 4-, 5-, 6- или 7-бенз-2,1,3-оксадиазолил, 2-, 3-, 4-, 5-, 6-, 7- или 8-хинолил, 1-, 3-, 4-, 5-, 6-, 7- или 8-изохинолил, 3-, 4-, 5-, 6-, 7- или 8-циннолинил, 2-, 4-, 5-, 6-, 7- или 8-хиназолинил, 5- или 6-хиноксалинил, 2-, 3-, 5-, 6-, 7- или 8-2Н-бензо-1,4-оксазинил, пирролопиридинил, пуринил, более предпочтительно 1,3-бензодиоксол-5-ил, 1,4-бензодиоксан-6-ил, 2,1,3-бензотиадиазол-4- или -5-ил, 2,1,3-бензоксадиазол-5-ил, азабицикло[3.2.1]-октил или дибензофуранил.

Гетероциклические радикалы также могут быть частично или полностью гидрированными.

Вне зависимости от дальнейших замещений, Het3 может, таким образом, также означать, например, 2,3-дигидро-2-, -3-, -4- или -5-фурил, 2,5-дигидро-2-, -3-, -4- или 5-фурил, тетрагидро-2- или -3-фурил, 1,3-диоксолан-4-ил, тетрагидро-2- или -3-тиенил, 2,3-дигидро-1-, -2-, -3-, -4- или -5-пирролил, 2,5-дигидро-1-, -2-, -3-, -4- или -5-пирролил, 1-, 2- или 3-пирролидинил, тетрагидро-1-, -2- или -4-имидазолил, 2,3-дигидро-1-, -2-, -3-, -4- или -5-пиразолил, тетрагидро-1-, -3- или -4-пиразолил, 1,4-дигидро-1-, -2-, -3- или -4-пиридил, 1,2,3,4-тетрагидро-1-, -2-, -3-, -4-, -5- или -6-пиридил, 1-, 2-, 3- или 4-пиперидинил, 2-, 3- или 4-морфолинил, тетрагидро-2-, -3- или -4-пиранил, 1,4-диоксанил, 1,3-диоксан-2-, -4- или -5-ил, гексагидро-1-, -3- или -4-пиридазинил, гексагидро-1-, -2-, -4- или -5-пиримидинил, 1-, 2- или 3-пиперазинил, 1,2,3,4-тетрагидро-1-, -2-, -3-, -4-, -5-, -6-, -7- или -8-хинолил, 1,2,3,4-тетрагидро-1-, -2-, -3-, -4-, -5-, -6-, -7- или -8-изохинолил, 2-, 3-, 5-, 6-, 7- или 8- 3,4-дигидро-2Н-бензо-1,4-оксазинил, более того, предпочтительно 2,3-метилендиоксифенил, 3,4-метилендиоксифенил, 2,3-этилендиоксифенил, 3,4-этилендиоксифенил, 3,4-(дифторметилендиокси)фенил, 2,3-дигидробензофуран-5- или 6-ил, 2,3-(2-оксометилендиокси)фенил или также 3,4-дигидро-2Н-1,5-бензодиоксепин-6-или -7-ил, более того, предпочтительно 2,3-дигидробензофуранил, 2,3-дигидро-2-оксофуранил, 3,4-дигидро-2-оксо-1H-хиназолинил, 2,3-дигидробензоксазолил, 2-оксо-2,3-дигидробензоксазолил, 2,3-дигидробензимидазолил, 1,3-дигидроиндол, 2-оксо-1,3-дигидроиндол или 2-оксо-2,3-дигидробензимидазолил.

Het2 предпочтительно означает пирролидинил, пиперазинил, пиперидинил, триазолил, азетидинил, морфолинил, тиоморфолинил, 2-окса-6-азаспиро[3.3]гептан-6-ил, 6-окса-2-азаспиро[3.4]октан-2-ил, 1-окса-6-азаспиро[3.3]гептан-6-ил, 2,6-диазаспиро[3.3]гептан-2-ил, октагидропирроло[3,4-b]пирролил, октагидропирроло[3,2-b]пирролил, 1,4-диазепанил, пиридинил, 1Н-пиридинил, 2Н-пиридазинил, 2,3-дигидропиридазинил, октагидро-1Н-пирроло[3.2-b]пиридинил, 3-тиа-6-азабицикло[3.1.1]гептанил, 6-окса-1-азаспиро[3.3]гептан-1-ил, 1Н-пиразолил, тиазолидинил, 2-окса-7-азаспиро[3.5]нонан-7-ил, 1,4-оксазепанил,

2-тиа-6-азаспиро[3.3]гептан-6-ил, 2,8-диокса-5-азаспиро[3.5]нонан-5-ил, 1Н-1,3-бензодиазол-2-ил (бензимидазол-2-ил), 2-окса-7-азаспиро[4.4]нонан-7-ил, 2-окса-6-азаспиро[3.4]октан-6-ил, 8-окса-2-азаспиро[4.5]декан-2-ил, 2,6-диазаспиро[3.4]октан-6-ил, 6-окса-3-азабицикло[3.1.1]гептан-3-ил, 2-окса-5-азабицикло[2.2.1]гептан-5-ил, 7-окса-2-азаспиро[3.5]нонан-2-ил, 6-окса-1-азаспиро[3.3]гептан-1-ил, 2,7-диазаспиро[3.5]нонан-7-ил, 3-окса-6-азабицикло[3.1.1]гептан-6-ил, 1Н,2Н,3Н-пирроло[3,4-с]пиридин-2-ил (1,3-дигидропирроло[3,4-с]пиридин-2-ил), 2,7-диазаспиро[3.5]нонан-2-ил, гексагидро-1 Н-фуро[3,4-с]пиррол-5-ил, октагидропирроло[2,3-е]пиррол-5-ил, 5Н,6Н,7Н-пирроло[3,4-d]пиримидин-6-ил, 1Н,4Н,5Н,6Н-пирроло[3,4-с]пиразол-5-ил, октагидропирано[3,4-с]пиррол-2-ил, октагидрофуро[3,4-с]пиридин-5-ил, октагидропирроло [3,4-с] пиррол-2-ил, гексагидро-1Н-2 лямбда6-тиено[3,4-с]пиррол-5-ил, тетрагидрофуро[3,4-с]пиррол-5-ил,

каждый из которых может быть незамещенным или моно-, ди- или тризамещенным посредством A, Hal, CN, OR3, [C(R3)2]nN(R3)2, [C(R3)2]nSO2A, [C(R3)2]nNR3SO2A, Het3, =NR3 и/или =O.

Het3 предпочтительно означает морфолинил, 1Н-пиразолил, 1 лямбда6-тиоморфолинил, имидазолил, азетидинил, пиперазинил, пиперидинил, пиридинил, оксетанил, 1,2,4-оксадиазолил, пиримидинил, оксоланил, пирролидинил, 2-окса-6-азаспиро[3.3]гептан-6-ил, оксан-4-ил, 1,2,3-триазолил, 1,2,4-триазолил,

каждый из которых может быть незамещенным или моно- или дизамещенным посредством A, Hal, OR3, оксетанила и/или =O.

По всему объему изобретения, все радикалы, которые встречаются более одного раза, могут быть одинаковыми или различными, то есть являются независимыми друг от друга.

Соединения формулы I могут иметь один или несколько хиральных центров и поэтому могут встречаться в различных стереоизомерных формах. Формула I охватывает все эти формы.

Соответственно, изобретение относится, в частности, к соединениям формулы I, в которой по меньшей мере один из указанных радикалов имеет одно из предпочтительных значений, указанных выше. Некоторые предпочтительные группы соединений могут быть изображены с помощью следующих подформул Ia-If, которые соответствуют формуле I и в которых радикалы, не определенные более подробно, имеют значения, указанные для формулы I, но в которых

в Ia R1 означает Hal, CF3, ОСН3, ОСН2СН2ОСН3, ОСН2СН2ОН, 1-метил-1Н-пиразол-4-ил, СООСН3, CONH2, CONHCH3 или CONHCH2CH2OCH3, в Ib R3 означает Н или СН3;

в Ic X означает 1,4-фенилен, 1,3-фенилен, 2-фтор-1,4-фенилен, 2-метил-1,4-фенилен, пиридин-3,6-диил, 1,3-тиазол-3,5-диил, 1,3-тиазол-2,4-диил, 1,3-тиазол-2,5-диил или пиразол-1,4-диил, каждый из которых не замещен или

моно-, ди- или тризамещен посредством Hal и/или А;

в Id Y отсутствует или означает СО, SO2, NHCO, NCH3, CONH(CH2)n, CONHCH2C(CH3)2, CON(CH3)(CH2)n, О, OCH2, OCH2CH2, S(=O)(=NH), -N= или SO2N(CH3);

в Ie Het2 означает пирролидинил, пиперазинил, пиперидинил, триазолил, азетидинил, морфолинил, тиоморфолинил, 2-окса-6-азаспиро[3.3]гептан-6-ил, 6-окса-2-азаспиро[3.4]октан-2-ил, 1-окса-6-азаспиро[3.3]гептан-6-ил, 2,6-диазаспиро[3.3]гептан-2-ил, октагидропирроло[3,4-b]пирролил, октагидропирроло[3,2-b]пирролил, 1,4-диазепанил, пиридинил, 1H-пиридинил, 2Н-пиридазинил, 2,3-дигидропиридазинил, октагидро-1H-пирроло[3.2-b]пиридинил, 3-тиа-6-азабицикло[3.1.1]гептанил, 6-окса-1-азаспиро[3.3]гептан-1-ил, 1Н-пиразолил, тиазолидинил, 2-окса-7-азаспиро[3.5]нонан-7-ил, 1,4-оксазепанил, 2-тиа-6-азаспиро[3.3]гептан-6-ил, 2,8-диокса-5-азаспиро[3.5]нонан-5-ил, 1Н-1,3-бензодиазол-2-ил (бензимидазол-2-ил), 2-окса-7-азаспиро[4.4]нонан-7-ил, 2-окса-6-азаспиро[3.4]октан-6-ил, 8-окса-2-азаспиро[4.5]декан-2-ил, 2,6-диазаспиро[3.4]октан-6-ил, 6-окса-3-азабицикло[3.1.1]гептан-3-ил, 2-окса-5-азабицикло[2.2.1]гептан-5-ил, 7-окса-2-азаспиро[3.5]нонан-2-ил, 6-окса-1-азаспиро[3.3]гептан- 1-ил, 2,7-диазаспиро[3.5]нонан-7-ил, 3-окса-6-азабицикло[3.1.1]гептан-6-ил, 1Н,2Н,3Н-пирроло[3,4-с]пиридин-2-ил(1,3-дигидропирроло[3,4-с]пиридин-2-ил), 2,7-диазаспиро[3.5]нонан-2-ил, гексагидро-1Н-фуро[3,4-с]пиррол-5-ил, октагидропирроло[2,3-с]пиррол-5-ил, 5Н,6Н,7Н-пирроло[3,4-d]пиримидин-6-ил, 1Н,4Н,5Н,6Н-пирроло[3,4-с]пиразол-5-ил, октагидропирано[3,4-с]пиррол-2-ил, октагидрофуро[3,4-с]пиридин-5-ил, октагидропирроло[3,4-с]пиррол-2-ил, гексагидро-1Н-2лямбда6-тиено[3,4-с]пиррол-5-ил, тетрагидрофуро[3,4-с]пиррол-5-ил, каждый из которых может быть незамещенным или моно-, ди- или тризамещенным посредством A, Hal, CN, OR3, [C(R3)2]nN(R3)2, [C(R3)2]nSO2A, [C(R3)2]nNR3SO2A, Het3, =NR3 и/или =O;

в If Het3 означает морфолинил, 1H-пиразолил, 1 лямбда6-тиоморфолинил, имидазолил, азетидинил, пиперазинил, пиперидинил, пиридинил, оксетанил, 1,2,4-оксадиазолил, пиримидинил, оксоланил, пирролидинил, 2-окса-6-азаспиро[3.3]гептан-6-ил, оксан-4-ил, 1,2,3-триазолил, 1,2,4-триазолил, каждый из которых может быть незамещенным или моно- или дизамещенным посредством A, Hal, OR3, оксетанила и/или =O;

и включают их фармацевтически приемлемые соли, таутомеры и стереоизомеры, включая их смеси во всех соотношениях.

Предпочтительными являются соединения по пункту 1 формулы Ib

в которой

R1 означает Hal, CF3, ОСН3, ОСН2СН2ОСН3, ОСН2СН2ОН, 1-метил-1H-пиразол-4-ил, СООСН3, CONH2, CONHCH3 или CONHCH2CH2OCH3,

R2 означает Н, Hal или CN,

R3 означает Н или СН3,

X означает 1,4-фенилен, 1,3-фенилен, 2-фтор-1,4-фенилен, 2-метил-1,4-фенилен, пиридин-3,6-диил, 1,3-тиазол-3,5-диил, 1,3-тиазол-2,4-диил, 1,3-тиазол-2,5-диил или пиразол-1,4-диил, каждый из которых не замещен или

моно-, ди- или тризамещен посредством Hal и/или А, Y отсутствует или означает СО, SO2, NHCO, NCH3, CONH(CH2)n, CONHCH2C(CH3)2, CON(CH3)(CH2)n, О, OCH2, OCH2CH2, S(=O)(=NH), -N= или SO2N(CH3),

Z означает H, A, Hal, OA, [C(R3)2]nHet2 или N=S(=O)A2,

А означает неразветвленный или разветвленный алкил, содержащий 1-10 атомов С, в котором одна или две СН- и/или СН2-группы, не расположенные рядом, могут быть заменены на атомы О, и где 1-7 атомов Н могут быть заменены на R5,

или означает (СН2)nCyc,

Сус означает циклический алкил, содержащий 3-7 атомов С,

R5 означает F, Cl, ОН, SO2A или N(R3)2,

Het1 означает пиразолил, который может быть моно- или дизамещенным посредством А,

Het2 означает пирролидинил, пиперазинил, пиперидинил, триазолил, азетидинил, морфолинил, тиоморфолинил, 2-окса-6-азаспиро[3.3]гептан-6-ил, 6-окса-2-азаспиро[3.4]октан-2-ил, 1-окса-6-азаспиро[3.3]гептан-6-ил, 2,6-диазаспиро[3.3]гептан-2-ил, октагидропирроло[3,4-b]пирролил, октагидропирроло[3,2-b]пирролил, 1,4-диазепанил, пиридинил, 1H-пиридинил, 2Н-пиридазинил, 2,3-дигидропиридазинил, октагидро- 1Н-пирроло[3.2-b]пиридинил, 3-тиа-6-азабицикло[3.1.1]гептанил, 6-окса-1-азаспиро[3.3]гептан-1-ил, 1Н-пиразолил, тиазолидинил, 2-окса-7-азаспиро[3.5]нонан-7-ил, 1,4-оксазепанил, 2-тиа-6-азаспиро[3.3]гептан-6-ил, 2,8-диокса-5-азаспиро[3.5]нонан-5-ил, 1Н-1,3-бензодиазол-2-ил, 2-окса-7-азаспиро[4.4]нонан-7-ил, 2-окса-6-азаспиро[3.4]октан-6-ил, 8-окса-2-азаспиро[4.5]декан-2-ил, 2,6-диазаспиро[3.4]октан-6-ил, 6-окса-3-азабицикло[3.1.1]гептан-3-ил, 2-окса-5-азабицикло[2.2.1]гептан-5-ил, 7-окса-2-азаспиро[3.5]нонан-2-ил, 6-окса-1-азаспиро[3.3]гептан-1-ил, 2,7-диазаспиро[3.5]нонан-7-ил, 3-окса-6-азабицикло[3.1.1]гептан-6-ил, 1Н,2Н,ЗН-пирроло[3,4-с]пиридин-2-ил, 2,7-диазаспиро[3.5]нонан-2-ил, гексагидро- 1Н-фуро[3,4-с]пиррол-5-ил, октагидропирроло[2,3-с]пиррол-5-ил, 5Н,6Н,7Н-пирроло[3,4-d]пиримидин-6-ил, 1Н,4Н,5Н,6Н-пирроло[3,4-с]пиразол-5-ил, октагидропирано[3,4-с]пиррол-2-ил, октагидрофуро[3,4-с]пиридин-5-ил, октагидропирроло[3,4-с]пиррол-2-ил, гексагидро-1Н-2 лямбда6-тиено[3,4-с]пиррол-5-ил или тетрагидрофуро[3,4-с]пиррол-5-ил, каждый из которых может быть незамещенным или моно-, ди- или тризамещенным посредством A, Hal, CN, OR3, [C(R)2]nN(R3)2, [C(R3)2]nSO2A, [C(R3)2]nNR3SO2A, Het3, =NR3 и/или =O,

Het3 означает морфолинил, 1Н-пиразолил, 1 лямбда6-тиоморфолинил, имидазолил, азетидинил, пиперазинил, пиперидинил, пиридинил, оксетанил, 1,2,4-оксадиазолил, пиримидинил, оксоланил, пирролидинил, 2-окса-6-азаспиро[3.3]гептан-6-ил, оксан-4-ил, 1,2,3-триазолил или 1,2,4-триазолил, каждый из которых может быть незамещенным или моно- или дизамещенным посредством A, Hal, OR3, оксетанила и/или =O,

Hal означает F, Cl, Br или I,

n означает 0, 1, 2 или 3,

и их фармацевтически приемлемые соли, таутомеры и стереоизомеры, включая их смеси во всех соотношениях.

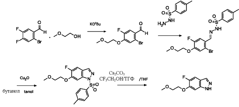
Кроме того, изобретение относится к промежуточным соединениям, выбранным из группы:

2-бром-5-фтор-4-(2-метоксиэтокси)бензальдегид

N'-[(1Е)-[2-бром-5-фтор-4-(2-метоксиэтокси)фенил]метилиден]-4-метилбензол-1-сульфоногидразид

5-фтор-6-(2-метоксиэтокси)-1-(4-метилбензолсульфонил)-1Н-индазол

5-фтор-6-(2-метоксиэтокси)-1Н-индазол

5-фтор-3-йод-6-(2-метоксиэтокси)-1Н-индазол

трет-бутил 5-фтор-3-йод-6-(2-метоксиэтокси)-1Н-индазол-1-карбоксилат

трет-бутил 5-фтор-6-(2-метоксиэтокси)-3-[2-(триметилсилил)этинил]-1Н-индазол-1-карбоксилат

3-этинил-5-фтор-6-(2-метоксиэтокси)-1Н-индазол

трет-бутил 3-этинил-5-фтор-6-(2-метоксиэтокси)-1Н-индазол-1-карбоксилат

трет-бутил 5-фтор-3-{3-[4-(метоксикарбонил)фенил]-1,2-оксазол-5-ил}-6-(2-метоксиэтокси)-1Н-индазол-1-карбоксилат

метил 4-{5-[5-фтор-6-(2-метоксиэтокси)-1Н-индазол-3-ил]-1,2-оксазол-3-ил}бензоат

4-{5-[5-фтор-6-(2-метоксиэтокси)-1Н-индазол-3-ил]-1,2-оксазол-3-ил}бензойная кислота

Соединения формулы I, а также исходные вещества для их получения, кроме того, получают при помощи методов, известных per se, как описано в литературе (например, в стандартных работах, таких как Houben-Weyl, Methoden der organischen Chemie [Методы органической химии], Georg-Thieme-Verlag, Штутгарт), точнее, в условиях реакций, которые известны и являются пригодными для указанных реакций. Также при этом можно применять разнообразные модификации, которые известны per se, но о которых здесь подробно не упоминается.

Соединения формулы I,

в которой

X означает фенилен,

Y означает СО,

Z означает [C(R3)2]nHet2 и

n означает О,

предпочтительно можно получить по реакции соединения формулы II с соединением формулы III.

Исходные соединения формулы II и III, как правило, известны. Тем не менее, если они являются новыми, то их можно получить при помощи методов, известных per se.

Реакцию обычно проводят в присутствии соединений, таких как гидрохлорид N-(3-диметиламинопропил)-N'-этилкарбодиимида и 1-гидроксибензотриазол.

Реакцию обычно проводят в присутствии связывающего кислоту средства, предпочтительно органического основания, такого как DIPEA, триэтиламин, диметиланилин, пиридин, хинолин или 4-метилморфолин.

Также может быть полезным добавление гидроксида, карбоната или бикарбоната щелочного или щелочноземельного металла, или другой соли слабой кислоты и щелочного или щелочноземельного металла, предпочтительно калия, натрия, кальция или цезия.

В зависимости от используемых условий, время реакции находится в интервале от нескольких минут до 14 дней, температура реакции находится между приблизительно -30° и 140°С, обычно между -10° и 100°С, в частности, между приблизительно 30°С и приблизительно 90°С.

Примерами подходящих инертных растворителей являются углеводороды, такие как гексан, петролейный эфир, бензол, толуол или ксилол; хлорированные углеводороды, такие как трихлорэтилен, 1,2-дихлорэтан, четыреххлористый углерод, хлороформ или дихлорметан; спирты, такие как метанол, этанол, изопропанол, н-пропанол, н-бутанол или трет-бутанол; простые эфиры, такие как диэтиловый эфир, диизопропиловый эфир, тетрагидрофуран (ТГФ) или диоксан; простые гликолевые эфиры, такие как монометиловый или моноэтиловый эфир этиленгликоля, диметиловый эфир этиленгликоля (диглим); кетоны, такие как ацетон или бутанон; амиды, такие как ацетамид, диметилацетамид или диметилформамид (ДМФА); нитрилы, такие как ацетонитрил; сульфоксиды, такие как диметилсульфоксид (ДМСО); сероуглерод; карбоновые кислоты, такие как муравьиная кислота или уксусная кислота; нитросоединения, такие как нитрометан или нитробензол; сложные эфиры, такие как этилацетат, или смеси вышеуказанных растворителей.

Особое предпочтение отдают ацетонитрилу, дихлорметану и/или ДМФА.

Соединения формулы I

в которой

R1 означает Het1,

предпочтительно можно получить по реакции соединения формулы IV с соединением формулы V.

Исходные соединения формулы IV и V, как правило, известны. Тем не менее, если они являются новыми, то их можно получить при помощи методов, известных per se.

Альтернативно, взамен соединений формулы V можно использовать соединения формулы Va

Такое сочетание обычно проводят при повышенной температуре, используя палладиевый катализатор, основание и инертный растворитель. Обзор катализаторов и условий реакции можно найти в литературе [см. например, S. Kotha и др., Tetrahedron 2002, 58, 9633-9695; Т.Е. Barder и др., J.Am. Chem. Soc. 2005, 127, 4685-4696]. Предпочтительным катализатором для этой реакции является тетракис(трифенилфосфин)-палладий(0) или PdCl2(PPli3)2. Предпочтительным основанием является карбонат натрия, используемый в виде водного раствора. Реакцию проводят в органических растворителях, которые являются инертными в условиях реакции, таких как 1,4-диоксан, ацетонитрил, N,N-диметилформамид (ДМФА) или диметилсульфоксид (ДМСО), или в воде или в смесях этих растворителей. Предпочтительно реакцию проводят в смеси 1,4-диоксана и воды или ацетонитрила и воды. Реакцию обычно проводят при температурах между +100°С и +250°С, предпочтительно от +110°С до +150°С.Нагревание предпочтительно осуществляют с помощью одномодового микроволнового устройства. Реакции обычно проводят в атмосфере инертного газа, предпочтительно под аргоном.

Соединения формулы Ia

в которой

R1, R2, X, Y и Z имеют значения, указанные в пункте 1,

предпочтительно можно получить по реакции соединения формулы VI с соединением формулы VII.

Исходные соединения формулы VI и VII, как правило, известны. Тем не менее, если они являются новыми, то их можно получить при помощи методов, известных per se.

Соединения формулы Ib

в которой

R1, R2, X, Y и Z имеют значения, указанные в пункте 1, предпочтительно можно получить по реакции соединения формулы VIII с соединением формулы IX.

Исходные соединения формулы VIII и IX, как правило, известны. Тем не менее, если они являются новыми, то их можно получить при помощи методов, известных per se.

Фармацевтические соли и другие формы

Указанные соединения в соответствии с изобретением могут применяться в своей заключительной, несолевой форме. С другой стороны, настоящее изобретение также охватывает применение таких соединений в форме их фармацевтически приемлемых солей, которые могут быть получены с помощью разнообразных органических и неорганических кислот и оснований в соответствии со способами, хорошо известными в данной области техники. Фармацевтически приемлемые солевые формы соединений формулы I получают, главным образом, при использовании традиционных способов. В случае, если соединение формулы I содержит карбоксильную группу, то его приемлемая соль может быть образована с помощью реакции соединения с приемлемым основанием для получения соответствующей соли присоединения основания. Примерами таких оснований являются гидроксиды щелочных металлов, включая гидроксид калия, гидроксид натрия и гидроксид лития; гидроксиды щелочноземельных металлов, такие, как гидроксид бария и гидроксид кальция; алкоксиды щелочных металлов, например, этанолят калия и пропанолят натрия; а также различные органические основания, такие, как пиперидин, диэтаноламин и N-метилглутамин. Сюда также включены соли алюминия соединений формулы I. Для некоторых соединений формулы I соли присоединения кислоты могут быть образованы путем обработки указанных соединений фармацевтически приемлемыми органическими и неорганическими кислотами, например, гидрогалогенидами, такими как гидрохлорид, гидробромид или гидройодид, другими минеральными кислотами и их соответствующими солями, такими как, сульфат, нитрат или фосфат, и т.п., и алкил- и моноарилсульфонатами, такими как этансульфонат, толуолсульфонат и бензолсульфонат, и другими органическими кислотами и их соответствующими солями, такими как ацетат, трифторацетат, тартрат, малеат, сукцинат, цитрат, бензоат, салицилат, аскорбат и т.п. Таким образом, фармацевтически приемлемые соли присоединения кислоты соединений формулы I включают следующие соли, но не ограничиваются только ими: ацетат, адипат, альгинат, аргинат, аспартат, бензоат, бензолсульфонат (безилат), бисульфат, бисульфит, бромид, бутират, камфорат, камфорсульфонат, каприлат, хлорид, хлорбензоат, цитрат, циклопентанпропионат, диглюконат, дигидрофосфат, динитробензоат, додецилсульфат, этансульфонат, фумарат, формиат, галактерат (из слизевой кислоты), галактуронат, глюкогептаноат, глюконат, глутамат, глицерофосфат, гемисукцинат, гемисульфат, гептаноат, гексаноат, гиппурат, гидрохлорид, гидробромид, гидройодид, 2-гидроксиэтансульфонат, йодид, изетионат, изобутират, лактат, лактобионат, малат, малеат, малонат, манделат, метафосфат, метансульфонат, метилбензоат, моногидрофосфат, 2-нафталинсульфонат, никотинат, нитрат, оксалат, олеат, пальмоат, пектинат, персульфат, фенилацетат, 3-фенилпропионат, фосфат, фосфонат, фталат.

Кроме того, основные соли соединений в соответствии с изобретением включают, но не ограничиваются только ими, соли алюминия, аммония, кальция, меди, железа(III), железа(II), лития, магния, марганца(III), марганца(II), калия, натрия и цинка. Предпочтительными среди перечисленных выше солей являются аммонийные; соли щелочных металлов - натрия и калия; и соли щелочноземельных металлов - кальция и магния. Соли соединений формулы I, которые имеют происхождение от фармацевтически приемлемых органических нетоксических оснований, включают, но не ограничиваются только ими, соли первичных, вторичных и третичных аминов, замещенных аминов, также включая природные замещенные амины, циклические амины и основные ионообменные смолы, например, аргинин, бетаин, кофеин, хлорпрокаин, холин, N,N'-дибензилэтилендиамин (бензатин), дициклогексиламин, диэтаноламин, диэтиламин, 2-диэтиламиноэтанол, 2-диметиламиноэтанол, этаноламин, этилендиамин, N-этилморфолин, N-этилпиперидин, глюкамин, глюкозамин, гистидин, гидрабамин, изопропиламин, лидокаин, лизин, меглумин, М-метил-D-глюкамин, морфолин, пиперазин, пиперидин, полиаминные смолы, прокаин, пурины, теобромин, триэтаноламин, триэтиламин, триметиламин, трипропиламин и трис-(гидроксиметил)метиламин (трометамин).

Соединения в соответствии с настоящим изобретением, которые включают основные азотсодержащие группы, могут быть кватернизированы с использованием таких агентов, как (С14-алкилгалогениды, например, метил-, этил-, изопропил- и трет-бутилхлорид, бромид и йодид; ди-(С14)-алкилсульфаты, например, диметил-, диэтил- и диамилсульфат; (С10-C18)-алкилгалогениды, например, децил-, додецил-, лаурил-, миристил- и стеарилхлорид, бромид и йодид; и арил-(С14)-алкилгалогениды, например, бензилхлорид и фенетилбромид. Указанные соли позволяют получать как растворимые в воде, так и растворимые в масле соединения в соответствии с изобретением.

Предпочтительные фармацевтические соли, указанные выше, включают, но не ограничиваются только ими, ацетат, трифторацетат, безилат, цитрат, фумарат, глюконат, гемисукцинат, гиппурат, гидрохлорид, гидробромид, изетионат, манделат, меглумин, нитрат, олеат, фосфонат, пивалат, фосфат натрия, стеарат, сульфат, сульфосалицилат, тартрат, тиомалат, тозилат и трометамин.

Особенно предпочтительными являются гидрохлорид, дигидрохлорид, гидробромид, малеат, мезилат, фосфат, сульфат и сукцинат.

Кислотно-аддитивные соли основных соединений формулы I получают путем приведения в контакт формы свободного основания с достаточным количеством желаемой кислоты для получения соли традиционным способом. Свободное основание можно регенерировать путем приведения в контакт солевой формы с основанием и выделения свободного основания традиционным способом. Формы свободного основания в некоторой степени отличаются от своих соответствующих солевых форм своими определенными физическими свойствами, такими как растворимость в полярных растворителях, однако во всем остальном соли являются эквивалентными своим соответствующим формам свободных оснований для целей настоящего изобретения.

Как было указано, фармацевтически приемлемые соли присоединения основания соединений формулы I образуют с металлами или аминами, такими как щелочные металлы и щелочноземельные металлы или органические амины. Предпочтительные металлы представляют собой натрий, калий, магний и кальций. Предпочтительные органические амины представляют собой N,N'-дибензилэтилендиамин, хлорпрокаин, холин, диэтаноламин, этилендиамин, N-метил-D-глюкамин и прокаин.

Соли присоединения основания кислых соединений в соответствии с изобретением получают путем приведения в контакт формы свободной кислоты с достаточным количеством желаемого основания для получения соли традиционным способом. Форма свободной кислоты может быть регенерирована путем приведения в контакт солевой формы с кислотой и выделения формы свободной кислоты известным способом. Формы свободной кислоты в некоторой степени отличаются от своих соответствующих солевых форм определенными физическими свойствами, такими как растворимость в полярных растворителях, однако во всем остальном соли являются эквивалентными своим соответствующим формам свободных кислот для целей настоящего изобретения.

Если соединение в соответствии с изобретением содержат более, чем одну группу, которая способна к образованию фармацевтически приемлемых солей этого типа, то изобретение также охватывает составные соли. Примеры типичных составных солевых форм включают, но не ограничиваются только ими, битартрат, диацетат, дифумарат, димеглумин, дифосфат, динатрий и тригидрохлорид.

В свете описанного выше можно увидеть, что выражение "фармацевтически приемлемая соль" в контексте данной заявки предназначено для обозначения активного компонента, который включает соединение формулы I в форме одной из его солей, особенно в том случае, если указанная солевая форма обеспечивает указанному активному компоненту улучшенные фармакокинетические свойства по сравнению со свободной формой указанного активного компонента или любой другой солевой формой указанного активного компонента, которые использовались ранее. Фармацевтически приемлемая солевая форма активного компонента может также изначально обеспечивать желаемое фармакокинетическое свойство указанному активному компоненту, которым он ранее не обладал, а также может даже положительно влиять на фармакодинамику указанного активного компонента в отношении его терапевтической активности в организме.

Изотопы

Более того, также полагают, что соединение формулы I включает его изотопно-меченные формы. Изотопно-меченная форма соединения формулы I является идентичной указанному соединению, за исключением того факта, что один или несколько атомов указанного соединения заменены на атом или атомы, которые имеют атомную массу или массовое число, отличное от атомной массы или массового числа упомянутого атома, который обычно существует в природе. Примеры изотопов, которые являются легко доступными коммерчески и которые могут быть введены в соединение формулы I хорошо известными способами, включают изотопы водорода, углерода, азота, кислорода, фосфора, фтора и хлора, например, 2Н, 3Н, 13С, 14С, 15N, 18O, 17O, 31Р, 32Р, 35S, 18F и 36CI, соответственно. Соединение формулы I, его пролекарственная форма или фармацевтически приемлемая соль, которые содержат один или несколько указанных выше изотопов и/или другие изотопы других атомов также составляют часть настоящего изобретения. Изотопно-меченное соединение формулы I может применяться в ряде выгодных способов. Например, меченное изотопами соединение формулы I, например, в которое введен радиоактивный изотоп, такой, как 3Н или 14С, будет полезным в исследованиях распределения лекарственного средства и/или субстрата в ткани. Такие радиоактивные изотопы, например, тритий (3Н) и углерод-14 (14С), являются особенно предпочтительными вследствие простоты получения и высокой способности к выявлению. Введение более тяжелых изотопов, например, дейтерия (2Н), в соединение формулы I, будет обеспечивать терапевтические преимущества, основывающиеся на большей метаболической стабильности указанного соединения, меченного изотопами. Большая метаболическая стабильность проявляется непосредственно в повышении времени полураспада in-vivo или снижении требуемой дозы, что при большинстве условий будет составлять предпочтительный вариант указанного изобретения. Меченное изотопом соединение формулы I обычно получают путем осуществления методик, раскрытых в схемах синтеза и в описании, относящемся к ним, в разделах, касающихся примеров и способов получения, описанных в данной заявке, путем замены немеченого изотопами реагента его соответствующим легко доступным реагентом, меченным изотопом.

Дейтерий (2Н) также может быть введен в соединение формулы I с целью изменения окислительного метаболизма соединения путем первичного кинетического изотопного эффекта. Первичный кинетический изотопный эффект представляет собой изменение скорости химической реакции, которое происходит по причине замещения изотопного ядра, что, в свою очередь, вызывается изменением энергий основного состояния, что необходимо для образования ковалентной связи после указанного изотопного замещения. Замещение тяжелым изотопом обычно приводит к снижению энергии основного состояния для химической связи, вызывая, таким образом, уменьшение скорости скорость-лимитирующей стадии разрушения связи. Когда происходит разрушение связи в или поблизости участка седлообразной конфигурации вдоль координаты реакции образования нескольких продуктов, коэффициент распределения продуктов может существенно изменяться. Например, в случае если дейтерий связывается с атомом углерода в положении, в котором не происходит обмен, различия скорости kM/kD=2-7 являются типичными. Такое отличие в скорости, которое успешно применяется к соединению формулы I, чувствительному к окислению, может в значительной степени влиять на профиль указанного соединения in-vivo и приводить к улучшению фармакокинетических свойств.

В процессе обнаружения и совершенствования терапевтических средств специалист в данной области ищет пути оптимизации фармакокинетических параметров при сохранении желательных in-vitro свойств. Является рациональным предположить, что многие соединения со слабыми фармакокинетическими профилями страдают неустойчивостью к окислительному метаболизму. Исследования in-vitro микросом печени, которые сейчас являются доступными, обеспечивают ценную информацию о процессе окислительного метаболизма такого типа, что, в свою очередь, позволяет получить рациональную модель меченных дейтерием соединений формулы I с улучшенной стабильностью вплоть до резистентности к такому окислительному метаболизму. Таким образом, получают значительное улучшение фармакокинетических профилей соединений формулы I, что может быть количественно выражено в величинах увеличения периода полураспада in-vivo (t1/2), в концентрации при максимальном терапевтическом эффекте (Cmax), площадью под кривой ответа на определенную дозу (AUC) и F; и в величинах уменьшения клиренса, дозы и материальных затрат.

Приведенное далее предназначено для иллюстрации сказанного выше: соединение формулы I, которое имеет многочисленные потенциальные сайты для окислительного метаболизма, например, атомы водорода бензила и атомы водорода, соединенные с атомом азота, получают как серии аналогов, в которых различные комбинации атомов водорода заменяются атомами дейтерия так, что некоторые, большинство или все указанные атомы водорода заменяются на атомы дейтерия. Определение периода полураспада обеспечивает подходящее и точное определение степени улучшения резистентности к окислительному метаболизму. Таким образом определяют, что период полураспада исходного соединения может быть продлен вплоть до 100% как результат такого замещения водорода дейтерием.

Замещение водорода дейтерием в соединении формулы I может также использоваться для достижения благоприятного изменения спектра метаболитов исходного соединения как пути уменьшения или устранения нежелательных токсических метаболитов. Например, когда токсический метаболит возникает при окислительном расщеплении углерод-водородной связи (С-Н), то с достаточной вероятностью предполагается, что меченый дейтерием аналог значительно уменьшит или устранит выработку нежелательного метаболита, даже в случае, когда отдельное окисление не является лимитирующей скорость стадией. Дополнительная информация, относящаяся к уровню техники в отношении замещения водорода дейтерием, может быть найдена, например, в работе Hanzlik и др., J. Org. Chem. 55, 3992-3997, 1990; Reider и др., J. Org. Chem. 52, 3326-3334, 1987; Foster, Adv. Drug Res. 14, 1-40, 1985; Gillette и др., Biochemistry 33 (10) 2927-2937, 1994; и Jarman и др. Carcinogenesis 16 (4), 683-688, 1993.

Кроме того, изобретение относится к лекарственным средствам, содержащим по меньшей мере одно соединение формулы I и/или его фармацевтически приемлемые соли, сольваты и стереоизомеры, включая их смеси во всех соотношениях, и необязательно наполнители и/или вспомогательные вещества.

Фармацевтические составы можно вводить в виде дозированных единиц, которые содержат заранее установленное количество активного компонента на дозированную единицу. Такая единица может включать, например, от 0.5 мг до 1 г, предпочтительно от 1 мг до 700 мг, особенно предпочтительно от 5 мг до 100 мг, соединения в соответствии с изобретением, в зависимости от состояния, подвергаемого лечению, способа введения, а также возраста, массы тела и состояния пациента, или фармацевтические составы можно вводить в виде дозированных единиц, которые содержат заранее установленное количество активного компонента на дозированную единицу. Предпочтительными составами дозированных единиц являются те, которые содержат суточную дозу или часть суточной дозы, как указано выше, или соответствующую ей порцию активного компонента. Кроме того, фармацевтические составы этого типа могут быть получены способом, который хорошо известен в области фармацевтики.

Фармацевтические составы могут адаптироваться для введения при помощи любого подходящего способа, например, путем перорального (включая буккальное или подъязычное), ректального, назального, местного (включая буккальное, подъязычное или трансдермальное), вагинального или парентерального (включая подкожное, внутримышечное, внутривенное или внутрикожное) введения. Такие препараты могут быть приготовлены с помощью любого способа, известного в области фармацевтики, например, путем объединения активного компонента с наполнителем(-ями) или вспомогательным(-ыми) веществом(-ами).

Фармацевтические составы, адаптированные для перорального введения, можно вводить в виде отдельных единиц, таких как, например, капсулы или таблетки; порошки или гранулы; растворы или суспензии в водных или неводных жидкостях; пищевых пен или пенистых пищевых продуктов; или жидких эмульсий масло-в-воде или жидких эмульсий вода-в-масле.

Так, например, в случае перорального введения в виде таблетки или капсулы, активный компонент может быть объединен с пероральным, нетоксичным и фармацевтически приемлемым инертным наполнителем, таким как, например, этанол, глицерин, вода и т.п. Порошки получают путем измельчения соединения до подходящего небольшого размера и смешивания его с фармацевтическим наполнителем, измельченным аналогичным способом, таким как, например, пищевой углеводород, такой как, например, крахмал или маннит. Также можно добавлять ароматизатор, консервант, диспергирующее вещество и краситель.

Капсулы получают путем приготовления порошковой смеси, как описано выше, и заполнения ею желатиновых капсул определенной формы. Перед заполнением капсул к порошковой смеси можно добавлять скользящие и смазывающие вещества, такие как, например, высокодисперсная кремниевая кислота, тальк, стеарат магния, стеарат кальция или полиэтиленгликоль в твердой форме. Для улучшения доступности лекарственного средства, заключенного в капсулу, также можно добавлять дезинтегрирующее вещество или солюбилизатор, такой как, например, агар-агар, карбонат кальция или карбонат натрия.

Дополнительно, если это является желательным или необходимым, в смесь также можно добавлять подходящие связующие, смазывающие вещества и дезинтеграторы, а также красители. Подходящие связующие включают крахмал, желатин, природные сахара, такие как, например, глюкоза или бета-лактоза, подсластители, полученные из кукурузы, природные и синтетические смолы, такие как, например, аравийская камедь, трагакантовая камедь или альгинат натрия, карбоксиметилцеллюлозу, полиэтиленгликоль, воски и т.п. Смазывающие вещества, которые могут применяться в таких дозированных формах, включают олеат натрия, стеарат натрия, стеарат магния, бензоат натрия, ацетат натрия, хлорид натрия и т.п. Дезинтеграторы включают, но не ограничиваются только ими, крахмал, метилцеллюлозу, агар, бентонит, ксантановую камедь и т.п. Лекарственные средства в виде таблеток получают, например, путем приготовления порошковой смеси, гранулирования или сухого прессования смеси, добавления смазывающего вещества и дезинтегратора и прессования полученной смеси в таблетки. Порошковую смесь готовят путем смешивания соединения, измельченного подходящим образом, с разбавителем или основанием, как описано выше, и необязательно со связующим, таким как, например, карбоксиметилцеллюлоза, альгинат, желатин или

поливинилпирролидон, замедлителем растворения, таким как, например, парафин, усилителем поглощения, таким как, например, четвертичная соль, и/или абсорбентом, таким как, например, бентонит, каолин или дикальцийфосфат. Порошковую смесь можно гранулировать путем смачивания связующим, таким как, например, сироп, крахмальная паста, слизь акации или растворы целлюлозы или полимерных веществ, и прессования ее через сито. В качестве альтернативы грануляции, порошковую смесь можно пропускать через таблетировочную машину, получая куски неправильной формы, которые распадаются, образуя гранулы. Гранулы можно замасливать путем добавления стеариновой кислоты, стеарата, талька или минерального масла для предотвращения слипания в таблетировочной литейной форме. После этого смазанную смесь спрессовывают, получая таблетки. Соединения в соответствии с изобретением также можно объединять с сыпучим инертным наполнителем и затем подвергать прямому прессованию, получая таблетки без осуществления стадий грануляции или сухого прессования. Таблетки также можно покрывать прозрачным или светонепроницаемым защитным слоем, состоящим из шеллакового запечатывающего слоя, слоя сахара или полимерного вещества и глянцевого слоя воска. К этим покрытиям также можно добавлять красители для возможности различения между разными дозируемыми единицами.

Жидкости для перорального введения, такие как, например, раствор, сиропы и эликсиры, могут быть приготовлены в виде дозируемых единиц таким образом, чтобы они содержали заранее установленное количество соединения. Сиропы могут быть получены путем растворения соединения в водном растворе с подходящим ароматизатором, тогда как эликсиры готовят с применением нетоксичного спиртового наполнителя. Суспензии могут быть приготовлены путем диспергирования соединения в нетоксичном наполнителе. Также можно добавлять солюбилизаторы и эмульсификаторы, такие как, например, этоксилированные изостеариловые спирты и полиоксиэтиленовые эфиры сорбита, консерванты, ароматические добавки, такие как, например, масло мяты перечной, или натуральные заменители сахара или сахарин, или другие искусственные заменители сахара и т.п.

Составы для перорального введения в виде дозированных единиц могут быть инкапсулированы в микрокапсулы, если это является желательным. Также состав может быть приготовлен таким образом, чтобы пролонгировать или замедлить высвобождение, например, путем применения покрытий или заделывания вещества в форме частиц в полимеры, воск и т.п.

Соединения формулы I и их фармацевтически приемлемые соли, таутомеры и стереоизомеры также можно вводить в виде липосомных систем доставки, таких как, например, небольшие однослойные пузырьки, большие однослойные пузырьки и многослойные пузырьки. Липосомы могут быть образованы из различных фосфолипидов, таких как, например, холестерин, стеариламин или фосфатидилхолины.

Соединения формулы I и их соли, таутомеры и стереоизомеры также могут доставляться с использованием моноклональных антител в качестве индивидуальных носителей, к которым присоединены молекулы соединения. Соединения также могут быть соединены с растворимыми полимерами в качестве нацеливающих носителей лекарственных средств. Такими полимерами могут являться поливинилпирролидон, сополимер пирана, полигидроксипропилметакриламидофенол, полигидроксиэтиласпартамидофенол или полиэтиленоксидполилизин, замещенный пальмитоиловыми радикалами. Кроме того, соединения можно связывать с биоразлагаемыми полимерами, которые пригодны для обеспечения контролируемого высвобождения лекарственного средства, например, полимолочной кислотой, поли-эпсилон капролактоном, полигидроксимасляной кислотой, полиортоэфирами, полиацеталями, полидигидроксипиранами, полицианоакрплатами и перекрестно-сшитыми или амфипатическими блок-сополимерами гидрогелей.

Фармацевтические составы, адаптированные для трансдермального введения, можно вводить в виде независимых пластырей для удлиненного, тесного контакта с эпидермисом реципиента. Таким образом, например, активный компонент может доставляться из пластыря путем ионофореза, как в общих чертах описано в Pharmaceutical Research, 3(6), 318 (1986).

Фармацевтические соединения, адаптированные для местного введения, могут быть приготовлены в виде мазей, кремов, суспензий, лосьонов, порошков, растворов, паст, гелей, спреев, аэрозолей или масел.

Для лечения глаз или других наружных тканей, например рта и кожи, предпочтительно применяются составы в виде местной мази или крема. Для приготовления состава в виде мази, активный компонент может применяться либо с парафиновым, либо со смешивающимся с водой мазевым основанием. Альтернативно, для получения крема активный компонент может быть приготовлен с основой для крема типа масло-в-воде или основой вода-в-масле.

Фармацевтические составы, адаптированные для местного введения в глаза, включают глазные капли, в которых активный компонент растворен или суспендирован в подходящем носителе, предпочтительно в водном растворителе.

Фармацевтические составы, адаптированные для местного введения в полость рта, включают лепешки, пастилки и жидкости для полоскания рта.

Фармацевтические составы, адаптированные для ректального введения, можно вводить в виде суппозиториев или клизм.

Фармацевтические составы, адаптированные для назального введения, в которых носитель представляет собой твердое вещество, включают крупный порошок, имеющий размер частичек, например, в интервале 20-500 микрон, который вводится путем вдыхания, то есть путем быстрого вдоха через нос из контейнера, содержащего порошок, который придерживают возле носа. Подходящие составы для введения в виде назального спрея или носовых капель с жидкостью в качестве носителя включают растворы активного вещества в воде или в масле.

Фармацевтические составы, адаптированные для введения путем ингаляции, включают тонкоизмельченные частички в виде пыли или тумана, которые могут быть получены с помощью различных диспергирующих устройств под давлением с аэрозолями, небулайзеров или инсуффляторов.

Фармацевтические составы, адаптированные для вагинального введения, можно вводить в виде пессариев, тампонов, кремов, гелей, паст, пен или аэрозолей.

Фармацевтические составы, адаптированные для парентерального введения, включают водные и неводные стерильные растворы для инъекций, содержащие антиоксид анты, буферы, бактериостатические вещества и растворенные вещества, с помощью которых состав поддерживается изотоническим по отношению к крови реципиента, подвергаемого лечению; и водные или неводные стерильные суспензии, которые могут содержать суспензионную среду и загустители. Составы можно вводить с помощью емкостей для однократного или многократного введения, например, запечатанных ампул и флаконов, и хранить в лиофилизированном состоянии, при этом непосредственно перед введением необходимо только добавить стерильную жидкость-носитель, например, воду для инъекций. Растворы и суспензии для инъекций, приготовленные согласно рецептуре, могут быть приготовлены из стерильных порошков, гранул и таблеток.

Также является очевидным, что дополнительно к предпочтительным вышеописанным составляющим, составы также могут содержать другие вещества, которые используются в данной области для конкретных типов составов; например, составы, пригодные для перорального введения, могут содержать ароматизаторы.

Терапевтически эффективное количество соединения формулы I зависит от многих факторов, включая, например, возраст и массу животного, определенное состояние, которое необходимо лечить, и его тяжесть, природу лекарственного средства и способ введения, и в конечном счете оно может быть определено лечащим врачом или ветеринаром. Тем не менее, эффективное количество соединения в соответствии с изобретением, как правило, находится в интервале от 0.1 до 100 мг/кг массы тела реципиента (млекопитающего) в сутки и предпочтительно обычно находится в интервале от 1 до 10 мг/кг массы тела в сутки. Следовательно, действующее суточное количество для взрослого млекопитающего массой 70 кг обычно может составлять от 70 до 700 мг, причем это количество может вводиться в виде отдельной дозы один раз в день или обычно в виде циклов частичных доз (как, например, два, три, четыре, пять или шесть раз) в день, таким образом, что общая суточная доза является аналогичной. Эффективное количество его соли, сольвата или физиологически функционального производного может быть определено в виде доли эффективного количества соединения в соответствии с изобретением per se. Также можно предположить, что аналогичные дозы пригодны для лечения других состояний, описанных выше.

Комбинированное лечение этого типа можно осуществлять с помощью одновременного, последовательного или раздельного дозирования индивидуальных компонентов лечения. В комбинированных продуктах такого типа применяются соединения в соответствии с изобретением.

Кроме того, изобретение относится к лекарственным средствам, содержащим по меньшей мере одно соединение формулы I и/или его фармацевтически приемлемые соли, таутомеры и стереоизомеры, включая их смеси во всех соотношениях, и по меньшей мере один дополнительный активный компонент лекарственного средства.

Изобретение также относится к комплекту (набору), состоящему из отдельных упаковок

(a) эффективного количества соединения формулы I и/или его фармацевтически приемлемых солей, таутомеров и стереоизомеров, включая их смеси во всех соотношениях,

и

(b) эффективного количества дополнительного активного компонента лекарственного средства.

Комплект включает подходящие емкости, такие как коробки, индивидуальные бутылки, пакеты или ампулы. Комплект может включать, например, отдельные ампулы, каждая из которых содержит эффективное количество соединения формулы I и/или его фармацевтически приемлемых солей, таутомеров и стереоизомеров, включая их смеси во всех соотношениях,

и эффективное количество дополнительного активного компонента лекарственного средства в растворенной или лиофилизированной форме.

"Лечение", как используется в настоящей заявке, обозначает облегчение, полностью или частично, симптомов, связанных с нарушением или заболеванием, или замедление, или остановку дальнейшего прогрессирования или ухудшения этих симптомов, или предотвращение или профилактику заболевания или нарушения у субъекта, имеющего риск развития такого заболевания или нарушения.

Термин "эффективное количество" применительно к соединению формулы I может обозначать количество, способное облегчать, полностью или частично, симптомы, связанные с нарушением или заболеванием, или замедлять или останавливать дальнейшее прогрессирование или ухудшение этих симптомов, или предотвращать или обеспечивать профилактику заболевания или нарушения у субъекта, имеющего заболевание или с риском развития заболевания, раскрытого в настоящей заявке, такого как воспалительные состояния, иммунологические состояния, злокачественные новообразования или метаболические состояния.

В одном варианте осуществления эффективное количество соединения формулы I представляет собой количество, которое ингибирует c-KIT киназу в клетке, такой как, например, in vitro или in vivo. В некоторых вариантах осуществления, эффективное количество соединения формулы I ингибирует с-Kit в клетке на 10%, 20%, 30%, 40%, 50%, 60%, 70%, 80%, 90% или 99%, по сравнению с активностью c-KIT киназы в необработанной клетке. Эффективное количество соединения формулы I, например, в фармацевтической композиции, может находиться на уровне, который будет оказывать желаемое действие; например, от приблизительно 0.005 мг/кг массы тела субъекта до приблизительно 10 мг/кг массы тела субъекта в виде однократной дозировки как для перорального, так и для парентерального введения.

ПРИМЕНЕНИЕ

Соединения настоящего изобретения пригодны в качестве фармацевтических активных компонентов для млекопитающих, в особенности, для людей, для лечения злокачественного новообразования, такого как желудочно-кишечная стромальная опухоль.

Настоящее изобретение охватывает применение соединений формулы I и/или их фармацевтически приемлемых солей, таутомеров и стереоизомеров для приготовления лекарственного средства для лечения или предотвращения злокачественного новообразования, предпочтительно для лечения желудочно-кишечной стромальной опухоли.

Предпочтительно, настоящее изобретение относится к способу лечения заболевания, где заболевание представляет собой злокачественное новообразование, предпочтительно желудочно-кишечную стромальную опухоль.

Особенно предпочтительно, настоящее изобретение относится к способу, где заболевание представляет собой злокачественное новообразование, и где введение является одновременным, последовательным или попеременным с введением по меньшей мере одного другого активного компонента лекарственного препарата.

Раскрытые соединения формулы I можно вводить в комбинации с другими известными терапевтическими средствами, включая противораковые средства. Как используется в настоящем изобретении, термин "противораковое средство" относится к любому средству, которое вводят пациенту со злокачественным новообразованием для лечения такого злокачественного новообразования.

Противораковое лечение, определенное выше, может применяться в виде монотерапии, или, может включать, дополнительно к применению соединений формулы I, раскрытых в данной заявке, обычные хирургические методы или радиотерапию или лекарственную терапию. Такая лекарственная терапия, например, химиотерапия или таргетная терапия, может включать применение одного или нескольких, однако предпочтительно одного, противоопухолевого(-ых) средства(-в), выбранного(-ых) из следующих:

Алкилирующие агенты

такие как алтретамин, бендамустин, бусульфан, кармустин, хлорамбуцил, хлорметин, циклофосфамид, дакарбазин, ифосфамид, импросульфан тозилат, ломустин, мельфалан, митобронитол, митолактол, нимустин, ранимустин, темозоломид, тиотепа, треосульфан, мехлорэтамин, карбоквон;

апазиквон, фотемустин, глуфосфамид, палифосфамид, пипоброман, трофосфамид, урамустин ТН-3024, VAL-0834;

Соединения платины

такие как карбоплатин, цисплатин, эптаплатин, мириплатин гидрат, оксалиплатин, лобаплатин, недаплатин, пикоплатин, сатраплатин;

лобаплатин, недаплатин, пикоплатин, сатраплатин;

Средства, изменяющие ДНК

такие как амрубицин, бисантрен, децитабин, митоксантрон, прокарбазин, трабектедин, клофарабин;

амсакрин, бросталлицин, пиксантрон, ларомустин; Ингибиторы топоизомеразы такие как этопозид, иринотекан, разоксан, собузоксан, тенипозид, топотекан;

амонафид, белотекан, эллиптиния ацетат, ворелоксин; Модификаторы микротрубочек такие как кабазитаксел, доцетаксел, эрибулин, иксабепилон, паклитаксел, винбластин, винкристин, винорелбин, виндезин, винфлунин, фосбретабулин, тезетаксел;

Антиметаболиты такие как аспарагиназа3, азацитидин, левофолинат кальция, капецитабин, кладрибин, цитарабин, эноцитабин, флоксуридин, флударабин, фторурацил, гемцитабин, меркаптопурин, метотрексат, неларабин, пеметрексед, пралатрексат, азатиоприн, тиогуанин, кармофур;

доксифлуридин, элацитарабин, ралтитрексед, сапацитабин, тегафур2,3, триметрексат;

Противораковые антибиотики

такие как блеомицин, дактиномицин, доксорубицин, эпирубицин, идарубицин, левамизол, милтефозин, митомицин С, ромидепсин, стрептозоцин, валрубицин, зиностатин, зорубицин, даунуробицин, пликамицин;

акларубицин, пепломицин, пирарубицин;

Гормоны/антагонисты

такие как абареликс, абиратерон, бикалутамид, бусерелин, калустерон, хлортрианизен, дегареликс, дексаметазон, эстрадиол, флуокортолон,

флуоксиместерон, флутамид, фулвестрант, гозерелин, гистрелин, лейпрорелин, мегестрол, митотан, нафарелин, нандролон, нилутамид, октреотид, преднизолон, ралоксифен, тамоксифен, тиротропин альфа, торемифен, трилостан, трипторелин, диэтилстильбэстрол;

аколбифен, даназол, деслорелин, эпитиостанол, ортеронел, энзалутамид1,3; Ингибиторы ароматазы такие как аминоглутетимид, анастрозол, эксеместан, фадрозол, летрозол, тестолактон; форместан;

Низкомолекулярные ингибиторы киназ

такие как кризотиниб, дазатиниб, эрлотиниб, иматиниб, лапатиниб, нилотиниб, пазопаниб, регорафениб, руксолитиниб, сорафениб, санитиниб, вандетаниб, вемурафениб, босутиниб, гефитиниб, акситиниб;

афатиниб, алисертиб, дабрафениб, дакомитиниб, динациклиб, довитиниб, энзастаурин, нинтеданиб, ленватиниб, линифаниб, линситиниб, маситиниб, мидостаурин, мотесаниб, нератиниб, орантиниб, перифосин, понатиниб, радотиниб, ригосертиб, типифарниб, тивантиниб, тивозаниб, траметиниб, пимазертиб, бриваниб аланинат, седираниб, апатиниб4, кабозантиниб S-малат1,3, ибрутиниб1,3, икотиниб4, бупарлисиб2, ципатиниб4, кобиметиниб1,3, иделалисиб1,3, федратиниб1, XL-6474;

Фотосенсибилизаторы

такие как метоксален3;

порфимер натрия, талапорфин, темопорфин;

Антитела

такие как алемтузумаб, бесилесомаб, брентуксимаб ведотин, цетуксимаб, деносумаб, ипилимумаб, офатумумаб, панитумумаб, ритуксимаб, тозитумомаб, трастузумаб, бевацизумаб, пертузумаб2,3;

катумаксомаб, элотузумаб, эпратузумаб, фарлетузумаб, могамулизумаб, нецитумумаб, нимотузумаб, обинутузумаб, окаратузумаб, ореговомаб, рамуцирумаб, рилотумумаб, силтуксимаб, тоцилизумаб, залутумумаб, занолимумаб, матузумаб, далотузумаб1,2,3, онартузумаб1,3, ракотумомаб1, табалумаб1,3, EMD-5257974, ниволумаб1,3;

Цитокины

такие как альдеслейкин, интерферон альфа2, интерферон альфа, интерферон альфа2b2,3; целмолейкин, тазонермин, тецелейкин, опрелвекин1,3, рекомбинантный интерферон бета-1а4;

Конъюгаты лекарственных препаратов

такие как денилейкин дифтитокс, ибритумомаб тиуксетан, йобенгуан I123, преднимустин, трастузумаб эмтансин, эстрамустин, гемтузумаб, озогамицин, афлиберцепт;

цинтредекин бесудотокс, эдотреотид, инотузумаб озогамицин, наптумомаб эстафенатокс, опортузумаб монатокс, технеций (99mTc) арцитумомаб1,3, винтафолид1,3;

Вакцины

такие как сипулейцел3, витеспен3, эмепепимут-S3, онковакс4, риндопепимут3, тровакс4, MGN-16014, MGN-17034;

Прочие препараты

алитретиноин, бексаротен, бортезомиб, эверолимус, ибандроновая кислота, имиквимод, леналидомид, лентинан, метирозин, мифамуртид, памидроновая кислота, пэгаспаргаза, пентостатин, сипулейцел3, сизофиран, тамибаротен, темсиролимус, талидомид, третиноин, висмодегиб, золедроновая кислота, вориностат;

целекоксиб, циленгитид, энтиностат, этанидазол, ганетеспиб, идроноксил, инипариб, иксазомиб, лонидамин, ниморазол, панобиностат, перетиноин, плитидепсин, помалидомид, прокодазол, ридафоролимус, тасквинимод, телотристат, тимальфазин, тирапазамин, тоседостат, трабедерсен, убенимекс,

вальсподар, гендицин4, пицибанил4, реолизин4, гидрохлорид ретаспимицина1,3, требананиб2,3, вирулизин4, карфилзомиб1,3, эндостатин4, иммукотел4, белиностат3, MGN-17034;

1 Предл. МНН (предложенное международное непатентованное название)

2 Рекоменд. МНН (рекомендуемое международное непатентованное название))

3 Название в США (наименование препарата по Справочнику национальных непатентованных названий США)

4 нет МНН.

Следующие сокращения относятся соответственно к определениям, приведенным ниже:

водн. (водный), ч (час), г (грам), л (литр), мг (миллиграм), МГц (мегагерц), мин. (минута), мм (милиметр), ммоль (милимоль), мМ (милимолярный), т.пл. (температура плавления), экв. (эквивалент), мл (милилитр), мкл (микролитр), ACN (ацетонитрил), АсОН (уксусная кислота), CDCl3 (дейтерированный хлороформ), CD3OD (дейтерированный метанол), CH3CN (ацетонитрил), c-hex (циклогексан), DCC (дициклогексил карбодиимид), ДХМ (дихлорметан), DIC (диизопропил карбодиимид), DIPEA (диизопропилэтиламин), ДМФА (диметилформамид), ДМСО (диметилсульфоксид), ДМСО-d6 (дейтерированный диметилсульфоксид), EDC (1-(3-диметиламинопропил)-3-этилкарбодиимид), ESI (электрораспылительная ионизация), EtOAc (этилацетат), Et2O (диэтиловый эфир), EtOH (этанол), HATU гексафторфосфат (диметиламино-([1,2,3]триазоло[4,5-b]пиридин-3-илокси)-метилен]-диметиламмония), ВЭЖХ (высокоэффективная жидкостная хроматография), i-PrOH (2-пропанол), К2СО3 (карбонат калия), ЖХ (жидкостная хроматография), МеОН (метанол), MgSO4 (сульфат магния), МС (масс-спектрометрия), МТВЕ (метил-трет-бутиловый эфир), NaHCO3 (бикарбонат натрия), NaBH4 (борогидрид натрия), NMM (N-метилморфолин), ЯМР (ядерный магнитный резонанс), РуВОР гексафторфосфат (бензотриазол-1-илокси-трис-пирролидинофосфония), к.т. (комнатная температура), Rt (время удержания), SPE (твердофазная экстракция), TBTU тетрафторборат (2-(1-Н-бензотриазол-1-ил)-1,1,3,3-тетраметилурония), TEA (триэтиламин), ТФУ (трифторуксусная кислота), ТГФ (тетрагидрофуран), ТСХ (тонкослойная хроматография), СВЭЖХ (сверхэффективная жидкостная хроматография), УФ (ультрафиолет).

Выше и ниже все температуры указаны в °С.

1H ЯМР записывали на спектрометре Bruker DPX-300, DRX-400, AVII-400 или 500 МГц, используя остаточный сигнал дейтерированного растворителя в качестве внутреннего стандарта. Химические сдвиги (5) представлены в виде м.д. относительного остаточного сигнала растворителя (δ=2.49 м.д. для 1Н ЯМР в ДМСО-d6). Данные 1H ЯМР представлены следующим образом: химический сдвиг (мультиплетность, константы взаимодействия и число водородов). Мультиплетность сокращена следующим образом: s (синглет), d (дублет), t (триплет), q (квартет), m (мультиплет), br (широкий), bs (широкий синглет), р (пентет).

ВЭЖХ/МС, условия А:

ВЭЖХ/МС: Agilent 1200 / 6100

элюент А: вода+0.05% муравьиной кислоты

элюент В: ацетонитрил+0.04% муравьиной кислоты

колонка: Chromolith HR RP-18e; 50-4.6 мм

скорость потока: 3.3 мл/мин

градиент: 0%->100% В: 0.0->2.0 мин | 100% В: 2.0->2.5 мин УФ-детектирование: 220 нм

МС-детектирование: 65-800 а.е.м., положительные ионы

ВЭЖХ/МС, условия В:

ВЭЖХ/МС: Agilent 1200 / 6100

элюент А: вода+0.05% муравьиной кислоты

элюент В: ацетонитрил+0.04% муравьиной кислоты

колонка: Kinetex ХВ-С18; 2.6 мкм; 50-4.6 мм

скорость потока: 2.5 мл/мин

градиент: 0%->100% В: 0.0->1.4 мин | 100% В: 1.4->2.0 мин УФ-детектирование: 220 нм

МС-детектирование: 65-800 а.е.м., положительные ионы

Условия СВЭЖХ/МС:

СВЭЖХ/МС: Waters Acquity/SQD

элюент А: вода+0.05% муравьиной кислоты

элюент В: ацетонитрил+0.04% муравьиной кислоты

колонка: Kinetex ХВ-С18; 1.7 мкм; 50-2.1 мм

скорость потока: 0.9 мл/мин

градиент: 2%->100% В: 0.0->1.0 мин | 100% В: 1.0->1.3 мин

УФ-детектирование: 220 нм / 254 нм / MaxPlot / TotalPlot

МС-детектирование: 61-800 а.е.м., положительные ионы

Анализы

c-Kit(V654A) анализ:

c-Kit(V654A) (N-терминальная GST-меченная, рекомбинантная человеческая c-Kit, 544-аминокислотный конец, содержащий мутацию V654A) инкубируют с 8 мМ MOPS рН 7.0, 0.2 мМ EDTA, 250 мкМ

GGMEDIYEFMGGKKK, 10 мМ ацетатом Mg и [гамма-33Р-АТФ] (специфическая активность прибл. 500 имп. в мин/пмоль, концентрация 200 мкМ). Реакцию инициируют путем добавления Mg-АТФ смеси. После инкубирования в течение 40 минут при комнатной температуре, реакцию останавливают путем добавления 3% раствора фосфорной кислоты. Затем 10 мкл реакционной смеси точечно наносят на плоский фильтр Р30 и три раза промывают в течение 5 минут в 75 мМ фосфорной кислоте и один раз в метаноле перед сушкой и сцинтилляционными измерениями.

Принцип анализа клеточного тестирования ингибиторов мутанта cKIT Клеточную линию GIST430/654, экспрессирующую мутантную конститутивно активную рецепторную тирозинкиназу cKIT (А560-576 и V654A) использовали для оценки клеточной действенности соединений. Клеточную активность мутантной cKIT определяли по степени аутофосфорилирования cKIT по тирозину 307, используя анализ на основе Luminex с микросферами. Клетки GIST430/654 высевали с плотностью 25,000 клеток на лунку 96-луночного планшета в 100 мкл среды (85% IMDM / 15% FCS, дополненная 100 нМ иматиниба). На следующий день добавляли соединения в серийном разведении на 45 мин. Затем клетки лизировали с помощью 90 мкл лизирующего буфера (20 мМ Hepes рН 7.5, 200 мМ NaCl, 1.5 мМ MgCl2×6H2O, 0.4 мМ EDTA, 1% Тритон-Х-100, 1% ингибитора фосфатазы II, 20 мМ β-глицеринфосфат, 0.1% смеси ингибиторов протеаз III, 0.01% бензоназы), и лизаты очищали с помощью центрифугирования через 96-луночный фильтровальный планшет (0.65 мкм). Образцы инкубировали с микросферами Luminex, которые были связаны с антителом к общей cKIT, в течение ночи при 4°С при осторожном перемешивании. Для детектирования фосфо-Y307-сК1Т осуществляли добавление фосфоспецифического антитела и видоспецифического РЕ-меченного вторичного антитела. Количество фосфо-Y307-сК1Т определяли на приборе Luminex 200, измеряя 100 событий на лунку в течение 60 секунд.

Число отсчетов, полученное от образцов, обработанных соединениями, рассчитывали как процент от контроля из образцов, обработанных растворителем (0.3% ДМСО). Строили кривые зависимости «доза-эффект», и значения IC50 определяли, используя программное обеспечение Genedata Screener.

Фармакологические данные

Пояснение: 1,4Е-06 означает 1.4 × 10"6

Соединения, показанные в Таблице 1, являются особенно предпочтительными соединениями в соответствии с изобретением.

Синтез промежуточных соединений Индазолы

Синтез 6-(2-метоксиэтокси)-1Н-индазола

К раствору 2-фтор-4-гидроксибензальдегида (2.80 г, 20.0 ммоль) в ДМФА (50 мл) добавляют карбонат калия (8.29 г, 60 ммоль) и полученную в результате взвесь перемешивают в течение 18 часов при 60°С. Реакционной смеси дают достичь комнатной температуры и обрабатывают водой и дихлорметаном. Органическую фазу отделяют и водную фазу дважды экстрагируют дихлорметаном. Объединенные органические фазы сушат над сульфатом натрия, фильтруют и упаривают. Остаток сушат в высоком вакууме с получением 2-фтор-4-(2-метоксиэтокси)-бензальдегида в виде бесцветного масла; ВЭЖХ/МС 1.36 мин (А), [М+Н]+ 199.

1H ЯМР (400 МГц, ДМСО-d6) δ 10.07 (s, 1Н), 7.78 (t, J=8.6 Гц, 1H), 7.02 (dd, J=13.0, 2.4 Гц, 1H), 6.96 (dd, J=8.7, 2.4 Гц, 1Н), 4.29-4.19 (m, 2Н), 3.74-3.63 (m, 2Н), 3.31 (s, 3H).

Раствор 2-фтор-4-(2-метоксиэтокси)-бензальдегида (6.16 г, 31.1 ммоль) в гидроксиде гидразиния (30.2 мл, 31.1 г, 621 ммоль) нагревают до 140°С при перемешивании и выдерживают при этой температуре в течение 16 часов. Реакционной смеси дают достичь комнатной температуры и разбавляют водой. Затем осторожно добавляют конц. хлористоводородную кислоту и 2 н. хлористоводородную кислоту до тех пор, пока не будет достигнуто значение рН 2. Смесь четыре раза экстрагируют дихлорметаном. Объединенные органические фазы экстрагируют насыщенным раствором хлорида натрия и сушат над сульфатом натрия. Сульфат натрия отфильтровывают и фильтрат упаривают и сушат в вакууме с получением 6-(2-метоксиэтокси)-1Н-индазола в виде бледно-желтого кристаллического твердого вещества; ВЭЖХ/МС 1.21 мин (А), [М+Н]+193.

1H ЯМР (400 МГц, ДМСО-d6) δ 12.76 (s, 1Н), 7.93 (s, 1H), 7.61 (d, J=8.8 Гц, 1Н), 6.93 (s, 1H), 6.75 (dd, J=8.8, 2.1 Гц, 1H), 4.20-4.11 (m, 2Н), 3.88-3.65 (m, 2Н), 3.33 (s, 3H).

Синтез 5-фтор-6-(2-метоксиэтокси)-1Н-индазола

В атмосфере азота трет-бутилат калия (6.43 г, 57.3 ммоль) порциями добавляют к раствору 5,6-дифтор-1H-индазола (2.94 г, 19.1 ммоль) в монометиловом эфире этиленгликоля (40 мл). Смесь нагревают до 150°С и перемешивают при этой температуре в течение пяти дней. Реакционной смеси дают достичь комнатной температуры и разбавляют водой (150 мл) и 1 н. хлористоводородной кислотой (39 мл) до достижения значения рН приблизительно 6. Смесь дважды экстрагируют дихлорметаном. Объединенные органические фазы промывают водой, сушат над сульфатом натрия и упаривают. Остаток хроматографируют на колонке с силикагелем с помощью смеси циклогексан/этилацетат в качестве элюента с получением 5-фтор-6-(2-метоксиэтокси)-1Н-индазола в виде не совсем белого твердого вещества; ВЭЖХ/МС 1.31 мин (В), [М+Н]+ 211.

1H ЯМР (400 МГц, ДМСО-d6) δ 12.92 (s, 1H), 7.93 (t, J=1.3 Гц, 1H), 7.53 (d, J=11.0 Гц, 1H), 7.12 (dd, J=7.1, 1.0 Гц, 1H), 4.54-4.06 (m, 2Н), 4.06-3.58 (m, 2Н), 3.34 (s, 3H).

Альтернативный синтез 5-фтор-6-(2-метоксиэтокси)-1Н-индазола

В продутом азотом 10 л реакторе, оснащенном охлаждающей и нагревающей рубашкой, 2-бром-4,5-дифторбензальдегид (500 г, 2.26 моль) растворяют в 2-метоксиэтаноле (4.5 л). Порциями добавляют трет-бутилат калия (381 г, 3.39 моль) на протяжении 1 часа при температуре 20-25°С. Полученный в результате раствор перемешивают в течение 16 часов при температуре 18°С. Реакционную смесь гасят водой (2 л) и насыщенным раствором лимонной кислоты в воде (2 л). Смесь обрабатывают трет-бутилметиловым эфиром (5 л) и органическую фазу отделяют. Органическую фазу промывают один раз водой и два раза солевым раствором и сушат над сульфатом натрия. Сульфат натрия отфильтровывают и фильтрат упаривают с получением 2-бром-5-фтор-4-(2-метоксиэтокси)-бензальдегида в виде светло-желтого частично кристаллизованного масла, которое используют как таковое на следующей стадии. Путем выполнения хроматографии на колонке с силикагелем с помощью смеси дихлорметан/этилацетат в качестве элюента получают чистый образец: белое кристаллическое твердое вещество; ВЭЖХ/МС 1.60 мин (А), [М+Н]+ 277/279.

1H ЯМР (500 МГц, ДМСО-d6) δ 10.05 (d, J=3.0 Гц, 1H), 7.66 (d, J=11.3 Гц, 1Н), 7.63 (d, J=7.5 Гц, 1Н), 4.40-4.31 (m, 2Н), 3.75-3.68 (m, 2Н), 3.32 (s, 3H).

4-Толуолсульфоногидразид (377 г, 2.02 моль) взвешивают в метаноле (4 л) и взвесь перемешивают в течение 30 мин при 60°С. Затем добавляют раствор сырого 2-бром-5-фтор-4-(2-метоксиэтокси)-бензальдегида (700 г, прибл. 2.02 моль) в метаноле (1 л) на протяжении 30 мин и реакционную смесь перемешивают в течение 18 часов при 60°С. Реакционную смесь охлаждают до 0°С. Осадок отфильтровывают с отсасыванием, промывают метанолом и сушат в вакууме при 40°С с получением N-[(Е)-[2-бром-5-фтор-4-(2-метоксиэтокси)фенил]метиленамино]-4-метилбензолсульфонамида в виде белых кристаллов; СВЭЖХ/МС 0.85 мин, [М+Н]+ 445/447.

1H ЯМР (400 МГц, ДМСО-d6) δ 11.65 (s, 1H), 8.10 (d, J=2.0 Гц, 1Н), 7.77 (d, J=8.3 Гц, 2Н), 7.49-7.36 (m, 4Н), 4.28-4.21 (m, 2Н), 3.70-3.57 (m, 2Н), 3.30 (s, 3H), 2.38 (s, 3H).

Суспензию N-[(Е)-[2-бром-5-фтор-4-(2-метоксиэтокси)фенил]метиленамино]-4-метилбензолсульфонамида (445 г, 1.00 моль) и оксида меди(I) (100 г, 700 ммоль) в 1-бутаноле (5 л) продувают азотом. Смесь нагревают до 117°С и перемешивают при этой температуре в течение 5 ч. Реакционной смеси дают достичь комнатной температуры и упаривают. Остаток вносят в толуол (5 л), суспензию нагревают до 80°С, обрабатывают активированным углем (100 г) и перемешивают в течение 1 ч при 50°С. Суспензию фильтруют и фильтрат упаривают. Твердый остаток кристаллизуют из гептана (2 л) с получением 5-фтор-6-(2-метоксиэтокси)-1-(толуол-4-сульфонил)-1Н-индазола в виде желтых кристаллов; ВЭЖХ/МС 1.66 мин (В), [М+Н]+ 365.

1H ЯМР (500 МГц, ДМСО-d6) δ 8.38 (s, 1Н), 7.84 (d, J=8.4 Гц, 2Н), 7.72 (d, J=6.9 Гц, 1H), 7.69 (d, J=10.4 Гц, 1H), 7.39 (d, J=8.1 Гц, 2Н), 4.43-4.34 (m, 2Н), 3.86-3.71 (m, 2Н), 3.36 (s, 3H), 2.34 (s, 3H).

Суспензию 5-фтор-6-(2-метоксиэтокси)-1-(толуол-4-сульфонил)-1Н-индазола (360 г, 988 ммоль) и карбоната цезия (644 г, 1.98 моль) в смеси ТГФ (2.0 л) и 2,2,2-трифторэтанола (2.0 л) перемешивают в течение 18 ч при 40°С. Реакционную смесь разбавляют этилацетатом и фильтруют с отсасыванием. Остаток промывают этилацетатом. Фильтрат упаривают и распределяют между водой и этилацетатом. Органическую фазу сушат над сульфатом натрия и упаривают. Остаток перекристаллизовывают из смеси этилацетат/гептан с получением 5-фтор-6-(2-метоксиэтокси)-1Н-индазола в виде не совсем белого кристаллического твердого вещества; СВЭЖХ/МС 0.57 мин, [М+Н]+ 211.

Следующие соединения получают аналогичным образом

5-фтор-6-метокси-1Н-индазол; белое кристаллическое твердое вещество; СВЭЖХ/МС 0.56 мин, [М+Н]+167.

1H ЯМР (700 МГц, ДМСО-d6) δ 12.95 (s, 1Н), 7.94 (s, 1H), 7.54 (d, J=11.1 Гц, 1H), 7.11 (d, J=7.1 Гц, 1H), 3.91 (s, 3H).

6-этокси-5-фтор-1H-индазол; белое твердое вещество; СВЭЖХ/МС 0.61 мин, [М+Н]+ 181.

1H ЯМР (500 МГц, ДМСО-d6) δ 12.87 (s, 1Н), 7.92 (d, J=1.2 Гц, 1Н), 7.52 (d, J=11.1 Гц, 1H), 7.08 (d, J=7.1 Гц, 1H), 4.15 (q, J=7.0 Гц, 2Н), 1.40 (t, J=6.9 Гц, 3H).

Синтез 5-хлор-6-(2-метоксиэтокси)-1Н-индазола

Соединение синтезируют в соответствии со следующей схемой синтеза

бледно-желтое кристаллическое твердое вещество; ВЭЖХ/МС 1.39 мин (А), [М+Н]+ 227.

1H ЯМР (300 МГц, Хлороформ-d1) δ 10.19 (s, 1Н), 7.96 (d, J=0.9 Гц, 1Н), 7.76 (s, 1Н), 6.91 (s, 1H), 4.36-4.16 (m, 2Н), 3.99-3.66 (m, 2Н), 3.53 (s, 3H).

Синтез 6-(2-метоксиэтокси)-1Н-индазол-5-карбонитрила

Соединение синтезируют в соответствии со следующей схемой синтеза

белое кристаллическое твердое вещество; ВЭЖХ/МС 1.22 мин (А), [М+Н]+ 281.

1H ЯМР (400 МГц, Хлороформ-d1) δ 8.10 (s, 1Н), 8.06 (s, 1H), 7.28 (s, 2Н), 7.00 (s, 1Н), 4.32-4.26 (m, 2Н), 3.95-3.82 (m, 2Н).

3-Этинилиндазолы

Синтез 3-этинил-6-трифторметил-1H-индазола

К раствору 6-трифторметилиндазола (990 мг, 5.32 ммоль) в ДМФА (200 мл) добавляют йод (2.00 г, 7.88 ммоль) с последующим добавлением порциями пеллет гидроксида калия (1.20 г, 21.4 ммоль), и реакционную смесь перемешивают при комнатной температуре. Через 18 часов, реакционную смесь выливают в насыщенный водный раствор тиосульфата натрия и полученную в результате смесь два раза экстрагируют этилацетатом. Объединенные органические фазы промывают солевым раствором и сушат над сульфатом натрия. Сульфат натрия отфильтровывают и остаток упаривают с получением 3-йод-6-трифторметил-1H-индазола в виде бежевого твердого вещества; СВЭЖХ/МС 0.80 мин, [М+Н]+ 313.

1H ЯМР (400 МГц, ДМСО-d6) δ 13.95 (s, 1Н), 7.97 (s, 1Н), 7.69 (d, J=8.6 Гц, 1Н), 7.48 (dd, J=8.5, 1.5 Гц, 1H).

К суспензии 3-йод-6-трифторметил-1Н-индазола (1,69 г, 5.43 ммоль) в ацетонитриле (100 мл) добавляют N,N-диметилпиридин-4-амин (133 мг, 1.09 ммоль) и ди-трет-бутил дикарбонат (1.78 г, 8.15 ммоль), и реакционную смесь перемешивают в течение 3 дней при комнатной температуре. Реакционную смесь концентрируют при пониженном давлении. Остаток вносят в этилацетат и два раза промывают насыщенным водным раствором хлорида аммония и один раз солевым раствором. Органическую фазу сушат над сульфатом натрия и упаривают с получением сложного трет-бутилового эфира 3-йод-6-трифторметилиндазол-1-карбоновой кислоты в виде бледно-желтого твердого вещества; СВЭЖХ/МС 1.00 мин, [M-tBu]+ 357.

1H ЯМР (400 МГц, ДМСО-d6) δ 8.40 (s, 1Н), 7.83 (d, J=8.5 Гц, 1Н), 7.78 (dd, J=8.5, 1.5 Гц, 1H), 1.67 (s, 9Н).

Раствор сложного трет-бутилового эфира 3-йод-6-трифторметилиндазол-1-карбоновой кислоты (1.87 г, 4.53 ммоль) в 1,4-диоксане (45 мл) продувают азотом. Затем в атмосфере азота добавляют хлорид бис(трифенилфосфин)палладия(П) (470 мг, 0.67 ммоль), йодид меди(1) (127 мг, 0.67 ммоль), N-этилдиизопропиламин (1.57 мл, 9.07 ммоль) и триметилсилилацетилен (1,34 г, 13,6 ммоль), и реакционную смесь перемешивают в закрытой реакционной пробирке в течение 1 часа при 80°С. Реакционной смеси дают достичь комнатной температуры, абсорбируют на целите и хроматографируют на колонке с силикагелем с помощью смеси циклогексан/этилацетат в качестве элюента с получением сложного трет-бутилового эфира 6-трифторметил-3-триметилсиланилэтинилиндазол-1-карбоновой кислоты в виде не совсем белого твердого вещества; СВЭЖХ/МС 1.12 мин, [M-tBu]+ 327.

1H ЯМР (400 МГц, ДМСО-d6) δ 8.19 (s, 1Н), 7.80 (d, J=8.5 Гц, 1Н), 7.55 (dd, J=8.4, 1.5 Гц, 1H), 1.43 (s, 9Н), 0.09 (s, 9Н).

К раствору сложного трет-бутилового эфира 6-трифторметил-3-триметилсиланилэтинилиндазол-1-карбоновой кислоты (1.60 г, 4.18 ммоль) в этаноле (5 мл) добавляют карбонат калия (120 мг, 0.87 ммоль), и реакционную смесь перемешивают в течение 18 часов при комнатной температуре. Реакционную смесь концентрируют при пониженном давлении. Остаток растворяют в этилацетате и промывают 3 раза водой. Органическую фазу сушат над сульфатом натрия и упаривают с получением 3-этинил-6-трифторметил-1H-индазола в виде бледно-коричневого твердого вещества; СВЭЖХ/МС 0.75 мин, [М+Н]+ 211.

1H ЯМР (400 МГц, ДМСО-d6) δ 13.87 (s, 1Н), 7.98 (s, 1H), 7.94 (d, J=8.5 Гц, 1Н), 7.50 (dd, J=8.5, 1.5 Гц, 1H), 4.59 (s, 1H).

Следующие соединения получают аналогичным образом:

3-этинил-6-(2-метоксиэтокси)-1H-индазол, не совсем белое твердое вещество; СВЭЖХ/МС 0.63 мин, [М+Н]+217.

1H ЯМР (500 МГц, ДМСО-d6) δ 13.15 (s, 1Н), 7.56 (d, J=8.8 Гц, 1Н), 6.97 (d, J=2.0 Гц, 1H), 6.86 (dd, J=8.8, 2.1 Гц, 1Н), 4.43 (s, 1H), 4.20-4.13 (m, 2Н), 3.76-3.66 (m, 2Н), 3.33 (s, 3H).

6-бром-3-этинил-1H-индазол, бледно-коричневый порошок; СВЭЖХ/МС 0.75 мин, [М+Н]+ 221,223.

5-хлор-3-этинил-6-(2-метоксиэтокси)-1Н-индазол, бледно-коричневое твердое вещество; СВЭЖХ/МС 1.05 мин, [М+Н]+ 251.

3-этинил-6-(2-метоксиэтокси)-1H-индазол-5-карбонитрил, бледно-коричневое твердое вещество; ВЭЖХ/МС 1.85 мин (А), [М+Н]+ 242.

сложный метиловый эфир 3-этинил-1Н-индазол-6-карбоновой кислоты, не совсем белое твердое вещество; СВЭЖХ/МС 0.95 мин, [M+H]+ 201.

3-этинил-5-фтор-6-метокси-1Н-индазол, не совсем белое твердое вещество; СВЭЖХ/МС 0.65 мин, [М+Н]+ 191.

1H ЯМР (400 МГц, ДМСО-d6) δ 13.34 (s, 1Н), 7.47 (d, J=10.6 Гц, 1Н), 7.17 (d, J=7.0 Гц, 1Н), 4.48 (s, 1H), 3.92 (s, 3H).

3-этинил-5-фтор-6-(2-метоксиэтокси)-1Н-индазол, бледно-коричневое твердое вещество; СВЭЖХ/МС 0.66 мин, [М+Н]+ 235.

1H ЯМР (400 МГц, ДМСО-d6) δ 13.32 (s, 1Н), 7.45 (d, J=10.5 Гц, 1Н), 7.19 (d, J=6.9 Гц, 1Н), 4.45 (s, 1H), 4.41-4.17 (m, 2Н), 3.80-3.64 (m, 2Н), 3.34 (s, 3H).

Синтез сложного трет-бутилового эфира 3-этинил-5-фтор-6-(2-метоксиэтокси)-индазол-1-карбоновой кислоты

К раствору 5-фтор-6-(2-метоксиэтокси)-1H-индазола (173 г, 822 ммоль) в ДМФА (2.0 л) добавляют йод (228 г, 905 ммоль) с последующим добавлением порциями порошкообразного гидроксида калия (115 г, 2.57 моль), и реакционную смесь перемешивают при комнатной температуре. Через 18 часов реакционную смесь выливают в смесь холодной воды (12 л) и этилацетата (6 л). Фазы разделяют и водный слой экстрагируют этилацетатом (2 л). Объединенные органические слои промывают водой (3 л), водным раствором тиосульфата натрия (3 л) и три раза водой (2 л). Органический слой затем сушат над сульфатом натрия, фильтруют и концентрируют. Полученную в результате взвесь обрабатывают гептаном (2 л). Твердое вещество отфильтровывают и сушат в вакууме с получением 5-фтор-3-йод-6-(2-метоксиэтокси)-1Н-индазола в виде бежевого твердого вещества; СВЭЖХ/МС 0.71 мин, [М+Н]+337.

1H ЯМР (400 МГц, ДМСО-d6) δ 13.37 (s, 1H), 7.20 (d, J=10.6 Гц, 1Н), 7.17 (d, J=7.0 Гц, 1Н), 4.32-4.16 (m, 2Н), 3.82-3.65 (m, 2Н), 3.34 (s, 3H).

К раствору 5-фтор-3-йод-6-(2-метоксиэтокси)-1Н-индазола (249 г, 0.74 ммоль) в ацетонитриле (2.5 л) добавляют 4-(диметиламино)-пиридин (133 мг, 150 ммоль). Затем медленно добавляют ди-трет-бутил дикарбонат (238 мл, 1.11 моль), и смесь перемешивают в течение 18 часов при комнатной температуре. Реакционную смесь концентрируют при пониженном давлении. Остаток вносят в этилацетат (4 л) и промывают водой (5 л), 10% водным раствором лимонной кислоты (3 л), водой (3 л) и солевым раствором (2 л). Органическую фазу сушат над сульфатом натрия и концентрируют при пониженном давлении. Остаток кристаллизуют из гептана с получением сложного трет-бутилового эфира 5-фтор-3-йод-6-(2-метоксиэтокси)-индазол-1-карбоновой кислоты в виде белого кристаллического твердого вещества; СВЭЖХ/МС 0.93 мин, [M-tBu]+ 381.

1H ЯМР (400 МГц, ДМСО-d6) δ 7.71 (d, J=7.1 Гц, 1H), 7.40 (d, J=10.0 Гц, 1Н), 4.35-4.25 (m, 2Н), 3.94-3.67 (m, 2Н), 3.34 (s, 3H), 1.65 (s, 9Н).

В атмосфере азота к суспензии сложного трет-бутилового эфира 5-фтор-3-йод-6-(2-метоксиэтокси)-индазол-1-карбоновой кислоты (297 г, 680 ммоль) и хлорида бис(трифенилфосфин)палладия(II) (14.2 г, 20.3 ммоль) в триэтиламине (2 л) добавляют триметилсилилацетилен (112 мл, 810 ммоль), и смесь перемешивают в течение 3 часов при 84°С. Реакционной смеси дают достичь комнатной температуры и разбавляют трет-бутилметиловым эфиром. Раствор пять раз промывают водой (5 л каждый раз) и солевым раствором (4 л). Органический слой сушат над сульфатом натрия и упаривают с получением сложного трет-бутилового эфира 5-фтор-6-(2-метоксиэтокси)-3-триметилсиланилэтинилиндазол-1-карбоновой кислоты в виде бледно-коричневого твердого вещества; СВЭЖХ/МС 1.03 мин, [М-tBu]+ 351.

1H ЯМР (400 МГц, ДМСО-d6) δ 7.73 (d, J=7.1 Гц, 1H), 7.59 (d, J=9.9 Гц, 1Н), 4.31-4.24 (m, 2Н), 3.78-3.70 (m, 2Н), 3.33 (s, 3H), 1.64 (s, 9Н), 0.30 (s, 9Н).

К раствору сложного трет-бутилового эфира 5-фтор-6-(2-метоксиэтокси)-3-триметилсиланилэтинилиндазол-1-карбоновой кислоты (273 г, 671 ммоль) в этаноле (1.5 л) добавляют карбонат калия (18.6 г, 143 ммоль), и реакционную смесь перемешивают в течение 3 часов при 30°С. Реакционную смесь выливают в холодную воду и твердое вещество отфильтровывают и промывают водой. Твердое вещество растворяют в дихлорметане (3 л) и фильтруют на силикагеле (3 кг), используя дихлорметан и трет-бутилметиловый эфир в качестве элюента. Элюат концентрируют при пониженном давлении и кристаллизуют из гептана (300 мл) с получением сложного трет-бутилового эфира 3-этинил-5-фтор-6-(2-метоксиэтокси)-индазол-1-карбоновой кислоты в виде бледно-коричневого твердого вещества; ВЭЖХ/МС 2.54 мин (A), [M-tBu]+ 279.

1H ЯМР (400 МГц, ДМСО-d6) δ 7.73 (d, J=7.1 Гц, 1H), 7.62 (d, J=9.9 Гц, 1Н), 4.82 (s, 1H), 4.42-4.26 (m, 2Н), 3.94-3.72 (m, 2Н), 3.35 (s, 3H), 1.66 (s, 9Н).

Следующее соединение получают аналогичным образом:

трет-бутил 6-этокси-3-этинил-5-фтор-1Н-индазол-1-карбоксилат; не совсем белое твердое вещество; СВЭЖХ/МС 0.93 мин, [M-tBu]+ 249.

1H ЯМР (400 МГц, ДМСО-d6) δ 7.71 (d, J=7.1 Гц, 1H), 7.63 (d, J=10.0 Гц, 1Н), 4.81 (s, 1H), 4.23 (q, J=7.0 Гц, 2Н), 1.65 (s, 8Н), 1.43 (t, J=6.9 Гц, 3H).

Альтернативный синтез сложного трет-бутилового эфира 3-этинил-5-фтор-6-(2-метоксиэтокси)-индазол-1-карбоновой кислоты:

К раствору сложного трет-бутилового эфира 5-фтор-6-(2-метоксиэтокси)-3-триметилсиланилэтинилиндазол-1-карбоновой кислоты (488 мг, 1.20 ммоль) в этаноле (12 мл) добавляют фторид калия (3.5 мг, 0.06 ммоль), и реакционную смесь перемешивают в течение 3 часов при комнатной температуре. Реакционную смесь охлаждают на бане со льдом. Твердые вещества отфильтровывают, промывают охлажденным льдом этанолом и сушат в вакууме с получением сложного трет-бутилового эфира 3-этинил-5-фтор-6-(2-метоксиэтокси)-индазол-1-карбоновой кислоты в виде не совсем белого твердого вещества; ВЭЖХ/МС 2.54 мин (A), [M-tBu]+ 279.

Карбоновые кислоты

Синтез сложного метилового эфира 4-[5-(6-трифторметил-1Н-индазол-3-ил)-изоксазол-3-ил]-бензойной кислоты

Суспензию 3-этинил-6-трифторметил-1Н-индазола (166 мг, 0.79 ммоль) и метил 4-[(Z)-С-хлор-N-гидрокси-карбонимидоил]бензоата (187 мг, 0.88 ммоль) в смеси трет-бутанола (1.2 мл) и ТГФ (0.4 мл) продувают азотом. В атмосфере азота добавляют йодид меди(I) (13 мг, 0.068 ммоль) и суспензию перемешивают в течение 5 минут при комнатной температуре. Затем добавляют гидрокарбонат калия (80 мг, 0.80 ммоль), и реакционную смесь перемешивают в течение 3 дней при комнатной температуре. Реакционную смесь обрабатывают водой. Полученное в результате твердое вещество отфильтровывают, промывают водой и сушат на воздухе. Остаток растирают с этилацетатом и сушат в вакууме с получением сложного метилового эфира 4-[5-(6-трифторметил-1H-индазол-3-ил)-изоксазол-3-ил]-бензойной кислоты в виде не совсем белого твердого вещества; СВЭЖХ/МС 0.93 мин, [М+Н]+ 388.

1H ЯМР (400 МГц, ДМСО-d6) δ 14.30 (s, 1H), 8.48 (d, J=8.6 Гц, 1Н), 8.22 (d, J=8.1 Гц, 2Н), 8.15 (d, J=8.0 Гц, 2Н), 8.10 (d, J=1.9 Гц, 1Н), 7.89 (s, 1H), 7.65 (d, J=8.5 Гц, 1Н), 3.92 (s, 3H).

К раствору сложного метилового эфира 4-[5-(6-трифторметил-1Н-индазол-3-ил)-изоксазол-3-ил]-бензойной кислоты (124 мг, 0.32 ммоль) в метаноле добавляют 2 М водный раствор гидроксида натрия (1.3 мл), и реакционную смесь перемешивают в течение 1 часа при 80°С и в течение 16 часов при комнатной температуре. Полученную в результате суспензию подкисляют конц. хлористоводородной кислотой. Полученное в результате твердое вещество отфильтровывают, промывают водой и сушат в вакууме с получением 4-[5-(6-трифторметил-1Н-индазол-3-ил)-изоксазол-3-ил]-бензойной кислоты в виде не совсем белого твердого вещества; СВЭЖХ/МС 0.82 мин, [М+Н]+ 374.

1H ЯМР (500 МГц, ДМСО-d6) δ 14.48 (s, 1H), 13.20 (s, 1H), 8.48 (d, J=8.7 Гц, 1H), 8.19 (d, J=8.5 Гц, 2Н), 8.15-8.08 (m, 3H), 7.88 (s, 1H), 7.65 (dd, J=8.7, 1.5 Гц, 1Н).

Следующие соединения получают аналогичным образом:

4-{5-[6-(2-метоксиэтокси)-1Н-индазол-3-ил]-изоксазол-3-ил}-бензойная кислота, коричневое твердое вещество; ВЭЖХ/МС 1.52 мин (А), [М+Н]+380.

4-[5-(б-бром-1H-индазол-3-ил)-изоксазол-3-ил]-бензойная кислота, коричневое твердое вещество; СВЭЖХ/МС 0.82 мин, [М+Н]+384/386.

1H ЯМР (500 МГц, ДМСО-d6) δ 13.99 (s, 1H), 13.1 (s, 1Н), 8.20 (d, J=8.7 Гц, 1Н), 8.17 (d, J=8.4 Гц, 2Н), 8.11 (d, J=8.3 Гц, 2Н), 7.95 (d, J=1.5 Гц, 1H), 7.81 (s, 1Н), 7.50 (dd, J=8.7, 1.6 Гц, 1Н).

4-{5-[5-циано-6-(2-метоксиэтокси)-1Н-индазол-3-ил]-изоксазол-3-ил}-бензойная кислота, не совсем белое твердое вещество; ВЭЖХ/МС 2.04 мин (А), [М+Н]+405.

4-{5-[5-хлор-6-(2-метоксиэтокси)-1Н-индазол-3-ил]-1,2-оксазол-3-ил}бензойная кислота, коричневое твердое вещество; ВЭЖХ/МС 1.05 мин, [М+Н]+414.

4-[5-(5-фтор-6-метокси-1Н-индазол-3-ил)-изоксазол-3-ил]-бензойная кислота, коричневое твердое вещество; СВЭЖХ/МС 0.75 мин, [М+Н]+354.

6-{5-[5-фтор-6-(2-метоксиэтокси)-1Н-индазол-3-ил]-изоксазол-3-ил}-никотиновая кислота, коричневое твердое вещество; ВЭЖХ/МС 2.52 мин (А), [М+Н]+399.

2-{5-[5-фтор-6-(2-метоксиэтокси)-1Н-индазол-3-ил]-изоксазол-3-ил}-тиазол-5-карбоновая кислота, коричневое твердое вещество; ВЭЖХ/МС 2.57 мин (А), [М+Н]+405.

2-{5-[5-фтор-6-(2-метоксиэтокси)-1Н-индазол-3-ил]-изоксазол-3-ил}-тиазол-4-карбоновая кислота, коричневое твердое вещество; ВЭЖХ/МС 2.56 мин (А), [М+Н]+405.

Синтез 4-{5-[5-фтор-6-(2-метоксиэтокси)-1Н-индазол-3-ил]-изоксазол-3-ил}-бензойной кислоты

К раствору сложного трет-бутилового эфира 3-этинил-5-фтор-6-(2-метоксиэтокси)-индазол-1-карбоновой кислоты (205 г, 614 ммоль) и сложного метилового эфира 4-(гидроксииминометил)-бензойной кислоты в дихлорметане (2.6 л) по каплям добавляют водный раствор гипохлорита натрия (содержание прибл.12%, 944 мл, прибл. 1.84 моль). Во время добавления температуру смеси поддерживают в диапазоне между 22°С и 26°С с помощью внешнего охлаждения. Реакционную смесь перемешивают в течение 18 часов при комнатной температуре. Реакционную смесь фильтруют. Осадок на фильтре промывают водой (1 л) и два раза ацетонитрилом (300 мл) и сушат в вакууме с получением сложного трет-бутилового эфира 5-фтор-3-[3-(4-метоксикарбонилфенил)-изоксазол-5-ил]-6-(2-метоксиэтокси)-индазол-1-карбоновой кислоты в виде бледно-желтых кристаллов; ВЭЖХ/МС 2.16 мин (А), [M-tBu]+456.

1H ЯМР (500 МГц, ДМСО-d6) δ 8.26-8.20 (m, 3H), 8.15 (d, J=8.4 Гц, 2Н), 8.12 (s, 1Н), 7.84 (d, J=7.2 Гц, 1H), 4.38-4.34 (m, 2Н), 3.92 (s, 3H), 3.82-3.76 (m, 2Н), 3.30 (s, 9Н).

К суспензии сложного трет-бутилового эфира 5-фтор-3-[3-(4-метоксикарбонилфенил)-изоксазол-5-ил]-6-(2-метоксиэтокси)-индазол-1-карбоновой кислоты (339 г, 662 ммоль) в ТГФ (3.36 л) через капельную воронку медленно добавляют 2 М водный раствор гидроксида натрия (1.33 л, 2.65 моль), и реакционную смесь перемешивают в течение 5 часов при 60°С. Реакционную смесь охлаждают до комнатной температуры и органический растворитель упаривают в вакууме. Полученную в результате суспензию разбавляют водой со льдом (3 л). С помощью 2.5 н. водного раствора хлористоводородной кислоты значение рН суспензии снижают с рНП до рН2 при непрерывном перемешивании. Твердые вещества отфильтровывают и промывают водой (3 раза по 600 мл) и трет-бутилметиловым эфиром (300 мл). Твердое вещество сушат несколько дней при пониженном давлении при 45°С с получением 4-{5-[5-фтор-6-(2-метоксиэтокси)-1Н-индазол-3-ил]-изоксазол-3-ил}-бензойной кислоты, не совсем белое твердое вещество; ВЭЖХ/МС 1.55 мин (А), [М+Н]+398.

1H ЯМР (400 МГц, ДМСО-d6) δ 13.72 (s, 1H), 13.20 (s, 1Н), 8.18 (d, J=8.5 Гц, 2Н), 8.11 (d, J=8.5 Гц, 2Н), 8.06-8.00 (m, 2Н), 7.80 (s, 1Н), 7.29 (d, J=7.1 Гц, 1H), 4.34-4.26 (m, 2Н), 3.84-3.72 (m, 2Н), 3.36 (s, 3H).

Следующее соединение получают аналогичным образом

5-{5-[5-фтор-6-(2-метоксиэтокси)-1Н-индазол-3-ил]-1,2-оксазол-3-ил}пиридин-2-карбоновая кислота, желтое твердое вещество; ВЭЖХ/МС 2.51 мин (А), [М+Н]+399.

Синтез 4-{5-[5-фтор-6-(2-гидроксиэтокси)-1Н-индазол-3-ил]-1,2-оксазол-3-ил}бензойной кислоты

К раствору 4-{5-[5-фтор-6-(2-метоксиэтокси)-1Н-индазол-3-ил]-изоксазол-3-ил}-бензойной кислоты (234 мг, 0.59 ммоль) в дихлорметане (8 мл) по каплям добавляют 1 М раствор трибромида бора (1.2 мл). Реакционную смесь перемешивают в течение 16 часов при комнатной температуре. Твердые вещества отфильтровывают и промывают дихлорметаном и водой. Остаток сушат в высоком вакууме с получением 4-{5-[5-фтор-6-(2-гидроксиэтокси)-1Н-индазол-3-ил]-1,2-оксазол-3-ил}бензойной кислоты в виде не совсем белого твердого вещества; СВЭЖХ/МС 0.63 мин, [М+Н]+384.

1H ЯМР (400 МГц, ДМСО-d6) δ 13.71 (s, 1H), 8.17 (d, J=8.5 Гц, 1Н), 8.11 (d, J=8.5 Гц, 2Н), 8.02 (d, J=11.0 Гц, 1H), 7.79 (s, 1H), 7.28 (d, J=7.1 Гц, 1H), 4.19 (t, J=4.9 Гц, 1H), 3.82 (t, J=4.8 Гц, 1Н).

Пример 1

2-[1-(4-{5-[6-(трифторметил)-1Н-индазол-3-ил]-1,2-оксазол-3-ил}бензоил)пирролидин-2-ил]пропан-2-ол ("А1")

К суспензии 4-[5-(6-трифторметил-1Н-индазол-3-ил)-изоксазол-3-ил]-бензойной кислоты (52 мг, 0.14 ммоль), 2-(пирролидин-2-ил)-пропан-2-ола (23 мг, 0.18 ммоль), гидрохлорида N-(3-диметиламинопропил)-N'-этилкарбодиимида (41 мг, 0.21 ммоль) и гидрата 1-гидроксибензотриазола (25 мг, 153 ммоль) в ДМФА (1.4 мл) добавляют 4-метилморфолин (63 мкл, 0.57 ммоль). Реакционную смесь нагревают до 80°С и перемешивают при этой температуре в течение 16 часов. Реакционной смеси дают достичь комнатной температуры и добавляют насыщенный раствор гидрокарбоната натрия. Твердое вещество отфильтровывают, промывают водой и сушат. Остаток хроматографируют на колонке с силикагелем с помощью смеси циклогексан/этилацетат в качестве элюента с получением 2-[1-(4-{5-[6-(трифторметил)-1Н-индазол-3-ил]-1,2-оксазол-3-ил}бензоил)пирролидин-2-ил]пропан-2-ола в виде не совсем белого порошка; СВЭЖХ/МС 0.87 мин, [М+Н]+485.

1H ЯМР (500 МГц, ДМСО-d6) δ 14.28 (s, 1Н), 8.47 (d, J=8.6 Гц, 1Н), 8.12 (d, J=8.1 Гц, 2Н), 8.10 (s, 1Н), 7.84 (s, 1H), 7.74 (d, J=8.0 Гц, 2Н), 7.64 (dd, J=8.7, 1.6 Гц, 1Н), 4.88 (s, 1H), 4.31 (t, J=7.2 Гц, 1H), 3.62-3.47 (m, 1H), 3.44-3.33 (m, 1H), 1.98-1.82 (m, 3H), 1.68-1.55 (m, 1H), 1.17 (s, 3H), 1.14 (s, 3H).

Следующие соединения получают аналогичным образом: 2-[(2R)-1-(4-{5-[6-(2-метоксиэтокси)-1Н-индазол-3-ил]-1,2-оксазол-3-ил}бензоил)пирролидин-2-ил]пропан-2-ол ("А2")

не совсем белое твердое вещество; ВЭЖХ/МС 1.60 мин (А), [М+Н]+491.

1H ЯМР (500 МГц, ДМСО-d6) δ 13.57 (s, 1H), 8.10 (d, J=8.2 Гц, 2Н), 8.08 (d, J=8.9 Гц, 1H), 7.73 (d, J=8.0 Гц, 2Н), 7.70 (s, 1H), 7.06 (d, J=2.1 Гц, 1Н), 6.99 (dd, J=8.9, 2.1 Гц, 1H), 4.88 (s, 1Н), 4.31 (t, J=7.2 Гц, 1Н), 4.24-4.19 (m, 2Н), 3.76-3.70 (m, 2Н), 3.56-3.48 (m, 1Н), 3.41-3.33 (m, 4Н), 2.00-1.81 (m, 3H), 1.68-1.54 (m, 1Н), 1.17 (s, 3H), 1.14 (s, 3H).

3-(3-{4-[(28)-2,4-диметилпиперазин-1-карбонил]фенил}-1,2-оксазол-5-ил)-5-фтор-6-(2-метоксиэтокси)-1Н-индазол ("A3")

не совсем белое твердое вещество; ВЭЖХ/МС 1.27 мин (А), [М+Н]+494.

1H ЯМР (400 МГц, ДМСО-d6) δ 13.71 (s, 1Н), 8.11 (d, J=8.3 Гц, 2Н), 8.03 (d, J=11.0 Гц, 1H), 7.76 (s, 1Н), 7.55 (d, J=8.3 Гц, 2Н), 7.29 (d, J=7.1 Гц, 1Н), 4.34-4.26 (m, 2Н), 3.81-3.74 (m, 2Н), 3.36 (s, 3H), 3.20 (широкий, 1H), 2.75 (широкий, 1H), 2.69-2.59 (m, 1Н), 2.18 (s, 3H), 2.10-2.03 (m, 1H), 1.93-1.83 (m, 1H), 1.29 (d, J=6.8 Гц, 3H).

{4-[5-(6-бром-1Н-индазол-3-ил)-изоксазол-3-ил]-фенил}-[(R)-2-(1-гидрокси-1-метилэтил)-пирролидин-1-ил]-метанон ("A3a")

не совсем белое твердое вещество; СВЭЖХ/МС 0.86 мин, [М+Н]+495/497.

{4-[5-(6-бром-1Н-индазол-3-ил)-изоксазол-3-ил]-фенил}-[(8)-2-(1-гидрокси-1-метилэтил)-пирролидин-1-ил]-метанон ("А4")

СВЭЖХ/МС 0.86 мин, [М+Н]+495/497.

1Я ЯМР (400 МГц, ДМСО-d6) δ 13.96 (s, 1Н), 8.20 (d, J=8.6 Гц, 1Н), 8.12 (d, J=8.0 Гц, 2Н), 7.95 (d, J=1.5 Гц, 1H), 7.79 (s, 1H), 7.74 (d, J=7.9 Гц, 2Н), 7.50 (dd, J=8.7, 1.7 Гц, 1H), 4.89 (s, 1Н), 4.32 (t, J=7.1 Гц, 1Н), 3.53 (q, J=9.1, 8.4 Гц, 1H), 3.38 (t, J=9.0 Гц, 1Н), 2.04-1.78 (m, 3H), 1.69-1.55 (, 1H), 1.18 (s, 3H), 1.14 (s, 3H).

2-[(28)-1-(4-{5-[5-фтор-6-(2-метоксиэтокси)-1Н-индазол-3-ил]-1,2-оксазол-3-ил}бензоил)пирролидин-2-ил]пропан-2-ол ("А5")

белое твердое вещество; ВЭЖХ/МС 1.27 мин (А), [М+Н]+509.

1H ЯМР (500 МГц, ДМСО-d6) δ 13.70 (s, 1Н), 8.11 (d, J=8.0 Гц, 2Н), 8.03 (d, J=10.9 Гц, 1H), 7.77 (s, 1Н), 7.73 (d, J=7.9 Гц, 2Н), 7.28 (d, J=7.0 Гц, 1Н), 4.88 (s, 1Н), 4.36-4.23 (m, 3H), 3.79-3.73 (m, 2Н), 3.58-3.47 (m, 1H), 3.41-3.34 (m, 4Н), 2.00-1.80 (m, 3H), 1.67-1.55 (m, 1H), 1.17 (s, 3H), 1.14 (s, 3H).

{4-[5-(6-бром-1Н-индазол-3-ил)-изоксазол-3-ил]-фенил}-((S)-2,4-диметилпиперазин-1-ил)-метанон ("А5а")

не совсем белое твердое вещество; СВЭЖХ/МС 0.54 мин, [М+Н]+480/482.

1H ЯМР (400 МГц, ДМСО-d6) δ 13.96 (s, 1Н), 8.20 (d, J=8.7 Гц, 1Н), 8.11 (d, J=8.3 Гц, 2Н), 7.95 (d, J=1.5 Гц, 1H), 7.78 (s, 1H), 7.55 (d, J=8.2 Гц, 2Н), 7.50 (dd, J=8.6, 1.6 Гц, 1H), 2.80-2.71 (m, 1H), 2.64 (d, J=10.7 Гц, 1H), 2.18 (s, 3H), 2.06 (dd, J=11.3, 3.8 Гц, 1Н), 1.91-1.83 (m, 1H), 1.29 (d, J=6.8 Гц, 3H).

4-{5-[5-циано-6-(2-метоксиэтокси)-1Н-индазол-3-ил]-1,2-оксазол-3-ил}-N,N-диметилбензамид ("А6")

не совсем белый порошок; ВЭЖХ/МС 2.01 мин (А), [М+Н]+432.

1H ЯМР (700 МГц, ДМСО-d6) δ 13.99 (s, 1Н), 8.76 (s, 1H), 8.10 (d, J=8.4 Гц, 2H), 7.95 (s, 1H), 7.60 (d, J=8.2 Гц, 2H), 7.29 (s, 1H), 4.43-4.32 (m, 2H), 3.95-3.73 (m, 2H), 3.38 (s, 3H), 3.02 (s, 3H), 2.96 (s, 3H).

5-фтор-3-(3-{4-[(28)-2-(метансульфонилметил)пирролидин-1-карбонил]фенил}-1,2-оксазол-5-ил)-6-(2-метоксиэтокси)-1Н-индазол ("A7")

белый порошок; ВЭЖХ/МС 1.55 мин (А), [М+Н]+543.

1H ЯМР (400 МГц, ДМСО-d6) δ 13.70 (s, 1H), 8.11 (d, J=8.3 Гц, 2Н), 8.03 (d, J=11.0 Гц, 1H), 7.76 (s, 1Н), 7.69 (d, J=8.3 Гц, 2Н), 7.28 (d, J=7.1 Гц, 1Н), 4.56 (широкий, 1H), 4.34-4.25 (m, 2Н), 3.81-3.67 (m, 3H), 3.52 (q, J=7.9, 7.3 Гц, 1Н), 3.42-3.29 (m, 6Н), 3.10 (s, 3H), 2.24-2.14 (m, 1H), 2.10-1.90 (m, 2Н), 1.85-1,75 (m, 1H).

3-(3-{4-[(28)-2,4-диметилпиперазин-1-карбонил]фенил}-1,2-оксазол-5-ил)-6-(трифторметил)-1Н-индазол ("А50")

[(2S)-1-(4-{5-[5-фтор-6-(2-метоксиэтокси)-1Н-индазол-3-ил]-1,2-оксазол-3-ил}бензоил)пирролидин-2-ил]метанол ("А51")

не совсем белое твердое вещество; СВЭЖХ/МС 0.70 мин, [М+Н] 481.

1H ЯМР (400 МГц, ДМСО-d6, поворотные изомеры) δ 13.72 (s, 1Н), 8.09 (d, J=8.1 Гц, 2Н), 8.03 (d, J=11.0 Гц, 1H), 7.76 (s, 1H), 7.68 (d, J=7.9 Гц, 2Н), 7.28 (d, J=7.1 Гц, 1Н), 4.80 (широкий, 1Н), 4.34-4.22 (m, 2Н), 4.18 (широкий, 1Н), 3.80-3.69 (m, 2Н), 3.69-3.41 (m, 4Н), 3.36 (s, 3H), 2.03-1.66 (m; 6Н).

[(2R)-1-(4-{5-[5-фтор-6-(2-метоксиэтокси)-1Н-индазол-3-ил]-1,2-оксазол-3-ил}бензоил)пирролидин-2-ил]метанол ("А52")

не совсем белое твердое вещество; СВЭЖХ/МС 0.70 мин, [М+Н]+481.

1H ЯМР (400 МГц, ДМСО-d6, поворотные изомеры) δ 13.72 (s, 1H), 8.09 (d, J=8.1 Гц, 2Н), 8.03 (d, J=11.0 Гц, 1H), 7.76 (s, 1H), 7.68 (d, J=7.9 Гц, 2Н), 7.28 (d, J=7.1 Гц, 1Н), 4.80 (широкий, 1Н), 4.34 4.22 (m, 2Н), 4.18 (широкий, 1Н), 3.80-3.69 (m, 2Н), 3.69-3.41 (m, 4Н), 3.36 (s, 3H), 2.03-1.66 (т; 6Н).

5-фтор-6-(2-метоксиэтокси)-3-(3-{4-[3-(морфолин-4-ил)азетидин-1-карбонил]фенил}-1,2-оксазол-5-ил)-1Н-индазол ("А53")

белые кристаллы; ВЭЖХ/МС 1.33 мин (А), [М+Н]+522.

1H ЯМР (500 МГц, ДМСО-d6) δ 13.71 (s, 1Н), 8.10 (d, J=8.4 Гц, 1Н), 8.02 (d, J=11.0 Гц, 1H), 7.83-7.79 (m, 2Н), 7.76 (s, 1Н), 7.28 (d, J=7.1 Гц, 1Н), 4.36 (t, J=8.1 Гц, 1H), 4.32-4.28 (m, 2Н), 4.19 (dd, J=9.2, 4.9 Гц, 1H), 4.14-4.06 (m, 1Н), 3.92 (dd, J=10.9, 4.4 Гц, 1Н), 3.84-3.73 (m, 2Н), 3.60 (t, J=4.7 Гц, 4Н), 3.36 (s, 3H), 3.18 (tt, J=7.2, 5.0 Гц, 1Н), 2.34 (широкий, 4Н).

[1-(4-{5-[5-фтор-6-(2-метоксиэтокси)-1Н-индазол-3-ил]-1,2-оксазол-3-ил}бензоил)-4-метилпиперазин-2-ил]метанол ("А54")

бледно-коричневое твердое вещество; ВЭЖХ/МС 1.22 мин (А), [М+Н]+510.

1Н ЯМР (500 МГц, ДМСО-d6, поворотные изомеры, выборка сигналов) δ 13.72 (s, 1Н), 8.08 (d, J=7.9 Гц, 2Н), 8.03 (d, J=11.0 Гц, 1Н), 7.76 (s, 1H), 7.57 (d, J=7.9 Гц, 2Н), 7.28 (d, J=7.0 Гц, 1H), 4.83 (s, 1Н), 4.31-4.28 (m, 2Н), 3.96-3.56 (m, 5Н), 3.35 (s, 3H), 2.16 (s, 3H).

5-фтор-3-(3-{4-[(211)-2-(метансульфонилметил)пирролидин-1-карбонил]фенил}-1,2-оксазол-5-ил)-6-(2-метоксиэтокси)-1Н-индазол ("А55")

белое твердое вещество; СВЭЖХ/МС 0.73 мин, [М+Н]+543.

1H ЯМР (500 МГц, ДМСО-d6) δ 13.73 (s, 1Н), 8.12 (d, J=8.4 Гц, 2Н), 8.04 (d, J=10.9 Гц, 1H), 7.79 (s, 1Н), 7.70 (d, J=8.3 Гц, 2Н), 7.29 (d, J=7.1 Гц, 1Н), 4.62-4.51 (m, 1H), 4.35-4.24 (m, 2Н), 3.83-3.71 (гл, 3H), 3.53 (dt, J=10.1, 7.0 Гц, 1Н), 3.42-3.29 (m, 5Н), 3.11 (s, 3H), 2.20 (dq, J=13.9, 7.1 Гц, 1Н), 2.05 (dq, J=12.5, 6.4 Гц, 1Н), 1.96 (dp, J=13.1, 6.6 Гц, 1Н), 1.86 1.75 (m, 1Н).

1-(4-{5-[5-фтор-6-(2-метоксиэтокси)-1Н-индазол-3-ил]-1,2-оксазол-3-ил}бензоил)-3-метилазетидин-3-амин ("А56")

трифторацетат; белое твердое вещество; ВЭЖХ/МС 2.24 мин (А), [М+Н]+ 465.

1H ЯМР (500 МГц, ДМСО-d6) δ 13.74 (s, 1Н), 8.28 (s, 3Н), 8.15 (d, J=8.3 Гц, 2Н), 8.03 (d, J=10.9 Гц, 1Н), 7.82 (d, J=8.3 Гц, 2Н), 7.80 (s, 1Н), 7.29 (d, J=7.1 Гц, 1Н), 4.43 (d, J=9.5 Гц, 1Н), 4.36-4.26 (m, 3Н), 4.17 (d, J=10.8 Гц, 1Н), 4.02 (d, J=10.8 Гц, 1Н), 3.81-3.73 (m, 2Н), 3.35 (s, 3Н), 1.58 (s, 3Н).

4-[1-(4-{5-[5-фтор-6-(2-метоксиэтокси)-1Н-индазол-3-ил]-1,2-оксазол-3-ил}бензоил)азетидин-3-ил]-1лямбда6-тиоморфолин-1,1-дион ("А57")

белый порошок; СВЭЖХ/МС 0.68 мин, [М+Н]+ 570.

1H ЯМР (500 МГц, ДМСО-d6) δ 13.73 (s, 1Н), 8.11 (d, J=8.4 Гц, 1Н), 8.03 (d, J=11.0 Гц, 1Н), 7.81 (d, J=8.4 Гц, 2Н), 7.78 (s, 1Н), 7.28 (d, J=7.1 Гц, 1Н), 4.40 (t, J=8.1 Гц, 1Н), 4.32-4.25 (m, 2Н), 4.20 (dd, J=9.2, 5.0 Гц, 1Н), 4.13 (dd, J=10.3, 7.3 Гц, 1Н), 3.92 (dd, J=10.5, 5.0 Гц, 1Н), 3.81-3.74 (m, 2Н), 3.48 (tt, J=7.2, 5.0 Гц, 1Н), 3.35 (s, 3Н), 3.13 (t, J=5.2 Гц, 4Н), 2.88-2.76 (m, 4Н).

2-[(2R)-1-(4-{5-[5-фтор-6-(2-метоксиэтокси)-1Н-индазол-3-ил]-1,2-оксазол-3-ил}бензоил)азетидин-2-ил]пропан-2-ол ("А58")

белое твердое вещество; ВЭЖХ/МС 1.59 мин (А), [М+Н]+ 495.

1Н ЯМР (500 МГц, ДМСО-d6) δ 13.74 (s, 1Н), 8.12 (d, J=8.3 Гц, 2Н), 8.03 (d, J=10.9 Гц, 1Н), 7.82 (d, J=8.2 Гц, 2Н), 7.79 (s, 1Н), 7.28 (d, J=7.0 Гц, 1Н), 5.02 (s, 1Н), 4.40 (dd, J=9.2, 5.6 Гц, 1Н), 4.35-4.22 (m, 3Н), 3.99 (td, J=8.9, 5.5 Гц, 1Н), 3.83-3.71 (m, 2Н), 3.36 (s, 3Н), 2.30 (qd, J=9.8, 6.3 Гц, 1Н), 2.13 (ddt, J=11.1, 9.0, 5.6 Гц, 1Н), 1.16 (s, 3Н), 1.15 (s, 3Н).

2-[(2S)-1-(4-{5-[5-фтор-6-(2-метоксиэтокси)-1Н-индазол-3-ил]-1,2-оксазол-3-ил}бензоил)азетидин-2-ил]пропан-2-ол ("А59")

бледно-желтый порошок; СВЭЖХ/МС 0.76 мин, [М+Н]+ 495.

1H ЯМР (500 МГц, ДМСО-d6) δ 13.74 (s, 1Н), 8.12 (d, J=8.3 Гц, 2Н), 8.03 (d, J=10.9 Гц, 1Н), 7.82 (d, J=8.2 Гц, 2Н), 7.79 (s, 1Н), 7.28 (d, J=7.0 Гц, 1Н), 5.02 (s, 1Н), 4.40 (dd, J=9.2, 5.6 Гц, 1Н), 4.35-4.22 (m, 3Н), 3.99 (td, J=8.9, 5.5 Гц, 1Н), 3.83-3.71 (m, 2Н), 3.36 (s, 3Н), 2.30 (qd, J=9.8, 6.3 Гц, 1Н), 2.13 (ddt, J=11.1, 9.0, 5.6 Гц, 1Н), 1.16 (s, 3Н), 1.15 (s, 3Н).

7-(4-{5-[5-фтор-6-(2-метоксиэтокси)-1Н-индазол-3-ил]-1,2-оксазол-3-ил}бензоил)-2-окса-7-азаспиро[3.5]нонан ("А60")

не совсем белое твердое вещество; СВЭЖХ/МС 0.72 мин, [М+Н]+ 507.

1H ЯМР (400 МГц, ДМСО-d6) δ 13.71 (s, 1Н), 8.10 (d, J=8.3 Гц, 2Н), 8.03 (d, J=11.0 Гц, 1Н), 7.76 (s, 1Н), 7.56 (d, J=8.2 Гц, 2Н), 7.29 (d, J=7.1 Гц, 1Н), 4.36 (s, 4Н), 4.33-4.28 (m, 2Н), 3.80-3.72 (m, 2Н), 3.55 (bs, 2Н), 3.37 (s, 3Н), 3.30 (bs, 2Н), 1.84 (bs, 4Н).

5-фтор-6-метокси-3-(3-{4-[3-(морфолин-4-ил)азетидин-1-карбонил]фенил}-1,2-оксазол-5-ил)-1Н-индазол ("А61")

(5-{5-[5-фтор-6-(2-метоксиэтокси)-1Н-индазол-3-ил]-изоксазол-3-ил}-пиридин-2-ил)-((R)-2-гидроксиметилпирролидин-1-ил)-метанон ("А62")

(5-{5-[5-фтор-6-(2-метоксиэтокси)-1Н-индазол-3-ил]-изоксазол-3-ил}-пиридин-2-ил)-((S)-2-гидроксиметилпирролидин-1-ил)-метанон ("А63")

(4-{5-[5-хлор-6-(2-метоксиэтокси)-1Н-индазол-3-ил]-изоксазол-3-ил}-фенил)-(3-морфолин-4-илазетидин-1-ил)-метанон ("А64")

белое твердое вещество; т. пл. 200-201°С, [М+Н]+ 538.

1Н ЯМР (400 МГц, ДМСО-d6) δ 13.78 (s, 1Н), 8.32 (s, 1Н), 8.16-8.09 (m, 2Н), 7.88-7.79 (m, 3Н), 7.26 (s, 1Н), 4.41-4.34 (m, 1Н), 4.33-4.27 (m, 2Н), 4.24-4.16 (m, 1Н), 4.15-4.05 (m, 1Н), 3.96-3.88 (m, 1Н), 3.82-3.70 (m, 2Н), 3.66-3.52 (m, 4Н), 3.38 (s, 3Н), 3.23-3.13 (m, 1Н), 2.43-2.25 (m, 4Н).

(4-{5-[5-хлор-6-(2-метоксиэтокси)-1Н-индазол-3-ил]-изоксазол-3-ил}-фенил)-[3-(4-метилпиперазин-1-ил)-азетидин-1-ил]-метанон ("А65")

(4-{5-[5-хлор-6-(2-метоксиэтокси)-1Н-индазол-3-ил]-изоксазол-3-ил}-фенил)-((S)-3-гидроксиметилморфолин-4-ил)-метанон ("А66")

белое твердое вещество; т. пл. 115-116°С, [М+Н]+ 513.

1H ЯМР (400 МГц, ДМСО-d6+D2O) δ 8.39-8.28 (m, 1Н), 8.16-8.01 (m, 2Н), 7.95-7.78 (m, 1Н), 7.66-7.55 (m, 2H), 7.28 (s, 1H), 4.35-4.25 (m, 2H), 4.22-3.86 (m, 2H), 3.86-3.79 (m, 2H), 3.76-3.45 (m, 6H), 3.39-3.32 (m, 3H), 3.31-2.72 (m, 1H).

(4-{5-[5-хлор-6-(2-метоксиэтокси)-1Н-индазол-3-ил]-изоксазол-3-ил}-фенил)-((R)-3-гидроксиметилморфолин-4-ил)-метанон ("A67")

(5-{5-[5-фтор-6-(2-метоксиэтокси)-1Н-индазол-3-ил]-изоксазол-3-ил}-пиридин-2-ил)-(4-оксетан-3-илпиперазин-1-ил)-метанон ("А68")

(5-{5-[5-фтор-6-(2-метоксиэтокси)-1Н-индазол-3-ил]-изоксазол-3-ил}-пиридин-2-ил)-(3-морфолин-4-илазетидин-1-ил)-метанон ("А69")

(4-{5-[5-фтор-6-(2-метоксиэтокси)-1Н-индазол-3-ил]-изоксазол-3-ил}-2-метилфенил)-(цис)-тетрагидрофуро[3,4-с]пиррол-5-илметанон ("А70")

(2-фтор-4-{5-[5-фтор-6-(2-метоксиэтокси)-1Н-индазол-3-ил]-изоксазол-3-ил}-фенил)-(цис)-тетрагидрофуро[3,4-с]пиррол-5-илметанон ("А71")

3-{5-[5-фтор-6-(2-метоксиэтокси)-1Н-индазол-3-ил]-изоксазол-3-ил}-N,N-диметилбензамид ("А135")

белое твердое вещество; т. пл. 160-165°С, [М+Н]+ 424.

1H ЯМР (400 МГц, ДМСО-d6): δ 13.73 (s, 1Н), 8.14-8.05 (m, 3Н), 7.83 (s, 1Н), 7.64 (t, J=7.7 Гц, 1Н), 7.56 (dt, J=7.7, 1.4 Гц, 1Н), 7.28 (d, J=7.1 Гц, 1Н), 4.30 (dd, J=5.6, 3.3 Гц, 2Н), 3.79-3.72 (m, 2Н), 3.01 (d, J=31.0 Гц, 6Н).

Пример 2

2-[(2R)-1-(4-{5-[6-(1-метил-1Н-пиразол-4-ил)-1Н-индазол-3-ил]-1,2-оксазол-3-ил}бензоил)пирролидин-2-ил]пропан-2-ол ("А8")

В сосуд для микроволновой обработки загружают {4-[5-(6-бром-1Н-индазол-3-ил)-изоксазол-3-ил]-фенил}-[(R)-2-(1-гидрокси-1-метилэтил)-пирролидин-1-ил]-метанон (74 мг, 0.15 ммоль), сложный пинаколовый эфир 1-метил-1Н-пиразол-4-бороновой кислоты (47 мг, 0.23 ммоль), фторид цезия (69 мг, 0.45 ммоль), хлорид бис(трифенилфосфин)палладия(II) (11 мг, 0.016 ммоль), диоксан (800 мкл) и воду (400 мкл). Сосуд продувают азотом и нагревают до 120°С в микроволновом реакторе в течение 1 часа. К реакционной смеси добавляют воду. Твердое вещество отфильтровывают и промывают водой. Остаток хроматографируют на колонке с силикагелем с помощью смеси этилацетат/метанол с получением 2-[(2R)-1-(4-{5-[6-(1-метил-1H-пиразол-4-ил)-1Н-индазол-3-ил]-1,2-оксазол-3-ил}бензоил)пирролидин-2-ил]пропан-2-ола в виде белого порошка; СВЭЖХ/МС 0.75 мин, [М+Н]+ 497.

1H ЯМР (400 МГц, ДМСО-d6) δ 13.76 (s, 1Н), 8.31 (s, 1Н), 8.20 (dd, J=8.5, 0.8 Гц, 1Н), 8.13 (d, J=8.0 Гц, 2Н), 8.02 (d, J=0.8 Гц, 1Н), 7.78 (t, J=1.1 Гц, 1Н), 7.77-7.71 (m, 3Н), 7.59 (dd, J=8.5, 1.4 Гц, 1Н), 4.89 (s, 1Н), 4.32 (t, J=7.2 Гц, 1Н), 3.91 (s, 3Н), 3.54 (q, J=9.3, 8.7 Гц, 1Н), 3.39 (t, J=9.2 Гц, 1Н), 2.02-1.81 (m, 3Н), 1.69-1.57 (m, 1Н), 1.18 (s, 3Н), 1.15 (s, 3Н).

Следующее соединение получают аналогичным образом:

3-(3-{4-[(2S)-2,4-диметилпиперазин-1-карбонил]фенил}-1,2-оксазол-5-ил)-6-(1-метил-1Н-пиразол-4-ил)-1Н-индазол ("А9")

бледно-желтое твердое вещество; СВЭЖХ/МС 0.50 мин (А), [М+Н]+ 482.

1H ЯМР (500 МГц, ДМСО-d6) δ 13.76 (s, 1Н), 8.31 (s, 1Н), 8.19 (dd, J=8.5, 0.8 Гц, 1Н), 8.12 (d, J=8.2 Гц, 2Н), 8.02 (d, J=0.8 Гц, 1Н), 7.78 (s, 1Н), 7.73 (s, 1Н), 7.59 (dd, J=8.5, 1.4 Гц, 1Н), 7.55 (d, J=8.3 Гц, 2Н), 3.91 (s, 3Н), 3.30 (s, 3Н), 3.3-3.1 (широкий, 1Н), 2.81-2.71 (широкий, 1Н), 2.68-2.58 (m, 0Н), 2.18 (s, 1Н), 2.07 (dd, J=11.4, 4.0 Гц, 1Н), 1.97 1.81 (m, 1Н), 1.30 (d, J=6.8 Гц, 3Н).

Пример 3

5-хлор-3-(5-{4-[(2S)-2,4-диметилпиперазин-1-карбонил]фенил}-1,2-оксазол-3-ил)-6-(2-метоксиэтокси)-1Н-индазол ("А10")

коричневое твердое вещество; СВЭЖХ/МС 0.91 мин, [М+Н]+ 510.

1H ЯМР (500 МГц, ДМСО-d6) δ 13.62 (s, 1Н), 8.17 (s, 1H), 8.08 (d, J=8.3 Гц, 1H), 7.63 (s, 1H), 7.55 (d, J=8.3 Гц, 2H), 7.25 (s, 1H), 4.32-4.26 (m, 2H), 3.81-3.74 (m, 2H), 3.38 (s, 3H), 3.40-3.10 (m, 3H), 2.75 (широкий, 1H), 2.64 (широкий, 1H), 2.18 (s, 3H), 2.06 (d, J=11.4 Гц, 1H), 1.92-1.82 (m, 1H), 1.28 (d, J=6.8 Гц, 3Н).

Следующее соединение получают аналогичным образом:

3-(5-{4-[(2S)-2,4-диметилпиперазин-1-карбонил]фенил}-1,2-оксазол-3-ил)-6-(2-метоксиэтокси)-1Н-индазол-5-карбонитрил ("АН")

коричневое твердое вещество; ВЭЖХ/МС 2.21 мин (А), [М+Н]+ 501.

1Н ЯМР (500 МГц, ДМСО-d6) δ 13.90 (s, 1Н), 8.52 (s, 1Н), 8.09 (d, J=8.1 Гц, 2Н), 7.70 (s, 1Н), 7.57 (d, J=7.9 Гц, 2Н), 7.30 (s, 1Н), 4.49-4.22 (m, 2Н), 3.99-3.57 (m, 2Н), 3.39 (s, 3Н), 3.32-3.10 (широкий, 3Н), 2.80-2.70 (широкий, 1Н), 2.68-2.56 (широкий, 1Н), 2.18 (s, 3Н), 2.06 (d, J=11.1 Гц, 1Н), 1.92-1.82 (m, 1Н), 1.29 (d, J=6.8 Гц, 3Н).

Пример 4

4-{5-[5-хлор-6-(2-метоксиэтокси)-1Н-индазол-3-ил]-1,2-оксазол-3-ил}-N,N-диметилбензамид ("А12")

К перемешиваемому раствору 5-хлор-3-этинил-6-(2-метоксиэтокси)-1Н-индазола (97.8 мг, 0.39 ммоль) и 4-(гидроксииминометил)-N,N-диметилбензамида (50.0 мг, 0.26 ммоль) в смеси метанола (4 мл) и воды (800 мкл) четырьмя порциями каждые два часа добавляют бис(трифторацетокси)-йодбензол (224 мг, 0.52 ммоль), и реакционную смесь перемешивают в течение 16 часов при комнатной температуре. Реакционную смесь фильтруют. Остаток промывают метанолом и сушат в вакууме с получением 4-{5-[5-хлор-6-(2-метоксиэтокси)-1Н-индазол-3-ил]-изоксазол-3-ил}-N,N-диметилбензамида в виде коричневого твердого вещества; ВЭЖХ/МС 2.61 мин (А), [М+Н]+ 441.

1H ЯМР (500 МГц, ДМСО-d6) δ 13.73 (s, 1Н), 8.30 (s, 1Н), 8.10 (d, J=8.3 Гц, 2Н), 7.81 (s, 1Н), 7.59 (d, J=8.3 Гц, 2Н), 7.26 (s, 1Н), 4.37-4.26 (m, 2Н), 3.83-3.73 (m, 2Н), 3.38 (s, 3Н), 3.02 (s, 3Н), 2.96 (s, 3Н).

Следующие соединения получают аналогичным образом 5-хлор-6-(2-метоксиэтокси)-3-[3-(6-метилпиридин-3-ил)-1,2-оксазол-5-ил]-1Н-индазол ("А13")

бледно-коричневое твердое вещество; СВЭЖХ/МС 0.99 мин, [М+Н]+ 385.

1Н ЯМР (700 МГц, ДМСО-d6) δ 13.74 (s, 1Н), 9.10 (d, J=2.3 Гц, 1Н), 8.30 -8.27 (m, 2Н), 7.82 (s, 1Н), 7.46 (d, J=8.1 Гц, 1Н), 7.25 (s, 1Н), 4.32-4.27 (m, 2Н), 3.80-3.76 (m, 2Н).

5-хлор-6-(2-метоксиэтокси)-3-{3-[4-(1Н-1,2,4-триазол-1-ил)фенил]-1,2-оксазол-5-ил}-1Н-индазол ("А14")

не совсем белое твердое вещество; ВЭЖХ/МС 2.73 мин (А), [М+Н]+ 437.

1H ЯМР (700 МГц, ДМСО-d6) δ 13.74 (s, 1Н), 9.44 (s, 1H), 8.30 (s, 1H), 8.29 (s, 1H), 8.24 (d, J=8.5 Гц, 2H), 8.08 (d, J=8.6 Гц, 2H), 7.84 (s, 1H), 7.25 (s, 1H), 4.30 (dd, J=5.5, 3.5 Гц, 2H), 3.80-3.74 (m, 2H), 3.38 (s, 3H).

5-хлор-3-[3-(4-метансульфонилфенил)-1,2-оксазол-5-ил]-6-(2-метоксиэтокси)-1Н-индазол ("A15")

не совсем белое твердое вещество; ВЭЖХ/МС 2.61 мин (А), [М+Н]+ 448.

1Н ЯМР (500 МГц, ДМСО-d6) δ 13.77 (s, 1Н), 8.36-8.29 (m, 3Н), 8.12 (d, J=8.4 Гц, 2Н), 7.91 (s, 1Н), 7.26 (s, 1Н), 4.34-4.28 (m, 2Н), 3.81-3.75 (m, 2Н), 3.38 (s, 3Н), 3.30 (s, 3Н).

5-фтор-3-[3-(4-метансульфонилфенил)-1,2-оксазол-5-ил]-6-(2-метоксиэтокси)-1Н-индазол ("А16")

не совсем белое твердое вещество; ВЭЖХ/МС 2.52 мин (А), [М+Н]+ 432.

1Н ЯМР (500 МГц, ДМСО-d6) δ 13.74 (s, 1Н), 8.31 (d, J=8.5 Гц, 1Н), 8.12 (d, J=8.5 Гц, 2Н), 8.03 (d, J=10.9 Гц, 1Н), 7.86 (s, 1Н), 7.28 (d, J=7.1 Гц, 1Н), 4.37-4.17 (m, 2Н), 3.89-3.69 (m, 2Н), 3.36 (s, 3Н), 3.30 (s, 3Н).

N-(4-{5-[5-хлор-6-(2-метоксиэтокси)-1Н-индазол-3-ил]-1,2-оксазол-3-ил}фенил)ацетамид ("А17")

не совсем белое твердое вещество; ВЭЖХ/МС 2.56 мин (А), [М+Н]+ 427.

1H ЯМР (500 МГц, ДМСО-d6) δ 13.70 (s, 1Н), 10.17 (s, 1Н), 8.28 (s, 1Н), 7.96 (d, J=8.7 Гц, 2Н), 7.75 (d, J=8.7 Гц, 2Н), 7.68 (s, 1Н), 7.24 (s, 1Н), 4.32-4.23 (m, 2Н), 3.83-3.74 (m, 2Н), 3.38 (s, 3Н), 2.09 (s, 3Н).

N-(4-{5-[5-фтор-6-(2-метоксиэтокси)-1Н-индазол-3-ил]-1,2-оксазол-3-ил}фенил)ацетамид ("А18")

не совсем белое твердое вещество; ВЭЖХ/МС 2.43 мин (А), [М+Н]+ 411.

1H ЯМР (500 МГц, ДМСО-d6) δ 13.67 (s, 1Н), 10.16 (s, 1Н), 8.00 (d, J=11.0 Гц, 1Н), 7.95 (d, J=8.7 Гц, 2Н), 7.75 (d, J=8.7 Гц, 2Н), 7.63 (s, 1Н), 7.26 (d, J=7.1 Гц, 1Н), 4.33-4.18 (m, 2Н), 3.80-3.70 (m, 2Н), 3.35 (s, 3Н), 2.09 (s, 3Н).

метил 3-{3-[4-(диметилкарбамоил)фенил]-1,2-оксазол-5-ил}-1Н-индазол-6-карбоксилат ("А19")

не совсем белое твердое вещество; СВЭЖХ/МС 1.01 мин, [М-Н]- 389.

1Н ЯМР (700 МГц, ДМСО-d6) δ 14.20 (s, 1Н), 8.36 (d, J=8.5 Гц, 1Н), 8.29 (s, 1Н), 8.10 (d, J=8.3 Гц, 2Н), 7.90 (dd, J=8.5, 1.3 Гц, 1Н), 7.80 (s, 1Н), 7.59 (d, J=8.3 Гц, 2Н), 3.94 (s, 3Н), 3.02 (s, 3Н), 2.96 (s, 3Н).

4-{5-[5-фтор-6-(2-метоксиэтокси)-1Н-индазол-3-ил]-1,2-оксазол-3-ил}-N,N-диметилбензамид ("А20")

не совсем белое твердое вещество; ВЭЖХ/МС 2.47 мин (А), [М+Н]+ 425.

1Н ЯМР (400 МГц, ДМСО-d6) δ 13.70 (s, 1Н), 8.09 (d, J=8.3 Гц, 2Н), 8.02 (d, J=11.0 Гц, 1Н), 7.75 (s, 1Н), 7.58 (d, J=8.3 Гц, 1Н), 7.28 (d, J=7.1 Гц, 1Н), 4.40-4.17 (m, 2Н), 3.85-3.68 (m, 2Н), 3.36 (s, 3Н), 3.02 (s, 3Н), 2.96 (s, 3Н).

5-фтор-6-(2-метоксиэтокси)-3-{3-[4-(1Н-1,2,4-триазол-1-ил)фенил]-1,2-оксазол-5-ил}-1Н-индазол ("А21")

не совсем белое твердое вещество; СВЭЖХ/МС 1.04 мин, [М+Н]+ 421.

1Н ЯМР (500 МГц, ДМСО-d6) δ 13.73 (s, 1Н), 9.44 (s, 1Н), 8.31 (s, 1Н), 8.23 (d, J=8.7 Гц, 2Н), 8.08 (d, J=8.7 Гц, 2Н), 8.04 (d, J=10.9 Гц, 1Н), 7.81 (s, 1Н), 7.28 (d, J=7.1 Гц, 1Н), 4.34-4.24 (m, 2Н), 3.79-3.73 (m, 2Н), 3.36 (s, 3Н).

5-фтор-6-(2-метоксиэтокси)-3-[3-(6-метилпиридин-3-ил)-1,2-оксазол-5-ил]-1Н-индазол ("А22")

белое твердое вещество; ВЭЖХ/МС 2.08 мин (А), [М+Н]+ 425.

1H ЯМР (500 МГц, ДМСО-d6) δ 13.73 (s, 1Н), 9.10 (d, J=2.2 Гц, 1H), 8.29 (dd, J=8.0, 2.3 Гц, 1H), 8.01 (d, J=10.9 Гц, 1H), 7.78 (s, 1H), 7.47 (d, J=8.1 Гц, 1H), 7.28 (d, J=7.1 Гц, 1H), 4.31-4.25 (m, 2H), 3.80-3.69 (m, 2H), 3.35 (s, 3H).

(4-{5-[5-фтор-6-(2-метоксиэтокси)-1Н-индазол-3-ил]-1,2-оксазол-3-ил}фенил)(имино)метил-лямбда6-сульфанон ("A226")

Пример 5

N-(2-метоксиэтил)-3-(3-{4-[(2-метоксиэтил)карбамоил]фенил}-1,2-оксазол-5-ил)-1Н-индазол-6-карбоксамид ("А23")

белый порошок; СВЭЖХ/МС 0.85 мин, [М-Н]- 374.

1Н ЯМР (400 МГц, ДМСО-d6) δ 14.0 (широкий, 1Н) 8.27 (d, J=8.6 Гц, 1Н), 8.22-8.17 (m, 2Н), 8.11 (d, J=8.3 Гц, 2Н), 7.84 (dd, J=8.6, 1.3 Гц, 1Н), 7.78 (s, 1Н), 7.59 (d, J=8.2 Гц, 2Н), 7.50 (s, 1Н), 3.02 (s, 3Н), 2.96 (s, 3Н).

Следующие соединения получают аналогичным образом:

метиламид 3-[3-(4-диметилкарбамоилфенил)-изоксазол-5-ил]-1Н-индазол-6-карбоновой кислоты ("А24")

белое твердое вещество; ВЭЖХ/МС 2.16 мин (А), [М+Н]+ 390.

1Н ЯМР (400 МГц, ДМСО-d6) δ 14.1 (широкий, 1Н), 8.65 (q, J=4.4 Гц, 1Н), 8.28 (d, J=8.6 Гц, 1Н), 8.15 (s, 1Н), 8.11 (d, J=8.3 Гц, 2Н), 7.80 (dd, J=8.6, 1.4 Гц, 1Н), 7.78 (s, 1Н), 7.59 (d, J=8.3 Гц, 2Н), 3.02 (s, 3Н), 2.96 (s, 3Н), 2.85 (d, J=4.5 Гц, 3Н).

3-{3-[4-(диметилкарбамоил)фенил]-1,2-оксазол-5-ил}-N-(2-метоксиэтил)-1Н-индазол-6-карбоксамид ("А25")

белое твердое вещество; ВЭЖХ/МС 2.21 мин (А), [М+Н]+ 434.

1Н ЯМР (400 МГц, ДМСО-d6) δ 13.9 (широкий, 1Н), 8.75 (t, J=5.1 Гц, 1Н), 8.29 (dd, J=8.6, 0.9 Гц, 1Н), 8.18 (s, 1Н), 8.11 (d, J=8.3 Гц, 2Н), 7.82 (dd, J=8.6, 1.4 Гц, 1Н), 7.79 (s, 1Н), 7.59 (d, J=8.3 Гц, 2Н), 3.56-3.44 (m, 4Н), 3.30 (s, 3Н), 3.02 (s, 3Н), 2.96 (s, 3Н).

Пример 6

5-фтор-3-{3-[4-(3-фторазетидин-1-карбонил)фенил]-1,2-оксазол-5-ил}-6-(2-метоксиэтокси)-1Н-индазол ("А26")

К раствору 4-{5-[5-фтор-6-(2-метоксиэтокси)-1Н-индазол-3-ил]-изоксазол-3-ил}-бензойной кислоты (52 мг, 0.06 ммоль) в ДМФА (2 мл) добавляют гидрохлорид 3-фторазетидина (8.42 мг, 0.08 ммоль) с последующим добавлением 4-метилморфолина (28 мкл, 0.25 ммоль) и гексафторфосфата O-(7-азабензотриазол- 1-ил)-N,N,N',N'-тетраметилурония (36 мг, 0.09 ммоль). Реакционную смесь перемешивают в течение 16 часов при комнатной температуре. Реакционную смесь концентрируют в вакууме и остаток хроматографируют на колонке с силикагелем с помощью смеси этилацетат/метанол в качестве элюента с получением (3-фторазетидин-1-ил)-(4-{5-[5-фтор-6-(2-метоксиэтокси)-1Н-индазол-3-ил]-изоксазол-3-ил}-фенил)-метанона в виде белого порошка; ВЭЖХ/МС 2.51 мин (А), [М+Н]+ 455.

1Н ЯМР (400 МГц, ДМСО-d6) δ 13.8 (широкий, 1Н), 8.12 (d, J=8.4 Гц, 1Н), 8.02 (d, J=11.0 Гц, 1Н), 7.83 (d, J=8.4 Гц, 1Н), 7.77 (s, 1Н), 7.29 (d, J=7.0 Гц, 1Н), 5.53 (tt, J=6.1, 3.2 Гц, 0.5Н), 5.39 (tt, J=6.2, 3.2 Гц, 0.5Н), 4.7-4.0 (m, 4Н), 4.33-4.23 (m, 1Н), 3.85-3.67 (m, 2H), 3.38 (s, 3H).

Следующие соединения получают аналогичным образом: 5-фтор-3-(3-{4-[(311)-3-фторпирролидин-1-карбонил]фенил}-1,2-оксазол-5-ил)-6-(2-метоксиэтокси)-1Н-индазол ("А27")

белое твердое вещество; ВЭЖХ/МС 2.52 мин (А), [М+Н]+ 469.

1Н ЯМР (400 МГц, ДМСО-d6) δ 13.70 (s, 1Н), 8.14-8.08 (m, 2H), 8.03 (d, J=11.0 Гц, 1H), 7.77 (s, 1H), 7.78-7.67 (m, 2H), 7.28 (d, J=7.0 Гц, 1H), 5.49-5.24 (m, 1H), 4.33-4.24 (m, 2H), 3.91-3.47 (m, 6H), 3.36 (s, 3H), 2.29-1.96 (m, 2H).

1-(4-{5-[5-фтор-6-(2-метоксиэтокси)-1Н-индазол-3-ил]-1,2-оксазол-3-ил}бензоил)азетидин-3-карбонитрил ("A28")

белое твердое вещество; ВЭЖХ/МС 2.45 мин (А), [М+Н]+ 462.

1Н ЯМР (700 МГц, ДМСО-d6) δ 13.72 (s, 1Н), 8.12 (d, J=8.2 Гц, 2Н), 8.03 (d, J=10.9 Гц, 1Н), 7.81 (d, J=8.3 Гц, 2Н), 7.80 (s, 1Н), 7.28 (d, J=6.9 Гц, 1Н), 4.64 (широкий, 1Н), 4.57 (широкий, 1Н), 4.39 (широкий, 1Н), 4.33-4.26 (m, 2Н), 4.22 (широкий, 1Н), 3.88 (tt, J=9.3, 6.3 Гц, 1Н), 3.78-3.71 (m, 2Н), 3.35 (s, 3Н).

5-фтор-3-{3-[4-(3-метансульфонилазетидин-1-карбонил)фенил]-1,2-оксазол-5-ил}-6-(2-метоксиэтокси)-1Н-индазол ("А29")

не совсем белое твердое вещество; ВЭЖХ/МС 2.38 мин (А), [М+Н]+ 515.

1Н ЯМР (700 МГц, ДМСО-d6) δ 13.72 (s, 1Н), 8.14 (d, J=8.2 Гц, 2Н), 8.04 (d, J=10.9 Гц, 1Н), 7.83 (d, J=8.2 Гц, 2Н), 7.80 (s, 1Н), 7.28 (d, J=7.0 Гц, 1Н), 4.75-4.64 (m, 1Н), 4.54-4.49 (m, 1Н), 4.40-4.35 (m, 2Н), 4.32-4.25 (m, 3Н), 3.79-3.72 (m, 2Н), 3.35 (s, 3Н), 3.08 (s, 3Н).

4-(4-{5-[5-фтор-6-(2-метоксиэтокси)-1Н-индазол-3-ил]-1,2-оксазол-3-ил}бензоил)-1лямбда6-тиоморфолин-1,1-дион ("А30")

белое твердое вещество; ВЭЖХ/МС 2.55 мин (А), [М+Н]+ 515.

1Н ЯМР (500 МГц, ДМСО-d6) δ 13.71 (s, 1Н), 8.12 (d, J=8.3 Гц, 2Н), 8.03 (d, J=10.9 Гц, 1Н), 7.78 (s, 1Н), 7.69 (d, J=8.3 Гц, 2Н), 7.28 (d, J=7.1 Гц, 1Н), 4.33-4.24 (m, 2Н), 4.04 (широкий, 2Н), 3.80-3.74 (m, 2Н), 3,73 (широкий, 2Н), 3.36 (s, 3Н), 3.29 (широкий, 4Н).

N-циклопропил-4-{5-[5-фтор-6-(2-метоксиэтокси)-1Н-индазол-3-ил]-1,2-оксазол-3-ил}-N-метилбензамид ("A31")

белое твердое вещество; ВЭЖХ/МС 2.61 мин (А), [М+Н]+ 451.

1Н ЯМР (500 МГц, ДМСО-d6) δ 13.71 (s, 1Н), 8.08 (d, J=8.3 Гц, 2Н), 8.04 (d, J=11.0 Гц, 1Н), 7.78 (s, 1Н), 7.68 (d, J=7.9 Гц, 2Н), 7.29 (d, J=7.1 Гц, 1Н), 4.35-4.25 (m, 2Н), 3.85-3.69 (m, 2Н), 3.36 (s, 3Н), 3.05-2.93 (m, 4Н), 0.63-0.40 (m, 4Н).

5-фтор-3-(3-{4-[(3S)-3-фторпирролидин-1-карбонил]фенил}-1,2-оксазол-5-ил)-6-(2-метоксиэтокси)-1Н-индазол ("А32")

белое твердое вещество; ВЭЖХ/МС 2.53 мин (А), [М+Н]+ 469.

1Н ЯМР (400 МГц, ДМСО-d6) δ 13.70 (s, 1Н), 8.14-8.08 (m, 2H), 8.03 (d, J=11.0 Гц, 1H), 7.77 (s, 1H), 7.78-7.67 (m, 2H), 7.28 (d, J=7.0 Гц, 1H), 5.49-5.24 (m, 1H), 4.33-4.24 (m, 2H), 3.91-3.47 (m, 6H), 3.36 (s, 3H), 2.29-1.96 (m, 2H).

5-фтор-3-{3-[4-(3-метоксиазетидин-1-карбонил)фенил]-1,2-оксазол-5-ил}-6-(2-метоксиэтокси)-1Н-индазол ("А33")

белое твердое вещество; ВЭЖХ/МС 2.51 мин (А), [М+Н]+ 467.

1Н ЯМР (500 МГц, ДМСО-d6) δ 13.73 (s, 1Н), 8.12 (d, J=8.4 Гц, 1Н), 8.04 (d, J=11.0 Гц, 1Н), 7.82 (d, J=8.4 Гц, 2Н), 7.79 (s, 1Н), 7.29 (d, J=7.1 Гц, 1Н), 4.55-4.45 (m, 0.5), 4.41-4.24 (m, 3.5Н), 4.23-4.18 (m, 0.5Н), 3.92-3.85 (m, 0.5Н), 3.83-3.61 (m, 2Н), 3.36 (s, 3Н), 3.25 (s, 3Н).

1-(4-{5-[5-фтор-6-(2-метоксиэтокси)-1Н-индазол-3-ил]-1,2-оксазол-3-ил}бензоил)-3-метилазетидин-3-ол ("A34")

белое твердое вещество; ВЭЖХ/МС 2.38 мин (А), [М+Н]+ 467.

1Н ЯМР (700 МГц, ДМСО-d6) δ 13.73 (s, 1Н), 8.12 (d, J=8.0 Гц, 2Н), 8.04 (d, J=10.9 Гц, 1Н), 7.81 (d, J=8.2 Гц, 2Н), 7.79 (s, 1Н), 5.71 (s, 1Н), 4.30 (dd, J=5.5, 3.4 Гц, 2Н), 4.21 (d, J=8.7 Гц, 1Н), 4.16 (d, J=8.8 Гц, 1Н), 3.95 (d, J=10.0 Гц, 1Н), 3.92 (d, J=10.1 Гц, 1Н), 3.78-3.74 (m, 2Н), 3.36 (s, 3Н), 1.42 (s, 3Н).

N-[диметил(оксо)-лямбда6-сульфанилиден]-4-{5-[5-фтор-6-(2-метоксиэтокси)-1Н-индазол-3-ил]-1,2-оксазол-3-ил}бензамид ("A35")

белое твердое вещество; ВЭЖХ/МС 2.49 мин (А), [М+Н]+ 473.

1H ЯМР (700 МГц, ДМСО-d6) δ 13.73 (s, 1Н), 8.15 (d, J=8.5 Гц, 2Н), 8.13 (d, J=8.3 Гц, 2Н), 8.05 (d, J=10.9 Гц, 1Н), 7.80 (s, 1Н), 7.29 (d, J=7.0 Гц, 1Н), 4.35-4.28 (m, 2Н), 3.88-3.72 (m, 2Н), 3.51 (s, 6Н), 3.36 (s, 3Н).

5-фтор-6-(2-метоксиэтокси)-3-{3-[4-(4-метилпиперазин-1-карбонил)фенил]-1,2-оксазол-5-ил}-1Н-индазол ("А36") трифторацетат

белое твердое вещество; ВЭЖХ/МС 2.19 мин (А), [М+Н]+ 480.

1Н ЯМР (500 МГц, ДМСО-d6) δ 13.74 (s, 1Н), 9.76 (s, 1Н), 8.15 (d, J=8.3 Гц, 2Н), 8.03 (d, J=10.9 Гц, 1Н), 7.79 (s, 1Н), 7.65 (d, J=8.3 Гц, 2Н), 7.30 (s, 1Н), 4.58 (широкий, 1Н), 4.33-4.29 (m, 2Н), 3.80 (широкий, 1Н), 3.81 3.70 (m, 2Н), 3,43 (широкий, 4Н) 3.36 (s, 3Н), 3.13 (широкий, 2Н), 2.85 (s, 3Н).

N-[2-(диметиламино)этил]-4-{5-[5-фтор-6-(2-метоксиэтокси)-1Н-индазол-3-ил]-1,2-оксазол-3-ил}бензамид ("А72")

трифторацетат; белое твердое вещество; ВЭЖХ/МС 2.24 мин (А), [М+Н]+ 468.

1Н ЯМР (500 МГц, ДМСО-d6) δ 13.75 (s, 1Н), 9.30 (s, 1Н), 8.84 (t, J=5.7 Гц, 1Н), 8.19 (d, J=8.4 Гц, 2Н), 8.08 8.00 (m, 3Н), 7.81 (s, 1Н), 7.29 (d, J=7.1 Гц, 1Н), 4.33-4.16 (m, 2H), 3.80-3.74 (m, 2H), 3.65 (q, J=5.9 Гц, 2H), 3.31 (q, J=5.9 Гц, 2H), 2.88 (d, J=4.7 Гц, 6H).

4-{5-[5-фтор-6-(2-метоксиэтокси)-1Н-индазол-3-ил]-1,2-оксазол-3-ил}-N-(1-метилазетидин-3-ил)бензамид ("А73")

трифторацетат; белое твердое вещество; СВЭЖХ/МС 0.86 мин; [М+Н]+ 466.

1H ЯМР (400 МГц, ДМСО-d6) δ 13.74 (s, 1Н), 9.67 (s, 1Н), 9.20 (d, J=6.8 Гц, 1Н), 8.23-8.13 (m, 2Н), 8.11-8.00 (m, 3Н), 7.80 (s, 1Н), 7.30 (d, J=7.1 Гц, 1Н), 4.92-4.72 (m, 1Н), 4.59-4.39 (m, 2Н), 4.35-4.26 (m, 2Н), 4.25-4.04 (m, Н), 3.82-3.72 (m, 2Н), 3.36 (s, 3Н), 2.93 (s, 3Н).

5-фтор-6-(2-метоксиэтокси)-3-[3-(4-{2-окса-6-азаспиро[3.3]гептан-6-карбонил}фенил)-1,2-оксазол-5-ил]-1Н-индазол ("А74")

белое твердое вещество; ВЭЖХ/МС 2.55 мин (А), [М+Н]+ 479.

1Н ЯМР (700 МГц, ДМСО-d6) δ 13.74 (s, 1Н), 8.12 (d, J=8.3 Гц, 2Н), 8.04 (d, J=10.8 Гц, 1Н), 7.81-7.78 (m, 3Н), 7.29 (d, J=7.0 Гц, 1Н), 4.73-4. 68 (m, 4Н), 4.54 (s, 2Н), 4.37-4.28 (m, 2Н), 4.26 (s, 2Н), 3.82-3.69 (m, 2Н), 3.36 (s, 3Н).

5-фтор-6-(2-метоксиэтокси)-3-(3-{4-[3-(1Н-пиразол-1-ил)азетидин-1-карбонил]фенил}-1,2-оксазол-5-ил)-1Н-индазол ("А75")

белое твердое вещество; ВЭЖХ/МС 2.62 мин (А), [М+Н]+ 503.

1Н ЯМР (400 МГц, ДМСО-d6) δ 13.7 (s, 1Н), 8.14 (d, J=8.4 Гц, 2Н), 8.03 (d, J=11.0 Гц, 1Н), 7.95 (d, J=2.3 Гц, 1Н), 7.87 (d, J=8.4 Гц, 2Н), 7.79 (s, 1Н), 7.60 (d, J=1.8 Гц, 0Н), 7.29 (d, J=7.1 Гц, 1Н), 6.33 (t, J=2.1 Гц, 1Н), 5.38 (tt, J=8.2, 5.4 Гц, 1Н), 4.82 (t, J=7.9 Гц, 1Н), 4.70-4.63 (m, 1Н), 4.58 (t, J=9.1 Гц, 1Н), 4.40-4.32 (m, 1Н), 4.33-4.22 (m, 2Н), 3.81-3.69 (m, 2Н), 3.37 (s, 3Н).

1-(4-{5-[5-фтор-6-(2-метоксиэтокси)-1Н-индазол-3-ил]-1,2-оксазол-3-ил}бензоил)-N,N-диметилазетидин-3-амин ("А76")

трифторацетат; белое твердое вещество; СВЭЖХ/МС 0.84 мин, [М+Н]+ 480.

1H ЯМР (700 МГц, ДМСО-d6) δ 13.75 (s, 1Н), 10.28 (s, 1Н), 8.15 (d, J=8.3 Гц, 2Н), 8.03 (d, J=10.8 Гц, 1Н), 7.82 (d, J=8.3 Гц, 2Н), 7.80 (s, 1Н), 7.29 (d, J=7.0 Гц, 1Н), 4.65 (t, J=9.4 Гц, 1Н), 4.51-4.46 (m, 1Н), 4.37-4.23 (m, 4Н), 4.17-4.05 (m, 1Н), 3.79-3.73 (m, 2Н), 3.35 (s, 3Н), 2.88-2.73 (m, 6Н).

5-фтор-6-(2-метоксиэтокси)-3-[3-(4-{6-окса-2-азаспиро[3.4]октан-2-карбонил}фенил)-1,2-оксазол-5-ил]-1Н-индазол ("А77")

бесцветная смола; ВЭЖХ/МС 2.63 мин (А), [М+Н]+ 493.

1Н ЯМР (500 МГц, ДМСО-d6) δ 13.71 (s, 1Н), 8.11 (d, J=8.3 Гц, 2H), 8.03 (d, J=10.9 Гц, 1H), 7.82 (d, J=8.4 Гц, 2H), 7.78 (s, 1H), 7.28 (d, J=7.0 Гц, 1H), 4.38-4.32 (m, 2H), 4.32-4.27 (m, 2H), 4.09-4.03 (m, 2H), 3.86-3.66 (m, 6H), 3.36 (s, 3H), 2.15 (td, J=7.0, 2.5 Гц, 2H).

4-(4-{5-[5-фтор-6-(2-метоксиэтокси)-1Н-индазол-3-ил]-1,2-оксазол-3-ил}бензоил)-1лямбда4-тиоморфолин-1-он ("А78")

бесцветная смола; ВЭЖХ/МС 2.38 мин (А), [М+Н]+ 499.

1 ЯМР (500 МГц, ДМСО-d6) δ 13.71 (s, 1Н), 8.12 (d, J=8.3 Гц, 2Н), 8.02 (d, J=11.0 Гц, 1Н), 7.77 (s, 1Н), 7.64 (d, J=8.3 Гц, 2Н), 7.28 (d, J=7.1 Гц, 1Н), 4.37 (широкий, 1Н), 4.33-4.27 (m, 2Н), 3.87 (широкий, 1Н), 3.79-3.73 (m, 3Н), 3.58 (широкий, 1Н), 3.36 (s, 3Н), 3.00 (td, J=12.8, 11.6, 3.5 Гц, 2Н), 2.94-2.67 (m, 2Н).

5-фтор-6-(2-метоксиэтокси)-3-[3-(4-{1-окса-6-азаспиро[3.3]гептан-6-карбонил}фенил)-1,2-оксазол-5-ил]-1Н-индазол ("А79")

бесцветная смола; ВЭЖХ/МС 2.61 мин (А), [М+Н]+ 79.

1 ЯМР (500 МГц, ДМСО-d6) δ 13.72 (s, 1Н), 8.11 (d, J=8.4 Гц, 2Н), 8.03 (d, J=11.0 Гц, 1Н), 7.85-7.75 (m, 2Н), 7.28 (d, J=7.1 Гц, 1Н), 4.62-4.23 (m, 7Н), 4.22-4.04 (m, 1Н), 3.80-3.73 (m, 2Н), 3.36 (s, 3Н), 2.86 (t, J=7.5 Гц, 2Н).

4-(4-{5-[5-фтор-6-(2-метоксиэтокси)-1Н-индазол-3-ил]-1,2-оксазол-3-ил}бензоил)-1-имино-1лямбда6-тиоморфолин-1-он ("А80")

белое твердое вещество; ВЭЖХ/МС 2.32 мин (А), [М+Н]+ 514.

1Н ЯМР (700 МГц, ДМСО-d6) δ 13.72 (s, 1Н), 8.13 (d, J=8.3 Гц, 2Н), 8.03 (d, J=10.9 Гц, 1Н), 7.78 (s, 1Н), 7.69 (d, J=8.2 Гц, 2Н), 7.28 (d, J=7.0 Гц, 1Н), 4.39 (s, 1Н), 4.31-4.24 (m, 2Н), 4.12-3.12 (широкий, 8Н), 3.79-3.75 (m, 2Н), 3.36 (s, 3Н).

5-фтор-3-{3-[5-(3-фторазетидин-1-карбонил)пиридин-2-ил]-1,2-оксазол-5-ил}-6-(2-метоксиэтокси)-1Н-индазол ("А81")

белая пена; ВЭЖХ/МС 2.56 мин (А), [М+Н]+ 456.

1H ЯМР (500 МГц, ДМСО-d6) δ 13.76 (s, 1Н), 9.00 (dd, J=2.2, 0.9 Гц, 1Н), 8.26 (dd, J=8.2, 2.2 Гц, 1Н), 8.21 (dd, J=8.2, 0.9 Гц, 1Н), 7.99 (d, J=10.8 Гц, 1Н), 7.61 (s, 1Н), 7.29 (d, J=7.0 Гц, 1Н), 5.48 (dtt, J=57.5, 6.3, 3.2 Гц, 1Н), 4.80-4.38 (m, 3Н), 4.33-4.27 (m, 2Н), 4.16 (dd, J=24.6, 12.1 Гц, 1Н), 3.81-3.73 (m, 2Н), 3.36 (s, 3Н).

5-фтор-6-(2-метоксиэтокси)-3-(3-{5-[3-(морфолин-4-ил)азетидин-1-карбонил]пиридин-2-ил}-1,2-оксазол-5-ил)-1Н-индазол ("А82")

трифторацетат, бледно-желтая пена; ВЭЖХ/МС 2.19 мин (А), [М+Н]+ 523.

1Н ЯМР (700 МГц, ДМСО-d6, частично очень широкие сигналы, выборка сигналов) 5 13.78 (s, 1Н), 10.57 (s, 1Н), 9.01 (s, 1Н), 8.30-8.22 (m, 2Н), 7.98 (d, J=10.7 Гц, 1Н), 7.61 (s, 1Н), 7.30 (d, J=7.0 Гц, 1Н), 4.72-4.46 (m, 2Н), 4.37-4.19 (m, 2Н), 3.94-3.69 (m, 2Н), 3.36 (s, 3Н).

5-фтор-6-(2-метоксиэтокси)-3-(3-{5-[3-(морфолин-4-ил)азетидин-1-карбонил]-1,3-тиазол-2-ил}-1,2-оксазол-5-ил)- 1Н-индазол ("А83")

трифторацетат, белая пена; ВЭЖХ/МС 2.23 мин (А), [М+Н]+ 529.

1Н ЯМР (700 МГц, ДМСО-d6, частично очень широкие сигналы, выборка сигналов) 5 13.84 (s, 1Н), 10.8 (s, 1Н), 8.47 (s, 1Н), 8.01 (d, J=10.8 Гц, 1Н), 7.65 (s, 1Н), 7.29 (d, J=6.9 Гц, 1Н), 4.91-4.5 (m, 2Н), 4.32-4.28 (m, 2Н), 3.88-3.66 (m, 2Н).

5-фтор-6-(2-метоксиэтокси)-3-(3-{4-[3-(морфолин-4-ил)азетидин-1-карбонил]-1,3-тиазол-2-ил}-1,2-оксазол-5-ил)- 1Н-индазол ("А84")

трифторацетат, белая пена; ВЭЖХ/МС 2.33 мин (А), [М+Н]+ 529.

1Н ЯМР (700 МГц, ДМСО-d6, частично очень широкие сигналы, выборка сигналов) δ 13.86 (s, 1Н), 10.53 (s, 1Н), 8.63 (s, 1Н), 7.96 (d, J=10.7 Гц, 1Н), 7.66 (s, 1Н), 7.30 (d, J=6.9 Гц, 1Н), 5.07-4.66 (m, 2Н), 4.36-4.23 (m, 2Н), 3.85-3.73 (m, 2Н).

5-фтор-3-(3-{4-[3-(1Н-имидазол-1-ил)азетидин-1-карбонил]фенил}-1,2-оксазол-5-ил)-6-(2-метоксиэтокси)-1Н-индазол ("А85")

трифторацетат, белая пена; ВЭЖХ/МС 2.26 мин (А), [М+Н]+ 503.

1Н ЯМР (700 МГц, ДМСО-d6) δ 14.53 (s, 1Н), 13.75 (s, 1Н), 8.16 (d, J=8.3 Гц, 2Н), 8.12 (s, 1Н), 8.04 (d, J=10.9 Гц, 1Н), 7.89 (d, J=8.3 Гц, 2Н), 7.81 (s, 1Н), 7.77 (s, 1Н), 7.29 (d, J=7.0 Гц, 1Н), 5.44 (tt, J=8.2, 5.3 Гц, 1Н), 4.84 (t, J=8.8 Гц, 1Н), 4.76 (dd, J=10.1, 5.3 Гц, 1Н), 4.63 (t, J=9.7 Гц, 1Н), 4.36 (dd, J=11.3, 5.2 Гц, 1Н), 4.32-4.28 (m, 2Н), 3.79-3.75 (m, 2Н), 3.36 (s, 3Н).

5-фтор-3-{3-[5-(3-фторазетидин-1-карбонил)-1,3-тиазол-2-ил]-1,2-оксазол-5-ил}-6-(2-метоксиэтокси)-1Н-индазол ("А86")

белая пена; ВЭЖХ/МС 2.66 мин (А), [М+Н]+ 462.

1H ЯМР (700 МГц, ДМСО-d6) δ 13.83 (s, 1Н), 8.48 (s, 1Н), 8.02 (d, J=10.8 Гц, 1Н), 7.65 (s, 1Н), 7.30 (d, J=7.0 Гц, 1Н), 5.52 (dtt, J=57.5, 6.2, 3.1 Гц, 1Н), 4.87 (d, J=20.1 Гц, 1Н), 4.78-4.67 (m, 1Н), 4.51-4.32 (m, 1Н), 4.36-4.27 (m, 2Н), 4.16 (dd, J=24.5, 12.5 Гц, 1Н), 3.82-3.69 (m, 2Н), 3.36 (s, 3Н).

5-фтор-3-{3-[4-(3-фторазетидин-1-карбонил)-1,3-тиазол-2-ил]-1,2-оксазол-5-ил}-6-(2-метоксиэтокси)-1Н-индазол ("А87")

белая пена; ВЭЖХ/МС 2.74 мин (А), [М+Н]+ 462.

1Н ЯМР (700 МГц, ДМСО-d6) δ 13.85 (s, 1Н), 8.59 (s, 1H), 8.03 (d, J=10.7 Гц, 1H), 7.68 (s, 1H), 7.30 (d, J=7.0 Гц, 1H), 5.51 (dtt, J=57.8, 6.0, 3.1 Гц, 1H), 5.04 (dddd, J=22.5, 12.0, 5.9, 1.9 Гц, 1H), 4.82 (ddt, J=25.3, 12.4, 2.6 Гц, 1H), 4.45 (dddd, J=21.6, 11.8, 6.0, 1.9 Гц, 1H), 4.34-4.26 (m, 2H), 4.15 (ddt, J=24.8, 11.8, 2.3 Гц, 1H), 3.82-3.72 (m, 2H), 3.36 (s, 3H).

5-фтор-6-(2-метоксиэтокси)-3-[3-(4-{6-метил-2,6-диазаспиро[3.3]гептан-2-карбонил}фенил)-1,2-оксазол-5-ил]-1Н-индазол ("A88")

трифторацетат, белая пена; ВЭЖХ/МС 2.24 мин (А), [М+Н]+ 492.

1H ЯМР (500 МГц, ДМСО-d6) δ 13.74 (s, 1Н), 9.56-9.43 (m, 1Н), 8.19-8.10 (m, 2Н), 8.03 (d, J=11.0 Гц, 1Н), 7.81-7.76 (m, 3Н), 7.29 (d, J=7.1 Гц, 1Н), 4.58 (s, 1Н), 4.52 (s, 1Н), 4.45-4.35 (m, 2Н), 4.34-4.28 (m, 3Н), 4.24 (s, 1Н), 4.20-4.07 (m, 2Н), 3.85-3.71 (m, 2Н), 3.36 (s, 3Н), 2.84-2.78 (m, 3Н).

(цис)-1-(4-{5-[5-фтор-6-(2-метоксиэтокси)-1Н-индазол-3-ил]-1,2-оксазол-3-ил}бензоил)-октагидропирроло[3,4-b]пиррол-6-он ("А89")

СВЭЖХ/МС 0.65 мин, [М+Н]+ 506.

N-{[(2S)-1-(4-{5-[5-фтор-6-(2-метоксиэтокси)-1Н-индазол-3-ил]-1,2-оксазол-3-ил}бензоил)пирролидин-2-ил]метил}метансульфонамид ("А90")

не совсем белое твердое вещество; ВЭЖХ/МС 1.53 мин (А), [М+Н]+ 558.

1Н ЯМР (500 МГц, ДМСО-d6) δ 13.73 (s, 1Н), 8.14-8.08 (m, 2Н), 8.04 (d, J=11.0 Гц, 1Н), 7.78 (s, 1Н), 7.72 (d, J=8.1 Гц, 2Н), 7.29 (d, J=7.1 Гц, 1Н), 7.25 (t, J=6.5 Гц, 1Н), 4.34-4.28 (m, 2Н), 4.27-4.21 (m, 1Н), 3.80-3.74 (m, 2Н), 3.50 (dt, J=10.2, 6.9 Гц, 1Н), 3.39-3.28 (m, 4Н), 3.23 (dt, J=12.9, 6.5 Гц, 1Н), 2.94 (s, 3Н), 2.81-2.69 (m, 3Н), 2.07-1.84 (m, 3Н), 1.81-1.66 (m, 1Н).

6-{5-[5-фтор-6-(2-метоксиэтокси)-1Н-индазол-3-ил]-1,2-оксазол-3-ил}-N,N-диметилпиридин-3-карбоксамид ("А91")

2-{5-[5-фтор-6-(2-метоксиэтокси)-1Н-индазол-3-ил]-1,2-оксазол-3-ил}-N,N-диметил-1,3-тиазол-5-карбоксамид ("А92")

2-{5-[5-фтор-6-(2-метоксиэтокси)-1Н-индазол-3-ил]-1,2-оксазол-3-ил}-N,N-диметил-1,3-тиазол-4-карбоксамид ("А93")

N-{[(2R)-1-(4-{5-[5-фтор-6-(2-метоксиэтокси)-1Н-индазол-3-ил]-1,2-оксазол-3-ил}бензоил)пирролидин-2-ил]метил}метансульфонамид ("А94")

[(2S)-1-(4-{5-[5-фтор-6-(2-метоксиэтокси)-1Н-индазол-3-ил]-1,2-оксазол-3-ил}бензоил)азетидин-2-ил]метанол ("А95")

не совсем белое твердое вещество; ВЭЖХ/МС 1.94 мин (А), [М+Н]+ 467.

1Н ЯМР (700 МГц, ДМСО-d6, поворотный изомер, выборка сигналов) δ 13.73 (s, 1Н), 8.11 (d, J=7.9 Гц, 2Н), 8.03 (d, J=10.9 Гц, 1Н), 7.83-7.71 (m, 3Н), 7.28 (d, J=7.0 Гц, 1Н), 5.02-4.84 (m, 1Н), 4.57-4.46 (m, 1Н), 4.37-4.25 (m, 3Н), 4.10 (q, J=8.1 Гц, 1Н), 3.78-3.74 (m, 2Н), 3.68-3.58 (m, 1Н), 3.36 (s, 3Н), 2.45-2.07 (m, 3Н).

1-(5-{5-[5-фтор-6-(2-метоксиэтокси)-1Н-индазол-3-ил]-изоксазол-3-ил}-пиридин-2-карбонил)-азетидин-3-карбонитрил ("А96")

[(2R)-1-(4-{5-[5-фтор-6-(2-метоксиэтокси)-1Н-индазол-3-ил]- 1,2-оксазол-3-ил}бензоил)азетидин-2-ил]метанол ("А97")

не совсем белое твердое вещество; ВЭЖХ/МС 1.45 мин (А), [М+Н]+ 467.

1Н ЯМР (700 МГц, ДМСО-d6, поворотный изомер, выборка сигналов) δ 13.73 (s, 1Н), 8.11 (d, J=7.9 Гц, 2Н), 8.03 (d, J=10.9 Гц, 1Н), 7.83-7.71 (m, 3Н), 7.28 (d, J=7.0 Гц, 1Н), 5.02-4.84 (m, 1Н), 4.57-4.46 (m, 1Н), 4.37-4.25 (m, 3Н), 4.10 (q, J=8.1 Гц, 1Н), 3.78-3.74 (m, 2Н), 3.68-3.58 (m, 1Н), 3.36 (s, 3Н), 2.45-2.07 (m, 3Н).

(3-фторазетидин-1-ил)-(5-{5-[5-фтор-6-(2-метоксиэтокси)-1Н-индазол-3-ил]-изоксазол-3-ил}-пиридин-2-ил)-метанон ("А98")

диметиламид 5-{5-[5-фтор-6-(2-метоксиэтокси)-1Н-индазол-3-ил]-изоксазол-3-ил}-пиридин-2-карбоновой кислоты ("А99")

5-фтор-3-(3-{6-[(3R)-3-фторпирролидин-1-карбонил]пиридин-3-ил}-1,2-оксазол-5-ил)-6-(2-метоксиэтокси)-1Н-индазол ("А100")

5-фтор-3-[3-(4-{3-фтор-[1,3'-биазетидин]-1'-карбонил}фенил)-1,2-оксазол-5-ил]-6-(2-метоксиэтокси)-1Н-индазол ("А101")

5-фтор-6-(2-метоксиэтокси)-3-(3-{4-[3-(4-метилпиперазин-1-ил)азетидин-1-карбонил]фенил}-1,2-оксазол-5-ил)-1Н-индазол ("А102")

1-[1-(4-{5-[5-фтор-6-(2-метоксиэтокси)-1Н-индазол-3-ил]-1,2-оксазол-3-ил}бензоил)азетидин-3-ил]пиперидин-4-ол ("А103")

5-фтор-6-(2-метоксиэтокси)-3-{3-[4-(морфолин-4-карбонил)фенил]-1,2-оксазол-5-ил}-1Н-индазол ("А104")

белое твердое вещество; СВЭЖХ/МС 0.72 мин, [М+Н]+ 467.

1Н ЯМР (500 МГц, ДМСО-d6) δ 13.70 (s, 1Н), 8.11 (d, J=8.3 Гц, 2Н), 8.02 (d, J=11.0 Гц, 1Н), 7.75 (s, 1Н), 7.60 (d, J=8.3 Гц, 1Н), 7.28 (d, J=7.1 Гц, 1Н), 4.35-4.24 (m, 2Н), 3.80-3.74 (m, 2Н), 3.75-3.30 (широкий, 8Н), 3.36 (s, 3Н).

[(311)-4-(4-{5-[5-фтор-6-(2-метоксиэтокси)-1Н-индазол-3-ил]-1,2-оксазол-3-ил}бензоил)морфолин-3-ил]метанол ("А105")

[(3S)-4-(4-{5-[5-фтор-6-(2-метоксиэтокси)-1Н-индазол-3-ил]-1,2-оксазол-3-ил}бензоил)морфолин-3-ил]метанол ("А106")

не совсем белое твердое вещество; ВЭЖХ/МС 1.42 мин (А), [М+Н]+ 497.

1H ЯМР (500 МГц, ДМСО-d6) δ 13.71 (s, 1Н), 8.16-8.07 (m, 2Н), 8.03 (d, J=11.0 Гц, 1Н), 7.76 (s, 1Н), 7.61 (d, J=8.0 Гц, 2Н), 7.29 (d, J=7.0 Гц, 1Н), 4.93 (bs, 1Н), 4.37-4.24 (m, 2Н), 4.08-3.01 (широкий, 11Н), 3.36 (s, 3Н).

2-[(2S)-1-(5-{5-[5-фтор-6-(2-метоксиэтокси)-1Н-индазол-3-ил]-1,2-оксазол-3-ил}пиридин-2-карбонил)пирролидин-2-ил]пропан-2-ол ("А107")

не совсем белое твердое вещество; т. пл. 119-121°С, [М+Н]+ 510.

1Н ЯМР (400 МГц, ДМСО-d6) δ 13.78 (s, 1Н), 9.26 (dd, J=2.2, 0.9 Гц, 1Н), 8.54 (dd, J=8.2, 2.2 Гц, 1Н), 8.03 (d, J=11.0 Гц, 1Н), 7.91-7.84 (m, 2Н), 7.30 (d, J=7.1 Гц, 1Н), 5.05 (s, 1Н), 4.34-4.27 (m, 3Н), 3.80-3.74 (m, 2Н), 3.63-3.48 (m, 2Н), 3.36 (s, 3Н), 1.98-1.87 (m, 3Н), 1.69-1.62 (m, 1Н), 1.17 (d, J=5.8 Гц, 6Н).

6-(4-{5-[5-фтор-6-(2-метоксиэтокси)-1Н-индазол-3-ил]-1,2-оксазол-3-ил}бензоил)-3лямбда6-тиа-6-азабицикло[3.1.1]гептан-3,3-дион ("А108")

не совсем белое твердое вещество; СВЭЖХ/МС 0.70 мин, [М+Н]+ 527.

1Н ЯМР (500 МГц, ДМСО-d6) δ 13.72 (s, 1Н), 8.16 (d, J=8.4 Гц, 1Н), 8.03 (d, J=11.0 Гц, 1Н), 7.86 (d, J=8.3 Гц, 2Н), 7.79 (s, 1Н), 7.29 (d, J=7.0 Гц, 1Н), 4.96 (bs, 1Н), 4.73 (bs, 1Н), 4.34-4.25 (m, 2Н), 4.10 (bs, 1Н), 3.83-3.71 (m, 3Н), 3.36 (s, 3Н), 3.02 (dt, J=10.1, 7.0 Гц, 1Н), 2.10 (d, J=10.4 Гц, 1Н), 1.24 (s, 1Н).

(5-{5-[5-фтор-6-(2-метоксиэтокси)-1Н-индазол-3-ил]-изоксазол-3-ил}-пиридин-2-ил)-[(R)-2-(1-гидрокси-1-метилэтил)-пирролидин-1-ил]-метанон ("А109")

5-фтор-6-(2-метоксиэтокси)-3-(3-{4-[(3S)-3-(метоксиметил)морфолин-4-карбонил]фенил}-1,2-оксазол-5-ил)-1Н-индазол ("А110")

не совсем белое твердое вещество; ВЭЖХ/МС 1.56 мин (А), [М+Н]+ 511.

1H ЯМР (400 МГц, ДМСО-d6) δ 13.71 (s, 1Н), 8.11 (d, J=8.3 Гц, 2Н), 8.03 (d, J=11.0 Гц, 1Н), 7.76 (s, 1Н), 7.59 (d, J=7.9 Гц, 2Н), 7.29 (d, J=7.1 Гц, 1Н), 4.35-4.23 (m, 2Н), 4.18-3.05 (широкий, 12Н), 3.80-3.73 (m, 2Н), 3.36 (s, 3Н).

5-фтор-6-(2-метоксиэтокси)-3-(3-{4-[(3R)-3-(метоксиметил)морфолин-4-карбонил]фенил}-1,2-оксазол-5-ил)-1Н-индазол ("A111")

5-фтор-6-(2-метоксиэтокси)-3-[3-(4-{6-окса-1-азаспиро[3.3]гептан-1-карбонил}фенил)-1,2-оксазол-5-ил]-1Н-индазол ("А112")

белые кристаллы; ВЭЖХ/МС 1.54 мин (А), [М+Н]+ 479.

1Н ЯМР (700 МГц, ДМСО-d6) δ 13.72 (s, 1Н), 8.12 (d, J=8.0 Гц, 2Н), 8.04 (d, J=10.9 Гц, 1Н), 7.81 (d, J=8.2 Гц, 2Н), 7.79 (s, 1Н), 7.28 (d, J=7.0 Гц, 1Н), 5.39 (d, J=6.6 Гц, 2Н), 4.59 (d, J=6.6 Гц, 2Н), 4.37-4.27 (m, 2Н), 4.17 (t, J=7.5 Гц, 2Н), 3.76 (dd, J=3.9, 2.3 Гц, 2Н), 3.35 (s, 3Н), 2.57 (t, J=7.5 Гц, 2Н).

5-фтор-6-(2-метоксиэтокси)-3-(3-{4-[(3R)-3-метилморфолин-4-карбонил]фенил}-1,2-оксазол-5-ил)-1Н-индазол ("А114")

5-фтор-6-(2-метоксиэтокси)-3-(3-{4-[(3S)-3-метилморфолин-4-карбонил]фенил}-1,2-оксазол-5-ил)-1Н-индазол ("А115")

белое твердое вещество; СВЭЖХ/МС 0.74 мин, [М+Н]+ 481.

1H ЯМР (400 МГц, ДМСО-d6) δ 13.71 (s, 1Н), 8.12 (d, J=8.2 Гц, 2H), 8.03 (d, J=11.0 Гц, 1Н), 7.76 (s, 1H), 7.58 (d, J=8.2 Гц, 2H), 7.29 (d, J=7.1 Гц, 1H), 4.49-4.19 (m, 2H), 3.90-3.74 (m, 3H), 3.69-3.56 (m, 2H), 3.51-3.38 (m, 1H), 3.37 (s, 3H), 1.29 (d, J=6.9 Гц, 3Н).

4-(4-{5-[5-фтор-6-(2-метоксиэтокси)-1Н-индазол-3-ил]-1,2-оксазол-3-ил}бензоил)-1-метилпиперазин-2-он ("А116")

5-фтор-3-(3-{4-[(2S)-2-(метансульфонилметил)пирролидин-1-карбонил]фенил}-1,2-оксазол-5-ил)-6-метокси-1Н-индазол ("А117")

(5-{5-[5-фтор-6-(2-метоксиэтокси)-1Н-индазол-3-ил]-изоксазол-3-ил}-пиридин-2-ил)-[(S)-2-(1-гидрокси-1-метилэтил)-азетидин-1-ил]-метанон ("А118")

(5-{5-[5-фтор-6-(2-метоксиэтокси)-1Н-индазол-3-ил]-изоксазол-3-ил}-пиридин-2-ил)-[(R)-2-(1-гидрокси-1-метилэтил)-азетидин-1-ил]-метанон ("А119")

5-фтор-6-(2-метоксиэтокси)-3-(3-{4-[3-(пиридин-4-ил)азетидин-1-карбонил]фенил}-1,2-оксазол-5-ил)-1Н-индазол ("А120")

белое твердое вещество; СВЭЖХ/МС 0.54 мин, [М+Н]+ 514.

1Н ЯМР (400 МГц, ДМСО-d6) δ 13.77 (s, 1Н), 8.70-8.59 (m, 2Н), 8.18 (d, J=8.3 Гц, 2Н), 8.08 (d, J=11.0 Гц, 1Н), 7.92 (d, J=8.4 Гц, 2Н), 7.83 (s, 1Н), 7.54-7.46 (m, 2Н), 7.34 (d, J=7.0 Гц, 1Н), 4.80 (t, J=8.9 Гц, 1Н), 4.65-4.48 (m, 2Н), 4.41-4.30 (m, 2Н), 4.16 (t, J=8.0 Гц, 2Н), 4.12-4.01 (m, 1Н), 3.84-3.76 (m, 2Н), 3.41 (s, 3Н).

4-(4-{5-[5-фтор-6-(2-метоксиэтокси)-1Н-индазол-3-ил]-1,2-оксазол-3-ил}бензоил)-3-метил-1лямбда6-тиоморфолин-1,1-дион ("А121")

белое твердое вещество; СВЭЖХ/МС 0.72 мин, [М+Н]+ 529.

1Н ЯМР (400 МГц, ДМСО-d6) δ 13.72 (s, 1Н), 8.12 (d, J=8.3 Гц, 2Н), 8.01 (d, J=11.0 Гц, 1Н), 7.75 (s, 1Н), 7.67 (d, J=8.2 Гц, 2Н), 7.28 (d, J=7.1 Гц, 1Н), 4.38-4.22 (m, 2Н), 3.85-3.71 (m, 2Н), 3.65-3.08 (m, 7Н), 3.36 (s, 3Н), 1.44 (d, J=7.1 Гц, 3Н).

Пример 7

5-фтор-6-(2-метоксиэтокси)-3-{3-[4-(4-метилпиперазин-1-ил)фенил]-1,2-оксазол-5-ил}-1Н-индазол ("A37")

не совсем белый порошок; ВЭЖХ/МС 1.68 мин (А), [М+Н]+ 452.

1H ЯМР (400 МГц, ДМСО-d6) δ 13.64 (s, 1Н), 8.00 (d, J=11.0 Гц, 1Н), 7.85 (d, J=8.7 Гц, 2Н), 7.57 (s, 1Н), 7.26 (d, J=7.0 Гц, 1Н), 7.07 (d, J=8.8 Гц, 2Н), 4.31-4.27 (m, 2Н), 4.03-3.60 (m, 2Н), 3.35 (s, 3Н), 3.32-3.23 (широкий, 4Н), 2.50-2.44 (широкий, 4Н) 2.24 (s, 3Н).

Следующие соединения получают аналогичным образом: 4-(4-{5-[5-фтор-6-(2-метоксиэтокси)-1Н-индазол-3-ил]-1,2-оксазол-3-ил}фенил)-1лямбда6-тиоморфолин-1,1-дион ("А122")

бледно-желтое твердое вещество; ВЭЖХ/МС 2.06 мин (А), [М+Н]+ 487.

1Н ЯМР (400 МГц, ДМСО-d6) δ 13.65 (s, 1Н), 8.01 (d, J=11.0 Гц, 1Н), 7.91 (d, J=8.9 Гц, 2Н), 7.62 (s, 1Н), 7.27 (d, J=7.1 Гц, 1Н), 7.19 (d, J=9.0 Гц, 1Н), 4.36 - 4.23 (m, 2Н), 3.92 (t, J=5.1 Гц, 4Н), 3.82-3.69 (m, 2Н), 3.36 (s, 3Н), 3.25-3.11 (m, 4Н).

5-фтор-6-(2-метоксиэтокси)-3-{3-[4-(4-метил-1,4-диазепан-1-ил)фенил]-1,2-оксазол-5-ил}-1Н-индазол ("А123")

не совсем белое твердое вещество; ВЭЖХ/МС 1.31 мин (А), [М+Н]+ 487.

1Н ЯМР (400 МГц, ДМСО-d6) δ 13.63 (s, 1Н), 7.99 (d, J=11.0 Гц, 1Н), 7.80 (d, J=8.9 Гц, 2Н), 7.52 (s, 1Н), 7.27 (d, J=7.1 Гц, 1Н), 6.83 (d, J=9.0 Гц, 2Н), 4.36-4.26 (m, 2Н), 3.81-3.73 (m, 2Н), 3.64-3.57 (m, 2Н), 3.52 (t, J=6.2 Гц, 2Н), 3.36 (s, 3Н), 2.68-2.62 (m, 2Н), 2.50-2.44 (m, 2Н), 2.28 (s, 3Н), 1.92 (р, J=5.9 Гц, 2Н).

3-(3-{4-[(цис)-4-метилоктагидро-1Н-пирроло[3,2-b]пиридин-1-ил]фенил}-1,2-оксазол-5-ил)-5-фтор-6-(2-метоксиэтокси)-1Н-индазол ("А124")

3-(3-{4-[(цис)-4-метилоктагидропирроло[3,2-b]пиррол-1-ил]фенил}-1,2-оксазол-5-ил)-5-фтор-6-(2-метоксиэтокси)-1Н-индазол ("А125")

3-(3-{4-[(транс)-4-метилоктагидропирроло[3,2-b]пиррол-1-ил]фенил}-1,2-оксазол-5-ил)-5-фтор-6-(2-метоксиэтокси)-1Н-индазол ("А126")

4-(4-{5-[5-фтор-6-(2-метоксиэтокси)-1Н-индазол-3-ил]-1,2-оксазол-3-ил}фенил)-1лямбда4-тиоморфолин-1-он ("А127")

бледно-желтое твердое вещество; ВЭЖХ/МС 1.95 мин (А), [М+Н]+ 471.

1Н ЯМР (400 МГц, ДМСО-d6) δ 13.64 (s, 1Н), 8.01 (d, J=11.0 Гц, 1Н), 7.90 (d, J=8.9 Гц, 2Н), 7.60 (s, 1Н), 7.27 (d, J=7.1 Гц, 1Н), 7.23-7.03 (m, 2Н), 4.36-4.15 (m, 2Н), 3.92 (ddd, J=12.9, 11.0, 2.1 Гц, 2Н), 3.85-3.71 (m, 4Н), 3.36 (s, 3Н), 2.96 (ddd, J=13.7, 10.7, 3.2 Гц, 2Н), 2.78-2.65 (m, 2Н).

1-(4-{5-[5-фтор-6-(2-метоксиэтокси)-1Н-индазол-3-ил]-1,2-оксазол-3-ил}фенил)пиперидин-4-ол ("А128")

1-[(4-{5-[5-фтор-6-(2-метоксиэтокси)-1Н-индазол-3-ил]-1,2-оксазол-3-ил}фенил)имино]-1лямбда6-тиоморфолин-1-он ("А129")

гидрохлорид, не совсем белое твердое вещество; ВЭЖХ/МС 1.29 мин (А), [М+Н]+ 486.

1H ЯМР (400 МГц, ДМСО-d6) δ 13.68 (s, 1Н), 9.38 (s, 2H), 8.00 (d, J=11.0 Гц, 1Н), 7.91 (d, J=8.5 Гц, 1Н), 7.61 (s, 1H), 7.28 (d, J=7.1 Гц, 1Н), 7.17 (d, J=8.6 Гц, 1Н), 4.40-4.28 (m, 2H), 3.96-3.40 (m, 10Н), 3.36 (s, 3Н).

Пример 8

3-[3-(6-этоксипиридин-3-ил)-1,2-оксазол-5-ил]-5-фтор-6-(2-метоксиэтокси)-1H-индазол ("А38")

не совсем белое твердое вещество; СВЭЖХ/МС 0.68 мин, [М+Н]+ 399.

1H ЯМР (400 МГц, ДМСО-d6) δ 13.70 (s, 1Н), 8.83 (d, J=2.4 Гц, 1Н), 8.29 (dd, J=8.7, 2.5 Гц, 1Н), 7.99 (d, J=11.0 Гц, 1Н), 7.71 (s, 1Н), 7.28 (d, J=7.0 Гц, 1Н), 6.99 (d, J=8.6 Гц, 1Н), 4.41 (q, J=7.0 Гц, 2H), 4.36-4.27 (m, 2H), 3.83-3.73 (m, 2H), 3.36 (s, 3Н), 1.37 (t, J=7.0 Гц, 3Н).

Следующее соединение получают аналогичным образом:

5-фтор-6-(2-метоксиэтокси)-3-[3-(6-метоксипиридин-3-ил)-изоксазол-5-ил]-1H-индазол ("А130")

белое твердое вещество; т.пл. 210-213°С; [М+Н]+ 385.

1H ЯМР (400 МГц, ДМСО-d6) 13.73 (s, 1Н), 8.85 (d, J=2.4 Гц, 1Н), 8.31 (dd, J=8.7, 2.5 Гц, 1Н), 8.00 (d, J=11.0 Гц, 1Н), 7.73 (s, 1Н), 7.28 (d, J=7.1 Гц, 1Н), 7.03 (d, J=8.7 Гц, 1Н), 4.30 (dd, J=5.6, 3.4 Гц, 2H), 3.95 (s, 3Н), 3.80-3.73 (m, 2H), 3.36 (s, 3Н).

Пример 9

5-фтор-6-(2-метоксиэтокси)-3-{3-[6-(4-метилпиперазин-1-ил)пиридин-3-ил]-1,2-оксазол-5-ил}-1H-индазол ("А39")

не совсем белый порошок; СВЭЖХ/МС 0.49 мин, [М+Н]+ 453.

1H ЯМР (500 МГц, ДМСО-d6) δ 13.68 (s, 1Н), 8.75 (dd, J=2.4, 0.7 Гц, 1Н), 8.10 (dd, J=9.0, 2.4 Гц, 1Н), 7.64 (s, 1Н), 7.27 (d, J=7.1 Гц, 1Н), 7.00 (d, J=9.0 Гц, 1Н), 4.36-4.02 (m, 2H), 3.84-3.69 (m, 2H), 3.71-3.52 (m, 4H), 3.36 (s, 3Н), 2.44-2.39 (m, 4H), 2.24 (s, 3Н).

Следующее соединение получают аналогичным образом:

4-(5-{5-[5-фтор-6-(2-метоксиэтокси)-1Н-индазол-3-ил]-1,2-оксазол-3-ил}пиридин-2-ил)-1лямбда6-тиоморфолин-1,1-дион ("А131")

не совсем белое твердое вещество; СВЭЖХ/МС 0.73 мин, [М+Н]+ 488.

1H ЯМР (700 МГц, ДМСО-d6) δ 13.70 (s, 1Н), 8.81 (d, J=2.4 Гц, 1Н), 8.19 (dd, J=8.9, 2.4 Гц, 1Н), 7.99 (d, J=10.9 Гц, 1Н), 7.68 (s, 1H), 7.28 (d, J=7.0 Гц, 1Н), 7.21 (d, J=8.9 Гц, 1Н), 4.39-4.26 (m, 2H), 4.17 (t, J=5.2 Гц, 4Н), 3.89-3.65 (m, 2H), 3.36 (s, 3Н), 3.18 (t, J=5.2 Гц, 4Н).

Пример 10

5-фтор-6-(2-метоксиэтокси)-3-(3-{4-[2-(морфолин-4-ил)этокси]фенил}-1,2-оксазол-5-ил)-1Н-индазол ("А40")

не совсем белый порошок; ВЭЖХ/МС 1.29 мин (А), [М+Н]+ 483.

1H ЯМР (500 МГц, ДМСО-d6) δ 13.69 (s, 1Н), 8.01 (d, J=11.0 Гц, 1Н), 7.97 (d, J=8.3 Гц, 2H), 7.65 (s, 1Н), 7.27 (d, J=7.1 Гц, 1Н), 7.13 (d, J=8.3 Гц, 2H), 4.33-4.27 (m, 2H), 4.21 (широкий, 2H), 3.80-3.71 (m, 2H), 3.62 (широкий, 4Н), 3.35 (s, 3H), 2.74 (широкий, 2Н).

Следующие соединения получают аналогичным образом:

4-[2-(4-{5-[5-фтор-6-(2-метоксиэтокси)-1Н-индазол-3-ил]-1,2-оксазол-3-ил}фенокси)этил]-1лямбда6-тиоморфолин-1,1-дион ("А132")

белый порошок; ВЭЖХ/МС 2.06 мин (А), [М+Н]+ 531.

1H ЯМР (500 МГц, ДМСО-d6) δ 13.66 (s, 1Н), 8.00 (d, J=11.0 Гц, 1Н), 7.96 (d, J=8.8 Гц, 2H), 7.63 (s, 1H), 7.27 (d, J=7.1 Гц, 1H), 7.12 (d, J=8.8 Гц, 2Н), 4.32-4.24 (m, 2Н), 4.18 (t, J=5.6 Гц, 2Н), 3.85-3.67 (m, 2Н), 3.35 (s, 3H), 3.14-3.04 (m, 8H), 2.97 (t, J=5.6 Гц, 2Н).

5-фтор-6-(2-метоксиэтокси)-3-(3-{4-[2-(4-метилпиперазин-1-ил)этокси]фенил}-1,2-оксазол-5-ил)-1Н-индазол ("А133")

5-фтор-6-(2-метоксиэтокси)-3-(3-{4-[2-(пиперазин-1-ил)этокси]фенил}-1,2-оксазол-5-ил)-1Н-индазол ("А134")

Пример 11

гидрохлорид 1-(4-{5-[5-фтор-6-(2-метоксиэтокси)-1Н-индазол-3-ил]-изоксазол-3-ил}-фенил)-1Н-пиридин-2-она ("А41")

не совсем белое твердое вещество; ВЭЖХ/МС 1.54 мин (А), [М+Н]+ 447.

1H ЯМР (400 МГц, ДМСО-d6) δ 13.72 (s, 1H), 8.17 (d, J=8.0 Гц, 2Н), 8.03 (d, J=11.0 Гц, 1H), 7.78 (s, 1H), 7.73 (d, J=6.9 Гц, 1H), 7.62 (d, J=8.1 Гц, 2Н), 7.54 (t, J=8.0 Гц, 1H), 7.28 (d, J=7.0 Гц, 1H), 6.52 (d, J=9.3 Гц, 1H), 6.36 (t, J=6.8 Гц, 1H), 4.33-4.28 (m, 2Н), 3.79-3.74 (m, 2Н), 3.36 (s, 3H).

Следующие соединения получают аналогичным образом:

2-(4-{5-[5-фтор-6-(2-метоксиэтокси)-1Н-индазол-3-ил]-изоксазол-3-ил}-фенил)-6-метил-2Н-пиридазин-3-он ("А136")

5-фтор-6-(2-метоксиэтокси)-3-[3-(1-метил-1Н-пиразол-4-ил)-изоксазол-5-ил]-1Н-индазол ("А137")

2-(4-{5-[5-фтор-6-(2-метоксиэтокси)-1Н-индазол-3-ил]-1,2-оксазол-3-ил}фенил)-1лямбда6,2-тиазолидин-1,1-дион ("А138")

4-(4-{5-[5-фтор-6-(2-метоксиэтокси)-1Н-индазол-3-ил]-1,2-оксазол-3-ил}фенил)морфолин-3-он ("А139")

не совсем белое твердое вещество; ВЭЖХ/МС 0.71 мин, [М+Н]+ 453.

1H ЯМР (500 МГц, ДМСО-d6) δ 13.71 (s, 1H), 8.08 (d, J=8.6 Гц, 1Н), 8.02 (d, J=11.0 Гц, 1H), 7.72 (s, 1H), 7.63 (d, J=8.6 Гц, 1H), 7.29 (d, J=7.1 Гц, 1Н), 4.34-4.28 (m, 2H), 4.26 (s, 2H), 4.07-4.00 (m, 2H), 3.89-3.81 (m, 2H), 3.81-3.73 (m, 2H), 3.36 (s, 3Н).

4-(5-{5-[5-фтор-6-(2-метоксиэтокси)-1Н-индазол-3-ил]-1,2-оксазол-3-ил}пиридин-2-ил)-1лямбда4-тиоморфолин-1-он ("А140")

не совсем белый порошок; ВЭЖХ/МС 1.43 мин (А), [М+Н]+ 472.

1H ЯМР (500 МГц, ДМСО-d6) δ 13.66 (s, 1Н), 8.79 (dd, J=2.4, 0.7 Гц, 1Н), 8.15 (dd, J=8.9, 2.4 Гц, 1Н), 7.98 (d, J=10.9 Гц, 1Н), 7.64 (s, 1Н), 7.27 (d, J=7.1 Гц, 1Н), 7.14 (d, J=8.8 Гц, 1Н), 4.42-4.22 (m, 4H), 3.99 (ddd, J=14.7, 11.1, 2.0 Гц, 2Н), 3.82-3.62 (m, 2H), 3.35 (s, 3Н), 2.92 (ddd, J=14.1, 11.1, 3.3 Гц, 2Н), 2.77-2.66 (m, 2Н).

5-фтор-6-(2-метоксиэтокси)-3-{3-[6-(морфолин-4-ил)пиридин-3-ил]-1,2-оксазол-5-ил}-1Н-индазол ("А141")

2-(4-{5-[5-фтор-6-(2-метоксиэтокси)-1Н-индазол-3-ил]-1,2-оксазол-3-ил}фенил)-2,3-дигидропиридазин-3-он ("А142")

белое твердое вещество; ВЭЖХ/МС 1.55 мин (А), [М+Н]+ 448.

1H ЯМР (400 МГц, ДМСО-d6) δ 13.70 (s, 1Н), 8.16 (d, J=8.6 Гц, 2Н), 8.12 (dd, J=3.8, 1.6 Гц, 1Н), 8.03 (d, J=11.0 Гц, 1Н), 7.79 (d, J=8.6 Гц, 2Н), 7.77 (s, 1Н), 7.53 (dd, J=9.5, 3.8 Гц, 1Н), 7.28 (d, J=7.0 Гц, 1Н), 7.12 (dd, J=9.5, 1.6 Гц, 1Н), 4.33-4.20 (m, 2Н), 3.79-3.70 (m, 2Н), 3.36 (s, 3H).

5-фтор-6-(2-метоксиэтокси)-3-{3-[4-(пиридин-2-илокси)фенил]-1,2-оксазол-5-ил}-1Н-индазол ("А143")

4-{5-[5-фтор-6-(2-метоксиэтокси)-1Н-индазол-3-ил]-1,2-оксазол-3-ил}-N,N-диметилбензол-1-сульфонамид ("А144")

5-фтор-6-(2-метоксиэтокси)-3-(3-{6-[3-(морфолин-4-ил)азетидин-1-ил]пиридин-3-ил}-1,2-оксазол-5-ил)-1Н-индазол ("А145")

5-фтор-6-(2-метоксиэтокси)-3-{3-[4-(морфолин-4-сульфонил)фенил]-1,2-оксазол-5-ил}-1Н-индазол ("А227")

Пример 12

гидрохлорид 3-{3-[4-(1,4-диазепан-1-ил)фенил]-1,2-оксазол-5-ил}-5-фтор-6-(2-метоксиэтокси)-1Н-индазола ("А42")

бледно-оранжевое твердое вещество; ВЭЖХ/МС 1.32 мин (А), [М+Н]+ 452.

1H ЯМР (500 МГц, ДМСО-d6) δ 13.68 (s, 1Н), 9.05 (s, 2H), 7.99 (d, J=11.0 Гц, 1Н), 7.86 (d, J=8.9 Гц, 2H), 7.56 (s, 1H), 7.27 (d, J=7.1 Гц, 1Н), 6.93 (d, J=9.0 Гц, 2H), 4.33-4.18 (m, 2H), 3.81 (t, J=5.1 Гц, 2H), 3.79-3.73 (m, 2H), 3.61 (t, J=6.1 Гц, 2H), 3.36(s, 3H), 3.27 (p, J=4.8 Гц, 3Н), 3.19-3.11 (m, 2H), 2.13 (р, J=5.9 Гц, 2Н).

Пример 13

(4-{3-[5-фтор-6-(2-метоксиэтокси)-1Н-индазол-3-ил]-изоксазол-5-ил}-фенил)-морфолин-4-илметанон ("А43")

белое твердое вещество; т.пл. 220-221°С, [М+Н]+ 467.

1H ЯМР (400 МГц, ДМСО-d6) δ 13.65 (s, 1Н), 8.15-8.05 (m, 2H), 7.82 (d, J=10.8 Гц, 1Н), 7.67-7.58 (m, 3Н), 7.27 (d, J=7.1 Гц, 1H), 4.33-4.26 (m, 2H), 3.80-3.73 (m, 2H), 3.73-3.53 (m, 6H), 3.48-3.43 (m, 5H).

Следующие соединения получают аналогичным образом:

(4-{3-[5-фтор-6-(2-метоксиэтокси)-1Н-индазол-3-ил]-изоксазол-5-ил}-фенил)-(4-метилпиперазин-1-ил)-метанон ("А113")

не совсем белое твердое вещество; т.пл. 210-211°С, [М+Н]+ 480.

1H ЯМР (400 МГц, ДМСО-d6) δ 13.63 (s, 1H), 8.12-8.05 (m, 2Н), 7.84 (d, J=10.8 Гц, 1H), 7.65 (s, 1H), 7.62-7.55 (m, 2Н), 7.27 (d, J=7.0 Гц, 1H), 4.33-4.26 (m, 2Н), 3.80-3.74 (m, 2Н), 3.65 (s, 2Н), 3.36 (s, 5H), 2.34 (d, J=31.8 Гц, 4Н), 2.21 (s, 3Н).

(4-{3-[5-фтор-6-(2-метоксиэтокси)-1Н-индазол-3-ил]-изоксазол-5-ил}-фенил)-(3-морфолин-4-илазетидин-1-ил)-метанон ("А146")

белое твердое вещество; т.пл. 229-230°С, [М+H]+ 522.

1H ЯМР (400 МГц, ДМСО-d6) δ 13.63 (s, 1H), 8.09 (d, J=8.1 Гц, 2Н), 7.84 (dd, J=9.6, 4.6 Гц, 3Н), 7.69 (s, 1H), 7.27 (d, J=7.0 Гц, 1H), 4.41-4.33 (m, 1H), 4.33-4.26 (m, 2Н), 4.24-4.16 (m, 1H), 4.15-4.05 (m, 1H), 3.96-3.88 (m, 1H), 3.80-3.73 (m, 2Н), 3.66-3.55 (m, 4H), 3.36 (s, 3Н), 3.23-3.12 (m, 1H), 2.44-2.26 (m, 4H).

(4-{3-[5-фтор-6-(2-метоксиэтокси)-1Н-индазол-3-ил]-изоксазол-5-ил}-фенил)-[(R)-2-(1-гидрокси-1-метилэтил)-азетидин-1-ил]-метанон ("А147")

не совсем белое твердое вещество; т.пл. 210-211°С, [М+Н]+ 495.

1H ЯМР (400 МГц, ДМСО-d6) δ 13.64 (s, 1H), 8.14-8.07 (m, 2Н), 7.88-7.79 (m, 3Н), 7.69 (s, 1H), 7.28 (d, J=7.1 Гц, 1H), 5.01 (s, 1H), 4.39 (dd, J=9.0, 5.6 Гц, 1H), 4.34-4.22 (m, 3Н), 4.01-3.92 (m, 1H), 3.80-3.73 (m, 2Н), 3.36 (s, 3Н), 2.34-2.27 (m, 1H), 2.18-2.10 (m, 1H), 1.15 (s, 6H).

(4-{3-[5-фтор-6-(2-метоксиэтокси)-1Н-индазол-3-ил]-изоксазол-5-ил}-фенил)-[(S)-2-(1-гидрокси-1-метилэтил)-азетидин-1-ил]-метанон ("А148")

Пример 14

5-фтор-6-(2-метоксиэтокси)-3-{3-[4-(1,4-оксазепан-4-карбонил)фенил]-1,2-оксазол-5-ил}-1Н-индазол ("А44")

К суспензии 4-{5-[5-фтор-6-(2-метоксиэтокси)-1Н-индазол-3-ил]-изоксазол-3-ил}-бензойной кислоты (79.5 мг, 0.20 ммоль) в ДМФА (1.0 мл) добавляют гомоморфолин (24.3 мг, 0.24 ммоль) с последующим добавлением гидрата 1-гидроксибензотриазола (6.1 мг, 0.04 ммоль) и гидрохлорида N-(3-диметиламинопропил)-N'-этилкарбодиимида (61 мг, 0.32 ммоль). Реакционную смесь перемешивают в течение 16 часов при комнатной температуре. К реакционной смеси добавляют воду. Полученный в результате осадок отфильтровывают и промывают водой. Остаток хроматографируют на колонке с силикагелем с помощью смеси метанол/дихлорметан с получением (4-{5-[5-фтор-6-(2-метоксиэтокси)-1Н-индазол-3-ил]-изоксазол-3-ил}-фенил)-[1,4]оксазепан-4-илметанона в виде белого твердого вещества; СВЭЖХ/МС 0.71 мин, [М+Н]+ 481.

1H ЯМР (500 МГц, ДМСО-d6) δ 13.70 (s, 1H), 8.10 (d, J=6.7 Гц, 3Н), 8.02 (d, J=11.0 Гц, 1H), 7.75 (s, 1H), 7.57 (d, J=7.3 Гц, 2Н), 7.28 (d, J=7.0 Гц, 1H), 4.33-4.24 (m, 2Н), 3.82-3.67 (m, 7H), 3.62 (t, J=5.1 Гц, 1H), 3.49-3.46 (m, 2Н), 3.36 (s, 3Н), 1.94-1.87 (m, 1H), 1.81-1.69 (m, 1H).

Следующие соединения получают аналогичным образом:

5-фтор-6-(2-метоксиэтокси)-3-(3-{4-[4-(оксетан-3-ил)пиперазин-1-карбонил]фенил}-1,2-оксазол-5-ил)-1Н-индазол ("А45")

белый порошок; ВЭЖХ/МС 1.26 мин (А), [М+Н]+ 522.

1H ЯМР (400 МГц, ДМСО-d6) δ 13.74 (s, 1Н), 8.11 (d, J=8.3 Гц, 2H), 8.04 (d, J=11.0 Гц, 1Н), 7.78 (s, 1Н), 7.58 (d, J=8.3 Гц, 2Н), 7.28 (d, J=7.1 Гц, 1Н), 4.55 (t, J=6.5 Гц, 2Н), 4.45 (t, J=6.1 Гц, 2Н), 4.33-4.26 (m, 2H), 3.82-3.73 (m, 2H), 3.68 (широкий, 2H), 3.51-3.37 (m, 3H), 2.35 (широкий, 2Н), 2.27 (широкий, 2Н).

5-фтор-6-(2-метоксиэтокси)-3-(3-{4-[3-(пиридин-2-ил)азетидин-1-карбонил]фенил}-1,2-оксазол-5-ил)-1Н-индазол ("А149")

белое твердое вещество; СВЭЖХ/МС 0.67 мин, [М+Н]+ 514.

1H ЯМР (400 МГц, ДМСО-d6) δ 13.71 (s, 1Н), 8.68-8.56 (m, 1Н), 8.13 (d, J=8.4 Гц, 2H), 8.04 (d, J=11.0 Гц, 1Н), 7.86 (d, J=8.4 Гц, 2H), 7.84-7.76 (m, 2H), 7.41 (d, J=7.8 Гц, 1Н), 7.36-7.24 (m, 2H), 4.75 (t, J=8.6 Гц, 1Н), 4.54 (t, J=7.2 Гц, 1Н), 4.47 (t, J=9.3 Гц, 1Н), 4.35-4.28 (m, 2H), 4.25 (t, J=8.0 Гц, 1Н), 4.10 (tt, J=8.9, 6.1 Гц, 1Н), 3.80-3.73 (m, 2H), 3.36 (s, 3H).

4-{5-[5-фтор-6-(2-метоксиэтокси)-1Н-индазол-3-ил]-1,2-оксазол-3-ил}-N-(2-метансульфонилэтил)-N-метилбензамид ("А150")

6-(4-{5-[5-фтор-6-(2-метоксиэтокси)-1Н-индазол-3-ил]-1,2-оксазол-3-ил}бензоил)-2лямбда6-тиа-6-азаспиро[3.3]гептан-2,2-дион ("А151")

5-фтор-3-(3-{4-[(2S)-2-(метансульфонилметил)азетидин-1-карбонил]фенил}-1,2-оксазол-5-ил)-6-(2-метоксиэтокси)-1Н-индазол ("А152")

белое твердое вещество; СВЭЖХ/МС 0.71 мин, [М+Н]+ 529.

1H ЯМР (400 МГц, ДМСО-d6) δ 13.69 (s, 1Н), 8.12 (d, J=8.4 Гц, 2H), 8.01 (d, J=11.0 Гц, 1Н), 7.80 (d, J=8.4 Гц, 2H), 7.75 (s, 1Н), 7.28 (d, J=7.1 Гц, 1Н), 4.89 (bs, 1Н), 4.46 (bs, 1Н), 4.35-4.21 (m, 2H), 4.17 (bs, 1Н), 3.85 (bs, 1Н), 3.82-3.63 (m, 3H), 3.35 (s, 3H), 3.07 (s, 3H), 2.56 (bs, 1Н), 2.44-2.26 (m, 1Н).

5-фтор-6-(2-метоксиэтокси)-3-(3-{4-[3-(морфолин-4-ил)пирролидин-1-карбонил]фенил}-1,2-оксазол-5-ил)-1Н-индазол ("А153")

белый порошок; ВЭЖХ/МС 1.25 мин, [M+H]+ 536.

1H ЯМР (400 МГц, ДМСО-d6) δ 13.70 (s, 1Н), 8.09 (d, J=7.9 Гц, 1Н), 8.02 (d, J=11.0 Гц, 0Н), 7.76 (s, 0Н), 7.73-7.66 (m, 2H), 7.28 (d, J=7.1 Гц, 1Н), 4.36-4.26 (m, 2H), 3.81-3.71 (m, 2H), 3.72-3.40 (m, 8H), 3.36 (s, 3H), 2.92-2.74 (m, 1Н), 2.50-2.36 (m, 3H), 2.34-2.24 (m, 1Н), 2.20-2.10 (m, 1Н), 1.85-1.65 (m, 1Н).

5-фтор-3-(3-{4-[(2R)-2-(метансульфонилметил)азетидин-1-карбонил]фенил}-1,2-оксазол-5-ил)-6-(2-метоксиэтокси)-1Н-индазол ("А154")

5-(4-{5-[5-фтор-6-(2-метоксиэтокси)-1Н-индазол-3-ил]-1,2-оксазол-3-ил}бензоил)-2,8-диокса-5-азаспиро[3.5]нонан ("А155")

белое твердое вещество; СВЭЖХ/МС 0.73 мин, [М+Н]+ 509.

1H ЯМР (400 МГц, ДМСО-d6) δ 13.71 (s, 1H), 8.14 (d, J=8.3 Гц, 2Н), 8.02 (d, J=11.0 Гц, 1H), 7.78 (s, 1H), 7.74 (d, J=8.4 Гц, 2H), 7.28 (d, J=7.1 Гц, 1Н), 4.78 (d, J=6.8 Гц, 2H), 4.41 (d, J=6.9 Гц, 2H), 4.35-4.20 (m, 2H), 3.99 (s, 2H), 3.81-3.74 (m, 2H), 3.43 (t, J=4.7 Гц, 2H), 3.39-3.34 (m, 5H).

N-[(1Н-1,3-бензодиазол-2-ил)метил]-4-{5-[5-фтор-6-(2-метоксиэтокси)-1Н-индазол-3-ил]-1,2-оксазол-3-ил}бензамид ("А156")

7-(4-{5-[5-фтор-6-(2-метоксиэтокси)-1Н-индазол-3-ил]-1,2-оксазол-3-ил}бензоил)-2-окса-7-азаспиро[4.4]нонан ("А157")

белое твердое вещество; ВЭЖХ/МС 1.54 мин (А), [М+Н]+ 507.

1H ЯМР (400 МГц, ДМСО-d6; смесь поворотных изомеров) δ 13.71 (s, 1H), 8.10 (d, J=8.4 Гц, 2H), 8.06-8.00 (m, 1H), 7.76 (d, J=3.9 Гц, 1H), 7.74-7.66 (m, 2H), 7.28 (d, J=7.1 Гц, 1H), 4.35-4.28 (m, 2H), 3.87-3.46 (m, 9H), 3.41 (s, 1H), 3.36 (s, 3H), 2.04-1.72 (m, 4H).

5-фтор-6-(2-метоксиэтокси)-3-[3-(4-{2-окса-6-азаспиро[3.4]октан-6-карбонил}фенил)-1,2-оксазол-5-ил]-1Н-индазол ("А158")

белое твердое вещество; ВЭЖХ/МС 1.48 мин (А), [М+Н]+ 493.

1H ЯМР (700 МГц, ДМСО-d6; смесь поворотных изомеров) δ 13.72 (d, J=2.6 Гц, 1H), 8.13-8.07 (m, 2H), 8.04 (d, J=10.8 Гц, 1H), 7.79-7.77 (m, 1H), 7.73-7.67 (m, 2H), 7.29-7.26 (m, 1H), 4.64 (d, J=5.9 Гц, 1H), 4.51 (d, J=5.9 Гц, 1Н), 4.49 (d, J=6.3 Гц, 1H), 4.45 (d, J=6.3 Гц, 1H), 4.32-4.28 (m, 2H), 3.78-3.65 (m, 2H), 3.74 (s, 1H), 3.69 (s, 1H), 3.52 (t, J=7.2 Гц, 1H), 3.47 (t, J=6.8 Гц, 1Н), 3.36 (s, 3H), 2.20 (t, J=7.2 Гц, 1H), 2.16 (t, J=6.8 Гц, 1Н).

2-(4-{5-[5-фтор-6-(2-метоксиэтокси)-1Н-индазол-3-ил]-1,2-оксазол-3-ил}бензоил)-8-окса-2-азаспиро[4.5]декан ("А159")

белое твердое вещество; ВЭЖХ/МС 1.50 мин (А), [М+Н]+ 521.

1H ЯМР (700 МГц, ДМСО-d6; смесь поворотных изомеров) δ 13.72 (s, 1H), 8.12-8.07 (m, 2H), 8.04 (d, J=10.8 Гц, 1H), 7.79-7.77 (m, 1H), 7.76-7.66 (m, 2H), 7.30-7.27 (m, 1H), 4.31-4.28 (m, 2H), 3.84-3.73 (m, 2H), 3.68-3.50 (m, 5H), 3.49-3.44 (m, 1H), 3.43 (s, 1H), 3.36 (s, 3H), 3.33 (s, 1H), 1.86 (t, J=7.3 Гц, 1H), 1.80 (t, J=7.0 Гц, 1H), 1.63-1.53 (m, 2H), 1.50-1.42 (m, 2H).

5-фтор-6-(2-метоксиэтокси)-3-[3-(4-{2-метил-2,6-диазаспиро[3.4]октан-6-карбонил}фенил)-1,2-оксазол-5-ил]-1Н-индазол ("А160")

5-фтор-6-(2-метоксиэтокси)-3-[3-(4-{6-окса-3-азабицикло[3.1.1]гептан-3-карбонил}фенил)-1,2-оксазол-5-ил]-1Н-индазол ("А161")

белое твердое вещество; СВЭЖХ/МС 0.69 мин, [М+Н]+ 479.

1H ЯМР (500 МГц, ДМСО-d6) δ 13.70 (s, 1H), 8.11 (d, J=8.4 Гц, 1H), 8.03 (d, J=11.0 Гц, 1H), 7.76 (s, 1H), 7.68 (d, J=8.4 Гц, 1H), 7.28 (d, J=7.1 Гц, 1H), 4.67 (s, 1H), 4.50 (s, 1H), 4.38-4.23 (m, 2H), 3.99 (d, J=13.9, 1H), 3.85-3.71 (m, 3H), 3.66-3.56 (m, 1H), 3.55-3.45 (m, 1H), 3.36 (s, 3H), 3.14-3.02 (m, 1H), 1.88 (d, J=8.9 Гц, 1Н).

5-фтор-6-(2-метоксиэтокси)-3-(3-{4-[(1S,4S)-2-окса-5-азабицикло[2.2.1]гептан-5-карбонил]фенил}-1,2-оксазол-5-ил)-1Н-индазол ("А162")

5-фтор-6-(2-метоксиэтокси)-3-(3-{4-[(1R,4R)-2-окса-5-азабицикло[2.2.1]гептан-5-карбонил]фенил}-1,2-оксазол-5-ил)-1Н-индазол ("А163")

белое твердое вещество; СВЭЖХ/МС 0.69 мин, [М+Н]+ 479.

1H ЯМР (500 МГц, ДМСО-d6, смесь поворотных изомеров) δ 13.70 (s, 1H), 8.15-8.07 (m, 2H), 8.05-8.00 (m, 1H), 7.76 (d, J=2.2 Гц, 1Н), 7.73 (d, J=8.1 Гц, 1H), 7.67 (m, 1H), 7.28 (d, J=7.0 Гц, 1H), 4.87 (s, 0.5H), 4.68 (s, 1H), 4.59 (s, 0.5H), 4.41 (s, 0.5H), 4.34-4.27 (m, 2H), 3.93 (d, J=7.4 Гц, 0.5H), 3.85 (d, J=7.5 Гц, 0.5H), 3.83-3.65 (m, 3H), 3.61-3.51 (m, 1H), 3.36 (s, 3H), 1.98-1.73 (m, 2Н).

4-{5-[5-фтор-6-(2-метоксиэтокси)-1Н-индазол-3-ил]-1,2-оксазол-3-ил}-N-[2-метил-2-(морфолин-4-ил)пропил]бензамид ("А164")

2-(4-{5-[5-фтор-6-(2-метоксиэтокси)-1Н-индазол-3-ил]-1,2-оксазол-3-ил}бензоил)-7-окса-2-азаспиро[3.5]нонан ("А165")

белое твердое вещество; ВЭЖХ/МС 1.57 мин (А), [М+Н]+ 507.

1H ЯМР (500 МГц, ДМСО-d6) δ 13.70 (s, 1H), 8.14-8.09 (m, 2H), 8.02 (d, J=11.0 Гц, 1H), 7.82 (d, J=8.4 Гц, 2H), 7.77 (s, 1H), 7.28 (d, J=7.1 Гц, 1Н), 4.34-4.23 (m, 2H), 4.11 (s, 2H), 3.82 (s, 2H), 3.79-3.74 (m, 2H), 3.63-3.43 (m, 4H), 3.36 (s, 3H), 1.79-1.69 (m, 4H).

5-фтор-6-(2-метоксиэтокси)-3-(3-{4-[3-(3-метил-1,2,4-оксадиазол-5-ил)азетидин-1-карбонил]фенил}-1,2-оксазол-5-ил)-1Н-индазол ("А166")

белое твердое вещество; ВЭЖХ/МС 1.57 мин, [М+Н]+ 519.

1H ЯМР (500 МГц, ДМСО-d6) δ 13.70 (s, 1H), 8.13 (d, J=8.4 Гц, 2H), 8.03 (d, J=11.0 Гц, 1H), 7.83 (d, J=8.4 Гц, 2H), 7.78 (s, 1H), 7.28 (d, J=7.1 Гц, 1H), 4.78 (t, J=7.7 Гц, 2H), 4.64-4.46 (m, 4H), 4.36-4.22 (m, 5H), 3.83-3.71 (m, 2H), 3.36 (s, 3H), 2.36 (s, 3H).

(4-{5-[5-хлор-6-(2-метоксиэтокси)-1Н-индазол-3-ил]-изоксазол-3-ил}-фенил)-(4-метилпиперазин-1-ил)-метанон ("А167")

белое твердое вещество; т.пл. 105-106°С, [М+Н]+ 496.

1H ЯМР (400 МГц, ДМСО-d6) δ 13.73 (s, 1H), 8.32 (s, 1H), 8.16-8.09 (m, 2H), 7.83 (s, 1H), 7.61-7.53 (m, 2H), 7.27 (s, 1H), 4.34-4.27 (m, 2H), 3.82-3.75 (m, 2H), 3.71-3.59 (m, 2H), 3.41-.33 (m, 5H), 2.43-2.26 (m, 4H), 2.22 (s, 3H).

(2-фтор-4-{5-[5-фтор-6-(2-метоксиэтокси)-1Н-индазол-3-ил]-изоксазол-3-ил}-фенил)-(3-морфолин-4-илазетидин-1-ил)-метанон ("А168")

белое твердое вещество; т.пл. 119-120°С, [М+Н]+ 540.

1H ЯМР (400 МГц, ДМСО-d6) δ 13.76-13.68 (m, 1Н), 8.09-7.91 (m, 3Н), 7.82 (s, 1Н), 7.72 (t, J=7.5 Гц, 1Н), 7.27 (d, J=7.1 Гц, 1Н), 4.36-4.25 (m, 2H), 4.15-4.04 (m, 2H), 3.94-3.85 (m, 2H), 3.81-3.73 (m, 2H), 3.68-3.47 (m, 4H), 3.36 (s, 3H), 3.24-3.14 (m, 1H), 2.43-2.19 (m, 4H).

(4-{5-[5-фтор-6-(2-метоксиэтокси)-1Н-индазол-3-ил]-изоксазол-3-ил}-2-метилфенил)-(6-окса-1-азаспиро[3.3]гепт-1-ил)-метанон ("А169")

белое твердое вещество; т.пл. 129 130°С, [М+Н]+ 493.

1H ЯМР (400 МГц, ДМСО-d6) δ 13.7 (s, 1Н), 8.09-7.94 (m, 2H), 7.90 (d, J=7.8 Гц, 1Н), 7.74 (s, 1Н), 7.47 (d, J=7.9 Гц, 1Н), 7.28 (d, J=7.1 Гц, 1Н), 5.37 (d, J=6.7 Гц, 2H), 4.64 (d, J=6.7 Гц, 2H), 4.34-4.27 (m, 2H), 3.80-3.69 (m, 4H), 3.37 (s, 3Н), 2.55 (m, 2H), 2.42 (s, 3Н).

(2-фтор-4-{5-[5-фтор-6-(2-метоксиэтокси)-1Н-индазол-3-ил]-изоксазол-3-ил}-фенил)-(6-окса-1-азаспиро[3.3]гепт-1-ил)-метанон ("А170")

(4-{5-[5-фтор-6-(2-метоксиэтокси)-1Н-индазол-3-ил]-изоксазол-3-ил}-2-метилфенил)-(3-морфолин-4-илазетидин-1-ил)-метанон ("А171")

белое твердое вещество; т.пл. 125 126°С, [М+Н]+ 536.

1H ЯМР (400 МГц, ДМСО-d6) δ 13.78-13.66 (m, 1H), 8.04 (d, J=11.0 Гц, 1H), 7.99-7.94 (m, 1H), 7.89 (d, J=7.9 Гц, 1H), 7.75 (s, 1H), 7.47 (d, J=7.9 Гц, 1H), 7.28 (d, J=7.1 Гц, 1H), 4.36-4.25 (m, 2Н), 4.12-4.05 (m, 1H), 3.98-3.86 (m, 2H), 3.84-3.71 (m, 3H), 3.59 (t, J=4.5 Гц, 4Н), 3.41-3.26 (m, 3H), 3.21-3.13 (m, 1H), 2.41 (s, 3H), 2.37-2.21 (m, 4H).

5-фтор-6-(2-метоксиэтокси)-3-(3-{4-[3-(пиримидин-4-ил)азетидин-1-карбонил]фенил}-1,2-оксазол-5-ил)-1Н-индазол ("А172")

белое твердое вещество; ВЭЖХ/МС 1.49 мин (А), [М+Н]+ 515.

1H ЯМР (400 МГц, ДМСО-d6) δ 13.75 (s, 1H), 9.22 (d, J=1.3 Гц, 1H), 8.77 (d, J=5.2 Гц, 1H), 8.13 (d, J=8.5 Гц, 2Н), 8.04 (d, J=11.1 Гц, 1H), 7.85 (d, J=8.4 Гц, 2Н), 7.80 (s, 1H), 7.57 (dd, J=5.2, 1.4 Гц, 1H), 7.28 (d, J=7.1 Гц, 1H), 4.75 (t, J=8.7 Гц, 1H), 4.54 (dd, J=8.5, 5.9 Гц, 1H), 4.47 (t, J=9.4 Гц, 1H), 4.35-4.27 (m, 2Н), 4.24 (dd, J=9.8, 6.0 Гц, 1H), 4.10 (tt, J=8.8, 5.9 Гц, 1H), 3.85-3.70 (m, 2Н), 3.35 (s, 3H).

5-фтор-6-(2-метоксиэтокси)-3-(3-{4-[3-(2-метилпиримидин-4-ил)азетидин-1-карбонил]фенил}-1,2-оксазол-5-ил)-1Н-индазол ("А173")

трифторацетат, желтый порошок; СВЭЖХ/МС 0.71 мин, [М+Н]+ 529.

1H ЯМР (500 МГц, ДМСО-d6) δ 13.71 (s, 1H), 8.65 (d, J=5.2 Гц, 1H), 8.13 (d, J=8.4 Гц, 1H), 8.03 (d, J=11.0 Гц, 1H), 7.85 (d, J=8.4 Гц, 1H), 7.77 (s, 1H), 7.36 (d, J=5.2 Гц, 1H), 7.28 (d, J=7.1 Гц, 1H), 4.72 (t, J=8.7 Гц, 1H), 4.54 (t, J=7.3 Гц, 1H), 4.46 (t, J=9.4 Гц, 1H), 4.33-4.27 (m, 2H), 4.24 (t, J=8.0 Гц, 1H), 4.06 (tt, J=9.0, 6.1 Гц, 1H), 3.80-3.72 (m, 2H), 3.36 (s, 3Н), 2.64 (s, 3Н).

5-фтор-6-(2-метоксиэтокси)-3-(3-{4-[2-метил-4-(оксетан-3-ил)пиперазин-1-карбонил]фенил}-1,2-оксазол-5-ил)-1Н-индазол ("А174")

5-фтор-6-(2-метоксиэтокси)-3-(3-{4-[4-(оксолан-3-ил)пиперазин-1-карбонил]фенил}-1,2-оксазол-5-ил)-1Н-индазол ("А175")

7-(4-{5-[5-фтор-6-(2-метоксиэтокси)-1Н-индазол-3-ил]-1,2-оксазол-3-ил}бензоил)-2-метил-2,7-диазаспиро[3.5]нонан ("А176")

5-фтор-6-(2-метоксиэтокси)-3-(3-{4-[3-(пиперидин-1-ил)азетидин-1-карбонил]фенил}-1,2-оксазол-5-ил)-1Н-индазол ("А177")

белое твердое вещество; ВЭЖХ/МС 1.28 мин (А), [М+Н]+ 520.

1H ЯМР (500 МГц, ДМСО-d6) δ 13.71 (s, 1H), 8.15-8.07 (m, 2H), 8.02 (d, J=11.0 Гц, 1H), 7.81 (d, J=8.4 Гц, 2H), 7.77 (s, 1H), 7.28 (d, J=7.1 Гц, 1H), 4.34 (t, J=8.1 Гц, 1H), 4.15 (dd, J=8.7, 5.2 Гц, 1H), 4.12-4.05 (m, 1H), 3.87 (dd, J=10.2, 5.2 Гц, 1H), 3.79-3.74 (m, 2H), 3.36 (s, 3H), 3.12 (tt, J=7.2, 5.3 Гц, 1Н), 2.25 (bs, 4H), 1.51 (dq, J=11.0, 5.1 Гц, 4Н), 1.45-1.38 (m, 2H).

5-фтор-6-(2-метоксиэтокси)-3-(3-{4-[3-(пирролидин-1-ил)азетидин-1-карбонил]фенил}-1,2-оксазол-5-ил)-1Н-индазол ("А178")

белое твердое вещество; ВЭЖХ/МС 1.27 мин (А), [М+Н]+ 506.

1H ЯМР (500 МГц, ДМСО-d6) δ 13.71 (s, 1H), 8.10 (d, J=8.4 Гц, 2H), 8.02 (d, J=11.0 Гц, 1H), 7.80 (d, J=8.4 Гц, 2H), 7.77 (s, 1H), 7.28 (d, J=7.1 Гц, 1H), 4.39 (t, J=8.0 Гц, 1H), 4.33-4.26 (m, 2H), 4.18 (dd, J=8.8, 4.7 Гц, 1H), 4.16-4.09 (m, 2H), 3.92 (dd, J=10.2, 4.7 Гц, 1H), 3.79-3.74 (m, 2H), 3.36 (s, 3H), 3.34-3.30 (m, 1H), 2.48-2.41 (m, 4H), 1.75-1.67 (m, 4H).

3-(3-{4-[4-(циклопропилметил)пиперазин-1-карбонил]фенил}-1,2-оксазол-5-ил)-5-фтор-6-(2-метоксиэтокси)-1Н-индазол ("А179")

белое твердое вещество; СВЭЖХ/МС 0.51 мин, [М+Н]+ 520.

1H ЯМР (500 МГц, ДМСО-d6) δ 13.70 (s, 1Н), 8.10 (d, J=8.3 Гц, 1Н), 8.02 (d, J=11.0 Гц, 1Н), 7.75 (s, 1Н), 7.56 (d, J=8.3 Гц, 1Н), 7.28 (d, J=7.1 Гц, 1Н), 4.34-4.22 (m, 2H), 3.81-3.73 (m, 2H), 3.66 (bs, 2H), 3.38 (bs, 2H), 3.36 (s, 3H), 2.44 (bs, 4H), 2.23 (d, J=6.6 Гц, 2H), 0.90-0.78 (m, 1Н), 0.52-0.43 (m, 2H), 0.12-0.05 (m, 2H).

5-фтор-6-(2-метоксиэтокси)-3-(3-{4-[(2R)-2-метилморфолин-4-карбонил]фенил}-1,2-оксазол-5-ил)-1Н-индазол ("А180")

1-(4-{5-[5-фтор-6-(2-метоксиэтокси)-1Н-индазол-3-ил]-1,2-оксазол-3-ил}бензоил)-N,N,3-триметилазетидин-3-амин ("А181")

трифторацетат, белое твердое вещество; СВЭЖХ/МС 0.79 мин, [М+Н]+ 494.

1H ЯМР (500 МГц, ДМСО-d6) δ 13.74 (s, 1Н), 10.66 (bs, 1Н), 8.15 (d, J=8.5 Гц, 2H), 8.02 (d, J=10.9 Гц, 1Н), 7.83 (d, J=8.4 Гц, 2H), 7.79 (s, 1Н), 7.29 (d, J=7.1 Гц, 1Н), 4.51 (d, J=10.0 Гц, 1Н), 4.38-4.25 (m, 4H), 3.98 (d, J=11.2 Гц, 1Н), 3.81-3.72 (m, 2H), 3.36 (s, 3Н), 2.74 (bs, 6H), 1.62 (s, 3H).

5-фтор-6-(2-метоксиэтокси)-3-[3-(4-{3-окса-6-азабицикло[3.1.1]гептан-6-карбонил}фенил)-1,2-оксазол-5-ил]-1Н-индазол ("А182")

белое твердое вещество; ВЭЖХ/МС 1.54 мин (А), [М+Н]+ 479.

1H ЯМР (500 МГц, ДМСО-d6) δ 13.71 (s, 1Н), 8.12 (d, J=8.3 Гц, 2Н), 8.02 (d, J=11.0 Гц, 1Н), 7.82 (d, J=8.3 Гц, 2Н), 7.76 (s, 1Н), 7.28 (d, J=7.1 Гц, 1Н), 4.64 (bs, 1Н), 4.43 (bs, 1H), 4.35-4.22 (m, 2H), 3.87-3.73 (m, 3Н), 3.69 (d, J=10.7 Гц, 1Н), 3.36 (s, 3Н), 2.77 (q, J=6.9 Гц, 1H), 1.82 (d, J=8.2 Гц, 1Н).

5-фтор-6-(2-метоксиэтокси)-3-[3-(4-{1Н,2Н,3Н-пирроло[3,4-с]пиридин-2-карбонил}фенил)-1,2-оксазол-5-ил]-1Н-индазол ("А183")

белое твердое вещество; ВЭЖХ/МС 1.34 мин (А), [М+Н]+ 500.

1H ЯМР (500 МГц, ДМСО-d6, смесь поворотных изомеров), δ 13.71 (s, 1Н), 8.72 (s, 0.5H), 8.60-8.51 (m, 1.5H), 8.20-8.12 (m, 4H), 8.03 (d, J=10.9 Гц, 2Н), 7.81 (d, J=8.1 Гц, 2Н), 7.79 (s, 1Н), 7.58 (d, J=5.2 Гц, 0.5H), 7.45 (d, J=5.1 Гц, 0.5H), 7.29 (d, J=7.1 Гц, 1Н), 5.02-4.95 (m, 2Н), 4.91 (s, 2Н), 4.36-4.17 (m, 2Н), 3.87-3.72 (m, 2Н), 3.36 (s, 3H).

(4-{5-[5-фтор-6-(2-метоксиэтокси)-1Н-индазол-3-ил]-изоксазол-3-ил}-фенил)-((R)-3-метансульфонилметилморфолин-4-ил)-метанон ("А184")

5-фтор-6-(2-метоксиэтокси)-3-[3-(4-{4-[(3R)-оксолан-3-ил]пиперазин-1-карбонил}фенил)-1,2-оксазол-5-ил]-1Н-индазол ("А185")

5-фтор-6-(2-метоксиэтокси)-3-[3-(4-{4-[(3S)-оксолан-3-ил]пиперазин-1-карбонил}фенил)-1,2-оксазол-5-ил]-1Н-индазол ("А186")

белое твердое вещество; ВЭЖХ/МС 1.26 мин (А), [М+Н]+ 536.

1H ЯМР (400 МГц, ДМСО-d6) δ 13.74 (s, 1Н), 8.11 (d, J=7.9 Гц, 2H), 8.04 (d, J=11.0 Гц, 1Н), 7.78 (s, 1Н), 7.58 (d, J=7.9 Гц, 2H), 7.28 (d, J=7.1 Гц, 1Н), 4.37-4.26 (m, 2H), 3.86-3.71 (m, 4H), 3.64 (q, J=7.9 Гц, 2Н), 3.55-3.48 (m, 1Н), 3.35 (s, 3Н), 2.96 (t, J=7.1 Гц, 1Н), 2.48-2.28 (m, 5H), 2.03-1.93 (m, 1Н), 1.81-1.70 (m, 1H).

5-фтор-6-(2-метоксиэтокси)-3-{3-[4-(3-{2-окса-6-азаспиро[3.3]гептан-6-ил}азетидин-1-карбонил)фенил]-1,2-оксазол-5-ил}-1Н-индазол ("А187")

5-фтор-6-(2-метоксиэтокси)-3-(3-{4-[4-(оксан-4-ил)пиперазин-1-карбонил]фенил}-1,2-оксазол-5-ил)-1Н-индазол ("А188")

не совсем белое твердое вещество; ВЭЖХ/МС 1.23 мин (А), [М+Н]+ 550.

1H ЯМР (500 МГц, ДМСО-d6) δ 13.70 (s, 1Н), 8.10 (d, J=8.3 Гц, 2H), 8.02 (d, J=10.9 Гц, 1Н), 7.75 (s, 1Н), 7.57 (d, J=8.2 Гц, 2H), 7.28 (d, J=7.1 Гц, 1Н), 4.52-4.20 (m, 2H), 4.03-3.82 (m, 2H), 3.82-3.68 (m, 2H), 3.64 (bs, 2H), 3.37 (bs, 2H), 3.36 (s, 3H), 3.30-3.24 (m, 2Н), 2.62-2.40 (m, 5H), 1.74-1.65 (m, 2Н), 1.41 (qd, J=12.1, 4.3 Гц, 2Н).

5-фтор-6-(2-метоксиэтокси)-3-(3-{4-[(2S)-2-метилморфолин-4-карбонил]фенил}-1,2-оксазол-5-ил)-1Н-индазол ("А189")

белое твердое вещество; СВЭЖХ/МС 0.73 мин, [М+Н]+ 481.

1H ЯМР (500 МГц, ДМСО-d6, поворотные изомеры, выбор пиков) δ 13.70 (s, 1Н), 8.11 (d, J=8.3 Гц, 1H), 8.02 (d, J=11.0 Гц, 1H), 7.76 (s, 1H), 7.59 (d, J=8.3 Гц, 1H), 7.28 (d, J=7.1 Гц, 1H), 4.33-4.25 (m, 2Н), 3.79-3.73 (m, 2Н), 3.58-3.40 (m, 2Н), 3.36 (s, 3H), 2.94 (широкий, 1H), 1.29-0.94 (m, 3H).

5-фтор-6-(2-метоксиэтокси)-3-(3-{4-[(2R)-2-метил-4-(оксетан-3-ил)пиперазин-1-карбонил]фенил}-1,2-оксазол-5-ил)-1Н-индазол ("А190")

белое твердое вещество; ВЭЖХ/МС 1.34 мин, [М+Н]+ 536.

1H ЯМР (500 МГц, ДМСО-d6) δ 13.70 (s, 1H), 8.10 (d, J=8.3 Гц, 2Н), 8.02 (d, J=11.0 Гц, 1H), 7.75 (s, 1H), 7.55 (d, J=8.3 Гц, 2Н), 7.28 (d, J=7.1 Гц, 1H), 4.54 (td, J=6.5, 4.4 Гц, 2Н), 4.46 (t, J=6.1 Гц, 1H), 4.39 (t, J=6.0 Гц, 1H), 4.32-4.27 (m, 2Н), 4.2 (широкий, 2Н), 3.80-3.73 (m, 2Н), 3.41 (p, J=6.3 Гц, 1Н), 3.36 (s, 3H), 3.28-3.12 (m, 1H), 2.73 (bs, 1H), 2.61-2.53 (m, 1H), 2.03 (dd, J=11.1, 3.8 Гц, 1H), 1.86 (td, J=11.4, 3.4 Гц, 1H), 1.32 (d, J=6.8 Гц, 3Н).

5-фтор-6-(2-метоксиэтокси)-3-(3-{4-[(2S)-2-метил-4-(оксетан-3-ил)пиперазин-1-карбонил]фенил}-1,2-оксазол-5-ил)-1Н-индазол ("А191")

5-фтор-6-(2-метоксиэтокси)-3-(3-{4-[3-(пиридин-3-ил)азетидин-1-карбонил]фенил}-1,2-оксазол-5-ил)-1Н-индазол ("А192")

белый порошок; СВЭЖХ/МС 0.57 мин, [М+Н]+ 514.

1H ЯМР (700 МГц, ДМСО-d6) δ 13.71 (s, 1Н), 8.61 (d, J=2.4 Гц, 1Н), 8.50 (dd, J=4.8, 1.6 Гц, 1Н), 8.12 (d, J=8.3 Гц, 2Н), 8.02 (d, J=10.9 Гц, 1Н), 7.93 (dt, J=7.9, 2.1 Гц, 1Н), 7.87 (d, J=8.4 Гц, 2Н), 7.77 (s, 1Н), 7.45-7.40 (m, 1Н), 7.28 (d, J=7.1 Гц, 1Н), 4.75 (t, J=8.8 Гц, 1Н), 4.51 (dt, J=31.8, 8.7 Гц, 2Н), 4.31-4.27 (m, 2Н), 4.14-4.08 (m, 1Н), 4.03 (tt, J=9.1, 6.3 Гц, 1Н), 3.78-3.74 (m, 2Н), 3.35 (s, 3H).

(4-{5-[5-фтор-6-(2-метоксиэтокси)-1Н-индазол-3-ил]-изоксазол-3-ил}-2-метилфенил)-(4-оксетан-3-илпиперазин-1-ил)-метанон ("А193")

белое твердое вещество; т.пл. 138 139°С, [М+Н]+536.

1H ЯМР (400 МГц, ДМСО-d6) δ 13.74 (s, 1Н), 8.04 (d, J=11.0 Гц, 1Н), 7.99-7.94 (m, 1Н), 7.90 (d, J=7.8, 1.7 Гц, 1Н), 7.75 (s, 1Н), 7.35 (d, J=7.9 Гц, 1Н), 7.28 (d, J=7.1 Гц, 1Н), 4.54 (t, J=6.5 Гц, 2Н), 4.43 (t, J=6.1 Гц, 2Н), 4.33-4.26 (m, 2Н), 3.81-3.75 (m, 2Н), 3.72-3.60 (m, 2Н), 3.49-3.42 (m, 1Н), 3.35 (s, 3H), 3.24-3.17 (m, 2Н), 2.40-2.30 (m, 5H), 2.26-2.13 (m, 2H).

(4-{5-[5-хлор-6-(2-метоксиэтокси)-1Н-индазол-3-ил]-изоксазол-3-ил}-фенил)-(4-оксетан-3-илпиперазин-1-ил)-метанон ("А194")

белое твердое вещество; т.пл. 123-124°С, [М+Н]+ 538.

1H ЯМР (400 МГц, ДМСО-d6) δ 13.83-13.66 (m, 1H), 8.30 (s, 1H), 8.15-8.08 (m, 2H), 7.81 (s, 1H), 7.61-7.54 (m, 2H), 7.26 (s, 1H), 4.55 (t, J=6.5 Гц, 2H), 4.45 (t, J=6.1 Гц, 2Н), 4.33-4.26 (m, 2H), 3.81-3.74 (m, 2H), 3.73-3.61 (m, 2H), 3.53-3.36 (m, 6H), 2.40-2.22 (m, 4H).

5-фтор-6-(2-метоксиэтокси)-3-[3-(4-{3-[4-(2-метоксиэтил)-4Н-1,2,4-триазол-3-ил]азетидин-1-карбонил}фенил)-1,2-оксазол-5-ил]-1Н-индазол ("А195")

(2-фтор-4-{5-[5-фтор-6-(2-метоксиэтокси)-1Н-индазол-3-ил]-изоксазол-3-ил}-фенил)-(4-оксетан-3-илпиперазин-1-ил)-метанон ("А196")

желтое твердое вещество; т.пл. 161 162°С, [М+Н]+ 540.

1H ЯМР (400 МГц, ДМСО-d6) δ 13.76 (s, 1H), 8.06-8.01 (m, 1H), 8.01-7.93 (m, 2H), 7.84 (s, 1H), 7.65-7.57 (m, 1H), 7.29 (d, J=7.2 Гц, 1Н), 4.55 (t, J=6.5 Гц, 2H), 4.45 (t, J=6.1 Гц, 2H), 4.34-4.27 (m, 2H), 3.80-3.73 (m, 2H), 3.73-3.69 (m, 2H), 3.50-3.43 (m, 1H), 3.36 (s, 3H), 3.33-3.30 (m, 2H), 2.38-2.34 (m, 2H), 2.28-2.24 (m, 2H).

5-фтор-6-(2-метоксиэтокси)-3-[3-(4-{3-[4-(оксетан-3-ил)пиперазин-1-ил]азетидин-1-карбонил}фенил)-1,2-оксазол-5-ил]-1Н-индазол ("А197")

5-фтор-6-(2-метоксиэтокси)-3-(3-{4-[4-(оксетан-3-ил)-1,4-диазепан-1-карбонил]фенил}-1,2-оксазол-5-ил)-1Н-индазол ("А198")

белое твердое вещество; ВЭЖХ/МС 1.24 мин (А), [М+Н]+ 536.

1H ЯМР (400 МГц, ДМСО-d6) δ 13.70 (s, 1H), 8.09 (d, J=8.3 Гц, 2H), 8.02 (d, J=11.0 Гц, 1H), 7.75 (s, 1H), 7.62-7.52 (m, 2H), 7.28 (d, J=7.1 Гц, 1Н), 4.55 (t, J=6.5 Гц, 1H), 4.50 (t, J=6.4 Гц, 1H), 4.40 (t, J=6.1 Гц, 1H), 4.34 (t, J=6.1 Гц, 1H), 4.31-4.28 (m, 2H), 3.79-3.74 (m, 1H), 3.72-3.59 (m, 3H), 3.47-3.38 (m, 3Н), 3.35 (s, 2H), 2.60-2.52 (m, 1H), 2.50-2.36 (m, 3H), 1.90-1.81 (m, 1H), 1.79-1.67 (m, 1H).

2-(4-{5-[5-фтор-6-(2-метоксиэтокси)-1Н-индазол-3-ил]-1,2-оксазол-3-ил}бензоил)-7-(оксетан-3-ил)-2,7-диазаспиро[3.5]нонан ("А199")

белое твердое вещество; ВЭЖХ/МС 1.23 мин (А), [М+Н]+ 562.

1H ЯМР (500 МГц, ДМСО-d6) δ 13.70 (s, 1H), 8.10 (d, J=8.4 Гц, 2H), 8.02 (d, J=11.0 Гц, 1H), 7.81 (d, J=8.4 Гц, 2H), 7.76 (s, 1H), 7.28 (d, J=7.1 Гц, 1H), 4.51 (t, J=6.5 Гц, 2Н), 4.41 (t, J=6.1 Гц, 2Н), 4.33-4.27 (m, 2Н), 4.05 (s, 2Н), 3.81-3.73 (m, 4H), 3.36 (s, 3H), 3.36-3.30 (m, 1Н), 2.29-1.98 (m, 4H), 1.79-1.71 (m, 4H).

5-фтор-6-(2-метоксиэтокси)-3-[3-(4-{3-[(3S)-3-метилморфолин-4-ил]азетидин-1-карбонил}фенил)-1,2-оксазол-5-ил]-1Н-индазол ("А200")

трифторацетат, белое твердое вещество; ВЭЖХ/МС 1.27 мин (А), [М+Н]+ 536.

1H ЯМР (500 МГц, ДМСО-d6, частично очень широкие сигналы, выбор пиков) δ 13.72 (s, 1Н), 10.55 (s, 1H), 8.15 (d, J=8.4 Гц, 2Н), 8.01 (d, J=10.9 Гц, 1Н), 7.83 (d, J=8.4 Гц, 2Н), 7.78 (s, 1H), 7.28 (d, J=7.1 Гц, 1Н), 4.79-4.4 (m, 2Н), 4.35-4.23 (m, 2Н), 3.80-3.73 (m, 2Н), 3.36 (s, 3H), 1.30-1.30 (bs, 3H).

5-фтор-6-(2-метоксиэтокси)-3-[3-(4-{3-[(3R)-3-метилморфолин-4-ил]азетидин-1-карбонил}фенил)-1,2-оксазол-5-ил]-1Н-индазол ("А201")

3-(3-{4-[(цис)-гексагидро-1Н-фуро[3,4-с]пиррол-5-карбонил]фенил}-1,2-оксазол-5-ил)-5-фтор-6-(2-метоксиэтокси)-1Н-индазол ("А202")

белое твердое вещество; СВЭЖХ/МС 0.69 мин, [М+Н]+ 493.

1H ЯМР (500 МГц, ДМСО-d6) δ 13.71 (s, 1Н), 8.15-8.07 (m, 2H), 8.02 (d, J=11.0 Гц, 1Н), 7.75 (s, 1Н), 7.66 (d, J=8.3 Гц, 2H), 7.28 (d, J=7.0 Гц, 1Н), 4.35-4.20 (m, 2H), 3.90-3.64 (m, 5H), 3.65-3.44 (m, 3H), 3.36 (s, 3H), 3.34-3.31 (m, 1Н), 2.93 (bs, 2H).

(цис)-5-(4-{5-[5-фтор-6-(2-метоксиэтокси)-1Н-индазол-3-ил]-1,2-оксазол-3-ил}бензоил)-октагидропирроло[2,3-с]пиррол-2-он ("А203")

4-[1-(4-{5-[5-фтор-6-(2-метоксиэтокси)-1Н-индазол-3-ил]-1,2-оксазол-3-ил}бензоил)азетидин-3-ил]морфолин-3-он ("А204")

белое твердое вещество; ВЭЖХ/МС 1.41 мин (А), [М+Н]+ 536.

1H ЯМР (500 МГц, ДМСО-d6) δ 13.70 (s, 1Н), 8.15-8.05 (m, 2H), 8.02 (d, J=11.0 Гц, 1Н), 7.87-7.80 (m, 2H), 7.77 (s, 1Н), 7.28 (d, J=7.1 Гц, 1Н), 5.22 (p, J=7.1 Гц, 1Н), 4.64-4.45 (m, 2H), 4.35-4.18 (m, 4H), 4.07 (s, 2H), 3.96-3.84 (m, 2H), 3.79-3.73 (m, 2H), 3.71-3.52 (m, 2H), 3.36 (s, 3H).

2-{[5-фтор-3-(3-{4-[4-(оксетан-3-ил)пиперазин-1-карбонил]фенил}-1,2-оксазол-5-ил)-1Н-индазол-6-ил]окси}этан-1-ол ("А205")

белое твердое вещество; ВЭЖХ/МС 1.13 мин (А), [М+Н]+ 508.

1H ЯМР (500 МГц, ДМСО-d6) δ 13.67 (s, 1H), 8.10 (d, J=8.2 Гц, 2H), 8.01 (d, J=10.9 Гц, 1H), 7.75 (s, 1H), 7.57 (d, J=8.3 Гц, 2H), 7.27 (d, J=7.1 Гц, 1Н), 4.96 (t, J=5.4 Гц, 1H), 4.55 (t, J=6.5 Гц, 2H), 4.45 (t, J=6.1 Гц, 2H), 4.19 (t, J=4.9 Гц, 2H), 3.82 (q, J=5.1 Гц, 2H), 3.68 (bs, 2H), 3.47 (p, J=6.3 Гц, 1H), 3.40 (bs, 2H), 2.41-2.19 (m, 4H).

1-(4-{5-[5-фтор-6-(2-метоксиэтокси)-1Н-индазол-3-ил]-1,2-оксазол-3-ил}бензоил)-3-(пиридин-4-ил)азетидин-3-ол ("А206")

не совсем белое твердое вещество; ВЭЖХ/МС 1.27 мин (А), [М+Н]+ 530.

1H ЯМР (400 МГц, ДМСО-d6) δ 13.72 (s, 1H), 8.96-8.51 (m, 2H), 8.18-8.11 (m, 2H), 8.02 (d, J=11.0 Гц, 1H), 7.95-7.86(m, 4H), 7.78 (s, 1H), 7.28 (d, J=7.1 Гц, 1H), 6.96 (bs, 1H), 4.81-4.65 (m, 1H), 4.58-4.44 (m, 1H), 4.39-4.26 (m, 4H), 3.81-3.70 (m, 2H).

5-фтор-6-(2-метоксиэтокси)-3-[3-(4-{5Н,6Н,7Н-пирроло[3,4-d]пиримидин-6-карбонил}фенил)-1,2-оксазол-5-ил]-1Н-индазол ("А207")

не совсем белое твердое вещество; СВЭЖХ/МС 0.66 мин (А), [М+Н]+ 501.

1H ЯМР (500 МГц, ДМСО-d6, смесь поворотных изомеров) δ 13.71 (s, 1H), 9.11 (d, J=13.4 Гц, 1H), 8.88 (s, 0.5H), 8.73 (s, 0.5H), 8.19-8.12 (m, 2H), 8.06 -8.01 (m, 1H), 7.86-7.73 (m, 2H), 7.28 (d, J=7.1 Гц, 1H), 4.98 (s, 1H), 4.92 (s, 1H), 4.90 (s, 2H), 4.33-4.28 (m, 2H), 3.79-3.72 (m, 2H), 3.36 (s, 3H).

5-фтор-6-(2-метоксиэтокси)-3-[3-(4-{1Н,4Н,5Н,6Н-пирроло[3,4-с]пиразол-5-карбонил}фенил)-1,2-оксазол-5-ил]-1Н-индазол ("А208")

не совсем белое твердое вещество; СВЭЖХ/МС 0.65 мин (А), [М+Н]+ 489.

1H ЯМР (500 МГц, ДМСО-d6, смесь поворотных изомеров) δ 13.71 (bs, 1Н), 12.72 (s, 1Н), 8.19-8.10 (m, 2Н), 8.06-7.96 (m, 1Н), 7.86-7.72 (m, 3H), 7.59 (s, 0.5H), 7.49 (s, 0.5H), 7.28 (d, J=7.1 Гц, 1Н), 4.65 (s, 2H), 4.59 (s, 1H), 4.54 (s, 1H), 4.38-4.26 (m, 2H), 3.93-3.72 (m, 2H), 3.36 (s, 3H).

2-{[5-фтор-3-(3-{4-[3-(морфолин-4-ил)азетидин-1-карбонил]фенил}-1,2-оксазол-5-ил)-1Н-индазол-6-ил]окси}этан-1-ол ("А209")

5-фтор-6-(2-метоксиэтокси)-3-[3-(4-{3-[(2S)-2-метилморфолин-4-ил]азетидин-1-карбонил}фенил)-1,2-оксазол-5-ил]-1Н-индазол ("А210")

белое твердое вещество; ВЭЖХ/МС 1.30 мин (А), [М+Н]+ 536.

1H ЯМР (500 МГц, ДМСО-d6, смесь поворотных изомеров) δ 13.69 (s, 1H), 8.10 (d, J=8.3 Гц, 2Н), 8.02 (d, J=10.9 Гц, 1Н), 7.81 (d, J=8.4 Гц, 2Н), 7.76 (s, 1H), 7.28 (d, J=7.0 Гц, 1Н), 4.35 (t, J=8.1 Гц, 1Н), 4.32-4.25 (m, 2H), 4.23-4.16 (m, 1Н), 4.09 (t, J=8.8 Гц, 1Н), 3.92 (dd, J=10.5, 5.0 Гц, 1Н), 3.81-3.71 (m, 3H), 3.56-3.46 (m, 2Н), 3.36 (s, 3H), 3.20-3.13 (m, 1Н), 2.78 (d, J=11.0 Гц, 0.5Н), 2.71 (d, J=11.2 Гц, 1Н), 2.67-2.60 (m, 0.5H), 1.92 (t, J=11.4 Гц, 1Н), 1.67-1.55 (m, 1Н), 1.12-1.00 (m, 3H).

5-фтор-6-(2-метоксиэтокси)-3-[3-(4-{3-[(2R)-2-метилморфолин-4-ил]азетидин-1-карбонил}фенил)-1,2-оксазол-5-ил]-1Н-индазол ("А211")

5-фтор-6-(2-метоксиэтокси)-3-(3-{4-[3-(пиримидин-5-ил)азетидин-1-карбонил]фенил}-1,2-оксазол-5-ил)-1Н-индазол ("А212")

белое твердое вещество; ВЭЖХ/МС 1.40 мин (А), [М+Н]+ 515.

1H ЯМР (500 МГц, ДМСО-d6) δ 13.68 (s, 1H), 9.11 (s, 1H), 8.92 (s, 2Н), 8.12 (d, J=8.4 Гц, 2Н), 8.01 (d, J=10.9 Гц, 1H), 7.87 (d, J=8.3 Гц, 2Н), 7.75 (s, 1H), 7.28 (d, J=7.1 Гц, 1H), 4.72 (d, J=8.9 Гц, 1H), 4.65-4.47 (m, 4H), 4.39-4.26 (m, 2Н), 4.19 (s, 1H), 4.05 (tt, J=9.1, 6.3 Гц, 1H), 3.83-3.70 (m, 2Н), 3.36 (s, 3H).

5-фтор-6-(2-метоксиэтокси)-3-[3-(4-{1-метил-1Н,4Н,5Н,6Н-пирроло[3,4-с]пиразол-5-карбонил}фенил)-1,2-оксазол-5-ил]-1Н-индазол ("А213")

не совсем белое твердое вещество; СВЭЖХ/МС 0.69 мин, [М+Н]+ 503.

1H ЯМР (500 МГц, ДМСО-d6, смесь поворотных изомеров) δ 13.69 (s, 1H), 8.19-8.09 (m, 2Н), 8.08-7.98 (m, 1H), 7.82-7.70 (m, 3H), 7.32-7.26 (m, 1.5H), 7.18 (s, 0.5H), 4.76 (s, 0.5H), 4.68 (m, 0.5H), 4.61 (s, 0.5H), 4.51 (s, 0.5H), 4.35 -4.26 (m, 2Н), 3.81 (s, 1.5H), 3.80-3.74 (m, 2Н), 3.69 (s, 1.5H), 3.36 (s, 3H).

3-(3-{4-[(цис)-октагидропирано[3,4-с]пиррол-2-карбонил]фенил}-1,2-оксазол-5-ил)-5-фтор-6-(2-метоксиэтокси)-1Н-индазол ("А214")

белое твердое вещество; ВЭЖХ/МС 1.54 мин (А), [М+Н]+ 507.

1H ЯМР (500 МГц, ДМСО-d6) δ 13.69 (s, 1H), 8.09 (d, J=8.3 Гц, 2H), 8.02 (d, J=10.9 Гц, 1H), 7.75 (s, 1H), 7.71 (d, J=8.3 Гц, 2H), 7.28 (d, J=7.1 Гц, 1Н), 4.34-4.17(m, 2H), 3.82-3.29 (m, 13H), 2.44-2.36 (m, 1H), 2.37-2.30 (m, 2H), 2.31-2.22(m, 1H).

3-(3-{4-[(цис)-октагидрофуро[3,4-с]пиридин-5-карбонил]фенил}-1,2-оксазол-5-ил)-5-фтор-6-(2-метоксиэтокси)-1Н-индазол ("А215")

белое твердое вещество; ВЭЖХ/МС 1.53 мин (А), [М+Н]+ 507.

1H ЯМР (500 МГц, ДМСО-d6) δ 13.69 (s, 1H), 8.10 (d, J=8.3 Гц, 2H), 8.02 (d, J=10.9 Гц, 1H), 7.74 (s, 1H), 7.56 (d, J=8.2 Гц, 2H), 7.28 (d, J=7.0 Гц, 1H), 4.33-4.23 (m, 2H), 3.86-3.32 (m, 12H), 3.26-3.21 (m, 1H), 2.44-2.27 (m, 2H), 2.03-1.33 (m, 2H).

3-(3-{4-[(цис)-5-(оксетан-3-ил)-октагидропирроло[3,4-с]пиррол-2-карбонил]фенил}-1,2-оксазол-5-ил)-5-фтор-6-(2-метоксиэтокси)-1Н-индазол ("А216")

трифторацетат, белое твердое вещество; СВЭЖХ/МС 0.48 мин, [М+Н]+ 548.

1H ЯМР (500 МГц, ДМСО-d6) δ 13.71 (s, 1H), 11.05 (s, 1H), 8.11 (d, J=8.3 Гц, 2Н), 8.01 (d, J=10.9 Гц, 1Н), 7.75 (s, 1H), 7.69 (d, J=8.3 Гц, 2Н), 7.29 (d, J=7.1 Гц, 1H), 4.77 (t, J=7.3 Гц, 2Н), 4.64 (s, 2Н), 4.48 (bs, 1H), 4.33-4.27 (m, 2Н), 3.9-2.7 (широкие сигналы, 8Н), 3.80-3.70 (m, 2Н), 3.36 (s, 3H).

(цис)-5-(4-{5-[5-фтор-6-(2-метоксиэтокси)-1Н-индазол-3-ил]-1,2-оксазол-3-ил}бензоил)-гексагидро-1Н-2лямбда6-тиено[3,4-с]пиррол-2,2-дион ("А217")

белое твердое вещество; СВЭЖХ/МС 0.66 мин, [М+Н]+ 541.

1H ЯМР (500 МГц, ДМСО-d6) δ 13.69 (s, 1H), 8.10 (d, J=8.3 Гц, 2Н), 8.01 (d, J=11.0 Гц, 1H), 7.75 (s, 1H), 7.70 (d, J=8.3 Гц, 2Н), 7.28 (d, J=7.1 Гц, 1H), 4.36-4.15 (m, 2Н), 3.93 (bs, 1H), 3.80-3.69 (m, 2Н), 3.52 (bs, 2Н), 3.36 (s, 3H), 3.43-3.19 (широкие сигналы), 3.12 (bs, 3H).

5-фтор-6-(2-метоксиэтокси)-3-(3-{4-[3-(1-метил-1Н-пиразол-4-ил)азетидин-1-карбонил]фенил}-1,2-оксазол-5-ил)-1Н-индазол ("А218")

белое твердое вещество; СВЭЖХ/МС 0.70 мин, [М+Н]+ 517.

1H ЯМР (400 МГц, ДМСО-d6) δ 13.91 (s, 1H), 8.12 (d, J=8.4 Гц, 2Н), 8.03 (d, J=11.0 Гц, 1H), 7.84 (d, J=8.4 Гц, 2Н), 7.79 (s, 1H), 7.75 (s, 1H), 7.48 (s, 1H), 7.28 (d, J=7.1 Гц, 1H), 4.67 (t, J=8.6 Гц, 1H), 4.44 (t, J=9.3 Гц, 1H), 4.38-4.22 (m, 3H), 4.01-3.91 (m, 1H), 3.89-3.76 (m, 4H), 3.78-3.74 (m, 1H), 3.35 (s, 3H).

{4-[5-(5-фтор-6-метокси-1Н-индазол-3-ил)-изоксазол-3-ил]-фенил}-(4-оксетан-3-илпиперазин-1-ил)-метанон ("А219")

{4-[5-(5-фтор-6-метокси-1Н-индазол-3-ил)-изоксазол-3-ил]-фенил}-(цис)-тетрагидрофуро[3,4-с]пиррол-5-илметанон ("А220")

1-(4-{5-[5-фтор-6-(2-метоксиэтокси)-1Н-индазол-3-ил]-1,2-оксазол-3-ил}бензоил)-3-(пиридин-3-ил)азетидин-3-ол ("А221")

5-фтор-6-(2-метоксиэтокси)-3-(3-{4-[4-(оксетан-3-ил)(2,2,3,3,5,5,6,6-2H8)пиперазин-1-карбонил]фенил}-1,2-оксазол-5-ил)-1H-индазол ("А233")

2-{[5-фтор-3-(3-{4-[4-(оксетан-3-ил)(2,2,3,3,5,5,6,6-2H8)пиперазин-1-карбонил]фенил}-1,2-оксазол-5-ил)-1Н-индазол-6-ил]окси}этан-1-ол ("А234")

Пример 15

гидрохлорид 5-фтор-6-(2-метоксиэтокси)-3-{3-[4-(пиперазин-1-карбонил)фенил]-1,2-оксазол-5-ил}-1Н-индазола ("А46")

К суспензии 4-{5-[5-фтор-6-(2-метоксиэтокси)-1Н-индазол-3-ил]-изоксазол-3-ил}-бензойной кислоты (79.5 мг, 0.20 ммоль) в ДМФА (1.0 мл) добавляют 1-Вос-пиперазин (45.2 мг, 0.24 ммоль) с последующим добавлением гидрата 1-гидроксибензотриазола (6.1 мг, 0.04 ммоль) и гидрохлорида N-(3-диметиламинопропил)-N'-этилкарбодиимида (61 мг, 0.32 ммоль). Реакционную смесь перемешивают в течение 16 часов при комнатной температуре. К реакционной смеси добавляют насыщенный раствор гидрокарбоната натрия. Полученный в результате осадок отфильтровывают и промывают водой. Остаток хроматографируют на колонке с силикагелем с помощью смеси циклогексан/этилацетат в качестве элюента с получением трет-бутил 4-(4-{5-[5-фтор-6-(2-метоксиэтокси)-1Н-индазол-3-ил]-1,2-оксазол-3-ил}бензоил)пиперазин-1-карбоксилата в виде белого твердого вещества; ВЭЖХ/МС 1.75 мин, [М+Н]+ 566.

трет-Бутил 4-(4-{5-[5-фтор-6-(2-метоксиэтокси)-1Н-индазол-3-ил]-1,2-оксазол-3-ил}бензоил)пиперазин-1-карбоксилат (90 мг, 0.16 ммоль) растворяют в 4 н. HCl в диоксане и реакционную смесь перемешивают в течение 2.5 часов при комнатной температуре. Растворитель удаляют при пониженном давлении с получением гидрохлорида 5-фтор-6-(2-метоксиэтокси)-3-{3-[4-(пиперазин-1-карбонил)-фенил]-1,2-оксазол-5-ил}-1Н-индазола в виде белого твердого вещества; ВЭЖХ/МС 1.21 мин (А), [М+Н]+ 466.

1Н ЯМР (500 МГц, ДМСО-d6) δ 13.75 (s, 1Н), 9.22 (s, 2Н), 8.13 (d, J=8.3 Гц, 1Н), 8.02 (d, J=10.9 Гц, 1Н), 7.77 (s, 1H), 7.66 (d, J=8.3 Гц, 1Н), 7.28 (d, J=7.0 Гц, 1H), 4.33-4.26 (m, 2Н), 3.79-3.74 (m, 2Н), 3.72 (широкий, 4Н), 3.36 (s, 3Н), 3.18 (широкий, 4Н).

Следующие соединения получают аналогичным образом:

{[1-(4-{5-[5-фтор-6-(2-метоксиэтокси)-1Н-индазол-3-ил]-1,2-оксазол-3-ил}бензоил)пирролидин-2-ил]метил}(метил)амин ("А222")

бледно-желтое твердое вещество; ВЭЖХ/МС 1.31 мин (А), [М+Н]+ 494.

1H ЯМР (500 МГц, ДМСО-d6, поворотные изомеры, выбор пиков) 5 8.09 (d, J=8.3 Гц, 1H), 8.04 (d, J=11.0 Гц, 1H), 7.77 (s, 1H), 7.67 (d, J=8.0 Гц, 2Н), 7.28 (d, J=7.1 Гц, 1Н), 4.35-4.28 (m, 2Н), 4.27-4.20 (m, 1H), 3.81 3.72 (m, 2Н), 3.52-3.44 (m, 1Н), 3.36 (s, 3Н), 2.81 (dd, J=11.6, 3.9 Гц, 1H), 2.69-2.56 (m, 1Н), 2.34 (s, 3Н), 2.05-1.83 (m, 4Н), 1.71 (широкий, 1Н).

гидрохлорид 3-(3-{4-[(цис)-октагидропирроло[3,4-с]пиррол-2-карбонил]фенил}-1,2-оксазол-5-ил)-5-фтор-6-(2-метоксиэтокси)-1Н-индазола ("А223")

2-[(5-фтор-3-{3-[4-(пиперазин-1-карбонил)фенил]-1,2-оксазол-5-ил}-1Н-индазол-6-ил)окси]этан-1-ол ("А224")

{4-[5-(5-фтор-6-метокси-1Н-индазол-3-ил)-изоксазол-3-ил]-фенил}-пиперазин-1-илметанон ("А225")

гидрохлорид 5-фтор-6-(2-метоксиэтокси)-3-(3-{4-[(2,2,3,3,5,5,6,6-2Н8)пиперазин-1-карбонил]фенил}-1,2-оксазол-5-ил)-1Н-индазола ("А232")

Пример 16

[(4-{5-[5-фтор-6-(2-метоксиэтокси)-1Н-индазол-3-ил]-1,2-оксазол-3-ил}фенил)имино]диметил-лямбда6-сульфанон ("А47")

белое твердое вещество; ВЭЖХ/МС 2.52 мин (А), [М+Н]+445.

1H ЯМР (500 МГц, ДМСО-d6) δ 13.66 (s, 1H), 8.00 (d, J=11.0 Гц, 1H), 7.84 (d, J=8.6 Гц, 1Н), 7.59 (s, 1H), 7.26 (d, J=7.1 Гц, 1H), 7.07 (d, J=8.6 Гц, 2Н), 4.32-4.26 (m, 2Н), 3.80-3.74 (m, 2Н), 3.35 (s, 3Н), 3.29 (s, 6Н).

Пример 17

5-фтор-6-(2-метоксиэтокси)-3-[3-(1,3-тиазол-5-ил)-1,2-оксазол-5-ил]-1Н-индазол ("А48")

бледно-коричневое твердое вещество; ВЭЖХ/МС 2.61 мин (А), [М+Н]+ 361.

1Н ЯМР (500 МГц, ДМСО-d6) δ 13.77 (s, 1Н), 9.31 (d, J=0.7 Гц, 1Н), 8.68 (d, J=0.7 Гц, 1H), 7.96 (d, J=10.8 Гц, 1H), 7.78 (s, 1H), 7.29 (d, J=7.0 Гц, 1H), 4.38-4.23 (m, 2Н), 3.86-3.67 (m, 2Н), 3.35 (s, 3Н).

Пример 18

4-{5-[5-фтор-6-(3-гидрокси-2-метоксипропокси)-1Н-индазол-3-ил]-1,2-оксазол-3-ил}-N,N-диметилбензамид ("А49")

бледно-желтое твердое вещество; СВЭЖХ/МС 0.65 мин (А), [М+Н]+ 455.

1Н ЯМР (400 МГц, ДМСО-d6) δ 13.70 (s, 1H), 8.09 (d, J=8.3 Гц, 2Н), 8.03 (d, J=10.8 Гц, 1H), 7.76 (s, 1Н), 7.59 (d, J=8.3 Гц, 2Н), 7.29 (d, J=7.0 Гц, 1Н), 4.81 (t, J=5.3 Гц, 1H), 4.30 (dd, J=10.4, 3.2 Гц, 1Н), 4.17 (dd, J=10.4, 5.3 Гц, 1H), 3.64-3.56 (р, J=4.0 Гц, 3Н), 3.42 (s, 3Н), 3.02 (s, 3Н), 2.96 (s, 3Н).

Пример 19

3-{3-[4-(3,3-диметилпиперидин-4-ил)-фенил]-изоксазол-5-ил}-5-фтор-6-(2-метоксиэтокси)-1Н-индазол ("А230")

5-фтор-6-(2-метоксиэтокси)-3-{3-[4-(1,3,3-триметил-пиперидин-4-ил)-фенил]-изоксазол-5-ил}-1Н-индазол ("А231")

схема синтеза:

"А230":

желтое твердое вещество; [М+Н]+ 465; 1Н ЯМР (400 МГц, ДМСО-d6) δ 8.02 (d, J=11.0 Гц, 1Н), 7.96-7.91 (m, 2Н), 7.67 (s, 1H), 7.35-7.31 (m, 2Н), 7.27 (d, J=7.1 Гц, 1H), 4.33-4.26 (m, 2Н), 3.80-3.73 (m, 2Н), 3.35 (s, 3Н), 3.13-3.05 (m, 1Н), 2.65-2.52 (m, 3Н), 2.49-2.41 (m, 1H), 2.12-2.01 (m, 1Н), 1.44-1.36 (m, 1Н), 0.85 (s, 3Н), 0.70 (s, 3Н)

"А231":

белое твердое вещество; [М+Н]+ 479; 1Н ЯМР (300 МГц, ДМСО-d6) δ 13.70 (s, 1Н), 8.00 (d, J=11.0 Гц, 1Н), 7.92 (d, J=8.1 Гц, 2Н), 7.67 (s, 1Н), 7.33 (d, J=8.1 Гц, 2Н), 7.26 (d, J=7.1 Гц, 1Н), 4.32-4.23 (m, 2Н), 3.79-3.69 (m, 2Н), 3.33 (s, 3Н), 2.97-2.89 (m, 1Н), 2.44-2.34 (m, 2Н), 2.28-2.13 (m, 4Н), 1.92-1.75 (m, 2Н), 1.53-1.43 (m, 1H), 0.86 (s, 3Н), 0.72 (s, 3Н).

Пример 20

2-[4-(4-{5-[5-фтор-6-(2-метоксиэтокси)-1Н-индазол-3-ил]-1,2-оксазол-3-ил}бензоил)пиперазин-1-ил]пропан-1,3-диол ("А228")

трифторацетат; белый порошок; СВЭЖХ/МС 0.47 мин, [М+Н]+ 540.

1H ЯМР (500 МГц, ДМСО-d6) δ 13.71 (s, 1Н), 9.65 (широкий, 1H), 8.13 (d, J=8.3 Гц, 2Н), 8.01 (d, J=10.9 Гц, 1Н), 7.76 (s, 1H), 7.66 (d, J=8.3 Гц, 2Н), 7.29 (d, J=7.1 Гц, 1Н), 5.40 (широкий, 2Н), 4.51 (широкий, 1H), 4.38-4.21 (m, 2Н), 3.80 (d, J=5.0 Гц, 4Н), 3.78-3.75 (m, 2Н), 3.54 (широкий сигнал), 3.36 (s, 3Н).

Пример 21

альтернативный синтез "А45":

К раствору параформилбензойной кислоты (300 мг, 2.00 ммоль) в ДМФА (10 мл) добавляют 1-(оксетан-3-ил)пиперазин (313 мг, 2.20 ммоль) с последующим добавлением гидрата 1-гидроксибензотриазола (15.3 мг, 0.10 ммоль) и гидрохлорида N-(3-диметиламинопропил)-N'-этилкарбодиимида (403 мг, 2.10 ммоль). Реакционную смесь перемешивают в течение 90 минут при комнатной температуре. Реакционную смесь упаривают досуха. Остаток обрабатывают насыщенным раствором гидрокарбоната натрия и три раза экстрагируют дихлорметаном. Объединенные органические фазы сушат над сульфатом натрия и упаривают с получением 4-[4-(оксетан-3-ил)пиперазин-1-карбонил]бензальдегида в виде желтого масла; ВЭЖХ/МС 0.82 мин (А), [М+Н]+ 275.

1Н ЯМР (500 МГц, ДМСО-d6) δ 10.05 (s, 1Н), 7.97 (d, J=8.2 Гц, 2Н), 7.60 (d, J=8.1 Гц, 2Н), 4.53 (t, J=6.5 Гц, 2Н), 4.44 (t, J=6.1 Гц, 2Н), 3.67 широкий, 2Н), 3.49-3.43 (m, 1Н), 3.30 (широкий, 2Н), 2.42-2.19 (m, 4Н).

Взвесь 4-[4-(оксетан-3-ил)пиперазин-1-карбонил]бензальдегида (403 мг, 1.47 ммоль) в этаноле (3 мл) нагревают до 80°С. Полученному в результате прозрачному раствору дают достичь комнатной температуры и добавляют раствор хлорида гидроксиламмония (204 мг, 2.93 ммоль) в воде (500 мкл), и смесь перемешивают в течение 1 часа при комнатной температуре. Реакционную смесь нейтрализуют 1 н. раствором гидроксида натрия (2 мл). Полученный в результате осадок отфильтровывают, промывают водой и сушат в вакууме с получением N-({4-[4-(оксетан-3-ил)пиперазин-1-карбонил]фенил}метилиден)гидроксиламина в виде белого порошка; СВЭЖХ/МС 0.30 мин, [М+Н]+ 290.

1H ЯМР (400 МГц, ДМСО-d6) δ 11.37 (s, 1Н), 8.18 (s, 1Н), 7.65 (d, J=8.2 Гц, 2Н), 7.41 (d, J=8.3 Гц, 2Н), 4.53 (t, J=6.5 Гц, 3Н), 4.44 (t, J=6.1 Гц, 3Н), 3.62 (bs, 2Н), 3.45 (р, J=6.3 Гц, 1Н), 3.37 (bs, 2Н), 2.28 (bs, 4Н).

К раствору сложного трет-бутилового эфира 3-этинил-5-фтор-6-(2-метоксиэтокси)-индазол-1-карбоновой кислоты (41.6 мг, 0.11 ммоль) и N-({4-[4-(оксетан-3-ил)пиперазин-1-карбонил] фенил}метилиден)гидроксиламина в дихлорметане (500 мкл) по каплям добавляют водный раствор гипохлорита натрия (содержание прибл. 14%, 143 мкл, прибл. 0.33 ммоль). Реакционную смесь перемешивают в течение 18 часов при комнатной температуре. Реакционную смесь обрабатывают водой и дихлорметаном. Водную фазу отделяют и дважды экстрагируют дихлорметаном. Объединенные органические фазы сушат над сульфатом натрия и упаривают. Остаток хроматографируют на колонке с силикагелем с помощью смеси дихлорметан/метанол в качестве элюента с получением трет-бутил 5-фтор-6-(2-метоксиэтокси)-3-(3-{4-[4-(оксетан-3-ил)пиперазин-1-карбонил]фенил}-1,2-оксазол-5-ил)-1Н-индазол-1-карбоксилата в виде бесцветной смолы; СВЭЖХ/МС 0.69 мин, [М+Н]+ 622.

К суспензии трет-бутил 5-фтор-6-(2-метоксиэтокси)-3-(3-{4-[4-(оксетан-3-ил)пиперазин-1-карбонил]фенил}-1,2-оксазол-5-ил)-1Н-индазол-1-карбоксилата (62 мг, 0.12 ммоль) в метаноле (1 мл) добавляют гидроксид натрия (9.26 мг, 0.23 ммоль), и смесь перемешивают в течение 2 часов при комнатной температуре. Реакционную смесь обрабатывают насыщенным раствором хлорида аммония. Полученный в результате осадок отфильтровывают, промывают водой и сушат в вакууме с получением 5-фтор-6-(2-метоксиэтокси)-3-(3-{4-[4-(оксетан-3-ил)пиперазин-1-карбонил]фенил}-1,2-оксазол-5-ил)-1Н-индазола в виде не совсем белого твердого вещества; СВЭЖХ/МС 0.53 мин, [М+Н]+ 522.

Следующее соединение получают аналогичным образом:

6-этокси-5-фтор-3-(3-{4-[4-(оксетан-3-ил)пиперазин-1-карбонил]фенил}-1,2-оксазол-5-ил)-1Н-индазол ("А229")

не совсем белые кристаллы; ВЭЖХ/МС 1.34 мин (А), [М+Н]+ 492.

1Н ЯМР (500 МГц, ДМСО-d6) δ 13.66 (s, 1H), 8.10 (d, J=8.3 Гц, 2Н), 8.00 (d, J=11.0 Гц, 1H), 7.74 (s, 1Н), 7.57 (d, J=8.3 Гц, 2Н), 7.23 (d, J=7.1 Гц, 1Н), 4.54 (t, J=6.5 Гц, 2Н), 4.45 (t, J=6.1 Гц, 2Н), 4.22 (q, J=7.0 Гц, 2Н), 3.67 (широкий, 2Н), 3.47 (р, J=6.2 Гц, 1Н), 3.40 (широкий, 2Н), 2.31 (широкий, 4Н), 1.43 (t, J=6.9 Гц, 3Н).

Пример 22 - образование соли

К суспензии (4-{5-[5-фтор-6-(2-метоксиэтокси)-1H-индазол-3-ил]-изоксазол-3-ил}-фенил)-(4-оксетан-3-илпиперазин-1-ил)-метанона ("А45") (104 мг, 0.20 ммоль) в 2-пропаноле (3 мл) добавляют метансульфоновую кислоту (18.6 мкл, 0.28 ммоль), и суспензию перемешивают в течение 1 часа при 75°С. Смеси дают достичь комнатной температуры. Твердые вещества отфильтровывают, промывают водой и сушат в вакууме с получением мезилата (4-{5-[5-фтор-6-(2-метоксиэтокси)-1Н-индазол-3-ил]-изоксазол-3-ил}-фенил)-(4-оксетан-3-илпиперазин-1-ил)-метанона в виде белого порошка.

1H ЯМР (500 МГц, ДМСО-d6, очень широкие сигналы не аннотированы) δ 13.71 (s, 1Н), 10.79 (s, 1H), 8.14 (d, J=8.2 Гц, 2Н), 8.01 (d, J=10.9 Гц, 1H), 7.77 (s, 1H), 7.65 (d, J=7.9 Гц, 2H), 7.29 (d, J=7.0 Гц, 1H), 4.74 (s, 4H), 4.41-4.24 (m, 2H), 3.80-3.72 (m, 2H), 3.36 (s, 3H), 3.03 (широкий, 4H), 2.31 (s, 3H).

Следующие соли (4-{5-[5-фтор-6-(2-метоксиэтокси)-1Н-индазол-3-ил]-изоксазол-3-ил}-фенил)-(4-оксетан-3-илпиперазин-1-ил)-метанона ("А45") получают подобным образом:

- гидрохлорид

- малеат

- гемиэтандисульфонат

- гемифосфат

- сульфат

- бензолсульфонат

- пара-толуолсульфонат

Следующие соли 5-фтор-6-(2-метоксиэтокси)-3-(3-{4-[3-(морфолин-4-ил)азетидин-1-карбонил]фенил}-1,2-оксазол-5-ил)-1Н-индазола ("А53") получают подобным образом:

- метансульфонат

- трифторацетат.

Следующие примеры относятся к лекарственным средствам:

Пример А: Флаконы для инъекций

рН раствора 100 г активного компонента формулы I и 5 г Na2HPO4 в 3 л бидистиллированной воды устанавливают на 6.5, используя 2 н. соляную кислоту, стерилизуют фильтрацией, переносят во флаконы для инъекций, лиофилизируют в стерильных условиях и запечатывают в стерильных условиях. Каждый флакон для инъекций содержит 5 мг активного компонента.

Пример В: Суппозитории

Смесь 20 г активного компонента формулы I с 100 г соевого лецитина и 1400 г какаового масла расплавляют, разливают в пресс-формы и позволяют охладиться. Каждый суппозиторий содержит 20 мг активного компонента.

Пример С: Раствор

Раствор приготавливают из 1 г активного компонента формулы I, 9.38 г NaH2PO4⋅2 H2O 28.48 г Na2HPO4⋅12 H2O и 0.1 г бензалконийхлорида в 940 мл бидистиллированной воды. рН раствора устанавливают на 6.8 и объем раствора доводят до 1 л и стерилизуют путем облучения. Этот раствор может использоваться в форме глазных капель.

Пример D: Мазь

500 мг активного компонента формулы I смешивают с 99.5 г вазелина в асептических условиях.

Пример Е: Таблетки

Смесь 1 кг активного компонента формулы I, 4 кг лактозы, 1.2 кг картофельного крахмала, 0.2 кг талька и 0.1 кг стеарата магния спрессовывают для получения таблеток обычным способом таким образом, чтобы каждая таблетка содержала 10 мг активного компонента.

Пример F: Драже

Таблетки спрессовывают аналогично примеру Е и затем покрывают обычным способом покрытием из сахарозы, картофельного крахмала, талька, трагаканта и красителя.

Пример G: Капсулы

2 кг активного компонента формулы I помещают в твердые желатиновые капсулы обычным способом таким образом, чтобы каждая капсула содержала 20 мг активного компонента.

Пример Н: Ампулы

Раствор 1 кг активного компонента формулы I в 60 л бидистиллированной воды стерилизуют фильтрацией, переносят в ампулы, лиофилизируют в стерильных условиях и запечатывают в стерильных условиях. Каждая ампула содержит 10 мг активного компонента.

Похожие патенты RU2836662C2

название год авторы номер документа
4-(ИМИДАЗО[1,2-а]ПИРИДИН-3-ИЛ)-ПИРИМИДИНОВЫЕ ПРОИЗВОДНЫЕ 2020
  • Дорш Дитер
  • Блюм Андреас
  • Бухшталлер Ханс-Петер
RU2822388C2
ПРОИЗВОДНЫЕ ХИНОЛИН-2-ОНА В КАЧЕСТВЕ ИНГИБИТОРОВ КИНАЗЫ C-KIT 2016
  • Дорш Дитер
  • Мюзерелль Матильда
  • Бургдорф Ларс
  • Вухерер-Плиткер Маргарита
  • Чодровски Пауль
  • Эсдар Кристина
  • Цаклакидис Христос
RU2754858C2
3-АМИНОЦИКЛОПЕНТАНКАРБОКСАМИДНЫЕ ПРОИЗВОДНЫЕ 2013
  • Тсаклакидис Христос
  • Штеле Вольфганг
  • Лойтнер Бригитта
  • Чодровски Пауль
RU2641913C2
ПРОИЗВОДНЫЕ ТРИАЗИНА ДЛЯ ЛЕЧЕНИЯ ЗАБОЛЕВАНИЙ, СВЯЗАННЫХ С НЕЙРОТРОФИНАМИ 2019
  • Нордвалл, Гуннар
  • Форселл, Понтус
RU2816837C2
ПРОИЗВОДНЫЕ БЕНЗОДИАЗЕПИНА КАК ИНГИБИТОРЫ RSV 2016
  • Шук Брайан С.
  • Ким Ин Жун
  • Блэйсделл Томас П.
  • Юй Цзяньмин
  • Пэнариз Джозеф
  • Ор Ят Сун
RU2738232C2
МОДУЛЯТОРЫ КАЛЬПАИНА И ИХ ТЕРАПЕВТИЧЕСКОЕ ПРИМЕНЕНИЕ 2017
  • Бакмен, Брэд Оуэн
  • Николас, Джон Бимонд
  • Юань, Шэньдун
  • Адлер, Марк
  • Эмаян, Кумарасвами
  • Ма, Цзинъюан
RU2773288C2
ИНГИБИТОРЫ АКТИВНОСТИ ПРОТЕИНТИРОЗИНКИНАЗЫ 2009
  • Майкл Маннион
  • Стефан Раппель
  • Стивен Уилльям Кларидж
  • Фредерик Годетт
  • Лицзи Чжань
  • Любомир Исаковиц
  • Оскар Марио Сааведра
  • Тетсуюки Уно
  • Масаши Кишида
  • Аркадий Вайсбург
RU2533827C2
ПРОИЗВОДНЫЕ ИНДАНУКСУСНОЙ КИСЛОТЫ И ФАРМАЦЕВТИЧЕСКАЯ КОМПОЗИЦИЯ 2002
  • Лоу Дерек Б.
  • Викенс Филип Л.
  • Ма Ксин
  • Жанг Мингбао
  • Баллок Виллиам Х.
  • Койш Филип Д.Г.
  • Мугге Инго А.
  • Штолле Андреас
  • Ванг Минг
  • Ванг Ямин
  • Жанг Ченгжи
  • Жанг Хай-Юн
  • Жу Лей
  • Тсутсуми Манами
  • Лайвингстон Джеймс Н.
RU2314298C2
ДИГИДРОНАФТИРИДИНЫ И РОДСТВЕННЫЕ СОЕДИНЕНИЯ, ПОДХОДЯЩИЕ В КАЧЕСТВЕ ИНГИБИТОРОВ КИНАЗ ДЛЯ ЛЕЧЕНИЯ ПРОЛИФЕРАТИВНЫХ ЗАБОЛЕВАНИЙ 2018
  • Флинн, Дэниел Л.
  • Кауфман, Майкл Д.
  • Петилло, Питер, А.
RU2804468C2
2-ЦИАНОПИРИМИДИН-4-ИЛКАРБАМАТ, ИЛИ ПРОИЗВОДНОЕ МОЧЕВИНЫ, ИЛИ ЕГО СОЛЬ И СОДЕРЖАЩАЯ ИХ ФАРМАЦЕВТИЧЕСКАЯ КОМПОЗИЦИЯ 2019
  • Ким, Кён-Хи
  • Чхин, Чон-Ук
  • Ли, Чи-Хун
  • Ким, Син-Э
  • Чон, Кён-Чин
  • Ким, Чон-У
  • Мин, Сан-Хён
  • Ю, Чи-Хун
  • Ли, Чу-Сок
  • Ли, Вон-Сок
  • Сон, Чжэ-Ён
  • Ли, Ын-Сок
  • Чон, Тхэ-Чхвен
  • Ким, Чон-Э
RU2788740C2

Реферат патента 2025 года ИНДАЗОЛИЛИЗОКСАЗОЛЬНЫЕ ПРОИЗВОДНЫЕ ДЛЯ ЛЕЧЕНИЯ ЗАБОЛЕВАНИЙ, ТАКИХ КАК ЗЛОКАЧЕСТВЕННОЕ НОВООБРАЗОВАНИЕ

Изобретение относится к соединению формулы I

в которой R1 означает Hal, CF3, OA, Het1, COOR3 или CON(R3)2, R2 означает H, Hal или CN, R3 означает H или A, X означает фенилен, пиридиндиил, 1,3-тиазолдиил или пиразолдиил, каждый из которых не замещен или монозамещен посредством Hal и/или А, Y отсутствует или означает СО, O[C(R3)2]n, NR3CO, CONR3, CONR3[C(R3)2]n, CONHCH2C(CH3)2, SO2, SO2N(R3), -N= или S (=O, =NR3), Z означает H, A, OA, [C(R3)2]nHet2 или N=S(=O)A2, А означает неразветвленный или разветвленный алкил, содержащий 1-10 атомов С, в котором одна или две СН- и/или СН2-группы, не расположенные рядом, могут быть заменены на атомы О и где 1-7 атомов Н могут быть заменены на R5, или означает (СН2)nСус, Сус означает циклический алкил, содержащий 3-7 атомов С, R5 означает ОН, SO2A или N(R3)2, Het1 означает пиразолил, который может быть монозамещенным посредством А, Het2 означает 4-7-членный моноциклический ароматический, ненасыщенный или насыщенный гетероцикл, содержащий от 1 до 3 атомов N, О и/или S, который может быть незамещенным или моно-, ди- или тризамещенным посредством A, Hal, CN, OR3, [C(R3)2]nN(R3)2, [C(R3)2]nSO2A, [C(R3)2]nNR3SO2A, Het3, =NR3 и/или =O, или означает 7-10-членный бициклический ароматический, ненасыщенный или насыщенный гетероцикл, содержащий от 1 до 3 атомов N, О и/или S, который может быть незамещенным или моно-, ди- или тризамещенным посредством А, Hal, Het3 и/или =O, Het3 означает 4-6-членный моноциклический ароматический, ненасыщенный или насыщенный гетероцикл, содержащий от 1 до 3 атомов N, О и/или S, который может быть незамещенным или моно- или дизамещенным посредством A, Hal, OR3, оксетанила и/или =O, или означает 7-членный бициклический ароматический, ненасыщенный или насыщенный гетероцикл, содержащий от 1 до 2 атомов N и/или О, Hal означает F, Cl, Br или I, n означает 0, 1, 2 или 3, и их фармацевтически приемлемые соли, таутомеры и стереоизомеры, включая их смеси во всех соотношениях, при условии, что соединение формулы I не включает 6-хлор-3-[5-(3-метоксифенил)-3-изоксазолил]-1Н-индазол и его фармацевтически приемлемые сольваты, соли, таутомеры и стереоизомеры, включая их смеси во всех соотношениях, а также к способам получения, лекарственным средствам для ингибирования c-KIT киназы и для лечения и/или предотвращения злокачественного новообразования, где злокачественное новообразование представляет собой желудочно-кишечное злокачественное новообразование. Технический результат: получены новые соединения, которые могут быть применимы в качестве ингибиторов c-KIT киназы и для лечения и/или предотвращения злокачественного новообразования, где злокачественное новообразование представляет собой желудочно-кишечное злокачественное новообразование. 5 н. и 7 з.п. ф-лы, 2 табл., 22 пр.

Формула изобретения RU 2 836 662 C2

1. Соединения формулы I

в которой R1 означает Hal, CF3, OA, Het1, COOR3 или CON(R3)2,

R2 означает H, Hal или CN,

R3 означает H или A,

X означает фенилен, пиридиндиил, 1,3-тиазолдиил или пиразолдиил, каждый из которых не замещен или монозамещен посредством Hal и/или А,

Y отсутствует или означает СО, O[C(R3)2]n, NR3CO, CONR3, CONR3[C(R3)2]n, CONHCH2C(CH3)2, SO2, SO2N(R3), -N= или S (=O, =NR3),

Z означает H, A, OA, [C(R3)2]nHet2 или N=S(=O)A2,

А означает неразветвленный или разветвленный алкил, содержащий 1-10 атомов С, в котором одна или две СН- и/или СН2-группы, не расположенные рядом, могут быть заменены на атомы О и где 1-7 атомов Н могут быть заменены на R5,

или означает (СН2)nСус,

Сус означает циклический алкил, содержащий 3-7 атомов С,

R5 означает ОН, SO2A или N(R3)2,

Het1 означает пиразолил, который может быть монозамещенным посредством А,

Het2 означает 4-7-членный моноциклический ароматический, ненасыщенный или насыщенный гетероцикл, содержащий от 1 до 3 атомов N, О и/или S, который может быть незамещенным или моно-, ди- или тризамещенным посредством A, Hal, CN, OR3, [C(R3)2]nN(R3)2, [C(R3)2]nSO2A, [C(R3)2]nNR3SO2A, Het3, =NR3 и/или =O,

или

означает 7-10-членный бициклический ароматический, ненасыщенный или насыщенный гетероцикл, содержащий от 1 до 3 атомов N, О и/или S, который может быть незамещенным или моно-, ди- или тризамещенным посредством А, Hal, Het3 и/или =O,

Het3 означает 4-6-членный моноциклический ароматический, ненасыщенный или насыщенный гетероцикл, содержащий от 1 до 3 атомов N, О и/или S, который может быть незамещенным или моно- или дизамещенным посредством A, Hal, OR3, оксетанила и/или =O,

или

означает 7-членный бициклический ароматический, ненасыщенный или насыщенный гетероцикл, содержащий от 1 до 2 атомов N и/или О,

Hal означает F, Cl, Br или I,

n означает 0, 1, 2 или 3,

и их фармацевтически приемлемые соли, таутомеры и стереоизомеры, включая их смеси во всех соотношениях, при условии, что соединение формулы I не включает 6-хлор-3-[5-(3-метоксифенил)-3-изоксазолил]-1Н-индазол и его фармацевтически приемлемые сольваты, соли, таутомеры и стереоизомеры, включая их смеси во всех соотношениях.

2. Соединения по п. 1, где

Het2 означает пирролидинил, пиперазинил, пиперидинил, триазолил, азетидинил, морфолинил, тиоморфолинил, 2-окса-6-азаспиро[3.3]гептан-6-ил, 6-окса-2-азаспиро[3.4]октан-2-ил, 1-окса-6-азаспиро[3.3]гептан-6-ил, 2,6-диазаспиро[3.3]гептан-2-ил, октагидропирроло[3,4-b]пирролил, октагидропирроло[3,2-b]пирролил, 1,4-диазепанил, пиридинил, 1Н-пиридинил, 2Н-пиридазинил, 2,3-дигидропиридазинил, октагидро-1Н-пирроло[3.2-b]пиридинил, 3-тиа-6-азабицикло[3.1.1]гептанил, 6-окса-1-азаспиро[3.3]гептан-1-ил, 1Н-пиразолил, тиазолидинил, 2-окса-7-азаспиро[3.5]нонан-7-ил, 1,4-оксазепанил, 2-тиа-6-азаспиро[3.3]гептан-6-ил, 2,8-диокса-5-азаспиро[3.5]нонан-5-ил, 1Н-1,3-бензодиазол-2-ил, 2-окса-7-азаспиро[4.4]нонан-7-ил, 2-окса-6-азаспиро[3.4]октан-6-ил, 8-окса-2-азаспиро[4.5]декан-2-ил, 2,6-диазаспиро[3.4]октан-6-ил, 6-окса-3-азабицикло[3.1.1]гептан-3-ил, 2-окса-5-азабицикло[2.2.1]гептан-5-ил, 7-окса-2-азаспиро[3.5]нонан-2-ил, 6-окса-1-азаспиро[3.3]гептан-1-ил, 2,7-диазаспиро[3.5]нонан-7-ил, 3-окса-6-азабицикло[3.1.1]гептан-6-ил, 1Н,2Н,3Н-пирроло[3,4-с]пиридин-2-ил, 2,7-диазаспиро[3.5]нонан-2-ил, гексагидро-1Н-фуро[3,4-с]пиррол-5-ил, октагидропирроло[2,3-е]пиррол-5-ил, 5Н,6Н,7Н-пирроло[3,4-d]пиримидин-6-ил, 1Н,4Н,5Н,6Н-пирроло[3,4-с]пиразол-5-ил, октагидропирано[3,4-с]пиррол-2-ил, октагидрофуро[3,4-с]пиридин-5-ил, октагидропирроло[3,4-с]пиррол-2-ил, гексагидро-1H-2лямбда6-тиено[3,4-с]пиррол-5-ил или тетрагидрофуро[3,4-с]пиррол-5-ил, каждый из которых может быть незамещенным или моно-, ди- или тризамещенным посредством A, Hal, CN, OR3, [C(R3)2]nN(R3)2, [C(R3)2]nSO2A, [C(R3)2]nNR3SO2A, Het3, =NR3 и/или =O,

и их фармацевтически приемлемые соли, таутомеры и стереоизомеры, включая их смеси во всех соотношениях.

3. Соединения по п. 1 или 2, где

Het3 означает морфолинил, 1H-пиразолил, 1лямбда6-тиоморфолинил, имидазолил, азетидинил, пиперазинил, пиперидинил, пиридинил, оксетанил, 1,2,4-оксадиазолил, пиримидинил, оксоланил, пирролидинил, 2-окса-6-азаспиро[3.3]гептан-6-ил, оксан-4-ил или 1,2,4-триазолил, каждый из которых может быть незамещенным или моно- или дизамещенным посредством A, Hal, OR3, оксетанила и/или =O,

и их фармацевтически приемлемые соли, таутомеры и стереоизомеры, включая их смеси во всех соотношениях.

4. Соединения по п. 1, где

R1 означает Hal, CF3, ОСН3, ОСН2СН2ОСН3, ОСН2СН2ОН, 1-метил-1Н-пиразол-4-ил, СООСН3, CONH2, CONHCH3 или CONHCH2CH2OCH3,

R2 означает Н, Hal или CN,

R3 означает Н или СН3,

X означает 1,4-фенилен, 1,3-фенилен, 2-фтор-1,4-фенилен, 2-метил-1,4-фенилен, пиридин-3,6-диил, 1,3-тиазол-2,4-диил, 1,3-тиазол-2,5-диил или пиразол-1,4-диил, каждый из которых не замещен или монозамещен посредством Hal и/или А,

Y отсутствует или означает СО, SO2, NHCO, NCH3, CONH(CH2)n, CONHCH2C(CH3)2, CON(CH3)(CH2)n, О, OCH2, OCH2CH2, S(=O)(=NH), -N= или SO2N(CH3),

Z означает H, A, OA, [C(R3)2]nHet2 или N=S(=O)A2,

А означает неразветвленный или разветвленный алкил, содержащий 1-10 атомов С, в котором одна СН- и/или СН2-группа может быть заменена на атомы О и где 1-3 атомов Н могут быть заменены на R5,

или означает (СН2)nCyc,

Сус означает циклический алкил, содержащий 3-7 атомов С,

R5 означает ОН, SO2A или N(R3)2,

Het1 означает пиразолил, который может быть моно- или дизамещенным посредством А,

Het2 означает пирролидинил, пиперазинил, пиперидинил, триазолил, азетидинил, морфолинил, тиоморфолинил, 2-окса-6-азаспиро[3.3]гептан-6-ил, 6-окса-2-азаспиро[3.4]октан-2-ил, 1-окса-6-азаспиро[3.3]гептан-6-ил, 2,6-диазаспиро[3.3]гептан-2-ил, октагидропирроло[3,4-b]пирролил, октагидропирроло[3,2-b]пирролил, 1,4-диазепанил, пиридинил, 1Н-пиридинил, 2Н-пиридазинил, 2,3-дигидропиридазинил, октагидро-1Н-пирроло[3.2-b]пиридинил, 3-тиа-6-азабицикло[3.1.1]гептанил, 6-окса-1-азаспиро[3.3]гептан-1-ил, 1Н-пиразолил, тиазолидинил, 2-окса-7-азаспиро[3.5]нонан-7-ил, 1,4-оксазепанил, 2-тиа-6-азаспиро[3.3]гептан-6-ил, 2,8-диокса-5-азаспиро[3.5]нонан-5-ил, 1Н-1,3-бензодиазол-2-ил, 2-окса-7-азаспиро[4.4]нонан-7-ил, 2-окса-6-азаспиро[3.4]октан-6-ил, 8-окса-2-азаспиро[4.5]декан-2-ил, 2,6-диазаспиро[3.4]октан-6-ил, 6-окса-3-азабицикло[3.1.1]гептан-3-ил, 2-окса-5-азабицикло[2.2.1]гептан-5-ил, 7-окса-2-азаспиро[3.5]нонан-2-ил, 6-окса-1-азаспиро[3.3]гептан-1-ил, 2,7-диазаспиро[3.5]нонан-7-ил, 3-окса-6-азабицикло[3.1.1]гептан-6-ил, 1Н,2Н,3Н-пирроло[3,4-с]пиридин-2-ил, 2,7-диазаспиро[3.5]нонан-2-ил, гексагидро-1Н-фуро[3,4-с]пиррол-5-ил, октагидропирроло[2,3-е]пиррол-5-ил, 5Н,6Н,7Н-пирроло[3,4-d]пиримидин-6-ил, 1Н,4Н,5Н,6Н-пирроло[3,4-с]пиразол-5-ил, октагидропирано[3,4-с]пиррол-2-ил, октагидрофуро[3,4-с]пиридин-5-ил, октагидропирроло[3,4-с]пиррол-2-ил, гексагидро-1Н-2лямбда6-тиено[3,4-с]пиррол-5-ил или тетрагидрофуро[3,4-c]пиррол-5-ил, каждый из которых может быть незамещенным или моно-, ди- или тризамещенным посредством A, Hal, CN, OR3, [C(R3)2]nN(R3)2, [C(R3)2]nSO2A, [C(R3)2]nNR3SO2A, Het3, =NR3 и/или =O,

Het3 означает морфолинил, 1H-пиразолил, 1лямбда6-тиоморфолинил, имидазолил, азетидинил, пиперазинил, пиперидинил, пиридинил, оксетанил, 1,2,4-оксадиазолил, пиримидинил, оксоланил, пирролидинил, 2-окса-6-азаспиро[3.3]гептан-6-ил, оксан-4-ил или 1,2,4-триазолил, каждый из которых может быть незамещенным или моно- или дизамещенным посредством A, Hal, OR3, оксетанила и/или =O,

Hal означает F, Cl или Br,

n означает 0, 1 или 2,

и их фармацевтически приемлемые соли, таутомеры и стереоизомеры, включая их смеси во всех соотношениях.

5. Соединения по п. 1 формулы 1b

в которой R1 означает Hal, CF3, ОСН3, ОСН2СН2ОСН3, ОСН2СН2ОН, 1-метил-1Н-пиразол-4-ил, СООСН3, CONH2, CONHCH3 или CONHCH2CH2OCH3,

R2 означает Н, Hal или CN,

R3 означает Н или СН3,

X означает 1,4-фенилен, 1,3-фенилен, 2-фтор-1,4-фенилен, 2-метил-1,4-фенилен, пиридин-3,6-диил, 1,3-тиазол-2,4-диил, 1,3-тиазол-2,5-диил или пиразол-1,4-диил, каждый из которых не замещен или монозамещен посредством Hal и/или А,

Y отсутствует или означает СО, SO2, NHCO, NCH3, CONH(CH2)n, CONHCH2C(CH3)2, CON(CH3)(CH2)n, О, OCH2, OCH2CH2, S(=O)(=NH), -N=или SO2N(CH3),

Z означает H, A, OA, [C(R3)2]nHet2 или N=S(=O)A2,

А означает неразветвленный или разветвленный алкил, содержащий 1-10 атомов С, в котором одна СН- и/или СН2-группа может быть заменена на атомы О, и где 1-3 атомов Н могут быть заменены на R5,

или означает (СН2)nCyc,

Сус означает циклический алкил, содержащий 3-7 атомов С,

R5 означает OH, SO2A или N(R3)2,

Het1 означает пиразолил, который может быть моно- или дизамещенным посредством А,

Het2 означает пирролидинил, пиперазинил, пиперидинил, триазолил, азетидинил, морфолинил, тиоморфолинил, 2-окса-6-азаспиро[3.3]гептан-6-ил, 6-окса-2-азаспиро[3.4]октан-2-ил, 1-окса-6-азаспиро[3.3]гептан-6-ил, 2,6-диазаспиро[3.3]гептан-2-ил, октагидропирроло[3,4-b]пирролил, октагидропирроло[3,2-b]пирролил, 1,4-диазепанил, пиридинил, 1Н-пиридинил, 2Н-пиридазинил, 2,3-дигидропиридазинил, октагидро-1Н-пирроло[3.2-b]пиридинил, 3-тиа-6-азабицикло[3.1.1]гептанил, 6-окса-1-азаспиро[3.3]гептан-1-ил, 1Н-пиразолил, тиазолидинил, 2-окса-7-азаспиро[3.5]нонан-7-ил, 1,4-оксазепанил, 2-тиа-6-азаспиро[3.3]гептан-6-ил, 2,8-диокса-5-азаспиро[3.5]нонан-5-ил, 1Н-1,3-бензодиазол-2-ил, 2-окса-7-азаспиро[4.4]нонан-7-ил, 2-окса-6-азаспиро[3.4]октан-6-ил, 8-окса-2-азаспиро[4.5]декан-2-ил, 2,6-диазаспиро[3.4]октан-6-ил, 6-окса-3-азабицикло[3.1.1]гептан-3-ил, 2-окса-5-азабицикло[2.2.1]гептан-5-ил, 7-окса-2-азаспиро[3.5]нонан-2-ил, 6-окса-1-азаспиро[3.3]гептан-1-ил, 2,7-диазаспиро[3.5]нонан-7-ил, 3-окса-6-азабицикло[3.1.1]гептан-6-ил, 1Н,2Н,3Н-пирроло[3,4-с]пиридин-2-ил, 2,7-диазаспиро[3.5]нонан-2-ил, гексагидро-1Н-фуро[3,4-с]пиррол-5-ил, октагидропирроло[2,3-е]пиррол-5-ил, 5Н,6Н,7Н-пирроло[3,4-d]пиримидин-6-ил, 1Н,4Н,5Н,6Н-пирроло[3,4-с]пиразол-5-ил, октагидропирано[3,4-с]пиррол-2-ил, октагидрофуро[3,4-с]пиридин-5-ил, октагидропирроло[3,4-с]пиррол-2-ил, гексагидро-1Н-2 лямбда6-тиено[3,4-с]пиррол-5-ил или тетрагидрофуро[3,4-c]пиррол-5-ил, каждый из которых может быть незамещенным или моно-, ди- или тризамещенным посредством A, Hal, CN, OR3, [C(R3)2]nN(R3)2, [C(R3)2]nSO2A, [C(R3)2]nNR3SO2A, Het3, =NR3 и/или =O,

Het3 означает морфолинил, 1H-пиразолил, 1лямбда6-тиоморфолинил, имидазолил, азетидинил, пиперазинил, пиперидинил, пиридинил, оксетанил, 1,2,4-оксадиазолил, пиримидинил, оксоланил, пирролидинил, 2-окса-6-азаспиро[3.3]гептан-6-ил, оксан-4-ил или 1,2,4-триазолил, каждый из которых может быть незамещенным или моно- или дизамещенным посредством A, Hal, OR3, оксетанила и/или =O,

Hal означает F, Cl или Br,

n означает 0, 1 или 2,

и их фармацевтически приемлемые соли, таутомеры и стереоизомеры, включая их смеси во всех соотношениях.

6. Соединения по п. 1, выбранные из группы

и их фармацевтически приемлемые соли, таутомеры и стереоизомеры, включая их смеси во всех соотношениях.

7. Соединение по п. 1, где это соединение представляет собой

или его фармацевтически приемлемая соль, таутомер или стереоизомер, включая его смеси во всех соотношениях.

8. Способ получения соединений формулы I по пп. 1-7 и их фармацевтически приемлемых солей, таутомеров и стереоизомеров, отличающийся тем, что

а) для получения соединений формулы I,

в которой X означает фенилен,

Y означает СО,

Z означает [C(R3)2]nHet2 и

n означает 0,

соединение формулы II

в которой R1 и R2 имеют значения, указанные в п. 1,

подвергают реакции с соединением формулы III

в которой Het2 имеет значение, указанное в п. 1,

или

b) для получения соединений формулы I,

в которой R1 означает Het1,

соединение формулы IV

в которой R2, X, Y и Z имеют значения, указанные в п. 1,

подвергают реакции с соединением формулы V

в которой Het1 имеет значения, указанные в п. 1,

или

c) для получения соединений формулы Ia

в которой R1, R2, X, Y и Z имеют значения, указанные в п. 1,

соединение формулы VI

в которой R1 и R2 имеют значения, указанные в п. 1,

подвергают реакции с соединением формулы VII

в которой X, Y и Z имеют значения, указанные в п. 1,

или

d) для получения соединений формулы Ib

в которой R1, R2, X, Y и Z имеют значения, указанные в п. 1,

соединение формулы VIII

в которой R1 и R2 имеют значения, указанные в п. 1,

подвергают реакции с соединением формулы IX

в которой X, Y и Z имеют значения, указанные в п. 1,

и/или

основание или кислоту формулы I превращают в одну из его (ее) солей.

9. Лекарственное средство для ингибирования c-KIT киназы, содержащее соединение формулы I по п. 1 и/или его фармацевтически приемлемые соли, таутомеры и стереоизомеры, включая их смеси во всех соотношениях, и необязательно фармацевтически приемлемый носитель, наполнитель или среду для лекарственного средства.

10. Лекарственное средство для лечения и/или предотвращения злокачественного новообразования, где злокачественное новообразование представляет собой желудочно-кишечное злокачественное новообразование, содержащее соединение формулы I по п. 1 и/или его фармацевтически приемлемые соли, таутомеры и стереоизомеры, включая их смеси во всех соотношениях, и необязательно фармацевтически приемлемый носитель, наполнитель или среду для лекарственного средства.

11. Соединения формулы I по п. 1 и их фармацевтически приемлемые соли, таутомеры и стереоизомеры, включая их смеси во всех соотношениях, для применения для лечения и/или предотвращения злокачественного новообразования, где злокачественное новообразование представляет собой желудочно-кишечное злокачественное новообразование.

12. Промежуточные соединения, выбранные из группы:

2-бром-5-фтор-4-(2-метоксиэтокси)бензальдегид

N'-[(1Е)-[2-бром-5-фтор-4-(2-метоксиэтокси)фенил]метилиден]-4-метилбензол-1-сульфоногидразид

5-фтор-6-(2-метоксиэтокси)-1-(4-метилбензолсульфонил)-1Н-индазол

5-фтор-6-(2-метоксиэтокси)-1Н-индазол

5-фтор-3-йод-6-(2-метоксиэтокси)-1Н-индазол

трет-бутил 5-фтор-3-йод-6-(2-метоксиэтокси)-1Н-индазол-1-карбоксилат

трет-бутил 5-фтор-6-(2-метоксиэтокси)-3-[2-(триметилсилил)этинил]-1Н-индазол-1-карбоксилат

3-этинил-5-фтор-6-(2-метоксиэтокси)-1Н-индазол

трет-бутил 3-этинил-5-фтор-6-(2-метоксиэтокси)-1Н-индазол-1-карбоксилат

трет-бутил 5-фтор-3-{3-[4-(метоксикарбонил)фенил]-1,2-оксазол-5-ил}-6-(2-метоксиэтокси)-1Н-индазол-1-карбоксилат

4-{5-[5-фтор-6-(2-метоксиэтокси)-1Н-индазол-3-ил]-1,2-оксазол-3-ил}бензойная кислота

Документы, цитированные в отчете о поиске Патент 2025 года RU2836662C2

WO 2012084704 A1, 28.06.2012
WO 2017121444 A1, 20.07.2017
ПИРРОЛО[2, 3-В]ПИРИДИНОВЫЕ ПРОИЗВОДНЫЕ В КАЧЕСТВЕ ИНГИБИТОРОВ ПРОТЕИНКИНАЗ 2006
  • Ибрахим Прабха Н.
  • Артис Дин Р.
  • Бремер Райан
  • Мамо Шумейе
  • Неспи Марика
  • Жанг Чао
  • Жанг Джиажонг
  • Жу Йонг-Лианг
  • Цай Джеймс
  • Херт Клаус-Питер
  • Боллаг Гидеон
  • Спевак Уэйн
  • Чо Ханна
  • Джиллет Сэмьюэл Дж.
  • Ву Гуоксиам
  • Жу Хонгьяо
  • Ши Шенгхуа
RU2418800C2
RU 2012111695 A, 10.10.2013.

RU 2 836 662 C2

Авторы

Дорш Дитер

Блюм Андреас

Даты

2025-03-18Публикация

2020-02-10Подача