Область техники, к которой относится изобретение
Настоящее изобретение относится к электротехнике.
Уровень техники
В настоящее время, постоянно растет число потребителей электрической энергии, предъявляющих повышенные требования к показателям качества электрической энергии. К числу таких потребителей относятся вычислительные системы, системы обработки данных, а также электрооборудование, обеспечивающее непрерывные технологические процессы. На качество функционирования данных потребителей особое влияние оказывают такие показатели качества электрической энергии как длительность провала напряжения и длительность перенапряжения. Превышение заданных значений указанных показателей может привести к увеличению рисков возникновения аварийных ситуаций. Особенно данная проблема актуальна для популярных в настоящее время бесщеточных синхронных генераторов, так как они имеют существенно меньшее быстродействие из-за наличия второй электрической машины в контуре управления. Уменьшение значений данных показателей может быть осуществлено с помощью совершенствования системы автоматического регулирования возбуждения синхронного генератора.
Известен способ построения адаптивной системы автоматического управления возбуждением (Патент RU 2629378 С1, МПК Н02Р 9/14, G05B 13/02, G06G 7/26, Н02Р 9/00, 12.04.2016), заключающийся в том, что коэффициенты каналов стабилизации автоматического регулятора возбуждения и коэффициент усиления регулятора напряжения подстраивают под изменения значений параметров эквивалентной схемы «генератор-линия-шины бесконечной мощности (ШБМ)» таким образом, чтобы переходные процессы при возмущающем и управляющем воздействии имели апериодический или близкий к нему характер.
Несмотря на то, что апериодический характер переходных процессов является желательным для чувствительных к длительности провала напряжения или перенапряжения потребителей, известный способ не гарантирует снижение длительности переходных процессов. Другим недостатком известного способа является его применимость только для регулирования возбуждения синхронных машин большой мощности на электростанциях, в которых мощность отдельных потребителей пренебрежительно мала по сравнению с мощностью генератора. Только в таком случае может быть использована математическая модель «генератор-линия-ШБМ», которая является неадекватной для систем электроснабжения с генераторами средней и малой мощности.
Известен также способ формирования квазиоптимального управления возбуждением (Костюк, О.М. Квазиоптимальное управление возбуждением синхронного генератора в переходных режимах / О.М. Костюк, С.Н. Банько // Научно-прикладной журнал «Техническая электродинамика». - Киев.: Институт электродинамики, 1990. - С. 68-73.). В указанном способе, управляющее воздействие представляет из себя последовательность из форсировочного и расфорсировочного воздействия, а после отработки возмущения и восстановления напряжения скачком изменяют до уровня, соответствующего требуемому значению для нового установившегося режима.
Данного способа будет достаточно, если полученное управление действительно является оптимальным, то есть обеспечивает перевод значения выходного напряжения основного генератора к значению уставки по напряжению, и при этом в системе никаких малых возмущений в дальнейшем не происходит. Однако, полученное в указанном способе управление является квазиоптимальным и не обеспечивает точного достижения уставки по напряжению, а возмущения, действующие на бесщеточный синхронный генератор, носят не детерминированный, а стохастический характер. В связи с этим, недостатком приведенного способа формирования квазиоптимального управления возбуждением является его неприменимость при малых отклонениях регулируемого параметра, которые могут возникнуть из-за квазиоптимального характера управления и стохастического характера нагрузки.
Наиболее близким способом того же назначения к заявленному способу по совокупности признаков является способ комбинированного регулирования возбуждения бесщеточного синхронного генератора (Заявка RU №2021101698 А, МПК Н02Р 9/14, G06G 7/26, 26.07.2022), отличающийся тем, что регулирование осуществляют комбинированным способом, при котором малые отклонения напряжения синхронного генератора демпфируют в соответствии с пропорционально-интегральным законом регулирования напряжения генератора с учетом введения местной жесткой обратной связи по напряжению возбуждения, а отработка возмущающих воздействий, приводящих к значительным отклонениям напряжения синхронного генератора от номинального, посредством изменения возбуждения возбудителя согласно оптимального по быстродействию программного закона регулирования, для определения которого используют трансцендентную систему алгебраических уравнений относительно длительностей интервалов оптимального управления.
К причинам, препятствующим достижению указанного ниже технического результата, при использовании известного способа, принятого за прототип, относят то, что в известном способе программное управление является разомкнутым. Идентификация упрощенной модели бесщеточного синхронного генератора и определение начальных условий для переменных состояния производится перед применением оптимального по быстродействию управления. При идентификации упрощенной модели и определении начальных условий неизбежно возникают несоответствия между динамикой реальной системы и ее модели. Разомкнутое управление не позволяет адаптировать программу управления к поведению реальной системы, что влечет за собой рассогласование между требуемым и действительным значением выходного напряжения основного генератора в конце применения оптимального по быстродействию управления, что, в свою очередь, приводит к броскам регулирующей величины при переключении между каналами регулирования и снижению быстродействия системы управления относительно предельно возможного.
Уровень техники не обеспечивает возможность регулирования возбуждения бесщеточного синхронного генератора таким образом, чтобы удовлетворить жесткие требования потребителей к качеству электроэнергии, а именно к длительностям перенапряжений и провалов напряжения.
Раскрытие сущности изобретения
Задачей настоящего изобретения является создание способа регулирования возбуждения бесщеточного синхронного генератора, позволяющего удовлетворить жесткие требования к качеству электрической энергии потребителей, чувствительных к длительностям провала напряжения и перенапряжения. В связи с этим, указанный способ должен минимизировать длительность переходных процессов и обеспечивать стабилизацию выходного напряжения основного генератора в установившихся режимах.
Бесщеточный синхронный генератор состоит из основного синхронного генератора и синхронного возбудителя, соединенных между собой неуправляемым трехфазным выпрямителем. Бесщеточный синхронный генератор оборудуется автоматическим регулятором возбуждения, который воздействует на величину напряжения возбуждения синхронного возбудителя через управляемый выпрямитель.
Автоматический регулятор возбуждения бесщеточного синхронного генератора может быть реализован, например, с помощью микропроцессорного устройства, при этом в нем предусматривается два канала регулирования. Первый канал регулирования реализует пропорционально-интегральный закон регулирования с введением местной жесткой обратной связи по напряжению возбуждения основного генератора. Второй канал регулирования реализует оптимальное по быстродействию управление возбуждением бесщеточного синхронного генератора, которое представляет из себя попеременную форсировку и расфорсировку напряжения возбуждения синхронного возбудителя.
Пропорционально-интегральный регулятор с введением местной жесткой обратной связи по напряжению возбуждения основного генератора предназначен для стабилизации напряжения, а также демпфирования малых и средних возмущений (подключение, либо отключение незначительной части нагрузки). Выходной сигнал регулятора при использовании данного канала регулирования будет иметь вид:
где ϑ(t) - выходной сигнал регулятора в момент времени t, о.е.;
Kp, KI - коэффициенты пропорционального и интегрального
каналов пропорционально-интегрального регулятора соответственно, значения которых могут быть определены при помощи известных способов настройки пропорционально-интегрально-дифференциальных регуляторов, о.е.;
Uуст - уставка по напряжению, о.е.;
uГ(t) - выходное напряжение основного генератора в момент времени t, о.е.;
KЖОС - коэффициент местной жесткой обратной связи по напряжению возбуждения основного генератора, принимаемый равным 0,85-1 о.е. (Юрганов А.А. Регулирование возбуждения турбогенераторов атомных электростанций, дисс. докт. техн. наук. Л.: ВНИИэлектромаш, 1990);
uƒ(t) - напряжение возбуждения основного генератора в момент времени t, о.е.
Регулятор, оптимальный по быстродействию предназначен для регулирования возбуждения бесщеточного генератора при значительных (аварийных) возмущающих воздействиях (подключение, либо отключение мощной нагрузки, запуск мощных асинхронных двигателей и т.д.). Регулирование осуществляется методом поочередной релейной форсировки и расфорсировки напряжения возбуждения синхронного возбудителя в течение интервалов времени, получаемых в результате решения задачи оптимального по быстродействию управления упрощенной моделью бесщеточного синхронного генератора. Параметры упрощенной модели бесщеточного синхронного генератора вычисляются на основании измеренных значений выходного напряжения основного генератора, активного и реактивного сопротивления нагрузки. Очередность применения форсировки и расфорсировки напряжения возбуждения синхронного возбудителя определяется знаком отклонения выходного напряжения основного генератора
В зависимости от значения модуля отклонения напряжения основного генератора от уставки по напряжению выбирают один из двух каналов регулирования автоматического регулятора возбуждения.
В случае, если модуль отклонения напряжения основного генератора от уставки по напряжению меньше заданного значения, регулируют напряжение возбуждения синхронного возбудителя при помощи пропорционально-интегрального регулятора с введением местной жесткой обратной связи по напряжению возбуждения основного генератора.
В случае, если модуль отклонения напряжения основного генератора от уставки по напряжению больше заданного значения, регулируют напряжение возбуждения синхронного возбудителя при помощи регулятора, оптимального по быстродействию.
Сущность изобретения состоит в том, что для снижения влияния неточностей, возникающих при идентификации параметров упрощенной модели бесщеточного синхронного генератора, вводится процедура коррекции длительностей интервалов оптимального по быстродействию управления и требуемого установившегося значения выходного сигнала регулятора. Процедура коррекции заключается в многократном повторном решении системы нелинейных уравнений относительно длительностей интервалов через заданные промежутки времени, при этом, при каждом повторном решении измеряются значения выходного напряжения основного генератора, активного и реактивного сопротивления нагрузки, и уточняются параметры модели бесщеточного синхронного генератора, граничные условия для задачи оптимального по быстродействию управления возбуждением бесщеточного синхронного генератора, а также требуемое установившееся значение выходного сигнала регулятора при переключении на первый канал регулирования.
Техническим результатом является минимизация длительности перенапряжений и провалов напряжений в переходных режимах, а также обеспечение требуемой точности стабилизации напряжения во всех остальных режимах.
Краткое описание чертежей (если они содержатся в заявке)
Чертеж иллюстрирует графики выходного напряжения основного генератора, где
1 - график выходного напряжения основного генератора при использовании традиционного способа регулирования возбуждения;
2 - график выходного напряжения основного генератора при использовании способа регулирования возбуждения, принятого за прототип;
3 - график выходного напряжения основного генератора при использовании способа регулирования возбуждения с введением процедуры коррекции;
4 - ось выходного напряжения основного генератора в о.е.;
5 - ось времени в с.
Осуществление изобретения
Предложенный способ регулирования возбуждения бесщеточного синхронного генератора может быть реализован при помощи микропроцессорного регулятора в виде алгоритма, представленного ниже. В качестве параметров алгоритма используются параметры упрощенной модели:
- коэффициент передачи управляющего воздействия через управляемый выпрямитель на входе возбудителя, о.е.;
- коэффициент усиления синхронного возбудителя, о.е.;
еnв - максимальная фазная электродвижущая сила управляемого выпрямителя на входе синхронного возбудителя, о.е.;
vnв - фазная реактивность управляемого выпрямителя на входе синхронного возбудителя, о.е.;
Тв0 - постоянная времени синхронного возбудителя, с;
Trdв - постоянная времени демпферного контура синхронного возбудителя по продольной оси, с;
Te=Tв0+Trdв - эквивалентная постоянная времени синхронного возбудителя с учетом эквивалентирования демпферных контуров, с;
хdв - реактивное сопротивление синхронного возбудителя по продольной оси, о.е.;
xadв - реактивное сопротивление реакции якоря синхронного возбудителя по продольной оси, о.е.;
xqв - реактивное сопротивление синхронного возбудителя по поперечной оси, о.е.;
хIdв - переходное реактивное сопротивление синхронного возбудителя по продольной оси, о.е.;
- эквивалентное переходное реактивное сопротивление по продольной оси синхронного возбудителя с учетом эквивалентирования демпферных контуров, о.е.;
Tgl=kzTв - постоянная времени синхронного возбудителя с учетом управляемого выпрямителя на входе, с;
Тd0 - постоянная времени основного синхронного генератора, с;
Trd - постоянная времени демпферного контура основного синхронного генератора по продольной оси, с;
Тd0э=Тd0+Тrd - эквивалентная постоянная времени основного синхронного генератора с учетом эквивалентирования демпферных контуров, с;
xd - реактивное сопротивление основного синхронного генератора по продольной оси, о.е.;
- реактивное сопротивление реакции якоря основного синхронного генератора по продольной оси, о.е.;
xad - реактивное сопротивление основного синхронного генератора по поперечной оси, о.е.;
x'd - переходное реактивное сопротивление основного синхронного генератора по продольной оси, о.е.;
- эквивалентное переходное реактивное сопротивление по продольной оси основного синхронного генератора с учетом эквивалентирования демпферных контуров, о.е.;
xs - реактивное сопротивление рассеяния обмотки статора основного синхронного генератора, о.е.;
xƒs - реактивное сопротивление рассеяния обмотки ротора основного синхронного генератора, о.е.;
xƒ - реактивное сопротивление обмотки ротора основного синхронного генератора, о.е.;
ϑmax - максимальное значение выходного сигнала регулятора, обеспечивающее форсировку возбуждения, о.е.;
ϑmin - минимальное значение выходного сигнала регулятора, обеспечивающее расфорсировку возбуждения, о.е.;
- параметр, о.е.;
- значение коэффициента связи электродвижущей силы по поперечной оси синхронного возбудителя и напряжения возбуждения основного генератора в уравнении внешней характеристики, о.е.
μ1, μ2 - параметры функции, аппроксимирующей насыщение основного генератора, о.е.
Основным параметром, определяющим переключение между каналами регулирования в автоматическом регуляторе возбуждения бесщеточного синхронного генератора является |Δu0| - заданное значение модуля отклонения выходного значения напряжения основного генератора от напряжения уставки, о.е.
Ход алгоритма:
Шаг 1. Измеряют выходное напряжение основного генератора uг, напряжение возбуждения основного генератора uƒ (например, может быть измерено с помощью диаграммы Потье синхронного генератора), активное rH и реактивное хн сопротивления нагрузки (например, могут быть измерены при помощи Фурье-преобразования сигналов тока и напряжения генератора).
Шаг 2. Вычисляют отклонение выходного напряжения основного генератора от уставки по напряжению по формуле
ΔuГ=uУСТ-uГ.
Шаг 3. Производят сравнение модуля отклонения выходного напряжения основного генератора от уставки по напряжению с заданным значением, и в случае, если значение модуля отклонения выходного напряжения основного генератора от уставки по напряжению меньшезаданного значения |Δu0|, регулируют напряжение возбуждения синхронного возбудителя в соответствии с пропорционально-интегральным законом с введением местной жесткой обратной связи по напряжению возбуждения по формуле (1), запоминают следующие значения: uГ(-0)=uГ, rH(-0)=rH, хн(-0)=хн, ϑ(-0)=ϑ и возвращаются на шаг 1. В случае, если значение модуля отклонения выходного напряжения основного генератора от уставки по напряжению больше заданного значения |Δu|, то запоминают следующие значения: uГ(+0)=uГ, rH(+0)=rH, хН(+0)=хН, переключают регулятор возбуждения на второй канал регулирования и переходят к шагу 4.
Шаг 4. Определяют знак отклонения выходного напряжения основного генератора от уставки по напряжению, и в случае, если он отрицательный, то полагают ϑ1=ϑmin,ϑ2=ϑmax, случае, если положительный, то полагают ϑ1=ϑmin,ϑ2=ϑmax,
Шаг 5. Применяют управление ϑ1.
Шаг 6. Вычисляют следующие величины:
коэффициент связи между электродвижущей силой основного генератора по поперечной оси и выходным напряжением основного генератора в момент времени после скачкообразного изменения выходного напряжения основного генератора, о.е.;
коэффициент насыщения, учитывающий нелинейность характеристики холостого хода основного генератора, о.е.;
коэффициент нагрузки в момент времени после скачкообразного изменения выходного напряжения основного генератора, о.е.;
- значение электродвижущей силы основного генератора по поперечной оси после скачкообразного изменения выходного напряжения основного генератора, о.е.;
постоянная времени основного генератора в момент времени после скачкообразного изменения выходного напряжения основного генератора, с;
коэффициент связи между электродвижущей силой основного генератора по поперечной оси и выходным напряжением основного генератора до скачкообразного изменения выходного напряжения основного генератора, о.е.;
коэффициент насыщения, учитывающий нелинейность характеристики холостого хода основного генератора, о.е.;
коэффициент нагрузки до скачкообразного изменения выходного напряжения основного генератора, о.е.;
- параметр, о.е.;
- параметр, о.е.;
- значение режимного параметра неуправляемого выпрямителя до скачкообразного изменения выходного напряжения основного генератора, о.е.;
- значение режимного параметра неуправляемого выпрямителя в момент времени после скачкообразного изменения выходного напряжения основного генератора, о.е.;
B*1(-0)=0,35+0,66I*ƒ(-0) - значение коэффициента связи тока синхронного возбудителя по продольной оси и тока возбуждения основного генератора до скачкообразного изменения выходного напряжения основного генератора, о.е.;
B*1 (+0)=0,35+0,66I*ƒ(+0) - значение коэффициента связи тока синхронного возбудителя по продольной оси и тока возбуждения основного генератора в момент времени после скачкообразного изменения выходного напряжения основного генератора, о.е.;
- значение коэффициента связи продольного тока синхронного возбудителя и электродвижущей силы основного генератора по поперечной оси до скачкообразного изменения выходного напряжения основного генератора, о.е.;
- значение коэффициента связи продольного тока синхронного возбудителя и электродвижущей силы основного генератора по поперечной оси в момент времени после скачкообразного изменения выходного напряжения основного генератора, о.е.;
- значение коэффициента связи электродвижущей силы по поперечной оси и напряжения возбуждения основного генератора в уравнении внешней характеристики в момент времени после скачкообразного изменения выходного напряжения основного генератора, о.е.;
- значение электродвижущей силы синхронного возбудителя по продольной оси за переходным сопротивлением после скачкообразного изменения выходного напряжения основного генератора, о.е.
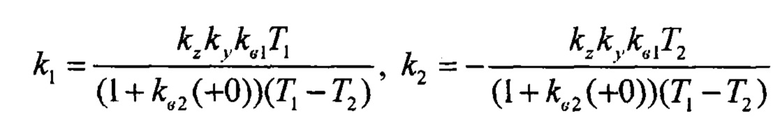
Шаг 7. Вычисляют установившееся значение выходного сигнала регулятора ϑУСТ в результате решения уравнения
где
- установившееся значение коэффициента связи электродвижущей силы по поперечной оси и напряжения возбуждения основного генератора в уравнении внешней характеристики, о.е.;
В*1УСТ=0,35+0,66/*ƒ,УСТ - установившееся значение коэффициента связи тока синхронного возбудителя по продольной оси и тока возбуждения основного генератора, о.е.;
- установившееся значение режимного параметра, о.е.;
- параметр, о.е.
Шаг 8. Вычисляют следующие величины:
- установившееся значение электродвижущей силы основного генератора по поперечной оси, о.е.;
- установившееся значение коэффициента связи продольного тока синхронного возбудителя и электродвижущей силы основного генератора по поперечной оси, о.е.;
- установившееся значение электродвижущей силы синхронного возбудителя по продольной оси за переходным сопротивлением, о.е.;
Θ1=ϑ1 - ϑУСТ, Θ2=ϑ2-ϑУСТ - значение управляющих воздействий для преобразованной модели бесщеточного синхронного генератора на первом и втором интервале управления, о.е.;
- коэффициенты характеристического многочлена матрицы линейной системы дифференциальных уравнений, описывающих динамику бесщеточного синхронного генератора, при соответствующих индексам степенях;
- постоянные времени преобразованной модели, с;
- коэффициенты передачи преобразованной модели, о.е.;
оператор преобразования матрицы системы дифференциальных уравнений к Жордановой нормальной форме;
начальные условия для преобразованных переменных состояния.
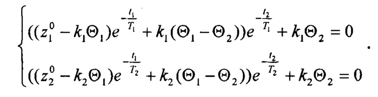
Шаг 9. Решают приведенную ниже систему нелинейных уравнений относительно длительностей интервалов (например, при помощи метода Ньютона) с начальным приближением
и получают оценки длительностей интервалов оптимального по быстродействию управления
а так же запоминают время τи, затраченное на шаги 6-9,
В способе, принятом за прототип, после шага 9, идет управление системой со скважностью ϑ1 в течение интервала времени
и со скважностью ϑ2 в течение интервала времени
при этом время τи, затраченное на решение, никак не учитывается.
Все это приводит к возникновению перерегулирования, бросков управляющей величины после переключения на канал пропорционально-интегрального регулирования с местной жесткой обратной связью по напряжению возбуждения, и, следовательно, к увеличению длительности переходных процессов.
В связи с этим, предлагается ввести процедуру коррекции длительностей интервалов оптимального по быстродействию управления, которая представлена ниже. В качестве основного параметра процедуры коррекции принято значение интервала времени между последовательным пересчетом длительностей интервалов оптимального по быстродействию управления τr. Значение данного параметра должно быть таким, чтобы обеспечить выполнение условия τr>τu, то есть интервал времени между последовательным пересчетом не должен быть меньше, чем максимально возможное время, затрачиваемое на решение задачи оптимального по быстродействию управления линеаризованной моделью бесщеточного синхронного генератора. Это достигается за счет предварительной проверки вычислительных возможностей устройства, реализующего расчет.
Положим к=1.
Шаг 10. Если
то переходят на шаг 11, если t1(k)<τr, то переходят на шаг 17.
Шаг 11. Применяют управление ϑ1 в течение τr - τu, и переходят на шаг 12, продолжая применять управление.
Шаг 12. Измеряют выходное напряжение основного генератора uг, активное rН и реактивное хН сопротивления нагрузки.
Шаг 13. Вычисляют следующие величины:
- коэффициент связи между электродвижущей силой основного генератора по поперечной оси и выходным напряжением основного генератора в текущий момент времени, о.е.;
- коэффициент насыщения, учитывающий нелинейность характеристики холостого хода основного генератора в текущий момент времени, о.е.;
- коэффициент нагрузки в текущий момент времени, о.е.;
- значение электродвижущей силы основного генератора по поперечной оси в текущий момент времени, о.е.;
- постоянная времени основного генератора в текущий момент времени, с;
- параметр, о.е.;
- значение режимного параметра неуправляемого выпрямителя в текущий момент времени, о.е.;
B*1=0,35+0,66I*ƒ - значение коэффициента связи тока синхронного возбудителя и тока возбуждения основного генератора в текущий момент времени, о.е.;
- значение коэффициента связи продольного тока синхронного возбудителя и электродвижущей силы основного генератора по поперечной оси в текущий момент времени, о.е.;
- значение коэффициента связи электродвижущей силы по поперечной оси и напряжения возбуждения основного генератора в уравнении внешней характеристики в текущий момент времени, о.е.;
- значение электродвижущей силы синхронного возбудителя по продольной оси за переходным сопротивлением в текущий момент времени, о.е.
Шаг 14. Вычисляют установившееся значение выходного сигнала регулятора ϑУСТ - в результате решения уравнения
где
- установившееся значение коэффициента связи электродвижущей силы по поперечной оси и напряжения возбуждения основного генератора в уравнении внешней характеристики, о.е.;
В*1,УСТ=0,35+0,66I*ƒуст - установившееся значение коэффициента связи тока синхронного возбудителя по продольной оси и тока возбуждения основного генератора, о.е.;
- установившееся значение режимного параметра неуправляемого выпрямителя, о.е.;
- параметр, о.е.
Шаг 15. Вычисляют следующие величины:
- установившееся значение электродвижущей силы основного генератора по поперечной оси, о.е.;
- установившееся значение коэффициента связи продольного тока синхронного возбудителя и электродвижущей силы основного генератора по поперечной оси, о.е.;
- установившееся значение электродвижущей силы синхронного возбудителя по продольной оси за переходным сопротивлением, о.е.;
Θ1=ϑ1 - ϑУСТ, Θ2=ϑ2-ϑУСТ - значение управляющих воздействий для преобразованной модели бесщеточного синхронного генератора на первом и втором интервале управления, о.е.;
- коэффициенты характеристического многочлена матрицы линейной системы дифференциальных уравнений, описывающих динамику бесщеточного синхронного генератора, при соответствующих индексам степенях;
- постоянные времени преобразованной модели, с;
- коэффициенты передачи преобразованной модели, о.е.;
- оператор преобразования матрицы системы дифференциальных уравнений к Жордановой нормальной форме;
начальные условия для преобразованных переменных состояния.
Шаг 16. Решают приведенную ниже систему нелинейных уравнений относительно длительностей интервалов с начальными приближением
и получают оценки длительностей интервалов оптимального по быстродействию управления
а так же запоминают время τu, затраченное на шаги 12-16,
После этого полагают k=k+1 возвращаются на шаг 10.
Шаг 17. Применяют управление ϑ1 в течение
после этого применяют управление ϑ2 и переходят на шаг 18.
Шаг 18. Измеряют выходное напряжение основного генератора uГ, активное rН и реактивное хН сопротивления нагрузки.
Шаг 19. Вычисляют параметры линеаризованной модели
по формулам из шагов 12-15 и переходят на шаг 20.
Шаг 20. Полагают
решают приведенную ниже переопределенную систему нелинейных уравнений относительно длительности второго интервала (например, при помощи метода Левенберга-Марквардта или методом псевдообратной матрицы) с начальным приближением
и получают оценку длительности второго интервала оптимального по быстродействию управления
и величину времени τu, затраченного на шаги 19-20,
После этого полагают k=k+1 и переходят на шаг 21.
Шаг 21. Если
то переходят на шаг 22, если
то переходят на шаг 23.
Шаг 22. Применяют управление ϑ2 в течение τr-τu, после этого продолжают применять «92и переходят на шаг 18.
Шаг 23. Применяют управление ϑ2 в течение
и переходят на шаг 24.
Шаг 24. Последнее полученное значение назначают за начальное значение для интегрирующего звена пропорционально-интегрального регулятора с местной жесткой обратной связью по напряжению возбуждения основного генератора.
Шаг 25. Переключают автоматический регулятор возбуждения на канал пропорционально-интегрального регулирования с местной жесткой обратной связью по напряжению, возбуждения основного генератора и возвращаются на шаг 1.
Анализ эффективности предложенного способа проведен с помощью компьютерного моделирования с применением пакета программ MATLAB фирмы The Math Works Inc на модели бесщеточного синхронного генератора и статической активно-индуктивной нагрузки, значения параметров которых приведены в таблице 1.
Сравнительный анализ различных способов регулирования возбуждения приведен на чертеже.
Из результатов моделирования можно заключить, что предложенный способ регулирования возбуждения бесщеточного синхронного генератора превосходит в вопросах быстродействия традиционный способ регулирования с использованием пропорционально-интегрального регулятора с введением местной жесткой обратной связи по напряжению возбуждения, а также способ, принятый за прототип. При этом, увеличение быстродействия положительно сказывается на стабилизации напряжения.
Таким образом, предложенный способ позволяет достигнуть заявленного технического результата.
| название | год | авторы | номер документа |
|---|---|---|---|
| СПОСОБ АВТОМАТИЧЕСКОГО РЕГУЛИРОВАНИЯ ВОЗБУЖДЕНИЯ СИНХРОННЫХ ГЕНЕРАТОРОВ | 1970 |
|
SU279776A1 |
| СПОСОБ И УСТРОЙСТВО РЕГУЛИРОВАНИЯ ВОЗБУЖДЕНИЯ СИНХРОННОГО ГЕНЕРАТОРА | 2002 |
|
RU2237346C2 |
| Способ управления бесщеточной синхронной машиной | 1985 |
|
SU1305821A1 |
| Устройство для возбуждения бесщеточного синхронного генератора | 1988 |
|
SU1686692A1 |
| Бесщеточная синхронная машина | 1989 |
|
SU1758826A1 |
| Способ управления бесщеточной синхронной машиной | 1988 |
|
SU1624657A2 |
| УСТРОЙСТВО РЕГУЛИРОВАНИЯ ВОЗБУЖДЕНИЯ СИНХРОННОГО ДВИГАТЕЛЯ | 2005 |
|
RU2289196C2 |
| УСТРОЙСТВО ДЛЯ АВТОМАТИЧЕСКОГО РЕГУЛИРОВАНИЯ ВОЗБУЖДЕНИЯ СИНХРОННОЙ МАШИНЫ | 1973 |
|
SU388341A1 |
| СИСТЕМА МОНИТОРИНГА АВТОМАТИЧЕСКИХ РЕГУЛЯТОРОВ ВОЗБУЖДЕНИЯ И СИСТЕМ ВОЗБУЖДЕНИЯ ГЕНЕРАТОРОВ ЭЛЕКТРОСТАНЦИИ | 2013 |
|
RU2509333C1 |
| Устройство для возбуждения бесщеточного асинхронного генератора | 1988 |
|
SU1629957A2 |
Изобретение относится к электротехнике и может быть использовано для регулирования возбуждения бесщеточных синхронных генераторов, питающих электрической энергией ответственных потребителей, чувствительных к длительностям провалов напряжения и перенапряжений. Техническим результатом является минимизация длительности перенапряжений и провалов напряжений в переходных режимах, а также обеспечение требуемой точности стабилизации напряжения во всех остальных режимах работы бесщеточного синхронного генератора. Технический результат достигается тем, что в двуканальном регуляторе возбуждения, состоящем из пропорционально-интегрального канала регулирования с введением местной жесткой обратной связи по напряжению возбуждения основного генератора и оптимального по быстродействию канала регулирования, во втором канале регулирования вводится процедура коррекции длительностей интервалов оптимального по быстродействию управления и требуемого установившегося значения выходного сигнала регулятора. 1 ил., 1 табл.
Способ регулирования возбуждения бесщеточного синхронного генератора, состоящий в том, что измеряют напряжение возбуждения и выходное напряжение основного генератора, активное и реактивное сопротивление нагрузки и подают на обмотку возбуждения синхронного возбудителя напряжение, величину которого определяют в зависимости от значения отклонения выходного напряжения основного генератора от уставки по напряжению, и в случае, если значение отклонения напряжения основного генератора по модулю меньше заданного значения, регулируют возбуждение бесщеточного синхронного генератора в соответствии с пропорционально-интегральным законом с введением местной жесткой обратной связи по напряжению возбуждения, а в случае, если значение отклонения напряжения основного генератора по модулю больше заданного значения, регулируют возбуждение бесщеточного синхронного генератора методом поочередной релейной форсировки и расфорсировки напряжения возбуждения синхронного возбудителя, при котором очередность применения форсировки и расфорсировки определяется на основании знака отклонения напряжения основного генератора, а длительность интервалов форсировки и расфорсировки определяется в результате решения задачи оптимального по быстродействию управления упрощенной моделью бесщеточного синхронного генератора, параметры которой определяются по измеренным величинам, отличающийся тем, что для снижения влияния возникающих при идентификации упрощенной модели бесщеточного синхронного генератора погрешностей вводится процедура коррекции длительностей интервалов оптимального по быстродействию управления и требуемого установившегося значения выходного сигнала регулятора, заключающаяся в том, что через заданные промежутки времени производятся повторные измерения выходного напряжения основного генератора, активного и реактивного сопротивления нагрузки, на основании которых уточняются параметры упрощенной модели бесщеточного синхронного генератора и требуемое установившееся значение выходного сигнала регулятора, а также осуществляется повторное решение задачи оптимального по быстродействию управления упрощенной моделью бесщеточного синхронного генератора, в результате которого уточняются длительности интервалов оптимального по быстродействию управления.
| RU 2021101698 A, 26.07.2022 | |||
| US 6559611 B1, 06.05.2003 | |||
| US 8275488 B2, 25.09.2012 | |||
| CN 104980074 A, 14.10.2015 | |||
| СПОСОБ ПОСТРОЕНИЯ АДАПТИВНОЙ СИСТЕМЫ АВТОМАТИЧЕСКОГО УПРАВЛЕНИЯ ВОЗБУЖДЕНИЕМ | 2016 |
|
RU2629378C1 |
Авторы
Даты
2025-04-08—Публикация
2024-07-24—Подача