Настоящее изобретение относится к новым ингибиторам нитрификации формулы I, которые представляют собой N-функционализированные алкоксипиразольные соединения. Кроме того, изобретение относится к применению соединений формулы I в качестве ингибиторов нитрификации, т.е. для снижения нитрификации, а также агрохимическим смесям и композициям, содержащим ингибиторы нитрификации формулы I. Более того, настоящее изобретение охватывает способы снижения нитрификации, причем указанные способы включают обработку растений, почвы и/или местоположений, где растение выращивают или предполагают выращивать, указанным ингибитором нитрификации, и способы обработки удобрения или композиции путем применения указанного ингибитора нитрификации.
Азот является основным элементом для роста и размножения растений. Приблизительно 25% доступного для растений азота, который находится в почвах (соли аммония и нитраты), образуется в результате процессов разложения (минерализации) органических соединений азота, таких как гумус, растительные и животные остатки, и органических удобрений. Приблизительно 5% азота поступает с атмосферными осадками. Тем не менее, в глобальном масштабе большую часть азота (70%) растения получают в виде неорганических азотных удобрений. В основном применяемые азотные удобрения содержат соединения аммония или их производные, т.е. почти 90% вносимых во всем мире азотных удобрений представляют собой форму NH4 + (Subbarao и др., 2012, Advances in Agronomy, 114, 249-302). В частности, это связано с тем, что усвоение NH4 + энергетически более эффективно, чем усвоение других источников азота, таких как NO3-.
Кроме того, будучи катионом, NH4 + электростатически удерживается отрицательно заряженными глинистыми поверхностями и функциональными группами органического вещества почвы. Эта связь является достаточно сильной, чтобы ограничить потерю NH4 + в результате вымывания в грунтовые воды. В противоположность этому, NO3-, имея отрицательный заряд, не связывается с почвой и может вымываться из корневой зоны растений. В дополнение к этому, нитраты могут быть утеряны в результате денитрификации, которая является микробиологическим превращением нитратов и нитритов (NO2) в газообразные формы азота, такие как закись азота (N2O) и молекулярный азот (N2).
Однако соединения аммония (NH4) за относительно короткий промежуток времени превращаются почвенными микроорганизмами в нитраты (NO3-) в процессе, известном как нитрификация. Нитрификация осуществляется главным образом двумя группами хемолитотрофных, аммоний-окисляющих бактерий (АОБ) из родов Nitrosomonas и Nitrobacter, которые являются повсеместно распространенным компонентом популяций почвенных бактерий. Ферментом, который преимущественно отвечает за нитрификацию, является аммоний-монооксигеназа (АМО), которая также была обнаружена в аммоний-окисляющих археях (Subbarao и др., 2012, Advances in Agronomy, 114, 249-302).
Процесс нитрификации обычно приводит к утечке азота и загрязнению окружающей среды. В результате различных потерь приблизительно 50% вносимых азотных удобрений утрачивается в течение года после внесения удобрений (см. Nelson and Huber; Nitrification inhibitors for corn production (2001), National Corn Handbook, Университет штата Айова).
В качестве мер противодействия предполагалось применение ингибиторов нитрификации преимущественно вместе с удобрениями. Пригодные ингибиторы нитрификации включают биологические ингибиторы нитрификации (БИН), такие как линолевая кислота, альфа-линоленовая кислота, метил-и-кумарат, метил ферулат, МНРР, каранджа, брахиалактон или и-бензохинон сорголеон (Subbarao и др., 2012, Advances in Agronomy, 114, 249-302). Другими пригодными ингибиторами нитрификации являются синтетические химические ингибиторы, такие как нитрапирин, дициандиамид (DCD), 3,4-диметилпиразолфосфат (DMPP), гидрохлорид 4-амино-1,2,4-триазола (АТС), 1-амидо-2-тиомочевина (ASU), 2-амино-4-хлор-6-метилпиримидин (AM), 5-этокси-3-трихлорметил-1,2,4-тиодиазол (терразол) или 2-сульфаниламидотиазол (ST) (Slangen and Kerkhoff, 1984, Fertilizer research, 5(1), 1-76).
Однако многие из этих ингибиторов действуют недостаточно оптимально. Кроме того, ожидается, что население мира значительно возрастет в ближайшие 20-30 лет и, следовательно, потребуется производство продуктов питания в достаточном количестве и соответствующего качества. Чтобы этого достичь, к 2050 году использование азотных удобрений придется удвоить. По экологическим причинам это невозможно, так как содержание нитратов в питьевой воде, эвтрофикация поверхностных вод и выброс вредных газов в воздух уже достигли критических уровней во многих местах, вызывая загрязнение воды и воздуха. Тем не менее, при применении ингибиторов нитрификации значительно повышается эффективность удобрений и поэтому можно сократить использование удобрений. Поэтому, существует явная потребность в новых ингибиторах нитрификации, а также способах их применения.
Sharma и др. (J.P. Sharma, Н.К. Taneja, S.S. Tomar Pesticide Research Journal, 2006, 18(1), 7-11) среди прочего раскрывают 3-этокси-5-метилпиразол в качестве ингибитора нитрификации. Однако, было обнаружено, что это соединение обладает высокой летучестью и поэтому является невыгодным для долгосрочных применений.
Задача настоящего изобретения состояла в том, чтобы обеспечить улучшенные ингибиторы нитрификации.
В частности, задача настоящего изобретения заключалась в обеспечении ингибиторов нитрификации, которые имеют высокую активность в качестве ингибиторов нитрификации, но в то же время обладают пониженной летучестью и токсичностью по сравнению с ингибиторами нитрификации, описанными в предшествующем уровне техники.
Кроме того, задача настоящего изобретения заключалась в обеспечении ингибиторов нитрификации, которые могут быть получены с оптимальными затратами, и которые являются экологически безопасными.
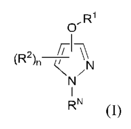
Неожиданно было обнаружено, что эти задачи могут быть решены путем применения ингибиторов нитрификации в соответствии с настоящим изобретением, которые представляют собой N-функционализированные алкоксипиразольные соединения формулы I
или их соли, стереизомеры, таутомеры или N-оксиды,
где
R1 означает Н, C1-С6-алкил, С3-С6-циклоалкил, бензил, аллил, CHRaC(=O)ORb, CHRaC(=O)NRbRc или фенил, где указанная фенильная группа не замещена или замещена одним или несколькими одинаковыми или разными заместителями Rx;
R2 означает галоген, C1-С6-алкил, С3-С6-циклоалкил, бензил, аллил, пропаргил или фенил, где указанная фенильная группа не замещена или замещена одним или несколькими одинаковыми или разными заместителями Rx;
RN означает C1-С6-алкил, С3-С6-циклоалкил, бензил, аллил, пропаргил или фенил, где указанные группы не замещены или замещены одним или несколькими одинаковыми или разными заместителями Ry;
CHRaC(=O)ORb, CHRaC(=O)NRbRc, CH(C(=O)ORb)CH2(C(=O)ORb);
C(=O)Rd C(=O)ORb, C(=O)NRbRc, CHRaORb или CHRaNRe(C=O)Rf;
и где
Ra означает H, С1-С4-алкил, С1-С4-галогеналкил, С3-С8-циклоалкил, фенил или фенил-С1-С2-алкил;
Rb означает Н, С1-С4-алкил, С1-С4-галогеналкил, С3-С8-циклоалкил, фенил или фенил-С1-С2-алкил;
Re означает Н, С1-С4-алкил, С1-С4-галогеналкил или фенил;
Rd означает Н, C1-C8-алкил, С2-С8-алкенил, С2-С8-алкинил, фенил или фенил-С1-С2-алкил, где эти группы не замещены или замещены группой СООН;
Re означает Н, С1-С4-алкил, С3-С8-циклоалкил или С6-С10-арил;
Rf означает Н или С1-С4-алкил;
Rx означает галоген, С1-С4-алкил, С1-С4-галогеналкил, С1-С4-алкокси или С1-С4-галогеналкокси;
Ry означает галоген, CN, ОН, NO2, СООН, NRbRc, NRb(C=O)Rf, C(=O)NRbRc, C1-C4-алкил, C1-C4-галогеналкил, C1-C4-алкокси, С1-С4-галогеналкокси, C1-C4-алкилкарбонил, C1-C4-алкилкарбокси, C1-C4-алкилтио, C1-С4-алкилсульфонил и S(O)2NRbRc;
n означает 0, 1 или 2.
Авторы изобретения неожиданно обнаружили, что путем применения соединений формулы I согласно определению, приведенному выше и ниже по тексту, нитрификация аммония до нитрата может быть значительно снижена. Более того, соединения формулы I неожиданно проявляют низкую токсичность и низкую летучесть.
Таким образом, в соответствии с одним вариантом осуществления, настоящее изобретение относится к применению N-функционализированного алкоксипиразольного соединения формулы I
или его соли, стереоизомера, таутомера или N-оксида в качестве ингибитора нитрификации,
где
R1 означает Н, C1-С6-алкил, С3-С6-циклоалкил, бензил, аллил, CHRaC(=O)ORb, CHRaC(=O)NRbRc или фенил, где указанная фенильная группа не замещена или замещена одним или несколькими одинаковыми или разными заместителями Rx;
R2 означает галоген, C1-С6-алкил, С3-С6-циклоалкил, бензил, аллил, пропаргил или фенил, где указанная фенильная группа не замещена или замещена одним или несколькими одинаковыми или разными заместителями Rx;
RN означает C1-С6-алкил, С3-С6-циклоалкил, бензил, аллил, пропаргил или фенил, где указанные группы не замещены или замещены одним или несколькими одинаковыми или разными заместителями Ry;
CHRaC(=O)ORb, CHRaC(=O)NRbRc, CH(C(=O)ORb)CH2(C(=O)ORb);
C(=O)Rd C(=O)ORb, C(=O)NRbRc, CHRaORb или CHRaNRe(C=O)Rf;
и где
Ra означает H, С1-С4-алкил, С1-С4-галогеналкил, С3-С8-циклоалкил, фенил или фенил-С1-С2-алкил;
Rb означает Н, С1-С4-алкил, С1-С4-галогеналкил, С3-С8-циклоалкил, фенил или фенил-С1-С2-алкил;
Rc означает Н, С1-С4-алкил, С1-С4-галогеналкил или фенил;
Rd означает Н, C1-C8-алкил, С2-С8-алкенил, С2-С8-алкинил, фенил или фенил-С1-С2-алкил, где эти группы не замещены или замещены группой СООН;
Re означает Н, С1-С4-алкил, С3-С8-циклоалкил или С6-С10-арил;
Rf означает H или С1-С4-алкил;
Rx означает галоген, С1-С4-алкил, С1-С4-галогеналкил, С1-С4-алкокси или С1-С4-галогеналкокси;
Ry означает галоген, CN, ОН, NO2, СООН, NRbRc, NRb(C=O)Rf, C(=O)NRbRc, С1-С4-алкил, С1-С4-галогеналкил, С1-С4-алкокси, С1-С4-галогеналкокси, С1-С4-алкилкарбонил, С1-С4-алкилкарбокси, С1-С4-алкилтио, C1-С4-алкилсульфонил и S(O)2NRbRc;
n означает 0, 1 или 2.
В одном предпочтительном варианте осуществления указанного применения, в указанном соединении формулы I
R1 означает C1-С6-алкил, бензил, или аллил.
В другом предпочтительном варианте осуществления указанного применения, в указанном соединении формулы I
n означает 0, т.е. R2 отсутствует, или
n означает 1, и R2 означает C1-С3-алкил или фенил.
В другом предпочтительном варианте осуществления указанного применения, в указанном соединении формулы I
RN означает C(=O)Rd, CHRaC(=O)ORb, CHRaC(=O)NRbRc, CH(C(=O)ORb)CH2(C(=O)ORb) или CHRaNRe(C=O)Rf.
В другом предпочтительном варианте осуществления указанного применения, в указанном соединении формулы I
Ra означает Н;
Rb означает Н или С1-С4-алкил;
Rc означает Н или С1-С4-алкил;
Rd означает C1-С3-алкил;
Re означает Н;
Rf означает Н или СН3.
В дополнительном аспекте, настоящее изобретение относится к композиции для применения для снижения нитрификации, содержащей по меньшей мере одно соединение формулы I согласно вышеприведенному определению и по меньшей мере один носитель.
В дополнительном аспекте, настоящее изобретение относится к агрохимической смеси, содержащей по меньшей мере одно удобрение и по меньшей мере одно соединение формулы I согласно вышеприведенному определению; или по меньшей мере одно удобрение и композицию, как упомянуто выше, для применения для снижения нитрификации.
В предпочтительном варианте осуществления, указанное соединение формулы I согласно вышеприведенному определению применяют для снижения нитрификации в комбинации с удобрением. В дополнительном отдельном варианте, указанное соединение формулы I согласно вышеприведенному определению применяют для снижения нитрификации в комбинации с удобрением в форме агрохимической смеси, как упомянуто выше. В дополнительном предпочтительном варианте осуществления, указанное снижение нитрификации, как упомянуто выше, происходит в или на растении, в корневой зоне растения, в или на почве или заменителях почвы и/или в местоположении, где растение выращивают или предполагают выращивать.
В другом аспекте, настоящее изобретение относится к способу снижения нитрификации, включающему обработку растения, растущего в почве или заменителях почвы, и/или местоположения, или почвы или заменителей почвы, где растение выращивают или предполагают выращивать, по меньшей мере одним соединением формулы I согласно вышеприведенному определению, или агрохимической композицией согласно вышеприведенному определению. В предпочтительном варианте осуществления способа, растение и/или местоположение, или почву или заменители почвы, где растение выращивают или предполагают выращивать, дополнительно обеспечивают удобрением. В дополнительном предпочтительном варианте осуществления способа, внесение ингибитора нитрификации, т.е. соединения формулы I, и указанного удобрения осуществляют одновременно или с временным интервалом. В особенно предпочтительном варианте осуществления, указанный временной интервал составляет 1 день, 2 дня, 3 дня, 1 неделю, 2 недели или 3 недели. В случае внесения с временным интервалом, ингибитор нитрификации можно вносить первым, а затем вносят удобрение. В дополнительном предпочтительном варианте осуществления способа, на первой стадии ингибитор нитрификации согласно вышеприведенному определению наносят на семена, на растение и/или на местоположение, где растение выращивают или предполагают выращивать, и на второй стадии удобрение наносят на растение и/или на местоположение, где растение выращивают или предполагают выращивать, где нанесение указанного ингибитора нитрификации на первой стадии и удобрения на второй стадии осуществляют с временным интервалом по меньшей мере 1 день, 2 дня, 3 дня, 4 дня, 5 дней, 6 дней, 1 неделю, 2 недели или 3 недели. В других вариантах осуществления внесения с временным интервалом, удобрение может быть внесено первым и затем можно вносить ингибитор нитрификации согласно вышеприведенному определению. В дополнительном предпочтительном варианте осуществления способа, на первой стадии удобрение наносят на растение и/или на местоположение, где растение выращивают или предполагают выращивать, и на второй стадии ингибитор нитрификации согласно вышеприведенному определению наносят на семена, на растение и/или на местоположение, где растение выращивают или предполагают выращивать, где нанесение указанного удобрения на первой стадии и указанного ингибитора нитрификации на второй стадии осуществляют с временным интервалом по меньшей мере 1 день, 2 дня, 3 дня, 4 дня, 5 дней, 6 дней, 1 неделю, 2 недели или 3 недели.
В другом аспекте, настоящее изобретение относится к способу обработки удобрения, включающему нанесение ингибитора нитрификации согласно вышеприведенному определению; или к способу обработки композиции согласно вышеприведенному определению, включающему нанесение ингибитора нитрификации согласно вышеприведенному определению.
В предпочтительном варианте осуществления применения, агрохимической смеси или способа изобретения, указанное удобрение представляет собой твердое или жидкое аммоний-содержащее неорганическое удобрение, такое как АФК удобрение, нитрат аммония, нитрат кальция-аммония, сульфат-нитрат аммония, сульфат аммония или фосфат аммония; твердое или жидкое органическое удобрение, такое как жидкий навоз, полужидкий навоз, биогазовый навоз, стойловый навоз и соломистый навоз, копролиты червей, компост, морские водоросли или гуано, или удобрение, содержащее мочевину, такое как мочевина, формальдегидная мочевина, безводный аммиак, раствор мочевино-аммониевого нитрата (МАН), мочевина-сера, АФК удобрения на основе мочевины или мочевино-аммониевый сульфат.
В дополнительном предпочтительном варианте осуществления применения или способа изобретения, указанное растение представляет собой сельскохозяйственное растение, такое как пшеница, ячмень, овес, рожь, соевые бобы, кукуруза, картофель, масличный рапс, канола, подсолнечник, хлопчатник, сахарный тростник, сахарная свекла, рис, или овощное растение, такое как шпинат, латук, спаржа или виды капусты; или сорго; лесоводческое растение; декоративное растение; или садовое растение, каждое в его природной или в генетически модифицированной форме.
Соединения формулы I можно получить стандартными способами органической химии. Подходящие способы получения пиразольных соединений в общем описаны в "Progress in Heterocyclic Chemistry", т. 27, G.W. Gribble, J.A. Joule, Elsevier, 2015, глава 5.4.2.
Группу OR1 можно ввести путем выбора исходных веществ, подходящих для образования пиразольного кольца.
Общий метод синтеза 3-алкоксипиразолов включает реакцию между гидрохлоридом гидразина и различными сложными β-кетоэфирами, как описано, например: a) Sadrine Guillou, Frederic J. Bonhomme, Yves L. Janin в Synthesis 2008, 3504-3508; или b) в WO 2010/015657 A2, и как показано ниже:
RA и RB могут означать водород или могут иметь любое из значений, обеспеченных выше для R2.
Mazaahir Kidwai, Arti Jain, Roona Poddar в Journal of Organometallic Chemistry 696 (2011) 1939-1944 показали, что 3-алкоксипиразолы, замещенные по N, получаются непосредственно, если в приведенной выше реакции вместо гидразина используют N-замещенные гидразиновые производные.
Кроме того, 3-алкокси группу можно ввести с помощью алкилирования подходящего гидроксипиразольного производного, как описано, например, a) D. Piomelli и коллегами в Synthesis 2016, 2739-2756, или b) Sandrine Guillou, Yves L. Janin в Chem. Eur. J. 2010, 16, 4669-4677.
Разнообразные методы синтеза пиразолов, несущих алкокси группу в положении 4, были описаны William F. Vernier, Laurent Gomez в Tetrahedron Letters 2017, 4587-4590.
Если RN означает, например, C1-С6-алкил, заместитель RN можно ввести по реакции соединения формулы II с соединением формулы III, где LG представляет собой уходящую группу, в соответствии со следующей схемой.
Например, различные алкилирующие или ацилирующие реагенты RN-LG можно использовать по аналогии с N-метилированием 3-метокси-4-нитро-1Н-пиразола метилйодидом, которое дает 1-метил-3-метокси-4-нитро-1Н-пиразол, как описано в WO 2009/153589 А1 или в WO 2011/048082 А1.
Введение группы СН2ОН в качестве RN можно выполнить с помощью реакции пиразола с формальдегидом, как описано Simona Lupsor, Mircea Iovu и Florin Aonofriesei в Med. Chem. Res. 2012, 3035-3042.
Подобным образом, можно выполнить присоединение по Михаэлю с производным малеиновой кислоты, образуя заместитель RN.
Способы получения пиразольных соединений, где RN означает, например, формамид, описаны в DE 102011120098 А1 и WO 2013/079197 А1.
Следует понимать, что перед введением заместителя RN могут образовываться различные таутомеры, что приводит к образованию смеси изомеров после введение заместителя RN. В определенных предпочтительных вариантах осуществления изобретения, такие смеси изомеров можно применять в качестве ингибиторов нитрификации.
Заместитель R можно ввести с помощью стандартных реакций, включая реакции ароматического замещения, или путем выбора исходных веществ, подходящих для образования пиразольного кольца.
Перед подробным описанием примерных вариантов осуществления настоящего изобретения, ниже приведены определения, существенные для понимания настоящего изобретения.
Используемые в данном описании и прилагаемой формуле изобретения формы единственного числа также предполагают формы множественного числа, если в контексте изобретения четко не определено иначе. В контексте настоящего изобретения, термины "около" и "приблизительно" означают диапазон точности, который специалист в данной области техники будет рассматривать в целях обеспечения технического эффекта рассматриваемого признака. Термин, как правило, означает отклонение от указанной числовой величины ±20%, предпочтительно ±15%, более предпочтительно ±10%, и даже более предпочтительно ±5%. Следует понимать, что термин "включающий" не является ограничивающим. В контексте настоящего изобретения термин "состоящий из" считается предпочтительным вариантом осуществления термина "включающий". Если в дальнейшем определено, что группа включает по меньшей мере определенное количество вариантов осуществления изобретения, это также означает, что охватывается группа, которая предпочтительно состоит только из этих вариантов осуществления изобретения. Кроме того, термины "первый", "второй", "третий" или "(a)", "(b)", "(с)", "(d)" и т.д. и т.п. в описании и в формуле изобретения, используют для различия между похожими элементами, а не обязательно для описания последовательного или хронологического порядка. Следует понимать, что используемые таким образом термины являются взаимозаменяемыми при соответствующих обстоятельствах, и что варианты осуществления изобретения, описанные в данной заявке, могут использоваться в других последовательностях, чем так, как они описаны или проиллюстрированы в данной заявке. В случае, если термины "первый", "второй", "третий" или "(a)", "(b)", "(с)", "(d)", "i", "ii" и т.д. относятся к стадиям способа или применения или анализа, то не существует взаимосвязи между временем или временными интервалами между стадиями, то есть стадии могут осуществляться одновременно или между ними могут быть временные интервалы, такие как секунды, минуты, часы, дни, недели, месяцы или даже годы, если в заявке не указано иначе, выше или ниже. Следует понимать, что данное изобретение не ограничивается конкретной методологией, протоколами, реагентами и т.д., описанными в данной заявке, поскольку они могут варьироваться. Кроме того, следует понимать, что терминология, используемая в данной заявке, приведена в целях описания только отдельных вариантов осуществления изобретения и не предназначена для ограничения объема настоящего изобретения, который будет ограничен только прилагаемой формулой изобретения. Если не указано иначе, все технические и научные термины, используемые в данной заявке, имеют те же значения, которые обычно понятны специалисту в данной области техники среднего уровня подготовки.
В данном контексте термин "ингибитор нитрификации" следует понимать как химическое вещество, которое замедляет или останавливает процесс нитрификации. Соответственно ингибиторы нитрификации задерживают природное преобразование аммония в нитрат путем ингибирования активности бактерий, таких как Nitrosomonas spp. Термин "нитрификация", используемый в данной заявке, следует понимать как биологическое окисление аммиака (NH3) или аммония (NH4 ) кислородом до нитрита (NO2) с последующим окислением этих нитритов до нитратов (NO3-) микроорганизмами. Кроме нитрата (NO3-) в результате нитрификации также продуцируется закись азота. Нитрификация является важной стадией в азотном цикле в почве. Таким образом, ингибирование нитрификации может также уменьшить потери N2O. Термин ингибитор нитрификации считается эквивалентным применению такого соединения для ингибирования нитрификации.
Термин "соединение(-я) в соответствии с изобретением" или "соединения формулы I" включает соединение(-я), определенное(-ые) в данной заявке, а также его(их) стереоизомеры, соли, таутомеры или N-оксиды. Термин "соединение(-я) настоящего изобретения" следует понимать как равнозначный термину "соединение(-я) в соответствии с изобретением", и поэтому также включает его(их) стереоизомеры, соли, таутомеры или N-оксиды.
В зависимости от схемы замещения, соединения в соответствии с изобретением могут иметь один или несколько центров хиральности, в этом случае они присутствуют в виде смесей энантиомеров или диастереомеров. Изобретение обеспечивает как отдельные чистые энантиомеры или чистые диастереомеры соединений в соответствии с изобретением, так и их смеси, и применение в соответствии с изобретением чистых энантиомеров или чистых диастереомеров соединений в соответствии с изобретением или их смесей. Пригодные соединения в соответствии с изобретением также включают все возможные геометрические стереоизомеры (цис/транс изомеры) и их смеси. Цис/транс изомеры могут присутствовать в отношении алкеновой, углерод-азотной двойной связи или амидной группы. Термин "стереоизомер(-ы)" охватывает как оптические изомеры, такие как энантиомеры или диастереомеры, причем последние существуют из-за более чем одного центра хиральности в молекуле, так и геометрические изомеры (цис/транс изомеры). Настоящее изобретение относится к каждому возможному стереоизомеру соединений формулы I, т.е. к отдельным энантиомерам или диастереомерам, а также к их смесям.
Соединения формулы I могут быть аморфными или могут существовать в одном или нескольких различных кристаллических состояниях (полиморфы), которые могут иметь различные макроскопические свойства, такие как стабильность или проявлять различные биологические свойства, такие как активность. Настоящее изобретение относится к аморфным и кристаллическим соединениям формулы I, к смесям различных кристаллических состояний соответствующего соединения I, а также к их аморфным или кристаллическим солям.
Соли соединений формулы I предпочтительно представляют собой соли, приемлемые в сельском хозяйстве. Они могут быть образованы обычным способом, например, по реакции соединения с кислотой соответствующего аниона, если соединение формулы I имеет основную функциональность. В особенности, пригодные в сельском хозяйстве соли соединений формулы I охватывают кислотно-аддитивные соли тех кислот, катионы и анионы которых, соответственно, не оказывают вредного влияния на способ действия соединений формулы I. Анионы пригодных кислотно-аддитивных солей главным образом представляют собой хлорид, бромид, фторид, гидросульфат, сульфат, дигидрофосфат, гидрофосфат, фосфат, нитрат, бикарбонат, карбонат, гексафторсиликат, гексафторфосфат, бензоат, предпочтительно фосфат, и анионы С1-С4-алкановых кислот, предпочтительно формиат, ацетат, пропионат и бутират. Предпочтительно они могут быть образованы по реакции соединений формулы I с кислотой соответствующего аниона, предпочтительно хлористоводородной кислотой, бромистоводородной кислотой, серной кислотой, фосфорной кислотой или азотной кислотой.
Термин "N-оксид" включает любое соединение формулы I, причем третичный атом азота, например, пиридиновый атом азота, окислен до фрагмента N-оксида.
Могут присутствовать таутомеры соединений формулы I, если, например, любой из заместителей в ароматическом кольце имеет таутомерные формы. Предпочтительные таутомеры включают кето-енольные таутомеры.
Органические фрагменты, указанные в определенных выше переменных, - подобно термину галоген - являются собирательными терминами для индивидуальных перечней отдельных членов группы. Префикс Cn-Cm указывает в каждом случае на возможное число атомов углерода в группе.
Термин "галоген" в каждом случае означает фтор, бром, хлор или йод, в частности, фтор, хлор или бром.
Термин "алкил", используемый в данной заявке, в каждом случае означает прямоцепочечную или разветвленную алкильную группу, содержащую обычно от 1 до 4 атомов углерода, предпочтительно от 1 до 3 атомов углерода. Предпочтительные алкильные группы включают метил, этил, н-пропил, изо-пропил, н-бутил, 2-бутил, изо-бутил, трет-бутил, н-пентил, 1-метилбутил, 2-метилбутил, 3-метилбутил и 2,2-диметилпропил. Метил, этил, н-пропил и изо-пропил являются особенно предпочтительными.
Термин "галогеналкил", используемый в данной заявке, в каждом случае означает прямоцепочечную или разветвленную алкильную группу, содержащую обычно от 1 до 4 атомов углерода, предпочтительно от 1 до 3 атомов углерода, в особенности, 1 или 2 атома углерода, где атомы водорода этой группы частично или полностью заменены на атомы галогена. Предпочтительные галогеналкильные фрагменты выбирают из С1-С4-галогеналкила, более предпочтительно из C1-С3-галогеналкила или C1-С2-галогеналкила, в частности, из C1-С2-фторалкила, такого как фторметил, дифторметил, трифторметил, 1-фторэтил, 2-фторэтил, 2,2-дифторэтил, 2,2,2-трифторэтил, пентафторэтил и т.п. В соответствии с изобретением особенно предпочтительным является трифторметил.
Термин "алкокси", используемый в данной заявке, в каждом случае означает прямоцепочечную или разветвленную алкильную группу, которая присоединена через кислород и содержит обычно от 1 до 4 атомов углерода, предпочтительно от 1 до 3 атомов углерода, в особенности 1 или 2 атома углерода. Примерами алкокси групп являются метокси, этокси, н-пропокси, изо-пропокси, н-бутилокси, 2-бутилокси, изо-бутилокси, трет-бутилокси и т.п.
Термин "галогеналкокси", используемый в данной заявке, в каждом случае означает прямоцепочечную или разветвленную алкокси группу, содержащую обычно от 1 до 4 атомов углерода, предпочтительно от 1 до 3 атомов углерода, в особенности 1 или 2 атома углерода, где атомы водорода этой группы частично или полностью заменены на атомы галогена, в частности, атомы фтора. Предпочтительные галогеналкокси фрагменты включают С1-С4-галогеналкокси, в частности, C1-С2-фторалкокси, такой как фторметокси, дифторметокси, трифторметокси, 1-фторэтокси, 2-фторэтокси, 2,2-дифторэтокси, 2,2,2-трифторэтокси, 2-хлор-2-фторэтокси, 2-хлор-2,2-дифторэтокси, 2,2-дихлор-2-фторэтокси, 2,2,2-трихлорэтокси, пентафторэтокси и т.п.
Термин "алкенил", используемый в данной заявке, в каждом случае означает по меньшей мере однократно ненасыщенный углеводородный радикал, т.е. углеводородный радикал, содержащий по меньшей мере одну углерод-углеродную двойную связь и содержащий обычно от 2 до 4 атомов углерода, предпочтительно 2 или 3 атома углерода, например, винил, аллил (2-пропен-1-ил), 1-пропен-1-ил, 2-пропен-2-ил, металлил (2-метилпроп-2-ен-1-ил), 2-бутен-1-ил, 3-бутен-1-ил, 2-пентен-1-ил, 3-пентен-1-ил, 4-пентен-1-ил, 1-метилбут-2-ен-1-ил, 2-этилпроп-2-ен-1-ил и т.п.
Термин "алкинил", используемый в данной заявке, в каждом случае означает углеводородный радикал, содержащий по меньшей мере одну углерод-углеродную тройную связь и содержащий обычно от 2 до 4, предпочтительно 2 или 3 атома углерода, или 3 или 4 атома углерода, например, этинил, пропаргил (2-пропин-1-ил, также называемый проп-2-ин-1-илом), 1-пропин-1-ил (также называемый проп-1-ин-1-илом), 1-метилпроп-2-ин-1-ил, 2-бутин-1-ил, 3-бутин-1-ил, 1-пентин-1-ил, 3-пентин-1-ил, 4-пентин-1-ил, 1-метилбут-2-ин-1-ил, 1-этилпроп-2-ин-1-ил и т.п. Предпочтительной алкинильной группой в соответствии с изобретением является этинил.
Термин "фенилалкил", используемый в данной заявке, означает фенильную группу, которая присоединена через алкильную группу, предпочтительно С1-С2-алкильную группу, в частности, метильную группу (=фенилметил), к остальной части молекулы. Наиболее предпочтительной фенилалкильной группой является бензил.
Термин "циклоалкил", используемый в данной заявке, как и в случае циклоалкильных фрагментов циклоалкокси и циклоалкилтио, в каждом случае означает моноциклический циклоалифатический радикал, содержащий обычно от 3 до 10 или от 3 до 6 атомов углерода, такой как циклопропил, циклобутил, циклопентил, циклогексил, циклогептил, циклооктил, циклононил и циклодецил, и, предпочтительно, циклопропил, циклобутил, циклопентил и циклогексил.
Термин "алкилкарбонил" относится к алкильной группе согласно вышеприведенному определению, которая присоединена к остальной части молекулы через атом углерода карбонильной группы (С=O).
Термин "алкилкарбокси", используемый в данной заявке, относится к прямоцепочечной или разветвленной насыщенной алкильной группе, содержащей от 1 до 10 атомов углерода, предпочтительно от 1 до 4 атомов углерода (=С1-С4-алкилкарбокси), предпочтительно от 1 до 3 атомов углерода, которая присоединена через карбоксильную группу в любом положении в алкильной группе.
Термин "алкилтио" "(алкилсульфанил: алкил-S-)", используемый в данной заявке, относится к прямоцепочечной или разветвленной насыщенной алкильной группе, содержащей от 1 до 10 атомов углерода, предпочтительно от 1 до 4 атомов углерода (=С1-С4-алкилтио), более предпочтительно от 1 до 3 атомов углерода, которая присоединена через атом серы.
Термин "алкилсульфонил" "(алкил-S(=O)2-)", используемый в данной заявке, относится к прямоцепочечной или разветвленной насыщенной алкильной группе, содержащей от 1 до 10 атомов углерода, предпочтительно от 1 до 4 атомов углерода (=С1-С4-алкилсульфонил), предпочтительно от 1 до 3 атомов углерода, которая присоединена через атом серы сульфонильной группы в любом положении в алкильной группе.
Как было изложено выше, настоящее изобретение в одном аспекте касается применения N-функционализированного алкоксипиразольного соединения формулы I
или его соли, стереоизомера, таутомера или N-оксида в качестве ингибитора нитрификации, где
R1 означает Н, C1-С6-алкил, С3-С6-циклоалкил, бензил, аллил, CHRaC(=O)ORb, CHRaC(=O)NRbRc или фенил, где указанная фенильная группа не замещена или замещена одним или несколькими одинаковыми или разными заместителями Rx;
R2 означает галоген, C1-С6-алкил, С3-С6-циклоалкил, бензил, аллил, пропаргил или фенил, где указанная фенильная группа не замещена или замещена одним или несколькими одинаковыми или разными заместителями Rx;
RN означает C1-С6-алкил, С3-С6-циклоалкил, бензил, аллил, пропаргил или фенил, где указанные группы не замещены или замещены одним или несколькими одинаковыми или разными заместителями Ry;
CHRaC(=O)ORb, CHRaC(=O)NRbRc, CH(C(=O)ORb)CH2(C(=O)ORb);
C(=O)Rd, C(=O)ORb, C(=O)NRbRc, CHRaORb или CHRaNRe(C=O)Rf;
и где
Ra означает H, С1-С4-алкил, С1-С4-галогеналкил, С3-С8-циклоалкил, фенил или фенил-С1-С2-алкил;
Rb означает Н, С1-С4-алкил, С1-С4-галогеналкил, С3-С8-циклоалкил, фенил или фенил-С1-С2-алкил;
Rc означает Н, С1-С4-алкил, С1-С4-галогеналкил или фенил;
Rd означает Н, C1-C5-алкил, С2-С8-алкенил, С2-С8-алкинил, фенил или фенил-С1-С2-алкил, где эти группы не замещены или замещены группой СООН;
Re означает Н, С1-С4-алкил, С3-С8-циклоалкил или С6-С10-арил;
Rf означает Н или С1-С4-алкил;
Rx означает галоген, С1-С4-алкил, С1-С4-галогеналкил, С1-С4-алкокси или С1-С4-галогеналкокси;
Ry означает галоген, CN, ОН, NO2, СООН, NRbRe, NRb(C=O)Rf, C(=O)NRbRc, C1-C4-алкил, C1-C4-галогеналкил, C1-C4-алкокси, С1-С4-галогеналкокси, C1-C4-алкилкарбонил, C1-C4-алкилкарбокси, C1-C4-алкилтио, C1-С4-алкилсульфонил и S(O)2NRbRc;
n означает 0, 1 или 2.
Следует понимать, что если п означает 2, то присутствуют два заместителя R2, которые независимо выбраны из группы заместителей, определенных выше для R2.
Предпочтительные варианты осуществления, касающиеся соединений формулы I, которые имеют отношение ко всем аспектам изобретения, определены ниже.
В одном варианте осуществления изобретения, соединение формулы I
представляет собой соединение любой из следующих формул I.1, I.2 или I.3.
В связи с соединениями формулы I.1, I.2 или I.3, предпочтительно, чтобы n означал 0 или 1, т.е. чтобы или R2 отсутствовал или присутствовал только один R2.
Следует понимать, что, в зависимости от пути синтеза соединения формулы I, вследствие таутомеризации перед стадией введения N-заместителя RN также может присутствовать смесь, например, соединения формулы I.1. и соединения формулы I.3. Таким образом, соединение формулы I в определенных вариантах осуществления может также присутствовать в виде смеси соединения формулы I.1 и соединения формулы I.3. Более того, если присутствует по меньшей мере один заместитель R2, могут быть получены смеси соединений формулы I.2.
Кроме того, следует понимать, что в зависимости от присутствия или отсутствия заместителя R2 и его положения, в связи с соединениями формулы I предпочтительными могут быть различные структуры.
Соответственно, соединение формулы I, в частности, соединение формулы 1.1, в одном особенно предпочтительном варианте осуществления представляет собой соединение любой из формул I.1(i), I.1.(ii) или I.1(iii), как изображено ниже.
В другом особенно предпочтительном варианте осуществления, соединение формулы I, в частности, соединение формулы 1.2, представляет собой соединение любой из формул I.2.(i), I.2(ii) или I.2(iii), как изображено ниже.
В другом особенно предпочтительном варианте осуществления, соединение формулы I, в частности, соединение формулы 1.3, представляет собой соединение любой из формул I.3(i), I.3(ii) или I.3(iii), как изображено ниже.
В другом предпочтительном варианте осуществления изобретения, в соединении формулы I, и предпочтительно в соединениях формул I.1, I.2 или I.3, и, в частности, в соединениях формул I.1(i), I.1.(ii) или I.1(iii), или в соединениях формул I.2.(i), I.2(ii) или I.2(iii), или в соединениях формул I.3(i), I.3(ii) или I.3(iii),
R1 означает Н, C1-С6-алкил, С3-С6-циклоалкил, бензил, аллил, CHRaC(=O)ORb, CHRaC(=O)NRbRc или фенил, где указанная фенильная группа не замещена или замещена одним или несколькими одинаковыми или разными заместителями Rx;
и
R1 если присутствует, означает галоген, C1-С6-алкил, С3-С6-циклоалкил, бензил, аллил, пропаргил или фенил, где указанная фенильная группа не замещена или замещена одним или несколькими одинаковыми или разными заместителями Rx;
где
Ra, Rb, Rc, и Rx принимают значения согласно вышеприведенному определению;
и чрезвычайно предпочтительно
R1 означает C1-С6-алкил, бензил, аллил; и
R2 если присутствует, означает C1-С3-алкил или фенил.
Применительно к вышеуказанному предпочтительному варианту осуществления, значение RN соответствует значению, обеспеченному выше в связи с соединениями формулы I.
Таким образом, в связи с соединениями формул I.1, I.2 или I.3 согласно вышеприведенному определению, особенно предпочтительно, чтобы R2, если присутствует, представлял собой C1-С3-алкил или фенил, и R1 означает C1-С6-алкил, бензил, аллил.
В соответствии с одним предпочтительным вариантом осуществления изобретения, соединение формулы I представляет собой соединение формулы I.1, где n означает 0 или 1, и R2, если присутствует, означает C1-С3-алкил или фенил, и R1 означает C1-С6-алкил, бензил, аллил.
В соответствии с одним предпочтительным вариантом осуществления изобретения, соединение формулы I представляет собой соединение формулы I.2, где n означает 0 или 1, и R2, если присутствует, означает C1-С3-алкил или фенил, и R1 означает C1-С6-алкил, бензил, аллил.
В соответствии с одним предпочтительным вариантом осуществления изобретения, соединение формулы I представляет собой соединение формулы I.3, где n означает 0 или 1, и R2, если присутствует, означает C1-С3-алкил или фенил, и R1 означает C1-С6-алкил, бензил, аллил.
Применительно к вышеуказанным предпочтительным вариантам осуществления, значение RN соответствует значению, обеспеченному выше в связи с соединениями формулы I.
В соответствии с одним особенно предпочтительным вариантом осуществления, соединение формулы I представляет собой соединение формулы I.1(i), где R1 означает C1-С6-алкил, бензил, аллил.
В соответствии с одним особенно предпочтительным вариантом осуществления, соединение формулы I представляет собой соединение формулы I.1(ii), где R2 означает C1-С3-алкил или фенил, и где R1 означает C1-С6-алкил, бензил, аллил.
В соответствии с одним особенно предпочтительным вариантом осуществления, соединение формулы I представляет собой соединение формулы I.1(iii), где R2 означает C1-С3-алкил или фенил, и где R1 означает C1-С6-алкил, бензил, аллил.
В соответствии с одним особенно предпочтительным вариантом осуществления, соединение формулы I представляет собой соединение формулы I.2(i), где R1 означает C1-С6-алкил, бензил, аллил.
В соответствии с одним особенно предпочтительным вариантом осуществления, соединение формулы I представляет собой соединение формулы I.2(ii), где R2 означает C1-С3-алкил или фенил, и где R1 означает C1-С6-алкил, бензил, аллил.
В соответствии с одним особенно предпочтительным вариантом осуществления, соединение формулы I представляет собой соединение формулы I.2(iii), где R2 означает C1-С3-алкил или фенил, и где R1 означает C1-С6-алкил, бензил, аллил.
В соответствии с одним особенно предпочтительным вариантом осуществления, соединение формулы I представляет собой соединение формулы I.3(i), где R1 означает C1-С6-алкил, бензил, аллил.
В соответствии с одним особенно предпочтительным вариантом осуществления, соединение формулы I представляет собой соединение формулы I.3(ii), где R2 означает C1-С3-алкил или фенил, и где R1 означает C1-С6-алкил, бензил, аллил.
В соответствии с одним особенно предпочтительным вариантом осуществления, соединение формулы I представляет собой соединение формулы I.3(iii), где R2 означает C1-С3-алкил или фенил, и где R1 означает C1-С6-алкил, бензил, аллил.
Применительно к вышеуказанным особенно предпочтительным вариантам осуществления, значение RN соответствует значению, обеспеченному выше в связи с соединениями формулы I.
В другом варианте осуществления изобретения, в соединении формулы I, и предпочтительно в соединениях формул I.1, I.2 или I.3, и, в особенности, в соединениях формул I.1(i), I.1.(ii) или I.1 (iii), или в соединениях формул I.2.(i), I.2(H) или I.2(iii), или в соединениях формул I.3(i), I.3(ii) или I.3(iii),
RN означает C1-С6-алкил, С3-С6-циклоалкил, бензил, аллил, пропаргил или фенил, где указанные группы не замещены или замещены одним или несколькими одинаковыми или разными заместителями Ry;
CHRaC(=O)ORb, CHRaC(=O)NRbRc, CH(C(=O)ORb)CH2(C(=O)ORb);
C(=O)Rd, C(=O)ORb, C(=O)NRbRc, CHRaORb или CHRaNRe(C=O)Rf;
где
Ra означает Н, С1-С4-алкил, С1-С4-галогеналкил, С3-С8-циклоалкил, фенил или фенил-С1-С2-алкил;
Rb означает Н, С1-С4-алкил, С1-С4-галогеналкил, С3-С8-циклоалкил, фенил или фенил-С1-С2-алкил;
Rc означает Н, С1-С4-алкил, С1-С4-галогеналкил или фенил;
Rd означает Н, C1-C8-алкил, С2-С8-алкенил, С2-С8-алкинил, фенил или фенил-С1-С2-алкил, где эти группы не замещены или замещены группой СООН;
Re означает Н, С1-С4-алкил, С3-С8-циклоалкил или С6-С10-арил;
Rf означает Н или С1-С4-алкил;
Ry означает галоген, CN, ОН, NO2, СООН, NRbRc, NRb(C=O)Rf, C(=O)NRbRc, C1-C4-алкил, C1-C4-галогеналкил, C1-C4-алкокси, С1-С4-галогеналкокси, C1-C4-алкилкарбонил, C1-C4-алкилкарбокси, C1-C4-алкилтио, C1-С4-алкилсульфонил и S(O)2NRbRc;
и предпочтительно
RN означает C1-С6-алкил, С3-С6-циклоалкил, бензил, аллил, пропаргил или фенил, где указанные группы не замещены или замещены одним или несколькими одинаковыми или разными заместителями Ry;
CHRaC(=O)ORb, CHRaC(=O)NRbRc, CH(C(=O)ORb)CH2(C(=O)ORb);
C(=O)Rd, C(=O)ORb, C(=O)NRbRc, CHRaORb или CHRaNRe(C=O)Rf;
где
Ra означает H, C1-C4-алкил, C1-C4-галогеналкил, С3-С8-циклоалкил, фенил или фенил-С1-С2-алкил;
Rb означает Н, C1-C4-алкил, C1-C4-галогеналкил, С3-С8-циклоалкил, фенил или фенил-С1-С2-алкил;
Rc означает Н, C1-C4-алкил, C1-C4-галогеналкил или фенил;
Rd означает Н или C1-C4-алкил;
Re означает Н или C1-C4-алкил;
Rf означает Н или C1-C4-алкил;
Ry означает галоген, CN, ОН, NO2, C1-C4-алкил, C1-C4-галогеналкил, C1-С4-алкокси и С1-С4-галогеналкокси; и чрезвычайно предпочтительно
RN означает C(=O)Rd, CHRaC(=O)ORb, CHRaC(=O)NRbRc, CH(C(=O)ORb)CH2(C(=O)ORb) или CHRaNRe(C=O)Rf;
где
Ra означает Н;
Rb означает Н или С1-С4-алкил;
Rc означает Н или С1-С4-алкил;
Rd означает C1-С3-алкил;
Re означает Н;
Rf означает Н или СН3.
В одном предпочтительном варианте осуществления изобретения, в соединении формулы I
RN означает C(=O)Rd где предпочтительно Rd означает C1-С3-алкил.
Такие соединения упоминаются как соединения формулы I.A.
В другом предпочтительном варианте осуществления изобретения, в соединении формулы I
RN означает CHRaC(=O)ORb, где предпочтительно Ra означает Н, и Rb означает Н или С1-С4-алкил.
Такие соединения упоминаются как соединения формулы I.B.
В другом предпочтительном варианте осуществления изобретения, в соединении формулы I
RN означает CHRaC(=O)NRbRc, где предпочтительно Ra означает Н, и Rb означает Н или С1-С4-алкил, и Rc означает Н или С1-С4-алкил.
Такие соединения упоминаются как соединения формулы I.C.
В другом предпочтительном варианте осуществления изобретения, в соединении формулы I
RN означает CH(C(=O)ORb)CH2(C(=O)ORb), где предпочтительно Rb означает Н или С1-С4-алкил. В связи с этим, два Rb заместителя могут быть одинаковыми или отличаться друг от друга.
Такие соединения упоминаются как соединения формулы I.D.
В другом предпочтительном варианте осуществления изобретения, в соединении формулы I
RN означает CHRaNRe(C=O)Rf, где предпочтительно Ra означает Н, и Re означает Н, и Rf означает Н или СН3.
Такие соединения упоминаются как соединения формулы I.E.
Следует понимать, что вышеуказанные предпочтения в отношении R1 и R2 также применимы к вышеуказанным формулам I.A, I.B, I.C, I.D и I.E.
Таким образом, особенно предпочтительные соединения для применения в соответствии с изобретением представляют собой соединения формулы I.1.А, I.1.В, I.1C, I.1.D или I.1.Е, которые изображены ниже.
Значения R1 и R2 предпочтительно соответствует значениям, обеспеченным выше в связи с соединениями формулы I, в частности, соединениями формулы I.1. Более того, предпочтительно, чтобы n означало 0 или 1. Если n означает 1, то каждое из положений в пиразольном кольце может быть реализовано с помощью R, как указано в связи с соединениями формулы I.1(ii) или I.1(iii). Кроме того, значения Ra, Rb, Rc, Rd Re и Rf предпочтительно соответствуют значениям, обеспеченным выше в связи с соединениями формул I.A, I.B, I.C, I.D и Т.Е. Следует понимать, что если присутствуют два заместителя Rb, они могут быть одинаковыми или отличаться друг от друга.
Кроме того, особенно предпочтительные соединения для применения в соответствии с изобретением представляют собой соединения формулы I.2.А, I.2.В, I.2.С, I.2.D или I.2.E, которые изображены ниже.
Значения R1 и R2 предпочтительно соответствует значениям, обеспеченным выше в связи с соединениями формулы I, в частности, соединениями формулы I.2. Более того, предпочтительно, чтобы n означает 0 или 1. Если n означает 1, то каждое из положений в пиразольном кольце может быть реализовано с помощью R, как указано в связи с соединениями формулы I.2(ii) или I.2(iii). Кроме того, значения Ra, Rb, Rc Rd Re и Rf предпочтительно соответствует значениям, обеспеченным выше в связи с соединениями формул I.A, I.B, I.C, I.D и Т.Е. Следует понимать, что если присутствуют два заместителя Rb, они могут быть одинаковыми или отличаться друг от друга.
Кроме того, особенно предпочтительные соединения для применения в соответствии с изобретением представляют собой соединения формулы 1.3.А, 1.3.В, 1.3.С, 1.3.D или 1.3.Е, которые изображены ниже.
Значения R1 и R2 предпочтительно соответствует значениям, обеспеченным выше в связи с соединениями формулы I, в частности, соединениями формулы 1.3. Более того, предпочтительно, чтобы n означало 0 или 1. Если n означает 1, то каждое из положений в пиразольном кольце может быть реализовано с помощью R, как указано в связи с соединениями формулы I.3(ii) или I.3(iii). Кроме того, значения Ra, Rb, Rc, Rd Re и Rf предпочтительно соответствует значениям, обеспеченным выше в связи с соединениями формул I.A, I.B, I.C, I.D и Т.Е. Следует понимать, что если присутствуют два заместителя Rb, они могут быть одинаковыми или отличаться друг от друга.
Таким образом, особенно предпочтительные соединения формулы I, в частности, соединения формулы I.1, I.2 или I.3, сведены в варианты осуществления ниже.
Вариант осущ. 1
Соединения формулы I.1 (i), в которой RN означает C(=O)Rd и соответствует в каждом случае одной строке Таблицы A(i)
Вариант осущ. 2
Соединения формулы I.2(i), в которой RN означает C(=O)Rd и соответствует в каждом случае одной строке Таблицы A(i)
Вариант осущ. 3
Соединения формулы I.3(i), в которой RN означает C(=O)Rd и соответствует в каждом случае одной строке Таблицы A(i)
Значение R1 в связи с вариантами осуществления I-3 предпочтительно соответствует значению, обеспеченному выше в связи с соединениями формулы I, в частности, соединениями формулы I.1, I.2 или I.3.
Вариант осущ. 4
Соединения формулы I.1 (i), в которой RN означает CHRaC(=O)ORb и соответствует в каждом случае одной строке Таблицы A(ii)
Вариант осущ. 5
Соединения формулы I.2(i), в которой RN означает CHRaC(=O)ORb и соответствует в каждом случае одной строке Таблицы A(ii)
Вариант осущ. 6
Соединения формулы I.3(i), в которой RN означает CHRaC(=O)ORb и соответствует в каждом случае одной строке Таблицы A(ii

Значение R1 в связи с вариантами осуществления 4-6 предпочтительно соответствует значению, обеспеченному выше в связи с соединениями формулы I, в частности, соединениями формулы I.1, I.2 или I.3.
Вариант осущ. 7
Соединения формулы I.1 (i), в которой RN означает CHRaC(=O)NRbRc и соответствует в каждом случае одной строке Таблицы A(iii)
Вариант осущ. 8
Соединения формулы I.2(i), в которой RN означает CHRaC(=O)NRbRc и соответствует в каждом случае одной строке Таблицы A(iii)
Вариант осущ. 9
Соединения формулы I.3(i), в которой RN означает CHRaC(=O)NRbRc и соответствует в каждом случае одной строке Таблицы A(iii)
Значение R1 в связи с вариантами осуществления 7-9 предпочтительно соответствует значению, обеспеченному выше в связи с соединениями формулы I, в частности, соединениями формулы I.1, I.2 или I.3.
Вариант осущ. 10
Соединения формулы I.1 (i), в которой RN означает
CH(C(=O)ORb)CH2(C(=O)ORb) и соответствует в каждом случае одной строке Таблицы A(iv)
Вариант осущ. 11
Соединения формулы I.2(i), в которой RN означает
CH(C(=O)ORb)CH2(C(=O)ORb) и соответствует в каждом случае одной строке Таблицы A(iv)
Вариант осущ. 12
Соединения формулы I.3(i), в которой RN означает
CH(C(=O)ORb)CH2(C(=O)ORb) и соответствует в каждом случае одной строке Таблицы A(iv)
Значение R1 в связи с вариантами осуществления 10-12 предпочтительно соответствует значению, обеспеченному выше в связи с соединениями формулы I, в частности, соединениями формулы I.1, I.2 или I.3.
Вариант осущ. 13
Соединения формулы 1.1 (i), в которой RN означает CHRaNRe(C=O)Rf и соответствует в каждом случае одной строке Таблицы A(v)
Вариант осущ. 14
Соединения формулы I.2(i), в которой RN означает CHRaNRe(C=O)Rf и соответствует в каждом случае одной строке Таблицы A(v)
Вариант осущ. 15
Соединения формулы I.3(i), в которой RN означает CHRaNRe(C=O)Rf и соответствует в каждом случае одной строке Таблицы A(v)
Значение R1 в связи с вариантами осуществления 13-15 предпочтительно соответствует значению, обеспеченному выше в связи с соединениями формулы I, в частности, соединениями формулы I.1, I.2 или I.3.
В связи со способами, применениями, композициями и смесями изобретения, и, в частности, с расчетом на их применение, предпочтение отдают соединениям формулы I, сведенным в таблицы ниже.
Таблица 1
Соединения формулы I.1 (i), где R2 отсутствует и комбинация RN (C(=O)Rd) и R1 соответствует в каждом случае одной строке Таблицы В
Таблица 2
Соединения формулы I.2(i), где R2 отсутствует и комбинация RN (C(=O)Rd) и R1 соответствует в каждом случае одной строке Таблицы В
Таблица 3
Соединения формулы I.3(i), где R2 отсутствует и комбинация RN (C(=O)Rd) и R1 соответствует в каждом случае одной строке Таблицы В
Таблица 4
Соединения формулы I.1(ii), где R2 означает СН3 и комбинация RN (C(=O)Rd) и R1 соответствует в каждом случае одной строке Таблицы В
Таблица 5
Соединения формулы I.1 (iii), где R2 означает СН3 и комбинация RN (C(=O)Rd) и R1 соответствует в каждом случае одной строке Таблицы В
Таблица 6
Соединения формулы I.2(ii), где R2 означает СН3 и комбинация RN (C(=O)Rd) и R1 соответствует в каждом случае одной строке Таблицы В Таблица 7
Соединения формулы I.2(iii), где R2 означает СН3 и комбинация RN (C(=O)Rd) и R1 соответствует в каждом случае одной строке Таблицы В
Таблица 8
Соединения формулы I.3(ii), где R2 означает СН3 и комбинация RN (C(=O)Rd) и R1 соответствует в каждом случае одной строке Таблицы В
Таблица 9
Соединения формулы I.3(iii), где R2 означает СН3 и комбинация RN (C(=O)Rd) и R1 соответствует в каждом случае одной строке Таблицы В
Таблица 10
Соединения формулы I.1(ii), где R2 означаетСН2СН3и комбинация RN (C(=O)Rd) и R1 соответствует в каждом случае одной строке Таблицы В
Таблица 11
Соединения формулы I.1(iii), где R3 означаетСН2СН3и комбинация RN (C(=O)Rd) и R1 соответствует в каждом случае одной строке Таблицы В
Таблица 12
Соединения формулы I.2(ii), где R2 означаетСН2СН3и комбинация RN (C(=O)Rd) и R1 соответствует в каждом случае одной строке Таблицы В
Таблица 13
Соединения формулы I.2(iii), где R2 означаетСН2СН3 и комбинация RN (C(=O)Rd) и R1 соответствует в каждом случае одной строке Таблицы В
Таблица 14
Соединения формулы I.3(ii), где R2 означает СН2СН3 и комбинация RN (C(=O)Rd) и R1 соответствует в каждом случае одной строке Таблицы В
Таблица 15
Соединения формулы I.3(iii), где R2 означает СН2СН3 и комбинация RN (C(=O)Rd) и R1 соответствует в каждом случае одной строке Таблицы В
Таблица 16
Соединения формулы I.1(ii), где R2 означает СН2СН2СН3 и комбинация RN(C(=O)Rd) и R1 соответствует в каждом случае одной строке Таблицы В
Таблица 17
Соединения формулы I.1(ii), где R2 означает СН(СН3)2 и комбинация RN (C(=O)Rd) и R1 соответствует в каждом случае одной строке Таблицы В
Таблица 18
Соединения формулы I.1(iii), где R2 означает СН2СН2СН3 и комбинация RN(C(=O)Rd) и R1 соответствует в каждом случае одной строке Таблицы В
Таблица 19
Соединения формулы I.1(iii), где R2 означает СН(СН3)2 и комбинация RN (C(=O)Rd) и R1 соответствует в каждом случае одной строке Таблицы В
Таблица 20
Соединения формулы I.2(ii), где 2 означает СН2СН2СН3 и комбинация RN (C(=O)Rd) и R1 соответствует в каждом случае одной строке Таблицы В
Таблица 21
Соединения формулы I.2(ii), где R2 означает СН(СН3)2 и комбинация RN (C(=O)Rd) и R1 соответствует в каждом случае одной строке Таблицы В
Таблица 22
Соединения формулы I.2(iii), где R2 означает СН2СН2СН3 и комбинация RN (C(=O)Rd) и R1 соответствует в каждом случае одной строке Таблицы В
Таблица 23
Соединения формулы I.2(iii), где R2 означает СН(СН3)2 и комбинация RN (C(=O)Rd) и R1 соответствует в каждом случае одной строке Таблицы В
Таблица 24
Соединения формулы I.3(ii), где R2 означает СН2СН2СН3 и комбинация RN(C(=O)Rd) и R1 соответствует в каждом случае одной строке Таблицы В
Таблица 25
Соединения формулы I.3(ii), где R2 означает СН(СН3)2 и комбинация RN(C(=O)Rd) и R1 соответствует в каждом случае одной строке Таблицы В
Таблица 26
Соединения формулы I.3(iii), где R2 означает СН2СН2СН3 и комбинация RN(C(=O)Rd) и R1 соответствует в каждом случае одной строке Таблицы В
Таблица 27
Соединения формулы I.3(iii), где R2 означает СН(СН3)2 и комбинация RN(C(=O)Rd) и R1 соответствует в каждом случае одной строке Таблицы В
Таблица 28
Соединения формулы I.1(ii), где R2 означает фенил и комбинация RN (C(=O)Rd) и R1 соответствует в каждом случае одной строке Таблицы В
Таблица 29
Соединения формулы I.1(iii), где R2 означает фенил и комбинация RN (C(=O)Rd) и R1 соответствует в каждом случае одной строке Таблицы В
Таблица 30
Соединения формулы I.2(ii), где R2 означает фенил и комбинация RN (C(=O)Rd) и R1 соответствует в каждом случае одной строке Таблицы В
Таблица 31
Соединения формулы I.2(iii), где R2 означает фенил и комбинация RN (C(=O)Rd) и R1 соответствует в каждом случае одной строке Таблицы В
Таблица 32
Соединения формулы I.3(ii), где R2 означает фенил и комбинация RN(C(=O)Rd) и R1 соответствует в каждом случае одной строке Таблицы В
Таблица 33
Соединения формулы 1.3(iii), где R2 означает фенил и комбинация RN (C(=O)Rd) и R1 соответствует в каждом случае одной строке Таблицы В
Таблица 34
Соединения формулы I.1 (i), где R2 отсутствует и комбинация RN (CHRaC(=O)ORb) и R1 соответствует в каждом случае одной строке Таблицы С
Таблица 35
Соединения формулы I.2(i), где R2 отсутствует и комбинация RN (CHRaC(=O)ORb) и R1 соответствует в каждом случае одной строке Таблицы С
Таблица 36
Соединения формулы I.3(i), где R2 отсутствует и комбинация RN (CHRaC(=O)ORb) и R1 соответствует в каждом случае одной строке Таблицы С
Таблица 37
Соединения формулы I.1(ii), где R2 означает СН3 и комбинация RN (CHRaC(=O)ORb) и R1 соответствует в каждом случае одной строке Таблицы С
Таблица 38
Соединения формулы I.1(iii), где R2 означает СН3 и комбинация RN (CHRaC(=O)ORb) и R1 соответствует в каждом случае одной строке Таблицы С
Таблица 39
Соединения формулы I.2(ii), где R2 означает СН3 и комбинация RN (CHRaC(=O)ORb) и R1 соответствует в каждом случае одной строке Таблицы С
Таблица 40
Соединения формулы I.2(iii), где R2 означает СН3 и комбинация RN (CHRaC(=O)ORb) и R1 соответствует в каждом случае одной строке Таблицы С
Таблица 41
Соединения формулы I.3(ii), где R2 означает СН3 и комбинация RN (CHRaC(=O)ORb) и R1 соответствует в каждом случае одной строке Таблицы С
Таблица 42
Соединения формулы I.3(iii), где R2 означает СН3 и комбинация RN (CHRaC(=O)ORb) и R1 соответствует в каждом случае одной строке Таблицы С
Таблица 43
Соединения формулы I.1(H), где R2 означает СН2СН3 и комбинация RN (CHRaC(=O)ORb) и R1 соответствует в каждом случае одной строке Таблицы С
Таблица 44
Соединения формулы I.1(iii), где R2 означает СН2СН3 и комбинация RN (CHRaC(=O)ORb) и R1 соответствует в каждом случае одной строке Таблицы С
Таблица 45
Соединения формулы I.2(H), где R2 означает СН2СН3 и комбинация RN (CHRaC(=O)ORb) и R1 соответствует в каждом случае одной строке Таблицы С
Таблица 46
Соединения формулы I.2(iii), где R2 означает СН2СН3 и комбинация RN (CHRaC(=O)ORb) и R1 соответствует в каждом случае одной строке Таблицы С
Таблица 47
Соединения формулы I.3(ii), где R2 означает СН2СН3 и комбинация RN (CHRaC(=O)ORb) и R1 соответствует в каждом случае одной строке Таблицы С
Таблица 48
Соединения формулы I.3(iii), где R2 означает СН2СН3 и комбинация RN (CHRaC(=O)ORb) и R1 соответствует в каждом случае одной строке Таблицы С
Таблица 49
Соединения формулы I.1(ii), где R2 означает СН2СН2СН3 и комбинация RN (CHRaC(=O)ORb) и R1 соответствует в каждом случае одной строке Таблицы С
Таблица 50
Соединения формулы I.1(ii), где R2 означает СН(СН3)2 и комбинация RN (CHRaC(=O)ORb) и R1 соответствует в каждом случае одной строке Таблицы С
Таблица 51
Соединения формулы I.1(iii), где R2 означает CH2CH2CH3 и комбинация RN (CHRaC(=O)ORb) и R1 соответствует в каждом случае одной строке Таблицы С
Таблица 52
Соединения формулы I.1(iii), где R2 означает СН(СН3)2 и комбинация RN (CHRaC(=O)ORb) и R1 соответствует в каждом случае одной строке Таблицы С
Таблица 53
Соединения формулы I.2(ii), где R2 означает СН2СН2СН3 и комбинация RN (CHRaC(=O)ORb) и R1 соответствует в каждом случае одной строке Таблицы С
Таблица 54
Соединения формулы I.2(H), где R2 означает СН(СН3)2 и комбинация RN (CHRaC(=O)ORb) и R1 соответствует в каждом случае одной строке Таблицы С
Таблица 55
Соединения формулы I.2(iii), где R2 означает СН2СН2СН3 и комбинация RN (CHRaC(=O)ORb) и R1 соответствует в каждом случае одной строке Таблицы С
Таблица 56
Соединения формулы I.2(iii), где R2 означает СН(СН3)2 и комбинация RN (CHRaC(=O)ORb) и R1 соответствует в каждом случае одной строке Таблицы С
Таблица 57
Соединения формулы I.3(ii), где R2 означает СН2СН2СН3 и комбинация RN (CHRaC(=O)ORb) и R1 соответствует в каждом случае одной строке Таблицы С
Таблица 58
Соединения формулы I.3(ii), где R2 означает СН(СН3)2 и комбинация RN (CHRaC(=O)ORb) и R1 соответствует в каждом случае одной строке Таблицы С
Таблица 59
Соединения формулы I.3(iii), где R2 означает СН2СН2СН3 и комбинация RN (CHRaC(=O)ORb) и R1 соответствует в каждом случае одной строке Таблицы С
Таблица 60
Соединения формулы I.3(iii), где R2 означает СН(СН3)2 и комбинация RN (CHRaC(=O)ORb) и R1 соответствует в каждом случае одной строке Таблицы С
Таблица 61
Соединения формулы I.1(iii), где R2 означает фенил и комбинация RN (CHRaC(=O)ORb) и R1 соответствует в каждом случае одной строке Таблицы С
Таблица 62
Соединения формулы I.1(iii), где R2 означает фенил и комбинация RN (CHRaC(=O)ORb) и R1 соответствует в каждом случае одной строке Таблицы С
Таблица 63
Соединения формулы I.2(ii), где R2 означает фенил и комбинация RN (CHRaC(=O)ORb) и R1 соответствует в каждом случае одной строке Таблицы С
Таблица 64
Соединения формулы I.2(iii), где R2 означает фенил и комбинация RN (CHRaC(=O)ORb) и R1 соответствует в каждом случае одной строке Таблицы С
Таблица 65
Соединения формулы I.3(ii), где R2 означает фенил и комбинация RN (CHRaC(=O)ORb) и R1 соответствует в каждом случае одной строке Таблицы С
Таблица 66
Соединения формулы I.3(iii), где R2 означает фенил и комбинация RN (CHRaC(=O)ORb) и R1 соответствует в каждом случае одной строке Таблицы С
Таблица 67
Соединения формулы I.1(i), где R2 отсутствует и комбинация RN (CHRaC(=O)NRbRc) и R1 соответствует в каждом случае одной строке Таблицы D
Таблица 68
Соединения формулы I.2(i), где R2 отсутствует и комбинация RN (CHRaC(=O)NRbRc) и R1 соответствует в каждом случае одной строке Таблицы D
Таблица 69
Соединения формулы I.3(i), где R2 отсутствует и комбинация RN (CHRaC(=O)NRbRc) и R1 соответствует в каждом случае одной строке Таблицы D
Таблица 70
Соединения формулы I.1(ii), где R2 означает СН3 и комбинация RN (CHRaC(=O)NRbRc) и R1 соответствует в каждом случае одной строке Таблицы D
Таблица 71
Соединения формулы I.1(iii), где R2 означает СН3 и комбинация RN (CHRaC(=O)NRbRc) и R1 соответствует в каждом случае одной строке Таблицы D
Таблица 72
Соединения формулы I.2(iii), где R2 означает СН3 и комбинация RN (CHRaC(=O)NRbRc) и R1 соответствует в каждом случае одной строке Таблицы D
Таблица 73
Соединения формулы I.2(iii), где R2 означает СН3 и комбинация RN (CHRaC(=O)NRbRc) и R1 соответствует в каждом случае одной строке Таблицы D
Таблица 74
Соединения формулы I.3(ii), где R2 означает СН3 и комбинация RN (CHRaC(=O)NRbRc) и R1 соответствует в каждом случае одной строке Таблицы D
Таблица 75
Соединения формулы I.3 (iii), где R2 означает СН3 и комбинация RN (CHRaC(=O)NRbRc) и R1 соответствует в каждом случае одной строке Таблицы D
Таблица 76
Соединения формулы I.1(ii),где R2 означает СН2СН3 и комбинация RN (CHRaC(=O)NRbRc) и R1 соответствует в каждом случае одной строке Таблицы D
Таблица 77
Соединения формулы I1(iii), где R2 означает СН2СН3 и комбинация RN (CHRaC(=O)NRbRc) и R1 соответствует в каждом случае одной строке Таблицы D
Таблица 78
Соединения формулы I.2(ii), где R2 означает СН2СН3 и комбинация RN (CHRaC(=O)NRbRc) и R1 соответствует в каждом случае одной строке Таблицы D
Таблица 79
Соединения формулы I.2(iii), где R2 означает СН2СН3 и комбинация RN (CHRaC(=O)NRbRc) и R1 соответствует в каждом случае одной строке Таблицы D
Таблица 80
Соединения формулы I.3(ii), где R2 означает СН2СН3 и комбинация RN (CHRaC(=O)NRbRc) и R1 соответствует в каждом случае одной строке Таблицы D
Таблица 81
Соединения формулы I.3(iii), где R2 означает СН2СН3 и комбинация RN (CHRaC(=O)NRbRc) и R1 соответствует в каждом случае одной строке Таблицы D
Таблица 82
Соединения формулы I.1(ii), где R2 означает СН2СН2СН3 и комбинация RN (CHRaC(=O)NRbRc) и R1 соответствует в каждом случае одной строке Таблицы D
Таблица 83
Соединения формулы I.1(ii), где R2 означает СН(СН3)2 и комбинация RN (CHRaC(=O)NRbRc) и R1 соответствует в каждом случае одной строке Таблицы D
Таблица 84
Соединения формулы I.1(iii), где R2 означает СН2СН2СН3 и комбинация RN (CHRaC(=O)NRbRc) и R1 соответствует в каждом случае одной строке Таблицы D
Таблица 85
Соединения формулы I.1(iii), где R2 означает СН(СН3)2 и комбинация RN (CHRaC(=O)NRbRc) и R1 соответствует в каждом случае одной строке Таблицы D
Таблица 86
Соединения формулы I.2(ii), где R2 означает СН2СН2СН3 и комбинация RN (CHRaC(=O)NRbRc) и R1 соответствует в каждом случае одной строке Таблицы D
Таблица 87
Соединения формулы I.2(ii), где R2 означает СН(СН3)2 и комбинация RN (CHRaC(=O)NRbRc) и R1 соответствует в каждом случае одной строке Таблицы D
Таблица 88
Соединения формулы I.2(iii), где R2 означает СН2СН2СН3 и комбинация RN (CHRaC(=O)NRbRc) и R1 соответствует в каждом случае одной строке Таблицы D
Таблица 89
Соединения формулы I.2(iii), где R2 означает СН(СН3)2 и комбинация RN (CHRaC(=O)NRbRc) и R1 соответствует в каждом случае одной строке Таблицы D
Таблица 90
Соединения формулы I.3(ii), где R2 означает СН2СН2СН3 и комбинация RN (CHRaC(=O)NRbRc) и R1 соответствует в каждом случае одной строке Таблицы D
Таблица 91
Соединения формулы I.3(ii), где R2 означает СН(СН3)2 и комбинация RN (CHRaC(=O)NRbRc) и R1 соответствует в каждом случае одной строке Таблицы D
Таблица 92
Соединения формулы I.3(iii), где R2 означает СН2СН2СН3 и комбинация RN (CHRaC(=O)NRbRc) и R1 соответствует в каждом случае одной строке Таблицы D
Таблица 93
Соединения формулы I.3(iii), где R2 означает СН(СН3)2 и комбинация RN (CHRaC(=O)NRbRc) и R1 соответствует в каждом случае одной строке Таблицы D
Таблица 94
Соединения формулы I.1(ii), где R2 означает фенил и комбинация RN (CHRaC(=O)NRbRc) и R1 соответствует в каждом случае одной строке Таблицы D
Таблица 95
Соединения формулы I.1(ii), где R2 означает фенил и комбинация RN (CHRaC(=O)NRbRc) и R1 соответствует в каждом случае одной строке Таблицы D
Таблица 96
Соединения формулы I.1(ii), где R2 означает фенил и комбинация RN (CHRaC(=O)NRbRc) и R1 соответствует в каждом случае одной строке Таблицы D
Таблица 97
Соединения формулы I.2(iii), где R2 означает фенил и комбинация RN (CHRaC(=O)NRbRc) и R1 соответствует в каждом случае одной строке Таблицы D
Таблица 98
Соединения формулы I.3(ii), где R2 означает фенил и комбинация RN (CHRaC(=O)NRbRc) и R1 соответствует в каждом случае одной строке Таблицы D
Таблица 99
Соединения формулы I.3(iii), где R2 означает фенил и комбинация RN (CHRaC(=O)NRbRc) и R1 соответствует в каждом случае одной строке Таблицы D
Таблица 100
Соединения формулы I.1(i), где R2 отсутствует и комбинация RN (CH(C(=O)ORb)CH2(C(=O)ORb)) и R1 соответствует в каждом случае одной строке Таблицы Е
Таблица 101
Соединения формулы I.2(i), где R2 отсутствует и комбинация RN (CH(C(=O)ORb)CH2(C(=O)ORb)) и R1 соответствует в каждом случае одной строке Таблицы Е
Таблица 102
Соединения формулы I.3(i), где R2 отсутствует и комбинация RN (CH(C(=O)ORb)CH2(C(=O)ORb)) и R1 соответствует в каждом случае одной строке Таблицы Е
Таблица 103
Соединения формулы I.1(ii),где R2 означает СН3 и комбинация RN (CH(C(=O)ORb)CH2(C(=O)ORb)) и R1 соответствует в каждом случае одной строке Таблицы Е
Таблица 104
Соединения формулы I.1(iii), где R2 означает СН3 и комбинация RN (CH(C(=O)ORb)CH2(C(=O)ORb)) и R1 соответствует в каждом случае одной строке Таблицы Е
Таблица 105
Соединения формулы I.2(ii), где R2 означает СН3 и комбинация RN (CH(C(=O)ORb)CH2(C(=O)ORb)) и R1 соответствует в каждом случае одной строке Таблицы Е
Таблица 106
Соединения формулы I.2(iii), где R2 означает СН3 и комбинация RN (CH(C(=O)ORb)CH2(C(=O)ORb)) и R1 соответствует в каждом случае одной строке Таблицы Е
Таблица 107
Соединения формулы I.3(ii), где R2 означает СН3 и комбинация RN (CH(C(=O)ORb)CH2(C(=O)ORb)) и R1 соответствует в каждом случае одной строке Таблицы Е
Таблица 108
Соединения формулы I.3(iii), где R2 означает СН3 и комбинация RN (CH(C(=O)ORb)CH2(C(=O)ORb)) и R1 соответствует в каждом случае одной строке Таблицы Е
Таблица 109
Соединения формулы I.1(ii), где R2 означает СН2СН3 и комбинация RN (CH(C(=O)ORb)CH2(C(=O)ORb)) и R1 соответствует в каждом случае одной строке Таблицы Е
Таблица 110
Соединения формулы I.1(iii), где R2 означает СН2СН3 и комбинация RN (CH(C(=O)ORb)CH2(C(=O)ORb)) и R1 соответствует в каждом случае одной строке Таблицы Е
Таблица 111
Соединения формулы I.2(ii), где R2 означает СН2СН3 и комбинация RN (CH(C(=O)ORb)CH2(C(=O)ORb)) и R1 соответствует в каждом случае одной строке Таблицы Е
Таблица 112
Соединения формулы I.2(iii), где R2 означает СН2СН3 и комбинация RN (CH(C(=O)ORb)CH2(C(=O)ORb)) и R1 соответствует в каждом случае одной строке Таблицы Е
Таблица 113
Соединения формулы I.3(ii), где R2 означает СН2СН3 и комбинация RN (CH(C(=O)ORb)CH2(C(=O)ORb)) и R1 соответствует в каждом случае одной строке Таблицы Е
Таблица 114
Соединения формулы I.3(iii), где R2 означает СН2СН3 и комбинация RN (CH(C(=O)ORb)CH2(C(=O)ORb)) и R1 соответствует в каждом случае одной строке Таблицы Е
Таблица 115
Соединения формулы I.1(ii), где R2 означает СН2СН2СН3 и комбинация RN (CH(C(=O)ORb)CH2(C(=O)ORb)) и R1 соответствует в каждом случае одной строке Таблицы Е
Таблица 116
Соединения формулы I.1(ii), где R2 означает СН(СН3)2 и комбинация RN (CH(C(=O)ORb)CH2(C(=O)ORb)) и R1 соответствует в каждом случае одной строке Таблицы Е
Таблица 117
Соединения формулы I.1(iii), где R2 означает СН2СН2СН3 и комбинация RN (CH(C(=O)ORb)CH2(C(=O)ORb)) и R1 соответствует в каждом случае одной строке Таблицы Е
Таблица 118
Соединения формулы I.1(iii), где R2 означает СН(СН3)2 и комбинация RN (CH(C(=O)ORb)CH2(C(=O)ORb)) и R1 соответствует в каждом случае одной строке Таблицы Е
Таблица 119
Соединения формулы I.2(ii), где R2 означает СН2СН2СН3 и комбинация RN (CH(C(=O)ORb)CH2(C(=O)ORb)) и R1 соответствует в каждом случае одной строке Таблицы Е
Таблица 120
Соединения формулы I.2(ii), где R2 означает СН(СН3)2 и комбинация RN (CH(C(=O)ORb)CH2(C(=O)ORb)) и R1 соответствует в каждом случае одной строке Таблицы Е
Таблица 121
Соединения формулы I.2(iii), где R2 означает СН2СН2СН3 и комбинация RN (CH(C(=O)ORb)CH2(C(=O)ORb)) и R1 соответствует в каждом случае одной строке Таблицы Е
Таблица 122
Соединения формулы I.2(iii), где R2 означает СН(СН3)2 и комбинация RN (CH(C(=O)ORb)CH2(C(=O)ORb)) и R1 соответствует в каждом случае одной строке Таблицы Е
Таблица 123
Соединения формулы I.3(ii), где R2 означает СН2СН2СН3 и комбинация RN (CH(C(=O)ORb)CH2(C(=O)ORb)) и R1 соответствует в каждом случае одной строке Таблицы Е
Таблица 124
Соединения формулы I.3(ii), где R2 означает СН(СН3)2 и комбинация RN (CH(C(=O)ORb)CH2(C(=O)ORb)) и R1 соответствует в каждом случае одной строке Таблицы Е
Таблица 125
Соединения формулы I.3(iii), где R2 означает СН2СН2СН3 и комбинация RN (CH(C(=O)ORb)CH2(C(=O)ORb)) и R1 соответствует в каждом случае одной строке Таблицы Е
Таблица 126
Соединения формулы I.3(iii), где R2 означает СН(СН3)2 и комбинация RN (CH(C(=O)ORb)CH2(C(=O)ORb)) и R1 соответствует в каждом случае одной строке Таблицы Е
Таблица 127
Соединения формулы I.1(ii), где R2 означает фенил и комбинация RN (CH(C(=O)ORb)CH2(C(=O)ORb)) и R1 соответствует в каждом случае одной строке Таблицы Е
Таблица 128
Соединения формулы I.1(iii), где R2 означает фенил и комбинация RN (CH(C(=O)ORb)CH2(C(=O)ORb)) и R1 соответствует в каждом случае одной строке Таблицы Е
Таблица 129
Соединения формулы I.2(ii), где R2 означает фенил и комбинация RN (CH(C(=O)ORb)CH2(C(=O)ORb)) и R1 соответствует в каждом случае одной строке Таблицы Е
Таблица 130
Соединения формулы I.2(iii), где R2 означает фенил и комбинация RN (CH(C(=O)ORb)CH2(C(=O)ORb)) и R1 соответствует в каждом случае одной строке Таблицы Е
Таблица 131
Соединения формулы I.3(ii), где R2 означает фенил и комбинация RN (CH(C(=O)ORb)CH2(C(=O)ORb)) и R1 соответствует в каждом случае одной строке Таблицы Е
Таблица 132
Соединения формулы I.3(iii), где R2 означает фенил и комбинация RN (CH(C(=O)ORb)CH2(C(=O)ORb)) и R1 соответствует в каждом случае одной строке Таблицы Е
Таблица 133
Соединения формулы I.1 (i), где R2 отсутствует и комбинация RN
(CHRaNRe(C=O)Rf) и R1 соответствует в каждом случае одной строке Таблицы F
Таблица 134
Соединения формулы I.2(i), где R2 отсутствует и комбинация RN
(CHRaNRe(C=O)Rf) и R1 соответствует в каждом случае одной строке Таблицы F
Таблица 135
Соединения формулы I.3(i), где R2 отсутствует и комбинация RN
(CHRaNRe(C=O)Rf) и R1 соответствует в каждом случае одной строке Таблицы F
Таблица 136
Соединения формулы I.1 (ii), где R2 означает СН3 и комбинация RN
(CHRaNRe(C=O)Rf) и R1 соответствует в каждом случае одной строке Таблицы F
Таблица 137
Соединения формулы I.1 (iii), где R2 означает СН3 и комбинация RN
(CHRaNRe(C=O)Rf) и R1 соответствует в каждом случае одной строке Таблицы F
Таблица 138
Соединения формулы I.2(H), где R2 означает СН3 и комбинация RN
(CHRaNRe(C=O)Rf) и R1 соответствует в каждом случае одной строке Таблицы F
Таблица 139
Соединения формулы I.2(iii), где R2 означает СН3 и комбинация RN
(CHRaNRe(C=O)Rf) и R1 соответствует в каждом случае одной строке Таблицы F
Таблица 140
Соединения формулы I.3(ii), где R2 означает СН3 и комбинация RN
(CHRaNRe(C=O)Rf) и R1 соответствует в каждом случае одной строке Таблицы F
Таблица 141
Соединения формулы I.3(iii), где R2 означает СН3 и комбинация RN
(CHRaNRe(C=O)Rf) и R1 соответствует в каждом случае одной строке Таблицы F
Таблица 142
Соединения формулы I.1 (ii), где R2 означает СН2СН3 и комбинация RN
(CHRaNRe(C=O)Rf) и R1 соответствует в каждом случае одной строке Таблицы F
Таблица 143
Соединения формулы I.1 (iii), где R2 означает СН2СН3 и комбинация RN
(CHRaNRe(C=O)Rf) и R1 соответствует в каждом случае одной строке Таблицы F
Таблица 144
Соединения формулы I.2 (ii), где R2 означает СН2СН3 и комбинация RN
(CHRaNRe(C=O)Rf) и R1 соответствует в каждом случае одной строке Таблицы F
Таблица 145
Соединения формулы I.2(iii), где R2 означает СН2СН3 и комбинация RN
(CHRaNRe(C=O)Rf) и R1 соответствует в каждом случае одной строке Таблицы F
Таблица 146
Соединения формулы I.3(H), где R2 означает СН2СН3 и комбинация RN
(CHRaNRe(C=O)Rf) и R1 соответствует в каждом случае одной строке Таблицы F
Таблица 147
Соединения формулы I.3(iii), где R2 означает СН2СН3 и комбинация RN
(CHRaNRe(C=O)Rf) и R1 соответствует в каждом случае одной строке Таблицы F
Таблица 148
Соединения формулы I.1(ii), где R2 означает СН2СН2СН3 и комбинация RN
(CHRaNRe(C=O)Rf) и R1 соответствует в каждом случае одной строке Таблицы F
Таблица 149
Соединения формулы I.1(ii), где R2 означает СН(СН3)2 и комбинация RN
(CHRaNRe(C=O)Rf) и R1 соответствует в каждом случае одной строке Таблицы F
Таблица 150
Соединения формулы I.1(iii), где R2 означает СН2СН2СН3 и комбинация RN
(CHRaNRe(C=O)Rf) и R1 соответствует в каждом случае одной строке Таблицы F
Таблица 151
Соединения формулы I.1(iii), где R2 означает СН(СН3)2 и комбинация RN
(CHRaNRe(C=O)Rf) и R1 соответствует в каждом случае одной строке Таблицы F
Таблица 152
Соединения формулы I.2(ii), где R2 означает СН2СН2СН3 и комбинация RN
(CHRaNRe(C=O)Rf) и R1 соответствует в каждом случае одной строке Таблицы F
Таблица 153
Соединения формулы I.2(ii), где R2 означает СН(СН3)2 и комбинация RN
(CHRaNRe(C=O)Rf) и R1 соответствует в каждом случае одной строке Таблицы F
Таблица 154
Соединения формулы I.2(iii), где R2 означает СН2СН2СН3 и комбинация RN
(CHRaNRe(C=O)Rf) и R1 соответствует в каждом случае одной строке Таблицы F
Таблица 155
Соединения формулы I.2(iii), где R2 означает СН(СН3)2 и комбинация RN
(CHRaNRe(C=O)Rf) и R1 соответствует в каждом случае одной строке Таблицы F
Таблица 156
Соединения формулы I.3(ii), где R2 означает СН2СН2СН3 и комбинация RN
(CHRaNRe(C=O)Rf) и R1 соответствует в каждом случае одной строке Таблицы F
Таблица 157
Соединения формулы I.3(ii), где R2 означает СН(СН3)2 и комбинация RN
(CHRaNRe(C=O)Rf) и R1 соответствует в каждом случае одной строке Таблицы F
Таблица 158
Соединения формулы I.3(iii), где R2 означает СН2СН2СН3 и комбинация RN
(CHRaNRe(C=O)Rf) и R1 соответствует в каждом случае одной строке Таблицы F
Таблица 159
Соединения формулы I.3(iii), где R2 означает СН(СН3)2 и комбинация RN
(CHRaNRe(C=O)Rf) и R1 соответствует в каждом случае одной строке Таблицы F
Таблица 160
Соединения формулы I.1(ii), где R2 означает фенил и комбинация RN
(CHRaNRe(C=O)Rf) и R1 соответствует в каждом случае одной строке Таблицы F
Таблица 161
Соединения формулы I.1(iii), где R2 означает фенил и комбинация RN
(CHRaNRe(C=O)Rf) и R1 соответствует в каждом случае одной строке Таблицы F
Таблица 162
Соединения формулы I.2(ii), где R2 означает фенил и комбинация RN
(CHRaNRe(C=O)Rf) и R1 соответствует в каждом случае одной строке Таблицы F
Таблица 163
Соединения формулы I.2(iii), где R2 означает фенил и комбинация RN
(CHRaNRe(C=O)Rf) и R1 соответствует в каждом случае одной строке Таблицы F
Таблица 164
Соединения формулы I.3(ii), где R2 означает фенил и комбинация RN
(CHRaNRe(C=O)Rf) и R1 соответствует в каждом случае одной строке Таблицы F
Таблица 165
Соединения формулы I.3(iii), где R2 означает фенил и комбинация RN
(CHRaNRe(C=O)Rf) и R1 соответствует в каждом случае одной строке Таблицы F
Было обнаружено, что соединения согласно определению в приведенных выше таблицах являются выгодными не только с точки зрения уменьшения нитрификации, но также с учетом того факта, что они обладают выгодными свойствами, например, с точки зрения их низкой летучести и/или их экологической безопасности. Более того, соединения в соответствии с настоящим изобретением могут быть получены с минимальными затратами.
Следует понимать, что также и комбинации вышеуказанных соединений можно применять в качестве ингибиторов нитрификации в соответствии с настоящим изобретением, в частности, комбинации соединений, которые получают в виде смесей изомеров после введения N-заместителя, как уже указано выше.
В связи со способами, применениями, композициями и смесями изобретения, и, в частности, с расчетом на их применение, следующие предпочтительные варианты осуществления также имеют особое значение:
Таким образом, в главном аспекте настоящее изобретение относится к применению соединения формулы I, как определено в настоящей заявке, в качестве ингибитора нитрификации, или к применению композиции, содержащей указанное соединение формулы I, как определено в настоящей заявке, для снижения нитрификации. Соединение формулы I или его производные или соли, определенные в настоящей заявке, в частности, соединения формулы I и/или их соли или пригодные производные, а также композиции, содержащие указанное соединение формулы I, или агрохимические смеси, содержащие указанное соединение формулы I можно применять для снижения нитрификации.
Применение может быть основано на нанесении ингибитора нитрификации, композиции или агрохимической смеси, определенных в данной заявке, на растущее в почве растение и/или местоположение, где растение выращивают или предполагают выращивать, или применение может быть основано на нанесении ингибитора нитрификации, композиции или агрохимической смеси, определенных в данной заявке, на почву, в которой растение выращивают или предполагают выращивать, или на заменители почвы. В отдельных вариантах осуществления ингибитор нитрификации может быть применен для снижения нитрификации при отсутствии растений, например, в качестве подготовительной работы для последующей сельскохозяйственной деятельности, а также для снижения нитрификации в других технических областях, которые не относятся к сельскому хозяйству, например, в экологических целях, для защиты вод, производства энергии или подобных целей. В отдельных вариантах осуществления ингибитор нитрификации или композицию, содержащую указанный ингибитор нитрификации, в соответствии с изобретением, можно применять для снижения нитрификации в сточных водах, глинистых суспензиях, навозе или помете животных, например, экскрементах свиней и крупного рогатого скота. Например, ингибитор нитрификации или композицию, содержащую указанный ингибитор нитрификации в соответствии с настоящим изобретением, можно применять для снижения нитрификации в очистных установках, биогазовых установках, коровниках, резервуарах или контейнерах для жидкого навоза и т.д. Кроме того, ингибитор нитрификации или композицию, содержащую указанный ингибитор нитрификации, можно применять в вытяжных системах, предпочтительно в вытяжных системах конюшен или коровников. Поэтому, настоящее изобретение также относится к применению соединений формулы I для обработки вытяжного воздуха, предпочтительно вытяжного воздуха из конюшен и коровников. В дополнительных вариантах осуществления изобретения ингибитор нитрификации или композицию, содержащая указанный ингибитор нитрификации в соответствии с настоящим изобретением, можно применять для снижения нитрификации in situ в животных, например, в продуктивном скоте. Соответственно, ингибитор нитрификации или композиция, содержащая указанный ингибитор нитрификации в соответствии с настоящим изобретением, могут быть скормлены животному, например млекопитающему, например, вместе с приемлемым кормом, что приведет к снижению нитрификации в желудочно-кишечном тракте животных, что, в свою очередь, приводит к уменьшению выделений из желудочно-кишечного тракта. Этот процесс, то есть кормление ингибитором нитрификации или композицией, содержащей указанный ингибитор нитрификации в соответствии с настоящим изобретением, можно повторять один или несколько раз, например, каждый 2-й, 3-й, 4-й, 5-й, 6-й, 7-й день или каждую неделю, 2 недели, 3 недели или месяц, 2 месяца и т.д.
Применение может дополнительно включать внесение ингибитора нитрификации или его производных, или солей, определенных в настоящей заявке выше, в частности, соединения формулы I и/или его солей или соответствующих производных, а также композиций, содержащих указанный ингибитор нитрификации, или агрохимических смесей, содержащих указанный ингибитор нитрификации, определенный в настоящей заявке выше, в окружающую среду, площади или зоны, где нитрификация происходит или предполагается, или ожидается. В таких средах, площадях или зонах может не быть растений или почвы. Например, ингибиторы можно применять для ингибирования нитрификации в лабораторных условиях, например, на основе ферментативных реакций или т.п. Также предусматривают применение в теплицах или подобных внутренних помещениях.
Термин "уменьшение нитрификации" или "снижение нитрификации", используемый в данной заявке, относится к замедлению или остановке процессов нитрификации, таких как, например, задержка или устранение природного превращения аммония в нитрат.Такое снижение может быть полным или частичным устранением нитрификации в растении или местоположении, где применяют ингибитор или композицию, содержащую указанный ингибитор. Например, частичное устранение может привести к остаточной нитрификации на или в растении, или в или на почве, или заменителях почвы, где растение выращивают или предполагают выращивать, которая составляет примерно от 90% до 1%, например, 90%, 85%, 80%, 70%, 60%, 50%, 40%, 30%, 20%, 10% или менее 10%, например, 5% или менее 5% по сравнению с контрольной ситуацией, где не применяют ингибитор нитрификации. В некоторых вариантах осуществления частичное устранение может привести к остаточной нитрификации на или в растении, или в или на почве или заменителях почвы, где растение выращивают или предполагают выращивать, составляющей менее 1%, например, 0.5%, 0.1% или менее, по сравнению с контрольной ситуацией, где не применяют ингибитор нитрификации.
Применение ингибитора нитрификации, определенного в настоящей заявке выше, или композиции, указанной в настоящем описании, для снижения нитрификации может быть однократным или многократным. При однократном применении ингибитор нитрификации или соответствующие композиции могут быть нанесены на целевые участки, например, на почву или местоположения, или объекты, например, растения, только один раз в течение физиологически соответствующего временного интервала, например, один раз в год или один раз каждые 2-5 лет, или один раз в течение всей продолжительности жизни растения.
В других вариантах осуществления применение можно повторять по меньшей мере один раз за определенный период времени, например, ингибитор нитрификации, определенный выше в данной заявке, или композицию, указанную в данной заявке, можно применять для снижения нитрификации в их целевых местах или объектах два раза в течение временного интервала - дней, недель или месяцев. Термин "по меньшей мере один раз", используемый в контексте применения ингибитора нитрификации означает, что ингибитор может быть применен два раза или несколько раз, то есть, предусматривают повторение или многократное повторение внесения или обработки ингибитором нитрификации. Такое повторение может быть выполнено 2 раза, 3 раза, 4 раза, 5 раз, 6 раз, 7 раз, 8 раз, 9 раз, 10 раз или означать более частое повторение применения.
Ингибитор нитрификации в соответствии с настоящим изобретением может быть применен в любой пригодной форме. Например, его можно применять в виде покрытых или непокрытых гранул, в жидком или полужидком виде, в виде вещества для распыления или в методиках орошения и т.д. В отдельных вариантах осуществления ингибитор нитрификации, определенный в настоящей заявке, может быть нанесен или применен как таковой, т.е. без составов, удобрений, дополнительной воды, покрытий или любого другого компонента.
Термин "орошение", используемый в данной заявке, относится к поливу растений, или местоположений, или почвы или почвенных заменителей, где растение выращивают или предполагают выращивать, при этом указанный полив включает обеспечение ингибитора нитрификации в соответствии с настоящим изобретением вместе с водой.
В дополнительном аспекте изобретение относится к композиции для снижения нитрификации, содержащей по меньшей мере один ингибитор нитрификации, в которой указанный ингибитор нитрификации представляет собой соединение формулы I или производное, определенное выше в данной заявке; и по меньшей мере один носитель.
Термин "композиция для снижения нитрификации", используемый в данной заявке, относится к соответствующей композиции, которая пригодна, например, содержит эффективные концентрации и количества компонентов, таких как ингибиторы нитрификации, в частности, соединения формулы I или производные, которые определены в настоящей заявке, для снижения нитрификации в любом контексте или в окружающей среде, в которой может произойти нитрификация. В одном варианте осуществления изобретения нитрификация может быть уменьшена на или в местоположении растения. Как правило, нитрификация может быть уменьшена в корневой зоне растения. Тем не менее, область, в которой такое снижение нитрификации может иметь место, не ограничивается растениями и их окружающей средой, а также может включать любые другие места распространения нитрифицирующих бактерий или любой участок, на котором нитрифицирующая ферментативная активность может быть обнаружена или может функционировать в общем виде, например, в очистных сооружениях, биогазовых установках, животных стоках продуктивного скота, например, коров, свиней и т.п. "Эффективные количества" или "эффективные концентрации" ингибиторов нитрификации, которые определены в настоящей заявке, могут быть установлены специалистом в данной области при помощи пригодных тестов in vitro и in vivo. Эти количества и концентрации могут быть скорректированы в соответствии с местоположением, растением, почвой, климатическими условиями или любым другим соответствующим параметром, который может влиять на процессы нитрификации.
"Носитель", используемый в данной заявке, представляет собой вещество или композицию, которые облегчают доставку и/или высвобождение компонентов в предназначенное место или местоположение. Термин включает, например, агрохимические носители, которые облегчают доставку и/или высвобождение агрохимикатов в их области применения, в частности, на или в растение.
Примеры пригодных носителей включают твердые носители, такие как фитогели или гидрогели, или минеральные земли, например, силикаты, силикагели, тальк, каолин, известняк, известь, мел, болюс, лесс, глины, доломит, диатомовую землю, сульфат кальция, сульфат магния, оксид магния, измельченные синтетические материалы, удобрения, такие как, например, твердое или жидкое аммоний-содержащее неорганическое удобрение, такое как АФК удобрение, нитрат аммония, нитрат кальция-аммония, сульфат-нитрат аммония, сульфат аммония или фосфат аммония; твердое или жидкое органическое удобрение, такое как жидкий навоз, полужидкий навоз, стойловый навоз, биогазовый навоз и соломистый навоз, копролиты червей, компост, морские водоросли или гуано, или удобрение, содержащее мочевину, такое как, мочевина, формальдегидная мочевина, безводный аммиак, раствор мочевино-аммониевого нитрата (МАН), сера-мочевина, стабилизированная мочевина, АФК удобрения на основе мочевины или мочевино-аммониевый сульфат, и продукты растительного происхождения, такие как зерновая мука, мука из древесной коры, древесная мука и мука из ореховой скорлупы, целлюлозный порошок и другие твердые носители. Дальнейшие пригодные примеры носителей включают пирогенный диоксид кремния или осажденный диоксид кремния, которые, например, можно применять в твердых составах в качестве агента для повышения текучести, средства против слеживания, агента для измельчения и в качестве носителя для жидких активных компонентов. Дополнительными примерами пригодных носителей являются микрочастицы, например, микрочастицы, которые прилипают к листьям растений и высвобождают их содержимое в течение определенного периода времени. В отдельных вариантах осуществления изобретения можно применять агрохимические носители, такие как гелевые микрочастицы в составах, которые можно применять для обеспечения защиты растений активными элементами, например, как описано в патенте US 6,180,141; или композиции, содержащие по меньшей мере одно фитоактивное соединение и инкапсулирующую вспомогательную добавку, причем вспомогательная добавка содержит клетку грибка или ее фрагмент, например, как описано в WO 2005/102045; или гранулы-носители, покрытые на поверхности липофильным веществом для повышения клейкости, благодаря чему гранула-носитель прилипает к поверхности растений, трав и сорняков, например, как раскрыто в патенте США 2007/0280981. В других отдельных вариантах осуществления такие носители могут включать специфические, сильно связывающие молекулы, которые гарантируют, что носитель прилипнет к растению, семенам и/или местоположениям, где растение выращивают или предполагают выращивать, до тех пор, пока его содержание не будет полностью высвобождено. Например, носитель может представлять собой или содержать целлюлозно-связывающие домены (CBD), которые были описаны в качестве полезных агентов для прикрепления молекулярных частиц к целлюлозе (см. US 6,124,117); или прямые слияния CBD и фермента; или многофункциональный слитый белок, который может быть использован для доставки инкапсулированных агентов, где многофункциональные слитые белки могут состоять из первого связывающего домена, который представляет собой углевод - связывающий домен, и второго связывающего домена, причем либо первый связывающий домен, либо второй связывающий домен может связываться с микрочастицами (см. также в WO 03/031477). Другие пригодные примеры носителей включают бифункциональные слитые белки, состоящие из CBD и фрагмента антитела aHTH-RR6, связывающегося с микрочастицами, чей комплекс может быть нанесен на дорожки или скошенную траву (см. также в WO 03/031477). В другом отдельном варианте осуществления изобретения носитель может представлять собой гранулы носителя активного компонента, которые прилипают, например, к поверхности растений, трав, сорняков, семян и/или местоположений, где растение выращивают или предполагают выращивать и т.д., с использованием влагоактивного покрытия, например, включая гуммиарабик, гуаровую камедь, камедь карайи, камедь трагаканта и камедь плодов рожкового дерева. При нанесении гранул в соответствии с изобретением на поверхность растений, осадочные воды, орошение, роса, совместное применение с гранулами из специального оборудования для нанесения, или гуттационные воды из растения сами по себе могут обеспечить достаточное количество влаги для адгезии гранул к поверхности растений (см. также US 2007/0280981).
В другом отдельном варианте осуществления носитель, например, агрохимический носитель, может представлять собой или содержать полиаминокислоты. Полиаминокислоты могут быть получены в соответствии с любым пригодным способом, например, путем полимеризации одной или нескольких аминокислот, таких как глицин, аланин, валин, лейцин, изолейцин, фенилаланин, пролин, триптофан, серии, тирозин, цистеин, метионин, аспарагин, глутамин, треонин, аспарагиновая кислота, глютаминовая кислота, лизин, аргинин, гистидин и/или орнитин. Полиаминокислоты могут быть объединены с ингибитором нитрификации в соответствии с настоящим изобретением и, в некоторых вариантах, также с другими носителями, как упомянуто выше в данной заявке, или с другими ингибиторами нитрификации, как упомянуто в данной заявке, в любом приемлемом соотношении. Например, полиаминокислоты могут быть объединены с ингибитором нитрификации в соответствии с настоящим изобретением в соотношении 1-10 (полиаминокислоты) к 0.5-2 (ингибитор нитрификации в соответствии с настоящим изобретением).
Композиция для снижения нитрификации, содержащая по меньшей мере один ингибитор нитрификации, как определено в настоящей заявке, может также содержать дополнительные компоненты, например, по меньшей мере одно пестицидное соединение. Например, композиция дополнительно может содержать по меньшей мере одно гербицидное соединение и/или по меньшей мере одно фунгицидное соединение, и/или по меньшей мере одно инсектицидное соединение, и/или по меньшей мере один нематоцид, и/или по меньшей мере один биопестицид, и/или по меньшей мере один биостимулятор.
В других вариантах осуществления изобретения, в дополнение к вышеуказанным компонентам, в частности, в дополнение к ингибитору нитрификации соединения формулы I, композиция может также содержать один или несколько альтернативных или дополнительных ингибиторов нитрификации. Примерами возможных альтернативных или дополнительных ингибиторов нитрификации являются линолевая кислота, альфа-линоленовая кислота, метил n-кумарат, метилферулат, метил 3-(4-гидроксифенил)-пропионат (МНРР), каранджа, брахиалактон, и-бензохинон сорголеон, 2-хлор-6-(трихлорметил)-пиридин (нитрапирин или N-serve), дициандиамид (DCD, DID IN), 3,4-диметилпиразолфосфат (DMPP, ENTEC), гидрохлорид 4-амино-1,2,4-триазола (АТС), 1-амидо-2-тиомочевина (ASU), 2-амино-4-хлор-6-метилпиримидин (AM), 2-меркаптобензотиазол (МВТ), 5-этокси-3-трихлорметил-1,2,4-тиодиазол (терразол, этридиазол), 2-сульфаниламидотиазол (ST), тиосульфат аммония (ATU), 3-метилпиразол (3-МР), 3,5-диметилпиразол (DMP), 1,2,4-триазол и тиомочевина (TU), N-(1Н-пиразолилметил)ацетамиды, такие как N-((3(5)-метил-1Н-пиразол-1-ил)метил)ацетамид, и N-(1H-пиразолилметил)формамиды, такие как N-((3(5)-метил-1Н-пиразол-1-ил)метилформамид, N-(4-хлор-3(5)-метилпиразол-1-илметил)-формамид, N-(3(5),4-диметилпиразол-1-илметил)-формамид, ним, продукты на основе компонентов нима, цианамид, меламин, цеолитовый порошок, катехол, бензохинон, тетраборат натрия, сульфат цинка.
В предпочтительном варианте осуществления композиция в соответствии с настоящим изобретением может содержать комбинацию соединения ингибитора нитрификации формулы I и 2-хлор-6-(трихлорметил)-пиридина (нитрапирин или N-serve).
В дополнительном предпочтительном варианте осуществления композиция в соответствии с настоящим изобретением может содержать комбинацию соединения ингибитора нитрификации формулы I и 5-этокси-3-трихлорметил-1,2,4-тиодиазола (терразол, этридиазол).
В дополнительном предпочтительном варианте осуществления композиция в соответствии с настоящим изобретением может содержать комбинацию соединения ингибитора нитрификации формулы I и дициандиамида (DCD, DID IN).
В дополнительном предпочтительном варианте осуществления композиция в соответствии с настоящим изобретением может содержать комбинацию соединения ингибитора нитрификации формулы I и 3,4-диметилпиразолфосфата (DMPP, ENTEC).
В дополнительном предпочтительном варианте осуществления композиция в соответствии с настоящим изобретением может содержать комбинацию соединения ингибитора нитрификации формулы I и 2-амино-4-хлор-6-метилпиримидина (AM).
В дополнительном предпочтительном варианте осуществления композиция в соответствии с настоящим изобретением может содержать комбинацию соединения ингибитора нитрификации формулы I и 2-меркаптобензотиазола (МВТ).
В дополнительном предпочтительном варианте осуществления композиция в соответствии с настоящим изобретением может содержать комбинацию соединения ингибитора нитрификации формулы I и 2-сульфаниламидотиазола (ST).
В дополнительном предпочтительном варианте осуществления композиция в соответствии с настоящим изобретением может содержать комбинацию соединения ингибитора нитрификации формулы I и тиосульфата аммония (ATU).
В дополнительном предпочтительном варианте осуществления композиция в соответствии с настоящим изобретением может содержать комбинацию соединения ингибитора нитрификации формулы I и 3-метилпиразола (3-МР).
В дополнительном предпочтительном варианте осуществления композиция в соответствии с настоящим изобретением может содержать комбинацию соединения ингибитора нитрификации формулы I и 3,5-диметилпиразола (DMP).
В дополнительном предпочтительном варианте осуществления композиция в соответствии с настоящим изобретением может содержать комбинацию соединения ингибитора нитрификации формулы I и 1,2,4-триазола.
В дополнительном предпочтительном варианте осуществления композиция в соответствии с настоящим изобретением может содержать комбинацию соединения ингибитора нитрификации формулы I и тиомочевины (TU).
В еще одном предпочтительном варианте осуществления, композиция в соответствии с настоящим изобретением может содержать комбинацию соединения ингибитора нитрификации формулы I и линолевой кислоты.
В еще одном предпочтительном варианте осуществления, композиция в соответствии с настоящим изобретением может содержать комбинацию соединения ингибитора нитрификации формулы I и альфа-линоленовой кислоты.
В еще одном предпочтительном варианте осуществления, композиция в соответствии с настоящим изобретением может содержать комбинацию соединения ингибитора нитрификации формулы I и метил n-кумарата.
В еще одном предпочтительном варианте осуществления, композиция в соответствии с настоящим изобретением может содержать комбинацию соединения ингибитора нитрификации формулы I и метил 3-(4-гидроксифенил)пропионата (МНРР).
В еще одном предпочтительном варианте осуществления, композиция в соответствии с настоящим изобретением может содержать комбинацию соединения ингибитора нитрификации формулы I и метилферулата.
В еще одном предпочтительном варианте осуществления, композиция в соответствии с настоящим изобретением может содержать комбинацию соединения ингибитора нитрификации формулы I и каранджи.
В еще одном предпочтительном варианте осуществления, композиция в соответствии с настоящим изобретением может содержать комбинацию соединения ингибитора нитрификации формулы I и брахиалактона.
В еще одном предпочтительном варианте осуществления, композиция в соответствии с настоящим изобретением может содержать комбинацию соединения ингибитора нитрификации формулы I и n-бензохинон сорголеона.
В еще одном предпочтительном варианте осуществления, композиция в соответствии с настоящим изобретением может содержать комбинацию соединения ингибитора нитрификации формулы I и гидрохлорида 4-амино-1,2,4-триазола (АТС).
В еще одном предпочтительном варианте осуществления, композиция в соответствии с настоящим изобретением может содержать комбинацию соединения ингибитора нитрификации формулы I и 1-амидо-2-тиомочевины (ASU).
В еще одном предпочтительном варианте осуществления, композиция в соответствии с настоящим изобретением может содержать комбинацию соединения ингибитора нитрификации формулы I и N-((3(5)-метил-1Н-пиразол-1-ил)метил)ацетамида.
В еще одном предпочтительном варианте осуществления, композиция в соответствии с настоящим изобретением может содержать комбинацию соединения ингибитора нитрификации формулы I и N-((3(5)-метил-1Н-пиразол-1-ил)метилформамида.
В еще одном предпочтительном варианте осуществления, композиция в соответствии с настоящим изобретением может содержать комбинацию соединения ингибитора нитрификации формулы I и N-(4-хлор-3(5)-метилпиразол-1-илметил)-формамида.
В еще одном предпочтительном варианте осуществления, композиция в соответствии с настоящим изобретением может содержать комбинацию соединения ингибитора нитрификации формулы I и N-[-(3(5),4-диметилпиразол-1-илметил)-формамида.
В еще одном предпочтительном варианте осуществления композиция в соответствии с настоящим изобретением может содержать комбинацию соединения ингибитора нитрификации формулы I и нима, или продуктов на основе компонентов нима.
В еще одном предпочтительном варианте осуществления, композиция в соответствии с настоящим изобретением может содержать комбинацию соединения ингибитора нитрификации формулы I и цианамида.
В еще одном предпочтительном варианте осуществления, композиция в соответствии с настоящим изобретением может содержать комбинацию соединения ингибитора нитрификации формулы I и меламина.
В еще одном предпочтительном варианте осуществления, композиция в соответствии с настоящим изобретением может содержать комбинацию соединения ингибитора нитрификации формулы I и цеолитового порошка.
В еще одном предпочтительном варианте осуществления, композиция в соответствии с настоящим изобретением может содержать комбинацию соединения ингибитора нитрификации формулы I и катехола.
В еще одном предпочтительном варианте осуществления, композиция в соответствии с настоящим изобретением может содержать комбинацию соединения ингибитора нитрификации формулы I и бензохинона.
В еще одном предпочтительном варианте осуществления, композиция в соответствии с настоящим изобретением может содержать комбинацию соединения ингибитора нитрификации формулы I и тетрабората натрия.
В еще одном предпочтительном варианте осуществления, композиция в соответствии с настоящим изобретением может содержать комбинацию соединения ингибитора нитрификации формулы I и сульфата цинка.
В дополнительных вариантах осуществления композиция в соответствии с настоящим изобретением может содержать комбинацию соединения ингибитора нитрификации формулы I и два вещества, выбранных из группы, которая включает: линолевую кислоту, альфа-линоленовую кислоту, метил n-кумарат, метилферулат, метил 3-(4-гидроксифенил)-пропионат (МНРР), каранджу, брахиалактон, n-бензохинон сорголеон, 2-хлор-6-(трихлорметил)-пиридин (нитрапирин или N-serve), дициандиамид (DCD, DID IN), 3,4-диметилпиразолфосфат (DMPP, ENTEC), гидрохлорид 4-амино-1,2,4-триазола (АТС), 1-амидо-2-тиомочевину (ASU), 2-амино-4-хлор-6-метилпиримидин (AM), 2-меркаптобензотиазол (МВТ), 5-этокси-3-трихлорметил-1,2,4-тиодиазол (терразол, этридиазол), 2-сульфаниламидотиазол (ST), тиосульфат аммония (ATU), 3-метилпиразол (3-МР), 3,5-диметилпиразол (DMP), 1,2,4-триазол и тиомочевину (TU), N-(1H-пиразолилметил)ацетамиды, такие как N-((3(5)-метил-1Н-пиразол-1-ил)метил)ацетамид и N-(1H-пиразолилметил)формамиды, такие как N-((3(5)-метил-1Н-пиразол-1-ил)метил формамид, N-(4-хлор-3(5)-метилпиразол-1-илметил)-формамид, или N-(3(5),4-диметилпиразол-1-илметил)-формамид, ним, продукты на основе компонентов нима, цианамид, меламин, цеолитовый порошок, катехол, бензохинон, тетраборат натрия, сульфат цинка.
В еще одной группе вариантов осуществления композиция в соответствии с настоящим изобретением может содержать комбинацию соединения ингибитора нитрификации формулы I и три, четыре или большее количество веществ, выбранных из группы, которая включает: линолевую кислоту, альфа-линоленовую кислоту, метил n-кумарат, метилферулат, метил 3-(4-гидроксифенил)-пропионат (МНРР), каранджу, брахиалактон, n-бензохинон сорголеон, 2-хлор-6-(трихлорметил)-пиридин (нитрапирин или N-serve), дициандиамид (DCD, DID IN), 3,4-диметилпиразолфосфат (DMPP, ENTEC), гидрохлорид 4-амино-1,2,4-триазола (АТС), 1-амидо-2-тиомочевину (ASU), 2-амино-4-хлор-6-метилпиримидин (AM), 2-меркаптобензотиазол (МВТ), 5-этокси-3-трихлорметил-1,2,4-тиодиазол (терразол, этридиазол), 2-сульфаниламидотиазол (ST) тиосульфат аммония (ATU), 3-метилпиразол (3-МР), 3,5-диметилпиразол (DMP), 1,2,4-триазол и тиомочевину (TU), N-(1H-пиразолилметил)ацетамиды, такие как N-((3(5)-метил-1Н-пиразол-1-ил)метил)ацетамид, и N-(1H-пиразолилметил)формамиды, такие как N-((3(5)-метил-1Н-пиразол-1-ил)метилформамид, N-(4-хлор-3(5)-метилпиразол-1-илметил)-формамид, или N-(3(5),4-диметилпиразол-1-илметил)-формамид, формамид, ним, продукты на основе компонентов нима, цианамид, меламин, цеолитовый порошок, катехол, бензохинон, тетраборат натрия, сульфат цинка.
В дополнительных вариантах осуществления, в дополнение к указанным выше компонентам, в частности, в дополнение к ингибитору нитрификации соединения формулы I, композиция может также содержать один или несколько ингибиторов уреазы. Примеры соответствующих ингибиторов уреазы включают триамид N-(н-бутил)-тиофосфорной кислоты (NBPT, Agrotain), триамид N-(н-пропил)-тиофосфорной кислоты (NPPT), триамид 2-нитрофенилфосфорной кислоты (2-NPT), другие NXPT, известные специалисту в данной области техники, фенилфосфородиамидат (PPD/PPDA), гидрохинон, тиосульфат аммония и смеси из NBPT и NPPT (см., например, US 8,075,659). Такие смеси из NBPT и NPPT могут содержать NBPT в количествах от 40 до 95 мас. % и предпочтительно от 60 до 80 мас. % в пересчете на общее количество активных веществ. Такие смеси имеются в продаже под торговым названием LIMUS, который представляет собой композицию, содержащую приблизительно 16.9 мас. % NBPT и приблизительно 5.6 мас. % NPPT и приблизительно 77.5 мас. % других компонентов, включая растворители и вспомогательные добавки.
В предпочтительном варианте осуществления, композиция в соответствии с настоящим изобретением может содержать комбинацию соединения ингибитора нитрификации формулы I и триамид N-[н-бутил)-тиофосфорной кислоты (NBPT, Agrotain).
В дополнительном предпочтительном варианте осуществления композиция в соответствии с настоящим изобретением может содержать комбинацию соединения ингибитора нитрификации формулы I и фенилфосфородиамидата (PPD/PPDA).
В дополнительном предпочтительном варианте осуществления композиция в соответствии с настоящим изобретением может содержать комбинацию соединения ингибитора нитрификации формулы I и триамида]Ч[-(н-пропил)-тиофосфорной кислоты (NPPT).
В дополнительном предпочтительном варианте осуществления композиция в соответствии с настоящим изобретением может содержать комбинацию соединения ингибитора нитрификации формулы I и триамида 2-нитрофенилфосфорной кислоты (2-NPT).
В дополнительном предпочтительном варианте осуществления композиция в соответствии с настоящим изобретением может содержать комбинацию соединения ингибитора нитрификации формулы I и гидрохинона.
В дополнительном предпочтительном варианте осуществления композиция в соответствии с настоящим изобретением может содержать комбинацию соединения ингибитора нитрификации формулы I и тиосульфата аммония.
В еще одном предпочтительном варианте осуществления, композиция в соответствии с настоящим изобретением может содержать комбинацию соединения ингибитора нитрификации формулы I и нима.
В еще одном предпочтительном варианте осуществления, композиция в соответствии с настоящим изобретением может содержать комбинацию соединения ингибитора нитрификации формулы I и цианамида.
В еще одном предпочтительном варианте осуществления, композиция в соответствии с настоящим изобретением может содержать комбинацию соединения ингибитора нитрификации формулы I и меламина.
В дополнительном предпочтительном варианте осуществления композиция в соответствии с настоящим изобретением может содержать комбинацию соединения ингибитора нитрификации формулы I и смеси NBPT и NPPT, такой как LIMUS.
В дополнительных вариантах осуществления композиция в соответствии с настоящим изобретением может содержать комбинацию соединения ингибитора нитрификации формулы I и двух или большего количества веществ, выбранных из группы, которая включает: триамид N-(н-бутил)-тиофосфорной кислоты (NBPT, Agrotain), триамид N-(н-пропил)-тиофосфорной кислоты (NPPT), триамид 2-нитрофенилфосфорной кислоты (2-NPT), другие NXPT, известные специалисту в данной области техники, фенилфосфородиамидат (PPD/PPDA), гидрохинон, тиосульфат аммония и LIMUS.
В дополнительных вариантах осуществления изобретения, в дополнение к одному, нескольким или всем вышеуказанным компонентам, в особенности в дополнение к ингибитору нитрификации соединения формулы I, композиция может также содержать один или несколько регуляторов роста растений. Примерами соответствующих регуляторов роста растений являются антиауксины, ауксины, цитокинины, дефолианты, модуляторы этилена, высвобождающие этилен вещества, гиббереллины, ингибиторы роста, морфактины, замедлители роста, стимуляторы роста и дополнительные неклассифицированные регуляторы роста растений.
Пригодными примерами антиауксинов для применения в композиции в соответствии с настоящим изобретением являются клофибриновая кислота или 2,3,5-трийодбензойная кислота.
Пригодными примерами ауксинов для применения в композиции в соответствии с настоящим изобретением являются 4-СРА, 2,4-D, 2,4-DB, 2,4-DEP, дихлорпроп, фенопроп, IAA (индол-3-уксусная кислота), IBA, нафталинацетамид, альфа-нафталинуксусная кислота, 1-нафтол, нафтоксиуксусная кислота, нафтенат калия, нафтенат натрия или 2,4,5-Т.
Пригодными примерами цитокининов для применения в композиции в соответствии с настоящим изобретением являются 2iP, 6-бензиламинопурин (6-ВА) (=N-6 бензиладенин), 2,6-диметилпуридин (N-оксид-2,6-лютидин), 2,6-диметилпиридин, кинетин или зеатин.
Пригодными примерами дефолиантов для применения в композиции в соответствии с настоящим изобретением являются цианамид кальция, диметипин, эндотал, мерфос, метоксурон, пентахлорфенол, тидиазурон, трибуфос или трибутил фосфоротритиоат.
Пригодными примерами модуляторов этилена для применения в композиции в соответствии с настоящим изобретением являются авиглицин, 1-метилциклопропен (1-МСР), прогексадион (прогексадион кальций) или тринексапак (тринексапак-этил).
Пригодными примерами высвобождающих этилен веществ для применения в композиции в соответствии с настоящим изобретением являются АСС, этацелазил, этефон или глиоксим.
Пригодными примерами гиббереллинов для применения в композиции в соответствии с настоящим изобретением являются гиббереллин или гиббереллиновая кислота.
Пригодными примерами ингибиторов роста для применения в композиции в соответствии с настоящим изобретением являются абсцизовая кислота, S-абсцизовая кислота, анцимидол, бутралин, карбарил, хлорфониум, хлорпрофам, дикегулак, флуметралин, флуоридамид, фосамин, глифосин, изопиримол, жасмоновая кислота, гидразид малеиновой кислоты, мепикват (мепикват хлорид, мепикват пентаборат), пипроктанил, прогидрожасмон, профам или 2,3,5-трийодбензойная кислота.
Пригодными примерами морфактинов для применения в композиции в соответствии с настоящим изобретением являются хлорфлурен, хлорфлуренол, дихлорфлуренол или флуренол.
Пригодными примерами замедлителей роста для применения в композиции в соответствии с настоящим изобретением являются хлормекват (хлорид хлормеквата), даминозид, флурпримидол, мефлуидид, паклобутразол, тетциклацис, униконазол, метконазол.
Пригодными примерами стимуляторов роста для применения в композиции в соответствии с настоящим изобретением являются брассинолид, форхлорфенурон или гимексазол.
Пригодными примерами дополнительных неклассифицированных регуляторов роста растений для применения в композиции в соответствии с настоящим изобретением являются амидохлор, бензофтор, буминафос, карвон, хлорид холина, циобутид, клофенцет, клоксифонак, цианамид, цикланилид, циклогексимид, ципросульфамид, эпохолеон, этихлозат, этилен, фенридазон, флупримидон, флуциацетат, гептопаргил, голосульф, инабенфид, каретазан, арсенат свинца, метасульфокарб, пиданон, синтофен, дифлуфензопир или триапентенол.
В предпочтительном варианте осуществления композиция в соответствии с настоящим изобретением может содержать комбинацию соединения ингибитора нитрификации формулы I и по меньшей мере одного соединения, выбранного из группы, которая включает: абсцизовую кислоту, амидохлор, анцимидол, 6-бензиламинопурин (=N-6 бензиладенин), брассинолид, бутралин, хлормекват (хлорид хлормеквата), хлорид холина, цикланилид, даминозид, дифлуфензопир, дикегулак, диметипин, 2,6-диметилпиридин, этефон, флуметралин, флурпримидол, флутиацет, форхлорфенурон, гиббереллиновую кислоту, инабенфид, индол-3-уксусную кислоту, гидразид малеиновой кислоты, мефлуидид, мепикват (мепикват-хлорид), 1-метилциклопропен (1-МСР), нафталинуксусную кислоту, N-6 бензиладенин, паклобутразол, прогексадион (прогексадион-кальций), прогидрожасмон, тидиазурон, триапентенол, трибутилфосфоротритиоат, 2,3,5-трийодбензойную кислоту, тринексапак-этил и униконазол.
В предпочтительном варианте осуществления, композиция в соответствии с настоящим изобретением может содержать комбинацию соединения ингибитора нитрификации формулы I и клофибриновой кислоты.
В дополнительном предпочтительном варианте осуществления композиция в соответствии с настоящим изобретением может содержать комбинацию соединения ингибитора нитрификации формулы I и 2,3,5-трийодбензойной кислоты.
В дополнительном предпочтительном варианте осуществления композиция в соответствии с настоящим изобретением может содержать комбинацию соединения ингибитора нитрификации формулы I и 4-СРА.
В дополнительном предпочтительном варианте осуществления композиция в соответствии с настоящим изобретением может содержать комбинацию соединения ингибитора нитрификации формулы I и 2,4-D.
В дополнительном предпочтительном варианте осуществления композиция в соответствии с настоящим изобретением может содержать комбинацию соединения ингибитора нитрификации формулы I и 2,4-DB.
В дополнительном предпочтительном варианте осуществления композиция в соответствии с настоящим изобретением может содержать комбинацию соединения ингибитора нитрификации формулы I и 2,4-DEP.
В дополнительном предпочтительном варианте осуществления композиция в соответствии с настоящим изобретением может содержать комбинацию соединения ингибитора нитрификации формулы I и дихлорпропа.
В дополнительном предпочтительном варианте осуществления композиция в соответствии с настоящим изобретением может содержать комбинацию соединения ингибитора нитрификации формулы I и фенопропа.
В дополнительном предпочтительном варианте осуществления композиция в соответствии с настоящим изобретением может содержать комбинацию соединения ингибитора нитрификации формулы I и IAA (индол-3-уксусная кислота).
В дополнительном предпочтительном варианте осуществления композиция в соответствии с настоящим изобретением может содержать комбинацию соединения ингибитора нитрификации формулы I и IBA.
В дополнительном предпочтительном варианте осуществления композиция в соответствии с настоящим изобретением может содержать комбинацию соединения ингибитора нитрификации формулы I и нафталинацетамида.
В дополнительном предпочтительном варианте осуществления композиция в соответствии с настоящим изобретением может содержать комбинацию соединения ингибитора нитрификации формулы I и альфа-нафталинуксусной кислоты.
В дополнительном предпочтительном варианте осуществления композиция в соответствии с настоящим изобретением может содержать комбинацию соединения ингибитора нитрификации формулы I и 1-нафтола.
В дополнительном предпочтительном варианте осуществления композиция в соответствии с настоящим изобретением может содержать комбинацию соединения ингибитора нитрификации формулы I и нафтоксиуксусной кислоты.
В дополнительном предпочтительном варианте осуществления композиция в соответствии с настоящим изобретением может содержать комбинацию соединения ингибитора нитрификации формулы I и нафтената калия.
В дополнительном предпочтительном варианте осуществления композиция в соответствии с настоящим изобретением может содержать комбинацию соединения ингибитора нитрификации формулы I и нафтената натрия.
В дополнительном предпочтительном варианте осуществления композиция в соответствии с настоящим изобретением может содержать комбинацию соединения ингибитора нитрификации формулы I и 2,4,5-Т.
В дополнительном предпочтительном варианте осуществления композиция в соответствии с настоящим изобретением может содержать комбинацию соединения ингибитора нитрификации формулы I и 2iP.
В дополнительном предпочтительном варианте осуществления композиция в соответствии с настоящим изобретением может содержать комбинацию соединения ингибитора нитрификации формулы I и 6-бензиламинопурина (6-ВА) (=N-6 бензиладенин).
В дополнительном предпочтительном варианте осуществления композиция в соответствии с настоящим изобретением может содержать комбинацию соединения ингибитора нитрификации формулы I и 2,6-диметилпуридина (N-оксид-2,6-лултидина).
В дополнительном предпочтительном варианте осуществления композиция в соответствии с настоящим изобретением может содержать комбинацию соединения ингибитора нитрификации формулы I и зеатина.
В дополнительном предпочтительном варианте осуществления композиция в соответствии с настоящим изобретением может содержать комбинацию соединения ингибитора нитрификации формулы I и кинетина.
В дополнительном предпочтительном варианте осуществления композиция в соответствии с настоящим изобретением может содержать комбинацию соединения ингибитора нитрификации формулы I и цианамида кальция.
В дополнительном предпочтительном варианте осуществления композиция в соответствии с настоящим изобретением может содержать комбинацию соединения ингибитора нитрификации формулы I и диметипина.
В дополнительном предпочтительном варианте осуществления композиция в соответствии с настоящим изобретением может содержать комбинацию соединения ингибитора нитрификации формулы I и эндотала.
В дополнительном предпочтительном варианте осуществления композиция в соответствии с настоящим изобретением может содержать комбинацию соединения ингибитора нитрификации формулы I и мерфоса.
В дополнительном предпочтительном варианте осуществления композиция в соответствии с настоящим изобретением может содержать комбинацию соединения ингибитора нитрификации формулы I и метоксурона.
В дополнительном предпочтительном варианте осуществления композиция в соответствии с настоящим изобретением может содержать комбинацию соединения ингибитора нитрификации формулы I и пентахлорфенола.
В дополнительном предпочтительном варианте осуществления композиция в соответствии с настоящим изобретением может содержать комбинацию соединения ингибитора нитрификации формулы I и тидиазурона.
В дополнительном предпочтительном варианте осуществления композиция в соответствии с настоящим изобретением может содержать комбинацию соединения ингибитора нитрификации формулы I и трибуфоса.
В дополнительном предпочтительном варианте осуществления композиция в соответствии с настоящим изобретением может содержать комбинацию соединения ингибитора нитрификации формулы I и трибутил фосфортритиоата.
В дополнительном предпочтительном варианте осуществления композиция в соответствии с настоящим изобретением может содержать комбинацию соединения ингибитора нитрификации формулы I и авиглицина.
В дополнительном предпочтительном варианте осуществления композиция в соответствии с настоящим изобретением может содержать комбинацию соединения ингибитора нитрификации формулы I и 1-метилциклопропена.
Композиция, определенная в настоящей заявке, в частности, композиция, содержащая ингибитор нитрификации, как определено в настоящей заявке, и регулятор роста растений, как определено в настоящей заявке, могут быть применены для повышения жизнеспособности растений.
Термин "жизнеспособность растений", используемый в данной заявке, предназначен для обозначения состояния растения, которое определяется несколькими аспектами по отдельности или в сочетании друг с другом. Одним из индикаторов (индикатор 1) состояния растения является урожайность. Под "урожаем" и "плодом" следует понимать любой продукт растения, который после сбора урожая используют в дальнейшем, например, собственно фрукты, овощи, орехи, зерна, семена, древесину (например, в случае лесоводческих растений), цветы (например, в случае садовых растений, декоративных растений) и т.д., то есть -то что производится растением с точки зрения экономической ценности. Другим индикатором (индикатор 2) для состояния растения является сила растения. Сила растений проявляется в нескольких аспектах, некоторые из которых относятся к внешнему виду, например, цвет листьев, цвет плодов и их внешний вид, количество мертвых прикорневых листьев и/или длина листовых пластинок, вес растений, высота растений, степень нормального прямостоячего положения (полегание), количество, прочность и продуктивность клубней, длина метелок, длина корневой системы, сила корней, длина отростков, в частности, ризобиальных клубеньков, момент времени прорастания семян, появление всходов, цветение, зрелость зерна и/или физиологическое старение, содержание белка, содержание сахара и т.п. Другим индикатором (индикатор 3) для повышения жизнеспособности растения является снижение биотических или абиотических стрессовых факторов. Три упомянутых выше индикатора состояния жизнеспособности растения могут быть взаимозависимы и могут происходить друг из друга. Например, уменьшение биотических или абиотических стрессов может привести к лучшей живучести растений, например, лучшего и более крупного урожая, что ведет к увеличению урожайности. Биотический стресс, особенно в течение длительных периодов времени, может оказывать вредное воздействие на растение. Термин "биотический стресс", используемый в контексте настоящего изобретения, относится, в частности, к стрессу, вызванному живыми организмами. В результате, количество и качество растений под влиянием стресса, их урожай и плоды уменьшаются. Что касается качества, то, как правило, серьезно страдает репродуктивное развитие с последствиями для культур, которые имеют значение для плодов или семян. Рост может быть замедлен стрессом; синтез полисахаридов, как структурный, так и накопительный, может быть уменьшен или изменен: эти эффекты могут привести к снижению биомассы и к изменениям в питательной ценности продукта. Понятие "абиотический стресс" включает засуху, холод, повышенное излучение УФ, повышение температуры или другие изменения в окружающей среде растения, что приводит к неоптимальным условиям для роста. Термин "повышенная урожайность" растения, используемый в данной заявке, означает, что урожайность продукта соответствующего растения увеличивается на измеримое количество по сравнению с урожайностью одного и того же растительного продукта, полученного в тех же условиях, но без применения композиции в соответствии с изобретением. В соответствии с настоящим изобретением, предпочтительно, чтобы урожайность увеличилась по меньшей мере на 0.5%, более предпочтительно по меньшей мере на 1%, еще более предпочтительно по меньшей мере на 2%, еще более предпочтительно по меньшей мере на 4%. Увеличенная урожайность может быть достигнута, например, вследствие снижения нитрификации и соответствующего улучшения поглощения азотистых питательных веществ. Термин "улучшенная сила растений", используемый в данной заявке, означает, что некоторые характеристики урожая увеличены или улучшены на измеримое или заметное количество по сравнению с тем же фактором для растения, выращенного в тех же условиях, но без применения композиции в соответствии с настоящим изобретением. Улучшение силы растений можно охарактеризовать, среди прочих, следующими улучшениями свойств растения:
(а) повышенная жизнеспособность растений,
(б) улучшенное качество растений и/или, например, растительных продуктов, например,
(в) повышенное содержание белка,
(г) улучшение внешнего вида,
(д) задержка увядания,
(е) усиление роста корней и/или более развитая корневая система (например, определяемая по сухой массе корня),
(ж) усиление образования клубней, в частности, ризобиальных клубеньков,
(з) более длинные метелки,
(и) большие листовые пластинки,
(к) меньшее количество мертвых базальных листьев,
(л) повышенное содержание хлорофилла,
(м) удлиненный фотосинтетически активный период,
(н) повышенное снабжение азотом внутри растения.
Улучшение силы растения в соответствии с настоящим изобретением, в частности, означает, что улучшается положительный эффект любой или нескольких, или всех указанных выше характеристик растения. Кроме того, это означает, что, если не все указанные выше характеристики улучшаются, то те, которые не улучшились, не ухудшаются по сравнению с растениями, которые не обрабатывали в соответствии с изобретением, или, по крайней мере, не ухудшались до такой степени, что негативный эффект превысил бы положительный эффект улучшенной характеристики (т.е. всегда есть общий положительный эффект, который предпочтительно приводит к улучшению урожайности). Улучшенная сила растения может, например, быть результатом снижения нитрификации и, например, регулирования роста растений.
В дополнительных вариантах осуществления, композиция в дополнение к указанным выше компонентам, в частности, в дополнение к ингибитору нитрификации соединения формулы I, может также содержать один или несколько пестицидов.
Пестицид, как правило, представляет собой химическое или биологическое средство (такое как пестицидный активный компонент, соединение, композиция, вирус, бактерия, антимикробное или дезинфицирующее средство), которое своим действием отпугивает, делает недееспособным, убивает или по-иному обезвреживает вредителей. К целевым вредителям относят насекомых, патогенов растений, сорные травы, моллюсков, птиц, млекопитающих, рыбу, нематод (круглые черви) и микробов, которые уничтожают имущество, причиняют неудобства, распространяют заболевания или являются переносчиками заболеваний. Термин "пестицид" также включает регуляторы роста растений, которые изменяют ожидаемый рост, цветение или скорость воспроизведения растений; дефолианты, которые способствуют опаданию листьев или другой листвы с растения, как правило, чтобы облегчить сбор урожая; десиканты, которые ускоряют высушивание живых тканей, таких как нежелательные верхушки растений; активаторы растений, активирующие физиологию растений для защиты от некоторых вредителей; сафенеры, которые снижают нежелательное гербицидное воздействие пестицидов на сельскохозяйственные культуры; и стимуляторы роста растений, влияющие на физиологию растений, чтобы увеличить рост растений, биомассу, урожай или любой другой параметр качества продуктов сельскохозяйственных растений, пригодных для сбора.
Биопестициды были определены как форма пестицидов на основе микроорганизмов (бактерии, грибы, вирусы, нематоды и т.д.) или природных продуктов (соединения, такие как метаболиты, белки или экстракты из биологических или других природных источников) (Управление охраны окружающей среды США: http://www.epa.gov/pesticides/biopesticides/). Биопестициды подразделяют на два основных класса, микробные и биохимические пестициды:
(1) Микробные пестициды состоят из бактерий, грибов или вирусов (и часто включают метаболиты, которые вырабатывают бактерии и грибы). Энтомопатогенные нематоды также классифицируют как микробные пестициды, несмотря на то, что они являются многоклеточными.
(2) Биохимические пестициды представляют собой встречающиеся в природе вещества, которые борются с вредителями или обеспечивают другие применения для защиты сельскохозяйственных культур, как определено ниже, но являются относительно нетоксичными для млекопитающих.
В соответствии с одним вариантом осуществления отдельные компоненты композиции в соответствии с изобретением, такие как части набора или части бинарной или трехкомпонентной смеси могут быть смешаны самим пользователем в баке для опрыскивания или в любом другом виде сосуда, используемого для нанесений (например, барабаны для протравливания семян, оборудование для гранулирования семян, ранцевый опрыскиватель) и при необходимости могут быть добавлены другие вспомогательные вещества.
Когда живые микроорганизмы, такие как микробные пестициды из групп LI), L3) и L5), образуют часть такого набора, следует позаботиться о том, чтобы выбор и количество компонентов (например, химических пестицидов) и других вспомогательных веществ не влияли на жизнеспособность микробных пестицидов в композиции, смешанной пользователем. Особенно для бактерицидов и растворителей должна быть принята во внимание совместимость с соответствующим микробным пестицидом.
Следовательно, один вариант осуществления изобретения представляет собой набор для получения пригодной к применению пестицидной композиции, который включает а) композицию, содержащую компонент 1), определенный в настоящей заявке, и по меньшей мере одно вспомогательное вещество; и б) композицию, содержащую компонент 2), определенный в настоящей заявке, и по меньшей мере одно вспомогательное вещество; и необязательно в) композицию, содержащую по меньшей мере одно вспомогательное вещество и необязательно другой активный компонент 3), определенный в настоящей заявке.
Нижеследующий список пестицидов I (например, пестицидно активных веществ и биопестицидов), совместно с которыми можно применять соединения I, предназначен для иллюстрации возможных комбинаций, но не ограничивает его:
А) Ингибиторы дыхания
- Ингибиторы комплекса III в Qo сайте: азоксистробин (А.1.1), куметоксистробин (А.1.2), кумоксистробин (А.1.3), димоксистробин (А.1.4), энестробурин (А.1.5), фенаминстробин (А.1.6), феноксистробин/флуфеноксистробин (А.1.7), флуоксастробин (А.1.8), крезоксим-метил (А.1.9), мандестробин (А.1.10), метоминостробин (А.1.11), оризастробин (А.1.12), пикоксистробин (А.1.13), пираклостробин (А.1.14), пираметостробин (А.1.15), пираоксистробин (А.1.16), трифлоксистробин (А.1.17), 2-(2-(3-(2,6-дихлорфенил)-1-метилаллилиденаминооксиметил)-фенил)-2-метоксиимино-]-N-метилацетамид (А.1.18), пирибенкарб (А.1.19), триклопирикарб/хлординкарб (А.1.20), фамоксадон (А.1.21), фенамидон (А.1.21), метил-N-[2-[(1,4-диметил-5-фенилпиразол-3-ил)оксилметил]фенил]-N-метоксикарбамат (А.1.22), 1-[2-[[1-(4-хлорфенил)пиразол-3-ил]оксиметил]-3-метилфенил]-4-метилтетразол-5-он (А.1.25), (Z,2E)-5-[1-(2,4-дихлорфенил)пиразол-3-ил]окси-2-метоксиимино-N,3-диметилпент-3-енамид (А.1.34), (Z,2E)-5-[1-(4-хлорфенил)пиразол-3-ил]окси-2-метоксиимино-N,3-диметилпент-3-енамид (А.1.35), пириминостробин (А.1.36), бифуджунжи (А.1.37), метиловый эфир 2-(орто-((2,5-диметилфенилоксиметилен)фенил)-3-метоксиакриловой кислоты (А.1.38);
- ингибиторы комплекса III в Qi сайте: циазофамид (А.2.1), амисульбром (А.2.2), [(6S,7R,8R)-8-бензил-3-[(3-гидрокси-4-метоксипиридин-2-карбонил)амино]-6-метил-4,9-диоксо-1,5-диоксонан-7-ил] 2-метилпропаноат (А.2.3), фенпикоксамид (А.2.4);
- ингибиторы комплекса II: беноданил (А.3.1), бензовиндифлупир (А.3.2), биксафен (А.3.3), боскалид (А.3.4), карбоксин (А.3.5), фенфурам (А.3.6), флуопирам (А.3.7), флутоланил (А.3.8), флуксапироксад (А.3.9), фураметпир (А.3.10), изофетамид (А.3.11), изопиразам (А.3.12), мепронил (А.3.13), оксикарбоксин (А.3.14), пенфлуфен (А.3.15), пентиопирад (А.3.16), пидифлуметофен (А.3.17), пиразифлумид (А.3.18), седаксан (А.3.19), теклофталам (А.3.20), тифлузамид (А.3.21), инпирфлуксам (А.3.22), пирапропоин (А.3.23), флуиндапир (А.3.28), метил (E)-2-[2-[(5-циано-2-метилфенокси)метил]фенил]-3-метоксипроп-2-еноат (А.3.30), изофлуципрам (А.3.31), 2-(дифторметил)-N-(1,1,3-триметилиндан-4-ил)пиридин-3-карбоксамид (А.3.32), 2-(дифторметил)-N-[(3R)-1,1,3-триметилиндан-4-ил]пиридин-3-карбоксамид (А.3.33), 2-(дифторметил)-N-(3-этил-1,1-диметилиндан-4-ил)пиридин-3-карбоксамид (А.3.34), 2-(дифторметил)-N-[(3R)-3-этил-1,1-диметилиндан-4-ил]пиридин-3-карбоксамид (А.3.35), 2-(дифторметил)-N-(1,1-диметил-3-пропилиндан-4-ил)пиридин-3-карбоксамид (А.3.36), 2-(дифторметил)-N-[(3R)-1,1-диметил-3-пропилиндан-4-ил]пиридин-3-карбоксамид (А.3.37), 2-(дифторметил)-N-(3-изобутил-1,1-диметилиндан-4-ил)пиридин-3-карбоксамид (А.3.38), 2-(дифторметил)-N-[(3R)-3-изобутил-1,1-диметилиндан-4-ил]пиридин-3-карбоксамид (А.3.39);
- другие ингибиторы дыхания: дифлуметорим (А.4.1); производные нитрофенила: бинапакрил (А.4.2), динобутон (А.4.3), динокап (А.4.4), флуазинам (А.4.5), мептилдинокап (А.4.6), феримзон (А.4.7); металлоорганические соединения: соли фентина, например, фентинацетат (А.4.8), фентинхлорид (А.4.9) или фентингидроксид (А.4.10); аметокрадин (А.4.11); силтиофам (А.4.12);
В) Ингибиторы биосинтеза стерина (фунгициды ИБС)
- ингибиторы С14 деметилазы: триазолы: азаконазол (В.1.1), битертанол (В.1.2), бромуконазол (В.1.3), ципроконазол (В.1.4), дифеноконазол (В.1.5), диниконазол (В.1.6), диниконазол-М (В.1.7), эпоксиконазол (В.1.8), фенбуконазол (В.1.9), флуквинконазол (В.1.10), флузилазол (В.1.11), флутриафол (В.1.12), гексаконазол (В.1.13), имибенконазол (В.1.14), ипконазол (В.1.15), метконазол (В.1.17), миклобутанил (В.1.18), окспоконазол (В.1.19), паклобутразол (В.1.20), пенконазол (В.1.21), пропиконазол (В.1.22), протиоконазол (В.1.23), симеконазол (В.1.24), тебуконазол (В.1.25), тетраконазол (В.1.26), триадимефон (В.1.27), триадименол (В.1.28), тритиконазол (В.1.29), униконазол (В.1.30), 2-(2,4-дифторфенил)-1,1-дифтор-3-(тетразол-1-ил)-1-[5-[4-(2,2,2-трифторэтокси)фенил]-2-пиридил]пропан-2-ол (В.1.31), 2-(2,4-дифторфенил)-1,1-дифтор-3-(тетразол-1-ил)-1-[5-[4-(трифторметокси)фенил]-2-пиридил]пропан-2-ол (В.1.32), ипфентрифлуконазол (В.1.37), мефентрифлуконазол (В.1.38), 2-(хлорметил)-2-метил-5-(и-толилметил)-1-(1,2,4-триазол-1-илметил)циклопентанол (В.1.43); имидазолы: имазалил (В.1.44), пефуразоат (В.1.45), прохлораз (В.1.46), трифлумизол (В.1.47); пиримидины, пиридины, пиперазины: фенаримол (В.1.49), пирифенокс (В.1.50), трифорин (В.1.51), [3-(4-хлор-2-фторфенил)-5-(2,4-дифторфенил)изоксазол-4-ил]-(3-пиридил)метанол (В.1.52);
- Ингибиторы дельта-14-редуктазы: алдиморф (В.2.1), додеморф (В.2.2), додеморф-ацетат (В.2.3), фенпропиморф (В.2.4), тридеморф (В.2.5), фенпропидин (В.2.6), пипералин (В.2.7), спироксамин (В.2.8);
- Ингибиторы 3-кеторедуктазы: фенгексамид (В.3.1);
- Другие ингибиторы биосинтеза стеринов: хлорфеномизол (В.4.1);
C) Ингибиторы синтеза нуклеиновых кислот
- фениламидные или ациламинокислотные фунгициды: беналаксил (С.1.1), беналаксил-М (С.1.2), киралаксил (С.1.3), металаксил (С.1.4), металаксил-М (С.1.5), офураце (С.1.6), оксадиксил (С.1.7);
- другие ингибиторы синтеза нуклеиновых кислот: гимексазол (С.2.1), октилинон (С.2.2), оксолиновая кислота (С.2.3), бупиримат (С.2.4), 5-фторцитозин (С.2.5), 5-фтор-2-(и-толилметокси)пиримидин-4-амин (С.2.6), 5-фтор-2-(4-фторфенилметокси)пиримидин-4-амин (С.2.7), 5-фтор-2-(4-хлорфенилметокси)пиримидин-4-амин (С.2.8);
D) Ингибиторы деления клеток и цитоскелета
- ингибиторы тубулина: беномил (D.1.1), карбендазим (D.1.2), фуберидазол (D1.3), тиабендазол (D.1.4), тиофанат-метил (D.1.5), 3-хлор-4-(2,6-дифторфенил)-6-метил-5-фенилпиридазин (D.1.6), 3-хлор-6-метил-5-фенил-4-(2,4,6-трифторфенил)пиридазин (D.1.7), N-этил-2-[(3-этинил-8-метил-6-хинолил)окси]бутанамид (D.1.8), N-этил-2-[(3-этинил-8-метил-6-хинолил)окси]-2-метилсульфанилацетамид (D.1.9), 2-[(3-этинил-8-метил-6-хинолил)окси]-N-(2-фторэтил)бутанамид (D.1.10), 2-[(3-этинил-8-метил-6-хинолил)окси]-N-(2-фторэтил)-2-метоксиацетамид (D.1.11), 2-[(3-этинил-8-метил-6-хинолил)окси]-N-пропилбутанамид (D.1.12), 2-[(3-этинил-8-метил-6-хинолил)окси]-2-метокси-N-пропилацетамид (D.1.13), 2-[(3-этинил-8-метил-6-хинолил)окси]-2-метилсульфанил-N-пропилацетамид (D.1.14), 2-[(3-этинил-8-метил-6-хинолил)окси]-N-(2-фторэтил)-2-метилсульфанилацетамид (D.1.15), 4-(2-бром-4-фторфенил)-N-(2-хлор-6-фторфенил)-2,5-диметилпиразол-3-амин (D.1.16);
- другие ингибиторы деления клеток: диэтофенкарб (D.2.1), этабоксам (D.2.2), пенцикурон (D.2.3), флупиколид (D.2.4), зоксамид (D.2.5), метрафенон (D.2.6), пириофенон (D.2.7);
E) Ингибиторы синтеза аминокислот и белков
- ингибиторы синтеза метионина: ципродинил (Е.1.1), мепанипирим (Е.1.2), пириметанил (Е.1.3);
- ингибиторы синтеза белков: бластицидин-S (Е.2.1), казугамицин (Е.2.2), гидрохлорид-гидрат казугамицина (Е.2.3), милдиомицин (Е.2.4), стрептомицин (Е.2.5), окситетрациклин (Е.2.6);
F) Ингибиторы сигнальной трансдукции
- Ингибиторы МАР-киназы/гистидин-киназы: фторимид (F.1.1), ипродион (F.1.2), процимидон (F.1.3), винклозолин (F.1.4), флудиоксонил (F.1.5);
- Ингибиторы G белков: квиноксифен (F.2.1);
G) Ингибиторы липидного и мембранного синтеза
- ингибиторы биосинтеза фосфолипидов: эдифенфос (G.1.1), ипробенфос (G.1.2), пиразофос (G.1.3), изопротиолан (G.1.4);
- ингибиторы перекисного окисления липидов: диклоран (G.2.1), квинтозен (G.2.2), текназен (G.2.3), толклофос-метил (G.2.4), бифенил (G.2.5), хлорнеб (G.2.6), этридиазол (G.2.7);
- биосинтеза фосфолипидов и отложения клеточной оболочки: диметоморф (G.3.1), флуморф (G.3.2), мандипропамид (G.3.3), пириморф (G.3.4), бентиаваликарб (G.3.5), ипроваликарб (G.3.6), валифеналат (G.3.7);
- соединения, повреждающие проницаемость клеточной мембраны и жирные кислоты: пропамокарб (G.4.1);
- ингибиторы оксистерол-связывающего белка: оксатиапипролин (G.5.1), 2-{3-[2-(1-{[3,5-бис(дифторметил-1H-пиразол-1-ил]ацетил}пиперидин-4-ил)-1,3-тиазол-4-ил]-4,5-дигидро-1,2-оксазол-5-ил} фенилметансульфонат (G.5.2), 2-{3-[2-(1-{[3,5-бис(дифторметил)-1H-пиразол-1-ил]ацетил}пиперидин-4-ил) 1,3-тиазол-4-ил]-4,5-дигидро-1,2-оксазол-5-ил}-3-хлорфенил метансульфонат (G.5.3), 4-[1-[2-[3-(дифторметил)-5-метилпиразол-1-ил]ацетил]-4-пиперидил]-N-тетралин-1-илпиридин-2-карбоксамид (G.5.4), 4-[1-[2-[3,5-бис(дифторметил)пиразол-1-ил]ацетил]-4-пиперидил]-N-тетралин-1-илпиридин-2-карбоксамид (G.5.5), 4-[1-[2-[3-(дифторметил)-5-(трифторметил)пиразол-1-ил]ацетил]-4-пиперидил]-N-тетралин-1-илпиридин-2-карбоксамид (G.5.6), 4-[1-[2-[5-циклопропил-3-(дифторметил)пиразол-1-ил]ацетил]-4-пиперидил]-N-тетралин-1-илпиридин-2-карбоксамид (G.5.7), 4-[1-[2-[5-метил-3-(трифторметил)пиразол-1-ил]ацетил]-4-пиперидил]-N-тетралин-1-илпиридин-2-карбоксамид (G.5.8), 4-[1-[2-[5-(дифторметил)-3-(трифторметил)пиразол-1-ил]ацетил]-4-пиперидил]-N-тетралин-1-илпиридин-2-карбоксамид (G.5.9), 4-[1-[2-[3,5-бис(трифторметил)пиразол-1-ил]ацетил]-4-пиперидил]-N-тетралин-1-илпиридин-2-карбоксамид (G.5.10), (4-[1-[2-[5-циклопропил-3-(трифторметил)пиразол-1-ил]ацетил]-4-пиперидил]-N-тетралин-1-илпиридин-2-карбоксамид (G.5.11);
H) Ингибиторы с многосторонним действием:
- неорганические действующие вещества: бордосская смесь (Н.1.1), медь (Н.1.2), ацетат меди (Н.1.3), гидроксид меди (Н.1.4), оксихлорид меди (Н.1.5), основный сульфат меди (Н.1.6), сера (Н.1.7);
- тио- и дитиокарбаматы: фербам (Н.2.1), манкозеб (Н.2.2), манеб (Н.2.3), метам (Н.2.4), метирам (Н.2.5), пропинеб (Н.2.6), тирам (Н.2.7), цинеб (Н.2.8), цирам (Н.2.9);
- хлорорганические соединения: анилазин (Н.3.1), хлороталонил (Н.3.2), каптафол (Н.3.3), каптан (Н.3.4), фолпет (Н.3.5), дихлофлуанид (Н.3.6), дихлорофен (Н.3.7), гексахлорбензол (Н.3.8), пентахлорфенол (Н.3.9) и его соли, фталид (Н.3.10), толилфлуанид (Н.3.11);
- гуанидины и другие: гуанидин (Н.4.1), додин (Н.4.2), додин свободное основание (Н.4.3), гуазатин (Н.4.4), гуазатин-ацетат (Н.4.5), иминоктадин (Н.4.6), иминоктадин-триацетат (Н.4.7), иминоктадин-трис(албезилат) (Н.4.8), дитианон (Н.4.9), 2,6-диметил-1H,5H-[1,4]дитиино[2,3-с:5,6-с']дипиррол-1,3,5,7(2H,6H)-тетраон (Н.4.10);
I) Ингибиторы синтеза клеточной оболочки
- ингибиторы синтеза глюкана: валидамицин (I.1.1), полиоксин В (I.1.2);
- ингибиторы синтеза меланина: пироквилон (I.2.1), трициклазол (I.2.2), карпропамид (I.2.3), дицикломет (I.2.4), феноксанил (I.2.5);
J) Индукторы защиты растений
- ацибензолар-S-метил (J.1.1), пробеназол (J.1.2), изотианил (J.1.3), тиадинил (J.1.4), прогексадион-кальций (J.1.5); фосфонаты: фосэтил (J.1.6), фосэтил-алюминий (J.1.7), фосфористая кислота и ее соли (J.1.8), фосфонат кальция (J.1.11), фосфонат калия (J.1.12), бикарбонат калия или натрия (J.1.9), 4-циклопропил-N-(2,4-диметоксифенил)тиадиазол-5-карбоксамид (J.1.10);
K) Неизвестный механизм действия
- бронопол (K.1.1), хинометионат (K.1.2), цифлуфенамид (K.1.3), цимоксанил (K.1.4), дазомет (K.1.5), дебакарб (K.1.6), диклоцимет (K.1.7), дикломезин (K.1.8), дифензокват (K.1.9), дифензокват-метилсульфат (K.1.10), дифениламин (K.1.11), фенитропан (K.1.12), фенпиразамин (K.1.13), флуметовер (K.1.14), флусульфамид (K.1.15), флутианил (K.1.16), гарпин (K.1.17), метасульфокарб (K.1.18), нитрапирин (K.1.19), нитротал-изопропил (K.1.20), толпрокарб (K.1.21), оксин-медь (K.1.22), проквиназид (K.1.23), тебуфлоквин (K.1.24), теклофталам (K.1.25), триазоксид (K.1.26), N'-(4-(4-хлор-3-трифторметилфенокси)-2,5-диметилфенил)-N-этил-N-метилформамидин (K.1.27), N'-(4-(4-фтор-3-трифторметилфенокси)-2,5-диметилфенил)-N-этил-N-метилформамидин (K.1.28), N'-[4-[[3-[(4-хлорфенил)метил]-1,2,4-тиадиазол-5-ил]окси]-2,5-диметилфенил]-N-этил-N-метилформамидин (K.1.29), N'-(5-бром-6-индан-2-илокси-2-метил-3-пиридил)-N-этил-N-метилформамидин (K.1.30), N'-[5-бром-6-[1-(3,5-дифторфенил)этокси]-2-метил-3-пиридил]-N-этил-N-метилформамидин (K.1.31), N'-[5-бром-6-(4-изопропилциклогексокси)-2-метил-3-пиридил]-N-этил-N-метилформамидин (K.1.32), N'-[5-бром-2-метил-6-(1-фенилэтокси)-3-пиридил]-N-этил-N-метилформамидин (K.1.33), N'-(2-метил-5-трифторметил-4-(3-триметилсиланилпропокси)-фенил)-N-этил-N-метилформамидин (K.1.34), N'-(5-дифторметил-2-метил-4-(3-триметилсиланилпропокси)-фенил)-N-этил-N-метил формамидин (K.1.35), 2-(4-хлорфенил)-N-[4-(3,4-диметоксифенил)-изоксазол-5-ил]-2-проп-2-инилоксиацетамид (K.1.36), 3-[5-(4-хлорфенил)-2,3-диметилизоксазолидин-3-ил]-пиридин (пиризоксазол) (K.1.37), 3-[5-(4-метилфенил)-2,3-диметилизоксазолидин-3-ил]-пиридин (K.1.38), 5-хлор-1-(4,6-диметокси-пиримидин-2-ил)-2-метил-1H-бензоимидазол (K.1.39), этил (Z)-3-амино-2-циано-3-фенилпроп-2-еноат (K.1.40), пикарбутразокс (K.1.41), пентил N-[6-[[(Z)-[(1-метилтетразол-5-ил)-фенилметилен]амино]оксиметил]-2-пиридил]карбамат (K.1.42), бут-3-инил N-[6-[[(Z)-[(1-метилтетразол-5-ил)-фенилметилен]амино]оксиметил]-2-пиридил]карбамат (K.1.43), 2-[2-[(7,8-дифтор-2-метил-3-хинолил)окси]-6-фторфенил]пропан-2-ол (K.1.44), 2-[2-фтор-6-[(8-фтор-2-метил-3-хинолил)окси]фенил]пропан-2-ол (K.1.45), квинофумелин (K.1.47), 9-фтор-2,2-диметил-5-(3-хинолил)-3H-1,4-бензоксазепин (K.1.49), 2-(6-бензил-2-пиридил)хиназолин (K.1.50), 2-[6-(3-фтор-4-метоксифенил)-5-метил-2-пиридил]хиназолин (K.1.51), дихлобентиазокс (K.1.52), N'-(2,5-диметил-4-феноксифенил)-N-этил-N-метилформамидин (K.1.53), пирифенамин (K.1.54).
L) Биопестициды
L1) Микробные пестициды с фунгицидной, бактерицидной, вирулицидной и/или активирующей защиту растений активностью: Ampelomyces quisqualis, Aspergillus flavus, Aureobasidium pullulans, Bacillus altitudinis, B. amyloliquefaciens, B. megaterium, B. mojavensis, B. mycoides, B. pumilus, B. simplex, B. solisalsi, B. subtilis, B. subtilis var. amyloliquefaciens, Candida oleophila, C. saitoana, Clavibacter michiganensis (бактериофаги), Coniothyrium minitans, Cryphonectria parasitica, Cryptococcus albidus, Dilophosphora alopecuri, Fusarium oxysporum, Clonostachys rosea f. catenulate (также называемый Gliocladium catenulatum), Gliocladium roseum, Lysobacter antibioticus, L. enzymogenes, Metschnikowia fructicola, Microdochium dimerum, Microsphaeropsis ochracea, Muscodor albus, Paenibacillus alvei, Paenibacillus epiphyticus, P. polymyxa, Pantoea vagans, Penicillium bilaiae, Phlebiopsis gigantea, Pseudomonas sp., Pseudomonas chioraphis, Pseudozyma flocculosa, Pichia anomala, Pythium oligandrum, Sphaerodes mycoparasitica, Streptomyces griseoviridis, S. lydicus, S. violaceusniger, Talaromyces flavus, Trichoderma asperelloides, T. asperellum, T. atroviride, T. fertile, T. gamsii, T. harmatum, T. harzianum, T. polysporum, T. stromaticum, T. virens, T. viride, Typhula phacorrhiza, Ulocladium oudemansii, Verticillium dahlia, вирус желтой мозаики цуккини (авирулентный штамм);
L2) Биохимические пестициды с фунгицидной, бактерицидной, вирулицидной и/или активирующей защиту растений активностью: белок гарпин, экстракт Reynoutria sachalinensis;
L3) Микробные пестициды с инсектицидной, акарицидной, моллюскоцидной и/или нематоцидной активностью: Agrobacterium radiobacter, Bacillus cereus, В. firmus, В. thuringiensis, В. thuringiensis ssp.aizawai, B. t. ssp.israelensis, B. t. ssp.galleriae, B. t. ssp.kurstaki, B. t. ssp. tenebrionis, Beauveria bassiana, B. brongniartii, Burkholderia spp., Chromobacterium subtsugae, Cydia pomonella грануловирус (CpGV), Cryptophlebia leucotreta грануловирус (CrleGV), Flavobacterium spp., Helicoverpa armigera вирус ядерного полиэдроза (HearNPV), Helicoverpa zea вирус ядерного полиэдроза (HzNPV), Helicoverpa zea отдельный капсид вируса ядерного полиэдроза (HzSNPV), Heterorhabditis bacteriophora, Isaria fumosorosea, Lecanicillium longisporum, L. muscarium, Metarhizium anisopliae, M. anisopliae var. anisopliae, M. anisopliae var. acridum, Nomuraea rileyi, Paecilomyces fumosoroseus, P. lilacinus, Paenibacillus popilliae, Pasteuria spp., P. nishizawae, P. penetrans, P. ramosa, P. thornea, P. usgae, Pseudomonas fluorescens, Spodoptera littoralis вирус ядерного полиэдроза (SpliNPV), Steinernema carpocapsae, S. feltiae, S. kraussei, Streptomyces galbus, S. microflavus;
L4) Биохимические пестициды с инсектицидной, акарицидной, моллюскоцидной, феромоновой и/или нематоцидной активностью: L-карвон, цитраль, (E,Z)-7,9-додекадиен-1-ил ацетат, этилформиат, (E,Z)-2,4-этил декадиеноат (грушевый сложный эфир), (Z,Z,E)-7,11,13-гексадекатриеналь, гептилбутират, изопропилмиристат, сенециоат лавандулила, цис-жасмон, 2-метил-1-бутанол, метилэвгенол, метилжасмонат, (E,Z)-2,13-октадекадиен-1-ол, ацетат (E,Z)-2,13-октадекадиен-1-ола, (E,Z)-3,13-октадекадиен-1-ол, (R)-1-октен-3-ол, пентатерманон, ацетат (E,Z,Z)-3,8,11-тетрадекатриенила, ацетат (Z,E)-9,12-тетрадекадиен-1-ила, (Z)-7-тетрадецен-2-он, ацетат (Z)-9-тетрадецен-1-ила, (Z)-11-тетрадеценаль, (Z)-11-тетрадецен-1-ол, экстракт Chenopodium ambrosiodes, масло семян маргозы, экстракт квиллайи;
L5) Микробные пестициды со снижающей стресс растений, регулирующей рост растений, стимулирующей рост растений и/или увеличивающей урожайность растений активностью: Azospirillum amazonense, A. brasilense, А. lipoferum, A. irakense, A. halopraeferens, Bradyrhizobium spp., В. elkanii, В. japonicum, В. liaoningense, В. lupini, Delftia acidovorans, Glomus intraradices, Mesorhizobium spp., Rhizobium leguminosarum bv. phaseoli, R. l. bv. trifolii, R. l. bv. viciae, R. tropici, Sinorhizobium meliloti;
M) Инсектициды
M.l) Ингибиторы ацетилхолинэстеразы (AChE): M.1A карбаматы, например, алдикарб, аланикарб, бендиокарб, бенфуракарб, бутокарбоксим, бутоксикарбоксим, карбарил, карбофуран, карбосульфан, этиофенкарб, фенобукарб, форметанат, фуратиокарб, изопрокарб, метиокарб, метомил, метолкарб, оксамил, пиримикарб, пропоксур, тиодикарб, тиофанокс, триметакарб, ХМС, ксилилкарб и триазамат; или М.1В фосфорорганические соединения, например, ацефат, азаметифос, азинфос-этил, азинфосметил, кадузафос, хлорэтоксифос, хлорфенвинфос, хлормефос, хлорпирифос, хлорпирифос-метил, кумафос, цианофос, деметон-S-метил, диазинон, дихлорвос/DDVP, дикротофос, диметоат, диметилвинфос, дисульфотон, EPN, этион, этопрофон, фамфур, фенамифос, фенитротион, фентион, фостиазат, гептенофос, имициафос, изофенфос, изопропил О-(метоксиаминотио-фосфорил) салицилат, изоксатион, малатион, мекарбам, метамидофос, метидатион, мевинфос, монокротофос, налед, ометоат, оксидеметон-метил, паратион, паратион-метил, фентоат, форат, фосалон, фосмет, фосфамидон, фоксим, пиримфос-метил, профенофос, пропетамфос, протиофос, пираклофос, пиридафентион, квиналфос, сульфотеп, тебупиримфос, темефос, тербуфос, тетрахлорвинфос, тиометон, триазофос, трихлорфон и вамидотион;
М.2) Антагонисты регулируемых ГАМК хлоридных каналов: М.2А циклодиеновые хлорорганические соединения, например, эндосульфан или хлордан; или М.2В фипролы (фенилпиразолы), например, этипрол, фипронил, флуфипрол, пирафлупрол и пирипрол;
М.3) Модуляторы натриевых каналов из класса М.3А пиретроидов, например, акринатрин, аллетрин, d-цис-транс аллетрин, d-транс аллетрин, бифентрин, каппа-бифентрин, биоаллетрин, биоаллетрин S-циклопентенил, биоресметрин, циклопротрин, цифлутрин, бета-цифлутрин, цигалотрин, лямбда-цигалотрин, гамма-цигалотрин, циперметрин, альфа-циперметрин, бета-циперметрин, тета-циперметрин, зета-циперметрин, цифенотрин, дельтаметрин, эмпентрин, эсфенвалерат, этофенпрокс, фенпропатрин, фенвалерат, флуцитринат, флуметрин, тау-флувалинат, галфенпрокс, гептафлутрин, имипротрин, меперфлутрин, метофлутрин, момфтортрин, ипсилон-момфтортрин, перметрин, фенотрин, праллетрин, профлутрин, пиретрин (пиретрум), ресметрин, силафлуофен, тефлутрин, каппа-тефлутрин, тетраметилфлутрин, тетраметрин, тралометрин и трансфлутрин; или М.3В модуляторы натриевых каналов, такие как DDT или метоксихлор;
М.4) Агонисты никотинового ацетилхолинового рецептора (nAChR): М.4А неоникотиноиды, например, ацетамиприд, клотианидин, циклоксаприд, динотефуран, имидаклоприд, нитенпирам, тиаклоприд и тиаметоксам; или соединения М.4А.1 4,5-дигидро-N-нитро-1-(2-оксиранилметил)-1Н-имидазол-2-амин, М.4А.2: (2Е-)-1-[(6-хлорпиридин-3-ил)метил]-N'-нитро-2-пентилиденгидразинкарбоксимидамид; или М4.А.3: 1-[(6-хлорпиридин-3-ил)метил]-7-метил-8-нитро-5-пропокси-1,2,3,5,6,7-гексагидроимидазо[1,2-а]пиридин; или М.4В никотин; М.4С сульфоксафлор; M.4D флупирадифурон; М.4Е трифлумезопирим;
М.5) Аллостерические активаторы никотинового ацетилхолинового рецептора: спинозины, например, спиносад или спинеторам;
М.6) Активаторы хлоридных каналов из класса авермектинов и милбемицинов, например, абамектин, эмамектин бензоат, ивермектин, лепимектин или милбемектин;
М.7) Миметики ювенильных гормонов, такие как М.7А аналоги ювенильных гормонов, например, гидропрен, кинопрен и метопрен; или М.7В феноксикарб или М.7С пирипроксифен;
М.8) Смешанные неспецифические (многостороннего действия) ингибиторы, например, М.8А алкилгалогениды, такие как, метилбромид и другие алкилгалогениды, М.8В хлорпикрин, М.8С сульфурилфторид, M.8D бура или М.8Е антимонил-тартрат калия;
М.9) Модуляторы TRPV каналов хордотональных органов, например, М.9В пиметрозин; пирифлуквиназон;
М.10) Ингибиторы роста клещей, например, M.10A клофентезин, гекситиазокс и дифловидазин, или М.10В этоксазол;
М.11) Микробные разрушители мембран средней кишки насекомых, например, bacillus thuringiensis или bacillus sphaericus и инсектицидные белки, которые они производят, такие как bacillus thuringiensis subsp.israelensis, bacillus sphaericus, bacillus thuringiensis subsp.aizawai, bacillus thuringiensis subsp.kurstaki и bacillus thuringiensis subsp.tenebrionis, или Bt белки сельскохозяйственных культур: Cry1Ab, Cry1Ac, Cry1Fa, Cry2Ab, mCry3A, Cry3Ab, Cry3Bb и Cry34/35Ab1;
М.12) Ингибиторы митохондриальной АТФ-синтазы, например, М.12А диафентиурон, или М.12В оловоорганические акарициды, такие как азоциклотин, цигексатин или фенбутатин оксид, М.12С пропаргит или M.12D тетрадифон;
М.13) Разобщители окислительного фосфорилирования посредством разрушения протонного градиента, например, хлорфенапир, DNOC или сульфурамид;
М.14) Блокаторы каналов никотинового ацетилхолинового рецептора (nAChR), например, аналоги нереистоксина, такие как бенсультап, картап гидрохлорид, тиоциклам или тиосультап натрия;
М.15) Ингибиторы биосинтеза хитина типа 0, такие как бензоилмочевины, как например, бистрифлурон, хлорфлуазурон, дифлубензурон, флуциклоксурон, флуфеноксурон, гексафлумурон, луфенурон, новалурон, новифлумурон, тефлубензурон или трифлумурон;
М.16) Ингибиторы биосинтеза хитина типа 1, такие как, например, бупрофезин;
М.17) Разрушители линьки двукрылых насекомых, например, циромазин;
М.18) Агонисты рецептора экдизона, такие как диацилгидразины, например, метоксифенозид, тебуфенозид, галофенозид, фуфенозид или хромафенозид;
М.19) Агонисты рецептора октопамина, как например, амитраз;
М.20) Ингибиторы переноса электронов митохондриального комплекса III, например, М.20А гидраметилнон, М.20В ацеквиноцил, М.20С флуакрипирим; или M.20D бифеназат;
М.21) Ингибиторы переноса электронов митохондриального комплекса I, например, М.21А METI акарициды и инсектициды, такие как феназаквин, фенпироксимат, пиримифиден, пиридабен, тебуфенпирад или толфенпирад, или М.21В ротенон;
М.22) Блокаторы потенциалзависимых натриевых каналов, например, М.22А индоксакарб, М.22В метафлумизон, или М.22В.1: 2-[2-(4-цианофенил)-1-[3-(трифторметил)фенил]этилиден]-N-[4-(дифторметокси)фенил]-гидразинкарбоксамид или М.22В.2: N-(3-хлор-2-метилфенил)-2-[(4-хлорфенил)[4-[метил(метилсульфонил)амино]фенил]метилен]-гидразинкарбоксамид;
М.23) Ингибиторы ацетил-КоА-карбоксилазы, такие как производные тетроновой и тетрамовой кислоты, например, спиродиклофен, спиромезифен или спиротетрамат; М.23.1 спиропидион;
М.24) Ингибиторы переноса электронов митохондриального комплекса IV, например, М.24А фосфин, такой как фосфид алюминия, фосфид кальция, фосфин или фосфид цинка, или М.24В цианид;
М.25) Ингибиторы переноса электронов митохондриального комплекса II, такие как производные бета-кетонитрила, например, циенопирафен или цифлуметофен;
М.28) Модуляторы рианодиновых рецепторов из класса диамидов, например, флубенамид, хлорантранилипрол, циантранилипрол, тетранилипрол, М.28.1: (R)-3-хлор-N1-{2-метил-4-[1,2,2,2-тетрафтор-1-(трифторметил)этил]фенил}-N2-(1-метил-2-метилсульфонилэтил)фталамид, М.28.2: (S)-3-хлор-N1-{2-метил-4-[1,2,2,2-тетрафтор-1-(трифторметил)этил]фенил}-N2-(1-метил-2-метилсульфонилэтил)фталамид, М.28.3: цикланилипрол, или М.28.4: метил-2-[3,5-дибром-2-({[3-бром-1-(3-хлорпиридин-2-ил)-1Н-пиразол-5-ил]карбонил}амино)бензоил]-1,2-диметилгидразинкарбоксилат; или М.28.5а)]N-[4,6-дихлор-2-[(диэтил-лямбда-4-сульфанилиден)карбамоил]-фенил]-2-(3-хлор-2-пиридил)-5-(трифторметил)пиразол-3-карбоксамид; М.28.5b) N-[4-хлор-2-[(диэтил-лямбда-4-сульфанилиден)карбамоил]-6-метилфенил]-2-(3-хлор-2-пиридил)-5-(трифторметил)пиразол-3-карбоксамид; М.28.5с) N-[4-хлор-2-[(ди-2-пропил-лямбда-4-сульфанилиден)карбамоил]-6-метилфенил]-2-(3-хлор-2-пиридил)-5-(трифторметил)пиразол-3-карбоксамид; M.28.5d) N-[4,6-дихлор-2-[(ди-2-пропил-лямбда-4-сульфанилиден)карбамоил]-фенил]-2-(3-хлор-2-пиридил)-5-(трифторметил)пиразол-3-карбоксамид; M.28.5h) N-[4,6-дибром-2-[(диэтил-лямбда-4-сульфанилиден)карбамоил]-фенил]-2-(3-хлор-2-пиридил)-5-(трифторметил)пиразол-3-карбоксамид; M.28.5i) N-[2-(5-амино-1,3,4-тиадиазол-2-ил)-4-хлор-6-метилфенил]-3-бром-1-(3-хлор-2-пиридинил)-1Н-пиразол-5-карбоксамид; M.28.5J) 3-хлор-1-(3-хлор-2-пиридинил)-N-[2,4-дихлор-6-[[(1-циано-1-метилэтил)амино]карбонил]фенил]-1Н-пиразол-5-карбоксамид; М.28.5k) 3-бром-N-[2,4-дихлор-6-(метилкарбамоил)фенил]-1-(3,5-дихлор-2-пиридил)-1Н-пиразол-5-карбоксамид; М.28.51) N-[4-хлор-2-[[(1,1-диметилэтил)амино]карбонил]-6-метилфенил]-1-(3-хлор-2-пиридинил)-3-(фторметокси)-1Н-пиразол-5-карбоксамид; или М.28.6: цигалодиамид; или
М.29) Модуляторы хордотональных органов - неопределенный участок-мишень, например, флоникамид;
M.UN. Инсектицидные активные соединения неизвестного или неопределенного механизма действия, например, афидопиропен, афоксоланер, азадирахтин, амидофлумет, бензоксимат, брофланилид, бромпропилат, хинометионат, криолит, диклоромезотиаз, дикофол, флуфенерим, флометоквин, флуенсульфон, флугексафон, флуопирам, флураланер, метальдегид, метоксадиазон, пиперонил бутоксид, пифлубумид, пиридалил, тиоксазафен,
M.UN.3: 11-(4-хлор-2,6-диметилфенил)-12-гидрокси-1,4-диокса-9-азадиспиро[4.2.4.2]-тетрадец-11-ен-10-он,
M.UN.4: 3-(4'-фтор-2,4-диметилбифенил-3-ил)-4-гидрокси-8-окса-1-азаспиро[4.5]дец-3-ен-2-он,
M.UN.5: 1-[2-фтор-4-метил-5-[(2,2,2-трифторэтил)сульфинил]фенил]-3-(трифторметил)-1Н-1,2,4-триазол-5-амин, или активные вещества на основе bacillus firmus (Вотиво, I-1582);
M.UN.6: флупиримин;
M.UN.8: флуазаиндолизин; M.UN.9.a): 4-[5-(3,5-дихлорфенил)-5-(трифторметил)-4Н-изоксазол-3-ил]-2-метил-N-(1-оксотиэтан-3-ил)бензамид;
M.UN.9.b): флуксаметамид;
M.UN.10: 5-[3-[2,6-дихлор-4-(3,3-дихлораллилокси)фенокси]пропокси]-1Н-пиразол;
M.UN.11.i) 4-циано-N-[2-циано-5-[[2,6-дибром-4-[1,2,2,3,3,3-гексафтор-1-(трифторметил)пропил]фенил]карбамоил]фенил]-2-метилбензамид; M.UN.11.j) 4-циано-3-[(4-циано-2-метилбензоил)амино]-N-[2,6-дихлор-4-[1,2,2,3,3,3-гексафтор-1-(трифторметил)пропил]фенил]-2-фторбензамид; M.UN.11.k) N-[5-[[2-хлор-6-циано-4-[1,2,2,3,3,3-гексафтор-1-(трифторметил)пропил]фенил]карбамоил]-2-цианофенил]-4-циано-2-метилбензамид; M.UN.11.l) N-[5-[[2-бром-6-хлор-4-[2,2,2-трифтор-1-гидрокси-1-(трифторметил)этил]фенил]карбамоил]-2-цианофенил]-4-циано-2-метилбензамид; M.UN.11.m) N-[5-[[2-бром-6-хлор-4-[1,2,2,3,3,3-гексафтор-1-(трифторметил)пропил]фенил]карбамоил]-2-цианофенил]-4-циано-2-метилбензамид; M.UN.11.n) 4-циано-N-[2-циано-5-[[2,6-дихлор-4-[1,2,2,3,3,3-гексафтор-1-(трифторметил)пропил]фенил]карбамоил] фенил]-2-метилбензамид; M.UN.11.о) 4-циано-N-[2-циано-5-[[2,6-дихлор-4-[1,2,2,2-тетрафтор-1-(трифторметил)этил]фенил]карбамоил]фенил]-2-метилбензамид; M.UN.11.p) N-[5-[[2-бром-6-хлор-4-[1,2,2,2-тетрафтор-1-(трифторметил)этил]фенил]карбамоил]-2-цианофенил]-4-циано-2-метилбензамид; или
M.UN.12.а) 2-(1,3-диоксан-2-ил)-6-[2-(3-пиридинил)-5-тиазолил]-пиридин; M.UN.12.b) 2-[6-[2-(5-фтор-3-пиридинил)-5-тиазолил]-2-пиридинил]-пиримидин; M.UN.12.с) 2-[6-[2-(3-пиридинил)-5-тиазолил]-2-пиридинил]-пиримидин; M.UN.12.d) N-метилсульфонил-6-[2-(3-пиридил)тиазол-5-ил]пиридин-2-карбоксамид; M.UN.12.е) N-метилсульфонил-6-[2-(3-пиридил)тиазол-5-ил]пиридин-2-карбоксамид;
М.UN.14а) 1-[(6-хлор-3-пиридинил)метил]-1,2,3,5,6,7-гексагидро-5-метокси-7-метил-8-нитроимидазо[1,2-а]пиридин; или M.UN.14b) 1-[(6-хлорпиридин-3-ил)метил]-7-метил-8-нитро-1,2,3,5,6,7-гексагидроимидазо[1,2-а]пиридин-5-ол;
М.UN.16а) 1-изопропил-N,5-диметил-N-пиридазин-4-илпиразол-4-карбоксамид; или M.UN.16b) 1-(1,2-диметилпропил)-N-этил-5-метил-N-пиридазин-4-илпиразол-4-карбоксамид; M.UN.16с) N,5-диметил-N-пиридазин-4-ил-1-(2,2,2-трифтор-1-метилэтил)пиразол-4-карбоксамид; M.UN.16d) 1-[1-(1-цианоциклопропил)этил]-N-этил-5-метил-N-пиридазин-4-илпиразол-4-карбоксамид; M.UN.16е) N-этил-1-(2-фтор-1-метилпропил)-5-метил-N-пиридазин-4-илпиразол-4-карбоксамид; M.UN.16f) 1-(1,2-диметилпропил)-N,5-диметил-N-пиридазин-4-илпиразол-4-карбоксамид; M.UN.16g) 1-[1-(1-цианоциклопропил)этил]-N,5-диметил-N-пиридазин-4-илпиразол-4-карбоксамид; M.UN.16h) N-метил-1-(2-фтор-1-метилпропил]-5-метил-N-пиридазин-4-илпиразол-4-карбоксамид; M.UN.16i) 1-(4,4-дифторциклогексил)-N-этил-5-метил-N-пиридазин-4-илпиразол-4-карбоксамид; или M.UN.16j) 1-(4,4-дифторциклогексил)-N,5-диметил-N-пиридазин-4-илпиразол-4-карбоксамид,
M.UN.17а) N-(1-метилэтил)-2-(3-пиридинил)-2Н-индазол-4-карбоксамид; M.UN.17b) N-циклопропил-2-(3-пиридинил)-2Н-индазол-4-карбоксамид; M.UN.17с) N-циклогексил-2-(3-пиридинил)-2Н-индазол-4-карбоксамид; M.UN.17d) 2-(3-пиридинил)-N-(2,2,2-трифторэтил)-2Н-индазол-4-карбоксамид; M.UN.17e) 2-(3-пиридинил)-N-[(тетрагидро-2-фуранил)метил]-2Н-индазол-5-карбоксамид; M.UN.17f) метил 2-[[2-(3-пиридинил)-2Н-индазол-5-ил]карбонил]гидразинкарбоксилат; M.UN.17g) N-[(2,2-дифторциклопропил)метил]-2-(3-пиридинил)-2Н-индазол-5-карбоксамид; M.UN.17h) N-(2,2-дифторпропил)-2-(3-пиридинил)-2Н-индазол-5-карбоксамид; M.UN.17i) 2-(3-пиридинил)-N-(2-пиримидинилметил)-2Н-индазол-5-карбоксамид; M.UN.17j) N-[(5-метил-2-пиразинил)метил]-2-(3-пиридинил)-2Н-индазол-5-карбоксамид,
M.UN.18. тиклопиразофлор;
M.UN.19 сароланер, M.UN.20 лотиланер;
M.UN.21 N-[4-хлор-3-[[(фенилметил)амино]карбонил]фенил]-1-метил-3-(1,1,2,2,2-пентафторэтил)-4-(трифторметил)-1Н-пиразол-5-карбоксамид; М.UN.22а 2-(3-этилсульфонил-2-пиридил)-3-метил-6-(трифторметил)имидазо[4,5-b]пиридин, или M.UN.22b 2-[3-этилсульфонил-5-(трифторметил)-2-пиридил]-3-метил-6-(трифторметил)имидазо[4,5-b]пиридин;
М.UN.23а) 4-[5-(3,5-дихлорфенил)-5-(трифторметил)-4Н-изоксазол-3-ил]-N-[(4R)-2-этил-3-оксоизоксазолидин-4-ил]-2-метилбензамид, или M.UN.23b) 4-[5-(3,5-дихлор-4-фторфенил)-5-(трифторметил)-4Н-изоксазол-3-ил]-N-[(4R)-2-этил-3-оксоизоксазолидин-4-ил]-2-метилбензамид;
М.UN.24а) N-[4-хлор-3-(циклопропилкарбамоил)фенил]-2-метил-5-(1,1,2,2,2-пентафторэтил)-4-(трифторметил)пиразол-3-карбоксамид или M.UN.24b) N-[4-хлор-3-[(1-цианоциклопропил)карбамоил]фенил]-2-метил-5-(1,1,2,2,2-пентафторэтил)-4-(трифторметил)пиразол-3-карбоксамид; M.UN.25 ацинонапир; M.UN.26 бензпиримоксан; M.UN.27 2-хлор-N-(1-цианоциклопропил)-5-[1-[2-метил-5-(1,1,2,2,2-пентафторэтил)-4-(трифторметил)пиразол-3-ил]пиразол-4-ил]бензамид;
M.UN.28 оксазосульфил;
M.UN.29a) [(2S,3R,4R,5S,6S)-3,5-диметокси-6-метил-4-пропокситетрагидропиран-2-ил] N-[4-[1-[4-(трифторметокси)фенил]-1,2,4-триазол-3-ил]фенил]карбамат; M.UN.29b) [(2S,3R,4R,5S,6S)-3,4,5-триметокси-6-метилтетрагидропиран-2-ил] N-[4-[1-[4-(трифторметокси)фенил]-1,2,4-триазол-3-ил]фенил]карбамат; М.UN.29с) [(2S,3R,4R,5S,6S)-3,5-диметокси-6-метил-4-пропокситетрагидропиран-2-ил] N-[4-[1-[4-(1,1,2,2,2-пентафторэтокси)фенил]-1,2,4-триазол-3-ил]фенил]карбамат; M.UN.29d) [(2S,3R,4R,5S,6S)-3,4,5-триметокси-6-метилтетрагидропиран-2-ил] N-[4-[1-[4-(1,1,2,2,2-пентафторэтокси)фенил]-1,2,4-триазол-3-ил]фенил]карбамат; M.UN.29.e) (2Z)-3-(2-изопропилфенил)-2-[(Е)-[4-[1-[4-(трифторметокси)фенил]-1,2,4-триазол-3-ил]фенил]метиленгидразоно]тиазолидин-4-он или M.UN.29f) (2Z)-3-(2-изопропилфенил)-2-[(Е)-[4-[1-[4-(1,1,2,2,2-пентафторэтокси)фенил]-1,2,4-триазол-3-ил]фенил]метиленгидразоно]тиазолидин-4-он.
N) Гербициды
- гербициды из классов ацетамидов, амидов, арилоксифеноксипропионатов, бензамидов, бензофурана, бензойных кислот, бензотиадиазононов, бипиридилия, карбаматов, хлорацетамидов, хлоркарбоновых кислот, циклогександионов, динитроанилинов, динитрофенола, простых дифениловых эфиров, глицеринов, имидазолинонов, изоксазолов, изоксазолидинонов, нитрилов, N-фенилфталимидов, оксадиазолов, оксазолидендионов, оксиацетамидов, феноксикарбоновых кислот, фенилкарбаматов, фенилпиразолов, фенилпиразолинов, фенилпиридазинов, фосфоновых кислот, фосфорамидатов, фосфордитиоатов, фталаматов, пиразолов, пиридазинонов, пиридинов, пиридинкарбоновых кислот, пиридинкарбоксамидов, пиримидиндионов, пиримидинил(тио)бензоатов, хинолинкарбоновых кислот, семикарбазонов, сульфониламинокарбонитрилтриазолинонов, сульфонилмочевин, теразолинонов, тиадиазолов, тиокарбаматов, триазинов, триазинонов, триазолов, триазолинонов, триазолокарбоксамидов, триазолопиримидинов, трикетонов, урацилов или мочевин.
Кроме того, настоящее изобретение относится к агрохимическим композициям, содержащим смесь по меньшей мере одного соединения формулы I, т.е. ингибитора нитрификации в соответствии с настоящим изобретением (соединение I или компонент I), и по меньшей мере одного другого активного вещества, пригодного для защиты растений, например, выбранного из групп от А) до N) (компонент 2), в частности, одного дополнительного гербицида, выбранного из группы N).
Путем применения соединений I вместе с по меньшей мере одним активным веществом из групп от А) до N) может быть получен синергетический эффект для жизнеспособности растений, т.е. получают более чем простое сложение отдельных эффектов (синергетические смеси).
Этого можно достичь путем применения соединений I и по меньшей мере одного другого активного вещества одновременно, или совместно (например, как смесь в баке) или отдельно, или по очереди, причем временной интервал между отдельными применениями выбирают так, чтобы гарантировать, что активное вещество, применяемое первым, все еще находится в месте действия в достаточном количестве во время применения другого активного вещества (веществ). Последовательность применения не является определяющей для действия настоящего изобретения.
При применении соединения I и пестицида I последовательно временной интервал между обоими применениями может колебаться, например, от 2 часов до 7 дней. Также возможен более широкий диапазон в пределах от 0.25 часа до 30 дней, предпочтительно от 0.5 часа до 14 дней, особенно от 1 часа до 7 дней или от 1.5 часа до 5 дней, еще более предпочтительно от 2 часов до 1 дня. В случае смеси, содержащей пестицид II, выбранный из группы L), является предпочтительным, когда пестицид I применяют в качестве последней обработки.
В соответствии с изобретением твердое вещество (сухое вещество) биопестицидов (за исключением масел, таких как масло семян магрозы, масло бархатцев и т.д.) считается активными компонентами (например, которые могут быть получены после сушки или выпаривания экстракционной среды или суспензионной среды в случае жидких составов микробных пестицидов).
В соответствии с настоящим изобретением массовые соотношения и процентные содержания, используемые в настоящей заявке для биологического экстракта, такого как экстракт квиллайи, пересчитаны на общую массу содержащегося сухого вещества (твердого вещества) соответствующего экстракта (экстрактов).
Общие массовые соотношения композиций, содержащих по меньшей мере один микробный пестицид в виде жизнеспособных микробных клеток, включая спящие формы, могут быть определены с использованием количества КОЕ соответствующего микроорганизма, чтобы подсчитать общую массу соответствующего активного компонента с нижеследующим уравнением, что 1 × 1010 КОЕ равняется одному грамму общей массы соответствующего активного компонента. Колониеобразующая единица является мерой жизнеспособных микробных клеток, в частности, грибковых и бактериальных клеток. К тому же, в данном контексте "КОЕ" можно также понимать как количество (неполовозрелых) отдельных нематод в случае (энтомопатогенных) нематодных биопестицидов, таких как Steinernema feltiae.
В бинарных смесях и композициях в соответствии с изобретением массовое соотношение компонента 1) и компонента 2) большей частью зависит от свойств используемых активных компонентов, обычно оно находится в диапазоне от 1:100 до 100:1, более обычно в диапазоне от 1:50 до 50:1, предпочтительно в диапазоне от 1:20 до 20:1, более предпочтительно в диапазоне от 1:10 до 10:1, еще более предпочтительно в диапазоне от 1:4 до 4:1 и, в частности, в диапазоне от 1:2 до 2:1.
В соответствии с дальнейшими вариантами осуществления бинарных смесей и композиций массовое соотношение компонента 1) и компонента 2) обычно находится в диапазоне от 1000:1 до 1:1, часто в диапазоне от 100: 1 до 1:1, более обычно в диапазоне от 50:1 до 1:1, предпочтительно в диапазоне от 20:1 до 1:1, более предпочтительно в диапазоне от 10:1 до 1:1, еще более предпочтительно в диапазоне от 4:1 до 1:1 и, в частности, в диапазоне от 2:1 до 1:1.
В соответствии с дальнейшими вариантами осуществления бинарных смесей и композиций массовое соотношение компонента 1) и компонента 2) обычно находится в диапазоне от 1:1 до 1:1000, часто в диапазоне от 1:1 до 1:100, более обычно в диапазоне от 1:1 до 1:50, предпочтительно в диапазоне от 1:1 до 1:20, более предпочтительно в диапазоне от 1:1 до 1:10, еще более предпочтительно в диапазоне от 1:1 до 1:4 и, в частности, в диапазоне от 1:1 до 1:2.
В соответствии с дальнейшими вариантами осуществления смесей и композиций, массовое соотношение компонента 1) и компонента 2) большей частью зависит от свойств используемых активных компонентов, обычно оно находится в диапазоне от 1:10,000 до 10,000:1, более обычно в диапазоне от 1:100 до 10,000:1, предпочтительно в диапазоне от 1:100 до 5,000:1, более предпочтительно в диапазоне от 1:1 до 1,000:1, еще более предпочтительно в диапазоне от 1:1 до 500:1 и, в частности, в диапазоне от 10:1 до 300:1.
В соответствии с дальнейшими вариантами осуществления смесей и композиций, массовое соотношение компонента 1) и компонента 2) обычно находится в диапазоне от 20,000:1 до 1:10, часто в диапазоне от 10,000:1 до 1:1, более обычно в диапазоне от 5,000:1 до 5:1, предпочтительно в диапазоне от 5,000:1 до 10:1, более предпочтительно в диапазоне от 2,000:1 до 30:1, еще более предпочтительно в диапазоне от 2,000:1 до 100:1 и, в частности, в диапазоне от 1,000:1 до 100:1.
В соответствии с дальнейшими вариантами осуществления смесей и композиций массовое соотношение компонента 1) и компонента 2) обычно находится в диапазоне от 1:20,000 до 10:1, часто в диапазоне от 1:10,000 до 1:1, более обычно в диапазоне от 1:5,000 до 1:5, предпочтительно в диапазоне от 1:5,000 до 1:10, более предпочтительно в диапазоне от 1:2,000 до 1:30, еще более предпочтительно в диапазоне от 1:2,000 до 1:100, в частности, в диапазоне от 1:1,000 до 1:100.
В трехкомпонентных смесях, т.е. композициях в соответствии с изобретением, содержащих компонент 1) и компонент 2) и соединение III (компонент 3), массовое соотношение компонента 1) и компонента 2) зависит от свойств используемых активных веществ, обычно оно находится в диапазоне от 1:100 до 100:1, более обычно в диапазоне от 1:50 до 50:1, предпочтительно в диапазоне от 1:20 до 20:1, более предпочтительно в диапазоне от 1:10 до 10:1 и, в частности, в диапазоне от 1:4 до 4:1, и массовое соотношение компонента 1) и компонента 3) обычно находится в диапазоне от 1:100 до 100:1, более обычно в диапазоне от 1:50 до 50:1, предпочтительно в диапазоне от 1:20 до 20:1, более предпочтительно в диапазоне от 1:10 до 10:1, в частности, в диапазоне от 1:4 до 4:1.
Любые другие активные компоненты, при необходимости, добавляют в соотношении от 20:1 до 1:20 к компоненту 1).
Эти соотношения также пригодны для смесей в соответствии с изобретением, применяемых путем обработки семян.
Активные вещества, перечисленные в группах от А) до K), их получение и их активность, например, против вредных грибов, являются известными (см.: http://www.alanwood.net/pesticides/); эти вещества являются коммерчески доступными. Соединения, описанные с помощью номенклатуры ИЮПАК, их получение и их пестицидная активность также являются известными (см. Can. J. Plant Sci. 48(6), 587-94, 1968; ЕР-А 141 317; ЕР-А 152 031; ЕР-А 226 917; ЕР-А 243 970; ЕР-А 256 503; ЕР-А 428 941; ЕР-А 532 022; ЕР-А 1 028 125; ЕР-А 1 035 122; ЕР-А 1 201 648; ЕР-А 1 122 244, JP 2002316902; DE 19650197; DE 10021412; DE 102005009458; US 3,296,272; US 3,325,503; WO 98/46608; WO 99/14187; WO 99/24413; WO 99/27783; WO 00/29404; WO 00/46148; WO 00/65913; WO 01/54501; WO 01/56358; WO 02/22583; WO 02/40431; WO 03/10149; WO 03/11853; WO 03/14103; WO 03/16286; WO 03/53145; WO 03/61388; WO 03/66609; WO 03/74491; WO 04/49804; WO 04/83193; WO 05/120234; WO 05/123689; WO 05/123690; WO 05/63721; WO 05/87772; WO 05/87773; WO 06/15866; WO 06/87325; WO 06/87343; WO 07/82098; WO 07/90624, WO 10/139271, WO 11/028657, WO 12/168188, WO 07/006670, WO 11/77514; WO 13/047749, WO 10/069882, WO 13/047441, WO 03/16303, WO 09/90181, WO 13/007767, WO 13/010862, WO 13/127704, WO 13/024009, WO 13/24010, WO 13/047441, WO 13/162072, WO 13/092224, WO 11/135833, CN 1907024, CN 1456054, CN 103387541, CN 1309897, WO 12/84812, CN 1907024, WO 09094442, WO 14/60177, WO 13/116251, WO 08/013622, WO 15/65922, WO 94/01546, EP 2865265, WO 07/129454, WO 12/165511, WO 11/081174, WO 13/47441). Некоторые соединения идентифицируют по их регистрационному номеру CAS, который разделен дефисами на три части, первая из которых состоит из двух-семи цифр, вторая - из двух цифр, а третья -из одной цифры.
Коммерчески доступные соединения из группы М, перечисленные выше, можно найти в The Pesticide Manual, 17-е издание, С. MacBean, British Crop Protection Council (2015) среди других публикаций. Pesticide Manual в режиме онлайн регулярно обновляется и доступен через http://bcpcdata.com/pesticide-manual.html.
Другая онлайн база данных для пестицидов, предусматривающая общие названия ISO представляет собой http://www.alanwood.net/pesticides.
М.4 циклоксаприд известен из WO 2010/069266 и WO 2011/069456. М.4А.1 известен из CN 103814937; CN 105367557, CN 105481839. М.4А.2, гуадипир, известен из WO 2013/003977, и М.4А.3 (одобрен в Китае как paichongding) известен из WO 2007/101369. М.22 В.1 описан в CN 10171577 и М.22 В.2 в CN 102126994. Спиропидион М.23.1 известен из WO 2014/191271. М.28.1 и М.28.2 известны из WO 2007/101540. М.28.3 описан в WO 2005/077934. М.28.4 описан в WO 2007/043677. М.28.5а) - M.28.5d) и M.28.5h) описаны в WO 2007/006670, WO 2013/024009 и WO 2013/024010, Μ.28.5i) описан в WO 2011/085575, M.28.5j) в WO 2008/134969, М.28.5k) в US 2011/046186 и М.28.5l) в WO 2012/034403. М.28.6 можно найти в WO 2012/034472. M.UN.3 известен из WO 2006/089633 и M.UN.4 из WO 2008/067911. M.UN.5 описан в WO 2006/043635, и средства биологического контроля на основе bacillusfirmus описаны в WO 2009/124707. Флупиримин описан в WO 2012/029672. M.UN.8 известен из WO 2013/055584. M.UN.9.a) описан в WO 2013/050317. M.UN.9.b) описан в WO 2014/126208. M.UN.10 известен из WO 2010/060379. Брофланилид и M.UN.11.b) - M.UN.11.h) описаны в WO 2010/018714, и M.UN.11i) - M.UN.11.p) в WO 2010/127926. M.UN.12.a) - M.UN.12.c) известны из WO 2010/006713, M.UN.12.d) и M.UN.12.e) известны из WO 2012/000896. Μ.UN. 14а) и Μ.UN. 14b) известны из WO 2007/101369. M.UN.16.a) - M.UN.16h) описаны в WO 2010/034737, WO 2012/084670 и WO 2012/143317, соотв., и M.UN.16i) и M.UN.16j) описаны в WO 2015/055497. M.UN.17a) - M.UN.17j) описаны в WO 2015/038503. M.UN.18 Тиклопразофлор описан в US 2014/0213448. M.UN.19 описан в WO 2014/036056. M.UN.20 известен из WO 2014/090918. M.UN.21 известен из ЕР 2910126. M.UN.22a и M.UN.22b известны из WO 2015/059039 и WO 2015/190316. M.UN.23a и M.UN.23b известны из WO 2013/050302. M.UN.24a) и M.UN.24b) известны из WO 2012/126766. Ацинонапир M.UN.25 известен из WO 2011/105506. Бензпиримоксан M.UN.26 известен из WO 2016/104516. M.UN.27 известен из WO 2016/174049. M.UN.28 Окзасосульфил известен из WO 2017/104592. M.UN.29a) - M.UN.29f) известны из WO 2009/102736 или WO 2013116053.
Биопестициды из группы L1) и/или L2) могут также обладать инсектицидной, акарицидной, молюскоцидной, феромонной, нематоцидной, снижающей стресс растений, регулирующей рост растений, стимулирующей рост растений и/или повышающей урожайность активностью. Биопестициды из группы L3) и/или L4) также могут обладать фунгицидной, бактерицидной, вирулицидной, активирующей защиту растений, снижающей стресс растений, регулирующей рост растений, стимулирующей рост растений и/или повышающей урожайность активностью. Биопестициды из группы L5) также могут обладать фунгицидной, бактерицидной, вирулицидной, активирующей защиту растений, инсектицидной, акарицидной, молюскоцидной, феромонной и/или нематоцидной активностью.
Многие из этих биопестицидов были задепонированы под депозитарными номерами, приведенными ниже (префиксы, такие как АТСС или DSM относятся к акрониму соответствующей коллекции культур, относительно подробностей см., например, здесь: http://www.wfcc.info/ccinfo/collection/by_acronym/), указаны в литературных источниках, зарегистрированы и/или коммерчески доступны: смеси Aureobasidium pullulans DSM 14940 и DSM 14941, выделенных в 1989 в Костанце, Германия (например, бластоспоры в BlossomProtect® от bio-ferm GmbH, Австрия), Azospirillum brasilense Sp245, первоначально выделенный в пшеничном регионе Южной Бразилии (Пасу-Фунду) по меньшей мере до 1980 (BR 11005; например, GELFIX® Grami neas от BASF Agricultural Specialties Ltd., Бразилия), A. brasilense штаммы Ab-V5 и Ab-V6 (например, в AzoMax от Novozymes BioAg Produtos papra Agricultura Ltda., Куатру-Баррас, Бразилия или Simbiose-Maiz® от Simbiose-Agro, Бразилия; Plant Soil 331, 413-425, 2010), Bacillus amyloliquefaciens штамм AP-188 (NRRL B-50615 и B-50331; US 8,445,255); B. amyloliquefaciens spp.plantarum D747, выделенный из воздуха в Кикугава-ши, Япония (US 20130236522 A1; FERM ВР-8234; например, Double Nickel™ 55 WDG от Certis LLC, США), В. amyloliquefaciens spp.plantarum FZB24, выделенный из почвы в Бранденбурге, Германия (также называемый SB3615; DSM 96-2; J. Plant Dis. Prot. 105, 181-197, 1998; например, Taegro® от Novozyme Biologicals, Inc., США), В. amyloliquefaciens ssp.plantarum FZB42, выделенный из почвы в Бранденбурге, Германия, (DSM 23117; J. Plant Dis. Prot. 105, 181-197, 1998; например, RhizoVital® 42 от AbiTEP GmbH, Германия), В. amyloliquefaciens ssp.plantarum MBI600, выделенный из конских бобов в Саттон Бонингтон, Ноттингемшир, U.K. по меньшей мере до 1988 (также называемый 1430; NRRL В-50595; US 2012/0149571 A1; например, Integral® от BASF Corp., США), В. amyloliquefaciens spp.plantarum QST-713, выделенный из персиковых садов в 1995 в Калифорнии, США (NRRL В-21661; например, Serenade® МАХ от Bayer Crop Science LP, США), В. amyloliquefaciens spp.plantarum TJ1000, выделенный в 1992 в Южной Дакоте, США (также называемый 1ВЕ; АТСС ВАА-390; СА 2471555 А1; например, QuickRoots™ от TJ Technologies, Уотертаун, Южная Дакота, США), В. firmus CNCM I-1582, вариант родительского штамма EIP-N1 (CNCM I-1556), выделенного из почвы центральной равнинной местности Израиля (WO 2009/126473, US 6,406,690; например, Votivo® от Bayer CropScience LP, США), В. pumilus GHA 180, выделенный из ризосферы яблоневых деревьев в Мексике (IDAC 260707-01; например, PRO-MIX® ВХ от Premier Horticulture, Квебек, Канада), В. pumilus INR-7 по-другому указывается как BU-F22 и BU-F33, выделенный по меньшей мере до 1993 из огурца, инфицированного посредством Erwinia tracheiphila (NRRL В-50185, NRRL В-50153; US 8,445,255), В. pumilus KFP9F, выделенный из ризосферы трав в Южной Африке по меньшей мере до 2008 (NRRL В-50754; WO 2014/029697; например, BAC-UP или FUSION-P от BASF Agricultural Specialities (Pty) Ltd., Южная Африка), В. pumilus QST 2808 был выделен из почвы, собранной в Понпеи, Федеративные Штаты Микронезии, в 1998 (NRRL В-30087; например, Sonata® или Ballad® Plus от Bayer Crop Science LP, США), В. simplex ABU 288 (NRRL B-50304; US 8,445,255), B. subtilis FB17, также называемый UD 1022 или UD10-22, выделенный из корней красной свеклы в Северной Америке (АТСС РТА-11857; System. Appl. Microbiol. 27, 372-379, 2004; US 2010/0260735; WO 2011/109395); В. thuringiensis ssp.aizawai ABTS-1857, выделенный из почвы, взятой с газона в Эфрейме, Висконсин, США, в 1987 (также называемый ABG-6346; АТСС SD-1372; например, XenTari® от BioFa AG, Мюнзинген, Германия), В. t. ssp.kurstaki ABTS-351, идентичный с HD-1, выделенным в 1967 из больной черной личинки розового коробочного червя в Браунсвилле, Техас, США (АТСС SD-1275; например, Dipel® DF от Valent Biosciences, IL, США), В. t. ssp. kurstaki SB4, выделенный из трупов личинок Е. saccharina (NRRL В-50753; например, Beta Pro® от BASF Agricultural Specialities (Pty) Ltd., Южная Африка), В. t. ssp.tenebrionis NB-176-1, мутант штамма NB- 125, дикий тип штамма, выделенного в 1982 из мертвой куколки жука Tenebrio molitor (DSM 5480; ЕР 585 215 В1; например, Novodor® от Valent Biosciences, Швейцария), Beauveria bassiana GHA (ATCC 74250; например, BotaniGard® 22WGP от Laverlam Int. Corp., США), В. bassiana JW-1 (ATCC 74040; например, Naturalis® от CBC (Europe) S.r.l., Италия), В. bassiana PPRI 5339, выделенный из личинки щитоноски Conchylocteniapunctata (NRRL 50757; например, BroadBand® от BASF Agricultural Specialities (Pty) Ltd., Южная Африка), Bradyrhizobium elkanii штаммы SEMIA 5019 (также называемый 29W), выделенный в Рио-де-Жанейро, Бразилия и SEMIA 587, выделенный в 1967 в штате Рио Гранде ду Суль, из площади, предварительно инокулированной Северо-Американским изолятом, и используемым в коммерческих инокулянтах с 1968 (Appl. Environ. Microbiol. 73(8), 2635, 2007; например, GELFIX 5 от BASF Agricultural Specialties Ltd., Бразилия), В. japonicum 532c, выделенный из полей Висконсина в США (Nitragin 61А152; Can. J. Plant. Sci. 70, 661-666, 1990; например, в Rhizoflo®, Histick®, Hicoat® Super от BASF Agricultural Specialties Ltd., Канада), В. japonicum Е-109 вариант штамма USDA 138 (INTA E109, SEMIA 5085; Eur. J. Soil Biol. 45, 28-35, 2009; Biol. Fertil. Soils 47, 81-89, 2011); штаммы В. japonicum, задепонированные в SEMIA, известные из Appl. Environ. Microbiol. 73(8), 2635, 2007: SEMIA 5079, выделенные из почвы в регионе Серраду, Бразилия от Embrapa-Cerrados, используемый в коммерческих инокулянтах с 1992 (CPAC 15; например, GELFIX 5 или ADHERE 60 от BASF Agricultural Specialties Ltd., Бразилия), В. japonicum SEMIA 5080, полученный в лабораторных условиях при содействии Embrapa-Cerrados в Бразилии и используемый в коммерческих инокулянтах с 1992, представляющий собой природный вариант SEMIA 586 (СВ1809), первоначально выделенный в США (CPAC 7; например, GELFIX 5 или ADHERE 60 от BASF Agricultural Specialties Ltd., Бразилия); Burkholderia sp.A396, выделенный из почвы в Nikko, Япония, в 2008 (NRRL В-50319; WO 2013/032693; Marrone Bio Innovations, Inc., США), Coniothyrium minitans CON/M/91-08, выделенный из масличного рапса (WO 1996/021358; DSM 9660; например, Contans® WG, Intercept® WG от Bayer CropScience AG, Германия), белок гарпин (альфа-бета) (Science 257, 85-88, 1992; например, Messenger™ или HARP-N-Tek от Plant Health Care pic, U.K.), Helicoverpa armigera вирус ядерного полиэдроза (HearNPV) (J. Invertebrate Pathol. 107, 112-126, 2011; например, Helicovex® от Adermatt Biocontrol, Швейцария; Diplomata® от Koppert, Бразилия; Vivus® Max от AgBiTech Pty Ltd., Квинсленд, Австралия), Helicoverpa zea отдельный капсид вируса ядерного полиэдроза (HzSNPV) (например, Gemstar от Certis LLC, США), Helicoverpa zea вирус ядерного полиэдроза ABA-NPV-U (например, Heligen® от AgBiTech Pty Ltd., Квинсленд, Австралия), Heterorhabditis bacteriophora (например, Nemasys® G от BASF Agricultural Specialities Limited, Великобритания), Isariafumosorosea Apopka-97, выделенный из червеца мучнистого на гинуре в Апопке, Флорида, США (АТСС 20874; Biocontrol Science Technol. 22(7), 747-761, 2012; например, PFR-97™ или PreFeRal® от Certis LLC, США), Metarhizium anisopliae var. anisopliae F52, также называемый 275 или V275, выделенный из плодожорки яблонной в Австрии (DSM 3884, АТСС 90448; например, Met52® Novozymes Biologicals BioAg Group, Канада), Metschnikowia fructicola 277, выделенный из винограда в центральной части Израиля (US 6,994,849; NRRL Y-30752; например, ранее Shemer® от Agrogreen, Израиль), Paecilomyces ilacinus 251, выделенный из инфицированных яиц нематод на Филиппинах (AGAL 89/030550; WO1991/02051; Crop Protection 27, 352-361, 2008; например, BioAct® от Bayer CropScience AG, Германия и MeloCon от Certis, США), Paenibacillus alvei NAS6G6, выделенный из ризосферы трав в Южной Африке по меньшей мере до 2008 (WO 2014/029697; NRRL В-50755; например, BAC-UP от BASF Agricultural Specialities (Pty) Ltd., Южная Африка), штаммы Paenibacillus, выделенные из образцов почвы из различных регионов Европы, включая Германию: Р. epiphyticus Lu17015 (WO 2016/020371; DSM 26971), P. polymyxa ssp.plantarum Lu16774 (WO 2016/020371; DSM 26969), P. p. ssp. plantarum штамм Lu17007 (WO 2016/020371; DSM 26970); Pasteuria nishizawae Pn1, выделенный из поля с соевыми бобами в середине 2000-ых в Иллинойсе, США (АТСС SD-5833; Федеральный регистр 76(22), 5808, февраль 2, 2011; например, Clariva™ PN от Syngenta Crop Protection, LLC, США), Penicillium bilaiae (также называемый P. bilaii) штаммы ATCC 18309 (=ATCC 74319), ATCC 20851 и/или ATCC 22348 (=ATCC 74318), первоначально выделенные из почвы в Альберте, Канада (Fertilizer Res. 39, 97-103, 1994; Can. J. Plant Sci. 78(1), 91-102, 1998; US 5,026,417, WO 1995/017806; например, Jump Start®, Provide® от Novozymes Biologicals BioAg Group, Канада), экстракт Reynoutria sachalinensis (EP 0307510 B1; например, Regalia® SC от Marrone Biolnnovations, Дейвис, Калифорния, США или Milsana® от BioFa AG, Германия), Steinernema carpocapsae (например, Millenium® от BASF Agricultural Specialities Limited, Великобритания), S. feltiae (например, Nemashield® от BioWorks, Inc., США; Nemasys® от BASF Agricultural Specialities Limited, Великобритания), Streptomyces microflavus NRRL B-50550 (WO 2014/124369; Bayer CropScience, Германия), Trichoderma asperelloides JM41R, выделенный в Южной Африке (NRRL 50759; также упоминается как Т. fertile; например, Trichoplus от BASF Agricultural Specialities (Pty) Ltd., Южная Африка), Т. harzianum Τ-22, также называемый KRL-AG2 (АТСС 20847; BioControl 57, 687-696, 2012; например, Plantshield® от BioWorks Inc., США или SabrEx™ от Advanced Biological Marketing Inc., Ван Верт, Огайо, США).
В соответствии с одним вариантом осуществления смесей в соответствии с изобретением по меньшей мере один пестицид II выбран из групп L1) - L6):
L1) Микробные пестициды с фунгицидной, бактерицидной, вирулицидной и/или активирующей защиту растений активностью: Aureobasidiumpullulans DSM 14940 и DSM 14941 (L1.1), Bacillus amyloliquefaciens AP-188 (L.1.2), B. amyloliquefaciens ssp.plantarum D747 (L.1.3), B. amyloliquefaciens ssp.plantarum FZB24 (L.1.4), B. amyloliquefaciens ssp.plantarum FZB42 (L.1.5), B. amyloliquefaciens ssp.plantarum MBI600 (L.1.6), B. amyloliquefaciens ssp.plantarum QST-713 (L.1.7), B. amyloliquefaciens ssp. plantarum TJ1000 (L.1.8), B. pumilus GB34 (L.1.9), B. pumilus GHA 180 (L.1.10), B. pumilus INR-7 (L.l.ll), B. pumilus QST 2808 (L.1.13), B. simplex ABU 288 (L.1.14), B. subtilis FB17 (L.1.15), Coniothyrium minitans CON/M/91-08 (L. 1.16), Metschnikowia fructicola NRRL Y-30752 (L.1.17), Penicillium bilaiae ATCC 22348 (L.1.19), P. bilaiae ATCC 20851 (L.1.20), Penicillium bilaiae ATCC 18309 (L.1.21), Streptomyces microflavus NRRL B-50550 (L.1.22), T. harzianum T-22 (L.1.24);
L2) Биохимические пестициды с фунгицидной, бактерицидной, вирулицидной и/или активирующей защиту растений активностью: белок гарпин (L.2.1), экстракт Reynoutria sachalinensis (L.2.2);
L3) Микробные пестициды с инсектицидной, акарицидной, моллюскоцидной и/или нематоцидной активностью: Bacillus firmus 1-1582 (L.3.1); В. thuringiensis ssp.aizawai ABTS-1857 (L.3.2), B. t. ssp. kurstaki ABTS-351 (L.3.3), B. t. ssp. tenebrionis NB-176-1 (L.3.5), Beauveria bassiana GHA (L.3.6), B. bassiana JW-1 (L.3.7), Burkholderia sp.A396 (L.3.9), Helicoverpa armigera вирус ядерного полиэдроза (HearNPV) (L.3.10), Helicoverpa zea вирус ядерного полиэдроза (HzNPV) ABA-NPV-U (L.3.11), Helicoverpa zea отдельный капсид вируса ядерного полиэдроза (HzSNPV) (L.3.12), Heterohabditis bacteriophora (L.3.13), Isariafumosorosea Apopka-97 (L.3.14), Metarhizium anisopliae var. anisopliae F52 (L.3.15), Paecilomyces lilacinus 251 (L.3.16), Pasteuria nishizawae Pn1 (L.3.17), Steinernema carpocapsae (L.3.18), S. feltiae (L.3.19);
L4) Биохимические пестициды с инсектицидной, акарицидной, моллюскоцидной, феромоновой и/или нематоцидной активностью: цис-жасмон (L.4.1), метилжасмонат (L.4.2), экстракт квиллайи (L.4.3);
L5) Микробные пестициды со снижающей стресс растений, регулирующей рост растений, стимулирующей рост растений и/или увеличивающей урожайность растений активностью.
В дополнительном аспекте настоящее изобретение относится к агрохимической смеси, содержащей по меньшей мере одно удобрение; и по меньшей мере один ингибитор нитрификации, определенный в настоящей заявке выше; или по меньшей мере одно удобрение и композицию, как упомянуто выше.
В контексте настоящего изобретения понятие "агрохимическая смесь" означает комбинацию по меньшей мере двух соединений. Однако, термин не ограничивается физической смесью, содержащей по меньшей мере два соединения, но относится к любой форме приготовления по меньшей мере одного соединения и по меньшей мере одного другого соединения, применение которой может быть привязано к определенному времени и/или местоположению.
Агрохимические смеси, например, могут быть составлены отдельно, но применены во временном соотношении, т.е. одновременно или последовательно, с последующим внесением, имеющим временной интервал, который допускает совместное действие соединений.
Кроме того, отдельные соединения агрохимических смесей в соответствии с изобретением, такие как части набора или части бинарной смеси, могут быть смешаны самим пользователем в соответствующем смесительном устройстве. В отдельных вариантах осуществления изобретения в случае необходимости могут быть добавлены другие вспомогательные вещества.
Термин "удобрения" следует понимать как химические соединения, вносимые для стимулирования роста растений и плодов. Удобрения обычно вносят или в почву (для поглощения корнями растений), в заменители почвы (также для поглощения корнями растений) или путем внекорневой подкормки (для поглощения через листья). Термин также включает смеси одного или нескольких различных видов удобрений, как упомянуто ниже.
Термин "удобрения" можно подразделить на несколько категорий, включающих: а) органические удобрения (состоящие из разложившихся веществ растений/животных), б) неорганические удобрения (состоящие из химических веществ и минералов) и в) удобрения, содержащие мочевину
К органическим удобрениям относят навоз, например, жидкий навоз, полужидкий навоз, биогазовый навоз, стойловый навоз или соломистый навоз, глинистые суспензии, копролиты червей, торф, морские водоросли, компост, сточные воды и гуано. Также обычно выращивают сидеральные культуры для добавления питательных веществ (особенно азота) в почву. К промышленным органическим удобрениям относят компост, кровяную муку, костную муку и экстракты морских водорослей. Другими примерами являются белки ферментативного расщепления, рыбная мука и мука из перьев. Разлагающиеся остатки сельскохозяйственных культур предыдущих лет являются еще одним источником плодородия. Кроме того, природные минералы, такие как фосфорит, сульфат калия и известняк, также считаются неорганическими удобрениями.
Неорганические удобрения обычно производят с помощью химических процессов (таких, как процесс Габера), также используя природные отложения с их химическим изменением (например, концентрированный тройной суперфосфат). К встречающимся в природе неорганическим удобрениям относят чилийский нитрат натрия, фосфорит, известняк, а также сырые калийные удобрения.
В определенных вариантах осуществления изобретения, неорганическое удобрение может быть АФК удобрением. "АФК удобрения" являются неорганическими удобрениями, которые в соответствующих концентрациях и комбинациях включают три основных питательных вещества: азот (N), фосфор (Р) и калий (K), а также обычно S, Mg, Са и микроэлементы.
В отдельных вариантах осуществления изобретения удобрение, содержащее мочевину, может быть мочевиной, формальдегидной мочевиной, безводным аммиаком, раствором мочевино-аммониевого нитрата (ΜΑΗ), серой-мочевиной, АФК-удобрениями на основе мочевины или мочевино-аммониевым сульфатом. Также предусматривают применение мочевины в качестве удобрения. В случае использования или обеспечения удобрений, содержащих мочевину, или мочевины, особенно предпочтительно, чтобы ингибиторы уреазы, указанные выше в данной заявке, могли быть добавлены или дополнительно присутствовать, или использоваться в то же время или в сочетании с удобрениями, содержащими мочевину.
Удобрения могут быть представлены в любом пригодном виде, например, в виде твердых покрытых или непокрытых гранул, в жидком или полужидком виде, в виде удобрений для опрыскивания или путем фертигации и т.п.
Покрытые удобрения могут быть представлены широким диапазоном материалов. Покрытия, например, могут быть нанесены на гранулированные или приллированные азотистые (Ν) удобрения или на удобрения, содержащие несколько питательных веществ. Как правило, мочевину используют в качестве основного материала для производства покрытых удобрений. Как альтернативу, в качестве основного материала для производства удобрений с покрытием используют аммониевые или АФК удобрения. Кроме того, в настоящем изобретении также предусмотрено применение других основных материалов для покрытых удобрений, любого из материалов для удобрений, определенного в данной заявке. В некоторых вариантах осуществления в качестве покрытия для удобрений может быть использована элементарная сера. Покрытие может быть выполнено путем распыления расплавленной S на гранулы мочевины с последующим нанесением воскового герметика для заделывания трещин в покрытии. В еще одном варианте осуществления S слой может быть покрыт слоем органических полимеров, предпочтительно тонким слоем органических полимеров.
Также предусмотрено, что покрытие удобрений может быть осуществлено путем реакции полимеров на основе синтетических смол на поверхности гранулы удобрения. Еще одним примером покрытия удобрений является использование полиэтиленовых полимеров с низкой проницаемостью в сочетании с покрытиями с высокой проницаемостью.
В частных вариантах осуществления изобретения композицию и/или толщину покрытия удобрений можно регулировать, например, для контроля скорости высвобождения питательных веществ при отдельных применениях. Продолжительность высвобождения питательных веществ из отдельных удобрений может варьироваться, например, от нескольких недель до нескольких месяцев. Наличие ингибиторов нитрификации в смеси с удобрениями с покрытием может быть скорректировано соответствующим образом. В частности, предусматривают, что выделение питательных веществ включает или сопровождается выделением ингибитора нитрификации в соответствии с настоящим изобретением.
Покрытые удобрения могут быть представлены в виде удобрений с контролируемым высвобождением (CRF). В определенных вариантах осуществления изобретения эти удобрения с контролируемым высвобождением полностью покрыты мочевиной или А-Ф-K удобрениями, которые являются однородными, и которые, как правило, демонстрируют предопределенную продолжительность высвобождения. В других вариантах осуществления CRF могут быть представлены в виде продуктов из смешанных удобрений с контролируемым высвобождением, которые могут содержать покрытые оболочкой, непокрытые оболочкой и/или медленно высвобождаемые компоненты. В некоторых вариантах осуществления эти удобрения с покрытием могут дополнительно содержать питательные микроэлементы. В определенных вариантах осуществления изобретения эти удобрения могут демонстрировать заранее предопределенный срок действия, например, в случае А-Ф-K удобрений.
Кроме того, представленные примеры CRF включают удобрения с планированным высвобождением. Эти удобрения, как правило, демонстрируют заранее определенные схемы высвобождения (например, высокую/стандартную/низкую) и предопределенную продолжительность. В примерах вариантов осуществления, полностью покрытые А-Ф-K, Mg и питательные микроэлементы могут быть доставлены способом спланированной высвобождения.
Также рассматриваются подходы с использованием двойного покрытия ил! удобрения с покрытием на основе запрограммированного высвобождения.
В дальнейших вариантах осуществления изобретения смесь удобрений может быть представлена в виде, или может включать или содержать удобрения с медленным высвобождением. Например, удобрение может быть высвобождено в течение любого пригодного периода времени, например, в течение периода от 1 до 5 месяцев, предпочтительно до 3-х месяцев. Типичными примерами компонентов с медленным высвобождением являются удобрения IBDU (изобутилидендимочевина), например, содержащие приблизительно 31-32% азота, 90% из которого является нерастворимым в воде; или UF, то есть продукт формальдегидной мочевины, который содержит около 38% азота, из которого около 70% может быть представлено в виде нерастворимого в воде азота; или CDU (кротонилидендимочевина), содержащая около 32% азота; или MU (метилен-мочевина), содержащий около 38 до 40% азота, из которых 25-60%, как правило, нерастворимый в холодной воде азот; или MDU (метилендимочевина), содержащая около 40% азота, из которых менее 25% нерастворимый в холодной воде азот; или МО (метилолмочевина), содержащая около 30% азота, который, как правило, может быть использован в растворах; или DMTU (диметилентримочевина), содержащая около 40% азота, из которых менее 25% нерастворимого в холодной воде азота; или TMTU (триметилентетрамочевина), которая может быть предоставлена в качестве компонента продуктов формальдегидной мочевины; или TMPU (триметиленпентамочевина), которая также может быть представлена в качестве компонента продуктов формальдегидной мочевины; или UT (раствор триазон-мочевины), который обычно содержит около 28% азота. Смесь удобрений может также быть долгосрочным азотосодержащим удобрением, содержащим смесь ацетилендимочевины и, по меньшей мере, одно другое органическое азотосодержащее удобрение, выбранное из метиленмочевины, изобутилидендимочевины, кротонилидендимочевины, замещенных триазонов, триурета или их смеси.
Любые из приведенных выше удобрений или форм удобрений могут быть скомбинированы соответствующим образом. Например, удобрения с медленным высвобождением могут быть представлены в виде удобрений с покрытием. Они также могут быть объединены с другими удобрениями или типами удобрений. То же самое относится и к присутствию ингибитора нитрификации в соответствии с настоящим изобретением, который может быть адаптирован к форме и химической природе удобрения и соответственно быть обеспечен таким образом, чтобы его высвобождение сопровождалось высвобождением удобрений, например, высвобождение в то же самое время или с той же частотой. В настоящем изобретении дополнительно предусмотрены удобрение или формы удобрений, определенные выше в данной заявке, в комбинации с ингибиторами нитрификации, указанными выше в данной заявке и, кроме того, в комбинации с ингибиторами уреазы, приведенными выше в данной заявке. Такие комбинации могут быть представлены в виде покрытых или непокрытых форм и/или форм с медленным или быстрым высвобождением. Предпочтительными являются комбинации с медленным высвобождением удобрений, включая покрытые. В других вариантах осуществления также предусмотрены различные схемы высвобождения, например, с более медленным или более быстрым высвобождением.
Используемый в данной заявке термин "фертигация" относится к внесению удобрений, необязательно улучшающих почву, и необязательно других водорастворимых продуктов вместе с водой через оросительную систему к растению или к местоположению, где растение выращивают или предполагают выращивать или к заменителю почвы, определенному в настоящем описании ниже. Например, жидкие удобрения или растворенные удобрения могут быть предоставлены с помощью фертигации непосредственно к растению или местоположению, где растение выращивают или предполагают выращивать. Подобным образом, ингибиторы нитрификации в соответствии с настоящим изобретением, отдельно или в комбинации с дополнительными ингибиторами нитрификации могут быть предоставлены с помощью фертигации к растениям или в местоположение, где растение выращивают или предполагают выращивать. Удобрения и ингибиторы нитрификации в соответствии с настоящим изобретением, отдельно или в комбинации с дополнительными ингибиторами нитрификации, могут быть внесены вместе, например, растворенными в той же массе или загрузке вещества (как правило, воды) для орошения. В других вариантах осуществления удобрения и ингибиторы нитрификации могут быть внесены в разные моменты времени. Например, удобрение может быть внесено первым с последующим внесением ингибитора нитрификации, или предпочтительно, ингибитор нитрификации в соответствии с настоящим изобретением может быть подан с помощью фертигации первым, с последующим внесением удобрения. Временные интервалы для этих видов деятельности соответствуют указанным выше временным интервалам для внесения удобрений и ингибиторов нитрификации. Также предусматривают повторную фертигацию удобрений и ингибиторов нитрификации в соответствии с настоящим изобретением или вместе, или периодически, например, каждые 2 часа, 6 часов, 12 часов, 24 часа, 2 дня, 3 дня, 4 дня, 5 дней, 6 дней или более.
В особенно предпочтительных вариантах осуществления удобрение представляет собой аммоний-содержащее удобрение.
Агрохимическая смесь в соответствии с настоящим изобретением может содержать одно удобрение, как определено в настоящей заявке выше и один ингибитор нитрификации формулы I, как определено в настоящей заявке выше. В дополнительных вариантах осуществления агрохимическая смесь в соответствии с настоящим изобретением может содержать по меньшей мере одно или более чем одно удобрение, как определено в настоящей заявке выше, например, 2, 3, 4, 5, 6, 6, 7, 8, 9, 10 или большее количество различных удобрений (включая неорганические, органические и содержащие мочевину удобрения) и по меньшей мере один ингибитор нитрификации формулы I, как определено в настоящей заявке выше, предпочтительно один ингибитор нитрификации формулы I, выбранный из Таблицы 1.
В другой группе вариантов осуществления агрохимическая смесь в соответствии с настоящим изобретением может содержать по меньшей мере один или более чем один ингибитор нитрификации формулы I, как определено в настоящей заявке выше, предпочтительно более чем один ингибитор нитрификации формулы I, выбранный из Таблицы 1, например, 2, 3, 4, 5, 6, 6, 7, 8, 9, 10 или несколько различных ингибиторов нитрификации, как определено в настоящей заявке выше или как представлено в Таблице 1, и по меньшей мере одно удобрение, как определено в настоящей заявке выше.
Понятие "по меньшей мере один" следует понимать как 1, 2, 3 или большее количество соответствующих соединений, выбранных из группы, включающей удобрения, как определено в настоящей заявке выше (также обозначаемых как соединение А), и ингибиторов нитрификации формулы I, как определено в настоящей заявке выше (также обозначаемых как соединение В).
В дополнение к по меньшей мере одному удобрению и по меньшей мере одному ингибитору нитрификации, определенному выше в данной заявке, агрохимическая смесь может содержать дополнительные компоненты, соединения, активные соединения или составы, или т.п. Например, агрохимическая смесь может дополнительно содержать или быть смешана с носителем или быть составлена на основе носителя, например агрохимического носителя, предпочтительно, определенного в настоящей заявке. В других вариантах осуществления изобретения агрохимическая смесь может дополнительно содержать по меньшей мере одно пестицидное соединение. Например, агрохимическая смесь может дополнительно содержать по меньшей мере одно гербицидное соединение и/или по меньшей мере одно фунгицидное соединение и/или по меньшей мере одно инсектицидное соединение.
В дополнительных вариантах осуществления агрохимическая смесь, в дополнение к указанным выше компонентам, в частности, в дополнение к ингибитору нитрификации соединения формулы I и удобрению, может также содержать альтернативные или дополнительные ингибиторы нитрификации, такие как линолевая кислота, альфа-линоленовая кислота, метил n-кумарат, метилферулат, МНРР, каранджа, брахиалактон, n-бензохинон сорголеон, нитрапирин, дициандиамид (DCD), 3,4-диметилпиразолфосфат (DMPP), гидрохлорид 4-амино-1,2,4-триазола (АТС), 1-амидо-2-тиомочевина (ASU), 2-амино-4-хлор-6-метилпиримидин (AM), 5-этокси-3-трихлорметил-1,2,4-тиодиазол (терразол), тиосульфат аммония (ATU), 3-метилпиразол (3-МР), 3,5-диметилпиразол (DMP), 1,2,4-триазол и тиомочевина (TU) и/или сульфатиазол (ST), N-(1Н-пиразолилметил)ацетамиды, такие как N-((3(5)-метил-1Н-пиразол-1-ил)метил)ацетамид, и/или N-(1Н-пиразолилметил)формамиды, такие как N-((3(5)-метил-1Н-пиразол-1-ил)метилформамид, N-(4-хлор-3(5)-метилпиразол-1-илметил)-формамид или N-(3(5),4-диметилпиразол-1-илметил)-формамид.
К тому же, изобретение относится к способу снижения нитрификации, включающему обработку растения, растущего в почве, и/или местоположения, где растение выращивают или предполагают выращивать, по меньшей мере одним ингибитором нитрификации, как определено в настоящей заявке выше, т.е. ингибитором нитрификации, представляющим собой соединение формулы I или его производное, или композицию, содержащую указанный ингибитор нитрификации.
Термин "растение" следует понимать как растение, имеющее экономическое значение и/или растение, выращиваемое людьми. В некоторых вариантах осуществления термин также можно понимать как растения, которые не имеют или не существенны с точки зрения экономического значения. Растение предпочтительно выбирают из сельскохозяйственных, лесоводческих и садовых (в том числе декоративных) растений. Этот термин также относится к генетически модифицированным растениям.
Кроме того, используемый в данной заявке термин "растение" включает все части растения, такие как прорастающие семена, прорастающие саженцы, пропагулы растений, травянистую растительность, а также укорененные древесные растения, включая все их подземные части (такие, как корни) и надземные части.
В контексте способа снижения нитрификации предполагают, что растение растет в почве. В определенных вариантах осуществления растение может расти по-другому, например, в искусственных лабораторных условиях или в заменителях почвы, или может быть обеспечено питательными веществами, водой и т.д. при помощи искусственных или технических средств. В таких случаях, в изобретении предусмотрена обработка зоны или области, куда к растению поставляются питательные вещества, вода и т.д. Также предусмотрено, что растение растет в теплицах или аналогичных закрытых помещениях.
Термин "местоположение" следует понимать как любой тип окружающей среды, почвы, заменителя почвы, участка или материала, где растение выращивают или предполагают выращивать. Предпочтительно, этот термин относится к почве или почвенному заменителю, в которых выращивают растение.
В одном варианте осуществления изобретения растение, подлежащее обработке в соответствии со способом изобретения, представляет собой сельскохозяйственное растение. "Сельскохозяйственные растения" представляют собой растения, часть которых (например, семена) или все собирают или выращивают в промышленном масштабе или которые служат важным источником корма, пищевых продуктов, волокон (например, хлопчатник, лен), топлива (например, древесина, биоэтанол, биодизельное топливо, биомасса) или других химических соединений. Предпочтительными сельскохозяйственными растениями являются, например, зерновые, такие как пшеница, рожь, ячмень, кукуруза, тритикале, овес, сорго или рис, свекла, например, сахарная свекла или кормовая свекла; фрукты, такие как семечковые, косточковые фрукты или ягоды, например, яблоки, груши, сливы, персики, миндаль, вишня, клубника, малина, ежевика или крыжовник; бобовые растения, такие как чечевица, горох, люцерна или соевые бобы; масличные растения, такие как рапс, масличный рапс, канола, лен, горчица, оливы, подсолнечник, кокосовый орех, бобы какао, клещевина обыкновенная, масличные пальмы, арахис или соевые бобы; тыквенные, такие как тыквы, огурцы или дыни; волокнистые растения, такие как хлопок, лен, конопля или джут; цитрусовые фрукты, такие как апельсины, лимоны, грейпфруты или мандарины; овощные культуры, такие как шпинат, латук, спаржа, капуста, морковь, лук, томаты, картофель, тыквенные культуры или паприка; лавровые растения, такие как авокадо, корица или камфара; энергетические и сырьевые растения, такие как кукуруза, соевые бобы, рапс, канола, сахарный тростник или пальма масличная; табак; орехи; кофе; чай; бананы; виноград (столовый виноград и виноград для сока, винный виноград); хмель; дерн; природные каучуковые растения.
В еще одном варианте осуществления изобретения растение, подлежащее обработке в соответствии со способом настоящего изобретения, представляет собой садовое растение. Термин "садовые растения" следует понимать как растения, которые обычно используют в садоводстве, например, культуры декоративных растений, овощей и/или фруктов. Примерами декоративных растений являются дерн, герань, пеларгония, петуния, бегония и фуксия. Примерами овощных культур являются картофель, томаты, перец, тыквенные, огурцы, дыни, арбузы, чеснок, лук, морковь, капуста, бобы, горох и латук и более предпочтительно томаты, лук, горох и латук. Примерами фруктов являются яблони, груши, вишни, клубника, цитрусовые, персики, абрикосы и голубика.
В еще одном варианте осуществления растение, подлежащее обработке в соответствии со способом настоящего изобретению, представляет собой декоративное растение. "Декоративными растениями" являются растения, которые обычно используют в озеленении, например, в парках, садах и на балконах. Примерами являются дерн, герань, пеларгония, петуния, бегония и фуксия.
В другом варианте осуществления настоящего изобретения растение, подлежащее обработке в соответствии со способом настоящего изобретению, представляет собой лесоводческое растение. Под термином "лесоводческое растение" следует понимать деревья, более конкретно деревья, используемые в лесовозобновительных или промышленных насаждениях. Промышленные насаждения обычно служат для коммерческого производства лесной продукции, таких как древесина, целлюлоза, бумага, дерево, каучук, рождественские деревья или молодые деревья для садоводческих целей. Примерами лесоводческих растений являются хвойные деревья, такие как сосны, в частности, вид Pinus., пихты и ели, эвкалипт, тропические деревья, такие как тик, каучуковое дерево, пальма масличная, ива (Salix), в частности, вид Salix., тополь (тополь трехгранный), в частности, вид Populus., бук, в частности, вид Fagus., береза, пальма масличная и дуб.
Понятие "материал для размножения растений" следует понимать как означающее все генеративные части растения, такие как семена и вегетативный растительный материал, такой как черенки и клубни (например, картофель), которые можно применять для размножения растений. Он включает семена, зерна, корни, плоды, клубни, луковицы, корневища, черенки, споры, отростки, побеги, ростки и другие части растений, в том числе саженцы и молодые растения, которые должны быть пересажены после прорастания или всхода, меристематическую ткань, отдельные и множественные клетки растений и любые другие растительные ткани, из которых можно получить целое растение.
Термин "генетически модифицированные растения" следует понимать как относящийся к растениям, генетический материал которых был изменен таким образом с использованием технологий рекомбинантной ДНК, который в природных условиях не может быть получен быстро путем скрещивания, мутаций или природной рекомбинации. Как правило, один или несколько генов были интегрированы в генетический материал генетически модифицированного растения для того, чтобы улучшить некоторые свойства растения. Подобные генетические модификации также включают, но не ограничиваются ними, посттрансляционные модификации белка(-ов), олиго- или полипептидов, например, с помощью гликозилирования или присоединений полимеров, как, например, пренилированные, ацетилированные или фарнезилированные части или части ПЭГ.
Растения, которые были модифицированы благодаря селекции, мутагенезу или методам генной инженерии, например, приобрели устойчивость к применениям определенных классов гербицидов, таких как ауксиновые гербициды, такие как дикамба или 2,4-D; отбеливающие гербициды, такие как ингибиторы гидроксифенилпируват диоксигеназы (HPPD) или ингибиторы фитоендесатуразы (PDS); ингибиторы ацетолактатсинтазы (ALS), такие как сульфонилмочевины или имидазолиноны; ингибиторы енолпирувилшикимат-3-фосфатсинтазы (EPSP), такие как глифосат; ингибиторы глутаминсинтетазы (GS), такие как глуфосинат; ингибиторы протопорфириноген-IX оксидазы; ингибиторы биосинтеза липидов, такие как ингибиторы ацетил-КоА-карбоксилазы (АСС); или оксиниловые гербициды (т.е., бромоксинил или иоксинил) в результате обычных методов селекции или генной инженерии. Кроме того, были созданы растения, которые устойчивы к нескольким классам гербицидов посредством множественных генетических модификаций, например, устойчивы к глифосату и глуфосинату, или как к глифосату, так и гербициду из другого класса, такого как ингибиторы ALS, ингибиторы HPPD, ауксиновые гербициды или ингибиторы АСС. Эти технологии стойкости к гербицидам описаны, например, в Pest Managem. Sci. 61, 2005, 246; 61, 2005, 258; 61, 2005, 277; 61, 2005, 269; 61, 2005, 286; 64, 2008, 326; 64, 2008, 332; Weed Sci. 57, 2009, 108; Austral. J. Agricult. Res. 58, 2007, 708; Science 316, 2007, 1185; и в процитированных там ссылках. Благодаря обычным методам селекции (мутагенезу) некоторые культурные растения приобрели устойчивость к гербицидам, например, сурепица Clearfield® (Канола, BASF SE, Германия), которая обладает стойкостью к имидазолинонам, например, имазамоксу или подсолнечник ExpressSun® (DuPont, США), который обладает стойкостью к сульфонилмочевинам, например, к трибенурону. Методы генной инженерии были использованы для придания культурным растениям, таким как соевые бобы, хлопчатник, кукуруза, свекла и рапс, стойкости к гербицидам, таким как глифосат, дикамба, имидазолиноны и глуфосинат, некоторые из них находятся в разработке или имеются в продаже под торговыми наименованиями RoudupReady® (устойчивые к глифосату, Monsanto, США), Cultivance® (устойчивые к имидазолинону, BASF SE, Германия) и Liberty Link® (устойчивые к глуфосинату, Bayer CropScience, Германия).
Кроме того, также включены растения, которые благодаря использованию технологий рекомбинантной ДНК способны синтезировать один или несколько инсектицидных белков, в особенности, известных из рода бактерий Bacillus, в частности, Bacillus thuringiensis, таких как δ-эндотоксины, например, CryIA(b), CryIA(c), CryIF, CryIF(a2), CryIIA(b), CryIIIA, CryIIIB(b1) или Cry9c; вегетативные инсектицидные белки (VIP), например, VIP1, VIP2, VIP3 или VIP3A; инсектицидные белки колонизированных бактериями нематод, например, виды Photorhabdus или виды Xenorhabdus; токсины, продуцируемые животными, такие как скорпионовые токсины, пауковые токсины, осиные токсины или другие присущие насекомым нейротоксины; токсины, продуцируемые грибами, такие как токсины стрептомицетов; растительные лектины, такие как гороховые или ячменные лектины; агглютинины; ингибиторы протеиназы, такие как, ингибиторы трипсина, ингибиторы серинпротеазы, ингибиторы пататина, цистатина или папаина; рибосом-инактивирующие белки (РИБ), такие как рицин, РИБ кукурузы, абрин, луффин, сапорин или бриодин; ферменты метаболизма стероидов, такие как 3-гидроксистероид-оксидаза, экдистероид-IDP-гликозил-трансфераза, холестериноксидаза, ингибиторы экдизона или HMG-СоА-редуктазы; блокаторы ионных каналов, такие как ингибиторы натриевых или кальциевых каналов; эстераза ювенильного гормона; рецепторы диуретического гормона (геликокининовые рецепторы); стилбенсинтаза, бибензилсинтаза, хитиназы или глюканазы. В контексте настоящего изобретения эти инсектицидные белки или токсины следует явно понимать также как претоксины, гибридные белки, укороченные или по-другому модифицированные белки. Гибридные белки отличаются новой комбинацией доменов белков, (см., например, WO 02/015701). Другие примеры таких токсинов или генетически модифицированных растений, способных синтезировать такие токсины, раскрыты, например, в ЕР-А 374 753, WO 93/007278, WO 95/34656, ЕР-А 427 529, ЕР-А 451 878, WO 03/18810 и WO 03/52073.
Способы получения таких генетически модифицированных растений в основном известны специалисту в данной области и описаны, например, в указанных выше публикациях. Эти инсектицидные белки, содержащиеся в генетически модифицированных растениях, придают растениям, которые их вырабатывают, устойчивость к животным вредителям из всех таксономических классов артроподов, в частности, к жукам (Coeloptera), к двукрылым насекомым (Diptera), и к чешуекрылым (Lepidoptera) и к нематодам (Nematoda). Генетически модифицированные растения, способные синтезировать один или несколько инсектицидных белков, описаны, например, в указанных выше публикациях, и некоторые из них являются коммерчески доступными, такие как YieldGard® (сорта кукурузы, которые вырабатывают токсин Cry1Ab), YieldGard® Plus (сорта кукурузы, которые вырабатывают токсины Cry1Ab и Cry3Bb1), Starlink® (сорта кукурузы, которые вырабатывают токсин Cry9c), Herculex® RW (сорта кукурузы, которые вырабатывают токсины Cry34Ab1, Cry35Ab1 и фермент фосфинотрицин-N-ацетилтрансферазу [PAT]); NuCOTN® 33В (сорта хлопчатника, которые вырабатывают токсин Cry1Ac), Bollgard® I (сорта хлопчатника, которые вырабатывают токсин Cry1Ac), Bollgard® II (сорта хлопчатника, которые вырабатывают токсины Cry1Ac и Cry2Ab2); VIPCOT® (сорта хлопчатника, которые вырабатывают VIP токсин); NewLeaf® (сорта картофеля, которые вырабатывают токсин Cry3A); Bt-Xtra®, NatureGard®, KnockOut®, BiteGard®, Protecta®, Bt11 (например, Agrisure® CB) и Bt176 от Syngenta Seeds SAS, Франция, (сорта кукурузы, которые вырабатывают токсин Cry1Ab и фермент PAT), MIR604 от Syngenta Seeds SAS, Франция (сорта кукурузы, которые вырабатывают модифицированную версию токсина Cry3A, см. WO 03/018810), MON 863 от Monsanto Europe S.A., Бельгия (сорта кукурузы, которые вырабатывают токсин Cry3Bb1), IPC 531 от Monsanto Europe S.A., Бельгия (сорта хлопчатника, которые вырабатывают модифицированную версию токсина Cry1Ac) и 1507 от Pioneer Overseas Corporation, Бельгия (сорта кукурузы, которые вырабатывают токсин Cry1F и фермент PAT).
Кроме того, включены растения, которые благодаря использованию технологий рекомбинантной ДНК способны синтезировать один или несколько белков, которые вызывают повышенную стойкость или толерантность таких растений к бактериальным, вирусным или грибковым патогенам. Примерами подобных белков являются так называемые "связанные с патогенезом белки" (PR белки, см., например, ЕР-А 392 225), гены стойкости к заболеваниям растений (например, сорта картофеля, которые экспрессируют гены устойчивости, действующие против Phytophthora infestans, выведенные из дикого мексиканского картофеля Solarium bulbocastanum) или Т4-лизоцим (например, сорта картофеля, которые способны синтезировать эти белки с повышенной стойкостью к бактериям, таким как Erwinia amylvord). Способы получения таких генетически модифицированных растений, в общем, известны специалисту в данной области и описаны, например, в указанных выше публикациях.
Кроме этого, также включены растения, которые благодаря использованию технологий рекомбинантной ДНК способны синтезировать один или несколько белков для повышения продуктивности (например, выработки биомассы, урожая зерна, содержания крахмала, содержания масла или содержания белка), стойкости к засухе, засоленности или другим ограничивающим факторам окружающей среды или стойкости таких растений к животным вредителям и грибковым, бактериальным и вирусным патогенам.
Кроме того, также включены растения, которые благодаря применению технологий рекомбинантной ДНК содержат измененное количество содержащихся веществ или новые вещества, в особенности, для улучшения питания людей и животных, например, масличные зерновые культуры, которые вырабатывают полезные для здоровья длинноцепочечные омега-3-жирные кислоты или ненасыщенные омега-9-жирные кислоты (например, рапс Nexera®, DOW Agro Sciences, Канада).
Кроме того, также включены растения, которые благодаря применению технологий рекомбинантной ДНК содержат измененное количество содержащихся веществ или новые вещества, в особенности, для улучшения выработки сырьевого материала, например, картофель, который вырабатывает повышенные количества амилопектина (например, картофель Amflora®, BASF SE, Германия).
Термин "заменитель почвы", используемый в данной заявке, относится к субстрату, который способен обеспечить рост растения и не содержит обычные почвенные компоненты. Этот субстрат обычно представляет собой неорганический субстрат, который может обладать функцией инертной среды. В некоторых вариантах осуществления субстрат также может включать органические элементы или части. Заменители почвы могут, например, использоваться в беспочвенных или гидропонных методиках, т.е. в которых растения выращивают в беспочвенной среде и/или в среде с водной основой. Примерами пригодных почвенных заменителей, которые можно применять в контексте настоящего изобретения, являются перлит, гравий, биоуголь, минеральная вата, кокосовая скорлупа, слоистые силикаты, то есть слоистосиликатные минералы, как правило, образованные параллельными слоями силикатных тетраэдров Si2O5 или в соотношении 2:5, или глинистые составы, в частности, керамзит с диаметром от приблизительно 10 до 40 мм. Особенно предпочтительным является применение вермикулита, т.е. слоистого силиката с двумя четырехгранными слоями для каждого из имеющихся восьмигранных слоев.
В отдельных вариантах осуществления изобретения применение почвенных заменителей может быть объединено с фертигацией или орошением, определенными в настоящей заявке.
В отдельных вариантах осуществления настоящего изобретения обработку можно осуществлять в течение всех пригодных стадий роста растений, указанных в настоящей заявке. Например, обработку можно осуществлять во время стадий развития по принципу ВВСН.
Термин "принцип стадий роста ВВСН" относится к расширенной шкале ВВСН, которая представляет собой систему для унифицированного кодирования фенологически подобных стадий роста всех однодольных и двудольных видов растений, в которых весь цикл развития растений разделен на четко узнаваемые и различимые длительные фазы развития. ВВСН шкала использует десятичную систему кодирования, которая разделена на основные и вторичные стадии развития. Аббревиатура "ВВСН" происходит от "Federal Biological Research Centre for Agriculture and Forestry" (Германия), Ведомство по охране сортов растений ФРГ (Германия) и химической промышленности.
В одном варианте осуществления изобретение относится к способу снижения нитрификации, включающему обработку растения, растущего в почве или заменителях почвы, и/или местоположения, где растение выращивают или предполагают выращивать, по меньшей мере одним ингибитором нитрификации, определенным в настоящей заявке выше, т.е. ингибитором нитрификации, представляющим собой соединение формулы I или его производное, на стадии роста растения (GS) между GS 00 и GS>ВВСН 99 (например, при внесении удобрения осенью после сбора урожая яблок) и предпочтительно между GS 00 и GS 65 ВВСН растения.
В одном варианте осуществления изобретение относится к способу снижения нитрификации, включающему обработку растения, растущего в почве или заменителях почвы, и/или местоположения, где растение выращивают или предполагают выращивать, по меньшей мере одним ингибитором нитрификации, определенным в настоящей заявке выше, т.е. ингибитором нитрификации, представляющим собой соединение формулы I или его производное, на стадии роста растения (GS) между GS 00 и GS 45, предпочтительно между GS 00 и GS 40 ВВСН.
В предпочтительном варианте осуществления изобретение относится к способу снижения нитрификации, включающему обработку растения, растущего в почве или заменителях почвы, и/или местоположения, где растение выращивают или предполагают выращивать, по меньшей мере одним ингибитором нитрификации, определенным в настоящей заявке выше, т.е. ингибитором нитрификации, представляющим собой соединение формулы I или его производное, на ранней стадии роста растения (GS), в частности, от GS 00 до GS 05, или от GS 00 до GS 10, или от GS 00 до GS 15, или от GS 00 до GS 20, или от GS 00 до GS 25 или от GS 00 до GS 33 ВВСН. В особенно предпочтительных вариантах осуществления способ снижения нитрификации включает обработку растения, растущего в почве или заменителях почвы, и/или местоположения, где растение выращивают или предполагают выращивать, по меньшей мере одним ингибитором нитрификации, определенным в настоящей заявке выше во время стадий роста, включая GS 00.
В дальнейшем, отдельном варианте осуществления изобретения, по меньшей мере один ингибитор нитрификации, как определено в настоящей заявке выше, т.е. ингибитор нитрификации, представляющий собой соединение формулы I, или его производное применяют на растение, растущее в почве или заменителях почвы, и/или местоположение, где растение выращивают или предполагают выращивать, на стадии роста растения между GS 00 и GS 55 ВВСН.
В дальнейшем варианте осуществления изобретения по меньшей мере один ингибитор нитрификации как определено в настоящей заявке выше, т.е. ингибитор нитрификации, представляющий собой соединение формулы I или его производное применяют на растение, растущее в почве или заменителях почвы, и/или местоположение, где растение выращивают или предполагают выращивать, на стадии роста растения между GS 00 и GS 47 ВВСН.
В одном варианте осуществления изобретения, по меньшей мере один ингибитор нитрификации как определено в настоящей заявке выше, т.е. ингибитор нитрификации, представляющий собой соединение формулы I, или его производное, применяют на растение, растущее в почве или заменителях почвы, и/или местоположение, где растение выращивают или предполагают выращивать, до и во время посева, до прорастания и до сбора урожая (от GS 00 до GS 89 ВВСН) или на стадии роста (GS) между GS 00 и GS 65 ВВСН.
В предпочтительном варианте осуществления изобретение относится к способу снижения нитрификации, включающему обработку растения, растущего в почве или заменителях почвы, и/или местоположения, где растение растет, по меньшей мере одним ингибитором нитрификации, определенным в настоящей заявке выше, т.е. ингибитором нитрификации, представляющим собой соединение формулы I, или его производное, причем растение и/или местоположение, где растение выращивают или предполагают выращивать, дополнительно обеспечивают по меньшей мере одним удобрением. Удобрение может представлять собой любое приемлемое удобрение, предпочтительно удобрение, как определено в настоящей заявке выше. Также предусматривают применение более чем одного удобрения, например, 2, 3, 4, 5, 6, 7, 8, 9, 10 удобрений или различных классов или категорий удобрений.
В определенных вариантах осуществления изобретения по меньшей мере один ингибитор нитрификации, как определено в настоящей заявке выше, т.е. ингибитор нитрификации, представляющий собой соединение формулы I, или его производное, и по меньшей мере одно удобрение применяют на растение, растущее в почве или заменителях почвы, и/или местоположение, где растение выращивают или предполагают выращивать, на стадии роста растения между GS 00 и GS 33 ВВСН.
В отдельных вариантах осуществления изобретения по меньшей мере один ингибитор нитрификации, как определено в настоящей заявке выше, т.е. ингибитор нитрификации, представляющий собой соединение формулы I, или его производное, и по меньшей мере одно удобрение применяют на растение, растущее в почве или заменителях почвы, и/или местоположение, где растение выращивают или предполагают выращивать, на стадии роста растения между GS 00 и GS 55 ВВСН.
В других определенных вариантах изобретения, по меньшей мере один ингибитор нитрификации, как определено в настоящей заявке выше, т.е. ингибитор нитрификации, представляющий собой соединение формулы I, или его производное, и по меньшей мере одно удобрение применяют на растение, растущее в почве или заменителях почвы, и/или местоположение, где растение выращивают или предполагают выращивать, во время посева, до всходов или на стадии роста (GS) между GS 00 и GS>ВВСН 99 растения (например, если удобрение вносят после сбора урожая яблок) и предпочтительно между GS 00 и 65 ВВСН растения.
В соответствии с предпочтительным вариантом осуществления настоящего изобретения применение указанного ингибитора нитрификации и указанного удобрения, определенных выше в настоящем изобретении, осуществляют одновременно или с временным промежутком. Термин "временной промежуток", используемый в данной заявке, означает, что или ингибитор нитрификации применяют перед удобрением к выращиваемым растениям на почву или почвенные заменители, и/или местоположение, где растение выращивают или предполагают выращивать; или удобрение применяют перед ингибитором нитрификации к выращиваемым растениям на почву или почвенные заменители, и/или местоположение, где растение выращивают или предполагают выращивать. Такой временной промежуток может быть любым пригодным периодом времени, который все еще позволяет обеспечить эффект ингибирования нитрификации в контексте применения удобрений. Например, временной промежуток может быть периодом времени в 1 день, 2 дня, 3 дня, 4 дня, 5 дней, 6 дней, 7 дней, 8 дней, 9 дней, 10 дней, 11 дней, 12 дней, 13 дней, 14 дней, 3 недели, 4 недели, 5 недель, 6 недель, 7 недель, 8 недель, 9 недель, 10 недель, 11 недель, 12 недель, 4 месяца, 5 месяцев, 6 месяцев, 7 месяцев, 8 месяцев, 9 месяцев, 10 месяцев или более, или любой период времени между указанными периодами времени. Предпочтительно, когда временной промежуток представляет собой интервал в 1 день, 2 дня, 3 дня, 1 неделю, 2 недели или 3 недели. Временной промежуток предпочтительно относится к ситуациям, в которых ингибитор нитрификации согласно вышеприведенному определению вносят через 1 день, 2 дня, 3 дня, 4 дня, 5 дней, 6 дней, 7 дней, 8 дней, 9 дней, 10 дней, 11 дней, 12 дней, 13 дней, 14 дней, 3 недели, 4 недели, 5 недель, 6 недель, 7 недель, 8 недель, 9 недель, 10 недель, 11 недель, 12 недель, 4 месяца, 5 месяцев, 6 месяцев, 7 месяцев, 8 месяцев, 9 месяцев, 10 месяцев или более, или любой период времени между указанными периодами времени, до применения удобрения, указанного выше в настоящей заявке.
В дальнейшем отдельном варианте осуществления изобретения по меньшей мере один ингибитор нитрификации, указанный в настоящем описании выше, то есть ингибитор нитрификации, представляющий собой соединение формулы I, или его производное применяют на стадиях роста растения между GS 00 до GS 33 ВВСН, или между GS 00 и GS 65 ВВСН, при условии, что применение по меньшей мере одного удобрения, указанного выше в данной заявке, осуществляют с временным промежутком по меньшей мере в 1 день, например, с временным промежутком, составляющим 1 день, 2 дня, 3 дня, 4 дня, 5 дней, 6 дней, 7 дней, 8 дней, 9 дней, 10 дней, 11 дней, 12 дней, 13 дней, 14 дней, 3 недели, 4 недели, 5 недель, 6 недель, 7 недель, 8 недель, 9 недель, 10 недель или более, или любой период времени между указанными периодами времени. Предпочтительно, когда ингибиторы нитрификации, которые применяют между GS 00 и GS 33 ВВСН вносят за 1 день, 2 дня, 3 дня, 4 дня, 5 дней, 6 дней, 7 дней, 8 дней, 9 дней, 10 дней, 11 дней, 12 дней, 13 дней, 14 дней, 3 недели 4 недели 5 недель, 6 недель, 7 недель, 8 недель, 9 недель, 10 недель, 11 недель или 12 недель до применения удобрения, указанного выше в настоящей заявке.
В дальнейшем отдельном варианте осуществления изобретения по меньшей мере одно удобрение, определенное в данной заявке выше, применяют между GS 00 и GS 33 ВВСН, или между GS 00 и GS 65 ВВСН, при условии, что применение по меньшей мере одного ингибитора нитрификации, указанного выше в данной заявке, то есть ингибитора нитрификации, который представляет собой соединение формулы I, или его производное, осуществляют с временным промежутком по меньшей мере в 1 день, например, с временным промежутком, составляющим 1 день, 2 дня, 3 дня, 4 дней, 5 дней, 6 дней, 7 дней, 8 дней, 9 дней, 10 дней, 11 дней, 12 дней, 13 дней, 14 дней, 3 недели 4 недели 5 недель, 6 недель, 7 недель, 8 недель, 9 недель, 10 недель или более, или любой период времени между указанными периодами времени.
В соответствии с отдельным вариантом осуществления настоящего изобретения растение, которое растет в почве или заменителях почвы и/или местоположение, где растение выращивают или предполагают выращивать, обрабатывают по меньшей мере один раз ингибитором нитрификации, как определено в настоящей заявке выше, т.е. ингибитором нитрификации, представляющим собой соединение формулы I, или его производное. В дальнейшем отдельном варианте осуществления настоящего изобретения растение, растущее в почве или заменителях почвы, и/или местоположение, где растение выращивают или предполагают выращивать, обрабатывают по меньшей мере один раз ингибитором нитрификации, как определено в настоящей заявке выше, т.е. ингибитором нитрификации, представляющим собой соединение формулы I или его производное, и по меньшей мере один раз удобрением, определенным в настоящей заявке выше.
Понятие "по меньшей мере один раз" означает, что нанесение может быть выполнено один раз, или несколько раз, т.е. что может быть предусмотрено повторение обработки ингибитором нитрификации и/или удобрением. Такое повторение обработки ингибитором нитрификации и/или удобрением может быть выполнено 2 раза, 3 раза, 4 раза, 5 раз, 6 раз, 7 раз, 8 раз, 9 раз, 10 раз или чаще. Кроме того, повторение обработки ингибитором нитрификации и удобрением может быть различным. Например, в то время как удобрение может быть применено только один раз, ингибитор нитрификации может быть применен 2 раза, 3 раза, 4 раза и т.д. В качестве альтернативы, в то время как ингибитор нитрификации может быть применен только один раз, удобрение может быть внесено 2 раза, 3 раза, 4 раза и т.д. Помимо этого предусмотрены все комбинации численно различных количеств повторений для применения ингибитора нитрификации и удобрения, определенных в настоящей заявке выше.
Кроме того, такую повторную обработку можно комбинировать с промежутком во времени между обработкой ингибитором нитрификации и удобрением, которые описаны выше.
Временной интервал между первым и вторым применением или последующим применением ингибитора нитрификации и/или удобрения может быть любым приемлемым интервалом. Этот интервал может находиться в диапазоне от нескольких секунд до 3-х месяцев, например, от нескольких секунд до 1 месяца, или от нескольких секунд до 2-х недель. В других вариантах осуществления, временной интервал может составлять от нескольких секунд до 3 дней или от 1 секунды до 24 часов.
В других отдельных вариантах осуществления способ снижения нитрификации, как описано выше, осуществляют путем обработки растения, растущего в почве или заменителях почвы, и/или местоположения, где растение выращивают или предполагают выращивать, по меньшей мере одной агрохимической смесью, определенной в настоящем описании выше, или композицией для снижения нитрификации, определенной в данной заявке выше.
В дальнейшем варианте осуществления настоящего изобретения агрохимическая смесь, включающая удобрение, содержащее аммоний или мочевину, и по меньшей мере один ингибитор нитрификации, указанный выше в данной заявке, применяют до и во время посева, до появления всходов и до GS>ВВСН 99 растения (например, во время внесения удобрений осенью после сбора урожая яблок). В случае если агрохимическая смесь представляет собой набор частей или представлена в виде нефизической смеси, то она может быть применена с временным промежутком между применением ингибитора нитрификации и удобрения или между нанесением ингибитора нитрификации и вторичного или последующего компонента, например пестицидного соединения, как упомянуто выше в данной заявке.
В дальнейшем варианте осуществления пропагулы растений предпочтительно обрабатывают одновременно (вместе или по отдельности) или последовательно.
Термин "пропагулы" или "пропагулы растений" следует понимать как означающий любую структуру, которая способна дать начало новому растению, например, семя, спора или часть растительного организма, способного к самостоятельному росту в случае отсоединения от родителя. В предпочтительном варианте осуществления изобретения термин "пропагулы" или "пропагулы растений" обозначает посевной материал.
Для описанного выше способа или для применения в соответствии с настоящим изобретением, в частности, для обработки семян и внесения в борозды, нормы расхода ингибиторов нитрификации, т.е. соединения формулы I, составляют от 0.01 г до 5 кг активного вещества на гектар, предпочтительно от 1 г до 1 кг активного вещества на гектар, особенно предпочтительно от 50 г до 300 г активного вещества на гектар в зависимости от различных параметров, таких как конкретное применяемое активное вещество и обрабатываемые виды растений. При обработке посевного материала, как правило, необходимые количества ингибиторов нитрификации могут составлять от 0.001 г до 20 г на кг семян, предпочтительно от 0.01 г до 10 г на кг семян, более предпочтительно от 0.05 до 2 г на кг семян.
Разумеется, если применяют ингибиторы нитрификации и удобрения (или другие компоненты) или их смеси, то соединения можно применять в эффективных и нефитотоксических количествах. Это означает, что их используют в количестве, которое позволяет получить желаемый эффект, но который не вызывает никаких фитотоксических симптомов у обработанного растения или у растения, выросшего из обработанных пропагул или обработанной почвы или заменителей почвы. Для применения в соответствии с изобретением нормы внесения удобрений могут быть выбраны таким образом, что количество внесенного N составляет между 10 кг и 1000 кг на гектар, предпочтительно между 50 кг и 700 кг на гектар.
Соединения ингибитора нитрификации в соответствии с изобретением, например, соединение I, как определено в настоящей заявке выше, или его производное, как определено в настоящей заявке выше, могут присутствовать в различных структурных или химических модификациях, биологическая активность которых может отличаться. Они равным образом являются объектом настоящего изобретения.
Соединения ингибитора нитрификации в соответствии с изобретением, их N-оксиды и/или их соли и т.п., могут быть преобразованы в обычные типы композиций, например, агрохимические или сельскохозяйственные композиции, такие как растворы, эмульсии, суспензии, тонкодисперсные порошки, порошки, пасты и гранулы.
Тип композиции зависит от конкретной цели применения; в каждом случае должно быть обеспечено тонкое и равномерное распределение соединения в соответствии с изобретением. Примерами типов композиций являются суспензии (SC, 00, FS), эмульгируемые концентраты (ЕС), эмульсии (EW, ЕО, ES), микроэмульсии (ME), пасты, пастилки, смачиваемые порошки или тонкие порошки (WP, SP, SS, WS, OP, OS) или гранулы (GR, FG, GG, MG), которые могут быть водорастворимыми или смачиваемыми, а также гелевые составы для обработки материала для размножения растений, такого как семена (GF). Обычно типы композиций (например, SC, 00, FS, ЕС, WG, SG, WP, SP, SS, WS, GF) применяют разбавленными. Типы композиций, такие как OP, OS, GR, FG, GG и MG обычно применяют в неразбавленном виде.
Композиции получают известным способом (см., например, US 3,060,084, ЕР 707 445 (для жидких концентратов), Browning: "Agglomeration", Chemical Engineering, Дек. 4, 1967, 147-48, Perry's Chemical Engineer's Handbook, 4-е изд., McGraw-Hili, Нью-Йорк, 1963, S. 8-57 и на др. cc. WO 91/13546, US 4,172,714, US 4,144,050, US 3,920,442, US 5,180,587, US 5,232,701, US 5,208,030, GB 2,095,558, US 3,299,566, Klingman: Weed Control as a Science (J. Wiley & Sons, Нью-Йорк, 1961), Hance и др.: Weed Control Handbook (8-е изд., Blackwell Scientific, Оксфорд, 1989) and Mollet, H. and Grubemann, Α.: Formulation technology (Wiley VCH Verlag, Вайнхайм, 2001). Композиции или смеси могут также содержать вспомогательные вещества, которые являются обычными, например, в агрохимических композициях. Используемые вспомогательные вещества зависят от конкретной формы применения и активного вещества.
Примерами пригодных вспомогательных веществ являются растворители, твердые носители, диспергаторы или эмульгаторы (такие как другие солюбилизаторы, защитные коллоиды, поверхностно-активные вещества и добавки, улучшающие сцепление), органические и неорганические загустители, бактерициды, антифризы, антивспениватели, при необходимости красители и вещества для повышения клейкости или связующие вещества (например, для составов для обработки семян). Пригодными растворителями являются вода, органические растворители, такие как минеральные фракции нефти от средней до высокой точки кипения, такие как керосин или дизельное топливо, кроме того, каменноугольные масла и масла растительного или животного происхождения, алифатические, циклические и ароматические углеводороды, например, толуол, ксилол, парафин, тетрагидронафталин, алкилированные нафталины или их производные, спирты, такие как метанол, этанол, пропанол, бутанол и циклогексанол, гликоли, кетоны, такие как циклогексанон и гамма-бутиролактон, диметиламиды жирных кислот, жирные кислоты и сложные эфиры жирных кислот и сильно полярные растворители, например, амины, такие как N-метилпирролидон.
Пригодными поверхностно-активными веществами (вспомогательные добавки, смачивающие агенты, вещества для повышения клейкости, диспергаторы или эмульгаторы) являются соли щелочных, щелочноземельных металлов и аммониевые соли ароматических сульфокислот, таких как, лигнинсульфокислота (типов Borrespers®, Borregaard, Норвегия), фенолсульфокислота, нафталинсульфокислота (типов Morwet®, Akzo Nobel, США), дибутилнафталинсульфокислота (типов Nekal®, BASF, Германия), и кислоты жирного ряда, алкилсульфонаты, алкиларилсульфонаты, алкилсульфаты, сульфаты лауриловых эфиров и сульфаты спиртов жирного ряда, и сульфатированные гекса-, гепта- и октадеканолы, сульфатированные гликолевые эфиры спирта жирного ряда, а также продукты конденсации нафталина или нафталинсульфокислот с фенолом и формальдегидом, полиоксиэтилен-октилфениловый эфир, этоксилированный изооктилфенол, октилфенол, нонилфенол, алкилфенилполигликолевые эфиры, трибутилфенилполигликолевые эфиры, тристеарилфенилполигликолевые эфиры, алкиларил-полиэфирные спирты, конденсаты окиси этилена и спирта жирного ряда, этоксилированное касторовое масло, полиоксиэтилен-алкиловые эфиры, этоксилированный полиоксипропилен, полигликольэфирный ацетат лаурилового спирта, сложные эфиры сорбита, лигнинсульфитные отработанные щелочи и белки, денатурированные белки, полисахариды (например, метилцеллюлоза), гидрофобно модифицированные крахмалы, поливиниловые спирты (типов Mowiol® Clariant, Швейцария), поликарбоксилаты (типов Sokolan®, BASF, Германия), полиалкоксилаты, поливиниламины (типов Lupasol®, BASF, Германия), поливинилпирролидон и его сополимеры. Примерами пригодных загустителей (т.е. соединений, которые придают композициям модифицированную текучесть, т.е. высокую вязкость в состоянии покоя и низкую вязкость в подвижном состоянии) являются полисахариды и органические и неорганические глинистые вещества, такие как ксантановая смола (Kelzan® CP Kelco, США), Rhodopol® 23 (Rhodia, Франция), Veegum® (R.T. Vanderbilt, США) или Attaclay® (Engelhard Corp., Нью-Джерси, США).
В отдельных вариантах осуществления, могут быть добавлены бактерициды для сохранения и стабилизации композиции. Примерами пригодных бактерицидов являются таковые на основе дихлорофена и полуформаля бензилового спирта (Proxel® от ICI или Acticide® RS от Thor Chemie и Kathon® МК от Rohm & Haas) и производные изотиазолинона, такие как алкилизотиазолиноны и бензизотиазолиноны (Acticide® MBS от Thor Chemie).
Примерами пригодных антифризов являются этиленгликоль, пропиленгликоль, мочевина и глицерин.
Примерами антивспенивателей являются силиконовые эмульсии (такие как, например, Silikon® SRE, Wacker, Германия или Rhodorsil®, Rhodia, Франция), длинноцепочечные спирты, жирные кислоты, соли жирных кислот, фторорганические соединения и их смеси.
Пригодными красителями являются малорастворимые в воде пигменты и растворимые в воде красители, например, Rhodamin В, С.I. пигмент красный 112 и С.I. сольвент красный 1, пигмент синий 15:4, пигмент синий 15:3, пигмент синий 15:2, пигмент синий 15:1, пигмент синий 80, пигмент желтый 1, пигмент желтый 13, пигмент красный 48:2, пигмент красный 48:1, пигмент красный 57:1, пигмент красный 53:1, пигмент оранжевый 43, пигмент оранжевый 34, пигмент оранжевый 5, пигмент зеленый 36, пигмент зеленый 7, пигмент белый 6, пигмент коричневый 25, основный фиолетовый 10, основный фиолетовый 49, кислотный красный 51, кислотный красный 52, кислотный красный 14, кислотный синий 9, кислотный желтый 23, основный красный 10, основный красный 108.
Кроме того, в композициях согласно вышеприведенному определению, могут присутствовать пахучие вещества. Такие пахучие вещества включают цитронеллинитрил, цитраль, тетрагидролиналоол, тетрагидрогераниол, геранонитрил, бета-лонон R, рутанол, линалилацетат, мориллол и метиловый эфир n-крезола.
Примерами веществ для повышения клейкости или связывающих веществ являются поливинилпирролидоны, поливинилацетаты, поливиниловые спирты и простые эфиры целлюлозы (Tylose®, Shin-Etsu, Япония).
Порошки, вещества для разбрасывания и тонкие порошки могут быть получены посредством смешивания или совместного размола соединения формулы I и при необходимости других активных веществ с по меньшей мере одним твердым носителем. Гранулы, например, покрытые гранулы, пропитанные гранулы и гомогенные гранулы, могут быть получены посредством соединения действующих веществ с твердыми носителями. Примерами твердых носителей являются минеральные земли, такие как силикагели, силикаты, тальк, каолин, аттаглина, известняк, известь, мел, болюс, лесс, глина, доломит, диатомовая земля, сульфат кальция, сульфат магния, оксид магния, размолотые синтетические материалы, удобрения, такие как, например, сульфат аммония, фосфат аммония, нитрат аммония, мочевины и продукты растительного происхождения, такие как мука зерновых культур, мука древесной коры, древесная мука и мука ореховой скорлупы, целлюлозный порошок или другие твердые носители.
Примерами типов композиций являются:
I) Водорастворимые концентраты (SL, LS) 10 мас. частей ингибитора нитрификации, такого как соединение формулы I в соответствии с изобретением, растворяют в 90 мас. частях воды или водорастворимого растворителя. В качестве альтернативы добавляют смачивающие агенты или другие вспомогательные вещества. При разбавлении в воде активное вещество растворяется. Таким образом, получают композицию с содержанием активного вещества 10 мас. %.
II) Диспергируемые концентраты (DC) 20 мас. частей ингибитора нитрификации, такого как соединение формулы I в соответствии с изобретением, растворяют в 70 мас. частях циклогексанона с добавлением 10 мас. частей диспергатора, например, поливинилпирролидона. При разбавлении водой образуется дисперсия. Содержание активного вещества составляет 20 мас. %.
III) Эмульгируемые концентраты (ЕС) 15 мас. частей ингибитора нитрификации, такого как соединение формулы I в соответствии с изобретением, растворяют в 75 мас. частях ксилола с добавлением додецилбензолсульфоната кальция и этоксилата касторового масла (в каждом случае по 5 мас. частей). При разбавлении водой образуется эмульсия. Композиция содержит 15 мас. % активного вещества.
IV) Эмульсии (EW, ЕО, ES) 25 мас. частей ингибитора нитрификации, такого как соединение формулы I в соответствии с изобретением, растворяют в 35 мас. частях ксилола с добавлением додецилбензолсульфоната кальция и этоксилата касторового масла (в каждом случае по 5 мас. частей). Эту смесь при помощи эмульгирующего устройства (Ultraturrax) вводят в 30 мас. частей воды и доводят до гомогенной эмульсии. При разбавлении водой образуется эмульсия. Композиция содержит 25 мас. % активного вещества.
V) Суспензии (SC, 00, FS) В шаровой мельнице с мешалкой 20 мас. частей ингибитора нитрификации, такого как соединение формулы I в соответствии с изобретением, с добавлением 10 мас. частей диспергаторов и смачивающих агентов и 70 мас. частей воды или органического растворителя измельчают до тонкой суспензии активного вещества. При разбавлении водой образуется стабильная суспензия активного вещества. Содержание активного вещества в композиции составляет 20 мас. %.
VI) Диспергируемые в воде гранулы и водорастворимые гранулы (WG, SG) 50 мас.частей ингибитора нитрификации, такого как соединение формулы I в соответствии с изобретением, измельчают при добавлении 50 мас. частей диспергаторов и смачивающих агентов и посредством технических устройств (например, экструзионного устройства, распылительной башни, псевдоожиженного слоя) получают диспергируемые в воде или водорастворимые гранулы. При разбавлении водой образуется стабильная дисперсия или раствор активного вещества. Композиция содержит 50 мас. % активного вещества.
VII) Диспергируемые в воде порошки и водорастворимые порошки (WP, SP, SS, WS) 75 мас.частей ингибитора нитрификации, такого как соединение формулы I в соответствии с изобретением, перемалывают в роторно-статорной мельнице при добавлении 25 мас. частей диспергаторов и смачивающих агентов и силикагеля. При разбавлении водой образуется стабильная дисперсия или раствор активного вещества. Содержание активного вещества в композиции составляет 75 мас. %.
VIII) Гель (GF) В шаровой мельнице с мешалкой 20 мас. частей ингибитора нитрификации, такого как соединение формулы I в соответствии с изобретением, при добавлении 10 мас. частей диспергаторов, 1 мас. части желирующего смачивающего агента и 70 мас. частей воды или органического растворителя измельчают до тонкой суспензии активного вещества. При разбавлении водой образуется стабильная суспензия активного вещества, посредством чего получают композицию с содержанием 20 мас. % активного вещества.
2. Типы композиций для применения неразбавленными
IX) Тонкие порошки (OP, OS) 5 мас. частей ингибитора нитрификации, такого как соединение формулы I в соответствии с изобретением, тонко измельчают и тщательно перемешивают с 95 мас. частями тонкодисперсного каолина. Вследствие чего получают композицию для опыления с содержанием активного вещества 5 мас. %.
X) Гранулы (GR, FG, GG, MG) 0.5 мас. частей ингибитора нитрификации, такого как соединение формулы I в соответствии с изобретением, тонко измельчают и связывают с 99.5 мас. частей носителей. При этом обычным способом является экструзия, распылительная сушка или обработка в псевдоожиженном слое. Вследствие чего получают гранулы для применения неразбавленными с содержанием активного вещества 0.5-10 мас. %, предпочтительно с содержанием активного вещества 0.5-2 мас. %.
XI) Растворы ULV (UL) 10 мас. частей ингибитора нитрификации, такого как соединение формулы I в соответствии с изобретением, растворяют в 90 мас. частей органического растворителя, например, ксилола. Это позволяет получить композицию для применения неразбавленной с содержанием активного вещества 10 мас. %.
Композиции, например, агрохимические или сельскохозяйственные композиции, как правило, содержат между 0.01 и 95 мас. %, предпочтительно между 0.1 и 90 мас. %, наиболее предпочтительно между 0.5 и 90 мас. % активного вещества. Активные вещества применяют с чистотой от 90% до 100%, предпочтительно от 95% до 100% (по спектру ЯМР).
Для обработки материалов для размножения растений, особенно семян, обычно применяют водорастворимые концентраты (LS), текучие концентраты (FS), порошки для сухой обработки (DS), диспергируемые в воде порошки для суспензионной обработки (WS), водорастворимые порошки (SS), эмульсии (ES), эмульгируемые концентраты (ЕС) и гели (GF).
Эти композиции можно применять на материалы для размножения растений, в частности, семена разбавленными или неразбавленными.
Соответствующие композиции после от двух- до десятикратного разбавления, обеспечивают концентрации активного вещества от 0.01 до 60 мас. %, предпочтительно от 0.1 до 40 мас. % в готовых к применению препаратах. Применение можно осуществлять как перед, так и во время посева.
Соответственно способы нанесения агрохимических или сельскохозяйственных соединений или смесей, или композиций, определенных в настоящей заявке, на материал для размножения растений, в особенности семена, растение и/или местоположение, где растение выращивают или предполагают выращивать, или способы обработки ими, известны из уровня техники и включают протравливание, покрытие, дражирование, опудривание, пропитывание и способы бороздового внесения материала для размножения. В предпочтительном варианте осуществления соединения или соответственно их композиции наносят на материал для размножения растений таким способом, что не вызывается прорастание, например, путем протравливания семян, дражирования, покрытия и опыления.
В предпочтительном варианте осуществления можно применять композицию типа суспензии (FS). Типично FS композиция может содержать 1-800 г/л активного вещества, 1 200 г/л поверхностно-активного вещества, от 0 до 200 г/л антифриза, от 0 до 400 г/л связующего вещества, от 0 до 200 г/л пигмента и до 1 литра растворителя, предпочтительно воды.
Активные вещества можно применять как таковые или в виде их композиций, например, в виде растворов для непосредственного опрыскивания, порошков, суспензий, дисперсий, эмульсий, масляных дисперсий, паст, тонких порошков, препаратов для разбрасывания или гранул, путем опрыскивания, мелкокапельного опрыскивания, опудривания, разбрасывания, нанесения кистью, окунания или полива.
Формы применения всецело зависят от предусмотренного назначения; в любом случае они должны обеспечивать тонкое и равномерное распределение активных веществ в соответствии с изобретением. Водные формы применения могут быть приготовлены из эмульсионных концентратов, паст или смачиваемых порошков (порошков для распыления, масляных дисперсий) посредством добавления воды.
Чтобы приготовить эмульсии, пасты или масляные дисперсии, вещества как таковые или растворенные в масле или растворителе, могут быть гомогенизированы в воде посредством смачивающего агента, вещества для повышения клейкости, диспергатора или эмульгатора. В качестве альтернативы можно приготовить концентраты, состоящие из активного вещества, смачивающего агента, вещества для повышения клейкости, диспергатора или эмульгатора и, при необходимости, растворителя или масла, и такие концентраты пригодны для разбавления водой.
Концентрации активных веществ в готовых к применению препаратах могут варьироваться в относительно широких пределах. Как правило, они составляют от 0.0001 до 90 мас. %, как например, от 30 до 80 мас. %, например, от 35 до 45 мас. % или от 65 до 75 мас. % активного вещества. Активные вещества можно также с успехом использовать в способе с ультранизким объемом (ULV), причем возможно вносить композиции с более чем 95 мас. % активного вещества или даже применять активное вещество без вспомогательных добавок.
К активным веществам или к содержащим их композициям можно добавлять различные типы масел, смачивающих агентов, вспомогательных добавок, гербицидов, бактерицидов, других фунгицидов или/или пестицидов при необходимости только непосредственно перед применением (смесь в баке). Такие агенты можно смешивать с композициями в соответствии с изобретением в массовом соотношении от 1:100 до 100:1, предпочтительно 1:10 до 10:1.
Добавки, которые могут быть использованы, в частности, представляют собой органически модифицированные полисилоксаны, такие как Break Thru S 240®; алкоксилаты спиртов, такие как Atplus 245®, Atplus MBA 1303®, Plurafac LF 300® и Lutensol ON 30®; ЭО/ПО блок-полимеры, например Pluronic RPE 2035® и Genapol В®; этоксилаты спиртов, такие как Lutensol ХР 80®; и диоктилсульфосукцинат натрия, такой как Leophen RA®.
В дополнительном аспекте изобретение относится к способу обработки удобрения или композиции. Эта обработка включает нанесение ингибитора нитрификации, который представляет собой соединение формулы I, как определено в настоящей заявке выше, на удобрение или композицию. Соответственно обработка может приводить к присутствию указанного ингибитора нитрификации на препарате удобрений или других композиций. Такая обработка может, например, привести к равномерному распределению ингибиторов нитрификации на или в препаратах удобрений. Способы обработки известны специалистам в данной области и могут включать, например, протравливание, покрытие, гранулирование, опудривание или пропитывание. В отдельном варианте осуществления обработка может заключаться в покрытии ингибиторов нитрификации препаратами удобрений или покрытии удобрений ингибиторами нитрификации. Обработка может быть основана на использовании методов грануляции, известных специалисту в данной области, например, грануляции в псевдоожиженном слое. В некоторых вариантах осуществления изобретения обработка может быть осуществлена композицией, содержащей ингибитор нитрификации, определенный выше в настоящей заявке, например, включающей, помимо ингибитора, носитель или пестицид, или любое другое пригодное дополнительное соединение, как упомянуто выше.
В дальнейшем отдельном варианте осуществления настоящее изобретение относится к способу обработки семян или материала для размножения растений. Термин "обработка семян", используемый в данной заявке, относится к или включает стадии в отношении контроля над биотическими стрессами на или в семенах и улучшения прорастания и развития растений из семян. Для обработки семян должно быть очевидно, что растение страдает от биотических стрессов, таких как грибковые или инсектицидные поражения, или что ему трудно получить достаточное количество пригодных источников азота, или что растение проявляет снижение всхожести и прорастания, что приводит к ухудшению укоренения и силы растения или сельскохозяйственной культуры и, следовательно, приводит к уменьшению урожая по сравнению с материалом для размножения растений, который был подвергнут лечебной или профилактической обработке против соответствующего вредного организма, и растение из которого может расти без ущерба, причиненного биотическим фактором стресса. Таким образом, среди прочих преимуществ способы обработки семян или материала для размножения растений в соответствии с изобретением приводят к усиленной жизнеспособности растений, лучшей защите от биотических стрессов и повышению урожайности растений.
Способы обработки с целью нанесения на семена смесей и их композиций в соответствии с изобретением, например, композиций или агрохимических композиций, определенных выше в данной заявке и, в частности, комбинаций ингибиторов нитрификации, определенных выше в данной заявке, и вторичных эффекторов, таких как пестициды, в частности, фунгициды, инсектициды, нематоциды и/или биопестициды, и/или биостимуляторы, или с целью обработки ими материалов для размножения растений, особенно семян, известны в данной области техники, и включают способы протравливания, нанесения покрытия, пленочного покрытия, гранулирования и замачивания материала для размножения. Такие способы также применимы к комбинациям или композициям в соответствии с изобретением.
В дополнительных вариантах осуществления обработку семян выполняют с помощью композиций, содержащих наряду с ингибитором нитрификации в соответствии с настоящим изобретением, например, композициями, определенными выше в данной заявке, фунгицид и инсектицид, или фунгицид и нематоцид, или инсектицид и биопестицид, и/или биостимулятор, или инсектицид и нематоцид, или инсектицид и биопестицид и/или биостимулятор, или нематоцид и биопестицид и/или биостимулятор, или комбинацию фунгицида, инсектицида и нематоцида, или комбинацию фунгицида, инсектицида и биопестицида и/или биостимулятора, или комбинацию инсектицида, нематоцида и биопестицида и т.д.
В предпочтительном варианте осуществления сельскохозяйственную композицию или комбинацию, содержащую ингибитор нитрификации в соответствии с настоящим изобретением, например, определенную в настоящем описании выше, наносят на или обрабатывают ими материал для размножения растений таким способом, чтобы это не отразилось негативно на прорастании. Соответственно, примерами пригодных способов нанесения (или обработки) на материал для размножения растений, такой как семена, являются протравливание семян, покрытие семян или гранулирование семян и т.п. Предпочтительно, если материал для размножения растений представляет собой семена, части семян (т.е. черенки) или семенную луковицу.
Хотя считается, что данный способ может быть применен к семенам в любом физиологическом состоянии, но предпочтительно, чтобы семена находились в достаточно стабильном состоянии и не повреждались во время процесса обработки. Как правило, семена должны представлять собой семена, которые были собраны с поля; извлечены из растения и отделены от початка, черенков, наружной шелухи и окружающих волокон или другого не семенного материала. Семена предпочтительно должны быть биологически стабильны в такой степени, чтобы обработка не вызвала никаких биологических повреждений семян. Считается, что обработка может быть применена к семенам в любое время в период от сбора семян до посева семян или во время высевания (прямое нанесение на семена). Семена также могут быть внесены в грунт или до, или после обработки.
Во время обработки материала для размножения предпочтительным является равномерное распределение компонентов в композициях или смесях, определенных в данной заявке, и их прилипание к семенам. Обработка может варьироваться от покрытия тонкой пленкой (протравливание) состава, содержащего комбинацию, например, смеси активного вещества (веществ), материала для размножения растений, такого как семена, где первоначальный размер и/или форма различимы в промежуточном состоянии (например, покрытие), до последующего покрытия более толстой пленкой (например, гранулирование с обеспечением большего числа слоев различных веществ (таких как носители, например, глины; различные составы, такие как другие активные компоненты; полимеры; и красители), где первоначальная форма и/или размер семян больше не узнаваемы.
Один аспект настоящего изобретения включает применение композиции, например, сельскохозяйственной композиции или комбинации, содержащей ингибитор нитрификации в соответствии с настоящим изобретением, например, как определено в настоящей заявке выше, целенаправленно на материал для размножения растений, включая размещение компонентов в комбинации на весь материал для размножения растений или только на его части, включая размещение только на одну сторону или части одной стороны. Среднему специалисту в данной области техники известны эти способы применения из описания, представленного в ЕР 954213 В1 и WO 06/112700.
Композицию, например, сельскохозяйственную композицию или комбинацию, содержащую ингибитор нитрификации в соответствии с настоящим изобретением, например, определенный выше в данной заявке, также можно применять в форме "таблеток" или "пеллет", или в пригодном субстрате, путем помещения, посева обработанной таблетки или субстрата рядом с материалом для размножения растений. Такие методики известны в данной области техники, в частности, в ЕР 1124414, WO 07/67042 и WO 07/67044. Нанесение композиции, например, сельскохозяйственной композиции или комбинации, содержащей ингибитор нитрификации в соответствии с настоящим изобретением, например, определенного в настоящем описании выше, на материал для размножения растений, также включает защиту материала для размножения растений, обработанного комбинацией в соответствии с настоящим изобретением, путем помещения одной или нескольких частиц, содержащих пестицид и ингибитор нитрификации (ИН), рядом с семенами, обработанными пестицидом и ИН, причем количество пестицида является таким, что обработанные пестицидом семена и содержащие пестицид частицы вместе содержат эффективную дозу пестицида, а доза пестицида, содержащаяся в обработанном пестицидом посевном материале является меньшей или равна максимальной нефитотоксической дозе пестицида. Такие методики известны из уровня техники, в частности, из заявки WO 2005/120226.
Нанесение комбинаций на семена также включает покрытия семян составом с контролируемым высвобождением, причем компоненты комбинаций включены в материалы, которые высвобождают компоненты с течением времени. Примеры технологий обработки семян покрытиями с контролируемым высвобождением, как правило, известны из уровня техники и включают полимерные пленки, воски или другие покрытия семян, причем компоненты могут быть включены в материал с контролируемым высвобождением или нанесены между слоями материалов, или и то, и другое вместе.
Семена можно обрабатывать путем нанесения на них соединений, присутствующих в смесях в соответствии с изобретением, в любой желаемой последовательности или одновременно.
Обработку семян осуществляют на незасеянных семенах, и термин "незасеянные семена" означает семена в любой период между сбором урожая семян и посевом семян в почву с целью прорастания и роста растения.
Обработка незасеянных семян не подразумевает включение тех методов, в которых активное вещество вносят в почву или заменители почвы, но включает любой метод внесения, который был бы нацелен на семена в процессе посадки.
Предпочтительно обработку осуществляют до посева семян, так чтобы высеянные семена предварительно были обработаны комбинацией. В частности, при обработке комбинациями в соответствии с изобретением предпочтение отдают покрытию семян или дражированию семян. В результате обработки компоненты в каждой комбинации прилипают к семенам и таким образом доступны для борьбы с вредителями.
Обработанные семена можно хранить, транспортировать, высевать и культивировать таким же образом, как и любые семена, обработанные другими активными веществами.
С целью обработки материалов для размножения растений, особенно семян, как правило, используют растворы для обработки семян (LS), суспоэмульсии (SE), текучие концентраты (FS), порошки для сухой обработки (DS), диспергируемые в воде порошки для обработки взвесью (WS), водорастворимые порошки (SS), эмульсии (ES), эмульгируемые концентраты (ЕС) и гели (GF). Предпочтительными примерами типов составов для обработки семян или предварительно смешанных композиций для внесения в почву являются типы WS, LS, ES, FS, WG или CS.
После от двух- до десятикратного разбавления соответствующие композиции, имеют концентрации активного вещества от 0.01 до 60 мас. %, предпочтительно от 0.1 до 40 мас. % в готовых к применению препаратах. Применение можно осуществлять как перед, так и во время посева. Способы нанесения или обработки композициями или комбинациями, содержащими ингибитор нитрификации в соответствии с настоящим изобретением, например, как определено в настоящей заявке выше, материала для размножения растений, в особенности семян, включают протравливания, покрытие, дражирование, опудривание, пропитывание и способы бороздового внесения материала для размножения. Предпочтительно, композиции или комбинации, содержащие ингибитор нитрификации в соответствии с настоящим изобретением, например, как определено в настоящей заявке выше, наносят на материал для размножения растений таким способом, что не вызывается прорастание, например, путем протравливания семян, дражирования, покрытия и опыления.
Обычно предварительно смешанный состав, предназначенный для обработки семян, содержит от 0.5 до 99.9 процентов, в особенности, от 1 до 95 процентов, необходимых компонентов и от 99.5 до 0.1 процента, в особенности, от 99 до 5 процентов, твердой или жидкой вспомогательной добавки (в том числе, например, растворителя, такого как вода), где вспомогательным веществом может быть поверхностно-активное вещество в количестве от 0 до 50 процентов, в особенности, от 0.5 до 40 процентов, в пересчете на предварительно смешанный состав. В то время как коммерческие продукты предпочтительно готовят в виде концентратов (например, предварительно смешанная композиция (состав)), конечный пользователь обычно использует разбавленные составы (например, составы для смешивания в баке).
При использовании для защиты растений общие количества применяемых активных компонентов в зависимости от желаемого эффекта составляют от 0.001 до 10 кг на га, предпочтительно от 0.005 до 2 кг на га, более предпочтительно от 0.05 до 0.9 кг на га, в частности, от 0.1 до 0.75 кг на га. Нормы расхода могут находиться в диапазоне от приблизительно 1 × 106 до 5 × 1015 (или более) КОЕ/га. Предпочтительно концентрация спор составляет от приблизительно 1 × 107 до приблизительно 1 × 1011 КОЕ/га. В случае (энтомопатогенных) нематод в качестве микробных пестицидов (например, Steinernema feltiae), предпочтительные нормы расхода находятся в диапазоне от приблизительно 1 × 105 до 1 × 1012 (или более), более предпочтительно от 1 × 108 до 1 × 1011, еще более предпочтительно от 5 × 108 до 1 × 1010 особей на гектар (например, в виде яиц, неполовозрелых особей или любых других живых стадий, предпочтительно в инфекционной неполовозрелой стадии).
При применении для защиты растений путем обработки семян количество композиций или комбинаций, содержащих ингибитор нитрификации в соответствии с настоящим изобретением, например, как определено в настоящей заявке выше (в пересчете на суммарную массу активных компонентов) находится в диапазоне 0.01-10 кг, предпочтительно 0.1-1000 г, более предпочтительно 1-100 г на 100 килограмм материала для размножения растений (предпочтительно семян). Применительно к материалу для размножения растений нормы внесения могут находиться в диапазоне от приблизительно 1 × 106 до 1 × 1012 (или более) КОЕ/семена. Предпочтительно концентрация составляет от приблизительно 1 × 106 до приблизительно 1 × 1011 КОЕ/семян. Альтернативно нормы внесения применительно к материалу для размножения растений могут находиться в диапазоне от приблизительно 1 × 107 до 1 × 1014 (или более) КОЕ на 100 кг семян, предпочтительно от 1 × 109 до приблизительно 1 × 1011 КОЕ на 100 кг семян.
Настоящее изобретение дополнительно иллюстрируется следующими примерами.
Примеры
Пример 1
Соединения в соответствии с изобретением были протестированы следующим образом с точки зрения ингибирования нитрификации:
100 г почвы заполняют в пластиковые бутылки емкостью 500 мл (например, образцами почвы, отобранной с поля) и увлажняют до уровня 50% от водоудерживающей способности. Почву инкубируют при 20°С в течение двух недель, чтобы активировать микробную биомассу. 1 мл тестового раствора, содержащего соединение в соответствующей концентрации (обычно 0.3 или 1% азота Ν) или ДМСО и 10 мг азота в форме сульфата аммония-Ν добавляют в почву и все хорошо перемешивают. Бутылки закрывают крышкой, но свободно, чтобы обеспечить воздухообмен. После этого бутылки инкубируют при 20°С в течение 0 и 14 дней.
Для анализа 300 мл 1% раствора K2SO4 добавляют в бутылку с почвой и встряхивают в течение 2 часов в горизонтальном шейкере при 150 об/мин. Затем весь раствор фильтруют через фильтр (Macherey-Nagel Filter MN 807
). Впоследствии анализируют содержание аммония и нитрата в фильтрате в автоанализаторе при 550 нм (Merck, АА11).
Ингибирование (ИН @ указанная концентрация) рассчитывают следующим образом:
Были протестированы следующие соединения общей формулы I.1(i).
Кроме того, были протестированы следующие соединения общей формулы I.3(i).
Кроме того, были протестированы следующие соединения общей формулы I.3(ii).
| название | год | авторы | номер документа |
|---|---|---|---|
| ПРИМЕНЕНИЕ N-ФУНКЦИОНАЛИЗИРОВАННЫХ АЛКОКСИПИРАЗОЛЬНЫХ СОЕДИНЕНИЙ В КАЧЕСТВЕ ИНГИБИТОРОВ НИТРИФИКАЦИИ | 2019 |
|
RU2797246C2 |
| ПРИМЕНЕНИЕ АЛКОКСИПИРАЗОЛОВ В КАЧЕСТВЕ ИНГИБИТОРОВ НИТРИФИКАЦИИ | 2019 |
|
RU2794262C2 |
| СИЛИЛЭТИНИЛ-ГЕТАРИЛЬНЫЕ СОЕДИНЕНИЯ В КАЧЕСТВЕ ИНГИБИТОРОВ НИТРИФИКАЦИИ | 2019 |
|
RU2790292C2 |
| БЕНЗИЛПРОПАРГИЛОВЫЕ ПРОСТЫЕ ЭФИРЫ В КАЧЕСТВЕ ИНГИБИТОРОВ НИТРИФИКАЦИИ | 2015 |
|
RU2731051C2 |
| ПЕСТИЦИДНЫЕ ПИРАЗОЛЬНЫЕ И ТРИАЗОЛЬНЫЕ ПРОИЗВОДНЫЕ | 2020 |
|
RU2834738C2 |
| СОЕДИНЕНИЯ ПИРИМИДИНИЯ И ИХ СМЕСИ ДЛЯ ПОДАВЛЕНИЯ ЖИВОТНЫХ-ВРЕДИТЕЛЕЙ | 2018 |
|
RU2765370C2 |
| СМЕСЬ ДЛЯ ОБРАБОТКИ СОДЕРЖАЩИХ МОЧЕВИНУ УДОБРЕНИЙ | 2016 |
|
RU2734700C2 |
| КОМБИНАЦИИ, ВКЛЮЧАЮЩИЕ ЭПОТИЛОНЫ И ИНГИБИТОРЫ ПРОТЕИНТИРОЗИНКИНАЗЫ И ИХ ФАРМАЦЕВТИЧЕСКОЕ ПРИМЕНЕНИЕ | 2005 |
|
RU2423980C2 |
| КОМПОЗИЦИЯ, ВКЛЮЧАЮЩАЯ ИНГИБИТОР УРЕАЗЫ | 2017 |
|
RU2777668C2 |
| АЗОЛИНОВЫЕ СОЕДИНЕНИЯ, ЗАМЕЩЕННЫЕ КОНДЕНСИРОВАННОЙ КОЛЬЦЕВОЙ СИСТЕМОЙ | 2015 |
|
RU2742767C2 |
Настоящее изобретение относится к области агрохимии, а именно к применению новых ингибиторов нитрификации формулы (I), которые представляют собой N-функционализированные алкоксипиразольные соединения. Предложено применение N-функционализированного алкоксипиразольного соединения формулы I
(I) или его соли в качестве ингибитора нитрификации, где R1 означает C1-C2-алкил или бензил; R2 означает C1-алкил; RN означает CHRaORb 1 и где Ra означает H; Rb означает H; n означает 0 или 1. Применение композиции для снижения нитрификации, содержащей по меньшей мере одно соединение формулы I и по меньшей мере один носитель. Агрохимическая смесь, содержащая по меньшей мере одно удобрение и по меньшей мере одно соединение формулы I. Способ снижения нитрификации. Способ обработки удобрения или композиции для снижения нитрификации. Заявленная группа изобретений обеспечивает применение N-функционализированных алкоксипиразольных соединений формулы I в качестве ингибиторов нитрификации, которые имеют высокую активность, обладают пониженной летучестью и токсичностью. 4 н. и 8 з.п. ф-лы, 13 табл., 1 пр.
1. Применение N-функционализированного алкоксипиразольного соединения формулы I
или его соли в качестве ингибитора нитрификации, где
R1 означает C1-С2-алкил или бензил;
R2 означает C1-алкил;
RN означает CHRaORb;
и где
Ra означает Н;
Rb означает Н;
n означает 0 или 1.
2. Применение по п. 1, где
n означает 0, т.е. R2 отсутствует; или
n означает 1, и R2 означает C1-алкил.
3. Применение композиции для снижения нитрификации, содержащей по меньшей мере одно соединение формулы I по любому из пп.1, 2 и по меньшей мере один носитель.
4. Агрохимическая смесь, содержащая (i) по меньшей мере одно удобрение; и (ii) по меньшей мере одно соединение формулы I по любому из пп. 1, 2, или композицию по п. 3.
5. Применение по любому из пп. 1, 2, где указанное соединение формулы I применяют в комбинации с удобрением, необязательно в виде агрохимической смеси по п. 4.
6. Применение по любому из пп. 1, 2 или 5, где указанное снижение нитрификации происходит в или на растении, в корневой зоне растения, в или на почве или заменителях почвы и/или в местоположении, где растение выращивают или предполагают выращивать.
7. Способ снижения нитрификации, включающий обработку растения, растущего в почве или заменителях почвы, и/или местоположения, или почвы или заменителей почвы, где растение выращивают или предполагают выращивать, по меньшей мере одним соединением формулы I по любому из пп. 1, 2 или композицией по п. 3.
8. Способ по п. 7, где растение, и/или местоположение, или почву или заменители почвы, где растение выращивают или предполагают выращивать, дополнительно обеспечивают удобрением.
9. Способ по п. 7 или 8, где применение указанного соединения формулы I и указанного удобрения осуществляют одновременно или с временным интервалом, предпочтительно интервалом в 1 день, 2 дня, 3 дня, 1 неделю, 2 недели или 3 недели.
10. Способ обработки удобрения или композиции для снижения нитрификации, включающий применение ингибитора нитрификации по любому из пп. 1, 2.
11. Агрохимическая смесь по п, 4, применение по п. 5 или 6 или способ по любому из пп. 8-10, где указанное удобрение представляет собой твердое или жидкое аммоний-содержащее неорганическое удобрение, такое как АФК удобрение, нитрат аммония, нитрат кальция-аммония, сульфат-нитрат аммония, сульфат аммония или фосфат аммония; твердое или жидкое органическое удобрение, такое как жидкий навоз, полужидкий навоз, биогазовый навоз, стойловый навоз и соломистый навоз, копролиты червей, компост, морские водоросли или гуано, или удобрение, содержащее мочевину, такое как мочевина, формальдегидная мочевина, безводный аммиак, раствор мочевино-аммониевого нитрата (МАН), мочевина-сера, АФК удобрения на основе мочевины или мочевино-аммониевый сульфат.
12. Применение по п. 6 или 11 или способ по любому из пп. 7-9 или 11, где указанное растение представляет собой сельскохозяйственное растение, такое как пшеница, ячмень, овес, рожь, соевые бобы, кукуруза, картофель, масличный рапс, канола, подсолнечник, хлопчатник, сахарный тростник, сахарная свекла, рис или овощное растение, такое как шпинат, латук, спаржа или виды капусты; или сорго; лесоводческое растение; декоративное растение; или садовое растение, каждое в его природной или в генетически модифицированной форме.
| WO 2016124769 A1, 11.08.2016 | |||
| WO 2017184810 A1, 26.10.2017 | |||
| US 4673429 A, 16.06.1987 | |||
| Коловратный двигатель с концентричным барабаном | 1925 |
|
SU2098A1 |
| КОМПОЗИЦИЯ ДЛЯ ТОРМОЖЕНИЯ ИЛИ РЕГУЛИРОВАНИЯ НИТРИФИКАЦИИ АММОНИЕВОГО АЗОТА В ПОЧВЕ И СУБСТРАТЕ | 1994 |
|
RU2083538C1 |
Авторы
Даты
2025-04-11—Публикация
2023-05-26—Подача