КОМПОЗИЦИИ И СПОСОБЫ И ОТНОСЯЩИЕСЯ К НИМ ПРИМЕНЕНИЯ Российский патент 2025 года по МПК C10L1/19 C10L10/04 C10L10/08 

Описание патента на изобретение RU2838414C1

Настоящее изобретение относится к способам и применениям, нацеленным на улучшение эксплуатационных характеристик топливных композиций с помощью добавок. Изобретение относится к композициям дизельного топлива и к композициям бензинового топлива, подходящим для работы современных двигателей, в которых топливные форсунки подвергаются воздействию высоких температур и давлений. В частности, изобретение относится к добавкам для композиций дизельного топлива, в особенности, применяемым в работе дизельных двигателей с топливными системами высокого давления.

Из-за требований, предъявляемых как потребителями, так и законодательством, за прошедшее время дизельные двигатели стали намного более энергоэффективными, их эксплуатационные характеристики были улучшены, что привело к снижению выбросов в атмосферу.

Усовершенствование эксплуатационных характеристик и снижение выбросов в атмосферу стало возможным благодаря усовершенствованию процесса сгорания. Для достаточного распыления топлива, необходимого для улучшения сгорания, было создано оборудование для впрыска топлива, в котором применяют повышенные давления впрыска и уменьшенные диаметры отверстий сопла форсунки для впрыска топлива. В настоящее время величина давления топлива во впрыскивающем сопле превышает 1500 бар (1,5×108 Па). Для достижения таких давлений над топливом должна быть произведена работа, которая также повышает температуру топлива. Высокие давления и температуры могут вызывать разложение топлива. Кроме того, для контроля момента впрыска, количества впрыска, а также для управления впрыском топлива требуется все более высокая точность. Поддержание точного дозирования топлива необходимо для достижения оптимальных эксплуатационных характеристик.

Дизельные двигатели с топливными системами высокого давления могут включать, без ограничений, дизельные двигатели большой мощности и дизельные двигатели пассажирских автомобилей, имеющие меньшие размеры. Дизельные двигатели большой мощности могут включать очень мощные двигатели, такие как дизельный двигатель MTU серии 4000, включающий 20-цилиндровые модели, сконструированные в основном для кораблей и имеющие выход энергии мощностью до 4300 кВт, или такие двигатели, как Renault dXi 7, включающий 6 цилиндров и имеющий мощность приблизительно 240 кВт. Типичным дизельным двигателем пассажирского автомобиля является Peugeot DW10, включающий 4 цилиндров и имеющий мощность 100 кВт или менее в зависимости от модели.

Общей проблемой дизельных двигателей является засорение форсунок, в частности, корпуса форсунки и сопла форсунки. Кроме того, может происходить засорение топливного фильтра. Засорение сопла форсунки происходит, если сопло закупоривается отложениями, образуемыми дизельным топливом. Засорение топливных фильтров может быть связано с рециркуляцией топлива обратно в топливный бак. Образование отложений интенсифицируется по мере разложения топлива. Отложения могут образовываться в виде углеродсодержащих коксообразных остатков, лаковых отложений или липких или смолообразных остатков. Дизельные топлива становятся более и более нестабильными по мере их нагревания, в частности, нагревания под давлением. Таким образом, в дизельных двигателях с топливными системами высокого давления может происходить усиленное разложение топлива. В последние годы для соответствия требованиям к снижению выбросов в атмосферу происходит постоянное обновление конструкций систем впрыска. Это приводит к усложнению конструкций форсунок и их низкой резистентности к образованию отложений.

Засорение форсунок может произойти при использовании любого типа дизельного топлива. Однако некоторые виды топлива могут быть особенно предрасположены к образованию засорений, или засорение может происходить быстрее при использовании этих видов топлива. Например, усиление образования отложений может происходить при использовании топлив, содержащих биодизельное топливо, и топлив, содержащих соединения металлов.

При полном или частичном закупоривании форсунок подача топлива снижается, и смешивание топлива с воздухом ухудшается. С течением времени это приводит к снижению мощности двигателя, увеличению выбросов выхлопных газов в атмосферу и снижению экономии топлива.

Известно, что отложения образуются в распылительных каналах форсунки, что приводит к уменьшению потока и снижению мощности. Чем меньше размер отверстия сопла форсунки, тем выше относительное влияние нарастания отложений. Также известно, что отложения формируются на кончике форсунки. Такие отложения негативно влияют на схему распыления топлива, что приводит кснижению эффективности сгорания и повышению выбросов в атмосферу, а также к повышению потребления топлива.

Кроме таких "наружных" отложений в отверстии сопла форсунки и на кончике форсунки, которые затрудняют течение топлива и вызывают потери мощности, отложения могут образовываться внутри корпуса форсунки, создавая дополнительные проблемы. Эти отложения могут быть названы внутренними отложениями форсунок дизельного двигателя (сокращенно ВОФД, от англ. internal diesel injector deposit, сокращенно IDID). ВОФД дополнительно образуются внутри форсунки на важных движущихся деталях. Они могут затруднять движение таких деталей, негативно влияя на момент впрыска и количество впрыскиваемого топлива. Поскольку современные дизельные двигатели должны работать с очень высокой точностью, эти отложения могут серьезно ухудшать эксплуатационные характеристики.

Образование ВОФД создает ряд проблем, включающих снижение мощности и снижение экономии топлива из-за менее оптимального дозирования и сгорания топлива. Изначально в двигателе могут возникнуть проблемы при холодном запуске и/или двигатель может начать работать на жестком ходу. Образование таких отложений может приводить и к более серьезному засорению форсунок. Это происходит, если образованные отложения препятствуют движению деталей форсунки, в результате чего форсунка перестает работать. Закупоривание нескольких или всех форсунок может привести к полной остановке двигателя.

Специалисты в данной области техники признают, что образование ВОФД является серьезной проблемой, и организацией, курирующей данную отрасль техники, т.е. Европейским Советом по координации усовершенствований способов испытания эксплуатационных качеств смазочных материалов и моторных топлив (англ. Coordinating European Council, сокращенно СЕС) было разработано новое испытание двигателя. Было разработано определение ВОФД в двигателе DW10C, которое позволяет отличить топливо, использование которого не приводит к регистрируемому образованию отложений, от топлива, использование которого приводит к образованию отложений, которые до неприемлемой степени снижают способность двигателя к легкому запуску. Задача испытания состоит в возможности классифицировать топлива по их способности образовывать ВОФД в дизельных двигателях с общей магистралью (нагнетательным трубопроводом) прямого впрыска.

Авторы настоящего изобретения проводили исследование внутренних отложений на форсунках дизельного двигателя и обнаружили, что эти отложения содержат ряд компонентов. Наряду с углеродсодержащими отложениями, присутствующие лаковые отложения и/или карбоксилатные остатки могут приводить к заклиниванию (заеданию, вызванному засорением) форсунки.

Лаковые отложения представляет собой отложения, подобные лаковым покрытиям, которые нерастворимы в топливе и обычных органических растворителях. При анализе некоторых лаковых отложений было обнаружено, что они содержат амидные функциональные группы, что позволило предположить, что они образуются из-за наличия в топливе веществ, содержащих низкомолекулярные амиды.

Карбоксилатные остатки могут попадать в топливо из различных источников. Согласно изобретению, под карбоксилатными остатками понимают соли карбоновых кислот. Они могут представлять собой остатки короткоцепочечных карбоновых кислот, но чаще они представляют собой остатки длинноцепочечных жирных кислот. Остатки карбоновых кислот могут присутствовать в виде солей аммония и/или металлов. Как карбоновые кислоты, так и металлы могут попадать в дизельное топливо из различных источников. Карбоновые кислоты могут появляться в результате окисления топлива, могут образовываться при сжигании, и обычно их добавляют в топливо в качестве добавок, повышающих смазывающую способность, и/или ингибиторов коррозии. Остаточные жирные кислоты могут присутствовать в сложных метиловых эфирах жирных кислот, содержащихся в биодизельном топливе, и, кроме того, они могут присутствовать как побочные продукты в других добавках. В топливе также могут присутствовать производные жирных кислот, которые могут вступать в реакции или разлагаться с образованием карбоновых кислот.

В топливных композициях могут присутствовать различные металлы. Они могут появляться в результате загрязнения топлива в процессе его получения, хранения, транспортировки или использования, или быть результатом загрязнения топливных добавок. Соединения металлов также могут быть добавлены в топливо намеренно. Например, иногда в топливо в качестве катализаторов, переносимых с топливом (топливных катализаторов), добавляют переходные металлы, например, для улучшения эксплуатационных характеристик фильтров для очистки дизельного топлива от порошкообразных частиц (так называемых сажевых фильтров).

Авторы настоящего изобретения полагают, что одной из многих причин заклинивания форсунки являются продукты реакций соединений металлов или аммония с производными карбоновых кислот, находящимися в топливе. Например, заклинивание форсунки происходит при загрязнении топлива соединениями натрия. Натрийсодержащие загрязнения могут возникать по ряду различных причин. Например, этап промывки, используемый в способе гидродесульфирования, может включать применение гидроксида натрия, присутствие которого может приводить к образованию загрязнений. Натрий также может попадать в топливо в результате применения замедлителей коррозии трубопроводов, содержащих натрий. В другом случае загрязнение может объясняться присутствием кальция, например, выделяющегося в результате взаимодействия со смазывающим веществом или в результате загрязнения смазывающим веществом, или при попадании хлорида кальция, находящегося в соли, применяемой при обработке на нефтеперерабатывающих заводах. Могут присутствовать другие загрязняющие металлы, например, попадающие при транспортировке из водяных подушек на дне нефтяных резервуаров.

Полагают, что одной из причин заклинивания форсунок является загрязнение дизельного топлива солями карбоновых кислот, которые образуются в результате действия соединений металлов. Другой важной причиной заклинивания форсунки является образование лаковых отложений.

Одним из вариантов борьбы с ВОФД и заклиниванием форсунок из-за наличия карбоксилатных солей является устранение источника загрязняющего металла и/или карбоновых кислот или попытка устранения карбоновых кислот, приводящих к возникновению наиболее острых проблем. Такие попытки не были абсолютно успешными, то есть все еще имеется необходимость создания добавок, обеспечивающих возможность регулирования образования ВОФД.

Добавки, регулирующие образование и состояние отложений, часто включают в топливо для борьбы с отложениями в сопле форсунки или на кончике форсунки. В контексте настоящего изобретения эти отложения могут быть названы "наружными отложениями на форсунках". Добавки также применяют для регулирования образования и состояния отложений на топливных фильтрах транспортного средства. Однако было обнаружено, что добавки, подходящие для регулирования "наружных отложений" и отложений на топливных фильтрах, не всегда позволяют регулировать образование ВОФД. Таким образом, задача изготовителей добавок состоит в предоставлении более эффективных моющих агентов.

Одна из задач настоящего изобретения состоит в предоставлении способов и применений, позволяющих улучшать эксплуатационные характеристики дизельного двигателя, в частности, дизельного двигателя, включающего топливную систему высокого давления. Это может быть достигнуто, например, посредством предотвращения или снижения интенсивности образования ВОФД и/или уменьшения или удаления существующих ВОФД. Изобретение относится к способам и применениям, обеспечивающим контроль "наружных отложений на форсунке" и/или отложений на топливном фильтре.

Другая задача настоящего изобретения состоит в предоставлении добавки, подходящей для добавления в бензиновые композиции, где добавка снижает интенсивность образования отложений в двигателях с принудительным зажиганием, в частности, в двигателях с непосредственным впрыском топлива и принудительным зажиганием (англ. direct injection spark ignition, сокращенно DISI). Они также называются двигателями с непосредственным впрыском бензинового топлива (англ. direct injection gasoline, сокращенно DIG, или gasoline direct injection, сокращено GDI). Такие двигатели включают системы впрыска, в которых топливо впрыскивают непосредственно в камеру сгорания. Несмотря на то, что такая система обеспечивает надежное сгорание, указанная стратегия впрыска предусматривает воздействие на топливную форсунку высоких температур и давлений, что повышает вероятность образования отложений в результате высокотемпературного разложения топлива. Расположение форсунки внутри камеры сгорания также подразумевает воздействие на форсунку газообразных продуктов горения, которые могут содержать частично окисленное топливо и или частицы сажи, которые могут накапливаться, что приводит к увеличению уровня отложений. Возможность обеспечения высокой степени распыления топлива, точного контроля расхода топлива и продолжительности впрыска является критической функцией для достижения оптимальных эксплуатационных характеристик указанных двигателей. Таким образом, контроль отложений на этом участке очень важен.

Снижение или предотвращение образования отложений может рассматриваться как обеспечение характеристики "поддержания чистоты". Уменьшение или удаление существующих отложений может рассматриваться как обеспечение характеристики "очистки". Задача настоящего изобретения состоит в обеспечении характеристик "поддержания чистоты" и/или "очистки".

В данной области техники известно множество различных соединений, которые добавляют в композиции топливного масла в качестве моющих добавок для регулирования образования отложений в двигателях. Примеры обычно применяемых моющих добавок включают замещенные гидрокарбилом амины, замещенные гидрокарбилом сукцинимиды, продукты реакции Манниха и четвертичные соли аммония. Все эти известные моющие добавки представляют собой азотсодержащие соединения.

В частности, настоящее изобретение относится к соединениям, которые являются моющими добавками для дизельного или бензинового топлива, но не содержат азота. Такие соединения намного реже применяют в качестве моющих добавок.

Однако применение производных янтарной кислоты в качестве топливных добавок общеизвестно. Например, применение полиизобутенил-замещенных производных янтарной кислоты (англ. polyisobutenyl substituted succinic acid, сокращенно PIBSA) в качестве добавок, улучшающих смазочные свойства топлив или снижающих их коррозионную активность, известно уже давно. Существующие топливные добавки на основе производных карбоновых кислот обычно включают длинную гидрокарбильную цепочку в кислотной части молекулы, которая обеспечивает растворимость в топливе.

Неожиданно авторами настоящего изобретения был обнаружен класс добавок на основе поликарбоновых кислот, которые не включают такую гидрокарбильную цепочку.

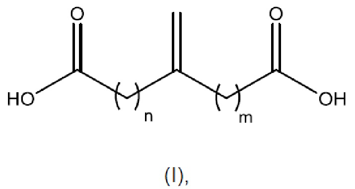
Первый аспект настоящего изобретения относится к топливной композиции, которая в качестве добавки включает продукт реакции соединения на основе поликарбоновой кислоты, имеющего формулу (I):

или его ангидрида со спиртом, содержащим по меньшей мере 5 атомов углерода, где каждый из показателей пит может быть равен 0 или положительному целому числу.

Второй аспект настоящего изобретения относится к способу улучшения эксплуатационных характеристик двигателя, где способ включает сжигание в двигателе топливной композиции, которая в качестве добавки включает продукт реакции соединения на основе поликарбоновой кислоты, имеющего формулу (I):

или его ангидрида со спиртом, содержащим по меньшей мере 5 атомов углерода, где каждый из показателей пит может быть равен 0 или положительному целому числу.

Третий аспект настоящего изобретения относится к применению продукта реакции соединения на основе поликарбоновой кислоты, имеющего формулу (I):

или его ангидрида со спиртом, содержащим по меньшей мере 5 атомов углерода, где каждый из показателей пит может быть равен 0 или положительному целому числу, в качестве добавки к топливной композиции с целью улучшения эксплуатационных характеристик двигателя, в котором происходит сжигание топливной композиции.

Способ согласно второму аспекту предпочтительно включает сжигание в двигателе композиции согласно первому аспекту.

Ниже описаны предпочтительные признаки первого, второго и третьего аспектов изобретения. Любой признак любого аспекта может быть подходящим образом скомбинирован с любым признаком любого другого аспекта.

Настоящее изобретение относится к композиции, способу и применению, относящимся к топливной добавке. Эта добавка представляет собой продукт реакции соединения на основе поликарбоновой кислоты, имеющего формулу (I), или его ангидрида со спиртом, содержащим по меньшей мере 5 атомов углерода. В настоящей работе эта добавка может быть названа "добавкой согласно настоящему изобретению".

Соединение на основе поликарбоновой кислоты, имеющее формулу (I), включает свободные группы карбоновой кислоты (карбоксильные группы) и/или группы ангидрида.

Если соединение, имеющее формулу (I), включает группы ангидрида, то ангидрид может представлять собой внутренний циклический ангидрид, в котором две карбоксильные группы, находящиеся в структуре, имеющей формулу (I), прореагировали друг с другом с образованием ангидрида, например, как показано на формуле (II):

Такая циклическая ангидридная группа может рассматриваться как эквивалент двух свободных карбоксильных групп.

В некоторых примерах осуществления ангидрид может представлять собой нециклический ангидрид.

Соединение на основе поликарбоновой кислоты представляет собой соединение, имеющее формулу (I):

или его ангидрид, где каждый из показателей пит может быть равен 0 или положительному целому числу.

Показатель n может составлять от 0 до 10, например, от 0 до 6, от 0 до 4 или от 0 до 2.

Показатель m может составлять от 0 до 10, например, от 0 до 6, от 0 до 4 или от 0 до 2.

Предпочтительно n+m составляет по меньшей мере 1. Предпочтительно n+m составляет менее 20, предпочтительно менее 15, более предпочтительно менее 10. Предпочтительно n+m составляет менее 8, предпочтительно менее 6.

Предпочтительно n+m составляет от 1 до 10, более предпочтительно от 1 до 6, например, от 1 до 4.

Предпочтительно n равен 0, и m составляет по меньшей мере 1. Предпочтительно m составляет от 1 до 10, предпочтительно от 1 до 6.

В некоторых предпочтительных примерах осуществления, n равен 0, и m составляет от 1 до 4, предпочтительно от 1 до 3.

Наиболее предпочтительно n равен 0, и m равен 1.

Некоторыми предпочтительными соединениями на основе поликарбоновой кислоты для получения добавок согласно настоящему изобретению являются: итаконовая кислота, итаконовый ангидрид, 2-метиленглутаровая кислота, 2-метиленглутаровый ангидрид, 2-метиленадипиновая кислота, 2-метиленадипиновый ангидрид, а также их изомеры и/или смеси.

Одним из особенно предпочтительных для применения согласно настоящему изобретению соединений на основе поликарбоновой кислоты является итаконовая кислота, которая имеет формулу (III):

Одним из предпочтительных ангидридов является итаконовый ангидрид, который имеет формулу (IV):

Добавки согласно настоящему изобретению представляют собой продукты реакции поликарбоновой кислоты или ее ангидрида со спиртом, содержащим по меньшей мере 5 атомов углерода.

Для получения добавок согласно настоящему изобретению может быть применен любой подходящий спирт, содержащий по меньшей мере 5 атомов углерода.

Спирт может представлять собой одноатомный спирт или многоатомный спирт. Предпочтительными являются одноатомные спирты.

Предпочтительно спирт представляет собой соединение, имеющее формулу H-(OR)n-OR1, где R представляет собой необязательно замещенную алкиленовую группу; R1 представляет собой необязательно замещенную гидрокарбильную группу; и n равен 0 или положительному целому числу.

Употребляемый в настоящей работе термин "гидрокарбильный заместитель" или "гидрокарбильная группа" имеет свое обычное значение, которое хорошо известно специалистам в данной области техники. В частности, этот термин означает группу, содержащую атом углерода, непосредственно присоединенный к остальной молекуле, и имеющую в основном углеводородный характер. Примеры гидрокарбильных групп включают:

(i) углеводородные группы, то есть алифатические (которые могут быть насыщенными или ненасыщенными, неразветвленными или разветвленными, например, алкильными или алкенильными), эпициклические (например, циклоалкил, циклоалкенил) заместители и ароматические (включающими ароматические группы, замещенные алифатическими и алициклическими группами) заместители, а также циклические заместители, в которых цикл завершен другой частью молекулы (например, два заместителя совместно образуют цикл);

(ii) замещенные углеводородные группы, то есть заместители, содержащие неуглеводородные группы, которые в контексте настоящего изобретения не изменяют преимущественно углеводородный характер заместителя (например, галоген (например, хлор, фтор или бром), гидрокси, алкокси (например, C1-C4 алкокси), кето, ацил, циано, меркапто, амино, амидо, нитро, нитрозо, сульфокси, нитрил и карбокси);

(iii) гетерозаместители, то есть заместители, которые, несмотря на свой преимущественно углеводородный характер в контексте настоящего изобретения, содержат атомы, отличные от углерода, в цикле или цепи, в остальном состоящей из атомов углерода. Гетероатомы включают серу, кислород, азот, и включены в такие заместители, как пиридил, фурил, тиенил и имидазолил. В общем, на каждые десять атомов углерода гидрокарбильной группы приходится не более двух, предпочтительно не более одного неуглеводородного заместителя; обычно гидрокарбильная группа не содержит неуглеводородных заместителей.

В некоторых примерах осуществления n равен 0, и добавка согласно настоящему изобретению может быть получена из спирта, имеющего формулу R1OH. В таких примерах осуществления R1 представляет собой необязательно замещенную гидрокарбильную группу. Предпочтительно R1 представляет собой необязательно замещенную алкильную, алкенильную или арильную группу.

R1 представляет собой необязательно замещенную гидрокарбильную группу, содержащую по меньшей мере 5 атомов углерода. Предпочтительно R1 представляет собой необязательно замещенную гидрокарбильную группу, содержащую от 5 до 200 атомов углерода, предпочтительно от 6 до 50 атомов углерода, предпочтительнее от 8 до 30 атомов углерода.

R1 может представлять собой необязательно замещенную алкильную, алкенильную или арильную группу, содержащую по меньшей мере 5 атомов углерода.

В некоторых примерах осуществления R1 представляет собой необязательно замещенную С5200 алкильную или алкенильную группу, предпочтительно С650 алкильную или алкенильную группу, предпочтительно С830 алкильную или алкенильную группу.

R1 может быть замещен одной или более группами, выбранными из галогена (например, хлора, фтора или брома), нитро, гидрокси, меркапто, сульфокси, амино, нитрила, ацила, карбокси, алкила (например, С14 алкила), алкокси (например, C14 алкокси), амидо, кето, сульфокси и циано.

В некоторых примерах осуществления R1 содержит по меньшей мере 6 атомов углерода. R1 может содержать более 8 атомов углерода. В некоторых примерах осуществления R1 может содержать более 10 атомов углерода, например, более 12 атомов углерода, более 14 атомов углерода или более 16 атомов углерода.

В некоторых примерах осуществления R1 содержит менее 30 атомов углерода, предпочтительно менее 28 атомов углерода, предпочтительнее менее 26 атомов углерода.

В некоторых предпочтительных примерах осуществления R1 представляет собой алкильную или алкенильную группу, содержащую от 6 до 50 атомов углерода, предпочтительно от 8 до 30 атомов углерода.

В некоторых примерах осуществления R1 представляет собой алкильную или алкенильную группу, содержащую от 10 до 20 атомов углерода, например, 12 или 18 атомов углерода.

Предпочтительно R1 представляет собой незамещенную алкильную или алкенильную группу. Наиболее предпочтительно R1 представляет собой незамещенную алкенильную группу.

R1 может быть неразветвленной (линейной) или разветвленной группой. В некоторых примерах осуществления R1 представляет собой незамещенную неразветвленную или разветвленную алкильную или алкенильную группу, содержащую от 6 до 50 атомов углерода, предпочтительно от 8 до 30 атомов углерода.

В некоторых примерах осуществления R1 представляет собой необязательно замещенную алкильную, алкенильную, арильную, алкарильную или аралкильную группу, содержащую менее 20 атомов углерода, предпочтительно менее 16 атомов углерода.

В некоторых примерах осуществления R1 представляет собой алкильную, алкенильную, арильную, алкарильную или аралкильную группу, содержащую от 6 до 16 атомов углерода.

В некоторых примерах осуществления R1 представляет собой незамещенную алкильную, арильную, алкарильную или аралкильную группу, содержащую менее 16 атомов углерода.

В некоторых примерах осуществления R1 представляет собой незамещенную алкильную, арильную, алкарильную или аралкильную группу, содержащую менее 12 атомов углерода, предпочтительно менее 10 атомов углерода.

В некоторых примерах осуществления R1 представляет собой алкарильную группу.

В одном примере осуществления R1 представляет собой бензил.

В некоторых примерах осуществления R1 представляет собой алкильную группу, предпочтительно незамещенную алкильную группу, содержащую от 6 до 50, предпочтительно от 8 до 30 атомов углерода, например, от 12 до 24 атомов углерода.

В некоторых примерах осуществления R1 представляет собой группу СН3(СН2)х, в которой х составляет от 4 до 23, предпочтительно от 9 до 19.

В некоторых предпочтительных примерах осуществления R1 представляет собой С1218 алкильную группу.

R1 может быть неразветвленной, разветвленной или циклической алкильной группой.

Спирты R1OH, подходящие для применения согласно изобретению, включают гексанол, октанол, нонанол, деканол, додеканол, тетрадеканол, цетиловый спирт, стеариловый спирт, 2-этил-1-бутанол, 2-этил-1-гексанол, 2-этил-1-гептанол, 2-пропилгептанол, 2-этил-1-деканол, 2-гексил-1-деканол, 2-октил-1-деканол, 2-гексил-1-додеканол, 2-октил-1-додеканол, 2-децил-1-тетрадеканол, изотридеканол, циклогексанол, циклооктанол и бензиловый спирт.

Наиболее предпочтительно R1 представляет собой алкенильную группу, предпочтительно незамещенную алкенильную группу, содержащую от 5 до 36 атомов углерода, более предпочтительно от 10 до 30 атомов углерода, предпочтительнее от 10 до 24 атомов углерода.

R1 может быть неразветвленной, разветвленной или циклической алкенильной группой. Подходящие алкенильные спирты включают цитронеллол, олеиловый спирт, 9-децен-1-ол, цис-3-гексен-1-ол, транс-2-гексен-1-ол, 5-гексен-1-ол, 6-метил-5-гептен-2-ол, 1-октен-3-ол, транс-2-октен-1-ол и 10-ундецен-1-ол.

В некоторых примерах осуществления алкениловый спирт может быть получен из встречающейся в природе жирной кислоты, например, химическим восстановлением. Такие материалы могут включать смеси алкениловых спиртов. Примеры включают олеиловый спирт, линолеиловый спирт и жирные спирты, полученные из таллового масла.

В некоторых примерах осуществления алкениловый спирт может быть получен из терпенов. Примеры таких алкениловых спиртов включают линалоол (3,7-диметил-1,6-октадиен-3-ол), фенхиловый спирт, терпинеол, борнеол, изоборнеол, цитрол, гераниол, цитронеллол, фитол и нерол.

В некоторых предпочтительных примерах осуществления спирт представляет собой С18 спирт, например, стеариловый спирт или олеиловый спирт.

Особенно предпочтительным является олеиловый спирт.

В некоторых предпочтительных примерах осуществления R1 представляет собой разветвленную насыщенную алкильную группу, такую как разветвленная насыщенная С524 алкильная группа.

Разветвленные спирты, подходящие для применения согласно изобретению, включают 2-этил-1-бутанол, 2-этил-1 -гексанол, 2-этил-1-гептанол, 2-пропилгептанол, 2-этил-1-деканол, 2-гексил-1-деканол, 2-октил-1-деканол, 2-гексил-1-додеканол, 2-октил-1-додеканол, 2-децил-1-тетрадеканол и изотридеканол.

Специалисту должно быть понятно, что коммерческие источники спиртов, имеющих формулу R1OH, часто содержат смеси соединений, например, смеси изомеров и/или смеси гомологов.

Некоторые спирты, подходящие для применения согласно изобретению, включают смешанные С1618 мононенасыщенные спирты, известные как цетостеариловый спирт.

В некоторых примерах осуществления n не равен 0, и добавка согласно настоящему изобретению может быть подходящим образом получена из спирта, имеющего формулу H-(OR)n-OR1.

R1 представляет собой необязательно замещенную гидрокарбильную группу. R1 может быть группой, определение которой дано выше.

R представляет собой необязательно замещенную алкиленовую группу.

Предпочтительно R представляет собой незамещенную алкиленовую группу.

Предпочтительно R представляет собой необязательно замещенную алкиленовую группу, содержащую от 1 до 50 атомов углерода, предпочтительно от 1 до 40 атомов углерода, предпочтительно от 1 до 30 атомов углерода, более предпочтительно от 1 до 20 атомов углерода, предпочтительнее от 1 до 10 атомов углерода, например, от 2 до 6 или от 2 до 4 атомов углерода.

Предпочтительно R представляет собой незамещенную алкиленовую группу, содержащую от 1 до 50 атомов углерода, предпочтительно от 1 до 20, более предпочтительно от 1 до 10, предпочтительнее от 2 до 6, например, от 2 до 4 атомов углерода. R может быть неразветвленной или разветвленной группой.

Предпочтительнее R может представлять собой этиленовую, пропиленовую, бутиленовую, пентиленовую или гексиленовую группу. Если R содержит более 2 атомов углерода, то может присутствовать любой изомер этой группы. Предпочтительно R представляет собой этиленовую или пропиленовую группу, наиболее предпочтительно пропиленовую группу.

R может включать смесь изомеров. Например, если R представляет собой пропилен, то в цепочке многоатомного спирта могут содержаться фрагменты -СН2СН(СН3)- и -СН(СН3)СН2 - в любом порядке.

R может включать смесь различных групп, например, этиленовых, пропиленовых или бутиленовых звеньев. В таких примерах осуществления предпочтительными являются блок-сополимерные звенья.

R предпочтительно представляет собой этиленовую, пропиленовую или бутиленовую группу. R может представлять собой н-пропиленовую или н-бутиленовую группу или изопропиленовую или изобутиленовую группу. Например, R может представлять собой -СН2СН2-, -СН2СН(СН3)-, -СН2С(СН3)2, -СН(СН3)СН(СН3)-или -СН2СН(СН2СН3)-.

Предпочтительно R представляет собой этилен или пропилен. Более предпочтительно R представляет собой -СН2СН2- или -СН(СН3)СН2-. Наиболее предпочтительно R представляет собой -СН(СН3)СН2-.

В некоторых примерах осуществления n составляет по меньшей мере 1. Предпочтительно n составляет от 1 до 100, предпочтительно от 1 до 50, более предпочтительно от 1 до 30, более предпочтительно от 1 до 24, предпочтительно от 1 до 20, предпочтительнее от 1 до 16.

В некоторых предпочтительных примерах осуществления n составляет от 8 до 20.

Специалисту должно быть понятно, что коммерческие источники спиртов, имеющих формулу H-(OR)n-OR1, часто содержат смеси соединений, например, в которых n может составлять от 10 до 20.

В тех предпочтительных примерах осуществления, в которых n не равен 0, R1 представляет собой необязательно замещенную алкильную, алкенильную или арильную группу, предпочтительнее необязательно замещенную алкильную или алкенильную группу. Предпочтительно R1 содержит от 4 до 50 атомов углерода, предпочтительно от 4 до 40 атомов углерода, более предпочтительно от 10 до 30 атомов углерода. R1 может быть неразветвленной или разветвленной группой. Предпочтительно R1 является неразветвленной группой.

В некоторых примерах осуществления R1 представляет собой замещенную алкильную или алкенильную группу, предпочтительно замещенную алкильную группу. Подходящими заместителями являются гидроксильная и сложноэфирная группы. В некоторых примерах осуществления R1 представляет собой 2-гидрокси-алкильную, -алкенильную или -арильную группу.

Предпочтительно R1 представляет собой незамещенную алкильную или алкенильную группу. Предпочтительно R1 представляет собой алкильную группу, предпочтительно незамещенную алкильную группу.

Предпочтительно R1 выбран из алкильной группы, содержащей от 1 до 40, предпочтительно от 6 до 30, более предпочтительно от 10 до 20 атомов углерода.

В некоторых примерах осуществления R1 представляет собой С430 алкильную или алкенильную группу, n не равен 0, и добавку согласно настоящему изобретению синтезируют из простого алкилового или алкенилового эфира многоатомного спирта, например, простого эфира полиэтилен гликоля, полипропиленгликоля, триэтиленгликоля, тетраэтиленгликоля, пропиленгликоля, дипропиленгликоля или трипропиленгликоля.

Некоторые спирты, особенно предпочтительные для применения в синтезе добавки согласно настоящему изобретению, представляют собой соединения, имеющие формулу СН3(СН2)хО(СН2СН(СН3)O)уН, или их изомеры, в которых х составляет от 4 до 30, предпочтительно от 8 до 20, более предпочтительно от 10 до 15, и у составляет от 1 до 30, предпочтительно от 5 до 25, более предпочтительно от 10 до 20. В одном предпочтительном примере осуществления х составляет 13, и у составляет 15.

Спирт, имеющий формулу H-(OR)n-OR1, может быть выбран из:

- алканолов, имеющих формулу СН3(СН2)хОН, или их изомеров, где х составляет от 4 до 23, предпочтительно от 9 до 19;

- разветвленных или циклических алкиловых спиртов, в которых n равен 0;

- алкениловых спиртов, в которых n равен 0;

- простых эфиров гликолей, в которых n не равен 0.

Предпочтительные алканолы, имеющие формулу СН3(СН2)хОН, включают стеариловый спирт, тетрадеканол, цетиловый спирт, октанол, гексанол, нонанол, деканол и додеканол.

Предпочтительные разветвленные или циклические алкиловые спирты, в которых n равен 0, включают циклогексанол, циклооктанол, 2-пропилгептанол, 2-этил-1-гексанол, 2-этил-1-гептанол, 2-пропилгептанол, 2-этил-1-деканол, 2-этил-1-бутанол, 2-гексил-1-деканол, 2-октил-1-деканол, 2-гексил-1-додеканол, 2-октил-1-додеканол, 2-децил-1-тетрадеканол и изотридеканол.

Предпочтительные алкениловые спирты, в которых п равен 0, включают цитронеллол, олеиловый спирт, 9-децен-1-ол, цис-3-гексен-1-ол, транс-2-гексен-1-ол, 5-гексен-1-ол, 6-метил-5-гептен-2-ол, 1-октен-3-ол, транс-2-октен-1-ол и 10-ундецен-1-ол.

Предпочтительные простые эфиры гликолей, в которых n не равен 0, включают соединения, имеющие формулу СН3(СН2)хО(СН2СН(СН3)O)уН, или их изомеры, где х составляет от 10 до 15, и у составляет от 10 до 20.

Для получения добавки согласно настоящему изобретению соединение на основе поликарбоновой кислоты и спирт предпочтительно вводят в реакцию в молярном отношении, составляющем от 15:1 до 1:15, предпочтительнее от 10:1 до 1:10, предпочтительнее от 5:1 до 1:5, более предпочтительно от 2:1 до 1:2, например, от 1,5:1 до 1:1,5. Во избежание неясностей следует понимать, что при упоминании молярных отношений авторы изобретения имеют в виду количество молекул, а не количество реагирующих функциональных групп. Таким образом, молярное отношение 1:1 означает, что один моль соединения на основе поликарбоновой кислоты реагирует с одним молем спирта, независимо от количества кислотных/гидроксильных групп, присутствующих в каждом соединении.

Наиболее предпочтительно реакцию соединения на основе поликарбоновой кислоты со спиртом проводят в молярном соотношении, приблизительно составляющем 1:1, например, от 1,2:1 до 1:1,2.

Настоящее изобретение относится к добавке, включающей продукт реакции соединения на основе поликарбоновой кислоты, имеющего формулу (I), или его ангидрида со спиртом, содержащим по меньшей мере 5 атомов углерода. Продукт реакции может включать мономерные сложные эфиры. Например, если кислота представляет собой итаконовую кислоту, и спирт имеет формулу ROH, то продукт реакции может включать соединения, имеющие формулу (V):

Реакционная смесь также может включать сложные диэфиры и/или сложные смеси, включающие олигомерные и/или полимерные вещества, получаемые по реакции соединения на основе соединения поликарбоновой кислоты и спирта.

Точная структура продукта реакции может быть различной и зависит от природы кислоты, природы спирта, условий реакции и соотношения реагентов, используемых в реакции.

Предпочтительно добавка согласно настоящему изобретению имеет кислотное число, составляющее от 0,6 до 9,7 ммоль Н+/г, предпочтительно от 1,3 до 7,1 ммоль Н+/г, более предпочтительно от 1,6 до 6,2 ммоль Н+/г.

В некоторых примерах осуществления добавка согласно настоящему изобретению является продуктом реакции соединения на основе поликарбоновой кислоты, имеющего формулу (I), или его ангидрида со спиртом, имеющим формулу R1OH, где R1 представляет собой необязательно замещенную гидрокарбильную группу, содержащую от 8 до 30, предпочтительно от 12 до 24 атомов углерода.

В некоторых примерах осуществления добавка согласно настоящему изобретению является продуктом реакции соединения на основе поликарбоновой кислоты, имеющего формулу (I), или его ангидрида со спиртом, имеющим формулу R1OH, где R1 представляет собой (предпочтительно разветвленную) алкильную группу, содержащую от 8 до 30, предпочтительно от 12 до 24, атомов углерода.

В некоторых примерах осуществления добавка согласно настоящему изобретению является продуктом реакции соединения на основе поликарбоновой кислоты, имеющего формулу (I), или его ангидрида со спиртом, имеющим формулу R1OH, где R1 представляет собой необязательно замещенную алкильную или алкенильную группу, содержащую от 8 до 30, предпочтительно от 12 до 24, атомов углерода.

В некоторых примерах осуществления добавка согласно настоящему изобретению является продуктом реакции соединения на основе поликарбоновой кислоты, имеющего формулу (I) (где n+m предпочтительно составляет менее 6), или его ангидрида со спиртом, имеющим формулу R1OH, где R1 представляет собой алкенильную группу, содержащую от 8 до 30, предпочтительно от 12 до 24, атомов углерода.

В некоторых примерах осуществления добавка согласно настоящему изобретению является продуктом реакции соединения на основе поликарбоновой кислоты, имеющего формулу (I), или его ангидрида со спиртом, имеющим формулу H-(OR)n-OR1, где n составляет от 1 до 24, R представляет собой этилен, пропилен или изопропилен, и R1 представляет собой незамещенную алкильную группу, содержащую от 8 до 30, предпочтительно от 12 до 24, атомов углерода.

В некоторых примерах осуществления добавка согласно настоящему изобретению является продуктом реакции итаконовой кислоты или ее ангидрида со спиртом, выбранным из 2-этил-1-бутанола, 2-этил-1-гексанола, 2-этил-1-гептанола, 2-пропилгептанола, 2-этил-1-деканола, 2-гексил-1-деканола, 2-октил-1-деканола, 2-гексил-1-додеканола, 2-октил-1-додеканола, 2-децил-1-тетрадеканола и изотридеканола.

В некоторых примерах осуществления добавка согласно настоящему изобретению является продуктом реакции итаконовой кислоты или ее ангидрида со спиртом, имеющим формулу H-(OR)n-OR1, где n составляет от 1 до 24, R представляет собой этилен, пропилен или изопропилен, и R1 представляет собой незамещенную алкильную группу, содержащую от 8 до 30, предпочтительно от 12 до 24, атомов углерода.

В некоторых примерах осуществления добавка согласно настоящему изобретению является продуктом реакции итаконовой кислоты или ее ангидрида с алкениловым спиртом, выбраным из цитронеллола, олеилового спирта, 9-децен-1-ола, цис-3-гексен-1-ола, транс-2-гексен-1-ола, 5-гексен-1-ола, 6-метил-5-гептен-2-ола, 1-октен-3-ола, транс-2-октен-1-ола и 10-ундецен-1-ола.

В некоторых примерах осуществления добавка согласно настоящему изобретению является продуктом реакции итаконовой кислоты или ее ангидрида с цитронеллолом или олеиловым спиртом (предпочтительно олеиловым спиртом).

Предпочтительно добавка согласно настоящему изобретению присутствует в композиции дизельного топлива в количестве, составляющем по меньшей мере 0,1 части на миллион, предпочтительно по меньшей мере 1 часть на миллион, более предпочтительно по меньшей мере 5 частей на миллион, предпочтительнее по меньшей мере 10 частей на миллион, предпочтительно по меньшей мере 20 частей на миллион, например, по меньшей мере 30 частей на миллион или по меньшей мере 50 частей на миллион.

Предпочтительно добавка согласно настоящему изобретению присутствует в топливной композиции в количестве, составляющем менее 10000 частей на миллион, предпочтительно менее 1000 частей на миллион, предпочтительно менее 500 частей на миллион, предпочтительно менее 300 частей на миллион, например, менее 250 частей на миллион.

Предпочтительно добавка присутствует в топливной композиции в количестве, составляющем от 1 до 10000 частей на миллион, предпочтительно от 5 до 1000 частей на миллион, более предпочтительно от 10 до 500 частей на миллион.

Любое упоминание частей на миллион в настоящей работе относится к массовым частям на миллион. Приведенные в частях на миллион величины добавляемых количеств относятся к количеству активного агента, находящегося в композиции, и не включают количества разбавителя, носителя или других материалов, которые могут присутствовать.

Композиции дизельного топлива согласно настоящему изобретению могут включать смесь двух или более добавок, как описано в настоящей работе. В таких примерах осуществления приведенные выше количества относятся к суммарному количеству всех таких добавок, присутствующих в композиции.

Во избежание неясностей следует указать, что смеси соединений-добавок, которые могут присутствовать, включают смеси, получаемые по реакции смеси различных спиртов с соединением на основе поликарбоновой кислоты, и/или смеси, получаемые по реакции спирта со смесью соединений на основе поликарбоновой кислоты, и/или соединения, получаемые по реакции смеси спиртов со смесью соединений на основе поликарбоновой кислоты. Кроме того, реакция исходных материалов, представляющих собой единственное соединение, также может приводить к образованию смеси продуктов.

Применение смесей может быть выгодными из-за доступности исходных материалов, или может быть намеренно выбрано использование определенной смеси для достижения определенного полезного эффекта. Например, применение конкретной смеси может облегчать проведение технологических операций, в целом улучшать эксплуатационные свойства или обладать синергическим эффектом в отношении эксплуатационных свойств.

Любое упоминание в настоящей работе "добавки" или "добавки согласно настоящему изобретению" включает примеры осуществления, в которых присутствует одно соединение-добавка, и примеры осуществления, в которых присутствуют два или более соединения-добавки. Те примеры осуществления, в которых присутствуют два или более соединения, могут включать смеси, полученные из смеси исходных материалов, используемой для получения соединений-добавок (смеси спиртов и/или смеси пол и карбоновых кислот). В альтернативном варианте и/или дополнительно в топливную композицию могут быть добавлены и с ней смешаны два или более предварительно полученных соединения-добавки.

Топливная композиция согласно первому аспекту настоящего изобретения может представлять собой композицию дизельного топлива или композицию бензинового топлива.

Добавки могут быть добавлены в топливо на любом подходящем этапе производственно-сбытовой цепочки. Например, добавки могут быть добавлены в топливо на нефтеперерабатывающем заводе, на участке распределительного терминала или после транспортировки топлива с распределительного терминала. Если добавку добавляют в топливо после его транспортировки с распределительного терминала, то это называют послепродажным применением добавки. Послепродажное применение включает такие обстоятельства, как внесение добавки в топливо, находящееся в танкере, применяемом для доставки, непосредственно в емкость для незатаренных материалов, принадлежащую покупателю, или непосредственно в автоцистерну, принадлежащую конечному пользователю. Послепродажное применение может включать поставку добавки к топливу в небольших бутылях, подходящих для непосредственного добавления в резервуары для хранения топлива или автоцистерны.

В некоторых предпочтительных примерах осуществления топливная композиция представляет собой композицию дизельного топлива.

В понятие дизельное топливо авторы изобретения включают любое топливо, подходящее для приведения в движение как дизельных двигателей дорожного транспорта, так и дизельных двигателей других типов. Это топливо включает, без ограничений, топлива, рассматриваемые как дизельное топливо, судовое дизельное топливо, тяжелое топливное масло, промышленное топливное масло и т.д.

Композиция дизельного топлива согласно настоящему изобретению может включать топливное масло на нефтяной основе, в частности, среднедистиллятное топливное масло. Температуры кипения дистиллятных топливных масел обычно лежат в диапазоне от 110°С до 500°С, например, от 150°С до 400°С. Дизельное топливо может включать атмосферный дистиллят или вакуумный дистиллят, крекинг-газойль или смесь любых пропорций продуктов прямой перегонки и потоков, получаемых на нефтеперерабатывающих предприятиях, таких как дистилляты, получаемые после термического и/или каталитического крекинга и гидрокрекинга.

Композиция дизельного топлива может включать невозобновляемое топливо, получаемое синтезом Фишера-Тропша, такое как топливо, называемое GTL топливом (т.е. полученное по технологии переработки "газа в жидкость", англ. gas-to-liquid), CTL топливом (т.е. полученное по технологии переработки "угля в жидкость", англ. coal-to-liquid) и OTL топливом (т.е. полученное по технологии переработки "нефтеносных песчаников в жидкость", англ. oil sands-to-liquid).

Композиция дизельного топлива может включать возобновляемое топливо, такое как биотопливная композиция или биодизельная композиция.

Композиция дизельного топлива может включать биодизельное топливо первого поколения. Биодизельное топливо первого поколения содержит сложные эфиры, например, растительных масел, животных жиров и использованных кулинарных жиров. Такая форма биодизельного топлива может быть получена переэтерификацией масел, например, рапсового масла, соевого масла, масла канолы, сафлорового масла, пальмового масла, кукурузного масла, арахисового масла, хлопкового масла, твердого животного жира, кокосового масла, масла слабительного ореха (масла ятрофы), подсолнечного масла, отработанных кулинарных масел, гидрированных растительных масел или любых смесей названных масел, под действием спирта, обычно моноспирта, обычно в присутствии катализатора.

Композиция дизельного топлива может включать биодизельное топливо второго поколения. Биодизельное топливо второго поколения получают из возобновляемых источников, таких как растительные масла и животные жиры, и подвергают обработке, часто на нефтеперерабатывающем заводе и часто с использованием такой гидрообработки, как способ H-Bio, разработанный Petrobras. Биодизельное топливо второго поколения может быть аналогично по свойствам и качеству потокам топливного масла на нефтяной основе, и в качестве примера можно назвать возобновляемое дизельное топливо, получаемое из растительных масел, животных жиров и т.д., которое ConocoPhillips поставляет на рынок под наименованием Renewable Diesel, a Neste - под наименованием NExBTL.

Композиция дизельного топлива может включать биодизельное топливо третьего поколения. Для получения биодизельного топлива третьего поколения, включая топливо, называемое BTL топливом (т.е. получаемое по технологии "биомасса в топливо", англ. biomass-to-liquid), применяют газификацию и способ Фишера-Тропша. Биодизельное топливо третьего поколения не слишком отличается от некоторых типов биодизельного топлива второго поколения, но для его получения переработке подвергают все растение целиком (биомассу), что значительно расширяет сырьевую базу.

Композиция дизельного топлива может содержать смеси любых или всех вышеперечисленных композиций дизельного топлива.

В некоторых примерах осуществления композиция дизельного топлива может представлять собой смесь дизельного топлива, включающую биодизельное топливо. В таких смесях количество биодизельного топлива может составлять, например, до 0,5%, до 1%, до 2%, до 3%, до 4%, до 5%, до 10%, до 20%, до 30%, до 40%, до 50%, до 60%, до 70%, до 80%, до 90%, до 95% или до 99%.

В некоторых примерах осуществления топливная композиция может включать чистое биодизельное топливо.

В некоторых предпочтительных примерах осуществления топливная композиция включает по меньшей мере 5% масс. биодизельного топлива.

В некоторых примерах осуществления топливная композиция может включать чистое GTL топливо.

В некоторых примерах осуществления композиция дизельного топлива может включать вторичное топливо, например, этанол. Однако композиция дизельного топлива предпочтительно не содержит этанола.

Композиция дизельного топлива, применяемая согласно настоящему изобретению, может включать относительно высокое содержание серы, например, более 0,05% масс., такое как 0,1% или 0,2%.

Однако в предпочтительных примерах осуществления максимальное содержание серы в дизельном топливе составляет 0,05% масс., более предпочтительно 0,035% масс., в частности, не более 0,015%. Также подходят топлива с еще более низким содержанием серы, такие как топлива, содержащие менее 50 масс., частей на миллион серы, предпочтительно менее 20 частей на миллион, например, 10 частей на миллион или менее.

Композиция дизельного топлива согласно настоящему изобретению предпочтительно включает по меньшей мере 5% масс., биодизельного топлива и менее 50 частей на миллион серы.

Композиция дизельного топлива согласно настоящему изобретению может включать одну или более дополнительных добавок, таких как добавки, обычно содержащиеся в дизельных топливах. Такие добавки включают, например, антиоксиданты, диспергирующие агенты, моющие добавки, соединения, деактивирующие металлы, добавки, препятствующие осаждению парафинов, агенты, улучшающие текучесть на холоде, присадки, повышающие цетановое число, агенты, снижающие помутнение, стабилизаторы, деэмульгаторы, антивспениватели, замедлители коррозии, добавки, повышающие смазывающую способность, красители, маркеры, присадки для интенсификации горения, деактиваторы металлов, агенты, маскирующие запахи, модификаторы трения и агенты, повышающие проводимость. Примеры подходящих количеств каждой из добавок указанных типов известны специалистам в данной области техники.

В некоторых предпочтительных примерах осуществления композиция дизельного топлива согласно настоящему изобретению включает одну или более дополнительных моющих добавок. Предпочтительными являются азотсодержащие моющие добавки.

Одна или более дополнительных моющих добавок могут быть выбраны из:

(i) добавки, представляющей собой четвертичную соль аммония;

(ii) продукта реакции Манниха, протекающей между альдегидом, амином и необязательно замещенным фенолом;

(iii) продукта реакции полученного из карбоновой кислоты ацилирующего агента и амина;

(iv) продукта реакции полученного из карбоновой кислоты ацилирующего агента и гидразина;

(v) соли, полученной по реакции карбоновой кислоты с ди-н-бутиламином или три-н-бутиламином;

(vi) продукта реакции замещенной гидрокарбилом дикарбоновой кислоты или ее ангидрида с аминосодержащим соединением или аминной солью, где продукт включает по меньшей мере одну группу аминотриазола;

(vii) замещенной полиароматической моющей добавки; и

(viii) частичных сложных эфиров замещенных янтарных кислот.

Предпочтительно одна или более дополнительные моющие добавки выбраны из одного или более следующих материалов:

(i) добавки, представляющей собой четвертичную соль аммония;

(ii) продукта реакции Манниха, протекающей между альдегидом, амином и необязательно замещенным фенолом; и

(iii) продукта реакции полученного из карбоновой кислоты ацилирующего агента и амина.

Отношение количества добавки согласно настоящему изобретению к количеству азотсодержащей моющей добавки подходящим образом составляет от 10:1 до 1:10, предпочтительно 5:1 до 1:5, предпочтительно от 2:1 до 1:2.

В некоторых примерах осуществления композиция дизельного топлива дополнительно включает (i) добавку, представляющую собой четвертичную соль аммония.

Добавка, являющаяся четвертичной солью аммония, предпочтительно представляет собой продукт реакции азотсодержащего соединения, включающего по меньшей мере одну третичную аминогруппу, и кватернизующего агента.

Азотсодержащее соединение может быть выбрано из:

(х) продукта реакции замещенного гидрокарбилом ацилирующего агента и соединения, содержащего по меньшей мере одну третичную аминогруппу, а также первичную аминогруппу, вторичную аминогруппу или спиртовую группу;

(у) продукта реакции Манниха, включающего третичную аминогруппу; и

(z) амина, замещенного полиалкиленом, содержащего по меньшей мере одну третичную аминогруппу.

Примеры четвертичных аммониевых солей и способов их получения рассмотрены в следующих патентах, которые включены в настоящее описание посредством ссылки: US 2008/0307698, US 2008/0052985, US 2008/0113890 и US 2013/031827.

Получение некоторых подходящих добавок на основе четвертичных аммониевых солей, в которых азотсодержащее соединение включает компонент (х), рассмотрено в документах WO 2006/135881 и WO 2011/095819.

Компонент (у) представляет собой продукт реакции Манниха, содержащий третичную аминогруппу. Получение четвертичных аммониевых солей, образованных азотсодержащим соединением, включающим компонент (у), рассмотрено в документе US 2008/0052985.

Получение добавок на основе четвертичных аммониевых солей, включающее применение азотсодержащего соединения, включающего компонент (z), рассмотрено, например, в документе US 2008/0113890.

Для получения добавки на основе четвертичной соли аммония (i), азотсодержащее соединение, имеющее третичную аминогруппу, вводят в реакцию с кватернизирующим агентом.

Кватернизующий агент предпочтительно может быть выбран из сложных эфиров и веществ, не являющихся сложными эфирами.

Кватернизующие агенты, предпочтительные для применения согласно настоящему изобретению, включают диметилоксалат, метил-2-нитробензоат, метилсалицилат и оксид стирола или пропиленоксид, необязательно в комбинации с дополнительной кислотой.

Особенно предпочтительная дополнительная четвертичная соль аммония, подходящая для применения согласно настоящему изобретению, образуется по реакции метилсалицилата или диметилоксалата с продуктом реакции замещенного полиизобутиленом (PIB, сокр. от англ. polyisobutylene) янтарного ангидрида, в котором PIB имеет сред нечисловую молекулярную массу, составляющую от 700 до 1300, и диметиламинопропиламина.

Другие подходящие четвертичные аммониевые соли включают кватернизированные терполимеры, например, рассмотренные в документе US 2011/0258917, кватернизированные сополимеры, например, рассмотренные в документе US 2011/0315107, и не содержащие кислоты кватернизированные азотсодержащие соединения, рассмотренные в документе US 2012/0010112.

Дополнительные четвертичные соединения аммония, подходящие для осуществления настоящего изобретения, включают четвертичные соединения аммония, рассмотренные в заявках авторов настоящего изобретения, находящихся одновременно на рассмотрении с настоящей работой, т.е. в документах WO 2011095819, WO 2013/017889, WO 2015/011506, WO 2015/011507, WO 2016/016641 и PCT/GB 2016/052312.

В некоторых примерах осуществления композиция дизельного топлива, применяемая согласно настоящему изобретению, включает от 1 до 500 частей на миллион, предпочтительно от 50 до 250 частей на миллион добавки согласно настоящему изобретению и от 1 до 500 частей на миллион, предпочтительно от 50 до 250 частей на миллион добавки (i), являющейся четвертичной солью аммония.

В некоторых примерах осуществления композиция дизельного топлива включает дополнительный (ii) продукт реакции Манниха между альдегидом, амином и необязательно замещенным фенолом. Этот продукт реакции Манниха предпочтительно не является четвертичной солью аммония.

Предпочтительно в качестве альдегидного компонента, используемого для получения добавки на основе продукта реакции Манниха, применяют алифатический альдегид. Предпочтительно альдегид содержит от 1 до 10 атомов углерода. Наиболее предпочтительно альдегид представляет собой формальдегид.

Амины, подходящие для получения добавок на основе продукта реакции Манниха, включают моноамины и полиамины. Одним из подходящих моноаминов является бутиламин.

Амин, используемый для получения добавки - продукта реакции Манниха, предпочтительно является полиамином. Он может быть выбран из любых соединений, включающих две или более аминогруппы. Предпочтительно полиамин представляет собой полиалкиленполиамин, предпочтительно полиэтиленполиамин. Наиболее предпочтительно полиамин включает тетраэтиленпентамин или этилендиамин.

Необязательно замещенный фенольный компонент, применяемый для получения добавки - продукта реакции Манниха, может иметь от 0 до 4 заместителей в ароматическом цикле (кроме фенольной группы ОН). Например, он может представлять собой замещенный гидрокарбилом крезол. Наиболее предпочтительно фенольный компонент представляет собой монозамещенный фенол. Предпочтительно он представляет собой фенол, замещенный гидрокарбилом. Предпочтительными гидрокарбильными заместителями являются алкильные заместители, содержащие от 4 до 28 атомов углерода, в частности, от 10 до 14 атомов углерода. Другими предпочтительными гидрокарбильными заместителями являются полиалкенильные заместители. Среднечисловая молекулярная масса полиизобутенильных заместителей составляет от 400 до 2500, например, от 500 до 1500.

В некоторых примерах осуществления композиция дизельного топлива согласно настоящему изобретению включает от 1 до 500 частей на миллион, предпочтительно от 50 до 250 частей на миллион добавки согласно настоящему изобретению и от 1 до 500 частей на миллион, предпочтительно 50 до 250 частей на миллион добавки (ii), представляющей собой продукт реакции Манниха.

В некоторых примерах осуществления композиция дизельного топлива дополнительно включает (iii) продукт реакции ацилирующего агента, полученного из карбоновой кислоты, и амина.

В настоящей работе такие продукты также могут быть обобщенно названы ацилированными азотсодержащими соединениями.

Подходящие ацилированные азотсодержащие соединения могут быть получены по реакции ацилирующего агента на основе карбоновой кислоты с амином и известны специалистам в данной области техники.

Предпочтительными ацилирующими агентами, замещенными гидрокарбилом, являются полиизобутенилянтарные ангидриды. Эти соединения обычно называют "PIBSA" (от англ. polyisobutenyl succinic anhydride), и они известны специалистам в данной области техники.

Для воплощения изобретения подходят как традиционные полиизобутены, так и так называемые "высокореакционноспособные" полиизобутены.

Особенно предпочтительными PIBSA являются соединения, в которых молекулярная масса (Mn) PIB составляет от 300 до 2800, предпочтительно от 450 до 2300, более предпочтительно от 500 до 1300.

В предпочтительных примерах осуществления продукт реакции ацилирующего агента, полученного из карбоновой кислоты, и амина включает по меньшей мере одну первичную или вторичную аминогруппу.

Предпочтительные ацилированные азотсодержащие соединения, применяемые согласно настоящему изобретению, получают по реакции ацилирующего агента, полученного из замещенной полиизобутеном янтарной кислоты (например, ангидрида, кислоты, сложного эфира и т.д.), где среднечисловая молекулярная масса (Mn) полиизобутенового заместителя составляет от 170 до 2800, со смесью этиленполиаминов, содержащей от 2 до приблизительно 9 атомов азота аминогруппы, предпочтительно от приблизительно 2 до приблизительно 8 атомов азота на один этиленполиамин, и приблизительно от 1 до приблизительно 8 этиленовых групп.Такие ацилированные азотсодержащие соединения предпочтительно получают в реакции, в которой молярное отношение ацилирующий агент:аминосоединение составляет от 10:1 до 1:10, предпочтительно от 5:1 до 1:5, более предпочтительно от 2:1 до 1:2 и наиболее предпочтительно от 2:1 до 1:1. В особенно предпочтительных примерах осуществления ацилированные азотсодержащие соединения получают по реакции ацилирующего агента с аминосоединением при их молярном отношении, составляющем от 1,8:1 до 1:1,2, предпочтительно от 1,6:1 до 1:1,2, более предпочтительно от 1,4:1 до 1:1,1 и наиболее предпочтительно от 1,2:1 до 1:1. Ацилированные аминосоединения этого типа и их получение хорошо известны специалистам в данной области техники и рассмотрены, например, в документах ЕР 0565285 и US 5925151.

В некоторых предпочтительных примерах осуществления композиция включает такую моющую добавку, которая образуется в результате реакции ацилирующего агента, полученного из замещенной полиизобутеном янтарной кислоты, и полиэтиленполиамина. Подходящие соединения рассмотрены, например, в документе WO 2009/040583.

В некоторых примерах осуществления композиция дизельного топлива согласно настоящему изобретению включает от 1 до 500 частей на миллион, предпочтительно 50 до 250 частей на миллион добавки согласно настоящему изобретению и от 1 до 500 частей на миллион, предпочтительно 50 до 250 частей на миллион добавки, которая является продуктом реакции ацилирующего агента и амина (iii).

В некоторых примерах осуществления композиция дизельного топлива включает (iv) продукт реакции ацилирующего агента, полученного из карбоновой кислоты, и гидразина.

Предпочтительно добавка включает продукт реакции замещенной гидрокарбилом янтарной кислоты или ангидрида с гидразином.

Предпочтительно гидрокарбильная группа замещенной гидрокарбилом янтарной кислоты или ангидрида включает С836 группу, предпочтительно С818 группу. В альтернативном варианте гидрокарбильная группа может представлять собой полиизобутиленовую группу, среднечисловая молекулярная масса которой составляет от 200 до 2500, предпочтительно от 800 до 1200.

Гидразин имеет формулу NH2-NH2. Гидразин может быть гидратированным или негидратированным. Предпочтительным является использование моногидрата гидразина.

Реакция между замещенной гидрокарбилом янтарной кислотой или ангидридом и гидразином приводит к получению различных продуктов, что рассмотрено в документе US 2008/0060259.

В некоторых примерах осуществления композиция дизельного топлива дополнительно включает (v) соль, полученную по реакции карбоновой кислоты с ди-н-бутиламином или три-н-бутиламином. Примеры соединений этого типа рассмотрены в документе US 2008/0060608.

Такие добавки могут предпочтительно представлять собой соли ди-н-бутиламина или три-н-бутиламина и жирной кислоты, имеющей формулу [R'(COOH)x]y', в которой каждый из R' независимо представляет собой углеводородную группу, содержащую от 2 до 45 атомов углерода, и х представляет собой целое число, составляющее от 1 до 4.

В предпочтительном примере осуществления карбоновая кислота включает жирную кислоту таллового масла (сокращенно ЖКТМ).

Дополнительные предпочтительные признаки добавок этого типа рассмотрены в документе ЕР 1900795.

В некоторых примерах осуществления композиция дизельного топлива дополнительно включает (vi) продукт реакции замещенной гидрокарбилом дикарбоновой кислоты или ангидрида с аминосодержащим соединением или аминной солью, где продукт включает по меньшей мере одну группу аминотриазола.

Дополнительные предпочтительные признаки соединений-добавок этого типа рассмотрены в документе US 2009/0282731.

В некоторых примерах осуществления композиция дизельного топлива дополнительно включает (vii) замещенную полиароматическую моющую добавку.

Одним из предпочтительных соединений этого типа является продукт реакции этоксилированного нафтола и параформальдегида, который затем вводят в реакцию с ацилирующим агентом, замещенным гидрокарбилом.

Дополнительные предпочтительные признаки таких моющих добавок рассмотрены в документе ЕР 1884556.

В некоторых примерах осуществления композиция дизельного топлива дополнительно включает (viii) частичный сложный эфир замещенной янтарной кислоты.

Предпочтительными соединениями этого типа являются сложные эфиры, представляющие собой продукты реакции замещенной гидрокарбилом янтарной кислоты или замещенного гидрокарбилом янтарного ангидрида и спирта, имеющего формулу H-(OR)n-OR1, где R представляет собой необязательно замещенную алкиленовую группу; R1 представляет собой водород или необязательно замещенную гидрокарбильную группу, и n равен 0 или положительному целому числу; и пне равен 0, если R1 представляет собой водород.

Дополнительные предпочтительные признаки таких моющих добавок описаны в заявках автора настоящего изобретения, находящихся одновременно на рассмотрении с настоящей работой, а именно в документах WO 2018/178680, WO 2018/178678, WO 2018/178695 и WO 2018/178674.

В некоторых особенно предпочтительных примерах осуществления первый аспект настоящего изобретения относится к композиции дизельного топлива, включающей добавку согласно настоящему изобретению и добавку, представляющую собой четвертичную соль аммония. Предпочтительные добавки, которые представляют собой четвертичные соли аммония, являются продуктами реакции азотсодержащего соединения, включающего по меньшей мере одну третичную аминогруппу, и кватернизующего агента, где азотсодержащее соединение представляет собой продукт реакции замещенного гидрокарбилом ацилирующего агента и соединения, включающего по меньшей мере одну третичную аминогруппу, а также первичную аминогруппу, вторичную аминогруппу или спиртовую группу. Предпочтительно кватернизующий агент представляет собой сложноэфирный кватернизующий агент.

В некоторых особенно предпочтительных примерах осуществления второй аспект настоящего изобретения относится к способу улучшения эксплуатационных характеристик двигателя, где способ включает сжигание в двигателе композиции дизельного топлива, которая включает добавку согласно настоящему изобретению и добавку, представляющую собой четвертичную соль аммония. Предпочтительными добавками, представляющими собой четвертичные соли аммония, являются продукты реакции азотсодержащего соединения, включающего по меньшей мере одну третичную аминогруппу, с кватернизующим агентом, где азотсодержащее соединение является продуктом реакции замещенного гидрокарбилом ацилирующего агента и соединения, включающего по меньшей мере одну третичную аминогруппу, а также первичную аминогруппу, вторичную аминогруппу или спиртовую группу. Предпочтительно кватернизующий агент представляет собой сложноэфирный кватернизующий агент.

В некоторых особенно предпочтительных примерах осуществления третий аспект настоящего изобретения относится к применению комбинации добавки согласно настоящему изобретению и добавки, являющейся четвертичной солью аммония, для добавления в топливную композицию с целью улучшения эксплуатационных характеристик двигателя, в котором происходит сжигание топливной композиции. Предпочтительные добавки, являющиеся четвертичными солями аммония, представляют собой продукты реакции азотсодержащего соединения, включающего по меньшей мере одну третичную аминогруппу, и кватернизующего агента, где азотсодержащее соединение является продуктом реакции замещенного гидрокарбилом ацилирующего агента и соединения, включающего по меньшей мере одну третичную аминогруппу, а также первичную аминогруппу, вторичную аминогруппу или спиртовую группу. Предпочтительно кватернизующий агент представляет собой сложноэфирный кватернизующий агент.

В некоторых примерах осуществления топливная композиция является бензиновой композицией.

Таким образом, первый аспект настоящего изобретения может относиться к композиции бензинового топлива.

Термин «бензин» («бензиновое топливо») относится к жидкому топливу, подходящему для применения в двигателях с искровым (принудительным) зажиганием (которое обычно или предпочтительно содержит в основном или только углеводороды С4-С12) и удовлетворяющему международным спецификациям для бензина, таким как ASTM D-439 и EN 228. Термин включает смеси дистиллятных углеводородных топлив с кислородсодержащими компонентами, такими как спирты или простые эфиры, например, метанол, этанол, бутанол, простой метил-трет-бутиловый эфир (англ. methyl t-butyl ether, сокр. МТВЕ), простой этил-трет-бутиловый эфир (англ. ethyl t-butyl ether, сокр. ЕТВЕ), а также сами дистиллятные топлива.

В некоторых примерах осуществления композиция бензинового топлива согласно настоящему изобретению может включать одну или более дополнительных моющих добавок для бензинового топлива. Дополнительные моющие добавки для бензинового топлива могут быть выбраны из:

(р) замещенных гидрокарбилом полиоксиалкиленаминов или простых полиэфираминов;

(q) ацилированных азотсодержащих соединений - продуктов реакции ацилирующего агента, полученного из карбоновой кислоты, и амина;

(r) замещенных гидрокарбилом аминов, в которых гидрокарбильный заместитель является по существу алифатическим и содержит по меньшей мере 8 атомов углерода;

(s) добавок - оснований Манниха, которые включают азотсодержащие продукты конденсации фенола, альдегида и первичного или вторичного амина;

(t) ароматических сложных эфиров полиалкилфеноксиалканола;

(u) дополнительной добавки, являющейся четвертичной солью аммония; и

(v) третичных гидрокарбиламинов, в которых максимальное количество атомов углерода составляет 30.

Подходящие замещенные гидрокарбилом полиоксиалкиленамины или простые полиэфирамины (р) описаны в документах US 6217624 и US 4288612. Другими подходящими простыми полиэфираминами являются соединения, рассмотренные в документах US 5089029 и US 5112364.

Бензиновая композиция согласно настоящему изобретению может включать в качестве добавки ацилированные азотсодержащие соединения (q), которые являются продуктами реакции полученного из карбоновой кислоты ацилирующего агента и амина. Такие соединения предпочтительно представляют собой вещества, описанные выше в настоящей работе при описании компонента (iii) добавок, которые могут быть добавлены в композиции дизельного топлива согласно настоящему изобретению.

Замещенные гидрокарбилом амины (г), подходящие для добавления в композиции бензинового топлива согласно настоящему изобретению, хорошо известны специалистам в данной области техники и описаны в ряде патентов. В качестве примеров таких патентов можно назвать документы US 3275554, US 3438757, US 3454555, US 3565804, US 3755433 и US 3822209. В этих патентах описаны гидрокарбиламины, подходящие для применения согласно настоящему изобретению, а также способы их получения.

Добавка (добавки), являющаяся продуктом реакции Манниха, включает (включают) азотсодержащие продукты конденсации фенола, альдегида и первичного или вторичного амина, и предпочтительно представляет собой продукт, описанный при рассмотрении компонента (ii) добавок, подходящих для добавления в композиции дизельного топлива.

Бензиновые композиции согласно настоящему изобретению могут дополнительно включать в качестве добавок (t) ароматические сложные эфиры полиалкилфеноксиалканола.

Ароматический сложноэфирный компонент, который может быть введен в композицию добавок, представляет собой ароматический сложный эфир полиалкилфеноксиалканола и имеет следующую общую формулу:

или его растворимую в топливе соль (соли), где R представляет собой гидрокси, нитро или -(CH2)x-NR5R6, где R5 и R6 независимо представляют собой водород или низший ал кил, содержащий от 1 до 6 атомов углерода, и х равен 0 или 1;

R1 представляет собой водород, гидрокси, нитро или -NR7R8, где R7 и R8 независимо представляют собой водород или низший алкил, содержащий от 1 до 6 атомов углерода;

R2 и R3 независимо представляют собой водород или низший алкил, содержащий от 1 до 6 атомов углерода; и

R4 представляет собой полиалкильную группу, средняя молекулярная масса которой составляет приблизительно от 450 до 5000.

Предпочтительные признаки описанных ароматических сложных эфиров рассмотрены в документе WO 2011141731.

Дополнительные добавки (u), являющиеся четвертичными солями аммония, предпочтительно представляют собой соединения, описанные при рассмотрении компонента (i) добавок, подходящих для добавления в композиции дизельного топлива.

Третичные гидрокарбиламины (v), подходящие для добавления в композиции бензинового топлива согласно настоящему изобретению, представляют собой третичные амины, имеющие формулу R1R2R3N, где R1, R2 и R3 представляют собой одинаковые или различные С120 гидрокарбильные остатки, причем общее количество атомов углерода не превышает 30. Подходящими примерами таких веществ являются N.N-диметил-н-додециламин, 3-(N,N-диметиламино)пропанол и N,N-ди(2-гидроксиэтил)-олеиламин. Предпочтительные признаки таких третичных гидрокарбиламинов описаны в документе US 2014/0123547.

Бензиновая композиция может дополнительно включать масло-носитель.

Масло-носитель может иметь любую подходящую молекулярную массу. Предпочтительная молекулярная масса составляет от 500 до 5000.

В одном примере осуществления масло-носитель может включать масло с вязкостью, подходящей для смазочных материалов, включая натуральные или синтетические масла с вязкостью, подходящей для смазочных материалов, масло, полученное посредством гидрокрекинга, гидрирования, гидроочистки, нерафинированные, рафинированные и повторно рафинированные масла или смеси перечисленных масел.

Натуральные масла включают животные масла, растительные масла, минеральные масла или их смеси. Синтетические масла могут включать углеводородные масла, такие как масла, получаемые по реакциям Фишера-Тропша, и обычно могут представлять собой гидроизомеризованные углеводороды или парафины (воски), полученные по реакции Фишера-Тропша.

В другом примере осуществления масло-носитель может включать масло-носитель, которое является простым полиэфиром. В одном из предпочтительных примеров осуществления масло-носитель, представляющее собой простой полиэфир, представляет собой полиалкиленгликоль с одной блокированной концевой группой, в частности, полипропиленгликоль с одной блокированной концевой группой. Масла-носители этого типа известны специалистам в данной области техники.

Композиции бензинового топлива согласно настоящему изобретению могут содержать одну или более дополнительных добавок, традиционно добавляемых в бензин, например: другие моющие добавки, диспергирующие средства, антиоксиданты, агенты препятствующие обледенению, соединения, деактивирующие металлы, присадки, повышающие смазывающую способность, модификаторы трения, агенты, снижающие помутнение, ингибиторы коррозии, красители, маркеры, присадки, повышающие октановое число, добавки, препятствующие усиленному износу клапанного седла, стабилизаторы, деэмульгаторы, антивспениватели, агенты, маскирующие запахи, агенты, повышающие проводимость, и присадки для интенсификации горения.

Второй аспект настоящего изобретения относится к способу улучшения эксплуатационных характеристик двигателя.

Третий аспект настоящего изобретения относится к применению добавки в топливной композиции с целью улучшения эксплуатационных характеристик двигателя, в котором происходит сжигание топливной композиции.

Предпочтительные признаки добавок, применяемых согласно второму и третьему аспектам настоящего изобретения, определены при описании первого аспекта.

Упоминания в настоящей работе улучшения эксплуатационных характеристик и/или борьбы с отложениями могут относиться ко второму и/или третьему аспекту настоящего изобретения.

Согласно второму и третьему аспектам настоящего изобретения могут быть улучшены эксплуатационные характеристики дизельного двигателя и/или бензинового двигателя.

Предпочтительно способ и применение согласно настоящему изобретению обеспечивают улучшение эксплуатационных характеристик дизельного двигателя. Улучшение эксплуатационных характеристик предпочтительно выбрано из одного или более следующих:

- снижение потерь мощности двигателя;

- уменьшение наружных отложений на форсунках дизельного двигателя;

- уменьшение внутренних отложений на форсунках дизельного двигателя;

- повышение экономии топлива;

- уменьшение отложений на топливном фильтре;

- уменьшение выбросов; и

- увеличение интервалов между циклами технического обслуживания.

Наряду с перечисленными выше полезными эффектами, применение добавок согласно настоящему изобретению может обеспечить дополнительные преимущества. Например, добавка может обеспечить смазывающую способность и/или замедление коррозии и/или улучшение текучести на холоде.

В некоторых примерах осуществления комбинация добавки согласно настоящему изобретению и дополнительной добавки может обеспечить синергическое улучшение эксплуатационных характеристик.

Например, применение добавки согласно настоящему изобретению в комбинации с добавкой, улучшающей текучесть на холоде, может обеспечить неожиданное улучшение моющей способности и/или текучести на холоде по сравнению с характеристикой, получаемой при применении только одной из добавок.

В некоторых примерах осуществления применение добавки согласно настоящему изобретению может позволить уменьшать добавляемое количество применяемой добавки, улучшающей текучесть на холоде.

Например, применение добавки согласно настоящему изобретению в комбинации с ингибитором коррозии может обеспечить неожиданное улучшение моющей способности и/или замедление коррозии по сравнению с характеристикой, получаемой при применении только одной из добавок.

В некоторых примерах осуществления применение добавки согласно настоящему изобретению может позволить уменьшать добавляемое количество применяемого ингибитора коррозии.

Например, применение добавки согласно настоящему изобретению в комбинации с добавкой, улучшающей смазывающую способность, может обеспечить неожиданное улучшение моющей способности и/или смазывающей способности по сравнению с характеристикой, получаемой при применении только одной из добавок.

В некоторых примерах осуществления применение добавки согласно настоящему изобретению может позволить уменьшать добавляемое количество применяемой добавки, улучшающей смазывающую способность.

В некоторых предпочтительных примерах осуществления композиция дизельного топлива согласно настоящему изобретению включает одну или более дополнительных моющих добавок. Предпочтительными являются азотсодержащие моющие добавки.

Добавление одной или более дополнительных моющих добавок может создавать синергический полезный эффект; так, применение комбинации добавки согласно настоящему изобретению и азотсодержащей моющей добавки приводит к улучшению эксплуатационных характеристик по сравнению с применением эквивалентного количества каждой из добавок по отдельности.

Применение комбинации добавки и азотсодержащей моющей добавки также может противодействовать образованию отложений и улучшать эксплуатационные характеристики традиционного дизельного двигателя.

Улучшение эксплуатационных характеристик согласно второму и третьему аспектам настоящего изобретения предпочтительно достигается за счет противодействия образованию отложений в двигателе.

Было обнаружено, что добавки, применяемые согласно настоящему изобретению, оказывают особенно полезный эффект в современных дизельных двигателях, оснащенных топливной системой высокого давления. Некоторые признаки двигателей этого типа были рассмотрены выше.

Предпочтительно настоящее изобретение обеспечивает борьбу с отложениями и/или улучшение эксплуатационных свойств дизельного двигателя, включающего топливную систему высокого давления. Предпочтительно давление в дизельном двигателе превышает 1350 бар (1,35×108 Па). Давление в дизельном двигателе может составлять до 2000 бар (2×108 Па) или более.

Двумя неограничивающими примерами таких топливных систем высокого давления являются: система впрыска с общим нагнетательным трубопроводом, в которой топливо сжимают с помощью насоса высокого давления, подающего топливо в клапаны для нагнетания топлива через общий нагнетательный трубопровод, и система с насос-форсунками, в которой насос высокого давления и клапан для нагнетания топлива интегрированы в одном узле, что позволяет достичь максимально возможных давлений впрыска, превышающих 2000 бар (2×108 Па). В обеих системах при сжатии топлива оно нагревается, часто до температур, составляющих приблизительно 100°С или выше.

В системах с общим нагнетательным трубопроводом перед подачей в форсунки топливо хранится при высоком давлении в центральном накопительном трубопроводе или отдельных накопителях. Часто некоторую часть нагретого топлива возвращают в участок низкого давления топливной системы или возвращают в топливный бак. Для достижения высоких давлений впрыска, в системе с насос-форсунками топливо внутри форсунки подергается сжатию. Это, в свою очередь, повышает температуру топлива.

В обеих системах перед впрыском топливо находится в корпусе форсунки, где оно дополнительно нагревается от камеры сгорания. Температура топлива на кончике форсунки может достигать 250-350°С.

Таким образом, перед впрыском топливо подергается сжатию до достижения давлений, составляющих от 1350 бар (1,35×108 Па) до более чем 2000 бар (2×108 Па), и при этом температуры топлива достигают от приблизительно 100°С до 350°С, и иногда топливо направляют рециклом обратно в топливную систему, увеличивая, таким образом, период пребывания топлива в описанных условиях.

Общей проблемой дизельных двигателей является засорение форсунок, в частности, корпуса форсунки и сопла форсунки. Также может происходить засорение топливного фильтра. Засорение сопла форсунки происходит, если сопло закупоривается отложениями, образуемыми дизельным топливом. Засорение топливных фильтров может быть связано с рециркуляцией топлива обратно в топливный бак. Образование отложений интенсифицируется по мере разложения топлива. Отложения могут образовываться в виде углеродсодержащих коксообразных остатков, лаковых отложений или липких или смолообразных остатков. Дизельные топлива становятся более и более нестабильными по мере их нагревания, в частности, нагревания под давлением. Таким образом, в дизельных двигателях с топливными системами высокого давления может происходить усиленное разложение топлива. В последние годы для соответствия требованиям к снижению выбросов в атмосферу происходит постоянное обновление конструкции систем впрыска. Это приводит к усложнению конструкций форсунок и низкой резистентности к образованию отложений.

Засорение форсунок может произойти при использовании любого типа дизельного топлива. Однако некоторые виды топлива могут быть особенно предрасположены к образованию засорений, или засорение может происходить быстрее при использовании этих видов топлива. Например, усиление образования отложений может происходить при использовании топлив, содержащих биодизельное топливо, и топлив, содержащих соединения металлов.

При полном или частичном закупоривании форсунок подача топлива снижается, и смешивание топлива с воздухом ухудшается. С течением времени это приводит к снижению мощности двигателя, увеличению выбросов выхлопных газов в атмосферу и снижению экономии топлива.

Известно, что отложения образуются в распылительных каналах форсунки, что приводит к уменьшению потока и снижению мощности. Чем меньше размер отверстия сопла форсунки, тем выше относительное влияние нарастания отложений. Также известно, что отложения формируются на кончике форсунки. Такие отложения негативно влияют на схему распыления топлива, что приводит к снижению эффективности сгорания и повышению выбросов в атмосферу, а также к повышению потребления топлива.

Кроме таких "наружных" отложений в отверстии сопла форсунки и на кончике форсунки, которые затрудняют течение топлива и вызывают потери мощности, отложения могут образовываться внутри корпуса форсунки, вызывая дополнительные проблемы. Эти отложения могут быть названы внутренними отложениями форсунок дизельного двигателя (сокращенно ВОФД, от англ. internal diesel injector deposit, сокращенно IDID). ВОФД дополнительно образуются внутри форсунки на важных движущихся деталях. Они могут затруднять движение таких деталей, негативно влияя на момент впрыска и количество впрыскиваемого топлива. Поскольку современные дизельные двигатели должны работать с очень высокой точностью, эти отложения могут серьезно ухудшать эксплуатационные характеристики.

Образование ВОФД вызывает ряд проблем, включающих снижение мощности и снижение экономии топлива из-за менее оптимального дозирования и сгорания топлива. Изначально в двигателе могут возникнуть проблемы при холодном запуске, и/или двигатель может начать работать на жестком ходу. Образование таких отложений может приводить и к более серьезному засорению форсунок. Это происходит, если образованные отложения препятствуют движению деталей форсунки, в результате чего форсунка перестает работать. Закупоривание нескольких или всех форсунок может привести к полной остановке двигателя.

Недавно организацией СЕС было введено испытание "Оценка внутренних отложений на форсунках дизельного двигателя", СЕС F-110-16, которое позволяет различать топлива, обладающие разной способностью образовывать ВОФД в дизельных двигателях с общей магистралью прямого впрыска.

Как было отмечено выше, проблема засорения форсунок с большей вероятностью возникает при использовании топливных композиций, включающих соединения металлов. В топливных композициях могут присутствовать различные соединения металлов. Они могут появляться в результате загрязнения топлива в процессе его получения, хранения, транспортировки или использования, или результатом загрязнения топливных добавок. Соединения металлов также могут быть добавлены в топливо намеренно. Например, иногда в топливо в качестве катализаторов, переносимых с топливом (топливных катализаторов), добавляют переходные металлы, например, для улучшения эксплуатационных характеристик фильтров для очистки дизельного топлива от порошкообразных частиц (сажевых фильтров).

Заклинивание форсунок может происходить в результате реакции соединений металлов или аммония, в частности, соединений натрия, с находящимися в топливе соединениями, содержащими карбоксильные группы.

Полагают, что основной причиной заклинивания форсунок являются натрийсодержащие загрязнения, содержащиеся в дизельном топливе, и образующиеся из них карбоксилатные соли.

В некоторых примерах осуществления композиции дизельного топлива, применяемые согласно настоящему изобретению, включают натрий и/или кальций. Предпочтительно композиции включают натрий. Общее количество натрия и/или кальция в композиции обычно составляет от 0,01 до 50 частей на миллион, предпочтительно от 0,05 до 5 частей на миллион, предпочтительнее от 0,1 до 2 частей на миллион, например, от 0,1 до 1 части на миллион.

Загрязняющими веществами также могут быть другие металлсодержащие соединения, например, соединения, попадающие в топливо в результате коррозионного действия кислотных соединений, находящихся в топливе или смазочных материалах, на металлические поверхности и поверхности, содержащие оксиды металлов. Использование топлива, такого как дизельное топливо, включает постоянный контакт топлива с металлическими поверхностями, например, в системах подачи топлива транспортных средств, топливных баках, средствах транспортировки топлива и т.д. Обычно металлсодержащие загрязнения могут включать переходные металлы, такие как цинк, железо и медь, металлы группы I или группы II и другие металлы, такие как свинец.

Присутствие металлсодержащих соединений может вызывать образование отложений на топливных фильтрах и/или внешних частях форсунок, включая отложения на кончике форсунки и/или отложения в сопле.

Кроме попадания металлсодержащих частиц в дизельное топливо в результате его загрязнения, в некоторых случаях металлсодержащие соединения могут быть добавлены в топливо намеренно. Например, как известно в данной области техники, в топливо могут быть добавлены металлсодержащие топливные катализаторы, способствующие регенерации сажеуловителей. Присутствие таких катализаторов также может вызывать засорение форсунок при подаче соответствующего топлива в дизельный двигатель, включающий топливную систему высокого давления.

В зависимости от источника, металлсодержащее загрязнение может находиться в виде нерастворимого порошкообразного вещества или растворимых соединений или комплексов. Металлсодержащие топливные катализаторы часто представляют собой растворимые соединения или комплексы или коллоидные частицы.

В некоторых примерах осуществления дизельное топливо может содержать металлсодержащие соединения, включающие топливный катализатор. Предпочтительно топливный катализатор включает один или более металлов, выбранных из железа, церия, платины, марганца, металлов Группы I и Группы II, например, кальция и стронция. Наиболее предпочтительно топливный катализатор включает металл, выбранный из железа и церия.

В некоторых примерах осуществления дизельное топливо может включать металлсодержащее соединение, включающее цинк. Цинк может присутствовать в количестве, составляющем от 0,01 до 50 частей на миллион, предпочтительно от 0,05 до 5 частей на миллион, более предпочтительно 0,1 до 1,5 частей на миллион.

Обычно общее количество всех металлсодержащих соединений в дизельном топливе, выраженное в виде общей массы металла, содержащегося в соединениях, составляет от 0,1 до 50 масс, частей на миллион, например, от 0,1 до 20 частей на миллион, предпочтительно от 0,1 до 10 масс, частей на миллион от массы дизельного топлива.

Было бы полезно создать композицию дизельного топлива, обеспечивающую предотвращение или снижение образования отложений в дизельном двигателе. В некоторых примерах осуществления такие отложения могут включать "наружные" отложения на форсунках, такие как отложения внутри и вокруг отверстия сопла и на кончике форсунки. В некоторых предпочтительных примерах осуществления отложения включают "внутренние" отложения на форсунке или ВОФД. Можно сказать, что создаваемые топливные композиции обеспечивают функцию "поддержания чистоты" т.е. они предотвращают или замедляют образование засорений. Также желательно создать композицию дизельного топлива, которая способствует удалению отложений названных типов. При сжигании такой топливной композиции в дизельном двигателе происходит удаление отложений с деталей двигателя, что, таким образом, приводит к "очистке" уже загрязненного двигателя.

Как и в случае свойства "поддержания чистоты", "очистка" загрязненного двигателя может обеспечить значительные преимущества. Например, улучшенная очистка может приводить к повышению мощности и/или повышению экономии топлива. Кроме того, удаление отложений с двигателя, в частности, с форсунок, может увеличивать временной интервал между текущими ремонтами или заменой форсунок, что, таким образом, снижает затраты на текущий ремонт.

Несмотря на то, что, по изложенным выше причинам, отложения, образующиеся на форсунках, представляют собой серьезную проблему современных дизельных двигателей, снабженных топливными системами высокого давления, желательно создать композицию дизельного топлива, которая также обеспечивала бы эффективное моющее действие в традиционных дизельных двигателях старшего поколения, чтобы одно и то же топливо, подаваемое в насосы, могло быть использовано для работы двигателей всех типов.

Также желательно, чтобы топливные композиции обеспечивали уменьшение засорения топливных фильтров транспортных средств. Было бы полезно создать композиции, предотвращающие или замедляющие образование отложений на топливных фильтрах, т.е. обеспечивающие функцию "поддержания чистоты". Было бы полезно создать композиции, способствующие удалению существующих отложений с топливных фильтров, т.е. обеспечивающие функцию "очистки". Особенно полезными были бы композиции, совмещающие эти две функции.

Способ согласно настоящему изобретению особенно эффективен для борьбы с отложениями в современном дизельном двигателе, снабженном топливной системой высокого давления.

Такие дизельные двигатели могут иметь ряд характеристик.

Такие двигатели обычно снабжены оборудованием для впрыска топлива, отвечающим или превосходящим требования "Euro 5" по выбросам в атмосферу или эквивалентные требования законодательства США или других стран.

Такие двигатели обычно снабжены топливными форсунками, имеющими множество сквозных каналов, где каждый канал имеет впускную и выпускную часть.

Характерными для этих двигателей могут быть сквозные каналы, сужающиеся таким образом, что диаметр впускного отверстия для распыления превышает диаметр выпускного отверстия канала.

Характерными для таких современных двигателей могут быть сквозные каналы, в которых диаметр выпускного отверстия составляет менее 500 мкм, предпочтительно менее 200 мкм, более предпочтительно менее 150 мкм, предпочтительнее менее 100 мкм, наиболее предпочтительно менее 80 мкм или менее.

Характерными для таких современных двигателей могут быть сквозные каналы, в которых край впускного отверстия закруглен.

Характерными для таких современных двигателей могут быть форсунки, имеющие более одного сквозного канала, предпочтительно более 2 сквозных каналов, предпочтительнее более 4 сквозных каналов, например, 6 или более сквозных каналов.

Характерными для таких современных двигателей могут быть рабочие температуры на границе кончика форсунки, превышающие 250°С.

Такие современные двигатели могут характеризоваться наличием системы впрыска топлива, обеспечивающей создание давления топлива, превышающего 1350 бар (1,35⋅108 Па), предпочтительно превышающего 1500 бар (1,5⋅108 Па), более предпочтительно превышающего 2000 бар (2⋅108 Па). Предпочтительно дизельный двигатель имеет систему впрыска топлива, которая включает систему впрыска с общим нагнетательным трубопроводом (магистралью).

Применение способа согласно настоящему изобретению предпочтительно позволяет противодействовать образованию отложений в двигателе, имеющем одну или более рассмотренных выше характеристик.

Применение настоящего изобретения предпочтительно улучшает эксплуатационные характеристики двигателя за счет уменьшения отложений, образующихся в двигателе.

Второй аспект настоящего изобретения предпочтительно относится к способу улучшения эксплуатационных характеристик двигателя посредством борьбы с отложениями в двигателе. Борьба с отложениями может включать снижение или предотвращение образования отложений в двигателе по сравнению с двигателем, работающим на топливе без соответствующих добавок. Этот способ может рассматриваться как обеспечение характеристики "поддержания чистоты".

Борьба с отложениями может включать удаление существующих в двигателе отложений. Это может рассматриваться как характеристика "очистки".

В особенно предпочтительных примерах осуществления способ согласно второму аспекту и применение согласно третьему аспекту настоящего изобретения могут быть воплощены для обеспечения характеристик "поддержания чистоты" и "очистки".

Как было указанно выше, отложения могут образовываться на различных участках дизельного двигателя, например, современного дизельного двигателя.

Настоящее изобретение особенно подходит для предотвращения или уменьшения или удаления внутренних отложений в форсунках двигателей, работающих при высоких давлениях и температурах с возможной рециркуляцией топлива, где в форсунках имеется множество мелких каналов (отверстий), через которые топливо направляют в двигатель. Настоящее изобретение может быть применено в двигателях транспортных средств большой мощности и пассажирских транспортных средств. Применение настоящего изобретения может быть полезно, например, для пассажирских транспортных средств, включающих двигатели с высокоскоростным непосредственным (прямым) впрыском (англ. high speed direct injection, сокращенно HSDI).

Настоящее изобретение также может обеспечивать придание улучшенных эксплуатационных характеристик современным дизельным двигателям, имеющим топливные системы высокого давления, посредством регулирования количества наружных отложений на форсунках, например, отложений, образующихся в сопле форсунки и/или на кончике форсунки. Способность регулировать образование внутренних отложений в форсунке и наружных отложений на форсунке является серьезным преимуществом настоящего изобретения.

Предпочтительно настоящее изобретение может обеспечивать уменьшение или предотвращение образования наружных отложений на форсунке. Таким образом, настоящее изобретение может обеспечивать характеристику "поддержание чистоты" в отношении наружных отложений на форсунке.

Предпочтительно настоящее изобретение может обеспечивать уменьшение или удаление существующих наружных отложений на форсунке. Таким образом, изобретение может обеспечивать "очистку" от наружных отложений на форсунке.

Предпочтительно настоящее изобретение может обеспечивать уменьшение или предотвращение образования внутренних отложений в форсунках дизельного двигателя. Таким образом, изобретение может обеспечивать характеристику "поддержание чистоты" в отношении внутренних отложений на форсунках дизельного двигателя.

Предпочтительно настоящее изобретение может обеспечивать уменьшение или удаление существующих внутренних отложений в форсунках дизельного двигателя. Таким образом, изобретение может обеспечивать "очистку" от внутренних отложений на форсунке дизельного двигателя.

Настоящее изобретение также может относиться к борьбе с отложениями на топливных фильтрах транспортного средства. Это может включать уменьшение или предотвращение образования отложений (характеристика "поддержание чистоты") или уменьшение или удаление существующих отложений (характеристика "очистка").

Удаление или уменьшение ВОФД согласно настоящему изобретению может приводить к улучшению эксплуатационных характеристик двигателя.

Улучшение эксплуатационных характеристик системы дизельного двигателя может быть определено с помощью ряда способов. Выбор подходящих способов зависит от типа двигателя и того, какую характеристику определяют: "поддержание чистоты" и/или "очистку".

Улучшение характеристики "поддержание чистоты" может быть определено сравнением с базовым топливом. Характеристика "очистка" может быть определена по улучшению эксплуатационных характеристик уже загрязненного двигателя.

Эффективность действия топливных добавок часто оценивают с помощью испытания двигателя в контролируемых условиях.

В Европе Координационный Европейский Совет по разработке испытаний для проверки эксплуатационных характеристик транспортных топлив, смазочных материалов и других жидких сред (англ. Coordinating European Council for the development of performance tests for transportation fuels, lubricants and other fluids (промышленная организация, сокращенно называемая СЕС)) разработал испытание для проверки свойств добавок для современных дизельных двигателей, таких как HSDI двигатели. Испытание СЕС F-98-08 применяют для оценки того, соответствует ли дизельное топливо для работы двигателей новым правилам Европейского Союза о выбросах в атмосферу, называемыми правилами "Euro 5". В испытании применяют двигатель Peugeot DW10, включающий форсунки Euro 5, и обычно его называют DW10B испытанием. В этом испытании измеряют снижение мощности двигателя, вызываемое отложениями на форсунках, и оно дополнительно рассмотрено ниже в примере 4. Если не указано иное, то любое упоминание в настоящей работе испытания DW10B относится к способу, описанному в Примере 4.

Предпочтительно применение топливной композиции согласно настоящему изобретению приводит к уменьшению образования отложений, выявляемому в испытании DW10B. При определении характеристики "поддержания чистоты" предпочтительно наблюдается снижение интенсивности образования отложений.

При определении характеристики "очистки" предпочтительно оценивают удаление отложений. Испытание DW10B применяют для определения потерь мощности в современных дизельных двигателях, включающих топливные системы высокого давления.

Предпочтительно применение топливной композиции согласно настоящему изобретению может обеспечивать характеристику "поддержания чистоты" в современных дизельных двигателях, то есть замедлять или предотвращать образование отложений на форсунках этих двигателей. Предпочтительно эта характеристика, определяемая в испытании DW10B такова, что потери мощности составляют менее 5%, предпочтительно менее 2%, после 32 часов работы двигателя.

Предпочтительно применение топливной композиции согласно настоящему изобретению может обеспечивать характеристику "очистки" в современных дизельных двигателях, то есть могут быть удалены отложения, уже имеющиеся на форсунках загрязненного двигателя. Предпочтительно эта характеристика, определяемая в испытании DW10B, такова, что мощность загрязненного двигателя может быть в течение 16 часов, предпочтительно 12 часов, более предпочтительно 8 часов, приведена к уровню, не более чем на 1% отличающемуся от уровня, достигаемого при работе чистых форсунок.

В некоторых предпочтительных примерах осуществления очистка также может приводить к повышению мощности. Таким образом, может быть проведена обработка загрязненного двигателя для удаления существующих отложений и обеспечения дополнительной прибавки к мощности.

Чистые форсунки могут включать новые форсунки или форсунки, которые были извлечены из двигателя и очищены физическим способом, например, в ультразвуковой ванне.

Комбинация добавки согласно настоящему изобретению и добавки, являющейся четвертичной солью аммония, может оказывать особенно эффективное воздействие при улучшении эксплуатационных характеристик современного дизельного двигателя, оснащенного топливной системой высокого давления.

СЕС также разработал новое испытание, обычно называемое DW10C, с помощью которого оценивают способность топливной композиции предотвращать образование ВОФД, которое приводит к заклиниванию форсунок. Это испытание описано в Примере 5. Модифицированная версия этого испытания, адаптированная для определения степени очистки, описана в Примере 7. Если не указано иное, то любое упоминание в настоящей работе испытания DW10C относится к способу, описанному в Примере 5.

Процедура испытания DW10C была создана СЕС как процедура оценки степени "поддержания чистоты", и, таким образом, она может быть применена для определения характеристики "поддержания чистоты" в двигателе. Однако ее часто модифицируют и применяют для определения степени очистки, то есть эта процедура также может быть применена для оценки характеристики "очистки" двигателя.

В некоторых примерах осуществления настоящее изобретение обеспечивает характеристику "поддержания чистоты" по отношению к образованию ВОФД. По оценочной шкале испытания DW10C эта характеристика может составлять по меньшей мере 7, предпочтительно по меньшей мере 8, более предпочтительно по меньшей мере 9.

В некоторых примерах осуществления может быть достигнута оценка, составляющая по меньшей мере 9,3, например, по меньшей мере 9,4, по меньшей мере 9,5, по меньшей мере 9,6 или по меньшей мере 9,7.

Весьма неожиданно было обнаружено, что введение добавок согласно настоящему изобретению приводит к чрезвычайно хорошим результатам в испытании DW10C. В некоторых случаях была достигнута оценка, превышающая 9,8, например, 9,9. Как видно из Примера 6, применение в испытании DW10C некоторых добавок согласно настоящему изобретению может привести к достижению оценки 10.

В некоторых примерах осуществления настоящее изобретение обеспечивает характеристику "очистки" по отношению к ВОФД, что позволяет удалять существующие ВОФД. Эта характеристика рассмотрена в Примерах.

Одним из параметров, определяемых в испытании DW10C, является температура выхлопных газов на выпуске из каждого цилиндра двигателя. Для одного цилиндра отклонение температуры выхлопных газов на выходе от температурного диапазона, наблюдаемого в нормальном устойчивом состоянии при правильном функционировании цилиндра, является индикатором образования внутренних отложений в соответствующей топливной форсунке. Обычно температуры выхлопных газов, выпускаемых из различных цилиндров многоцилиндрового двигателя, начинают отличаться друг от друга при образовании ВОФД, когда начинает проявляться заклинивание форсунок, поскольку эти температуры зависят от относительного положения каждой форсунки (то есть от степени ее открытия или закрытия). В испытании DW10C расхождение температур выхлопных газов на выходе может быть определено как разность температур самого горячего и самого холодного выхлопа из цилиндра, измеряемых в каждый определенный момент времени в течение 5 минут холостого хода после каждого холодного запуска. Максимальное расхождение температур выхлопных газов на выходе может быть определено как наибольшее значение расхождения температур выхлопных газов на выходе, регистрируемое в течение тех же 5 минут холостого хода.

Предпочтительно способ и применение согласно настоящему изобретению позволяют достичь в испытании DW10C максимального расхождения температур выхлопных газов на выходе, составляющего менее 30°С, предпочтительно менее 20°С, предпочтительнее менее 15°С. В некоторых случаях может быть достигнуто максимальное расхождение температур выхлопных газов на выходе, составляющее менее 10°С.

Было показано, что добавки согласно настоящему изобретению особенно эффективно противодействуют развитию внутренних отложений на форсунках дизельного двигателя, даже если их добавляют в небольших количествах. Таким образом, изобретение может дополнительно относиться к применению менее 150 частей на миллион, например, от 20 до 120 частей на миллион добавки согласно настоящему изобретению (особенно продукта реакции итаконовой кислоты или ее ангидрида и алкилового или алкенилового спирта, содержащего от 6 до 24 атомов углерода) для борьбы с ВОФД, эффективность которой подтверждается, например, тем, что в испытании DW10C величина максимального расхождения температур выхлопных газов на выходе составляет менее 30°С, предпочтительно менее 20°С, предпочтительнее менее 15°С.

Изобретение может дополнительно относиться к применению менее 150 частей на миллион, например, от 20 до 120 частей на миллион добавки, которая представляет собой продукт реакции итаконовой кислоты или ее ангидрида со спиртом, имеющим формулу R1OH, где R1 представляет собой алкильную или алкенильную группу, содержащую от 6 до 24 атомов углерода, для борьбы с ВОФД, эффективность которой подтверждается, например, тем, что в испытании DW10C величина максимального расхождения температур выхлопных газов на выходе составляет менее 30°С, предпочтительно менее 20°С, предпочтительнее менее 15°С.

Изобретение может дополнительно относиться к применению менее 150 частей на миллион, например, от 20 до 120 частей на миллион добавки, которая представляет собой продукт реакции итаконовой кислоты со спиртом, имеющим формулу R1OH, где R1 представляет собой алкильную или алкенильную группу, содержащую от 6 до 24 атомов углерода для борьбы с ВОФД, эффективность которой подтверждается, например, тем, что в испытании DW1 ОС величина максимального расхождения температур выхлопных газов на выходе составляет менее 30°С, предпочтительно менее 20°С, предпочтительнее менее 15°С.

Изобретение может дополнительно относиться к применению менее 150 частей на миллион, например, от 20 до 120 частей на миллион добавки, которая представляет собой продукт реакции итаконового ангидрида со спиртом, имеющим формулу R1OH, где R1 представляет собой алкильную или алкенильную группу, содержащую от 6 до 24 атомов углерода, для борьбы с ВОФД, эффективность которой подтверждается, например, тем, что в испытании DW10C величина максимального расхождения температур выхлопных газов на выходе составляет менее 30°С, предпочтительно менее 20°С, предпочтительнее менее 15°С.

Изобретение может дополнительно относиться к применению менее 150 частей на миллион, например, от 20 до 120 частей на миллион добавки, которая представляет собой продукт реакции итаконовой кислоты или ее ангидрида со спиртом, выбранным из цитронеллола и олеилового спирта, для борьбы с ВОФД, эффективность которой подтверждается, например, тем, что в испытании DW10C величина максимального расхождения температур выхлопных газов на выходе составляет менее 30°С, предпочтительно менее 20°С, предпочтительнее менее 15°С.

Изобретение может дополнительно относиться к применению менее 150 частей на миллион, например, от 20 до 120 частей на миллион добавки, которая представляет собой продукт реакции итаконовой кислоты со спиртом, выбранным из цитронеллола и олеилового спирта, для борьбы с ВОФД, эффективность которой подтверждается, например, тем, что в испытании DW10C величина максимального расхождения температур выхлопных газов на выходе составляет менее 30°С, предпочтительно менее 20°С, предпочтительнее менее 15°С.

Изобретение может дополнительно относиться к применению менее 150 частей на миллион, например, от 20 до 120 частей на миллион добавки, которая представляет собой продукт реакции итаконового ангидрида со спиртом, выбранным из цитронеллола и олеилового спирта, для борьбы с ВОФД, эффективность которой подтверждается, например, тем, что в испытании DW10C величина максимального расхождения температур выхлопных газов на выходе составляет менее 30°С, предпочтительно менее 20°С, предпочтительнее менее 15°С.

Изобретение может дополнительно относиться к применению менее 150 частей на миллион, например, от 20 до 120 частей на миллион добавки, которая представляет собой продукт реакции итаконовой кислоты или ее ангидрида со спиртом, выбранным из 2-этил-1-бутанола, 2-этил-1-гексанола, 2-этил-1-гептанола, 2-этил-1-деканола, 2-гексил-1-деканола, 2-октил-1-деканола, 2-гексил-1-додеканола, 2-октил-1-додеканола, 2-децил-1-тетрадеканола и изотридеканола, для борьбы с ВОФД, эффективность которой подтверждается, например, тем, что в испытании DW10C величина максимального расхождения температур выхлопных газов на выходе составляет менее 30°С, предпочтительно менее 20°С, предпочтительнее менее 15°С.

Изобретение может дополнительно относиться к применению менее 150 частей на миллион, например, от 20 до 120 частей на миллион добавки, которая представляет собой продукт реакции итаконовой кислоты со спиртом, выбранным из 2-этил-1-бутанола, 2-этил-1-гексанола, 2-этил-1-гептанола, 2-этил-1-деканола, 2-гексил-1-деканола, 2-октил-1-деканола, 2-гексил-1-додеканола, 2-октил-1-додеканола, 2-децил-1-тетрадеканола и изотридеканола, для борьбы с ВОФД, эффективность которой подтверждается, например, тем, что в испытании DW10C величина максимального расхождения температур выхлопных газов на выходе составляет менее 30°С, предпочтительно менее 20°С, предпочтительнее менее 15°С.

Изобретение может дополнительно относиться к применению менее 150 частей на миллион, например, от 20 до 120 частей на миллион добавки, которая представляет собой продукт реакции итаконового ангидрида со спиртом, выбранным из 2-этил-1-бутанола, 2-этил-1-гексанола, 2-этил-1-гептанола, 2-этил-1-деканола, 2-гексил-1-деканола, 2-октил-1-деканола, 2-гексил-1-додеканола, 2-октил-1-додеканола, 2-децил-1-тетрадеканола и изотридеканола, для борьбы с ВОФД, эффективность которой подтверждается, например, тем, что в испытании DW10C величина максимального расхождения температур выхлопных газов на выходе составляет менее 30°С, предпочтительно менее 20°С, предпочтительнее менее 15°С.

Изобретение может дополнительно относиться к применению менее 150 частей на миллион, например, от 20 до 120 частей на миллион добавки, которая представляет собой продукт реакции итаконовой кислоты или ее ангидрида со спиртом, имеющим формулу H-(OR)n-OR1, где R представляет собой необязательно замещенную алкиленовую группу, R1 представляет собой С4-С30 алкильную или алкенильную группу, n не равен 0, и добавку согласно настоящему изобретению получают из простого алкилового или алкенилового эфира многоатомного спирта, например, простого эфира полиэтиленгликоля, полипропиленгликоля, триэтиленгликоля, тетраэтиленгликоля, про пилен гликоля, дипропиленгликоля или трипропиленгликоля, для борьбы с ВОФД, эффективность которой подтверждается, например, тем, что в испытании DW10C величина максимального расхождения температур выхлопных газов на выходе составляет менее 30°С, предпочтительно менее 20°С, предпочтительнее менее 15°С.

Композиции дизельного топлива согласно настоящему изобретению также могут обеспечивать улучшенные эксплуатационные характеристики при работе традиционных дизельных двигателей. Предпочтительно улучшенные эксплуатационные характеристики проявляются при сжигании композиций дизельного топлива в современных дизельных двигателях, включающих топливные системы высокого давления, и при сжигании композиций в традиционных дизельных двигателях. Это важно отметить, поскольку это позволяет использовать одно топливо как в новых двигателях, так и в более старых транспортных средствах.

Улучшение эксплуатационных характеристик более старых двигателей может быть определено в испытании XUD9. Это испытание рассмотрено в Примере 8.

Предпочтительно применение топливной композиции согласно настоящему изобретению может обеспечить "поддержание чистоты" в традиционных дизельных двигателях, то есть может замедлить или предотвратить образование отложений на форсунках этих двигателей. Предпочтительно, благодаря характеристике "поддержание чистоты", спустя 10 часов работы двигателя в испытании XUD-9 наблюдается ослабление потока, составляющее менее 50%, предпочтительно менее 30%.

Предпочтительно применение топливной композиции согласно настоящему изобретению может обеспечить характеристику "очистки" в традиционных дизельных двигателях, которая позволяет удалять отложения на форсунках уже засоренного двигателя. Предпочтительно, благодаря этой характеристике, ослабление потока в засоренном двигателе может быть снижено на 10% или более в течение 10 часов его работы в испытании XUD-9.

Полезные эффекты, обеспечиваемые настоящим изобретением, позволяют гораздо реже производить обслуживание двигателей, что повышает экономию и увеличивает интервалы между циклами технического обслуживания.

Настоящее изобретение позволяет улучшать эксплуатационные характеристики бензиновых двигателей.

Бензиновые композиции согласно настоящему изобретению предпочтительно позволяют осуществлять надежный контроль состояния отложений в бензиновых двигателях с принудительным зажиганием. Они могут обеспечивать контроль состояния отложений в бензиновых двигателях, снабженных системой распределенного впрыска (англ. port fuel injection, сокращенно PFI).

Надежный контроль состояния отложений может быть достигнут даже в бензиновом двигателе с непосредственным впрыском топлива и принудительным зажиганием, который является устройством, эксплуатируемым в достаточно жестких условиях.

Надежный контроль состояния отложений может обеспечивать значительное снижение затрат на техническое обслуживание и/или обеспечивать увеличение мощности и/или повышение экономии топлива.

Второй аспект настоящего изобретения может обеспечить способ улучшения эксплуатационных характеристик посредством регулирования состояния отложений в двигателе с принудительным зажиганием. Предпочтительно двигатель представляет собой бензиновый двигатель с непосредственным впрыском топлива и принудительным зажиганием.

Улучшение эксплуатационных характеристик согласно второму и третьему аспектам настоящего изобретения может включать повышение эффективности работы бензинового двигателя с непосредственным впрыском топлива и принудительным зажиганием.

Согласно второму и третьему аспектам настоящего изобретения улучшение эксплуатационных характеристик бензинового двигателя с непосредственным впрыском топлива и принудительным зажиганием может обеспечить одно или более из следующих преимуществ:

• повышение экономии топлива;

• снижение необходимости в техническом обслуживании;

• менее частое проведение капитального ремонта или замены форсунок;

• улучшение управляемости;

• повышение мощности;

• ускоренный разгон.

Любой признак изобретения может быть скомбинирован с любым другим подходящим признаком изобретения.

Ниже изобретение более подробно рассмотрено с помощью приведенных неограничивающих примеров. В приведенных примерах добавляемые количества, выраженные в частях на миллион, означают количества активного ингредиента, а не количества добавляемой композиции, содержащей активный ингредиент. Все части на миллион представляют собой массовые части.

ОПИСАНИЕ ПРИМЕРОВ ОСУЩЕСТВЛЕНИЯ ИЗОБРЕТЕНИЯ

Общие процедуры

Кислотные числа были определены неводным титрованием метилатом лития (LiOMe).

Пример 1

Трехгорлую круглодонную колбу емкостью 500 мл снабжали магнитной мешалкой, холодильником-конденсатором, ловушкой Дина-Старка, вводом/выводом для газа, мешалкой с подогревом и масляной баней. Смешивали олеиловый спирт (206,19 г, 0,768 моль), итаконовую кислоту (100 г, 0,768 моль) и пара-толуолсульфоновую кислоту (0,439 г, 2,30 ммоль), и смесь нагревали до 165°С (внутренняя температура). Реакционную массу выдерживали при 165°С в течение 6 часов, удаляя воду. Реакционная масса стала гомогенной, и ее цвет стал оранжевым. После охлаждения до комнатной температуры реакционную массу переносили в делительную воронку емкостью 2 л и добавляли толуол (270 мл). Разбавленную толуолом реакционную массу промывали смесью 1: 1 воды с метанолом (1×540 мл), органическую фазу отделяли, и летучие вещества удаляли на роторном испарителе, получая вязкую оранжевую жидкость (257,6 г).

Кислотное число добавки А1 составило 2,0 ммоль Н+/г.

Пример 2

Добавка А2, добавка согласно настоящему изобретению, была получена следующим образом.

Трехгорлую круглодонную колбу емкостью 100 мл снабжали магнитной мешалкой, холодильником-конденсатором и мешалкой с подогревом. Смешивали цитронеллол (20 g, 0,128 моль), итаконовую кислоту (16,52 г, 0,127 моль) и пара-толуолсульфоновую кислоту (0,073 г, 0,38 ммоль), и смесь нагревали до 160°С (внутренняя температура) в течение 6 часов. После охлаждения до комнатной температуры от всей реакционной массы отбирали образец (15 г), который растворяли в толуоле (15 мл). Раствор в толуоле промывали смесью 1:1 воды с метанолом (1×30 мл), органическую фазу отделяли, и летучие вещества удаляли на роторном испарителе, получая вязкую оранжевую жидкость (13,6 г).

Кислотное число добавки А2 составило 2,7 ммоль Н+/г.

Пример 3

Композиции дизельного топлива были получены дозированием добавок к аликвотам, отобранным от одной общей партии базового топлива RF06, и содержащим 1 часть на миллион цинка (в виде неодеканоата цинка).

Ниже в Таблице 1 представлены характеристики базового топлива RF06.

Пример 4

Эксплуатационные характеристики топливных композиций согласно настоящему изобретению при их сжигании в современных дизельных двигателях, имеющих топливную систему высокого давления, могут быть определены способом CECF-98-08 DW10. В настоящей работе этот способ назван испытанием DW10B.

Для определения засорения форсунок применяли двигатель PSA DW10BTED4. В общем, двигатель имел следующие характеристики:

Этот двигатель был выбран как типичный представитель конструкции европейских высокоскоростных современных дизельных двигателей с непосредственным впрыском, которые могут соответствовать настоящим и перспективным европейским требованиям к выбросам в атмосферу. В системе впрыска с общим нагнетательным трубопроводом применена высокоэффективная конструкция сопла с закругленным краем впускного отверстия и коническими распылительными каналами, обеспечивающими оптимальные гидравлические параметры течения. При работе сопла этого типа с топливом под высоким давлением может быть достигнута повышенная эффективность сгорания, снижены шумы и снижено потребление топлива, но такие сопла чувствительны к воздействиям, которые могут нарушить течение топлива, таким как образование отложений в распылительных отверстиях. Присутствие таких отложений вызывает значительное снижение мощности двигателя и повышенный выброс необработанных газов в атмосферу.

Испытание проводили на форсунках перспективной конструкции, которые являются примером конструкции форсунок Euro V, которая возможно будет применяться в будущем.

Полагают, что перед началом испытаний на засорение было бы разумно надежно определить точку отсчета для исходного состояния форсунок, и, таким образом, была предложена шестнадцатичасовая программа подготовки к испытанию форсунок с использованием незасоряющего эталонного топлива.

Подробное описание способа испытания СЕС F-98-08 может быть предоставлено СЕС. Цикл коксования кратко описан ниже.

1. Цикл прогрева (12 минут) в следующем режиме:

2. 8 часов работы двигателя состояли из 8 повторений следующего цикла:

3. Охлаждение до холостого хода в течение 60 секунд и холостой ход в течение 10 секунд

4. 4-часовой период выдержки

Стандартный способ испытания СЕС F-98-08 состоит из 32-часовой работы двигателя, включающей 4 повторения описанных выше этапов 1-3 и 3 повторения этапа 4, т.е. общая продолжительность испытания составляет 56 часов, исключая периоды прогрева и охлаждения.

Пример 5

Способность добавок согласно настоящему изобретению удалять "внутренние отложения на форсунках дизельного двигателя" (ВОФД) может быть определена способом испытаний СЕС F-110-16, разработанным Европейским Советом по координации. В этом испытании применяют двигатель PSA DW10C.

Двигатель имеет следующие характеристики:

В испытуемое топливо (RF06) добавляли 0,5 мг/кг Na в виде нафтената натрия+10 мг/кг додецилянтарной кислоты (обозначаемой DDSA, от англ. dodecyl succinic acid).

Процедура испытания состоит из циклов основного хода, за которыми следуют периоды выдержки, после чего производят холодный запуск (запуск из холодного состояния).

Цикл основного хода состоит из двух этапов работы с определенной скоростью и нагрузкой, которые повторяют в течение 6 часов, как указано ниже.

В продолжительность каждого этапа были включены периоды ускорения, составляющие 30 секунд (см. Фиг. 3).

Каждый цикл повторяли 6 раз, то есть полная фаза основного хода составляла 6 часов.

Во время основного хода наблюдают и записывают параметры, включающие положение педали газа, коды ошибки ECU (сокр. от engine control unit, блок управления двигателем), коэффициент баланса форсунки и самопроизвольные выключения двигателя.

Затем двигатель выдерживают при обычной температуре в течение 8 часов.

После периода выдержки двигатель запускают повторно. Пусковое устройство (стартер) функционирует в течение 5 секунд; если двигатель не запускается, то двигатель оставляют еще на 60 секунд и затем производят еще одну попытку. Разрешается проводить не более 5 попыток.

Если двигатель заводится, то двигатель оставляют на холостом ходу в течение 5 минут. Определяют индивидуальные температуры выхлопных газов и записывают максимальную разность температур. Увеличенное расхождение температур выхлопных газов от цилиндра к цилиндру ясно указывает на то, что на форсунках откладываются ВОФД, которые вызывают либо замедление открытия

15 отверстия форсунки, либо ненужное увеличение длительности нахождения в открытом состоянии.

Ниже приведен пример, на котором показаны все температуры выхлопных газов с отклонением <30°С, что указывает на отсутствие заклинивания, вызываемого ВОФД (см. Фиг. 4).

Полное испытание включает 6 холодных запусков, но при этом в оценку не включают холодный запуск нулевого часа (Zero hour), и пять 6-часовых циклов основного хода, так что общая продолжительность работы двигателя составляет 30 часов.

Полученные данные заносят в Оценочную таблицу (Merit Rating Chart). Это позволяет получить оценку по результатам испытания. Максимальная оценка 10 показывает отсутствие проблем с ходом или пригодностью двигателя к эксплуатации в течение всего испытания.

Один из примеров приведен ниже:

Пример 6

Композицию дизельного топлива, включающую добавку А1 (70 частей на миллион активного компонента), подвергали испытаниям в соответствии с тестом способа DW10C, описанным выше в Примере 5. Была получена конечная оценка эффективности, составляющая 10. Результаты полностью приведены в Таблице 2. Температурный профиль выхлопов из цилиндров в течение периода, составляющего пять минут после холодного запуска, после функционирования в течение 30 часов представлен на Фиг. 1.

Пример 7

Способность добавок согласно настоящему изобретению удалять ВОФД может быть определена в испытании, представляющем собой модификацию испытания DW10C, описанного в Примере 5.

Созданный авторами изобретения для внутреннего пользования способ очистки начинают осуществлять с работы двигателя на эталонном (базовом) дизельном топливе (RF06), в которое было добавлено 0,5 мг/кг Na+10 мг/кг DDSA, и работу продолжают до тех пор, пока при холодном запуске разность (Delta) температур выхлопных газов на выходе не составит >50°С. Это многократно наблюдали во время третьего (3-его) холодного запуска, который выполняли после второго периода основного хода, суммарно после 12 часов функционирования двигателя.

Как только наблюдается повышенная разность (Delta) температур выхлопных газов на выходе, топливо, подаваемое в двигатель, заменяют на эталонное дизельное топливо, в которое добавлено 0,5 мг/кг Na (в виде нафтената натрия)+10 мг/кг DDSA+перспективный образец. Топливо подают в двигатель и начинают следующий период основного хода.

По мере продолжения испытания может быть определена способность добавки-кандидата предотвращать любое дополнительное нарастание отложений или ее способность удалять отложения.

Пример 8

Эффективность действия добавок настоящему согласно изобретению в традиционных дизельных двигателях старшего поколения может быть оценена с помощью стандартного промышленного испытания - способа испытаний СЕС No. СЕС F-23-A-01.

В этом испытании определяют закоксованность сопла форсунки в двигателе Peugeot XUD9 A/L, и данное испытание позволяет различать топлива по их склонности образовывать коксообразные отложения на сопле форсунки. Образование кокса на сопле является результатом осаждения углерода между иглой форсунки и седлом иглы. Углеродные отложения появляются в результате воздействия на иглу форсунки и седло газообразных продуктов горения, и такие отложения могут вызывать нежелательные колебания характеристик двигателя.

Двигатель Peugeot XUD9 A/L представляет собой дизельный двигатель непрямого впрыска с рабочим объемом 1,9 литра, включающий 4 цилиндра, предоставленный Peugeot Citroen Motors специально для проведения исследования способом СЕС PF023.

В испытуемый двигатель устанавливали чистые форсунки с незатупленными форсуночными иглами. Перед испытанием с помощью установки для определения потока определяли поток воздуха при различных положениях поднятой иглы. Двигатель работал в течение 10 часов в циклическом режиме.

Способность топлива усиливать образование отложений на топливных форсунках определяли, повторно измеряя поток воздуха через сопло форсунки по окончании испытания и сравнивая результаты с величинами, полученными до испытания. Результаты выражены в виде процентного снижения величины потока воздуха при различных положениях поднятой иглы во всех соплах. За уровень закоксовывания форсунки при сжигании определенного топлива принимали среднюю величину снижения величины потока воздуха при подъеме иглы на 0,1 мм во всех четырех соплах.

Пример 9

Добавка A3, добавка согласно настоящему изобретению, была получена способом, аналогичным способам, описанным в Примерах 1 и 2.

Кислотное число добавки A3 составило 2,4 ммоль Н+/г.

Пример 10

Композицию дизельного топлива, включающую добавку A3 (70 частей на миллион активного вещества), подвергали испытаниям в соответствии со способом испытаний DW10B, описанным выше в Примере 4.

На Фиг. 2 показаны эксплуатационные характеристики этой композиции в сравнении с характеристиками базовой топливной композиции, не включающей добавок.

Пример 11

Композицию дизельного топлива, включающую добавку A3 (70 частей на миллион активного вещества), подвергали испытаниям в соответствии со способом испытаний DW10C, описанным выше в Примере 5. Была получена конечная оценка характеристик, составляющая 10. Полные результаты представлены в Таблице 3.

Похожие патенты RU2838414C1

название год авторы номер документа
КОМПОЗИЦИИ И СПОСОБЫ И ОТНОСЯЩИЕСЯ К НИМ ПРИМЕНЕНИЯ 2020
  • Росс, Алан Норман
  • Робертс, Мартин
  • Смит, Александер
RU2838530C1
СПОСОБ И ПРИМЕНЕНИЕ 2018
  • Петтс, Мэтью
  • Ле Манкуе, Катерина
  • Росс, Алан Норман
RU2770875C2
СПОСОБ И ПРИМЕНЕНИЕ 2018
  • Петтс, Мэтью
  • Ле Манкуе, Катерина
  • Росс, Алан Норман
RU2769262C2
СПОСОБ И ПРИМЕНЕНИЕ 2018
  • Петтс, Мэтью
  • Ле Манкуе, Катерина
  • Росс, Алан Норман
RU2783945C2
СПОСОБ И ПРИМЕНЕНИЕ ДЛЯ ПРЕДОТВРАЩЕНИЯ ОБРАЗОВАНИЯ ОТЛОЖЕНИЙ В ДВИГАТЕЛЕ 2018
  • Петтс, Мэтью
  • Ле Манкуе, Катерина
  • Росс, Алан Норман
RU2769060C2
ЧЕТВЕРТИЧНОЕ АММОНИЕВОЕ СОЕДИНЕНИЕ И ТОПЛИВНАЯ КОМПОЗИЦИЯ 2019
  • Росс, Алан Норман
  • Петтс, Мэтью
RU2810335C2
КОМПОЗИЦИИ И СПОСОБЫ И ОТНОСЯЩИЕСЯ К НИМ ПРИМЕНЕНИЯ 2018
  • Петтс, Мэтью
  • Ле Манкуе, Катерина
  • Росс, Алан Норман
RU2775969C2
ТОПЛИВНЫЕ КОМПОЗИЦИИ 2014
  • Малквин Саймон
RU2668965C2
ЧЕТВЕРТИЧНЫЕ АММОНИЕВЫЕ СОЕДИНЕНИЯ В КАЧЕСТВЕ ДОБАВОК К ТОПЛИВУ ИЛИ СМАЗОЧНЫМ МАТЕРИАЛАМ 2014
  • Рейд Жаклин
  • Кук Стивен Леонард
RU2702097C2
ЧЕТВЕРТИЧНЫЕ АММОНИЕВЫЕ СОЕДИНЕНИЯ И ИХ ПРИМЕНЕНИЕ В КАЧЕСТВЕ ПРИСАДОК К ТОПЛИВУ ИЛИ СМАЗОЧНЫМ МАТЕРИАЛАМ 2015
  • Рейд, Жаклин
  • Кук, Стивен Леонард
RU2713658C2

Иллюстрации к изобретению RU 2 838 414 C1

Реферат патента 2025 года КОМПОЗИЦИИ И СПОСОБЫ И ОТНОСЯЩИЕСЯ К НИМ ПРИМЕНЕНИЯ

Группа изобретений относится к топливной композиции, содержащей дизельное топливо и в качестве добавки - продукт реакции соединения на основе поликарбоновой кислоты, имеющего формулу (I)

или его ангидрида со спиртом формулы R1OH, где R1 представляет собой замещенную или незамещенную C6-C50 алкильную или алкенильную группу; где каждый из показателей n и m может быть равен 0 или положительному целому числу, а также к способу улучшения эксплуатационных характеристик дизельного двигателя, где способ включает сжигание в дизельном двигателе топливной композиции, и к применению продукта реакции соединения на основе поликарбоновой кислоты, имеющего формулу (I)

или его ангидрида со спиртом формулы R1OH, где R1 представляет собой замещенную или незамещенную C6-C50 алкильную или алкенильную группу, где каждый из показателей n и m может быть равен 0 или положительному целому числу, в качестве добавки к топливной композиции с целью улучшения эксплуатационных характеристик дизельного двигателя, в котором происходит сжигание топливной композиции, где топливная композиция содержит дизельное топливо. Группа изобретений обеспечивает эффективное удаление отложений на форсунках дизельных двигателей. 3 н. и 23 з.п. ф-лы, 4 ил., 3 табл., 11 пр.

Формула изобретения RU 2 838 414 C1

1. Топливная композиция, содержащая дизельное топливо и в качестве добавки - продукт реакции соединения на основе поликарбоновой кислоты, имеющего формулу (I)

или его ангидрида со спиртом формулы R1OH, где R1 представляет собой замещенную или незамещенную C6-C50 алкильную или алкенильную группу; где каждый из показателей n и m может быть равен 0 или положительному целому числу.

2. Способ улучшения эксплуатационных характеристик дизельного двигателя, где способ включает сжигание в дизельном двигателе топливной композиции, содержащей дизельное топливо и в качестве добавки - продукт реакции соединения на основе поликарбоновой кислоты, имеющего формулу (I)

или его ангидрида со спиртом формулы R1OH, где R1 представляет собой замещенную или незамещенную C6-C50 алкильную или алкенильную группу; где каждый из показателей n и m может быть равен 0 или положительному целому числу.

3. Применение продукта реакции соединения на основе поликарбоновой кислоты, имеющего формулу (I)

или его ангидрида со спиртом формулы R1OH, где R1 представляет собой замещенную или незамещенную C6-C50 алкильную или алкенильную группу, где каждый из показателей n и m может быть равен 0 или положительному целому числу, в качестве добавки к топливной композиции с целью улучшения эксплуатационных характеристик дизельного двигателя, в котором происходит сжигание топливной композиции, где топливная композиция содержит дизельное топливо.

4. Композиция, способ или применение по любому из предшествующих пунктов, где поликарбоновая кислота или ее ангидрид выбраны из итаконовой кислоты, итаконового ангидрида, 2-метиленглутаровой кислоты, 2-метиленглутарового ангидрида, 2-метиленадипиновой кислоты, 2-метиленадипинового ангидрида, а также их изомеров и/или смесей.

5. Композиция, способ или применение по любому из предшествующих пунктов, где поликарбоновая кислота представляет собой итаконовую кислоту.

6. Композиция, способ или применение по п. 5, где спирт выбран из:

- алканолов, имеющих формулу CH3(CH2)xOH, или их изомеров, где x составляет от 4 до 23;

- разветвленных или циклических алкиловых спиртов;

- алкениловых спиртов.

7. Композиция, способ или применение по п. 6, где спирт выбран из:

- алканолов, имеющих формулу CH3(CH2)xOH, или их изомеров, где x составляет от 9 до 19;

- разветвленных или циклических алкиловых спиртов;

- алкениловых спиртов.

8. Композиция, способ или применение по п. 6 или 7, где спирт выбран из:

- спирта, имеющего формулу R1OH, где R1 представляет собой алкильную группу, содержащую от 8 до 30 атомов углерода; и

- спирта, имеющего формулу R1OH, где R1 представляет собой алкенильную группу, содержащую от 8 до 30 атомов углерода.

9. Композиция, способ или применение по п. 8, где спирт выбран из:

- спирта, имеющего формулу R1OH, где R1 представляет собой разветвленную алкильную группу, содержащую от 8 до 30 атомов углерода; и

- спирта, имеющего формулу R1OH, где R1 представляет собой алкенильную группу, содержащую от 8 до 30 атомов углерода.

10. Композиция, способ или применение по п. 8, где спирт выбран из:

- спирта, имеющего формулу R1OH, где R1 представляет собой алкильную группу, содержащую от 8 до 30 атомов углерода; и

- спирта, имеющего формулу R1OH, где R1 представляет собой алкенильную группу, содержащую от 8 до 30 атомов углерода.

11. Композиция, способ или применение по любому из предшествующих пунктов, где спирт выбран из гексанола, октанола, нонанола, деканола, додеканола, тетрадеканола, цетилового спирта, стеарилового спирта, 2-этил-1-бутанола, 2-этил-1-гексанола, 2-этил-1-гептанола, 2-пропилгептанола, 2-этил-1-деканола, 2-гексил-1-деканола, 2-октил-1-деканола, 2-гексил-1-додеканола, 2-октил-1-додеканола, 2-децил-1-тетрадеканола, изотридеканола, циклогексанола, циклооктанола, цитронеллола, олеилового спирта, 9-децен-1-ола, цис-3-гексен-1-ола, транс-2-гексен-1-ола, 5-гексен-1-ола, 6-метил-5-гептен-2-ола, 1-октен-3-ола, транс-2-октен-1-ола и 10-ундецен-1-ола.

12. Композиция, способ или применение по любому из предшествующих пунктов, где соединение на основе поликарбоновой кислоты и спирт вводят в реакцию в молярном отношении, составляющем от 2:1 до 1:2.

13. Композиция, способ или применение по любому из предшествующих пунктов, где кислотное число добавки составляет от 0,6 до 9,7 ммоль H+/г.

14. Композиция, способ или применение по п. 13, где кислотное число добавки составляет от 1,3 до 7,1 ммоль H+/г.

15. Композиция, способ или применение по п. 13, где кислотное число добавки составляет от 1,6 до 6,2 ммоль H+/г.

16. Композиция, способ или применение по любому из предшествующих пунктов, где композиция дизельного топлива включает одну или более дополнительных добавок, выбранных из:

(i) добавки, представляющей собой четвертичную соль аммония;

(ii) продукта реакции Манниха, протекающей между альдегидом, амином и замещенным или незамещенным фенолом;

(iii) продукта реакции полученного из карбоновой кислоты ацилирующего агента и амина;

(iv) продукта реакции полученного из карбоновой кислоты ацилирующего агента и гидразина;

(v) соли, полученной по реакции карбоновой кислоты с ди-н-бутиламином или три-н-бутиламином;

(vi) продукта реакции замещенной гидрокарбилом дикарбоновой кислоты или ее ангидрида с аминосодержащим соединением или аминной солью, где продукт включает по меньшей мере одну группу аминотриазола;

(vii) замещенной полиароматической моющей добавки; и

(viii) частичных сложных эфиров замещенных янтарных кислот.

17. Композиция, способ или применение по п. 16, где композиция дизельного топлива дополнительно включает добавку, являющуюся четвертичной солью аммония.

18. Композиция, способ или применение по п. 17, где добавка, являющаяся четвертичной солью аммония, представляет собой продукт реакции азотсодержащего соединения, включающего по меньшей мере одну третичную аминогруппу, с кватернизующим агентом, где азотсодержащее соединение является продуктом реакции замещенного гидрокарбилом ацилирующего агента и соединения, включающего по меньшей мере одну третичную аминогруппу, а также первичную аминогруппу, вторичную аминогруппу или спиртовую группу.

19. Композиция, способ или применение по п. 18, где кватернизующий агент представляет собой сложноэфирный кватернизующий агент.

20. Способ или применение по любому из пп. 2-19, обеспечивающие борьбу с отложениями в двигателе.

21. Способ или применение по любому из пп. 2-20, где двигатель представляет собой современный дизельный двигатель, снабженный топливной системой высокого давления.

22. Способ или применение по п. 21, в которых улучшение эксплуатационных характеристик выбрано из одного или более следующих:

- снижение потерь мощности двигателя;

- уменьшение наружных отложений на форсунках дизельного двигателя;

- уменьшение внутренних отложений на форсунках дизельного двигателя;

- повышение экономии топлива;

- уменьшение отложений на топливном фильтре;

- уменьшение выбросов; и

- увеличение интервалов между циклами технического обслуживания.

23. Способ или применение по любому из пп. 2-22, обеспечивающие борьбу с внутренними отложениями на форсунках дизельного двигателя.

24. Способ или применение по любому из пп. 2-23, обеспечивающие в испытании DW10C максимальное расхождение температур выхлопных газов на выходе, составляющее менее 30°C.

25. Способ или применение по любому из пп. 2-24, которые обеспечивают снижение или предотвращение образования отложений.

26. Способ или применение по любому из пп. 2-25, которые обеспечивают уменьшение или удаление существующих отложений.

Документы, цитированные в отчете о поиске Патент 2025 года RU2838414C1

WO 2018178672 A1, 04.10.2018
US 6224642 B1, 01.05.2001
Способ возведения монолитно-прессованной крепи 1982
  • Стогов Сергей Николаевич
  • Семенов Александр Николаевич
  • Самойлов Владимир Павлович
  • Пруткин Владимир Юрьевич
SU1075000A1
ТОПЛИВНАЯ КОМПОЗИЦИЯ 2003
  • Шайхисламов Н.С.
  • Емельянов В.Е.
  • Онойченко С.Н.
  • Локтев Е.А.
RU2230775C1
US 3085002 A, 09.04.1963
WO 2018178674 A1, 04.10.2018.

RU 2 838 414 C1

Авторы

Росс, Алан Норман

Робертс, Мартин

Смит, Александер

Даты

2025-04-16Публикация

2020-11-06Подача