Способ коррекции зрелости ритмов головного мозга Российский патент 2025 года по МПК A61B5/369 A61B5/372 A61M21/00 

Описание патента на изобретение RU2839010C1

Способ относится к следующим областям экспериментальной нейрофизиологии: разработка технологии воздействия сигналов обратной связи на мозг человека, разработка технологии нейробиоуправления, разработка методов адаптивной нейростимуляции, разработка методов коррекции стресс-индуцированных состояний.

Известен «Способ немедикаментозной коррекции и/или оптимизации эмоционального, нейровегетативного и нейрокогнитивного статусов человека» [1], который относится к области медицины, в частности к психофизиологии. Осуществляют воздействие ритмическими когерентно связанными световыми, звуковыми и вибротактильными стимулами. При этом перед сеансом регистрируют ЭЭГ (электроэнцефалограмму) в состоянии покоя и при предъявлении функциональных проб. Определяют индивидуальные показатели альфа-активности: частоту максимального пика альфа, ширину альфа-диапазона, глубину десинхронизации. Сеанс проводят в 3 этапа. Недостатком способа является необходимость одновременного использования световых, звуковых и вибротактильных воздействий на человека, что ограничивает условия проведения коррекции и усложняет прогнозирование изменения динамики функционального состояния обследуемого во время процедуры. Также к недостаткам можно отнести отсутствие объективных функциональных критериев для выбора целевого состояния индивида, которое должно быть достигнуто в результате процедуры с помощью изменения базовой частоты, другими словами коррекция проводится для достижения эффектов или облегчения симптомов (релаксация, сон, снятие беспокойства и тревоги, энергизация, улучшение когнитивной компетентности, оптимизация психомоторной результативности), а не с целью достижения более оптимального с точки зрения организма пациента состояния ритмики головного мозга.

Известен «Способ нормализации психофизиологического состояния» [2], включающий последовательное проведение регистрации сигналов мозга пациента, преобразование выбранных параметров сигналов мозга в соответствующие сенсорные сигналы и воздействие на пациента этими сенсорными сигналами. При этом устанавливают скорости нарастания и спада каждого сенсорного сигнала таким образом, чтобы вызванная активность мозга не выявлялась. Недостатком является то, что формирование стимулирующих импульсов в процессе коррекции напрямую зависит от качества регистрации временного представления сигнала мозга, где вероятно наличие артефактов физиологической (например, наличие наводок в виде электрокардиограммы или электромиограммы мышц шеи, лица, глаз) и нефизиологической природы (электромагнитные помехи, отсоединения электродов), а также отсутствие критериев для достижения целевой нормализации психофизиологического состояния по сигналам мозга. Оценка эффективности процедуры по указанному способу осуществляется в результате комплексного анализа результатов разнообразных психологических тестов, субъективной оценки самочувствия пациента, изменения индексов альфа-ритма, бета-ритма и уровня межполушарной асимметрии, что затрудняет практическое использование методики, требует специальных навыков персонала и условий для проведения психологических тестов, что в свою очередь усложняет планирование дальнейшего курса коррекции. Кроме того, известный способ предполагает, что пациент во время процедуры находится в сознании, что ограничивает применимость способа коррекции, когда пациент находится в бессознательном состоянии, например в условиях интенсивной терапии в лечебно-профилактических учреждениях.

Перечисленные недостатки значительно ограничивают эффективность известных способов коррекции функционального состояния головного мозга.

В качестве прототипа выбран способ оценки зрелости ритмов головного мозга, описанный в статье [3]. В способе-прототипе регистрируют ЭЭГ обследуемого при закрытых глазах в спокойном состоянии при воздействии световым сигналом на закрытые глаза, а также после воздействия. После этого анализируют спектральные компоненты биоэлектрической активности и оценивают зрелость ритмов головного мозга по трем признакам: по наличию частотного пика в альфа-диапазоне, по эффекту усвоения навязываемых стимуляцией ритмов и по наличию мультипликационного эффекта от навязываемых стимуляцией ритмов. При наличии признака присваивают 1 балл, при отсутствии - 0 баллов. При сумме баллов всех показателей, равной 3, дают оценку «эталонная ритмика», при сумме, равной 2, - «слабая регрессия», при сумме, равной 1, - «умеренная регрессия», при сумме, равной 0, - «глубокая регрессия». Таким образом диагностируют зрелость ритмов головного мозга. Недостатком является то, что зрелость ритмов головного мозга оценивается экспертом визуально, и последующая коррекция ритмов проводится по стандартным протоколам, не учитывающим индивидуальные особенности реактивности головного мозга.

Задачей, на решение которой направлено данное изобретение, является разработка способа оценки зрелости ритмов головного мозга, позволяющего проводить коррекцию зрелости ритмов головного мозга и расширить возможности нейробиоуправления в медицине и реабилитации, учитывая индивидуальные особенности обследуемых.

Технический результат достигается за счет того, что разработанный способ оценки зрелости ритмов головного мозга так же, как и способ-прототип, включает диагностику зрелости ритмов головного мозга, заключающуюся в регистрации биоэлектрической активности головного мозга обследуемого при закрытых глазах в спокойном состоянии, регистрации биоэлектрической активности головного мозга обследуемого при воздействии гармоническим монохроматическим световым сигналом на закрытые глаза, регистрации биоэлектрической активности головного мозга обследуемого после воздействия, анализе спектральных компонент биоэлектрической активности, оценке зрелости ритмов головного мозга по трем признакам, а именно по наличию частотного пика в альфа-диапазоне, по эффекту усвоения навязываемых стимуляцией ритмов и по наличию мультипликационного эффекта от навязываемых стимуляцией ритмов, причем при наличии признака присваивают 1 балл, при отсутствии - 0 баллов, при этом при сумме баллов всех показателей, равной 3, дают оценку «эталонная ритмика», при сумме, равной 2, - «слабая регрессия», при сумме, равной 1, - «умеренная регрессия», при сумме, равной 0, - «глубокая регрессия». Новым является то, что воздействуют гармоническим монохроматическим световым сигналом с длиной волны из диапазона 630-760 нм с дискретно нарастающей частотой в диапазоне 4-20 Гц, используют математическую модель таламокортикальной ячейки, динамические режимы которой определяются ее параметрами и показателями воздействующего стимула в виде упомянутого светового сигнала, задают параметр модели d в зависимости от результата диагностики в соответствии с полученным динамическим спектром отклика модели, который сравнивается с динамическим спектром ритмической активности обследуемого, а именно при «глубокой регрессии» d=0,28÷0,32, при «умеренной регрессии» d=0,18÷0,22, при «слабой регрессии» d=0,01÷0,03, воздействуют световым сигналом, используя показатели, спрогнозированные моделью и обеспечивающие переход к более высокому уровню зрелости ритмов головного мозга, а именно от «глубокой регрессии» к «умеренной регрессии», от «умеренной» к «слабой», от «слабой» к «эталонной ритмике», подбирают новые показатели светового сигнала при достижении идентичности прогнозируемых моделью спектральных характеристик с биоэлектрической активностью головного мозга обследуемого и воздействуют световым сигналом с подобранными показателями для перехода к более высокому уровню зрелости ритмов головного мозга, заканчивают коррекцию зрелости ритмов головного мозга при достижении обследуемым уровня «эталонной ритмики».

В частном случае реализации способа в качестве показателя гармонического монохроматического светового сигнала, спрогнозированного моделью и обеспечивающего переход к более высокому уровню зрелости ритмов головного мозга, выбирают амплитуду.

В другом частном случае реализации способа в качестве показателя гармонического монохроматического светового сигнала, спрогнозированного моделью и обеспечивающего переход к более высокому уровню зрелости ритмов головного мозга, выбирают интервал изменения частот воздействующего светового сигнала внутри диапазона 4-20 Гц.

В третьем частном случае реализации способа в качестве показателя гармонического монохроматического светового сигнала, спрогнозированного моделью и обеспечивающего переход к более высокому уровню зрелости ритмов головного мозга, выбирают интервал времени, в течение которого происходит световая стимуляция на каждом дискретном значении частоты до перехода на следующее дискретное значение.

В четвертом частном случае в качестве показателя гармонического монохроматического светового сигнала, спрогнозированного моделью и обеспечивающего переход к более высокому уровню зрелости ритмов головного мозга, выбирают шаг изменения дискретных значений частоты световой стимуляции.

Разработанный способ поясняется следующими фигурами.

Фиг. 1 - фотография обследуемого при воздействии гармоническим монохроматическим световым сигналом на закрытые глаза.

Фиг. 2 - спектры при «эталонной ритмике»: а) спектр светового сигнала при динамической фотостимуляции, б) спектр ЭЭГ ребенка 7 лет, в) спектр ЭЭГ взрослого, г) спектр ЭЭГ до и после динамической фотостимуляции.

Фиг. 3 - спектры при «слабой регрессии»: а) спектр светового сигнала при динамической фотостимуляции, б) спектр ЭЭГ ребенка с тревожным расстройством при динамической фотостимуляции, в) спектр ЭЭГ до и после динамической фотостимуляции.

Фиг. 4 - спектры при «умеренной регрессии»: а) спектр светового сигнала при динамической фотостимуляции, б) спектр ЭЭГ при динамической фотостимуляции, в) спектр ЭЭГ до и после динамической фотостимуляции.

Фиг. 5 - спектры при «глубокой регрессии»: а) спектр светового сигнала при динамической фотостимуляции, б) спектр ЭЭГ при динамической фотостимуляции, в) спектр ЭЭГ до и после динамической фотостимуляции.

На фиг. 6а приведена схема модели элементарной таламокортикальной ячейки; на фиг. 6б приведена зависимость длительности первого импульса (сплошная линия) и периода следующих за ним автоколебаний от постоянной величины внешнего сигнала (пунктирная линия).

Фиг. 7 - графики функции энергообеспечения с различными параметрами d.

Фиг. 8 - динамические спектры ЭЭГ испытуемого и на модели.

На фиг. 9 показан график, на котором параметр модели d пересчитывается в проценты.

На фиг. 10 показана схема реализации разработанного способа.

Фиг. 11 - иллюстрация варианта изменения частотно-временных характеристик протокола нейробиоуправления.

В разработанном способе оценки зрелости ритмов головного мозга сначала проводят диагностику зрелости ритмов головного мозга. Для этого регистрируют биоэлектрическую активность головного мозга обследуемого при закрытых глазах в спокойном состоянии, при воздействии гармоническим монохроматическим световым сигналом на закрытые глаза, а также после воздействия (фиг. 1). На основании анализа спектральных компонент биоэлектрической активности дают оценку зрелости ритмов головного мозга по трем признакам: по наличию частотного пика в альфа-диапазоне, по эффекту усвоения навязываемых стимуляцией ритмов и по наличию мультипликационного эффекта от навязываемых стимуляцией ритмов. При наличии признака присваивают 1 балл, при отсутствии - 0 баллов, при этом при сумме баллов всех показателей, равной 3, дают оценку «эталонная ритмика» (фиг. 2), при сумме, равной 2, - «слабая регрессия» (фиг. 3), при сумме, равной 1, - «умеренная регрессия» (фиг. 4), при сумме, равной 0, - «глубокая регрессия» (фиг. 5).

На фиг. 2, 3, 4 и 5 горизонтальная красная линия соответствует моменту начала сканирования, горизонтальная зеленая линия соответствует моменту окончания сканирования. Под буквой «а» на всех этих фигурах приведен динамический спектр светового сигнала при динамической фотостимуляции. На фиг. 2г, фиг. 3в, фиг. 4в, фиг.5в показан спектр ЭЭГ до (белые линии) и после (синие линии) динамической фотостимуляции.

На фиг. 2б приведен динамический спектр ЭЭГ ребенка 7 лет с эталонным уровнем зрелости, на фиг. 2в динамический спектр взрослого человека в оптимальном состоянии. Этот случай соответствует эталонной зрелости ритмики мозга, поэтому на спектре можно увидеть при динамической фотостимуляции собственный альфа-ритм 1 в диапазоне 8-14 Гц; проявление ритма 2 с частотами стимуляции (усвоение ритма), то есть адаптивность и пластичность мозга реализуется через воспроизведение в ЭЭГ колебаний светового сигнала; проявление ритмов 3 с частотами, кратными частоте стимуляции (мультипликация), то есть адаптивность и пластичность мозга реализуется через генерацию нового ритма. На фиг. 2г показан спектр ЭЭГ до (белые линии) и после (синие линии) динамической фотостимуляции при эталонной зрелости ритмики мозга. Как можно видеть на фиг. 2г, после стимуляции мощность альфа-ритма остается на том уровне, что и до стимуляции.

Слабая регрессия ритмики мозга характеризуется следующими признаками: в фоне - слабый частотный пик в диапазоне альфа-ритма (8-14 Гц), при динамической фотостимуляции отсутствует хотя бы один признак эталонной ритмики мозга: уменьшается или отсутствует альфа-пик, отсутствуют или слабо выражены эффекты усвоения ритма и мультипликации. На фиг. 3б приведен динамический спектр ЭЭГ у ребенка с тревожным расстройством. На спектре присутствуют частотный пик в диапазоне альфа-ритма 1 и проявление ритма 2 с частотами стимуляции (усвоение ритма).

Умеренная регрессия ритмики мозга характеризуется следующими признаками: в фоне отсутствует частотный пик в диапазоне альфа-ритма (8-14 Гц), при динамической фотостимуляции отсутствуют или слабо выражены эффекты усвоения ритма и мультипликации. На фиг. 4б приведен динамический спектр ЭЭГ с признаками умеренной регрессии ритмики мозга: на спектре слабо выражено проявление ритма 2 с частотами стимуляции (усвоение ритма).

Глубокая регрессия ритмики мозга характеризуется следующими признаками: в фоне отсутствует частотный пик в альфа (8-14 Гц) диапазоне, при динамической фотостимуляции отсутствуют эффекты усвоения ритма и мультипликации, что видно на фиг. 5б. На фиг. 5в показан спектр ЭЭГ до (белые линии) и после (синие линии) динамической фотостимуляции при глубокой регрессии ритмики мозга. Как можно видеть на фиг. 5в, после стимуляции мощность альфа-ритма выше, чем до стимуляции.

После проведения диагностики проводят коррекцию зрелости ритмов головного мозга, для чего на обследуемого при закрытых глазах воздействуют гармоническим монохроматическим световым сигналом с длиной волны из диапазона 630-760 нм с дискретно нарастающей частотой в диапазоне 4-20 Гц. При этом используют математическую модель таламокортикальной ячейки, динамические режимы которой определяются ее параметрами и показателями воздействующего стимула в виде упомянутого светового сигнала.

Для моделирования ЭЭГ-осцилляторной системы человека предлагается феноменологическая модель управления нейропластичностью на основе взаимодействия ансамблей внутри одного таламокортикального модуля или нескольких взаимодействующих модулей. Эта модель (фиг. 6) была разработана и детально исследована ранее [4, 5, 6]. Один нейронный модуль состоит из ансамблей пирамидных нейронов и тормозных интернейронов коры (Кора), нейронов специфических таламических ядер (Таламус) и тормозных нейронов ретикулярного ядра таламуса (Ретикулярные ядра таламуса), связанных между собой [6]. Схема межмодульного взаимодействия показана на фиг.6а: треугольниками на схеме показаны возбудительные, а кружками тормозные связи между модулями. Внешний сенсорный сигнала в систему попадает через таламус. Стрелка в нижней части рисунка - сенсорный вход в таламус.

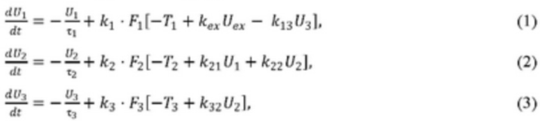
Модель элементарной таламокортикальной ячейки описывается системой дифференциальных уравнений (1)-(3):

где U1,U2,U3 - усредненная активность нейронов выбранных участков таламуса, коры и ретикулярных ядер таламуса, соответственно;

τi - характерное время затухания активности в соответствующих нейронных ансамблях;

ki - амплитуда генерации импульсной активности соответствующими нейронными ансамблями;

Ti - усредненные величины для порогов возбуждения соответствующих нейронных ансамблей;

Uex - входной сигнал, поступающий на таламус;

kij - коэффициенты взаимной связи между подсистемами в таламокортикальной ячейке;

Fi[f] - ступенчато-образные функции, крутизна которых характеризует разброс величин порогов около усредненных значений в рассматриваемом ансамбле (другое название - функции энергообеспечения), в квадратных скобках - аналог постсинаптического потенциала на мембранах соответствующих ансамблей нейронов.

В разработанном способе зрелость ритма оценивают по определенным параметрам модели таламокортикальной ячейки, которые корректируются таким образом, чтобы соответствовать динамике спектральных компонент биоэлектрической активности головного мозга обследуемого при фоновой записи и при стимуляции последовательностью световых импульсов.

Так как на модели можно изменением ее параметров получить динамику, соответствующую «зрелой коре», то ее можно считать моделью управления нейропластичностью [7].

Для выбора параметров модели для оценки зрелости коры была исследована важная зависимость от внешнего сигнала длительности первого импульса и период следующих за ним автоколебаний, ее вид приведен на фиг. 6б. Важными параметрами являются также наклон ступенчатообразных функций Fi[ƒ] и пороги срабатывания для модельных переменных.

Входной сенсорный сигнал является частотно-модулированным сигналом (в психофизическом эксперименте он аналогичен инфракрасному высокочастотному модулированному сигналу по отношению к собственной частоте сигнала ЭЭГ). Внешний сигнал поступает на кору через таламус (фиг. 6а). Сигнал от переменной коры аналогичен интегральному биоэлектрическому сигналу ЭЭГ.

В используемой модели менялись параметры внешнего сигнала Uex и параметр d функции энергообеспечения. Параметр d выбран основным характеризующим степень зрелости ритмики коры.

Функция энергообеспечения зависит от параметра d: чем он больше, тем более пологая функция (фиг. 7).

По результатам диагностики задают параметр модели d в соответствии с полученным динамическим спектром отклика модели, который сравнивается с динамическим спектром ритмической активности обследуемого.

Восстановление ритмики соответствует этапам созревания, каждому переходу по шкале зрелости соответствует свой протокол. Таким образом, коррекция осуществляется через последовательность протоколов, обеспечивающих снижение уровня регрессии и переход на очередной этап зрелости. Эталонной зрелости ритмики соответствует d=0,01 (фиг. 7а), системе со слабой регрессией ритмики соответствует d=0,2 (фиг. 7б), умеренной и глубокой регрессии ритмики соответствует d=0,3 (фиг. 7в).

При «глубокой регрессии» выбирают d=0,28÷0,32, при «умеренной регрессии» d=0,18÷0,22, при «слабой регрессии» d=0,01÷0,03. Таким образом, воздействуют световым сигналом, используя показатели, спрогнозированные моделью и обеспечивающие переход к более высокому уровню зрелости ритмов головного мозга, а именно от «глубокой регрессии» к «умеренной регрессии», от «умеренной» к «слабой», от «слабой» к «эталонной ритмике». При достижении идентичности прогнозируемых моделью спектральных характеристик с биоэлектрической активностью головного мозга обследуемого подбирают новые показатели светового сигнала и воздействуют им для перехода к более высокому уровню зрелости ритмов головного мозга. При достижении обследуемым уровня «эталонной ритмики» заканчивают коррекцию зрелости ритмов головного мозга.

На фиг. 8 приведены динамические спектры ЭЭГ испытуемого, показывающие последовательный переход от состояния «глубокой регрессии» ритмики мозга до состояния «эталонной ритмики». На фиг. 8а отсутствуют частотный пик в альфа- диапазоне, эффекты усвоения ритма и эффекты мультипликации. При переходе к «умеренной регрессии» (фиг. 8,) появляется частотный пик в диапазоне от 8 Гц до 14 Гц. При переходе к «слабой регрессии» кроме альфа-пика появляется эффект усвоения ритма (фиг. 8в), в дальнейшем (фиг. 8г) при переходе к «эталонной ритмике» добавляется наличие мультипликационного эффекта от навязываемого стимуляцией ритма. Переход на эталонный уровень зрелости сопровождается субъективными ощущения улучшения состояния обследуемых и улучшением их когнитивных способностей. На фиг. 8д-з приведены динамические спектры соответствующих режимов на модели, показывающие последовательный переход от состояния «глубокой регрессии» ритмики при d=0,3 до состояния «эталонной ритмики» при d=0,01.

На фиг. 9 показан график, на котором параметру модели d поставлена в соответствие степень зрелости ритмики в процентах. Оценивается параметр модели d, который сопоставлен со степенью зрелости ритмики коры головного мозга. Зеленым цветом показан участок с эталонной зрелостью ритмики, d от 0,01 до 0,1, оценка зрелости от 100% до 50%; желтым - слабая и умеренная регрессия ритмики d от 0,1 до 0,22, оценка зрелости от 50% до 30%; красным - глубокая регрессия ритмики d более 0,22, оценка зрелости менее 30%.

На фиг. 10 показана схема реализации разработанного способа.

Для достижения лучших результатов в разработанном способе можно менять показатели гармонического монохроматического светового сигнала, спрогнозированного моделью, а именно амплитуду; интервал изменения частот воздействующего сигнала внутри диапазона 4-20 Гц; интервал времени, в течение которого происходит стимуляция на каждом дискретном значении частоты; шаг изменения дискретных значений частоты световой стимуляции.

На фиг. 11 приведена иллюстрация возможного варианта изменения частотно-временных характеристик протокола нейробиоуправления от Процедуры 1 (стандартная) к Процедуре 2 (скорректированная). В рамках реализации заявленного способа коррекции функционального состояния головного мозга изменяют длительность процедуры, диапазон изменения частоты световых импульсов, шаг по частоте и длительность стимуляции на каждой дискретной частоте.

Таким образом, разработанный способ оценки зрелости ритмов головного мозга, позволяет после диагностики проводить коррекцию зрелости ритмов головного мозга благодаря воздействию гармоническим монохроматическим световым сигналом и использованию математической модели таламокортикальной ячейки, динамические режимы которой определяются ее параметрами и показателями воздействующего стимула в виде упомянутого светового сигнала. Используя показатели, спрогнозированные моделью, обеспечивается последовательный переход к более высокому уровню зрелости ритмов головного мозга. Так добиваются перехода обследуемого от «глубокой регрессии» к «умеренной регрессии», от «умеренной» к «слабой», от «слабой» к «эталонной ритмике». Новые показатели светового сигнала подбирают индивидуально при достижении идентичности прогнозируемых моделью спектральных характеристик с биоэлектрической активностью головного мозга обследуемого.

Список литературы

1. Патент RU 2466677 «Способ немедикаментозной коррекции и/или оптимизации эмоционального, нейровегетативного и нейрокогнитивного статусов человека», МПК А61В 5/0476, опубл. 20.11.2012 г.

2. Патент RU 2428927 «Способ нормализации психофизиологического состояния», МПК А61В 5/0476, опубл. 20.09.2011 г.

3. Савчук Л.В. Резонансное сканирование и анализ ЭЭГ при определении зрелости корковой ритмики у младших школьников. Биофизика 2022, Т. 67, №2, стр. 354-361.

4. Кудряшов А.В., Яхно В.Г. Распространение областей повышенной импульсной активности в нейронной сети // Динамика биологических систем. - 1978. - Т. 2. - С. 45-59.

5. Yakhno V.G. Basic models of hierarchy neuron-like systems and ways to analyse some of their complex reactions // Optical Memory & Neural Network. - 1995. - T. 4. - №2. - C. 141-155.

6. Колосов A.B., Нуйдель И.В., Яхно В.Г. Исследование динамических режимов в математической модели элементарной таламокортикальной ячейки // Известия высших учебных заведений. Прикладная нелинейная динамика. - 2016. - Т. 24. - №5. - С. 72-83. DOI: 10.18500/0869-6632-2016-24-5-72-83.

7. Нуйдель И.В. и др. Применение феноменологической математической модели для воспроизведения эффекта взаимодействия эндогенных и экзогенных осцилляций при нейробиоуправлении // Современные технологии в медицине. - 2019. - Т. 11. - №1. - С. 103-108. DOI: 10.17691/stm2019.11.1.12.

Похожие патенты RU2839010C1

название год авторы номер документа
Способ комплексной медико-психологической реабилитации пациентов в поздний восстановительный период после острого нарушения мозгового кровообращения 2019
  • Одарущенко Ольга Ивановна
  • Рачин Андрей Петрович
RU2724284C1
СПОСОБ ЛЕЧЕНИЯ ЭНЦЕФАЛОПАТИИ У ДЕТЕЙ 2012
  • Тышкевич Татьяна Гелиевна
  • Гурская Олеся Евгеньевна
  • Гурчин Александр Феликсович
  • Селиверстов Роман Юрьевич
  • Суслова Галина Анатольевна
  • Соломкина Наталья Юрьевна
RU2501584C1
СПОСОБ ДИАГНОСТИКИ КОМПЕНСАТОРНЫХ ВОЗМОЖНОСТЕЙ МОЗГА У БОЛЬНЫХ ПОСТИНСУЛЬТНЫМИ ПАРЕЗАМИ 2001
  • Завьялов А.В.
  • Сидорова С.А.
RU2201134C2
СПОСОБ ЛЕЧЕНИЯ БОЛЬНЫХ С ПЕРСИСТИРУЮЩИМ ВЕГЕТАТИВНЫМ СОСТОЯНИЕМ 2002
  • Кондратьев А.Н.
  • Фадеева Т.Н.
  • Кондратьева Е.А.
  • Асланов М.Л.
  • Ценципер Л.М.
  • Малова А.М.
RU2219929C1
СПОСОБ ЛЕЧЕНИЯ КОГНИТИВНЫХ РАССТРОЙСТВ ПРИ ХРОНИЧЕСКОЙ ЭНЦЕФАЛОПАТИИ У БОЛЬНЫХ БРОНХИАЛЬНОЙ АСТМОЙ 2005
  • Цюрюпа Виктория Николаевна
  • Визило Татьяна Леонидовна
  • Власова Ирина Валентиновна
RU2308885C1
СПОСОБ ЛЕЧЕНИЯ АМБЛИОПИИ 2002
  • Должич Г.И.
  • Дрига Е.С.
RU2205042C1
СПОСОБ НЕМЕДИКАМЕНТОЗНОЙ КОРРЕКЦИИ ПСИХОЭМОЦИОНАЛЬНОГО, НЕЙРОГОРМОНАЛЬНОГО И ИММУННОГО СТАТУСОВ ЧЕЛОВЕКА 2006
  • Афтанас Любомир Иванович
  • Байдужа Валерий Прокофьевич
  • Грищук Игорь Владимирович
  • Морозова Наталья Борисовна
  • Новопашина Анна Вадимовна
  • Труфакин Валерий Алексеевич
RU2314132C1
СПОСОБ НОРМАЛИЗАЦИИ ПСИХОФИЗИОЛОГИЧЕСКОГО СОСТОЯНИЯ 2009
  • Константинов Константин Викторович
RU2428927C2
СПОСОБ ПРОГНОЗИРОВАНИЯ ИСХОДОВ ЛЕЧЕНИЯ БОЛЬНЫХ С ПЕРСИСТИРУЮЩИМ ВЕГЕТАТИВНЫМ СОСТОЯНИЕМ 2002
  • Кондратьев А.Н.
  • Фадеева Т.Н.
  • Кондратьева Е.А.
  • Асланов М.Л.
  • Малова А.М.
RU2214164C1
СПОСОБ ЛЕЧЕНИЯ ФУНКЦИОНАЛЬНЫХ НАРУШЕНИЙ ЦЕНТРАЛЬНОЙ НЕРВНОЙ СИСТЕМЫ И УСТРОЙСТВО ДЛЯ ЕГО ОСУЩЕСТВЛЕНИЯ 1996
  • Орлова О.Р.
  • Лебедева Л.И.
  • Бадейкин А.В.
  • Янулис А.Г.
RU2101037C1

Иллюстрации к изобретению RU 2 839 010 C1

Реферат патента 2025 года Способ коррекции зрелости ритмов головного мозга

Изобретение относится к нейрофизиологии и может быть использовано для коррекции зрелости ритмов головного мозга. Проводят диагностику зрелости ритмов головного мозга. Определяют «эталонную ритмику», «слабую регрессию», «умеренную регрессию» или «глубокую регрессию». Далее проводят коррекцию зрелости ритмов головного мозга. Воздействуют гармоническим монохроматическим световым сигналом с длиной волны из диапазона 630-760 нм с дискретно нарастающей частотой в диапазоне 4-20 Гц. Используют математическую модель таламокортикальной ячейки. Задают параметр модели d в зависимости от результата диагностики. Воздействуют световым сигналом, используя показатели, спрогнозированные моделью и обеспечивающие переход к более высокому уровню зрелости ритмов головного мозга. Заканчивают коррекцию зрелости ритмов головного мозга при достижении обследуемым уровня «эталонной ритмики». Способ позволяет проводить коррекцию зрелости ритмов головного мозга и расширить возможности нейробиоуправления в медицине и реабилитации, учитывая индивидуальные особенности обследуемых. 4 з.п. ф-лы, 11 ил.

Формула изобретения RU 2 839 010 C1

1. Способ коррекции зрелости ритмов головного мозга, включающий предварительную диагностику зрелости ритмов головного мозга, заключающуюся в регистрации биоэлектрической активности головного мозга обследуемого при закрытых глазах в спокойном состоянии, регистрации биоэлектрической активности головного мозга обследуемого при воздействии гармоническим монохроматическим световым сигналом на закрытые глаза, регистрации биоэлектрической активности головного мозга обследуемого после воздействия, анализе спектральных компонент биоэлектрической активности, оценке зрелости ритмов головного мозга по трем признакам, а именно по наличию частотного пика в альфа-диапазоне, по эффекту усвоения навязываемых стимуляцией ритмов и по наличию проявления ритмов с частотами, кратными частоте стимуляции, - мультипликационный эффект от навязываемых стимуляцией ритмов, причем при наличии признака присваивают 1 балл, при отсутствии - 0 баллов, при этом при сумме баллов всех показателей, равной 3, дают оценку «эталонная ритмика», при сумме, равной 2, – «слабая регрессия», при сумме, равной 1, – «умеренная регрессия», при сумме, равной 0, – «глубокая регрессия», далее проводят коррекцию зрелости ритмов головного мозга, для чего воздействуют гармоническим монохроматическим световым сигналом с длиной волны из диапазона 630-760 нм с дискретно нарастающей частотой в диапазоне 4-20 Гц, при этом используют математическую модель таламокортикальной ячейки, динамические режимы которой определяются ее параметрами и показателями воздействующего стимула в виде упомянутого светового сигнала, задают параметр модели d в зависимости от результата диагностики в соответствии с полученным динамическим спектром отклика модели, который сравнивается с динамическим спектром ритмической активности обследуемого, а именно при «глубокой регрессии» d=0,3, при «умеренной регрессии» d=0,2, при «слабой регрессии» d=0,01, воздействуют световым сигналом, используя показатели, спрогнозированные моделью и обеспечивающие переход к более высокому уровню зрелости ритмов головного мозга, а именно от «глубокой регрессии» к «умеренной регрессии», от «умеренной» к «слабой», от «слабой» к «эталонной ритмике», подбирают новые показатели светового сигнала при достижении идентичности прогнозируемых моделью спектральных характеристик с биоэлектрической активностью головного мозга обследуемого и воздействуют световым сигналом с подобранными показателями для перехода к более высокому уровню зрелости ритмов головного мозга, заканчивают коррекцию зрелости ритмов головного мозга при достижении обследуемым уровня «эталонной ритмики».

2. Способ по п.1, отличающийся тем, что в качестве показателя гармонического монохроматического светового сигнала, спрогнозированного моделью и обеспечивающего переход к более высокому уровню зрелости ритмов головного мозга, выбирают амплитуду.

3. Способ по п.1, отличающийся тем, что в качестве показателя гармонического монохроматического светового сигнала, спрогнозированного моделью и обеспечивающего переход к более высокому уровню зрелости ритмов головного мозга, выбирают интервал изменения частот воздействующего светового сигнала внутри диапазона 4-20 Гц.

4. Способ по п.1, отличающийся тем, что в качестве показателя гармонического монохроматического светового сигнала, спрогнозированного моделью и обеспечивающего переход к более высокому уровню зрелости ритмов головного мозга, выбирают интервал времени, в течение которого происходит световая стимуляция на каждом дискретном значении частоты до перехода на следующее дискретное значение.

5. Способ по п.1, отличающийся тем, что в качестве показателя гармонического монохроматического светового сигнала, спрогнозированного моделью и обеспечивающего переход к более высокому уровню зрелости ритмов головного мозга, выбирают шаг изменения дискретных значений частоты световой стимуляции.

Документы, цитированные в отчете о поиске Патент 2025 года RU2839010C1

Способ коррекции функционального состояния ЦНС у онкологических больных сигналами физической природы 2015
  • Бузов Евгений Яковлевич
  • Громов Александр Ильич
  • Касаткин Валерий Иванович
  • Пониматкин Владимир Павлович
  • Рыбина Лариса Александровна
  • Корытова Луиза Ибрагимовна
  • Жаринов Геннадий Михайлович
RU2634672C2
СПОСОБ ОПРЕДЕЛЕНИЯ ФУНКЦИОНАЛЬНОГО СОСТОЯНИЯ ГОЛОВНОГО МОЗГА 2011
  • Шапкин Андрей Григорьевич
  • Шапкин Юрий Григорьевич
  • Таборов Михаил Витальевич
  • Суфианов Альберт Акрамович
  • Суфианова Галина Зиновьевна
  • Голобородько Марина Валентиновна
  • Берденникова Виталия Ванифатьевна
RU2565372C2
СПОСОБ НОРМАЛИЗАЦИИ ПСИХОФИЗИОЛОГИЧЕСКОГО СОСТОЯНИЯ 2009
  • Константинов Константин Викторович
RU2428927C2
КЕНОТРОН 1928
  • Вайншенкер Г.А.
SU9693A1
WO 2011025830 A1, 03.03.2011
САВЧУК Л.В
Резонансное сканирование и анализ ЭЭГ при определении зрелости корковой ритмики у младших школьников
Биофизика, 2022, т
Приспособление для получения кинематографических стерео снимков 1919
  • Кауфман А.К.
SU67A1
Самовар-кофейник 1918
  • Фаддеев П.П.
SU354A1
SCHEULER W
Clinical significance of increased reaction

RU 2 839 010 C1

Авторы

Федотчев Александр Иванович

Бондарь Александр Тимофеевич

Парин Сергей Борисович

Полевая Софья Александровна

Кузнецов Дмитрий Владимирович

Нуйдель Ирина Владимировна

Яхно Владимир Григорьевич

Колосов Алексей Вадимович

Паренко Марина Константиновна

Даты

2025-04-24Публикация

2023-12-05Подача