Настоящее изобретение относится к новым гетероарилзамещенным спиропиперидинильным соединениям, применимым в качестве ингибиторов лейкотриен-С4-синтазы (LTC4S). Настоящее изобретение также относится к фармацевтическим композициям, содержащим указанные соединения, способам применения указанных соединений в лечении различных заболеваний и нарушений и способам получения указанных новых соединений.
ОБЛАСТЬ ТЕХНИКИ, К КОТОРОЙ ОТНОСИТСЯ ИЗОБРЕТЕНИЕ
Настоящее изобретение относится к соединениям формулы (I) или к их фармацевтически приемлемым солям и к их применению для ингибирования LTC4S. Следовательно, соединения по настоящему изобретению могут быть применимыми в лечении заболеваний и/или нарушений, опосредованных LTC4S. Такие заболевания и/или нарушения, как правило, включают респираторные заболевания/нарушения, воспаление и/или заболевание/нарушения, характеризующиеся воспалительным компонентом. Настоящее изобретение дополнительно относится к фармацевтическим композициям, содержащим указанные гетероарилзамещенные спиропиперидинильные соединения формулы (I), способам применения указанных соединений в лечении различных заболеваний и нарушений и способам получения указанных новых соединений.
ПРЕДПОСЫЛКИ ИЗОБРЕТЕНИЯ
Цистеиниллейкотриены (cys-LTs), лейкотриен C4 (LTC4) и его метаболиты, LTD4 и LTE4 являются провоспалительными липидными медиаторами при астме и других воспалительных заболеваниях. Они генерируются посредством пути 5-липоксигеназы/синтазы LTC4 (LTC4S) и действуют через по меньшей мере два различных рецептора, связанных с G-белком. Лейкотриеновая (LT) C4 синтаза (LTC4S) катализирует реакцию конъюгации между жирной кислотой LTA4 и GSH с образованием провоспалительного LTC4, являющегося важным медиатором астмы.
Существует множество заболеваний/нарушений, которые по своей природе являются воспалительными или характеризуются воспалительным компонентом. Одной из основных проблем, связанных с существующими методами лечения воспалительных состояний, является недостаточная эффективность и/или распространенность побочных эффектов.
Астма является хроническим воспалительным заболеванием, поражающим от 6% до 8% взрослого населения промышленно развитых стран. У детей частота возникновения еще выше, что составляет около 10% в большинстве стран. Астма является наиболее распространенной причиной госпитализации детей в возрасте до пятнадцати лет. Схемы лечения астмы зависят от тяжести состояния. Легкие формы болезни либо не лечат, либо лечат только ингаляционными Р-агонистами. Пациентов с более тяжелой формой астмы, как правило, лечат противовоспалительными соединениями на регулярной основе.
Имеет место значительный недостаток в лечении астмы, что, по крайней мере частично, связано с предполагаемыми рисками существующей поддерживающей терапии (в основном ингаляционные кортикостероиды). К ним относятся риски задержки роста у детей и снижение минеральной плотности костей, что приводит к неоправданной заболеваемости и смертности. В качестве альтернативы стероидам были разработаны LTRA. Такие лекарственные средства можно назначать перорально, но они значительно менее эффективны, чем ингаляционные стероиды и обычно не обеспечивают контроль воспаления дыхательных путей должным образом. Данная комбинация факторов привела к тому, что по меньшей мере 50% из всех пациентов с астмой получают неподходящее лечение.
Аналогичная ситуация недостаточного лечения существует в отношении аллергических нарушений, когда лекарственные средства являются доступными для лечения ряда распространенных заболеваний, но недостаточно используются ввиду явно выраженных побочных эффектов. Например, ринит, конъюнктивит и дерматит могут характеризоваться наличием аллергического компонента, но могут также возникать и при отсутствии лежащей в основе аллергии. Действительно, неаллергические состояния данного класса во многих случаях труднее поддаются лечению.
Другие воспалительные нарушения, которые могут быть указаны включают хроническую обструктивную болезнь легких (COPD), которая представляет собой распространенное заболевание, поражающее от 6% до 8% населения мира. Заболевание является потенциально летальным, а заболеваемость и смертность от этого состояния значительны. В настоящее время не существует известного фармакологического лечения, способного изменить течение COPD; фиброз легких (это встречается реже, чем COPD, но является серьезным нарушением с очень плохим прогнозом); воспалительные заболевания кишечника (группа нарушений с высокой заболеваемостью - на сегодняшний день доступно только симптоматическое лечение таких нарушений); ревматоидный артрит и остеоартрит (распространенные инвалидизирующие воспалительные нарушения суставов - в настоящее время нет излечивающих, а существуют только умеренно эффективные симптоматические методы лечения таких состояний); диабет, заболевание поражающее более 3% населения мира, причем с увеличением численности, обуславливая немалые заболеваемость и смертность; и сердечно-сосудистое заболевание.
Воспаление также является частой причиной боли. Воспалительная боль может возникнуть по многим причинам, таким как инфекция, хирургическое вмешательство или по причине другой травмы. Более того, некоторые злокачественные опухоли характеризуются воспалительным компонентом, который усиливает симптоматику пациентов. Воспаление также может принимать участие в развитии рака, поскольку лейкотриены участвуют в пролиферации раковых клеток и в увеличении продолжительности жизни раковых клеток. Таким образом, новые и/или альтернативные виды лечения респираторных и/или воспалительных нарушений будут полезны для всех вышеуказанных групп пациентов. В частности, существует реальная и весомая нереализованная клиническая потребность в эффективном противовоспалительном лекарственном средстве, способном лечить воспалительные нарушения, в частности астму и атопический дерматит, без существенных или предполагаемых побочных эффектов.
Следовательно ингибирование LTC4S может быть применимо в лечении связанных с cys-LT воспалительных заболеваний, таких как астма, аллергический ринит, атопический дерматит, аллергический конъюнктивит, ревматоидный артрит, хроническое обструктивное заболевание легких.
Для обзоров в отношении цистеиновых лейкотриенов и LTC4 см. B. Lam et al. Clinical and Experimental Allergy Reviews, 2004, 4, 89-95; B. Lam et al., Prostaglandins & Other Lipid Mediators, 2002, 68-69, 511-520; H.-E. Claesson et al., Journal of Internal Medicine 1999, 245, 205-277
КРАТКОЕ ОПИСАНИЕ ИЗОБРЕТЕНИЯ
Остается необходимость в новых средствах лечения и средствах терапии в отношении заболеваний или нарушений, опосредованных LTC4S. В настоящем изобретении представлены соединения, их фармацевтически приемлемые соли, фармацевтические композиции на их основе и их комбинации, которые представляют собой ингибиторы LTC4S. В настоящем изобретении дополнительно предусматриваются способы лечения, предупреждения или снижения тяжести заболевания и/или нарушений, опосредованных LTC4S, включающие введение нуждающемуся в этом субъекту эффективного количества ингибитора LTC4S.
В данном документе описаны различные варианты осуществления настоящего изобретения.
В определенных аспектах в данном документе предусмотрено соединение формулы I или его фармацевтически приемлемая соль,
или его фармацевтически приемлемая соль, где
R1 представляет собой фенил, необязательно замещенный одним или несколькими галогенсодержащими заместителями;
R2 представляет собой H или фтор;
X1 представляет собой CH2 или O;
R4 представляет собой моно- или бициклический гетероарил, необязательно замещенный одним или несколькими заместителями R3;
причем каждый R3 независимо выбран из C6-10арила, бензила, C1-6алкила, C3-7циклоалкокси, гидрокси-C1-6алкила, C1-6алкокси-C1-6алкила, галогена, галоген-C1-6алкила, OR5, CN, C(O)OC1-6алкила, OH, C3-7циклоалкила, C3-7циклоалкенила, 5-10-членного гетероарила, 4-10-членного гетероциклила, -C(O)NH2 и NRaRb, где Ra и Rb независимо представляют собой H, C1-6алкил, C3-7циклоалкил, C3-7циклоалкил-C1-6алкил или галоген-C1-6алкил;
где указанный арил, гетероциклил, гетероарил, C3-7циклоалкил, C3-7циклоалкенил, C3-7циклоалкокси дополнительно необязательно замещены одним или несколькими заместителями, независимо выбранными из OH, CN, C3-7циклоалкила, C3-7циклоалкокси, NH2, C1-6алкила, C1-6алкокси, галоген-C1-6алкокси, гидрокси-C1-6алкила, -S-C1-6алкила; -S-(галоген-C1-6алкил), галогена, галоген-C1-6алкила, -C(O)-C1-6алкила, фенила, необязательно дополнительно замещенного галогеном; и гетероарила, необязательно замещенного галогеном, C1-6алкилом, галоген-C1-6алкилом или C3-7циклоалкилом;
R5 представляет собой C1-6алкил, галоген-C1-6алкил, гидрокси-C1-6алкил, алкокси-C1-6алкил, C3-7циклоалкил, C3-7циклоалкенил, C3-7циклоалкил-C1-6алкил, фенил, бензил, 4-10-членный гетероциклил, 5-10-членный гетероарил;
где фенил, гетероциклил и C3-7циклоалкил, C3-7циклоалкил-C1-6алкил, C3-7циклоалкил-C1-6алкенил необязательно замещены одним или несколькими заместителями, выбранными из C1-6алкила, C1-6алкокси, галогена, фенила, необязательно дополнительно замещенного галогеном; гетероциклила, необязательно дополнительно замещенного C1-6алкилом или галоген-C1-6алкилом;
при условии, если R2 представляет собой F, то X1 представляет собой CH2.
В другом аспекте в настоящем изобретении предусмотрена фармацевтическая композиция, содержащая терапевтически эффективное количество соединения, соответствующего определению формулы (I) или ее подформул, или его фармацевтически приемлемой соли и один или несколько фармацевтически приемлемых носителей. Фармацевтическая композиция применима в лечении заболеваний и/или нарушений, связанных с активностью LTC4S.
В другом аспекте в настоящем изобретении предусмотрена комбинация, в частности, фармацевтическая комбинация, содержащая терапевтически эффективное количество соединения, соответствующего определению формулы (I) или ее подформул, или его фармацевтически приемлемой соли и одно или несколько терапевтических средств.
Другой аспект настоящего изобретения относится к способу модуляции активности LTC4S, более конкретно к ингибированию активности LTC4S. Способ включает введение субъекту, нуждающемуся в этом, соединения формулы (I) или ее подформул или его фармацевтически приемлемой соли.
Другой аспект настоящего изобретения относится к способу лечения заболевания или нарушения, выбранного из респираторных заболеваний/нарушений, воспаления и/или заболевания/нарушений, характеризующихся воспалительным компонентом, например, аллергических нарушений, астмы, стерторозного дыхания у детей, хронической обструктивной болезни легких, аспирин-индуцированного респираторного заболевания, бронхолегочной дисплазии, кистозного фиброза, интерстициального заболевания легких (например, саркоидоза, фиброза легких, склеродермического заболевания легких и обычной интерстициальной пневмонии), заболеваний уха, носа и горла (например, синусита, ринита, полипоза носа, риносинусита, среднего отита и аллергического эозинофильного эзофагита), заболеваний глаз (например, конъюнктивита и гигантского папиллярного конъюнктивита), заболеваний кожи (например, псориаза, атопического дерматита, экземы и хронической крапивницы), ревматических заболеваний (например, ревматоидного артрита, артроза, псориатического артрита, остеоартрита, системной красной волчанки, системного склероза), васкулита (например, пурпуры Шенлейна-Геноха, синдрома Леффлера и болезни Кавасаки), сердечно-сосудистых заболеваний (например, атеросклероза, цереброваскулярных заболеваний, острых ишемических заболеваний сердца и лечения после инфаркта миокарда), желудочно-кишечных заболеваний (например, эозинофильных заболеваний желудочно-кишечного тракта, воспалительного заболевания кишечника, синдрома раздраженного кишечника, колита, брюшного и желудочного кровотечения), урологических заболеваний (например, гломерулонефрита, интерстициального цистита, нефрита, нефропатии, нефротического синдрома, гепаторенального синдрома и нефротоксичности), заболеваний центральной нервной системы (например, церебральной ишемии, повреждения спинного мозга, мигрени, рассеянного склероза и нарушений дыхания во сне), эндокринных заболеваний (например, аутоиммунного тиреоидита, воспаления, связанного с диабетом), крапивницы, анафилаксии, ангионевротического отека, отека при квашиоркоре, дисменореи, вызванного ожогом окислительного повреждения, политравмы, боли (воспалительной и невропатической), эндотоксинового шока, сепсиса, бактериальных инфекций (например, вызванных Helicobacter pylori, Pseudomonas aerugiosa или Shigella dysenteriae), грибковых инфекций (например, вульвовагинального кандидоза), вирусных инфекций (например, гепатита, менингита, парагриппа и респираторно-синцитиального вируса), гиперэозинофильного синдрома и злокачественных опухолей (например, лимфомы Ходжкина, лейкоза (например, эозинофильного лейкоза и хронического миелогенного лейкоза), мастоцитоза, истинной полицитемии и карциномы яичников).
В частности, соединения по настоящему изобретению могут применимы при лечении аллергических нарушений, астмы, аспирин-индуцированного респираторного заболевания (AERD), COPD, кистозного фиброза, дерматита, крапивницы, ринита (аллергического ринита), полипоза носа, риносинусита, конъюнктивита, эозинофильных заболеваний желудочно-кишечного тракта и воспалительного заболевания кишечника. В одном конкретном варианте осуществления соединения по настоящему изобретению применимы для лечения астмы. В другом конкретном варианте осуществления соединения по настоящему изобретению применимы в лечении атопического дерматита или хронической крапивницы.
Другой аспект настоящего изобретения относится к применению соединения формулы (I) или ее подформул или его фармацевтически приемлемой соли в изготовлении лекарственного препарата для лечения заболевания или нарушения, выбранного из респираторных заболеваний/нарушений, воспаления и/или заболевания/нарушений, характеризующихся воспалительным компонентом, например, аллергических нарушений, астмы, стерторозного дыхания у детей, хронической обструктивной болезни легких, аспирин-индуцированного респираторного заболевания, бронхолегочной дисплазии, кистозного фиброза, интерстициального заболевания легких (например, саркоидоза, фиброза легких, склеродермического заболевания легких и обычной интерстициальной пневмонии), заболеваний уха, носа и горла (например, синусита, ринита, полипоза носа, риносинусита, среднего отита и аллергического эозинофильного эзофагита), заболеваний глаз (например, конъюнктивита и гигантского папиллярного конъюнктивита), заболеваний кожи (например, псориаза, атопического дерматита, экземы и хронической крапивницы), ревматических заболеваний (например, ревматоидного артрита, артроза, псориатического артрита, остеоартрита, системной красной волчанки, системного склероза), васкулита (например, пурпуры Шенлейна-Геноха, синдрома Леффлера и болезни Кавасаки), сердечно-сосудистых заболеваний (например, атеросклероза, цереброваскулярных заболеваний, острых ишемических заболеваний сердца и лечения после инфаркта миокарда), желудочно-кишечных заболеваний (например, эозинофильных заболеваний желудочно-кишечного тракта, воспалительного заболевания кишечника, синдрома раздраженного кишечника, колита, брюшного и желудочного кровотечения), урологических заболеваний (например, гломерулонефрита, интерстициального цистита, нефрита, нефропатии, нефротического синдрома, гепаторенального синдрома и нефротоксичности), заболеваний центральной нервной системы (например, церебральной ишемии, повреждения спинного мозга, мигрени, рассеянного склероза и нарушений дыхания во сне), эндокринных заболеваний (например, аутоиммунного тиреоидита, воспаления, связанного с диабетом), крапивницы, анафилаксии, ангионевротического отека, отека при квашиоркоре, дисменореи, вызванного ожогом окислительного повреждения, политравмы, боли (воспалительной и невропатической), эндотоксинового шока, сепсиса, бактериальных инфекций (например, вызванных Helicobacter pylori, Pseudomonas aerugiosa или Shigella dysenteriae), грибковых инфекций (например, кандидозного вульвовагинита), вирусных инфекций (например, гепатита, менингита, парагриппа и респираторно-синцитиального вируса), гиперэозинофильного синдрома и злокачественных опухолей (например, лимфомы Ходжкина, лейкоза (например, эозинофильного лейкоза и хронического миелогенного лейкоза), мастоцитоза, истинной полицитемии и карциномы яичника).
В настоящем изобретении также представлено соединение формулы I или ее подформул или его фармацевтически приемлемая соль для применения в лечении заболевания или нарушения, выбранного из респираторных заболеваний/нарушений, воспаления и/или заболевания/нарушений, характеризующихся воспалительным компонентом, например, аллергических нарушений, астмы, стерторозного дыхания у детей, хронической обструктивной болезни легких, аспирин-индуцированного респираторного заболевания, бронхолегочной дисплазии, кистозного фиброза, интерстициального заболевания легких (например, саркоидоза, фиброза легких, склеродермического заболевания легких и обычной интерстициальной пневмонии), заболеваний уха, носа и горла (например, синусита, ринита, полипоза носа, риносинусита, среднего отита и аллергического эозинофильного эзофагита), заболеваний глаз (например, конъюнктивита и гигантского папиллярного конъюнктивита), заболеваний кожи (например, псориаза, атопического дерматита, экземы и хронической крапивницы), ревматических заболеваний (например, ревматоидного артрита, артроза, псориатического артрита, остеоартрита, системной красной волчанки, системного склероза), васкулита (например, пурпуры Шенлейна-Геноха, синдрома Леффлера и болезни Кавасаки), сердечно-сосудистых заболеваний (например, атеросклероза, цереброваскулярных заболеваний, острых ишемических заболеваний сердца и лечения после инфаркта миокарда), желудочно-кишечных заболеваний (например, эозинофильных заболеваний желудочно-кишечного тракта, воспалительного заболевания кишечника, синдрома раздраженного кишечника, колитов, брюшного и желудочного кровотечения), урологических заболеваний (например, гломерулонефрита, интерстициального цистита, нефрита, нефропатии, нефротического синдрома, гепаторенального синдрома и нефротоксичности), заболеваний центральной нервной системы (например, церебральной ишемии, повреждения спинного мозга, мигрени, рассеянного склероза и нарушений дыхания во сне), эндокринных заболеваний (например, аутоиммунного тиреоидита, воспаления, связанного с диабетом), крапивницы, анафилаксии, ангионевротического отека, отека при квашиоркоре, дисменореи, вызванного ожогом окислительного повреждения, политравмы, боли (воспалительной и невропатической), эндотоксинового шока, сепсиса, бактериальных инфекций (например, вызванных Helicobacter pylori, Pseudomonas aerugiosa или Shigella dysenteriae), грибковых инфекций (например, вульвовагинального кандидоза), вирусных инфекций (например, гепатита, менингита, парагриппа и респираторно-синцитиального вируса), гиперэозинофильного синдрома и злокачественных опухолей (например, лимфомы Ходжкина, лейкоза (например, эозинофильного лейкоза и хронического миелогенного лейкоза), мастоцитоза, истинной полицитемии и карциномы яичников).
ПОДРОБНОЕ ОПИСАНИЕ ИЗОБРЕТЕНИЯ
Таким образом, в настоящем изобретении предусматривается соединение формулы (I),
или его фармацевтически приемлемая соль, где
R1 представляет собой фенил, необязательно замещенный одним или несколькими галогенсодержащими заместителями;
R2 представляет собой H или фтор;
X1 представляет собой CH2 или O;
R4 представляет собой моно- или бициклический гетероарил, необязательно замещенный одним или несколькими заместителями R3;
причем каждый R3 независимо выбран из C6-10арила, бензила, C1-6алкила, C3-7циклоалкокси, гидрокси-C1-6алкила, C1-6алкокси-C1-6алкила, галогена, галоген-C1-6алкила, OR5, CN, C(O)OC1-6алкила, OH, C3-7циклоалкила, C3-7циклоалкенила, 5-10-членного гетероарила, 4-10-членного гетероциклила, -C(O)NH2 и NRaRb, где Ra и Rb независимо представляют собой H, C1-6алкил, C3-7циклоалкил, C3-7циклоалкил-C1-6алкил или галоген-C1-6алкил;
где указанный арил, гетероциклил, гетероарил, C3-7циклоалкил, C3-7циклоалкенил, C3-7циклоалкокси дополнительно необязательно замещены одним или несколькими заместителями, независимо выбранными из OH, CN, C3-7циклоалкила, C3-7циклоалкокси, NH2, C1-6алкила, C1-6алкокси, галоген-C1-6алкокси, гидрокси-C1-6алкила, -S-C1-6алкила; -S-(галоген-C1-6алкил), галогена, галоген-C1-6алкила, -C(O)-C1-6алкила, фенила, необязательно дополнительно замещенного галогеном; и гетероарила, необязательно замещенного галогеном, C1-6алкилом, галоген-C1-6алкилом или C3-7циклоалкилом;
R5 представляет собой C1-6алкил, галоген-C1-6алкил, гидрокси-C1-6алкил, алкокси-C1-6алкил, C3-7циклоалкил, C3-7циклоалкенил, C3-7циклоалкил-C1-6алкил, фенил, бензил, 4-10-членный гетероциклил, 5-10-членный гетероарил;
где фенил, гетероциклил и C3-7циклоалкил, C3-7циклоалкил-C1-6алкил, C3-7циклоалкил-C1-6алкенил необязательно замещены одним или несколькими заместителями, выбранными из C1-6алкила, C1-6алкокси, галогена, фенила, необязательно дополнительно замещенного галогеном; гетероциклила, необязательно дополнительно замещенного C1-6алкилом или галоген-C1-6алкилом;
при условии, если R2 представляет собой F, то X1 представляет собой CH2.
Если не указано иное, термин "соединения по настоящему изобретению" относится к соединениям формулы (I) или ее подформул и их солям, а также ко всем стереоизомерам (включая диастереоизомеры и энантиомеры), ротамерам, таутомерам и изотопно-меченным соединениям (включая замещенные дейтерием), а также образованным природным путем фрагментам.
Для цели толкования данного описания будут применяться следующие определения, если не указано иное, и при необходимости термины, используемые в единственном числе, будут также включать множественное число, и наоборот.
Следует отметить, что используемые в данном документе и в прилагаемой формуле изобретения формы единственного числа включают формы множественного числа, если контекст явно не предусматривает иное. Таким образом, например, ссылка на "соединение" включает ссылку на одно или несколько соединений и т. д.
Определения
Применяемый в данном документе термин "C1-6алкил" означает углеводородный радикал с прямой или разветвленной цепью, состоящий только из атомов углерода и водорода, не содержащий ненасыщенных связей, содержащий от одного до шести атомов углерода, и который присоединен к остальной части молекулы посредством одинарной связи. Термин "C1-2алкил" следует истолковывать соответствующим образом. Примеры C1-6алкила включают без ограничения метил, этил, н-пропил, 1-метилэтил (изопропил), н-бутил, н-пентил и 1,1-диметилэтил (трет-бутил).
Используемый в данном документе термин "C1-6алкокси" относится к радикалу формулы -ORa, где Ra представляет собой C1-6алкильный радикал, в целом определенный выше. Примеры C1-6алкокси включают без ограничения метокси, этокси, пропокси, изопропокси, бутокси, изобутокси, пентокси и гексокси.
Используемый в данном документе термин "C3-7циклоалкил" относится к стабильному моно- или бициклическому насыщенному углеводородному радикалу, состоящему только из атомов углерода и водорода, содержащему от трех до семи атомов углерода. C3-6циклоалкил следует истолковывать аналогичным образом. Циклоалкильные группы могут включать мостиковые кольца, а также спироциклические кольца. Примеры C3-7циклоалкила включают без ограничения циклопропил, циклобутил, циклопентил, циклогексил и циклогептил.
"Галоген" относится к брому, хлору, фтору или йоду.
Используемый в данном документе термин "галоген-C1-6алкил" относится к C1-6алкильному радикалу, определенному выше, замещенному одним или несколькими галогенсодержащими радикалами, определенными выше. Примеры галоген-C1-6алкила включают без ограничения трифторметил, дифторметил, фторметил, трихлорметил, 2,2,2-трифторэтил, 1,3-дибромпропан-2-ил, 3-бром-2-фторпропил и 1,4,4-трифторбутан-2-ил.
Используемый в данном документе термин "галоген-C1-6алкокси" относится к C1-6алкокси-радикалу, определенному выше, замещенному одним или несколькими галогенсодержащими радикалами, определенными выше. Примеры галоген-C1-6алкила включают без ограничения трифторметокси, дифторметокси, фторметокси, трихлорметокси и 2,2,2-трифторэтокси.
Используемый в данном документе термин “гетероциклил” относится к гетероциклической группе, которая является насыщенной или частично насыщенной, и предпочтительно является моноциклическим или полициклическим кольцом (в случае полициклического кольца, в частности, бициклическим, трициклическим или спироциклическим кольцом); и содержит от 3 до 24, более предпочтительно от 4 до 16, наиболее предпочтительно от 5 до 10 и наиболее предпочтительно 5 или 6 атомов кольца; где один или несколько, предпочтительно от одного до четырех, особенно один или два атома кольца являются гетероатомом (остальные атомы кольца, следовательно, представляют собой атомы углерода). Термин "гетероциклил" исключает гетероарил. Гетероциклическая группа может быть присоединена к гетероатому или атому углерода. Гетероциклил может включать конденсированные или соединенные мостиками кольца, а также спироциклические кольца.
В одном варианте осуществления гетероциклил представляет собой 5-7-моноциклическое кольцо, содержащее 1 или 2 гетероатома. В другом варианте осуществления гетероциклил представляет собой 6-10-спирогетероциклил.
Примеры гетероциклов включают дигидрофуранил, диоксоланил, диоксанил, дитианил, пиперазинил, пирролидин, дигидропиранил, оксатиоланил, дитиолан, оксатианил, тиоморфолино, оксиранил, азиридинил, оксетанил, оксепанил, азетидинил, тетрагидрофуранил, тетрагидротиофенил, пирролидинил, тетрагидропиранил, пиперидинил, морфолино, пиперазинил, азепинил, оксапинил, оксаазепанил, оксатианил, тиепанил, азепанил, диоксепанил и диазепанил. Неограничивающим примером спирогетероциклила является азаспиро[2.3]гексанил. Неограничивающим примером мостикового гетероциклического кольца является бицикло[1.1.1]пентанил.
Используемый в данном документе термин "гетероарил" относится к 5-14-членной моноциклической или бициклической системе ароматических колец, содержащей от 1 до 8 гетероатомов. Каждый гетероатом независимо выбран из O, N или S, где S и N могут быть окислены до различных степеней окисления. Как правило, гетероарил представляет собой 5-10-членную кольцевую систему (например, 5- или 6-членный моноцикл или 8-10-членный бицикл).
Как правило, моноциклический гетероарил содержит от 5 или 6 членов кольца, выбранных из атомов углерода и от 1 до 4 гетероатомов и. Типичные моноциклические гетероарильные группы включают тиенил, фурил, пирролил, имидазолил, пиразолил, тиазолил, изотиазолил, окса-2,3-диазолил, окса-2,4-диазолил, окса-2,5-диазолил, окса-3,4-диазолил, тиа-2,3-диазолил, тиа-2,4-диазолил, тиа-2,5-диазолил, тиа-3,4-диазолил, 3-, 4-, или 5-изотиазолил, 2-, 4- или 5-оксазолил, 3-, 4- или 5-изоксазолил, 3- или 5-1,2,4-триазолил, 4- или 5-1,2,3-триазолил, тетразолил, 2-, 3- или 4-пиридил, 3- или 4-пиридазинил, 3-, 4- или 5-пиразинил, 2-пиразинил, 2-, 4- или 5-пиримидинил.
Когда гетероарил замещен гидроксильной группой, соединения могут существовать в различных таутомерных формах. Одним неограничивающим примером таутомеризации является следующее:
Используемый в данном документе термин "арил" относится к ароматической углеводородной группе, имеющей 6-20 атомов углерода в кольцевой части. Как правило, арил является моноциклическим, бициклическим или трициклическим арилом, имеющим 6-20 атомов углерода. Неограничивающие примеры включают фенил, нафтил. В предпочтительном варианте осуществления арил представляет собой фенил.
В данном документе описаны различные варианты осуществления настоящего изобретения. Следует понимать, что признаки, указанные в каждом варианте осуществления, можно объединять с другими указанными признаками с получением дополнительных вариантов осуществления настоящего изобретения.
В варианте осуществления 1 в настоящем изобретении предусмотрено соединение формулы (I) или его фармацевтически приемлемая соль, как описано выше.
В варианте осуществления 2 в настоящем изобретении предусмотрено соединение формулы (I) или его фармацевтически приемлемая соль в соответствии с вариантом осуществления 1, где R4 выбран из группы, состоящей из пиримидинила, пиразинила, триазолила, триазинила, пиридинила, оксида пиридина, оксида пиримидина, оксида пиразина, хинолинила, хиназолинила, хиноксалинила, индазолила, пиразолoпиримидинила, пиридопиразинила, триазолопиридазинила, бензoоксазолила, оксадиазолила, тетразолила, тиадиазолила, оксазолила и тиазолила, каждый из которых необязательно замещен одним или несколькими заместителями R3;
причем каждый R3 независимо выбран из C6-10арила, бензила, C1-6алкила, C3-7циклоалкокси, гидрокси-C1-6алкила, C1-6алкокси-C1-6алкила, галогена, галоген-C1-6алкила, OR5, CN, C(O)OC1-6алкила, OH, C3-7циклоалкила, C3-7циклоалкенила, 5-10-членного гетероарила, 4-10-членного гетероциклила, -C(O)NH2 и NRaRb, где Ra и Rb независимо представляют собой H, C1-6алкил, C3-7циклоалкил, C3-7циклоалкил-C1-6алкил или галоген-C1-6алкил;
где указанный арил, гетероциклил, гетероарил, C3-7циклоалкил, C3-7циклоалкенил, C3-7циклоалкокси дополнительно необязательно замещены одним или несколькими заместителями, независимо выбранными из OH, CN, C3-7циклоалкила, C3-7циклоалкокси, NH2, C1-6алкила, C1-6алкокси, галоген-C1-6алкокси, гидрокси-C1-6алкила, -S-C1-6алкила; -S-(галоген-C1-6алкил), галогена, галоген-C1-6алкила, -C(O)-C1-6алкила, фенила, необязательно дополнительно замещенного галогеном; и гетероарила, необязательно замещенного галогеном, C1-6алкилом, галоген-C1-6алкилом или C3-7циклоалкилом; и где
R5 представляет собой C1-6алкил, галоген-C1-6алкил, гидрокси-C1-6алкил, алкокси-C1-6алкил, C3-7циклоалкил, C3-7циклоалкенил, C3-7циклоалкил-C1-6алкил, фенил, бензил, 4-10-членный гетероциклил, 5-10-членный гетероарил;
где фенил, гетероциклил и C3-7циклоалкил, C3-7циклоалкил-C1-6алкил, C3-7циклоалкил-C1-6алкенил необязательно замещены одним или несколькими заместителями, выбранными из C1-6алкила, C1-6алкокси, галогена, фенила, необязательно дополнительно замещенного галогеном; гетероциклила, необязательно дополнительно замещенного C1-6алкилом или галоген-C1-6алкилом.
В варианте осуществления 3 в настоящем изобретении предусмотрено соединение формулы (I) в соответствии с вариантом осуществления 1 или 2 или его фармацевтически приемлемая соль, где R4 выбран из
где * обозначает точку присоединения к атому азота спиропиперидинильного фрагмента; и
где n представляет собой целое число от 1 до 3; p равняется 1 или 2, s представляет собой целое число от 1 до 4; и R3a, R3b и R3c независимо выбраны из группы, состоящей из H, C6-10арила, бензила, C1-6алкила, C3-7циклоалкокси, гидрокси-C1-6алкила, C1-6алкокси-C1-6алкила, галогена, галоген-C1-6алкила, OR5, CN, C(O)OC1-6алкила, OH, C3-7циклоалкила, C3-7циклоалкенила, 5-10-членного гетероарила, 4-10-членного гетероциклила, -C(O)NH2 и NRaRb, где Ra и Rb независимо представляют собой H, C1-6алкил, C3-7циклоалкил, C3-7циклоалкил-C1-6алкил или галоген-C1-6алкил;
где указанный арил, гетероциклил, гетероарил, C3-7циклоалкил, C3-7циклоалкенил, C3-7циклоалкокси дополнительно необязательно замещены одним или несколькими заместителями, независимо выбранными из OH, CN, C3-7циклоалкила, C3-7циклоалкокси, NH2, C1-6алкила, C1-6алкокси, галоген-C1-6алкокси, гидрокси-C1-6алкила, -S-C1-6алкила; -S-(галоген-C1-6алкил), галогена, галоген-C1-6алкила, -C(O)-C1-6алкила, фенила, необязательно дополнительно замещенного галогеном; и гетероарила, необязательно замещенного галогеном, C1-6алкилом, галоген-C1-6алкилом или C3-7циклоалкилом;
R5 представляет собой C1-6алкил, галоген-C1-6алкил, гидрокси-C1-6алкил, алкокси-C1-6алкил, C3-7циклоалкил, C3-7циклоалкенил, C3-7циклоалкил-C1-6алкил, фенил, бензил, 4-10-членный гетероциклил, 5-10-членный гетероарил;
где фенил, гетероциклил и C3-7циклоалкил, C3-7циклоалкил-C1-6алкил, C3-7циклоалкил-C1-6алкенил необязательно замещены одним или несколькими заместителями, выбранными из C1-6алкила, C1-6алкокси, галогена, фенила, необязательно дополнительно замещенного галогеном; гетероциклила, необязательно дополнительно замещенного C1-6алкилом или галоген-C1-6алкилом; и где
R3d выбран из H, C6-10арила, C1-6алкила, галоген-C1-6алкила, C3-6циклоалкила, 5- или 6-членного гетероарила; и где указанный арил, циклоалкил, гетероарил дополнительно необязательно замещены одним или несколькими заместителями, независимо выбранными из C3-6циклоалкила, C1-6алкила, C1-6алкокси, галоген-C1-6алкокси, галогена и галоген-C1-6алкила; или его фармацевтически приемлемая соль.
В варианте осуществления 4 настоящее изобретение относится к соединению в соответствии с любым из вариантов осуществления 1-3, где соединение характеризуется формулой (II),
где R3a, R3b и R3c независимо выбраны из группы, состоящей из H, C6-10арила, бензила, C1-6алкила, C3-7циклоалкокси, гидрокси-C1-6алкила, C1-6алкокси-C1-6алкила, галогена, галоген-C1-6алкила, OR5, CN, C(O)OC1-6алкила, OH, C3-7циклоалкила, C3-7циклоалкенила, 5-10-членного гетероарила, 4-10-членного гетероциклила, -C(O)NH2 и NRaRb, где Ra и Rb независимо представляют собой H, C1-6алкил, C3-7циклоалкил, C3-7циклоалкил-C1-6алкил или галоген-C1-6алкил;
где указанный арил, гетероциклил, гетероарил, C3-7циклоалкил, C3-7циклоалкенил, C3-7циклоалкокси дополнительно необязательно замещены одним или несколькими заместителями, независимо выбранными из OH, CN, C3-7циклоалкила, C3-7циклоалкокси, NH2, C1-6алкила, C1-6алкокси, галоген-C1-6алкокси, гидрокси-C1-6алкила, -S-C1-6алкила; -S-(галоген-C1-6алкил), галогена, галоген-C1-6алкила, -C(O)-C1-6алкила, фенила, необязательно дополнительно замещенного галогеном; и гетероарила, необязательно замещенного галогеном, C1-6алкилом, галоген-C1-6алкилом или C3-7циклоалкилом;
R5 представляет собой C1-6алкил, галоген-C1-6алкил, гидрокси-C1-6алкил, алкокси-C1-6алкил, C3-7циклоалкил, C3-7циклоалкенил, C3-7циклоалкил-C1-6алкил, фенил, бензил, 4-10-членный гетероциклил, 5-10-членный гетероарил;
где фенил, гетероциклил и C3-7циклоалкил, C3-7циклоалкил-C1-6алкил, C3-7циклоалкил-C1-6алкенил необязательно замещены одним или несколькими заместителями, выбранными из C1-6алкила, C1-6алкокси, галогена, фенила, необязательно дополнительно замещенного галогеном; гетероциклила, необязательно дополнительно замещенного C1-6алкилом или галоген-C1-6алкилом; или его фармацевтически приемлемая соль.
В конкретном аспекте данного варианта осуществления по меньшей мере один из R3a, R3b и R3c не представляет собой водород.
В варианте осуществления 5 настоящее изобретение относится к соединению формулы (II) или его фармацевтически приемлемой соли, где R3a представляет собой H; NH2 или гидрокси-C1-3алкил;
R3b выбран из группы, состоящей из галогена, C1-6алкила, галоген-C1-6алкила, C3-7циклоалкила, OR5, 4-10-членного гетероциклила, 5-10-членного гетероарила, фенила, и где указанный гетероциклил, гетероарил, фенил и циклоалкил дополнительно необязательно замещены одним или несколькими заместителями, независимо выбранными из C1-6алкила, C1-6алкокси, галоген-C1-6алкокси, галогена и галоген-C1-6алкила; где
R5 представляет собой C1-6алкил, галоген-C1-6алкил, C3-7циклоалкил, фенил, бензил, 4-10-членный гетероциклил, 5-10-членный гетероарил;
где фенил, гетероциклил или C3-7циклоалкил необязательно замещены одним или несколькими заместителями, независимо выбранными из C1-6алкила, галоген-C1-6алкила, C1-6алкокси, галогена; и
R3c представляет собой H или галоген.
В другом аспекте варианта осуществления 5 настоящее изобретение относится к соединению формулы (II) или его фармацевтически приемлемой соли, где R4a представляет собой H или NH2, -CH2OH;
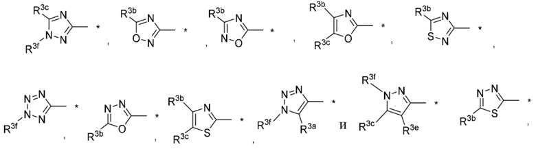
R3b выбран из группы, состоящей из галогена, C1-6алкила, галоген-C1-6алкила, C3-7циклоалкила, OR5, 4-10-членного гетероциклила, выбранного из
где R3' представляет собой H, C1-6алкил или галоген-C1-6алкил;
или R3b представляет собой 5-10-членный гетероарил, выбранный из
; или
R3b представляет собой фенил;
где указанные выше гетероциклил, гетероарил, фенил и циклоалкил дополнительно необязательно замещены одним или несколькими заместителями, независимо выбранными из C1-6алкила, C1-6алкокси, галоген-C1-6алкокси, галогена и галоген-C1-6алкила;
R5 представляет собой C1-6алкил, галоген-C1-6алкил, C3-7циклоалкил, фенил, бензил, 4-10-членный гетероциклил, выбранный из
или R5 представляет собой фенил, бензил или пиридинил;
где циклоалкил, гетероциклил, фенил, бензил и пиридинил необязательно замещены одним или несколькими заместителями, независимо выбранными из галогена, C1-6алкила, галоген-C1-6алкила и C3-7алкокси; и
и R4c представляет собой H или галоген.
В варианте осуществления 6 настоящее изобретение относится к соединению в соответствии с любым из вариантов осуществления 1-3, где соединение характеризуется формулой (III),
где
где Y1 представляет собой N или CR3c, и где R3a, R3b и R3c независимо выбраны из группы, состоящей из H, C6-10арила, бензила, C1-6алкила, C3-7циклоалкокси, гидрокси-C1-6алкила, C1-6алкокси-C1-6алкила, галогена, галоген-C1-6алкила, OR5, CN, C(O)OC1-6алкила, OH, C3-7циклоалкила, C3-7циклоалкенила, 5-10-членного гетероарила, 4-10-членного гетероциклила, -C(O)NH2 и NRaRb, где Ra и Rb независимо представляют собой H, C1-6алкил, C3-7циклоалкил, C3-7циклоалкил-C1-6алкил или галоген-C1-6алкил;
где указанный арил, гетероциклил, гетероарил, C3-7циклоалкил, C3-7циклоалкенил, C3-7циклоалкокси дополнительно необязательно замещены одним или несколькими заместителями, независимо выбранными из OH, CN, C3-7циклоалкила, C3-7циклоалкокси, NH2, C1-6алкила, C1-6алкокси, галоген-C1-6алкокси, гидрокси-C1-6алкила, -S-C1-6алкила; -S-(галоген-C1-6алкил), галогена, галоген-C1-6алкила, -C(O)-C1-6алкила, фенила, необязательно дополнительно замещенного галогеном; и гетероарила, необязательно замещенного галогеном, C1-6алкилом, галоген-C1-6алкилом или C3-7циклоалкилом;
R5 представляет собой C1-6алкил, галоген-C1-6алкил, гидрокси-C1-6алкил, алкокси-C1-6алкил, C3-7циклоалкил, C3-7циклоалкенил, C3-7циклоалкил-C1-6алкил, фенил, бензил, 4-10-членный гетероциклил, 5-10-членный гетероарил;
где фенил, гетероциклил и C3-7циклоалкил, C3-7циклоалкил-C1-6алкил, C3-7циклоалкил-C1-6алкенил необязательно замещены одним или несколькими заместителями, выбранными из C1-6алкила, C1-6алкокси, галогена, фенила, необязательно дополнительно замещенного галогеном; гетероциклила, необязательно дополнительно замещенного C1-6алкилом или галоген-C1-6алкилом; или его фармацевтически приемлемая соль.
В конкретном аспекте данного варианта осуществления по меньшей мере один из R3a, R3b и R3c не представляет собой водород.
В одном конкретном аспекте варианта осуществления 6 настоящее изобретение относится к соединению формулы (III) или его фармацевтически приемлемой соли, где R3a, R3b и R3c независимо выбраны из H, C6-10арила, C3-6циклоалкокси, галоген-C1-6алкила, галоген-C1-6алкокси, OH, C3-6циклоалкила, 5- или 6-членного гетероарила, 5-10-членного гетероциклила и NRaRb, где Ra и Rb независимо представляют собой H, C1-6алкил, C3-6циклоалкил, C3-7циклоалкил-C1-6алкил или галоген-C1-6алкил или; и
где указанный арил, гетероциклил, гетероарил, C3-6циклоалкил, C3-6циклоалкокси дополнительно необязательно замещены одним или несколькими заместителями, независимо выбранными из C3-6циклоалкила, C1-6алкила, C1-6алкокси, галоген-C1-6алкокси, галогена и галоген-C1-6алкила; или его фармацевтически приемлемой соли. В конкретном аспекте данного варианта осуществления если Y1 представляет собой CR3c; по меньшей мере один из R3a, R3b и R3c не представляет собой водород. В еще одном аспекте данного варианта осуществления если Y1 представляет собой N, по меньшей мере один из R3a и R3b не представляет собой водород.
В другом аспекте варианта осуществления 6 настоящее изобретение относится к соединению формулы (III) или его фармацевтически приемлемой соли, где Y1 представляет собой CR3c; R3b и R3c представляют собой H; R3a выбран из группы, состоящей из H, галогена, галоген-C1-6алкила, C3-6циклоалкила, галоген-C1-6алкокси, 5-10-членного гетероциклила, NRaRb, где Ra и Rb независимо представляют собой H, C1-6алкил, C3-6циклоалкил, C3-7циклоалкил-C1-6алкил или галоген-C1-6алкил; и где указанный циклоалкил, гетероциклил дополнительно необязательно замещены одним или несколькими заместителями, независимо выбранными из C1-6алкила, C1-6алкокси, галоген-C1-6алкокси, галогена и галоген-C1-6алкила.
В другом аспекте варианта осуществления 6 настоящее изобретение относится к соединению в соответствии с любым из подвариантов осуществления 6 в соответствии с формулой (III) или его фармацевтически приемлемой соли, где Y1 представляет собой CR3c.
В другом аспекте варианта осуществления 6 настоящее изобретение относится к соединению в соответствии с любым из подвариантов осуществления 6 в соответствии с формулой (III) или его фармацевтически приемлемой соли, где Y1 представляет собой N.
В варианте осуществления 7 настоящее изобретение относится к соединению в соответствии с любым из вариантов осуществления 1-3, где соединение характеризуется формулой (IV) или представлено его фармацевтически приемлемой солью,
и где
R1 является таким, как определено в формуле I,
Y2 представляет собой N или CR3b, и где
R3a, R3b, R3c и R3e независимо выбраны из H, C6-10арила, бензила, C1-6алкила, C3-7циклоалкокси, гидрокси-C1-6алкила, C1-6алкокси-C1-6алкила, галогена, галоген-C1-6алкила, OR5, CN, C(O)OC1-6алкила, OH, C3-7циклоалкила, C3-7циклоалкенила, 5-10-членного гетероарила, 4-10-членного гетероциклила, -C(O)NH2 и NRaRb, где Ra и Rb независимо представляют собой H, C1-6алкил, C3-7циклоалкил, C3-7циклоалкил-C1-6алкил или галоген-C1-6алкил;
где указанный арил, гетероциклил, гетероарил, C3-7циклоалкил, C3-7циклоалкенил, C3-7циклоалкокси дополнительно необязательно замещены одним или несколькими заместителями, независимо выбранными из OH, CN, C3-7циклоалкила, C3-7циклоалкокси, NH2, C1-6алкила, C1-6алкокси, галоген-C1-6алкокси, гидрокси-C1-6алкила, -S-C1-6алкила; -S-(галоген-C1-6алкил), галогена, галоген-C1-6алкила, -C(O)-C1-6алкила, фенила, необязательно дополнительно замещенного галогеном; и гетероарила, необязательно замещенного галогеном, C1-6алкилом, галоген-C1-6алкилом или C3-7циклоалкилом;
R5 представляет собой C1-6алкил, галоген-C1-6алкил, гидрокси-C1-6алкил, алкокси-C1-6алкил, C3-7циклоалкил, C3-7циклоалкенил, C3-7циклоалкил-C1-6алкил, фенил, бензил, 4-10-членный гетероциклил, 5-10-членный гетероарил;
где фенил, гетероциклил и C3-7циклоалкил, C3-7циклоалкил-C1-6алкил, C3-7циклоалкил-C1-6алкенил необязательно замещены одним или несколькими заместителями, выбранными из C1-6алкила, C1-6алкокси, галогена, фенила, необязательно дополнительно замещенного галогеном; гетероциклила, необязательно дополнительно замещенного C1-6алкилом или галоген-C1-6алкилом; или его фармацевтически приемлемая соль.
В одном аспекте варианта осуществления 7 настоящее изобретение относится к соединению в соответствии с формулой (IV) или его фармацевтически приемлемой соли, где R3a, R3b, R3c и R3e независимо выбраны из H, C6-10арила, C3-6циклоалкокси, галоген-C1-6алкила, галоген-C1-6алкокси, OH, C3-6циклоалкила, 5- или 6-членного гетероарила, 5-10-членного гетероциклила и NRaRb, где Ra и Rb независимо представляют собой H, C1-6алкил, C3-6циклоалкил, C3-7циклоалкил-C1-6алкил или галоген-C1-6алкил; и
где указанный арил, гетероциклил, гетероарил, C3-6циклоалкил, C3-7циклоалкил-C1-6алкил, C3-6циклоалкокси дополнительно необязательно замещены одним или несколькими заместителями, независимо выбранными из C3-6циклоалкила, C1-6алкила, C1-6алкокси, галоген-C1-6алкокси, галогена и галоген-C1-6алкила; или его фармацевтически приемлемой соли. В конкретном аспекте данного варианта осуществления если Y2 представляет собой CR3b; по меньшей мере один из R3a, R3b, R3c и R3e не представляет собой водород. Еще в одном аспекте данного варианта осуществления если Y2 представляет собой N, по меньшей мере один из R3a, R3c и R3d не представляет собой водород. Предпочтительно пиридиновое или пиразиновое кольцо замещено в положении R3b. (т. е. мета положение).
В одном аспекте варианта осуществления 7 и подвариантах осуществления варианта осуществления 6 настоящее изобретение относится к соединению в соответствии с формулой (IV) или его фармацевтически приемлемой соли, где Y2 представляет собой CR3b.
В другом аспекте варианта осуществления 7 и подвариантах осуществления варианта осуществления 6 настоящее изобретение относится к соединению в соответствии с формулой (IV) или его фармацевтически приемлемой соли, где Y2 представляет собой N.
В варианте осуществления 8 настоящее изобретение относится к соединению в соответствии с любым из вариантов осуществления 1-3, где соединение характеризуется формулой (V),
где
Y3 представляет собой N, NR3d или CR3a;
Y4 представляет собой N, NR3f или CR3b;
Y5 представляет собой N, NR3g или CR3c;
Y6 представляет собой N, NR3h или CR3e;
где R3a, R3b, R3c, R3e независимо выбраны из H, C6-10арила, бензила, C1-6алкила, C3-7циклоалкокси, гидрокси-C1-6алкила, C1-6алкокси-C1-6алкила, галогена, галоген-C1-6алкила, OR5, CN, C(O)OC1-6алкила, OH, C3-7циклоалкила, C3-7циклоалкенила, 5-10-членного гетероарила, 4-10-членного гетероциклила, -C(O)NH2 и NRaRb, где Ra и Rb независимо представляют собой H, C1-6алкил, C3-7циклоалкил, C3-7циклоалкил-C1-6алкил или галоген-C1-6алкил;
где указанный арил, гетероциклил, гетероарил, C3-7циклоалкил, C3-7циклоалкенил, C3-7циклоалкокси дополнительно необязательно замещены одним или несколькими заместителями, независимо выбранными из OH, CN, C3-7циклоалкила, C3-7циклоалкокси, NH2, C1-6алкила, C1-6алкокси, галоген-C1-6алкокси, гидрокси-C1-6алкила, -S-C1-6алкила; -S-(галоген-C1-6алкил), галогена, галоген-C1-6алкила, -C(O)-C1-6алкила, фенила, необязательно дополнительно замещенного галогеном; и гетероарила, необязательно замещенного галогеном, C1-6алкилом, галоген-C1-6алкилом или C3-7циклоалкилом;
R5 представляет собой C1-6алкил, галоген-C1-6алкил, гидрокси-C1-6алкил, алкокси-C1-6алкил, C3-7циклоалкил, C3-7циклоалкенил, C3-7циклоалкил-C1-6алкил, фенил, бензил, 4-10-членный гетероциклил, 5-10-членный гетероарил;
где фенил, гетероциклил и C3-7циклоалкил, C3-7циклоалкил-C1-6алкил, C3-7циклоалкил-C1-6алкенил необязательно замещены одним или несколькими заместителями, выбранными из C1-6алкила, C1-6алкокси, галогена, фенила, необязательно дополнительно замещенного галогеном; гетероциклила, необязательно дополнительно замещенного C1-6алкилом или галоген-C1-6алкилом;
где R3d, R3f, R3g, R3h независимо выбраны из H, C6-10арила, C1-6алкила, галоген-C1-6алкила, C3-6циклоалкила, 5- или 6-членного гетероарила;
и где указанный арил, гетероарил, C3-6циклоалкил дополнительно необязательно замещены одним или несколькими заместителями, независимо выбранными из C3-6циклоалкила, C1-6алкила, C1-6алкокси, галоген-C1-6алкокси, галогена и галоген-C1-6алкила; или его фармацевтически приемлемая соль.
Внутренняя окружность в 5-членном кольце, показанном в формуле (V), означает, что кольцо является ароматическим кольцом, и, следовательно, члены Y3, Y4, Y5 и/или Y6 должны быть выбраны соответствующим образом, чтобы не нарушать ароматичность.
В варианте осуществления 9 настоящее изобретение относится к соединению в соответствии с вариантом осуществления 8 или его фармацевтически приемлемой соли, где фрагмент
выбран из следующего
где * обозначает точку присоединения к атому азота спиропиперидинильного фрагмента, и R3a, R3b, R3c, R4e и R4f являются такими, как определено в варианте осуществления 8, и * обозначает точку присоединения к атому азота спиропиперидинильного фрагмента.
В некоторых аспектах варианта осуществления 9 R3a представляет собой H; R3b или R3c выбран из фенила, необязательно замещенного одним или несколькими галогенами; C1-6алкила; CN, галоген-C1-6алкила; C3-6циклоалкила, 5-10-членного гетероциклила; и NRaRb, где Ra и Rb независимо представляют собой H, C1-6алкил, C3-6циклоалкил или галоген-C1-6алкил; где гетероциклил необязательно замещен галоген-C1-6алкилом или C1-6алкилом; и R3f представляет собой фенил, необязательно замещенный одним или несколькими галогенами.
В варианте осуществления 10 настоящее изобретение относится к соединению любого из предыдущих вариантов осуществления и подвариантов осуществления (например соединению в соответствии с любой из формул (I)-(V)) или его фармацевтически приемлемой соли, где R1 представляет собой фенил, необязательно замещенный одним или двумя заместителями независимо выбранными из F и Cl.
В одном аспекте варианта осуществления 10 настоящее изобретение относится к соединению в соответствии с вариантом осуществления 10 или его фармацевтически приемлемой соли, где R1 выбран из
где * обозначает место присоединения фенила к атому азота лактама в спиропиперидинильном фрагменте.
В варианте осуществления 11 настоящее изобретение относится к соединению любого из предыдущих вариантов осуществления и подвариантов осуществления, где X1 представляет собой CH2, и R2 представляет собой F или H, или его фармацевтически приемлемой соли. В одном аспекте варианта осуществления 11 R2 представляет собой H. В другом аспекте варианта осуществления 11 R2 представляет собой F; или его фармацевтически приемлемой соли.
В варианте осуществления 12 настоящее изобретение относится к соединению любого из предыдущих вариантов осуществления и подвариантов осуществления, где X1 представляет собой O, и R2 представляет собой H, или его фармацевтически приемлемой соли.
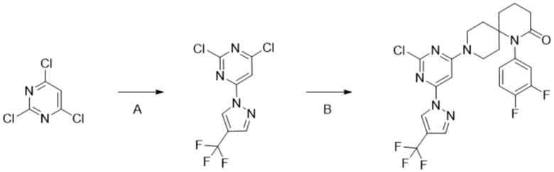
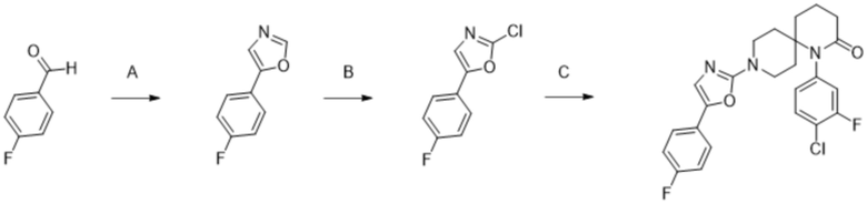
В варианте осуществления 13 настоящее изобретение относится к соединению формулы (I) в соответствии с вариантом осуществления 1, где соединение выбрано из
1-(4-хлор-3-фторфенил)-9-(1-(4-фторфенил)-1H-1,2,4-триазол-3-ил)-1,9-диазаспиро[5.5]ундекан-2-она;
1-(4-хлор-3-фторфенил)-9-(6-(трифторметил)бензо[d]оксазол-2-ил)-1,9-диазаспиро[5.5]ундекан-2-она;
1-(4-хлор-3-фторфенил)-9-(2-(трифторметил)пиразолo[1,5-a]пиримидин-5-ил)-1,9-диазаспиро[5.5]ундекан-2-она;
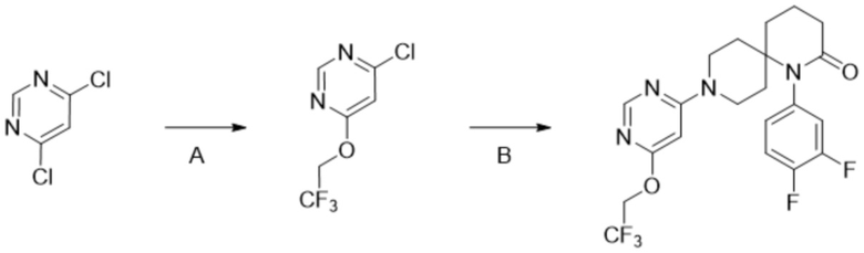
1-(3,4-дифторфенил)-9-(6-(2,2,2-трифторэтокси)пиримидин-4-ил)-1,9-диазаспиро[5.5]ундекан-2-она;
1-(4-хлор-3-фторфенил)-9-(6-(2,2,2-трифторэтокси)пиримидин-4-ил)-1,9-диазаспиро[5.5]ундекан-2-она;
1-(4-хлор-3-фторфенил)-9-(6-(2,2-дифторэтокси)пиримидин-4-ил)-1,9-диазаспиро[5.5]ундекан-2-она;
1-(4-хлор-3-фторфенил)-9-(5-фтор-6-(пирролидин-1-ил)пиримидин-4-ил)-1,9-диазаспиро[5.5]ундекан-2-она;
1-(4-хлор-3-фторфенил)-9-(5-фтор-6-(3-(трифторметил)азетидин-1-ил)пиримидин-4-ил)-1,9-диазаспиро[5.5]ундекан-2-она;
1-(4-хлор-3-фторфенил)-9-(4-(пирролидин-1-ил)-1,3,5-триазин-2-ил)-1,9-диазаспиро[5.5]ундекан-2-она;
1-(4-хлор-3-фторфенил)-9-(4-(2,2,2-трифторэтокси)пиридин-2-ил)-1,9-диазаспиро[5.5]ундекан-2-она;
2-(1-(4-хлор-3-фторфенил)-2-оксо-1,9-диазаспиро[5.5]ундекан-9-ил)-4-(4-фторфенил)пиридин-1-оксида;
9-(2-(5-азаспиро[2.3]гексан-5-ил)пиримидин-4-ил)-1-(4-хлор-3-фторфенил)-1,9-диазаспиро[5.5]ундекан-2-она;
9-(4-(5-азаспиро[2.3]гексан-5-ил)пиримидин-2-ил)-1-(4-хлор-3-фторфенил)-1,9-диазаспиро[5.5]ундекан-2-она;
1-(4-хлор-3-фторфенил)-9-(2-(3,3-диметилазетидин-1-ил)пиримидин-4-ил)-1,9-диазаспиро[5.5]ундекан-2-она;
1-(4-хлор-3-фторфенил)-9-(5-((1R,2R/1S,2S)-2-(трифторметил)циклопропил)-1,2,4-оксадиазол-3-ил)-1,9-диазаспиро[5.5]ундекан-2-она;
1-(4-хлор-3-фторфенил)-9-(5-(3-(трифторметил)бицикло[1.1.1]пентан-1-ил)-1,2,4-оксадиазол-3-ил)-1,9-диазаспиро[5.5]ундекан-2-она;
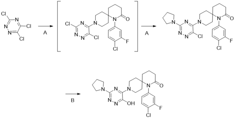
1-(4-хлор-3-фторфенил)-9-(6-гидрокси-3-(пирролидин-1-ил)-1,2,4-триазин-5-ил)-1,9-диазаспиро[5.5]ундекан-2-она;
1-(4-хлор-3-фторфенил)-9-(6-(4-фторфенил)-4-метил-3-оксо-3,4-дигидропиразин-2-ил)-1,9-диазаспиро[5.5]ундекан-2-она;
1-(4-хлор-3-фторфенил)-9-(5-циклопентил-1,2,4-триазин-3-ил)-1,9-диазаспиро[5.5]ундекан-2-она;
1-(4-хлорфенил)-9-(6-(4-фторфенил)пиридин-2-ил)-1,9-диазаспиро[5.5]ундекан-2-она;
1-(4-хлор-3-фторфенил)-9-(4-(трифторметил)пиримидин-2-ил)-1,9-диазаспиро[5.5]ундекан-2-она;
1-(4-хлор-3-фторфенил)-9-(7-(трифторметил)хиназолин-2-ил)-1,9-диазаспиро[5.5]ундекан-2-она;
1-(4-хлор-3-фторфенил)-9-(5-(4-фторфенил)оксазол-2-ил)-1,9-диазаспиро[5.5]ундекан-2-она;
1-(4-хлор-3-фторфенил)-9-(2-фенил-2H-тетразол-5-ил)-1,9-диазаспиро[5.5]ундекан-2-она;
1-(4-хлор-3-фторфенил)-9-(5-(3,3-дифторпирролидин-1-ил)-1,2,4-тиадиазол-3-ил)-1,9-диазаспиро[5.5]ундекан-2-она;
1-(4-хлор-3-фторфенил)-9-(3-(4-фторфенил)-1H-1,2,4-триазол-5-ил)-1,9-диазаспиро[5.5]ундекан-2-она;
1-(4-хлор-3-фторфенил)-9-(5-циклогексилоксазол-2-ил)-1,9-диазаспиро[5.5]ундекан-2-она;
1-(4-хлор-3-фторфенил)-9-(5-(3-(трифторметил)азетидин-1-ил)-1,2,4-тиадиазол-3-ил)-1,9-диазаспиро[5.5]ундекан-2-она;
1-(4-хлор-3-фторфенил)-9-(5-(пирролидин-1-ил)-1,2,4-тиадиазол-3-ил)-1,9-диазаспиро[5.5]ундекан-2-она;
1-(4-хлор-3-фторфенил)-9-(5-фенил-1,3,4-оксадиазол-2-ил)-1,9-диазаспиро[5.5]ундекан-2-она;
1-(4-хлор-3-фторфенил)-9-(1-(4-фторфенил)-1H-1,2,3-триазол-4-ил)-1,9-диазаспиро[5.5]ундекан-2-она;
1-(4-хлор-3-фторфенил)-9-(1-(4-фторфенил)-1H-пиразол-3-ил)-1,9-диазаспиро[5.5]ундекан-2-она;
1-(4-хлор-3-фторфенил)-9-(2-(4-фторфенил)-2H-1,2,3-триазол-4-ил)-1,9-диазаспиро[5.5]ундекан-2-она;
1-(4-хлорфенил)-9-(6-(4-фторфенил)пиридин-2-ил)-1,9-диазаспиро[5.5]ундекан-2-она;
2-(1-(4-хлор-3-фторфенил)-2-оксо-1,9-диазаспиро[5.5]ундекан-9-ил)-4-(4-фторфенил)пиридин-1-оксида;
4-(3-хлорфенокси)-2-(1-(3,4-дифторфенил)-2-оксо-1,9-диазаспиро[5.5]ундекан-9-ил)пиридин-1-оксида;
9-(2-(5-азаспиро[2.3]гексан-5-ил)пиримидин-4-ил)-1-(4-хлор-3-фторфенил)-1,9-диазаспиро[5.5]ундекан-2-она;
9-(4-(5-азаспиро[2.3]гексан-5-ил)пиримидин-2-ил)-1-(4-хлор-3-фторфенил)-1,9-диазаспиро[5.5]ундекан-2-она;
1-(4-хлор-3-фторфенил)-9-(5-фтор-6-(пирролидин-1-ил)пиримидин-4-ил)-1,9-диазаспиро[5.5]ундекан-2-она;
1-(4-хлор-3-фторфенил)-9-(5-фтор-6-(3-(трифторметил)азетидин-1-ил)пиримидин-4-ил)-1,9-диазаспиро[5.5]ундекан-2-она;
1-(4-хлор-3-фторфенил)-9-(4-(пирролидин-1-ил)-1,3,5-триазин-2-ил)-1,9-диазаспиро[5.5]ундекан-2-она;
9-(4-(4-амино-4-(трифторметил)пиперидин-1-ил)пиримидин-2-ил)-1-(3,4-дифторфенил)-1,9-диазаспиро[5.5]ундекан-2-она;
1-(3,4-дифторфенил)-9-(4-(4-гидрокси-4-(трифторметил)пиперидин-1-ил)-1,3,5-триазин-2-ил)-1,9-диазаспиро[5.5]ундекан-2-она;
9-(2-амино-5-фтор-6-(4-гидрокси-4-(трифторметил)пиперидин-1-ил)пиримидин-4-ил)-1-(3,4-дифторфенил)-1,9-диазаспиро[5.5]ундекан-2-она;
1-(3,4-дифторфенил)-9-(6-(4-гидрокси-4-(трифторметил)пиперидин-1-ил)пиридазин-4-ил)-1,9-диазаспиро[5.5]ундекан-2-она;
9-(6-амино-2-(3-гидрокси-3-метилазетидин-1-ил)пиримидин-4-ил)-1-(3,4-дифторфенил)-1,9-диазаспиро[5.5]ундекан-2-она;
1-(4-хлор-3-фторфенил)-9-(6-(3,3,4,4-тетрафторпирролидин-1-ил)пиримидин-4-ил)-1,9-диазаспиро[5.5]ундекан-2-она;
9-(6-(1,4-oксазепан-4-ил)пиримидин-4-ил)-1-(3,4-дифторфенил)-1,9-диазаспиро[5.5]ундекан-2-она;
rac-9-(2-амино-6-((1R,4R)-2-окса-5-азабицикло[2.2.1]гептан-5-ил)пиримидин-4-ил)-1-(3,4-дифторфенил)-1,9-диазаспиро[5.5]ундекан-2-она;
1-(3,4-дифторфенил)-9-(6-(4-(трифторметил)-1H-пиразол-1-ил)пиримидин-4-ил)-1,9-диазаспиро[5.5]ундекан-2-она;
1-(3,4-дифторфенил)-9-(2-метил-6-(1H-пиразол-1-ил)пиримидин-4-ил)-1,9-диазаспиро[5.5]ундекан-2-она;
4-(1-(3,4-дифторфенил)-2-оксо-1,9-диазаспиро[5.5]ундекан-9-ил)-6-(1H-пиразол-1-ил)пиримидин-2-карбонитрила;
1-(3,4-дифторфенил)-9-(2-метокси-6-(1H-пиразол-1-ил)пиримидин-4-ил)-1,9-диазаспиро[5.5]ундекан-2-она;
9-(6-(1H-пиразол-1-ил)-2-(трифторметил)пиримидин-4-ил)-1-(3,4-дифторфенил)-1,9-диазаспиро[5.5]ундекан-2-она;
1-(3,4-дифторфенил)-9-(2-морфолинo-6-(1H-пиразол-1-ил)пиримидин-4-ил)-1,9-диазаспиро[5.5]ундекан-2-она;
1-(3,4-дифторфенил)-9-(2-(диметиламино)-6-(1H-пиразол-1-ил)пиримидин-4-ил)-1,9-диазаспиро[5.5]ундекан-2-она;
9-(6-(1H-1,2,4-триазол-1-ил)пиримидин-4-ил)-1-(3,4-дифторфенил)-1,9-диазаспиро[5.5]ундекан-2-она;
9-(6-(4-хлор-1H-пиразол-1-ил)пиримидин-4-ил)-1-(3,4-дифторфенил)-1,9-диазаспиро[5.5]ундекан-2-она;
9-(6-(4-фтор-1H-пиразол-1-ил)пиримидин-4-ил)-1-(3,4-дифторфенил)-1,9-диазаспиро[5.5]ундекан-2-она;
1-(3,4-дифторфенил)-9-(6-(3-(трифторметил)-1H-пиразол-1-ил)пиримидин-4-ил)-1,9-диазаспиро[5.5]ундекан-2-она;
1-(3,4-дифторфенил)-9-(6-(4-(трифторметил)-1H-имидазол-1-ил)пиримидин-4-ил)-1,9-диазаспиро[5.5]ундекан-2-она;
9-(2-амино-5-фтор-6-(1H-пиразол-1-ил)пиримидин-4-ил)-1-(3,4-дифторфенил)-1,9-диазаспиро[5.5]ундекан-2-она;
9-(4-амино-6-(4-фтор-1H-пиразол-1-ил)-1,3,5-триазин-2-ил)-1-(3,4-дифторфенил)-1,9-диазаспиро[5.5]ундекан-2-она;
1-(3,4-дифторфенил)-9-(6-(оксетан-3-илокси)-2-(трифторметил)пиримидин-4-ил)-1,9-диазаспиро[5.5]ундекан-2-она;
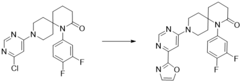
1-(3,4-дифторфенил)-9-(6-(оксазол-2-ил)пиримидин-4-ил)-1,9-диазаспиро[5.5]ундекан-2-она;
9-(6-амино-2-(пиридин-2-ил)пиримидин-4-ил)-1-(3,4-дифторфенил)-1,9-диазаспиро[5.5]ундекан-2-она;
9-(2-амино-6-(4-(трифторметил)-1H-пиразол-1-ил)пиримидин-4-ил)-1-(3,4-дифторфенил)-1,9-диазаспиро[5.5]ундекан-2-она;
1-(3,4-дифторфенил)-9-(2-(2-гидроксипропан-2-ил)-6-(4-(трифторметил)-1H-пиразол-1-ил)пиримидин-4-ил)1,9-диазаспиро[5.5]ундекан-2-она;
Синтез 1-(3,4-дифторфенил)-9-(2-(гидроксиметил)-6-(4-(трифторметил)-1H-пиразол-1-ил)пиримидин-4-ил)1,9-диазаспиро[5.5]ундекан-2-она;
rac-1-(3,4-дифторфенил)-9-(2-(1-гидроксиметил)-6-(4-(трифторметил)-1H-пиразол-1-ил)пиримидин-4-ил)1,9-диазаспиро[5.5]ундекан-2-она;
4-(1-(3,4-дифторфенил)-2-оксо-1,9-диазаспиро[5.5]ундекан-9-ил-6-(4-(трифторметил)-1H-пиразол-1-ил)пиримидин-2-карбоксамида;
9-(2-хлор-6-(4-(трифторметил)-1H-пиразол-1-ил)пиримидин-4-ил)-1-(3,4-дифторфенил)-1,9-диазаспиро[5.5]ундекан-2-она;
(R)-9-(2-хлор-6-((тетрагидрофуран-3-ил)окси)пиримидин-4-ил)-1-(3,4-дифторфенил)-1,9-диазаспиро[5.5]ундекан-2-она;
(S)-9-(2-хлор-6-((тетрагидрофуран-3-ил)окси)пиримидин-4-ил)-1-(3,4-дифторфенил)-1,9-диазаспиро[5.5]ундекан-2-она;
(R)-9-(4-хлор-6-((тетрагидрофуран-3-ил)окси)пиримидин-2-ил)-1-(3,4-дифторфенил)-1,9-диазаспиро[5.5]ундекан-2-она;
1-(3,4-дифторфенил)-9-(6-(4-фтор-1H-пиразол-1-ил)-2-морфолинoпиримидин-4-ил)-1,9-диазаспиро[5.5]ундекан-2-она;
9-(2-амино-6-(4,4-дифторциклогекс-1-ен-1-ил)пиримидин-4-ил)-1-(3,4-дифторфенил)-1,9-диазаспиро[5.5]ундекан-2-она;
9-(2-амино-6-(4-фторфенил-4-ил)-1-(3,4-дифторфенил)-1,9-диазаспиро[5.5]ундекан-2-она;
9-(2-амино-6-(трифторметил)пиримидин-4-ил)-1-(3,4-дифторфенил)-1,9-диазаспиро[5.5]ундекан-2-она;
9-(2-амино-6-(перфторэтил)пиримидин-4-ил)-1-(3,4-дифторфенил)-1,9-диазаспиро[5.5]ундекан-2-она;
9-(2-амино-6-(1,1,2,2-тетрафторэтил)пиримидин-4-ил)-1-(3,4-дифторфенил)-1,9-диазаспиро[5.5]ундекан-2-она;
1-(3,4-дифторфенил)-9-(2-(гидроксинетил)-6-(перфторэтил)пиримидин-4-ил)-1,9-диазаспиро[5.5]ундекан-2-она;
1-(3,4-дифторфенил)-9-(2-(2-гидроксипропан-2-ил)-6-(трифторметил)пиримидин-4-ил)-1,9-диазаспиро[5.5]ундекан-2-она;
1-(4-хлор-3-фторфенил)-9-(4-(2,2,2-трифторэтокси)пиридин-2-ил)-1,9-диазаспиро[5.5]ундекан-2-она;
1-(4-хлор-3-фторфенил)-9-(6-(2,2,2-трифторэтокси)пиримидин-4-ил)-1,9-диазаспиро[5.5]ундекан-2-она;
1-(4-хлор-3-фторфенил)-9-(6-(2,2-дифторэтокси)пиримидин-4-ил)-1,9-диазаспиро[5.5]ундекан-2-она;
1-(3,4-дифторфенил)-9-(4-пропоксипиримидин-2-ил)-1,9-диазаспиро[5.5]ундекан-2-она;
rac-1-(3,4-дифторфенил)-9-(6-((1,1,1-трифторпропан-2-ил)окси)пиримидин-4-ил)-1,9-диазаспиро[5.5]ундекан-2-она;
1-(3,4-дифторфенил)-9-(6-((тетрагидро-2H-пиран-4-ил)окси)пиримидин-4-ил)-1,9-диазаспиро[5.5]ундекан-2-она;
9-(2-хлор-6-(2,2,2-трифторэтокси)пиримидин-4-ил)-1-(3,4-дифторфенил)-1,9-диазаспиро[5.5]ундекан-2-она;
(S)-9-(2-амино-6-(2,2,2-трифтор-1-(оксетан-3-ил)этокси)пиримидин-4-ил)-1-(3,4-дифторфенил)-1,9-диазаспиро[5.5]ундекан-2-она;
(R)-9-(2-амино-6-(2,2,2-трифтор-1-(оксетан-3-ил)этокси)пиримидин-4-ил)-1-(3,4-дифторфенил)-1,9-диазаспиро[5.5]ундекан-2-она;
(R)-9-(2-амино-6-(2,2,2-трифтор-1-(оксетан-3-ил)этокси)пиримидин-4-ил)-1-(3,4-дифторфенил)-1,9-диазаспиро[5.5]ундекан-2-она;
(S)-9-(2-амино-6-(2,2,2-трифтор-1-(оксетан-3-ил)этокси)пиримидин-4-ил)-1-(3,4-дифторфенил)-1,9-диазаспиро[5.5]ундекан-2-она;
9-(2-амино-6-(3,3-дифторциклобутокси)пиримидин-4-ил)-1-(3,4-дифторфенил)-1,9-диазаспиро[5.5]ундекан-2-она;
9-(2-амино-6-(2,2,2-трифторэтокси)пиримидин-4-ил)-1-(3,4-дифторфенил)-1,9-диазаспиро[5.5]ундекан-2-она;
9-(2-амино-6-(2,2,2-трифторэтокси-1,1-d2)пиримидин-4-ил)-1-(3,4-дифторфенил)-1,9-диазаспиро[5.5]ундекан-2-она;
9-(2-амино-6-изопропоксипиримидин-4-ил)-1-(3,4-дифторфенил)-1,9-диазаспиро[5.5]ундекан-2-она;
9-(2-амино-6-(2-гидроксиэтокси)пиримидин-4-ил)-1-(3,4-дифторфенил)-1,9-диазаспиро[5.5]ундекан-2-она;
rac-9-(2-амино-6-((1,1,1-трифторпропан-2-ил)окси)пиримидин-4-ил)-1-(3,4-дифторфенил)-1,9-диазаспиро[5.5]ундекан-2-она;
rac-9-(2-амино-6-(2,2,2-трифтор-1-(3-метилоксетан-3-ил)этокси)пиримидин-4-ил)-1-(3,4-дифторфенил)-1,9-диазаспиро[5.5]ундекан-2-она;
9-(2-амино-6-(2,2,3,3,3-пентафторпропокси)пиримидин-4-ил)-1-(3,4-дифторфенил)-1,9-диазаспиро[5.5]ундекан-2-она;
rac-9-(2-амино-6-((4,4-дифтортетрагидрофуран-3-ил)окси)пиримидин-4-ил)-1-(3,4-дифторфенил)-1,9-диазаспиро[5.5]ундекан-2-она;
rac-9-(2-амино-6-(((3S,4S)-3-фтортетрагидро-2H-пиран-4-ил)окси)пиримидин-4-ил)-1-(3,4-дифторфенил)-1,9-диазаспиро[5.5]ундекан-2-она;
(R)-9-(2-амино-6-((тетрагидро-2H-пиран-3-ил)окси)пиримидин-4-ил)-1-(3,4-дифторфенил)-1,9-диазаспиро[5.5]ундекан-2-она;
9-(2-амино-6-((тетрагидро-2H-пиран-4-ил)окси)пиримидин-4-ил)-1-(3,4-дифторфенил)-1,9-диазаспиро[5.5]ундекан-2-она;
rac-9-(2-амино-6-(((3R,4R)-4-фтортетрагидрофуран-3-ил)окси)пиримидин-4-ил)-1-(3,4-дифторфенил)-1,9-диазаспиро[5.5]ундекан-2-она;
9-(2-амино-6-((тетрагидро-2H-пиран-4-ил-4-d)окси)пиримидин-4-ил)-1-(3,4-дифторфенил)-1,9-диазаспиро[5.5]ундекан-2-она;
rac-9-(2-амино-6-((3-метилтетрагидрофуран-3-ил)окси)пиримидин-4-ил)-1-(3,4-дифторфенил)-1,9-диазаспиро[5.5]ундекан-2-она;
rac-9-(2-амино-6-(((3S,4R)-4-фтортетрагидрофуран-3-ил)окси)пиримидин-4-ил)-1-(3,4-дифторфенил)-1,9-диазаспиро[5.5]ундекан-2-она;
1-(3,4-дифторфенил)-9-(2-(гидроксиметил)-6-((тетрагидро-2H-пиран-4-ил)окси)пиримидин-4-ил)-1,9-диазаспиро[5.5]ундекан-2-она;
rac-1-(3,4-дифторфенил)-9-(6-(((3S,4R)-3-фтортетрагидро-2H-пиран-4-ил)окси)-2-(гидроксиметил)пиримидин-4-ил)-1,9-диазаспиро[5.5]ундекан-2-она;
rac-1-(3,4-дифторфенил)-9-(6-(((3R,4R)-4-фтортетрагидрофуран-3-ил)окси)-2-(гидроксиметил)пиримидин-4-ил)-1,9-диазаспиро[5.5]ундекан-2-она;
(S)-1-(3,4-дифторфенил)-9-(2-(гидроксиметил)-6-((тетрагидрофуран-3-ил)окси)пиримидин-4-ил)-1,9-диазаспиро[5.5]ундекан-2-она;
(S)-1-(3,4-дифторфенил)-9-(2-(гидроксиметил)-6-((1,1,1-трифторпропан-2-ил)окси)пиримидин-4-ил)-1,9-диазаспиро[5.5]ундекан-2-она;
(R)-1-(3,4-дифторфенил)-9-(2-(гидроксиметил)-6-((1,1,1-трифторпропан-2-ил)окси)пиримидин-4-ил)-1,9-диазаспиро[5.5]ундекан-2-она;
(R)-1-(3,4-дифторфенил)-9-(2-(гидроксиметил)-6-((1,1,1-трифторпропан-2-ил)окси)пиримидин-4-ил)-1,9-диазаспиро[5.5]ундекан-2-она;
(S)-1-(3,4-дифторфенил)-9-(2-(гидроксиметил)-6-((1,1,1-трифторпропан-2-ил)окси)пиримидин-4-ил)-1,9-диазаспиро[5.5]ундекан-2-она;
rac-этил-4-(1-(3,4-дифторфенил)-2-оксо-1,9-диазаспиро[5.5]ундекан-9-ил)-6-(((3S,4S)-4-фтортетрагидрофуран-3-ил)окси)пиримидин-2-карбоксилата;
(R)-9-(2-амино-6-((тетрагидрофуран-3-ил)амино)пиримидин-4-ил)-1-(3,4-дифторфенил)-1,9-диазаспиро[5.5]ундекан-2-она;
(R)-9-(2-амино-6-((1,1,1-трифторпропан-2-ил)окси)пиримидин-4-ил)-1-(3,4-дифторфенил)-3-окса-1,9-диазаспиро[5.5]ундекан-2-она;
(S)-9-(2-амино-6-((1,1,1-трифторпропан-2-ил)окси)пиримидин-4-ил)-1-(3,4-дифторфенил)-3-окса-1,9-диазаспиро[5.5]ундекан-2-она;
(S)-9-(2-амино-6-((1,1,1-трифторпропан-2-ил)окси)пиримидин-4-ил)-1-(3,4-дифторфенил)-3-окса-1,9-диазаспиро[5.5]ундекан-2-она;
(R)-9-(2-амино-6-((1,1,1-трифторпропан-2-ил)окси)пиримидин-4-ил)-1-(3,4-дифторфенил)-3-окса-1,9-диазаспиро[5.5]ундекан-2-она;
1-(3,4-дифторфенил)-9-(2-(гидроксиметил)-6-(4-(трифторметил)-1H-пиразол-1-ил)пиримидин-4-ил)-3-окса-1,9-диазаспиро[5.5]ундекан-2-она;
9-(2-амино-6-(4-(трифторметил)-1H-пиразол-1-ил)пиримидин-4-ил)-1-(3,4-дифторфенил)-3-окса-1,9-диазаспиро[5.5]ундекан-2-она;
(R)-9-(2-амино-6-((тетрагидро-2H-пиран-4-ил)окси)пиримидин-4-ил)-1-(3,4-дифторфенил)-4-фтор-1,9-диазаспиро[5.5]ундекан-2-она;
(S)-9-(2-амино-6-((тетрагидро-2H-пиран-4-ил)окси)пиримидин-4-ил)-1-(3,4-дифторфенил)-4-фтор-1,9-диазаспиро[5.5]ундекан-2-она;
(S)-9-(2-амино-6-((тетрагидро-2H-пиран-4-ил)окси)пиримидин-4-ил)-1-(3,4-дифторфенил)-4-фтор-1,9-диазаспиро[5.5]ундекан-2-она;
(R)-9-(2-амино-6-((тетрагидро-2H-пиран-4-ил)окси)пиримидин-4-ил)-1-(3,4-дифторфенил)-4-фтор-1,9-диазаспиро[5.5]ундекан-2-она;
rac-9-(2-амино-6-(перфторэтил)пиримидин-4-ил)-1-(3,4-дифторфенил)-4-фтор-1,9-диазаспиро[5.5]ундекан-2-она;
rac-1-(3,4-дифторфенил)-4-фтор-9-(6-((тетрагидро-2H-пиран-4-ил)окси)пиримидин-4-ил)-1,9-диазаспиро[5.5]ундекан-2-она;
9-(2-амино-6-(1,1-дифторэтил)пиримидин-4-ил)-1-(3,4-дифторфенил)-1,9-диазаспиро[5.5]ундекан-2-она и
1-(3,4-дифторфенил)-4-фтор-9-(6-(2,2,2-трифторэтокси)пиримидин-4-ил)-1,9-диазаспиро[5.5]ундекан-2-она; или его фармацевтически приемлемая соль.
В варианте осуществления 14 настоящее изобретение относится к соединению формулы I или его фармацевтически приемлемой соли, где соединение выбрано из
1-(3,4-дифторфенил)-9-(6-(2,2,2-трифторэтокси)пиримидин-4-ил)-1,9-диазаспиро[5.5]ундекан-2-она;
9-(2-амино-6-(4-(трифторметил)-1H-пиразол-1-ил)пиримидин-4-ил)-1-(3,4-дифторфенил)-1,9-диазаспиро[5.5]ундекан-2-она;
(R)-9-(2-амино-6-((1,1,1-трифторпропан-2-ил)окси)пиримидин-4-ил)-1-(3,4-дифторфенил)-3-окса-1,9-диазаспиро[5.5]ундекан-2-она,
(S)-9-(2-амино-6-((1,1,1-трифторпропан-2-ил)окси)пиримидин-4-ил)-1-(3,4-дифторфенил)-3-окса-1,9-диазаспиро[5.5]ундекан-2-она;
9-(2-амино-6-(1,1-дифторэтил)пиримидин-4-ил)-1-(3,4-дифторфенил)-1,9-диазаспиро[5.5]ундекан-2-она и
9-(2-амино-6-(трифторметил)пиримидин-4-ил)-1-(3,4-дифторфенил)-1,9-диазаспиро[5.5]ундекан-2-она или их фармацевтически приемлемой соли.
В другом аспекте варианта осуществления 14 настоящее изобретение относится к соединению формулы (I) в соответствии с вариантом осуществления 1, где соединение представляет собой 1-(3,4-дифторфенил)-9-(6-(2,2,2-трифторэтокси)пиримидин-4-ил)-1,9-диазаспиро[5.5]ундекан-2-он или его фармацевтически приемлемую соль.
В другом аспекте варианта осуществления 14 настоящее изобретение относится к соединению формулы (I) в соответствии с вариантом осуществления 1, где соединение представляет собой 9-(2-амино-6-(4-(трифторметил)-1H-пиразол-1-ил)пиримидин-4-ил)-1-(3,4-дифторфенил)-1,9-диазаспиро[5.5]ундекан-2-он или его фармацевтически приемлемую соль.
В другом аспекте варианта осуществления 14 настоящее изобретение относится к соединению формулы (I) в соответствии с вариантом осуществления 1, где соединение представляет собой (R)-9-(2-амино-6-((1,1,1-трифторпропан-2-ил)окси)пиримидин-4-ил)-1-(3,4-дифторфенил)-3-окса-1,9-диазаспиро[5.5]ундекан-2-он или его фармацевтически приемлемую соль.
В другом аспекте варианта осуществления 14 настоящее изобретение относится к соединению формулы (I) в соответствии с вариантом осуществления 1, где соединение представляет собой (S)-9-(2-амино-6-((1,1,1-трифторпропан-2-ил)окси)пиримидин-4-ил)-1-(3,4-дифторфенил)-3-окса-1,9-диазаспиро[5.5]ундекан-2-он или его фармацевтически приемлемую соль.
В другом аспекте варианта осуществления 14 настоящее изобретение относится к соединению формулы (I) в соответствии с вариантом осуществления 14, где соединение представляет собой 9-(2-амино-6-(трифторметил)пиримидин-4-ил)-1-(3,4-дифторфенил)-1,9-диазаспиро[5.5]ундекан-2-он или его фармацевтически приемлемую соль.
В другом аспекте варианта осуществления 14 настоящее изобретение относится к соединению формулы (I) в соответствии с вариантом осуществления 14, где соединение представляет собой 9-(2-амино-6-(1,1-дифторэтил)пиримидин-4-ил)-1-(3,4-дифторфенил)-1,9-диазаспиро[5.5]ундекан-2-он или его фармацевтически приемлемую соль.
В зависимости от выбора исходных материалов и процедур соединения могут присутствовать в форме одного из возможных стереоизомеров или в виде их смесей, например, в виде чистых оптических изомеров, или в виде смеси стереоизомеров, таких как рацематы и смеси диастереоизомеров, в зависимости от числа асимметрических атомов углерода. В настоящем изобретении подразумевается включение всех таких возможных стереоизомеров, в том числе рацемических смесей, смесей диастереоизомеров и оптически чистых форм. Оптически активные (R)- и (S)-стереоизомеры можно получать с использованием хиральных синтонов или хиральных реагентов или разделять с применением традиционных методик. Если соединение содержит двойную связь, заместитель может иметь E- или Z-конфигурацию. Если соединение содержит дизамещенный циклоалкил, циклоалкильный заместитель может иметь цис- или транс-конфигурацию. Также предполагается включение всех таутомерных форм.
Используемые в данном документе термины "соль" или "соли" относятся к соли присоединения кислоты или присоединения основания соединения по настоящему изобретению. "Соли" включают, в частности, "фармацевтически приемлемые соли". Термин "фармацевтически приемлемые соли" относится к солям, которые сохраняют биологическую эффективность и свойства соединений по настоящему изобретению и которые, как правило, не являются нежелательными с биологической или иной точки зрения. Во многих случаях соединения по настоящему изобретению способны образовывать кислотные и/или основные соли вследствие присутствия амино- и/или карбоксильных групп или подобных им групп.
Фармацевтически приемлемые соли присоединения кислоты могут быть образованы с неорганическими кислотами и органическими кислотами.
Неорганические кислоты, из которых могут быть получены соли, включают, например, хлористоводородную кислоту, бромистоводородную кислоту, серную кислоту, азотную кислоту, фосфорную кислоту и т. п.
Органические кислоты, с помощью которых могут быть получены соли, включают, например, уксусную кислоту, пропионовую кислоту, гликолевую кислоту, щавелевую кислоту, малеиновую кислоту, малоновую кислоту, янтарную кислоту, фумаровую кислоту, винную кислоту, лимонную кислоту, бензойную кислоту, миндальную кислоту, метансульфоновую кислоту, этансульфоновую кислоту, толуолсульфоновую кислоту, сульфосалициловую кислоту и т. п.
Фармацевтически приемлемые соли присоединения основания могут быть образованы с неорганическими и органическими основаниями.
Неорганические основания, из которых могут быть получены соли, включают, например, соли аммония и металлов из групп I-XII периодической таблицы элементов. В определенных вариантах осуществления соли получены из натрия, калия, аммония, кальция, магния, железа, серебра, цинка и меди; особенно подходящие соли включают соли аммония, калия, натрия, кальция и магния.
Органические основания, из которых могут быть получены соли, включают, например, первичные, вторичные и третичные амины, замещенные амины, в том числе встречающиеся в природе замещенные амины, циклические амины, основные ионообменные смолы и т. п. Определенные органические амины включают изопропиламин, бензатин, холинат, диэтаноламин, диэтиламин, лизин, меглюмин, пиперазин и трометамин.
В другом аспекте в настоящем изобретении предусмотрены соединения любой из формул (I)-(V) в форме соли, представляющей собой ацетат, аскорбат, адипат, аспартат, бензоат, безилат, бромид/гидробромид, бикарбонат/карбонат, бисульфат/сульфат, камфорсульфонат, капринат, хлорид/гидрохлорид, хлортеофиллинат, цитрат, этандисульфонат, фумарат, глюцептат, глюконат, глюкуронат, глутамат, глутарат, гликолят, гиппурат, гидройодид/йодид, изетионат, лактат, лактобионат, лаурилсульфат, малат, малеат, малонат, манделат, мезилат, метилсульфат, муцинат, нафтоат, напсилат, никотинат, нитрат, октадеканоат, олеат, оксалат, пальмитат, памоат, фосфат/гидрофосфат/дигидрофосфат, полигалактуронат, пропионат, себацинат, стеарат, сукцинат, сульфосалицилат, сульфат, тартрат, тозилат, трифенатат, трифторацетат или ксинафоат.
В другом аспекте в настоящем изобретении предусмотрены соединения любой из формул (I)-(V) в форме соли натрия, калия, аммония, кальция, магния, железа, серебра, цинка, меди, изопропиламина, бензатина, холина, диэтаноламина, диэтиламина, лизина, меглюмина, пиперазина или трометамина.
Любая формула, приведенная в данном документе, также предполагает представление немеченых форм, а также изотопно-меченных форм соединений. Изотопно-меченные соединения имеют структуры, изображенные с помощью формул, приведенных в данном документе, за исключением того, что один или несколько атомов заменены атомом, имеющим выбранные атомную массу или массовое число. Изотопы, которые можно включать в состав соединений по настоящему изобретению, включают, например, изотопы водорода.
Кроме того, включение определенных изотопов, в частности, дейтерия (т. е., 2H или D), может обеспечивать определенные терапевтические преимущества, обусловленные более высокой метаболической стабильностью, например, увеличенным периодом полувыведения in vivo, или снижением требуемой дозы, или улучшением терапевтического индекса или переносимости. Следует понимать, что дейтерий в данном контексте рассматривается в качестве заместителя соединения формулы (I). Концентрацию дейтерия можно определять по коэффициенту изотопного обогащения. Используемый в данном документе термин "коэффициент изотопного обогащения" означает соотношение между распространенностью изотопа и природной распространенностью указанного изотопа. Если заместитель в соединении по настоящему изобретению указан как дейтерий, такое соединение характеризуется коэффициентом изотопного обогащения для каждого обозначенного атома дейтерия, составляющим по меньшей мере 3500 (52,5% включение дейтерия по каждому обозначенному атому дейтерия), по меньшей мере 4000 (60% включение дейтерия), по меньшей мере 4500 (67,5% включение дейтерия), по меньшей мере 5000 (75% включение дейтерия), по меньшей мере 5500 (82,5% включение дейтерия), по меньшей мере 6000 (90% включение дейтерия), по меньшей мере 6333,3 (95% включение дейтерия), по меньшей мере 6466,7 (97% включение дейтерия), по меньшей мере 6600 (99% включение дейтерия) или по меньшей мере 6633,3 (99,5% включение дейтерия). Следует понимать, что термин "коэффициент изотопного обогащения" можно применять в отношении любого изотопа таким же образом, как описано для дейтерия.
Другие примеры изотопов, которые могут быть включены в соединения по настоящему изобретению, включают изотопы водорода, углерода, азота, кислорода, фосфора, фтора и хлора, такие как 3H, 11C, 13C, 14C, 15N, 18F 31P, 32P, 35S, 36Cl,123I, 124I, 125I соответственно. Однако следует понимать, что настоящее изобретение включает соединения, в которые включены один или несколько любых из вышеуказанных изотопов, включая, например, радиоактивные изотопы, такие как 3H и 14C, соединения, в которых присутствуют нерадиоактивные изотопы, такие как 2H и 13C. Такие изотопно-меченные соединения применимы в метаболических исследованиях (с использованием 14C), исследованиях кинетики реакций (например, с использованием 2H или 3H), методиках выявления или визуализации, таких как позитронно-эмиссионная томография (PET) или однофотонная эмиссионная компьютерная томография (SPECT), включая анализы распределения лекарственного средства или субстрата в тканях, или при лечении пациентов радиоактивными изотопами. В частности, 18F или меченое соединение может быть особенно желательным для исследований методом PET или SPECT. Изотопно-меченные соединения формулы (I), как правило, можно получать с помощью традиционных методик, известных специалистам в данной области, или посредством способов, аналогичных описанным в сопутствующих примерах и способах получения, с использованием подходящего изотопно-меченного реагента вместо немеченого реагента, используемого ранее.
Фармацевтическая композиция
Используемый в данном документе термин "фармацевтическая композиция" относится к соединению по настоящему изобретению или его фармацевтически приемлемой соли вместе с по меньшей мере одним фармацевтически приемлемым носителем в подходящей для перорального или парентерального введения форме.
Используемый в данном документе термин "фармацевтически приемлемый носитель" относится к веществу, применимому в получении или применении фармацевтической композиции, и включает, например, подходящие разбавители, растворители, дисперсионные среды, поверхностно-активные вещества, антиоксиданты, консерванты, изотонические средства, буферные средства, эмульгаторы, средства, замедляющие всасывание, соли, стабилизаторы лекарственных средств, связывающие вещества, наполнители, разрыхлители, смазывающие вещества, смачивающие средства, подсластители, ароматизирующие средства, красители и их комбинации, которые должны быть известны специалистам в данной области (см., например, Remington The Science and Practice of Pharmacy, 22nd Ed. Pharmaceutical Press, 2013, pp. 1049-1070).
Термин "терапевтически эффективное количество" соединения согласно настоящему изобретению относится к количеству соединения по настоящему изобретению, которое будет вызывать биологический или медицинский ответ у субъекта, например, снижение или подавление активности фермента или белка, или уменьшать интенсивность проявления симптомов, облегчать состояния, замедлять или задерживать прогрессирование заболевания или предупреждать заболевание и т. д. В одном неограничивающем варианте осуществления термин "терапевтически эффективное количество" относится к количеству соединения по настоящему изобретению, которое при введении субъекту является эффективным в отношении (1) по меньшей мере частичного облегчения, подавления, предупреждения и/или уменьшения интенсивности проявления состояния, или нарушения, или заболевания, (i) опосредованного LTC4S, или (ii) ассоциированного с активностью LTC4S, или (iii) характеризующегося активностью (нормальной или аномальной) LTC4S; или (2) уменьшения или подавления активности LTC4S; или (3) снижения или подавления экспрессии LTC4S. В другом неограничивающем варианте осуществления термин "терапевтически эффективное количество" относится к количеству соединения по настоящему изобретению, которое при введении в клетку, или ткань, или неклеточный биологический материал, или среду является эффективным для по меньшей мере частичного снижения или ингибирования активности LTC4S или по меньшей мере частичного снижения или ингибирования экспрессии LTC4S.
Используемый в данном документе термин "субъект" относится к приматам (например, людям - мужчинам или женщинам), собакам, кроликам, морским свинкам, свиньям, крысам и мышам. В определенных вариантах осуществления субъект является приматом. В других вариантах осуществления субъектом является человек.
Используемые в данном документе термины "ингибировать", "ингибирование" или "ингибирующий" относятся к снижению интенсивности или подавлению данного состояния, симптома, или нарушения, или заболевания, или значительному уменьшению базальной активности для биологической активности или процесса.
Используемый в данном документе термин "лечить", "осуществление лечения" или "лечение" любого заболевания или нарушения относится к облегчению или уменьшению интенсивности проявления заболевания или нарушения (т. е. замедлению или остановке развития заболевания или по меньшей мере одного из его клинических симптомов) или облегчению или уменьшению интенсивности проявления по меньшей мере одного физического параметра или биомаркера, ассоциированного с заболеванием или нарушением, включая те, которые могут не быть ощутимыми для пациента.
Используемый в данном документе термин "предупреждать", "осуществление предупреждения" или "предупреждение" любого заболевания или нарушения относится к профилактическому лечению заболевания или нарушения или задержке начала проявления или прогрессирования заболевания или нарушения.
Как используется в данном документе, субъект "нуждается в" лечении, если в результате такого лечения такой субъект получит пользу с биологической, медицинской точки зрения или с точки зрения качества его жизни.
Используемые в данном документе термины в форме единственного числа и подобные термины, используемые в контексте настоящего изобретения (в частности, в контексте формулы изобретения), следует истолковывать как охватывающие как формы единственного числа, так и формы множественного числа, если в данном документе не указано иное или это явно не противоречит контексту.
Все способы, описанные в данном документе, можно осуществлять в любом подходящем порядке, если в данном документе не указано иное или это иным образом явно не противоречит контексту. Использование всех без исключения примеров или вводных слов перед примерами (например, "такой как"), приведенных в данном документе, предназначено только для лучшего объяснения настоящего изобретения и не налагает ограничения на объем настоящего изобретения, заявленного иным образом.
Любой асимметрический атом (например, углерод или подобный) соединения(соединений) по настоящему изобретению может присутствовать в рацемической или энантиомерно обогащенной форме, например, в (R)-, (S)- или (R, S)-конфигурации. В определенных вариантах осуществления каждый асимметрический атом характеризуется по меньшей мере 50% энантиомерным избытком, по меньшей мере 60% энантиомерным избытком, по меньшей мере 70% энантиомерным избытком, по меньшей мере 80% энантиомерным избытком, по меньшей мере 90% энантиомерным избытком, по меньшей мере 95% энантиомерным избытком или по меньшей мере 99% энантиомерным избытком в (R)- или (S)-конфигурации. Заместители при атомах с ненасыщенными двойными связями могут, если это возможно, присутствовать в цис- (Z)- или транс- (E)-форме.
Соответственно, как используется в данном документе, соединение по настоящему изобретению может находиться в форме одного из возможных стереоизомеров, ротамеров, атропоизомеров, таутомеров или их смесей, например, в виде по сути чистых геометрических (цис- или транс-) стереоизомеров, диастереоизомеров, оптических изомеров (антиподов), рацематов или их смесей.
Любые полученные смеси стереоизомеров могут быть разделены на основе физико-химических отличий составляющих компонентов на чистые или практически чистые геометрические или оптические изомеры, диастереоизомеры, рацематы, например, посредством хроматографии и/или фракционной кристаллизации.
Любые полученные рацематы конечных продуктов или промежуточных соединений могут быть разделены на оптические антиподы посредством известных способов, например, посредством разделения их диастереомерных солей, полученных с использованием оптически активных кислоты или основания, и выделения в свободном виде оптически активного кислого или основного соединения. В частности, основный фрагмент таким образом может быть использован для разделения соединений по настоящему изобретению на их оптические антиподы, например, путем фракционной кристаллизации соли, образованной с оптически активной кислотой, например, винной кислотой, дибензоилвинной кислотой, диацетилвинной кислотой, ди-O, O'-п-толуоилвинной кислотой, миндальной кислотой, яблочной кислотой или камфор-10-сульфоновой кислотой. Рацемические продукты также можно разделять с помощью хиральной хроматографии, например жидкостной хроматографии высокого давления (ВЭЖХ) с применением хирального адсорбента.
Способы синтезирования спиропиперидинильных производных по настоящему изобретению.
Средства по настоящему изобретению, например соединения в соответствии с определением формулы (I), где X1 представляет собой CH2, и R2 представляет собой H, могут быть получены посредством последовательности реакций по реакционным схемам 1 и 2, указанных ниже:
Схема 1
где PG представляет собой защитную группу для атома азота (например, бензил (Bn), карбобензилокси (Cbz), трет-бутилоксикарбонил (BOC) и другие широко известные защитные группы для атома азота), и R1 является таким, как определено в формуле I, варианте осуществления 1, и где R представляет собой защитную группу для карбоновой кислоты, например C1-6алкил или бензил.
В способе A промежуточное соединение 9 образуется путем осуществления реакции N-защищенного пиперидинона (1) с соответствующим образом замещенным анилином (2), будучи, как правило, коммерчески доступным, с образованием промежуточного соединения 3, которое вводят в реакцию с реагентом Гриньяра (таким как бромид аллилмагния) с образованием промежуточного соединения 4. Посредством реакции перекрестного метатезиса 4 с соответствующим сложным эфиром акриловой кислоты получали 5. Посредством гидрогенизации 5 в присутствии подходящего катализатора, такого как палладий на углероде или катализатор Адамса, получали промежуточное соединение 6, с последующим удалением защитной группы карбоновой кислоты (7) и дегидратационной циклизацией с применением подходящего реагента, такого как SOCl2. Образованный таким образом спироциклический лактам (8) могут подвергать удалению защитной группы с образованием промежуточного соединения 9.
В зависимости от выбора защитных групп для аминогруппы пиперидина и карбоновой кислоты, способы удаления защитной группы должны быть адаптированы в соответствии с широко известными способами (такими как способы гидрогенизации, кислотные или основные способы удаления защитной группы). Например, метиловый или этиловый сложный эфир, представляющий собой защитную группу для карбоновой кислоты, могут быть удалены посредством сапонификации, и трет-бутилоксикарбонил (Boc), представляющий собой защитную группу для атома азота пиперидина, может быть удален посредством обработки хлористоводородной кислотой в подходящем растворителе, таком как диоксан или диэтиловый эфир.
Для некоторых анилинов (2) можно использовать альтернативный путь (способ B), где посредством N-ацилирования промежуточного соединения 4 акролоилхлоридом с последующей реакцией метатезиса с замыканием кольца с применением катализатора Grubb's II получали ненасыщенный лактам 11. Промежуточное соединение 11 могут насыщать в подходящих условиях, таких как гидрогенизация или посредством сопряженного восстановления с боридом никеля, полученным in situ. Посредством удаления защитной группы атома азота пиперидина в подходящих условиях, как описано выше, получали промежуточное соединение 9.
Промежуточное соединение 9 может легко вступать в реакцию с рядом субстратов с образованием
соединений по настоящему изобретению, таких как, например, соединения, несущие гетероароматическое кольцо (схема 2).
Схема 2
где R1 и R4 являются такими, как определено в формуле I, вариант осуществления 1.
Соединения формулы (I), где X1 представляет собой O, и R2 представляет собой H, получали в соответствии со схемами 3 и 4:
Схема 3
Посредством дигидроксилирования промежуточного соединения 4 с последующим окислительным расщеплением полученного диола с применением перйодата натрия получали нестабильный альдегид 13, который восстанавливали до спирта 14 с применением борогидрида натрия. Циклизация до промежуточного соединения 16 осуществлялась в две стадии с применением эквивалента фосгена, представляющего собой карбонилдиимидазол (CDI), с образованием имидазолилкарбамата 15 с последующей обработкой гидрохлоридом пиридина. Промежуточное соединение 17 получали путем удаления защитной группы для атома азота пиперидина при подходящих условиях в зависимости от природы защитной группы, как описано для промежуточного соединения 9 в схеме 1.
Промежуточное соединение 17 можно легко вводить в реакцию с рядом субстратов с образованием
соединений по настоящему изобретению, таких как, например, соединения, несущие гетероароматическое кольцо (схема 4).
Схема 4
Соединения формулы (I), где X1 представляет собой CH2, и R2 представляет собой F, могут получали в соответствии со схемами 5 и 6:
Схема 5
Посредством катализируемого медью конъюгирующего борилирования ненасыщенного лактама 11 получали боронатный сложный эфир 18. Посредством окисления боронатного сложного эфира при подходящих условиях, таких как перборат натрия, что приводило к образованию бета-гидрокси лактама с последующим удалением защитной группы для атома азота пиперидина, как описано выше, получали промежуточное соединение 20.
Соединения по настоящему изобретению формулы (I) могут быть легко образованы посредством реакции промежуточного соединения 20 с рядом субстратов, таких как, например, соединения, несущие гетероароматическое кольцо, с последующим дезоксифторированием с помощью DAST или подобных реагентов (схема 6).
Схема 6.
В дополнительном варианте осуществления предусмотрено соединение или его соль, выбранные из группы, состоящей из

; 
,
где PG представляет собой защитную группу для атома азота (например, бензил (Bn), карбобензилокси (Cbz), трет-бутилоксикарбонил (BOC) и т. п.); и PG2 представляет собой защитную группу для группы карбоновой кислоты (например, C1-6алкил или бензил; PG3 представляет собой карбобензилокси (Cbz) или трет-бутоксикарбонил (BOC); каждый R1a представляет собой галоген, каждый R1b независимо выбран из F и Cl; v равняется 1-3, и R1 представляет собой фенил, необязательно замещенный одним, двумя или тремя галогенсодержащими заместителями.
В еще одном варианте осуществления предусмотрено соединение или его соль, выбранные из группы, состоящей из
где PG и PG2 являются такими, как определено выше.
Соединения согласно данному варианту осуществления являются применимыми в получении соединений по настоящему изобретению, например, соединений формулы (I) или любой из формул (II)-(V).
Настоящее изобретение дополнительно включает любой вариант способов по настоящему изобретению, в которых промежуточный продукт, получаемый на любой их стадии, применяют в качестве исходного материала и проводят остальные стадии, или в которых исходные материалы получают in situ в условиях реакции, или в которых компоненты реакционной смеси применяют в форме их солей или оптически чистого материала. Соединения по настоящему изобретению и промежуточные соединения также могут превращаться друг в друга в соответствии со способами, общеизвестными специалистам в данной области.
В другом аспекте в настоящем изобретении предусмотрена фармацевтическая композиция, содержащая соединение по настоящему изобретению или его фармацевтически приемлемую соль и фармацевтически приемлемый носитель. В дополнительном варианте осуществления композиция содержит по меньшей мере два фармацевтически приемлемых носителя, таких как описанные в данном документе. Фармацевтическая композиция может быть составлена для конкретных путей введения, таких как пероральное введение, парентеральное введение (например, путем инъекции, инфузии, трансдермального или местного введения) и ректальное введение. Местное введение может также относиться к ингаляционному или интраназальному применению. Фармацевтические композиции по настоящему изобретению можно изготовлять в твердой форме (включающей без ограничения капсулы, таблетки, пилюли, гранулы, порошки или суппозитории) или в жидкой форме (включающей без ограничения растворы, суспензии или эмульсии). Таблетки могут быть покрытыми пленочной оболочкой либо энтеросолюбильной оболочкой в соответствии со способами, известными из уровня техники. Как правило, фармацевтические композиции представляют собой таблетки или желатиновые капсулы, содержащие активный ингредиент вместе с одним или несколькими из:
a) разбавителей, например, лактозы, декстрозы, сахарозы, маннита, сорбита, целлюлозы и/или глицина;
b) смазывающих веществ, например, с диоксидом кремния, тальком, стеариновой кислотой, ее магниевой или кальциевой солью и/или полиэтиленгликолем; также в случае таблеток
c) связующих веществ, например, с алюмосиликатом магния, крахмальной пастой, желатином, трагакантом, метилцеллюлозой, натрий-карбоксиметилцеллюлозой и/или поливинилпирролидоном; при необходимости
d) разрыхлителей, например, с видами крахмала, агаром, альгиновой кислотой или ее натриевой солью или шипучими смесями; и
e) абсорбентов, красящих веществ, ароматизаторов и подсластителей.
Способ применения по настоящему изобретению
Соединения любой из формул (I)-(V) в свободной форме или в форме фармацевтически приемлемой соли проявляют ценные фармакологические свойства, например, модулирующие свойства в отношении LTC4S, например, показанные с помощью тестов in vitro, представленных в следующих разделах, и, следовательно, предназначены для терапии или для применения в качестве химических веществ для исследований, например, в качестве фармакологически активных соединений.
Соединения по настоящему изобретению могут быть применимы в лечении показания, выбранного из респираторных заболеваний/нарушений, воспаления и/или заболевания/нарушений, характеризующихся воспалительным компонентом, например, аллергических нарушений, астмы, стерторозного дыхания у детей, хронической обструктивной болезни легких, аспирин-индуцированного респираторного заболевания, бронхолегочной дисплазии, кистозного фиброза, интерстициального заболевания легких (например, саркоидоза, фиброза легких, склеродермического заболевания легких и обычной интерстициальной пневмонии), заболеваний уха, носа и горла (например, синусита, ринита, полипоза носа, риносинусита, среднего отита и аллергического эозинофильного эзофагита), заболеваний глаз (например, конъюнктивита и гигантского папиллярного конъюнктивита), заболеваний кожи (например, псориаза, атопического дерматита, экземы и хронической крапивницы), ревматических заболеваний (например, ревматоидного артрита, артроза, псориатического артрита, остеоартрита, системной красной волчанки, системного склероза), васкулита (например, пурпуры Шенлейна-Геноха, синдрома Леффлера и болезни Кавасаки), сердечно-сосудистых заболеваний (например, атеросклероза, цереброваскулярных заболеваний, острых ишемических заболеваний сердца и лечения после инфаркта миокарда), желудочно-кишечных заболеваний (например, эозинофильных заболеваний желудочно-кишечного тракта, воспалительного заболевания кишечника, синдрома раздраженного кишечника, колита, брюшного и желудочного кровотечения), урологических заболеваний (например, гломерулонефрита, интерстициального цистита, нефрита, нефропатии, нефротического синдрома, гепаторенального синдрома и нефротоксичности), заболеваний центральной нервной системы (например, церебральной ишемии, повреждения спинного мозга, мигрени, рассеянного склероза и нарушений дыхания во сне), эндокринных заболеваний (например, аутоиммунного тиреоидита, воспаления, связанного с диабетом), крапивницы, анафилаксии, ангионевротического отека, отека при квашиоркоре, дисменореи, вызванного ожогом окислительного повреждения, политравмы, боли (воспалительной и невропатической), эндотоксинового шока, сепсиса, бактериальных инфекций (например, вызванных Helicobacter pylori, Pseudomonas aerugiosa или Shigella dysenteriae), грибковых инфекций (например, вульвовагинального кандидоза), вирусных инфекций (например, гепатита, менингита, парагриппа и респираторно-синцитиального вируса), гиперэозинофильного синдрома и злокачественных опухолей (например, лимфомы Ходжкина, лейкоза (например, эозинофильного лейкоза и хронического миелогенного лейкоза), мастоцитоза, истинной полицитемии и карциномы яичников).
Таким образом, в качестве дополнительного аспекта в настоящем изобретении предусмотрено применение соединения формулы (I) или любой из формул (II)-(V) в терапии. В дополнительном варианте осуществления терапия выбрана из терапии заболевания, лечение которого можно осуществлять посредством ингибирования LTC4S. В другом варианте осуществления заболевание выбрано из вышеуказанного списка, предпочтительно из аллергических нарушений, астмы, аспирин-индуцированного респираторного заболевания (AERD), COPD, кистозного фиброза, дерматита, крапивницы, ринита (аллергического ринита), полипоза носа, риносинусита, конъюнктивита, эозинофильных заболеваний желудочно-кишечного тракта и воспалительного заболевания кишечника, и более предпочтительно из астмы, атопического дерматита или хронической крапивницы.
Таким образом, в качестве дополнительного аспекта в настоящем изобретении предусмотрено соединение любой из формул (I)-(V) для применения в терапии. В дополнительном варианте осуществления терапия выбрана из терапии заболевания, лечение которого можно осуществлять посредством ингибирования LTC4S. В другом варианте осуществления заболевание выбрано из вышеуказанного списка, предпочтительно из аллергических нарушений, астмы, аспирин-индуцированного респираторного заболевания (AERD), COPD, кистозного фиброза, дерматита, крапивницы, ринита (аллергического ринита), полипоза носа, риносинусита, конъюнктивита, эозинофильных заболеваний желудочно-кишечного тракта и воспалительного заболевания кишечника, и более предпочтительно из астмы, атопического дерматита или хронической крапивницы.
В другом аспекте в настоящем изобретении предусмотрен способ лечения заболевания, лечение которого осуществляют посредством ингибирования LTC4S, включающий введение терапевтически эффективного количества соединения любой из формул (I)-(V). В дополнительном варианте осуществления заболевание выбрано из вышеуказанного списка, предпочтительно из аллергических нарушений, астмы, аспирин-индуцированного респираторного заболевания (AERD), COPD, кистозного фиброза, дерматита, крапивницы, ринита (аллергического ринита), полипоза носа, риносинусита, конъюнктивита, эозинофильных заболеваний желудочно-кишечного тракта и воспалительного заболевания кишечника, и более предпочтительно из астмы, атопического дерматита или хронической крапивницы.
Таким образом, в качестве дополнительного аспекта в настоящем изобретении предусмотрено применение соединения любой из формул (I)-(V) для изготовления лекарственного препарата. В дополнительном варианте осуществления лекарственный препарат предназначен для лечения заболевания, лечение которого можно осуществлять посредством ингибирования LTC4S. В другом варианте осуществления заболевание выбрано из вышеуказанного списка, предпочтительно из аллергических нарушений, астмы, аспирин-индуцированного респираторного заболевания (AERD), COPD, кистозного фиброза, дерматита, крапивницы, ринита (аллергического ринита), полипоза носа, риносинусита, конъюнктивита, эозинофильных заболеваний желудочно-кишечного тракта и воспалительного заболевания кишечника, и более предпочтительно из астмы, атопического дерматита или хронической крапивницы.
В другом варианте осуществления настоящего изобретения предусмотрен 9-(2-амино-6-(трифторметил)пиримидин-4-ил)-1-(3,4-дифторфенил)-1,9-диазаспиро[5.5]ундекан-2-он для применения в лечении заболевания, выбранного из вышеуказанного списка, предпочтительно для лечения аллергических нарушений, астмы, аспирин-индуцированного респираторного заболевания (AERD), COPD, кистозного фиброза, дерматита, крапивницы, ринита (аллергического ринита), полипоза носа, риносинусита, конъюнктивита, эозинофильных заболеваний желудочно-кишечного тракта и воспалительного заболевания кишечника, и более предпочтительно из астмы, атопического дерматита или хронической крапивницы.
В другом варианте осуществления настоящего изобретения предусмотрен (S)-9-(2-амино-6-((1,1,1-трифторпропан-2-ил)окси)пиримидин-4-ил)-1-(3,4-дифторфенил)-3-окса-1,9-диазаспиро[5.5]ундекан-2-он для применения в лечении заболевания, выбранного из вышеуказанного списка, предпочтительно для лечения аллергических нарушений, астмы, аспирин-индуцированного респираторного заболевания (AERD), COPD, кистозного фиброза, дерматита, крапивницы, ринита (аллергического ринита), полипоза носа, риносинусита, конъюнктивита, эозинофильных заболеваний желудочно-кишечного тракта и воспалительного заболевания кишечника, и более предпочтительно из астмы, атопического дерматита или хронической крапивницы.
В другом варианте осуществления настоящего изобретения предусмотрен (R)-9-(2-амино-6-((1,1,1-трифторпропан-2-ил)окси)пиримидин-4-ил)-1-(3,4-дифторфенил)-3-окса-1,9-диазаспиро[5.5]ундекан-2-он для применения в лечении заболевания, выбранного из вышеуказанного списка, предпочтительно для лечения аллергических нарушений, астмы, аспирин-индуцированного респираторного заболевания (AERD), COPD, кистозного фиброза, дерматита, крапивницы, ринита (аллергического ринита), полипоза носа, риносинусита, конъюнктивита, эозинофильных заболеваний желудочно-кишечного тракта и воспалительного заболевания кишечника, и более предпочтительно для лечения астмы, атопического дерматита или хронической крапивницы.
В другом варианте осуществления настоящего изобретения предусмотрен 1-(3,4-дифторфенил)-9-(6-(2,2,2-трифторэтокси)пиримидин-4-ил)-1,9-диазаспиро[5.5]ундекан-2-он для применения в лечении заболевания, выбранного из вышеуказанного списка, или для лечения аллергических нарушений, астмы, аспирин-индуцированного респираторного заболевания (AERD), COPD, кистозного фиброза, дерматита, крапивницы, ринита (аллергического ринита), полипоза носа, риносинусита, конъюнктивита, эозинофильных заболеваний желудочно-кишечного тракта и воспалительного заболевания кишечника, и более предпочтительно для лечения астмы, атопического дерматита или хронической крапивницы.
В другом варианте осуществления настоящего изобретения предусмотрен 9-(2-амино-6-(4-(трифторметил)-1H-пиразол-1-ил)пиримидин-4-ил)-1-(3,4-дифторфенил)-1,9-диазаспиро[5.5]ундекан-2-он для применения в лечении заболевания, выбранного из вышеуказанного списка, предпочтительно аллергических нарушений, астмы, аспирин-индуцированного респираторного заболевания (AERD), COPD, кистозного фиброза, дерматита, крапивницы, ринита (аллергического ринита), полипоза носа, риносинусита, конъюнктивита, эозинофильных заболеваний желудочно-кишечного тракта и воспалительного заболевания кишечника, и более предпочтительно для лечения астмы, атопического дерматита или хронической крапивницы.
Фармацевтическая композиция или комбинация по настоящему изобретению может быть представлена в однократной дозировке, составляющей приблизительно 1-1000 мг активного(-ых) ингредиента(-ов) для субъекта весом приблизительно 50-70 кг, или приблизительно 1-500 мг, или приблизительно 1-250 мг, или приблизительно 1-150 мг, или приблизительно 0,5-100 мг, или приблизительно 1-50 мг активных ингредиентов. Терапевтически эффективная дозировка соединения, фармацевтической композиции или их комбинаций зависит от вида субъекта, веса тела, возраста и индивидуального состояния, нарушения или заболевания, лечение которых осуществляется, или их тяжести. Лечащий врач, клиницист или ветеринар средней квалификации может легко определить эффективное количество каждого из активных ингредиентов, необходимое для предупреждения, лечения или ингибирования прогрессирования нарушения или заболевания.
Вышеупомянутые параметры дозировки являются очевидными в тестах in vitro и in vivo с использованием преимущественно млекопитающих, например, мышей, крыс, собак, нечеловекообразных обезьян, или выделенных органов, тканей и их препаратов. Соединения по настоящему изобретению можно применять in vitro в форме растворов, например, водных растворов, и in vivo энтерально либо парентерально, преимущественно внутривенно, например, в виде суспензии или водного раствора. Дозировка in vitro может находиться в диапазоне концентраций от приблизительно 10-3 моль/л до 10-9 моль/л. В зависимости от пути введения терапевтически эффективное количество in vivo может находиться в диапазоне от приблизительно 0,1-500 мг/кг или от приблизительно 1-100 мг/кг.
Комбинированный продукт и комбинированная терапия по настоящему изобретению.
"Комбинация" относится к фиксированной комбинации в одной единичной лекарственной форме либо к комбинированному введению, где соединение по настоящему изобретению и партнер по комбинации (например, другое лекарственное средство, которое поясняется ниже, также называемое "терапевтическим средством" или "совместно применяемым средством") могут вводиться независимо в одно и то же время или по отдельности через промежутки времени, особенно в случае, если данные промежутки времени обеспечивают возможность проявления партнерами по комбинации кооперативного, например, синергического, эффекта. Отдельные компоненты могут быть упакованы в набор или предоставлены по отдельности. Один или оба компонента (например, порошки или жидкости) могут быть восстановлены или разбавлены до необходимой дозы перед введением. Термины "совместное введение" или "комбинированное введение" или им подобные, используемые в данном документе, подразумеваются как охватывающие введение выбранного партнера по комбинации одному субъекту, нуждающемуся в этом (например, пациенту), и предполагают включение режимов лечения, в которых средства не обязательно вводят одним и тем же путем введения или в одно и то же время. Термин "фармацевтическая комбинация", используемый в данном документе, означает продукт, полученный в результате смешивания или комбинирования более чем одного терапевтического средства, который включает как фиксированные, так и нефиксированные комбинации терапевтических средств. Термин "фиксированная комбинация" означает, что оба терапевтических средства, например, соединение по настоящему изобретению и партнер по комбинации, вводятся пациенту одновременно в форме единого объекта или дозы. Термин "нефиксированная комбинация" означает, что оба терапевтических средства, например, соединение по настоящему изобретению и партнер по комбинации, вводятся пациенту в виде отдельных объектов одновременно, параллельно либо последовательно без конкретных временных пределов, при этом такое введение обеспечивает терапевтически эффективные уровни двух соединений в организме пациента. Последнее также применимо в отношении "коктейльной терапии", например, при введении трех или более терапевтических средств.
Используемый в данном документе термин "фармацевтическая комбинация" относится к фиксированной комбинации в одной единичной лекарственной форме либо нефиксированной комбинации или набору из частей для комбинированного введения, где два или более терапевтических средства можно вводить независимо в одно и то же время или по отдельности через промежутки времени, особенно в случае, если данные промежутки времени обеспечивают возможность проявления партнерами по комбинации кооперативного, например, синергического, эффекта.
Термин "комбинированная терапия" относится к введению двух или более терапевтических средств для лечения терапевтического состояния или нарушения, описанного в настоящем изобретении. Такое введение охватывает совместное введение этих терапевтических средств по сути одновременно, как, например, в одной капсуле, имеющей фиксированное соотношение активных ингредиентов. В качестве альтернативы такое введение охватывает совместное введение в нескольких или в отдельных контейнерах (например, таблетках, капсулах, порошках и жидкостях) для каждого активного ингредиента. Порошки и/или жидкости могут быть восстановлены или разбавлены до требуемой дозы перед введением. Кроме того, такое введение также охватывает применение каждого типа терапевтического средства последовательно примерно в одно и то же время либо в разное время. В любом случае режим лечения будет обеспечивать благоприятные эффекты комбинации лекарственных средств при лечении состояний или нарушений, описанных в данном документе.
Соединение по настоящему изобретению можно вводить одновременно с одним или несколькими другими терапевтическими средствами либо перед ними или после них. Соединение по настоящему изобретению можно вводить отдельно от других средств посредством того же или другого пути введения или же вместе с ними в одной фармацевтической композиции. Терапевтическое средство представляет собой, например, химическое соединение, пептид, антитело, фрагмент антитела или нуклеиновую кислоту, которые являются терапевтически активными или повышают терапевтическую активность при введении пациенту в комбинации с соединением по настоящему изобретению.
В одном варианте осуществления в настоящем изобретении предусматривается продукт, содержащий соединение формулы (I) и по меньшей мере одно другое терапевтическое средство в виде комбинированного препарата для одновременного, раздельного или последовательного применения в терапии. В одном варианте осуществления терапия представляет собой лечение заболевания или состояния, опосредованного LTC4S. Продукты, представленные в виде комбинированного препарата, включают композицию, содержащую соединение любой из формул (I)-(V) и другое(-ие) терапевтическое(-ие) средство(-а) вместе в той же фармацевтической композиции, или соединение любой из формул (I)-(V) и другое(-ие) терапевтическое(-ие) средство(-а) в раздельной форме, например, в форме набора.
В одном варианте осуществления в настоящем изобретении предусмотрена фармацевтическая комбинация, содержащая соединение любой из формул (I)-(V) и другое(-ие) терапевтическое(-ие) средство(-а). Фармацевтическая комбинация необязательно может содержать фармацевтически приемлемый носитель, описанный выше.
В одном варианте осуществления в настоящем изобретении предложен набор, содержащий две или более отдельных фармацевтических композиций, по меньшей мере одна из которых содержит соединение любой из формул (I)-(V). В одном варианте осуществления набор содержит средства для раздельного содержания указанных композиций, такие как контейнер, секционная бутылка или секционный пакет из фольги. Примером такого набора является блистерная упаковка, как правило, применяемая для упаковки таблеток, капсул и т. п.
Набор по настоящему изобретению можно применять для введения различных лекарственных форм, например, для перорального и парентерального применения, для введения отдельных композиций с различными интервалами между введениями доз или для титрования отдельных композиций относительно друг друга. В целях содействия соблюдению режима лечения набор по настоящему изобретению, как правило, содержит инструкции по введению.
В видах комбинированной терапии в соответствии с настоящим изобретением соединение по настоящему изобретению и другое терапевтическое средство могут быть изготовлены и/или составлены одинаковыми или различными производителями. Более того, соединение по настоящему изобретению и другое терапевтическое средство могут быть объединены в средство комбинированной терапии: (i) до передачи врачам комбинированного продукта (например, в случае с набором, содержащим соединение по настоящему изобретению и другое терапевтическое средство); (ii) самими врачами (или под руководством врача) незадолго до введения; (iii) самими пациентами, например, во время последовательного введения соединения по настоящему изобретению и другого терапевтического средства.
Соответственно, в настоящем изобретении предусмотрено применение соединения любой из формул (I)-(V) для лечения заболевания или состояния, опосредованного LTC4S, где лекарственный препарат получен для введения с другим терапевтическим средством. В настоящем изобретении также предусматривается применение другого терапевтического средства для лечения заболевания или состояния, опосредованного LTC4S, где лекарственный препарат вводится с соединением любой из формул (I)-(V).
В настоящем изобретении также предусматривается соединение любой из формул (I)-(V) для применения в способе лечения заболевания или состояния, опосредованного LTC4S, где соединение формулы (I), (II), (III), (IV) или (V) получено для введения с другим терапевтическим средством. В настоящем изобретении также предусматривается другое терапевтическое средство, предназначенное для применения в способе лечения заболевания или состояния, опосредованного LTC4S, где другое терапевтическое средство получено для введения с соединением формулы (I), (II), (III), (IV) или (V). В настоящем изобретении также предусматривается соединение формулы (I) для применения в способе лечения заболевания или состояния, опосредованного LTC4S, где соединение формулы (I), (II), (III), (IV) или (V) вводится с другим терапевтическим средством. В настоящем изобретении также предусматривается другое терапевтическое средство, предназначенное для применения в способе лечения заболевания или состояния, опосредованного LTC4S, где другое терапевтическое средство вводится с соединением формулы (I), (II), (III), (IV) или (V).
В настоящем изобретении также предусматривается применение соединения любой из формул (I)-(V) для лечения заболевания или состояния, опосредованного LTC4S, при этом пациент ранее (например, в пределах 24 часов) подвергался лечению с применением другого терапевтического средства. В настоящем изобретении также предусматривается применение другого терапевтического средства в лечении заболевания или состояния, опосредованного LTC4S, где пациент ранее (например, в течение 24 часов) подвергался лечению с помощью соединения формулы (I), (II), (III), (IV) или (V).
В одном варианте осуществления другое терапевтическое средство представляет собой терапевтическое средство, применимое в лечении респираторного заболевания, и/или терапевтическое средство, применимое в лечении воспаления и нарушений с воспалительным компонентом (противовоспалительные лекарственные средства).
В одном варианте осуществления другое терапевтическое средство, применимое в комбинированной терапии, выбрано из стероида; кортикостероидов; глюкокортикостероидов; нестероидных агонистов глюкокортикоидных рецепторов; антагонистов лейкотриеновых рецепторов (LTRA), включая антагонисты LTB4, антагонисты LTD4, ингибиторы лейкотриен-A4-гидролазы (LTA4H), антагонисты цистеинил-лейкотриеновых рецепторов (включая монтелукаст, пранлукаст, зафирлукаст); модулятора простагландинового пути (например, антагонист рецепторов CRTH2/DP2); ингибиторов тирозинкиназы Брутона (ингибиторов BTK); ингибиторов PDE4; антигистаминов; антагонистов Н4-гистаминовых рецепторов; антагонистов Н1-рецепторов; бета-адренергических лекарственных средств, таких как агонисты бета-(β)-2-адренорецепторы; антихолинергических лекарственных средств или и антихолинергических или антимускариновых средств (например, антагонисты M2 и/или M3); нестероидные противовоспалительные лекарственные средства ("NSAID"); анальгетики; ингибиторы 5-липоксигеназы; ингибиторов FLAP (белка, активирующего 5-липоксигеназу); селективных ингибиторов COX-2 и статинов.
Подходящими стероидами являются, в частности, глюкокортикостероиды, такие как будесонид, бекламетазона дипропионат, флутиказона пропионат, флутиказона фуроат, циклесонид или мометазона фуроат; или нестероидные агонисты глюкокортикоидных рецепторов, такие как велсекорат (AZD7594)
Подходящие ингибиторы PDE4 включают, например, рофлумиласт, апрелимаст, крисаборол, лотамиласт, энсифентрин (RPL554) и CHF 6001.
Подходящими агонистами бета (β)-2-адренорецепторов являются, например, альбутерол (сальбутамол), метапротеренол, тербуталин, салметерол, фенотерол, прокатерол и особенно формотерол и их фармацевтически приемлемые соли, и соединения (в свободной форме или в форме соли или сольвата) формулы (I) в WO 00/75114, этот документ включен в данный документ посредством ссылки, предпочтительно соединения их примеров, особенно соединение формулы
и их фармацевтически приемлемые соли, а также соединения (в свободной форме или в форме соли или сольвата) формулы (I) в WO 04/16601. Дополнительно агонисты β-2-адренорецепторов включают вилантерол, олодатерол и абедитерол.
Подходящие бронхорасширяющие лекарственные средства включают антихолинергические или антимускариновые средства, в частности, ипратропия бромид, окситропия бромид, соли тиотропия, гликопирромия бромид, умеклидиния бромид и аклидиния бромид.
Подходящие антигистаминные (H1 антагонист) вещества, представляющие собой лекарственные средства, включают цетиризина гидрохлорид, клемастина фумарат, прометазин, лоратадин, дезлоратадин, дифенгидрамин и фексофенадина гидрохлорид.
Подходящие β2-агонисты для применения в настоящем изобретении включают без ограничения арформотерол, бамбутерол, битолтерол, броксатерол, карбутерол, кленбутерол, допексамин, фенотерол, формотерол, гексопреналин, ибутерол, изоэтарин, изопреналин, левосальбутамол, мабутерол, мелуадрин, метапротенерол, ноломирол, орципреналин, пирбутерол, прокатерол, репротерол, ритодрин, римотерол, сальбутамол, салмефамол, салметерол, сибенадет, сотенерот, сульфонтерол, тербуталин, тиарамид, тулобутерол, кармотерол, QAB-149 (также известный как индакатерол), олодатерол, абедитерол и вилантерол и l и их комбинации, каждый из которых необязательно представлен в форме рацемата, энантиомера, диастереомера или их смесей, а также необязательно в форме фармакологически совместимой кислотно-аддитивной соли.
Подходящие кортикостероиды и глюкокортикоиды для применения в настоящем изобретении включают без ограничения преднизолон, метилпреднизолон, дексаметазон, нафлокорт, дефлазакорт, галопредона ацетат, будесонид, беклометазона дипропионат, гидрокортизон, ацетонид триамцинолон, флуоцинолона ацетонид, флуоцинонид, клокортолона пивалат, метилпреднизолона ацепонат, дексаметазона пальмитоат, типредан, гидрокортизона ацепонат, предникарбат, алклометазона дипропионат, галометазон, метилпреднизолона сулептанат, мометазона фуроат, римексолон, преднизолона фарнезилат, циклесонид, депродона пропионат, флутиказона пропионат, флутиказона фуроат, галобетазола пропионат, лотепреднола этабонат, бетаметазона бутират-пропионат, флунизолид, преднизон, дексаметазона фосфат натрия, триамцинолон, бетаметазона 17-валерат, бетаметазон, бетаметазона дипропионат, гидрокортизона ацетат, гидрокортизона сукцинат натрия, преднизолона фосфат натрия, гидрокортизона пробутат и их комбинации.
Подходящие антагонисты LTD4 для применения в настоящем изобретении включают без ограничения томелукаст, ибудиласт, побилукаст, пранлукаста гидрат, зафирлукаст, ритолукаст, верлукаст, сулукаст, циналукаст, иралукаст натрия, монтелукаст натрия, 4-[4-[3-(4-ацетил-3-гидрокси-2-пропилфенокси)пропилсульфонил]фенил]-4-оксомасляную кислоту, [[5-[[3-(4-ацетил-3-гидрокси-2-пропилфенокси)пропил]тио]-1,3,4-тиадиазол-2-ил]тио]уксусную кислоту, 9-[(4-ацетил-3-гидрокси-2-n-пропилфенокси)метил]-3-(lH-тетразол-5-ил)-4H-пиридо[1,2-a]пиримидин-4-он, натриевую соль 5-[3-[2-(7-хлорхинолин-2-ил)винил]фенил]-8-(N,N-диметилкарбамоил)-4,6-дитиаоктановой кислоты; натриевую соль 3-[1-[3-[2-(7-хлорхинолин-2-ил)винил]фенил]-1-[3-(диметиламино)-3-оксопропилсульфанил]метилсульфанил]пропионовой кислоты, 6-(2-циклогексилэтил)-[1,3,4]тиадиазолo[3,2-a]-1,2,3-триазоло[4,5-d]пиримидин-9(lH-он, 4-[6-ацетил-3-[3-(4-ацетил-3-гидрокси-2-пропилфенилтио)пропокси]-2-пропилфенокси]масляную кислоту, (R)-3-метокси-4-[1-метил-5-[N-(2-метил-4,4,4-трифторбутил)карбамоил]индол-3-илметил]-N-(2-метилфенилсульфонил)бензамид, (R)-3-[2-метокси-4-[N-(2-метилфенилсульфонил)карбамоил]бензил]-1-метил-N-(4,4,4-трифтор-2-метилбутил)индол-5-карбоксамид, (+)-4(S)-(4-карбоксифенилтио)-7-[4-(4-феноксибутокси)фенил]-5(Z)-гептеновую кислоту, соединения международной заявки № PCT/EP03/12581 и их комбинации.
Подходящие NSAID для применения в настоящем изобретении включают без ограничения ацеклофенак, ацеметацин, ацетилсалициловую кислоту, алклофенак, алминопрофен, амфенак, ампироксикам, амтолметин гуацил, аниролак, антрафенин, азапропазон, бенорилат, бермопрофен, биндарит, бромфенак, буклоксовую кислоту, буколом, буфексамак, бумадизон, бутибуфен, бутиксират, карбасалат кальция, карпрофен, трисалицилат холина и магния, целекоксиб, цинметацин, цинноксикам, клиданак, клобузарит, дебоксамет, дексибупрофен, декскетопрофен, диклофенак, дифлунисал, дроксикам, элтенак, энфенаминзаур, этерсалат, этодолак, этофенамат, эторикоксиб, феклобузон, фелбинак, фенбуфен, фенклофенак, фенопрофен, фентиазак, фепрадинол, фепразон, флобуфен, флоктафенин, флуфенамовую кислоту, флуфенизал, флуноксапрофен, флурбипрофен, флурбипрофенаксетил, фурофенак, фурпрофен, глюкаметацин, ибуфенак, ибупрофен, индобуфен, индометацин, индометацин фарнезил, индопрофен, изоксепак, изоксикам, кетопрофен, кеторолак, лобензарит, лоназолак, лорноксикам, локсопрофен, лумиракоксиб, меклофенамовую кислоту, меклофен, мефенаминовую кислоту, мелоксикам, месалазин, миропрофен, мофезолак, набуметон, напроксен, нифлумовую кислоту, олсалазин, оксапрозин, оксипинак, оксифенбутазон, парекоксиб, фенилбутазон, пелубипрофен, пимепрофен, пиразолак, пироксикам, пирпрофен, пранопрофен, прифелон, приномод, проглуметацин, проквазон, протизининзаур, рофекоксиб, ромазарит, салициламид, салициловую кислоту, сальмистеин, салнацедин, салсалат, сулиндак, судоксикам, супрофен, талнифлумат, тенидап, теносал, теноксикам, тепоксалин, тиапрофеновую кислоту, тарамид, тилнопрофен арбамел, тимегадин, тиноридин, тиопенак, толфенамовую кислоту, толметин, уфенамат, валдекоксиб, ксимопрофен, залтопрофен, золипрофен и их комбинации.
Подходящие ингибиторы лейкотриен-A4-гидролазы включают соединения, описанные в WO2015/092740, WO2014/164658, WO2014/152536, WO2014/152518, WO2014/152229, WO2012/125598, WO2013/012844, WO2014/014874, WO2013/134226, WO2015/009609, WO2015/009611, WO2013/131901.
Особый интерес представляет соединение, описанное в WO2015/092740; например, соединение, выбранное из (S)-3-амино-4-(5-(4-((5-хлор-3-фторпиридин-2-ил)окси)фенил)-2H-тетразол-2-ил)бутановой кислоты; (S)-3-амино-4-(5-(4-(4-хлорфенокси)-фенил)-2H-тетразол-2-ил)бутановой кислоты; (R)-3-амино-4-(5-(3-фенэтоксифенил)-2H-тетразол-2-ил)бутановой кислоты; (S)-3-амино-4-(5-(4-(p-толилокси)фенил)-2H-тетразол-2-ил)бутановой кислоты; (R)-3-амино-4-(5-(4-бутоксифенил)-2H-тетразол-2-ил)бутановой кислоты; (R)-3-амино-4-(5-(4-фенэтоксифенил)-2H-тетразол-2-ил)бутановой кислоты; (R)-3-амино-4-(5-(4-(4-хлорфенокси)-фенил)-2H-тетразол-2-ил)бутановой кислоты; или его фармацевтически приемлемая соль).
Другие ингибиторы LTA4H, представляющие особый интерес, включают ацебилустат, CTX-3397 или соединение, описанное в WO2014/164658 и более конкретно соединение, которое представляет собой 4-(((1S,4S)-5-(4-(4-(оксазол-2-ил)фенокси)бензил)-2,5-диазабицикло[2.2.1]гептан-2-ил)метил)бензойную кислоту:
или ее фармацевтически приемлемую соль.
Подходящие антагонисты Н4-гистаминовых рецепторов включают, например, соединение, описанное в US 7943628, и предпочтительно соединение примера 9, которое представляет собой N4-(циклопропилметил)-6-[(3R)-3-(метиламино)пирролидин-1-ил]пиримидин-2,4-диамин:
или его фармацевтически приемлемая соль, предпочтительно его L-титратная соль.
Подходящие ингибиторы BTK включают, например, ибрутиниб, акалабрутиниб (ACP-196), эвобрутиниб; фенебрутиниб; тирабрутиниб (ONO-4059, GS-4059); занубрутиниб (BGB-3111), спебрутиниб (CC-292, AVL-292), поселтиниб (HM-71224, LY3337641), векабрутиниб (SNS-062), BMS-986142; BMS986195; PRN2246; PRN1008, M7583, CT1530, BIIBO68, AC-0058TA, ARQ-531, TAK-020, TG1701 или соединение, описанное в WO2015/079417, WO2015/083008, WO2015/110923, WO2014/173289, WO2012/021444, WO2013/081016, WO2013/067274, WO2012/170976, WO2011/162515, US2017/119766, WO2016/065226, US9688676, WO2016/201280, WO2017/059702, US9630968, US2014/0256734, WO2017118277, WO2014/039899, WO/16/105531, WO2018/005849, WO2013/185082 или в Journal of Medicinal Chemistry, 2016 59 (19) 9173-9200.
Особый интерес представляют ингибиторы BTK, включающие соединение из примера 31, описанное в WO2014/039899, при этом соединение характеризуется следующей структурой:
и описано как соединение 14f в Journal of Medicinal Chemistry, 2016, 59 (19), 9173-9200; соединение из примера 2, описанное в US2017/119766, соединение из примера 223, описанное в WO2016/065226, которое представляет собой
или соединение 1, описанное в WO2016/201280, соединение 1, описанное в WO2017/059702 или соединение 1, описанное в WO2017/118277, или его фармацевтически приемлемую соль.
Также особый интерес представляют ингибиторы BTK, включающие соединение, описанное в WO2015/079417, например, соединение, выбранное из N-(3-(5-((1-акрилоилазетидин-3-ил)окси)-6-аминопиримидин-4-ил)-5-фтор-2-метилфенил)-4-циклопропил-2-фторбензамида; N-(3-(6-амино-5-((1-пропиолоилазетидин-3-ил)окси)пиримидин-4-ил)-5-фтор-2-метилфенил)-4-циклопропил-2-фторбензамида; N-(3-(6-амино-5-(2-(N-метилакриламидо)этокси)пиримидин-4-ил)-5-фтор-2-метилфенил)-4-циклопропил-2-фторбензамида; N-(3-(6-амино-5-(2-(N-метилпропиоламидо)этокси)пиримидин-4-ил)-5-фтор-2-метилфенил)-4-циклопропил-2-фторбензамида; N-(3-(6-амино-5-(2-(N-метилбут-2-инамидо)этокси)пиримидин-4-ил)-5-фтор-2-метилфенил)-4-циклопропил-2-фторбензамида; N-(3-(6-амино-5-(2-(N-этилакриламидо)этокси)пиримидин-4-ил)-5-фтор-2-метилфенил)-4-циклопропил-2-фторбензамида; N-(3-(6-амино-5-(2-(N-(2-фторэтил)акриламидо)этокси)пиримидин-4-ил)-5-фтор-2-метилфенил)-4-циклопропил-2-фторбензамида; (S)-N-(3-(6-амино-5-(2-(бут-2-инамидо)пропокси)пиримидин-4-ил)-5-фтор-2-метилфенил)-4-циклопропил-2-фторбензамида; (S)-N-(3-(6-амино-5-(2-(N-метилбут-2-инамидо)пропокси)пиримидин-4-ил)-5-фтор-2-метилфенил)-4-циклопропил-2-фторбензамида и N-(3-(6-амино-5-(3-(N-метилакриламидо)пропокси)пиримидин-4-ил)-5-фтор-2-метилфенил)-4-циклопропил-2-фторбензамида или их фармацевтически приемлемой соли.
Подходящие антагонисты рецептора CRTH2/DP2 включают февипипрант, тимапипрант или L-лизиновую соль [8-хлор-3-(4-хлорбензил)-4-дифторметокси-2-этилхинолин-5-илокси]уксусной кислоты (GB001)
или их фармацевтически приемлемую соль.
В предпочтительном варианте осуществления второе терапевтическое средство выбрано из
1. модулятора простагландинового пути (например, антагониста рецептора CRTH2/DP2, например, февипипранта);
2. ингибитора лейкотриен-A4-гидролазы (более конкретно соединение, описанное в WO 2015/092740; предпочтительно соединение, выбранное из (S)-3-амино-4-(5-(4-((5-хлор-3-фторпиридин-2-ил)окси)фенил)-2H-тетразол-2-ил)бутановой кислоты; (S)-3-амино-4-(5-(4-(4-хлорфенокси)-фенил)-2H-тетразол-2-ил)бутановой кислоты; (R)-3-амино-4-(5-(3-фенэтоксифенил)-2H-тетразол-2-ил)бутановой кислоты; (S)-3-амино-4-(5-(4-(p-толилокси)фенил)-2H-тетразол-2-ил)бутановой кислоты; (R)-3-амино-4-(5-(4-бутоксифенил)-2H-тетразол-2-ил)бутановой кислоты; (R)-3-амино-4-(5-(4-фенэтоксифенил)-2H-тетразол-2-ил)бутановой кислоты; (R)-3-амино-4-(5-(4-(4-хлорфенокси)-фенил)-2H-тетразол-2-ил)бутановой кислоты; или его фармацевтически приемлемая соль);
3. антагониста Н4-гистаминовых рецепторов (например, соединение, описанное в патенте США 7943628, и предпочтительно соединение примера 9, которое представляет собой N4-(циклопропилметил)-6-[(3R)-3-(метиламино)пирролидин-1-ил]пиримидин-2,4-диамин:
или его фармацевтически приемлемая соль, предпочтительно его L-титратная соль; и
4. ингибитора BTK (например, соединение, описанное в WO2015/079417, и предпочтительно соединение, выбранное из N-(3-(5-((1-акрилоилазетидин-3-ил)окси)-6-аминопиримидин-4-ил)-5-фтор-2-метилфенил)-4-циклопропил-2-фторбензамида; N-(3-(6-амино-5-((1-пропиолоилазетидин-3-ил)окси)пиримидин-4-ил)-5-фтор-2-метилфенил)-4-циклопропил-2-фторбензамида; N-(3-(6-амино-5-(2-(N-метилакриламидо)этокси)пиримидин-4-ил)-5-фтор-2-метилфенил)-4-циклопропил-2-фторбензамида; N-(3-(6-амино-5-(2-(N-метилпропиоламидо)этокси)пиримидин-4-ил)-5-фтор-2-метилфенил)-4-циклопропил-2-фторбензамида; N-(3-(6-амино-5-(2-(N-метилбут-2-инамидо)этокси)пиримидин-4-ил)-5-фтор-2-метилфенил)-4-циклопропил-2-фторбензамида; N-(3-(6-амино-5-(2-(N-этилакриламидо)этокси)пиримидин-4-ил)-5-фтор-2-метилфенил)-4-циклопропил-2-фторбензамида; N-(3-(6-амино-5-(2-(N-(2-фторэтил)акриламидо)этокси)пиримидин-4-ил)-5-фтор-2-метилфенил)-4-циклопропил-2-фторбензамида; (S)-N-(3-(6-амино-5-(2-(бут-2-инамидо)пропокси)пиримидин-4-ил)-5-фтор-2-метилфенил)-4-циклопропил-2-фторбензамида; (S)-N-(3-(6-амино-5-(2-(N-метилбут-2-инамидо)пропокси)пиримидин-4-ил)-5-фтор-2-метилфенил)-4-циклопропил-2-фторбензамида и N-(3-(6-амино-5-(3-(N-метилакриламидо)пропокси)пиримидин-4-ил)-5-фтор-2-метилфенил)-4-циклопропил-2-фторбензамида или их фармацевтически приемлемой соли.
В одном варианте осуществления настоящего изобретения предусмотрен продукт, содержащий 1-(4-хлор-3-фторфенил)-9-(1-(4-фторфенил)-1H-1,2,4-триазол-3-ил)-1,9-диазаспиро[5.5]ундекан-2-он или его фармацевтически приемлемую соль и второе терапевтическое средство, выбранное из февипипранта, (S)-3-амино-4-(5-(4-((5-хлор-3-фторпиридин-2-ил)окси)фенил)-2H-тетразол-2-ил)бутановой кислоты; (S)-3-амино-4-(5-(4-(4-хлорфенокси)-фенил)-2H-тетразол-2-ил)бутановой кислоты; (R)-3-амино-4-(5-(3-фенэтоксифенил)-2H-тетразол-2-ил)бутановой кислоты; (S)-3-амино-4-(5-(4-(p-толилокси)фенил)-2H-тетразол-2-ил)бутановой кислоты; (R)-3-амино-4-(5-(4-бутоксифенил)-2H-тетразол-2-ил)бутановой кислоты; (R)-3-амино-4-(5-(4-фенэтоксифенил)-2H-тетразол-2-ил)бутановой кислоты; (R)-3-амино-4-(5-(4-(4-хлорфенокси)-фенил)-2H-тетразол-2-ил)бутановой кислоты; N4-(циклопропилметил)-6-[(3R)-3-(метиламино)пирролидин-1-ил]пиримидин-2,4-диамина, N-(3-(5-((1-акрилоилазетидин-3-ил)окси)-6-аминопиримидин-4-ил)-5-фтор-2-метилфенил)-4-циклопропил-2-фторбензамида; N-(3-(6-амино-5-((1-пропиолоилазетидин-3-ил)окси)пиримидин-4-ил)-5-фтор-2-метилфенил)-4-циклопропил-2-фторбензамида; N-(3-(6-амино-5-(2-(N-метилакриламидо)этокси)пиримидин-4-ил)-5-фтор-2-метилфенил)-4-циклопропил-2-фторбензамида; N-(3-(6-амино-5-(2-(N-метилпропиоламидо)этокси)пиримидин-4-ил)-5-фтор-2-метилфенил)-4-циклопропил-2-фторбензамида; N-(3-(6-амино-5-(2-(N-метилбут-2-инамидо)этокси)пиримидин-4-ил)-5-фтор-2-метилфенил)-4-циклопропил-2-фторбензамида; N-(3-(6-амино-5-(2-(N-этилакриламидо)этокси)пиримидин-4-ил)-5-фтор-2-метилфенил)-4-циклопропил-2-фторбензамида; N-(3-(6-амино-5-(2-(N-(2-фторэтил)акриламидо)этокси)пиримидин-4-ил)-5-фтор-2-метилфенил)-4-циклопропил-2-фторбензамида; (S)-N-(3-(6-амино-5-(2-(бут-2-инамидо)пропокси)пиримидин-4-ил)-5-фтор-2-метилфенил)-4-циклопропил-2-фторбензамида; (S)-N-(3-(6-амино-5-(2-(N-метилбут-2-инамидо)пропокси)пиримидин-4-ил)-5-фтор-2-метилфенил)-4-циклопропил-2-фторбензамида и N-(3-(6-амино-5-(3-(N-метилакриламидо)пропокси)пиримидин-4-ил)-5-фтор-2-метилфенил)-4-циклопропил-2-фторбензамида или их фармацевтически приемлемой соли, в качестве комбинированного препарата для одновременного, раздельного или последовательного применения в терапии.
В одном варианте осуществления настоящего изобретения предусмотрен продукт, содержащий 9-(2-амино-6-(1,1-дифторэтил)пиримидин-4-ил)-1-(3,4-дифторфенил)-1,9-диазаспиро[5.5]ундекан-2-он или его фармацевтически приемлемую соль и второе терапевтическое средство, выбранное из февипипранта, (S)-3-амино-4-(5-(4-((5-хлор-3-фторпиридин-2-ил)окси)фенил)-2H-тетразол-2-ил)бутановой кислоты; (S)-3-амино-4-(5-(4-(4-хлорфенокси)-фенил)-2H-тетразол-2-ил)бутановой кислоты; (R)-3-амино-4-(5-(3-фенэтоксифенил)-2H-тетразол-2-ил)бутановой кислоты; (S)-3-амино-4-(5-(4-(p-толилокси)фенил)-2H-тетразол-2-ил)бутановой кислоты; (R)-3-амино-4-(5-(4-бутоксифенил)-2H-тетразол-2-ил)бутановой кислоты; (R)-3-амино-4-(5-(4-фенэтоксифенил)-2H-тетразол-2-ил)бутановой кислоты; (R)-3-амино-4-(5-(4-(4-хлорфенокси)-фенил)-2H-тетразол-2-ил)бутановой кислоты; N4-(циклопропилметил)-6-[(3R)-3-(метиламино)пирролидин-1-ил]пиримидин-2,4-диамина, N-(3-(5-((1-акрилоилазетидин-3-ил)окси)-6-аминопиримидин-4-ил)-5-фтор-2-метилфенил)-4-циклопропил-2-фторбензамида; N-(3-(6-амино-5-((1-пропилoилазетидин-3-ил)окси)пиримидин-4-ил)-5-фтор-2-метилфенил)-4-циклопропил-2-фторбензамида; N-(3-(6-амино-5-(2-(N-метилакриламидо)этокси)пиримидин-4-ил)-5-фтор-2-метилфенил)-4-циклопропил-2-фторбензамида; N-(3-(6-амино-5-(2-(N-метилпропиоламидо)этокси)пиримидин-4-ил)-5-фтор-2-метилфенил)-4-циклопропил-2-фторбензамида; N-(3-(6-амино-5-(2-(N-метилбут-2-инамидо)этокси)пиримидин-4-ил)-5-фтор-2-метилфенил)-4-циклопропил-2-фторбензамида; N-(3-(6-амино-5-(2-(N-этилакриламидо)этокси)пиримидин-4-ил)-5-фтор-2-метилфенил)-4-циклопропил-2-фторбензамида; N-(3-(6-амино-5-(2-(N-(2-фторэтил)акриламидо)этокси)пиримидин-4-ил)-5-фтор-2-метилфенил)-4-циклопропил-2-фторбензамида; (S)-N-(3-(6-амино-5-(2-(бут-2-инамидо)пропокси)пиримидин-4-ил)-5-фтор-2-метилфенил)-4-циклопропил-2-фторбензамида; (S)-N-(3-(6-амино-5-(2-(N-метилбут-2-инамидо)пропокси)пиримидин-4-ил)-5-фтор-2-метилфенил)-4-циклопропил-2-фторбензамида и N-(3-(6-амино-5-(3-(N-метилакриламидо)пропокси)пиримидин-4-ил)-5-фтор-2-метилфенил)-4-циклопропил-2-фторбензамида или их фармацевтически приемлемой соли, в качестве комбинированного препарата для одновременного, раздельного или последовательного применения в терапии.
В одном варианте осуществления настоящего изобретения предусмотрен продукт, содержащий 1-(3,4-дифторфенил)-9-(6-(2,2,2-трифторэтокси)пиримидин-4-ил)-1,9-диазаспиро[5.5]ундекан-2-он или его фармацевтически приемлемую соль и второе терапевтическое средство, выбранное из февипипранта, (S)-3-амино-4-(5-(4-((5-хлор-3-фторпиридин-2-ил)окси)фенил)-2H-тетразол-2-ил)бутановой кислоты; (S)-3-амино-4-(5-(4-(4-хлорфенокси)-фенил)-2H-тетразол-2-ил)бутановой кислоты; (R)-3-амино-4-(5-(3-фенэтоксифенил)-2H-тетразол-2-ил)бутановой кислоты; (S)-3-амино-4-(5-(4-(p-толилокси)фенил)-2H-тетразол-2-ил)бутановой кислоты; (R)-3-амино-4-(5-(4-бутоксифенил)-2H-тетразол-2-ил)бутановой кислоты; (R)-3-амино-4-(5-(4-фенэтоксифенил)-2H-тетразол-2-ил)бутановой кислоты; (R)-3-амино-4-(5-(4-(4-хлорфенокси)-фенил)-2H-тетразол-2-ил)бутановой кислоты; N4-(циклопропилметил)-6-[(3R)-3-(метиламино)пирролидин-1-ил]пиримидин-2,4-диамин, N-(3-(5-((1-акрилоилазетидин-3-ил)окси)-6-аминопиримидин-4-ил)-5-фтор-2-метилфенил)-4-циклопропил-2-фторбензамида; N-(3-(6-амино-5-((1-пропиолоилазетидин-3-ил)окси)пиримидин-4-ил)-5-фтор-2-метилфенил)-4-циклопропил-2-фторбензамида; N-(3-(6-амино-5-(2-(N-метилакриламидо)этокси)пиримидин-4-ил)-5-фтор-2-метилфенил)-4-циклопропил-2-фторбензамида; N-(3-(6-амино-5-(2-(N-метилпропиоламидо)этокси)пиримидин-4-ил)-5-фтор-2-метилфенил)-4-циклопропил-2-фторбензамида; N-(3-(6-амино-5-(2-(N-метилбут-2-инамидо)этокси)пиримидин-4-ил)-5-фтор-2-метилфенил)-4-циклопропил-2-фторбензамида; N-(3-(6-амино-5-(2-(N-этилакриламидо)этокси)пиримидин-4-ил)-5-фтор-2-метилфенил)-4-циклопропил-2-фторбензамида; N-(3-(6-амино-5-(2-(N-(2-фторэтил)акриламидо)этокси)пиримидин-4-ил)-5-фтор-2-метилфенил)-4-циклопропил-2-фторбензамида; (S)-N-(3-(6-амино-5-(2-(бут-2-инамидо)пропокси)пиримидин-4-ил)-5-фтор-2-метилфенил)-4-циклопропил-2-фторбензамида; (S)-N-(3-(6-амино-5-(2-(N-метилбут-2-инамидо)пропокси)пиримидин-4-ил)-5-фтор-2-метилфенил)-4-циклопропил-2-фторбензамида и N-(3-(6-амино-5-(3-(N-метилакриламидо)пропокси)пиримидин-4-ил)-5-фтор-2-метилфенил)-4-циклопропил-2-фторбензамида или их фармацевтически приемлемой соли, в качестве комбинированного препарата для одновременного, раздельного или последовательного применения в терапии.
В одном варианте осуществления настоящего изобретения предусмотрен продукт, содержащий 9-(2-амино-6-(4-(трифторметил)-1H-пиразол-1-ил)пиримидин-4-ил)-1-(3,4-дифторфенил)-1,9-диазаспиро[5.5]ундекан-2-он или его фармацевтически приемлемую соль и второе терапевтическое средство, выбранное из февипипранта, (S)-3-амино-4-(5-(4-((5-хлор-3-фторпиридин-2-ил)окси)фенил)-2H-тетразол-2-ил)бутановой кислоты; (S)-3-амино-4-(5-(4-(4-хлорфенокси)-фенил)-2H-тетразол-2-ил)бутановой кислоты; (R)-3-амино-4-(5-(3-фенэтоксифенил)-2H-тетразол-2-ил)бутановой кислоты; (S)-3-амино-4-(5-(4-(p-толилокси)фенил)-2H-тетразол-2-ил)бутановой кислоты; (R)-3-амино-4-(5-(4-бутоксифенил)-2H-тетразол-2-ил)бутановой кислоты; (R)-3-амино-4-(5-(4-фенэтоксифенил)-2H-тетразол-2-ил)бутановой кислоты; (R)-3-амино-4-(5-(4-(4-хлорфенокси)-фенил)-2H-тетразол-2-ил)бутановой кислоты; N4-(циклопропилметил)-6-[(3R)-3-(метиламино)пирролидин-1-ил]пиримидин-2,4-диамина, N-(3-(5-((1-акрилоилазетидин-3-ил)окси)-6-аминопиримидин-4-ил)-5-фтор-2-метилфенил)-4-циклопропил-2-фторбензамида; N-(3-(6-амино-5-((1-пропиолоилазетидин-3-ил)окси)пиримидин-4-ил)-5-фтор-2-метилфенил)-4-циклопропил-2-фторбензамида; N-(3-(6-амино-5-(2-(N-метилакриламидо)этокси)пиримидин-4-ил)-5-фтор-2-метилфенил)-4-циклопропил-2-фторбензамида; N-(3-(6-амино-5-(2-(N-метилпропиоламидо)этокси)пиримидин-4-ил)-5-фтор-2-метилфенил)-4-циклопропил-2-фторбензамида; N-(3-(6-амино-5-(2-(N-метилбут-2-инамидо)этокси)пиримидин-4-ил)-5-фтор-2-метилфенил)-4-циклопропил-2-фторбензамида; N-(3-(6-амино-5-(2-(N-этилакриламидо)этокси)пиримидин-4-ил)-5-фтор-2-метилфенил)-4-циклопропил-2-фторбензамида; N-(3-(6-амино-5-(2-(N-(2-фторэтил)акриламидо)этокси)пиримидин-4-ил)-5-фтор-2-метилфенил)-4-циклопропил-2-фторбензамида; (S)-N-(3-(6-амино-5-(2-(бут-2-инамидо)пропокси)пиримидин-4-ил)-5-фтор-2-метилфенил)-4-циклопропил-2-фторбензамида; (S)-N-(3-(6-амино-5-(2-(N-метилбут-2-инамидо)пропокси)пиримидин-4-ил)-5-фтор-2-метилфенил)-4-циклопропил-2-фторбензамида и N-(3-(6-амино-5-(3-(N-метилакриламидо)пропокси)пиримидин-4-ил)-5-фтор-2-метилфенил)-4-циклопропил-2-фторбензамида или их фармацевтически приемлемой соли, в качестве комбинированного препарата для одновременного, раздельного или последовательного применения в терапии.
В одном варианте осуществления настоящего изобретения предусмотрен продукт, содержащий (R)-9-(2-амино-6-((1,1,1-трифторпропан-2-ил)окси)пиримидин-4-ил)-1-(3,4-дифторфенил)-3-окса-1,9-диазаспиро[5.5]ундекан-2-он или (S)-9-(2-амино-6-((1,1,1-трифторпропан-2-ил)окси)пиримидин-4-ил)-1-(3,4-дифторфенил)-3-окса-1,9-диазаспиро[5.5]ундекан-2-он или их фармацевтически приемлемую соль и второе терапевтическое средство, выбранное из февипипранта, (S)-3-амино-4-(5-(4-((5-хлор-3-фторпиридин-2-ил)окси)фенил)-2H-тетразол-2-ил)бутановой кислоты; (S)-3-амино-4-(5-(4-(4-хлорфенокси)-фенил)-2H-тетразол-2-ил)бутановой кислоты; (R)-3-амино-4-(5-(3-фенэтоксифенил)-2H-тетразол-2-ил)бутановой кислоты; (S)-3-амино-4-(5-(4-(p-толилокси)фенил)-2H-тетразол-2-ил)бутановой кислоты; (R)-3-амино-4-(5-(4-бутоксифенил)-2H-тетразол-2-ил)бутановой кислоты; (R)-3-амино-4-(5-(4-фенэтоксифенил)-2H-тетразол-2-ил)бутановой кислоты; (R)-3-амино-4-(5-(4-(4-хлорфенокси)-фенил)-2H-тетразол-2-ил)бутановой кислоты; N4-(циклопропилметил)-6-[(3R)-3-(метиламино)пирролидин-1-ил]пиримидин-2,4-диамина, N-(3-(5-((1-акрилоилазетидин-3-ил)окси)-6-аминопиримидин-4-ил)-5-фтор-2-метилфенил)-4-циклопропил-2-фторбензамида; N-(3-(6-амино-5-((1-пропиолоилазетидин-3-ил)окси)пиримидин-4-ил)-5-фтор-2-метилфенил)-4-циклопропил-2-фторбензамида; N-(3-(6-амино-5-(2-(N-метилакриламидо)этокси)пиримидин-4-ил)-5-фтор-2-метилфенил)-4-циклопропил-2-фторбензамида; N-(3-(6-амино-5-(2-(N-метилпропиоламидо)этокси)пиримидин-4-ил)-5-фтор-2-метилфенил)-4-циклопропил-2-фторбензамида; N-(3-(6-амино-5-(2-(N-метилбут-2-инамидо)этокси)пиримидин-4-ил)-5-фтор-2-метилфенил)-4-циклопропил-2-фторбензамида; N-(3-(6-амино-5-(2-(N-этилакриламидо)этокси)пиримидин-4-ил)-5-фтор-2-метилфенил)-4-циклопропил-2-фторбензамида; N-(3-(6-амино-5-(2-(N-(2-фторэтил)акриламидо)этокси)пиримидин-4-ил)-5-фтор-2-метилфенил)-4-циклопропил-2-фторбензамида; (S)-N-(3-(6-амино-5-(2-(бут-2-инамидо)пропокси)пиримидин-4-ил)-5-фтор-2-метилфенил)-4-циклопропил-2-фторбензамида; (S)-N-(3-(6-амино-5-(2-(N-метилбут-2-инамидо)пропокси)пиримидин-4-ил)-5-фтор-2-метилфенил)-4-циклопропил-2-фторбензамида и N-(3-(6-амино-5-(3-(N-метилакриламидо)пропокси)пиримидин-4-ил)-5-фтор-2-метилфенил)-4-циклопропил-2-фторбензамида; или его фармацевтически приемлемая соль, в качестве комбинированного препарата для одновременного, раздельного или последовательного применения в терапии.
В одном варианте осуществления настоящего изобретения предусмотрена фармацевтическая композиция, содержащая 9-(2-амино-6-(трифторметил)пиримидин-4-ил)-1-(3,4-дифторфенил)-1,9-диазаспиро[5.5]ундекан-2-он или его фармацевтически приемлемую соль, второе терапевтическое средство, выбранное из февипипранта, (S)-3-амино-4-(5-(4-((5-хлор-3-фторпиридин-2-ил)окси)фенил)-2H-тетразол-2-ил)бутановой кислоты; (S)-3-амино-4-(5-(4-(4-хлорфенокси)-фенил)-2H-тетразол-2-ил)бутановой кислоты; (R)-3-амино-4-(5-(3-фенэтоксифенил)-2H-тетразол-2-ил)бутановой кислоты; (S)-3-амино-4-(5-(4-(p-толилокси)фенил)-2H-тетразол-2-ил)бутановой кислоты; (R)-3-амино-4-(5-(4-бутоксифенил)-2H-тетразол-2-ил)бутановой кислоты; (R)-3-амино-4-(5-(4-фенэтоксифенил)-2H-тетразол-2-ил)бутановой кислоты; (R)-3-амино-4-(5-(4-(4-хлорфенокси)-фенил)-2H-тетразол-2-ил)бутановой кислоты; N4-(циклопропилметил)-6-[(3R)-3-(метиламино)пирролидин-1-ил]пиримидин-2,4-диамина, N-(3-(5-((1-акрилоилазетидин-3-ил)окси)-6-аминопиримидин-4-ил)-5-фтор-2-метилфенил)-4-циклопропил-2-фторбензамида; N-(3-(6-амино-5-((1-пропиолоилазетидин-3-ил)окси)пиримидин-4-ил)-5-фтор-2-метилфенил)-4-циклопропил-2-фторбензамида; N-(3-(6-амино-5-(2-(N-метилакриламидо)этокси)пиримидин-4-ил)-5-фтор-2-метилфенил)-4-циклопропил-2-фторбензамида; N-(3-(6-амино-5-(2-(N-метилпропиоламидо)этокси)пиримидин-4-ил)-5-фтор-2-метилфенил)-4-циклопропил-2-фторбензамида; N-(3-(6-амино-5-(2-(N-метилбут-2-инамидо)этокси)пиримидин-4-ил)-5-фтор-2-метилфенил)-4-циклопропил-2-фторбензамида; N-(3-(6-амино-5-(2-(N-этилакриламидо)этокси)пиримидин-4-ил)-5-фтор-2-метилфенил)-4-циклопропил-2-фторбензамида; N-(3-(6-амино-5-(2-(N-(2-фторэтил)акриламидо)этокси)пиримидин-4-ил)-5-фтор-2-метилфенил)-4-циклопропил-2-фторбензамида; (S)-N-(3-(6-амино-5-(2-(бут-2-инамидо)пропокси)пиримидин-4-ил)-5-фтор-2-метилфенил)-4-циклопропил-2-фторбензамида; (S)-N-(3-(6-амино-5-(2-(N-метилбут-2-инамидо)пропокси)пиримидин-4-ил)-5-фтор-2-метилфенил)-4-циклопропил-2-фторбензамида и N-(3-(6-амино-5-(3-(N-метилакриламидо)пропокси)пиримидин-4-ил)-5-фтор-2-метилфенил)-4-циклопропил-2-фторбензамида или их фармацевтически приемлемой соли, и фармацевтически приемлемый носитель.
В одном варианте осуществления настоящего изобретения предусмотрена фармацевтическая композиция, содержащая 9-(2-амино-6-(1,1-дифторэтил)пиримидин-4-ил)-1-(3,4-дифторфенил)-1,9-диазаспиро[5.5]ундекан-2-он или его фармацевтически приемлемую соль, второе терапевтическое средство, выбранное из февипипранта, (S)-3-амино-4-(5-(4-((5-хлор-3-фторпиридин-2-ил)окси)фенил)-2H-тетразол-2-ил)бутановой кислоты; (S)-3-амино-4-(5-(4-(4-хлорфенокси)-фенил)-2H-тетразол-2-ил)бутановой кислоты; (R)-3-амино-4-(5-(3-фенэтоксифенил)-2H-тетразол-2-ил)бутановой кислоты; (S)-3-амино-4-(5-(4-(p-толилокси)фенил)-2H-тетразол-2-ил)бутановой кислоты; (R)-3-амино-4-(5-(4-бутоксифенил)-2H-тетразол-2-ил)бутановой кислоты; (R)-3-амино-4-(5-(4-фенэтоксифенил)-2H-тетразол-2-ил)бутановой кислоты; (R)-3-амино-4-(5-(4-(4-хлорфенокси)-фенил)-2H-тетразол-2-ил)бутановой кислоты; N4-(циклопропилметил)-6-[(3R)-3-(метиламино)пирролидин-1-ил]пиримидин-2,4-диамина, N-(3-(5-((1-акрилоилазетидин-3-ил)окси)-6-аминопиримидин-4-ил)-5-фтор-2-метилфенил)-4-циклопропил-2-фторбензамида; N-(3-(6-амино-5-((1-пропиолоилазетидин-3-ил)окси)пиримидин-4-ил)-5-фтор-2-метилфенил)-4-циклопропил-2-фторбензамида; N-(3-(6-амино-5-(2-(N-метилакриламидо)этокси)пиримидин-4-ил)-5-фтор-2-метилфенил)-4-циклопропил-2-фторбензамида; N-(3-(6-амино-5-(2-(N-метилпропиоламидо)этокси)пиримидин-4-ил)-5-фтор-2-метилфенил)-4-циклопропил-2-фторбензамида; N-(3-(6-амино-5-(2-(N-метилбут-2-инамидо)этокси)пиримидин-4-ил)-5-фтор-2-метилфенил)-4-циклопропил-2-фторбензамида; N-(3-(6-амино-5-(2-(N-этилакриламидо)этокси)пиримидин-4-ил)-5-фтор-2-метилфенил)-4-циклопропил-2-фторбензамида; N-(3-(6-амино-5-(2-(N-(2-фторэтил)акриламидо)этокси)пиримидин-4-ил)-5-фтор-2-метилфенил)-4-циклопропил-2-фторбензамида; (S)-N-(3-(6-амино-5-(2-(бут-2-инамидо)пропокси)пиримидин-4-ил)-5-фтор-2-метилфенил)-4-циклопропил-2-фторбензамида; (S)-N-(3-(6-амино-5-(2-(N-метилбут-2-инамидо)пропокси)пиримидин-4-ил)-5-фтор-2-метилфенил)-4-циклопропил-2-фторбензамида и N-(3-(6-амино-5-(3-(N-метилакриламидо)пропокси)пиримидин-4-ил)-5-фтор-2-метилфенил)-4-циклопропил-2-фторбензамида или их фармацевтически приемлемой соли, и фармацевтически приемлемый носитель.
В одном варианте осуществления настоящего изобретения предусмотрена фармацевтическая композиция, содержащая (R)-9-(2-амино-6-((1,1,1-трифторпропан-2-ил)окси)пиримидин-4-ил)-1-(3,4-дифторфенил)-3-окса-1,9-диазаспиро[5.5]ундекан-2-он или (S)-9-(2-амино-6-((1,1,1-трифторпропан-2-ил)окси)пиримидин-4-ил)-1-(3,4-дифторфенил)-3-окса-1,9-диазаспиро[5.5]ундекан-2-он или их фармацевтически приемлемую соль, второе терапевтическое средство, выбранное из февипипранта, (S)-3-амино-4-(5-(4-((5-хлор-3-фторпиридин-2-ил)окси)фенил)-2H-тетразол-2-ил)бутановой кислоты; (S)-3-амино-4-(5-(4-(4-хлорфенокси)-фенил)-2H-тетразол-2-ил)бутановой кислоты; (R)-3-амино-4-(5-(3-фенэтоксифенил)-2H-тетразол-2-ил)бутановой кислоты; (S)-3-амино-4-(5-(4-(p-толилокси)фенил)-2H-тетразол-2-ил)бутановой кислоты; (R)-3-амино-4-(5-(4-бутоксифенил)-2H-тетразол-2-ил)бутановой кислоты; (R)-3-амино-4-(5-(4-фенэтоксифенил)-2H-тетразол-2-ил)бутановой кислоты; (R)-3-амино-4-(5-(4-(4-хлорфенокси)-фенил)-2H-тетразол-2-ил)бутановой кислоты; N4-(циклопропилметил)-6-[(3R)-3-(метиламино)пирролидин-1-ил]пиримидин-2,4-диамина, N-(3-(5-((1-акрилоилазетидин-3-ил)окси)-6-аминопиримидин-4-ил)-5-фтор-2-метилфенил)-4-циклопропил-2-фторбензамида; N-(3-(6-амино-5-((1-пропиолоилазетидин-3-ил)окси)пиримидин-4-ил)-5-фтор-2-метилфенил)-4-циклопропил-2-фторбензамида; N-(3-(6-амино-5-(2-(N-метилакриламидо)этокси)пиримидин-4-ил)-5-фтор-2-метилфенил)-4-циклопропил-2-фторбензамида; N-(3-(6-амино-5-(2-(N-метилпропиоламидо)этокси)пиримидин-4-ил)-5-фтор-2-метилфенил)-4-циклопропил-2-фторбензамида; N-(3-(6-амино-5-(2-(N-метилбут-2-инамидо)этокси)пиримидин-4-ил)-5-фтор-2-метилфенил)-4-циклопропил-2-фторбензамида; N-(3-(6-амино-5-(2-(N-этилакриламидо)этокси)пиримидин-4-ил)-5-фтор-2-метилфенил)-4-циклопропил-2-фторбензамида; N-(3-(6-амино-5-(2-(N-(2-фторэтил)акриламидо)этокси)пиримидин-4-ил)-5-фтор-2-метилфенил)-4-циклопропил-2-фторбензамида; (S)-N-(3-(6-амино-5-(2-(бут-2-инамидо)пропокси)пиримидин-4-ил)-5-фтор-2-метилфенил)-4-циклопропил-2-фторбензамида; (S)-N-(3-(6-амино-5-(2-(N-метилбут-2-инамидо)пропокси)пиримидин-4-ил)-5-фтор-2-метилфенил)-4-циклопропил-2-фторбензамида и N-(3-(6-амино-5-(3-(N-метилакриламидо)пропокси)пиримидин-4-ил)-5-фтор-2-метилфенил)-4-циклопропил-2-фторбензамида или их фармацевтически приемлемой соли, и фармацевтически приемлемый носитель.
В одном варианте осуществления настоящего изобретения предусмотрена фармацевтическая композиция, содержащая 9-(2-амино-6-(трифторметил)пиримидин-4-ил)-1-(3,4-дифторфенил)-1,9-диазаспиро[5.5]ундекан-2-он или его фармацевтически приемлемую соль, второе терапевтическое средство, выбранное из февипипранта, (S)-3-амино-4-(5-(4-((5-хлор-3-фторпиридин-2-ил)окси)фенил)-2H-тетразол-2-ил)бутановой кислоты; (S)-3-амино-4-(5-(4-(4-хлорфенокси)-фенил)-2H-тетразол-2-ил)бутановой кислоты; (R)-3-амино-4-(5-(3-фенэтоксифенил)-2H-тетразол-2-ил)бутановой кислоты; (S)-3-амино-4-(5-(4-(p-толилокси)фенил)-2H-тетразол-2-ил)бутановой кислоты; (R)-3-амино-4-(5-(4-бутоксифенил)-2H-тетразол-2-ил)бутановой кислоты; (R)-3-амино-4-(5-(4-фенэтоксифенил)-2H-тетразол-2-ил)бутановой кислоты; (R)-3-амино-4-(5-(4-(4-хлорфенокси)-фенил)-2H-тетразол-2-ил)бутановой кислоты; N4-(циклопропилметил)-6-[(3R)-3-(метиламино)пирролидин-1-ил]пиримидин-2,4-диамина, N-(3-(5-((1-акрилоилазетидин-3-ил)окси)-6-аминопиримидин-4-ил)-5-фтор-2-метилфенил)-4-циклопропил-2-фторбензамида; N-(3-(6-амино-5-((1-пропиолоилазетидин-3-ил)окси)пиримидин-4-ил)-5-фтор-2-метилфенил)-4-циклопропил-2-фторбензамида; N-(3-(6-амино-5-(2-(N-метилакриламидо)этокси)пиримидин-4-ил)-5-фтор-2-метилфенил)-4-циклопропил-2-фторбензамида; N-(3-(6-амино-5-(2-(N-метилпропиоламидо)этокси)пиримидин-4-ил)-5-фтор-2-метилфенил)-4-циклопропил-2-фторбензамида; N-(3-(6-амино-5-(2-(N-метилбут-2-инамидо)этокси)пиримидин-4-ил)-5-фтор-2-метилфенил)-4-циклопропил-2-фторбензамида; N-(3-(6-амино-5-(2-(N-этилакриламидо)этокси)пиримидин-4-ил)-5-фтор-2-метилфенил)-4-циклопропил-2-фторбензамида; N-(3-(6-амино-5-(2-(N-(2-фторэтил)акриламидо)этокси)пиримидин-4-ил)-5-фтор-2-метилфенил)-4-циклопропил-2-фторбензамида; (S)-N-(3-(6-амино-5-(2-(бут-2-инамидо)пропокси)пиримидин-4-ил)-5-фтор-2-метилфенил)-4-циклопропил-2-фторбензамида; (S)-N-(3-(6-амино-5-(2-(N-метилбут-2-инамидо)пропокси)пиримидин-4-ил)-5-фтор-2-метилфенил)-4-циклопропил-2-фторбензамида и N-(3-(6-амино-5-(3-(N-метилакриламидо)пропокси)пиримидин-4-ил)-5-фтор-2-метилфенил)-4-циклопропил-2-фторбензамида или их фармацевтически приемлемой соли, и фармацевтически приемлемый носитель.
В одном варианте осуществления настоящего изобретения предусмотрена фармацевтическая композиция, содержащая 1-(3,4-дифторфенил)-9-(6-(2,2,2-трифторэтокси)пиримидин-4-ил)-1,9-диазаспиро[5.5]ундекан-2-он или его фармацевтически приемлемую соль, второе терапевтическое средство, выбранное из февипипранта, (S)-3-амино-4-(5-(4-((5-хлор-3-фторпиридин-2-ил)окси)фенил)-2H-тетразол-2-ил)бутановой кислоты; (S)-3-амино-4-(5-(4-(4-хлорфенокси)-фенил)-2H-тетразол-2-ил)бутановой кислоты; (R)-3-амино-4-(5-(3-фенэтоксифенил)-2H-тетразол-2-ил)бутановой кислоты; (S)-3-амино-4-(5-(4-(p-толилокси)фенил)-2H-тетразол-2-ил)бутановой кислоты; (R)-3-амино-4-(5-(4-бутоксифенил)-2H-тетразол-2-ил)бутановой кислоты; (R)-3-амино-4-(5-(4-фенэтоксифенил)-2H-тетразол-2-ил)бутановой кислоты; (R)-3-амино-4-(5-(4-(4-хлорфенокси)-фенил)-2H-тетразол-2-ил)бутановой кислоты; N4-(циклопропилметил)-6-[(3R)-3-(метиламино)пирролидин-1-ил]пиримидин-2,4-диамина, N-(3-(5-((1-акрилоилазетидин-3-ил)окси)-6-аминопиримидин-4-ил)-5-фтор-2-метилфенил)-4-циклопропил-2-фторбензамида; N-(3-(6-амино-5-((1-пропиолоилазетидин-3-ил)окси)пиримидин-4-ил)-5-фтор-2-метилфенил)-4-циклопропил-2-фторбензамида; N-(3-(6-амино-5-(2-(N-метилакриламидо)этокси)пиримидин-4-ил)-5-фтор-2-метилфенил)-4-циклопропил-2-фторбензамида; N-(3-(6-амино-5-(2-(N-метилпропиоламидо)этокси)пиримидин-4-ил)-5-фтор-2-метилфенил)-4-циклопропил-2-фторбензамида; N-(3-(6-амино-5-(2-(N-метилбут-2-инамидо)этокси)пиримидин-4-ил)-5-фтор-2-метилфенил)-4-циклопропил-2-фторбензамида; N-(3-(6-амино-5-(2-(N-этилакриламидо)этокси)пиримидин-4-ил)-5-фтор-2-метилфенил)-4-циклопропил-2-фторбензамида; N-(3-(6-амино-5-(2-(N-(2-фторэтил)акриламидо)этокси)пиримидин-4-ил)-5-фтор-2-метилфенил)-4-циклопропил-2-фторбензамида; (S)-N-(3-(6-амино-5-(2-(бут-2-инамидо)пропокси)пиримидин-4-ил)-5-фтор-2-метилфенил)-4-циклопропил-2-фторбензамида; (S)-N-(3-(6-амино-5-(2-(N-метилбут-2-инамидо)пропокси)пиримидин-4-ил)-5-фтор-2-метилфенил)-4-циклопропил-2-фторбензамида и N-(3-(6-амино-5-(3-(N-метилакриламидо)пропокси)пиримидин-4-ил)-5-фтор-2-метилфенил)-4-циклопропил-2-фторбензамида или их фармацевтически приемлемой соли, и фармацевтически приемлемый носитель.
БИОЛОГИЧЕСКИЕ АНАЛИЗЫ И ДАННЫЕ
Активность соединения в соответствии с настоящим изобретением можно оценить с помощью следующих способов in vitro. Cоединение формулы (I) или его фармацевтически приемлемая соль проявляют ценные фармакологические свойства, например свойства восприимчивости к LTC4S, например, как показано в тестах, представленных в следующих разделах, и следовательно они показаны для терапии, связанной с LTC4S.
A. Ферментативный анализ LTC4S человека
Синтаза LTC4 катализирует превращение лейкотриена A4 (LTA4) в лейкотриен C4 (LTC4) в присутствии восстановленного глутатиона (GSH) в качестве субстратного кофактора. Для тестирования соединений соединения поставлялись в виде исходных растворов в концентрации, составляющей 10 мМ, в 90% DMSO в пробирках Matrix. Исходя из этого, получают серии дозозависимых разбавлений в соотношении 1:3 с начальной концентрацией, составляющей от 30 мкМ до 0,1 нМ. Для ферментативного анализа в каждую лунку вносят 97,5 нл раствора соединение/DMSO и добавляют в лунки 5 мкл раствора фермента (буфер для анализа: 50 мM бис-трис-пропан, pH=7,3, 250 мM NaCl, 10 мM MgCl2, 0,001% MGN3). Конечная концентрация фермента в анализе составляет 0,75 нМ. Перед добавлением 5 мкл раствора субстрата смесь соединения фермента инкубируют при комнатной температуре в течение 15 минут. Поскольку первичный субстрат LTA4 является крайне неустойчивым промежуточным соединением в пути арахидоновой кислоты, для целей скрининга LTA4 замещают более устойчивой формой сложного метилового эфира LTA4 (LTA4-Me). Выбирают конечную концентрацию субстрата GSH, составляющую 400 мкМ, и LTA4-Me, составляющую 5 мкМ.
LTA4-Me коммерчески доступен в 2% растворителе триэтиламин/гексан. Поскольку данный растворитель является несовместимым с анализом HTRF, его заменяли на DMSO в соответствии со следующей процедурой: добавляют 50 мкл 100% DMSO в 50 мкл LTA4-Me (3 мM) в пробирку Эппендорфа объемом 2 мл и смесь осторожно перемешивают посредством переворачивания пробирки. Смесь триэтиламин/гексан выпаривают в постоянном потоке аргона при комнатной температуре. Разделяют на аликвоты DMSO-LTA4-Me (3 мM) и хранят при -20°C в течение не более 4 недель, так как он неустойчив в DMSO из-за своих окислительных свойств.
После добавления субстрата планшет немедленно помещают на шейкер в течение 5 мин. при комнатной температуре. Непосредственно после 5 мин. инкубации во все лунки добавляют 5 мкл раствора H2O2 для остановки реакции. Содержимое планшета перемешивают перед добавлением реагентов для обнаружения. Превращение из LTA4-Me и GSH в LTC4-Me количественно определяют с применением стандартной кривой LTC4-Me, находящейся в диапазоне от 1,5 мкM до 0,08 нM. Для обнаружения продукта ферментативной реакции LTC4-Me применяют набор Cisbio LTC4-HTRF, поскольку анализ совместим с обнаружением LTC4-Me. Во все лунки планшета для анализа добавляют 5 мкл разбавленного конъюгата LTC4-d2 (в соответствии с протоколом производителя), и содержимое осторожно перемешивают, и инкубируют в течение 5 минут при комнатной температуре. Затем во все лунки добавляют 5 мкл разбавленного криптата LTC4-Eu3+ (в соответствии с протоколом производителя), и содержимое планшета осторожно перемешивают, и инкубируют в течение 60 мин. при комнатной температуре перед считыванием планшета на Spectramax Paradigm (Molecular Devices) с применением логометрического анализа (665/616 нМ) и следующей начальной настройки: количество вспышек/лунка составляет 30, время интеграции составляет 0,3 мс, время возбуждения составляет 0,05 мс, задержка позиционирования составляет 0,03 мс и коэффициент усиления умножителя равен 10000. Процент ингибирования для каждой точки кривой ингибирования рассчитывают после интерполяции данных с применением стандартной кривой LTC4-Me для преобразования сигнала HTRF в количество LTC4-Me, продуцируемое в катализируемой LTC4S реакции в каждом планшете. Данные анализируют с применением аппроксимации параметрической кривой для определения значений IC50 в отношении ингибиторов LTC4S. Ввиду настройки анализа максимально обнаруживаемая активность соединений составляет около 2-4 нМ. Следовательно, соединения с активностью, которая теоретически может привести к значениям IC50 ниже 2 нM, измеряют в разбавленных исходных растворах, как правило, с исходной концентрацией, составляющей 1 мкM, в анализе.
B. Анализ HTRF цельной крови человека
Синтаза LTC4 катализирует превращение лейкотриена A4 (LTA4) в лейкотриен C4 (LTC4) в присутствии восстановленного глутатиона (GSH) в качестве субстратного кофактора. Для тестирования ингибирования LTC4S соединения получают либо для восьмиточечного, либо для шестнадцатиточечного исследования доза-ответ в 384-луночных планшетах Labcyte с малым мертвым объемом (LDV). Для восьмиточечных исследований доза-ответ соединения разбавляют в соотношении 1:5, начиная с концентрации, составляющей 1 мкM, в 90% DMSO. Для шестнадцатиточечных исследований доза-ответ соединения разбавляют в соотношении 1:3,333, начиная с концентрации, составляющей 10 мкM, в 90% DMSO. Соединения исследуют в двух повторностях. Десять лунок заполняют с помощью 90% DMSO, что соответствует стимулированным и нестимулированным контрольным лункам. За день до проведения анализа 100 нл из каждой лунки, т. е. каждое соединение в каждой концентрации наносят методом печати из планшета Labcyte LDV в каждую соответствующую лунку планшета для анализа (Greiner BioOne №784201) с применением акустического жидкостного манипулятора Labcyte Echo 650 и хранят при 4°C. Утром в день анализа у трех доноров-людей собирали цельную кровь. Доноры должны быть некурящими и не принимать NSAID в течение 48 часов до забора крови. Количество крови, собираемой от одного донора, зависит от количества тестируемых соединений и формата доза-ответ, в котором они должны быть изучены (около 8 мл цельной крови либо для 22 соединений в 8-точечном формате доза-ответ, либо для 11 соединений в 16-точечном формате доза-ответ). Цельную кровь от трех доноров разбавляют с соотношением 1:3 в среде RPMI 1640 (Gibco №72400-047). Затем в каждую лунку планшета для анализа вносят по 50 мкл разбавленной крови с предварительно внесенными соединениями и DMSO для стимулированных и нестимулированных контролей с применением дозатора реагентов Thermo Scientific™ Multidrop™ Combi и инкубируют при 37°C в течение 4 часов. Ионофор кальция A23187 применяют для индукции быстрого повышения внутриклеточных уровней Ca2+. Ca2+ функционирует как универсальный вторичный мессенджер в различных иммунных клетках, таких как Т-клетки, В-клетки и тучные клетки, и используется для индукции дегрануляции и высвобождения эйкозаноидов, включая LTC4, клетками, которые содержатся в образцах цельной крови. Незадолго до завершения 4-часовой инкубации получают ионофор кальция A23187 с концентрацией, составляющей 0,5 мг/мл, путем смешивания (на 1 мл) 20 мкл исходного раствора ионофора кальция A23187 (Sigma-Aldrich, № C-7522) с концентрацией, составляющей 25 мг/мл, в 950 мкл подогретой (37°C) среды RPMI 1640 и 30 мкл диметилсульфоксида (DMSO). Все лунки, кроме нестимулированных контрольных, впоследствии стимулируют путем внесения 1 мкл суспензии ионофора кальция с концентрацией, составляющей 0,5 мг/мл, с применением дозатора реагентов Thermo Scientific™ Multidrop™ Combi. Планшеты инкубируют в течение 15 минут при 37°C. Планшеты затем центрифугируют при 300 g в течение 10 минут при комнатной температуре для осаждения клеток крови и остановки реакции. Наконец, 25 мкл полученных супернатантов отбирают из каждой лунки с применением автоматического жидкостного манипулятора Beckman Coulter Biomek FXP в пустые 384-луночные планшеты (Greiner BioOne №781281) для хранения. Планшеты герметизировали и хранили при -80°C.
С целью измерения количества LTC4, высвобождаемого клетками в образцах крови человека во время стимуляции ионофором кальция, супернатанты анализируют с применением набора Cisbio LTC4 для однородного FRET (HTRF) с временным разрешением (Cisbio №64LC4PEH). Супернатанты цельной крови человека размораживают и разбавляют путем переноса 3,5 мкл из каждой лунки в белые планшеты с высоким основанием и малым объемом (Greiner BioOne №784075), уже содержащие 6,5 мкл раствора Diluent №3 (Cisbio №62DL3DDD). Также в каждый планшет вносят десять последовательно разбавленных растворов для построения калибровочной кривой в двух повторностях, как указано в протоколе. Также получают лунки с холостым контролем и лунки с криптатом в качестве контроля. Затем во все лунки, кроме контрольных лунок с криптатом, вносят по 5 мкл рабочего раствора анти-LTC4-d2. Во все лунки последовательно вносят 5 мкл рабочего раствора анти-LTC4-Eu3+ криптата. Затем планшеты накрывают крышкой и инкубируют при комнатной температуре в течение одного часа с легким орбитальным встряхиванием (~450 об./мин.). Флуоресценцию с временным разрешением при 665 и 620 нм измеряют после инкубации с применением BMG LABTECH CLARIOstar® (50 вспышек на лунку, интеграция начинается с 60 мкс в течение 400 мкс, фокусная высота 12,0 мм). Отношения HTRF рассчитываются для каждой лунки путем деления интенсивности при 665 нм на интенсивность при 620 нм и умножения полученного отношения на 10000. Стандартные кривые LTC4 интерполируют для каждого планшета и применяются для преобразования показаний отношения HTRF в количество LTC4, находящееся в каждой лунке (в нг/мл). Аппроксимацию параметрической кривой применяли для получения кривых ингибирования и значений IC50.
Таблица 1
(ферментативный анализ)
ПОЯСНЕНИЕ ИЗОБРЕТЕНИЯ НА ПРИМЕРАХ
Настоящее изобретение дополнительно проиллюстрировано следующими примерами и схемами синтеза, которые не следует истолковывать как ограничивающие объем или сущности настоящего изобретения конкретными процедурами, описанными в данном документе. Следует понимать, что примеры приведены для иллюстрации определенных вариантов осуществления, и что это не накладывает каких-либо ограничений на объем настоящего изобретения. Кроме того, следует понимать, что можно прибегнуть к разнообразным другим вариантам осуществления, их модификациям и эквивалентам, которые могут предложить специалисты в данной области техники, не отступая от сущности настоящего изобретения и/или объема прилагаемой формулы изобретения.
Соединения по настоящему изобретению можно получать с помощью способов, известных в области органического синтеза. Подразумевается, что во всех способах при необходимости можно использовать защитные группы для неустойчивых или реакционноспособных групп в соответствии с общими принципами химии. Работу с защитными группами проводят в соответствии со стандартными способами органического синтеза (T. W. Green and P. G. M. Wuts (1999) Protective Groups in Organic Synthesis, 3rd edition, John Wiley & Sons). Эти группы удаляют на подходящей стадии синтеза соединения с использованием способов, очевидных для специалистов в данной области.
Если не указано иное, реагенты и растворители использовали в том виде, в котором их получали от частных поставщиков. Спектры протонного ядерного магнитного резонанса (ЯМР) приведены в ppm (δ), а константы взаимодействия, J, приведены в герцах. В качестве внутреннего стандарта применяли тетраметилсилан (™S). Химические сдвиги приведены в ppm относительно диметилсульфоксида (δ 2,50), метанола (δ 3,31), хлороформа (δ 7,26) или другого растворителя, указанного в данных ЯМР-спектра. Небольшое количество сухого образца (2-5 мг) растворяли в подходящем дейтерированном растворителе (1 мл). Химические названия генерировали с применением ChemBioDraw Ultra v12 от CambridgeSoft.
Значения температуры приведены в градусах Цельсия. Если не указано иное, все операции выпаривания осуществляли при пониженном давлении, как правило, от приблизительно 15 мм рт. ст. до 100 мм рт. ст. (= 20-133 мбар). Структуру конечных продуктов, промежуточных соединений и исходных материалов подтверждают посредством стандартных аналитических способов, например, микроанализа и определения спектроскопических характеристик, например, с помощью MS, IR, ЯМР. Используемые сокращения представляют собой стандартные сокращения, используемые в данной области техники.
Все исходные материалы, структурные элементы, реагенты, кислоты, основания, дегидрирующие средства, растворители и катализаторы, используемые для синтеза соединений по настоящему изобретению, являются коммерчески доступными либо могут быть получены с помощью способов органического синтеза, известных специалисту средней квалификации в данной области.
Сокращения, используемые в следующих примерах и других разделах:
2-MeTHF 2-метилтетрагидрофуран
ACN ацетонитрил
AcOH уксусная кислота
Bn или Bzl бензил
Boc трет-бутилоксикарбонил
Boc2O ди-трет-бутилдикарбонат
B2Pin2 4,4,4,4,5,5,5,5-октаметил-2,2-би-1,3,2-диоксаборолан, бис(пинаколато)дибор
br широкий
солевой раствор насыщенный водный раствор NaCl
cHex циклогексан
d дублет
DAST трифторид (диэтиламино)серы
DBU 1,8-диазабицикло(5.4.0)ундец-7-ен
DCE дихлорэтан
DCM дихлорметан
dd дублет дублетов
DIAD диизопропилазодикарбоксилат
DIBAH гидрид диизобутилалюминия
DIPEA диизопропилэтиламин
DMAP диметиламинопиридин
DME 1,2-диметоксиэтан
DMF N, N-диметилформамид
DMSO диметилсульфоксид
DPEPhos бис[(2-дифенилфосфино)фениловый] эфир
EDC.HCl N-(3-диметиламинопропил)-N-этилкарбодиимида гидрохлорид
Et2O диэтиловый эфир
EtOAc этилацетат
EtOH этанол
eq эквивалент(ы)
equiv. эквивалент(ы)
Ex пример(ы)
h час
HCI хлористоводородная кислота
HOBt 1-гидроксибензoтриазол
HPLC высокоэффективная жидкостная хроматография
IPA изопропанол
LC жидкостная хроматография
LiHMDS бис(триметилсилил)амид лития
m мультиплет/милли, в зависимости от контекста
mCPBA 3-хлорпероксибензойная кислота
MeCN ацетонитрил
MeOH метанол
мг миллиграмм
мин. минут
MS масс-спектрометрия
мл миллилитр
ммоль миллимоль
MTBE метил-трет-бутиловый эфир
масса/заряд соотношение массы и заряда
ЯМР ядерный магнитный резонанс
ppm частей на миллион
PyBrop гексафторфосфат бром-трис-пирролидинoфосфония
q квартет
quint квинтет
к. т. комнатная температура
RP обращенно-фазовая
s синглет
SFC сверхкритическая флюидная хроматография
t триплет
TBME трет-бутилметиловый эфир
tBu трет-бутил
TEA триэтиламин
TFA трифторуксусная кислота
THF тетрагидрофуран
TLC тонкослойная хроматография
™SCN триметилсилилцианид
tR время удерживания
UPLC сверхэффективная жидкостная хроматография
Подробности анализа
ЯМР. Измерения проводили на спектрометре Bruker Ultrashield™ 400 (400 MГц), Bruker Ultrashield™ 600 (600 MГц), Agilent VNMRS-300 (300 MГц) с применением триметилсилана в качестве внутреннего стандарта или без него. Химические сдвиги (δ-значений) приведены в ppm, отсчитывая от тетраметилсилана, при этом спектры на схеме расщепления обозначены как синглет (s), дублет (d), триплет (t), квартет (q), квинтет (quint), мультиплет, неразрешенные или перекрывающиеся сигналы (m), широкий сигнал (br). Дейтерированные растворители указаны в скобках.
LC-MS:
LCMS способ a:
Система: Waters Acquity UPLC с детектором Waters SQ.
Колонка: Acquity HSS T3, 2,1 × 50 мм, 1,8 мкм; температура колонки: 60°C.
Градиент: от 5 до 98% B за 1,4 мин., A=вода+0,05% муравьиной кислоты+3,75 мM ацетата аммония, B=ацетонитрил+0,04% муравьиной кислоты, скорость потока: 1,0 мл/мин.
LCMS способ b:
Система: Waters Acquity UPLC с детектором Waters SQ.
Колонка: Acquity CSH C18, 2,1 × 50 мм, 1,7 мкм; температура колонки: 50°C.
Градиент: от 5 до 98% B за 1,8 мин., A=вода+0,1% NH3, B=ацетонитрил+0,1% NH3, скорость потока: 1,0 мл/мин.
LCMS способ c:
Система: Waters Acquity UPLC с детектором Waters SQ.
Колонка: Acquity BEH C18, 2,1 × 50 мм; температура колонки: 50°C.
Градиент: от 3 до 98% B за 4,8 мин., A=вода+0,05% муравьиной кислоты, B=ацетонитрил+0,05% муравьиной кислоты, скорость потока: 0,6 мл/мин.
LCMS способ d:
Система: Waters Acquity UPLC с детектором Waters SQ.
Колонка: Acquity BEH C18, 2,1 × 50 мм, 1,7 мкм; температура колонки: 40°C.
Градиент: от 3 до 98% B за 2,8 мин., A=вода+0,1% муравьиной кислоты, B=ацетонитрил+0,1% муравьиной кислоты, скорость потока: 0,8 мл/мин.
LCMS способ e:
Система: Waters Acquity UPLC с детектором Waters SQ.
Колонка: Acquity BEH C18, 2,1 × 30 мм, 1,7 мкм; температура колонки: 40°C.
Градиент: от 3 до 98% B за 2,8 мин., A=вода+0,1% муравьиной кислоты, B=ацетонитрил+0,1% муравьиной кислоты, скорость потока: 1 мл/мин.
LCMS способ f:
Система: Agilent LC/MSD
Колонка: Zorbax C18, 4,6 × 150 мм, 5 мкм; температура колонки: 40°C.
Градиент: от 30% до 70% B за 1 мин., от 70% до 100% B за 5 мин.; A=вода+0,1% TFA, B=ацетонитрил; скорость потока: 1,0 мл/мин.
LCMS способ g:
Система: Agilent LC/MSD
Колонка: Kinetex C18 4,6 × 100 мм, 5 мкм; температура колонки: 40°C.
Градиент: 0-20% B за 2 мин., 20-70% B за 8 мин., 70-100% B за 3 мин.; A=вода, B=ацетонитрил; скорость потока: 0,75 мл/мин.
LCMS способ h:
Система: Waters Acquity UPLC с детектором Waters SQ.
Колонка: Acquity BEH C18, 2,1 × 30 мм, 1,7 мкм; температура колонки: 40°C.
Градиент: от 2 до 98% B за 1,5 мин, A=вода+5 мM гидроксида аммония, B=ацетонитрил+5 мM гидроксида аммония, скорость потока: 1,0 мл/мин.
LCMS способ i:
Система: Waters Acquity UPLC с детектором Waters SQ
Колонка: Acquity BEH C18, 2,1 × 30 мм, 1,7 мкм
Подвижные фазы, градиент: A=вода +0,05% муравьиной кислоты, B=метанол +0,04% муравьиной кислоты; время (мин.)/% B: 0,0/2, 0,10/2, 0,50/80, 0,60/95, 0,80/95, 0,90/2, 1,15/2
Скорость потока: 1,0 мл/мин.
LCMS способ j:
Система: Shimadzu LCMS 2020
Колонка: Synergi max-RP 100Å Mercury, 4,0 × 30 мм, 2,5 мкм; температура колонки: 40°C
Подвижные фазы, градиент: A=0,1% HCOOH в воде, B=ацетонитрил; время (мин.)/% B: 0/5, 0,1/5, 0,5/5, 1,0/95, 1,5/95, 2,0/5, 3,0/5
Скорость потока: 2,0 мл/мин.
Обнаружение: PDA, 210 нм
LCMS способ k:
Система: Agilent LC/MSD
Колонка: Kinetex EVO, 4,6 × 50 мм, 2,6 мкм; температура колонки: 40°C
Подвижные фазы, градиент: A=0,1% HCOOH в воде, B=ацетонитрил; время (мин.)/% B: 0,0/20, 0,25/20, 01,0/95,0, 2,5/95, 3,0/20, 4/20
Скорость потока: 1,5 мл/мин.
Обнаружение: PDA, 210 нм
LCMS способ l:
Система: Sciex API-2000
Колонка: Synergi max-RP 100Å Mercury, 4,0 × 30 мм, 2,5 мкм; температура колонки: 30°C
Подвижные фазы, градиент: A=0,1% HCOOH в воде, B=ацетонитрил; время (мин.)/% B: 0/30, 0,5/30, 1,5/95, 2,4/95, 2,5/30, 3,0/30
Скорость потока: 2,0 мл/мин.
Обнаружение: TWC PDA
LCMS способ m:
Система: Agilent 1200-6120
Колонка: Poroshell 120 EC-C18, 4,6 × 50 мм, 2,7 мкм; температура колонки: 40°C
Подвижные фазы, градиент: A=0,1% муравьиной кислоты в воде, B=0,1% муравьиной кислоты в ацетонитриле; время (мин.)/% B: 0/5, 4,0/95, 6,0/95
Скорость потока: 1,2 мл/мин.
Обнаружение: PDA, 210 нм
Препаративные способы.
Система флэш-хроматографии.
Система: Teledyne ISCO, CombiFlash Rf.
Колонка: предварительно упакованные картриджи RediSep Rf.
SFC:
Система: Система Waters Preparative SFC-100-MS:
Обнаружение: Детектор с фотодиодной матрицей Waters 2998
Одноквадрупольный MS-детектор Waters
Модификатор: Метанол
ABPR: 120 бар
Температура колонки: 40°C
Скорость потока: 100 г/мин.
Препаративная HPLC (RP).
Система: Система AutoPurification-MS от Waters
Обнаружение: Детектор с фотодиодной матрицей Waters 2998
Одноквадрупольный MS-детектор Waters
Температура колонки: к. т.
Элюент A: вода
Элюент B: ацетонитрил, оба содержат 0,1% TFA или 0,1% NH4OH
Все реагенты, исходные материалы и промежуточные соединения, использованные в данных примерах, были доступны из коммерческих источников или были легко получены способами, известными специалистам в данной области техники.
Промежуточное соединение A. 1-(3,4-Дифторфенил)-1,9-диазаспиро[5.5]ундекан-2-он
Стадия A. трет-Бутил-4-циано-4-((3,4-дифторфенил)амино)пиперидин-1-карбоксилат)
Добавляли ™SCN (20,2 мл, 151 ммоль) в раствор трет-бутил-4-оксопиперидин-1-карбоксилата (15 г, 75 ммоль) и 3,4-дифторанилина (7,5 мл, 75 ммоль) в 10 мл AcOH. Реакционную смесь перемешивали при 100°C в течение 3 ч., разделяли между водой и DCM и экстрагировали три раза. Объединенные органические экстракты высушивали над Na2SO4, фильтровали и концентрировали. Остаток растирали с диэтиловым эфиром и продукт отфильтровывали в виде бежевого твердого вещества (19,25 г, 55,9 ммоль). 1H ЯМР (400 МГц, DMSO-d6) δ=7,27 (dd, 1H), 6,84 (ddd, 1H), 6,69 (m, 1H), 6,29 (s, 1H), 3,78 (m, 2H), 3,16 (m, 2H), 2,27 (m, 2H), 1,74 (m, 2H), 1,44 (s, 9H) ppm; масса/заряд=382,3 [M+HCO2]-; tR=1,13 минуты (LCMS способ a).
Стадия B. трет-Бутил-4-аллил-4-((3,4-дифторфенил)амино)пиперидин-1-карбоксилат
В атмосфере аргона добавляли по каплям бромид аллилмагния (1,0 M в диэтиловом эфире, 86 мл, 86 ммоль) в перемешиваемый раствор трет-бутил-4-циано-4-((3,4-дифторфенил)амино)пиперидин-1-карбоксилата (19,3 г, 57,1 ммоль) в 300 мл THF, охлажденный до 0°C. Обеспечивали достижение реакционной смеси к. т. и перемешивали в течение 16 ч. Смесь подкисляли с помощью 2 M водного раствора HCl, разбавляли с помощью DCM, промывали водой и солевым раствором. Водные слои экстрагировали дважды с помощью DCM. Объединенные органические слои высушивали над Na2SO4, фильтровали и концентрировали. С помощью очистки хроматографией на силикагеле (0-40% MeOH в EtOAc) получали трет-бутил-4-аллил-4-((3,4-дифторфенил)амино)пиперидин-1-карбоксилат (7,38 г, 20,5 ммоль). 1H ЯМР (400 МГц, DMSO-d6) δ=7,07 (dt, 1H), 6,71 (m, 1H), 6,54 (dt, 1H), 5,7 (m, 1H), 5,34 (s, 1H), 5,01 (m, 2H), 3,59 (m, 2H), 3,09 (m, 2H), 2,43 (m, 2H), 1,87 (m, 2H), 1,42 (m, 2H), 1,40 (s, 9H) ppm; масса/заряд=353,2 [M+H]+; tR=1,32 минуты (LCMS способ a).
Стадия C. трет-Бутил-(E)-4-((3,4-дифторфенил)амино)-4-(4-этокси-4-оксобут-2-ен-1-ил)пиперидин-1-карбоксилат
Этилакрилат (2,5 мл, 23,0 ммоль) и катализатор Ховейды-Граббса 2-го поколения (656 мг, 1,05 ммоль) добавляли в атмосфере аргона в раствор трет-бутил-4-аллил-4-((3,4-дифторфенил)амино)пиперидин-1-карбоксилата (7,38 г, 20,9 ммоль) в 200 мл толуола. Реакционную смесь перемешивали в течение 16 ч. при 110°C, охлаждали до к. т., абсорбировали на Isolute и выпаривали до сухого состояния. С помощью очистки хроматографией на силикагеле (0-45% EtOAc в циклогексане) получали трет-бутил-(E)-4-((3,4-дифторфенил)амино)-4-(4-этокси-4-оксобут-2-ен-1-ил)пиперидин-1-карбоксилат (5,00 г, 11,2 ммоль). 1H ЯМР (400 МГц, DMSO-d6) δ=7,09 (dd, 1H), 6,76 (m, 2H), 6,56 (m, 1H), 5,86 (d, 1H), 5,50 (s, 1H), 4,07 (q, 2H), 3,59 (m, 2H), 3,08 (m, 2H), 2,64 (d, 2H), 1,88 (m, 2H), 1,48 (m, 2H), 1,40 (s, 9H), 1,20 (t, 3H) ppm; масса/заряд=425,3 [M+H]+; tR=1,28 минуты (83%, транс), 1,30 минуты (14%, цис) (LCMS способ a).
Стадия D. трет-Бутил-4-((3,4-дифторфенил)амино)-4-(4-этокси-4-оксобутил)пиперидин-1-карбоксилат
В атмосфере аргона добавляли PtO2 (1,34 г, 0,589 ммоль) в раствор трет-бутил-(E)-4-((3,4-дифторфенил)амино)-4-(4-этокси-4-оксобут-2-ен-1-ил)пиперидин-1-карбоксилата (5,0 г, 11,78 ммоль) в 75 мл MeOH. Обеспечивали разрежение реакционной смеси и продували три раза с помощью H2. Затем реакционную смесь дополнительно перемешивали в течение 1 ч. при к. т. Добавляли дополнительное количество PtO2 (1,337 г, 0,589 ммоль) и реакционную смесь дополнительно перемешивали в течение часа при 40°C. Затем реакционную смесь продували аргоном и фильтровали через слой фильтрующей среды Hyflo®. Фильтрат абсорбировали на Isolute® и выпаривали до сухого состояния. С помощью очистки хроматографией на силикагеле (0-40% EtOAc в циклогексане) получали трет-бутил-4-((3,4-дифторфенил)амино)-4-(4-этокси-4-оксобутил)пиперидин-1-карбоксилат (4,42 г, 9,84 ммоль). 1H ЯМР (400 МГц, DMSO-d6) δ=7,06 (dd, 1H), 6,66 (m, 1H), 6,49 (m, 1H), 5,34 (s, 1H), 4,07 и 4,00 (q, 2H), 3,57 (m, 2H), 3,06 (m, 2H), 2,21 (t, 2H), 1,89 (m, 2H), 1,64 (m, 2H), 1,4-1,5 (m, 4H), 1,40 (s, 9H), 1,20 и 1,15 (t, 3H) ppm; масса/заряд=427,4 [M+H]+; tR=1,29 минуты (UPLC-MS способ a).
Стадия E. 4-(1-(трет-Бутоксикарбонил)-4-((3,4-дифторфенил)амино)пиперидин-4-ил)бутановая кислота
Добавляли LiOH (496 мг, 20,71 ммоль) в раствор трет-бутил-4-((3,4-дифторфенил)амино)-4-(4-этокси-4-оксобутил)пиперидин-1-карбоксилата (4,42 г, 10,35 ммоль) в 40 мл смеси THF/вода (соотношение 1:1) и реакционную смесь перемешивали в течение 16 ч. при 55°C. Реакционную смесь подкисляли лимонной кислотой и разбавляли с помощью DCM. Водный слой экстрагировали три раза с помощью DCM. Объединенные органические экстракты высушивали с помощью Na2SO4, фильтровали и концентрировали. Полученное твердое вещество высушивали под вакуумом. Неочищенную 4-(1-(трет-бутоксикарбонил)-4-((3,4-дифторфенил)амино)пиперидин-4-ил)бутановую кислоту (3,81 г, 9,08 ммоль) применяли на следующей стадии без дополнительной очистки. 1H ЯМР (400 МГц, DMSO-d6) δ=11,89 (br s, 1H), 7,06 (m, 1H), 6,67 (m, 1H), 6,50 (m, 1H), 5,33 (s, 1H), 3,58 (m, 2H), 3,07 (m, 2H), 2,13 (t, 2H), 1,89 (m, 2H), 1,77 (m, 2H), 1,63 (m, 2H), 1,41 (m, 2H), 1,40 (s, 9H) ppm; масса/заряд=399,4 [M+H]+; tR=1,13 минуты (LCMS способ a).
Стадия F. трет-Бутил-1-(3,4-дифторфенил)-2-оксо-1,9-диазаспиро[5.5]ундекан-9-карбоксилат
В раствор 4-(1-(трет-бутоксикарбонил)-4-((3,4-дифторфенил)амино)пиперидин-4-ил)бутановой кислоты (3,81 г, 9,56 ммоль) в 100 мл сухого EtOAc добавляли SOCl2 (2,4 мл, 33,5 ммоль) и реакционную смесь перемешивали в течение 2 ч. при к. т. Реакционную смесь обрабатывали водой и экстрагировали три раза этилацетатом. Объединенные органические слои высушивали над Na2SO4, фильтровали и концентрировали. С помощью очистки колоночной обращенно-фазовой хроматографией (RP C18, 10-100% MeOH в воде) получали трет-бутил-1-(3,4-дифторфенил)-2-оксо-1,9-диазаспиро[5.5]ундекан-9-карбоксилат (3,64 г, 9,57 ммоль); масса/заряд=381,2 [M+H]+; tR=1,00 мин. (LCMS способ a).
Стадия G. 1-(3,4-Дифторфенил)-1,9-диазаспиро[5.5]ундекан-2-он
В раствор трет-бутил-1-(3,4-дифторфенил)-2-оксо-1,9-диазаспиро[5.5]ундекан-9-карбоксилата (3,64 г, 9,57 ммоль) в диоксане (25 мл) добавляли HCl (4 M в диоксане, 25 мл). Реакционную смесь перемешивали в течение 2 ч. при к. т. Твердое вещество собирали посредством фильтрации и промывали диоксаном. Соль HCl растворяли в воде и DCM. Доводили значение pH до ~10 путем добавления 2 M раствора Na2CO3. Водный слой подвергали обратной экстракции три раза с помощью DCM. Объединенные органические экстракты высушивали над Na2CO3, фильтровали и концентрировали с получением 1-(3,4-дифторфенил)-1,9-диазаспиро[5.5]ундекан-2-она (3,00 г, 9,00 ммоль). 1H ЯМР (400 МГц, DMSO-d6) δ=7,46 (dd, 1H), 7,20 (m, 1H), 6,90 (m, 1H), 2,74 (m, 2H), 2,62 (m, 2H), 2,38 (t, 2H), 2,03 (m, 2H), 1,62-1,81 (m, 4H), 1,46 (m, 2H) ppm, NH не проявился; масса/заряд=281,2 [M+H]+; tR=0,49 минуты (LCMS способ a).
Промежуточное соединение B. 1-(4-Хлор-3-фторфенил)-1,9-диазаспиро[5.5]ундекан-2-он
Стадия A. трет-Бутил-4-((4-хлор-3-фторфенил)амино)-4-цианопиперидин-1-карбоксилат)
Добавляли ™SCN (5,97 г, 60,2 ммоль) в раствор трет-бутил-4-оксопиперидин-1-карбоксилата (10 г, 50 ммоль) и 4-хлор-3-фторанилина (8,77 г, 60,2 ммоль) в 100 мл уксусной кислоты. Полученную реакционную смесь перемешивали в течение 23 ч. при к. т. Затем смесь охлаждали до 0°C и добавляли концентрированный раствор гидроксида аммония до достижения значения pH 12. Осадок промывали водой и высушивали под вакуумом с получением трет-бутил-4-((4-хлор-3-фторфенил)амино)-4-цианопиперидин-1-карбоксилата (16,23 г, 45,0 ммоль). 1H ЯМР (400 МГц, DMSO-d6) δ=7,35 (dd, 1H), 6,80 (d, 1H), 6,71 (d, 1H), 6,61 (s, 1H), 3,77 (m, 2H), 3,18 (m, 2H), 2,31 (m, 2H), 1,77 (m, 2H), 1,41 (s, 9H) ppm; масса/заряд=398,3 [M+H]+; tR=1,22 минуты (LCMS способ a).
Стадия B. трет-Бутил-4-аллил-4-((4-хлор-3-фторфенил)амино)пиперидин-1-карбоксилат
трет-Бутил-4-((4-хлор-3-фторфенил)амино)-4-цианопиперидин-1-карбоксилат) (12 г, 33,9 ммоль) растворяли в 125 мл сухого THF и охлаждали до 0°C в атмосфере аргона. Бромид аллилмагния (1,0 M раствор в диэтиловом эфире, 51 мл, 51 ммоль) добавляли по каплям при 0°C. Реакционную смесь перемешивали в течение 2 ч. при 0°C, затем обеспечивали нагревание до к. т. Реакционную смесь гасили насыщенным водным раствором NH4Cl и экстрагировали три раза этилацетатом. Органические экстракты высушивали над Na2SO4, фильтровали и концентрировали. С помощью очистки хроматографией на силикагеле (0-10% EtOAc в циклогексане) получали трет-бутил-4-аллил-4-((4-хлор-3-фторфенил)амино)пиперидин-1-карбоксилат (7,76 г, 19,8 ммоль). 1H ЯМР (400 МГц, DMSO-d6) δ=7,15 (dd, 1H), 6,69 (d, 1H), 6,60 (d, 1H), 5,67 (s, 1H), 5,63-5,73 (m, 1H), 4,97-5,04 (m, 2H), 4,01 (m, 1H), 3,59 (m, 2H), 3,30 (m, 1H), 2,46 (m, 2H), 1,88-1,91 (m, 2H), 1,43-1,50 (m, 2H), 1,39 (s, 9H) ppm; масса/заряд=369,4 [M+H]+; tR=1,4 минуты (LCMS способ a).
Стадия C. трет-Бутил-4-аллил-4-(N-(4-хлор-3-фторфенил)акриламидо)пиперидин-1-карбоксилат
Раствор трет-бутил-4-аллил-4-((4-хлор-3-фторфенил)амино)пиперидин-1-карбоксилата (8,54 г, 23,2 ммоль) и акрилоилхлорида (5,6 мл, 70 ммоль) в 200 мл толуола нагревали с обратным холодильником в течение 1 ч. Добавляли триэтиламин (16,1 мл, 116 ммоль) и смесь нагревали с обратным холодильником в течение 4 ч. После охлаждения до к. т. смесь разбавляли водой и экстрагировали дважды с помощью DCM. Органические экстракты высушивали над Na2SO4, фильтровали и концентрировали. С помощью очистки хроматографией на силикагеле (0-60% EtOAc в циклогексане) получали трет-бутил-4-аллил-4-(N-(4-хлор-3-фторфенил)акриламидо)пиперидин-1-карбоксилат (5,86 г, 13,6 ммоль). 1H ЯМР (400 МГц, DMSO-d6) δ=7,67 (t, 1H), 7,38 (dd, 1H), 7,17-7,07 (m, 1H), 6,05 (dd, 1H), 6,02-5,84 (m, 1H), 5,67 (dd, 1H), 5,42 (dd, 1H), 5,26-5,07 (m, 2H), 3,66 (d, 2H), 3,31 (s, 3H), 3,05 (t, 1H), 2,09 (s, 2H), 1,98 (s, 1H), 1,49-1,36 (m, 1H), 1,36 (s, 9H) ppm; масса/заряд=423,4 [M+H]+; tR=1,36 минуты (LCMS способ a).
Стадия D. трет-Бутил-1-(4-хлор-3-фторфенил)-2-оксо-1,9-диазаспиро[5.5]ундец-3-ен-9-карбоксилат
Добавляли катализатор Граббса II (0,859 г, 1,37 ммоль) в раствор трет-бутил-4-аллил-4-(N-(4-хлор-3-фторфенил)акриламидо)пиперидин-1-карбоксилата (5,8 г, 14 ммоль) в 20 мл толуола в атмосфере аргона. Раствор нагревали до 110°C и перемешивали в течение 4 ч. Реакционную смесь охлаждали до к. т., адсорбировали на силикагель и выпаривали до сухого состояния. С помощью очистки хроматографией на силикагеле (0-100% EtOAc в циклогексане) получали трет-бутил-1-(4-хлор-3-фторфенил)-2-оксо-1,9-диазаспиро[5.5]ундец-3-ен-9-карбоксилат (2,90 г, 6,98 ммоль). 1H ЯМР (400 МГц, DMSO-d6) δ=7,64 (dd, 1H), 7,33 (d, 1H), 7,06 (d, 1H), 6,73 (d, 1H), 5,98 (d, 1H), 2,8-3,3 (m, 4H), 1,86 (m, 2H), 1,33 (s, 9H), 1,40-1,16 (m, 4H) ppm; масса/заряд=395,4 [M+H]+; tR=1,09 минуты (LCMS способ a).
Стадия E. трет-Бутил-1-(4-хлор-3-фторфенил)-2-оксо-1,9-диазаспиро[5.5]ундекан-9-карбоксилат
трет-Бутил-1-(4-хлор-3-фторфенил)-2-оксо-1,9-диазаспиро[5.5]ундец-3-ен-9-карбоксилат (2,9 г, 7,34 ммоль) растворяли в 25 мл MeOH и охлаждали до 0°C. Добавляли NiCl2⋅6 H2O (0,476 г, 3,67 ммоль) и полученную реакционную смесь перемешивали в течение 10 мин. Медленно добавляли NaBH4 (0,556 г, 14,7 ммоль) и смесь перемешивали 0°C в течение 2 ч. Реакционную смесь выпаривали при пониженном давлении. Неочищенный продукт растворяли в этилацетате, промывали солевым раствором и высушивали над Na2SO4. Путем удаления растворителя при пониженном давлении получали неочищенный трет-бутил-1-(4-хлор-3-фторфенил)-2-оксо-1,9-диазаспиро[5.5]ундекан-9-карбоксилат (2,54 г, 6,27 ммоль), который применяли на следующей стадии без дополнительной очистки. 1H ЯМР (400 МГц, DMSO-d6) δ=7,62 (dd, 1H), 7,23 (d, 1H), 6,96 (d, 1H), 3,76 (m, 2H), 2,87 (m, 2H), 2,41 (t, 2H), 2,04 (m, 2H), 1,79 (m, 4H), 1,42 (m, 2H), 1,30 (s, 9H) ppm; масса/заряд=397,4 [M+H]+; tR=1,08 минуты (LCMS способ a).
Стадия F. 1-(4-Хлор-3-фторфенил)-1,9-диазаспиро[5.5]ундекан-2-он
В атмосфере аргона добавляли трифторуксусную кислоту (3,88 мл, 50,4 ммоль) в охлажденный до 0°C раствор трет-бутил-1-(4-хлор-3-фторфенил)-2-оксо-1,9-диазаспиро[5.5]ундекан-9-карбоксилата (2,00 г, 5,04 ммоль) в DCM (20 мл). Обеспечивали нагревание реакционной смеси до к. т. и перемешивали в течение 2 ч. Реакционную смесь гасили насыщенным водным раствором NaHCO3 и экстрагировали три раза с помощью DCM. Объединенные органические экстракты высушивали над Na2SO4, фильтровали и концентрировали. Полученное твердое вещество растирали с диэтиловым эфиром, выделенным посредством фильтрации, и высушивали под вакуумом с получением 1-(4-хлор-3-фторфенил)-1,9-диазаспиро[5.5]ундекан-2-она (1,32 г, 4,36 ммоль). 1H ЯМР (400 МГц, DMSO-d6) δ=8,59 (br, 1 H), 7,98 (br, 1H), 7,67 (dd, 1H), 7,29 (dd, 1H), 6,99 (dd, 1H), 2,95-3,20 (m, 4H), 2,40 (t, 2H), 2,07 (m, 2H), 1,93 (m, 2H), 1,74-1,83 (m, 4H) ppm; масса/заряд=297,3 [M+H]+; tR=0,39 минуты (LCMS способ a).
Промежуточное соединение C. Синтез 1-(4-хлорфенил)-1,9-диазаспиро[5.5]ундекан-2-она
Указанное в заголовке соединение синтезировали аналогично промежуточному соединению B, начиная с 4-хлоранилина. 1H ЯМР (600 МГц, DMSO-d6) δ=8,5 (br, 1H), 7,89 (br, 1H), 7,51 (d, 2H), 7,11 (d, 2H), 3,13 (m, 2H), 3,00 (m, 2H), 2,41-2,37 (m, 2H), 2,11-2,05 (m, 2H), 1,95-1,88 (m, 2H), 1,83-1,76 (m, 2H), 1,72 (m, 2H) ppm; масса/заряд=279,2 [M+H]+; tR=0,38 минуты (LCMS способ a).
Промежуточное соединение D. 1-(3,4-Дифторфенил)-4-гидрокси-1,9-диазаспиро[5.5]ундекан-2-он
Стадия A. трет-Бутил-4-аллил-4-(N-(3,4-дифторфенил)акриламидо)пиперидин-1-карбоксилат
В атмосфере азота добавляли DIEA (193 г, 1490 ммоль) в охлажденный до 0°C раствор трет-бутил-4-аллил-4-((3,4-дифторфенил)амино)пиперидин-1-карбоксилата (105 г, 298 ммоль) в DCM (1,0 л). Смесь перемешивали при 25°C в течение 1 ч. Акрилоилхлорид (135 г, 1490 ммоль) добавляли в раствор и реакционную смесь перемешивали при 25°C в течение 11 ч. Реакционную смесь выливали в воду (1,0 л), затем смесь экстрагировали с помощью DCM (500 мл x 3). Объединенные органические слои промывали солевым раствором (1,0 л), высушивали над Na2SO4, фильтровали и концентрировали при пониженном давлении. С помощью хроматографии на силикагеле (смесь петролейный эфир:EtOAc с соотношением 10:1) получали трет-бутил-4-аллил-4-(N-(3,4-дифторфенил)акриламидо)пиперидин-1-карбоксилат (80,1 г, 197 ммоль) в виде белого твердого вещества. 1H ЯМР (400 МГц, DMSO-d6) δ=7,55-7,44 (m, 1H), 7,44-7,35 (m, 1H), 7,13-7,03 (m, 1H), 6,09-5,99 (m, 1H), 5,98-5,84 (m, 1H), 5,71-5,59 (m, 1H), 5,44-5,34 (m, 1H), 5,24-5,16 (m, 1H), 5,15-5,06 (m, 1H), 3,80-3,53 (m, 2H), 3,14-2,80 (m, 4H), 2,18-1,87 (m, 2H), 1,52-1,37 (m, 2H), 1,37-1,31 (m, 9H).
Стадия B. трет-Бутил-1-(3,4-дифторфенил)-2-оксо-1,9-диазаспиро[5.5]ундец-3-ен-9-карбоксилат
В раствор трет-бутил-4-аллил-4-(N-(3,4-дифторфенил)акриламидо)пиперидин-1-карбоксилата (50 г, 123 ммоль) в толуоле (500 мл) добавляли катализатор Граббса II (7,70 г, 12,3 ммоль) при 25°C. Смесь перемешивали при 120°C в течение 12 ч. в атмосфере N2. Раствор охлаждали до к. т., концентрировали при пониженном давлении и остаток очищали посредством хроматографии на силикагеле (15-100% EtOAc в петролейном эфире) с получением трет-бутил-1-(3,4-дифторфенил)-2-оксо-1,9-диазаспиро[5.5]ундец-3-ен-9-карбоксилата (35 г, 93 ммоль) в виде серого твердого вещества. 1H ЯМР (400 МГц, DMSO-d6) δ=7,52-7,41 (m, 1H), 7,39-7,29 (m, 1H), 7,07-6,96 (m, 1H), 6,76-6,64 (m, 1H), 6,02-5,90 (m, 1H), 3,90-3,65 (m, 2H), 3,01-2,79 (m, 2H), 2,78-2,73 (m, 2H), 1,90-1,79 (m, 2H), 1,39-1,25 (m, 11H); масса/заряд=379,1 [M+H]+
Стадия C. трет-Бутил-1-(3,4-дифторфенил)-2-оксо-4-(4,4,5,5-тетраметил-1,3,2-диоксаборолан-2-ил)-1,9-диазаспиро[5.5]ундекан-9-карбоксилат.
B2Pin (7,4 г, 29 ммоль) в THF (50 мл) добавляли по каплям в перемешиваемый раствор CuCl (130 мг, 1,32 ммоль), NaOt-Bu (7,60 г, 79,2 ммоль) и DPEPhos (7,12 г, 13,2 ммоль) в THF (50 мл) в атмосфере азота. Добавляли 1-(3,4-дифторфенил)-2-оксо-1,9-диазаспиро[5.5]ундец-3-ен-9-карбоксилат (10 г, 26,4 ммоль) в MeOH (30 мл) с последующим добавлением THF (20 мл). Реакционную смесь нагревали при 80°C в течение 12 ч. Анализ LCMS указывал на завершение превращения исходного материала в пинаколовый боронатный сложный эфир (масса/заряд=507,2 [M+H]+). Реакционную смесь фильтровали и фильтрат непосредственно применяли на следующей стадии.
Стадия D. трет-Бутил-1-(3,4-дифторфенил)-4-гидрокси-2-оксо-1,9-диазаспиро[5.5]ундекан-9-карбоксилат
В раствор NaBO3⋅4H2O (11,7 г, 52,8 ммоль) в H2O (120 мл) добавляли раствор трет-бутил-1-(3,4-дифторфенил)-2-оксо-4-(4,4,5,5-тетраметил-1,3,2-диоксаборолан-2-ил)-1,9-диазаспиро[5.5]ундекан-9-карбоксилата в THF со стадии C. Затем нагревали реакционную смесь при 25°C в течение 12 ч. Смесь выливали в воду (100 мл) и экстрагировали с помощью DCM (3×100 мл). Объединенные органические экстракты промывали солевым раствором (200 мл), высушивали над Na2SO4, фильтровали и концентрировали при пониженном давлении. С помощью очистки хроматографией на силикагеле (смесь DMC/MeOH=1:0-10:1) получали трет-бутил-1-(3,4-дифторфенил)-4-гидрокси-2-оксо-1,9-диазаспиро[5.5]ундекан-9-карбоксилат (6,0 г, 15 ммоль) в виде белого твердого вещества.
Стадия E. 1-(3,4-Дифторфенил)-4-гидрокси-1,9-диазаспиро[5.5]ундекан-2-он
Добавляли HCl в диоксане (4,0 M, 50 мл) в перемешиваемый раствор трет-бутил-1-(3,4-дифторфенил)-4-гидрокси-2-оксо-1,9-диазаспиро[5.5]ундекан-9-карбоксилата (10,0 г, 25,2 ммоль) в диоксане (50 мл). Затем реакционную смесь нагревали при 25°C в течение 6 ч. Реакционную смесь концентрировали при пониженном давлении и остаток суспендировали в MTBE (100 мл) при 25°C в течение 1 ч. Твердые вещества отделяли посредством фильтрации с получением 1-(3,4-дифторфенил)-4-гидрокси-1,9-диазаспиро[5.5]ундекан-2-она, гидрохлоридной соли (8,0 г, 24 ммоль), в виде белого твердого вещества. 1H ЯМР (400 МГц, DMSO-d6) δ=9,13-8,81 (m, 1H), 8,41-8,11 (m, 1H), 7,62-7,42 (m, 1H), 7,37-7,20 (m, 1H), 7,04-6,83 (m, 1H), 4,13-4,06 (m, 1H), 3,22-3,09 (m, 2H), 3,07-2,90 (m, 2H), 2,76-2,63 (m, 1H), 2,49-2,45 (m, 1H), 2,38-2,26 (m, 1H), 2,01-1,65 (m, 5H); масса/заряд=297,1 [M+H]+
Промежуточное соединение E. 1-(3,4-Дифторфенил)-3-окса-1,9-диазаспиро[5.5]ундекан-2-он
Стадия A. трет-Бутил-4-((3,4-дифторфенил)амино)-4-(2,3-дигидроксипропил)пиперидин-1-карбоксилат
Раствор N-метилморфолин-N-оксида (8,043 г, 68,75 ммоль) в воде (20 мл) добавляли в перемешиваемый раствор трет-бутил-4-аллил-4-((3,4-дифторфенил)амино)пиперидин-1-карбоксилата (11 г, 31 ммоль) в THF (35 мл) при -7°C в атмосфере аргона. В реакционную смесь при -9°C добавляли по каплям раствор OsO4 (1,56 ммоль) в t-BuOH (24 мл). Затем обеспечивали перемешивание смеси при -9°C в течение 12 часов, после чего добавляли раствор бисульфита натрия для гашения реакции. Раствор экстрагировали с помощью EtOAc, органический слой промывали солевым раствором, высушивали над Na2SO4, фильтровали и концентрировали до коричневого липкого твердого вещества (12,2 г, 31,6 ммоль). Данный неочищенный материал переносили на следующую стадию без очистки. Масса/заряд=387,15 [M+H]+
Стадия B. трет-Бутил-4-((3,4-дифторфенил)амино)-4-(2-оксоэтил)пиперидин-1-карбоксилат
Раствор NaIO4 (2,64 г, 12,4 ммоль) в воде (20 мл) добавляли в перемешиваемый раствор трет-бутил-4-((3,4-дифторфенил)амино)-4-(2,3-дигидроксипропил)пиперидин-1-карбоксилата (4,0 г, 10 ммоль) в MeOH (20 мл). Реакционную смесь перемешивали при к. т. в течение 2 ч. в атмосфере аргона. Смесь разбавляли водой, экстрагировали с помощью EtOAc, промывали солевым раствором, высушивали над Na2SO4 и концентрировали при пониженном давлении с получением неочищенного продукта в виде коричневого липкого твердого вещества (3,17 г, 8,94 ммоль). Неочищенный продукт непосредственно переносили на следующую стадию без дополнительной очистки.
Стадия C. трет-Бутил-4-((3,4-дифторфенил)амино)-4-(2-гидроксиэтил)пиперидин-1-карбоксилат
Добавляли борогидрид натрия (0,20 г, 5,4 ммоль) в перемешиваемый раствор трет-бутил-4-((3,4-дифторфенил)амино)-4-(2-оксоэтил)пиперидин-1-карбоксилата (1,6 г, 4,5 ммоль) в MeOH (10 мл) при 0°C. Реакционную смесь перемешивали при к. т. в течение 12 ч. в атмосфере аргона. Реакционную смесь разбавляли водой, экстрагировали с помощью EtOAc, промывали солевым раствором, высушивали над Na2SO4, фильтровали и концентрировали при пониженном давлении с получением неочищенного трет-бутил-4-((3,4-дифторфенил)амино)-4-(2-гидроксиэтил)пиперидин-1-карбоксилата в виде коричневой липкой массы (1,14 г, 3,20 ммоль). Неочищенный продукт переносили на следующую стадию без дополнительной очистки. Масса/заряд=357,15 [M+H]+
Стадия D. трет-Бутил-4-(2-((1H-имидазол-1-карбонил)окси)этил)-4-((3,4-дифторфенил)амино)пиперидин-1-карбоксилат
1,1'-Карбонилдиимидазол (1,04 г, 6,40 ммоль) добавляли в перемешиваемый раствор трет-бутил-4-((3,4-дифторфенил)амино)-4-(2-гидроксиэтил)пиперидин-1-карбоксилата (1,14 г, 3,20 ммоль) в DCM (10 мл) при к. т. Реакционную смесь перемешивали при к. т. в течение 12 ч. в атмосфере аргона. Реакционную смесь разбавляли водой, экстрагировали с помощью DCM, высушивали над Na2SO4, фильтровали и концентрировали при пониженном давлении с получением неочищенного трет-бутил-4-(2-((1H-имидазол-1-карбонил)окси)этил)-4-((3,4-дифторфенил)амино)пиперидин-1-карбоксилата в виде коричневого липкого твердого вещества (1,31 г, 2,91 ммоль). Неочищенный продукт непосредственно переносили на следующую стадию без очистки. Масса/заряд=451,20 [M+H]+
Стадия E. трет-Бутил-1-(3,4-дифторфенил)-2-оксо-3-окса-1,9-диазаспиро[5.5]ундекан-9-карбоксилат
Добавляли пиридина гидрохлорид (1,00 г, 8,65 ммоль) в перемешиваемый раствор трет-бутил-4-(2-((1H-имидазол-1-карбонил)окси)-4-((3,4-дифторфенил)амино)пиперидин-1-карбоксилата (1,29 г, 2,88 ммоль) в MeCN (10 мл) при к. т. Реакционную смесь перемешивали при к. т. в течение 24 ч. в атмосфере аргона. Смесь разбавляли водой, экстрагировали с помощью EtOAc, промывали солевым раствором, высушивали над Na2SO4, фильтровали и концентрировали при пониженном давлении с получением неочищенного трет-бутил-1-(3,4-дифторфенил)-2-оксо-3-окса-1,9-диазаспиро[5.5]ундекан-9-карбоксилата в виде липкого коричневого твердого вещества (1,07 г, 2,80 ммоль). Неочищенный продукт переносили на следующую стадию без дополнительной очистки. Масса/заряд=383,1 [M+H]+
Стадия F. 1-(3,4-Дифторфенил)-3-окса-1,9-диазаспиро[5.5]ундекан-2-он
Добавляли HCl в диоксане (4,0 M, 6,0 мл) в трет-бутил-1-(3,4-дифторфенил)-2-оксо-3-окса-1,9-диазаспиро[5.5]ундекан-9-карбоксилат (0,600 г, 1,57 ммоль) при 0°C. Реакционную смесь перемешивали при к. т. в течение 2 часов в атмосфере аргона. Смесь концентрировали при пониженном давлении. Твердое вещество выделяли посредством фильтрации, промыванием диэтиловым эфиром с получением указанного в заголовке соединения (гидрохлоридная соль) в виде бледно-коричневого твердого вещества (0,350 г, 1,24 ммоль). 1H ЯМР (400 МГц, DMSO-d6) δ 8,83 (s, 1H), 8,16 (s, 1H), 7,54 (dt, J=10,9, 9,0 Гц, 1H), 7,46 (ddd, J=11,6, 7,4, 2,5 Гц, 1H), 7,11 (ddt, J=8,4, 3,9, 2,0 Гц, 1H), 4,44-4,26 (m, 2H), 3,17 (d, J=13,2 Гц, 2H), 3,08-2,91 (m, 2H), 2,31 (t, J=5,5 Гц, 2H), 2,09-1,94 (m, 2H), 1,77 (td, J=13,8, 4,5 Гц, 2H); масса/заряд=283,1 [M+H]+; tR=1,32 минуты (LCMS способ m)
Пример 1. 1-(4-Хлор-3-фторфенил)-9-(1-(4-фторфенил)-1H-1,2,4-триазол-3-ил)-1,9-диазаспиро[5.5]ундекан-2-он
Стадия A. (E)-Амино(2-(4-фторфенил)гидразоно)метансульфоновая кислота
Смесь 2-(4-фторфенил)1-гидразинкарботиамида (2,5 г, 14 ммоль), Na2MoO4⋅2H2O (163 мг, 0,675 ммоль) и NaCl (316 мг, 5,40 ммоль) в 7 мл воды охлаждали до 0°C. Добавляли по каплям 30% раствор пероксида водорода (6,9 мл, 68 ммоль) в охлажденную суспензию. Во время добавления первой порции температуру поддерживали ниже 7°C. Затем реакция становилась экзотермической, и температура достигала 76°C при охлаждении с помощью ледяной бани. После завершения добавления суспензию перемешивали при охлаждении на ледяной бане в течение 1,5 ч. Суспензию фильтровали и твердое вещество промывали 10-15 мл охлажденного солевого раствора с получением бежевого твердого вещества (1,76 г), которое применяли на следующей стадии без дополнительной очистки. Масса/заряд=493,3 [M+H]+ ; tR=0,38 мин. (LCMS способ a).
Стадия B. 1-(4-Хлор-3-фторфенил)-N'-(4-фторфенил)-2-оксо-1,9-диазаспиро[5.5]ундекан-9-карбоксимидгидразид
Смесь 1-(4-хлор-3-фторфенил)-1,9-диазаспиро[5.5]ундекан-2-она (промежуточное соединение B, 1,95 г, 6,58 ммоль), (E)-амино(2-(4-фторфенил)гидразоно)-метансульфоновой кислоты (1,76 г, 7,56 ммоль) и пиридина (1,17 мл, 14,5 ммоль) в 9 мл ацетонитрила перемешивали в течение 1 ч. при 120°C при микроволновом излучении. Реакционную смесь концентрировали и применяли на следующей стадии без дополнительной очистки. Масса/заряд=448,2 [M+H]+; tR=0,67 мин. (LCMS способ a).
Стадия C. 1-(4-Хлор-3-фторфенил)-9-(1-(4-фторфенил)-1H-1,2,4-триазол-3-ил)-1,9-диазаспиро[5.5]ундекан-2-он
1-(4-Хлор-3-фторфенил)-N'-(4-фторфенил)-2-оксо-1,9-диазаспиро[5.5]ундекан-9-карбоксимидгидразид (2,95 г, 6,58 ммоль) и триметилортоформиат (1,5 мл, 6,58 ммоль) нагревали в течение 24 ч. при 90°C при микроволновом излучении. Реакционную смесь фильтровали через небольшой слой силикагеля, элюировали с помощью 20% MeOH в DCM и выпаривали. С помощью очистки хроматографией на силикагеле (0-10% MeOH в DCM) получали указанное в заголовке соединение (140 мг, 0,291 ммоль). 1H ЯМР (400 МГц, DMSO-d6) δ=8,85 (s, 1H), 7,74 (m, 2H), 7,60 (dd, 1H), 7,34 (dd, 2H), 7,24 (dd, 1H), 6,98 (d, 1H), 3,85-3,88 (m, 2H), 2,99 (t, 2H), 2,42 (m, 2H), 2,09 (m, 2H) 1,85-1,88 (m, 4H), 1,64 (td, 2H) ppm. масса/заряд=458,1 [M+H]+; tR=1,06 минуты (LCMS способ a).
Пример 2. 1-(4-Хлор-3-фторфенил)-9-(6-(трифторметил)бензо[d]оксазол-2-ил)-1,9-диазаспиро[5.5]ундекан-2-он
1-(4-Хлор-3-фторфенил)-1,9-диазаспиро[5.5]ундекан-2-он (промежуточное соединение B, 80 мг, 0,27 ммоль), 2-хлор-6-(трифторметил)бензо[d]оксазол (60 мг, 0,27 ммоль) и триэтиламин (0,11 мл, 0,81 ммоль) растворяли в 1,5 мл EtOH и перемешивали в течение 30 мин. при 160°C при микроволновом излучении. Реакционную смесь концентрировали и с помощью очистки хроматографией на силикагеле (0-20% MeOH в EtOAc) получали указанное в заголовке соединение (49 мг, 0,097 ммоль). 1H ЯМР (400 МГц, DMSO-d6) δ=7,73 (d, 1H), 7,59 (dd, 1H), 7,49 (dd, 1H), 7,36 (d, 1H), 7,24 (dd, 1H), 6,96 (dd, 1H), 4,04 (m, 2H), 3,36 (m, 2H) 2,45 (m, 2H), 2,15 (m, 2H), 1,95 (br d, 2H), 1,82-1,91 (m, 2H), 1,66 (m, 2H) ppm; масса/заряд=482,2 [M+H]+; tR=1,22 минуты (LCMS способ a).
Применяя способы, подобные описанным для получения примера 2 с применением подходящих коммерчески доступных хлоргетероциклов и промежуточного соединения B, получали следующие соединения:
1-(4-Хлор-3-фторфенил)-9-(4-(трифторметил)пиримидин-2-ил)-1,9-диазаспиро[5.5]ундекан-2-он
1-(4-Хлор-3-фторфенил)-9-(7-(трифторметил)хиназолин-2-ил)-1,9-диазаспиро[5.5]ундекан-2-он
Пример 5. 1-(4-Хлор-3-фторфенил)-9-(2-(трифторметил)пиразолo[1,5-a]пиримидин-5-ил)-1,9-диазаспиро[5.5]ундекан-2-он
Стадия A. 2-(Трифторметил)пиразолo[1,5-a]пиримидин-5(4H)-он
1,3-Диметилурацил (1,855 г, 13,24 ммоль) и этоксид натрия (21% раствор в EtOH, 13,6 мл, 36,4 ммоль) добавляли в раствор 3-(трифторметил)-1H-пиразол-5-амина (1,00 г, 6,62 ммоль) в 30 мл EtOH. Реакционную смесь перемешивали в течение 12 ч. при 60°C. Смесь концентрировали, разбавляли этилацетатом и промывали с помощью 1 M HCl (40 мл) и солевым раствором. Органический слой высушивали над Na2SO4, фильтровали и концентрировали. С помощью очистки хроматографией на силикагеле (20-80% EtOAc в циклогексане, затем 0-20% MeOH в EtOAc) получали 2-(трифторметил)пиразолo[1,5-a]пиримидин-5(4H)-он (188 мг, 0,463 ммоль). 1H ЯМР (400 МГц, DMSO-d6) δ=12,47 (br s, 1H), 8,59 (d, J= 8Hz, 1H), 6,33-6,11 (m, 2H) ppm; масса/заряд=202,1 [M-H]-, tR=0,65 минуты (LCMS способ a).
Стадия B. 5-Хлор-2-(трифторметил)пиразолo[1,5-a]пиримидин
Смесь POCl3 (5,0 мл, 54 ммоль) и 2-(трифторметил)пиразолo[1,5-a]пиримидин-5(4H)-она (188 мг, 0,463 ммоль) перемешивали в течение 1 ч. при 80°C. Смесь охлаждали до к. т. и концентрировали. С помощью очистки хроматографией на силикагеле (0-50% EtOAc в циклогексане) получали 5-хлор-2-(трифторметил)пиразолo[1,5-a]пиримидин (98 мг, 0,44 ммоль). 1H ЯМР (600 МГц, DMSO-d6) δ=9,34 (dd, 1H), 7,43 (d, 1H), 7,31 (s, 1H) ppm; tR=1,03 минуты (LCMS способ a).
Стадия C. 1-(4-Хлор-3-фторфенил)-9-(2-(трифторметил)пиразолo[1,5-a]пиримидин-5-ил)-1,9-диазаспиро[5.5]ундекан-2-он
5-Хлор-2-(трифторметил)пиразолo[1,5-a]пиримидин (95 мг, 0,43 ммоль) и TEA (0,16 мл, 1,1 ммоль) добавляли в раствор 1-(4-хлор-3-фторфенил)-1,9-диазаспиро[5.5]ундекан-2-она (промежуточное соединение B, 85 мг, 0,29 ммоль) в 4 мл EtOH. Реакционную смесь нагревали в течение 2 ч. при 150°C при микроволновом излучении, выпаривали, разбавляли с помощью EtOAc и промывали насыщенным водным раствором NaHCO3 и солевым раствором. Объединенные органические слои высушивали над Na2SO4, фильтровали и концентрировали. С помощью очистки SFC (Princeton 4-этилпиридин, 30 × 250, 5 мкм; 15-25% MeOH в CO2, 10 мин.) получали указанное в заголовке соединение (122 мг, 0,248 ммоль). 1H ЯМР (600 МГц, DMSO-d6) δ=8,69 (dd, 1H), 7,58 (dd, 1H), 7,24 (dd, 1H), 6,96 (dd, 1H), 6,89 (d, 1H), 6,40 (s, 1H), 4,31 (m, 2H), 3,09 (t, 2H), 2,43 (t, 2H), 2,15 (m, 2H), 1,92 (m, 2H), 1,86 (m, 2H), 1,55 (m, 2H) ppm; масса/заряд=482,3 [M+H]+; tR=1,14 минуты (LCMS способ a).
Пример 6a. 1-(4-Хлор-3-фторфенил)-9-(5-((1R,2R)-2-(трифторметил)циклопропил)-1,2,4-оксадиазол-3-ил)-1,9-диазаспиро[5.5]ундекан-2-он или 1-(4-хлор-3-фторфенил)-9-(5-((1S,2S)-2-(трифторметил)циклопропил)-1,2,4-оксадиазол-3-ил)-1,9-диазаспиро[5.5]ундекан-2-он
и
пример 6b. 1-(4-Хлор-3-фторфенил)-9-(5-((1S,2S)-2-(трифторметил)циклопропил)-1,2,4-оксадиазол-3-ил)-1,9-диазаспиро[5.5]ундекан-2-он или 1-(4-хлор-3-фторфенил)-9-(5-((1R,2R)-2-(трифторметил)циклопропил)-1,2,4-оксадиазол-3-ил)-1,9-диазаспиро[5.5]ундекан-2-он
Стадия A. 1-(4-Хлор-3-фторфенил)-2-оксо-1,9-диазаспиро[5.5]ундекан-9-карбонитрил
Бромид цианогена (3,0 M в DCM, 1,12 мл, 3,37 ммоль) добавляли по каплям в раствор 1-(4-хлор-3-фторфенил)-1,9-диазаспиро[5.5]ундекан-2-она (промежуточное соединение B, 1,00 г, 3,37 ммоль) и DIPEA (0,589 мл, 3,37 ммоль) в 35 мл DCM. Реакционную смесь перемешивали в течение 1 ч. при к. т. Солевой раствор добавляли в реакционную смесь. Органический слой разделяли, высушивали над Na2SO4, фильтровали и концентрировали. Неочищенный продукт применяли на следующей стадии без дополнительной очистки. Масса/заряд=322,2 [M+H]+; tR=0,77 мин. (LCMS способ a).
Стадия B. 1-(4-Хлор-3-фторфенил)-N-гидрокси-2-оксо-1,9-диазаспиро[5.5]ундекан-9-карбоксимидамид
Гидроксиламин (50% в воде, 0,89 мл, 15 ммоль) добавляли в раствор 1-(4-хлор-3-фторфенил)-2-оксо-1,9-диазаспиро[5.5]ундекан-9-карбонитрила (1,17 г, 3,64 ммоль) в 30 мл EtOH. Реакционную смесь перемешивали в течение 1 ч. при 80°C, концентрировали и применяли на следующей стадии без очистки. Масса/заряд=355,3 [M+H]+; tR=0,47 мин. (LCMS способ a).
Стадия C. 1-(4-Хлор-3-фторфенил)-9-(5-((1R,2R/1S,2S)-2-(трифторметил)циклопропил)-1,2,4-оксадиазол-3-ил)-1,9-диазаспиро[5.5]ундекан-2-он
HOBt (926 мг, 6,05 ммоль), EDC.HCl (1160 мг, 6,05 ммоль) и DIPEA (1,2 мл, 7,00 ммоль) добавляли в раствор рацемической (1R,2R)-2-(трифторметил)циклопропанкарбоновой кислоты (754 мг, 4,65 ммоль) в DMF (30 мл). Реакционную смесь перемешивали в течение 10 мин. при к. т. Добавляли 1-(4-хлор-3-фторфенил)-N-гидрокси-2-оксо-1,9-диазаспиро[5.5]ундекан-9-карбоксимидамид (1,23 г, 2,67 ммоль) и смесь перемешивали в течение 72 ч. при к. т. Смесь концентрировали, разбавляли с помощью TBME и промывали дважды водой и солевым раствором. Органический слой высушивали над Na2SO4, фильтровали и концентрировали. Неочищенный продукт очищали посредством хроматографии на силикагеле (0-6% MeOH в EtOAc) с получением рац-1-(4-хлор-3-фторфенил)-9-(5-((1R,2R)-2-(трифторметил)циклопропил)-1,2,4-оксадиазол-3-ил)-1,9-диазаспиро[5.5]ундекан-2-она (794 мг). 1H ЯМР (400 МГц, DMSO-d6) δ=7,61 (dd, 1H), 7,23 (dd, 1H), 6,96 (m, 1H), 3,64 (m, 2H), 3,05 (m, 2H), 2,70 (m, 1H), 2,59 (m, 1H), 2,4 (t, 2H), 2,08 (m, 2H), 1,87-1,78 (m, 4H), 1,58-1,46 (m, 4H) ppm; масса/заряд 473,3 [M+H] ]+; tR=1,14 минуты (LCMS способ a). Посредством препаративной хиральной HPLC (Chiralpak AD-H, 5 мкм, 20 × 250 мм; подвижная фаза смесь гептан:EtOH:MeOH с соотношением 70:15:15; скорость потока 15 мл/мин.; элюирование в течение 60 мин.) получали пример 6a (пик 1, 304 мг, tR=40,6 мин.) и пример 6b (пик 2, 303 мг, tR=50,0 мин.).
Пример 7. 1-(4-Хлор-3-фторфенил)-9-(5-(3-(трифторметил)бицикло[1,1,1]пентан-1-ил)-1,2,4-оксадиазол-3-ил)-1,9-диазаспиро[5.5]ундекан-2-он
Данное соединение синтезировали аналогично примерам 6a и 6b с применением 3-(трифторметил)бицикло[1.1.1]пентан-1-карбоновой кислоты. 1H ЯМР (600 МГц, DMSO-d6) δ=7,61 (dd, 1H), 7,23 (dd, 1H), 6,96 (dd, 1H), 3,65 (m, 2H), 3,07 (dd, 2H), 2,41 (m, 8H), 2,08 (m, 2H), 1,86-1,81 (m, 4H), 1,57-1,53 (m, 2H) ppm; масса/заряд=499,2 [M+H]+; tR=1,24 минуты (LCMS способ a).
Пример 8. 1-(4-Хлор-3-фторфенил)-9-(6-гидрокси-3-(пирролидин-1-ил)-1,2,4-триазин-5-ил)-1,9-диазаспиро[5.5]ундекан-2-он
Стадия A. 9-(6-Хлор-3-(пирролидин-1-ил)-1,2,4-триазин-5-ил)-1-(4-хлор-3-фторфенил)-1,9-диазаспиро[5.5]ундекан-2-он
Раствор 1-(4-хлор-3-фторфенил)-1,9-диазаспиро[5.5]ундекан-2-она (промежуточное соединение B, 100 мг, 0,337 ммоль) в DMF (0,5 мл) добавляли по каплям в раствор трихлор-1,2,4-триазина (93 мг, 0,505 ммоль) и TEA (0,094 мл, 0,674 ммоль) в DMF (0,5 мл) и охлаждали до 0°C. Ледяную баню убирали, и обеспечивали достижение реакционной смеси к. т., и перемешивали в течение 20 мин. Добавляли пирролидин (0,28 мл, 3,4 ммоль) и реакционную смесь перемешивали в течение 20 мин. при к. т. Реакционную смесь разбавляли с помощью EtOAc и промывали водой. Органический слой отделяли и оставшийся водный слой экстрагировали дважды с помощью EtOAc. Объединенные органические слои высушивали над Na2SO4, фильтровали и концентрировали. С помощью очистки хроматографией на силикагеле (10-100% EtOAc в циклогексане) получали 9-(6-хлор-3-(пирролидин-1-ил)-1,2,4-триазин-5-ил)-1-(4-хлор-3-фторфенил)-1,9-диазаспиро[5.5]ундекан-2-он (98 мг, 0,20 ммоль) в виде желтого порошка. 1H ЯМР (400 МГц, DMSO-d6) δ=7,61 (dd, 1H), 7,23 (d, 1H), 6,96 (d, 1H), 4,21 (m, 2H), 3,3-3,5 (m, 4H), 3,12 (t, 2H), 2,43 (t, 2H), 2,13 (m, 2H), 1,8-1,95 (m, 8H), 1,7 (m, 2H) ppm; масса/заряд=479,2 [M+H]+; tR=0,96 минуты (LCMS способ a).
Стадия B. 1-(4-Хлор-3-фторфенил)-9-(6-гидрокси-3-(пирролидин-1-ил)-1,2,4-триазин-5-ил)-1,9-диазаспиро[5.5]ундекан-2-он
9-(6-Хлор-3-(пирролидин-1-ил)-1,2,4-триазин-5-ил)-1-(4-хлор-3-фторфенил)-1,9-диазаспиро[5.5]ундекан-2-он (78 мг, 0,163 ммоль) растворяли в смеси 2 мл уксусной кислоты/0,1 мл воды и нагревали при микроволновом излучении в течение 11 ч. при 120°C. После выпаривания остаток растворяли в DCM и обрабатывали триэтиламином. Полученную смесь выпаривали и очищали посредством SFC (Reprospher PEI 100Å, 5 мкм, 30 × 250 мм; 14-18% MeOH в CO2, 10 мин.). 1H ЯМР (400 МГц, DMSO-d6) δ=11,7 (s, 1H), 7,60 (t, 1H), 7,23 (d, 1H), 6,96 (d, 1H), 5,7 (br, 1H), 4,6 (br, 1H), 3,18 (m, 4H), 3,1 (br, 2H), 2,43 (m, 2H), 2,15 (m, 2H), 1,75-1,95 (m, 8H), 1,6 (m, 2H) ppm; масса/заряд=461,2 [M+H]+; tR=0,90 минуты (LCMS способ a).
Пример 9. 1-(4-Хлор-3-фторфенил)-9-(6-(4-фторфенил)-4-метил-3-оксо-3,4-дигидропиразин-2-ил)-1,9-диазаспиро[5.5]ундекан-2-он
Стадия A. 9-(6-Бром-4-метил-3-оксо-3,4-дигидропиразин-2-ил)-1-(4-хлор-3-фторфенил)-1,9-диазаспиро[5.5]ундекан-2-он
Смесь 3,5-дибром-1-метилпиразин-2(1H)-она (1 г, 3,73 ммоль), 1-(4-хлор-3-фторфенил)-1,9-диазаспиро[5.5]ундекан-2-она (промежуточное соединение B, 1,11 г, 0,373 ммоль) и K2CO3 (1,55 г, 11,2 ммоль) в DMF (11 мл) нагревали при микроволновом излучении в течение 1 ч. при 160°C. Реакционную смесь фильтровали и концентрировали. С помощью очистки хроматографией на силикагеле (0-10% MeOH в DCM) получали 9-(6-бром-4-метил-3-оксо-3,4-дигидропиразин-2-ил)-1-(4-хлор-3-фторфенил)-1,9-диазаспиро[5.5]ундекан-2-он (770 мг, 1,51 ммоль). 1H ЯМР (400 МГц, DMSO-d6) δ=7,61 (dd, 1H), 7,27 (s, 1H), 7,23 (dd, 1H), 6,97 (m, 1H), 4,55 (m, 2H), 3,28 (s, 3H), 2,94 (t, 2H), 2,42 (t, 2H), 2,11 (m, 2H), 1,64-1,83 (m, 4H), 1,6-1,63 (m, 2H) ppm; масса/заряд=483,0, 485,0 [M+H]+; tR=1,02 минуты (LCMS способ a).
Стадия B. 1-(4-Хлор-3-фторфенил)-9-(6-(4-фторфенил)-4-метил-3-оксо-3,4-дигидропиразин-2-ил)-1,9-диазаспиро[5.5]ундекан-2-он
Смесь 9-(6-бром-4-метил-3-оксо-3,4-дигидропиразин-2-ил)-1-(4-хлор-3-фторфенил)-1,9-диазаспиро[5.5]ундекан-2-она (150 мг, 0,31 ммоль), (4-фторфенил)бороновой кислоты (45 мг, 0,31 ммоль), K3PO4 (132 мг, 0,62 ммоль) и PdCl2(dtbpf) (20 мг, 0,031 ммоль) в смеси диоксан/вода с соотношением 3:1 (2,7 мл) нагревали в течение 20 мин. при 90°C. Затем реакционную смесь охлаждали, разбавляли водой и экстрагировали с помощью EtOAc. Объединенные органические слои высушивали над Na2SO4, фильтровали и концентрировали. С помощью очистки хроматографией на силикагеле (0-5% MeOH в DCM) получали 1-(4-хлор-3-фторфенил)-9-(6-(4-фторфенил)-4-метил-3-оксо-3,4-дигидропиразин-2-ил)-1,9-диазаспиро[5.5]ундекан-2-он (34 мг, 0,065 ммоль). 1H ЯМР (400 МГц, DMSO-d6) δ=7,76-7,78 (m, 2H), 7,72 (s, 1H), 7,59 (t, 1H), 7,18-7,26 (m, 3H), 6,98 (m, 1H), 4,58 (m, 2H), 3,4 (s, 3H), 2,95 (t, 2H), 2,44 (t, 2H), 2,15 (m, 2H), 1,86 (m, 4H), 1,66-1,73 (m, 2H) ppm; масса/заряд=499,1 [M+H]+; tR=1,13 минуты (LCMS способ a).
Пример 10. 9-(2-Бензил-3-оксо-6-(2-азаспиро[3.3]гептан-2-ил)-2,3-дигидропиридазин-4-ил)-1-(3,4-дифторфенил)-1,9-диазаспиро[5.5]ундекан-2-он
Стадия A. 9-(6-Хлор-3-оксо-2,3-дигидропиридазин-4-ил)-1-(3,4-дифторфенил)-1,9-диазаспиро[5.5]ундекан-2-он
Смесь 1-(3,4-дифторфенил)-1,9-диазаспиро[5.5]ундекан-2-она (промежуточное соединение A, 0,673 г, 2,41 ммоль), 4-бром-6-хлорпиридазин-3(2H)-она (0,500 г, 2,41 ммоль) и DIPEA (1,3 мл, 7,2 ммоль) в DMF (8 мл) нагревали при 100°C в течение 12 часов. После охлаждения до к. т. добавляли воду и смесь экстрагировали с помощью EtOAc, промывали солевым раствором и высушивали над Na2SO4. После фильтрации, концентрирования при пониженном давлении получали неочищенный 9-(6-хлор-3-оксо-2,3-дигидропиридазин-4-ил)-1-(3,4-дифторфенил)-1,9-диазаспиро[5.5]ундекан-2-он в виде бледно-желтого смолистого твердого вещества (1,355 г), которое использовали без очистки. Масса/заряд=272 [M+H]+
Стадия B. 9-(2-Бензил-6-хлор-3-оксо-2,3-дигидропиридазин-4-ил)-1-(3,4-дифторфенил)-1,9-диазаспиро[5.5]ундекан-2-он
Добавляли гидрид натрия (0,070 г, 2,94 ммоль) и бензилбромид (0,249 г, 1,47 ммоль) в перемешиваемый раствор 9-(6-хлор-3-оксо-2,3-дигидропиридазин-4-ил)-1-(3,4-дифторфенил)-1,9-диазаспиро[5.5]ундекан-2-она (0,400 г, 0,980 ммоль) в THF (8 мл), охлажденный до 0°C. Обеспечивали нагревание реакционной смеси до к. т. в течение пяти часов. В реакционную смесь добавляли воду и ее экстрагировали с помощью EtOAc. Экстракты промывали солевым раствором, высушивали над Na2SO4, фильтровали и концентрировали при пониженном давлении. С помощью очистки хроматографией на силикагеле (60-70% EtOAc:гексан) получали 9-(2-бензил-6-хлор-3-оксо-2,3-дигидропиридазин-4-ил)-1-(3,4-дифторфенил)-1,9-диазаспиро[5.5]ундекан-2-он в виде смолистого белого твердого вещества (1,355 г, 2,716 ммоль). Масса/заряд=499,2 [M+H]+
Стадия C. 9-(2-Бензил-3-оксо-6-(2-азаспиро[3.3]гептан-2-ил)-(2,3-дигидропиридазин-4-ил)-1-(3,4-дифторфенил)-1,9-диазаспиро[5.5]ундекан-2-он
Раствор 9-(2-бензил-6-хлор-3-оксо-2,3-дигидропиридазин-4-ил)-1-(3,4-дифторфенил)-1,9-диазаспиро[5.5]ундекан-2-она (0,100 г, 0,200 ммоль) и 2-азаспиро[3.3]гептана гидрохлорида (0,053 г, 0,40 ммоль) в диоксане (6 мл) перемешивали с продуванием аргоном в течение десяти минут. Cs2CO3 (0,195 г, 0,600 ммоль) добавляли в реакционную смесь при продувании аргоном с последующим добавлением Pd2(dba)3 (30 мг, 0,040 ммоль) и JohnPhos (10 мг, 0,040 ммоль). Смесь нагревали при 100°C в течение 16 ч. После охлаждения до к. т. в реакционную смесь добавляли воду и ее экстрагировали с помощью EtOAc, промывали солевым раствором, высушивали над Na2SO4, фильтровали и концентрировали при пониженном давлении. С помощью очистки хроматографией на силикагеле (60-70% смесь EtOAc:гексан) получали указанное в заголовке соединение в виде белого твердого вещества (0,068 г, 0,12 ммоль). 1H ЯМР (400 МГц, хлороформ-d) δ 7,46-7,34 (m, 2H), 7,24-7,09 (m, 2H), 6,95-6,82 (m, 1H), 6,82-6,69 (m, 1H), 5,64 (s, 1H), 5,09 (s, 2H), 3,9-4,05 (m, 3H), 3,8 (s, 3H), 2,65-2,75 (m, 2H), 2,58-2,61 (m, 2H), 2,14 (t, 3H), 1,98-2,12 (m, 4H), 1,8-1,92 (m, 4H), 1,7-1,78 (m, 3H); масса/заряд=560,3 [M+H]+; tR=1,64 минуты (LCMS способ j)
Пример 11. 1-(3,4-Дифторфенил)-9-(6-(4-фторфенил)-3-оксо-2,3-дигидропиридазин-4-ил)-1,9-диазаспиро[5.5]ундекан-2-он
9-(6-Хлор-3-оксо-2,3-дигидропиридазин-4-ил)-1-(3,4-дифторфенил)-1,9-диазаспиро[5.5]ундекан-2-он (0,200 г, 0,489 ммоль) и 4-фторфенилбороновую кислоту (0,342 г, 2,45 ммоль) перемешивали в диоксане (5 мл) и H2O (2 мл) при к. т. при продувании аргоном в течение 10 мин. K3PO4 (0,311 г, 1,47 ммоль) добавляли в реакционную смесь при продувании аргоном с последующим добавлением XPhosPd G2 (77 мг, 0,097 ммоль). Смесь нагревали с обратным холодильником при 110°C в течение 48 ч. После охлаждения до к. т. в реакционную смесь добавляли воду и ее экстрагировали с помощью EtOAc, промывали солевым раствором, высушивали над Na2SO4, фильтровали и концентрировали при пониженном давлении. С помощью очистки препаративной HPLC (LUNA Phoenomenex, 5 мкм, 21,2 × 250 мм; элюирование с помощью H2O:MeCN) получали указанное в заголовке соединение (60 мг, 0,13 ммоль) в виде грязно-белого твердого вещества. 1H ЯМР (400 МГц, хлороформ-d) δ 11,19 (s, 1H), 7,68 (dd, 2H), 7,09-7,25 (m, 3H), 6,92 (t, 1H), 6,82 (d, 1H), 6,61 (s, 1H), 4,21 (brs, 2H), 2,91 (t, 2H), 2,62 (t, 2H), 2,10-2,19 (m, 2H), 2,03 (m, 2H), 1,93 (m2H), 1,83 (d, 2H); масса/заряд=469,1 [M+H]+; tR=1,47 минуты (LCMS способ j).
Пример 12. 1-(3,4-Дифторфенил)-9-(3-оксо-6-(4-(трифторметил)-1H-пиразол-1-ил)-2,3-дигидропиридазин-4-ил)-1,9-диазаспиро[5.5]ундекан-2-он
Стадия A. 6-(4-(Трифторметил)-1H-пиразол-1-ил)-2,3-дигидропиридазин-3-амин
Смесь 6-хлорпиридазин-3-амина (1,0 г, 0,77 ммоль), 4-(трифторфенил)-1H-пиразола (0,210 г, 15,4 ммоль) и Cs2CO3 (0,754 г, 2,32 ммоль) в диоксане (4 мл) нагревали при 120°C в течение 12 ч. После охлаждения до к. т. в реакционную смесь добавляли воду и ее экстрагировали с помощью EtOAc. Экстракты промывали солевым раствором, высушивали над Na2SO4, фильтровали и концентрировали при пониженном давлении. С помощью очистки хроматографией на силикагеле (35-40% смесь EtOAC:гексан) получали 6-(4-(трифторметил)-1H-пиразол-1-ил)-2,3-дигидропиридазин-3-амин (0,400 г, 1,73 ммоль). Масса/заряд=230,1 [M+H]+
Стадия B. 6-(4-(Трифторметил)-1H-пиразол-1-ил)пиридазин-3(2H)-он
Смесь 6-(4-(трифторметил)-1H-пиразол-1-ил)-2,3-дигидропиридазин-3-амина (0,020 г, 0,087 ммоль), NaNO2 (0,012 г, 0,471 ммоль) и концентрированной H2SO4 (0,5 мл) в AcOH (1 мл) нагревали при 80°C в течение 16 ч. После охлаждения до к. т. в реакционную смесь добавляли воду и ее экстрагировали с помощью EtOAc, промывали солевым раствором, высушивали над Na2SO4, фильтровали и концентрировали при пониженном давлении. С помощью очистки хроматографией на силикагеле (40-50% смесь EtOAC:гексан) получали 6-(4-(трифторметил)-1H-пиразол-1-ил)пиридазин-3(2H)-он (0,010 г, 0,43 ммоль). Масса/заряд=231,0 [M+H]+
Стадия C. 4-Бром-6-(4-(трифторметил)-1H-пиразол-1-ил)пиридазин-3(2H)-он
Смесь 6-(4-(трифторметил)-1H-пиразол-1-ил)пиридазин-3(2H)-она (0,20 г, 0,87 ммоль), KOAc (0,640 г, 6,73 ммоль) и Br2 (7,0 мл, 7,4 ммоль) в AcOH (2 мл) нагревали при 80°C в течение 24 ч. После охлаждения до к. т. в реакционную смесь добавляли воду и ее экстрагировали с помощью EtOAc. Экстракты промывали солевым раствором, высушивали над Na2SO4, фильтровали и концентрировали при пониженном давлении с получением неочищенного 4-бром-6-(4-(трифторметил)-1H-пиразол-1-ил)пиридазин-3(2H)-она (170 мг), который применяли на следующей стадии без очистки. 1H ЯМР (400 МГц, метанол-d4) δ 8,77 (s, 1H), 8,62 (s, 1H), 8,06 (s, 1H). масса/заряд=311,0 [M+2]+.
Стадия D. 1-(3,4-Дифторфенил)-9-(3-оксо-6-(4-(трифторметил)-1H-пиразол-1-ил)-2,3-дигидропиридазин-4-ил)-1,9-диазаспиро[5.5]ундекан-2-он.
1-(3,4-Дифторфенил)-1,9-диазаспиро[5.5]ундекан-2-он (промежуточное соединение A, 0,090 г, 0,32 ммоль), 4-бром-6-(4-(трифторметил)-1H-пиразол-1-ил)-2-пиридазин-3(2H)-он (0,170 г, 0,550 ммоль) и DIPEA (0,13 мл, 0,75 ммоль) в DMF (3 мл) нагревали с обратным холодильником при 80°C в течение 12 часов. После охлаждения до к. т. реакционную смесь разбавляли холодной водой, экстрагировали с помощью EtOAc, промывали солевым раствором и высушивали над Na2SO4. После фильтрации фильтрат концентрировали при пониженном давлении с получением указанного в заголовке соединения (85 мг, 0,17 ммоль). 1H ЯМР (300 МГц, DMSO-d6) δ 12,8 (s, 1H), 8,88 (s, 1H), 8,22 (s, 1H), 7,46 (m, 1H), 7,29 (m, 1H), 6,9 (m, 2H), 4,16 (d, 2H), 2,96 (t, 2H), 2,41 (m, 2H), 2,04-2,18 (m, 2H), 1,83-1,91 (m, 4H), 1,61-1,76 (m, 2H); масса/заряд=509,15 [M+H]+; tR=1,50 минуты (LCMS способ j)
Пример 13. 1-(3,4-Дифторфенил)-9-(3-оксо-6-(2,2,2-трифторэтокси)-2,3-дигидропиридазин-4-ил)-1,9-диазаспиро[5.5]ундекан-2-он
Данное соединение синтезировали аналогично примеру 12 с применением 2,2,2-трифторэтан-1-ола. 1H ЯМР (400 МГц, DMSO-d6) δ 12,1 (s, 1H), 7,41 (m, 1H), 7,22 (m, 1H), 6,92 (m, 1H), 6,15 (s, 1H), 4,62-4,78 (m, 2H), 4,01-4,12 (m, 2H), 2,74-2,88 (m, 2H), 2,41 (t, 2H), 2,07 (brs, 2H), 1,78-1,88 (m, 4H), 1,54-1,7 (m, 2H); масса/заряд=473,4 [M+H]+; tR=0,66 минуты (LCMS способ i)
Пример 14. 1-(3,4-Дифторфенил)-9-(2-метил-3-оксо-6-(4-(трифторметил)-1H-пиразол-1-ил)-2,3-дигидропиридазин-4-ил)-1,9-диазаспиро[5.5]ундекан-2-он
Йодметан (0,018 г, 0,129 ммоль) добавляли по каплям в перемешиваемый раствор 1-(3,4-дифторфенил)-9-(3-оксо-6-(4-(трифторметил)-1H-пиразол-1-ил)-2,3-дигидропиридазин-4-ил)-1,9-диазаспиро[5.5]ундекан-2-она (0,040 г, 0,078 ммоль) и Cs2CO3 (0,084 г, 0,259 ммоль) в DMF (4 мл), охлажденный до 0°C. Обеспечивали нагревание реакционной смеси до к. т. в течение 4 ч. В реакционную смесь добавляли воду и ее экстрагировали с помощью EtOAc, промывали солевым раствором, высушивали над Na2SO4 и концентрировали при пониженном давлении с получением указанного в заголовке соединения (25 мг, 0,48 ммоль). 1H ЯМР (300 МГц, DMSO-d6) δ 8,93 (s, 1H), 8,24 (s, 1H), 7,48 (m, 1H), 7,29 (m, 1H), 6,92-7 (m, 2H), 4,12 (d, 2H), 3,6 (s, 3H), 2,98 (t, 2H), 2,42 (t, 2H), 2,08 (brs, 2H), 1,7- 1,92 (m, 4H), 1,68 (t, 2H); масса/заряд=523,3 [M+H]+; tR=1,64 минуты (LCMS способ l).
Пример 15a. 1-(3,4-Дифторфенил)-9-(3-оксо-6-((тетрагидро-2H-пиран-4-ил)окси)-2,3-дигидропиридазин-4-ил)-1,9-диазаспиро[5.5]ундекан-2-он
и
пример 15b. 9-(1-Бензил-6-оксо-3-((тетрагидро-2H-пиран-4-ил)окси)-1,6-дигидропиридазин-4-ил)-1-(3,4-дифторфенил)-1,9-диазаспиро[5.5]ундекан-2-он
Стадия A. 1-Бензил-5-бром-1,2-дигидропиридазин-3,6-дион и 1-бензил-4-бром-1,2-дигидропиридазин-3,6-дион
Смесь 3-бромфуран-2,5-диона (5 г, 28,25 ммоль) и бензилгидразина·2HCl (8,20 г, 42,4 ммоль) в воде (45 мл) нагревали при 100°C в течение 16 ч. Реакционную смесь охлаждали до к. т. и фильтровали. Прозрачный фильтрат концентрировали при пониженном давлении с получением неочищенной смеси региоизомерных продуктов (4,4 г, неочищенный). Масса/заряд=283 [M+2]+
Стадия B. 2-Бензил-4-бром-6-((тетрагидро-2H-пиран-4-ил)окси)пиридазин-3(2H)-он и 2-бензил-5-бром-6-((тетрагидро-2H-пиран-4-ил)окси)пиридазин-3(2H)-он
Перемешиваемый раствор 1-бензил-5-бром-1,2-дигидропиридазин-3,6-диона и 1-бензил-4-бром-1,2-дигидропиридазин-3,6-диона (2,00 г, 7,14 ммоль) в DMF (25 мл) обрабатывали 4-бром-тетрагидропираном (1,70 г, 10,3 ммоль) и K2CO3 (2,90 г, 20,9 ммоль). Реакционную смесь нагревали при 85°C в течение 48 ч. После охлаждения реакционную смесь разбавляли водой и экстрагировали с помощью EtOAc дважды. Объединенные органические слои промывали солевым раствором, высушивали над Na2SO4, фильтровали и концентрировали при пониженном давлении с получением смеси региоизомерных продуктов в виде белого липкого твердого вещества (0,576 г, 1,58 ммоль). Масса/заряд=367,0 [M+H]+
Стадия-C. 9-(1-Бензил-6-оксо-3-((тетрагидро-2H-пиран-4-ил)окси)-1,6-дигидропиридазин-4-ил)-1-(3,4-дифторфенил)-1,9-диазаспиро[5.5]ундекан-2-он и 9-(2-бензил-3-оксо-6-((тетрагидро-2H-пиран-4-ил)окси)-2,3-дигидропиридазин-4-ил)-1-(3,4-дифторфенил)-1,9-диазаспиро[5.5]ундекан-2-он
Перемешиваемый раствор 2-бензил-4-бром-6-((тетрагидро-2H-пиран-4-ил)окси)пиридазин-3(2H)-она и 2-бензил-5-бром-6-((тетрагидро-2H-пиран-4-ил)окси)пиридазин-3(2H)-она (100 мг, 0,273 ммоль) в DMF (2 мл) обрабатывали 1-(3,4-дифторфенил)-1,9-диазаспиро[5.5]ундекан-2-оном (промежуточное соединение A, 77 мг, 0,27 ммоль) и DIPEA (72 мкл, 0,41 ммоль). Реакционную смесь нагревали при 80°C в течение 48 ч. После охлаждения до к. т. реакционную смесь разбавляли водой и экстрагировали с помощью EtOAc дважды. Объединенные органические слои промывали солевым раствором, высушивали над Na2SO4, фильтровали и концентрировали при пониженном давлении. Неочищенный материал очищали посредством препаративной HPLC (YMC, 5 мкм, 21,2 × 150 мм; элюирование с помощью 0,02% водного раствора смеси NH4OH:MeCN) для разделения двух региоизомерных продуктов.
Пример 15a. 9-(2-Бензил-3-оксо-6-((тетрагидро-2H-пиран-4-ил)окси)-2,3-дигидропиридазин-4-ил)-1-(3,4-дифторфенил)-1,9-диазаспиро[5.5]ундекан-2-он выделяли в виде бледно-желтого твердого вещества (115 мг, 0,203 ммоль). 1H ЯМР (400 МГц, DMSO-d6) δ 7,3-7,47 (m, 1H), 7,22-7,30 (m, 6H), 6,94 6,96 (m, 1H), 6,08 (s, 1H), 5,03 (s, 2H), 4,72-4,81 (m, 1H), 3,9-4,05 (brs, 2H), 3,74-3,82 (m, 2H), 3,41 (t, 2H), 2,78 (t, 2H), 2,41 (t, 2H), 2,08 (m, 2H), 1,82-1,92 (m, 6H), 1,6-1,71 (m, 2H), 1,48-1,56 (m, 2H); масса/заряд=565,2 [M+H]+; tR=1,71 минуты (LCMS способ l).
Пример 15b. 9-(1-Бензил-6-оксо-3-((тетрагидро-2H-пиран-4-ил)окси)-1,6-дигидропиридазин-4-ил)-1-(3,4-дифторфенил)-1,9-диазаспиро[5.5]ундекан-2-он: 1H ЯМР (300 МГц, DMSO-d6) δ 7,4-7,48 (m, 1H), 7,2-7,34 (m, 6H), 6,84-6,89 (m, 1H), 5,92 (s, 1H), 4,96 (s, 2H), 4,77-4,84 (m, 1H), 3,52-3,63 (m, 4H), 3,38-3,47 (m, 2H), 2,86 (t, 2H), 2,40 (t, 3H), 2,07 (m, 2H), 1,75-1,9 (m, 5H), 1,58-1,72 (m, 2H), 1,4-1,53 (m, 2H), масса/заряд=565,4 [M+H]+, tR=2,13 минуты (LCMS способ l);
Пример 16. 1-(3,4-Дифторфенил)-9-(3-оксо-6-((тетрагидро-2H-пиран-4-ил)окси)-2,3-дигидропиридазин-4-ил)-1,9-диазаспиро[5.5]ундекан-2-он
Перемешиваемый раствор 9-(2-бензил-3-оксо-6-((тетрагидро-2H-пиран-4-ил)окси)-2,3-дигидропиридазин-4-ил)-1-(3,4-дифторфенил)-1,9-диазаспиро[5.5]ундекан-2-она (100 мг, 0,177 ммоль) в EtOH (15 мл) обрабатывали с помощью Pd(OH)2 (200 мг) и перемешивали в атмосфере H2 (1 атм.) в течение 48 ч. Реакционную смесь продували азотом, фильтровали через слой целита и фильтрат концентрировали при пониженном давлении. С помощью очистки препаративной HPLC (LUNA OMEGA C18, 5,0 мкм, 21,2 × 250 мм; элюирование с помощью смеси вода:MeCN) получали указанное в заголовке соединение в виде грязно-белого твердого вещества (40 мг, 0,084 ммоль). 1H ЯМР (300 МГц, DMSO-d6) δ 11,84 (s, 1H), 7,4-7,46 (m, 1H), 7,10-7,15 (m, 1H), 6,95-7,0 (m, 1H), 6,02 (s, 1H), 4,70-4,82 (m, 1H), 4,01 (d, 1H), 3,76-3,83 (m, 1H), 3,50-3,38 (m, 2H), 3,29-3,21 (m, 1H), 2,76 (t, 2H), 2,01-2,11 (m, 2H), 1,72-1,98 (m, 8H), 1,52-1,7 (m, 5H); масса/заряд=475,4 [M+H]+; tR=0,45 минуты (LCMS способ l).
Пример 17. 1-(3,4-Дифторфенил)-9-(2-метил-3-оксо-6-((тетрагидро-2H-пиран-4-ил)окси)-2,3-дигидропиридазин-4-ил)-1,9-диазаспиро[5.5]ундекан-2-он
Смесь 1-(3,4-дифторфенил)-9-(3-оксо-6-((тетрагидро-2H-пиран-4-ил)окси)-2,3-дигидропиридазин-4-ил)-1,9-диазаспиро[5.5]ундекан-2-она (30 мг, 0,063 ммоль), Cs2CO3 (61 мг, 0,19 ммоль) и йодметана (6 мкл, 0,096 ммоль) в DMF (1 мл) перемешивали при к. т. в течение 16 ч. Реакционную смесь разбавляли водой и экстрагировали с помощью EtOAc дважды. Объединенные органические слои промывали солевым раствором, высушивали над Na2SO4, фильтровали и концентрировали при пониженном давлении. С помощью очистки препаративной HPLC (ZORBAX, 5 мкм, 21,2 × 150 мм; элюирование с помощью смеси вода:ACN) получали указанное в заголовке соединение (8 мг, 0,016 ммоль) в виде грязно-белого твердого вещества. 1H ЯМР (400 МГц, хлороформ-d) δ 7,68 (dd, 1H), 7,10-7,15 (m, 1H), 6,96-7,0 (m, 1H), 6,05 (s, 1H), 4,72 -4,84 (m, 1H), 3,92-4,2 (m, 2H), 3,38-3,47 (m, 4H), 2,77 (t, 2H), 2,4 (t, 2H), 2,06 (d, 2H), 1,9-2,0 (m, 2H), 1,8-1,84 (m, 4H), 1,52-1,68 (m, 4H); масса/заряд=489,2 [M+H]+; tR=1,3 минуты (LCMS способ k).
Пример 18. 9-(6-(4,4-Дифторциклогекс-1-ен-1-ил)-3-оксо-3,4-дигидропиразин-2-ил)-1-(3,4-дифторфенил)-1,9-диазаспиро[5.5]ундекан-2-он
Стадия A. 9-(6-Бром-3-оксо-3,4-дигидропиразин-2-ил)-1-(3,4-дифторфенил)-1,9-диазаспиро[5.5]ундекан-2-он
1-(3,4-Дифторфенил)-1,9-диазаспиро[5.5]ундекан-2-он (промежуточное соединение A, 0,870 г, 3,10 ммоль), 5-бром-3-хлорпиразин-2(1H)-он (0,650 г, 3,10 ммоль) и DIPEA (1,6 мл, 9,3 ммоль) в EtOH (10 мл) нагревали при 80°C в течение 12 ч. Реакционную смесь разбавляли водой и экстрагировали с помощью EtOAc дважды. Объединенные органические слои промывали солевым раствором, высушивали над Na2SO4, фильтровали и концентрировали при пониженном давлении. С помощью очистки хроматографией на силикагеле (2-8% MeOH в DCM) получали 9-(6-бром-3-оксо-3,4-дигидропиразин-2-ил)-1-(3,4-дифторфенил)-1,9-диазаспиро[5.5]ундекан-2-он в виде белого твердого вещества (0,460 г, 1,01 ммоль). Масса/заряд=455,05 [M+H]+
Стадия B. 9-(6-(4,4-Дифторциклогекс-1-ен-1-ил)-3-оксо-3,4-дигидропиразин-2-ил)-1-(3,4-дифторфенил)-1,9-диазаспиро[5.5]ундекан-2-он.
Смесь 9-(6-бром-3-оксо-3,4-дигидропиразин-2-ил)-1-(3,4-дифторфенил)-1,9-диазаспиро[5.5]ундекан-2-она (0,050 г, 0,110 ммоль) и 2-(4,4-дифторциклогекс-1-ен-1-ил)-4,4,5,5-тетраметил-1,3,2-диоксаборолана (0,081 г, 0,331 ммоль) перемешивали в DME (1 мл) и H2O (0,5 мл) при к. т. при продувании аргоном в течение 10 минут. K2CO3 (0,046 г, 0,33 ммоль) добавляли в реакционную смесь при продувании аргоном с последующим добавлением Pd(dppf)Cl2·DCM (0,018 г, 0,022 ммоль). Смесь нагревали при 100°C в течение 16 ч. После охлаждения до к. т. реакционную смесь разбавляли водой и экстрагировали с помощью EtOAc дважды. Экстракты промывали солевым раствором, высушивали над Na2SO4, фильтровали и концентрировали при пониженном давлении. С помощью очистки препаративной HPLC (LUNA C18, 5 мкм, 21,2 × 250 мм; элюирование с помощью смеси вода:ACN) получали указанное в заголовке соединение (21 мг, 0,043 ммоль) в виде белого твердого вещества. 1H ЯМР (400 МГц, DMSO-d6) δ 11,72 (s, 1H), 7,44 (m, 1H), 7,25 (ddd, 1H), 6,93 (m, 1H), 6,75 (s, 1H), 6,24 (s, 1H), 4,50 (d, 2H), 2,85 (m, 2H), 2,67 (m, 2H), 2,41 (m, 4H), 2,09 (m, 4H), 1,91-1,77 (m, 4H), 1,63 (m, 2H). масса/заряд=491,2 [M+H]+; tR=1,49 минуты (LCMS способ j).
Пример 19. 9-(6-(4,4-Дифторциклогекс-1-ен-1-ил)-4-метил-3-оксо-3,4-дигидропиразин-2-ил)-1-(3,4-дифторфенил)-1,9-диазаспиро[5.5]ундекан-2-он
Стадия A. 9-(6-Бром-4-метил-3-оксо-3,4-дигидропиразин-2-ил)-1-(3,4-дифторфенил)-1,9-диазаспиро[5.5]ундекан-2-он
Смесь 1-(3,4-дифторфенил)-1,9-диазаспиро[5.5]ундекан-2-она (промежуточное соединение A, 0,630 г, 2,24 ммоль), 3,5-дибром-1-метилпиразин-2(1H)-она (0,600 г, 2,24 ммоль) и DIPEA (1,2 мл, 6,7 ммоль) в EtOH (8 мл) нагревали при 80°C в течение 12 ч. После охлаждения до к. т. реакционную смесь разбавляли водой и экстрагировали с помощью EtOAc дважды. Экстракты промывали солевым раствором, высушивали над Na2SO4, фильтровали и концентрировали при пониженном давлении. С помощью очистки хроматографией на силикагеле (2-7% MeOH в DCM) получали 9-(6-бром-4-метил-3-оксо-3,4-дигидропиразин-2-ил)-1-(3,4-дифторфенил)-1,9-диазаспиро[5.5]ундекан-2-он в виде светло-коричневого твердого вещества (0,770 г, 1,65 ммоль). Масса/заряд=469,05 [M+2]+
Стадия B. 9-(6-(4,4-Дифторциклогекс-1-ен-1-ил)-4-метил-3-оксо-3,4-дигидропиразин-2-ил)-1-(3,4-дифторфенил)-1,9-диазаспиро[5.5]ундекан-2-он.
9-(6-Бром-4-метил-3-оксо-3,4-дигидропиразин-2-ил)-1-(3,4-дифторфенил)-1,9-диазаспиро[5.5]ундекан-2-он (0,310 г, 0,660 ммоль) и 2-(4,4-дифторциклогекс-1-ен-1-ил)-4,4,5,5-тетраметил-1,3,2-диоксаборолан (0,200 г, 0,820 ммоль) перемешивали в DME (2,5 мл) и воде (1 мл) при к. т. при продувании аргоном в течение 10 мин. K2CO3 (0,177 г, 1,28 ммоль) добавляли в реакционную смесь при продувании аргоном с последующим добавлением Pd(dppf)Cl2·DCM (0,070 г, 0,086 ммоль). Смесь нагревали при 100°C в течение 16 ч. После охлаждения до к. т. реакционную смесь разбавляли водой и экстрагировали с помощью EtOAc дважды. Объединенные экстракты промывали солевым раствором, высушивали над Na2SO4, фильтровали и концентрировали при пониженном давлении. С помощью очистки препаративной HPLC (Waters ATLANTIS C18, 5 мкм, 21,2 × 250 мм; элюирование с помощью вода/(смесь ACN/MeOH с сотношением 1:1)) получали указанное в заголовке соединение (0,118 г, 0,233 ммоль) в виде коричневого твердого вещества. 1H ЯМР (400 МГц, DMSO-d6) δ 7,42-7,47 (m, 1H), 7,2-7,28 (m, 1H), 7,16 (s, 1H), 6,88-6,92 (m, 1H), 6,2 (m, 1H), 4,46 (d, 2H), 3,32 (s, 3H), 2,88 (t, 2H), 2,68 (t, 2H), 2,49-2,51 (m, 1H), 2,39-2,43 (m, 4H), 2,07-2,18 (m, 4H), 1,81-1,84 (m, 3H), 1,58-1,68 (m, 2H); масса/заряд=505,2 [M+H]+; tR=1,59 минуты (LCMS способ k).
Пример 20. 1-(4-Хлор-3-фторфенил)-9-(5-циклопентил-1,2,4-триазин-3-ил)-1,9-диазаспиро[5.5]ундекан-2-он
Стадия A. 2-Циклопентил-2-оксоацетальдегид
Смесь 1-циклопентилэтанона (236 мг, 2,10 ммоль) и диоксида селена (244 мг, 2,20 ммоль) в 1 мл диоксана и 0,1 мл воды перемешивали в течение ночи при 80°C. Темно-коричневую реакционную смесь фильтровали через хлопковую вату и промывали с помощью 4 мл воды. Фильтрат применяли без дополнительной очистки на следующей стадии.
Стадия B. 5-Циклопентил-3-(метилтио)-1,2,4-триазин
Добавляли бикарбонат натрия (168 мг, 2,00 ммоль) в реакционную смесь из предыдущей стадии. Белую суспензию охлаждали до 0-5°C и добавляли раствор метилгидразинкарбимидoтиоата гидройодида (373 мг, 1,60 ммоль) в 2 мл воды. Реакционную смесь перемешивали в течение 2 ч. при 0-5°C и затем разбавляли с помощью DCM и водой. Органические слои высушивали над Na2SO4, фильтровали и концентрировали. Неочищенный продукт адсорбировали на силикагель и очищали посредством хроматографии на силикагеле (0-50% EtOAc в циклогексане). Масса/заряд=196,2 [M+H]+; tR=1,02 мин. (LCMS способ a).
Стадия C. 1-(4-Хлор-3-фторфенил)-9-(5-циклопентил-1,2,4-триазин-3-ил)-1,9-диазаспиро[5.5]ундекан-2-он
MCPBA (134 мг, 0,584 ммоль) добавляли в охлажденный до 0°C раствор 5-циклопентил-3-(метилтио)-1,2,4-триазина (100 мг, 0,486 ммоль) в DMF (1 мл). Обеспечивали нагревание реакционной смеси до к. т. и перемешивали в течение 1,5 ч. Добавляли триэтиламин (340 мкл, 2,43 ммоль) и 1-(4-хлор-3-фторфенил)-1,9-диазаспиро[5.5]ундекан-2-он (промежуточное соединение B, 144 мг, 0,486 ммоль) и смесь перемешивали при к. т. в течение двух дней. Раствор гасили ледяной водой, экстрагировали с помощью DCM и экстракты концентрировали. Неочищенный продукт адсорбировали на силикагель и очищали посредством хроматографии на силикагеле (0-50% EtOAc в циклогексане) с последующим SFC (Princeton 4-этилпиридин 100Å, 30 × 250 мм, 5 мкм; 9-14% MeOH в CO2, 10 мин.) с получением указанного в заголовке соединения (28 мг, 0,060 ммоль). 1H ЯМР (400 МГц, DMSO-d6) δ=8,54 (s, 1H), 7,58 (dd, 1H), 7,23 (d, 1H), 6,96 (d, 1H), 4,54 (m, 1H), 4,08 (m, 2H), 3,18 (m, 4H), 3,05 (m, 3H), 2,45 (t, 2H), 2,18 (m, 2H), 1,9 (m, 4H), 1,5-1,7 (m, 5H) ppm; масса/заряд=444,2 [M+H]+; tR=1,16 минуты (LCMS способ a).
Пример 21. 1-(4-Хлор-3-фторфенил)-9-(5-(4-фторфенил)оксазол-2-ил)-1,9-диазаспиро[5.5]ундекан-2-он
Стадия A. 5-(4-Фторфенил)оксазол
Тозилметилизоцианат (787 мг, 3,95 ммоль) и K2CO3 (655 мг, 4,74 ммоль) добавляли в раствор 4-фторбензальдегида (0,425 мл, 3,95 ммоль) в 20 мл MeOH. Реакционную смесь перемешивали в течение 3 ч. при 80°C, затем 16 ч. при к. т. Реакционную смесь концентрировали, разбавляли водой и экстрагировали три раза этилацетатом. Органические экстракты высушивали над Na2SO4, фильтровали и концентрировали. С помощью очистки хроматографией на силикагеле (10-60% EtOAc в циклогексане) получали 5-(4-фторфенил)оксазол (539 мг, 3,14 ммоль). 1H ЯМР (600 МГц, DMSO-d6) δ=8,45 (s, 1H), 7,78 (m, 2H), 7,68 (s, 1H), 7,34 (m, 2H) ppm; масса/заряд=164,1 [M+H]+; tR=0,88 минуты (LCMS способ d).
Стадия B. 2-Хлор-5-(4-фторфенил)оксазол
LiHMDS (1,0 M в THF, 1,53 мл, 1,53 ммоль) добавляли по каплям в охлажденный до -78°C раствор 5-(4-фторфенил)оксазола (200 мг, 1,23 ммоль) в 10 мл THF. Реакционную смесь перемешивали в течение 30 мин. при -78°C. Затем данный раствор добавляли по каплям в суспензию гексахлорэтана (580 мг, 2,45 ммоль) в 5 мл THF при -78°C. Обеспечивали нагревание реакционной смеси до к. т. и дополнительно перемешивали при данной температуре в течение 12 ч. Смесь гасили насыщенным водным раствором NH4Cl и экстрагировали дважды с помощью EtOAc. Объединенные экстракты высушивали над Na2SO4, фильтровали и концентрировали. Неочищенный продукт очищали посредством хроматографии на силикагеле (50-100% DCM в циклогексане) с получением 2-хлор-5-(4-фторфенил)оксазола (61 мг, 0,31 ммоль). 1H ЯМР (600 МГц, DMSO-d6) δ=7,78 (s, 1H), 7,75 (m, 2H), 7,36 (m, 2H) ppm; масса/заряд=молекулярный ион не выявлен; tR=1,09 минуты (LCMS способ a).
Стадия C. 1-(4-Хлор-3-фторфенил)-9-(5-(4-фторфенил)оксазол-2-ил)-1,9-диазаспиро[5.5]ундекан-2-он
Смесь 2-хлор-5-(4-фторфенил)оксазола (57 мг, 0,288 ммоль), триэтиламина (0,11 мл, 0,81 ммоль) и 1-(4-хлор-3-фторфенил)-1,9-диазаспиро[5.5]ундекан-2-она (промежуточное соединение B, 80 мг, 0,27 ммоль) в 4 мл EtOH перемешивали в течение 3 ч. при 160°C. После охлаждения до к. т. реакционную смесь концентрировали, разбавляли этилацетатом и промывали солевым раствором. Органический слой высушивали над Na2SO4, фильтровали и концентрировали. С помощью очистки SFC (Princeton 2-этилпиридин 100Å, 5 мкм, 30 × 250 мм; 13-18% MeOH в CO2, 13 мин.) получали указанное в заголовке соединение (76 мг, 0,17 ммоль) в виде белого твердого вещества. 1H ЯМР (400 МГц, DMSO-d6) δ=7,61 (dd, 1H), 7,54 (dd, 2H), 7,27 (dd, 1H), 7,24 (s, 1H), 7,22 (dd, 2H), 6,98 (dd, 1H), 4,89 (m, 2H), 3,17 (m, 2H), 2,43 (t, 2H), 2,11 (m, 2H), 1,88 (m, 2H), 1,84 (m, 2H), 1,61 (m, 2H) ppm; масса/заряд=458,3 [M+H]+; tR=1,12 минуты (LCMS способ a).
Пример 22. 1-(4-Хлор-3-фторфенил)-9-(2-фенил-2H-тетразол-5-ил)-1,9-диазаспиро[5.5]ундекан-2-он
Стадия A. 1-(4-Хлор-3-фторфенил)-9-(1H-тетразол-5-ил)-1,9-диазаспиро[5.5]ундекан-2-он
Смесь азида натрия (515 мг, 7,92 ммоль), триэтиламина гидрохлорида (1,09 г, 7,92 ммоль) и 1-(4-хлор-3-фторфенил)-2-оксо-1,9-диазаспиро[5.5]ундекан-9-карбонитрила (850 мг, 2,64 ммоль) в 10 мл DMF нагревали при микроволновом излучении в течение 2 ч. при 130°C. Реакционную смесь фильтровали, разбавляли с помощью EtOAc и доводили значение pH до 5 путем добавления 4 н. HCl. Водный слой экстрагировали дважды с помощью EtOAc. Объединенные органические экстракты высушивали над Na2SO4, фильтровали и концентрировали. С помощью очистки хроматографией на силикагеле (0-30% MeOH в DCM) получали 1-(4-хлор-3-фторфенил)-9-(1H-тетразол-5-ил)-1,9-диазаспиро[5.5]ундекан-2-он. 1H ЯМР (400 МГц, DMSO-d6) δ=14,95 (br s, 1H), 7,60 (dd, 1H), 7,26 (d, 1H), 6,98 (dd, 1H), 3,67 (m, 2H), 3,17 (t, 2H), 2,43 (t, 2H), 2,09 (m, 2H), 1,8-1,88 (m, 4H), 1,62 (m, 2H) ppm; масса/заряд=365,2 [M+H]+; tR=0,65 минуты (LCMS способ a).
Стадия C. 1-(4-Хлор-3-фторфенил)-9-(2-фенил-2H-тетразол-5-ил)-1,9-диазаспиро[5.5]ундекан-2-он
В атмосфере аргона K2CO3 (62,5 мг, 0,452 ммоль), [Cu(OH)(™EDA)]2Cl2 (23 мг, 0,049 ммоль) и фенилбороновую кислоту (158 мг, 1,23 ммоль) добавляли в раствор 1-(4-хлор-3-фторфенил)-9-(1H-тетразол-5-ил)-1,9-диазаспиро[5.5]ундекан-2-она (промежуточное соединение B, 150 мг, 0,411 ммоль) в 3 мл DCM. Полученную смесь на мгновение помещали в вакуум перед добавлением баллона O2 и перемешивали при к. т. в течение 48 ч. Реакционную смесь фильтровали через целит и концентрировали. С помощью очистки хроматографией на силикагеле (0-5% MeOH в DCM) получали указанное в заголовке соединение (32 мг, 0,070 ммоль). 1H ЯМР (400 МГц, DMSO-d6) δ=7,93 (d, 2H), 7,58-7,62 (m, 3H), 7,51 (t, 1H), 7,26 (dd, 1H), 6,98 (d, 1H), 3,90 (m, 2H), 3,17-3,19 (m, 2H), 2,45 (t, 2H), 2,13 (m, 2H), 1,86-1,95 (m, 4H), 1,6-1,75 (m, 2H) ppm; масса/заряд=441,2 [M+H]+; tR=1,19 минуты (LCMS способ a).
Пример 23. 1-(4-Хлор-3-фторфенил)-9-(5-(3,3-дифторпирролидин-1-ил)-1,2,4-тиадиазол-3-ил)-1,9-диазаспиро[5.5]ундекан-2-он
Стадия A. 3-Хлор-5-(3,3-дифторпирролидин-1-ил)-1,2,4-тиадиазол
Смесь 3,5-дихлор-1,2,4-тиадиазола (150 мг, 0,968 ммоль), 3,3-дифторпирролидина гидрохлорида (167 мг, 1,16 ммоль) и триэтиламина (0,67 мл, 4,8 ммоль) в EtOH (1,5 мл) перемешивали в течение 1 ч. при к. т. Реакционную смесь разбавляли с помощью EtOAc и промывали водой. Органический слой высушивали над Na2SO4, фильтровали и выпаривали. С помощью очистки хроматографией на силикагеле (0-15% EtOAc в циклогексане) получали 3-хлор-5-(3,3-дифторпирролидин-1-ил)-1,2,4-тиадиазол (165 мг, 0,731 ммоль) в виде белого кристаллического твердого вещества. 1H ЯМР (400 МГц, DMSO-d6) δ=3,95 (t, 2H), 3,70 (m, 2H), 2,6-2,7 (m, 2H) ppm; масса/заряд=226,0 [M+H]+; tR=0,84 минуты (LCMS способ a).
Стадия B. 1-(4-Хлор-3-фторфенил)-9-(5-(3,3-дифторпирролидин-1-ил)-1,2,4-тиадиазол-3-ил)-1,9-диазаспиро[5.5]ундекан-2-он
Раствор 1-(4-хлор-3-фторфенил)-1,9-диазаспиро[5.5]ундекан-2-она (промежуточное соединение B, 100 мг, 0,337 ммоль), 3-хлор-5-(3,3-дифторпирролидин-1-ил)-1,2,4-тиадиазола (114 мг, 0,505 ммоль) и триэтиламина (0,14 мл, 1,0 ммоль) в DMF (1,5 мл) нагревали при микроволновом излучении в течение 3 ч. при 160°C. После охлаждения до к. т. реакционную смесь разбавляли с помощью EtOAc и промывали водой. Органический слой высушивали над Na2SO4, фильтровали и концентрировали. С помощью очистки SFC (Waters Atlantis HILIC silica, 30 × 250 мм, 5 мкм, 11-16% MeOH в CO2, 10 мин.) получали указанное в заголовке соединение (29 мг, 0,059 ммоль). 1H ЯМР (400 МГц, DMSO-d6) δ=7,60 (t, 1H), 7,23 (dd, 1H), 6,95 (dd, 1H), 4,05 (m, 2H), 3,8 (m, 2H), 3,55 (t, 2H), 3,0 (m, 2H), 2,55 (m, 2H), 2,45 (t, 2H), 2,1 (m, 2H), 1,8-1,9 (m, 4H), 1,45-1,6 (m, 2H) ppm; масса/заряд=486,2 [M+H]+; tR=1,10 минуты (LCMS способ a).
Применяя способы, подобные описанным для получения примера 23 с применением подходящих исходных материалов, получали следующие соединения:
1-(4-Хлор-3-фторфенил)-9-(5-(3-(трифторметил)азетидин-1-ил)-1,2,4-тиадиазол-3-ил)-1,9-диазаспиро[5.5]ундекан-2-он
1-(4-Хлор-3-фторфенил)-9-(5-(пирролидин-1-ил)-1,2,4-тиадиазол-3-ил)-1,9-диазаспиро[5.5]ундекан-2-он
Пример 26. 1-(4-Хлор-3-фторфенил)-9-(3-(4-фторфенил)-1H-1,2,4-триазол-5-ил)-1,9-диазаспиро[5.5]ундекан-2-он
Стадия A. Бис(1H-бензо[d][1,2,3]триазол-1-ил)метанимин
Бензотриазол (5,96 г, 50 ммоль) растворяли в EtOH (100 мл) и перемешивали при 0°C. Добавляли раствор BrCN (2,656 г, 25 ммоль) в 10 мл ацетона с последующим добавлением водного раствора NaOH (8,0 M, 3,1 мл, 25 ммоль). Полученную суспензию перемешивали в течение 20 мин. при 0°C. Белый осадок отфильтровывали, промывали с помощью ледяной EtOH и высушивали при пониженном давлении с получением неочищенного бис(1H-бензо[d][1,2,3]триазол-1-ил)метанимина. Масса/заряд=264,2 [M+H]+; tR=0,92 мин. (LCMS способ a).
Стадия B. 9-((1H-Бензо[d][1,2,3]триазол-1-ил)(имино)метил)-1-(4-хлор-3-фторфенил)-1,9-диазаспиро[5.5]ундекан-2-он
Суспензию 1-(4-хлор-3-фторфенил)-1,9-диазаспиро[5.5]ундекан-2-она (промежуточное соединение B, 100 мг, 0,337 ммоль) в THF (1 мл) добавляли по каплям в суспензию бис(1H-бензо[d][1,2,3]триазол-1-ил)метанимина в сухом THF (2,5 мл). Реакционную смесь перемешивали в течение ночи при к. т., разбавляли с помощью DCM, промывали с помощью раствора Na2CO3, высушивали над Na2SO4, фильтровали и концентрировали. Неочищенный продукт применяли на следующей стадии без дополнительной очистки. Масса/заряд=441,2 [M+H]+ ; tR=0,65 мин. (LCMS способ a).
Стадия C. (E)-N-((1H-Бензо[d][1,2,3]триазол-1-ил)(1-(4-хлор-3-фторфенил)-2-оксо-1,9-диазаспиро[5.5]ундекан-9-ил)метилен)-4-фторбензамид
4-Фторбензоилхлорид (37 мг, 0,23 ммоль) и TEA (32 мкл, 0,23 ммоль) добавляли в раствор 9-((1H-бензо[d][1,2,3]триазол-1-ил)(имино)метил)-1-(4-хлор-3-фторфенил)-1,9-диазаспиро[5.5]ундекан-2-она (170 мг, 0,231 ммоль) в DCM (2,5 мл). Полученную смесь перемешивали в течение ночи при к. т., разбавляли с помощью DCM и промывали водой. Органический слой высушивали над Na2SO4, фильтровали и концентрировали. С помощью очистки хроматографией на силикагеле (0-100% EtOAc в циклогексане с последующим 0-10% MeOH в DCM) получали (E)-N-((1H-бензо[d][1,2,3]триазол-1-ил)(1-(4-хлор-3-фторфенил)-2-оксо-1,9-диазаспиро[5.5]ундекан-9-ил)метилен)-4-фторбензамид (31 мг, 0,05 ммоль). Масса/заряд=563,3 [M+H]+; tR=1,10 мин. (LCMS способ a).
Стадия D. 1-(4-Хлор-3-фторфенил)-9-(3-(4-фторфенил)-1H-1,2,4-триазол-5-ил)-1,9-диазаспиро[5.5]ундекан-2-он
Гидразин (1,0 M в THF, 0,06 мл, 0,06 ммоль) добавляли в раствор (E)-N-((1H-бензо[d][1,2,3]триазол-1-ил)(1-(4-хлор-3-фторфенил)-2-оксо-1,9-диазаспиро[5.5]ундекан-9-ил)метилен)-4-фторбензамида (34 мг, 0,06 ммоль) в DCM (0,5 мл). После перемешивания в течение ночи при к. т. добавляли дополнительное количество гидразина (1,0 M в THF, 0,06 мл, 0,06 ммоль) и перемешивание продолжали дополнительно в течение часа. Реакционную смесь разбавляли с помощью DCM, промывали водным раствором Na2CO3, высушивали над Na2SO4, фильтровали и концентрировали. С помощью очистки хроматографией на силикагеле (0-20% MeOH в DCM) получали указанное в заголовке соединение. 1H ЯМР (400 МГц, DMSO-d6) δ=12,55 (s, 1H), 7,90 (dd, 2H), 7,60 (t, 1H), 7,24 (m, 3H), 6,98 (d, 1H), 3,75 (m, 2H), 3,0 (m, 2H), 2,43 (t, 2H), 2,10 (m, 2H), 1,85 (m, 4H), 1,63 (m, 2H) ppm; масса/заряд=458,2 [M+H]+; tR=0,96 минуты (LCMS способ a).
Пример 27. 1-(4-Хлор-3-фторфенил)-9-(5-циклогексилоксазол-2-ил)-1,9-диазаспиро[5.5]ундекан-2-он
Метансульфоновую кислоту (0,017 мл, 0,26 ммоль) добавляли в смесь 1-(4-хлор-3-фторфенил)-2-оксо-1,9-диазаспиро[5.5]ундекан-9-карбонитрила (140 мг, 0,435 ммоль), 2-пиколин-N-оксида (47 мг, 0,44 ммоль), Ph3PAuNTf2 (соотношение 2:1 толуол аддукт, 17 мг, 0,019 ммоль) и этинилциклогексана (0,028 мл, 0,218 ммоль) в 2 мл хлорбензола. Реакционную смесь перемешивали в течение 16 ч. при 60°C. После охлаждения до к. т. смесь разбавляли с помощью DCM и промывали 5% раствором K2CO3 и солевым раствором. Органический слой высушивали над Na2SO4, фильтровали и концентрировали. С помощью очистки хроматографией на силикагеле (0-10% MeOH в DCM) с последующей SFC (Reprospher PEI 100Å, 5 мкм, 30 × 250 мм; 7-17% MeOH в CO2, 10 мин.) получали указанное в заголовке соединение (7 мг, 0,012 ммоль). 1H ЯМР (600 МГц, DMSO-d6) δ=7,60 (dd, 1H), 7,23 (dd, 1H), 6,95 (d, 1H), 6,33 (d, 1H), 3,68 (m, 2H), 3,03 (t, 2H), 2,41 (t, 2H), 2,07 (m, 2H), 1,80-1,84 (m, 5H), 1,56-1,67 (m, 6H), 1,15-1,29 (m, 6H) ppm; масса/заряд=446,4 [M+H]+; tR=1,23 минуты (LCMS способ a).
Пример 28. 1-(4-Хлор-3-фторфенил)-9-(5-фенил-1,3,4-оксадиазол-2-ил)-1,9-диазаспиро[5.5]ундекан-2-он
Раствор 5-фенил-1,3,4-оксадиазол-2-тиола (54 мг, 0,303 ммоль) и 1-(4-хлор-3-фторфенил)-1,9-диазаспиро[5.5]ундекан-2-она (промежуточное соединение B, 90 мг, 0,30 ммоль) в EtOH (0,8 мл) нагревали при микроволновом излучении в течение 8 ч. при 160°C. После охлаждения до к. т. реакционную смесь концентрировали. С помощью очистки SFC (Reprosphere PEI 100Å, 30 × 250, 5 мкм, 11-16% MeOH в CO2, 10 мин.) получали указанное в заголовке соединение (33 мг, 0,071 ммоль). 1H ЯМР (400 МГц, DMSO-d6) δ=7,82-7,86 (m, 2H), 7,61 (t, 1H), 7,51 (m, 3H), 7,26 (dd, 1H), 6,99 (d, 1H), 3,83 (m, 2H), 3,29 (m, 2H), 2,45 (t, 2H), 2,13 (m, 2H), 1,95 (m, 2H), 1,86 (m, 2H), 1,68 (m, 2H) ppm; масса/заряд=441,2 [M+H]+; tR=0,99 минуты (LCMS способ a).
Пример 29. 1-(4-Хлор-3-фторфенил)-9-(1-(4-фторфенил)-1H-1,2,3-триазол-4-ил)-1,9-диазаспиро[5.5]ундекан-2-он
Стадия A. 1-(4-Фторфенил)-1H-1,2,3-триазол
Пропиоловую кислоту (0,20 мл, 3,3 ммоль), аскорбат натрия (174 мг, 0,875 ммоль), DBU (0,17 мл, 1,1 ммоль) и йодид меди(I) (83 мг, 0,44 ммоль) добавляли в раствор 1-азидо-4-фторбензола (4,38 мл, 2,19 ммоль) в DMF (10 мл). Реакционную смесь перемешивали в течение 3 ч. при 60°C, охлаждали до к. т., разбавляли с помощью EtOAc и промывали водой. Органический слой высушивали над Na2SO4 и концентрировали. С помощью очистки хроматографией на силикагеле (20-70% EtOAc в циклогексане) получали 1-(4-фторфенил)-1H-1,2,3-триазол (295 мг, 1,77 ммоль) в виде желтого твердого вещества. 1H ЯМР (600 МГц, DMSO-d6) δ=8,82 (d, 1H), 7,98 (d, 1H), 7,97-7,91 (m, 2H), 7,48-7,45 (m, 2H) ppm; масса/заряд=164,1 [M+H]+; tR=0,70 минуты (LCMS способ a).
Стадия B. 1-(4-Фторфенил)-1H-1,2,3-триазол-3-оксид
MCPBA (402 мг, 2,33 ммоль) добавляли в раствор 1-(4-фторфенил)-1H-1,2,3-триазола (292 мг, 1,79 ммоль) в EtOAc (2 мл). Реакционную смесь перемешивали в течение 72 ч. при к. т. Смесь разбавляли с помощью DCM и промывали с помощью 1 M NaOH. Органический слой высушивали над Na2SO4 и концентрировали. С помощью очистки хроматографией на силикагеле (80-100% EtOAc в циклогексан с последующей 0-20% MeOH в DCM) получали 1-(4-фторфенил)-1H-1,2,3-триазол-3-оксид (177 мг, 0,988 ммоль) в виде белого твердого вещества. 1H ЯМР (600 МГц, DMSO-d6) δ=8,92 (d, 1H), 7,94 (d, 1H), 7,87-7,80 (m, 2H), 7,50-7,42 (m, 2H) ppm; масса/заряд=180,1 [M+H]+; tR=0,46 минуты (LCMS способ a).
Стадия C. 4-Бром-1-(4-фторфенил)-1H-1,2,3-триазол-3-оксид
Бром (0,204 мл, 3,95 ммоль) добавляли по каплям в раствор 1-(4-фторфенил)-1H-1,2,3-триазол-3-оксида (177 мг, 0,988 ммоль) и Na2CO3 (209 мг, 1,98 ммоль) в смеси CHCl3 (0,6 мл) и воды (0,8 мл), охлажденной до 0°C. Реакционную смесь перемешивали в течение 12 ч. при к. т. Добавляли 10% водный раствор тиосульфата натрия и перемешивание продолжали в течение 30 мин. при к. т. Смесь экстрагировали три раза с помощью DCM. Объединенные органические слои промывали солевым раствором, высушивали над Na2SO4 и концентрировали. С помощью очистки хроматографией на силикагеле (0-6% MeOH в DCM) получали 4-бром-1-(4-фторфенил)-1H-1,2,3-триазол-3-оксид (204 мг, 0,791 ммоль) в виде белого кристаллического твердого вещества. 1H ЯМР (600 МГц, DMSO-d6) δ=9,24 (s, 1H), 7,85-7,78 (m, 2H), 7,52-7,43 (m, 2H) ppm. масса/заряд=258,1, 260,1 [M+H]+; tR=0,59 минуты (LCMS способ a).
Стадия D. 4-Бром-1-(4-фторфенил)-1H-1,2,3-триазол
PCl3 (2,00 мл, 22,9 ммоль) добавляли в 4-бром-1-(4-фторфенил)-1H-1,2,3-триазол-3-оксид (200 мг, 0,775 ммоль) и реакционную смесь перемешивали в течение 1 ч. при 80°C. Смесь гасили водой и экстрагировали дважды с помощью DCM. Объединенные органические слои высушивали над Na2SO4 и концентрировали. Полученный неочищенный 4-бром-1-(4-фторфенил)-1H-1,2,3-триазол (177 мг) применяли на следующей стадии без дополнительной очистки. 1H ЯМР (600 МГц, DMSO-d6) δ=9,12 (s, 1H), 7,98-7,92 (m, 2H), 7,54-7,45 (m, 2H) ppm; масса/заряд=242,1, 244,1 [M+H]+; tR=0,94 минуты (LCMS способ a).
Стадия E. 1-(4-Хлор-3-фторфенил)-9-(1-(4-фторфенил)-1H-1,2,3-триазол-4-ил)-1,9-диазаспиро[5.5]ундекан-2-он
4-Бром-1-(4-фторфенил)-1H-1,2,3-триазол (80 мг, 0,329 ммоль), BrettPhos Precat G1 (22,42 мг, 0,025 ммоль) и трет-бутоксид натрия (60,7 мг, 0,632 ммоль) добавляли в раствор 1-(4-хлор-3-фторфенил)-1,9-диазаспиро[5.5]ундекан-2-она (промежуточное соединение B, 75 мг, 0,253 ммоль) в диоксане (3 мл). Реакционную смесь нагревали при микроволновом излучении в течение 2 ч. при 120°C, охлаждали до к. т., выпаривали, разбавляли с помощью EtOAc и промывали насыщенным водным раствором NaHCO3. Органический слой высушивали над Na2SO4 и концентрировали. С помощью очистки SFC (Princeton 4-этилпиридин 60Å, 30 × 250 мм, 5 мкм, 5-25% MeOH в CO2, 17 мин.) получали указанное в заголовке соединение (8 мг, 0,02 ммоль) в виде белого твердого вещества. 1H ЯМР (600 МГц, DMSO-d6) δ=8,11 (s, 1H), 7,87-7,81 (m, 2H), 7,62 (dd, 1H), 7,42 (dd, 2H), 7,27 (dd, 1H), 7,00 (m, 1H), 3,55 (m, 2H), 2,87 (m, 2H), 2,43 (t, 2H), 2,08 (m, 2H), 1,90-1,82 (m, 4H), 1,72 (m, 2H) ppm; масса/заряд=458,1 [M+H]+; tR=1,05 минуты (LCMS способ a).
Пример 30. 1-(4-Хлор-3-фторфенил)-9-(1-(4-фторфенил)-1H-пиразол-3-ил)-1,9-диазаспиро[5.5]ундекан-2-он
Стадия A. 1-(4-Фторфенил)-3-йод-1H-пиразол
1-Фтор-4-йодбензол (0,476 мл, 4,08 ммоль), CuI (13 мг, 0,068 ммоль), транс-N, N'-диметилциклогексан-1,2-диамин (0,043 мл, 0,27 ммоль) и K2CO3 (564 мг, 4,08 ммоль) добавляли в раствор 3-бром-1H-пиразола (200 мг, 1,36 ммоль) в толуоле (12 мл). Реакционную смесь перемешивали в течение 72 ч. при 100°C, охлаждали до к. т., концентрировали, разбавляли с помощью EtOAc и промывали солевым раствором. Органический слой высушивали над Na2SO4 и концентрировали. С помощью очистки хроматографией на силикагеле (0-20% EtOAc в циклогексане) получали 1-(4-фторфенил)-3-йод-1H-пиразол (204 мг, 0,673 ммоль) в виде бледно-желтого твердого вещества. 1H ЯМР (600 МГц, DMSO-d6) δ=8,40 (d, 1H), 7,83 (m, 2H), 7,35 (m, 2H), 6,78 (d, 1H) ppm; масса/заряд=289,1 [M+H]+; tR=1,13 минуты (LCMS способ a).
Стадия B. 1-(4-Хлор-3-фторфенил)-9-(1-(4-фторфенил)-1H-пиразол-3-ил)-1,9-диазаспиро[5.5]ундекан-2-он
1-(4-Фторфенил)-3-йод-1H-пиразол (93 мг, 0,323 ммоль), BrettPhos Precat G1 (24 мг, 0,027 ммоль) и трет-бутоксид натрия (78 мг, 0,81 ммоль) добавляли в раствор 1-(4-хлор-3-фторфенил)-1,9-диазаспиро[5.5]ундекан-2-она (промежуточное соединение B, 80 мг, 0,27 ммоль) в диоксане (4 мл). Реакционную смесь нагревали при микроволновом излучении в течение 12 ч. при 100°C, охлаждали до к. т., концентрировали, разбавляли с помощью EtOAc и промывали солевым раствором. Органический слой высушивали над Na2SO4 и концентрировали. С помощью очистки SFC (Reprospher PEI, 30 × 205 мм, 5 мкм, 10-15% MeOH в CO2, 10 мин.) получали указанное в заголовке соединение (39 мг, 0,083 ммоль) в виде белого твердого вещества. 1H ЯМР (400 МГц, DMSO-d6) δ=8,21 (s, 1H), 7,67 (m, 2H), 7,61 (m, 1H), 7,24 (m, 3H), 6,98 (m, 1H), 6,01 (s, 1H), 3,60 (m, 2H), 2,85 (t, 2H), 2,42 (m, 2H), 2,07 (m, 2H), 1,85 (m, 4H), 1,67 (m, 2H) ppm; масса/заряд=457,4 [M+H]+; tR=1,21 минуты (LCMS способ a).
Пример 31. 1-(4-Хлор-3-фторфенил)-9-(2-(4-фторфенил)-2H-1,2,3-триазол-4-ил)-1,9-диазаспиро[5.5]ундекан-2-он
Стадия A. 2-(4-Фторфенил)-4-нитро-2H-1,2,3-триазол
(4-Фторфенил)бороновую кислоту (6,13 г, 43,8 ммоль), медь-(II)-ацетат (5,97 г, 32,9 ммоль) и пиридин (3,6 мл, 44 ммоль) добавляли в раствор 4-нитро-2H-1,2,3-триазола (2,50 г, 21,9 ммоль) в DCE (70 мл). Реакционную смесь перемешивали в течение 12 ч. при к. т., фильтровали через слой целита, разбавляли с помощью DCM и промывали водой, раствором NaHCO3 и солевым раствором. Органический слой высушивали над Na2SO4 и концентрировали. С помощью очистки хроматографией на силикагеле (0-30% EtOAc в циклогексане) получали 2-(4-фторфенил)-4-нитро-2H-1,2,3-триазол (930 мг, 4,47 ммоль) в виде белого твердого вещества. Масса/заряд=молекулярный ион не выявлен; tR=1,05 мин. (LCMS способ a).
Стадия B. 2-(4-Фторфенил)-2H-1,2,3-триазол-4-амин
Уксусную кислоту (2,6 мл, 45 ммоль) и железо (1,25 г, 22,3 ммоль) добавляли в раствор 2-(4-фторфенил)-4-нитро-2H-1,2,3-триазола (930 мг, 4,47 ммоль) в THF (30 мл). Реакционную смесь перемешивали в течение 12 ч. при 80°C. Добавляли дополнительное количество AcOH (2,56 мл, 44,7 ммоль) и железо (500 мг, 8,95 ммоль) и смесь перемешивали в течение 3 ч. при 80°C. Смесь фильтровали через слой целита, разбавляли с помощью EtOAc и промывали насыщенным раствором NaHCO3 и солевым раствором. Органический слой высушивали над Na2SO4 и концентрировали. С помощью очистки хроматографией на силикагеле (0-56% EtOAc в циклогексане) получали 2-(4-фторфенил)-2H-1,2,3-триазол-4-амин (690 мг, 3,37 ммоль) в виде белого твердого вещества. 1H ЯМР (600 МГц, DMSO-d6) δ=7,80 (m, 2H), 7,32 (m, 2H), 7,25 (s, 1H), 5,52 (br s, 2H) ppm; масса/заряд=179,1 [M+H]+; tR=0,80 минуты (LCMS способ a).
Стадия C. 4-Бром-2-(4-фторфенил)-2H-1,2,3-триазол
Раствор 2-(4-фторфенил)-2H-1,2,3-триазол-4-амина (300 мг, 1,68 ммоль) в 7 мл ацетонитрила добавляли по каплям в раствор бромида меди(II) (451 мг, 2,02 ммоль) и трет-бутил-нитрита (0,36 мл, 2,7 ммоль) в ацетонитриле (7 мл). Реакционную смесь перемешивали в течение 2 ч. при к. т., разбавляли с помощью EtOAc и промывали солевым раствором. Органический слой высушивали над Na2SO4 и концентрировали. С помощью очистки хроматографией на силикагеле (0-24% EtOAc в циклогексане) получали 4-бром-2-(4-фторфенил)-2H-1,2,3-триазол (330 мг, 1,27 ммоль). 1H ЯМР (600 МГц, DMSO-d6) δ=8,35 (s, 1H), 8,01 (m, 2H), 7,43 (m, 2H) ppm; tR=0,80 минуты (LCMS способ a)
Стадия D. 1-(4-Хлор-3-фторфенил)-9-(2-(4-фторфенил)-2H-1,2,3-триазол-4-ил)-1,9-диазаспиро[5.5]ундекан-2-он
4-Бром-2-(4-фторфенил)-2H-1,2,3-триазол (73,4 мг, 0,303 ммоль), BrettPhos Precat G1 (29,9 мг, 0,034 ммоль) и трет-бутоксид натрия (81 мг, 0,842 ммоль) добавляли в раствор 1-(4-хлор-3-фторфенил)-1,9-диазаспиро[5.5]ундекан-2-она (промежуточное соединение B, 100 мг, 0,337 ммоль) в диоксане (3 мл). Реакционную смесь нагревали при микроволновом излучении в течение 3 ч. при 120°C, охлаждали до к. т., концентрировали, разбавляли с помощью EtOAc и промывали насыщенным раствором NaHCO3 и солевым раствором. Органический слой высушивали над Na2SO4 и концентрировали. С помощью очистки хроматографией на силикагеле (50-100% EtOAc в циклогексане с последующим 0-5% MeOH в EtOAc), затем посредством SFC (Reprosil NH2, 5 мкм, 30 × 250 мм; 18-23% MeOH в CO2, 10 мин.) получали указанное в заголовке соединение (8 мг, 0,02 ммоль) в виде белого твердого вещества. 1H ЯМР (600 МГц, DMSO-d6) δ=7,83 (dd, 2H), 7,61 (m, 2H), 7,32 (dd, 2H), 7,27 (dd, 1H), 6,99 (d, 1H), 3,62 (m, 2H), 2,98 (m, 2H), 2,43 (t, 2H), 2,09 (m, 2H), 1,82-1,88 (m, 4H), 1,66-1,72 (m, 2H) ppm; масса/заряд=458,3 [M+H]+; tR=1,27 минуты (LCMS способ a).
Пример 32. 1-(4-Хлорфенил)-9-(6-(4-фторфенил)пиридин-2-ил)-1,9-диазаспиро[5.5]ундекан-2-он
Стадия A. 2-Хлор-6-(4-фторфенил)пиридин
2-Бром-6-хлорпиридин (1,00 г, 5,19 ммоль), (4-фторфенил)бороновую кислоту (1,09 г, 7,79 ммоль) и 2 M раствор Na2CO3 (2 мл, 4 ммоль) растворяли в 10 мл смеси толуола и EtOH и продували аргоном в течение 30 мин. Затем добавляли Pd(PPh3)4 (300 мг, 0,25 ммоль) и реакционную смесь перемешивали в течение 12 ч. при 100°C. После охлаждения до к. т. реакционную смесь концентрировали. С помощью очистки хроматографией на силикагеле (1-2% EtOAc в петролейном эфире) получали 2-хлор-6-(4-фторфенил)пиридин. Масса/заряд=184,1 [M+H]+, tR=2,23 мин. (LCMS способ a)
Стадия B. 1-(4-Хлорфенил)-9-(6-(4-фторфенил)пиридин-2-ил)-1,9-диазаспиро[5.5]ундекан-2-он
2-Хлор-6-(4-фторфенил)пиридин (50 мг, 0,241 ммоль), 1-(4-хлорфенил)-1,9-диазаспиро[5.5]ундекан-2-он (промежуточное соединение C, 99 мг, 0,27 ммоль) и NaOtBu (35 мг, 0,36 ммоль) растворяли в 10 мл смеси толуола и EtOH и продували аргоном в течение 30 мин. Затем добавляли Pd2(dba)3 (12 мг, 0,012 ммоль) и Dave-phos (10 мг, 0,024 ммоль) и реакционную смесь перемешивали в течение 16 ч. при 100°C. Реакционную смесь охлаждали до к. т. и концентрировали. С помощью очистки препаративной HPLC получали указанное в заголовке соединение (14 мг, 0,030 ммоль) в виде белого твердого вещества. 1H ЯМР (400 МГц, DMSO-d6) δ=8,03 (dd, 2H), 7,55 (dd, 1H), 7,42 (d, 2H), 7,25 (dd, 2H), 7,14 (d, 1H), 7,09 (d, 2H), 6,70 (d, 1H), 4,25 (m, 2H), 2,95 (br t, 2H), 2,44 (t, 2H), 2,13 (m, 2H), 1,85-1,90 (m, 4H), 1,57-1,64 (dt, 2H) ppm; масса/заряд=450,2 [M+H]+; tR=2,38 минуты (LCMS способ d)
Пример 33. 2-(1-(4-Хлор-3-фторфенил)-2-оксо-1,9-диазаспиро[5.5]ундекан-9-ил)-4-(4-фторфенил)пиридин-1-оксид
Стадия A. 4-Бром-2-хлорпиридин-1-оксид
MCPBA (1,569 г, 9,09 ммоль) добавляли порциями в раствор 4-бром-2-хлорпиридина (0,50 г, 2,6 ммоль) в DCM (24 мл). Реакционную смесь перемешивали в течение ночи при 50°C, охлаждали до к. т., разбавляли с помощью EtOAc и промывали водой, насыщенным водным раствором бисульфита натрия и раствором NaHCO3. Органический слой высушивали над Na2SO4, фильтровали и концентрировали. С помощью очистки хроматографией на силикагеле (50-75% EtOAc в циклогексане) с последующей SFC (Reprosphere PEI 100Å, 5 мкм, 30 × 250 мм; 2-7% MeOH в CO2, 10 мин.) получали 4-бром-2-хлорпиридин-1-оксид (78 мг, 0,37 ммоль). 1H ЯМР (400 МГц, DMSO-d6) δ=8,36 (d, 1H), 8,19 (d, 1H), 7,66 (dd, 1H) ppm; масса/заряд=208,0, 210,0, 212,0 [M+H]+; tR=0,45 минуты (LCMS способ a)
Стадия B. 4-Бром-2-(1-(4-хлор-3-фторфенил)-2-оксо-1,9-диазаспиро[5.5]ундекан-9-ил)пиридин-1-оксид
1-(4-Хлор-3-фторфенил)-1,9-диазаспиро[5.5]ундекан-2-он (промежуточное соединение B, 111 мг, 0,374 ммоль) и NaHCO3 (29 мг, 0,34 ммоль) добавляли в раствор 4-бром-2-хлорпиридин-1-оксида (65 мг, 0,31 ммоль) в 1 мл трет-амиловом спирте. Реакционную смесь нагревали с обратным холодильником в течение ночи при 110°C. После охлаждения до к. т. смесь разбавляли с помощью EtOAc и промывали водой. Объединенные органические слои высушивали над Na2SO4, фильтровали и концентрировали. Неочищенный продукт очищали хроматографией на силикагеле (0-10% EtOAc в циклогексане). 1H ЯМР (400 МГц, DMSO-d6) δ=7,99 (d, 1H), 7,65 (dd, 1H), 7,29 (d, 1H), 7,14-7,16 (m, 2H), 7,01 (d, 1H), 3,76 (m, 2H), 2,84 (br t, 2H), 2,43 (t, 2H), 2,10-2,18 (m, 2H), 1,8-1,9 (m, 4H), 1,7 (m, 2H) ppm; масса/заряд=468,2, 470,2 [M+H]+; tR=0,80 минуты (LCMS способ a).
Стадия C. 2-(1-(4-Хлор-3-фторфенил)-2-оксо-1,9-диазаспиро[5.5]ундекан-9-ил)-4-(4-фторфенил)пиридин-1-оксид
K3PO4 (160 мг, 0,755 ммоль) и PdCl2(dtbpf) (16 мг, 0,025 ммоль) добавляли в раствор 4-бром-2-(1-(4-хлор-3-фторфенил)-2-оксо-1,9-диазаспиро[5.5]ундекан-9-ил)пиридин-1-оксида (118 мг, 0,250 ммоль) и пинаколового сложного эфира 4-фторфенилбороновой кислоты (56 мг, 0,25 ммоль) в 1,3 мл диоксана и 0,43 мл воды. Реакционную смесь нагревали при микроволновом излучении в течение 45 мин. при 110°C. После охлаждения до к. т. смесь концентрировали. С помощью очистки хроматографией на силикагеле (0-7% MeOH в DCM) получали указанное в заголовке соединение (52 мг, 0,11 ммоль). 1H ЯМР (400 МГц, DMSO-d6) δ=8,12 (d, 1H), 7,83 (d, 1H), 7,82 (d, 1H), 7,66 (t, 1H), 7,2-7,35 (m, 5H), 7,03 (d, 1H), 3,84 (m, 2H), 2,87 (br t, 2H), 2,43 (t, 2H), 2,15 (m, 2H), 1,8-1,9 (m, 4H), 1,7-1,8 (m, 2H) ppm; масса/заряд=484,3 [M+H]+; tR=0,92 минуты (LCMS способ a).
Пример 34. 4-(3-Хлорфенокси)-2-(1-(3,4-дифторфенил)-2-оксо-1,9-диазаспиро[5.5]ундекан-9-ил)пиридин-1-оксид
Указанное в заголовке соединение синтезировали аналогично примеру 33, начиная с 2-хлор-4-(3-хлорфенокси)пиридина. 1H ЯМР (300 МГц, DMSO-d6) δ 8,02 (d, 1H), 7,56-7,41 (m, 2H), 7,35-7,21 (m, 3H), 7,07-7,10 (m, 1H), 6,95-6,98 (m, 1H), 6,66 (d, 1H), 6,57 (dd, 1H), 3,83 (d, 2H), 2,77 (t, 2H), 2,41 (t, 2H), 2,02-2,12 (m, 2H), 1,62-1,86 (m, 6H); масса/заряд=500,2 [M+H]+; tR=1,34 минуты (LCMS способ l)
Пример 35a. 9-(2-(5-Азаспиро[2.3]гексан-5-ил)пиримидин-4-ил)-1-(4-хлор-3-фторфенил)-1,9-диазаспиро[5.5]ундекан-2-он
и
пример 35b. 9-(4-(5-Азаспиро[2.3]гексан-5-ил)пиримидин-2-ил)-1-(4-хлор-3-фторфенил)-1,9-диазаспиро[5.5]ундекан-2-он
Стадия A. 2-Хлор-4-(5-азаспиро[2.3]гексан-5-ил)пиримидин и 5-(4-хлорпиримидин-2-ил)-5-азаспиро[2.3]гексан
Смесь 2,4-дихлорпиримидина (96 мг, 0,52 ммоль), 5-азаспиро[2.3]гексана (60 мг, 0,47 ммоль) и триэтиламина (65 мкл, 0,47 ммоль) в DMF (1,5 мл) перемешивали в течение 18 ч. при к. т. Посредством хроматографии на силикагеле (этилацетат) получали смесь 5-(2-хлорпиримидин-4-ил)-5-азаспиро[2.3]гексана и 5-(4-хлорпиримидин-2-ил)-5-азаспиро[2.3]гексана, которые непосредственно применяли на следующей стадии. Масса/заряд=195,9.
Стадия B. 9-(2-(5-Азаспиро[2.3]гексан-5-ил)пиримидин-4-ил)-1-(4-хлор-3-фторфенил)-1,9-диазаспиро[5.5]ундекан-2-он и 9-(4-(5-азаспиро[2.3]гексан-5-ил)пиримидин-2-ил)-1-(4-хлор-3-фторфенил)-1,9-диазаспиро[5.5]ундекан-2-он
Смесь 5-(2-хлорпиримидин-4-ил)-5-азаспиро[2.3]гексана и 5-(4-хлорпиримидин-2-ил)-5-азаспиро[2.3]гексана со стадии A, 1-(4-хлор-3-фторфенил)-1,9-диазаспиро[5.5]ундекан-2-она (промежуточное соединение B, 111 мг, 0,375 ммоль) и триэтиламина (0,16 мл, 1,1 ммоль) в 1 мл EtOH перемешивали в микроволновой печи в течение 1 ч. при 160°C. Реакционную смесь концентрировали и неочищенные продукты очищали посредством хроматографии на силикагеле (0-15% MeOH в DCM) с последующей препаративной HPLC (XBridge Phenyl OBD, 5 мкм, 30 × 100 мм; подвижная фаза A: 0,1% NH4OH, подвижная фаза B: ACN; 30 мл/мин.; 28-58% ACN в течение 15 мин.) с получением региоизомерных продуктов:
Пример 35a. 9-(2-(5-Азаспиро[2.3]гексан-5-ил)пиримидин-4-ил)-1-(4-хлор-3-фторфенил)-1,9-диазаспиро[5.5]ундекан-2-он. 1H ЯМР (400 МГц, метанол-d4) δ ppm 7,73 (d, J=6,36 Гц, 1 H) 7,51 (t, J=8,38 Гц, 1 H) 7,07 (dd, J=9,90, 2,20 Гц, 1 H) 6,93 (dt, J=8,44, 1,04 Гц, 1 H) 6,01 (d, J=6,36 Гц, 1 H) 4,30 (br d, J=12,35 Гц, 2 H) 4,04 (s, 4 H) 3,01 (br t, J=12,41 Гц, 2 H) 2,57 (t, J=6,79 Гц, 2 H) 2,24 (br s, 2 H) 1,86-2,02 (m, 4 H) 1,62-1,75 (m, 2 H) 0,66 (s, 4 H); масса/заряд=456,2 [M+H]+; tR=0,77 минуты (LCMS способ a).
Пример 35b. 9-(4-(5-Азаспиро[2.3]гексан-5-ил)пиримидин-2-ил)-1-(4-хлор-3-фторфенил)-1,9-диазаспиро[5.5]ундекан-2-он. 1H ЯМР (400 МГц, метанол-d4) δ ppm 7,73 (d, J=5,87 Гц, 1 H) 7,49 (t, J=8,15 Гц, 1 H) 7,06 (dd, J=9,90, 2,20 Гц, 1 H) 6,91 (d, J=8,68 Гц, 1 H) 5,63 (d, J=5,99 Гц, 1 H) 4,41-4,55 (m, 2 H) 3,96-4,09 (m, 4 H) 2,90-3,00 (m, 2 H) 2,57 (t, J=6,79 Гц, 2 H) 2,16-2,28 (m, 2 H) 1,81-2,04 (m, 4 H) 1,67 (td, J=12,65, 4,40 Гц, 2 H) 0,63-0,71 (m, 4 H); масса/заряд=456,3 [M+H]+; tR=0,81 минуты (LCMS способ a).
Применяя способы, подобные описанным для получения примеров 35a и 35b с применением подходящих спироциклических пиперидиновых промежуточных соединений и комерчески доступных аминов для стадии A, получали следующие соединения:
1-(4-Хлор-3-фторфенил)-9-(5-фтор-6-(пирролидин-1-ил)пиримидин-4-ил)-1,9-диазаспиро[5.5]ундекан-2-он
1-(4-Хлор-3-фторфенил)-9-(5-фтор-6-(3-(трифторметил)азетидин-1-ил)пиримидин-4-ил)-1,9-диазаспиро[5.5]ундекан-2-он
1-(4-Хлор-3-фторфенил)-9-(4-(пирролидин-1-ил)-1,3,5-триазин-2-ил)-1,9-диазаспиро[5.5]ундекан-2-он
9-(4-(4-Амино-4-(трифторметил)пиперидин-1-ил)пиримидин-2-ил)-1-(3,4-дифторфенил)-1,9-диазаспиро[5.5]ундекан-2-он
1-(3,4-Дифторфенил)-9-(4-(4-гидрокси-4-(трифторметил)пиперидин-1-ил)-1,3,5-триазин-2-ил)-1,9-диазаспиро[5.5]ундекан-2-он
9-(2-Амино-5-фтор-6-(4-гидрокси-4-(трифторметил)пиперидин-1-ил)пиримидин-4-ил)-1-(3,4-дифторфенил)-1,9-диазаспиро[5.5]ундекан-2-он
1-(3,4-Дифторфенил)-9-(6-(4-гидрокси-4-(трифторметил)пиперидин-1-ил)пиридазин-4-ил)-1,9-диазаспиро[5.5]ундекан-2-он
9-(6-Амино-2-(3-гидрокси-3-метилазетидин-1-ил)пиримидин-4-ил)-1-(3,4-дифторфенил)-1,9-диазаспиро[5.5]ундекан-2-он
1-(4-Хлор-3-фторфенил)-9-(6-(3,3,4,4-тетрафторпирролидин-1-ил)пиримидин-4-ил)-1,9-диазаспиро[5.5]ундекан-2-он
9-(6-(1,4-Оксазепан-4-ил)пиримидин-4-ил)-1-(3,4-дифторфенил)-1,9-диазаспиро[5.5]ундекан-2-он
rac-9-(2-Амино-6-((1R,4R)-2-окса-5-азабицикло[2.2.1]гептан-5-ил)пиримидин-4-ил)-1-(3,4-дифторфенил)-1,9-диазаспиро[5.5]ундекан-2-он
Пример 47. 1-(3,4-Дифторфенил)-9-(6-(4-(трифторметил)-1H-пиразол-1-ил)пиримидин-4-ил)-1,9-диазаспиро[5.5]ундекан-2-он
Стадия A. (9-(6-Хлорпиримидин-4-ил)-1-(3,4-дифторфенил)-1,9-диазаспиро[5.5]ундекан-2-он
Раствор 4,6-дихлорпиримидина (0,188 г, 1,26 ммоль) и 1-(3,4-дифторфенил-1,9-диазаспиро[5.5]ундекан-2-она гидрохлорида (промежуточное соединение A, 0,564, 1,26 ммоль) в EtOH (2 мл) обрабатывали с помощью TEA (0,642 г, 1,50 ммоль) и реакционную смесь перемешивали при к. т. в течение 2 ч. Смесь концентрировали и остаток разделяли между водой и EtOAc. Органический слой высушивали над Na2SO4, фильтровали и концентрировали с получением (9-(6-хлорпиримидин-4-ил)-1-(3,4-дифторфенил)-1,9-диазаспиро[5.5]ундекан-2-она (0,410 г, неочищенный) в виде белого твердого вещества. Масса/заряд=393,1 [M+H]+; tR=1,43 мин. (LCMS способ j)
Стадия B. 1-(3,4-Дифторфенил)-9-(6-(4-(трифторметил)-1H-пиразол-1-ил)пиримидин-4-ил)-1,9-диазаспиро[5.5]ундекан-2-он
Смесь (9-(6-хлорпиримидин-4-ил)-1-(3,4-дифторфенил)-1,9-диазаспиро[5.5]ундекан-2-она (0,10 г, 0,25 ммоль), 4-трифторметилпиразола (0,041 г, 0,30 ммоль) и Cs2CO3 (0,165 г, 0,5 ммоль) в DMF (1 мл) нагревали при 120°C в течение 12 ч. Смесь охлаждали до к. т., разделяли между водой и EtOAc. Органический слой высушивали над Na2SO4 и концентрировали при пониженном давлении. С помощью очистки препаративной HPLC (Waters Xbridge, 5 мкм, 21,2×150 мм; элюирование с помощью смеси вода/ACN) получали указанное в заголовке соединение (24 мг, 0,048 ммоль) в виде грязно-белого твердого вещества. 1H ЯМР (400 МГц, метанол-d4) δ 8,92 (s, 1H), 8,36 (s, 1H), 8,02 (s, 1H), 7,24-7,31 (m, 1H), 7,16 (s, 1H), 7,08-7,14 (m 1H), 6,92 (d, 1H), 4,40 (brs, 2H), 3,16 (t, 2H), 2,58 (t, 2H), 2,27 (brs, 2H), 1,96-2,02 (m, 4H), 1,68-1,81 (m, 2H); масса/заряд=493,2 [M+H]+; tR=1,25 минуты (LCMS способ j)
Применяя способы, подобные описанным для получения примера 47 с применением подходящих исходных материалов, получали следующие соединения:
1-(3,4-Дифторфенил)-9-(2-метил-6-(1H-пиразол-1-ил)пиримидин-4-ил)-1,9-диазаспиро[5.5]ундекан-2-он
4-(1-(3,4-Дифторфенил)-2-оксо-1,9-диазаспиро[5.5]ундекан-9-ил)-6-(1H-пиразол-1-ил)пиримидин-2-карбонитрил
Пример 50. 1-(3,4-Дифторфенил)-9-(2-метокси-6-(1H-пиразол-1-ил)пиримидин-4-ил)-1,9-диазаспиро[5.5]ундекан-2-он
Стадия A. 4-Хлор-2-метокси-6-(1H-пиразол-1-ил)пиримидин
Смесь карбоната цезия (71,8 мг, 0,220 ммоль), 1H-пиразола (15 мг, 0,22 ммоль) и 4,6-дихлор-2-метоксипиримидина (39 мг, 0,22 ммоль) в DMF (0,9 мл) перемешивали при к. т. в течение двух часов. LCMS анализ указывает на завершение превращения 4-хлор-2-метокси-6-(1H-пиразол-1-ил)пиримидина, который не выделяли. Масса/заряд=211,1 [M+H]+; tR=0,93 мин. (LCMS способ e)
Стадия B. 1-(3,4-Дифторфенил)-9-(2-метокси-6-(1H-пиразол-1-ил)пиримидин-4-ил)-1,9-диазаспиро[5.5]ундекан-2-он
В реакционную смесь на стадии A добавляли 1-(3,4-дифторфенил-1,9-диазаспиро[5.5]ундекан-2-он (промежуточное соединение A, 62 мг, 0,22 ммоль), DIEA (0,13 мл, 0,74 ммоль). Смесь нагревали при 50°C в течение ночи. После охлаждения до к. т. смесь разделяли между смесью EtOAc/гептан с соотношением 2:1, промывали водой (5x), солевым раствором, высушивали над сульфатом натрия и концентрировали. С помощью очистки хроматографией на силикагеле (0-100% MeOH в EtOAc) с последующей обращенно-фазовой хроматографией (RediSep® Rf Gold® обращенно-фазовая колонка C18, 50 г, 0-100% ACN в воде) получали указанное в заголовке соединение (30 мг, 0,065 ммоль) в виде белого твердого вещества. 1H ЯМР (400 МГц, DMSO-d6) δ 8,49 (dd, J=2,7, 0,7 Гц, 1H), 7,81 (dd, J=1,6, 0,7 Гц, 1H), 7,42 (dt, J=10,7, 8,9 Гц, 1H), 7,25 (ddd, J=11,5, 7,4, 2,4 Гц, 1H), 6,93 (dtd, J=7,0, 2,5, 1,3 Гц, 1H), 6,73 (s, 1H), 6,54 (dd, J=2,7, 1,6 Гц, 1H), 4,14 (d, J=100,0 Гц, 2H), 3,83 (s, 3H), 3,09 (t, J=13,1 Гц, 2H), 2,44 (t, J=6,7 Гц, 2H), 2,15 (s, 2H), 1,98-1,80 (m, 4H), 1,65-1,46 (m, 2H); масса/заряд=455,3 [M+H]+; tR=1,01 минуты (LCMS способ e).
Применяя способы, подобные описанным для получения примера 50 с применением подходящих исходных материалов, получали следующие соединения:
9-(6-(1H-Пиразол-1-ил)-2-(трифторметил)пиримидин-4-ил)-1-(3,4-дифторфенил)-1,9-диазаспиро[5.5]ундекан-2-он
1-(3,4-Дифторфенил)-9-(2-морфолинo-6-(1H-пиразол-1-ил)пиримидин-4-ил)-1,9-диазаспиро[5.5]ундекан-2-он
1-(3,4-Дифторфенил)-9-(2-(диметиламино)-6-(1H-пиразол-1-ил)пиримидин-4-ил)-1,9-диазаспиро[5.5]ундекан-2-он
9-(6-(1H-1,2,4-Триазол-1-ил)пиримидин-4-ил)-1-(3,4-дифторфенил)-1,9-диазаспиро[5.5]ундекан-2-он
9-(6-(4-Хлор-1H-пиразол-1-ил)пиримидин-4-ил)-1-(3,4-дифторфенил)-1,9-диазаспиро[5.5]ундекан-2-он
9-(6-(4-Фтор-1H-пиразол-1-ил)пиримидин-4-ил)-1-(3,4-дифторфенил)-1,9-диазаспиро[5.5]ундекан-2-он
1-(3,4-Дифторфенил)-9-(6-(3-(трифторметил)-1H-пиразол-1-ил)пиримидин-4-ил)-1,9-диазаспиро[5.5]ундекан-2-он
1-(3,4-Дифторфенил)-9-(6-(4-(трифторметил)-1H-имидазол-1-ил)пиримидин-4-ил)-1,9-диазаспиро[5.5]ундекан-2-он
9-(2-Амино-5-фтор-6-(1H-пиразол-1-ил)пиримидин-4-ил)-1-(3,4-дифторфенил)-1,9-диазаспиро[5.5]ундекан-2-он
9-(4-Амино-6-(4-фтор-1H-пиразол-1-ил)-1,3,5-триазин-2-ил)-1-(3,4-дифторфенил)-1,9-диазаспиро[5.5]ундекан-2-он
1-(3,4-Дифторфенил)-9-(6-(оксетан-3-илокси)-2-(трифторметил)пиримидин-4-ил)-1,9-диазаспиро[5.5]ундекан-2-он
Пример 62. 1-(3,4-Дифторфенил)-9-(6-(оксазол-2-ил)пиримидин-4-ил)-1,9-диазаспиро[5.5]ундекан-2-он
Раствор 9-(6-хлорпиримидин-4-ил)-1-(3,4-дифторфенил)-1,9-диазаспиро[5.5]ундекан-2-она (0,15 г, 0,38 ммоль) в DMF (2 мл) продували газом аргоном и обрабатывали с помощью 2-(трибутилстаннил)оксазола (0,273 г, 0,76 ммоль) и тетракис(трифенилфосфин)палладием(0) (0,080 г, 0,11 ммоль). Реакционную смесь нагревали до 100°C в течение 16 ч. Реакционную смесь охлаждали до к. т., разбавляли водой и экстрагировали с помощью EtOAc дважды. Объединенные органические экстракты промывали солевым раствором, высушивали над безводным Na2SO4 и концентрировали при пониженном давлении. С помощью очистки препаративной HPLC (LUNA 5,0 мкм, 21,2 × 250 мм; элюирование с помощью 0,1% водного раствора HCOOH:ACN) получали указанное в заголовке соединение (44 мг) в виде грязно-белого твердого вещества. 1H ЯМР (хлороформ-d, 600 МГц) δ 8,64 (s, 1H), 7,81 (s, 1H), 7,29 (m, 1H), 7,25-7,24 (m, 1H), 7,25-7,14 (m, 1H), 6,89-6,88 (m, 1H), 6,78-6,77 (m, 1H), 4,41 (brs, 2H), 3,1 (t, 2H), 2,63-2,62 (m, 2H), 2,17 (m, 2H), 2,00-1,94 (m, 2H), 1,87-1,78 (m, 4H); масса/заряд=426,2 [M+H]+; tR=1,33 минуты (LCMS способ j).
Пример 63. 9-(6-Амино-2-(пиридин-2-ил)пиримидин-4-ил)-1-(3,4-дифторфенил)-1,9-диазаспиро[5.5]ундекан-2-он
Стадия A. 6-Хлор-2-(пиридин-2-ил)пиримидин-4-амин
Суспензию 4,6-дихлор-2-(пиридин-2-ил)пиримидина (112 мг, 0,495 ммоль) в изопропаноле (0,5 мл) и гидроксиде аммония (33%, 0,5 мл, 4,24 ммоль) перемешивали при 50°C. Через 3 ч. добавляли дополнительную порцию раствора гидроксида аммония (0,25 мл) и перемешивание продолжали в течение 3 ч. Раствор охлаждали до к. т., разбавляли насыщенным раствором бикарбоната натрия и экстрагировали с помощью DCM. Органические экстракты высушивали над сульфатом магния и концентрировали с получением 6-хлор-2-(пиридин-2-ил)пиримидин-4-амина (85 мг, 0,41 ммоль) в виде окрашенного в песочный цвет твердого вещества. 1H ЯМР (400 МГц, DMSO-d6) δ 8,68 (ddd, J=4,7, 1,8, 0,9 Гц, 1H), 8,21 (dt, J=8,0, 1,1 Гц, 1H), 7,93 (td, J=7,7, 1,8 Гц, 1H), 7,50 (ddd, J=7,5, 4,7, 1,2 Гц, 1H), 7,40 (s, 2H), 6,48 (s, 1H); масса/заряд=207,1 [M+H]+; tR=0,48 минуты (LCMS способ e).
Стадия B. 9-(6-Амино-2-(пиридин-2-ил)пиримидин-4-ил)-1-(3,4-дифторфенил)-1,9-диазаспиро[5.5]ундекан-2-он
Раствор 1-(3,4-дифторфенил)-1,9-диазаспиро[5.5]ундекан-2-она (промежуточное соединение A, 56 мг, 0,20 ммоль), 6-хлор-2-(пиридин-2-ил)пиримидин-4-амина (41 мг, 0,20 ммоль) и DIEA (104 мкл, 0,595 ммоль) в DMF (0,7 мл) нагревали при 100°C в течение ночи. После охлаждения до к. т. смесь разбавляли с помощью DCM и промывали водой, затем солевым раствором. Органический слой высушивали над сульфатом магния, фильтровали и концентрировали. С помощью очистки хроматографией на силикагеле (0-100% MeOH в EtOAc) с последующей обращенно-фазовой хроматографией (RediSep® Rf Gold® обращенно-фазовая колонка C18, 50 г, 0-100% ACN в воде) получали указанное в заголовке соединение (16 мг, 0,034 ммоль) в виде белого твердого вещества. 1H ЯМР (400 МГц, DMSO-d6) δ 8,61 (ddd, J=4,8, 1,8, 0,9 Гц, 1H), 8,23-8,08 (m, 1H), 7,83 (td, J=7,7, 1,8 Гц, 1H), 7,51-7,34 (m, 2H), 7,25 (ddd, J=11,5, 7,5, 2,4 Гц, 1H), 7,00-6,88 (m, 1H), 6,32 (s, 2H), 5,56 (s, 1H), 4,18 (s, 2H), 2,95 (t, J=12,9 Гц, 2H), 2,43 (t, J=6,8 Гц, 2H), 2,13 (s, 2H), 1,88 (t, J=9,5 Гц, 4H), 1,55 (t, J=11,1 Гц, 2H); масса/заряд=451,3 [M+H]+; tR=1,29 минуты (LCMS способ e).
Пример 64. 9-(2-Амино-6-(4-(трифторметил)-1H-пиразол-1-ил)пиримидин-4-ил)-1-(3,4-дифторфенил)-1,9-диазаспиро[5.5]ундекан-2-он
Стадия A. 4-Хлор-6-(4-трифторметил)-1Н-пиразол-1-ил)пиримидин-2-амин
Смесь 4-(трифторметил)-1H-пиразола (0,183 г, 1,35 ммоль), 2-амино-4,6-дихлорпиримидина (0,200 г, 1,23 ммоль) и Cs2CO3 (0,799 г, 2,45 ммоль) в диоксане (4 мл) перемешивали при 100°C в течение 12 ч. После охлаждения до к. т. реакционную смесь разбавляли водой и экстрагировали с помощью EtOAc. Экстракты промывали солевым раствором, высушивали над Na2SO4 и концентрировали при пониженном давлении с получением 4-хлор-6-(4-трифторметил)-1H-пиразол-1-ил)пиримидин-2-амина в виде белого твердого вещества. Неочищенный продукт переносили на следующую стадию без очистки. Масса/заряд=264,0 [M+H]+
Стадия B. 9-(2-Амино-6-(4-(трифторметил)-1H-пиразол-1-ил)пиримидин-4-ил)-1-(3,4-дифторфенил)-1,9-диазаспиро[5.5]ундекан-2-он
1-(3,4-Дифторфенил)-1,9-диазаспиро[5.5]ундекан-2-он (промежуточное соединение A, 0,150 г, 0,535 ммоль), 4-хлор-6-(4-трифторметил)-1H пиразол-1-ил)пиримидин-2-амин (0,197 г, 0,749 ммоль) и DIPEA (0,28 мл, 1,61 ммоль) в EtOH (3 мл) перемешивали при 80°C в течение 12 ч. Реакционную смесь разбавляли водой и экстрагировали с помощью EtOAc. Экстракты промывали солевым раствором, высушивали над Na2SO4, фильтровали и концентрировали при пониженном давлении. С помощью очистки препаративной HPLC (KINETEX EVO C18, 5 мкм, 21,2 × 150 мм; элюирование с помощью смеси вода:ACN) получали указанное в заголовке соединение (97 мг, 0,19 ммоль) в виде белого твердого вещества. 1H ЯМР (400 МГц, DMSO-d6) δ 8,82 (s, 1H), 8,21 (s, 1H), 7,41 (m, 1H), 7,23 (m, 1H), 6,91 (m, 1H), 6,41 (d, 3H), 4,24 (m, 2H), 3,01 (t, 2H), 2,42 (t, 2H), 2,13 (d, 2H), 1,85 (m, 4H), 1,50 (m, 2H); масса/заряд=508,15 [M+H]+; tR=1,50 минуты (LCMS способ j)
Пример 65. 1-(3,4-Дифторфенил)-9-(2-(2-гидроксипропан-2-ил)-6-(4-(трифторметил)-1H-пиразол-1-ил)пиримидин-4-ил)1,9-диазаспиро[5.5]ундекан-2-он
Стадия A. Метил-4-хлор-6-(4-трифторметил)-1H-пиразол-1-ил)пиримидин-2-карбоксилат
Смесь метил-4,6-дихлорпиримидин-2-карбоксилата (0,500 г, 2,66 ммоль), 4-(трифторметил)-1H-пиразола (0,360 г, 2,66 ммоль) и Cs2CO3 (1,70 г, 5,31 ммоль) в диоксане (5 мл) перемешивали при к. т. в течение трех часов. В реакционную смесь добавляли воду и ее экстрагировали с помощью EtOAc. Экстракты промывали солевым раствором, высушивали над Na2SO4, фильтровали и концентрировали при пониженном давлении с получением метил-4-хлор-6-(4-трифторметил)-1H-пиразол-1-ил)пиримидин-2-карбоксилата в виде белого твердого вещества (0,550 г). Неочищенный продукт применяли без дополнительной очистки.
Стадия B. Метил-4-(1-(3,4-дифторфенил)-2-оксо-1,9-диазаспиро[5.5]ундекан-9-ил)-6-(4-хлор-(4-(трифторметил)-1H-пиразол-1-ил)пиримидин-2-карбоксилат.
Смесь 1-(3,4-дифторфенил)-1,9-диазаспиро[5.5]ундекан-2-она (промежуточное соединение A, 0,370 г, 1,35 ммоль), метил-4-хлор-6-(4-трифторметил)-1H-пиразол-1-ил)пиримидин-2-карбоксилата (0,550 г, 1,79 ммоль) и DIPEA (0,700 г, 5,37 ммоль) в EtOH (5 мл) нагревали при 80°C в течение двух часов. Смесь разбавляли водой и экстрагировали с помощью EtOAc дважды. Экстракты промывали солевым раствором, высушивали над Na2SO4, фильтровали и концентрировали при пониженном давлении с получением метил-4-(1-(3,4-дифторфенил)-2-оксо-1,9-диазаспиро[5.5]ундекан-9-ил)-6-(4-хлор-(4-(трифторметил)-1H-пиразол-1-ил)пиримидин-2-карбоксилата (0,350 г, 0,636 ммоль) в виде белого твердого вещества. Масса/заряд=551,2 [M+H]+
Стадия C. 1-(3,4-Дифторфенил)-9-(2-(2-гидроксипропан-2-ил)-6-(4-(трифторметил)-1H-пиразол-1-ил)пиримидин-4-ил)1,9-диазаспиро[5.5]ундекан-2-он.
Бромид метилмагния (3,0 M раствор в диэтиловом эфире, 0,034 мл, 0,10 ммоль) добавляли в перемешиваемый раствор метил-4-(1-(3,4-дифторфенил)-2-оксо-1,9-диазаспиро[5.5]ундекан-9-ил)-6-(4-хлор-(4-(трифторметил)-1H-пиразол-1-ил)пиримидин-2-карбоксилата (0,050 г, 0,034 ммоль) в THF (2 мл), охлажденного до 0°C. Реакционную смесь затем перемешивали при к. т. в течение трех часов. Реакционную смесь гасили водным раствором NH4Cl и экстрагировали с помощью EtOAc. Экстракты промывали солевым раствором, высушивали над Na2SO4, фильтровали и концентрировали при пониженном давлении. С помощью очистки препаративной HPLC (LUNA Phenomenex, 5 мкм, 21,2 × 250 мм; элюирование с помощью смеси 0,02% NH4OH в H2O:ACN) получали указанное в заголовке соединение (3 мг, 0,006 ммоль) в виде белого твердого вещества. 1H ЯМР (300 МГц, метанол-d4) δ 9,16 (s, 1H), 8,02 (s, 1H), 7,23-7,28 (m, 1H), 7,07-7,14 (m, 1H), 7,04 (s, 1H), 6,90-6,94 (m, 1H), 4,45 (brs, 2H), 3,16 (t, 2H), 2,58 (t, 2H), 2,19-2,35 (m, 2H), 1,88-2,09 (m, 4H), 1,76 (brs, 2H), 1,51 (s, 6H); масса/заряд=551,2 [M+H]+; tR=1,80 минуты (LCMS способ l).
Пример 66. Синтез 1-(3,4-дифторфенил)-9-(2-(гидроксиметил)-6-(4-(трифторметил)-1H-пиразол-1-ил)пиримидин-4-ил)1,9-диазаспиро[5.5]ундекан-2-он
Стадия A. 1-(3,4-Дифторфенил)-9-(2-(гидроксиметил)-6-(4-(трифторметил)-1H-пиразол-1-ил)пиримидин-4-ил)1,9-диазаспиро[5.5]ундекан-2-он.
К перемешиваемому раствору метил-4-(1-(3,4-дифторфенил)-2-оксо-1,9-диазаспиро[5.5]ундекан-9-ил)-6-(4-хлор-(4-(трифторметил)-1H-пиразол-1-ил)пиримидин-2-карбоксилата (1,100 г, 1,998 ммоль) в MeOH (15 мл), охлажденного до 0°C, добавляли порциями NaBH4 (0,230 г, 5,99 ммоль). Реакционную смесь перемешивали при к. т. в течение двух часов. Реакционную смесь гасили водой и экстрагировали с помощью EtOAc. Экстракты промывали солевым раствором, высушивали над Na2SO4, фильтровали и концентрировали при пониженном давлении. С помощью промывания полученного твердого вещества пентаном получали указанное в заголовке соединение (0,950 г, 1,82 ммоль) в виде грязно-белого твердого вещества. 1H ЯМР (300 МГц, DMSO-d6) δ 9,30 (s, 1H), 8,30 (s, 1H), 7,42 (m, 1H), 7,25 (m, 1H), 6,9-6,96 (m, 2H), 4,97 (t, 1H), 4,37 (d, 2H), 3,10-3,18 (m, 2H), 2,40-2,45 (m, 2H), 2,1 -2,2 (m, 2H), 1,8-1,98 (m, 4H), 1,49-1,6 (m, 2H) (2 алифатические протоны слились с DMSO пик); масса/заряд=523,2 [M+H]+; tR=1,64 минуты (LCMS способ l)
Пример 67. rac-1-(3,4-Дифторфенил)-9-(2-(1-гидроксиметил)-6-(4-(трифторметил)-1H-пиразол-1-ил)пиримидин-4-ил)1,9-диазаспиро[5.5]ундекан-2-он
Стадия A. 4-(1-(3,4-Дифторфенил)-2-оксо-1,9-диазаспиро[5.5]ундекан-9-ил)-6-(4-(трифторметил)-1H-пиразол-1-ил)пиримидин-2-карбальдегид(1p).
MnO2 (0,230 г, 2,6 ммоль) добавляли в перемешиваемый раствор 1-(3,4-дифторфенил)-9-(2-(гидроксиметил)-6-(4-(трифторметил)-1H-пиразол-1-ил)пиримидин-4-ил)1,9-диазаспиро[5.5]ундекан-2-она (0,020 г, 0,038 ммоль) в DCM (5 мл), охлажденного до 0°C. Реакционную смесь перемешивали при к. т. в течение 12 ч. Реакционную смесь выливали в воду и экстрагировали с помощью EtOAc. Экстракты промывали солевым раствором, высушивали над Na2SO4, фильтровали и концентрировали при пониженном давлении с получением неочищенного продукта в виде желтого смолистого твердого вещества (0,025 г), которое переносили далее без очистки. Масса/заряд=523,2 [M+H]+
Стадия B. rac-1-(3,4-Дифторфенил)-9-(2-(1-гидроксиметил)-6-(4-(трифторметил)-1H-пиразол-1-ил)пиримидин-4-ил)1,9-диазаспиро[5.5]ундекан-2-он.
MeMgBr (3,0 M в диэтиловом эфире, 170 мкл, 0,52 ммоль) добавляли в перемешиваемый раствор 4-(1-(3,4-дифторфенил)-2-оксо-1,9-диазаспиро[5.5]ундекан-9-ил)-6-(4-(трифторметил)-1H-пиразол-1-ил)пиримидин-2-карбальдегида (0,080 г, 0,172 ммоль) в THF (2 мл), охлажденного до 0°C. Реакционную смесь перемешивали при к. т. в течение 3 часов. Реакционную смесь гасили водным раствором NH4Cl и экстрагировали с помощью EtOAc. Экстракты промывали солевым раствором, высушивали над Na2SO4, фильтровали и концентрировали при пониженном давлении. С помощью очистки препаративной HPLC (LUNA Phenomenex, 5 мкм, 21,2 × 250 мм; элюирование с помощью 0,02% NH4OH в смеси H2O:ACN) получали указанное в заголовке соединение (2 мг, 0,004 ммоль) в виде грязно-белого твердого вещества. 1H ЯМР (300 МГц, метанол-d4) δ 9,13 (s, 1H), 8,02 (s, 1H), 7,28 (m, 1H), 7,11 (m, 1H), 7,04 (s, 1H), 6,92 (m, 1H), 4,65 (q, 1H), 4,46 (s, 2H), 3,15 (m, 2H), 2,58 (t, 2H), 2,27 (d, 2H), 1,98 (dd, 4H), 1,75 (s, 2H), 1,46 (d, 3H); масса/заряд=537,3 [M+H]+; tR=1,74 минуты (LCMS способ l).
Пример 68. 4-(1-(3,4-Дифторфенил)-2-оксо-1,9-диазаспиро[5.5]ундекан-9-ил-6-(4-(трифторметил)-1H-пиразол-1-ил)пиримидин-2-карбоксамид
Стадия A. 4-(1-(3,4-Дифторфенил)-2-оксо-1,9-диазаспиро[5.5]ундекан-9-ил-6-(4-(трифторметил)-1H-пиразол-1-ил)пиримидин-2-карбоксамид.
Аммиак (2,0 M в этаноле, 3 мл) добавляли в метил-4-(1-(3,4-дифторфенил)-2-оксо-1,9-диазаспиро[5.5]ундекан-9-ил)-6-(4-хлор-(4-(трифторметил)-1H-пиразол-1-ил)пиримидин-2-карбоксилат (0,085 г, 0,15 ммоль) и смесь нагревали при 50°C в течение 4 часов. Смесь концентрировали при пониженном давлении. С помощью очистки препаративной HPLC (Waters Xbridge, 5 мкм, 21,2×150 мм; элюирование с помощью 0,02% NH3 в смеси H2O:ACN) получали указанное в заголовке соединение (0,028 г, 0,052 ммоль) в виде грязно-белого твердого вещества. 1H ЯМР (300 МГц, DMSO-d6) δ 9,58 (s, 1H), 8,50 (s, 1H), 8,32 (s, 1H), 7,74 (s, 1H), 7,41 (m, 1H), 7,2-7,3 (m, 1H), 7,13 (s, 1H), 6,9-6,94 (m, 1H), 3,14 (s, 2H), 2,44 (t, 3H), 2,17 (m, 2H), 2,00-1,86 (m, 4H), 1,56 (t, 2H); масса/заряд=536,4 [M+H]+; tR=1,47 минуты (LCMS способ l)
Пример 69. 9-(2-Хлор-6-(4-(трифторметил)-1H-пиразол-1-ил)пиримидин-4-ил)-1-(3,4-дифторфенил)-1,9-диазаспиро[5.5]ундекан-2-он
Стадия-A. 2,4-Дихлор-6-(4-(трифторметил)-1H-пиразол-1-ил)пиримидин
Смесь 2,4,6-трихлорпиримидина (0,50 г, 2,7 ммоль), 4-(трифторметил)-1H-пиразола (0,27 г, 2,0 ммоль) и Cs2CO3 (1,70 г, 5,45 ммоль) в диоксане (5 мл) перемешивали при к. т. в течение 3 ч. Реакционную смесь разбавляли водой и экстрагировали с помощью EtOAc дважды. Экстракты промывали солевым раствором, высушивали над Na2SO4, фильтровали и концентрировали при пониженном давлении с получением неочищенного продукта (0,20 г), который применяли для следующей стадии без дополнительной очистки.
Стадия-B. 9-(2-Хлор-6-(4-(трифторметил)-1H-пиразол-1-ил)пиримидин-4-ил)-1-(3,4-дифторфенил)-1,9-диазаспиро[5.5]ундекан-2-он
Смесь 2,4-дихлор-6-(4-(трифторметил)-1H-пиразол-1-ил)пиримидина (0,20 г, 0,71 ммоль), 1-(3,4-дифторфенил)-1,9-диазаспиро[5.5]ундекан-2-она (промежуточное соединение A, 0,197 г, 0,706 ммоль) и DIPEA (0,27 мл, 2,1 ммоль) в EtOH (3 мл) нагревали при 80°C в течение 2 ч. Реакционную смесь охлаждали до к. т., разбавляли водой и экстрагировали с помощью EtOAc дважды. Объединенные экстракты промывали солевым раствором, высушивали над Na2SO4, фильтровали и концентрировали при пониженном давлении. С помощью очистки посредством препаративной HPLC (YMC-ACTUS TRIART, 5,0 мкм, 20 × 150 мм; элюирование с помощью 0,02% NH4OH в смеси вода:ACN) получали указанное в заголовке соединение (85 мг, 0,16 ммоль). 1H ЯМР (300 МГц, DMSO-d6) δ 9,17 (s, 1H), 8,20 (s, 1H), 7,41 (m, 1H), 7,25 (m, 1H), 6,99-6,83 (m, 2H), 4,82 (s, 1H), 3,96 (s, 1H), 3,10 (brs, 2H), 2,42 (t, 2H), 2,14 (d, 2H), 2,01-1,72 (m, 4H), 1,53 (m, 2H); масса/заряд=527,1 [M+H]+; tR=1,74 минуты (LCMS способ l).
Применяя способы, подобные описанным для получения примера 69 с применением подходящих исходных материалов, получали следующие соединения:
(R)-9-(2-Хлор-6-((тетрагидрофуран-3-ил)окси)пиримидин-4-ил)-1-(3,4-дифторфенил)-1,9-диазаспиро[5.5]ундекан-2-он
(S)-9-(2-Хлор-6-((тетрагидрофуран-3-ил)окси)пиримидин-4-ил)-1-(3,4-дифторфенил)-1,9-диазаспиро[5.5]ундекан-2-он
(R)-9-(4-Хлор-6-((тетрагидрофуран-3-ил)окси)пиримидин-2-ил)-1-(3,4-дифторфенил)-1,9-диазаспиро[5.5]ундекан-2-он
Пример 73. 1-(3,4-Дифторфенил)-9-(6-(4-фтор-1H-пиразол-1-ил)-2-морфолинoпиримидин-4-ил)-1,9-диазаспиро[5.5]ундекан-2-он
Стадия A. 2,4-Дихлор-6-(4-фтор-1H-пиразол-1-ил)пиримидин
Смесь 2,4,6-трихлорпиримидина (0,200 г, 1,09 ммоль), Cs2CO3 (1,42 г, 2,18 ммоль) и 4-фтор-1H-пиразола (0,18 г, 2,2 ммоль) в диоксане (6 мл) перемешивали при к. т. в течение 12 ч. Реакционную смесь разбавляли водой и экстрагировали с помощью EtOAc дважды. Экстракты промывали солевым раствором, высушивали над Na2SO4, фильтровали и концентрировали при пониженном давлении. С помощью очистки препаративной TLC с элюированием с помощью смеси EtOAc/гексан, с соотношением 1:1, получали 2,4-дихлор-6-(4-фтор-1H-пиразол-1-ил)пиримидин в виде грязно-белого твердого вещества (60 мг, 0,26 ммоль); масса/заряд=233,0, [M+H]+
Стадия B. 9-(2-Хлор-6-(4-фтор-1H-пиразол-1-ил)пиримидин-4-ил)-1-(3,4-дифторфенил)-1,9-диазаспиро[5.5]ундекан-2-он
Раствор 2,4-дихлор-6-(4-фтор-1H-пиразол-1-ил)пиримидина (60 мг, 0,26 ммоль) в EtOH (5 мл) обрабатывали 1-(3,4-дифторфенил)-1,9-диазаспиро[5.5]ундекан-2-оном (промежуточное соединение A, 72 мг, 0,26 ммоль) и DIPEA (0,10 мл, 0,77 ммоль) и нагревали при 80°C в течение 2 ч. Реакционную смесь охлаждали до к. т., разбавляли водой и экстрагировали с помощью EtOAc дважды. Экстракты промывали солевым раствором, высушивали над Na2SO4, фильтровали и концентрировали при пониженном давлении. Неочищенное твердое вещество промывали пентаном с получением 9-(2-хлор-6-(4-фтор-1H-пиразол-1-ил)пиримидин-4-ил)-1-(3,4-дифторфенил)-1,9-диазаспиро[5.5]ундекан-2-она (110 мг, 0,231 ммоль) в виде грязно-белого твердого вещества. Масса/заряд=476,9 [M+H]+
Стадия-C. 1-(3,4-Дифторфенил)-9-(6-(4-фтор-1H-пиразол-1-ил)-2-морфолинoпиримидин-4-ил)-1,9-диазаспиро[5.5]ундекан-2-он
Раствор 9-(2-хлор-6-(4-фтор-1H-пиразол-1-ил)пиримидин-4-ил)-1-(3,4-дифторфенил)-1,9-диазаспиро[5.5]ундекан-2-она (100 мг, 0,209 ммоль) в н-бутаноле (2 мл) обрабатывали морфолином (91 мг, 1,0 ммоль) и DIPEA (80 мкл, 0,45 ммоль) и реакционную смесь нагревали при 120°C в течение 12 ч. Реакционную смесь охлаждали до к. т., разбавляли водой и экстрагировали с помощью EtOAc дважды. Экстракты промывали солевым раствором, высушивали над Na2SO4, фильтровали и концентрировали при пониженном давлении. Неочищенное твердое вещество промывали пентаном с получением указанного в заголовке соединения (34 мг, 0,064 ммоль) в виде коричневого твердого вещества. 1H ЯМР (400 МГц, DMSO-d6) δ 8,60 (dd, 1H), 7,76 (dd, 1H), 7,39-7,45 (m, 1H), 7,1-7,26 (m, 1H), 6,92-6,94 (m, 1H), 5,76 (s, 1H), 4,33 (brs, 2H), 3,63 (m, 4H), 3,53 (m, 4H), 2,96 (t, 2H), 2,43 (t, 2H), 2,14 (brs, 2H), 1,95-1,78 (m, 3H), 1,50 (m, 2H); масса/заряд=528,3 [M+H]+; tR=1,37 минуты (LCMS способ k).
Пример 74. 9-(2-Амино-6-(4,4-дифторциклогекс-1-ен-1-ил)пиримидин-4-ил)-1-(3,4-дифторфенил)-1,9-диазаспиро[5.5]ундекан-2-он
Стадия A. 9-(2-Амино-6-хлорпиримидин-4-ил)-1-(3,4-дифторфенил)-1,9-диазаспиро[5.5]ундекан-2-он
Смесь 1-(3,4-дифторфенил)-1,9-диазаспиро[5.5]ундекан-2-она (промежуточное соединение A, 0,513 г, 1,83 ммоль), 2-амино-4,6-дихлорпиримидина (0,300 г, 1,83 ммоль) и DIPEA (0,64 мл, 3,7 ммоль) в EtOH (7 мл) нагревали при 80°C в течение 12 часов. После охлаждения до к. т. смесь разбавляли водой и экстрагировали с помощью EtOAc. Экстракты промывали солевым раствором, высушивали над Na2SO4, фильтровали и концентрировали при пониженном давлении. С помощью очистки хроматографией на силикагеле (2-5% MeOH в DCM) получали 9-(2-амино-6-хлорпиримидин-4-ил)-1-(3,4-дифторфенил)-1,9-диазаспиро[5.5]ундекан-2-он (0,520 г, 1,27 ммоль) в виде белого твердого вещества. Масса/заряд=410,3 [M+2]
Стадия B. 9-(2-Амино-6-(4,4-дифторциклогекс-1-ен-1-ил)пиримидин-4-ил)-1-(3,4-дифторфенил)-1,9-диазаспиро[5.5]ундекан-2-он
9-(2-Амино-6-хлорпиримидин-4-ил)-1-(3,4-дифторфенил)-1,9-диазаспиро[5.5]ундекан-2-он (0,300 г, 0,735 ммоль) и 2-(4,4-дифторциклогекс-1-ен-1-ил))-4,4,5,5-тетраметил-1,3,2-диоксаборолан(0,540 г, 2,21 ммоль) перемешивали в DME (6 мл) и H2O (2 мл) при к. т. с продуванием аргоном в течение 10 мин. K2CO3 (0,304 г, 2,21 ммоль) добавляли в реакционную смесь с продуванием аргоном с последующим добавлением Pd(dppf)Cl2·DCM (0,120 г, 0,147 ммоль). Смесь нагревали при 100°C в течение 16 ч. После охлаждения до к. т. в реакционную смесь добавляли воду и ее экстрагировали с помощью EtOAc. Экстракты промывали солевым раствором, высушивали над Na2SO4, фильтровали и концентрировали при пониженном давлении. С помощью очистки препаративной HPLC (Waters Xbridge, 5 мкм, 21,2 × 150 мм; элюирование с помощью 0,02% NH4OH в смеси H2O:ACN) получали указанное в заголовке соединение (17 мг, 0,035 ммоль) в виде белого твердого вещества. 1H ЯМР (300 МГц, хлороформ-d) δ 7,17 (m, 1H), 6,72-6,92 (m, 2H), 6,53 (s, 1H), 5,88 (s, 1H), 4,68 (s, 2H), 4,26 (d, 2H), 3,53 (brs, 2H), 2,90-2,96 (m, 2H), 2,59-2,81 (m, 6H), 2,1-2,22 (m, 2H), 1,92-1,96 (m, 2H), 1,74-1,92 (m, 2H); масса/заряд=490,25 [M+H]+; tR=1,32 минуты (LCMS способ j)
Пример 75. 9-(2-Амино-6-(4-фторфенил-4-ил)-1-(3,4-дифторфенил)-1,9-диазаспиро[5.5]ундекан-2-он
9-(2-Амино-6-хлорпиримидин-4-ил)-1-(3,4-дифторфенил)-1,9-диазаспиро[5.5]ундекан-2-он (0,100 г, 0,245 ммоль) и 4-фторфенилбороновую кислоту (0,068 г, 0,49 ммоль) перемешивали в DME (0,9 мл) и H2O (2,1 мл) при к. т. с продуванием аргоном в течение 10 мин. K2CO3 (0,101 г, 0,735 ммоль) добавляли в реакционную смесь с продуванием аргоном с последующим добавлением Pd(dppf)Cl2·DCM (0,035 г, 0,049 ммоль). Смесь нагревали при 90°C в течение 16 ч. После охлаждения до к. т. в реакционную смесь добавляли воду и ее экстрагировали с помощью EtOAc. Экстракты промывали солевым раствором, высушивали над Na2SO4, фильтровали и концентрировали при пониженном давлении. С помощью очистки препаративной HPLC (Gemini, 5 мкм, 21,2 × 250 мм; элюирование с помощью 0,02% NH4OH в смеси H2O:ACN) получали указанное в заголовке соединение (50 мг, 0,11 ммоль) в виде белого твердого вещества. 1H ЯМР (400 МГц, DMSO-d6) δ 8,05 (m, 2H), 7,36-7,48 (m, 1H), 7,21-7,35 (m, 3H),6,9-6,94 (m, 1H), 6,92 6,49 (s, 1H), 6,05 (s, 2H), 4,3-4,62 (m, 2H), 2,93 (t, 2H), 2,41-2,43 (m, 2H), 2,07-2,15 (m, 2H), 1,79-1,93 (m, 4H), 1,57-1,35 (m, 2H); масса/заряд=468,25 [M+H]+; tR=1,30 минуты (LCMS способ j)
Пример 76. 9-(2-Амино-6-(трифторметил)пиримидин-4-ил)-1-(3,4-дифторфенил)-1,9-диазаспиро[5.5]ундекан-2-он
Смесь 1-(3,4-дифторфенил)-1,9-диазаспиро[5.5]ундекан-2-она (промежуточное соединение A, 50 мг, 0,18 ммоль), 4-хлор-6-(трифторметил)пиримидин-2-амина (49 мг, 0,25 ммоль) и карбоната цезия (106 мг, 0,325 ммоль) в DMF (0,7 мл) нагревали при 50°C в течение трех часов. Реакционную смесь охлаждали до к. т., разбавляли водой, экстрагировали с помощью DCM, высушивали над сульфатом магния и концентрировали. С помощью очистки обращенно-фазовой хроматографией (RediSep® Rf Gold® обращенно-фазовая колонка C18, 50 г, 0-100% ACN в воде) получали указанное в заголовке соединение (55 мг, 0,125 ммоль) в виде белого твердого вещества. 1H ЯМР (400 МГц) δ 7,38-7,22 (m, 1H), 7,17-7,03 (m, 1H), 6,98-6,85 (m, 1H), 6,65 (s, 1H), 4,43 (s, 2H), 3,20 (t, J=13,6 Гц, 2H), 2,58 (t, J=6,9 Гц, 2H), 2,26 (d, J=7,8 Гц, 2H), 2,10-1,89 (m, 4H), 1,75 (s, 2H); масса/заряд=242,3 [M+H]+; tR=0,88 минуты (LCMS способ h)
Пример 77. 9-(2-Амино-6-(перфторэтил)пиримидин-4-ил)-1-(3,4-дифторфенил)-1,9-диазаспиро[5.5]ундекан-2-он
Стадия A. 2-Амино-6-(перфторэтил)пиримидин-4-ол
Смесь этил-4,4,5,5,5-пентафтор-3-оксопентанoата (3,00 г, 12,8 ммоль), гуанидина гидрохлорида (3,65 г, 38,4 ммоль) и NaOMe (1,30 г, 24,0 ммоль) в MeOH (10 мл) перемешивали при 80°C в течение 12 ч. В реакционную смесь добавляли воду и ее экстрагировали с помощью EtOAc. Экстракты промывали солевым раствором, высушивали над Na2SO4, фильтровали и концентрировали при пониженном давлении с получением 2-амино-6-(перфторэтил)пиримидин-4-ола в виде смолистой коричневой массы (2,645 г). Неочищенный продукт переносили без дополнительной очистки. Масса/заряд=230,2 [M+H]+
Стадия B. 4-Хлор-6-(перфторэтил)пиримидин-2-амин
Смесь POCl3 (39 мл, 30 v) и 2-амино-6-(перфторэтил)пиримидин-4-ола (1,30 г, 5,67 ммоль) нагревали с обратным холодильником при 100°C в течение 12 ч. После охлаждения до к. т. добавляли водный раствор NaHCO3 и смесь экстрагировали с помощью EtOAc. Экстракты промывали солевым раствором, высушивали над Na2SO4, фильтровали и концентрировали при пониженном давлении. С помощью очистки хроматографией на силикагеле (8-12% EtOAc в гексане) получали 4-хлор-6-(перфторэтил)пиримидин-2-амин (0,180 г, 0,728 ммоль) в виде желтой жидкости. Масса/заряд=248,1 [M+H]+
Стадия C. 9-(2-Амино-6-(перфторэтил)пиримидин-4-ил)-1-(3,4-дифторфенил)-1,9-диазаспиро[5.5]ундекан-2-он
Смесь 4-хлор-6-(перфторэтил)пиримидин-2-амина (0,180 г, 0,725 ммоль), 1-(3,4-дифторфенил)-1,9-диазаспиро[5.5]ундекан-2-она (промежуточное соединение A, 0,163 г, 0,581 ммоль) и DIPEA (0,38 мл, 2,2 ммоль) в EtOH (5 мл) перемешивали при 80°C в течение 12 ч. В реакционную смесь добавляли воду и ее экстрагировали с помощью EtOAc. Экстракты промывали солевым раствором, высушивали над Na2SO4, фильтровали и концентрировали при пониженном давлении. С помощью очистки препаративной HPLC (Waters Xbridge, 5 мкм, 20 × 150 мм; элюирование с помощью 0,02% NH4OH в смеси H2O:ACN) получали указанное в заголовке соединение (16 мг, 0,033 ммоль) в виде белого твердого вещества. 1H ЯМР (300 МГц, DMSO-d6) δ 7,42 (m, 1H), 7,24 (m, 1H), 6,97-6,84 (m, 1H), 6,55 (s, 2H), 6,33 (s, 1H), 2,97 (m, 2H), 2,42 (t, 4H), 2,12 (m, 2H), 1,86 (d, 4H), 1,49 (m, 2H); масса/заряд=492,4 [M+H]+; tR=2,12 минуты (LCMS способ l)
Пример 78. 9-(2-Амино-6-(1,1,2,2-тетрафторэтил)пиримидин-4-ил)-1-(3,4-дифторфенил)-1,9-диазаспиро[5.5]ундекан-2-он
Стадия A. Этил-4,4,5,5-тетрафтор-3-оксопентанoат
NaH (1,125 г, 46,88 ммоль) добавляли в перемешиваемый раствор метил-2,2,3,3-тетрафторпропанoата (2,50 г, 15,6 ммоль) в EtOAc (10 мл). Реакционную смесь нагревали с обратным холодильником при 70°C в течение 12 часов. В реакционную смесь добавляли воду и ее экстрагировали с помощью EtOAc. Экстракты промывали солевым раствором, высушивали над Na2SO4, фильтровали и концентрировали при пониженном давлении с получением неочищенного продукта в виде желтой жидкости (4,361 г). Неочищенный продукт переносили на следующую стадию без очистки. Масса/заряд=215,1 [M+H]+
Стадия B. 2-Амино-6-(1,1,2,2-тетрафторэтил)пиримидин-4-ол
Смесь этил-4,4,5,5-тетрафтор-3-оксопентанoата (2,00 г, 9,24 ммоль), гуанидина гидрохлорида (2,638 г, 27,77 ммоль) и NaOMe (0,749 г, 13,9 ммоль) в MeOH (20 мл) перемешивали при 80°C в течение 12 ч. Добавляли воду в реакционную смесь и ее экстрагировали с помощью EtOAc. Экстракты промывали солевым раствором, высушивали над Na2SO4, фильтровали и концентрировали при пониженном давлении. С помощью промывания полученных твердых веществ пентаном и EtOAc получали 2-амино-6-(1,1,2,2-тетрафторэтил)пиримидин-4-ол (0,728 г, 3,45 ммоль) в виде желтого твердого вещества. Масса/заряд=212,05 [M+H]+
Стадия C. 9-(2-Амино-6-(1,1,2,2-тетрафторэтил)пиримидин-4-ил)-1-(3,4-дифторфенил)-1,9-диазаспиро[5.5]ундекан-2-он
Смесь 2-амино-6-(1,1,2,2-тетрафторэтил)пиримидин-4-ола (0,200 г, 0,947 ммоль), 1-(3,4-дифторфенил)-1,9-диазаспиро[5.5]ундекан-2-она (промежуточное соединение A, 0,265 г, 0,947 ммоль), PyBrop (0,485 г, 1,04 ммоль) и TEA (0,40 мл, 2,8 ммоль) в MeCN (4 мл) нагревали при 80°C в течение 24 ч. В реакционную смесь добавляли воду и ее экстрагировали с помощью EtOAc. Экстракты промывали солевым раствором, высушивали над Na2SO4, фильтровали и концентрировали при пониженном давлении. С помощью очистки хроматографией на силикагеле (элюирование с помощью EtOAc) получали указанное в заголовке соединение в виде бледно-желтого твердого вещества (0,231 г, 0,489 ммоль). 1H ЯМР (400 МГц, DMSO-d6) δ 7,41 (m, 1H), 7,23 (m, 1H), 6,90-6,92 (m, 1H), 6,42-6,7 (m, 3H), 6,27 (s, 1H), 4,25 (brs, 2H), 2,97 (t, 2H), 2,42 (t, 2H), 2,19-2,05 (m, 2H), 1,93-1,75 (m, 4H), 1,58-1,38 (m, 2H); масса/заряд=474,2 [M+H]+; tR=1,28 минуты (LCMS способ j)
Пример 79. 1-(3,4-Дифторфенил)-9-(2-(гидроксинетил)-6-(перфторэтил)пиримидин-4-ил)-1,9-диазаспиро[5.5]ундекан-2-он
Стадия A. 2-(Хлорметил)-6-(перфторэтил)пиримидин-4-ол
Смесь этил-4,4,5,5,5-пентафтор-3-оксопентанoата (5,0 г, 21 ммоль), 2-хлорацетимидамида гидрохлорида (5,89 г, 45,7 ммоль) и NaOMe (1,73 г, 32,0 ммоль) в MeOH (20 мл) перемешивали при 80°C в течение 12 ч. В реакционную смесь добавляли воду и ее экстрагировали с помощью EtOAc. Экстракты промывали солевым раствором, высушивали над Na2SO4, фильтровали и концентрировали при пониженном давлении. С помощью очистки хроматографией на силикагеле (35-40% EtOAc в гексане) получали 2-(хлорметил)-6-(перфторэтил)пиримидин-4-ол в виде оранжевого твердого вещества (0,254 г, 0,977 ммоль). Масса/заряд=260,95, [M+H]+
Стадия B. 9-(2-(Хлорметил)-6-(перфторэтил)пиримидин-4-ил)-1-(3,4-дифторфенил)-1,9-диазаспиро[5.5]ундекан-2-он
Смесь 2-(хлорметил)-6-(перфторэтил)пиримидин-4-ола (0,100 г, 0,381 ммоль), 1-(3,4-дифторфенил)-1,9-диазаспиро[5.5]ундекан-2-она (промежуточное соединение A, 0,106 г, 0,381 ммоль), PyBrop (0,266 г, 0,571 ммоль) и TEA (0,16 мл, 1,1 ммоль) в диоксане (5 мл) перемешивали при к. т. в течение 12 ч. В реакционную смесь добавляли воду и ее экстрагировали с помощью EtOAc. Экстракты промывали солевым раствором, высушивали над Na2SO4, фильтровали и концентрировали при пониженном давлении. С помощью очистки препаративной TLC с элюированием с помощью EtOAc получали 9-(2-(хлорметил)-6-(перфторэтил)пиримидин-4-ил)-1-(3,4-дифторфенил)-1,9-диазаспиро[5.5]ундекан-2-он в виде желтого твердого вещества (0,091 г, 1,91 ммоль). Масса/заряд=525,1 [M+H]+
Стадия C. (4-(1-(3,4-Дифторфенил)-2-оксо-1,9-диазаспиро[5.5]ундекан-9-ил)-6-(перфторэтил)пиримидин-2-ил)метилацетат
Добавляли KOAc (0,044 г, 0,458 ммоль) в перемешиваемый раствор 9-(2-(хлорметил)-6-(перфторэтил)пиримидин-4-ил)-1-(3,4-дифторфенил)-1,9-диазаспиро[5.5]ундекан-2-она (0,080 г, 0,152 ммоль) в DMF (4 мл). Обеспечивали перемешивание реакционной смеси при к. т. в течение 12 ч. В реакционную смесь добавляли холодную воду и ее экстрагировали с помощью EtOAc. Экстракты промывали солевым раствором, высушивали над Na2SO4, фильтровали и концентрировали при пониженном давлении с получением (4-(1-(3,4-дифторфенил)-2-оксо-1,9-диазаспиро[5.5]ундекан-9-ил)-6-(перфторэтил)пиримидин-2-ил)метилацетата (0,045 г, 0,082 ммоль) в виде липкого желтого твердого вещества, которое переносили на следующую стадию без очистки. Масса/заряд=549,1 [M+H]+; tR=1,55 мин. (LCMS способ j).
Стадия D. 1-(3,4-Дифторфенил)-9-(2-(гидроксинетил)-6-(перфторэтил)пиримидин-4-ил)-1,9-диазаспиро[5.5]ундекан-2-он
Добавляли NaOMe (6 мг, 0,116 ммоль) в перемешиваемый раствор (4-(1-(3,4-дифторфенил)-2-оксо-1,9-диазаспиро[5.5]ундекан-9-ил)-6-(перфторэтил)пиримидин-2-ил)метилацетата (0,080 г, 0,15 ммоль) в MeOH (4 мл). Обеспечивали перемешивание реакционной смеси при к. т. в течение 12 ч. В реакционную смесь добавляли воду и ее экстрагировали с помощью EtOAc. Экстракты промывали солевым раствором, высушивали над Na2SO4, фильтровали и концентрировали при пониженном давлении. С помощью очистки препаративной TLC с элюированием с помощью EtOAc получали указанное в заголовке соединение (19 мг, 0,038 ммоль) в виде грязно-белого твердого вещества. 1H ЯМР (300 МГц, DMSO-d6) δ 7,40 (m, 1H), 7,24 (m, 1H), 7,02 (s, 1H), 6,89-6,92 (m, 1H), 5,02 (t, 1H), 4,33 (d, 2H), 3,06 (brs, 2H), 2,41 (t, 2H), 2,10 (d, 2H), 1,97-1,74 (m, 4H), 1,4-1,58 (m, 2H); масса/заряд=507,1 [M+H]+; tR=1,48 минуты (LCMS способ j).
Пример 80. 1-(3,4-Дифторфенил)-9-(2-(2-гидроксипропан-2-ил)-6-(трифторметил)пиримидин-4-ил)-1,9-диазаспиро[5.5]ундекан-2-он
Стадия A. 2,4-Дихлор-6-(трифторметил)пиримидин
Смесь 6-(трифторметил)пиримидин-2,4(1H,3H)-диона (5,00 г, 27,7 ммоль), N, N-диметиланилина (0,260 г, 25,0 ммоль) и POCl3 (15,7 г, 103 ммоль) в MeCN (25 мл) нагревали при 80°C в течение 6 ч. После охлаждения до к. т. реакционную смесь концентрировали при пониженном давлении, разбавляли водой и экстрагировали с помощью EtOAc дважды. Объединенные органические слои высушивали над Na2SO4, фильтровали и концентрировали при пониженном давлении с получением неочищенного 2,4-дихлор-6-(трифторметил)пиримидина в виде коричневого масла (6,0 г), которое применяли на следующей стадии без дополнительной очистки.
Стадия B. 9-(2-Хлор-6-(трифторметил)пиримидин-4-ил)-1-(3,4-дифторфенил)-1,9-диазаспиро[5.5]ундекан-2-он
Смесь 1-(3,4-дифторфенил)-1,9-диазаспиро[5.5]ундекан-2-она (промежуточное соединение A, 1,50 г, 5,35 ммоль), 2,4-дихлор-6-(трифторметил)пиримидина (1,16 г, 5,35 ммоль) и DIPEA (2,8 мл, 16 ммоль) в EtOH (20 мл) нагревали при 80°C в течение 16 ч. После охлаждения до к. т. реакционную смесь разбавляли водой и экстрагировали дважды с помощью EtOAc. Органические слои объединяли, промывали солевым раствором, высушивали над Na2SO4, фильтровали и концентрировали при пониженном давлении. С помощью очистки хроматографией на силикагеле (4-12% в MeOH в DCM) получали 9-(2-хлор-6-(трифторметил)пиримидин-4-ил)-1-(3,4-дифторфенил)-1,9-диазаспиро[5.5]ундекан-2-он в виде грязно-белого твердого вещества (1,37 г). Масса/заряд=461,00 [M+H]+
Стадия C. 9-(2-((Бензилокси)метил)-6-(трифторметил)пиримидин-4-ил)-1-(3,4-дифторфенил)-1,9-диазаспиро[5.5]ундекан-2-он
В перемешиваемый раствор 9-(2-хлор-6-(трифторметил)пиримидин-4-ил)-1-(3,4-дифторфенил)-1,9-диазаспиро[5.5]ундекан-2-она (0,65 г, 1,4 ммоль) в диоксане (4 мл) и воде (4 мл) добавляли бензилоксиметилтрифторборат калия (0,97 г, 4,2 ммоль) и Cs2CO3 (1,4 г, 4,2 ммоль). Реакционную смесь продували аргоном в течение 5 мин. Добавляли CataCXium-A® (0,10 г, 0,28 ммоль) и Pd(OAc)2 (0,032 г, 0,14 ммоль) и продолжали продувание аргоном в течение 5 мин. Реакционную смесь нагревали при 120°C в течение 18 ч. Реакционную смесь охлаждали до к. т., разбавляли водой и экстрагировали с помощью EtOAc дважды. Объединенные органические слои промывали солевым раствором, высушивали над Na2SO4, фильтровали и концентрировали при пониженном давлении. С помощью очистки хроматографией на силикагеле (12-65% EtOAc в гексане) получали 9-(2-((бензилокси)метил)-6-(трифторметил)пиримидин-4-ил)-1-(3,4-дифторфенил)-1,9-диазаспиро[5.5]ундекан-2-он (1,36 г). Масса/заряд=547,2 [M+H]+
Стадия D. 1-(3,4-Дифторфенил)-9-(2-(гидроксиметил)-6-(трифторметил)пиримидин-4-ил)-1,9-диазаспиро[5.5]ундекан-2-он
Смесь 9-(2-((бензилокси)метил)-6-(трифторметил)пиримидин-4-ил)-1-(3,4-дифторфенил)-1,9-диазаспиро[5.5]ундекан-2-она (1,36 г) и Pd(OH)2 (2,72 г) в EtOH (40 мл) помещали в атмосферу водорода (1 атм., баллон) в течение 18 ч. Реакционную смесь продували азотом, фильтровали через слой целита, промывали с помощью EtOAc и прозрачный фильтрат концентрировали при пониженном давлении. С помощью очистки хроматографией на силикагеле (4-12% MeOH в DCM) получали 1-(3,4-дифторфенил)-9-(2-(гидроксиметил)-6-(трифторметил)пиримидин-4-ил)-1,9-диазаспиро[5.5]ундекан-2-он в виде грязно-белого твердого вещества (0,61 г, 1,1 ммоль). Масса/заряд=547,1 [M+H]+
Стадия E. 4-(1-(3,4-Дифторфенил)-2-оксо-1,9-диазаспиро[5.5]ундекан-9-ил)-6-(трифторметил)пиримидин-2-карбоновая кислота
Добавляли реагент Jones (1,8 мл) в перемешиваемый раствор 1-(3,4-дифторфенил)-9-(2-(гидроксиметил)-6-(трифторметил)пиримидин-4-ил)-1,9-диазаспиро[5.5]ундекан-2-она (0,33 г, 0,72 ммоль) в ацетоне (7 мл). Реакционную смесь перемешивали при к. т. в течение 2 ч. с последующим добавлением изопропанола (1,5 мл). Реакционную смесь разбавляли водой и экстрагировали с помощью EtOAc дважды. Объединенные органические экстракты промывали солевым раствором, высушивали над Na2SO4, фильтровали и концентрировали при пониженном давлении с получением неочищенной 4-(1-(3,4-дифторфенил)-2-оксо-1,9-диазаспиро[5.5]ундекан-9-ил)-6-(трифторметил)пиримидин-2-карбоновой кислоты (0,230 г, 0,489 ммоль), которую применяли для следующей стадии без очистки.
Стадия F. Этил-4-(1-(3,4-дифторфенил)-2-оксо-1,9-диазаспиро[5.5]ундекан-9-ил)-6-(трифторметил)пиримидин-2-карбоксилат
Смесь 4-(1-(3,4-дифторфенил)-2-оксо-1,9-диазаспиро[5.5]ундекан-9-ил)-6-(трифторметил)пиримидин-2-карбоновой кислоты (0,230 г, 0,489 ммоль), Cs2CO3 (0,160 г, 0,489 ммоль) и этилйодида (0,060 мл, 0,73 ммоль) в DMF (6 мл) перемешивали при к. т. в течение 16 ч. Реакционную смесь разбавляли водой и экстрагировали с помощью EtOAc. Органические экстракты промывали солевым раствором, высушивали над Na2SO4, фильтровали и концентрировали при пониженном давлении с получением этил-4-(1-(3,4-дифторфенил)-2-оксо-1,9-диазаспиро[5.5]ундекан-9-ил)-6-(трифторметил)пиримидин-2-карбоксилата в виде смолистой коричневой жидкости. (0,21 г, 0,42 ммоль). Масса/заряд=499,1 [M+H]+
Стадия G. 1-(3,4-Дифторфенил)-9-(2-(2-гидроксипропан-2-ил)-6-(трифторметил)пиримидин-4-ил)-1,9-диазаспиро[5.5]ундекан-2-он
Перемешиваемый раствор этил-4-(1-(3,4-дифторфенил)-2-оксо-1,9-диазаспиро[5.5]ундекан-9-ил)-6-(трифторметил)пиримидин-2-карбоксилата (0,21 г, 0,42 ммоль) в THF (10 мл) охлаждали до 0°C и обрабатывали с помощью MeMgBr (3,0 M в эфире, 4 мл, 12 ммоль). Повышали температуру реакционной смеси до к. т. и перемешивание продолжали в течение 18 ч. Реакционную смесь гасили насыщенным водным раствором NH4Cl и экстрагировали с помощью EtOAc дважды. Объединенные экстракты промывали солевым раствором, высушивали над Na2SO4, фильтровали и концентрировали при пониженном давлении. С помощью очистки препаративной HPLC (LUNA OMEGA, 5,0 мкм, 21,2 × 250 мм; элюирование с помощью смеси вода/ACN) получали указанное в заголовке соединение в виде грязно-белого твердого вещества (5 мг, 0,010 ммоль). 1H ЯМР (400 МГц, DMSO-d6) δ 7,28-7,45 (m, 1H), 7,23-7,27 (m, 1H), 7,03 (s, 1H), 6,93 (d, 1H), 3,07 (brs, 2H), 2,43 (t, 2H), 2,14 (brs, 2H), 1,84-1,93 (m, 4H), 1,5-1,62 (m, 2H), 1,37 (s, 6H). 2 протоны перекрыты DMSO пик; масса/заряд=485,2 [M+H]+; tR=1,54 минуты (LCMS способ j).
Пример 81. 1-(4-Хлор-3-фторфенил)-9-(4-(2,2,2-трифторэтокси)пиридин-2-ил)-1,9-диазаспиро[5.5]ундекан-2-он
Стадия A. 2-Бром-4-(2,2,2-трифторэтокси)пиридин
Раствор NaOtBu (0,529 г, 5,50 ммоль) в DMSO (3 мл) добавляли по каплям в раствор 2-бром-4-фторпиридина (0,52 мл, 5 ммоль) и 2,2,2-трифторэтанола (0,54 мл, 7,5 ммоль) в 1 мл DMSO. Реакционную смесь перемешивали в течение 2 ч. при к. т., гасили ледяной водой и экстрагировали с помощью DCM. Объединенные органические экстракты осторожно выпаривали (продукт является летучим). Неочищенный продукт очищали хроматографией на силикагеле (0-50% EtOAc в циклогексане) с получением 2-бром-4-(2,2,2-трифторэтокси)пиридина (1,02 г, 3,78 ммоль) в виде бесцветной жидкости. 1H ЯМР (400 МГц, DMSO-d6) δ=8,28 (d, 1H), 7,45 (d, 1H), 7,19 (dd, 1H), 4,97 (q, 2H) ppm; масса/заряд=256,1 [M+H]+; tR=0,96 минуты (LCMS способ a).
Стадия B. 1-(4-Хлор-3-фторфенил)-9-(4-(2,2,2-трифторэтокси)пиридин-2-ил)-1,9-диазаспиро[5.5]ундекан-2-он
1-(4-Хлор-3-фторфенил)-1,9-диазаспиро[5.5]ундекан-2-он (промежуточное соединение A) (119 мг, 0,40 ммоль) и NaOtBu (67 мг, 0,70 ммоль) перемешивали в толуоле (3 мл) в течение 15 мин. 2-Бром-4-(2,2,2-трифторэтокси)пиридин (138 мг, 0,540 ммоль) и бис(три-трет-бутилфосфин)палладий(0) (10 мг, 0,020 ммоль) добавляли в белую суспензию и смесь нагревали в течение 1 ч. при 90°C. После охлаждения до к. т. реакционную смесь фильтровали через целит и фильтрат концентрировали. С помощью очистки SFC (Reprosphere PEI 100Å, 5 мкм, 30 × 250 мм; 6-16% MeOH в CO2 в течение 10 мин.) получали указанное в заголовке соединение (97 мг, 0,20 ммоль) в виде белой пены. 1H ЯМР (400 МГц, DMSO-d6) δ=7,91 (d, 1H), 7,59 (dd, 1H), 7,24 (dd, 1H), 6,98 (dd, 1H), 6,33 (m, 2H), 4,77 (q, 2H), 4,07-4,18 (m, 2H), 2,89 (m, 2H), 2,44 (t, 2H), 2,12 (m, 2H), 1,84-1,88 (m, 4H) 1,51-1,59 (m, 2H) ppm; масса/заряд=472,4 [M+H]+; tR=0,98 минуты (LCMS способ a).
Пример 82. 1-(3,4-Дифторфенил)-9-(6-(2,2,2-трифторэтокси)пиримидин-4-ил)-1,9-диазаспиро[5.5]ундекан-2-он
Стадия A. 4-Хлор-6-(2,2,2-трифторэтокси)пиримидин
NaH (60% в минеральном масле, 831 мг, 20,8 ммоль) добавляли частями в перемешиваемый раствор 4,6-дихлорпиримидина (1,769 г, 11,88 ммоль) и 2,2,2-трифторэтанола (1,0 г, 9,9 ммоль) в THF (100 мл) при 0°C. Обеспечивали нагревание реакционной смеси до к. т. и перемешивали в течение ночи. Реакционную смесь гасили насыщенным раствором NH4Cl, разбавляли с помощью EtOAc и экстрагировали дважды с помощью EtOAc. Объединенные органические слои высушивали над Na2SO4, фильтровали и концентрировали. С помощью очистки хроматографией на силикагеле (0-7% EtOAc в циклогексане) получали 4-хлор-6-(2,2,2-трифторэтокси)пиримидин (1,51 г, 6,75 ммоль). 1H ЯМР (400 МГц, DMSO-d6) δ=8,77 (s, 1H), 7,44 (s, 1H), 5,12 (q, 2H) ppm; масса/заряд=213,0 [M+H]+; tR=0,96 минуты (LCMS способ a).
Стадия B. 1-(3,4-Дифторфенил)-9-(6-(2,2,2-трифторэтокси)пиримидин-4-ил)-1,9-диазаспиро[5.5]ундекан-2-он
1-(3,4-Дифторфенил)-1,9-диазаспиро[5.5]ундекан-2-он (промежуточное соединение A, 750 мг, 2,68 ммоль), 4-хлор-6-(2,2,2-трифторэтокси)пиримидин (1,137 г, 3,75 ммоль) и триэтиламин (1,12 мл, 8,03 ммоль) растворяли EtOH (10 мл) и нагревали при микроволновом излучении в течение 30 мин. при 160°C. После охлаждения до к. т. реакционную смесь концентрировали. С помощью очистки хроматографией на силикагеле (0-10% MeOH в DCM) получали указанное в заголовке соединение (667 мг, 2,26 ммоль). 1H ЯМР (400 МГц, DMSO-d6) δ=8,20 (s, 1H), 7,41 (m, 1H), 7,23 (m, 1H), 6,87-6,94 (m, 1H), 6,18 (s, 1H), 4,93 (q, 2H), 4,11-4,34 (m, 2H), 2,99 (br t, 2H), 2,42 (t, 2H), 2,12 (m, 2H), 1,80-1,90 (m, 4H) 1,42-1,56 (m, 2H) ppm; масса/заряд=457,2 [M+H]+; tR=1,07 минуты (LCMS способ a).
Применяя способы, подобные описанным для получения примера 82 с применением подходящих исходных материалов, получали следующие соединения:
1-(4-Хлор-3-фторфенил)-9-(6-(2,2,2-трифторэтокси)пиримидин-4-ил)-1,9-диазаспиро[5.5]ундекан-2-он
1-(4-Хлор-3-фторфенил)-9-(6-(2,2-дифторэтокси)пиримидин-4-ил)-1,9-диазаспиро[5.5]ундекан-2-он
1-(3,4-Дифторфенил)-9-(4-пропоксипиримидин-2-ил)-1,9-диазаспиро[5.5]ундекан-2-он
rac-1-(3,4-Дифторфенил)-9-(6-((1,1,1-трифторпропан-2-ил)окси)пиримидин-4-ил)-1,9-диазаспиро[5.5]ундекан-2-он
1-(3,4-Дифторфенил)-9-(6-((тетрагидро-2H-пиран-4-ил)окси)пиримидин-4-ил)-1,9-диазаспиро[5.5]ундекан-2-он
9-(2-Хлор-6-(2,2,2-трифторэтокси)пиримидин-4-ил)-1-(3,4-дифторфенил)-1,9-диазаспиро[5.5]ундекан-2-он
Пример 89a. (S)-9-(2-Амино-6-(2,2,2-трифтор-1-(оксетан-3-ил)этокси)пиримидин-4-ил)-1-(3,4-дифторфенил)-1,9-диазаспиро[5.5]ундекан-2-он или (R)-9-(2-амино-6-(2,2,2-трифтор-1-(оксетан-3-ил)этокси)пиримидин-4-ил)-1-(3,4-дифторфенил)-1,9-диазаспиро[5.5]ундекан-2-он
и
пример 89b. (R)-9-(2-Амино-6-(2,2,2-трифтор-1-(оксетан-3-ил)этокси)пиримидин-4-ил)-1-(3,4-дифторфенил)-1,9-диазаспиро[5.5]ундекан-2-он или (S)-9-(2-амино-6-(2,2,2-трифтор-1-(оксетан-3-ил)этокси)пиримидин-4-ил)-1-(3,4-дифторфенил)-1,9-диазаспиро[5.5]ундекан-2-он
Стадия A. 2,2,2-Трифтор-1-(оксетан-3-ил)этан-1-ол
Раствор оксетан-3-карбальдегида (1,80 г, 20,9 ммоль) в THF (8 мл) охлаждали до -70°C и обрабатывали триметил(трифторметил)силаном (5,94 г, 41,8 ммоль) с последующей обработкой фторидом тетрабутиламмония (5,46 г, 20,9 ммоль). Реакционную смесь нагревали до к. т. и перемешивали в течение 3 ч. Реакционную смесь разбавляли водой и экстрагировали дважды с помощью EtOAc. Объединенные органические слои промывали солевым раствором, высушивали над безводным Na2SO4, фильтровали и концентрировали при пониженном давлении с получением 2,2,2-трифтор-1-(оксетан-3-ил)этан-1-ола (2,8 г, неочищенный).
Стадия B. 4-Хлор-6-(2,2,2-трифтор-1-(оксетан-3-ил)этокси)пиримидин-2-амин
Перемешиваемый раствор 4,6-дихлорпиримидин-2-амина (2,20 г, 13,4 ммоль) и 2,2,2-трифтор-1-(оксетан-3-ил)этан-1-ола (2,72 г, 17,4 ммоль) в 1,4-диоксане (10 мл) обрабатывали с помощью Cs2CO3 (13,11 г, 40,24 ммоль). Реакционную смесь нагревали до 80°C в течение 12 ч. Реакционную смесь охлаждали до к. т., разбавляли водой и экстрагировали дважды с помощью EtOAc. Объединенные органические слои промывали солевым раствором, высушивали над безводным Na2SO4, фильтровали и концентрировали при пониженном давлении. С помощью очистки хроматографией на силикагеле (1% MeOH в DCM) получали 4-хлор-6-(2,2,2-трифтор-1-(оксетан-3-ил)этокси)пиримидин-2-амин (2,10 г, 55,2%). Масса/заряд=284,0, [M-H]+; tR=1,45 мин. (LCMS способ l)
Стадия C. 9-(2-Амино-6-(2,2,2-трифтор-1-(оксетан-3-ил)этокси)пиримидин-4-ил)-1-(3,4-дифторфенил)-1,9-диазаспиро[5.5]ундекан-2-он
Перемешиваемый раствор 4-хлор-6-(2,2,2-трифтор-1-(оксетан-3-ил)этокси)пиримидин-2-амина (0,303 г, 1,07 ммоль) и 1-(3,4-дифторфенил)-1,9-диазаспиро[5.5]ундекан-2-она (промежуточное соединение A, 0,300 г, 1,07 ммоль) обрабатывали с помощью Cs2CO3 (1,04 г, 3,21 ммоль). Реакционную смесь нагревали до 80°C в течение 15 ч. Смесь охлаждали до к. т., разбавляли водой и экстрагировали дважды с помощью EtOAc. Объединенные органические слои промывали солевым раствором, высушивали над безводным Na2SO4, фильтровали и концентрировали при пониженном давлении. С помощью очистки препаративной HPLC (GEMINI, 5 мкм, 21,2 × 150 мм; элюирование с помощью смеси вода/ACN) получали чистый рацемический материал. 1H ЯМР (300 МГц, DMSO-d6) δ 7,40 (m, 1H), 7,21 (m, 1H), 6,94-6,82 (m, 1H), 6,22 (s, 2H), 6,12 (m, 1H), 5,44 (s, 1H), 4,69-4,47 (m, 3H), 4,35 (t, 1H), 4,13 (brs, 2H), 3,57 (m, 1H), 2,87 (t, 2H), 2,39 (t, 2H), 2,08 (s, 2H), 1,72-1,82 (m, 4H), 1,55-1,34 (m, 2H). масса/заряд=528,1, [M+H]+, tR=1,53 минуты (LCMS способ l). Chiral SFC (CHIRALPAK IA, 10 мкм, 10 × 250 мм; подвижная фаза A: CO2, подвижная фаза B: IPA; скорость потока 15 мл/мин.; изократическое элюирование A:B 77:23) получали пример 89a (пик 1, 27 мг; SFC tR=10,23 мин.) и пример 89b (пик 2, 28 мг; SFC tR=10,94 мин.).
Применяя способы, подобные описанным для получения примеров 89a и 89b с применением подходящих исходных материалов, получали следующие соединения:
9-(2-Амино-6-(3,3-дифторциклобутокси)пиримидин-4-ил)-1-(3,4-дифторфенил)-1,9-диазаспиро[5.5]ундекан-2-он
9-(2-Амино-6-(2,2,2-трифторэтокси)пиримидин-4-ил)-1-(3,4-дифторфенил)-1,9-диазаспиро[5.5]ундекан-2-он
9-(2-Амино-6-(2,2,2-трифторэтокси-1,1-d2)пиримидин-4-ил)-1-(3,4-дифторфенил)-1,9-диазаспиро[5.5]ундекан-2-он
9-(2-Амино-6-изопропоксипиримидин-4-ил)-1-(3,4-дифторфенил)-1,9-диазаспиро[5.5]ундекан-2-он
9-(2-Амино-6-(2-гидроксиэтокси)пиримидин-4-ил)-1-(3,4-дифторфенил)-1,9-диазаспиро[5.5]ундекан-2-он
rac-9-(2-Амино-6-((1,1,1-трифторпропан-2-ил)окси)пиримидин-4-ил)-1-(3,4-дифторфенил)-1,9-диазаспиро[5.5]ундекан-2-он
rac-9-(2-Амино-6-(2,2,2-трифтор-1-(3-метилоксетан-3-ил)этокси)пиримидин-4-ил)-1-(3,4-дифторфенил)-1,9-диазаспиро[5.5]ундекан-2-он
9-(2-Амино-6-(2,2,3,3,3-пентафторпропокси)пиримидин-4-ил)-1-(3,4-дифторфенил)-1,9-диазаспиро[5.5]ундекан-2-он
rac-9-(2-Амино-6-((4,4-дифтортетрагидрофуран-3-ил)окси)пиримидин-4-ил)-1-(3,4-дифторфенил)-1,9-диазаспиро[5.5]ундекан-2-он
rac-9-(2-Амино-6-(((3S,4S)-3-фтортетрагидро-2H-пиран-4-ил)окси)пиримидин-4-ил)-1-(3,4-дифторфенил)-1,9-диазаспиро[5.5]ундекан-2-он
(R)-9-(2-Амино-6-((тетрагидро-2H-пиран-3-ил)окси)пиримидин-4-ил)-1-(3,4-дифторфенил)-1,9-диазаспиро[5.5]ундекан-2-он
9-(2-Амино-6-((тетрагидро-2H-пиран-4-ил)окси)пиримидин-4-ил)-1-(3,4-дифторфенил)-1,9-диазаспиро[5.5]ундекан-2-он
rac-9-(2-Амино-6-(((3R,4R)-4-фтортетрагидрофуран-3-ил)окси)пиримидин-4-ил)-1-(3,4-дифторфенил)-1,9-диазаспиро[5.5]ундекан-2-он
Пример 103. 9-(2-Амино-6-((тетрагидро-2H-пиран-4-ил-4-d)окси)пиримидин-4-ил)-1-(3,4-дифторфенил)-1,9-диазаспиро[5.5]ундекан-2-он
Стадия A. трет-Бутил-(трет-бутоксикарбонил)(4,6-дихлорпиримидин-2-ил)карбамат
Перемешиваемый раствор 4,6-дихлорпиримидин-2-амина (10,00 г, 60,97 ммоль) в THF (100 мл) обрабатывали с помощью DMAP (0,744 г, 6,10 ммоль) и ди-третбутил-дикарбонатом (29,27 г, 134,1 ммоль) и перемешивали при к. т. в течение 12 ч. Реакционную смесь гасили путем добавления льда и ее затем экстрагировали с помощью EtOAc. Объединенные экстракты промывали водным раствором NaHCO3, высушивали над безводным Na2SO4, фильтровали и концентрировали при пониженном давлении. С помощью очистки хроматографией на силикагеле (10% EtOAc в гексане) получали трет-бутил-(трет-бутоксикарбонил)(4,6-дихлорпиримидин-2-ил)карбамат (16,23 г) в виде светло-коричневой жидкости. 1H ЯМР (300 МГц, DMSO-d6) δ 8,01 (s, 1H), 1,4 (s, 18 H).
Стадия B. трет-Бутил-(трет-бутоксикарбонил)(4-хлор-6-((тетрагидро-2H-пиран-4-ил-4-d)окси)пиримидин-2-ил)карбамат
Перемешиваемый раствор трет-бутил-(трет-бутоксикарбонил)(4,6-дихлорпиримидин-2-ил)карбамата (0,500 г, 1,37 ммоль) в диоксане (7 мл) обрабатывали тетрагидро-2H-пиран-4-d-4-олом (0,170 г, 1,65 ммоль) и Cs2CO3 (1,342 г, 4,118 ммоль). Реакционную смесь перемешивали при 80°C в течение 12 ч. Реакционную смесь охлаждали до к. т., разбавляли водой и экстрагировали дважды с помощью EtOAc. Объединенные органические экстракты промывали солевым раствором, высушивали над безводным Na2SO4, фильтровали и концентрировали при пониженном давлении. Неочищенный материал (0,56 г) применяли в таком виде на следующей стадии без какой-либо очистки. Масса/заряд=431,1, [M+H]+; tR=1,68 мин. (LCMS способ j).
Стадия C. трет-Бутил-(трет-бутоксикарбонил)(4-(1-(3,4-дифторфенил)-2-оксо-1,9-диазаспиро[5.5]ундекан-9-ил)-6-((тетрагидро-2H-пиран-4-ил-4-d)окси)пиримидин-2-ил)карбамат
1-(3,4-Дифторфенил)-1,9-диазаспиро[5.5]ундекан-2-он (промежуточное соединение A, 0,300 г, 1,07 ммоль) и DIPEA (0,56 мл, 3,2 ммоль) добавляли в перемешиваемый раствор трет-бутил-(трет-бутоксикарбонил)(4-хлор-6-((тетрагидро-2H-пиран-4-ил-4-d)окси)пиримидин-2-ил)карбамата (0,553 г, 1,28 ммоль) в EtOH (7 мл). Реакционную смесь нагревали до 80°C в течение 12 ч. Реакционную смесь охлаждали до к. т., разбавляли водой и экстрагировали дважды с помощью EtOAc. Объединенные органические экстракты промывали солевым раствором, высушивали над Na2SO4, фильтровали и концентрировали при пониженном давлении. Неочищенный материал (0,788 г) применяли в таком виде на следующей стадии без очистки. Масса/заряд=675,2, [M+H]+; tR=1,60 мин. (LCMS способ j).
Стадия-D. 9-(2-Амино-6-((тетрагидро-2H-пиран-4-ил-4-d)окси)пиримидин-4-ил)-1-(3,4-дифторфенил)-1,9-диазаспиро[5.5]ундекан-2-он
Раствор хлористоводородной кислоты (4,0 M в диоксане, 15 мл) добавляли в перемешиваемый раствор трет-бутил-(трет-бутоксикарбонил)(4-(1-(3,4-дифторфенил)-2-оксо-1,9-диазаспиро[5.5]ундекан-9-ил)-6-((тетрагидро-2H-пиран-4-ил-4-d)окси)пиримидин-2-ил)карбамата (0,780 г, 1,16 ммоль) в диоксане (5 мл). Реакционную смесь перемешивали при к. т. в течение 12 ч. Реакционную смесь концентрировали при пониженном давлении и остаток суспендировали насыщенным водным раствором NaHCO3. Смесь экстрагировали с помощью EtOAc. Объединенные экстракты промывали солевым раствором, высушивали над безводным Na2SO4, фильтровали и концентрировали при пониженном давлении. С помощью очистки препаративной HPLC (LUNA Phenomenex, 5,0 мкм, 21,2 × 250 мм; элюирование с помощью 0,01% HCOOH в смеси вода:ACN) получали указанное в заголовке соединение в виде грязно-белого твердого вещества (78 мг). 1H ЯМР (300 МГц, DMSO-d6) δ 8,26 (brs, 2H), 7,42 (m, 1H), 7,23 (m, 1H), 6,91 (m, 1H), 5,23 (s, 1H), 4,11 (d, 2H), 3,80 (dt, 2H), 3,40 (t, 2H), 2,83 (t, 2H), 2,41 (t, 2H), 2,02-2,12 (m, 2H), 1,71-1,9 (m, 6H), 1,35-1,52 (m, 4H); масса/заряд=475,2 [M+H]+; tR=1,31 минуты (LCMS способ j).
Пример 104. rac-9-(2-Амино-6-((3-метилтетрагидрофуран-3-ил)окси)пиримидин-4-ил)-1-(3,4-дифторфенил)-1,9-диазаспиро[5.5]ундекан-2-он
Стадия-A. 4-Фтор-6-((3-метилтетрагидрофуран-3-ил)окси)пиримидин-2-амин
Гидрид натрия (0,183 г, 7,63 ммоль) добавляли порциями в перемешиваемый раствор 3-метилтетрагидрофуран-3-ола (0,311 г, 3,05 ммоль) в THF (5 мл) при 0°C и перемешивали при такой же температуре в течение 30 минут. Добавляли раствор 4,6-дифторпиримидин-2-амина (0,200 г, 1,52 ммоль) в THF (5 мл) и смесь перемешивали при к. т. в течение 16 ч. Добавляли насыщенный водный раствор NH4Cl и смесь экстрагировали дважды с помощью EtOAc. Объединенные органические экстракты промывали солевым раствором, высушивали над безводным Na2SO4, фильтровали и концентрировали при пониженном давлении. С помощью очистки препаративной TLC (30% EtOAc в гексане) получали 4-фтор-6-((3-метилтетрагидрофуран-3-ил)окси)пиримидин-2-амин (0,163 г) в виде грязно-белого твердого вещества. Масса/заряд=214,2 [M+H]+; tR=0,41 мин. (LCMS способ l).
Стадия-B. 9-(2-Амино-6-((3-метилтетрагидрофуран-3-ил)окси)пиримидин-4-ил)-1-(3,4-дифторфенил)-1,9-диазаспиро[5.5]ундекан-2-он
1-(3,4-Дифторфенил)-1,9-диазаспиро[5.5]ундекан-2-он (промежуточное соединение A, 0,214 мг, 0,764 ммоль) и DIPEA (0,40 мл, 2,3 ммоль) добавляли в перемешиваемый раствор 4-фтор-6-((3-метилтетрагидрофуран-3-ил)окси)пиримидин-2-амина (0,163 мг, 0,764 ммоль) в EtOH (1 мл) при к. т. Реакционную смесь нагревали при 80°C в течение 48 ч. Смесь охлаждали до к. т., разбавляли водой и экстрагировали дважды с помощью EtOAc. Объединенные органические экстракты промывали солевым раствором, высушивали над безводным Na2SO4, фильтровали и концентрировали при пониженном давлении. Неочищенный продукт очищали посредством препаративной TLC (10% MeOH в DCM) с получением указанного в заголовке соединения (0,125 мг) в виде грязно-белого твердого вещества. 1H ЯМР (300 МГц, DMSO-d6) δ 7,42 (m, 1H), 7,23 (m, 1H), 6,91 (ddd, 1H), 5,93 (s, 2H), 5,19 (s, 1H), 4,09 (d, 2H), 3,92 (d, 1H), 3,70-3,78 (m, 3H), 2,82 (t, 2H), 2,48-2,27 (m, 4H), 2,05-2,15 (m, 2H), 1,72-1,9 (m, 4H), 1,59 (s, 3H), 1,32-1,5 (m, 2H); масса/заряд=474,3 [M+H]+; tR=0,50 минуты (LCMS способ i).
Пример 105. rac-9-(2-Амино-6-(((3S,4R)-4-фтортетрагидрофуран-3-ил)окси)пиримидин-4-ил)-1-(3,4-дифторфенил)-1,9-диазаспиро[5.5]ундекан-2-он
Стадия A. 6-Хлор-2-(метилтио)пиримидин-4-ол
Перемешиваемый раствор 4,6-дихлор-2(метилтио)пиримидина (5,0 г, 25,6 ммоль) в 2 M NaOH (125 мл) нагревали при 120°C в течение 5 ч. Реакционную смесь охлаждали до к. т. и подкисляли до значения pH 6 путем медленного добавления AcOH. Полученное белое твердое вещество выделяли посредством фильтрации и высушивали под вакуумом с получением 6-хлор-2-(метилтио)пиримидин-4-ола в виде грязно-белого твердого вещества (4,07 г, неочищенный). 1H ЯМР (300 МГц, DMSO-d6) δ 13,1 (brs, 1H), 6,22 (s, 1H), 2,5 (s, 3H).
Стадия B. 4-Хлор-6-(((3S,4R)-4-фтортетрагидрофуран-3-ил)окси)-2-(метилтио)пиримидин
Перемешиваемый раствор 6-хлор-2-(метилтио)пиримидин-4-ола (3,40 г, 32,0 ммоль) и трифенилфосфина (11,6 г, 44,2 ммоль) в THF (100 мл) обрабатывали (3R,4R)-4-фтортетрагидрофуран-3-олом (2,00 г, 11,3 ммоль) и DIAD (7,67 г, 37,9 ммоль). Реакционную смесь нагревали до 80°C в течение 12 ч. После охлаждения до к. т. смесь разбавляли пентаном и растворитель декантировали. Декантированный растворитель концентрировали при пониженном давлении. С помощью очистки хроматографией на силикагеле (10% EtOAc в гексане) получали 4-хлор-6-(((3S,4R)-4-фтортетрагидрофуран-3-ил)окси)-2-(метилтио)пиримидин
в виде грязно-белого твердого вещества (1,82 г). 1H ЯМР (300 МГц, DMSO-d6) δ 6,96 (s, 1H), 5,59-5,32 (m, 2H), 4,11-4,01 (m, 2H), 3,97-3,78 (m, 2H), 2,53 (s, 3H).
Стадия C. 4-Хлор-6-(((3S,4R)-4-фтортетрагидрофуран-3-ил)окси)-2-(метилсульфонил)пиримидин
Перемешиваемый раствор 4-хлор-6-(((3S,4R)-4-фтортетрагидрофуран-3-ил)окси)-2-(метилтио)пиримидина (1,80 г, 6,80 ммоль) в THF (30 мл) и воде (7 мл) обрабатывали с помощью Oxone® (6,20 г, 20,4 ммоль). Реакционную смесь перемешивали при к. т. в течение 3 ч., после чего разбавляли водой и экстрагировали дважды с помощью EtOAc. Органические экстракты промывали раствором NaHCO3, солевым раствором, высушивали над безводным Na2SO4, фильтровали и концентрировали при пониженном давлении. Неочищенный материал (1,86 г) применяли в таком виде на следующей стадии без какой-либо очистки. 1H ЯМР (400 МГц, DMSO-d6) δ 7,68 (s, 1H), 5,65-5,41 (m, 2H), 4,14-3,87 (m, 4H), 3,45 (s, 3H).
Стадия D. 1-(3,4-Дифторфенил)-9-(6-(((3S,4R)-4-фтортетрагидрофуран-3-ил)окси)-2-(метилсульфонил)пиримидин-4-ил)-1,9-диазаспиро[5.5]ундекан-2-он
Смесь 4-хлор-6-(((3S,4R)-4-фтортетрагидрофуран-3-ил)окси)-2-(метилсульфонил)пиримидина (1,00 г, 3,57 ммоль), 1-(3,4-дифторфенил)-1,9-диазаспиро[5.5]ундекан-2-она (промежуточное соединение A, 1,06 г, 3,57 ммоль) и DIPEA (1,38 г, 10,7 ммоль) в EtOH (8 мл) нагревали при 80°C в течение 1 ч. Реакционную смесь охлаждали до к. т., разбавляли водой и экстрагировали дважды с помощью EtOAc. Объединенные экстракты промывали раствором NaHCO3, солевым раствором, высушивали над безводным Na2SO4, фильтровали и концентрировали при пониженном давлении с получением 1-(3,4-дифторфенил)-9-(6-(((3S,4R)-4-фтортетрагидрофуран-3-ил)окси)-2-(метилсульфонил)пиримидин-4-ил)-1,9-диазаспиро[5.5]ундекан-2-она (0,643 г). Масса/заряд=541,1 [M+H]+; tR=0,93 мин. (LCMS способ l).
Стадия E. 9-(2-Азидо-6-(((3S,4R)-4-фтортетрагидрофуран-3-ил)окси)пиримидин-4-ил)-1-(3,4-дифторфенил)-1,9-диазаспиро[5.5]ундекан-2-он
Смесь 1-(3,4-дифторфенил)-9-(6-(((3S,4R)-4-фтортетрагидрофуран-3-ил)окси)-2-(метилсульфонил)пиримидин-4-ил)-1,9-диазаспиро[5.5]ундекан-2-она (0,640 г, 1,18 ммоль) и азида натрия (0,900 г, 13,8 ммоль) в DMF (15 мл) нагревали при 50°C в течение 24 ч. Реакционную смесь охлаждали до к. т., разбавляли водой и экстрагировали дважды с помощью EtOAc. Экстракты промывали водным раствором NaHCO3, солевым раствором, высушивали над безводным Na2SO4, фильтровали и концентрировали при пониженном давлении. Неочищенный материал (0,651 г) применяли в таком виде на следующей стадии без дополнительной очистки. Масса/заряд=504,4 [M+H]+; tR=2,18 мин. (LCMS способ l).
Стадия F. 9-(2-Амино-6-(((3S,4R)-4-фтортетрагидрофуран-3-ил)окси)пиримидин-4-ил)-1-(3,4-дифторфенил)-1,9-диазаспиро[5.5]ундекан-2-он
Перемешиваемый раствор 9-(2-азидо-6-(((3S,4R)-4-фтортетрагидрофуран-3-ил)окси)пиримидин-4-ил)-1-(3,4-дифторфенил)-1,9-диазаспиро[5.5]ундекан-2-она (0,651 г, 1,29 ммоль) в THF (6 мл) охлаждали до -78 oC. Добавляли триметилфосфин (0,108 г, 1,42 ммоль) и температуру постепенно повышали до к. т. Смесь перемешивали при к. т. в течение 12 ч., затем нагревали при 50°C в течение 24 ч. Реакционную смесь охлаждали до к. т., разбавляли водой и экстрагировали дважды с помощью EtOAc. Экстракты промывали раствором NaHCO3, солевым раствором, высушивали над безводным Na2SO4, фильтровали и концентрировали при пониженном давлении. С помощью очистки препаративной HPLC (Acquity XSelect, 5,0 мкм, 21,2 × 250 мм; подвижная фаза 0,02% NH4OH в смеси вода:ACN) получали указанное в заголовке соединение (0,356 г) в виде грязно-белого твердого вещества. 1H ЯМР (300 МГц, хлороформ-d) δ 7,17 (m, 1H), 6,88 (m, 1H), 6,77 (m, 1H), 5,34 (m, 2H), 5,17 (m, 1H), 4,56 (s, 2H), 4,22-4,07 (m, 3H), 4,06-3,94 (m, 1H), 3,87-3,76 (m, 2H), 2,8-2,95 (m, 2H), 2,60 (t, 2H), 2,18-2,05 (m, 2H), 1,88-1,95 (m, 2H), 1,7-1,78 (m, 4H); масса/заряд=478,2 [M+H]+, tR=0,50 минуты (LCMS способ i).
Пример 106. 1-(3,4-Дифторфенил)-9-(2-(гидроксиметил)-6-((тетрагидро-2H-пиран-4-ил)окси)пиримидин-4-ил)-1,9-диазаспиро[5.5]ундекан-2-он
Стадия A. Метил-4-хлор-6-((тетрагидро-2H-пиран-4-ил)окси)пиримидин-2-карбоксилат
Смесь метил-4,6-дихлорпиримидин-2-карбоксилата (300 мг, 1,45 ммоль), тетрагидро-2H-пиран-4-ола (148 мг, 1,45 ммоль) и Cs2CO3 (944 мг, 2,90 ммоль) в диоксане (5 мл) нагревали до 80°C в течение 2 ч. Реакционную смесь охлаждали до к. т., разбавляли водой и экстрагировали дважды с помощью EtOAc. Объединенные органические экстракты промывали солевым раствором, высушивали над безводным Na2SO4, фильтровали и концентрировали при пониженном давлении с получением метил-4-хлор-6-((тетрагидро-2H-пиран-4-ил)окси)пиримидин-2-карбоксилата (130 мг), который применяли без очистки.
Стадия B. Метил-4-(1-(3,4-дифторфенил)-2-оксо-1,9-диазаспиро[5.5]ундекан-9-ил)-6-((тетрагидро-2H-пиран-4-ил)окси)пиримидин-2-карбоксилат
Смесь метил-4-хлор-6-((тетрагидро-2H-пиран-4-ил)окси)пиримидин-2-карбоксилата (130 мг, 0,476 ммоль), 1-(3,4-дифторфенил)-1,9-диазаспиро[5.5]ундекан-2-она (промежуточное соединение A, 133 мг, 0,476 ммоль) и DIPEA (0,18 мл, 1,4 ммоль) в EtOH нагревали при 80°C в течение 2 ч. Реакционную смесь охлаждали до к. т., разбавляли водой и экстрагировали дважды с помощью EtOAc. Объединенные органические экстракты промывали солевым раствором, высушивали над безводным Na2SO4, фильтровали и концентрировали при пониженном давлении с получением метил-4-(1-(3,4-дифторфенил)-2-оксо-1,9-диазаспиро[5.5]ундекан-9-ил)-6-((тетрагидро-2H-пиран-4-ил)окси)пиримидин-2-карбоксилата (120 мг, неочищенный). Масса/заряд=517,2 [M+H]+; tR=1,31 мин. (LCMS способ k).
Стадия-C. 1-(3,4-Дифторфенил)-9-(2-(гидроксиметил)-6-((тетрагидро-2H-пиран-4-ил)окси)пиримидин-4-ил)-1,9-диазаспиро[5.5]ундекан-2-он
Перемешиваемый раствор метил-4-(1-(3,4-дифторфенил)-2-оксо-1,9-диазаспиро[5.5]ундекан-9-ил)-6-((тетрагидро-2H-пиран-4-ил)окси)пиримидин-2-карбоксилата (120 мг, 0,232 ммоль) в MeOH (5 мл) обрабатывали борогидридом натрия (35 мг, 0,93 ммоль) при 0°C. Смесь перемешивали при к. т. в течение 2 ч. Смесь разбавляли водой и экстрагировали дважды с помощью EtOAc. Объединенные органические экстракты промывали солевым раствором, высушивали над безводным Na2SO4, фильтровали и концентрировали при пониженном давлении. С помощью очистки препаративной HPLC (LUNA C18, 5 мкм, 21,2 × 250 мм; элюирование с помощью смеси 0,1% HCOOH:MeCN) получали указанное в заголовке соединение (5 мг). 1H ЯМР (400 МГц, DMSO-d6) δ 7,42 (m, 1H), 7,24 (m, 1H), 6,90-6,92 (m, 1H), 5,84 (s, 1H), 5,11-5,2 (m, 1H), 4,70 (t, 1H), 4,23 (d, 3H), 3,78-3,83 (m, 2H), 3,45 (t, 2H), 2,92 (t, 2H), 2,42 (t, 2H), 2,11 (brs, 2H), 1,83-1,92 (m, 5H), 1,57-1,57 (m, 4H); масса/заряд=489,3 [M+H]+; tR=1,1 минуты (LCMS способ k).
Применяя способы, подобные описанным для получения примера 106 с применением подходящих исходных материалов, получали следующие соединения:
rac-1-(3,4-Дифторфенил)-9-(6-(((3S,4R)-3-фтортетрагидро-2H-пиран-4-ил)окси)-2-(гидроксиметил)пиримидин-4-ил)-1,9-диазаспиро[5.5]ундекан-2-он
rac-1-(3,4-Дифторфенил)-9-(6-(((3R,4R)-4-фтортетрагидрофуран-3-ил)окси)-2-(гидроксиметил)пиримидин-4-ил)-1,9-диазаспиро[5.5]ундекан-2-он
4,26 (d, 2H), 4,13 (dd, 1H), 4,02-3,78 (m, 2H), 3,68 (d, 1H), 2,94 (t, 2H), 2,42 (t, 2H), 2,12 (brs, 2H), 1,80-1,88 (m, 3H), 1,46 (t, 2H).
(S)-1-(3,4-Дифторфенил)-9-(2-(гидроксиметил)-6-((тетрагидрофуран-3-ил)окси)пиримидин-4-ил)-1,9-диазаспиро[5.5]ундекан-2-он
Пример 110a. (S)-1-(3,4-Дифторфенил)-9-(2-(гидроксиметил)-6-((1,1,1-трифторпропан-2-ил)окси)пиримидин-4-ил)-1,9-диазаспиро[5.5]ундекан-2-он или (R)-1-(3,4-дифторфенил)-9-(2-(гидроксиметил)-6-((1,1,1-трифторпропан-2-ил)окси)пиримидин-4-ил)-1,9-диазаспиро[5.5]ундекан-2-он
и
пример 110b. (R)-1-(3,4-Дифторфенил)-9-(2-(гидроксиметил)-6-((1,1,1-трифторпропан-2-ил)окси)пиримидин-4-ил)-1,9-диазаспиро[5.5]ундекан-2-он или (S)-1-(3,4-дифторфенил)-9-(2-(гидроксиметил)-6-((1,1,1-трифторпропан-2-ил)окси)пиримидин-4-ил)-1,9-диазаспиро[5.5]ундекан-2-он
Рацемический 1-(3,4-дифторфенил)-9-(2-(гидроксиметил)-6-((1,1,1-трифторпропан-2-ил)окси)пиримидин-4-ил)-1,9-диазаспиро[5.5]ундекан-2-он или (R)-1-(3,4-дифторфенил)-9-(2-(гидроксиметил)-6-((1,1,1-трифторпропан-2-ил)окси)пиримидин-4-ил)-1,9-диазаспиро[5.5]ундекан-2-он синтезировали аналогичным способом, который использовался для примера 106 с применением rac-1,1,1-трифторпропан-2-ола. 1H ЯМР (400 МГц, DMSO-d6) δ 7,42 (m, 1H), 7,24 (m, 1H), 6,98-6,84 (m, 1H), 6,00 (s, 1H), 5,94 (m, 1H), 4,84 (t, 1H), 4,26 (d, 3H), 2,96 (t, 2H), 2,42 (t, 2H), 2,18-2,04 (m, 2H), 1,91-1,78 (m, 4H), 1,47 (t, 2H), 1,37 (d, 3H); масса/заряд=501,1 [M+H]+; tR=1,63 (LCMS способ l). Рацемический продукт очищали посредством хиральной HPLC (Phenomenex Lux Cellulose, 4 мкм, 21,2 × 250 мм; подвижная фаза A: гексан, подвижная фаза B: EtOH; изократическое элюирование 70(A):30(B); скорость потока 15 мл/мин.) с получением примера 110b (пик 1; хиральная HPLC tR=3,57 мин.) и примера 110a (пик 2; хиральная HPLC tR=3,94 мин.).
Пример 111. rac-Этил-4-(1-(3,4-дифторфенил)-2-оксо-1,9-диазаспиро[5.5]ундекан-9-ил)-6-(((3S,4S)-4-фтортетрагидрофуран-3-ил)окси)пиримидин-2-карбоксилат
Стадия A. rac-(3R,4R)-4-Фтортетрагидрофуран-3-ол.
Триэтиламинтригидрофторид (60 мл) добавляли в 3,6-диоксабицикло[3.1.0]гексан (10,00 г, 116,1 ммоль) при к. т. Смесь затем нагревали при 120°C в течение 12 ч. Реакционную смесь гасили ледяной водой и экстрагировали с помощью EtOAc. Экстракты промывали солевым раствором и высушивали над Na2SO4, фильтровали и концентрировали при пониженном давлении. С помощью очистки хроматографией на силикагеле (100% EtOAc) получали rac-(3R,4R)-4-фтортетрагидрофуран-3-ол (8,0 г) в виде коричневой жидкости. 1H ЯМР (300 МГц, DMSO-d6) δ 5,42 (d, 1H), 5,21-5,25 (m, 1H), 3,77-3,9 (m, 2H), 3,53-3,56 (m, 1H), 3,34 (br s, 1H).
Стадия B. rac-Метил-4-хлор-6-(((3R,4R)-4-фтортетрагидрофуран-3-ил)окси)пиримидин-2-карбоксилат.
Смесь метил-4,6-дихлорпиримидин-2-карбоксилата (0,150 г, 0,724 ммоль), rac-(3R,4R)-4-фтортетрагидрофуран-3-ола (0,076 г, 0,72 ммоль) и Cs2CO3 (0,472 г, 1,45 ммоль) в диоксане (5 мл) перемешивали при к. т. в течение 3 ч. Реакционную смесь разбавляли водой и экстрагировали с помощью EtOAc. Экстракты промывали солевым раствором, высушивали над Na2SO4, фильтровали и концентрировали при пониженном давлении с получением rac-метил-4-хлор-6-(((3R,4R)-4-фтортетрагидрофуран-3-ил)окси)пиримидин-2-карбоксилата (0,160 г) в виде желтого смолистого твердого вещества, которое использовали без дополнительной очистки. Масса/заряд=277,1 [M+H]+; tR=0,47 мин. (LCMS способ l).
Стадия C. rac-Этил-4-(1-(3,4-дифторфенил)-2-оксо-1,9-диазаспиро[5.5]ундекан-9-ил)-6-(((3S,4S)-4-фтортетрагидрофуран-3-ил)окси)пиримидин-2-карбоксилат.
Смесь 1-(3,4-дифторфенил)-1,9-диазаспиро[5.5]ундекан-2-она (промежуточное соединение A, 0,045 г, 0,16 ммоль), rac-метил-4-хлор-6-(((3R,4R)-4-фтортетрагидрофуран-3-ил)окси)пиримидин-2-карбоксилата (0,060 г, 0,22 ммоль) и DIPEA (110 мкл, 0,65 ммоль) в EtOH (2 мл) нагревали при 80°C в течение 2 часов. Смесь охлаждали до к. т., разбавляли водой и экстрагировали с помощью EtOAc. Экстракты промывали солевым раствором, высушивали над Na2SO4, фильтровали и концентрировали при пониженном давлении. С помощью очистки препаративной HPLC (LUNA Phenomenex, 5 мкм, 21,2 × 250 мм; элюирование с помощью 0,1% HCOOH в смеси H2O:ACN) получали указанное в заголовке соединение (3 мг) в виде грязно-белого твердого вещества. 1H ЯМР (400 МГц, метанол-d4) δ 7,24 (m, 1H), 7,09 (m, 1H), 6,91 (m, 1H), 6,07 (s, 1H), 5,54-5,58 (m, 1H), 5,2 (d, 1H), 4,22-4,34 (m, 4H), 4,17-4,22 (m, 1H), 4,03 (s, 1H), 3,92-3,94 (m, 1H), 3,8 (d, 1H), 3,07 (t, 2H), 2,57 (t, 2H), 2,18-2,3 (m, 2H), 1,91-2,01 (m, 4H), 1,7 (brs, 2H), 1,29 (m, 3H); масса/заряд=535,3 [M+H]+; tR=2,13 минуты (LCMS способ l).
Пример 112. (R)-9-(2-Амино-6-((тетрагидрофуран-3-ил)амино)пиримидин-4-ил)-1-(3,4-дифторфенил)-1,9-диазаспиро[5.5]ундекан-2-он.
Стадия A. (R)-6-Хлор-N4-(тетрагидрофуран-3-ил)пиримидин-2,4-диамин
Смесь 4,6-дихлорпиримидин-2-амина (0,300 г, 1,83 ммоль), (R)-тетрагидрофуран-3-амина (0,120 г, 1,37 ммоль) и DIPEA (0,96 мл, 5,5 ммоль) в EtOH (5 мл) нагревали при 80°C в течение 12 ч. Реакционную смесь охлаждали до к. т., разбавляли водой и экстрагировали дважды с помощью EtOAc. Объединенные органические экстракты промывали солевым раствором, высушивали над безводным Na2SO4, фильтровали и концентрировали при пониженном давлении. Неочищенный продукт растирали с пентаном с получением (R)-6-хлор-N4-(тетрагидрофуран-3-ил)пиримидин-2,4-диамина (0,25 г, 64%) в виде грязно-белого твердого вещества. Масса/заряд=215,0 [M+H]+; tR=0,64 мин. (LCMS способ l).
Стадия B. (R)-6-Фтор-N4-(тетрагидрофуран-3-ил)пиримидин-2,4-диамин
Смесь (R)-6-хлор-N4-(тетрагидрофуран-3-ил)пиримидин-2,4-диамина (0,100 г, 0,465 ммоль) и CsF (0,283 г, 1,86 ммоль) в DMSO (5 мл) нагревали при 150°C в течение 24 ч. Реакционную смесь охлаждали до к. т., разбавляли водой и экстрагировали дважды с помощью EtOAc. Объединенные органические экстракты промывали солевым раствором, высушивали над безводным Na2SO4, фильтровали и концентрировали при пониженном давлении. С помощью промывания неочищенного продукта пентаном получали (R)-6-фтор-N4-(тетрагидрофуран-3-ил)пиримидин-2,4-диамин (0,15 г, неочищенный). Масса/заряд=199,2 [M+H]+; tR=0,43 мин. (LCMS способ k).
Стадия C. (R)-9-(2-Амино-6-((тетрагидрофуран-3-ил)амино)пиримидин-4-ил)-1-(3,4-дифторфенил)-1,9-диазаспиро[5.5]ундекан-2-он
Смесь (R)-6-фтор-N4-(тетрагидрофуран-3-ил)пиримидин-2,4-диамина (0,100 г, 0,502 ммоль), 1-(3,4-дифторфенил)-1,9-диазаспиро[5.5]ундекан-2-она (промежуточное соединение A, 0,106 г, 0,376 ммоль) и DIPEA (0,26 мл, 1,5 ммоль) в EtOH (3 мл) нагревали до 80°C в течение 72 ч. Реакционную смесь охлаждали до к. т., разбавляли водой и экстрагировали дважды с помощью EtOAc. Объединенные органические экстракты промывали солевым раствором, высушивали над безводным Na2SO4, фильтровали и концентрировали при пониженном давлении. С помощью очистки препаративной HPLC (Waters XSelect, 5 мкм, 21,2 × 250 мм; подвижная фаза 0,02% NH4OH в смеси H2O:ACN) получали указанное в заголовке соединение в виде грязно-белого твердого вещества (20 мг). 1H ЯМР (300 МГц, DMSO-d6) δ 7,43 (m, 1H), 7,24 (m, 1H), 6,92 (s, 1H), 6,34 (d, 1H), 5,46 (s, 2H), 4,94 (s, 1H), 4,26 (s, 1H), 4,01 (d, 1H), 3,6-3,82 (m, 2H), 2,87-2,56 (m, 3H), 2,32-2,54 (m, 2H), 2,16-1,92 (m, 3H), 1,6-1,76 (m, 4H), 1,44 (s, 3H), 1,32-1,5 (m, 2H); масса/заряд=459,2 [M+H]+; tR=1,30 минуты (LCMS способ j).
Пример 113a. (R)-9-(2-Амино-6-((1,1,1-трифторпропан-2-ил)окси)пиримидин-4-ил)-1-(3,4-дифторфенил)-3-окса-1,9-диазаспиро[5.5]ундекан-2-он или (S)-9-(2-амино-6-((1,1,1-трифторпропан-2-ил)окси)пиримидин-4-ил)-1-(3,4-дифторфенил)-3-окса-1,9-диазаспиро[5.5]ундекан-2-он
и
пример 113b. (S)-9-(2-Амино-6-((1,1,1-трифторпропан-2-ил)окси)пиримидин-4-ил)-1-(3,4-дифторфенил)-3-окса-1,9-диазаспиро[5.5]ундекан-2-он или (R)-9-(2-амино-6-((1,1,1-трифторпропан-2-ил)окси)пиримидин-4-ил)-1-(3,4-дифторфенил)-3-окса-1,9-диазаспиро[5.5]ундекан-2-он
Стадия A. rac-4-Хлор-6-((1,1,1-трифторпропан-2-ил)окси)пиримидин-2-амин
В раствор 4,6-дихлорпиримидин-2-амина (5,00 г, 30,5 ммоль) в 1,4-диоксане (125 мл) добавляли 1,1,1-трифторпропан-2-ол (5,20 г, 45,7 ммоль) и Cs2CO3 (29,80 г, 91,46 ммоль). Смесь перемешивали при 80°C в течение 16 ч. Реакционную смесь охлаждали до к. т., разбавляли водой и экстрагировали с помощью EtOAc. Объединенные органические экстракты промывали солевым раствором, высушивали над Na2SO4, фильтровали и концентрировали при пониженном давлении с получением 4-хлор-6-((1,1,1-трифторпропан-2-ил)окси)пиримидин-2-амина (7,40 г) в виде желтого твердого вещества. Масса/заряд=242,1 [M+H]+; tR=0,76 мин. (LCMS способ l).
Стадия B. rac-9-(2-Амино-6-((1,1,1-трифторпропан-2-ил)окси)пиримидин-4-ил)-1-(3,4-дифторфенил)-3-окса-1,9-диазаспиро[5.5]ундекан-2-он
В суспензию rac-4-хлор-6-((1,1,1-трифторпропан-2-ил)окси)пиримидин-2-амина (7,40 г, 29,4 ммоль) в EtOH (200 мл) добавляли 1-(3,4-дифторфенил)-3-окса-1,9-диазаспиро[5.5]ундекан-2-он (промежуточное соединение E, 9,40 г, 29,4 ммоль). DIEA (26,60 г, 205,7 ммоль) добавляли по каплям при 25°C. Смесь перемешивали при 80°C в течение 24 ч. После охлаждения до к. т. реакционную смесь концентрировали при пониженном давлении. С помощью очистки хроматографией на силикагеле (100% EtOAc) получали рацемический 9-(2-амино-6-((1,1,1-трифторпропан-2-ил)окси)пиримидин-4-ил)-1-(3,4-дифторфенил)-3-окса-1,9-диазаспиро[5.5]ундекан-2-он (4,4 г) в виде желтого твердого вещества. 1H ЯМР (300 МГц, DMSO-d6) δ 7,49-7,29 (m, 2H), 7,00-7,03 (m, 1H), 6,17 (s, 2H), 5,65-5,78 (m, 1H), 5,37 (s, 1H), 4,35 (t, 2H), 4,15 (brs, 2H), 2,83 (t, 2H), 2,30 (t, 2H), 1,84 (d, 2H), 1,47-1,35 (m, 2H), 1,32 (d, 3H); масса/заряд=488,2 [M+H]+; tR=0,64 минуты (LCMS способ i). Посредством хиральной SFC (Waters UPCC; Chiralpak IG-3, 3 мкм, 4,6 × 250 мм, 35°C; подвижная фаза A: CO2, подвижная фаза B: 0,1% DEA в MeOH, изократическое элюирование: 40% B в течение 7 мин.; скорость потока 2,5 мл/мин.; UV обнаружение, 210 нм) получали пример 113a (пик 1, 0,974 г; SFC tR=4,41 мин.) и пример 113b (пик 2, 1,20 г; SFC tR=5,10 мин.).
Синтез примера 114 осуществляли, используя способы, аналогичные описанным для получения примеров 65 и 66 с применением промежуточного соединения E. Синтез примера 115 осуществляли, используя способы, аналогичные описанным для получения примера 64 с применением промежуточного соединения E.
1-(3,4-Дифторфенил)-9-(2-(гидроксиметил)-6-(4-(трифторметил)-1H-пиразол-1-ил)пиримидин-4-ил)-3-окса-1,9-диазаспиро[5.5]ундекан-2-он
9-(2-Амино-6-(4-(трифторметил)-1H-пиразол-1-ил)пиримидин-4-ил)-1-(3,4-дифторфенил)-3-окса-1,9-диазаспиро[5.5]ундекан-2-он
Пример 116a. (R)-9-(2-Амино-6-((тетрагидро-2H-пиран-4-ил)окси)пиримидин-4-ил)-1-(3,4-дифторфенил)-4-фтор-1,9-диазаспиро[5.5]ундекан-2-он или (S)-9-(2-амино-6-((тетрагидро-2H-пиран-4-ил)окси)пиримидин-4-ил)-1-(3,4-дифторфенил)-4-фтор-1,9-диазаспиро[5.5]ундекан-2-он
и
пример 116b. (S)-9-(2-Амино-6-((тетрагидро-2H-пиран-4-ил)окси)пиримидин-4-ил)-1-(3,4-дифторфенил)-4-фтор-1,9-диазаспиро[5.5]ундекан-2-он или (R)-9-(2-амино-6-((тетрагидро-2H-пиран-4-ил)окси)пиримидин-4-ил)-1-(3,4-дифторфенил)-4-фтор-1,9-диазаспиро[5.5]ундекан-2-он
Стадия A. 4-Фтор-6-((тетрагидро-2H-пиран-4-ил)окси)пиримидин-2-амин
Гидрид натрия (5,48 г, 137 ммоль) добавляли порциями в раствор тетрагидро-2H-пиран-4-ола (11,7 г, 114 ммоль) в THF (150 мл), охлажденный до 0°C. Добавляли 4,6-дифторпиримидин-2-амин (15 г, 114 ммоль) и смесь перемешивали при к. т. в течение 12 ч. Смесь выливали в воду и экстрагировали этилацетатом. Объединенные органические экстракты промывали солевым раствором, высушивали над Na2SO4, фильтровали и концентрировали при пониженном давлении. С помощью очистки хроматографией на силикагеле (0-20% EtOAc в петролейном эфире) получали 4-фтор-6-((тетрагидро-2H-пиран-4-ил)окси)пиримидин-2-амин (10,5 г, 49 ммоль) в виде белого твердого вещества. 1H ЯМР (400 МГц, DMSO-d6) δ=7,18-6,91 (m, 2H), 5,72-5,57 (m, 1H), 5,23-5,05 (m, 1H), 3,92-3,77 (m, 2H), 3,52-3,37 (m, 2H), 2,06-1,88 (m, 2H), 1,66-1,51 (m, 2H).
Стадия B. 9-(2-Амино-6-((тетрагидро-2H-пиран-4-ил)окси)пиримидин-4-ил)-1-(3,4-дифторфенил)-4-гидрокси-1,9-диазаспиро[5.5]ундекан-2-он
Смесь 1-(3,4-дифторфенил)-4-гидрокси-1,9-диазаспиро[5.5]ундекан-2-она (промежуточное соединение D, 9,3 г, 28 ммоль), DIEA (1,2 мл, 70 ммоль) и 4-фтор-6-((тетрагидро-2H-пиран-4-ил)окси)пиримидин-2-амина (6,0 г, 28 ммоль) в EtOH (70 мл) перемешивали при 80°C в течение 12 ч. После охлаждения до к. т. смесь разбавляли водой и экстрагировали с помощью EA. Объединенные органические экстракты промывали солевым раствором, высушивали над Na2SO4, фильтровали и концентрировали при пониженном давлении. С помощью очистки хроматографией на силикагеле (0-5% MeOH в DCM) получали 9-(2-амино-6-((тетрагидро-2H-пиран-4-ил)окси)пиримидин-4-ил)-1-(3,4-дифторфенил)-4-гидрокси-1,9-диазаспиро[5.5]ундекан-2-он (10 г, 20 ммоль) в виде белого твердого вещества. 1H ЯМР (400 МГц, DMSO-d6) δ=7,50-7,37 (m, 1H), 7,30-7,17 (m, 1H), 6,97-6,84 (m, 1H), 6,08-5,90 (m, 2H), 5,78-5,74 (m, 2H), 5,29-5,22 (m, 1H), 5,09 (d, 1H), 5,07-5,00 (m, 1H), 4,27-3,97 (m, 3H), 3,85-3,75 (m, 2H), 3,43-3,36 (m, 2H), 2,94-2,79 (m, 2H), 2,76-2,66 (m, 1H), 2,59 (m, 1H), 2,38-2,21 (m, 1H), 1,92-1,82 (m, 3H), 1,80-1,63 (m, 2H), 1,54-1,47 (m, 2H), 1,39-1,20 (m, 1H); масса/заряд=490,2
Стадия C. 9-(2-Амино-6-((тетрагидро-2H-пиран-4-ил)окси)пиримидин-4-ил)-1-(3,4-дифторфенил)-4-фтор-1,9-диазаспиро[5.5]ундекан-2-он
DAST (3,96 г, 24,6 ммоль) добавляли в перемешиваемый раствор 9-(2-амино-6-((тетрагидро-2H-пиран-4-ил)окси)пиримидин-4-ил)-1-(3,4-дифторфенил)-4-гидрокси-1,9-диазаспиро[5.5]ундекан-2-она (6,0 г, 12 ммоль) в DCM (60 мл) при 0°C. Обеспечивали нагревание смеси до 25°C и перемешивали в течение одного часа. Реакционную смесь выливали в воду и экстрагировали с помощью DCM. Объединенные органические экстракты промывали солевым раствором, высушивали над Na2SO4, фильтровали и концентрировали при пониженном давлении. С помощью очистки хроматографией на силикагеле (0-5% MeOH в DCM) получали рацемический 9-(2-амино-6-((тетрагидро-2H-пиран-4-ил)окси)пиримидин-4-ил)-1-(3,4-дифторфенил)-4-фтор-1,9-диазаспиро[5.5]ундекан-2-он (5,8 г, 11,8 ммоль) в виде желтого твердого вещества. 1H ЯМР (400 МГц, хлороформ-d) δ=7,25-7,14 (m, 1H), 7,00-6,87 (m, 1H), 6,86-6,72 (m, 1H), 5,32-5,08 (m, 3H), 4,69-4,44 (m, 2H), 4,32-4,10 (m, 2H), 3,99-3,89 (m, 2H), 3,61-3,49 (m, 2H), 3,09-2,86 (m, 4H), 2,66-2,47 (m, 1H), 2,45-2,21 (m, 1H), 2,07-1,95 (m, 3H), 1,81-1,65 (m, 5H); масса/заряд=492,2 [M+H]+; tR=0,48 минуты (LCMS способ i). Посредством хиральной SFC (Chiralpak AD-3, 3 мкм, 4,6 × 50 мм, 35°C; подвижная фаза A: CO2, подвижная фаза B: 0,05% DEA в EtOH; изократическое элюирование, 40% B за A; скорость потока: 3 мл/мин.; детектор: DAD) получали пример 116a (пик 1, 6,473 г; SFC tR=1,54 мин.; масса/заряд=492,2 [M+H]+) и пример 116b (пик 2, 5,998 г; SFC tR=3,55 мин.; масса/заряд=492,2 [M+H]+).
Применяя способы, подобные описанным для получения примера 116 с применением подходящих исходных материалов, описанных в данном документе, получали следующие соединения:
rac-9-(2-Амино-6-(перфторэтил)пиримидин-4-ил)-1-(3,4-дифторфенил)-4-фтор-1,9-диазаспиро[5.5]ундекан-2-он
rac-1-(3,4-Дифторфенил)-4-фтор-9-(6-((тетрагидро-2H-пиран-4-ил)окси)пиримидин-4-ил)-1,9-диазаспиро[5.5]ундекан-2-он
Пример 119. 1-(3,4-Дифторфенил)-4-фтор-9-(6-(2,2,2-трифторэтокси)пиримидин-4-ил)-1,9-диазаспиро[5.5]ундекан-2-он
Стадия A. 1-(3,4-Дифторфенил)-4-гидрокси-9-(6-(2,2,2-трифторэтокси)пиримидин-4-ил)-1,9-диазаспиро[5.5]ундекан-2-он
В 125 мл размороженной E. coli, экспрессирующей цитохром P450 3A4b5N1 (80<OD600<100), добавляли 375 мл буфера PSE, 25 мл цитрата натрия (50 г/100 мл) и 200 мг 1-(3,4-дифторфенил)-9-(6-(2,2,2-трифторэтокси)пиримидин-4-ил)-1,9-диазаспиро[5.5]ундекан-2-она в 3 мл DMSO. Смесь перемешивали в пластиковой колбе Эрленмейера объемом 3 л, оснащенной 4 перегородками и воздухопроницаемой крышкой. Добавляли 1-октанол (50 мкл) в качестве противовспенивателя Смесь перемешивали в шейкере Infors HT Multitron при 30°C при 100 об./мин. в течение 5 ч. Смесь экстрагировали с помощью 2 × 1 л EtOAc. Органические экстракты высушивали над MgSO4, фильтровали и концентрировали до сухого состояния с получением 600 мг синего твердого вещества. Неочищенный материал растворяли в 4 мл DMSO и очищали посредством препаративной HPLC (колонка Vario-Prep HPLC VP 250/21 Nucleodur® 100-10 C18ec; подвижная фаза A: вода+0,1% HCOOH, подвижная фаза B: ACN +0,1% HCOOH; скорость потока: 40 мл/мин.; градиентное элюирование 0-70% B в течение 25 мин., 70% B в течение 5 мин.). 1-(3,4-Дифторфенил)-4-гидрокси-9-(6-(2,2,2-трифторэтокси)пиримидин-4-ил)-1,9-диазаспиро[5.5]ундекан-2-он выделяли с UV чистотой 82%. Выделенный материал подвергали второй очистке посредством препаративной HPLC (градиентное элюирование 20-60% B в течение 20 мин., 60% B в течение 5 мин.) с получением 1-(3,4-дифторфенил)-4-гидрокси-9-(6-(2,2,2-трифторэтокси)пиримидин-4-ил)-1,9-диазаспиро[5.5]ундекан-2-она (40,5 мг, выход 18,6%, UV чистота >95%). 1H ЯМР (600 МГц, DMSO-d6) δ 8,21 (d, J=0,9 Гц, 1H), 7,50-7,37 (m, 1H), 7,24 (s, 1H), 6,92 (s, 1H), 6,20 (d, J=0,9 Гц, 1H), 5,10 (d, J=4,4 Гц, 1H), 4,93 (q, J=9,1 Гц, 2H), 4,24 (s, 2H), 4,13 (dt, J=13,9, 7,1 Гц, 1H), 3,00 (t, J=13,2 Гц, 2H), 2,72 (dd, J=17,1, 5,6 Гц, 1H), 2,61 (t, J=1,9 Гц, 1H), 2,36-2,28 (m, 1H), 1,93 (d, J=13,3 Гц, 1H), 1,85 (d, 1H), 1,75 (s, 1H), 1,57 (t, 1H), 1,36 (s, 1H); масса/заряд=473,2 [M+H]+; tR=0,63 минуты (LCMS способ i)
Стадия B. 1-(3,4-Дифторфенил)-4-фтор-9-(6-(2,2,2-трифторэтокси)пиримидин-4-ил)-1,9-диазаспиро[5.5]ундекан-2-он
Во флаконе объемом 10 мл 1-(3,4-дифторфенил)-4-гидрокси-9-(6-(2,2,2-трифторэтокси)пиримидин-4-ил)-1,9-диазаспиро[5.5]ундекан-2-он (19 мг, 0,040 ммоль) растворяли в DCM (0,40 мл) и добавляли DAST (11 мкл, 0,080 ммоль) в DCM при 0°C. После перемешивания в течение 10 мин. обеспечивали нагревание реакционной смеси до к. т. и перемешивали в течение ночи. Смесь гасили насыщ. раствором NaHCO3, перемешивали 20 мин. и экстрагировали с помощью EtOAc. Экстракты промывали солевым раствором, высушивали над MgSO4, фильтровали и концентрировали. Очистка посредством обращенно-фазовой флеш-хроматографии (RediSep® Rf Gold® обращенно-фазовая колонка C18, 0-90% ACN в воде). Фракции, содержащие продукт, объединяли, замораживали и лиофилизировали с получением указанного в заголовке соединения (10 мг, 0,020 ммоль). Обратите внимание, что любой энантиомерный избыток, который мог быть введен во время окисления CYP450 на стадии A, не определяли.. 1H ЯМР (400 МГц, метиленхлорид-d2) δ 7,12 (dd, J=8,5, 4,3 Гц, 1H), 6,93-6,82 (m, 1H), 6,82-6,69 (m, 1H), 5,81 (d, J=4,2 Гц, 1H), 5,20 (d, J=23,9 Гц, 1H), 4,66 (s, 2H), 4,19 (dd, J=27,7, 13,5 Гц, 2H), 3,12-2,66 (m, 4H), 2,44 (dt, J=15,4, 7,8 Гц, 1H), 2,39-2,25 (m, 1H), 1,99-1,86 (m, 1H), 1,69 (ddd, J=24,1, 10,9, 4,2 Гц, 3H), 1,53 (d, J=20,5 Гц, 1H); масса/заряд=475,3 [M+H]+; tR=0,65 минуты (LCMS способ i).
Пример 120. 9-(2-Амино-6-(1,1-дифторэтил)пиримидин-4-ил)-1-(3,4-дифторфенил)-1,9-диазаспиро[5.5]ундекан-2-он
Стадия A. 2-Амино-6-(1,1-дифторэтил)пиримидин-4-ол
Смесь этил-4,4-дифтор-3-оксопентанoата (3,00 г, 16,6 ммоль), гуанидина гидрохлорида (3,2 г, 33 ммоль) и этоксида натрия (2,7 г, 50 ммоль) в EtOH (40 мл) нагревали при 80°C в течение 5 ч. Реакционную смесь концентрировали при пониженном давлении и разбавляли водой и EtOAc. Органический слой разделяли, высушивали над безводным Na2SO4, фильтровали и концентрировали при пониженном давлении с получением 2-амино-6-(1,1-дифторэтил)пиримидин-4-ола в виде грязно-белого твердого вещества (5,4 г). Масса/заряд=176,1 [M+H]+; tR=0,87 мин. (LCMS способ j).
Стадия B. 9-(2-Амино-6-(1,1-дифторэтил)пиримидин-4-ил)-1-(3,4-дифторфенил)-1,9-диазаспиро[5.5]ундекан-2-он
Смесь 2-амино-6-(1,1-дифторэтил)пиримидин-4-ола (1,50 г, 7,75 ммоль), 1-(3,4-дифторфенил)-1,9-диазаспиро[5.5]ундекан-2-она (промежуточное соединение A, 1,08 г, 3,87 ммоль), PyBrop (5,40 г, 11,6 ммоль) и триэтиламина (2,3 мл, 23 ммоль) в диоксане (10 мл) перемешивали при к. т. в течение 12 ч. Реакционную смесь выливали в ледяную воду и экстрагировали дважды с помощью EtOAc. Объединенные органические слои промывали солевым раствором, высушивали над безводным Na2SO4, фильтровали и концентрировали при пониженном давлении. С помощью очистки хроматографией на силикагеле (EtOAc) получали указанное в заголовке соединение (0,42 г). 1H ЯМР (300 МГц, метанол-d4) δ 7,41 (m, 1H), 7,29 (m, 1H), 7,09 (m, 1H), 6,28 (s, 2H), 6,12 (s, 1H), 4,31 (brs, 2H), 2,91 (t, 2H), 2,41 (t, 2H), 2,20 (br s, 2H), 1,71-1,9 (m, 7H), 1,4-1,52 (m, 2H); масса/заряд=438,2 [M+H]+; tR=0,61 минуты (LCMS способ l).
| название | год | авторы | номер документа |
|---|---|---|---|
| ПРОИЗВОДНОЕ ДИГИДРОПИРИДАЗИН-3,5-ДИОНА | 2014 |
|
RU2662832C2 |
| ИНГИБИТОРЫ ВЗАИМОДЕЙСТВИЯ МЕНИН-MLL | 2017 |
|
RU2799820C2 |
| ПРОИЗВОДНЫЕ ЦИКЛИЧЕСКОГО ЦИАНОЕНОНА КАК МОДУЛЯТОРЫ KEAP1 | 2021 |
|
RU2822828C1 |
| ИНГИБИТОР НЕКОТОРЫХ ПРОТЕИНКИНАЗ | 2016 |
|
RU2732952C2 |
| БИЦИКЛИЧЕСКИЕ ПРОИЗВОДНЫЕ ДИГИДРОПИРИМИДИНКАРБОКСАМИДА В КАЧЕСТВЕ ИНГИБИТОРОВ RHO-КИНАЗЫ | 2017 |
|
RU2778478C2 |
| ПРОИЗВОДНОЕ НИТРОИМИДАЗОЛА ПРОТИВ ТУБЕРКУЛЕЗА ЛЕГКИХ | 2016 |
|
RU2675622C1 |
| БИЦИКЛИЧЕСКИЕ ГЕТЕРОАРИЛЬНЫЕ ПРОИЗВОДНЫЕ В КАЧЕСТВЕ СТИМУЛЯТОРОВ CFTR | 2017 |
|
RU2753056C2 |
| ПИРАЗИНОВЫЕ СОЕДИНЕНИЯ И ИХ ПРИМЕНЕНИЯ | 2019 |
|
RU2809631C2 |
| Соединения 1-циано-пирролидинов в качестве ингибиторов USP30 | 2016 |
|
RU2717238C2 |
| ГЕТЕРОЦИКЛИЧЕСКИЕ СОЕДИНЕНИЯ, ИСПОЛЬЗУЕМЫЕ В КАЧЕСТВЕ ИНГИБИТОРОВ PDK1 | 2010 |
|
RU2615130C2 |
Группа изобретений относится к соединению формулы (I),
(I), или его фармацевтически приемлемой соли, или соединению, выбранному из группы состоящей из 1-(4-хлор-3-фторфенил)-9-(5-(3-(трифторметил)бицикло[1.1.1]пентан-1-ил)-1,2,4-оксадиазол-3-ил)-1,9-диазаспиро[5.5]ундекан-2-она; 1-(4-хлор-3-фторфенил)-9-(6-(4-фторфенил)-4-метил-3-оксо-3,4-дигидропиразин-2-ил)-1,9-диазаспиро[5.5]ундекан-2-она; 9-(2-бензил-3-оксо-6-(2-азаспиро[3.3]гептан-2-ил)-2,3-дигидропиридазин-4-ил)-1-(3,4-дифторфенил)-1,9-диазаспиро[5.5]ундекан-2-она; 1-(3,4-дифторфенил)-9-(6-(4-фторфенил)-3-оксо-2,3-дигидропиридазин-4-ил)-1,9-диазаспиро[5.5]ундекан-2-она; 1-(3,4-дифторфенил)-9-(3-оксо-6-(4-(трифторметил)-1H-пиразол-1-ил)-2,3-дигидропиридазин-4-ил)-1,9-диазаспиро[5.5]ундекан-2-она; 1-(3,4-дифторфенил)-9-(3-оксо-6-(2,2,2-трифторэтокси)-2,3-дигидропиридазин-4-ил)-1,9-диазаспиро[5.5]ундекан-2-она; 1-(3,4-дифторфенил)-9-(2-метил-3-оксо-6-(4-(трифторметил)-1H-пиразол-1-ил)-2,3-дигидропиридазин-4-ил)-1,9-диазаспиро[5.5]ундекан-2-она; 9-(2-бензил-3-оксо-6-((тетрагидро-2Н-пиран-4-ил)окси)-2,3-дигидропиридазин-4-ил)-1-(3,4-дифторфенил)-1,9-диазаспиро[5.5]ундекан-2-она; 9-(1-бензил-6-оксо-3-((тетрагидро-2Н-пиран-4-ил)окси)-1,6-дигидропиридазин-4-ил)-1-(3,4-дифторфенил)-1,9-диазаспиро[5.5]ундекан-2-она; 1-(3,4-дифторфенил)-9-(3-оксо-6-((тетрагидро-2Н-пиран-4-ил)окси)-2,3-дигидропиридазин-4-ил)-1,9-диазаспиро[5.5]ундекан-2-она; 1-(3,4-дифторфенил)-9-(2-метил-3-оксо-6-((тетрагидро-2Н-пиран-4-ил)окси)-2,3-дигидропиридазин-4-ил)-1,9-диазаспиро[5.5]ундекан-2-она; 9-(6-(4,4-дифторциклогекс-1-ен-1-ил)-3-оксо-3,4-дигидропиразин-2-ил)-1-(3,4-дифторфенил)-1,9-диазаспиро[5.5]ундекан-2-она; 9-(6-(4,4-дифторциклогекс-1-ен-1-ил)-4-метил-3-оксо-3,4-дигидропиразин-2-ил)-1-(3,4-дифторфенил)-1,9-диазаспиро[5.5]ундекан-2-она; 1-(4-хлор-3-фторфенил)-9-(1-(4-фторфенил)-1H-пиразол-3-ил)-1,9-диазаспиро[5.5]ундекан-2-она; 1-(4-хлор-3-фторфенил)-9-(2-(4-фторфенил)-2H-1,2,3-триазол-4-ил)-1,9-диазаспиро[5.5]ундекан-2-она; 9-(2-(5-азаспиро[2.3]гексан-5-ил)пиримидин-4-ил)-1-(4-хлор-3-фторфенил)-1,9-диазаспиро[5.5]ундекан-2-она; 9-(4-(5-азаспиро[2.3]гексан-5-ил)пиримидин-2-ил)-1-(4-хлор-3-фторфенил)-1,9-диазаспиро[5.5]ундекан-2-она; 1-(3,4-дифторфенил)-9-(6-(4-гидрокси-4-(трифторметил)пиперидин-1-ил)пиридазин-4-ил)-1,9-диазаспиро[5.5]ундекан-2-она; rac-9-(2-амино-6-((1R,4R)-2-окса-5-азабицикло[2.2.1]гептан-5-ил)пиримидин-4-ил)-1-(3,4-дифторфенил)-1,9-диазаспиро[5.5]ундекан-2-она; (S)-9-(2-амино-6-(2,2,2-трифтор-1-(оксетан-3-ил)этокси)пиримидин-4-ил)-1-(3,4-дифторфенил)-1,9-диазаспиро[5.5]ундекан-2-она или (R)-9-(2-амино-6-(2,2,2-трифтор-1-(оксетан-3-ил)этокси)пиримидин-4-ил)-1-(3,4-дифторфенил)-1,9-диазаспиро[5.5]ундекан-2-она; (R)-9-(2-амино-6-(2,2,2-трифтор-1-(оксетан-3-ил)этокси)пиримидин-4-ил)-1-(3,4-дифторфенил)-1,9-диазаспиро[5.5]ундекан-2-она или (S)-9-(2-амино-6-(2,2,2-трифтор-1-(оксетан-3-ил)этокси)пиримидин-4-ил)-1-(3,4-дифторфенил)-1,9-диазаспиро[5.5]ундекан-2-она; 9-(2-амино-6-(2,2,2-трифторэтокси-1,1-d2)пиримидин-4-ил)-1-(3,4-дифторфенил)-1,9-диазаспиро[5.5]ундекан-2-она; rac-9-(2-амино-6-(2,2,2-трифтор-1-(3-метилоксетан-3-ил)этокси)пиримидин-4-ил)-1-(3,4-дифторфенил)-1,9-диазаспиро[5.5]ундекан-2-она; 9-(2-амино-6-((тетрагидро-2Н-пиран-4-ил-4-d)окси)пиримидин-4-ил)-1-(3,4-дифторфенил)-1,9-диазаспиро[5.5]ундекан-2-она; и (R)-9-(2-амино-6-((тетрагидрофуран-3-ил)амино)пиримидин-4-ил)-1-(3,4-дифторфенил)-1,9-диазаспиро[5.5]ундекан-2-она; или его фармацевтически приемлемая соль, и также относится к способу модулирования активности лейкотриен-С4-синтазы (LTC4S) у субъекта, где способ включает введение субъекту однократной дозировки, составляющей 1-1000 мг для субъекта весом 50-70 кг, соединения или его фармацевтически приемлемой соли. 2 н. и 5 з.п. ф-лы, 1 табл., 120 пр.
1. Соединение формулы (I),
или его фармацевтически приемлемая соль, где
R1 является одним из
где звездочка * обозначает положение связывания или R1 с N;
R2 представляет собой H или фтор;
X1 представляет собой CH2;
R4 выбран из группы, состоящей из пиримидинила, пиразинила, триазолила, триазинила, пиридинила, оксида пиридина, хиназолинила, пиразолопиримидинила, бензооксазолила, оксадиазолила, тетразолила, тиадиазолила, оксазолила и тиазолила, каждый из которых необязательно замещен одним или несколькими заместителями R3;
причем каждый R3 независимо выбран из C6арила, бензила, C1алкила, C1алкокси-C1-3алкила, галогена, галоген-C1-2алкила, OR5, OH, C3-6циклоалкила, C6циклоалкенила, 5-10-членного гетероарила, содержащего от 1 до 3 гетероатомов, выбранных из азота и кислорода, 4-7-членного гетероциклила, содержащего от 1 до 2 гетероатомов, выбранных из азота и кислорода, -C(O)NH2 и NRaRb, где Ra и Rb независимо представляют собой H; где указанный арил, гетероциклил, гетероарил, C3-6циклоалкил, C3-6циклоалкенил дополнительно необязательно замещены одним или несколькими заместителями, независимо выбранными из галогена или галоген-C1-6алкила; и где
R5 представляет собой C1-3алкил, галоген-C1-3алкил, или 4-6-членный гетероциклил, содержащий 1 гетероатом, выбранный из кислорода;
где гетероциклил необязательно замещен одним заместителем, выбранным из галогена;
или его фармацевтически приемлемая соль;
или соединение, выбранное из группы, состоящей из 1-(4-хлор-3-фторфенил)-9-(5-(3-(трифторметил)бицикло[1.1.1]пентан-1-ил)-1,2,4-оксадиазол-3-ил)-1,9-диазаспиро[5.5]ундекан-2-она;
1-(4-хлор-3-фторфенил)-9-(6-(4-фторфенил)-4-метил-3-оксо-3,4-дигидропиразин-2-ил)-1,9-диазаспиро[5.5]ундекан-2-она;
9-(2-бензил-3-оксо-6-(2-азаспиро[3.3]гептан-2-ил)-2,3-дигидропиридазин-4-ил)-1-(3,4-дифторфенил)-1,9-диазаспиро[5.5]ундекан-2-она;
1-(3,4-дифторфенил)-9-(6-(4-фторфенил)-3-оксо-2,3-дигидропиридазин-4-ил)-1,9-диазаспиро[5.5]ундекан-2-она;
1-(3,4-дифторфенил)-9-(3-оксо-6-(4-(трифторметил)-1H-пиразол-1-ил)-2,3-дигидропиридазин-4-ил)-1,9-диазаспиро[5.5]ундекан-2-она;
1-(3,4-дифторфенил)-9-(3-оксо-6-(2,2,2-трифторэтокси)-2,3-дигидропиридазин-4-ил)-1,9-диазаспиро[5.5]ундекан-2-она;
1-(3,4-дифторфенил)-9-(2-метил-3-оксо-6-(4-(трифторметил)-1H-пиразол-1-ил)-2,3-дигидропиридазин-4-ил)-1,9-диазаспиро[5.5]ундекан-2-она;
9-(2-бензил-3-оксо-6-((тетрагидро-2Н-пиран-4-ил)окси)-2,3-дигидропиридазин-4-ил)-1-(3,4-дифторфенил)-1,9-диазаспиро[5.5]ундекан-2-она;
9-(1-бензил-6-оксо-3-((тетрагидро-2Н-пиран-4-ил)окси)-1,6-дигидропиридазин-4-ил)-1-(3,4-дифторфенил)-1,9-диазаспиро[5.5]ундекан-2-она;
1-(3,4-дифторфенил)-9-(3-оксо-6-((тетрагидро-2Н-пиран-4-ил)окси)-2,3-дигидропиридазин-4-ил)-1,9-диазаспиро[5.5]ундекан-2-она;
1-(3,4-дифторфенил)-9-(2-метил-3-оксо-6-((тетрагидро-2Н-пиран-4-ил)окси)-2,3-дигидропиридазин-4-ил)-1,9-диазаспиро[5.5]ундекан-2-она;
9-(6-(4,4-дифторциклогекс-1-ен-1-ил)-3-оксо-3,4-дигидропиразин-2-ил)-1-(3,4-дифторфенил)-1,9-диазаспиро[5.5]ундекан-2-она;
9-(6-(4,4-дифторциклогекс-1-ен-1-ил)-4-метил-3-оксо-3,4-дигидропиразин-2-ил)-1-(3,4-дифторфенил)-1,9-диазаспиро[5.5]ундекан-2-она;
1-(4-хлор-3-фторфенил)-9-(1-(4-фторфенил)-1H-пиразол-3-ил)-1,9-диазаспиро[5.5]ундекан-2-она;
1-(4-хлор-3-фторфенил)-9-(2-(4-фторфенил)-2H-1,2,3-триазол-4-ил)-1,9-диазаспиро[5.5]ундекан-2-она;
9-(2-(5-азаспиро[2.3]гексан-5-ил)пиримидин-4-ил)-1-(4-хлор-3-фторфенил)-1,9-диазаспиро[5.5]ундекан-2-она;
9-(4-(5-азаспиро[2.3]гексан-5-ил)пиримидин-2-ил)-1-(4-хлор-3-фторфенил)-1,9-диазаспиро[5.5]ундекан-2-она;
1-(3,4-дифторфенил)-9-(6-(4-гидрокси-4-(трифторметил)пиперидин-1-ил)пиридазин-4-ил)-1,9-диазаспиро[5.5]ундекан-2-она;
rac-9-(2-амино-6-((1R,4R)-2-окса-5-азабицикло[2.2.1]гептан-5-ил)пиримидин-4-ил)-1-(3,4-дифторфенил)-1,9-диазаспиро[5.5]ундекан-2-она;
(S)-9-(2-амино-6-(2,2,2-трифтор-1-(оксетан-3-ил)этокси)пиримидин-4-ил)-1-(3,4-дифторфенил)-1,9-диазаспиро[5.5]ундекан-2-она или (R)-9-(2-амино-6-(2,2,2-трифтор-1-(оксетан-3-ил)этокси)пиримидин-4-ил)-1-(3,4-дифторфенил)-1,9-диазаспиро[5.5]ундекан-2-она;
(R)-9-(2-амино-6-(2,2,2-трифтор-1-(оксетан-3-ил)этокси)пиримидин-4-ил)-1-(3,4-дифторфенил)-1,9-диазаспиро[5.5]ундекан-2-она или (S)-9-(2-амино-6-(2,2,2-трифтор-1-(оксетан-3-ил)этокси)пиримидин-4-ил)-1-(3,4-дифторфенил)-1,9-диазаспиро[5.5]ундекан-2-она;
9-(2-амино-6-(2,2,2-трифторэтокси-1,1-d2)пиримидин-4-ил)-1-(3,4-дифторфенил)-1,9-диазаспиро[5.5]ундекан-2-она;
rac-9-(2-амино-6-(2,2,2-трифтор-1-(3-метилоксетан-3-ил)этокси)пиримидин-4-ил)-1-(3,4-дифторфенил)-1,9-диазаспиро[5.5]ундекан-2-она;
9-(2-амино-6-((тетрагидро-2Н-пиран-4-ил-4-d)окси)пиримидин-4-ил)-1-(3,4-дифторфенил)-1,9-диазаспиро[5.5]ундекан-2-она;
и (R)-9-(2-амино-6-((тетрагидрофуран-3-ил)амино)пиримидин-4-ил)-1-(3,4-дифторфенил)-1,9-диазаспиро[5.5]ундекан-2-она;
или его фармацевтически приемлемая соль.
2. Соединение по п. 1 или его фармацевтически приемлемая соль, где X1 представляет собой CH2, и R2 представляет собой F.
3. Соединение по п. 1, где соединение выбрано из 1-(4-хлор-3-фторфенил)-9-(1-(4-фторфенил)-1H-1,2,4-триазол-3-ил)-1,9-диазаспиро[5.5]ундекан-2-она;
1-(4-хлор-3-фторфенил)-9-(6-(трифторметил)бензо[d]оксазол-2-ил)-1,9-диазаспиро[5.5]ундекан-2-она;
1-(4-хлор-3-фторфенил)-9-(2-(трифторметил)пиразолo[1,5-a]пиримидин-5-ил)-1,9-диазаспиро[5.5]ундекан-2-она;
1-(3,4-дифторфенил)-9-(6-(2,2,2-трифторэтокси)пиримидин-4-ил)-1,9-диазаспиро[5.5]ундекан-2-она;
1-(4-хлор-3-фторфенил)-9-(6-(2,2,2-трифторэтокси)пиримидин-4-ил)-1,9-диазаспиро[5.5]ундекан-2-она;
1-(4-хлор-3-фторфенил)-9-(6-(2,2-дифторэтокси)пиримидин-4-ил)-1,9-диазаспиро[5.5]ундекан-2-она;
1-(4-хлор-3-фторфенил)-9-(5-фтор-6-(пирролидин-1-ил)пиримидин-4-ил)-1,9-диазаспиро[5.5]ундекан-2-она;
1-(4-хлор-3-фторфенил)-9-(5-фтор-6-(3-(трифторметил)азетидин-1-ил)пиримидин-4-ил)-1,9-диазаспиро[5.5]ундекан-2-она;
1-(4-хлор-3-фторфенил)-9-(4-(пирролидин-1-ил)-1,3,5-триазин-2-ил)-1,9-диазаспиро[5.5]ундекан-2-она;
1-(4-хлор-3-фторфенил)-9-(4-(2,2,2-трифторэтокси)пиридин-2-ил)-1,9-диазаспиро[5.5]ундекан-2-она;
2-(1-(4-хлор-3-фторфенил)-2-оксо-1,9-диазаспиро[5.5]ундекан-9-ил)-4-(4-фторфенил)пиридин-1-оксида;
9-(2-(5-азаспиро[2.3]гексан-5-ил)пиримидин-4-ил)-1-(4-хлор-3-фторфенил)-1,9-диазаспиро[5.5]ундекан-2-она;
9-(4-(5-азаспиро[2.3]гексан-5-ил)пиримидин-2-ил)-1-(4-хлор-3-фторфенил)-1,9-диазаспиро[5.5]ундекан-2-она;
1-(4-хлор-3-фторфенил)-9-(2-(3,3-диметилазетидин-1-ил)пиримидин-4-ил)-1,9-диазаспиро[5.5]ундекан-2-она;
1-(4-хлор-3-фторфенил)-9-(5-((1R,2R/1S,2S)-2-(трифторметил)циклопропил)-1,2,4-оксадиазол-3-ил)-1,9-диазаспиро[5.5]ундекан-2-она;
1-(4-хлор-3-фторфенил)-9-(5-(3-(трифторметил)бицикло[1.1.1]пентан-1-ил)-1,2,4-оксадиазол-3-ил)-1,9-диазаспиро[5.5]ундекан-2-она;
1-(4-хлор-3-фторфенил)-9-(6-гидрокси-3-(пирролидин-1-ил)-1,2,4-триазин-5-ил)-1,9-диазаспиро[5.5]ундекан-2-она;
1-(4-хлор-3-фторфенил)-9-(6-(4-фторфенил)-4-метил-3-оксо-3,4-дигидропиразин-2-ил)-1,9-диазаспиро[5.5]ундекан-2-она;
1-(4-хлор-3-фторфенил)-9-(5-циклопентил-1,2,4-триазин-3-ил)-1,9-диазаспиро[5.5]ундекан-2-она;
1-(4-хлорфенил)-9-(6-(4-фторфенил)пиридин-2-ил)-1,9-диазаспиро[5.5]ундекан-2-она;
1-(4-хлор-3-фторфенил)-9-(4-(трифторметил)пиримидин-2-ил)-1,9-диазаспиро[5.5]ундекан-2-она;
1-(4-хлор-3-фторфенил)-9-(7-(трифторметил)хиназолин-2-ил)-1,9-диазаспиро[5.5]ундекан-2-она;
1-(4-хлор-3-фторфенил)-9-(5-(4-фторфенил)оксазол-2-ил)-1,9-диазаспиро[5.5]ундекан-2-она;
1-(4-хлор-3-фторфенил)-9-(2-фенил-2H-тетразол-5-ил)-1,9-диазаспиро[5.5]ундекан-2-она;
1-(4-хлор-3-фторфенил)-9-(5-(3,3-дифторпирролидин-1-ил)-1,2,4-тиадиазол-3-ил)-1,9-диазаспиро[5.5]ундекан-2-она;
1-(4-хлор-3-фторфенил)-9-(3-(4-фторфенил)-1H-1,2,4-триазол-5-ил)-1,9-диазаспиро[5.5]ундекан-2-она;
1-(4-хлор-3-фторфенил)-9-(5-циклогексилоксазол-2-ил)-1,9-диазаспиро[5.5]ундекан-2-она;
1-(4-хлор-3-фторфенил)-9-(5-(3-(трифторметил)азетидин-1-ил)-1,2,4-тиадиазол-3-ил)-1,9-диазаспиро[5.5]ундекан-2-она;
1-(4-хлор-3-фторфенил)-9-(5-(пирролидин-1-ил)-1,2,4-тиадиазол-3-ил)-1,9-диазаспиро[5.5]ундекан-2-она;
1-(4-хлор-3-фторфенил)-9-(5-фенил-1,3,4-оксадиазол-2-ил)-1,9-диазаспиро[5.5]ундекан-2-она;
1-(4-хлор-3-фторфенил)-9-(1-(4-фторфенил)-1H-1,2,3-триазол-4-ил)-1,9-диазаспиро[5.5]ундекан-2-она;
1-(4-хлор-3-фторфенил)-9-(1-(4-фторфенил)-1H-пиразол-3-ил)-1,9-диазаспиро[5.5]ундекан-2-она;
1-(4-хлор-3-фторфенил)-9-(2-(4-фторфенил)-2H-1,2,3-триазол-4-ил)-1,9-диазаспиро[5.5]ундекан-2-она;
1-(4-хлорфенил)-9-(6-(4-фторфенил)пиридин-2-ил)-1,9-диазаспиро[5.5]ундекан-2-она;
2-(1-(4-хлор-3-фторфенил)-2-оксо-1,9-диазаспиро[5.5]ундекан-9-ил)-4-(4-фторфенил)пиридин-1-оксида;
4-(3-хлорфенокси)-2-(1-(3,4-дифторфенил)-2-оксо-1,9-диазаспиро[5.5]ундекан-9-ил)пиридин-1-оксида;
9-(4-(4-амино-4-(трифторметил)пиперидин-1-ил)пиримидин-2-ил)-1-(3,4-дифторфенил)-1,9-диазаспиро[5.5]ундекан-2-она;
1-(3,4-дифторфенил)-9-(4-(4-гидрокси-4-(трифторметил)пиперидин-1-ил)-1,3,5-триазин-2-ил)-1,9-диазаспиро[5.5]ундекан-2-она;
9-(2-амино-5-фтор-6-(4-гидрокси-4-(трифторметил)пиперидин-1-ил)пиримидин-4-ил)-1-(3,4-дифторфенил)-1,9-диазаспиро[5.5]ундекан-2-она;
1-(3,4-дифторфенил)-9-(6-(4-гидрокси-4-(трифторметил)пиперидин-1-ил)пиридазин-4-ил)-1,9-диазаспиро[5.5]ундекан-2-она;
9-(6-амино-2-(3-гидрокси-3-метилазетидин-1-ил)пиримидин-4-ил)-1-(3,4-дифторфенил)-1,9-диазаспиро[5.5]ундекан-2-она;
1-(4-хлор-3-фторфенил)-9-(6-(3,3,4,4-тетрафторпирролидин-1-ил)пиримидин-4-ил)-1,9-диазаспиро[5.5]ундекан-2-она;
9-(6-(1,4-oксазепан-4-ил)пиримидин-4-ил)-1-(3,4-дифторфенил)-1,9-диазаспиро[5.5]ундекан-2-она;
rac-9-(2-амино-6-((1R,4R)-2-окса-5-азабицикло[2.2.1]гептан-5-ил)пиримидин-4-ил)-1-(3,4-дифторфенил)-1,9-диазаспиро[5.5]ундекан-2-она;
1-(3,4-дифторфенил)-9-(6-(4-(трифторметил)-1H-пиразол-1-ил)пиримидин-4-ил)-1,9-диазаспиро[5.5]ундекан-2-она;
1-(3,4-дифторфенил)-9-(2-метил-6-(1H-пиразол-1-ил)пиримидин-4-ил)-1,9-диазаспиро[5.5]ундекан-2-она;
4-(1-(3,4-дифторфенил)-2-оксо-1,9-диазаспиро[5.5]ундекан-9-ил)-6-(1H-пиразол-1-ил)пиримидин-2-карбонитрила;
1-(3,4-дифторфенил)-9-(2-метокси-6-(1H-пиразол-1-ил)пиримидин-4-ил)-1,9-диазаспиро[5.5]ундекан-2-она;
9-(6-(1H-пиразол-1-ил)-2-(трифторметил)пиримидин-4-ил)-1-(3,4-дифторфенил)-1,9-диазаспиро[5.5]ундекан-2-она;
1-(3,4-дифторфенил)-9-(2-морфолинo-6-(1H-пиразол-1-ил)пиримидин-4-ил)-1,9-диазаспиро[5.5]ундекан-2-она;
1-(3,4-дифторфенил)-9-(2-(диметиламино)-6-(1H-пиразол-1-ил)пиримидин-4-ил)-1,9-диазаспиро[5.5]ундекан-2-она;
9-(6-(1H-1,2,4-триазол-1-ил)пиримидин-4-ил)-1-(3,4-дифторфенил)-1,9-диазаспиро[5.5]ундекан-2-она;
9-(6-(4-хлор-1H-пиразол-1-ил)пиримидин-4-ил)-1-(3,4-дифторфенил)-1,9-диазаспиро[5.5]ундекан-2-она;
9-(6-(4-фтор-1H-пиразол-1-ил)пиримидин-4-ил)-1-(3,4-дифторфенил)-1,9-диазаспиро[5.5]ундекан-2-она;
1-(3,4-дифторфенил)-9-(6-(3-(трифторметил)-1H-пиразол-1-ил)пиримидин-4-ил)-1,9-диазаспиро[5.5]ундекан-2-она;
1-(3,4-дифторфенил)-9-(6-(4-(трифторметил)-1H-имидазол-1-ил)пиримидин-4-ил)-1,9-диазаспиро[5.5]ундекан-2-она;
9-(2-амино-5-фтор-6-(1H-пиразол-1-ил)пиримидин-4-ил)-1-(3,4-дифторфенил)-1,9-диазаспиро[5.5]ундекан-2-она;
9-(4-амино-6-(4-фтор-1H-пиразол-1-ил)-1,3,5-триазин-2-ил)-1-(3,4-дифторфенил)-1,9-диазаспиро[5.5]ундекан-2-она;
1-(3,4-дифторфенил)-9-(6-(оксетан-3-илокси)-2-(трифторметил)пиримидин-4-ил)-1,9-диазаспиро[5.5]ундекан-2-она;
1-(3,4-дифторфенил)-9-(6-(оксазол-2-ил)пиримидин-4-ил)-1,9-диазаспиро[5.5]ундекан-2-она;
9-(6-амино-2-(пиридин-2-ил)пиримидин-4-ил)-1-(3,4-дифторфенил)-1,9-диазаспиро[5.5]ундекан-2-она;
9-(2-амино-6-(4-(трифторметил)-1H-пиразол-1-ил)пиримидин-4-ил)-1-(3,4-дифторфенил)-1,9-диазаспиро[5.5]ундекан-2-она;
1-(3,4-дифторфенил)-9-(2-(2-гидроксипропан-2-ил)-6-(4-(трифторметил)-1H-пиразол-1-ил)пиримидин-4-ил)1,9-диазаспиро[5.5]ундекан-2-она;
1-(3,4-дифторфенил)-9-(2-(гидроксиметил)-6-(4-(трифторметил)-1H-пиразол-1-ил)пиримидин-4-ил)1,9-диазаспиро[5.5]ундекан-2-она;
rac-1-(3,4-дифторфенил)-9-(2-(1-гидроксиметил)-6-(4-(трифторметил)-1H-пиразол-1-ил)пиримидин-4-ил)1,9-диазаспиро[5.5]ундекан-2-она;
4-(1-(3,4-дифторфенил)-2-оксо-1,9-диазаспиро[5.5]ундекан-9-ил-6-(4-(трифторметил)-1H-пиразол-1-ил)пиримидин-2-карбоксамида;
9-(2-хлор-6-(4-(трифторметил)-1H-пиразол-1-ил)пиримидин-4-ил)-1-(3,4-дифторфенил)-1,9-диазаспиро[5.5]ундекан-2-она;
(R)-9-(2-хлор-6-((тетрагидрофуран-3-ил)окси)пиримидин-4-ил)-1-(3,4-дифторфенил)-1,9-диазаспиро[5.5]ундекан-2-она;
(S)-9-(2-хлор-6-((тетрагидрофуран-3-ил)окси)пиримидин-4-ил)-1-(3,4-дифторфенил)-1,9-диазаспиро[5.5]ундекан-2-она;
(R)-9-(4-хлор-6-((тетрагидрофуран-3-ил)окси)пиримидин-2-ил)-1-(3,4-дифторфенил)-1,9-диазаспиро[5.5]ундекан-2-она;
1-(3,4-дифторфенил)-9-(6-(4-фтор-1H-пиразол-1-ил)-2-морфолинoпиримидин-4-ил)-1,9-диазаспиро[5.5]ундекан-2-она;
9-(2-амино-6-(4,4-дифторциклогекс-1-ен-1-ил)пиримидин-4-ил)-1-(3,4-дифторфенил)-1,9-диазаспиро[5.5]ундекан-2-она;
9-(2-амино-6-(4-фторфенил-4-ил)-1-(3,4-дифторфенил)-1,9-диазаспиро[5.5]ундекан-2-она;
9-(2-амино-6-(трифторметил)пиримидин-4-ил)-1-(3,4-дифторфенил)-1,9-диазаспиро[5.5]ундекан-2-она;
9-(2-амино-6-(перфторэтил)пиримидин-4-ил)-1-(3,4-дифторфенил)-1,9-диазаспиро[5.5]ундекан-2-она;
9-(2-амино-6-(1,1,2,2-тетрафторэтил)пиримидин-4-ил)-1-(3,4-дифторфенил)-1,9-диазаспиро[5.5]ундекан-2-она;
1-(3,4-дифторфенил)-9-(2-(гидроксинетил)-6-(перфторэтил)пиримидин-4-ил)-1,9-диазаспиро[5.5]ундекан-2-она;
1-(3,4-дифторфенил)-9-(2-(2-гидроксипропан-2-ил)-6-(трифторметил)пиримидин-4-ил)-1,9-диазаспиро[5.5]ундекан-2-она;
1-(4-хлор-3-фторфенил)-9-(4-(2,2,2-трифторэтокси)пиридин-2-ил)-1,9-диазаспиро[5.5]ундекан-2-она;
1-(3,4-дифторфенил)-9-(4-пропоксипиримидин-2-ил)-1,9-диазаспиро[5.5]ундекан-2-она;
rac-1-(3,4-дифторфенил)-9-(6-((1,1,1-трифторпропан-2-ил)окси)пиримидин-4-ил)-1,9-диазаспиро[5.5]ундекан-2-она;
1-(3,4-дифторфенил)-9-(6-((тетрагидро-2H-пиран-4-ил)окси)пиримидин-4-ил)-1,9-диазаспиро[5.5]ундекан-2-она;
9-(2-хлор-6-(2,2,2-трифторэтокси)пиримидин-4-ил)-1-(3,4-дифторфенил)-1,9-диазаспиро[5.5]ундекан-2-она;
(R)-9-(2-амино-6-(2,2,2-трифтор-1-(оксетан-3-ил)этокси)пиримидин-4-ил)-1-(3,4-дифторфенил)-1,9-диазаспиро[5.5]ундекан-2-она;
(S)-9-(2-амино-6-(2,2,2-трифтор-1-(оксетан-3-ил)этокси)пиримидин-4-ил)-1-(3,4-дифторфенил)-1,9-диазаспиро[5.5]ундекан-2-она;
9-(2-амино-6-(3,3-дифторциклобутокси)пиримидин-4-ил)-1-(3,4-дифторфенил)-1,9-диазаспиро[5.5]ундекан-2-она;
9-(2-амино-6-(2,2,2-трифторэтокси)пиримидин-4-ил)-1-(3,4-дифторфенил)-1,9-диазаспиро[5.5]ундекан-2-она;
9-(2-амино-6-(2,2,2-трифторэтокси-1,1-d2)пиримидин-4-ил)-1-(3,4-дифторфенил)-1,9-диазаспиро[5.5]ундекан-2-она;
9-(2-амино-6-изопропоксипиримидин-4-ил)-1-(3,4-дифторфенил)-1,9-диазаспиро[5.5]ундекан-2-она;
9-(2-амино-6-(2-гидроксиэтокси)пиримидин-4-ил)-1-(3,4-дифторфенил)-1,9-диазаспиро[5.5]ундекан-2-она;
rac-9-(2-амино-6-((1,1,1-трифторпропан-2-ил)окси)пиримидин-4-ил)-1-(3,4-дифторфенил)-1,9-диазаспиро[5.5]ундекан-2-она;
rac-9-(2-амино-6-(2,2,2-трифтор-1-(3-метилоксетан-3-ил)этокси)пиримидин-4-ил)-1-(3,4-дифторфенил)-1,9-диазаспиро[5.5]ундекан-2-она;
9-(2-амино-6-(2,2,3,3,3-пентафторпропокси)пиримидин-4-ил)-1-(3,4-дифторфенил)-1,9-диазаспиро[5.5]ундекан-2-она;
rac-9-(2-амино-6-((4,4-дифтортетрагидрофуран-3-ил)окси)пиримидин-4-ил)-1-(3,4-дифторфенил)-1,9-диазаспиро[5.5]ундекан-2-она;
rac-9-(2-амино-6-(((3S,4S)-3-фтортетрагидро-2H-пиран-4-ил)окси)пиримидин-4-ил)-1-(3,4-дифторфенил)-1,9-диазаспиро[5.5]ундекан-2-она;
(R)-9-(2-амино-6-((тетрагидро-2H-пиран-3-ил)окси)пиримидин-4-ил)-1-(3,4-дифторфенил)-1,9-диазаспиро[5.5]ундекан-2-она;
9-(2-амино-6-((тетрагидро-2H-пиран-4-ил)окси)пиримидин-4-ил)-1-(3,4-дифторфенил)-1,9-диазаспиро[5.5]ундекан-2-она;
rac-9-(2-амино-6-(((3R,4R)-4-фтортетрагидрофуран-3-ил)окси)пиримидин-4-ил)-1-(3,4-дифторфенил)-1,9-диазаспиро[5.5]ундекан-2-она;
9-(2-амино-6-((тетрагидро-2H-пиран-4-ил-4-d)окси)пиримидин-4-ил)-1-(3,4-дифторфенил)-1,9-диазаспиро[5.5]ундекан-2-она;
rac-9-(2-амино-6-((3-метилтетрагидрофуран-3-ил)окси)пиримидин-4-ил)-1-(3,4-дифторфенил)-1,9-диазаспиро[5.5]ундекан-2-она;
rac-9-(2-амино-6-(((3S,4R)-4-фтортетрагидрофуран-3-ил)окси)пиримидин-4-ил)-1-(3,4-дифторфенил)-1,9-диазаспиро[5.5]ундекан-2-она;
1-(3,4-дифторфенил)-9-(2-(гидроксиметил)-6-((тетрагидро-2H-пиран-4-ил)окси)пиримидин-4-ил)-1,9-диазаспиро[5.5]ундекан-2-она;
rac-1-(3,4-дифторфенил)-9-(6-(((3S,4R)-3-фтортетрагидро-2H-пиран-4-ил)окси)-2-(гидроксиметил)пиримидин-4-ил)-1,9-диазаспиро[5.5]ундекан-2-она;
rac-1-(3,4-дифторфенил)-9-(6-(((3R,4R)-4-фтортетрагидрофуран-3-ил)окси)-2-(гидроксиметил)пиримидин-4-ил)-1,9-диазаспиро[5.5]ундекан-2-она;
(S)-1-(3,4-дифторфенил)-9-(2-(гидроксиметил)-6-((тетрагидрофуран-3-ил)окси)пиримидин-4-ил)-1,9-диазаспиро[5.5]ундекан-2-она;
(S)-1-(3,4-дифторфенил)-9-(2-(гидроксиметил)-6-((1,1,1-трифторпропан-2-ил)окси)пиримидин-4-ил)-1,9-диазаспиро[5.5]ундекан-2-она;
(R)-1-(3,4-дифторфенил)-9-(2-(гидроксиметил)-6-((1,1,1-трифторпропан-2-ил)окси)пиримидин-4-ил)-1,9-диазаспиро[5.5]ундекан-2-она;
rac-этил-4-(1-(3,4-дифторфенил)-2-оксо-1,9-диазаспиро[5.5]ундекан-9-ил)-6-(((3S,4S)-4-фтортетрагидрофуран-3-ил)окси)пиримидин-2-карбоксилата;
(R)-9-(2-амино-6-((тетрагидрофуран-3-ил)амино)пиримидин-4-ил)-1-(3,4-дифторфенил)-1,9-диазаспиро[5.5]ундекан-2-она;
(R)-9-(2-амино-6-((1,1,1-трифторпропан-2-ил)окси)пиримидин-4-ил)-1-(3,4-дифторфенил)-3-окса-1,9-диазаспиро[5.5]ундекан-2-она;
(S)-9-(2-амино-6-((1,1,1-трифторпропан-2-ил)окси)пиримидин-4-ил)-1-(3,4-дифторфенил)-3-окса-1,9-диазаспиро[5.5]ундекан-2-она;
1-(3,4-дифторфенил)-9-(2-(гидроксиметил)-6-(4-(трифторметил)-1H-пиразол-1-ил)пиримидин-4-ил)-3-окса-1,9-диазаспиро[5.5]ундекан-2-она;
9-(2-амино-6-(4-(трифторметил)-1H-пиразол-1-ил)пиримидин-4-ил)-1-(3,4-дифторфенил)-3-окса-1,9-диазаспиро[5.5]ундекан-2-она;
(S)-9-(2-амино-6-((тетрагидро-2H-пиран-4-ил)окси)пиримидин-4-ил)-1-(3,4-дифторфенил)-4-фтор-1,9-диазаспиро[5.5]ундекан-2-она;
и
9-(2-амино-6-(1,1-дифторэтил)пиримидин-4-ил)-1-(3,4-дифторфенил)-1,9-диазаспиро[5.5]ундекан-2-она;
или его фармацевтически приемлемая соль.
4. Соединение по п. 1 или его фармацевтически приемлемая соль, где соединение выбрано из группы, состоящей из 9-(2-амино-6-(4-(трифторметил)-1H-пиразол-1-ил)пиримидин-4-ил)-1-(3,4-дифторфенил)-1,9-диазаспиро[5.5]ундекан-2-она;
9-(2-амино-6-(1,1-дифторэтил)пиримидин-4-ил)-1-(3,4-дифторфенил)-1,9-диазаспиро[5.5]ундекан-2-она и
9-(2-амино-6-(трифторметил)пиримидин-4-ил)-1-(3,4-дифторфенил)-1,9-диазаспиро[5,5]ундекан-2-она.
5. Соединение по п.1, которое представляет собой 1-(3,4-дифторфенил)-9-(6-(2,2,2-трифторэтокси)пиримидин-4-ил)-1,9-диазаспиро[5.5]ундекан-2-он; или его фармацевтически приемлемая соль.
6. Соединение по п.1, которое представляет собой (R)-9-(2-амино-6-((1,1,1-трифторпропан-2-ил)окси)пиримидин-4-ил)-1-(3,4-дифторфенил)-3-окса-1,9-диазаспиро[5.5]ундекан-2-он; или (S)-9-(2-амино-6-((1,1,1-трифторпропан-2-ил)окси)пиримидин-4-ил)-1-(3,4-дифторфенил)-3-окса-1,9-диазаспиро[5.5]ундекан-2-он; или его фармацевтически приемлемая соль.
7. Способ модулирования активности лейкотриен-С4-синтазы (LTC4S) у субъекта, где способ включает введение субъекту однократной дозировки, составляющей 1-1000 мг для субъекта весом 50-70 кг, соединения по любому из пп. 1-6 или его фармацевтически приемлемой соли.
| WO 2016078771 A1, 26.05.2016 | |||
| WO 2016177845 A1, 10.11.2016 | |||
| СПОСОБ ПРОИЗВОДСТВА МОРОЖЕНОГО "ПОЛЮС" (ВАРИАНТЫ) | 2014 |
|
RU2545036C1 |
Авторы
Даты
2025-05-13—Публикация
2021-08-12—Подача