Способ прогнозирования развития доброкачественных опухолей яичников у женщин постменопаузального возраста Российский патент 2025 года по МПК G01N33/49 G01N33/68 G01N33/82 G01N33/84 G01N33/74 G16H50/30 

Описание патента на изобретение RU2840309C1

Изобретение относится к области медицины, в частности к акушерству и гинекологии, и может быть использовано для определения риска развития доброкачественных опухолей яичника (ДОЯ) у женщин постменопаузального возраста.

Для обозначения патологических изменений ткани яичника доброкачественного характера используется код по МКБ 10-го пересмотра – D27 доброкачественные опухоли яичников (Диагностика и лечение доброкачественных новообразований яичников с позиции профилактики рака: клинические рекомендации / МЗ РФ. 2018).

Известен способ формирования группы риска по развитию ДОЯ, основанный на выявлении у женщины факторов риска, к которым относят: отсутствие беременностей в анамнезе, предшествующие стимуляции овуляции, эндометриоидное поражение яичников в анамнезе, односторонняя овариоэктомия в анамнезе, раннее менархе и поздняя менопауза (для опухолей I типа по R.J. Kurman), позднее менархе и ранняя менопауза (для опухолей II типа по R.J. Kurman), диета с высоким содержанием жиров и легкоусвояемых углеводов, ожирение, сахарный диабет 2-го типа, хронический сальпингоофорит (для серозных опухолей), асбест (Диагностика и лечение доброкачественных новообразований яичников с позиции профилактики рака: клинические рекомендации (протокол лечения): Письмо Минздрава России от 04.12.18 №15-4 /10/2-7838 М., 2018 г. 51 с.). Недостатки способа: возможность прогнозирования злокачественного образования яичника, что не применимо для прогноза по развитию ДОЯ; не учитывается возраст пациентки.

Другие модели, в которых учитываются условия жизни пациента, например урбанизация, позволяют предсказать развитие опухоли яичника у женщин, проживающих не в аграрных, а в урбанизированных регионах (Reid B.M., Permuth J.B., Sellers T.A. Epidemiology of Ovarian Cancer: a Review // Cancer Biology and Medicine. 2017 Feb. 14(1). P. 9-32. doi: 10.20892/j.issn.2095-3941.2016.0084. PMCID: PMC5365187. PMID: 28443200). Недостатки: не установлено, что именно служит триггером опухолевого роста в ткани яичников у женщин, проживающих в городах, особая среда обитания или питание; низкая прогностическая значимость модели.

Известен способ диагностики, разработанный Международной группой исследователей, которая предложила 2 модели логистической регрессии (ЛГ) – ЛР-1 и ЛР-2 для определения «доброкачественности» и «злокачественности» опухолей яичников. В анализ включено до 40 клинических и ультразвуковых переменных (Campbell S. Ovarian Cancer: Role of Ultrasound in Preoperative Diagnosis and Population Screening // Ultrasound Obstet Gynecol. 2012. Vol. 40. P. 245-254; Higgins R.V., Matkins J.F., Marroum M.C. Comprasion of Fine-Needle Aspiracion Cytologic Findings of Ovarian Cysts with Ovarian Histologic Findings // Am. J. Obstet gynecol. 1999. 180 (3). P. 550-553). Недостаток способа: высокая трудоемкость; тяжесть расчетов, что затягивает и усложняет работу клинического врача; не учитываются анамнестические данные и данные лабораторных методов исследования; невозможно использовать способ для прогнозирования развития ДОЯ.

Другими авторами определяется один фактор риска как прогностический маркер развития опухоли яичника, например, Мурад Ассиди и соавт. (2021 г.) исследуют повышение лептина у больных с ожирением (M., Yahya F.M. Leptin Protein Expression and Promoter Methylation in Ovarian Cancer: A Strong Prognostic Value with Theranostic Promises // Int J MolSci. 2021. 22 (23). Р. 12872. doi: 10.3390/ijms222312872). Недостатки: имеются исследования, в которых говорится о не информативности изолированного определения лептина как маркера развития опухолевого процесса яичника (Ibrahim Serdar Serin. Fatih Tanriverdi, Mustafa Oguz YilmazSerum Insulin-like Growth Factor (IGF)-I, IGF Binding Protein (IGFBP)-3, Leptin Concentrations and Insulin Resistance in Benign and Malignant Epithelial Ovarian Tumors in Postmenopausal Women / Gynecol Endocrinol. 2008. 24 (3). Р. 117-121; Assid M., Yahya F.M., Al-Zahrani M.H. Leptin Protein Expression and Promoter Methylation in Ovarian Cancer: A Strong Prognostic Value with Theranostic Promises // Int J Mol Sci. 2021. 22 (23). Р. 12872). В модели не учитывается возраст пациента и его акушерско-гинекологические анамнестические данные.

Известен способ определения индекса малигнизации для предварительной оценки вероятности озлокачествления образования в яичниках в сопоставлении с гистологическим заключением о характере кистозного образования яичника (Гаспаров A.C., Жорданиа К.И., Паяниди Ю.Г., Дубинская Е.Д. Онкогинекологические аспекты кистозных образований яичников. Российский университет дружбы народов, Москва, Российская Федерация 2 Российский онкологический научный центр им. Н.Н. Блохина РАМН, Москва, Российская Федерация. 2013). Авторы оценивали менструальную функцию пациентки (перименопауза и репродуктивный возраст/постменопауза), далее абсолютные показатели титра углеводного антигена 125 (СА 125) и ультразвуковые параметры образования яичников, определяли по балльной шкале и рассчитывали индекс малигнизации опухоли яичников с целью прогнозирования ее доброкачественности или злокачественности. Недостаток способа – прогнозировать развитие доброкачественной опухоли яичника невозможно; способ применим для уже сформировавшихся новообразований яичника; титр СА 125 не всегда имеет высокую чувствительность и специфичность.

Технический результат: повышение точности прогнозирования развития доброкачественных опухолей яичников у женщин постменопаузального возраста, доступность и простота исполнения при высокой чувствительности и специфичности.

Указанный результат достигается с помощью определения у женщин постменопаузального возраста анамнестических (возраст) и лабораторных (уровни лептина, витамина Д, углеводного антигена 125, ГСПГ, ИПФР1, ФСГ, эстрадиола, цинка) показателей, с последующим их использованием для расчета прогнозируемого риска развития доброкачественных опухолей яичников.

Способ осуществляется следующим образом: у женщины постменопаузального возраста определяют анамнестические данные – возраст, а также забирают натощак образец крови для определения содержания углеводного антигена 125 (СА 125), витамина Д, глобулина связывающего половые гормоны (ГСПГ), инсулиноподобного фактора роста (ИПФР1), фолликулостимулирующего гормона (ФСГ), эстрадиола, цинка. Уровни витамина Д, ФСГ, ИПФР1, эстрадиола, цинка, ГСПГ определяют методом хемилюминесцентного анализа на микрочастицах с использованием набора производства Abbott Laboratories Diagnostics Division на анализаторе Architect 2000, Abbott Laboratories (США). Уровни СА 125 исследуют методом иммуноферментного анализа на анализаторе StatFax2100, Awareness Technology (США), концентрацию лептина – методом иммуноферментного анализа с использованием набора производства Leptin Sandwich ELISA, DRG Instruments Gmbh на анализаторе StatFax2100, Awareness Technology (США).

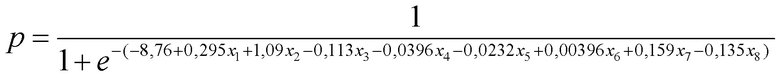
Далее проводят расчет прогнозируемого риска развития доброкачественной опухоли

яичника по формуле:

,

где р – риск развития доброкачественной опухоли яичника у женщины; е – основание натурального логарифма; x1 – возраст, годы; x2 – уровень СА 125, МЕ/мл; x3 – уровень витамина Д, г/мл; x4 – уровень ГСПГ, нмоль/л; x5 – уровень ИПФР1, нг/мл; x6 – уровень ФСГ, мМЕ/мл; x7 – уровень эстрадиола, пг/мл; x8 – уровень цинка, мкмоль/л.

При значении p, равном 0,55 и более, прогнозируют высокий риск развития ДОЯ у женщины в постменопаузе, при p менее 0,55 – низкий риск развития ДОЯ у женщин постменопаузального возраста.

Способ основывается на результатах, полученных при обследовании 110 женщин постменопаузального возраста. При проведении ROC-анализа определяли величину площади под ROC-кривой (AUC). AUC 0,95 соответствует высокому качеству модели. Интегральный показатель, рассчитанный по формуле, имеет высокую степень эффективности – 92,59 % (чувствительность 95,0 %, специфичность 85,71 %). Площадь под интегральной ROC-кривой равняется 0,95, что можно расценивать как отличное качество интегрального диагностического показателя. Это высокий результат, характеризующий высокую эффективность модели для прогнозирования развития ДОЯ у больных в постменопаузе.

Примеры конкретного выполнения

ПРИМЕР 1. Пациентка О., 58 лет. Диагноз: Хронический сальпингит и оофорит (N70.1). D25.1 – интрамуральная лейомиома (узел до 22мм). Объективно – жалоб нет. Из анамнеза больной известно, что имела 2 родов, 4 медицинских аборта. Контрацепция до наступления менопаузы – барьерный способ (презерватив); страдает желчнокаменной болезнью. В соответствии с предложенным способом рассчитали вероятность риска развития ДОЯ по формуле. Согласно расчета , где x1 – 58 лет; x2 – СА 125 = 19 МЕ/мл; x3 – витамин Д = 22 нг/мл; x4 – ГСПГ = 98 нмоль/л; x5 – ИПФР1 = 176 нг/мл; x6 – ФСГ = 57 мМЕ/мл; x7 – эстрадиол = 24 пг/мл; x8 – цинк = 14,2 мкмоль/л, риск развития ДОЯ составил 1. Был сделан вывод о высоком риске развития доброкачественной опухоли.

Пациентку наблюдали в динамике 3 года 5 мес. Ежегодно выполнялось УЗИ малого таза. В 2023 г. по УЗИ выявлено образование яичника в диаметре до 28 мм. Было выполнено оперативное лечение: лапароскопия, двухсторонняя аднексэктомия. Заключение гистологического исследования – цистаденома. Нами был верно определен риск развития опухоли яичника. Раннее выявление опухоли позволило выполнить лапароскопический доступ при оперативном лечении, что имеет большое значение для больной и способствует её ранней активации в послеоперационном периоде, выписана из стационара на 4-е сутки.

ПРИМЕР 2. Пациентка Н., 59 лет. Диагноз: Хронический сальпингит и оофорит (N70.1). Объективно – жалоб нет. Из анамнеза больной известно, что имела 2 родов, 2 медицинских аборта. Контрацепция до наступления менопаузы – внутриматочное средство (ВМС); хронических заболеваний желудочно-кишечного тракта не имеет. В соответствии с предложенным способом рассчитали вероятность риска развития ДОЯ по формуле. Согласно расчета , где x1 – 59 лет; x2 – СА 125 = 21 МЕ/мл; x3 – витамин Д = 35 г/мл; x4 – ГСПГ = 112 нмоль/л; x5 – ИПФР1 = 89 нг/мл; x6 – ФСГ = 61 мМЕ/мл; x7 – эстрадиол = 39 пг/мл; x8 – цинк = 15,3 мкмоль/л, риск развития ДОЯ составил 0,9. Был сделан вывод о высоком риске развития доброкачественной опухоли.

Пациентку наблюдали в динамике 3 г. 2 мес, ежегодно выполнялось УЗИ малого таза. В 2024 г. по УЗИ выявлено образование яичника диаметром до 21 мм. Проведено оперативное лечение (лапароскопия, двухсторонняя аднексэктомия). Заключение гистологического исследования – серозная цистаденома. Нами был верно определен риск развития опухоли яичника. Выявление опухоли на ранних стадиях позволило выполнить лапароскопический доступ при оперативном лечении, привело к ранней активации больной и быстрой выписке из стационара.

ПРИМЕР 3. Пациентка Г., 61 год. Диагноз: D25.1 – интрамуральная лейомиома. Объективно – жалоб нет. Из анамнеза больной известно, что имела 1 роды, 3 медицинских аборта. Контрацепция до наступления менопаузы – презервативы; из хронических заболеваний желудочно-кишечного тракта – желчнокаменная болезнь. В соответствии с предложенным способом рассчитали вероятность риска развития ДОЯ по формуле. Согласно расчета , где x1 – 61 год; x2 – СА 125 = 4 МЕ/мл ; x3 – витамин Д = 39 г/мл; x4 – ГСПГ = 89 нмоль/л; x5 – ИПФР1 = 78 нг/мл; x6 – ФСГ = 41 мМЕ/мл; x7 – эстрадиол = 19 пг/мл; x8 – цинк = 14 мкмоль/л, риск развития ДОЯ составил 0,687. Был сделан вывод о высоком риске развития доброкачественной опухоли.

Пациентку наблюдали в динамике 3 г. 9 мес, ежегодно выполнялось УЗИ малого таза. В 2024 г. по УЗИ выявлено образование яичника диаметром до 24 мм. Проведено оперативное лечение (лапароскопия, двухсторонняя аднексэктомия, консервативная миомэктомия). Заключение гистологического исследования – серозная цистаденома; миома матки. Нами был верно определен риск развития опухоли яичника. Выявление опухоли на ранних стадиях позволило выполнить лапароскопический доступ при оперативном лечении, привело к ранней активации больной и быстрой выписке из стационара.

ПРИМЕР 4. Пациентка А., 56 лет. Диагноз: D25.1 – интрамуральная лейомиома. Объективно – жалоб нет. Из анамнеза больной известно, что имела 1 родов, 1 медицинского аборта. Контрацепция до наступления менопаузы – презервативы; из хронических заболеваний желудочно-кишечного тракта – желчнокаменная болезнь. В соответствии с предложенным способом рассчитали вероятность риска развития ДОЯ по формуле. Согласно расчета , где x1 – 56 лет; x2 – СА 125 = 3 МЕ/мл ; x3 – витамин Д = 45 г/мл; x4 – ГСПГ = 156 нмоль/л; x5 – ИПФР1 =70 нг/мл; x6 – ФСГ = 18 мМЕ/мл; x7 – эстрадиол = 22 пг/мл; x8 – цинк = 14 ,2 мкмоль/л, риск развития ДОЯ составил 0,4. Был сделан вывод о низком риске развития доброкачественной опухоли яичника.

Пациентку наблюдали в динамике 5 лет, ежегодно выполнялось УЗИ малого таза, данных за развитие яичника не получено. Нами был верно определен риск развития опухоли яичника.

Таким образом, использование предложенного способа обеспечит ранее прогнозирование доброкачественных опухолей яичников у женщин постменопаузального возраста, даст возможность акушеру-гинекологу сформировать группу пациенток высокого риска, своевременно провести оперативное лечение.

Похожие патенты RU2840309C1

название год авторы номер документа
СПОСОБ ПРОГНОЗИРОВАНИЯ РИСКА ВОЗНИКНОВЕНИЯ ЗЛОКАЧЕСТВЕННЫХ НОВООБРАЗОВАНИЙ ЖЕНСКИХ ПОЛОВЫХ ОРГАНОВ И МОЛОЧНЫХ ЖЕЛЁЗ 2014
  • Кудинова Евгения Геннадьевна
  • Уварова Елена Витальевна
  • Момот Андрей Павлович
RU2578459C1
СПОСОБ ПРОГНОЗИРОВАНИЯ РАЗВИТИЯ СУБОПТИМАЛЬНОГО ОТВЕТА НА КОНТРОЛИРУЕМУЮ ОВАРИАЛЬНУЮ СТИМУЛЯЦИЮ В ПРОГРАММАХ ЭКО/ИКСИ 2021
  • Нгуен Конг Туан
  • Махмадалиева Манижа Раджабовна
  • Объедкова Ксения Владимировна
  • Джемлиханова Ляиля Харрясовна
  • Ниаури Дарико Александровна
  • Гзгзян Александр Мкртичевич
  • Коган Игорь Юрьевич
RU2774145C1
Способ прогнозирования восстановления менструального цикла у девочек-подростков с нормогонадотропной олигоменореей 2020
  • Рымашевский Александр Николаевич
  • Андреева Вера Олеговна
  • Латынин Андрей Николаевич
  • Боташева Татьяна Леонидовна
  • Андреева Снежана Сергеевна
  • Аперян Аревик Валерьевна
  • Заводнов Олег Павлович
  • Железнякова Елена Васильевна
RU2740848C1
Способ дифференциальной диагностики доброкачественных и злокачественных новообразований яичников 2018
  • Егунова Мария Алексеевна
  • Куценко Ирина Георгиевна
  • Дмитриева Алла Ивановна
  • Завьялова Марина Викторовна
  • Пикалова Лидия Валентиновна
  • Баталова Ольга Викторовна
RU2686180C1
Способ прогнозирования риска развития псориаза 2 типа у женщин в постменопаузе 2018
  • Опруженкова Евгения Павловна
  • Сидоренко Ольга Анатольевна
RU2684287C1
Способ определения риска развития рецидива эндометриоидных кист яичников после оперативного лечения 2023
  • Чижова Анна Вадимовна
  • Кудрявцева Елена Владимировна
  • Ковалев Владислав Викторович
  • Мангилева Яна Андреевна
  • Потапов Николай Николаевич
RU2811890C1
МЕТОД СКРИНИНГА НИЗКОЙ МИНЕРАЛЬНОЙ ПЛОТНОСТИ КОСТНОЙ ТКАНИ У ЖЕНЩИН СО ВТОРИЧНОЙ АМЕНОРЕЕЙ 2014
  • Сметник Антонина Александровна
  • Сметник Вера Петровна
  • Гависова Алла Анатольевна
  • Донников Андрей Евгеньевич
  • Иванец Татьяна Юрьевна
  • Юренева Светлана Владимировна
RU2548822C1
Способ прогнозирования эффективности лечения климактерического синдрома мелатонином у женщин в перименопаузе и постменопаузе 2019
  • Усольцева Елена Николаевна
  • Соловьёв Андрей Горгоньевич
  • Мамонтова Александра Георгиевна
RU2723764C1
СПОСОБ ПРОГНОЗИРОВАНИЯ ВОЗМОЖНОСТИ ОЗЛОКАЧЕСТВЛЕНИЯ ОПУХОЛИ ЯИЧНИКА У ЖЕНЩИН РЕПРОДУКТИВНОГО ВОЗРАСТА 2019
  • Демура Алина Андреевна
  • Спиридонова Наталья Владимировна
RU2713795C1
СПОСОБ ДИАГНОСТИКИ НАРУШЕНИЙ В РЕПРОДУКТИВНОМ ЗДОРОВЬЕ ПОДРОСТКОВ С ХРОНИЧЕСКОЙ ПОЧЕЧНОЙ ПАТОЛОГИЕЙ 2013
  • Лощенко Мария Александровна
  • Евсеева Галина Петровна
  • Учакина Раиса Владимировна
  • Козлов Владимир Кириллович
RU2536288C1

Реферат патента 2025 года Способ прогнозирования развития доброкачественных опухолей яичников у женщин постменопаузального возраста

Изобретение относится к медицине, а именно к акушерству и гинекологии, и может быть использовано для прогнозирования развития доброкачественных опухолей яичников у женщин постменопаузального возраста. У женщин постменопаузального возраста определяют возраст и содержание СА 125, витамина Д, ГСПГ, ИПФР1, ФСГ, эстрадиола, цинка в сыворотке крови. Проводят расчет прогнозируемого риска развития доброкачественных опухолей яичников (р). При p, равном 0,55 и более, прогнозируют высокий риск развития доброкачественных опухолей яичников. При p менее 0,55 прогнозируют низкий риск развития доброкачественных опухолей яичников. Способ обеспечивает повышение точности прогнозирования развития доброкачественных опухолей яичников у женщин постменопаузального возраста за счет использования прогностической модели на основе анамнестических и лабораторных показателей. 4 пр.

Формула изобретения RU 2 840 309 C1

Способ прогнозирования развития доброкачественных опухолей яичников у женщин постменопаузального возраста с помощью лабораторных исследований, отличающийся тем, что у женщин постменопаузального возраста собирают анамнестические данные с установлением возраста, в сыворотке крови определяют содержание углеводного антигена 125 (СА 125), витамина Д, глобулина, связывающего половые гормоны (ГСПГ), инсулиноподобного фактора роста (ИПФР1), фолликулостимулирующего гормона (ФСГ), эстрадиола, цинка; проводят расчет прогнозируемого риска развития доброкачественных опухолей яичников по формуле:

,

где р – риск развития доброкачественной опухоли яичника у женщины;

е – основание натурального логарифма;

x 1 – возраст, годы;

x 2 – уровень СА 125, МЕ/мл;

x 3 – уровень витамина Д, г/мл;

x 4 – уровень ГСПГ, нмоль/л;

x 5 – уровень ИПФР1, нг/мл;

x 6 – уровень ФСГ, мМЕ/мл;

x 7 – уровень эстрадиола, пг/мл;

x 8 – уровень цинка, мкмоль/л;

при значении p, равном 0,55 и более, прогнозируют высокий риск развития доброкачественных опухолей яичников у женщин постменопаузального возраста, при p менее 0,55 – низкий риск развития доброкачественных опухолей яичников у женщин постменопаузального возраста.

Документы, цитированные в отчете о поиске Патент 2025 года RU2840309C1

СПОСОБ ДИФФЕРЕНЦИАЛЬНОЙ ДИАГНОСТИКИ РИСКА РАЗВИТИЯ ОПУХОЛЕПОДОБНЫХ ОБРАЗОВАНИЙ И ОПУХОЛЕЙ ЯИЧНИКОВ 2008
  • Соломатина Антонина Андреевна
  • Шабрина Олеся Валерьевна
  • Клименко Петр Афанасьевич
  • Магнитская Наталья Алексеевна
  • Братчикова Ольга Владимировна
  • Герасимова Анастасия Альлеровна
  • Сафронова Дарья Александровна
RU2360609C1
ПОДЗОЛКОВА Н.М
и др
Состояние проблемы ранней диагностики и лечения доброкачественных опухолей яичников у пациенток в постменопаузе (обзор литературы)
Гинекология
Способ регенерирования сульфо-кислот, употребленных при гидролизе жиров 1924
  • Петров Г.С.
SU2021A1
JING B
et al
Development of prediction model to estimate future risk of ovarian lesions: A multi-center retrospective study
Prev

RU 2 840 309 C1

Авторы

Кобаидзе Екатерина Глахоевна

Падруль Михаил Михайлович

Шашурина Юлия Александровна

Даты

2025-05-21Публикация

2025-01-13Подача