Область изобретения
[0001] Настоящее изобретение относится к теплоносителям с низкой удельной проводимостью, которые содержат амидный ингибитор и полезны в разных областях применения, например, в топливных элементах. Изобретение также относится к способам приготовления указанных теплоносителей и к способам использования и применениям указанных теплоносителей.
Предпосылки изобретения
[0002] Теплоносители широко используют в системах теплообмена, связанных с двигателями внутреннего сгорания, использующими солнечную энергию системами, топливными элементами, электродвигателями, генераторами, электронным оборудованием и т.п. Теплоносители обычно состоят из базовой жидкости и одной или более добавок.
[0003] Исторически вода была предпочтительной базовой жидкостью с точки зрения теплопередающих свойств. Во многих применениях необходимы свойства антифриза, и в таких случаях используют базовую жидкость, состоящую из воды, смешанной с понижающими температуру замерзания присадками, такими как спирты, гликоли или соли. Присутствующие в теплоносителях добавки могут быть использованы для получения различных функциональных свойств, таких как (дополнительное) снижение температуры замерзания, улучшение свойств теплообмена, подавление коррозии и т.д. Поскольку теплоносители находятся в постоянном контакте с металлическими деталями (алюминиевые сплавы, чугун, сталь, медь, латунь, припой и т.д.), они почти всегда содержат один или более ингибиторов коррозии.
[0004] Топливные элементы представляют собой электрохимические ячейки, в которых химическая энергия, хранящаяся в источнике топлива, преобразуется в электрическую энергию путем контролируемого окисления топлива. Относительно низкий уровень выбросов загрязняющих веществ по сравнению с двигателями внутреннего сгорания делает топливные элементы привлекательной альтернативой в таких областях применения, как автомобили и энергоустановки. В большинстве областей применения несколько электрохимических ячеек последовательно соединяют в так называемую батарею топливных элементов, что позволяет генерировать более высокие напряжения. Тепло, выделяемое батареей топливных элементов, может быть отведено за счет пропускания охлаждающей жидкости по каналам в разделительных пластинах между элементами.
[0005] Разность потенциалов между положительным и отрицательным концами батареи топливных элементов может вызвать протекание тока утечки через охлаждающую жидкость, тем самым снижая напряжение топливного элемента. В дополнение к вредной потере напряжения токи утечки вызывают дополнительные проблемы, такие как коррозия разделительной пластины вблизи положительного конца батареи топливных элементов. Следовательно, охлаждающие жидкости для использования в электротехнике, например, в топливных элементах, должны иметь низкую электропроводность (т.е. высокое электрическое сопротивление) и быть способны сохранять ее в течение всего срока службы охлаждающей жидкости.
[0006] Большинство известных теплоносителей (например, охлаждающих жидкостей) были специально разработаны для двигателей внутреннего сгорания и не подходят для применения в электротехнике, например, в топливных элементах, поскольку они (i) обладают высокой электропроводностью или (ii) становятся значительно более электропроводными при старении, особенно при повышенных температурах. Повышение электропроводности при старении обычно связывают с образованием ионных соединений из-за разложения гликолей, которые часто используют в качестве базовой жидкости, из-за разложения присадок и/или из-за коррозии металла.
[0007] Таким образом, в последние годы наблюдается повышенный интерес к разработке теплоносителей, пригодных для применения в электротехнике, например, в топливных элементах.
[0008] В US 2005/0109979 описывается теплоноситель для электромобилей, содержащий базовый агент и противокоррозионную добавку, которая представляет собой фенольное соединение и подавляет окисление базового агента или блокирует вымывание ионов в систему охлаждения, препятствуя повышению электропроводности охлаждающей жидкости.
[0009] В US 2006/027782 описано, что повышение электропроводности в системе охлаждения на основе 1,3-пропандиола может быть существенно замедлено путем добавления небольших количеств производных азола.
[0010] Известные теплоносители, которые способны сохранять низкую удельную проводимость, имеют несколько недостатков, например, они основываются на присутствии специальных добавок, которые могут быть дорогими, токсичными или иметь другие нежелательные свойства. Более того, так как добавки, используемые в данной области техники для сохранения низкой удельной проводимости, обычно расходуются в процессе, при практическом применении часто требуются большие количества добавок, которые также могут нежелательным образом влиять на другие свойства теплоносителя.
[0011] Теплоносители на основе гликоля имеют несколько преимуществ. Например, они обладают низкой точкой замерзания в сочетании с низкой вязкостью и высокой температурой воспламенения, а профиль безопасности разных гликолей тщательно изучен.
[0012] Кроме того, авторы настоящего изобретения обнаружили, что особенно желательно создать теплоноситель на основе гликоля, способный сохранять низкую удельную проводимость при старении в присутствии алюминия. Из-за их легкого веса материалы на основе алюминия часто предпочтительны для изготовления таких деталей, как охлаждающие пластины и теплообменники.
[0013] Задача настоящего изобретения состоит в предложении улучшенных теплоносителей, предпочтительно на основе гликоля, которые подходят для применения в качестве охлаждающей жидкости в электротехнических системах, таких как топливные элементы или силовая электроника.
[0014] Следовательно, задачей настоящего изобретения является предложение теплоносителей, предпочтительно на основе гликоля, которые имеют низкую удельную проводимость и которые предпочтительно способны сохранять низкую удельную проводимость при старении, например, при старении при повышенных температурах.
[0015] Еще одной задачей настоящего изобретения является предложение теплоносителей, предпочтительно на основе гликоля, которые способны сохранять сравнительно низкую удельную проводимость при старении, например, при старении при повышенных температурах, при этом требуя меньше добавок, чем известные теплоносители.
[0016] Еще одна задача настоящего изобретения состоит в предложении теплоносителей на основе гликоля, обладающих увеличенным сроком службы по сравнению с известными теплоносителями.
Сущность изобретения
[0017] Авторами настоящего изобретения было неожиданно установлено, что одна или более из этих задач могут быть решены за счет использования композиции, содержащей базовую жидкость и по меньшей мере один алифатический карбоксамид, и при этом композиция предпочтительно имеет удельную проводимость при 25°C менее 25 мкСм/см.
[0018] Как будет показано в прилагаемых примерах, неожиданно установлено, что алифатические карбоксамиды значительно превосходят ароматические карбоксамиды в отношении сохранения низкой удельной проводимости при старении при повышенных температурах. Более того, неожиданно установлено, что композиции в соответствии с изобретением способны сохранять эту низкую удельную электрическую проводимость при старении при повышенных температурах в присутствии алюминиевых подложек.
[0019] На основании данного раскрытия специалисту будет понятно, что композиции в соответствии с настоящим изобретением эффективно обеспечивают предложение теплоносителей или охлаждающих жидкостей, подходящих для применения в электротехнике, которые требуют меньше добавок (особенно антиоксидантов), которые могут быть приготовлены без ароматических соединений и/или которые способны сохранять низкую удельную электрическую проводимость при старении в течение более длительных периодов времени, чем сопоставимые композиции, известные в данной области техники.
[0020] US 2005/0109979 A1 относится к композиции охлаждающей жидкости для охлаждения топливного элемента и раскрывает в примере 4 композицию, содержащую этиленгликоль, воду и антраниламид (ароматический карбоксамид). В US 2005/0109979 A1 нет никаких указаний на алифатические карбоксамиды для дополнительного улучшения удельной проводимости при старении.
[0021] Следовательно, в первом аспекте изобретение предлагает композицию, содержащую базовую жидкость и по меньшей мере один алифатический карбоксамид, причем композиция имеет удельную проводимость при 25°C менее 25 мкСм/см. Как будет показано здесь, эти композиции способны сохранять низкую удельную проводимость.
[0022] В предпочтительных вариантах осуществления композиции по изобретению предложены в форме готовых к применению композиций.
[0023] В предпочтительных вариантах осуществления композиции по изобретению предложены в форме концентратов для приготовления описанных здесь готовых к применению композиций.
[0024] В другом аспекте изобретение предлагает способ приготовления описанных здесь композиций.
[0025] В другом аспекте изобретение предлагает способ приготовления описанных здесь готовых к применению композиций из концентрата.
[0026] В другом аспекте изобретение предлагает соответствующие применения алифатического карбоксамида.
[0027] В другом аспекте изобретение предлагает соответствующие применения описанных здесь готовых к применению композиций.
Описание вариантов осуществления
[0028] В первом аспекте изобретение относится к композициям, содержащим базовую жидкость и по меньшей мере один алифатический карбоксамид, причем композиция имеет удельную проводимость при 25°C менее 25 мкСм/см, предпочтительно менее 10 мкСм/см, более предпочтительно менее 5 мкСм/см.
Базовая жидкость
[0029] В соответствии с изобретением базовая жидкость (основа) состоит из воды, моноэтиленгликоля, диэтиленгликоля, триэтиленгликоля, тетраэтиленгликоля, пентаэтиленгликоля, гексаэтиленгликоля, монопропиленгликоля, 1,3-пропандиола, дипропиленгликоля, трипропиленгликоля, тетрапропиленгликоля, пентапропиленгликоля, гексапропиленгликоля, метанола, этанола, пропанола, бутанола, тетрагидрофурфурила, этоксилированного фурфурила, диметилового простого эфира глицерина, сорбитола, 1,2,6-гексантриола, триметилолпропана, метоксиэтанола, глицерина или их смесей.
[0030] Употребляемый здесь термин «моноэтиленгликоль» следует интерпретировать как означающий «этан-1,2-диол», и его взаимозаменяемо называют «МЭГ» («MEG»).
[0031] Употребляемый здесь термин «монопропиленгликоль» следует интерпретировать как означающий «пропан-1,2-диол», и его взаимозаменяемо называют как «МПГ» («MPG»).
[0032] Употребляемый здесь термин «глицерин» означает «пропан-1,2,3-триол» и является синонимом глицерола.
[0033] В предпочтительных вариантах осуществления изобретения базовая жидкость состоит из воды, моноэтиленгликоля, монопропиленгликоля, 1,3-пропандиола, глицерина или их смесей.
[0034] В наиболее предпочтительных вариантах осуществления изобретения базовая жидкость состоит из воды и спирта, выбранного из группы, состоящей из моноэтиленгликоля, диэтиленгликоля, триэтиленгликоля, тетраэтиленгликоля, пентаэтиленгликоля, гексаэтиленгликоля, монопропиленгликоля, 1,3-пропандиола, дипропиленгликоля, трипропиленгликоля, тетрапропиленгликоля, пентапропиленгликоля, гексапропиленгликоля, метанола, этанола, пропанола, бутанола, тетрагидрофурфурила, этоксилированного фурфурила, диметилового простого эфира глицерина, сорбитола, 1,2,6-гексантриола, триметилолпропана, метоксиэтанола и глицерина, предпочтительно выбранного из группы, состоящей из моноэтиленгликоля, монопропиленгликоля, 1,3-пропандиола, глицерина или их смесей. Предпочтительно, спирт присутствует в количестве в интервале 10-99 мас.% (от массы базовой жидкости), предпочтительно 10-80 мас.%, более предпочтительно 30-70 мас.%. В конкретных вариантах осуществления спирт присутствует в количестве в интервале 10-45 мас.% (от массе базовой жидкости).
[0035] В вариантах осуществления предложена описанная здесь композиция, которая содержит более 5 мас.% (от общей массы композиции) базовой жидкости, например, более 6 мас.%, более 7 мас.%, более 8 мас.%, более 9 мас.%, более 10 мас.%, более 11 мас.%, более 12 мас.%, более 13 мас.%, более 14 мас.%, более 15 мас.%, более 16 мас.%, более 17 мас.%, более 18 мас.%, более 19 мас.%, более 20 мас.%, более 25 мас.%, более 30 мас.%, более 35 мас.%, более 40 мас.%, более 45 мас.%, более 50 мас.%, более 55 мас.%, более 60 мас.%, более 65 мас.% или более 70 мас.% базовой жидкости.
[0036] В предпочтительных вариантах осуществления изобретения предложена описанная здесь композиция, которая содержит более 10 мас.% (от общей массы композиции) базовой жидкости, предпочтительно более 20 мас.%, предпочтительно более 50 мас.%.
[0037] Как будет понятно специалисту в данной области техники, базовую жидкость обычно добавляют в «достаточном количестве» и, следовательно, ее количество конкретно не ограничено. В вариантах осуществления изобретения композиция содержит менее 99,9 мас.% (от общей массы композиции) базовой жидкости, например, менее 99,8 мас.%, менее 99,5 мас.% или менее 99 мас.%, например, менее 98 мас.%, менее 97 мас.%, менее 96 мас.%, менее 95 мас.%, менее 94 мас.%, менее 93 мас.%, менее 92 мас.%, менее 91 мас.%, менее 90 мас.%, менее 89 мас.%, менее 88 мас.%, менее 87 мас.%, менее 86 мас.%, менее 85 мас.%, менее 84 мас.%, менее 83 мас.%, менее 82 мас.%, менее 81 мас.%, менее 80 мас.%, менее 75 мас.%, менее 70 мас.%, менее 65 мас.%, менее 60 мас.% или менее 55 мас.% базовой жидкости.
[0038] В вариантах осуществления изобретения базовая жидкость содержит более 50 мас.% (от массы базовой жидкости) воды, предпочтительно более 70 мас.%, предпочтительно более 85 мас.%, предпочтительно более 95 мас.% воды. В вариантах осуществления изобретения базовая жидкость состоит из воды.
[0039] В вариантах осуществления изобретения базовая жидкость содержит более 50 мас.% (от массы базовой жидкости) моноэтиленгликоля, предпочтительно более 70 мас.%, предпочтительно более 85 мас.%, предпочтительно более 95 мас.% моноэтиленгликоля. В вариантах осуществления изобретения базовая жидкость состоит из моноэтиленгликоля.
[0040] В вариантах осуществления изобретения базовая жидкость содержит более 50 мас.% (от массы базовой жидкости) монопропиленгликоля, предпочтительно более 70 мас.%, предпочтительно более 85 мас.%, предпочтительно более 95 мас.% монопропиленгликоля. В вариантах осуществления изобретения базовая жидкость состоит из монопропиленгликоля.
[0041] В вариантах осуществления изобретения базовая жидкость содержит более 50 мас.% (от массы базовой жидкости) 1,3-пропандиола, предпочтительно более 70 мас.%, предпочтительно более 85 мас.%, предпочтительно более 95 мас.% 1,3-пропандиола. В вариантах осуществления изобретения базовая жидкость состоит из 1,3-пропандиола.
[0042] В вариантах осуществления изобретения базовая жидкость содержит более 50 мас.% (от массы базовой жидкости) глицерина, предпочтительно более 70 мас.%, предпочтительно более 85 мас.%, предпочтительно более 95 мас.% глицерина. В вариантах осуществления изобретения базовая жидкость состоит из глицерина.
[0043] В вариантах осуществления изобретения предложенная здесь композиция не содержит моноэтиленгликоля, монопропиленгликоля, 1,3-пропандиола и глицерина. В вариантах осуществления изобретения предложенная здесь композиция не содержит алифатических полиолов.
Алифатический карбоксамид
[0044] Употребляемый здесь термин «алифатический карбоксамид» следует интерпретировать как означающий любую молекулу, содержащую по меньшей мере одну карбоксамидную функциональную группу, причем карбоксамид может быть первичным (R(CO)NH2), вторичным (R(CO)NHR’) или третичным (R(CO)NR’R”) карбоксамидом (R, R’ и R” не обозначают H), и причем эта молекула не содержит ароматического фрагмента. Алифатический карбоксамид может быть линейным, разветвленным или циклическим. Алифатический карбоксамид может быть насыщенным или ненасыщенным.
[0045] В соответствии с изобретением алифатический карбоксамид имеет молекулярную массу менее 500 г/моль, предпочтительно менее 250 г/моль.
[0046] В вариантах осуществления изобретения алифатический карбоксамид содержит от 2 до 18 атомов углерода, предпочтительно алифатический карбоксамид содержит от 2 до 10 атомов углерода, более предпочтительно алифатический карбоксамид содержит от 4 до 6 атомов углерода.
[0047] В вариантах осуществления изобретения алифатический карбоксамид содержит одну или две карбоксамидные группы. Употребляемое здесь выражение «алифатический карбоксамид содержит одну или две карбоксамидные группы» означает, что алифатический карбоксамид имеет точно одну или две карбоксамидные группы. Карбоксамидные группы предпочтительно являются первичными или вторичными карбоксамидными группами.
[0048] В предпочтительных вариантах осуществления изобретения алифатический карбоксамид содержит от 2 до 16 атомов углерода, предпочтительно алифатический карбоксамид содержит от 2 до 10 атомов углерода, более предпочтительно алифатический карбоксамид содержит от 4 до 6 атомов углерода; и алифатический карбоксамид содержит одну или две карбоксамидные группы.
[0049] В особо предпочтительных вариантах осуществления изобретения алифатический карбоксамид содержит от 2 до 16 атомов углерода, предпочтительно алифатический карбоксамид содержит от 2 до 10 атомов углерода, более предпочтительно алифатический карбоксамид содержит от 4 до 6 атомов углерода; алифатический карбоксамид содержит одну или две карбоксамидные группы, и карбоксамидные группы являются первичными или вторичными карбоксамидными группами.
[0050] В предпочтительных вариантах осуществления изобретения алифатический карбоксамид не содержит никаких гетероатомов кроме гетероатомов, входящих в карбоксамидные группы. Следовательно, в предпочтительных вариантах осуществления алифатический карбоксамид не содержит никаких функциональных групп, отличных от упомянутой по меньшей мере одной карбоксамидной группы.
[0051] В предпочтительных вариантах осуществления изобретения алифатический карбоксамид содержит от 2 до 16 атомов углерода, предпочтительно алифатический карбоксамид содержит от 2 до 10 атомов углерода, более предпочтительно алифатический карбоксамид содержит от 4 до 6 атомов углерода; алифатический карбоксамид содержит одну или две карбоксамидные группы; и алифатический карбоксамид не содержит никаких гетероатомов кроме гетероатомов, входящих в карбоксамидные группы.
[0052] В более предпочтительных вариантах осуществления изобретения алифатический карбоксамид содержит от 2 до 16 атомов углерода, предпочтительно алифатический карбоксамид содержит от 2 до 10 атомов углерода, более предпочтительно алифатический карбоксамид содержит от 4 до 6 атомов углерода; алифатический карбоксамид содержит одну или две карбоксамидные группы; карбоксамидные группы являются первичными или вторичными карбоксамидными группами; и алифатический карбоксамид не содержит никаких гетероатомов кроме гетероатомов, входящих в карбоксамидные группы.
[0053] В вариантах осуществления изобретения алифатический карбоксамид в соответствии с описанными здесь разными вариантами представляет собой соединение формулы (I):
где R1, R2 и R3 независимо представляют собой незамещенный C1-C10 прямоцепочечный, разветвленный или циклический алкил, незамещенный C2-C10 прямоцепочечный, разветвленный или циклический алкенил или незамещенный C2-C10 прямоцепочечный или разветвленный алкинил;
предпочтительно, R1, R2 и R3 каждый в отдельности представляют собой C1-C10 прямоцепочечный, разветвленный или циклический алкил, C2-C10 прямоцепочечный, разветвленный или циклический алкенил или C2-C10 прямоцепочечный или разветвленный алкинил, и один или оба из R2 и R3 представляют собой Н или метил;
более предпочтительно, R1 представляет собой C1-C10 прямоцепочечный, разветвленный или циклический алкил, а один или оба из R2 и R3 представляют собой Н или метил;
наиболее предпочтительно, R1 представляет собой C1-C10 прямоцепочечный, разветвленный или циклический алкил, а оба из R2 и R3 представляют собой H.
[0054] В вариантах осуществления изобретения алифатический карбоксамид в соответствии с описанными здесь разными вариантами осуществления представляет собой соединение формулы (I):
где R1, R2 и R3 независимо представляют собой H, незамещенный C1-C10 прямоцепочечный, разветвленный или циклический алкил, незамещенный C2-C10 прямоцепочечный, разветвленный или циклический алкенил или незамещенный C2-C10 прямоцепочечный или разветвленный алкинил;
предпочтительно, R1, R2 и R3 каждый в отдельности представляют собой C1-C10 прямоцепочечный, разветвленный или циклический алкил, C2-C10 прямоцепочечный, разветвленный или циклический алкенил или C2-C10 прямоцепочечный или разветвленный алкинил, и один или оба из R2 и R3 представляют собой Н или метил;
более предпочтительно, R1 представляет собой C1-C10 прямоцепочечный, разветвленный или циклический алкил, а один или оба из R2 и R3 представляют собой Н или метил;
наиболее предпочтительно, R1 представляет собой C1-C10 прямоцепочечный, разветвленный или циклический алкил, а оба из R2 и R3 представляют собой H.
[0055] В вариантах осуществления изобретения алифатический карбоксамид в соответствии с описанными здесь разными вариантами осуществления представляет собой соединение формулы (II):
где «a» является целым числом, выбранным из 1-8, и R4 представляет собой H, незамещенный C1-C10 прямоцепочечный, разветвленный или циклический алкил, незамещенный C2-C10 прямоцепочечный, разветвленный или циклический алкенил или незамещенный C2-C10 прямоцепочечный или разветвленный алкинил;
предпочтительно, «a» является целым числом, выбранным из 1-5, и R4 представляет собой Н или метил;
наиболее предпочтительно, «a» является целым числом, выбранным из 1-5, и R4 представляет собой H.
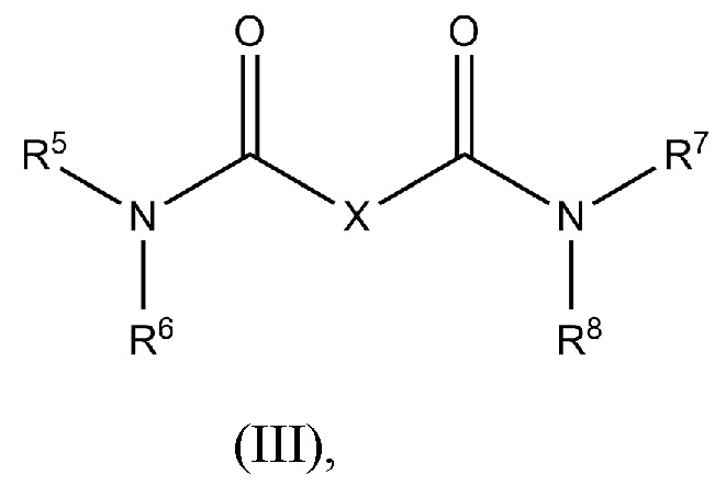
[0056] В вариантах осуществления изобретения алифатический карбоксамид в соответствии с описанными здесь разными вариантами осуществления представляет собой соединение формулы (III):
где X представляет собой незамещенный C1-C10 прямоцепочечный, разветвленный или циклический алкандиил, незамещенный C2-C10 прямоцепочечный, разветвленный или циклический алкендиил или незамещенный C2-C10 прямоцепочечный или разветвленный алкиндиил, а R5, R6, R7 и R8 независимо представляют собой H или метил;
предпочтительно, X представляет собой незамещенный C1-C10 прямоцепочечный, разветвленный или циклический алкандиил, а R5, R6, R7 и R8 независимо представляют собой H или метил;
более предпочтительно, X представляет собой незамещенный C1-C10 прямоцепочечный, разветвленный или циклический алкандиил, а R5, R6, R7 и R8 представляют собой H.
[0057] В вариантах осуществления изобретения алифатический карбоксамид представляет собой одно из следующих соединений (I)a-(I)j, (II)a-(IId) или (III)a-(III)j:
[0058] В конкретных вариантах осуществления изобретения алифатический карбоксамид не является диамидом щавелевой кислоты, амидом янтарной кислоты, ацетамидом, 2-пирролидоном и/или капролактамом, предпочтительно диамидом щавелевой кислоты, амидом янтарной кислоты, диамидом янтарной кислоты, ацетамидом, 2-пирролидоном и/или капролактамом.
[0059] В конкретных вариантах осуществления изобретения алифатический карбоксамид не является сукцинамидом, адипамидом, пропионамидом, гексанамидом, 2-пирролидоном, N-метил-2-пирролидоном, 2-пиперидоном и/или ε-капролактамом.
[0060] В особенно предпочтительных вариантах осуществления изобретения алифатический карбоксамид не является адипамидом и/или N-метил-2-пирролидоном.
[0061] В особенно предпочтительных вариантах осуществления изобретения алифатический карбоксамид не является диамидом щавелевой кислоты, амидом янтарной кислоты, ацетамидом, 2-пирролидоном, капролактамом, адипамидом, пропионамидом, гексанамидом, N-метил-2-пирролидоном и/или 2-пиперидоном.
[0062] В вариантах осуществления изобретения алифатический карбоксамид представляет собой описанное здесь соединение формулы (I), причем алифатический карбоксамид не является ацетамидом, пропионамидом и/или гексанамидом. В предпочтительных вариантах осуществления изобретения алифатический карбоксамид представляет собой описанное здесь соединение формулы (I), причем алифатический карбоксамид не является ацетамидом.
[0063] В вариантах осуществления изобретения алифатический карбоксамид представляет собой описанное здесь соединение формулы (II), причем алифатический карбоксамид не является 2-пирролидоном, N-метил-2-пирролидоном, 2-пиперидоном и/или капролактамом. В предпочтительных вариантах осуществления изобретения алифатический карбоксамид представляет собой описанное здесь соединение формулы (II), причем алифатический карбоксамид не является 2-пирролидоном, капролактамом и/или N-метил-2-пирролидоном. В более предпочтительных вариантах осуществления изобретения алифатический карбоксамид представляет собой описанное здесь соединение формулы (II), причем алифатический карбоксамид не является N-метил-2-пирролидоном.
[0064] В вариантах осуществления изобретения алифатический карбоксамид представляет собой описанное здесь соединение формулы (III), причем алифатический карбоксамид не является диамидом щавелевой кислоты, амидом янтарной кислоты и/или адипамидом. В предпочтительных вариантах осуществления изобретения алифатический карбоксамид представляет собой описанное здесь соединение формулы (III), причем алифатический карбоксамид не является адипамидом.
[0065] В вариантах осуществления изобретения алифатический карбоксамид представляет собой соединение, выбранное из группы, состоящей из (I)b, (I)c, (I)d, (I)e, (I)f, (I)g, (I)h, (I)i, (I)j, (II)a, (II)c, (III)b, (III)d, (III)e, (III)f, (III)g, (III)h, (III)i и (III)j.
[0066] В вариантах осуществления изобретения алифатический карбоксамид представляет собой соединение, выбранное из группы, состоящей из (I)b-(I)j, предпочтительно (I)b-(I)g, более предпочтительно (I)b-(I)e.
[0067] В вариантах осуществления изобретения алифатический карбоксамид представляет собой соединение, выбранное из группы, состоящей из (I)b-(I)j, предпочтительно (I)b-(I)g, более предпочтительно (I)b-(I)d.
[0068] В вариантах осуществления изобретения алифатический карбоксамид представляет собой соединение, выбранное из группы, состоящей из (II)a, (II)c и (II)e, предпочтительно (II)c и (II)e, более предпочтительно (II)c.
[0069] В вариантах осуществления изобретения алифатический карбоксамид представляет собой соединение, выбранное из группы, состоящей из (III)d-(III)j, предпочтительно (III)d-(III)g, более предпочтительно (III)b-(III)e.
[0070] В вариантах осуществления изобретения алифатический карбоксамид представляет собой соединение, выбранное из группы, состоящей из (III)d-(III)j, предпочтительно (III)e-(III)h, более предпочтительно (III)e-(III)g.
[0071] В предпочтительных вариантах осуществления изобретения алифатический карбоксамид представляет собой соединение I(c) или (II)c, предпочтительно I(c).
[0072] В вариантах осуществления изобретения алифатический карбоксамид способен сохранять удельную проводимость при 25°C на уровне менее 25 мкСм/см, предпочтительно менее 10 мкСм/см, более предпочтительно менее 5 мкСм/см, при применении в качестве единственной добавки в концентрации 2,25 ммоль алифатического карбоксамида на 100 г МЭГ в базовой жидкости, состоящей из 33 об.% МЭГ в воде, при этом удельную проводимость определяют после старения теплоносителя при 90°C в течение 14 дней.
Проводимость
[0073] В вариантах осуществления изобретения предложена описанная здесь композиция, которая имеет описанную в данном документе в другом месте удельную проводимость, измеренную в соответствии со стандартом ASTM D1125 с помощью измерителя проводимости Radiometer Copenhagen CDM210 с использованием кондуктометрической ячейки Radiometer Copenhagen CDC745-9 и датчика температуры Radiometer Copenhagen T201.
[0074] В вариантах осуществления изобретения предложена описанная здесь композиция, которая имеет удельную проводимость при 25°C после старения в течение 14 дней при 90°C, необязательно в присутствии алюминия (EN AC-AlSi10Mg(a)T6, DIN EN 1706), менее 25 мкСм/см, предпочтительно менее 10 мкСм/см, предпочтительно менее 5 мкСм/см, более предпочтительно менее 2 мкСм/см.
[0075] Не желая быть связанными какой-либо теорией, авторы настоящего изобретения полагают, что удельная проводимость состаренных образцов может быть соотнесена с количеством продуктов окисления гликоля - гликолята и формиата, присутствующих в смеси, что можно увидеть из экспериментальных результатов. Таким образом, в вариантах осуществления изобретения предложена описанная здесь композиция, в которой после старения в течение 14 дней при 90°C, необязательно в присутствии алюминия, концентрация гликолята и/или концентрация формиата составляет менее 30 миллионных долей (млн-1), предпочтительно менее 10 млн-1, при этом концентрацию гликолята и концентрацию формиата определяют с помощью ионной хроматографии.
Ингибирование коррозии
[0076] Как пояснено в данном документе, композиции в соответствии с изобретением проявляют описанные здесь характеристики проводимости, при этом не подвергая существенной коррозии алюминий. Таким образом, в вариантах осуществления изобретения предложена описанная здесь композиция, причем погруженный в композицию алюминиевый образец (EN AC-AlSi10Mg(a)T6, DIN EN 1706) проявляет потерю массы менее 20 мг, предпочтительно менее 10 мг, предпочтительно менее 2 мг при испытании в соответствии с MTV 5061 (при нагревании).
Другие добавки
[0077] Как будет понятно специалисту на основе представленных здесь сведений, композиции в соответствии с изобретением могут содержать одну или более добавок, что является традиционным в данной области техники. Обычный специалист в данной области техники способен определить, сколько может быть добавлено конкретной добавки, чтобы удельная проводимость получившейся композиции соответствовала изобретению.
[0078] В некоторых вариантах осуществления изобретения предложенная здесь композиция дополнительно содержит одну или более добавок, предпочтительно добавку, выбранную из группы, состоящей из ингибитора коррозии, жидких диэлектриков, антиоксидантов, противоизносных присадок, детергентов и пеногасителей. В предпочтительных вариантах осуществления композиция по изобретению дополнительно содержит одну или более из указанных добавок в количестве в пределах интервала 0,001-10 мас.% (от общей массы композиции), предпочтительно 0,01-5 мас.%.
[0079] В предпочтительных вариантах осуществления композиция по изобретению дополнительно содержит одну или более добавок, выбранных из группы, состоящей из тиазолов, триазолов, полиолефинов, полиалкиленоксидов, силиконовых масел, минеральных масел, силикатов, алифатических монокарбоновых кислот, алифатических дикарбоновых кислот, алифатических трикарбоновых кислот, молибдатов, нитратов, нитритов, фосфонатов и фосфатов. В предпочтительных вариантах осуществления композиция по изобретению дополнительно содержит одну или более из указанных добавок в количестве в пределах интервала 0,001-10 мас.% (от общей массы композиции), предпочтительно 0,01-5 мас.%.
[0080] Дополнительные добавки, которые представляют собой алифатические монокарбоновые кислоты, алифатические дикарбоновые кислоты, алифатические трикарбоновые кислоты и соответствующие карбоксилаты, упоминаемые здесь в разных вариантах осуществления, относятся к незамещенным алифатическим карбоновым кислотам или карбоксилатам.
[0081] В предпочтительных вариантах осуществления изобретения предложена описанная здесь композиция, причем эта композиция дополнительно содержит ингибитор коррозии, который представляет собой тиазол или триазол, предпочтительно ароматический триазол или тиазол. В предпочтительных вариантах осуществления изобретения предложена описанная здесь композиция, причем эта композиция дополнительно содержит один или более триазолов, выбранных из группы, состоящей из толилтриазола, бензотриазола или их комбинаций.
[0082] В вариантах осуществления изобретения предложена описанная здесь композиция, причем эта композиция дополнительно содержит триазол или тиазол, предпочтительно толилтриазол или бензотриазол в количестве более 0,001 мас.% (от общей массы композиции), предпочтительно более 0,01 мас.%, предпочтительно более 0,1 мас.% и/или менее 10 мас.%, предпочтительно менее 5 мас.%, предпочтительно менее 3 мас.%.
[0083] В вариантах осуществления изобретения предложена описанная здесь композиция, причем эта композиция дополнительно содержит пеногаситель. Предпочтительно, пеногаситель выбран из группы, состоящей из полиолефина, полиалкиленоксида, силиконового полимера (такого как 3D силиконовый полимер) или силиконового масла.
[0084] В вариантах осуществления изобретения предложена описанная здесь композиция, причем эта композиция дополнительно содержит пеногаситель в количестве более 0,001 мас.% (от общей массы композиции), предпочтительно более 0,005 мас.%, предпочтительно более 0,01 мас.% и/или менее 10 мас.%, предпочтительно менее 5 мас.%, предпочтительно менее 3 мас.%.
[0085] В вариантах осуществления изобретения предложена описанная здесь композиция, причем эта композиция дополнительно содержит ингибитор коррозии, выбранный из группы, состоящей из ароматических карбоксилатов, алифатических монокарбоксилатов, алифатических дикарбоксилатов, алифатических трикарбоксилатов, молибдатов и фосфатов.
[0086] В вариантах осуществления изобретения предложена описанная здесь композиция, причем эта композиция дополнительно содержит алифатический монокарбоксилат, предпочтительно алифатический монокарбоксилат, выбранный из группы, состоящей из C4-C12-алифатических монокарбоксилатов, в количестве более 50 млн-1 (по массе), предпочтительно более 100 млн-1, предпочтительно более 500 млн-1 и/или менее 5000 млн-1, предпочтительно менее 2500 млн-1, предпочтительно менее 1000 млн-1.
[0087] В вариантах осуществления изобретения предложена описанная здесь композиция, причем эта композиция дополнительно содержит алифатический дикарбоксилат, предпочтительно алифатический дикарбоксилат, выбранный из группы, состоящей из C6-C16-алифатических дикарбоксилатов, в количестве более 50 млн-1 (по массе), предпочтительно более 100 млн-1, предпочтительно более 500 млн-1 и/или менее 5000 млн-1, предпочтительно менее 2500 млн-1, предпочтительно менее 1000 млн-1.
[0088] В вариантах осуществления изобретения предложена описанная здесь композиция, причем эта композиция дополнительно содержит алифатический трикарбоксилат, предпочтительно алифатический трикарбоксилат, выбранный из группы, состоящей из C7-C18-алифатических трикарбоксилатов, в количестве более 50 млн-1 (по массе), предпочтительно более 100 млн-1, предпочтительно более 500 млн-1 и/или менее 5000 млн-1, предпочтительно менее 2500 млн-1, предпочтительно менее 1000 млн-1.
[0089] В вариантах осуществления изобретения предложена описанная здесь композиция, причем эта композиция дополнительно содержит ароматический карбоксилат, предпочтительно ароматический карбоксилат, выбранный из группы, состоящей из бензоата, бензол-1,2-дикарбоксилата, бензол-1,2,3-трикарбоксилата, бензол-1,2,4-трикарбоксилата, бензол-1,4-дикарбоксилата и их комбинаций, в количестве более 50 млн-1 (по массе), предпочтительно более 100 млн-1, предпочтительно более 500 млн-1 и/или менее 5000 млн-1, предпочтительно менее 2500 млн-1, предпочтительно менее 1000 млн-1.
[0090] В вариантах осуществления изобретения предложена описанная здесь композиция, причем эта композиция дополнительно содержит ингибитор коррозии, который представляет собой молибдат, предпочтительно неорганический молибдат, в количестве более 1 млн-1 (по массе) молибдата, предпочтительно более 10 млн-1, предпочтительно более 100 млн-1 молибдата и/или менее 10000 млн-1, предпочтительно менее 1000 млн-1, предпочтительно менее 500 млн-1.
[0091] Если молибдат используют в форме соли, количество используемого в данном документе молибдата относится к количеству молибдат-аниона (т.е. без учета массы катионного противоиона).
[0092] В вариантах осуществления изобретения предложена описанная здесь композиция, причем эта композиция дополнительно содержит ингибитор коррозии, который представляет собой фосфат, предпочтительно неорганический фосфат, в количестве более 10 млн-1 (по массе) фосфата, предпочтительно более 250 млн-1, предпочтительно более 1000 млн-1 фосфата и/или менее 10000 млн-1, предпочтительно менее 5000 млн-1, предпочтительно менее 2500 млн-1.
[0093] Если фосфат используют в форме соли, количество используемого в данном документе фосфата относится к количеству фосфат-аниона (т.е. без учета массы катионного противоиона).
[0094] В вариантах осуществления изобретения предложена описанная здесь композиция, причем эта композиция дополнительно содержит ингибитор коррозии, который представляет собой силикат, в количестве более 1 млн-1 Si (по массе), предпочтительно более 10 млн-1 Si, наиболее предпочтительно более 100 млн-1 Si и/или менее 10000 млн-1, предпочтительно менее 1000 млн-1, предпочтительно менее 500 млн-1. Указанный силикатный ингибитор коррозии предпочтительно выбран из группы, состоящей из неорганических силикатов (таких как метасиликат натрия), силикатных сложных эфиров (таких как Si(OR)4, где R представляет собой C1-C4-алкил) или наночастиц диоксида кремния (SiO2) (таких как наночастицы диоксида кремния, имеющие медианный по объему размер частиц (Dv50) в пределах интервала 10-200 нм).
[0095] В вариантах осуществления изобретения предложена описанная здесь композиция, причем эта композиция дополнительно содержит нитрат, предпочтительно неорганический нитрат, в количестве более 1 млн-1 (от общей массы композиции) нитрата, предпочтительно более 10 млн-1, предпочтительно более 100 млн-1 нитрата и/или менее 10000 млн-1, предпочтительно менее 1000 млн-1, предпочтительно менее 500 млн-1.
[0096] Если нитрат используют в форме соли, количество используемого в данном документе нитрата относится к количеству нитрат-аниона (т.е. без учета массы катионного противоиона).
[0097] В вариантах осуществления изобретения предложена описанная здесь композиция, причем эта композиция дополнительно содержит нитрит, предпочтительно неорганический нитрит, в количестве более 1 млн-1 (от общей массы композиции) нитрит, предпочтительно более 10 млн-1, предпочтительно более 100 млн-1 нитрита и/или менее 10000 млн-1, предпочтительно менее 1000 млн-1, предпочтительно менее 500 млн-1.
[0098] Если нитрит используют в форме соли, количество используемого в данном документе нитрита относится к количеству нитрит-аниона (т.е. без учета массы катионного противоиона).
[0099] В вариантах осуществления изобретения предложена описанная здесь композиция, причем эта композиция дополнительно содержит фосфонат, предпочтительно неорганический фосфонат, в количестве более 10 млн-1 (от общей массы композиции) фосфоната, предпочтительно более 250 млн-1, предпочтительно более 1000 млн-1 фосфоната и/или менее 10000 млн-1, предпочтительно менее 5000 млн-1, предпочтительно менее 2500 млн-1.
[00100] Если фосфонат используют в форме соли, количество используемого в данном документе фосфоната относится к количеству фосфонат-аниона (т.е. без учета массы катионного противоиона).
[00101] В вариантах осуществления изобретения предложена описанная здесь композиция, причем эта композиция дополнительно содержит антиоксидант. Предпочтительно, антиоксидант выбран из группы, состоящей из фенолов, таких как 2,6-ди-трет-бутилметилфенол и 4,4’-метилен-бис(2,6-ди-трет-бутилфенол); ароматических аминов, таких как п,п-диоктилфениламин, монооктилфениламин, фенотиазин, 3,7-диоктилфенотиазин, фенил-1-нафтиламин, фенил-2-нафтиламин, алкилфенил-1-нафтиламины и алкилфенил-2-нафтиламины, а также серосодержащие соединения, например, дитиофосфаты, фосфиты, сульфиды и дитио-соли металлов, такие как бензотиазол, диалкилдитиофосфаты олова и диарилдитио-фосфаты цинка.
[00102] В вариантах осуществления изобретения предложена описанная здесь композиция, причем эта композиция дополнительно содержит антиоксидант в количестве более 0,001 мас.% (от общей массы композиции), предпочтительно более 0,005 мас.%, предпочтительно более 0,01 мас.% и/или менее 10 мас.%, предпочтительно менее 5 мас.%, предпочтительно менее 3 мас.%.
[00103] В вариантах осуществления изобретения предложена описанная здесь композиция, причем эта композиция дополнительно содержит противоизносную присадку. Предпочтительно, противоизносная присадка выбрана из группы, состоящей из сложных эфиров фосфата, фосфитов, тиофосфитов, например, диалкилдитиофосфатов цинка, диарилдитиофосфатов цинка, трикрезилфосфатов, хлорированных восков, сульфированных жиров и олефинов, таких как сложные эфиры дитиопропионовой кислоты, диалкилсульфиды, диалкилполисульфиды, алкилмеркаптаны, дибензотиофены и 2,2’-дитиобис(бензотиазол); органических соединений свинца, жирных кислот, галоген-замещенных кремнийорганических соединений и галоген-замещенных соединений фосфора.
[00104] В вариантах осуществления изобретения предложена описанная здесь композиция, причем эта композиция содержит противоизносную присадку в количестве более 0,001 мас.% (от общей массы композиции), предпочтительно более 0,005 мас.%, предпочтительно более 0,01 мас.% и/или менее 10 мас.%, предпочтительно менее 5 мас.%, предпочтительно менее 3 мас.%.
[00105] В вариантах осуществления изобретения предложена описанная здесь композиция, причем эта композиция дополнительно содержит поверхностно-активное вещество. Предпочтительно, поверхностно-активное вещество (ПАВ) выбрано из группы, состоящей из анионных ПАВ, таких как анионные ПАВ, являющиеся солями соединения, представленного как R-X, где X представляет собой сульфатную группу, фосфатную группу, сульфонатную группу или карбоксилатную группу, предпочтительно сульфатную группу; и где R выбран из:
- разветвленных или прямоцепочечных C5-C24-алкильных групп;
- разветвленных или прямоцепочечных мононенасыщенных C5-C24-алкенильных групп;
- разветвленных или прямоцепочечных полиненасыщенных C5-C24-алкенильных групп;
- алкилбензольных групп, содержащих C8-C15-алкил;
- алкенилбензольных групп, содержащих C8-C15-алкенил;
- алкилнафталиновых групп, содержащих C3-C15-алкил;
- алкенилнафталиновых групп, содержащих C3-C15-алкенил;
- алкилфенольных групп, содержащих C8-C15-алкил; и
- алкенилфенольных групп, содержащих C8-C15-алкенил.
[00106] В вариантах осуществления изобретения предложена описанная здесь композиция, причем эта композиция содержит указанное поверхностно-активное вещество в количестве более 0,001 мас.% (от общей массы композиции), предпочтительно более 0,005 мас.%, предпочтительно более 0,01 мас.% и/или менее 10 мас.%, предпочтительно менее 5 мас.%, предпочтительно менее 3 мас.%.
[00107] В некоторых вариантах осуществления изобретения предложена описанная здесь композиция, причем эта композиция дополнительно содержит жидкий диэлектрик. Предпочтительными жидкими диэлектриками являются минеральные масла, силиконовые масла и их смеси.
[00108] В некоторых вариантах осуществления изобретения предложенная здесь композиция содержит менее 10 мас.% (от общей массы композиции) жидкого диэлектрика, предпочтительно менее 5 мас.%, предпочтительно менее 1 мас.%.
[00109] В некоторых вариантах осуществления изобретения предложенная здесь композиция содержит более 0,0001 мас.% (от общей массы композиции) жидкого диэлектрика, предпочтительно более 0,001 мас.%, предпочтительно более 0,01 мас.% и/или менее 10 мас.%, предпочтительно менее 5 мас.%, предпочтительно менее 3 мас.%.
[00110] В некоторых вариантах осуществления изобретения предложенная здесь композиция содержит 0,0001-10 мас.% (от общей массы композиции) жидкого диэлектрика, предпочтительно 0,001-5 мас.%, предпочтительно 0,01-1 мас.%.
Разное
[00111] В конкретных вариантах осуществления изобретения предложены описанные здесь композиции, в которых совокупная концентрация диамида щавелевой кислоты, амида янтарной кислоты, ацетамида, 2-пирролидона и капролактама, предпочтительно совокупная концентрация диамида щавелевой кислоты, амида янтарной кислоты, диамида янтарной кислоты, ацетамида, 2-пирролидона и капролактама составляет менее 1 мас.% (от общей массы композиции), предпочтительно менее 0,1 мас.%, предпочтительно менее 0,01 мас.%, наиболее предпочтительно примерно 0 мас.%.
[00112] В конкретных вариантах осуществления изобретения предложены описанные здесь композиции, в которых совокупная концентрация сукцинамида, адипамида, пропионамида, гексанамида, 2-пирролидона, N-метил-2-пирролидона, 2-пиперидона и ε-капролактама составляет менее 1 мас.% (от общей массы композиции), предпочтительно менее 0,1 мас.%, предпочтительно менее 0,01 мас.%, наиболее предпочтительно примерно 0 мас.%.
[00113] В конкретных вариантах осуществления изобретения предложены описанные здесь композиции, в которых совокупная концентрация диамида щавелевой кислоты, амида янтарной кислоты, ацетамида, 2-пирролидона, сукцинамида, адипамида, пропионамида, гексанамида, капролактама, N-метил-2-пирролидона и 2-пиперидона составляет менее 1 мас.% (от общей массы композиции), предпочтительно менее 0,1 мас.%, предпочтительно менее 0,01 мас.%, наиболее предпочтительно примерно 0 мас.%.
[00114] В особенно предпочтительных вариантах осуществления изобретения предложены описанные здесь композиции, в которых совокупная концентрация адипамида или N-метил-2-пирролидона составляет менее 1 мас.% (от общей массы композиции), предпочтительно менее 0,1 мас.%, предпочтительно менее 0,01 мас.%, наиболее предпочтительно примерно 0 мас.%.
Композиция в качестве теплоносителя
[00115] В особо предпочтительных вариантах осуществления композиция, предпочтительно описанная здесь готовая к применению композиция, является теплоносителем, предпочтительно теплоносителем, подходящим для применения в использующей солнечную энергию системе, топливном элементе, электродвигателе, генераторе, аккумуляторе, электромобиле на аккумуляторных источниках питания, силовой электронике или электронном оборудовании, наиболее предпочтительно теплоносителем, подходящим для применения в топливном элементе или силовой электронике.
[00116] Как будет понятно специалисту, в зависимости (например) от назначения, композиции в соответствии с изобретением могут быть приготовлены и применены в разных концентрациях. Следовательно, изобретение конкретно не ограничено концентрацией алифатического карбоксамида или других добавок, описанных здесь. Таким образом, в зависимости от предполагаемого применения описанные здесь композиции могут быть подходящими для применения как есть или перед применением могут требовать разбавления базовой жидкостью. Однако авторы настоящего изобретения установили, что особенно выгодно предложить композиции по изобретению в форме готовой к применению композиции, которая может быть подходящей для применения в качестве охлаждающей жидкости топливного элемента, или в форме концентрата, который подходит для приготовления указанной готовой к применению композиции.
Готовая к применению
[00117] В особо предпочтительном варианте осуществления изобретения описанная здесь композиция предложена в форме готовой к применению композиции, причем:
- концентрация упомянутого по меньшей мере одного алифатического карбоксамида находится в пределах интервала 0,001-10 мас.% (от общей массы композиции), предпочтительно в пределах интервала 0,01-5 мас.%, более предпочтительно в пределах интервала 0,1-5 мас.%; и
- композиция содержит более 90 мас.% (от общей массы композиции), предпочтительно более 95 мас.%, предпочтительно более 98 мас.%, предпочтительно более 99 мас.% базовой жидкости.
[00118] В вариантах осуществления изобретения предложенная здесь готовая к применению композиция содержит по меньшей мере один алифатический карбоксамид в концентрации более 0,002 мас.% (от общей массы композиции), более 0,005 мас.%, более 0,01 мас.% или более 0,05 мас.%.
[00119] В вариантах осуществления изобретения предложенная здесь готовая к применению композиция содержит упомянутый по меньшей мере один алифатический карбоксамид в концентрации менее 8 мас.% (от общей массы композиции), менее 5 мас.%, менее 1 мас.%, менее 0,6 мас.% или менее 0,5 мас.%.
[00120] Как будет понятно специалисту, в том случае, когда композиция содержит более одного описанного здесь алифатического карбоксамида, концентрации, указанные для упомянутого «по меньшей мере одного алифатического карбоксамида», относятся к совокупной концентрации всех присутствующих алифатических карбоксамидов.
[00121] В предпочтительных вариантах осуществления предложена описанная здесь готовая к применению композиция, в которой базовая жидкость состоит из воды и спирта, выбранного из группы, состоящей из моноэтиленгликоля, диэтиленгликоля, триэтиленгликоля, тетраэтиленгликоля, пентаэтиленгликоля, гексаэтиленгликоля, монопропиленгликоля, 1,3-пропандиола, дипропиленгликоля, трипропиленгликоля, тетрапропиленгликоля, пентапропиленгликоля, гексапропиленгликоля, метанола, этанола, пропанола, бутанола, тетрагидрофурфурила, этоксилированного фурфурила, диметилового простого эфира глицерина, сорбитола, 1,2,6-гексантриола, триметилолпропана, метоксиэтанола и глицерина, предпочтительно, выбранного из группы, состоящей из моноэтиленгликоля, монопропиленгликоля, 1,3-пропандиола, глицерина или их смесей; и при этом количество спирта находится в интервале 10-80 мас.% (от общей массы композиции), предпочтительно 30-70 мас.%. В конкретных вариантах осуществления количество спирт находится в интервале 10-45 мас.% (от общей массы композиции).
[00122] В особо предпочтительных вариантах осуществления готовая к применению композиция имеет удельную проводимость при 25°C менее 25 мкСм/см, предпочтительно менее 10 мкСм/см, более предпочтительно менее 5 мкСм/см, при этом удельная проводимость определена после старения теплоносителя при 90°C в течение 14 дней.
Концентрат
[00123] В предпочтительном варианте осуществления изобретения предложена описанная здесь композиция в форме концентрата, подходящего для приготовления описанной здесь готовой к применению композиции.
[00124] В предпочтительных вариантах осуществления концентрат подходит для приготовления описанной здесь готовой к применению композиции добавлением воды и/или спирта; предпочтительно добавлением воды, моноэтиленгликоля, монопропиленгликоля, 1,3-пропандиола и/или глицерина; наиболее предпочтительно добавлением воды. В особо предпочтительных вариантах осуществления концентрат подходит для приготовления готовой к применению композиции добавлением только воды и/или спирта; предпочтительно добавлением только воды, моноэтиленгликоля, монопропиленгликоля, 1,3-пропандиола и/или глицерина; наиболее предпочтительно добавлением только воды (т.е. нет необходимости добавлять никакие другие ингредиенты для приготовления описанной здесь готовой к применению композиции из концентрата).
[00125] В вариантах осуществления предложен концентрат, причем концентрация алифатического карбоксамида составляет более 0,1 мас.% (от общей массы композиции), предпочтительно более 0,5 мас.%, более предпочтительно более 1 мас.%.
[00126] В предпочтительных вариантах осуществления предложен концентрат, причем концентрация алифатического карбоксамида находится в пределах интервала 0,1-0,5 мас.% (от общей массы композиции).
[00127] В предпочтительных вариантах осуществления предложен концентрат, причем концентрация алифатического карбоксамида находится в пределах интервала 0,5-50 мас.% (от общей массы композиции), предпочтительно 10-50 мас.%.
[00128] В предпочтительных вариантах осуществления концентрат содержит описанную здесь базовую жидкость и описанный здесь алифатический карбоксамид, причем концентрация алифатического карбоксамида составляет более 0,1 мас.% (от общей массы композиции), предпочтительно более 1 мас.%, и причем более 80 мас.%, предпочтительно более 85 мас.%; предпочтительно более 90 мас.% концентрата составляет спирт, предпочтительно спирт, выбранный из группы, состоящей из моноэтиленгликоля, монопропиленгликоля, 1,3-пропандиола и глицерина, наиболее предпочтительно моноэтиленгликоля.
[00129] В предпочтительных вариантах осуществления концентрат содержит описанную здесь базовую жидкость и описанный здесь алифатический карбоксамид, причем концентрация алифатического карбоксамида составляет более 0,1 мас.% (от общей массы композиции), предпочтительно более 1 мас.%, и причем более 80 мас.%, предпочтительно более 85 мас.%, предпочтительно более 90 мас.% концентрата составляет вода.
Способы приготовления
[00130] В другом аспекте изобретения предложен способ приготовления описанной здесь композиции, включающий стадии:
(i) обеспечение описанной здесь базовой жидкости;
(ii) обеспечение описанного здесь алифатического карбоксамида;
(iii) необязательно, обеспечение описанных здесь дополнительных добавок; и
(iv) объединение базовой жидкости стадии (i) с алифатическим карбоксамидом стадии (ii) и необязательными дополнительными добавками стадии (iii) с получением композиции.
[00131] В соответствии с изобретением порядок добавления соединений конкретно не ограничен.
[00132] В другом аспекте изобретения предложен способ приготовления описанной здесь готовой к применению композиции, включающий стадии:
(i) обеспечение описанного здесь концентрата;
(ii) обеспечение воды, спирта или их смеси;
(iii) необязательно, обеспечение описанных здесь дополнительных добавок; и
(iv) объединение концентрата стадии (i) с водой, спиртом или их смесью стадии (ii) и необязательными дополнительными добавками стадии (iv) с получением готовой к применению композиции.
[00133] В предпочтительных вариантах осуществления предложен способ приготовления описанной здесь готовой к применению композиции, включающий следующие стадии:
(i) обеспечение описанного здесь концентрата;
(ii) обеспечение воды, спирта или их смеси;
(iii) объединение концентрата стадии (i) с водой, спиртом или их смесью стадии (ii) с получением готовой к применению композиции.
[00134] В соответствии с изобретением спирт стадии (ii) выбирают из группы, состоящей из моноэтиленгликоля, диэтиленгликоля, триэтиленгликоля, тетраэтиленгликоля, пентаэтиленгликоля, гексаэтиленгликоля, монопропиленгликоля, 1,3-пропандиола, дипропиленгликоля, трипропиленгликоля, тетрапропиленгликоля, пентапропиленгликоля, гексапропиленгликоля, метанола, этанола, пропанола, бутанола, тетрагидрофурфурила, этоксилированного фурфурила, диметилового простого эфира глицерина, сорбитола, 1,2,6-гексантриола, триметилолпропана, метоксиэтанола и глицерина, предпочтительно выбирают из группы, состоящей из моноэтиленгликоля, монопропиленгликоля, 1,3-пропандиола, глицерина или их смесей; предпочтительно из группы, состоящей из моноэтиленгликоля, монопропиленгликоля, 1,3-пропандиола и их комбинаций.
[00135] В предпочтительных вариантах осуществления стадия (ii) включают обеспечение более 50 мас.% (от массы концентрата) воды, спирта или их смеси, предпочтительно более 100 мас.%, более 150 мас.%, более 200 мас.% или более 500 мас.% воды, спирта или их смеси.
Другое
[00136] В вариантах осуществления изобретения предложена композиция, предпочтительно описанная здесь готовая к применению композиция, причем композиция имеет pH между 3 и 8, более предпочтительно между 3,5 и 7.
[00137] В вариантах осуществления изобретения предложена композиция, предпочтительно описанная здесь готовая к применению композиция, причем массовое отношение алифатического карбоксамида к спирту, содержащемуся в базовой жидкости, составляет менее 0,05, предпочтительно менее 0,02, более предпочтительно менее 0,01, наиболее предпочтительно менее 0,007.
Применения/способы
[00138] В другом аспекте изобретения предложена электрическая система, предпочтительно электрическая система, выбранная из группы, состоящей из использующей солнечную энергию системы, топливного элемента, электродвигателя, генератора, аккумулятора, станции телефонной связи, станции радио- и телевизионного вещания, радиорелейной станции, электрического нагревательного или охлаждающего устройства, предпочтительно топливного элемента, причем электрическая система дополнительно содержит композицию, предпочтительно описанную здесь готовую к применению композицию.
[00139] В другом аспекте изобретение предлагает применение описанного здесь алифатического карбоксамида:
- для ингибирования образования ионов гликолята или формиата в охлаждающей жидкости на основе гликоля, предпочтительно в охлаждающей жидкости на основе моноэтиленгликоля;
- для сохранения низкой удельной проводимости в охлаждающей жидкости на основе гликоля;
- в качестве добавки или ингибитора теплоносителя с низкой удельной проводимостью;
- в качестве добавки или ингибитора теплоносителя с низкой удельной проводимостью в более низкой дозе, чем ароматические амиды; или
- в качестве добавки или ингибитора теплоносителя с низкой удельной проводимостью с улучшенными характеристиками по сравнению с ароматическими амидами.
[00140] В другом аспекте изобретения предложено применение композиции, предпочтительно описанной здесь готовой к применению композиции, в качестве теплоносителя или охлаждающей жидкости, предпочтительно в качестве теплоносителя или охлаждающей жидкости в электрической системе, более предпочтительно в качестве теплоносителя или охлаждающей жидкости в электрической системе, выбранной из группы, состоящей из использующей солнечную энергию системы, топливного элемента, электродвигателя, генератора, аккумулятора, станции телефонной связи, силовой электроники, станции радио- и телевизионного вещания, радиорелейной станции, электрического нагревательного или охлаждающего устройства, предпочтительно топливного элемента или силовой электроники.
[00141] В другом аспекте изобретения предложен способ теплообмена, включающий:
a. генерирование тепла в электрической системе, предпочтительно электрической системе, выбранной из группы, состоящей из использующей солнечную энергию системы, топливного элемента, электродвигателя, генератора, аккумулятора, станции телефонной связи, силовой электроники, станции радио- и телевизионного вещания, радиорелейной станции, электрического нагревательного или охлаждающего устройства, предпочтительно топливного элемента или силовой электроники;
b. контактирование описанной здесь композиции, предпочтительно описанной здесь готовой к применению композиции, с системой стадии a;
c. передачу тепла от системы к композиции;
d. прохождение композиции через теплообменник; и
e. передачу тепла от композиции вовне.
Примеры
[00142] Удивительное поведение композиций в соответствии с изобретением, а особенно удельной проводимости при старении, даже в присутствии металла, продемонстрировали путем погружения алюминиевого образца в композиции с разными заявляемыми или сравнительными соединениями и состаривания композиции в течение 14 дней при 90°C.
[00143] Приготовили двенадцать композиций (примеры 1-12) путем добавления 2,25 ммоль амидного ингибитора на 100 г моноэтиленгликоля. Эти концентраты охлаждающей жидкости последовательно разбавляли ультрачистой водой (UPW) с получением композиции, состоявшей из 33 об.% концентрата моноэтиленгликоля в воде. Ингибиторы, используемые в разных примерах, подробно представлены в таблицах 1 и 2. Примеры 1-8 являются сравнительными примерами, тогда как примеры 9-14 детализируют композиции в соответствии с настоящим изобретением. Величины pH и удельной электрической проводимости (эПровод) были измерены перед старением и приведены в таблицах 1 и 2. Затем стеклянные бутылки объемом 100 мл промывали ультрачистой водой (UPW) и сушили в течение ночи при 90°C. Алюминиевые образцы (EN AC-AlSi10Mg(a)T6, DIN EN 1706) полировали с использованием наждачной бумаги P240, промывали UPW и ацетоном, сушили 1 час при 100°C и взвешивали. Образцы вводили в бутылки и заполняли 100 мл композиции примеров 1-14 (в двух экземплярах), а бутылки помещали в печь с 90°C. Через 14 дней бутылки извлекали из печи и измеряли удельную электрическую проводимость и pH состаренных композиций. Концентрацию гликолята и формиата в состаренных композициях определяли с помощью ионной хроматографии. Все образцы аккуратно очищали водой и мягкой волосяной щеткой, сушили и взвешивали (образец AT). И, наконец, все образцы очищали химически, поместив их в смесь HNO3:UPW 4:1 на 10 мин. Образцы далее очищали водой и мягкой волосяной щеткой, сушили при 100°C в течение 1 часа и взвешивали (образец CC).
[00144] Таблица 1: Сравнительные примеры 1-8







1 – отрицательный знак указывает на увеличение массы.
[00145] Таблица 2: Примеры 9-14






1 – отрицательный знак указывает на увеличение массы.
[00146] Как можно видеть из приведенных выше результатов, в то время как большинство примеров 1-8 проявляют сравнительно низкие значения удельной проводимости в не повергавшихся старению образцах, низкая удельная проводимость и содержание кислоты из-за разрушения гликоля у композиций с использованием алифатических карбоксамидов (примеры 9-14) удивительно и неожиданно не подверглись существенному влиянию при старении.
Изобретение относится к композиции для применения в качестве теплоносителя. Композиция содержит базовую жидкость и по меньшей мере один алифатический карбоксамид, имеющий молекулярную массу менее 500 г/моль. При этом базовая жидкость состоит из воды и спирта, выбранного из группы, состоящей из моноэтиленгликоля, диэтиленгликоля, триэтиленгликоля, тетраэтиленгликоля, пентаэтиленгликоля, гексаэтиленгликоля, монопропиленгликоля, 1,3-пропандиола, дипропиленгликоля, трипропиленгликоля, тетрапропиленгликоля, пентапропиленгликоля, гексапропиленгликоля, метанола, этанола, пропанола, бутанола, тетрагидрофурфурила, этоксилированного фурфурила, диметилового простого эфира глицерина, сорбитола, 1,2,6-гексантриола, триметилолпропана, метоксиэтанола и глицерина; при этом спирт присутствует в количестве в интервале 10-99 мас.% от массы базовой жидкости, причем алифатический карбоксамид не является адипамидом и/или N-метил-2-пирролидоном. Также изобретение относится к применению композиции в качестве теплоносителя. Композиция сохраняет низкую удельную проводимость при старении при повышенных температурах. 2 н. и 18 з.п. ф-лы, 14 пр., 2 табл.
1. Композиция для применения в качестве теплоносителя, содержащая базовую жидкость и по меньшей мере один алифатический карбоксамид, имеющий молекулярную массу менее 500 г/моль; причем базовая жидкость состоит из воды и спирта, выбранного из группы, состоящей из моноэтиленгликоля, диэтиленгликоля, триэтиленгликоля, тетраэтиленгликоля, пентаэтиленгликоля, гексаэтиленгликоля, монопропиленгликоля, 1,3-пропандиола, дипропиленгликоля, трипропиленгликоля, тетрапропиленгликоля, пентапропиленгликоля, гексапропиленгликоля, метанола, этанола, пропанола, бутанола, тетрагидрофурфурила, этоксилированного фурфурила, диметилового простого эфира глицерина, сорбитола, 1,2,6-гексантриола, триметилолпропана, метоксиэтанола и глицерина; при этом спирт присутствует в количестве в интервале 10-99 мас.% от массы базовой жидкости, причем алифатический карбоксамид не является адипамидом и/или N-метил-2-пирролидоном.
2. Композиция по п. 1, при этом спирт присутствует в количестве в интервале 30-70 мас.% от массы базовой жидкости.
3. Композиция по п. 1 или 2, при этом композиция дополнительно содержит одну или более добавок, выбранных из группы, состоящей из тиазолов, триазолов, полиолефинов, полиалкиленоксидов, силиконовых масел, минеральных масел, силикатов, алифатических монокарбоновых кислот, алифатических дикарбоновых кислот, алифатических трикарбоновых кислот, молибдатов, нитратов, нитритов, фосфонатов и фосфатов.
4. Композиция по п. 3, при этом композиция содержит один или более из следующих:
- алифатический монокарбоксилат, предпочтительно алифатический монокарбоксилат, выбранный из группы, состоящей из C4-C12-алифатических монокарбоксилатов;
- алифатический дикарбоксилат, предпочтительно алифатический дикарбоксилат, выбранный из группы, состоящей из C6-C16-алифатических дикарбоксилатов; или
- алифатический трикарбоксилат, предпочтительно алифатический трикарбоксилат, выбранный из группы, состоящей из C7-C18-алифатических трикарбоксилатов.
5. Композиция по любому из пп. 1-4, при этом алифатический карбоксамид содержит от 2 до 16 атомов углерода, предпочтительно алифатический карбоксамид содержит от 2 до 10 атомов углерода, более предпочтительно алифатический карбоксамид содержит от 4 до 6 атомов углерода; алифатический карбоксамид содержит одну или две карбоксамидные группы; карбоксамидные группы являются первичными или вторичными карбоксамидными группами; и алифатический карбоксамид не содержит никаких гетероатомов кроме гетероатомов, входящих в карбоксамидные группы.
6. Композиция по любому из пп. 1-4, при этом алифатический карбоксамид является соединением формулы (I):
где R1, R2 и R3 независимо представляют собой H, незамещенный C1-C10 прямоцепочечный, разветвленный или циклический алкил, незамещенный C2-C10 прямоцепочечный, разветвленный или циклический алкенил или незамещенный C2-C10 прямоцепочечный или разветвленный алкинил;
предпочтительно, R1, R2 и R3 каждый в отдельности представляют собой C1-C10 прямоцепочечный, разветвленный или циклический алкил, C2-C10 прямоцепочечный, разветвленный или циклический алкенил или C2-C10 прямоцепочечный или разветвленный алкинил, и один или оба из R2 и R3 представляют собой Н или метил;
более предпочтительно, R1 представляет собой C1-C10 прямоцепочечный, разветвленный или циклический алкил, а один или оба из R2 и R3 представляют собой Н или метил;
наиболее предпочтительно, R1 представляет собой C1-C10 прямоцепочечный, разветвленный или циклический алкил, а оба из R2 и R3 представляют собой H;
или при этом алифатический карбоксамид является соединением формулы (II):
где «a» является целым числом, выбранным из 1-8, и R4 представляет собой H, незамещенный C1-C10 прямоцепочечный, разветвленный или циклический алкил, незамещенный C2-C10 прямоцепочечный, разветвленный или циклический алкенил или незамещенный C2-C10 прямоцепочечный или разветвленный алкинил;
предпочтительно, «a» является целым числом, выбранным из 1-5, и R4 представляет собой Н или метил;
наиболее предпочтительно, «a» является целым числом, выбранным из 1-5, и R4 представляет собой H;
или при этом алифатический карбоксамид является соединением формулы (III):
где X представляет собой незамещенный C1-C10 прямоцепочечный, разветвленный или циклический алкандиил, незамещенный C2-C10 прямоцепочечный, разветвленный или циклический алкендиил или незамещенный C2-C10 прямоцепочечный или разветвленный алкиндиил, а R5, R6, R7 и R8 независимо представляют собой H или метил;
предпочтительно, X представляет собой незамещенный C1-C10 прямоцепочечный, разветвленный или циклический алкандиил, а R5, R6, R7 и R8 независимо представляют собой H или метил;
более предпочтительно, X представляет собой незамещенный C1-C10 прямоцепочечный, разветвленный или циклический алкандиил, а R5, R6, R7 и R8 представляют собой H,
причем алифатический карбоксамид не является адипамидом и/или N-метил-2-пирролидоном.
7. Композиция по п. 6, при этом алифатический карбоксамид является одним из следующих соединений (I)a-(I)j, (II)a-(II)d или (III)a-(III)j:
8. Композиция по п. 7, при этом алифатический карбоксамид является соединением, выбранным из группы, состоящей из (I)b-(I)j, предпочтительно (I)b-(I)g, более предпочтительно (I)b-(I)d.
9. Композиция по п. 7, при этом алифатический карбоксамид является соединением, выбранным из группы, состоящей из (II)a, (II)c и (II)e, предпочтительно (II)c и (II)e, более предпочтительно (II)c.
10. Композиция по п. 7, при этом алифатический карбоксамид является соединением, выбранным из группы, состоящей из (III)d-(III)j, предпочтительно (III)f-(III)h, более предпочтительно (III)f-(III)g, причем алифатический карбоксамид не является адипамидом.
11. Композиция по любому из пп. 1-10, при этом спирт выбран из группы, состоящей из моноэтиленгликоля, монопропиленгликоля, 1,3-пропандиола, глицерина или их смесей.
12. Композиция по любому из пп. 1-11, при этом алифатический карбоксамид не является диамидом щавелевой кислоты, амидом янтарной кислоты, ацетамидом, 2-пирролидоном или капролактамом, предпочтительно алифатический карбоксамид не является диамидом щавелевой кислоты, амидом янтарной кислоты, диамидом янтарной кислоты, ацетамидом, 2-пирролидоном или капролактамом.
13. Композиция по любому из пп. 1-12, при этом композиция имеет удельную проводимость при 25°C после старения в течение 14 дней при 90°C, необязательно в присутствии алюминия (EN AC-AlSi10Mg(a)T6, DIN EN 1706), менее 25 мкСм/см, предпочтительно менее 10 мкСм/см, предпочтительно менее 5 мкСм/см, более предпочтительно менее 2 мкСм/см.
14. Композиция по любому из пп. 1-13, которая представлена в форме готовой к применению композиции, которая является теплоносителем, причем:
- концентрация упомянутого по меньшей мере одного алифатического карбоксамида составляет в пределах интервала 0,001-10 мас.% от общей массы композиции, предпочтительно в пределах интервала 0,01-5 мас.%, более предпочтительно в пределах интервала 0,1-5 мас.%; и
- композиция содержит более 90 мас.% от общей массы композиции, предпочтительно более 95 мас.%, предпочтительно более 98 мас.%, предпочтительно более 99 мас.% базовой жидкости.
15. Композиция по п. 14, при этом концентрация алифатического карбоксамида составляет менее 0,6 мас.% или менее 0,5 мас.%.
16. Композиция по п. 14 или 15, имеющая pH между 3 и 8, более предпочтительно между 3,5 и 7.
17. Композиция по п. 14, при этом
- базовая жидкость состоит из воды и спирта, выбранного из группы, состоящей из моноэтиленгликоля, монопропиленгликоля, 1,3-пропандиола, глицерина или их смесей, причем спирт присутствует в количестве в интервале 30-70 мас.% от массы базовой жидкости;
- алифатический карбоксамид является соединением, выбранным из группы, состоящей из (I)b, (I)c, (I)d, (I)e, (I)f, (I)g, (I)h, (I)i, (I)j, (II)a, (II)c, (III)b, (III)d, (III)f, (III)g, (III)h, (III)i и (III)j;
- композиция имеет pH между 3 и 8;
- композиция содержит C4-C12-алифатический монокарбоксилат, C6-C16-алифатический дикарбоксилат или C7-C18-алифатический трикарбоксилат.
18. Композиция по любому из пп. 1-13, которая представлена в форме концентрата, подходящего для приготовления готовой к применению композиции по любому из пп. 14-17 добавлением только воды и/или спирта; предпочтительно добавлением только воды, моноэтиленгликоля, монопропиленгликоля, 1,3-пропандиола и/или глицерина; наиболее предпочтительно добавлением только воды.
19. Применение композиции по любому из пп. 1-17 в качестве теплоносителя или охлаждающей жидкости.
20. Применение по п. 19, причем композиция является готовой к применению композицией по любому из пп. 14-17.
| Способ обработки целлюлозных материалов, с целью тонкого измельчения или переведения в коллоидальный раствор | 1923 |
|
SU2005A1 |
| Способ и приспособление для нагревания хлебопекарных камер | 1923 |
|
SU2003A1 |
| ОХЛАЖДАЮЩИЕ КОМПОЗИЦИИ | 2012 |
|
RU2604232C2 |
Авторы
Даты
2025-06-03—Публикация
2021-02-10—Подача