АРИЛАЛКИЛАМИНОВЫЕ СОЕДИНЕНИЯ ДЛЯ ПРИМЕНЕНИЯ ДЛЯ ПРОФИЛАКТИКИ ИЛИ ЛЕЧЕНИЯ РАКА Российский патент 2020 года по МПК A61K31/137 A61K31/33 A61K31/343 A61P43/00 A61P35/00 A61P35/02 

Описание патента на изобретение RU2731102C2

Область техники

Изобретение относится к области профилактики и лечения рака, в частности к подавлению (супресии, англ. suppression) проявления опухоли. Изобретение также относится к соединениям, применяемым в этой области техники. Изобретение также относится к фармацевтическим препаратам, в частности, медикаментам, применяемым при профилактике и лечении рака, в частности, для подавления проявления опухоли, а также к способам осуществления такой профилактики и лечения.

Предшествующий уровень техники

В настоящее время механизмы подавления опухолей являются объектом интенсивных исследований. Значительное внимание уделяется применению генов-супрессоров опухоли (то есть генов-супрессоров опухолевого роста) или антионкогенов, которые могут защищать клетку от единственного шага, отделяющего ее от развития рака. Утрата таких генов может играть даже более важную роль при образовании различных типов раковых клеток человека, чем активация протоонкогена или онкогенов (Weinberg, Robert А. 2014). Проводились испытания ряда различных терапевтических воздействий. Например, с 1997 года применяют иммунотерапию, которая стимулирует иммунную систему или помогает иммунной системе бороться с раком, и эта область до сих пор является объектом активных исследований (Waldman Т.А. 2003). Однако, результат лечения, нацеленного на подавление проявления опухоли, чрезвычайно спорен. Уже в течение длительного времени признают, что некоторые соединения усиливают катехоламинергическую или серотонинергическую активность в мозге, которая может быть не связана с ингибированием МАО-В (моноаминоксидазы-В, от англ. monoamine oxidase В) (Knoll, Miklya, 1994).

Для такого усилительного регулирования (регулирования с помощью веществ-усилителей, англ. enhancer regulation) необходимо существование в мозге чувствительных к действию усилителя нейронов, способных действовать в течение доли секунды и со значительно более высоким уровнем активности. Было обнаружено, что эндогенный усилитель фенилэтиламин (англ. phenylethylamine, сокращенно PEA) усиливает опосредуемое проведением импульса высвобождение моноаминергических веществ, включающих следующие катехоламины: дофамин (англ. Dihydroxyphenylalanine, сокращенно DOPA), норадреналин и серотонин [см.: Knoll J. (2001) CNS Drug Rev. 7:317-345 и Knoll J. (2003) Neurochem. Res. 28:1187-1209]. Вещества-усилители могут иметь свои собственные рецепторы на специфичных чувствительных к действию усилителя нейронах, которые способствуют высвобождению нейромедиаторов (также называемых нейротрансмиттерами, от англ. neurotransmitter) в зависимости от активности генерации электрических импульсов нейронами.

Усилительное регулирование также играет важную роль в развитии вторичных потребностей, которые являются важными определяющими аспектами нашей жизнедеятельности и равновесия. Усилительное регулирование кортикальных нейронов необходимо для проявления вторичных потребностей и достижения наших целей. Усилительное регулирование влияет на нашу способность к обучению и регулирует наше восприятие через сенсорные нейроны. Оптимальная активность кортикальных нейронов и нейронов ствола головного мозга зависит от способности соответствующих эндогенных веществ-усилителей поддерживать их в активном и сбалансированном состоянии. Поддержание правильной и высокой активности усилителей по мере старения организма необходимо для обеспечения долгой, плодотворной, активной и здоровой жизни [см.: Knoll J. (2003) Neurochem. Res. 28:1187-1209].

Соединения-усилители в некотором роде представляют собой "нейроусилители". Они усиливают электронное взаимодействие в контакте синаптической щели связанных областей клеток, обеспечивая большую интенсивность сигнала импульсов высвобождения нейромедиатора. Этот эффект связан с повышением отношения величины сигнал/шум, что обеспечивает более мощный выход сигнала. Таким образом, за счет описанного механизма высвобождение моноаминовых нейромедиаторов более эффективно связано с электрическим импульсом, который вызывает их высвобождение, что вызывает повышение активности моноаминергических нейронов, приводящее к немедленному и сильному действию. Полагают, что описанные результаты имеют большое значение для улучшения когнитивных способностей или клиническую важность для лечения болезни Паркинсона и болезни Альцгеймера, при которых неудовлетворительно функционируют нигростриатный тракт и мезолимбические-кортикальные пути, а также для эффективного лечения депрессии, обусловленной пониженной активностью дофаминовых и норадреналиновых нейронов [ЕР 1052259 В1 соответствует WO 2000/026204, ЕР 0957080 В1 соответствует WO 1999/007667, Knoll J. (2001) CNS Drug Rev. 7:317-345, Miklya I. (2011) InTech Open Acces Publisher (www.intechopen.com), стр. 77-100]. Эта катехоламинергическая и серотонинергическая система поддерживает высшие корковые центры в активном состоянии, и постепенное снижение мезэнцефалического усилительного регулирования в фазе жизни, следующей за фазой формирования организма, по большей части связано со старением [Knoll J. (1994) Pharmacol. Toxicol. 75:65-72].

Для лечения различных неврологических нарушений было синтезировано и предложено множество соединений, которые потенциально обладают действием усилителей.

Например, уже было описано множество производных этиламина. В документе ЕР 110781 некоторые производные 6-(2-аминоэтил)бензоксазолинона предложены в качестве анксиолитических средств и средств для лечения сердечной недостаточности. Кроме того, в документе FR 2035749 в качестве лекарственных средств, подходящих для лечения повреждений центральной нервной системы, предложены производные аминоалкилбензоксазинона. Кроме того, в документе JP 06-99420 (рассмотренная опубликованная заявка) рассмотрено применение в медикаментах психотропных алкиламинов. Обычно, несмотря на то, что эти соединения способствуют высвобождению катехоламинов из их депо, находящихся в центральной нервной системе, они, действуя лишь как стимуляторы, вызывают высвобождение избыточного количество катехоламинов, что приводит к побочным эффектам, таким как нейротоксичность.

Одним из наиболее ярких представителей этого класса соединений является (-)-депренил (англ. deprenyl) (селегилин (selegiline), элдеприл (eldepryl), юмекс jumex), эмсам (emsam), зелепар (zelepar)), первоначально предложенный как первый селективный ингибитор моноаминоксидазы (МАО) В-типа. Депренил является зарегистрированным средством для лечения болезни Паркинсона, болезни Альцгеймера и большого депрессивного расстройства, и широко используется в качестве средства против старения. Ранее исследовательской группой автора настоящего изобретения было показано, что (-)-депренил в пониженных дозах, лишенный ингибирующей МАО-В активности, действует как чрезвычайно специфичный усилитель катехоламинергической активности. Он улучшает высвобождение медиатора, вызываемое проведением импульса. В проводимых ранее исследованиях продолжительности жизни с применением (-)-депренила было показано, что, благодаря усилительному действию препарата, крысы, которым в течение всей жизни вводили (-)-депренил, значительно дольше сохраняли способность к обучению и половую активность и жили значительно дольше, чем их собратья, получавшие плацебо (Knoll, Miklya, 1995).

Возрастное снижение снабжения мозга PEA, происходящее из-за постепенного повышения активности МАО-В в стареющем мозгу, и дофамином, происходящее из-за более ускоренного, чем в среднем, снижения дофаминергической активности нейронов в течение фазы жизни, следующей за фазой формирования организма, являются неизбежными биохимическими последствиями старения. Полученные ранее сведения о том, что введение депренила (Фиг. 1) увеличивает продолжительность жизни, подтверждены на примере крыс, мышей, хомяков и собак (Таблица 1).

Было показано, что с момента прекращения вскармливания молоком (отлучения от матери) до наступления половой зрелости в катехоламинергических и серотонинергических нейронах имеет место повышенное усилительное регулирование. Этот механизм прекращает период жизни, соответствующий развитию, и составляет основу перехода от подросткового состояния к взрослому (Knoll с соавт., 2000).

До момента прекращения вскармливания молоком, чувствительные к действию усилителя катехоламинергические и серотонинергические нейроны работают на низком, "экономичном" уровне, который резко повышается после прекращения вскармливания молоком. Высокая активность возбуждения сохраняется неизменной в течение фазы формирования организма, от момента прекращения вскармливания молоком до достижения половой зрелости. Половые гормоны (эстрон, тестостерон) снижают повышенную катехоламинергическую и серотонинергическую активность до "экономного" уровня, соответствующего периоду до прекращения вскармливания молоком, прекращая фазу формирования организма. Это изменение также является началом медленного и постоянного снижения усилительного регулирования (старения), вплоть до "естественной смерти". Очевидно, что только создание безопасного и эффективного превентивного фармакологического вмешательства, начинаемого непосредственно после завершения полового созревания, может значительно замедлить старение мозга. В диапазоне чрезвычайно малых доз, в котором вещества-усилители оказывают свое специфичное усиливающее воздействие, вещества-усилители селективно превращают чувствительные к усилителям нейроны со сниженными параметрами в нейроны с более высокими показателями.

Можно считать, что результат второго исследования продолжительности жизни, опубликованный 1994 году, стал первым неоспоримым доказательством этого механизма. При проведении исследования продолжительности жизни из 1600 здоровых самцов долгоживущих крыс разновидности Wistar-Logan возрастом 28 недель отбирали 94 крыс с самой низкой половой активностью (НПА) и 99 крыс с самой высокой половой активностью (ВПА), и отобранным крысам вводили физиологический солевой раствор (далее "солевой раствор") и депренил, соответственно, в течение всей их жизни. Продолжительность жизни крыс группы НПА, которым вводили солевой раствор (n равно 44), составила 134,58 плюс/минус 2,29 недель, в то время как продолжительность жизни их собратьев из группы ВПА составила 151,24 плюс/минус 1,36 недель (Р менее 0,001). Продолжительность жизни крыс группы НПА, которым вводили депренил (n равно 49), значительно превышала продолжительность жизни их собратьев, которым вводили солевой раствор, и достигала продолжительности жизни крыс группы ВПА, которым вводили солевой раствор. Кроме того, введение депренила повышало половую активность крыс с врожденными ВПА способностями (n равно 50). Продолжительность их жизни составила 185,30 плюс/минус 1,96 недель. Из 50 крыс 17 особей прожили более долгую жизнь, длительность которой превышала максимальную продолжительность жизни, когда-либо наблюдавшуюся в течение длительного периода исследований сотен крыс породы, используемой в наших опытах, как не получавших никаких препаратов, так и получавших солевой раствор.

Эффект усилителя описывается бимодальной кривой концентрация-эффект, имеющей форму двойного колокола (от англ. double bell-shaped), согласно которой для достижения эффективного действия эффективная концентрация должна находиться в одном из диапазонов вещества-усилителя. Нижняя кривая соответствует специфичному эффекту усилителя, в то время как верхняя кривая соответствует его неспецифичному действию.

(R)-1-(бензофуран-2-ил)-2-пропиламинопентан (сокращенно (-)-ВРАР или ВРАР, от англ. (R)-1-(benzofuran-2-yl)-2-propylamino pentane) представляет собой недавно полученное вещество-усилитель, которое на настоящий момент считается самым мощным и селективным усилителем. Созданный ВРАР обеспечивает специфичную усилительную активность даже в фемто/пикомолярной концентрации (Knoll с соавт., 1999). Экспериментальные и клинические исследования с применением депренила и ВРАР показали, что превентивное введение синтетических веществ-усилителей в период после окончания формирования организма значительно замедляет связанное со старением ухудшение поведенческих характеристик и увеличивает продолжительность жизни. В настоящее время у людей после наступления полового созревания поддерживающая терапия с введением депренила является единственным доступным способом лечения, который может дать реальный шанс достичь названной цели и предотвратить или отсрочить появление связанных со старением нейродегенеративных заболеваний, таких как болезнь Паркинсона и болезнь Альцгеймера.

Значительное внимание было уделено влиянию активности усилителя в моноаминергических нейронах, в частности, катехоламинергическому влиянию усилителя (англ. catecholaminergic enhancer effect, сокращенно CAE) в катехоламинергических нейронах, который заключается в высвобождении катехоламина в результате амплификации экзоцитоза, зависимого от потенциала мембраны, и который отличается от рассмотренного выше высвобождающего действия вытеснением катехоламина из его хранилища [Life Sci., 58, 945-952 (1996), WO 1999/007667 и WO 2000/026204]. Было обнаружено, что соединения, улучшающие высвобождение катехоламина за счет CAE эффекта, подходят для включения в психотропные композиции, антидепрессанты, композиции для лечения болезни Паркинсона и/или болезни Альцгеймера (WO 1999/007667, также опубликованная как ЕР 957080). В документе WO 2000026204 рассмотрены соответствующие оптические изомеры, полученные оптическим разделением из органических аминов, рассмотренных в документе WO 1999007667. Фармакологический скрининг показал, что эти оптически активные изомеры представляют собой полезные лекарственные средства для той же группы заболеваний, в частности, для лечения болезни Паркинсона и/или болезни Альцгеймера.

Депренил преимущественно обладает эффектом катехоламинергического усилителя (CAE) и очень слабого усилителя серотонинергических нейронов.

На основании исследований с животными моделями Kitani K. с соавт. (Kitani K. с соавт., 1998) предположили, что в организмах животных депренил действует как антиоксидант и, таким образом, он может предотвращать развитие опухолей у животных. Однако, авторы не упоминают об эффекте подавления проявления опухоли при низкой дозе, обусловленном специфичным действием катехоламинергического усилителя.

Несмотря на то, что ThyagaRajan S. с соавт.(ThyagaRajan, S. с соавт., 1998) обнаружили, что депренил, как ингибитор МАО-В, ингибирует развитие опухолей молочных желез за счет оказания нейропротективного действия на тубероинфундибулярные дофаминергические (TIDA, от англ. tuberoinfundibular dopaminergic) нейроны в медиальном базальном гипоталамусе (МВН, от англ. medial basal hypothalamus) в дозе 0,25 мг/кг массы тела или более, они не показали, что эффект подавления опухоли может иметь место при гораздо более низких дозах за счет специфичного действия усилителя, например, при такой дозе, как 0,01 мг на кг массы тела или менее.

Насколько известно авторам настоящего изобретения, в данной области техники не было известно о том, что катехоламинергическая система может быть связана с каким-либо механизмом в мозге, который вызывает проявление опухоли.

Задачи, решаемые изобретением

В данной области техники все еще имеется необходимость обеспечивать подавление проявления опухолей посредством введения безопасного соединения в течение длительного периода времени и в малой дозе.

Способы решения задач изобретения

Авторами настоящего изобретения неожиданно было обнаружено, что соединения-усилители нейронной активности, обладающие специфичным CAE эффектом, также оказывают подавляющее действие на проявление опухоли. Таким образом, для создания настоящего изобретения авторы изобретения проделали серьезную работу.

Сущность изобретения

Настоящее изобретение относится к соединению или его фармацевтически приемлемой соли,

где соединение представляет собой соединение-усилитель нейронной активности, которое представляет собой соединение-усилитель моноаминергической активности, которое усиливает опосредуемое проведением импульса высвобождение моноаминового нейромедиатора из моноаминергических нейронов в центральной нервной системе,

для применения для профилактики или лечения рака или ракового метастаза.

Предпочтительно соединение вводят, или оно предназначено для введения в дозе, специфичной для усилителя.

Предпочтительно влияние соединения-усилителя моноаминергической активности, т.е. усиление опосредуемого проведением импульса высвобождения моноаминового нейромедиатора из моноаминергических нейронов может быть измерено или обнаружено, или его измеряют или обнаруживают, либо непосредственно, либо опосредованно, способами, примеры которых включают следующие:

- измерением количества катехоламина, предпочтительно [3Н]-норэпинефрина, [3Н]-дофамина, высвобождаемого в ответ на электрическую стимуляцию из извлеченного ствола головного мозга крысы в присутствии соединения-усилителя;

- посредством анализа условно-рефлекторного избегания (англ. conditioned avoidance reflex, сокращенно CAR), например, на опытах с мышами, имеющими дефицит научения, например, вызванный введениемю тетрабеназина, действие которого может быть ослаблено посредством введения синтетического вещества-усилителя катехоламинергической активности (англ. catecholaminergic activity enhancer, сокращенно CAE), при условии, что селективное ингибирование МАО-В или ингибирование обратного захвата катехоламинов или серотонина, соответственно, неэффективно; и

- посредством введения потенциального соединения-усилителя в очень широком диапазоне доз, причем влияние усилителя характеризуется бимодальной колоколообразной кривой концентрация-эффект (по меньшей мере нижний диапазон находится ниже диапазона ингибирования МАО, если таковое имеется); и при этом нижний диапазон показывает "специфичное влияние усилителя", а верхний диапазон показывает "неспецифичное влияние усилителя" (Knoll J. 2012).

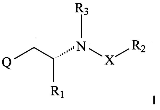
В частности, настоящее изобретение относится к соединению, имеющему общую формулу I, или к его фармацевтически приемлемой соли,

где соединение представляет собой соединение-усилитель моноаминергической активности, которое усиливает опосредуемое проведением импульса высвобождение моноаминового нейромедиатора из моноаминергических нейронов в центральной нервной системе,

для применения для профилактики или лечения рака или ракового метастаза,

где в общей формуле I:

Q представляет собой

замещенную или незамещенную, содержащую от 6 до 10 членов циклическую или гетероциклическую группу, включающую одно 6-членное циклическое или гетероциклическое кольцо, содержащее систему делокализованных -электронов,

где если Q замещена, то заместитель выбран из группы, состоящей из водорода, гидроксила, С1-4-алкила, C1-4-алкокси и галогена,

где если Q включает одно гетероциклическое кольцо (цикл), то это кольцо предпочтительно включает не более чем от одного до трех, предпочтительно от одного до двух гетероатомов,

где гетероатомы предпочтительно выбраны из О, N и S,

X представляет собой метилен, т.е. >СН2, или этилен, т.е. >СН-СН2, >NH, >NCH3- или -О-,

R1 представляет собой водород, С1-6-алкил, С2-4-алкенил, С2-4-алкинил или С2-4-алкилкарбонил,

R2 представляет собой водород, С1-4-алкил, С2-4-алкенил, С2-4-алкинил, С2-4-алкилкарбонил, С6-10-арил или С7-11-арилалкил,

R3 представляет собой водород, метил или этил,

где любой из R1, R2 и R3, если он отличен от водорода, независимо от других имеет или не имеет заместители, и в случае наличия заместителей заместитель предпочтительно выбран из группы, состоящей из водорода, гидроксила, С1-4-алкила, С1-4-алкокси и галогена, при условии, что если заместитель представляет собой C1-4-алкил или C1-4-алкокси, то заместитель имеет меньшую длину, т.е. содержит меньше атомов углерода, чем R1, R2 или R3, который им замещен.

Предпочтительно Q замещена одним или двумя заместителями или не имеет заместителей.

Предпочтительно любой из R1, R2 и R3 замещен одним или двумя заместителями или не имеет заместителей.

Предпочтительно Q представляет собой С6-циклическую или гетероциклическую группу, имеющую систему делокализованных тт-электронов.

Система делокализованных тт-электронов может распространяться на все кольцо (кольца) или не на все кольцо (кольца). Предпочтительно система тт-электронов представляет собой ароматическую систему, и, таким образом, Q предпочтительно представляет собой ароматическую группу.

Благодаря наличию хирального центра или стереоцентра соединение, имеющее общую формулу I, имеет либо S, либо R конфигурацию, предпочтительно R конфигурацию в соответствии с правилом Кана-Ингольда-Прелога (Cahn-lngold-Prelog), и соединение имеет формулу I:

где определения Q, X, R1, R2 и R3 приведены выше или в тексте настоящего описания.

Соединение предназначено для применения для профилактики или лечения рака или метастаза в дозе, специфичной для усилителя.

В одном из предпочтительных примеров осуществления в соединении, имеющем формулу I, X представляет собой метиленовую группу, т.е. представляет собой СН2.

В другом предпочтительном примере осуществления X представляет собой метиленовую группу, т.е. представляет собой СН2, соединение находится в R конфигурации, и соединение имеет общую формулу II:

Соединение-усилитель моноаминергической активности представляет собой вещество-усилитель катехоламинергической активности (CAE), и моноаминергические нейроны представляют собой катехоламинергические нейроны. Предпочтительно соединение вводят в дозе, специфичной для усилителя.

В другом предпочтительном примере осуществления изобретение относится к соединению-усилителю моноаминергической активности, имеющему общую формулу II, или к его фармацевтически приемлемой соли, предназначенному для применения для профилактики или ингибирования рака или ракового метастаза,

где в формуле II

Q представляет собой группу, состоящую из замещенного или незамещенного ненасыщенного, предпочтительно ароматического шестичленного цикла, который может содержать один или два гетероатома или может не содержать их,

при этом, если Q замещена, то

заместитель выбран из группы, состоящей из водорода, гидроксила, С1-4-алкила, C1-4-алкокси и галогена, предпочтительно Q замещена одним или двумя заместителями или не имеет заместителей,

R1 представляет собой С1-5-алкил, предпочтительно метил или этил или пропил,

R2 представляет собой С1-4-алкил, С2-4-алкенил или С2-4-алкин, предпочтительно С2-3-алкенил или С2-3-алкин,

R3 представляет собой водород, метил или этил.

В одном из предпочтительных примеров осуществления Q представляет собой незамещенный ароматический шестичленный цикл.

В альтернативном варианте настоящее изобретение относится к соединению-усилителю моноаминергической активности, имеющему общую формулу II или к его фармацевтически приемлемой соли, предназначенному

для применения для профилактики или ингибирования рака или ракового метастаза, предпочтительно в количестве, которое стимулирует чувствительные к действию усилителя нейроны мозга и оказывает на них специфичное усилительное влияние,

где в формуле II

Q представляет собой замещенную или незамещенную фенильную группу, и, если фенил замещен, то

заместитель выбран из группы, состоящей из водорода, гидроксила, С1-4-алкила, С1-4-алкокси и галогена, и предпочтительно фенил не замещен,

R1 представляет собой C1-5-алкил, предпочтительно метил или этил или пропил;

R2 представляет собой С1-4-алкил, С2-4-алкенил или С2-4-алкинил; предпочтительно С2-3-алкенил или С2-3-алкинил;

R3 представляет собой водород, метил или этил, предпочтительно водород или метил.

В альтернативном варианте настоящее изобретение относится к соединению-усилителю моноаминергической активности, имеющему общую формулу II, или к его фармацевтически приемлемой соли, предназначенному

для применения для профилактики или ингибирования рака или ракового метастаза,

где в формуле II

Q представляет собой замещенную или незамещенную фенильную группу, и, если фенил замещен, то

заместитель выбран из группы, состоящей из водорода, гидроксила, С1-4-алкила, С1-4-алкокси и галогена, и предпочтительно фенил замещен одним или двумя заместителями или не замещен,

R1 представляет собой метил, этил или пропил;

R2 представляет собой С2-4-алкенил, С2-4-алкинил или С2-4-алкилкарбонил;

R3 представляет собой водород, метил или этил.

Фармацевтически приемлемая соль может представлять собой соль присоединения кислоты.

В одном из примеров осуществления шестичленный цикл (кольцо) включает один или два гетероатома, находящихся в группе Q, и предпочтительно один или два гетероатома, находящихся в группе Q, выбраны из О и N.

Предпочтительно в соединении, применяемом согласно настоящему изобретению, R2 выбран из С2-3-алкенила и С2-3-алкинила.

Предпочтительно Q представляет собой фенильную группу.

Предпочтительно Q представляет собой фенильную группу, и выбран из метила и этила, и R2 выбран из С2-3-алкенила и С2-3-алкина.

В одном из предпочтительных примеров осуществления Q представляет собой фенил, и

R1 представляет собой метил, этил, пропил или бутил, предпочтительно метил, этил или пропил,

R2 представляет собой C1-4-алкил, С2-4-алкенил или С2-4-алкинил,

R3 представляет собой водород, метил или этил.

В одном из предпочтительных примеров осуществления соединение согласно настоящему изобретению имеет общую формулу IV:

где в общей формуле IV

определения R1, R2 и R3 приведены при описании тех примеров осуществления, в которых Q представляет собой группу, состоящую из замещенного или незамещенного ненасыщенного, предпочтительно ароматического шестичленного цикла, который может содержать один или два гетероатома или может не содержать их, или предпочтительных примеров осуществления указанных примеров.

В одном из предпочтительных примеров осуществления Q представляет собой фенил, и

R1 представляет собой этил или пропил,

R2 представляет собой метил, этил или пропил, предпочтительно этил,

R3 представляет собой водород, метил или этил, предпочтительно водород или метил, более предпочтительно водород.

В одном из чрезвычайно предпочтительных примеров осуществления соединение-усилитель моноаминергической активности представляет собой (R)-1-фенил-N-пропилпентан-2-амин [(-)-РРАР, от англ. (R)-1-Phenyl-N-propylpentan-2amine].

В одном из предпочтительных примеров осуществления Q представляет собой фенил, и

R1 представляет собой метил или этил, и R2 представляет собой С2-3-алкенил или С2-3-алкин. Предпочтительно R3 представляет собой водород, метил или этил.

В одном из предпочтительных примеров осуществления R2 представляет собой этинил.

В одном из чрезвычайно предпочтительных примеров осуществления соединение-усилитель моноаминергической активности представляет собой (R)-N-метил-N-(1-фенилпропан-2-ил)проп-2-ин-1-амин (селегилин или (-)-депренил).

Предпочтительно соединение применяют в количестве, которое стимулирует чувствительные к действию усилителя нейроны, или в количестве, которое усиливает высвобождение катехоламина в мозге или в центральной нервной системе.

Предпочтительно соединение применяют в количестве, которое усиливает высвобождение катехоламина в мозге или в центральной нервной системе.

Предпочтительно соединение вводят в виде суточной дозы, составляющей менее 0,01 мг на 1 кг массы тела, предпочтительно менее 0,005, 0,0025 мг/кг массы тела. Предпочтительно, соединение вводят в виде суточной дозы, составляющей менее 0,0025 мг/кг массы тела. Предпочтительно эта доза составляет дозу, специфичную для усилителя.

Профилактика или лечение рака или ракового метастаза предпочтительно сопровождается подавлением его проявления; в этом случае под профилактикой или лечением понимают подавление проявления указанного рака или метастаза.

В одном из примеров осуществления рак представляет собой злокачественную опухоль или новообразование, выбранное из группы, состоящей из карцином, сарком, лейкемий, лимфом и термином.

В одном из предпочтительных примеров осуществления злокачественная опухоль представляет собой карциному или саркому, предпочтительно карциному или саркому соединительной ткани.

В одном из чрезвычайно предпочтительных примеров осуществления злокачественная опухоль выбрана из группы, состоящей из фибромиксосаркомы, аденокарциномы, карциномы прямой кишки и метастаза печени.

В одном из примеров осуществления субъектом (т.е. объектом лечения) является теплокровное животное, предпочтительно млекопитающее, предпочтительно человек.

Предпочтительно соединение вводят в малой дозе, в которой оказывается специфичное влияние усилителя.

Предпочтительно соединение вводят в малой дозе, при которой, как известно или как может быть показано или как показано, соединение не оказывает никакого другого влияния, кроме влияния усилителя (специфичного влияния усилителя).

Предпочтительно соединение вводят субъектам в течение длительного периода, предпочтительно в течение по меньшей мере 1, 2, 3, 5, 6, 8 или 10 месяцев или в течение по меньшей мере 1, 2, 3, 4, 5 или 6 лет, или в течение периода времени, превышающего 1%, 2% или предпочтительно 5% от ожидаемой продолжительности жизни субъекта.

Предпочтительно, субъектом является взрослый человек, и продолжительность введения составляет более 1 года, 2 лет или предпочтительно 5 лет.

В одном из предпочтительных примеров осуществления субъектом является половозрелый субъект, предпочтительно взрослый субъект.

В одном из предпочтительных примеров осуществления у субъекта не наблюдается проявлений рака, например, злокачественной опухоли или новообразования. Предпочтительно соединение применяют для предупреждения или профилактики рака или ракового метастаза.

Изобретение также относится к фармацевтической композиции или медикаменту, включающему соединение, предназначенное для применения согласно изобретению в качестве активного соединения в количестве, в котором соединение усиливает высвобождение катехоламина в центральной нервной системе.

Предпочтительно, медикамент включает соединение, предназначенное для применения согласно изобретению, как указано выше или в настоящем тексте или далее, в качестве активного соединения, причем оптическая чистота соединения превышает 70%, предпочтительно превышает 80% или 90% или 95% или 97% или 98% или 99%.

Изобретение также относится к способу профилактики или лечения рака или ракового метастаза или к способу лечения субъекта с целью подавления проявления у субъекта рака или метастаза, который включает

введение субъекту терапевтического количества соединения, рассмотренного выше или в настоящем тексте.

Определения

"Фармацевтическая композиция" согласно изобретению представляет собой композицию, содержащую вещество, которое включает по меньшей мере одно биологически активное вещество, подходящее для лечения рака, как указано в настоящем описании. Фармацевтические композиции также могут включать дополнительные биологически активные вещества, подходящие, например, для применения в комбинационной терапии, например, химиотерапевтические соединения, которые могут представлять собой цитотоксические средства. Кроме того, композиции могут включать вспомогательные соединения для предотвращения или снижения риска возникновения тошноты и рвоты, связанного с проведением химиотерапии. Вспомогательные средства хорошо известны в данной области техники. Кроме того, композиции могут включать иммунотерапевтические средства.

"Медикамент" представляет собой фармацевтическую композицию, эффективность которой по отношению к животным, например, теплокровным животным или млекопитающим или человеку, обоснованно доказана, и доказательства предпочтительно зарегистрированы органом здравоохранения или агентством здравоохранения страны или области или сообщества стран.

"Терапевтическое количество" соединения означает количество соединения, эффективное для лечения, противодействия, облегчения состояния, профилактики или улучшения состояния, вызываемого раковым заболеванием, в частности, раком или раковым метастазом, рассмотренным в настоящем описании. Предпочтительно терапевтическое количество соединения согласно изобретению ниже, предпочтительно значительно ниже количества, в котором оно оказывает другое терапевтическое действие, например, ингибирование МАО, например, ингибирование МАО-В.

Согласно изобретению, термином "рак" обозначают состояние субъекта, характеризующееся злокачественной нерегулируемой или неконтролируемой пролиферацией раковых клеток в организме субъекта. В результате пролиферации обычно образуется или развивается скопление или масса клеток, которая называется "новообразованием" или "опухолью", которые включает термин "рак".

Согласно изобретению рак считается "злокачественным", если они имеет тенденцию постепенно ухудшать состояние субъекта, т.е. оказывает пагубное влияние на субъекта и в перспективе приводит к смерти субъекта.

В одном из примеров осуществления рак является или может считаться злокачественным, если в начале своего развития скопление или масса клеток (например, новообразование или опухоль) оказывается или диагностируется как незлокачественное, т.е. "доброкачественное", но (i) имеется риск, что оно станет злокачественными или (ii) оно становится злокачественным спустя некоторое время.

Согласно изобретению, под "проявлением" рака понимают проявление обнаруживаемого или измеряемого признака или указания или специфичного свидетельства наличия рака, и предпочтительно рак проявляется, если имеется по меньшей мере один из его симптомов. "Проявление" рака может быть охарактеризовано количественно или оценена степень его проявления.

"Подавление" проявления рака является результатом терапии (или терапевтического вмешательства) или лечения, при котором рак не проявляется или проявляется с меньшей частотой, например, в меньшем количестве случаев или с меньшей вероятностью, или предотвращается или уменьшается; или уровень проявления снижается по сравнению с подходящим контролем или контрольным лечением. Контроль может представлять собой условия или режим, при котором не применяют терапии или лечения или вводят плацебо, например, одному и тому же субъекту или контрольному субъекту или контрольной группе субъектов, или контроль может представлять собой контрольную величину.

"Метастаз" представляет собой процесс, при котором раковые клетки рака распространяются из участка своего первоначального появления в другие участки организма через лимфатическую систему или кровяное русло, в результате чего этот процесс приводит к образованию "метастаза" или множественных "метастазов".

Термин "животное" относится к позвоночным, предпочтительно теплокровным животным, предпочтительно млекопитающим. В широком смысле термин "животное" и предпочтительно млекопитающее включает человека. Необязательно, в более узкой интерпретации термин "животное" не включает человека. Животное может быть выбрано из рыб, рептилий, амфибий, птиц или млекопитающих. Предпочтительно животное представляет собой млекопитающее.

Согласно изобретению, под термином "субъект" подразумевают животное или человека, на которого воздействуют или необходимо воздействовать лечением, включающим профилактическое лечение, препаратами или композициями согласно настоящему изобретению. Предпочтительно субъектом является теплокровное животное, млекопитающее или человек. Предпочтительно субъектом является пациент.

"Пациент" представляет собой субъекта, которому поставлен медицинский диагноз и который находится под наблюдением или подвергается терапии. Предпочтительно пациент представляет собой субъект, имеющий рак. Предпочтительно терапия имеет превентивный или лечебный характер.

"Соединение-усилитель" представляет собой соединение-усилитель нейронной активности (предпочтительно соединение-усилитель

моноаминергической активности, в частности, или более предпочтительно "соединение-усилитель катехоламинергической активности", соединение CAE или "соединение-усилитель серотонинергической активности", соединение SAE), которое может возбуждать в дозозависимом режиме по меньшей мере подгруппу чувствительных к действию усилителя нейронов, предпочтительно нейронов, высвобождающих моноаминергический нейромедиатор (предпочтительно катехоламинергический и серотонинергический), соответственно, но не ингибирующий моноаминоксидазу-А (МАО-А), предпочтительно не ингибирующий МАО-В. В частности, может быть определен диапазон доз, в котором соединение усиливает опосредуемое проведением импульса высвобождение моноаминового нейромедиатора из моноаминергических нейронов в центральной нервной системе. Предпочтительно, благодаря усиливающему влиянию на моноаминергический нейромедиатор, предпочтительно катехоламиновый или серотониновый, высвобождение происходит за счет амплификации экзоцитоза, зависящего от мембранного потенциала. Предпочтительно соединение-усилитель повышает способность чувствительных к действию усилителя нейронов к возбуждению.

Предпочтительно соединение-усилитель усиливает высвобождение катехоламина в мозге или в центральной нервной системе (соединение CAE).

Катехоламинергическое действие усилителя (эффект CAE) может быть определено или обнаружено способами, примеры которых включают следующие:

- измерение количества норэпинефрина, [3Н]-дофамина, высвобождаемого в ответ на электрическую стимуляцию из извлеченного головного мозга млекопитающего, предпочтительно ствола головного мозга, предпочтительно ствола головного мозга крысы;

- анализ условно-рефлекторного избегания (CAR) например, на опытах с мышами, имеющими дефицит научения, например, в результате введения тетрабеназина, действие которого может быть ослаблено посредством введения синтетического вещества CAE или ингибитора МАО-А, при условии, что селективное ингибирование МАО-В или ингибирование обратного захвата катехоламинов или серотонина, соответственно, неэффективно; и

- введение перспективного катехоламинергического соединения-усилителя в очень широком диапазоне доз, причем влияние усилителя характеризуется бимодальной колоколообразной кривой концентрация-эффект; и при этом нижний диапазон показывает "специфичное влияние усилителя", а верхний диапазон показывает "неспецифичное влияние усилителя" (оба диапазона или по меньшей мере нижний диапазон находится ниже диапазона доз, характерных для ингибирования МАО).

При оценке или обнаружении влияния усилителя могут быть применены один или более рассмотренных выше способов и необязательно один или более дополнительных способов.

В настоящем описании термины "включают" или "включающий" или "содержащий" имеют неисключающее значение и позволяют добавлять или включать дополнительные признаки или этапы способа или компоненты к имеющемуся содержимому, которое включает перечисленные признаки или этапы способа или компоненты.

Выражения "по существу состоящий из" или "по существу включающий" следует понимать, как состоящий из обязательных признаков или этапов способа или компонентов, перечисленных в списке, например, в пункте формулы изобретения, но при этом дополнительно позволяющий содержать другие признаки или этапы способа или компоненты, которые не оказывают существенного влияния на основные характеристики применения, способа, композиции или другого предмета изобретения. Следует понимать, что в настоящем описании термины "включают" или "включает" или "включающий" могут быть заменены (т.е., согласно настоящему изобретению, ограничены до) терминами "по существу состоящий из" или "по существу включающий" или, при необходимости, без добавления нового предмета изобретения.

Следует понимать, что при необходимости термины "включают" или "включающий" или "содержащий" также могут быть ограничены термином "состоящий из".

"Один или более" означает один или более одного, предпочтительно один, два или три, или один или два.

"Низший" алкил, алкокси и т.д. предпочтительно означает С1-6, С1-4, C1-3 или C1-2-алкил или -алкокси и т.д.

Употребляемый в настоящем описании термин "алкил", как таковой или в комбинациях, означает неразветвленную или разветвленную углеводородную группу, предпочтительно содержащую от 1 до 6, предпочтительно 1 до 4 или 1 до 3 атомов углерода или 1 до 2 атомов углерода (т.е. "C1-6" "С1-4" или "C1-3" или "C1-2" алкильные группы), такую как метил, этил, пропил, изопропил, бутил, втор-бутил и трет-бутил.

Употребляемый в настоящем описании термин "алкокси" означает алкил-О-группу, содержащую рассмотренную выше алкильную группу. Неограничивающие примеры подходящих алкоксигрупп включают: метокси-, этокси-, н-пропокси-, изопропокси- и н-бутоксигруппу, предпочтительно метоксигруппу. Связь с исходным фрагментом осуществляется через атом кислорода группы простого эфира.

Употребляемый в настоящем описании термин "арил" означает моно- или бициклическое ароматическое кольцо, необязательно гетероциклическое, например:

- фенил, пиридинил, пиранил, диазинил, оксазинил или диоксинил,

- нафтил, предпочтительно 1-нафтил или 2-нафтил,

- индолил, предпочтительно 1-индол-2-ил или 1-индол-ил,

- бензодиазолил, в частности, 1,3-бензодиазолил, предпочтительно 1,3-бензод иазол-2-ил,

- бензофуранил, в частности, 1-бензофуранил, предпочтительно 1-бензофуран-2-ил или 1-бензофуран-3-ил, или

- бензодиоксолил, в частности, 1,3-бензодиоксолил, предпочтительно 1,3-бензодиоксол-2-ил.

Употребляемый в настоящем описании термин "гетероциклическое" соединение или группа или кольцевая структура представляет собой циклическое соединение, которое в качестве члена (членов) своего цикла (циклов) содержит кроме атомов углерода атомы по меньшей мере одного элемента (элементов), не являющегося углеродом. Предпочтительно цикл (циклы) гетероциклического соединения содержат от 5 до 6 членов.

Употребляемый в настоящем описании термин "алкенил", как таковой или в комбинациях, означает неразветвленную или разветвленную ненасыщенную углеводород группу, содержащую по меньшей мере одну углерод-углеродную двойную связь, причем углеводородная группа предпочтительно содержит от 2 до 6, предпочтительно от 2 до 4 или от 2 до 3 или 2 атома углерода (т.е. "С2-6" "С2-4" или "С2-3" или "С2-2" алкильные группы).

Употребляемый в настоящем описании термин "алкинил", как таковой или в комбинациях, означает неразветвленную или разветвленную ненасыщенную углеводород группу, содержащую по меньшей мере одну углерод-углеродную тройную связь, причем углеводородная группа предпочтительно содержит от 2 до 6, предпочтительно от 2 до 4 или от 2 до 3 или 2 атома углерода (т.е. "С2-6" "C2-4 или "С2-3" или "С2-2" алкильные группы).

Употребляемый в настоящем описании термин "алкилкарбонил" означает алкил-СО-группу, включающую алкильную группу и карбонильную группу, состоящую из атома углерода связанного двойной связью с атомом кислорода, где строение алкильной группы рассмотрено выше. Связь с исходным фрагментом осуществляется через атом углерода карбонильной группы.

Употребляемый в настоящем описании термин "арилалкил" означает арилалкильную группу, которая связана с материнской молекулой через алкильную группу, которая может быть дополнительно необязательно замещена одним или более заместителями, предпочтительно может содержать от одного до трех или от одного до двух заместителей, как указано выше.

В "насыщенной" группе, кольце (цикле) или соединении атомы углерода в цепочке связаны друг с другом только одинарными связями. "Ненасыщенная" группа, кольцо (цикл) или соединение содержит углерод-углеродные двойные связи или тройные связи или делокализованную, например, ароматическую, систему тт-электронов, подобную системам, имеющимся в алкенах или алкинах или арилах, соответственно.

Употребляемый в настоящем описании термин "конденсированный цикл" означает, что цикл (кольцо) сконденсирован с группой образованием бициклической группы, в формуле которой одинарная связь между двумя атомами, составляющими цикл, вместе с указанными двумя составляющими, является общей, т.е. разделена между двумя циклами.

"Алкильный заместитель" не больше, предпочтительно меньше, т.е. короче, т.е. состоит из не более, предпочтительно менее атомов цепочки, предпочтительно атомов углерода, чем группа, фрагмент, например, Q, R1, R2 или R3, которая (который) им замещена.

Краткое описание графических материалов

Фиг. 1.А. Химическая структура селегилина/(-)-депренила; Систематическое наименование (IUPAC): (R)-N-метил-N-(1-фенилпропан-2-ил)проп-2-ин-1-амин.

Фиг. 2. Химическая структура (-)-РРАР ((-)-1-фенил-2-пропиламинопентан); Систематическое наименование (IUPAC): (R)-1-фенил-N-пропилпентан-2-амин.

Фиг. 3. Выбор оптимальных доз (-)-депренила для исследования продолжительности жизни в челночной камере. Определяли: (S) способность крыс, которым вводили солевой раствор (контроль), выработать условные рефлексы избегания (англ. conditioned avoidance response, сокращенно "CAR"); (Т1) ингибирование способности к обучению у крыс, которым подкожно вводили 1 мг/кг тетрабеназина за один час до проведения опыта; [Т1 + (-)-депренил] способность (-)-депренила дозозависимым образом подавлять ингибирующее действие тетрабеназина. Значимость в различии поведения у разных групп оценивали с помощью многофакторного дисперсионного анализа (англ. multi-factor analysis of variance, сокращенно "ANOVA"). *P менее 0,05; **P менее 0,01, ***P менее 0,001.

Фиг. 4. Выбор оптимальных доз (-)-ВРАР для исследования продолжительности жизни в челночной камере. Определяли: (S) способность крыс, которым вводили солевой раствор (контроль) выработать условные рефлексы избегания (CAR); (Т1) ингибирование способности к обучению у крыс, которым подкожно вводили 1 мг/кг тетрабеназина за один час до проведения опыта; [Т1 + (-)-ВРАР] способность (-)-ВРАР дозозависимым образом подавлять ингибирующее действие тетрабеназина. Значимость в различии поведения у разных групп оценивали многофакторного дисперсионного анализа (ANOVA). *Р менее 0,01; **Р менее 0,001.

Фиг. 5. Влияние постоянного введения 0,1 мг/кг (-)-депренила на выживание. (N равно 40)

Фиг. 6. Влияние постоянного введения 0,001 мг/кг (-)-депренила на выживание. (N равно 40)

Фиг. 7. Влияние постоянного введения 0,05 мг/кг (-)-ВРАР на выживание. (N равно 40)

Фиг. 8. Влияние постоянного введения 0,0001 мг/кг (-)-ВРАР на выживание. (N равно 40)

Фиг. 9. Эффект подавления проявления опухоли за счет постоянного введения 0,1 мг/кг (-)-депренила. (N равно 40)

Фиг. 10. Эффект подавления проявления опухоли за счет постоянного введения 0,001 мг/кг (-)-депренила. (N равно 40)

Фиг. 11. Эффект подавления проявления опухоли за счет постоянного введения 0,05 мг/кг (-)-ВРАР. (N равно 40)

Фиг. 12. Эффект подавления проявления опухоли за счет постоянного введения 0,0001 мг/кг (-)-ВРАР. (N равно 40)

Фиг. 13. Период времени, прошедший с начала проявления опухоли до смерти крыс, которым постоянно вводили (-)-депренил и (-)-ВРАР, соответственно.

Фиг. 14. Подавление проявления карциномы легкого у мышей породы FVB/N которым в течение 1,5 года вводили вещества-усилители: (-)-депренил и (-)-ВРАР.

Сведения, подтверждающие возможность осуществления изобретения

Можно легко показать, что вещества-усилители повышают способность к возбуждению чувствительных к действию усилителя нейронов. Если измерить количество [3Н]-норэпинефрина, [3Н]-дофамина или [3Н]-серотонина, высвобождаемых в ответ на электрическую стимуляцию из извлеченного ствола головного мозга крысы, например, в течение трехминутного периода сбора данных, и повторить измерение в присутствии оптимальной концентрации депренила или ВРАР, в которой они оказывают свое специфичное усиливающее влияние, высвобожденное количество меченого медиатора будет значительно выше. Это показывает, что в присутствии синтетического вещества-усилителя чувствительная к действию усилителя популяция нейронов в целом немедленно начинает работать на более высоком уровне активности. После однократной промывки активность нейронов немедленно возвращается на обычный уровень. Поскольку нейроны реагируют на стимуляцию по принципу "все или ни одного", очевидно, что только часть популяции нейронов (наиболее подверженные возбуждению) реагирует на электрическую стимуляцию. Поскольку вещества-усилители повышают способность нейронов к возбуждению, в присутствии вещества-усилителя большая доля популяции нейронов переходит в возбужденное состояние, и количество меченого медиатора, высвобождаемое в ответ на электрическую стимуляцию, значительно повышается (обзор - см. Knoll, 2005, 3.1.3.).

Демонстрация чувствительности к усилителю такого жизненно важного регулирования в центральной нервной системе, представленной норадренергическими, дофаминергическими и серотонинергическими нейронами ствола головного мозга, а также обнаружение того, что депренил представляет собой полученное из фенилэтиламина (PEA) синтетическое вещество CAE, стало началом нашего первого исследования продолжительности жизни, выполненного при использовании малых доз депренила, в которых он оказывает "специфичное" и "неспецифичное" влияние усилителя. Поскольку ранее нами было показано, что в период с момента прекращения вскармливания молоком до наступления половой зрелости усилительное регулирование в катехоламинергических и серотонинергических системах мозга крыс действует на значительно более высоком уровне активности (Knoll, Miklya, 1995), и в организмах крыс в период после прекращения вскармливания молоком половые гормоны останавливают значимо повышенный катехоламинергический/серотонинергический тонус мозговых параметров, в мае 2010 года мы начали исследование продолжительности жизни у половозрелых двухмесячных самцов крыс породы Wistar (Charles River). В этом исследовании было обнаружено, что в мозгу млекопитающих действует ранее неизвестное регулирование подавления проявления опухоли (англ. tumour manifestation suppression, сокращенно "TMS"), чувствительное к действию усилителя. Это открытие легло в основу для настоящей патентной заявки.

В настоящем исследовании продолжительности жизни было обнаружено, что в мозге крыс породы Wistar действует ранее неизвестный механизм подавления опухоли (англ. tumor-suppressing-mechanism, сокращенно "TSM"), чувствительный к действию усилителя. Характерной особенностью используемых в наших экспериментах крыс породы Wistar является то, что у большей их части к концу первого года жизни развивается быстро растущая фибромиксосаркома, пронизывающая подкожную ткань, включая мышцы. В нашем исследовании продолжительности жизни были использованы самцы, и, по наблюдениям, у 50% животных в течение их жизни развивались опухоли. Нами было отмечено, что проявление фибромиксосаркомы значительно подавлялось у крыс, которым по завершении 2-го месяца жизни 3 раза в неделю вводили вещество-усилитель [(-)-депренил (0,1 мг/кг) или (-)-ВРАР (0,05 или 0,0001 мг/кг)]. В группе из 40 крыс, которым вводили солевой раствор (контроль), опухоль проявилась у первого животного в течение 11-го месяца жизни, и у 20 крыс из группы опухоли развились к концу 30-го месяца жизни. Напротив, в группе из 40 крыс, которым вводили 0,0001 мг/кг (-)-ВРАР, опухоль появилась у первого животного на двадцатом (20) месяце жизни, и к концу 30-го месяца жизни лишь 8 крыс из группы демонстрировали наличие фибромиксосаркомы (Р менее 0,001). В группе из 40 самцов, которым вводили 0,05 мг/кг (-)-ВРАР, у первой крысы опухоль появилась в возрасте 13 месяцев, и к концу 30-го месяца жизни лишь 7 крыс из группы демонстрировали наличие опухоли (Р менее 0,001). В группе из 40 самцов, которым вводили 0,1 мг/кг (-)-депренила, у первой крысы опухоль появилась в возрасте 16 месяцев, и к концу 30-го месяца жизни лишь 11 крыс из группы демонстрировали наличие опухоли (Р менее 0,01). Таким образом, даже доза 0,0001 мг/кг (-)-ВРАР в большей степени подавляла проявление опухоли, чем 0,1 мг/кг (-)-депренила.

Подобно известному усиливающему влиянию (-)-депренила и (-)-ВРАР, эффект TMS также представляет собой центральный эффект.

Поскольку TMS регулирование не имеет ничего общего с непосредственным цитотоксическим влиянием на опухолевые клетки, мы протестировали влияние ВРАР и депренила на культивированные клеточные линии медуллобластомы человека двух типов: клеточную линию Daoy НТВ-186, полученную из десмопластической церебеллярной медуллобластомы (Jacobsen с соавт. 1985), и клеточную линию UW-228-2, полученную из медуллобластомы задней черепной ямки с диплоидным содержанием ДНК (Keles с соавт.1985). В подтверждение приведенному выше заключению, как (-)-депренил, так и (-)-ВРАР не ингибируют пролиферацию клеток человеческой медуллобластомы в культуре.

Крысы Wistar рождаются со склонностью к появлению быстро растущей фибромиксосаркомы, распространяющейся по подкожной ткани, включая мышцы. Они также рождаются с врожденным защитным механизмом, препятствующим проявлению опухоли. Поскольку депренил и ВРАР поддерживают более высокий уровень активности TMS нейронов, они, соответственно, влияют на проявление фибромиксосаркомы.

Депренил представляет собой полученный из PEA синтетический усилитель катехоламинергических нейронов; однако депренил практически не влияет на серотонинергические нейроны. Применяя депренил в качестве примера экспериментального специфичного вещества-усилителя, мы неожиданно обнаружили его влияние на чувствительное к действию усилителя TMS регулирование в мозге крыс. Как и ожидалось, множество аспектов чувствительного к действию усилителя регулирования и эндогенные вещества-усилители, осуществляющие это регулирование, не известны. Очевидно, что исследование усилителей находится на начальной стадии.

Для дополнительного изучения возможности ингибирования роста опухоли и метастаза in vivo у других видов животных под действием ВРАР, исследовали образование карциномы легкого у мышей породы FVB/N (Taketo М. 1991) (см. Пример 3).

Ниже дополнительно рассмотрено TMS регулирование в мозгу, механизм действия веществ-усилителей и возможность перевести исследование опухолей в другую плоскость, а именно, в область профилактики.

Упорядочивая данные по усиливающему влиянию депренила и ВРАР на чувствительные к действию усилителя норадренергические, дофаминергические и серотонинергические нейронные системы, активность которых с возрастом постепенно снижается, с учетом влиянич веществ-усилителей, представленного на Фиг. 9-12, можно с достаточной долей уверенности и не прибегая к какой-либо теории заключить, что в мозгу крыс существует ранее неизвестная группа нейронов, чувствительных к действию усилителя, физиологическая функция которых заключается в подавлении опухолей, к которым предрасположен индивидуум. Это первый пример существования высокоэффективного механизма TMS в мозге млекопитающего.

Согласно сведениям предшествующего уровня техники, в результате старения чувствительные к действию усилителя нейроны достигают критического порога, что приводит к проявлению патологического состояния системы. Например, мы точно знаем, что в случае чувствительных к действию усилителя дофаминергических нейронов, из-за разрушения системы в результате старения, при появлении симптомов болезни Паркинсона (сокращенно БП) содержание дофамина в полосатом теле достигает критического уровня (30% нормального уровня), что позволяет диагностировать заболевание.

Общеизвестно, что, независимо от способа и типа биологических видов, используемых для изучения характеристик любого типа, наблюдатель сталкивается со значительными различиями индивидуальных характеристик. Независимо от того, какие функции исследуются, в каждой группе млекопитающих встречаются индивидуумы с пониженными и повышенными параметрами. В случае чувствительного к действию усилителя регулирования нашими исследованиями продолжительности жизни было показано, что при введении депренила индивидуумы с пониженными параметрами достигают уровня индивидуумов с более высокими параметрами (Knoll, 1988; Knoll, , Yen, 1989; Knoll, Yen, Miklya, 1994).

Все это верно и для чувствительного к действию усилителя механизма TMS. Поскольку превентивное введение веществ-усилителей в оптимальных дозах поддерживает более высокий уровень активности системы TMS, момент начала проявление первой опухоли сдвигается, и опухоль проявляется позднее; при этом большая процентная доля крыс умирает раньше, чем снижение активности системы TMS переходит критический порог, то есть до начала неингибированной пролиферации опухолевых клеток. Например, в рассматриваемом эксперименте последнее животное из группы крыс, которым вводили солевой раствор (N равно 40), погибло на 32-ом месяце жизни. Половина группы (20 крыс) умерли до начала проявления опухоли. Мы можем заключить, что в соответствии с функцией TMS эти крысы обладали повышенными параметрами. У другой половины крыс (20 крыс) в течение жизни развивались опухоли. Таким образом, у этих крыс возрастное снижение усилительного регулирования в нейронах TMS переходило за критический порог, и мы наблюдали проявление фибромиксосаркомы. Поддержание более высокого уровня активности нейронов TMS посредством пожизненного введения, например, 0,05 мг/кг ВРАР, замедляло возрастное снижение усилительного регулирования в нейронах TMS, и фибромиксосаркому наблюдали только у 7 крыс (см. Фиг. 11).

Опыты с веществами-усилителями показали, что в мозге действует ранее неизвестный механизм TMS, чувствительный к действию усилителя. С помощью профилактического введения синтетического вещества-усилителя нам удалось значительно повысить шансы индивидуума избежать проявления опухоли, к которой предрасположен соответствующий вид. Микроскопические и гистологические отличия фибромиксосарком, развивающихся у крыс, получавших солевой раствор или усилитель, отсутствовали. Кроме того, из Фиг. 13 видно, что значительных различий в периодах времени, прошедших с начала проявления опухоли до гибели крыс, которым постоянно вводили солевой раствор, депренил или ВРАР, не имеется.

Из данных Таблицы 2 видно, что значительных различий возрастных изменений масс тела у крыс, получавших солевой раствор или усилитель, не имеется.

Поскольку вещества-усилители в оптимальных концентрациях чрезвычайно специфично действуют на находящиеся в мозге чувствительные к действию усилителя нейроны, отсутствие эффективного действия ВРАР и депренила на две клеточные линии медуллобластомы человека является серьезным свидетельством в пользу того, что в организме используемого в наших опытах вида крыс, предрасположенных к проявлению фибромиксосаркомы, действует ранее неизвестное чувствительное к влиянию усилителя регулирование, которое замедляет проявление опухоли. Из-за возрастного снижения усилительного регулирования, количество крыс, у которых проявляются опухоли, со временем постепенно увеличивается. Поддержание подходящей дозы вещества-усилителя поддерживает более высокий уровень активности чувствительных к действию усилителя нейронов и значительно снижает количество крыс, у которых проявляются опухоли.

Получение соединений-усилителей согласно изобретению рассмотрено, например, в следующих патентах и патентных заявках: WO 1999007667А1, WO 1988002254 (А1).

Предпочтительно применяют энантимерно чистое соединение.

В общем, получение композиций соединений-усилителей согласно изобретению должно быть знакомо специалистам в данной области техники. Для этого, в целом, может быть использовано достаточно полное руководство по получению таких ингибиторов МАО, как селегилин, за исключением введения значительно более низких доз и модификации композиции для введения таких низких доз.

Например, модификации композиций депренила (селегилина), хорошо известны в данной области техники [см., например, Clarke А. с соавт. J. Neural Transm. 2003 Nov; 110(11): 1257-71. A new low-dose formulation of selegiline: clinical efficacy, patient preference and selectivity for MAO-B inhibition (Новая, содержащая низкую дозу композиция селегилина: клиническая эффективность, предпочтительность для пациентов и селективность ингибирования МАО-В); Fowler, Joanna S., Evidence that Formulations of the Selective MAO-B Inhibitor, Selegiline, which Bypass First-Pass Metabolism, also Inhibit MAO-A in the Human Brain (Свидетельство того, что композиции селективного ингибитора МАО-В, селегилина, который не подвергается пресистемному метаболизму, также ингибируют МАО-А в мозге человека); Neuropsychopharmacology advance, online публикация, 29 октября 2014 г.; doi: 10,1038/npp.2014.214].

В общем, буккальные композиции и композиции с быстрым и медленным высвобождением, содержащие низкие дозы, хорошо известны в данной области техники и могут быть применены согласно настоящему изобретению в соответствии с нуждами пациента.

В частности, получение медикаментов с низкими дозами подробно рассмотрено в следующих публикациях: Ahmed Н., Shah N. (2000) Formulation of low dose medicines - theory and practice (Композиции медикаментов с низкими дозами -теория и практика). Am. Pharm. Rev. 3(3): 9-14; Jack Zheng (2009) Formulation and Analytical Development for Low-Dose Oral Drug Products (Композиция и аналитическая разработка лекарственных продуктов с низкими дозами для перорального введения). John Wiley & Sons.

Ниже изобретение дополнительно рассмотрено с помощью приведенных примеров. Следует отметить, что примеры приведены лишь для иллюстрации, и описание изобретения включает все приведенные в нем сведения.

ОПИСАНИЕ ПРИМЕРОВ ОСУЩЕСТВЛЕНИЯ ИЗОБРЕТЕНИЯ

Пример 1

Исследования продолжительности жизни у крыс с применением (-)Депренила и (-)ВРАР в качестве эталонного соединения

Материалы и способы

Материалы

(-)1 -(Бензофуран-2-ил)-2-пропил-аминопентан«НО [(-)ВРАР] Fujimoto Pharmaceutical Corp., Осака, Япония; (-)депренил (селегилин), Sanofi-Chinoin, Будапешт, Венгрия; Тетрабеназин⋅HCl (синтезирован проф. С. , Отделение Органической химии, Университет технических наук (University of Technical Sciences), Будапешт, Венгрия).

Животные

Эксперименты проводили с самцами крыс породы Wistar (Charles River), имеющими массу тела 250-350 г, поступивших из колонии молодняка Университета Semmelweis (Semmelweis University). Животных выдерживали при 12-часовом светотемновом цикле и при контролируемой температуре (22 плюс/минус 2°С) и относительной влажности (55 плюс/минус 5%). Температуру и относительную влажность в помещении проверяли ежесуточно. Крысы имели неограниченный доступ к стандартному лабораторному корму и водопроводной воде. Все процедуры проводились в соответствии с Европейской Конвенцией по защите позвоночных животных, используемых для экспериментальных и других научных целей. Исследование было одобрено Комитетом по этике отношений к животным Университета Semmelweis (Semmelweis University), Будапешт (номер разрешения: 1810/003/2004).

Выбор подходящих CAE доз депренила и ВРАР для исследования продолжительности жизни с помощью экспериментов с челночной камерой

В модифицированной версии челночной камеры в течение 5 последовательных суток проводили анализ приобретения двустороннего условного рефлекса избегания (CAR). Крысу помещали в бокс, внутри разделенный на две части перегородкой, в середине которой имелась маленькая дверца, и животное тренировали пересекать перегородку под действием условного раздражителя (УР, вспышки света). Если животное не демонстрировало ответной реакции в течение 5 секунд, то его наказывали разрядом тока в лапу (1 мА), т.е. безусловным раздражителем (БР). Если крыса не демонстрировала ответной реакции в течение 5 секунд до БР, это расценивали как нарушение реакции избегания (НРИ). Один опыт состоял из 10-секундного интервала между опытами и последующего 20-секундного действия УР. Последние 5 секунд УР перекрывались с 5 секундами БР. В каждом промежутке обучения количество CAR, НРИ и межсигнальных реакций (МСР) пересчитывали автоматически и оценивали с помощью многофакторного анализа ANOVA.

Введение тетрабеназина (1 мг/кг подкожно) высвобождает по меньшей мере 90% норэпинефрина и дофамина из их хранилищ, расположенных в нервных окончаниях катехоламинергических нейронов ствола головного мозга. Из-за слабого действия катехоламинергического мозгового двигателя (англ. engine) активация кортикальных нейронов остается ниже уровня, необходимого для развития CAR. Дефицит научения, вызванный введением тетрабеназина, может быть подавлен посредством введения синтетического вещества CAE или ингибитора МАО-А, но при этом не происходит селективного ингибирования МАО В-типа или ингибирования обратного захвата катехоламинов и/или серотонина (Knoll с соавт., 1992).

Вещества-усилители оказывают усилительное действие с определенной дозовой зависимостью: влияние усилителя характеризуется бимодальной колоколообразной кривой концентрация-эффект.Активность норадренергических нейронов повышается под действием ВРАР, вводимого в фемто/пикомолярном диапазоне концентраций ("специфичное влияние усилителя"), а также в диапазоне концентраций, в 10 миллионов раз превышающих указанную ("неспецифичное влияние усилителя"). Депренил представляет собой менее мощное САЕ-вещество, чем ВРАР, но в остальном оказывает специфичное и неспецифичное влияние усилителя с теми же характеристиками, что и ВРАР (Knoll с соавт., 1999, Knoll, Miklya, Knoll В, 2002).

На Фиг. 3 показано, что в этом испытании in vivo усиливающее влияние депренила (D) также характеризуется бимодальной колоколообразной кривой зависимости доза-эффект. Для исследования продолжительности жизни нами были выбраны две дозы депренила, 0,001 мг/кг и 0,1 мг/кг. Доза 0,001 мг/кг была выбрана в качестве оптимальной дозы, которая оказывала специфичное влияние усилителя. В качестве дозы, характерной для неспецифичного влияния усилителя, для исследования продолжительности жизни была выбрана менее эффективная доза 0,1 мг/кг, поскольку она позволяет МАО В типа в достаточной степени окислять соответствующие моноамины. На Фиг. 3 также показано, что, благодаря ингибированию МАО-А, очень высокие дозы депренила (5-10 мг/кг) позволяют подавлять вызванный тетрабеназином дефицит научения.

На Фиг. 4 представлено дозозависимое влияние ВРАР при испытании в челночной камере. Для исследования продолжительности жизни были выбраны оптимальные дозы, которые вызывали специфичное (0,0001 мг/кг) и неспецифичное (0,05 мг/кг) влияние усилителя. Поскольку ВРАР блокирует активность МАО-А в дозе, превышающей 2 мг/кг (Knoll с соавт., 1999), он подавляет вызываемый тетрабеназином дефицит научения в чрезвычайно высоких дозах (2-10 мг/кг).

Тот факт, что 0,0001 мг/кг ВРАР подавляет вызываемый тетрабеназином дефицит научения в опытах в челночной камере (Фиг. 4) неоспоримо является первым свидетельством in vivo уникального механизма, посредством которого вещества-усилители "заводят" катехоламинергический мозговой двигатель. В оптимально низких дозах PEA и депренил, а также, триптамин и ВРАР повышают способность к возбуждению чувствительных к действию усилителя нейронов, и, таким образом, мы можем измерить усиление опосредуемого проведением импульса высвобождения медиаторов из катехоламинергических и серотонинергических нейронов в мозгу. В низких дозах депренил представляет собой селективное вещество CAE. ВРАР, который преимущественно является веществом-усилителем серотонинергической активности, даже в качестве вещества CAE обладает большей усиливающей эффективностью, чем D.

Исследование продолжительности жизни

Исследование продолжительности жизни проводили на 200 самцах крыс, поступивших из колонии молодняка Университета Semmelweis. Крысы родились в конце февраля 2010 г. После 2-месячного периода акклиматизации крыс случайным образом разделили на 5 равных групп. Исследование продолжительности жизни началось в начале мая 2010 г. Животных наблюдали до наступления естественной смерти. Данные, полученные в этом исследовании, включали изменения, наблюдаемые до 31 октября 2012 г., поскольку последнее животное из группы, которой вводили солевой раствор, умерло 31 октября 2012 г. Как указано ниже, несколько крыс из группы, которой вводили усилитель, еще оставались в живых к 1 ноября 2012 г.

Во время проведения исследования продолжительности жизни крыс располагали по 5 особей в клетках из поликарбоната (высота: 18 см; ширина: 42 см; длина: 44 см), покрытых сверху нержавеющей сталью. Подстилки в клетках меняли 3 раза в неделю (понедельник, среда и пятница). Массу тела измеряли один раз в месяц. Терапию начинали по окончании второго месяца жизни крыс. Солевой раствор, (-)-депренил и (-)-ВРАР, соответственно, вводили подкожно 3 раза в неделю (понедельник, среда и пятница). Терапевтические режимы пяти групп крыс, участвовавших в исследовании продолжительности жизни, представлены в Таблице 3. Для предотвращения смешивания групп и индивидуумов, крыс, которым вводили солевой раствор, нумеровали синим от 1 до 40; крыс, которым вводили депренил, нумеровали зеленым от 1 до 80 (от 1 до 40: крысы, которым вводили 0,1 мг/кг, и от 41 до 80: крысы, которым вводили 0,001 мг/кг); крыс, которым вводили ВРАР, нумеровали черным от 1 до 80 (от 1 до 40: крысы, которым вводили 0,05 мг/кг, и от 41 до 80: крысы, которым вводили 0,0001 мг/кг).

Наблюдение опухолей

Мы скрупулезно наблюдали появление подкожной опухоли и ее развитие вплоть до гибели животного. Гистологический анализ выполняли post mortem на телах нескольких крыс, отобранных из каждой группы в качестве примеров.

Образовавшиеся у крыс подкожные опухоли измеряли по двум наибольшим диаметрам. После умерщвления животных, опухоли извлекали и фотографировали. Сразу же после извлечения ткани помещали в 10% нейтральный формалин (в фосфатно-солевой буферный раствор, рН 7,0) на 24 часа при комнатной температуре, обезвоживали и погружали в парафин. Вырезали секции толщиной 3-4 микрометра, которые, согласно обычно практике, окрашивали гематоксилином и эозином (Г/Э).

Опухоли имели серовато-белый цвет и мягкую консистенцию. В некоторых случаях можно было наблюдать области кровотечений и некроза различной степени. Согласно гистологическому анализу, клетки опухолей были круглыми или удлиненными с закругленными или овальными ядрами и эозинофильной цитоплазмой. В отдельных случаях были видны фигуры митоза. Клетки были погружены в бледную частично эозинофильную, частично базофильную рыхлую матрицу, которая содержала области волокон коллагена. Опухоль внедрялась в подкожные ткани и поперечнополосатые мышцы.

Для подтверждения происхождения опухолей в зафиксированных формалином и погруженных в парафин секциях были проведены иммуногистохимические реакции. После удаления парафина и восстановления влагосодержания микроскопические препарат инкубировали в присутствии следующих первичных антител: против виментина (Dako, Glostrup, Дания, разбавление 1:1200), антител гладких мышц (англ. smooth muscle antibodies, сокращенно "SMA", Dako, разбавление 1:400), десмина (Dako, разбавление 1:300), Ki67 (Dako, разбавление 1:100). Реакции проводили в автоматизированной системе иммуногистохимического окрашивания Ventana Benchmarck XT (Ventana Medical System Inc., Тусон, Аризона, США) с помощью способа обнаружения HRP Multimer в отсутствии биотина. Реагенты и вторичные антитела были предоставлены Ventana (iView DAB Detection Kit, Ventana).

Иммуногистохимический анализ выявил мезенхимальное происхождение опухолевых клеток, которые ярко окрашивались виментином, однако, реакции с SMA и десмином были отрицательными. Реакции Ki67 были положительными в доле опухолевых клеток, составляющей до 5%, что указывает на пролиферацию опухолевых клеток.

Конечный гистологический диагноз - фибромиксосаркома подкожной ткани.

Результаты исследований продолжительности жизни

Эффект продления продолжительности жизни, оказываемый введением низких доз депренила и ВРАР, в которых они проявляют "специфичное" и "неспецифичное" усиливающее влияние

В двух исследованиях продолжительности жизни с использованием депренила, проведенных нами до обнаружения CAE эффекта этого лекарственного средства, мы вводили дозу депренила, составляющую 0,25 мг/кг, которая полностью блокировала активность МАО-В в мозге. В этом исследовании мы использовали максимальные дозы депренила, в которых соединение оказывает "неспецифичное" и "специфичное" усиливающее влияние в экспериментах в челночной камере (см. Фиг. 3).

Первое животное из группы, которой вводили солевой раствор, умерло на 9-м месяце жизни, и последнее животное умерло на 32-м месяце жизни.

На Фиг. 5 показано, что в группе крыс, которым вводили 0,1 мг/кг депренила, первое животное умерло на 11-м месяце жизни, и 2 крысы оставались в живых до достижения полных 32 месяцев (Р более 0,05). На Фиг. 6 показано, что в группе крыс, которым вводили 0,001 мг/кг депренила, первое животное умерло на 13-м месяце жизни, и ни одна из крыс не дожила до возраста полных 32 месяцев (Р более 0,05).

Несмотря на то, что, согласно данным, представленным на Фиг. 5 и Фиг. 6, депренил не увеличивает в значительной степени продолжительность жизни крыс, изменение тенденции очевидно. Однако, крыс, которым вводили В (ВРАР), жили значительно дольше, чем их собратья, которым вводили солевой раствор.

На Фиг. 7 показано, что в группе крыс, которым вводили 0,05 мг/кг ВРАР, первое животное умерло на 14-м месяце жизни, и 5 крыс оставались в живых до достижения возраста полных 32 месяцев (*Р менее 0,05). На Фиг. 8 показано, что в группе крыс, которым вводили 0,0001 мг/кг ВРАР, первое животное умерло на 16-м месяце жизни, и одна крыса доживала до возраста полных 32 месяцев (*Р менее 0,05).

Эффект подавления проявления опухоли (TMS), оказываемый депренилом и ВРАР

В процессе наших исследований продолжительности жизни нами было обнаружено, что в мозге подопытных крыс действует особый, ранее неизвестный, чувствительный к действию усилителя механизм TMS.

Естественной особенностью крыс породы Wistar (Charles River) является то, что приблизительно к концу первого года жизни у них начинают проявляться быстро растущие фибромиксосаркомы, пронизывающие подкожные ткани, включая мышцы, и количество крыс, имеющих опухоли, с течением времени возрастает, и, наконец, приблизительно половина популяции вымирает из-за развития фибромиксосарком.

В нашем текущем исследовании продолжительности жизни опухоль появилась у первого животного из группы крыс, которым вводили солевой раствор, в течение 11-го месяца жизни, и у 20 крыс этой группы опухоли появились еще до окончания 27-го месяца жизни. Два последних животных этой группы умерли в течение 32-го месяца жизни.

В группе крыс, которым вводили 0,1 мг/кг депренила, опухоль появилась у первого животного в течение 16-го месяца жизни, и у 11 крыс этой группы опухоли появились еще до окончания 32-го месяца жизни. Опухоль у последнего животного появилась в течение 32-го месяца жизни. Две крысы этой группы все еще живы. На Фиг. 9 показано, что введение крысам 0,1 мг/кг депренила значимым образом подавляло проявление фибромиксосаркомы (Р менее 0,01).

В группе крыс, которым вводили 0,001 мг/кг депренила, опухоль появилась у первого животного в течение 12-го месяца жизни, и у 15 крыс этой группы опухоли появились к концу 32-го месяца жизни. Опухоль у последнего животного появилась в течение 29-го месяца. Последнее животное этой группы умерло на 32-м месяце жизни. На Фиг. 10 показано, что, несмотря на то, что эффект TMS 0,001 мг/кг депренила не был значимым, сомнений в общей тенденции нет.

В группе крыс, которым вводили 0,05 мг/кг ВРАР, опухоль появилась у первого животного в течение 13-го месяца жизни, и у 7 крыс в этой группе опухоли появились к концу 32-го месяца жизни. Опухоль у последнего животного появилась на 29-м месяце жизни. Пять крыс этой группы все еще живы. На Фиг. 11 показано, что введение крысам 0,05 мг/кг ВРАР значимым образом подавляло проявление фибромиксосаркомы (Р менее 0,001).

В группе крыс, которым вводили 0,0001 мг/кг ВРАР, опухоль появилась у первого животного в течение 25-го месяца жизни, и у 8 крыс этой группы опухоли появились к концу 32-го месяца жизни. Опухоль у последнего животного появилась в течение 31-го месяца. Одна крыса из этой группы все еще жива. На Фиг. 12 показано, что введение крысам 0,0001 мг/кг ВРАР подавляло значимым образом проявление фибромиксосаркомы (Р менее 0,001).

Описание опухолей

Макроскопическое описание

У крыс появляются твердые опухоли, локализованные подкожно. Для иллюстрации характерной подкожной локализации фибросарком были сделаны фотографии.

Опухоли были хорошо очерчены, однако, видимой капсулы обнаружено не было. Для иллюстрации поверхностей среза опухолей, которые имели серовато-белый цвет и не имели специфичной структуры, были сделаны фотографии. В отдельных случаях были видны небольшие геморрагические участки и желтые гомогенные области некроза.

Гистология

На окрашенном гематоксилином-эозином (НЕ, от англ. hematoxylin-eosin) срезе клетки опухоли находились в рыхлой, бледной эозинофильной матрице с большим количеством мелких сосудов. Клетки опухоли имели удлиненную или звездообразную форму и расположенные по центру или смещенные от центра закругленные ядра и бледную эозинофильную цитоплазму. В отдельных случаях обнаруживались фигуры митоза. При проведении реакции окрашивания Шифф-йодной кислотой (англ. Periodic acid-Schiff, сокращенно PAS), матрица давала слабую положительную реакцию, клетки опухоли в основном давали отрицательную реакцию. Для иллюстрации характерной гистологии подкожных опухолей были сделаны фотографии.

Иммуногистохимия

В результате иммуногистохимической реакции клетки опухоли имели резко положительное окрашивание по виментину. Антитело к SMA (антиген гладких мышц, от англ. smooth muscle antigen) окрашивало только сосуды, клетки опухоли имели отрицательное окрашивание. Анти-десминовые антитела реагировали только с теми компонентами мышц, в которые были внедрены отрицательно окрашенные клетки опухоли.

Реакция на Н-кальдесмон была отрицательной.

Полученные данные служат экспериментальным свидетельством того, что с течением времени постоянно увеличивался процент крыс породы Wistar, участвовавших в наших исследовании, у которых развивались быстро растущие подкожные фибромиксосаркомы, и кажется очевидным, что проявление таких опухолей является естественной особенностью этой породы крыс.

ПРИМЕР 2

Эксперименты с культивированными клеточными линиями медуллобластомы человека

Клеточные линии

Клеточная линия медуллобластомы человека, Daoy, была приобретена у АТССС, и клеточная линия UW-228 была любезно предоставлена проф. Silber (Univerity of Washington, Seattle, WA, США).

Выдержка

Клеточные линии Daoy и UW-228-2 выдерживали в культуральной среде (каждую - в 500 мл минимальной эссенциальной среды Игла, альфа модификация (М8042, Sigma, St Louis, США)) с 50 мл фетальной телячьей сыворотки (англ. fetal calf serum, сокращенно FCS) (Gibco), 40 мг гентамицина (Sandoz), 5 мл раствора натриевой соли пировиноградной кислоты (S8636, Sigma, St Louis, США), 5 мл раствора заменимой аминокислоты (М7145, Sigma, St Louis, США), 10 мл L-глутамина (Sigma, St Louis, США) при 37°С во влажном 5% CO2.

Оценка пролиферации

В каждую лунку 96-луночных планшетов (Sarstedt) высевали 3×103 клеток Daoy или UW-228-2, суспендированных в 100 мкл своей собственной среды, дополненной 10% FCS. Спустя 24 часа после посева, клетки в течение 72 часов обрабатывали лекарственными средствами, растворенными в дополнительных 100 мкл среды. Сначала обе клеточные линии обрабатывали (-)-ВРАР и (-)-депренилом в режиме монотерапии для построения кривых зависимости доза-эффект в концентрациях 10-6, 10-7, 10-8, 10-9, 10-10, 10-11, 10-12, 10-13 и 10-14 М. При комбинированной терапии применяли 10-3, 3,3×10-4, 1,1×10-5 и 3,7×10-5 М темозоломида (Schering Plough, США) или 0,04, 0,2, 1, 5 мкМ цисплатина (Ebewe Pharma, Австрия) или 0,04, 0,2, 1, 5 мкМ этопозида (Ebewe Pharma, Австрия) или 10-7, 10-6, 10-5 и 10-4 мкМ (UW228-2) или 0,001, 0,005, 0,025 и 0,125 мкМ (Daoy) винкристина (Richter Gedeon, Венгрия) в режиме монотерапии или в комбинации с 10-13 или 10-8 М (-)-ВРАР или (-)-депренилом.

Пролиферацию клеток оценивали с помощью анализа с использованием МТТ (от англ. 3-(4,5-Dimethylthiazol-2-yl)-2,5-diphenyltetrazolium bromide, т.е. бромид 3-(4,5-диметилтиазол-2-ил)-2,5-дифенилтетразолия) (М5655, Sigma) после обработки в течение 72 часов способом, предусмотренным протоколом, предоставляемым изготовителем.

Статистика

Значимость в различии поведения у разных групп в челночной камере оценивали с помощью многофакторного дисперсионного анализа (ANOVA). Значимость в отношении периода времени, прошедшего с начала проявления опухоли до гибели крыс, и в отношении возрастных изменений массы тела у крыс, которым постоянно вводили вещества-усилители, анализировали с помощью однофакторного дисперсионного анализа (ANOVA). Статистический анализ уровня выживаемости и проявления опухоли проводили способом Каплана-Мейера (Kaplan-Meier).

Результаты экспериментов с культивируемыми клеточными линиями медуллобластомы человека

Влияние веществ-усилителей было проанализировано нами на примере двух культивируемых клеточных линий медуллобластомы человека: клеточной линии Daoy НТВ-186, полученной из десмопластической церебеллярной медуллобластомы (Jacobsen с соавт., 1985), и клеточной линии UW-228-2, полученной из медуллобластомы задней черепной ямки с диплоидным содержанием ДНК (Keles с соавт., 1985); влияние депренила и ВРАР было проанализировано на примере девяти концентраций в диапазоне от 10-14 до 10-6 М. Ни депренил, ни ВРАР не оказывали влияния на пролиферацию культивируемых клеток медуллобластомы ни в одной из экспериментальных концентраций. Кроме того, ни ВРАР, ни депренил не изменяли эффективность исследуемых хорошо известных ингибиторов пролиферации опухолевых клеток (см. "Исследованные комбинации" в описании способов).

Отсутствие влияния веществ-усилителей на пролиферацию культивируемых клеток опухоли согласуется с физиологической функцией чувствительного к действию усилителя TMS регулирования.

Пример 3

Исследование продолжительности жизни мышей породы FVB/N - подавление самопроизвольного проявления карциномы легкого

Для определения влияния (-)-депренила и (-)-ВРАР на продолжительность жизни мышей производили вскрытие выбранных случайным образом мышей из группы, которой вводили такие дозы названных препаратов, в которых они оказывают "специфичное" (низкая доза, т.е. доза, специфичная для усилителя) и "неспецифичное" (боле высокая доза, т.е. доза, неспецифичная для усилителя) усиливающее влияние, а также производили определение проявления карциномы легкого у выбранных случайным образом мышей, которых умерщвляли в возрасте 6 месяцев, 1 года, 1,5 лет и 2 лет.

Способы

Пяти группам мышей ежесуточно, начиная с момента полового созревания, вводили две различные дозы

(-)-депренила и (-)-ВРАР, соответственно.

Группа 1: Контроль: Солевой раствор

Группа 2: ВРАР, низкая доза: 0,0001 мг/кг (-)-ВРАР

Группа 3: ВРАР, высокая доза: 0,05 мг/кг (-)-ВРАР

Группа 4: Депренил, низкая доза: 0,001 мг/кг (-)-депренила

Группа 5: Депренил, высокая доза: 0,1 мг/кг (-)-депренила

Всего в экспериментах участвовали 172 мыши. Массу тела измеряли раз в два месяца.

Для проведения мониторинга мы планировали умерщвлять мышей из каждой группы в возрасте 6 месяцев, 1 года, 1,5 лет и 2 лет; остальных животных оставляли до наступления естественной смерти.

Результаты

Исследование продолжительности жизни все еще продолжается; до настоящего времени (ноябрь 2015 г. ) было произведено вскрытие подопытных мышей возрастом 6 месяцев, 1 год и 1,5 года. У мышей в возрасте 6 месяцев и 1 год, которым вводили солевой раствор, не было обнаружено карциномы легкого. Однако, у 75% мышей возрастом 1,5 года, которым вводили солевой раствор, была обнаружена опухоль, в то время как у мышей возрастом 1,5 года, которым вводили усилитель, развитие опухоли было значительно меньше, или опухоль полностью отсутствовала.

Результаты представлены в Таблице 4 и на Фиг. 14. Уровни значимости вычисляли в соответствии с оценкой по двустороннему критерию Хи-квадрат.

Из данных, представленных в Таблице 4, ясно, что ни у одной из вскрытых в возрасте 18 месяцев мышей, которым вводили дозу, специфичную для усилителя, не была обнаружена карцинома легкого.

На Фиг. 14 представлен результат вычисления значимости для четырех мышей, которым вводили солевой раствор, и общего количества мышей, равного 14, которым ежесуточно вводили указанные в Таблице 4 вещества-усилители в течение 18 месяцев.

Пример 4

Измерение уровня моноаминовых нейромедиаторов, высвобождаемых из ствола головного мозга крысы при электростимуляции (сравнительный пример)

Это определение может быть произведено, с учетом соответствующих изменений, аналогично определению, рассмотренному в Примере 2 документа ЕР 1052259 В1 (соответствующего заявке WO 2000026204 А1). Способ рассмотрен в публикации Knoll J., Knoll В., Miklya I. Life Sci., 58, 2101-2114 (1996).

Вкратце, ствол головного мозга (средняя масса которого составляла приблизительно 800 мг) извлекали из организма крыс и вымачивали в насыщенном кислородом растворе Кребса. Затем раствор меченого нейромедиатора, интенсивность высвобождения которого измеряли, добавляли в препарат, после чего захват протекал в подходящей среде. При необходимости активность МАО ингибировали.

После захвата моноамина ствол головного мозга фиксировали в подходящем инкубаторе органов и промывали в подходящем растворе, улучшая захват и предотвращая метаболизирование моноамина.

Периодически производили фракционирование перфузата, и, если моноамин имел радиометку, фракции смешивали со сцинтилляционной жидкостью.

Соединение (соединения) согласно изобретению растворяли в перфузатном буфере в концентрации, характерной для усилителя. В качестве (отрицательного) контроля может быть использован перфузатный буфер или подходящий буфер, не содержащий соединения. В качестве положительного контроля может быть использовано соединение с известным усиливающим влиянием.

Если необходимо построить кривую влияния усилителя (обычно бимодальная кривая), то готовят растворы различных концентраций, входящих в диапазон возможных концентраций.

Перед началом электростимуляции в орган в течение достаточного времени способом перфузии вводили буфер, содержащий соединение (соединения) согласно изобретению.

Ствол головного мозга подвергали стимуляции импульсами прямоугольной формы (например, 3 Гц, 1 мсек, 60 В), например, в течение 3 минут. В начале эксперимента до первой стимуляции выдерживали несколько, например, три периода покоя фракции (англ. fraction). Впоследствии выдерживали несколько, например, семь периодов покоя фракции (англ. fraction) между стимуляциями.

Было подтверждено, что соединение согласно изобретению усиливает высвобождение моноаминового нейромедиатора посредством усиления экзоцитоза при электростимуляции нейронных клеток.

Результаты

Если требуется определить низкую дозу или минимальную дозу соединения согласно изобретению, которая вызывает высвобождение моноаминового нейромедиатора из мозга, подвергаемого электростимуляции (например, ствола мозг), то минимальная доза соединения-усилителя составляет ниже минимальной дозы ингибитора МАО, в частности, значительно ниже, и обычно составляет менее 0,04 или 0,02 мкг/мл или более предпочтительно не превышает или составляет менее 0,015 мкг или 0,01 мкг/мл.

Если готовят серию концентраций, лежащих в определенном диапазоне, то обычно получается бимодальная кривая высвобождаемого количества моноамина, которая является функцией концентрации соединения согласно изобретению. Однако, в диапазоне низких концентраций, характерных для влияния усилителя, получают по меньшей мере колоколообразную кривую. Обычно средняя часть этой кривой находится ниже значений 0,04 или 0,02 мкг/мл или более предпочтительно не выше или ниже 0,015 мкг или 0,01 мкг/мл.

Пример 5

Измерение количества биогенных аминов, высвобождаемых из тканей мозга

Это определение может быть произведено, с учетом соответствующих изменений, аналогично определению, рассмотренному в Примере 4 документа ЕР 1052259 В1 (соответствующего заявке WO 2000026204 А1). Способ рассмотрен в публикации Knoll J., Knoll В., Miklya I. Life Sci, 58, 2101-2114 (1996).

Ткани мозга (такие как полосатое тело, черное вещество, обонятельный бугорок, голубоватое пятно и линия соединения), выделенные из организмов крыс, например, крыс породы Wistar, вымачивали в насыщенном кислородом растворе Кребса при температуре тела. Препараты помещали в инкубатор органов и инкубировали в течение подходящего времени, по мере необходимости заменяя раствор. После вымачивания ткани (тканей) в течение подходящего времени в растворе Кребса, содержащем соединения согласно изобретению, определяли количество биогенного амина, высвобожденного в течение этого периода. Соединение (соединения) согласно изобретению, если это возможно -положительный контроль, который представляет собой известное соединение-усилитель, растворенные в солевом растворе, а также солевой раствор, используемый в качестве отрицательного контроля, вводили подкожно за 30 минут до извлечения образцов мозга.

Количество соответствующего амина, высвобожденного в течение 20 минут, измеряли, например, хроматографическими способами, и записывали в виде наномоль/г ткани. Разность внутри средних определяли, например, с помощью параметрического t-критерия Стьюдента. Уровень значимости устанавливали, например, следующий: Р менее 0,05.

Ожидалось, что соединение-усилитель усиливает высвобождение моноаминового нейромедиатора. В частности, чистое соединение-усилитель усиливает высвобождение моноаминового нейромедиатора, будучи в низкой концентрации, например, в концентрации, составляющей меньше эффективной концентрации ингибитора МАО, в частности, в концентрации менее 0,05 или 0,02 мг/кг в сутки или предпочтительнее не более или менее 0,015 мг/кг в сутки или 0,01 мг/кг в сутки или менее 0,005 или 0,002 мг/кг в сутки, или более предпочтительно -не более или менее 0,0015 мг/кг в сутки или 0,001 мг/кг в сутки.

ВОЗМОЖНОСТЬ ПРОМЫШЛЕННОГО ПРИМЕНЕНИЯ

Особенный механизм действия подходящих низких, специфичных для усилителя доз веществ-усилителей лежит в основе их уникальной безопасности. В чрезвычайно низкой дозе, в которой они оказывают свое специфичное усиливающее влияние, они селективно превращают чувствительные к действию усилителя нейроны, имеющие низкие показатели, в нейроны с более высокими показателями.

Поскольку влияние усилителя характеризуется бимодальной колоколообразной кривой концентрация-эффект, для достижения подходящих показателей необходим заданный диапазон концентраций, характерный для специфичного усиливающего влияния вещества-усилителя, и при этом концентрации, превышающие или лежащие ниже заданного диапазона, являются менее эффективными.

Пожизненное превентивное употребление медикамента требует уникальной безопасности лекарственного средства. Все применяемые в настоящее время лекарственные средства сильно изменяют физиологические жидкости, омывающие клетки высокоорганизованного живого материала, то есть они, в принципе, несовместимы с ежесуточным введением в течение всей жизни. Напротив, синтетические вещества-усилители согласно настоящему изобретению, в частности, в низких концентрациях, в которых они оказывают свое специфичное усиливающее влияние, превращают чувствительные к действию усилителя нейроны, имеющие низкие показатели, в нейроны с более высокими показателями, оставляя физиологические жидкости, омывающие нейроны, неизменными, то есть подходят для пожизненного превентивного употребления.

Вещества-усилители согласно настоящему изобретению, например, депренил или РРАР, оказывают специфичное усиливающее влияние в очень низких дозах. Обычно, как показано на примере депренила, они переносимы в более высоких дозах, и диапазон безопасности этих соединений уникален. Обнаружение авторами настоящего изобретения ранее неизвестного механизма, а именно регулирования подавления проявления опухоли (TMS), действующего в мозге млекопитающего, представляет собой пример ранее неизвестного чувствительного к действию усилителя регулирования в мозге.

В настоящем описании авторы настоящего изобретения впервые рассмотрели механизм подавления опухоли, основанный на катехоламинергической специфичной усиливающей активности синтетических соединений-аналогов фенилэтиламина. Представленные результаты показывают, что вещества-усилители согласно настоящему изобретению повышают активность катехоламинергических нейронов количественно и иным образом, нежели другие лекарственные средства, применяемые для этой цели в настоящее время.

Изобретение относится к фармацевтическим препаратам, в частности, медикаментам, применяемым при предупреждении и лечении рака, в частности, для подавления проявления опухоли, а также к способам такого предупреждения и лечения.

Цитируемая литература

Ahmed Н, Shah N. (2000) Formulation of low dose medicines - theory and practice. Am. Pharm. Rev. 3(3): 9-14.

Archer, JR & Harrison, DE (1996) L-Deprenyl treatment in aged mice slightly increases life spans, and greatly reduces fecundity by aged males. J Gerontol Ser A - Biol Sci Med, 51: B448-453.

Bickford, PC, Adams, SJ, Boyson, P, et al. (1997) Long-term treatment of male F344 rats with deprenyl: assessment of effects on longevity, behavior, and brain function. Neurobiol Aging, 3:309-318.

Clarke A et al. (2003). A new low-dose formulation of selegiline: clinical efficacy, patient preference and selectivity for MAO-B inhibition. J Neural Transm. 110(11): 1257-71.

, J & , L (1996) Longevity treatment with (-)-deprenyl in female rats: effect on copulatory activity and lifespan. Acta Physiologica Hungarica 84: 277-278.

Fowler, Joanna S. et al., (29 October 2014) Evidence that Formulations of the Selective MAO-B Inhibitor, Selegiline, which Bypass First-Pass Metabolism, also Inhibit MAO-A in the Human Brain; Neuropsychopharmacology advance online publication, published on-line; doi: 10.1038/npp.2014.214

Freisleben, HJ, Lehr, F, Fuchs, J (1994) Lifespan of immunosuppressed NMRI-mice is increased by (-)-deprenyl. J Neural Transm Suppl., 41: 231-236.

Jacobsen PF, Jenkyn DJ, Papdimitriou JM (1985) Establishment of a human medulloblastoma cell line and its heterotransplantation into nude mice. J Neuropathol Exp Neurol 44: 472-485.

Jordens, RG, Berry, MD, Gillott, C, et al. (1999) Prolongation of life in an experimental model of aging in Drosophila Melanogaster. Neurochem Res 24: 227-233.

Keles GE, Berger MS, Srinivasan J etal (1995) Establishment and characterization of four human medulloblastoma cell lines. Oncol Res 7: 493:503.

Kitani, K, Kanai, S, Sato, Y, et al. (1993) Chronic treatment of (-)deprenyl prolongs the life span of male Fischer 344 rats. Further evidence. Life Sci 52:281-288.

Kitani K, Kanai S, Ivy GO, Carrillo MC, (1998) "Assessing the effects of deprenyl on longevity and antioxidant defenses in different animal models" Annals of the New York Acadey of Sciences 854 291-306.

Knoll J (1988) The striatal dopamine dependency of life span in male rats. Longevity study with (-)deprenyl. Mech Ageing Dev 46: 237-262.

Knoll J (1994) Memories of my 45 years in research. Pharmacol Toxicol 75: 65-72

Knoll J, Knoll В and Miklya I (1996) "High performing rats are more sensitive toward catecholaminergic activity enhancer (CAE) compounds than their low performing peers" Life Sci 58: 945-952.

Knoll J (1998) (-)Deprenyl (selegiline) a catecholaminergic activity enhancer (CAE) substance acting in the brain. Pharmacol Toxicol 82: 57-66.

Knoll J (2001) Antiaging compounds: (-)Deprenyl (Selegiline) and (-)1-(benzofuran-2-yl)-2-propylaminopentane, (-)BPAP, a selective highly potent enhancer of the impulse propagation mediated release of catecholamines and serotonin in the brain. CNS Drug Rev 7: 317-345.

Knoll J (2003) Enhancer regulation/endogenous and synthetic enhancer compounds: A neurochemical concept of the innate and acquired drives. Neurochem Res 28: 1187-1209

Knoll J (2005) The Brain and Its Self. A Neurochemical Concept if the Innate and Acquired Drives. Berlin, Heidelberg, New York: Springer; p. 1-176.

Knoll J (2006) Az agy tudata. A szerzett . , Budapest, 266 oldal.

Knoll J (2012) How Selegiline ((-)-Deprenyl) Slows Brain Aging. Bentham e-Books

Knoll J, Magyar K (1972) Some puzzling effects of monoamine oxidase inhibitors. Adv. Bioch Psychopharmacol 5: 393-408.

Knoll, J, Ecsery, Z, Kelemen, K, Nievel, J, Knoll, В (1964) Phenylisopropylmethyl-propinylamine HCL (E-250) egy pszichoenergetikum. MTA V. Oszt. . 15: 231-238.

Knoll, J, Ecseri, Z, Kelemen, K, Nievel, J, Knoll, В (1965) Phenylisopropylmethyl propinylamine (E-250) a new psychic energizer. Arch int Pharmacodyn 155: 154-164.

Knoll J, Vizi ES, Somogyi G (1968) Phenylisopropylmethylpropinylamine (E-250), a monoamine oxidase inhibitor antagonizing the effects of tyramine. Arzneimittelf 18: 109-112.

Knoll J, Dallo J, Yen TT (1989) Striatal dopamine, sexual activity and lifespan.

Longevity of rats treated with (-)deprenyl. Life Sci 45:525-531.

Knoll J, Knoll В, Z, J, Yasar S (1992) The pharmacology of 1-phenyl-2-propylaminopentane (PPAP), a deprenyl-derived new spectrum psychostimulant. Arch int Pharmacodyn 316: 5-29.

Knoll J, Yen TT, Miklya I (1994) Sexually low performing male rats die earlier than their high performing peers and (-)deprenyl treatment eliminates this difference. Life Sciences 54: 1047-1057.

Knoll, J & Miklya, I (1994), 'Multiple, small dose administration of (-)deprenyl enhances catecholaminergic activity and diminishes serotoninergic activity in the brain and these effects are unrelated to MAO-B inhibition', Archives Internationales de Pharmacodynamie etde , 328: 1-15.

Knoll J, Miklya I (1995) Enhanced catecholaminergic and serotoninergic activity in rat brain from weaning to sexual maturity:rationale for preventive (-)deprenyl medication. Life Sciencies 56: 611-620.

Knoll J, Yoneda F, Knoll B, Ohde H, Miklya I (1999) (-)1-(Benzofuran-2-yl)-2-propylaminopentane, [(-)BPAP], a selective enhancer of the impulse propagation mediated release of catecholamines and serotonin in the brain. Br J Pharmacol 128: 1723-1732.

Knoll J, Miklya I, Knoll B, J (2000) Sexual hormones terminate in the rat the significantly enhanced catecholaminergic/serotoninergic tone in the brain characteristic to the post-weaning period. Life Sci 67: 765-773.

Knoll J, Miklya I, Knoll В (2002) Stimulation of the catecholaminergic and serotoninergic neurons in the rat brain by R-(-)-1-(benzofuran-2-yl)-2-propylaminopentane, (-)-BPAP. Life Sci 71: 2137-2144.

Lancet Editorial (1982) Deprenyl in Parkinson's Disease. The Lancet 2:695-696.

Miklya I (2011) The Knoll-concept to decrease the prevalence of Parkinson's disease. Chapter5 In: David I. finkelstein (Ed.), Towards new therapies for Parkinson's Disease, InTech Open Acces Publisher (www.intechopen.com), pp. 77-100.

Miklya I, Knoll J (2003) Analysis of the effect of (-)-BPAP, a selective enhancer of the impulse propagation mediated release of catecholamines and serotonin in the brain. Life Sci 72: 2915-292.

Milgram, MW, Racine, RJ, Nellis, P, et al. (1990) Maintenance on L-(-)deprenyl prolongs life in aged male rats. Life Sci 47: 415-420.

Ruehl, WW, Entriken, TL, Muggenberg, BA, et al. (1997) Treatment with L-deprenyl prolongs life in elderly dogs. Life Sci 61: 1037-1044.

Stoll, S, Hafner, U, Kranzlin, B, Muller, WE (1997) Chronic treatment of Syrian hamsters with low-dose selegiline increases life span in females but not males. Neurobiol Aging 18:205-211.

Taketo, M., Schroeder, A.C, Mobraaten, L.E. et al., (1991) FVB/N: An inbred mouse strain preferable for transgenic analyses. Proc. Natl. Acad. Sci. USA 88:2065-2069

ThyagaRajan S, Felten SY, Felten DL. (1998) Antitumor effect of L-deprenyl in rats with carcinogen-induced mammary tumors. 123(2) 177-83.

Waldmann, ТА (March 2003). "Immunotherapy: past, present and future.". Nature Medicine 9 (3): 269-77

Weinberg, Robert A (2014). "The Biology of Cancer." Garland Science

Zheng Jack (2009) Formulation and Analytical Development for Low-Dose Oral Drug Products. John Wiley & Sons.

Похожие патенты RU2731102C2

название год авторы номер документа
АРИЛАЛКИЛАМИНОВЫЕ СОЕДИНЕНИЯ ДЛЯ ПРИМЕНЕНИЯ ДЛЯ ПРОФИЛАКТИКИ ИЛИ ЛЕЧЕНИЯ РАКА 2015
  • Кнолль, Йожеф
  • Микья, Ильдико
  • Фердинанди, Петер
  • Шулер, Дежё
  • Шафф, Жужанна
  • Экхардт, Шандор
RU2714893C2
СПОСОБ ПОЛУЧЕНИЯ ФЕНИЛАЛКИЛАМИНОВ ИЛИ ИХ ФАРМАКОЛОГИЧЕСКИ ПРИЕМЛЕМЫХ СОЛЕЙ 1989
  • Йожеф Кнолл[Hu]
  • Антал Шимаи[Hu]
  • Ева Синньеи[Hu]
  • Ева Шомфаи[Hu]
  • Золтан Терек[Hu]
  • Карой Можолитш[Hu]
  • Янош Бергманн[Hu]
RU2007384C1
ФАРМАЦЕВТИЧЕСКАЯ КОМПОЗИЦИЯ И СПОСОБ ЕЕ ПОЛУЧЕНИЯ, СПОСОБ ЛЕЧЕНИЯ НАРУШЕНИЙ, РАЗВИВАЮЩИХСЯ ВСЛЕДСТВИЕ НЕЙРОДЕГЕНЕРАТИВНЫХ ПРОЦЕССОВ 1992
  • Кальман Мадьяр
  • Йожеф Гаал
  • Иштван Сираки
  • Йожеф Лендьел
  • Анна Сабо
  • Каталин Мармароши
  • Иштван Хермец
  • Иштван Сатмари
  • Золтан Терек
  • Петер Кермеци
RU2125448C1
ПРОИЗВОДНЫЕ ПЕНТАДИКАРБОНОВОЙ КИСЛОТЫ, ФАРМАЦЕВТИЧЕСКАЯ КОМПОЗИЦИЯ НА ИХ ОСНОВЕ И СПОСОБЫ ЛЕЧЕНИЯ 1999
  • Джексон Пол Ф.
  • Маклин Кит М.
  • Уанг Эрик
  • Слашер Барбара С.
  • Лейпидус Рина С.
  • Мейджер Павел
RU2268881C2
ПРИМЕНЕНИЕ ПРОИЗВОДНЫХ К-252А ДЛЯ ЛЕЧЕНИЯ РАССТРОЙСТВ ПЕРИФЕРИЧЕСКОЙ ИЛИ ЦЕНТРАЛЬНОЙ НЕРВНОЙ СИСТЕМЫ И ИЗБЫТОЧНОЙ ВЫРАБОТКИ ЦИТОКИНА 1997
  • Энгбер Томас М.
  • Хаун Форрест А.
  • Сапорито Майкл С.
  • Эймон Лайза Д.
  • Миллер Мэттью С.
  • Найт Эрнест Мл.
RU2183959C2
ЭНДОГЕННАЯ ФАРМАЦЕВТИЧЕСКАЯ КОМПОЗИЦИЯ, ПОЛУЧЕННАЯ НА ОСНОВЕ ЦЕЛЕНАПРАВЛЕННОЙ АКТИВАЦИИ ГУМОРАЛЬНЫХ МЕДИАТОРОВ НЕРВНЫХ ОКОНЧАНИЙ КОРЫ ГОЛОВНОГО МОЗГА 2003
  • Пинигина Н.М.
  • Лацерус Л.А.
  • Лацерус Ф.Э.
RU2244928C2
АЛЬФА-ПРОИЗВОДНЫЕ ЦИС-МОНОНЕНАСЫЩЕННЫХ ЖИРНЫХ КИСЛОТ, ПРЕДНАЗНАЧЕННЫЕ ДЛЯ ПРИМЕНЕНИЯ В КАЧЕСТВЕ ЛЕКАРСТВЕННОГО СРЕДСТВА 2009
  • Эскриба Руис Пабло Висенте
  • Бускетс Ксаубет Ксавьер
  • Барсело Коблихн Гвендолин
  • Льадо Каньельас Виктория
  • Альварес Мартинес Рафаэль
  • Терес Хименес Сильвия
  • Лопес Даниэль
  • Барсело Эстарельас Хуана
  • Тейлор Грин Хулиан
  • Авила Мартин Херардо
RU2531353C2
ПЕПТИДЫ ИЗ ЯДА СКОРПИОНА Rhopalurus junceus И ФАРМАЦЕВТИЧЕСКАЯ КОМПОЗИЦИЯ 2011
  • Фрага Кастро, Хосе, Антонио
  • Медина Гали, Регла, Мариа
  • Диаз Гарсиа, Алексис
  • Гуевара Ореллана, Ираниа
  • Родригуез Торрес, Каридад, Клара
  • Родригуез Коипел, Джудит
  • Рикуенес Гарлобо, Янелис
  • Гонзалез Марреро, Изабель
  • Перез Капоте, Мария, Регла
RU2563348C2
НОВАЯ КРИСТАЛЛИЧЕСКАЯ ФОРМА 6-ГИДРОКСИ-3-(4-[2-(ПИПЕРИДИН-1-ИЛ)ЭТОКСИ]ФЕНОКСИ)-2-(4-МЕТОКСИФЕНИЛ) БЕНЗО[B]ТИОФЕНА ГИДРОХЛОРИДА 2000
  • Буш Джули Кэй
  • Конрад Престон Чарльз
  • Флом Мерлин Джерард
  • Льюк Вэйн Дуглас
RU2240319C2
НОВАЯ КРИСТАЛЛИЧЕСКАЯ ФОРМА 6-ГИДРОКСИ-3-(4-[2-(ПИПЕРИДИН-1-ИЛ)ЭТОКСИ]ФЕНОКСИ)-2-(4-МЕТОКСИФЕНИЛ) БЕНЗО[B]ТИОФЕНА ГИДРОХЛОРИДА 2000
  • Буш Джули Кэй
  • Конрад Престон Чарльз
  • Флом Мерлин Джерард
RU2240318C2

Иллюстрации к изобретению RU 2 731 102 C2

Реферат патента 2020 года АРИЛАЛКИЛАМИНОВЫЕ СОЕДИНЕНИЯ ДЛЯ ПРИМЕНЕНИЯ ДЛЯ ПРОФИЛАКТИКИ ИЛИ ЛЕЧЕНИЯ РАКА

Изобретение относится к способу профилактики или лечения рака или ракового метастаза у млекопитающего соединением общей формулой II или его фармацевтически приемлемой солью как единственным биологически активным веществом, представляющим собой соединение-усилитель катехоламинергической активности, которое усиливает высвобождение катехоламинового нейромедиатора из катехоламинергических нейронов в центральной нервной системе, суточная доза, менее 0,01 мг на кг массы тела, где в формуле II Q представляет собой группу, состоящую из замещенного или незамещенного ароматического шестичленного цикла, и где, если Q замещен, то заместитель выбран из группы, состоящей из водорода, гидроксила, C1-4-алкила, C1-4-алкокси и галогена, предпочтительно Q замещен одним или двумя заместителями или не имеет заместителей, R1 представляет собой C1-5-алкил, предпочтительно представляет собой метил, этил или пропил, R2 представляет собой C1-4-алкил, C2-4-алкенил или C2-4-алкинил, R3 представляет собой водород, метил или этил. Технический результат – разработан новый способ профилактики или лечения рака посредством соединения формулы (II), который может найти применение в медицине. 14 з.п. ф-лы, 14 ил., 4 табл., 5 пр.

Формула изобретения RU 2 731 102 C2

1. Способ профилактики или лечения рака или ракового метастаза у млекопитающего, включающий введение указанному млекопитающему соединения-усилителя нейронной активности в качестве единственного биологически активного вещества, где указанное соединение имеет общую формулу II, или его фармацевтически приемлемой соли,

где указанное соединение представляет собой соединение-усилитель катехоламинергической активности, которое усиливает опосредуемое проведением импульса высвобождение катехоламинового нейромедиатора из катехоламинергических нейронов в центральной нервной системе,

в виде суточной дозы, составляющей менее 0,01 мг на кг массы тела,

где в формуле II:

Q представляет собой группу, состоящую из замещенного или незамещенного ароматического шестичленного цикла,

и где, если Q замещен, то

заместитель выбран из группы, состоящей из водорода, гидроксила, C1-4-алкила, C1-4-алкокси и галогена, предпочтительно Q замещен одним или двумя заместителями или не имеет заместителей,

R1 представляет собой C1-5-алкил, предпочтительно представляет собой метил, этил или пропил,

R2 представляет собой C1-4-алкил, C2-4-алкенил или C2-4-алкинил,

R3 представляет собой водород, метил или этил.

2. Способ по п. 1, где в указанной формуле II Q представляет собой незамещенный ароматический шестичленный цикл и где предпочтительно Q представляет собой фенильную группу, и R1 представляет собой метил, этил или пропил, и R2 представляет собой C2-3-алкил, C2-3-алкенил или C2-3-алкинил, предпочтительно R2 представляет собой этинил, и R3 представляет собой водород или метил.

3. Способ по п. 1, где указанное соединение-усилитель имеет общую формулу IV

где в общей формуле IV:

R1 представляет собой метил, этил или пропил и

R2 представляет собой метил, этил, этинил или пропил, предпочтительно этил или этинил,

R3 представляет собой водород, метил или этил.

4. Способ по п. 3, где в общей формуле IV:

R1 представляет собой метил, этил или пропил и

R2 представляет собой этил или этинил,

R3 представляет собой водород или метил.

5. Способ по п. 1, где указанное соединение представляет собой

(R)-1-фенил-N-пропилпентан-2-амин ((-)-PPAP).

6. Способ по п. 1, где указанное соединение представляет собой

(R)-N-метил-N-(1-фенилпропан-2-ил)проп-2-ин-1-амин (селегилин или (-)-

депренил).

7. Способ по п. 1, где суточная доза составляет менее 0,005 мг/кг массы тела.

8. Способ по п. 7, где суточная доза составляет менее 0,0025 мг/кг массы тела.

9. Способ по любому из пп. 1-8, где млекопитающее представляет собой половозрелого человека, предпочтительно взрослого человека.

10. Способ по любому из пп. 1-9, где рак представляет собой злокачественную опухоль или рак выбран из группы, состоящей из карцином, сарком, лейкемий, лимфом и гермином, предпочтительно рак представляет собой карциному или саркому соединительной ткани.

11. Способ по п. 10, где злокачественная опухоль представляет собой карциному.

12. Способ по любому из пп. 1-9, где рак представляет собой злокачественную опухоль или новообразование.

13. Способ по п. 12, где указанное соединение вводят субъектам в течение по меньшей мере 2, 3, 5, 6, 8 или 10 месяцев.

14. Способ по п. 13, где указанное соединение вводят субъектам в течение по меньшей мере 1, 2, 3, 4, 5 или 6 лет.

15. Способ по п. 1, где оптическая чистота указанного соединения превышает 80%.

Документы, цитированные в отчете о поиске Патент 2020 года RU2731102C2

THYAGARAJAN S
et al., Cancer Lett., 1998 Jan 30; 123(2): 177-83
LAI CT et al., Toxicol.Appl.Pharmacol., 1997 Jan; 142 (1): 186-91
KITANI K
et al., Ann
N Y Acad
Sci., 2006 Mqay; 1067: 375-82
Металлический водоудерживающий щит висячей системы 1922
  • Гебель В.Г.
SU1999A1
УСТРОЙСТВО И СПОСОБ ОБРАБОТКИ КОЖИ 2007
  • Биттер Ахмед
  • Грант Энтони
  • Вольски Алекс
  • Миллс Десмонд
  • Герберт Кевин
RU2451495C2
SHIMAZU S
et al., Life Sci., 2003 May 2; 72(24): 2785-92
Способ защиты переносных электрических установок от опасностей, связанных с заземлением одной из фаз 1924
  • Подольский Л.П.
SU2014A1
WO

RU 2 731 102 C2

Авторы

Кнолль Йожеф

Микья Ильдико

Фердинанди Петер

Шулер Дежё

Шафф Жужанна

Экхардт Шандор

Даты

2020-08-28Публикация

2015-12-07Подача