МАТЕРИАЛ ДЛЯ ОЧИСТКИ КРОВИ Российский патент 2021 года по МПК A61M1/36 B01D15/38 B01D63/02 B01J20/26 

Описание патента на изобретение RU2749419C2

ОБЛАСТЬ ТЕХНИКИ, К КОТОРОЙ ОТНОСИТСЯ ИЗОБРЕТЕНИЕ

[0001]

Настоящее изобретение относится к материалу для очистки крови.

УРОВЕНЬ ТЕХНИКИ

[0002]

В последние годы были достигнуты успехи в технологии очистки крови, особенно в технологии удаления гуморальных факторов из крови, для лечения воспалительных заболеваний или предтрансплантационной иммуносупрессии.

[0003]

В Патентном документе 1 предложен подход, при котором нерастворимый в воде материал используется в качестве материала для удаления или инактивации цитокинов, которые представляют собой один вид белков, в котором нерастворимый в воде материал, мочевинная связь и аминогруппа; или мочевинная связь, амидная группа и аминогруппа; или амидная группа, аминогруппа и гидроксильная группа вводятся на подложку, состоящую из полимерного материала.

[0004]

Патентный документ 2 раскрывает нерастворимый в воде материал, в который введены амидная группа и аминогруппа, подходящий для удаления белков высокоподвижной группы. Патентный документ 2 сообщает, что слишком малое содержание аминогруппы не позволяет достичь желаемой эффективности адсорбции, а слишком большое содержание аминогруппы ухудшает физическую прочность нерастворимого в воде носителя, а также имеет тенденцию уменьшать эффективность адсорбции, и соответственно это содержание предпочтительно составляет 0,03 мкмоль - 1 ммоль, более предпочтительно 0,1 мкмоль - 0,1 ммоль на 1 г нерастворимого в воде носителя.

[0005]

Патентный документ 3 раскрывает материал для очистки крови, в котором используются волокна диаметром 50 мкм или меньше. Патентный документ 3 сообщает, что слишком малое содержание аминогруппы имеет тенденцию не проявлять функцию этой группы, а слишком большое содержание аминогруппы имеет тенденцию уменьшать физическую прочность тканевой структуры, и соответственно это содержание предпочтительно составляет 0,01-2,0 моль, более предпочтительно 0,1-1,0 моль на повторяющееся звено полимера.

[0006]

В Патентном документе 4, который относится к разделительной мембране для искусственных почек, была предпринята попытка увеличить адсорбируемое количество окисленных ЛПНП путем прививки гидрофильного полимера, содержащего группу амида, и полиэтиленимина на поверхности подложки.

[0007]

Здесь цитокины относятся к группе белков, которые посредством стимула, такого как инфекция или травма, производятся различными клетками, такими как иммунокомпетентные клетки, высвобождаются внеклеточно и получают возможность действовать. Многие из них являются известными, включая интерферон-α, интерферон-β, интерферон-γ, интерлeйкин-1β, интерлeйкин-1 - интерлeйкин-15, α-фактор некроза опухоли, β-фактор некроза опухоли, коробка-1 группы белков с высокой подвижностью, эритропоэтин, хемотаксические факторы моноцита и т.п. Первоначально считалось, что цитокины являются веществами, которые организмы производят для биоиммунитета, но выяснилось, что группа белков, таких как β-фактор некроза опухоли, интерлeйкин-6, интерлeйкин-8 и хемотаксические и активизирующие факторы моноцита при их чрезмерном производстве принимают участие в повреждении тканей и патологии при различных воспалительных заболеваниях. Например, имеется сообщение, что применение β-фактора некроза опухоли к животному вызывает септический шок, и соответственно для лечения патологии полезно ингибировать действие фактора некроза опухоли.

[0008]

В случае гиперцитокинемии (например, человеческого сепсиса), при которой наблюдается высокая концентрация свободных цитокинов в крови, концентрации интерлeйкина-6 и интерлeйкина-8 в крови заметно увеличиваются (см. Непатентный документ 1 и Непатентный документ 2), и установлено, что их концентрации в крови коррелируют с патологией и прогнозом. В дополнение к этому указывается, что при аутоиммунных заболеваниях, таких как ревматоидный артрит, аллергические заболевания и т.п., чрезмерное производство интерлeйкина-6 и интерлeйкина-8 связано с патологией.

[0009]

С другой стороны, для лечения вышеупомянутых воспалительных заболеваний путем подавления действия цитокинов была предпринята попытка ввести в живой организм белок, такой как типичное антитело или растворимый рецептор, который специфически связывается с целевым цитокином для ингибирования его действия; или такой белок, как антагонист рецептора, который связывается с рецептором цитокина конкурентно с цитокином.

[0010]

В Непатентном документе 3 была предпринята попытка удаления цитокинов из крови с помощью терапии очистки крови с использованием искусственной почки.

[0011]

Кроме того, в последнее время интерес сосредоточился на комплексе активированный лейкоцит-активированный тромбоцит как на новом возбудителе воспалительных заболеваний. Сообщается, что комплексы активированный лейкоцит-активированный тромбоцит имеют более высокую хемотаксическую активность к тканям, проявляющим воспалительную реакцию, по сравнению с одними только активированными лейкоцитами, и высвобождают больше гистотоксичных веществ, и что взаимодействие между активированным тромбоцитом и активированным лейкоцитом увеличивает высвобождение гистотоксичных веществ активированным лейкоцитом (Непатентный документ 4).

ДОКУМЕНТЫ ПРЕДШЕСТВУЮЩЕГО УРОВНЯ ТЕХНИКИ

ПАТЕНТНЫЕ ДОКУМЕНТЫ

[0012]

Патентный документ 1: JP 4591974 B2

Патентный документ 2: JP 5824873 B2

Патентный документ 3: JP 5293599 B2

Патентный документ 4: JP 4534486 B2

НЕПАТЕНТНЫЕ ДОКУМЕНТЫ

[0013]

Непатентный документ 1: Oda et al., Cytokine, 29, 169-175 (2005)

Непатентный документ 2: Hack et al., INFECT. IMMUN., 60, 2835-2842 (1992)

Непатентный документ 3: Hirasawa et al., MOL. MED., 14, 257-263 (2008)

Непатентный документ 4: Zarbock et al., J. Clin. Invest., 116, 3211-3219 (2006)

СУЩНОСТЬ ИЗОБРЕТЕНИЯ

ПРОБЛЕМЫ, РЕШАЕМЫЕ ИЗОБРЕТЕНИЕМ

[0014]

Однако существует проблема в том, что обычные нерастворимые в воде материалы, имеющие введенные в них амидную группу и аминогруппу, содержат меньшее количество амидной группы на 1 г нерастворимого в воде материала, и содержание аминогруппы также является недостаточным для эффективной очистки крови. Патентный документ 1 не сообщает ни содержание группы амида, ни содержание аминогруппы, подходящие для удаления цитокинов. В Патентных документах 2 и 3 нет никакого описания, относящегося к содержанию группы амида, среди Примеров нет примера, который имел бы введенную группу амида, а также сообщается, что введение большего количества аминогруппы, чем 1 ммоль на 1 г нерастворимого в воде материала, уменьшает эффективность удаления цитокина. В дополнение к этому, нет никаких упоминаний о комплексах активированный лейкоцит-активированный тромбоцит, так же как и о технологии, относящейся к удалению комплексов активированный лейкоцит-активированный тромбоцит.

[0015]

Патентный документ 4 раскрывает разделительную мембрану, в которой, содержащий группу амида гидрофильный полимер и катионный полимер связываются на поверхности подложки с помощью сшивки γ-лучами, но аминогруппа и группа амида не связаны ковалентно в этой разделительной мембране, и достаточная эффективность очистки крови в настоящее время не выражена. В дополнение к этому, эти документы не раскрывают и не предполагают, что увеличение содержания группы амида и аминогруппы является эффективным для улучшения эффективности очистки крови. Кроме того, нет никаких упоминаний о комплексах активированный лейкоцит-активированный тромбоцит, так же как и о технологии, относящейся к удалению комплексов активированный лейкоцит-активированный тромбоцит.

[0016]

Также имеется проблема в том, что приготовление большого количества белка для применения в естественных условиях является очень дорогостоящим, и что если вводимый белок является чужеродным веществом для организмов, то он может вызвать иммунную реакцию, вредную для пациентов.

[0017]

Как упомянуто в Непатентном документе 3, терапия очистки крови с использованием искусственной почки приводит к недостаточному удалению цитокина. В дополнение к этому, искусственные почки обычно не могут удалять компоненты кровяных телец, и поэтому трудно удалить комплексы активированный лейкоцит-активированный тромбоцит.

[0018]

При таких обстоятельствах существует потребность в материале, который мог бы удалять не только цитокины, но также и комплексы активированный лейкоцит-активированный тромбоцит в приложениях очистки крови.

[0019]

С учетом этого задачей настоящего изобретения является предложить материал для очистки крови, который мог бы удалять цитокины и комплексы активированный лейкоцит-активированный тромбоцит.

СРЕДСТВА ДЛЯ РЕШЕНИЯ ПРОБЛЕМ

[0020]

В результате интенсивных исследований для решения описанных выше проблем авторам настоящего изобретения удалось сформулировать следующие пункты (1) - (8).

(1)

Материал для очистки крови, содержащий нерастворимый в воде материал, в котором лиганд, имеющий группу (группы) амида и группу (группы) амина, связывается с подложкой, в котором содержание группы (групп) амида составляет 3,0-7,0 ммоль на 1 г сухого веса нерастворимого в воде материала; и в котором содержание группы (групп) амина составляет 1,0-7,0 ммоль на 1 г сухого веса нерастворимого в воде материала.

(2)

Материал для очистки крови в соответствии с пунктом (1), в котором лиганд, имеющий структуру, представленную нижеприведенной Формулой (I), связывается с подложкой:

(где X - аминогруппа; а волнистая линия показывает положение, в котором лиганд связывается с подложкой).

(3)

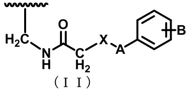
Материал для очистки крови в соответствии с пунктом (1) или (2), в котором лиганд имеет группу фенила, и лиганд, имеющий структуру, представленную нижеприведенной Формулой (II), связывается с подложкой:

(где X - аминогруппа; A - мостик; B - атом водорода или атом галогена; а волнистая линия показывает положение, в котором лиганд связывается с подложкой); и в котором содержание группы фенила составляет больше чем 0 ммоль и не больше чем 7,0 ммоль на 1 г сухого веса нерастворимого в воде материала.

(4)

Материал для очистки крови в соответствии с любым из пунктов (1) - (3), в котором подложка является полистиролом или полисульфоном, или их производным.

(5)

Материал для очистки крови в соответствии с любым из пунктов (1) - (4), в котором материал имеет форму волокон или частиц.

(6)

Материал для очистки крови в соответствии с любым из пунктов (1) - (5), в котором материал имеет форму трикотажной ткани, имеющей долю отверстий 0,1-30,0%.

(7)

Материал для очистки крови в соответствии с любым из пунктов (1) - (6), который предназначен для удаления цитокина и комплекса активированный лейкоцит-активированный тромбоцит.

(8)

Устройство для очистки крови, содержащее материал для очистки крови в соответствии с любым из пунктов (1) - (7).

ЭФФЕКТ НАСТОЯЩЕГО ИЗОБРЕТЕНИЯ

[0021]

Материал для очистки крови в соответствии с настоящим изобретением может удалять цитокины и комплексы активированный лейкоцит-активированный тромбоцит, так что этот материал может использоваться в качестве носителя для очистки крови.

КРАТКОЕ ОПИСАНИЕ ЧЕРТЕЖЕЙ

[0022]

Фиг. 1 показывает части отверстий и закрытые части в материале для очистки крови в форме трикотажной ткани.

Фиг. 2 схематически показывает схему и устройство, используемые в тесте измерения потери давления.

СПОСОБ ОСУЩЕСТВЛЕНИЯ ИЗОБРЕТЕНИЯ

[0023]

Далее настоящее изобретение будет описано подробно.

[0024]

Материал для очистки крови в соответствии с настоящим изобретением характеризуется содержанием нерастворимого в воде материала, в котором лиганд, имеющий группу (группы) амида и группу (группы) амина, связывается с подложкой, в котором содержание группы (групп) амида составляет 3,0-7,0 ммоль на 1 г сухого веса нерастворимого в воде материала; и в котором содержание группы (групп) амина составляет 1,0-7,0 ммоль на 1 г сухого веса нерастворимого в воде материала.

[0025]

Термин «лиганд» означает химическую структуру, содержащуюся в нерастворимом в воде материале для обеспечения эффективности очистки крови.

[0026]

Термин «подложка» означает материал, с которым лиганд, имеющий группу (группы) амида и группу (группы) амина, может быть связан с помощью химической модификации, и который является нерастворимым в воде после иммобилизации лиганда, имеющего группу (группы) амида и группу (группы) амина. Например, подложка является полимерным материалом, имеющим в повторяющихся структурах функциональную группу, реагирующую с углеродным катионом, такую как ароматическое кольцо или гидроксильная группа, и может представлять собой: синтетический полимерный материал, такой как поли(ароматическое виниловое соединение) (например, полистирол), полиэстер (например, полиэтилентерефталат, полибутилентерефталат), полисульфон или поливиниловый спирт; естественный полимерный материал, такой как целлюлоза, коллаген, хитин, хитозан или декстран; или производное, в котором алкильная группа, группа галогена, галоидированная алкильная группа, ацетальная группа, эфирная группа и т.п. придана синтетическому полимерному материалу или естественному полимерному материалу. Примеры производных полистирола включают в себя поли(пара-хлорметилстирол), поли(α-метилстирол), поли(β-метилстирол), поли(пара-трет-бутоксистирол), поли(пара-ацетоксистирол) и поли(пара-(1-этоксиэтокси)стирол). Хотя состав каждого из этих полимерных материалов не ограничен каким-либо одним конкретным, могут использоваться гомополимеры или сополимеры вышеупомянутых полимеров, или множество вышеупомянутых полимерных материалов может быть физически смешано. В частности, для очистки крови предпочтительны материалы, не имеющие гидроксильной группы: поли(ароматические виниловые соединения) (например, полистирол) или их производные; полиэстер (например, полиэтилентерефталат и полибутилентерефталат) или их производные; а также полисульфон или его производные. Более предпочтительными материалами являются полистирол или полисульфон, или их производные; другими словами, полистирол или его производные или полисульфон или его производные. Среди них полистиролы или их производные являются еще более предпочтительными за счет того, что они имеют много ароматических колец на единицу веса и легко переносят введение лиганда, имеющего группу (группы) амида и группу (группы) амина.

[0027]

Полимерный материал, используемый для подложки, может иметь сшитую структуру для того, чтобы проявлять нерастворимость в воде после иммобилизации лиганда. Не существует никаких ограничений на эту сшитую структуру. Предпочтительным материалом является, например, полимерный материал, в который сшитая структура вводится путем сополимеризации бифункционального мономера, такого как дивинилбензол, или полимерный материал, в который сшитая структура вводится путем реакции сшивающего агента, такого как альдегид, с функциональной группой в полимерном материале, такой как ароматическое кольцо или гидроксильная группа. С учетом легкости снабжения более предпочтительным материалом является полимерный материал, в который сшитая структура вводится путем реакции бифункционального соединения с функциональной группой в полимерном материале, такой как ароматическое кольцо или гидроксильная группа, и использование формальдегида в качестве сшивающего агента еще более предпочтительно.

[0028]

Термин «нерастворимый в воде материал» означает материал, нерастворимый в воде. Здесь нерастворимость в воде означает, что сухой вес нерастворимого в воде материала изменяется на 1% или меньше после того, как материал будет помещен в воду. Это изменение сухого веса представляет собой отношение сухого веса твердого содержимого к сухому весу нерастворимого в воде материала, который еще не погружен в воду, причем материал погружается на один час в такое количество воды с температурой 37°C, которое в девять раз больше, чем сухой вес самого материала, затем материал вынимается с использованием микропинцетов и т.п., оставшаяся вода сушится в вакууме при температуре 50°C или меньше, оставляя лишь твердое содержимое. Материал, который не является нерастворимым, создает риск увеличения количества элюата при его реальном использовании, что не является предпочтительным с точки зрения безопасности.

[0029]

Термин «сухой вес» означает вес твердого вещества в сухом состоянии. Здесь твердое вещество в сухом состоянии означает твердое вещество в таком состоянии, в котором количество содержащегося в нем жидкого компонента составляет 1 мас.% или меньше. Когда твердое вещество взвешивается, а затем сушится при 80°C и атмосферном давлении в течение 24 час, и уменьшение его веса по сравнению с весом до сушки составляет 1 мас.% или меньше, это твердое вещество считается находящимся в сухом состоянии.

[0030]

Термин «материал для очистки крови» означает материал, включающий в себя по меньшей мере нерастворимый в воде материал в качестве части материала для очистки крови, и включает в себя материал, состоящий из одного лишь нерастворимого в воде материала, и материал, в котором нерастворимый в воде материал закреплен на подходящем армирующем материале или смешан с ним. Операция закрепления или смешивания может быть выполнена до или после того, как материалу будет придана форма.

[0031]

Химическая структура армирующего материала особенно не ограничивается, и примеры армирующих материалов включают в себя полимерный материал, не имеющий ароматического кольца или гидроксильной группы в повторяющейся структуре, например, гомополимеры или сополимеры полиамида, полиакрилонитрила, полиэтилена, полипропилена, нейлона, полиметилметакрилата или политетрафторэтилена; или материалы, получаемые путем физического смешивания вышеописанных гомополимеров и/или сополимеров; и т.п. Среди них полиэтилен и полипропилен являются предпочтительными.

[0032]

Термин «группа амида» означает амидную связь, включенную в лиганд, которая может быть любой из связи первичного амида, вторичного амида и третичного амида, и предпочтительно является связью вторичного амида. По меньшей мере одна из групп амида, включенных в лиганд, предпочтительно ковалентно связывается с подложкой посредством группы алкилена. Примеры предпочтительных алкиленовых групп включают в себя группу метилена, группу этилена, группу пропилена и т.п., и группа метилена является более предпочтительной.

[0033]

Термин «аминогруппа» означает химическую структуру, имеющую один или более аминов в качестве частичной структуры, и примеры аминогрупп включают в себя аминогруппы, получаемые из аммиака; аминогруппы, получаемые из первичных аминов, таких как аминометан, аминоэтан, аминопропан, аминобутан, аминопентан, аминогексан, аминогептан, аминооктан и аминододекан; аминогруппы, получаемые из вторичных аминов, таких как диметиламин, диэтиламин, дипропиламин, фенилэтиламин, монометиламиногексан и 3-амино-1-пропен; аминогруппы, получаемые из третичных аминов, таких как триэтиламин, фенилдиэтиламин и аминодифенилметан; а также аминогруппы, получаемые из соединений, имеющих множество аминогрупп (именуемых в дальнейшем полиаминами), таких как этилендиамин, диэтилентриамин, триэтилентетрамин, тетраэтиленпентамин, дипропилентриамин, полиэтиленимин (имеющий средневесовую молекулярную массу 500-100000), N-метил-2,2'-диаминодиэтиламин, N-ацетилэтилендиамин и 1,2-бис(2-аминоэтоксиэтан). Среди них аминогруппы, полученные из полиаминов, имеющих высокую молекулярную подвижность, являются подходящими для очистки крови, потому что такие аминогруппы легко приходят в контакт с компонентами крови, но если эти аминогруппы имеют большую молекулярную массу, сами аминогруппы имеют большие стерические затруднения, что уменьшает эффективность очистки крови. Следовательно, предпочтительно, чтобы полиамин содержал 2-7 аминогрупп, и чтобы весь полиамин имел структуру линейной цепи. Например, предпочтительными являются аминогруппы, полученные из этилендиамина, диэтилендиамина, триэтилендиамина, диэтилентриамина, триэтилентриамина, тетраэтилентриамина, триэтилентетрамина, тетраэтилентетрамина, пентаэтилентетрамина, тетраэтиленпентамина, пентаэтиленпентамина, гексаэтиленпентамина, пентаэтиленгексамина, гексаэтиленгексамина, гептаэтиленгексамина, гексаэтиленгептамина, гептаэтиленгептамина или октаэтиленгептамина. Аминогруппы, полученные из этилендиамина, диэтилентриамина, триэтилентетрамина, тетраэтиленпентамина, пентаэтиленгексамина или полиэтиленимина, являются предпочтительными. Аминогруппы, получаемые из тетраэтиленпентамина, являются более предпочтительными. В дополнение к этому, аминогруппы более предпочтительно являются аминогруппами, получаемыми из первичных или вторичных аминов.

[0034]

Количество атомов углерода на один атом азота аминогруппы, включенной в лиганд, предпочтительно составляет 18 или меньше, более предпочтительно 14 или меньше, еще более предпочтительно 8 или меньше, с учетом нуклеофильности и стерических затруднений, которые влияют на соотношение реакций. В этой связи азотный атом аминогруппы предпочтительно замещается алкильной группой. Структура алкильной группы может быть структурой углеводорода с линейной, разветвленной или циклической цепью. Эта структура предпочтительно представляет собой алкильную группу с линейной цепью, такую как группа метила, группа этила, группа пропила, группа бутила, группа пентила, группа гексила, группа гептила или группа октила, и более предпочтительно группу метила, группу этила или группу пропила.

[0035]

Содержание группы (групп) амида на 1 г сухого веса нерастворимого в воде материала составляет 3,0-7,0 ммоль с точки зрения эффективности удаления гуморальных факторов из крови и предела коэффициента замещения в ароматических кольцах. Содержание группы (групп) амида предпочтительно составляет 4,0-7,0 ммоль, более предпочтительно 5,0-7,0 ммоль. Любой предпочтительный нижний предел может быть объединен с любым предпочтительным верхним пределом.

[0036]

Содержание аминогруппы (аминогрупп) на 1 г сухого веса нерастворимого в воде материала составляет 1,0-7,0 ммоль, потому что содержание, которое является слишком низким, уменьшает производительность, а содержание, которое является слишком высоким, уменьшает эффективность реакции введения. Это содержание предпочтительно составляет 1,0-5,0 ммоль, более предпочтительно 2,0-4,0 ммоль. Любой предпочтительный нижний предел может быть объединен с любым предпочтительным верхним пределом. В этой связи содержание группы (групп) амида на 1 г сухого веса нерастворимого в воде материала и содержание группы (групп) амина на 1 г сухого веса нерастворимого в воде материала могут быть объединены любым способом. Например, предпочтительно, чтобы содержание группы (групп) амида на 1 г сухого веса нерастворимого в воде материала составляло 3,0-7,0 ммоль, а содержание группы (групп) амина на 1 г сухого веса нерастворимого в воде материала составляло 1,0-5,0 ммоль. Более предпочтительно, чтобы содержание группы (групп) амида на 1 г сухого веса нерастворимого в воде материала составляло 4,0-7,0 ммоль, а содержание группы (групп) амина на 1 г сухого веса нерастворимого в воде материала составляло 2,0-4,0 ммоль.

[0037]

Термин «лиганд, имеющий группу (группы) амида и группу (группы) амина, означает лиганд, в котором группа (группы) амида и группа (группы) амина ковалентно связаны посредством группы алкилена. Группа амида управляет электронной плотностью аминогруппы, и поэтому у группа алкилена предпочтительно имеет структуру насыщенного углеводорода, имеющего 5 или меньше атомов углерода. Примеры групп алкилена включают в себя группу пентилена, группу бутилена, группу пропилена, группу этилена и метиленовую группу. Метиленовая группа является более предпочтительной. В дополнение к этому, лиганд, имеющий группу (группы) амида и группу (группы) амина, предпочтительно является таким, что с подложкой связывается сторона амидной группы. Нет никакого конкретного ограничения на включение функциональной группы, отличающейся от группы амида и аминогруппы, и лиганд может содержать, например, группу фенила (группа фенила может иметь заместитель, такой как атом галогена, галоидированная алкильная группа и алкильная группа C1-C5 с линейной цепью). В этом случае, группа фенила предпочтительно связывается с аминогруппой посредством нижеупомянутого мостика.

[0038]

Термин «нерастворимый в воде материал, в котором лиганд, имеющий группу (группы) амида и группу (группы) амина, связан с подложкой», является синонимом нерастворимого в воде материала, в котором лиганд, имеющий группу (группы) амида и группу (группы) амина, и подложка связаны, и охватывает как нерастворимый в воде носитель, в котором лиганд, имеющий группу (группы) амида и группу (группы) амина, напрямую связывается с подложкой; так и нерастворимый в воде носитель, в котором лиганд опосредованно связывается с подложкой посредством промежуточной группы, такой как группа алкилена.

[0039]

Таблица 1 показывает примеры различных структур, получающихся в результате связывания с подложкой лиганда, имеющего группу (группы) амида и группу (группы) амина, а Таблицы 2-1-2-7 показывают примеры предпочтительных структур, получающихся в результате связывания с подложкой лиганда, имеющего группу (группы) амида и группу (группы) амина, хотя такие структуры не ограничены этими примерами.

[0040]

[Таблица 1]

[0041]

В Таблице 1 l представляет собой целое число от 0 до 5, m представляет собой целое число от 0 до 5, X представляет собой аминогруппу, A представляет собой мостик, B представляет собой атом водорода или атом галогена, C представляет собой атом водорода или атом галогена, и волнистая линия показывает положение, в котором лиганд связывается с подложкой.

[0042]

[Таблица 2-1]

[0043]

[Таблица 2-2]

[0044]

[Таблица 2-3]

[0045]

[Таблица 2-4]

[0046]

[Таблица 2-5]

[0047]

[Таблица 2-6]

[0048]

[Таблица 2-7]

[0049]

В Таблицах 2-1-2-7 PEI означает полиэтиленимин, имеющий средневесовую молекулярную массу 600-100000, а волнистая линия показывает положение, в котором лиганд связывается с подложкой.

[0050]

Примеры предпочтительных структур, получающихся в результате связывания с подложкой лиганда, имеющего группу (группы) амида и группу (группы) амина, в нерастворимом в воде носителе, включают в себя структуру, представленную следующей Формулой (I):

(где X - аминогруппа; а волнистая линия показывает положение, в котором лиганд связывается с подложкой).

[0051]

X предпочтительно является аминогруппой, полученной из полиамина, и более предпочтительно аминогруппой, полученной из этилендиамина, диэтилентриамина, триэтилентетрамина, тетраэтиленпентамина, пентаэтиленгексамина или полиэтиленимина.

[0052]

Конкретные примеры структур, представленных вышеупомянутой Формулой (I), показаны в Таблице 3, но эти структуры не ограничиваются этими примерами.

[Таблица 3]

[0053]

В Таблице 3 PEI означает полиэтиленимин, имеющий средневесовую молекулярную массу 600-100000, а волнистая линия показывает положение, в котором лиганд связывается с подложкой.

[0054]

Кроме того, структура, представленная следующей Формулой (II), другими словами лиганд, имеющий группу (группы) фенила в дополнение к группе (группам) амида и амина, может связываться с подложкой, и является более предпочтительной, потому что связывание этой структуры может дополнительно ингибировать адгезию тромбоцитов.

(где X - аминогруппа; A - мостик; B - атом водорода или атом галогена; а волнистая линия показывает положение, в котором лиганд связывается с подложкой).

[0055]

X предпочтительно является аминогруппой, полученной из полиамина, и более предпочтительно аминогруппой, полученной из этилендиамина, диэтилентриамина, триэтилентетрамина, тетраэтиленпентамина, пентаэтиленгексамина или полиэтиленимина.

[0056]

A предпочтительно является амидной связью или мочевинной связью.

[0057]

B предпочтительно представляет собой атом водорода или атом хлора.

[0058]

Предпочтительно, чтобы X представлял собой аминогруппу, полученную из полиамина, A являлась амидной связью или мочевинной связью, и B представлял собой атом водорода или атом хлора.

[0059]

Конкретные примеры структур, представленных вышеупомянутой Формулой (II), показаны в Таблицах 4-1-4-6, но такие структуры не ограничены этими примерами.

[0060]

[Таблица 4-1]

[0061]

[Таблица 4-2]

[0062]

[Таблица 4-3]

[0063]

[Таблица 4-4]

[0064]

[Таблица 4-5]

[0065]

[Таблица 4-6]

[0066]

В Таблицах 4-1-4-6 PEI означает полиэтиленимин, имеющий средневесовую молекулярную массу 600-100000, а волнистая линия показывает положение, в котором лиганд связывается с подложкой.

[0067]

Слишком малое содержание группы фенила не проявляет эффект подавления адгезии тромбоцитов, а слишком большое ее содержание уменьшает эффективность удаления гуморальных факторов из крови. Следовательно, содержание группы фенила предпочтительно составляет больше чем 0 ммоль и не больше чем 7,0 ммоль, предпочтительно 0,01-7,0 ммоль, более предпочтительно 0,01-3,0 ммоль, еще более предпочтительно 0,02-2,0 ммоль, и еще более предпочтительно 0,02-1,0 ммоль на 1 г сухого веса нерастворимого в воде материала. Любой предпочтительный нижний предел может быть объединен с любым предпочтительным верхним пределом. В этой связи содержание группы (групп) фенила, содержание группы (групп) амида на 1 г сухого веса нерастворимого в воде материала, и содержание группы (групп) амина на 1 г сухого веса нерастворимого в воде материала могут быть объединены любым способом. Например, предпочтительно, чтобы содержание группы (групп) амида на 1 г сухого веса нерастворимого в воде материала составляло 3,0-7,0 ммоль, содержание группы (групп) амина на 1 г сухого веса нерастворимого в воде материала составляло 1,0-5,0 ммоль, и содержание группы (групп) фенила на 1 г сухого веса нерастворимого в воде материала составляло больше чем 0 и не больше чем 7,0 ммоль. Более предпочтительно, чтобы содержание группы (групп) амида на 1 г сухого веса нерастворимого в воде материала составляло 4,0-7,0 ммоль, содержание группы (групп) амина на 1 г сухого веса нерастворимого в воде материала составляло 2,0-4,0 ммоль, и содержание группы (групп) фенила на 1 г сухого веса нерастворимого в воде материала составляло 0,01-7,0 ммоль. Особенно предпочтительно, чтобы содержание группы (групп) амида на 1 г сухого веса нерастворимого в воде материала составляло 5,0-7,0 ммоль, содержание группы (групп) амина на 1 г сухого веса нерастворимого в воде материала составляло 2,0-4,0 ммоль, и содержание группы (групп) фенила на 1 г сухого веса нерастворимого в воде материала составляло 0,01-3,0 ммоль.

[0068]

Термин «атом галогена» означает атом фтора, атом хлора, атом брома или атом йода.

[0069]

Термин «фенильная группа» означает группу фенила, получаемую из незамещенного бензола или замещенного соединения бензола. Примеры фенильных групп включают в себя бензол, фторбензол, хлорбензол, бромбензол, 1,2-дифторбензол, 1,2-дифторбензол, 1,2-дибромбензол, 1,3-дифторбензол, 1,3-дихлорбензол, 1,3-дибромбензол, 1,4-дифторбензол, 1,4-дихлорбензол, 1,4-дибромбензол и т.п. В целях управления электрическим зарядом аминогруппы предпочтительными являются фенильные группы, полученные из галоидированных бензолов, имеющих приданную им электроноакцепторную группу. Среди прочих предпочтительными являются хлорфенильные группы, полученные из хлорбензола. Электроноакцепторная группа предпочтительно связывается в пара-положении в свете резонансной структуры, и в частности фенильная группа, полученная из хлорбензола, предпочтительно является группой п-хлорфенила, в которой мостик и атом хлора замещены в пара-положении.

[0070]

Термин «мостик» означает химическую связь между вышеупомянутой аминогруппой и вышеупомянутой фенильной группой. Примеры мостиков включают в себя электрически нейтральные химические связи, такие как амидная связь, мочевинная связь, эфирная связь или сложноэфирная связь. Амидная связь или мочевинная связь являются предпочтительными.

[0071]

Форма материала для очистки крови в соответствии с настоящим изобретением не ограничена какой-либо одной конкретной, и предпочтительно является формой волокна или формой частиц, более предпочтительно формой волокна. Кроме того, пучки нитей, нить, сеть, трикотажная ткань и тканая ткань, полученные из волокна, являются предпочтительными среди форм волокна, и пучки нитей, трикотажная ткань и тканая ткань являются более предпочтительными из-за большей площади поверхности и малого сопротивления потоку.

[0072]

Диаметр одиночной нити из волокна может иметь любое значение, и предпочтительно составляет 3-200 мкм, более предпочтительно 5-50 мкм, еще более предпочтительно 10-40 мкм с точки зрения улучшения площади контакта и поддержания прочности материала. Любой предпочтительный нижний предел может быть объединен с любым предпочтительным верхним пределом.

[0073]

Термин «диаметр одиночной нити» означает среднее значение диаметров одиночных нитей из волокна, когда десять малых образцов случайным образом берутся из волокна, каждый образец фотографируется с использованием сканирующего электронного микроскопа при увеличении 1000× - 3000×, и значение диаметра измеряется в 10 точках на каждой фотографии (всего 100 точек).

[0074]

Примеры структуры поперечного сечения волокна включают в себя одиночную нить, состоящую из одного вида полимера, или композитное волокно типа ядра в оболочке, типа «море-остров» или параллельного типа. Предпочтительными с точки зрения поддержания прочности материала при очистке крови являются композитные волокна, в которых армирующий материал используется для компонента ядра, а сплав подложки и армирующего материала используется для компонента оболочки; предпочтительными с точки зрения прядильных свойств являются композитные волокна типа «море-остров», в которых полиэтилентерефталат используется для морского компонента; и предпочтительными являются композитные волокна типа «море-остров», в которых армирующий материал используется для островного компонента, а сплав подложки и армирующего материала используется для морского компонента. Кроме того, предпочтительно, чтобы армирующий материал представлял собой полипропилен, а подложка представляла собой полистирол или его производное.

[0075]

Среди материалов для очистки крови в вышеупомянутых формах трикотажная ткань, войлок и сетка могут быть произведены известным способом с использованием волокна в качестве сырья. Примеры способов производства войлока включают в себя влажный способ, способ прочесывания, способ воздушной укладки, способ склеивания (спанбонд) и способ выдувания из расплава. Примеры способов производства трикотажной ткани и сетки включают в себя способ простого плетения и способ кругового вязания. В частности трикотажная ткань, произведенная способом кругового вязания, является предпочтительной в свете большего веса загрузки на единицу объема и загрузки в устройство для очистки крови.

[0076]

Здесь доля отверстий в материале для очистки крови в форме трикотажной ткани предпочтительно составляет 0,1-30,0%, более предпочтительно 1,0-30,0%, и особенно предпочтительно 7,0-15,0%, поскольку трикотажная ткань, доля отверстий в которой является слишком большой, приводит к распутыванию волокна, усложняет путь потока и вызывает потерю давления при очистке крови, а трикотажная ткань, доля отверстий в которой является слишком малой, закупоривается частицами белка и кровяными тельцами, что повышает давление, и таким образом является неподходящей для очистки крови. Нижний предел доли отверстий предпочтительно составляет 0,1% или больше, более предпочтительно 1% или больше, и особенно предпочтительно 7,0% или больше. Верхний предел доли отверстий предпочтительно составляет 30,0% или меньше, и более предпочтительно 15,0% или меньше. Любой предпочтительный нижний предел может быть объединен с любым предпочтительным верхним пределом.

[0077]

Термин «потеря давления» означает перепад давления между давлением, приложенным к крови для того, чтобы она проходила перпендикулярно через материал для очистки крови в форме трикотажной ткани, и давлением крови, которая прошла через материал для очистки крови в форме трикотажной ткани. В частности, крови позволяют течь через материал для очистки крови в форме трикотажной ткани, давление на входе и давление на выходе измеряются, и значение, получаемое путем вычитания значения давления на выходе из значения давления на входе, является потерей давления.

[0078]

Очистка крови вызывает опасение, что образование потери давления может увеличить давление при очистке крови, и по этой причине значение потери давления предпочтительно составляет 50 мм рт.ст. или меньше, более предпочтительно 30 мм рт.ст. или меньше, и особенно предпочтительно 10 мм рт.ст. или меньше, причем значение потери давления определяется путем вычитания значения давления на выходе из значения давления на входе, при котором кровь проходит со скоростью 100 мл/мин через устройство для очистки крови, в которое загружен материал для очистки крови в форме трикотажной ткани.

[0079]

Потеря давления материала для очистки крови в форме трикотажной ткани может быть измерена путем ламинирования слоев материала для очистки крови в форме трикотажной ткани и пропускания моделируемой крови перпендикулярно через этот ламинат. В этой связи, моделируемая кровь относится к раствору, имеющему ту же самую скорость сдвига, что и человеческая кровь, и примеры моделируемой крови включают в себя 50 мас.% водный раствор глицерина. Конкретный способ измерения будет описан ниже. Сначала слои материала для очистки крови в форме трикотажной ткани ламинируются в контейнере, имеющем входное отверстие и выходное отверстие сверху и снизу. Материал для очистки крови в форме трикотажной ткани укладывается в контейнере так, чтобы он имел плотность загрузки 0,30 г/см3. Затем моделируемая кровь пропускается через контейнер при заданной скорости потока, и измеряются давление на входе и давление на выходе. Затем потеря давления может быть определена путем вычитания значения давления на выходе из значения давления на входе. Скорость потока (мл/мин) моделируемой крови при измерении устанавливается на основе 100 мл/мин на 145 см3 объема контейнера, с учетом клинической практики очистки крови. Если контейнер имеет объем, например, 5 см3, измерение выполняется при скорости потока 100 мл/мин/145 см3 × 5 см3=3,4 мл/мин. Схематическое изображение схемы и устройства, используемых в тесте измерения потери давления, показано на Фиг. 2. На Фиг. 2 моделируемая кровь или человеческая кровь 5, которая готова к прохождению через колонку 4, всасывается с использованием насоса 10 и пропускается через колонку 4. При этом устройство 8 измерения давления на входе и устройство 9 измерения давления на выходе используются для измерения соответствующих давлений, чтобы тем самым определить потерю давления. Моделируемая кровь или человеческая кровь 5, которая готова к прохождению через колонку, поддерживается при постоянной температуре 37°C водяной баней 11. В дополнение к этому, постоянная температура водяной бани 11 поддерживается нагревателем 12. Для схемы 7 может использоваться коммерчески доступная схема для крови.

[0080]

Плотность загрузки означает сухой вес (г) материала для очистки крови в форме трикотажной ткани на единицу объема (см3) материала для очистки крови в форме трикотажной ткани, загруженного в контейнер. Например, 1 г сухого веса материала для очистки крови в форме трикотажной ткани, загруженный в контейнер, имеющий объем 1 см3, имеет плотность загрузки 1 г/см3.

[0081]

Доля отверстий означает отношение открытых частей (отверстий) к сумме открытых частей (3 на Фиг. 1) и закрытых частей (2 на Фиг. 1) в материале для очистки крови в форме трикотажной ткани, и является значением, получаемым путем обработки изображения. В частности, доля отверстий вычисляется с использованием следующих процедур.

[0082]

1. Материал для очистки крови в форме трикотажной ткани фотографируется с использованием оптического микроскопа при увеличении 10×.

2. Запускается программное обеспечение редактирования изображений (например «Photoshop Elements 14» производства компании Adobe Inc.), и следующие операции выполняются в указанном порядке.

(1) Открывается файл изображения, сфотографированного с использованием оптического микроскопа.

(2) Вырезается часть размером 512 × 512 пикселей (262144 пикселя), доля отверстий в которой должна быть определена.

(3) С помощью функции «Освещение» для корректировки изображения вносятся поправки на открытых частях и закрытых частях, которые показывают части материала для очистки крови в форме трикотажной ткани на изображении («Осветлить тень» и «Контраст среднего тона» в пункте меню «Тень/Свет» устанавливаются равными 100%; «Контраст» в пункте меню «Яркость/Контраст» устанавливается равным 100; и «Яркость» устанавливается равной 10).

(4) Если части отверстий и части материала для очистки крови в форме трикотажной ткани (закрытые части) остаются нескорректированными, то они окрашиваются в черный и белый цвета соответственно с помощью инструмента «Кисть» в меню «Рисование».

(5) Это изображение преобразуется в двоичную форму путем выбора цветового тона в фильтре с двумя градациями. Значение корректируется в сравнении с изображением так, чтобы получить две градации. Черные части и белые части рассматриваются как части отверстий и части материала для очистки крови в форме трикотажной ткани (закрытые части) соответственно.

(6) В окне открывается гистограмма, и отношение черных частей к белым частям рассматривается как доля отверстий (%).

[0083]

Термин «очистка крови» означает состояние, в котором по меньшей мере один компонент крови удаляется путем его отделения от крови с помощью по меньшей мере одной операции из адсорбции, диализа или инактивации с использованием материала для очистки крови.

[0084]

Термин «компоненты крови» относится к компонентам, составляющим кровь, и примеры этого включают в себя гуморальные факторы в крови и клетки в крови. Компоненты крови, которые удаляются отделением от крови путем ее очистки, не ограничиваются конкретными компонентами. Предпочтительно удалять гуморальные факторы в крови, и более предпочтительно одновременно удалять гуморальные факторы в крови и клетки в крови.

[0085]

Способ очистки крови от компонентов крови не ограничивается каким-либо одним конкретным способом, и при очистке крови от гуморальных факторов они предпочтительно удаляются из крови путем электростатического взаимодействия или путем связывания водорода с амидной группой (группами) амида и аминогруппой (группами) в нерастворимом в воде носителе, включенном в материал для очистки крови, а также путем гидрофобного взаимодействия с подложкой. В дополнение к этому, при очистке крови от клеток они предпочтительно удаляются электростатическим взаимодействием с аминогруппой (группами), потому что клетки в крови обычно имеют отрицательный электрический заряд.

[0086]

Термин «гуморальные факторы в крови» означает компоненты, содержащиеся в крови. Конкретные примеры гуморальных факторов включают в себя: металлы, такие как натрий, калий, кальций, магний, марганец, железо и кобальт, а также их ионы; фосфор и его ионы; белки, такие как мочевина, β2-микроглобулин, цитокины, IgE и IgG; клетки, такие как эритроциты, лимфоциты, гранулоциты, моноциты и тромбоциты; полисахариды, такие как липополисахарид (LPS); вирусы, такие как вирус гриппа и вирус ВИЧ; а также бактерии, такие как Staphylococcus aureus. Среди них металлы, имеющие структуру, которая взаимодействует с амидо- и аминогруппой (группами) и ионами металлов, фосфор и его ионы, белки, такие как мочевина и цитокины, и полисахариды являются предпочтительными в качестве субъектов очистки крови. Кроме того, цитокины являются более предпочтительными для лечения воспалительных заболеваний.

[0087]

Термин «клетки в крови» означает клетки, содержащиеся в крови, и примеры клеток включают в себя компоненты лейкоцита, такие как гранулоциты, моноциты, нейтрофилы и эозинофилы; эритроциты и тромбоциты. Компоненты лейкоцита предпочтительно удаляются при лечении воспалительных заболеваний. Из них предпочтительно удаляются комплексы активированный лейкоцит-активированный тромбоцит, и особенно предпочтительно удаляются активированные лейкоциты и комплексы активированный лейкоцит-активированный тромбоцит.

[0088]

Термин «активированные лейкоциты» означает лейкоциты, которые вызываются цитокинами, LPS, и т.п. для высвобождения цитокинов, активного кислорода и т.п., и примеры активированных лейкоцитов включают в себя активированные гранулоциты и активированные моноциты. Степень активации может быть определена путем измерения количества активированного кислорода, выделяемого активированными лейкоцитами, или измерения экспрессии поверхностных антигенов с помощью проточной цитометрии и т.п.

[0089]

Термин «активированные тромбоциты» означает тромбоциты, которые вызываются цитокинами, LPS, и т.п. для высвобождения цитокинов, активного кислорода и т.п.

[0090]

Термин «комплексы активированный лейкоцит-активированный тромбоцит» не ограничивается конкретными комплексами, в которых активированный лейкоцит и активированный тромбоцит связаны друг с другом, и примеры этого включают в себя комплексы активированный гранулоцит-активированный тромбоцит и комплексы активированный моноцит-активированный тромбоцит. Для лечения пациентов с воспалительным заболеванием считается необходимым удалять комплексы активированный лейкоцит-активированный тромбоцит, которые, как полагают, напрямую связаны с патологией посредством фагоцитоза в собственные ткани и высвобождения цитокинов.

[0091]

Термин «цитокины» означает группу белков, которые, посредством стимула, такого как инфекция или травма, производятся из различных клеток, таких как иммунокомпетентные клетки, выделяются внеклеточно и могут действовать, и примеры цитокинов включают в себя интерферон-α, интерферон-β, интерферон-γ, интерлeйкин-1 - интерлeйкин-15, α-фактор некроза опухоли, β-фактор некроза опухоли, коробка-1 группы белков с высокой подвижностью, эритропоэтин и хемотаксические факторы моноцитов.

[0092]

Материал для очистки крови в соответствии с настоящим вариантом осуществления предпочтительно используется для удаления цитокинов, более предпочтительно для удаления интерлeйкина-1β, интерлeйкина-6, интерлeйкина-8 или коробки-1 группы белков с высокой подвижностью. В дополнение к этому, материал для очистки крови в соответствии с настоящим вариантом осуществления более предпочтительно используется для удаления цитокинов и комплексов активированный лейкоцит-активированный тромбоцит, еще более предпочтительно для удаления цитокинов, активированных лейкоцитов и комплексов активированный лейкоцит-активированный тромбоцит, еще более предпочтительно для удаления цитокинов, выбираемых из группы, состоящей из интерлeйкина-1β, интерлeйкина-6, интерлeйкина-8 и коробки-1 группы белков с высокой подвижностью, а также для удаления активированных лейкоцитов и комплексов активированный лейкоцит-активированный тромбоцит.

[0093]

Термин «воспалительное заболевание» совокупно относится к заболеваниям, которые инициируют воспалительную реакцию в теле, и воспалительное заболевание, поддающееся лечению, не ограничивается каким-либо одним конкретным заболеванием. Примеры воспалительных заболеваний включают в себя системную красную волчанку, злокачественный ревматоидный артрит, рассеянный склероз, язвенный колит, болезнь Крона, лекарственный гепатит, алкогольный гепатит, гепатит A, гепатит B, гепатит C, гепатит D, гепатит E, сепсис (например, сепсис, полученный от грамотрицательных бактерий, сепсис, полученный от грамположительных бактерий, культурально-негативный сепсис, грибковый сепсис), грипп, острый респираторный дистресс-синдром (ARDS), острое повреждение легких (ALI), панкреатит, идиопатический фиброз легких (IPF), воспалительный энтерит (например, язвенный колит и болезнь Крона), переливание препарата крови, трансплантация органов, реперфузионное повреждение, вызванное трансплантацией органов, холецистит, холангит или несовместимость группы крови новорожденного и т.п. Среди воспалительных заболеваний предпочтительными субъектами являются лекарственный гепатит, алкогольный гепатит, гепатит A, гепатит B, гепатит C, гепатит D, гепатит E, сепсис (например, сепсис, полученный от грамотрицательных бактерий, сепсис, полученный от грамположительных бактерий, культурально-негативный сепсис и грибковый сепсис), грипп, острый респираторный дистресс-синдром (ARDS), острое повреждение легких (ALI), панкреатит и идиопатический фиброз легких (IPF), которые вызывают высвобождение возбудителей в кровь и, как можно ожидать, будут эффективно лечиться с помощью очистки крови; и более предпочтительными субъектами являются в частности сепсис (например, сепсис, полученный от грамотрицательных бактерий, сепсис, полученный от грамположительных бактерий, культурально-негативный сепсис и грибковый сепсис), грипп, острый респираторный дистресс-синдром (ARDS), острое повреждение легких (ALI) и идиопатический легочный фиброз (IPF), которые трудно лечить с помощью одних только лекарственных средств, и в которых участвуют как цитокины, так и активированные лейкоциты-активированные тромбоциты.

[0094]

Термин «адсорбция» означает состояние, в котором гуморальные факторы в крови прилипают к материалу для очистки крови и не могут быть легко высвобождены из этого материала. В частности, адсорбция относится к состоянию, в котором гуморальные факторы в крови прилипают к материалу для очистки крови за счет сил межмолекулярного взаимодействия, таких как электростатическое взаимодействие, гидрофобное взаимодействие, водородная связь и силы Ван-дер-Ваальса, хотя разновидности адсорбции не ограничиваются этим.

[0095]

Материал для очистки крови в соответствии с настоящим изобретением предпочтительно используется в качестве носителя, который загружается в устройство для очистки крови. В тех случаях, когда устройство для очистки крови, использующее материал для очистки крови в соответствии с настоящим изобретением, используется для терапии очистки крови в качестве колонки для экстракорпорального кровообращения, кровь, поступающая из организма, может напрямую проходить через колонку, или колонка может использоваться в комбинации с мембраной для отделения плазмы крови и т.п.

[0096]

Устройство для очистки крови должно иметь форму контейнера, имеющего вход и выход для крови. Примеры этого устройства включают в себя контейнер в форме цилиндрической колонны или контейнер в форме прямоугольной колонны, треугольной колонны, квадратной колонны, шестиугольной колонны или восьмиугольной колонны. Предпочтительными контейнерами являются контейнеры, в которых носитель для адсорбции компонентов крови может быть загружен в форме ламината, контейнеры, в которых носитель для адсорбции компонентов крови может быть загружен в форме цилиндрического рулона, а также такие цилиндрические контейнеры, в которых кровь течет в контейнер от периферии цилиндра и вытекает из контейнера.

[0097]

Материал для очистки крови может быть произведен с использованием, например, но не ограничиваясь этим, следующего способа производства.

[0098]

Когда нерастворимый в воде материал, содержащий полимер, и армирующий материал, содержащий полимер, смешиваются, смесь материала подложки и армирующего материала получается таким образом, что подложка и армирующий материал нагреваются до температуры стеклования или выше, месятся (например, месятся в расплаве с использованием двухосного месящего экструдера) и прилипают друг к другу (например, за счет контактного связывания с помощью пресса или путем прядения из расплава для получения структуры «море-остров»), или таким образом, что подложка растворяется в хорошем растворителе, армирующий материал покрывается раствором подложки, и растворитель испаряется. Затем путем связывания подложки и лиганда, которые включены в смесь материала подложки и армирующего материала, которая получается с помощью вышеупомянутой операции, можно получить смесь нерастворимого в воде материала, содержащего полимер, и армирующего материала, содержащего полимер.

[0099]

Что касается производства нерастворимого в воде материала, в котором лиганд, имеющий группу (группы) амида и группу (группы) амина, связан с подложкой, например, подложка, связанная с карбамоилхлоридом, производится путем добавления субстрата к раствору кислоты Льюиса (например, хлорида алюминия (III)) и карбамоилхлорида, имеющего галоидированную алкильную группу (например, N,N-бис(2-хлорэтил)карбамоилхлорида), растворенного в неполярном растворителе (например, дихлорметане), и перемешивания полученного раствора. Затем прореагировавшая подложка вынимается и добавляется к раствору соединения амина (например, тетраэтиленпентамина) в диметилсульфоксиде, в результате чего может быть получен нерастворимый в воде материал.

[0100]

Используемая подложка может быть любой коммерчески доступной подложкой. В этой связи подложка предпочтительно представляет собой подложку, сформованную в волокно, более предпочтительно волокно, содержащее полистирол или его производное. Полистирол или его производное могут быть произведены известным способом или подобным способом. Используемый армирующий материал может быть любым коммерчески доступным материалом, и предпочтительно является полиэтиленом или полипропиленом.

[0101]

Среди материалов для очистки крови, представленных вышеупомянутой Формулой (II), амидометилированная-аминированная-фенилированная форма (II-a), в которой A является мочевинной связью или связью амида, может быть произведена, например, путем реакции между амидометилированной-аминированной формой, представленной вышеупомянутой Формулой (I), и производным бензола (III), как показано в Схеме 1.

(здесь, когда A является мочевинной связью, А' представляет изоцианатную группу; когда A является связью амида, А' представляет хлорангидридную группу; и другие символы синонимичны с вышеупомянутыми определениями).

[0102]

Производное бензола (III), используемое для реакции, может быть любым коммерчески доступным производным бензола.

[0103]

Примеры растворителей реакции включают в себя N,N-диметилформамид, диэтиловый эфир, диоксан, тетрагидрофуран и диметилсульфоксид, и N,N-диметилформамид или диметилсульфоксид являются предпочтительными.

[0104]

Температура реакции предпочтительно составляет 10-90°C, и более предпочтительно 30-60°C.

[0105]

Время реакции предпочтительно составляет 1-24 час.

[0106]

Амидометилированная-аминированная форма, представленная вышеупомянутой Формулой (I), может быть произведена, например, путем реакции между галоидированной амидометилированной формой (V) и производным амина (IV), как показано в Схеме 2.

[0107]

(где X и волнистая линия соответствуют вышеприведенным определениям).

[0108]

Производное амина (IV), используемое для реакции, может быть любым коммерчески доступным производным.

[0109]

Примеры растворителей реакции включают в себя N,N-диметилформамид, диэтиловый эфир, диоксан, тетрагидрофуран и диметилсульфоксид, и диметилсульфоксид является предпочтительным.

[0110]

Примеры катализаторов включают в себя органические основания, такие как триэтиламин или 1,4-диазобицикло[2.2.2]октан; а также неорганические основания, такие как гидроксид натрия. Органические основания, такие как триэтиламин, являются предпочтительными.

[0111]

Концентрация катализатора в реакционном растворе предпочтительно составляет 50-1000 мМ, более предпочтительно 300-700 мМ.

[0112]

Количество реакционной жидкости предпочтительно составляет 5-1000 мл, более предпочтительно 50-500 мл на 1 г галоидированной амидометилированной формы (V).

[0113]

Температура реакции предпочтительно составляет 15-80°C, и более предпочтительно 40-60°C.

[0114]

Время реакции предпочтительно составляет 30 мин - 24 час, предпочтительно 1-8 час.

[0115]

Галоидированная амидометилированная форма (V) может быть произведена, например, путем введения N-метилол-α-хлорацетамида (VI) в подложку (VII), как показано в Схеме 3.

[0116]

(где волнистая линия соответствует вышеприведенному определению).

[0117]

Подложка (VII) и N-метилол-α-хлорацетамид (VI) могут быть любыми коммерчески доступными. В этой связи подложка (VII) предпочтительно представляет собой подложку, сформованную в волокно, более предпочтительно волокно, содержащее полистирол или его производное.

[0118]

Примеры растворителей реакции включают в себя нитробензол, нитропропан, хлорбензол, толуол и ксилол. Нитробензол или нитропропан являются предпочтительными.

[0119]

Примеры катализаторов включают в себя кислоты Льюиса, такие как серная кислота, соляная кислота, азотная кислота, галоидированный алюминий (III) (например, хлорид алюминия (III)), а также галоидированное железо (III) (например, хлорид железа (III)). Серная кислота или хлорид железа (III) являются предпочтительными.

[0120]

Концентрация катализатора в реакционном растворе предпочтительно составляет 5-80 мас.%, более предпочтительно 30-70 мас.%.

[0121]

Температура реакции предпочтительно составляет 0-90°C, и более предпочтительно 5-40°C.

[0122]

Время реакции предпочтительно составляет 1 мин - 120 час, более предпочтительно 5 мин - 24 час.

[0123]

В дополнение к этому, раствор, в котором растворен параформальдегид, может быть добавлен к реакционному раствору до того, как подложка (VII) будет добавлена к реакционному раствору. Растворитель, в котором растворен параформальдегид, не ограничивается, и предпочтительно имеет тот же самый состав растворителя, что и реакционный раствор. Время от добавления раствора параформальдегида до добавления подложки (VII) предпочтительно составляет 1-30 мин, более предпочтительно 1-5 мин.

[0124]

Содержание аминогруппы в нерастворимом в воде материале, включенном в материал для очистки крови, может быть определено на стадии, на которой вынимается только нерастворимый в воде материал, позволяя армирующему материалу, содержащемуся в материале для очистки крови, раствориться в растворителе, в котором может быть растворен только армирующий материал, нерастворимый в воде материал сушится, измеряется его сухой вес, аминогруппа в нерастворимом в воде материале подвергается ионообмену с соляной кислотой, и полученный материал подвергается обратному титрованию водным раствором гидроксида натрия. Твердое вещество взвешивается, а затем сушится путем нагрева при 80°C и атмосферном давлении в течение 24 час. Считается, что твердое вещество находится в сухом состоянии, когда уменьшение его веса в результате сушки составляет 1 мас.% или меньше. Когда уменьшение веса составляет более 1 мас.%, стадия сушки путем нагрева при 80°C и атмосферном давлении в течение 24 час может повторяться до тех пор, пока уменьшение веса не станет меньше чем 1 мас.%. Материал для очистки крови, не содержащий армирующего материала, не требует операции растворения армирующего материала в растворителе.

[0125]

Содержание группы амида в нерастворимом в воде материале, включенном в материал для очистки крови, может быть определено на стадии, на которой вынимается только нерастворимый в воде материал, позволяя армирующему материалу, содержащемуся в материале для очистки крови, раствориться в растворителе, в котором может быть растворен только армирующий материал, нерастворимый в воде материал сушится, измеряется его сухой вес, группа (группы) амина в нерастворимом в воде материале нагревается в соляной кислоте для гидролиза, полученная аминогруппа подвергается ионообмену с соляной кислотой, и полученный материал подвергается обратному титрованию водным раствором гидроксида натрия. Материал для очистки крови, не содержащий армирующего материала, не требует операции растворения армирующего материала в растворителе.

[0126]

Содержание группы фенила в нерастворимом в воде материале, включенном в материал для очистки крови, может быть определено на стадии, на которой вынимается только нерастворимый в воде материал, позволяя армирующему материалу, содержащемуся в материале для очистки крови, раствориться в растворителе, в котором может быть растворен только армирующий материал, нерастворимый в воде материал сушится, измеряется его сухой вес, группа амина в нерастворимом в воде материале нагревается в соляной кислоте для гидролиза, количество полученного из фенильной группы соединения, содержащегося в соляной кислоте, измеряется с помощью 1HNMR, и концентрация этого соединения в соляной кислоте измеряется с использованием калибровочной кривой, полученной с использованием внутреннего стандарта. Материал для очистки крови, не содержащий армирующего материала, не требует операции растворения армирующего материала в растворителе.

[0127]

В дополнение к этому, настоящее изобретение отличается тем, что предлагает устройство для очистки крови, включающее в себя вышеупомянутый материал для очистки крови.

[0128]

Термин «устройство для очистки крови» относится к продукту, посредством которого кровь циркулирует из тела и в тело, и в котором по меньшей мере часть продукта включает в себя медицинский материал, предназначенный для удаления токсинов и вредных веществ из крови. Примеры этого устройства включают в себя модуль искусственной почки, колонку искусственного кровообращения и т.п.

[0129]

Кроме того, устройство для очистки крови, включающее материал для очистки крови, может подходящим образом использоваться в приложениях лечения воспалительных заболеваний. Когда устройство для очистки крови используется для лечения воспалительных заболеваний, предпочтительным является способ экстракорпоральной циркуляции, в котором устройство для очистки крови, включающее в себя материал для очистки крови, соединено с пациентом посредством кровепроводящей схемы, и телесная жидкость, извлеченная из пациента, проходит через колонку искусственного кровообращения в соответствии с настоящим изобретением и возвращается в пациента. Продолжительность обработки телесной жидкости и т.п. предпочтительно является непрерывной, более предпочтительно составляет 4 час или больше, еще более предпочтительно 24 час или больше, с целью предотвращения дальнейшего воспаления, вызванного компонентами крови.

[0130]

Устройство для очистки крови, включающее в себя материал для очистки крови, может использоваться вместе с другим способом или другим медицинским устройством для обработки телесной жидкости. Примеры других способов и медицинских устройств для обработки телесной жидкости включают в себя плазменный обмен, перитонеальный диализ, плазменные сепараторы, гемофильтры, искусственные сердца и легкие, а также ECMO (устройства экстракорпоральной мембранной оксигенации).

[0131]

Примеры способов оценки эффективности очистки крови материалом для очистки крови включают в себя способ, в котором цитокины растворяются в эмбриональной бычьей сыворотке (упоминаемой в дальнейшем как FBS), материал для очистки крови пропитывается FBS, уменьшения концентрации цитокинов в FBS оценивается после пропитки, и вычисляется коэффициент адсорбции. Как описано в Непатентных документах 1 и 2, цитокин представляет собой вещество, которое предпочтительно удаляется из крови для лечения патологии. Следовательно, чем выше степень снижения концентрации при пропитке, тем выше эффективность очистки крови. Примеры цитокинов включают в себя интерлeйкин-1β, интерлeйкин-6, интерлeйкин-8, белок-1 группы с высокой подвижностью, а также β-фактор некроза опухоли. Интерлeйкин-6 и интерлeйкин-8 являются более предпочтительными, поскольку они являются типичными биомаркерами в практике лечения воспалительных заболеваний.

[0132]

В дополнение к этому, примеры способов оценки эффективности очистки крови материалом для очистки крови включают в себя способ, в котором оценивается коэффициент удаления каждого из активированного гранулоцита, активированного моноцита, комплекса активированный гранулоцит-активированный тромбоцит и комплекса активированный моноцит-активированный тромбоцит. Примеры способов вычисления коэффициента удаления каждого из активированного гранулоцита, активированного моноцита, комплекса активированный гранулоцит-активированный тромбоцит и комплекса активированный моноцит-активированный тромбоцит включают в себя способ, в котором контейнер, имеющий входное отверстие и выходное отверстие, загружается материалом для очистки крови, жидкость, содержащая активированный гранулоцит, активированный моноцит, комплекс активированный гранулоцит-активированный тромбоцит и комплекс активированный моноцит-активированный тромбоцит, пропускается через контейнер, и коэффициент удаления вычисляется из разности концентраций на входе и выходе.

[0133]

Коэффициент удаления 6% или больше можно считать значительным удалением в том смысле, что активированный гранулоцит, активированный моноцит, комплекс активированный гранулоцит-активированный тромбоцит и комплекс активированный моноцит-активированный тромбоцит являются клетками и подразумевают дисперсию измерения коэффициента удаления.

[0134]

Концентрация комплекса активированный лейкоцит-активированный тромбоцит может быть измерена, например, таким образом, что реагент для обнаружения активации, который специфически связывается с активированным тромбоцитом (реагент для связывания активированного тромбоцита), и реагент для обнаружения активации, который специфически связывается с активированным лейкоцитом (реагент для обнаружения активированного лейкоцита/реагент для обнаружения активированного гранулоцита/реагент для обнаружения активированного моноцита) реагируют с фракцией лейкоцитов, полученной из периферической крови, и измеряется доля кровяных телец, связанных обоими реагентами.

[0135]

Реагент для обнаружения активированного тромбоцита не связан ни с дезактивированным лейкоцитом, ни с активированным лейкоцитом, и может связываться с активированным тромбоцитом, и активированный тромбоцит обнаруживается с использованием CD62P (античеловеческий CD62P (P-селектин), Технические спецификации антител, BioLegend), известного как маркер поверхности клеток, специфичный для активированного тромбоцита. Реагент для обнаружения активированного лейкоцита не связан ни с дезактивированным тромбоцитом, ни с активированным лейкоцитом, и может связываться с активированным лейкоцитом, и примеры этого реагента для обнаружения включают в себя антитело, специфичное для желаемого компонента лейкоцита, и антитело к маркеру поверхности клеток, обычному для желаемого компонента лейкоцита. В качестве реагента для обнаружения активированного гранулоцита и активированного моноцита может использоваться, например, антитело анти-CD11b. Использование активированного антитела анти-CD11b, которое может специфично обнаруживать активированную конформацию, позволяет специфично обнаруживать активированный гранулоцит и активированный моноцит (античеловеческий CD11b (активированный), Технические спецификации антител, BioLegend). Антитело анти-CD45 может использоваться для обнаружения лейкоцитов, антитело анти-CD66b в CD45-положительной клетке может использоваться для обнаружения гранулоцитов, и антитело анти-CD14 в CD45-положительной клетке может использоваться для обнаружения моноцитов. Для обнаружения лимфоцитов могут использоваться антитело анти-CD4 и антитело анти-CD8, и также возможно рассматривать популяцию клеток, получаемую путем вычитания CD66b-положительных клеток и CD14-положительных клеток из CD45-положительных клеток, в качестве лимфоцитов.

[0136]

Вышеупомянутые реагенты для обнаружения предпочтительно имеют приданный им индекс для проверки связывания. Любой индекс может быть выбран в соответствии с принятым способом обнаружения. Для измерения используется проточный цитометр с точки зрения простоты эксплуатации или количественного определения, и в этом случае реагент для обнаружения имеет флуоресцентную метку. Флуоресцентная метка не ограничивается, и могут использоваться, например, FITC (изотиоцианат флуоресцеина) или PE (R-фикоэритрин). Реагент для обнаружения активированного лейкоцита и реагент для обнаружения активированного тромбоцита маркируются разными флуоресцирующими веществами. Эти маркированные реагенты для обнаружения могут быть произведены обычным способом, а также являются коммерчески доступными.

[0137]

Реакция между фракцией лейкоцитов и реагентом для обнаружения устанавливается подходящим образом в соответствии с принятым реагентом для обнаружения. Когда реагент для обнаружения является антителом, реагент должен быть подвергнут только обычной иммунной реакции. Комплекс активированный лейкоцит-активированный тромбоцит и реакционная жидкость реагента для обнаружения не ограничиваются, и при желании могут содержать азид натрия или формальдегид в количестве, эффективном для ингибирования активации компонентов клетки во время реакции обнаружения. Температура реакции особо не ограничивается, и предпочтительно составляет приблизительно 4°C для ингибирования активации компонентов клетки.

ПРИМЕРЫ

[0138]

Материал для очистки крови в соответствии с настоящим изобретением будет теперь конкретно описан со ссылками на Примеры, но настоящее изобретение не должно ограничиваться этими примерами.

[0139]

В Примерах мас.% означает массовый процент. M означает моль/л, а мМ означает ммоль/л. Если явно не указано иное, вес трикотажной ткани, материала для очистки крови или нерастворимого в воде материала представляет собой сухой вес. Полная тонина относится к весу (г) на 10000 м волокна и обозначается как децитекс. Измерение pH при кислотно-щелочном титровании проводилось путем погружения электрода настольного pH-метра F-74BW (со стандартным электродом ToupH, 9615S-10D) производства компании Horiba, Ltd. в раствор с температурой 25°C. Перед измерением выполнялась калибровка с использованием нейтрального стандартного раствора фосфата (водного раствора первичного кислого фосфорнокислого калия (3,40 г/л) производства компании Wako Pure Chemical Industries, Ltd.) и стандартного раствора фталата (водного раствора гидрофталата калия (10,21 г/л) производства компании Wako Pure Chemical Industries, Ltd.). Спектрофотометр ультрафиолетовой и видимой частей спектра (UV-1280) производства компании Shimadzu Corporation использовался для измерения поглощения света при комнатной температуре. Перед измерением поглощения света предварительно выполнялись холостые измерения, и фоновые пики вычитались из результатов. Инфракрасный спектр поглощения в полном отражении измерялся с помощью прибора Nicolet iS5 FT-IR (с аксессуаром iD5 Diamond ATR) производства компании Thermo Fisher Scientific Inc. Перед измерением инфракрасного спектра предварительно было выполнено холостое измерение, и фоновые пики вычитались из результатов.

[0140]

(Подготовка Волокна A)

16-островное композитное волокно типа «море-остров», описанное в Патентном документе 1 (JP 4591974 B2) (упоминаемое в дальнейшем как Волокно A), было получено с использованием следующих компонентов.

Островной компонент: полипропилен

Морской компонент (массовое соотношение): полистирол:полипропилен=92:8

Композитное соотношение (массовое соотношение): островной компонент:морской компонент=50:50

Полная тонина: 160 децитекс

Диаметр одиночной нити: 20 мкм

[0141]

(Подготовка Волокна B)

32-островное композитное волокно типа «море-остров», описанное в Патентном документе 3 (JP 5293599 B2), в котором острова представляли собой композиты типа «ядро-оболочка» (упоминаемое в дальнейшем как Волокно B), было получено с использованием следующих компонентов при условиях изготовления нити, включающих в себя скорость прядения 800 м/мин.

Компонент ядра острова: полипропилен

Компонент оболочки острова: полистирол и полипропилен, смешанные в соотношении 90 мас.% и 10 мас.% соответственно

Морской компонент: «сополиэфир, главным повторяющимся звеном которого является блок этилентерефталата, и который содержит 3 мас.% 5-натрийсульфоизофталевой кислоты в качестве компонента сополимеризации» (упоминаемый в дальнейшем как PETIFA)

Композитное соотношение (массовое соотношение): компонент ядра острова:компонент оболочки острова:морской компонент=41,5:33,5:25

Полная тонина: 200 децитекс

[0142]

(Подготовка трикотажной ткани A)

Как описано в Патентном документе 1, Волокно A использовалось для изготовления кругловязаной трикотажной ткани А, имеющей сухой вес 0,0081 г/см2 и объемную плотность 0,37 г/см3 (упоминаемую в дальнейшем как трикотажная ткань A).

[0143]

(Подготовка трикотажной ткани B)

Волокно B вязалось с использованием кругловязальной машины (кругловязальная машина MR-1 производства компании Maruzen Sangyo Co., Ltd.), и дополнительно пропитывалось 3 мас.% водным раствором гидроксида натрия при 95°C в течение 8 час для того, чтобы гидролизовать PETIFA морского компонента. Затем ткань промывалась водой до тех пор, пока она не становилась нейтральной. После этого ткань сушилась для того, чтобы приготовить кругловязаную трикотажную ткань B, в которой волокно типа «ядро-оболочка» имело диаметр 4,5 мкм, и которая имела сухой вес 0,0046 г/см2 и объемную плотность 0,4 г/см3 (упоминаемую в дальнейшем как трикотажная ткань B).

[0144]

(Подготовка трикотажной ткани C)

Использовалось Волокно A, и шкала регулировки плотности кругловязальной машины (MR-1 производства компании Maruzen Sangyo Co., Ltd.) регулировалась так, чтобы приготовить кругловязаную трикотажную ткань C, имеющую сухой вес 0,0210 г/см2 и объемную плотность 0,51 г/см3 (упоминаемую в дальнейшем как трикотажная ткань C).

[0145]

(Подготовка трикотажной ткани D)

Использовалось Волокно A, и шкала регулировки плотности кругловязальной машины (MR-1 производства компании Maruzen Sangyo Co., Ltd.) регулировалась так, чтобы приготовить кругловязаную трикотажную ткань D, имеющую сухой вес 0,0153 г/см2 и объемную плотность 0,42 г/см3 (упоминаемую в дальнейшем как трикотажная ткань D).

[0146]

(Подготовка трикотажной ткани E)

Использовалось Волокно A, и шкала регулировки плотности кругловязальной машины (MR-1 производства компании Maruzen Sangyo Co., Ltd.) регулировалась так, чтобы приготовить кругловязаную трикотажную ткань Е, имеющую сухой вес 0,0063 г/см2 и объемную плотность 0,28 г/см3 (упоминаемую в дальнейшем как трикотажная ткань Е).

[0147]

(Подготовка трикотажной ткани E)

Использовалось Волокно A, и шкала регулировки плотности кругловязальной машины (MR-1 производства компании Maruzen Sangyo Co., Ltd.) регулировалась так, чтобы приготовить кругловязаную трикотажную ткань F, имеющую сухой вес 0,0039 г/см2 и объемную плотность 0,22 г/см3 (упоминаемую в дальнейшем как трикотажная ткань F).

[0148]

(Подготовка материала 1 для очистки крови)

Как описано в Патентном документе 1 (JP 4591974 B2), 50 г Трикотажной ткани A было погружено в раствор смеси 50 г N-метилол-α-хлорацетамида (упоминаемого в дальнейшем как NMCA), 400 г нитробензола, 400 г 98 мас.% серной кислоты и 0,85 г параформальдегида (упоминаемого в дальнейшем как PFA), и полученная смесь реагировала при 4°C в течение одного часа. Прореагировавшее волокно было погружено в 5 л воды со льдом с температурой 0°C для прекращения реакции, а затем промыто водой. Нитробензол, присоединившийся к волокну, был удален экстракцией метанолом для того, чтобы получить трикотажную ткань 1 из хлорацетамидметилированного сшитого полистирола (упоминаемую в дальнейшем как трикотажная ткань AMPSt 1).

[0149]

Тетраэтиленпентамин (упоминаемый в дальнейшем как TEPA) в количестве 1,5 г был растворен в 500 мл диметилсульфоксида (упоминаемого в дальнейшем как DMSO). К полученному раствору при перемешивании были добавлены 20 г трикотажной ткани AMPSt 1, и реакция продолжалась при 25°C в течение 6 час. Прореагировавшая трикотажная ткань AMPSt 1 была промыта 500 мл диметилсульфоксида на стеклянном фильтре. После промывки 3,0 г трикотажной ткани AMPSt 1 было добавлено к раствору 1,0 г п-хлорфенилизоцианата, растворенного в 150 мл диметилсульфоксида, и реакция продолжалась при 25°C в течение одного часа. После этого волокно было промыто диметилсульфоксидом и дистиллированной водой, по 60 мл каждого, на стеклянном фильтре, и дополнительно промыто дистиллированной водой и физиологическим солевым раствором, по 3 л каждого, чтобы получить трикотажную ткань 1 в качестве материала для очистки крови (упоминаемую в дальнейшем как материал 1 для очистки крови). Наличие или отсутствие связывания лиганда, имеющего группу (группы) амида и группу (группы) амина, с материалом 1 для очистки крови подтверждалось в соответствии с тем, появлялся ли какой-либо пик амидной группы (1650 см-1) и какой-либо пик аминогруппы (1540 см-1) в спектре инфракрасного излучения полного отражения. Измерение выполнялось таким образом, что материал 1 для очистки крови оставлялся в сушилке при 60°C на 4 час, и высушенный материал 1 прижимался к призме инфракрасного спектрометра.

[0150]

(Измерение содержания аминогруппы в нерастворимом в воде материале 1, включенном в материал 1 для очистки крови)

Содержание аминогруппы в нерастворимом в воде материале 1, включенном в материал 1 для очистки крови, определялось кислотно-щелочным обратным титрованием количества аминогруппы в нерастворимом в воде материале 1. В колбу в форме баклажана емкостью 200 мл было добавлено 5,0 г материала 1 для очистки крови и 100 мл толуола, и она нагревалась с обратным холодильником при 150°C в течение 24 час для удаления полипропилена, который был добавлен в качестве армирующего материала. После рефлюкса этот раствор был быстро добавлен к 2 л толуола, нагретого до 100°C, и промыт. Нерастворимый компонент был собран путем фильтрации через бумажный фильтр, промыт метанолом и оставлен в сушилке при 80°C на 48 час для того, чтобы получить нерастворимый в воде материал 1. Затем в контейнер из полипропилена были добавлены 1,0 г нерастворимого в воде материала 1 и 50 мл 6М водного раствора гидроксида натрия, содержимое перемешивалось в течение 30 мин, и нерастворимый в воде материал 1 был собран с помощью фильтрации на бумажном фильтре. Затем к 50 мл ионообменной воды был добавлен отфильтрованный нерастворимый в воде материал 1, все это перемешивалось в течение 30 мин и фильтровалось с использованием бумажного фильтра. Нерастворимый в воде материал 1 добавлялся к ионообменной воде до тех пор, пока pH ионообменной воды с добавленным к ней нерастворимым в воде материалом 1 не стал равным 7, затем материал был отфильтрован, и это добавление и фильтрация были повторены для получения обессоленного нерастворимого в воде материала 1. Обессоленный нерастворимый в воде материал 1 был оставлен при 80°C и нормальном давлении на 48 час, 1,0 г нерастворимого в воде материала 1 и 30 мл 0,1М соляной кислоты были добавлены в контейнер из полипропилена, и его содержимое перемешивалось в течение 10 мин. После перемешивания 5 мл одного только раствора было взято и перенесено в контейнер из полипропилена. Затем к полученному раствору было добавлено по каплям 0,1 мл 0,1М водного раствора гидроксида натрия. После капельного добавления полученная смесь перемешивалось в течение 10 мин, и измерялось значение pH раствора. Та же самая операция капельного добавления, десятиминутного перемешивания и измерения значения pH была повторена 100 раз. Количество водного раствора гидроксида натрия, добавленного по каплям до того момента, как значение pH раствора превысит 8,5, рассматривалось как титр на 1 г. Содержание аминогруппы (групп) на 1 г сухого веса нерастворимого в воде материала 1 вычислялось с использованием титра на 1 г и следующего Уравнения 1.

[0151]

Содержание аминогруппы на 1 г сухого веса нерастворимого в воде материала (ммоль/г)={Добавленное количество 0,1М жидкой соляной кислоты (30 мл)/Взятое количество жидкой соляной кислоты (5 мл)} × Титр на 1 г (мл) × Концентрация водного раствора гидроксида натрия (0,1 M) ⋅⋅⋅ Уравнение 1

[0152]

(Измерение содержания группы амида в нерастворимом в воде материале 1, включенном в материал 1 для очистки крови)

Содержание группы амида в нерастворимом в воде материале 1, включенном в материал 1 для очистки крови, было определено путем гидролиза группы амида в нерастворимом в воде материале 1, чтобы тем самым образовать аминогруппу, и измерения количества образовавшейся аминогруппы с помощью кислотно-щелочного обратного титрования. Нерастворимый в воде материал 1 был получен из материала 1 для очистки крови тем же самым образом, что и при измерении содержания аминогруппы в нерастворимом в воде материале 1. Затем 1,0 г нерастворимого в воде материала 1 и 100 мл 6M соляной кислоты были добавлены в колбу в форме баклажана объемом 200 мл и нагревались с обратным холодильником при 130°C в течение 24 час. После рефлюкса нерастворимый в воде материал 1 был собран путем фильтрации с использованием бумажного фильтра, чтобы получить разложившийся нерастворимый в воде материал 1. Затем в контейнер из полипропилена были добавлены все количество полученного разложившегося нерастворимого в воде материала 1 и 50 мл 6М водного раствора гидроксида натрия, эта смесь перемешивалась в течение 30 мин и фильтровалась с использованием бумажного фильтра. Затем к 50 мл ионообменной воды был добавлен отфильтрованный разложившийся нерастворимый в воде материал 1, все это перемешивалось в течение 30 мин и фильтровалось с использованием бумажного фильтра. Нерастворимый в воде материал 1 добавлялся к ионообменной воде до тех пор, пока pH ионообменной воды с добавленным к ней нерастворимым в воде материалом 1 не стал равным 7, затем материал был отфильтрован, это добавление и фильтрация были повторены, и нерастворимый в воде материал 1 был оставлен при 80°C и нормальном давлении на 48 час. Затем все количество нерастворимого в воде материала 1 и 60 мл 0,1М соляной кислоты были добавлены в контейнер из полипропилена и перемешивались в течение 10 мин. После перемешивания 5 мл одного только раствора было взято и перенесено в контейнер из полипропилена. Затем к полученному раствору было добавлено по каплям 0,1 мл 0,1М водного раствора гидроксида натрия. После капельного добавления полученная смесь перемешивалось в течение 10 мин, и измерялось значение pH раствора. Та же самая операция капельного добавления, десятиминутного перемешивания и измерения значения pH была повторена 100 раз. Количество водного раствора гидроксида натрия, добавленного по каплям до того момента, как значение pH раствора превысит 8,5, рассматривалось как титр на 1 г. Содержание группы (групп) амида на 1 г сухого веса нерастворимого в воде материала 1 вычислялось с использованием титра на 1 г и следующего Уравнения 2.

[0153]

Содержание группы амида на 1 г сухого веса нерастворимого в воде материала (ммоль/г)={Добавленное количество 0,1М жидкой соляной кислоты (60 мл)/Взятое количество жидкой соляной кислоты (5 мл)} × Титр на 1 г (мл) × Концентрация водного раствора гидроксида натрия (0,1 M) ⋅⋅⋅ Уравнение 2

[0154]

(Подготовка материала 2 для очистки крови)

Как описано в Патентном документе 2 (JP 5824873 B2), 50 г трикотажной ткани A реагировали с раствором смеси 50 г NMCA, 400 г нитробензола, 400 г 98 мас.% серной кислоты и 0,85 г PFA при 20°C в течение одного часа. Затем волокно было промыто нитробензолом и помещено в воду, чтобы тем самым остановить реакцию. После этого волокно было снова промыто горячей водой, чтобы тем самым получить трикотажную ткань 2 из хлорацетамидметилированного сшитого полистирола (упоминаемую в дальнейшем как трикотажная ткань AMPSt 2).

[0155]

TEPA в количестве 0,9 г был растворен в 50 мл диметилсульфоксида, и к этому раствору 1 г трикотажной ткани AMPSt 2 был добавлен при перемешивании. Реакция выполнялась при 25°C в течение 6 час. Затем трикотажная ткань AMPSt 2 была промыта на стеклянном фильтре с использованием 200 мл N,N-диметилформамида (упоминаемого в дальнейшем как DMF) и добавлена к раствору 1 г п-хлорфенилизоцианата в 50 мл DMF. Полученная смесь реагировала при 25°C в течение одного часа. После этого смесь была промыта 200 мл DMF и 200 мл дистиллированной воды на стеклянном фильтре для того, чтобы получить трикотажную ткань 2, которая была материалом для очистки крови (упоминаемым в дальнейшем как материал 2 для очистки крови).

[0156]

(Измерение содержания аминогруппы в нерастворимом в воде материале 2, включенном в материал 2 для очистки крови)

Та же самая операция, что и для материала 1 для очистки крови, была выполнена для того, чтобы измерить содержание аминогруппы в нерастворимом в воде материале 2, включенном в материал 2 для очистки крови. Результаты показаны в Таблице 5.

[0157]

(Измерение содержания группы амида в нерастворимом в воде материале 2, включенном в материал 2 для очистки крови)

Та же самая операция, что и для материала 1 для очистки крови, была выполнена для того, чтобы измерить содержание группы амида в нерастворимом в воде материале 2, включенном в материал 2 для очистки крови. Результаты показаны в Таблице 5.

[0158]

(Подготовка материала 3 для очистки крови)

NMCA в количестве 2,3 г был добавлен к раствору смеси 31 г нитробензола и 31 г 98 мас.% серной кислоты, и полученная смесь перемешивалась при 10°C до тех пор, пока NMCA не растворился в этом растворе, чтобы получить раствор NMCA. Затем 0,2 г PFA было добавлено к 2,0 г нитробензола и 2,0 г 98 мас.% серной кислоты, и полученная смесь перемешивалась при 20°C до тех пор, пока PFA не растворился в этом растворе, чтобы получить раствор PFA. Раствор PFA в количестве 4,2 г был охлажден до 5°C и смешан с 64,3 г раствора NMCA, полученная смесь перемешивалась в течение 5 мин, 1 г трикотажной ткани B был добавлен к этой смеси для пропитки на два часа. Пропитанная трикотажная ткань B была погружена в 200 мл нитробензола с температурой 0°C, чтобы тем самым остановить реакцию, и нитробензол, присоединенный к ткани, был удален путем экстракции метанолом.

[0159]

TEPA в количестве 0,16 г и триэтиламин в количестве 2,1 г были растворены в 51 г диметилсульфоксида, и к этому раствору трикотажная ткань B, полученная после экстракции метанолом, была добавлена в том виде, как она есть. Ткань пропитывалась этим раствором при 40°C в течение 3 час. Трикотажная ткань была собрана на стеклянном фильтре путем фильтрации, промыта 500 мл диметилсульфоксида, 3 л дистиллированной воды и физиологическим раствором для того, чтобы получить трикотажную ткань 3, которая была материалом для очистки крови (в дальнейшем упоминаемым как материал 3 для очистки крови).

[0160]

(Измерение содержания аминогруппы в нерастворимом в воде материале 3, включенном в материал 3 для очистки крови)

Та же самая операция, что и для материала 1 для очистки крови, была выполнена для того, чтобы измерить содержание аминогруппы в нерастворимом в воде материале 3, включенном в материал 3 для очистки крови. Результаты показаны в Таблице 5.

[0161]

(Измерение содержания группы амида в нерастворимом в воде материале 3, включенном в материал 3 для очистки крови)

Та же самая операция, что и для материала 1 для очистки крови, была выполнена для того, чтобы измерить содержание группы амида в нерастворимом в воде материале 3, включенном в материал 3 для очистки крови. Результаты показаны в Таблице 5.

[0162]

(Подготовка материала 4 для очистки крови)

Трикотажная ткань 4, которая была материалом для очистки крови (в дальнейшем упоминаемым как материал 4 для очистки крови), была получена путем выполнения той же самой операции, что и для материала 3 для очистки крови, за исключением того, что добавленное количество TEPA было изменено на 0,25 г.

[0163]

(Измерение содержания аминогруппы в нерастворимом в воде материале 4, включенном в материал 4 для очистки крови)

Та же самая операция, что и для материала 1 для очистки крови, была выполнена для того, чтобы измерить содержание аминогруппы в нерастворимом в воде материале 4, включенном в материал 4 для очистки крови. Результаты показаны в Таблице 5.

[0164]

(Измерение содержания группы амида в нерастворимом в воде материале 4, включенном в материал 4 для очистки крови)

Та же самая операция, что и для материала 1 для очистки крови, была выполнена для того, чтобы измерить содержание группы амида в нерастворимом в воде материале 4, включенном в материал 4 для очистки крови. Результаты показаны в Таблице 5.

[0165]

(Подготовка материала 5 для очистки крови)

Трикотажная ткань 5, которая была материалом для очистки крови (в дальнейшем упоминаемым как материал 5 для очистки крови), была получена путем выполнения той же самой операции, что и для материала 3 для очистки крови, за исключением того, что добавленное количество TEPA было изменено на 0,82 г.

[0166]

(Измерение содержания аминогруппы в нерастворимом в воде материале 5, включенном в материал 5 для очистки крови)

Та же самая операция, что и для материала 1 для очистки крови, была выполнена для того, чтобы измерить содержание аминогруппы в нерастворимом в воде материале 5, включенном в материал 5 для очистки крови. Результаты показаны в Таблице 5.

[0167]

(Измерение содержания группы амида в нерастворимом в воде материале 5, включенном в материал 5 для очистки крови)

Та же самая операция, что и для материала 1 для очистки крови, была выполнена для того, чтобы измерить содержание группы амида в нерастворимом в воде материале 5, включенном в материал 5 для очистки крови. Результаты показаны в Таблице 5.

[0168]

(Подготовка материала 6 для очистки крови)

Трикотажная ткань 6, которая была материалом для очистки крови (в дальнейшем упоминаемым как материал 6 для очистки крови), была получена путем выполнения той же самой операции, что и для материала 3 для очистки крови, за исключением того, что добавленное количество TEPA было изменено на 3,28 г.

[0169]

(Измерение содержания аминогруппы в нерастворимом в воде материале 6, включенном в материал 6 для очистки крови)

Та же самая операция, что и для материала 1 для очистки крови, была выполнена для того, чтобы измерить содержание аминогруппы в нерастворимом в воде материале 6, включенном в материал 6 для очистки крови. Результаты показаны в Таблице 5.

[0170]

(Измерение содержания группы амида в нерастворимом в воде материале 6, включенном в материал 6 для очистки крови)

Та же самая операция, что и для материала 1 для очистки крови, была выполнена для того, чтобы измерить содержание группы амида в нерастворимом в воде материале 6, включенном в материал 6 для очистки крови. Результаты показаны в Таблице 5.

[0171]

(Подготовка материала 7 для очистки крови)

Трикотажная ткань 7, которая была материалом для очистки крови (в дальнейшем упоминаемым как материал 7 для очистки крови), была получена путем выполнения той же самой операции, что и для материала 3 для очистки крови, за исключением того, что добавленное количество TEPA было изменено на 8,2 г.

[0172]

(Измерение содержания аминогруппы в нерастворимом в воде материале 7, включенном в материал 7 для очистки крови)

Та же самая операция, что и для материала 1 для очистки крови, была выполнена для того, чтобы измерить содержание аминогруппы в нерастворимом в воде материале 7, включенном в материал 7 для очистки крови. Результаты показаны в Таблице 5.

[0173]

(Измерение содержания группы амида в нерастворимом в воде материале 7, включенном в материал 7 для очистки крови)

Та же самая операция, что и для материала 1 для очистки крови, была выполнена для того, чтобы измерить содержание группы амида в нерастворимом в воде материале 7, включенном в материал 7 для очистки крови. Результаты показаны в Таблице 5.

[0174]

(Подготовка материала 8 для очистки крови)

Трикотажная ткань 8, которая была материалом для очистки крови (в дальнейшем упоминаемым как материал 8 для очистки крови), была получена путем выполнения той же самой операции, что и для материала 3 для очистки крови, за исключением того, что добавленное количество NMCA было изменено на 4,6 г.

[0175]

(Измерение содержания аминогруппы в нерастворимом в воде материале 8, включенном в материал 8 для очистки крови)

Та же самая операция, что и для материала 1 для очистки крови, была выполнена для того, чтобы измерить содержание аминогруппы в нерастворимом в воде материале 8, включенном в материал 8 для очистки крови. Результаты показаны в Таблице 5.

[0176]

(Измерение содержания группы амида в нерастворимом в воде материале 8, включенном в материал 8 для очистки крови)

Та же самая операция, что и для материала 1 для очистки крови, была выполнена для того, чтобы измерить содержание группы амида в нерастворимом в воде материале 8, включенном в материал 8 для очистки крови. Результаты показаны в Таблице 5.

[0177]

(Подготовка материала 9 для очистки крови)

Трикотажная ткань 9, которая была материалом для очистки крови (в дальнейшем упоминаемым как материал 9 для очистки крови), была получена путем выполнения той же самой операции, что и для материала 8 для очистки крови, за исключением того, что добавленное количество TEPA было изменено на 0,25 г.

[0178]

(Измерение содержания аминогруппы в нерастворимом в воде материале 9, включенном в материал 9 для очистки крови)

Та же самая операция, что и для материала 1 для очистки крови, была выполнена для того, чтобы измерить содержание аминогруппы в нерастворимом в воде материале 9, включенном в материал 9 для очистки крови. Результаты показаны в Таблице 5.

[0179]

(Измерение содержания группы амида в нерастворимом в воде материале 9, включенном в материал 9 для очистки крови)

Та же самая операция, что и для материала 1 для очистки крови, была выполнена для того, чтобы измерить содержание группы амида в нерастворимом в воде материале 9, включенном в материал 9 для очистки крови. Результаты показаны в Таблице 5.

[0180]

(Подготовка материала 10 для очистки крови)

Трикотажная ткань 10, которая была материалом для очистки крови (в дальнейшем упоминаемым как материал 10 для очистки крови), была получена путем выполнения той же самой операции, что и для материала 8 для очистки крови, за исключением того, что добавленное количество TEPA было изменено на 0,82 г.

[0181]

(Измерение содержания аминогруппы в нерастворимом в воде материале 10, включенном в материал 10 для очистки крови)

Та же самая операция, что и для материала 1 для очистки крови, была выполнена для того, чтобы измерить содержание аминогруппы в нерастворимом в воде материале 10, включенном в материал 10 для очистки крови. Результаты показаны в Таблице 5.

[0182]

(Измерение содержания группы амида в нерастворимом в воде материале 10, включенном в материал 10 для очистки крови)

Та же самая операция, что и для материала 1 для очистки крови, была выполнена для того, чтобы измерить содержание группы амида в нерастворимом в воде материале 10, включенном в материал 10 для очистки крови. Результаты показаны в Таблице 5.

[0183]

(Подготовка материала 11 для очистки крови)

Трикотажная ткань 11, которая была материалом для очистки крови (в дальнейшем упоминаемым как материал 11 для очистки крови), была получена путем выполнения той же самой операции, что и для материала 8 для очистки крови, за исключением того, что добавленное количество TEPA было изменено на 3,3 г.

[0184]

(Измерение содержания аминогруппы в нерастворимом в воде материале 11, включенном в материал 11 для очистки крови)

Та же самая операция, что и для материала 1 для очистки крови, была выполнена для того, чтобы измерить содержание аминогруппы в нерастворимом в воде материале 11, включенном в материал 11 для очистки крови. Результаты показаны в Таблице 5.

[0185]

(Измерение содержания группы амида в нерастворимом в воде материале 11, включенном в материал 11 для очистки крови)

Та же самая операция, что и для материала 1 для очистки крови, была выполнена для того, чтобы измерить содержание группы амида в нерастворимом в воде материале 11, включенном в материал 11 для очистки крови. Результаты показаны в Таблице 5.

[0186]

(Подготовка материала 12 для очистки крови)

Трикотажная ткань 12, которая была материалом для очистки крови (в дальнейшем упоминаемым как материал 12 для очистки крови), была получена путем выполнения той же самой операции, что и для материала 8 для очистки крови, за исключением того, что добавленное количество TEPA было изменено на 8,2 г.

[0187]

(Измерение содержания аминогруппы в нерастворимом в воде материале 12, включенном в материал 12 для очистки крови)

Та же самая операция, что и для материала 1 для очистки крови, была выполнена для того, чтобы измерить содержание аминогруппы в нерастворимом в воде материале 12, включенном в материал 12 для очистки крови. Результаты показаны в Таблице 5.

[0188]

(Измерение содержания группы амида в нерастворимом в воде материале 12, включенном в материал 12 для очистки крови)

Та же самая операция, что и для материала 1 для очистки крови, была выполнена для того, чтобы измерить содержание группы амида в нерастворимом в воде материале 12, включенном в материал 12 для очистки крови. Результаты показаны в Таблице 5.

[0189]

(Подготовка материала 13 для очистки крови)

Трикотажная ткань 13, которая была материалом для очистки крови (в дальнейшем упоминаемым как материал 13 для очистки крови), была получена путем выполнения той же самой операции, что и для материала 8 для очистки крови, за исключением того, что время, в течение которого трикотажная ткань B пропитывалась смесью растворов NMCA и PFA, было изменено на 4 час, и что добавленное количество TEPA было изменено на 0,08 г.

[0190]

(Измерение содержания аминогруппы в нерастворимом в воде материале 13, включенном в материал 13 для очистки крови)

Та же самая операция, что и для материала 1 для очистки крови, была выполнена для того, чтобы измерить содержание аминогруппы в нерастворимом в воде материале 13, включенном в материал 13 для очистки крови. Результаты показаны в Таблице 5.

[0191]

(Измерение содержания группы амида в нерастворимом в воде материале 13, включенном в материал 13 для очистки крови)

Та же самая операция, что и для материала 1 для очистки крови, была выполнена для того, чтобы измерить содержание группы амида в нерастворимом в воде материале 13, включенном в материал 13 для очистки крови. Результаты показаны в Таблице 5.

[0192]

(Подготовка материала 14 для очистки крови)

Трикотажная ткань 14, которая была материалом для очистки крови (в дальнейшем упоминаемым как материал 14 для очистки крови), была получена путем выполнения той же самой операции, что и для материала 13 для очистки крови, за исключением того, что добавленное количество TEPA было изменено на 0,12 г.

[0193]

(Измерение содержания аминогруппы в нерастворимом в воде материале 14, включенном в материал 14 для очистки крови)

Та же самая операция, что и для материала 1 для очистки крови, была выполнена для того, чтобы измерить содержание аминогруппы в нерастворимом в воде материале 14, включенном в материал 14 для очистки крови. Результаты показаны в Таблице 5.

[0194]

(Измерение содержания группы амида в нерастворимом в воде материале 14, включенном в материал 14 для очистки крови)

Та же самая операция, что и для материала 1 для очистки крови, была выполнена для того, чтобы измерить содержание группы амида в нерастворимом в воде материале 14, включенном в материал 14 для очистки крови. Результаты показаны в Таблице 5.

[0195]

(Подготовка материала 15 для очистки крови)

Трикотажная ткань 15, которая была материалом для очистки крови (в дальнейшем упоминаемым как материал 15 для очистки крови), была получена путем выполнения той же самой операции, что и для материала 13 для очистки крови, за исключением того, что добавленное количество TEPA было изменено на 0,41 г.

[0196]

(Измерение содержания аминогруппы в нерастворимом в воде материале 15, включенном в материал 15 для очистки крови)

Та же самая операция, что и для материала 1 для очистки крови, была выполнена для того, чтобы измерить содержание аминогруппы в нерастворимом в воде материале 15, включенном в материал 15 для очистки крови. Результаты показаны в Таблицах 5, 6 и 10.

[0197]

(Измерение содержания группы амида в нерастворимом в воде материале 15, включенном в материал 15 для очистки крови)

Та же самая операция, что и для материала 1 для очистки крови, была выполнена для того, чтобы измерить содержание группы амида в нерастворимом в воде материале 15, включенном в материал 15 для очистки крови. Результаты показаны в Таблицах 5, 6 и 10.

[0198]

(Измерение содержания фенильной группы в нерастворимом в воде материале 15, включенном в материал 15 для очистки крови)

Нерастворимый в воде материал 15, включенный в материал 15 для очистки крови, не подвергся реакции, в которой вводилась фенильная группа, и соответственно содержание фенильной группы рассматривалось как 0 ммоль/г.

[0199]

(Измерение доли отверстий материала 15 для очистки крови)

Доля отверстий материала 15 для очистки крови вычислялась в соответствии со следующим способом. Результаты показаны в Таблице 10.

1. Материал 15 для очистки крови фотографировался с использованием оптического микроскопа при увеличении 10×.

2. Было запущено программное обеспечение редактирования изображений (например «Photoshop Elements 14» производства компании Adobe Inc.), и следующие операции были выполнены в указанном порядке.

(1) Был открыт файл изображения, сфотографированного с использованием оптического микроскопа.

(2) Была вырезана часть размером 512 × 512 пикселей (262144 пикселя), доля отверстий в которой должна быть определена.

(3) С помощью функции «Освещение» для корректировки изображения были внесены поправки на открытых частях и частях материала 15 для очистки крови в изображении («Осветлить тень» и «Контраст среднего тона» в пункте меню «Тень/Свет» были установлены равными 100%; «Контраст» в пункте меню «Яркость/Контраст» был установлен равным 100; и «Яркость» была установлена равной 10).

(4) Если части отверстий и части материала 15 для очистки крови были нескорректированными, то они окрашивались в черный и белый цвета соответственно с помощью инструмента «Кисть» в меню «Рисование».

(5) Это изображение было преобразовано в двоичную форму путем выбора цветового тона в фильтре с двумя градациями. Значение корректировалось в сравнении с изображением так, чтобы получить две градации. Черные части и белые части рассматривались как части отверстий и части материала 15 для очистки крови соответственно.

(6) В окне была открыта гистограмма, и отношение черных частей к белым частям было определено как доля отверстий (%).

[0200]

(Подготовка материала 16 для очистки крови)

Трикотажная ткань 16, которая была материалом для очистки крови (в дальнейшем упоминаемым как материал 16 для очистки крови), была получена путем выполнения той же самой операции, что и для материала 13 для очистки крови, за исключением того, что добавленное количество TEPA было изменено на 0,82 г.

[0201]

(Измерение содержания аминогруппы в нерастворимом в воде материале 16, включенном в материал 16 для очистки крови)

Та же самая операция, что и для материала 1 для очистки крови, была выполнена для того, чтобы измерить содержание аминогруппы в нерастворимом в воде материале 16, включенном в материал 16 для очистки крови. Результаты показаны в Таблице 5.

[0202]

(Измерение содержания группы амида в нерастворимом в воде материале 16, включенном в материал 16 для очистки крови)

Та же самая операция, что и для материала 1 для очистки крови, была выполнена для того, чтобы измерить содержание группы амида в нерастворимом в воде материале 16, включенном в материал 16 для очистки крови. Результаты показаны в Таблице 5.

[0203]

(Подготовка материала 17 для очистки крови)

Трикотажная ткань 17, которая была материалом для очистки крови (в дальнейшем упоминаемым как материал 17 для очистки крови), была получена путем выполнения той же самой операции, что и для материала 13 для очистки крови, за исключением того, что добавленное количество TEPA было изменено на 1,64 г.

[0204]

(Измерение содержания аминогруппы в нерастворимом в воде материале 17, включенном в материал 17 для очистки крови)

Та же самая операция, что и для материала 1 для очистки крови, была выполнена для того, чтобы измерить содержание аминогруппы в нерастворимом в воде материале 17, включенном в материал 17 для очистки крови. Результаты показаны в Таблице 5.

[0205]

(Измерение содержания группы амида в нерастворимом в воде материале 17, включенном в материал 17 для очистки крови)

Та же самая операция, что и для материала 1 для очистки крови, была выполнена для того, чтобы измерить содержание группы амида в нерастворимом в воде материале 17, включенном в материал 17 для очистки крови. Результаты показаны в Таблице 5.

[0206]

(Подготовка материала 18 для очистки крови)

Трикотажная ткань 18, которая была материалом для очистки крови (в дальнейшем упоминаемым как материал 18 для очистки крови), была получена путем выполнения той же самой операции, что и для материала 8 для очистки крови, за исключением того, что время, в течение которого трикотажная ткань B пропитывалась смесью растворов NMCA и PFA, было изменено на 24 час, и что добавленное количество TEPA было изменено на 0,04 г.

[0207]

(Измерение содержания аминогруппы в нерастворимом в воде материале 18, включенном в материал 18 для очистки крови)

Та же самая операция, что и для материала 1 для очистки крови, была выполнена для того, чтобы измерить содержание аминогруппы в нерастворимом в воде материале 18, включенном в материал 18 для очистки крови. Результаты показаны в Таблице 5.

[0208]

(Измерение содержания группы амида в нерастворимом в воде материале 18, включенном в материал 18 для очистки крови)

Та же самая операция, что и для материала 1 для очистки крови, была выполнена для того, чтобы измерить содержание группы амида в нерастворимом в воде материале 18, включенном в материал 18 для очистки крови. Результаты показаны в Таблице 5.

[0209]

(Подготовка материала 19 для очистки крови)

Трикотажная ткань 19, которая была материалом для очистки крови (в дальнейшем упоминаемым как материал 19 для очистки крови), была получена путем выполнения той же самой операции, что и для материала 18 для очистки крови, за исключением того, что добавленное количество TEPA было изменено на 0,12 г.

[0210]

(Измерение содержания аминогруппы в нерастворимом в воде материале 19, включенном в материал 19 для очистки крови)

Та же самая операция, что и для материала 1 для очистки крови, была выполнена для того, чтобы измерить содержание аминогруппы в нерастворимом в воде материале 19, включенном в материал 19 для очистки крови. Результаты показаны в Таблице 5.

[0211]

(Измерение содержания группы амида в нерастворимом в воде материале 19, включенном в материал 19 для очистки крови)

Та же самая операция, что и для материала 1 для очистки крови, была выполнена для того, чтобы измерить содержание группы амида в нерастворимом в воде материале 19, включенном в материал 19 для очистки крови. Результаты показаны в Таблице 5.

[0212]

(Подготовка материала 20 для очистки крови)

Трикотажная ткань 20, которая была материалом для очистки крови (в дальнейшем упоминаемым как материал 20 для очистки крови), была получена путем выполнения той же самой операции, что и для материала 18 для очистки крови, за исключением того, что добавленное количество TEPA было изменено на 0,41 г.

[0213]

(Измерение содержания аминогруппы в нерастворимом в воде материале 20, включенном в материал 20 для очистки крови)

Та же самая операция, что и для материала 1 для очистки крови, была выполнена для того, чтобы измерить содержание аминогруппы в нерастворимом в воде материале 20, включенном в материал 20 для очистки крови. Результаты показаны в Таблице 5.

[0214]

(Измерение содержания группы амида в нерастворимом в воде материале 20, включенном в материал 20 для очистки крови)

Та же самая операция, что и для материала 1 для очистки крови, была выполнена для того, чтобы измерить содержание группы амида в нерастворимом в воде материале 20, включенном в материал 20 для очистки крови. Результаты показаны в Таблице 5.

[0215]

(Подготовка материала 21 для очистки крови)

Трикотажная ткань 21, которая была материалом для очистки крови (в дальнейшем упоминаемым как материал 21 для очистки крови), была получена путем выполнения той же самой операции, что и для материала 18 для очистки крови, за исключением того, что добавленное количество TEPA было изменено на 0,82 г.

[0216]

(Измерение содержания аминогруппы в нерастворимом в воде материале 21, включенном в материал 21 для очистки крови)

Та же самая операция, что и для материала 1 для очистки крови, была выполнена для того, чтобы измерить содержание аминогруппы в нерастворимом в воде материале 21, включенном в материал 21 для очистки крови. Результаты показаны в Таблице 5.

[0217]

(Измерение содержания группы амида в нерастворимом в воде материале 21, включенном в материал 21 для очистки крови)

Та же самая операция, что и для материала 1 для очистки крови, была выполнена для того, чтобы измерить содержание группы амида в нерастворимом в воде материале 21, включенном в материал 21 для очистки крови. Результаты показаны в Таблице 5.

[0218]

(Подготовка материала 22 для очистки крови)

Трикотажная ткань 22, которая была материалом для очистки крови (в дальнейшем упоминаемым как материал 22 для очистки крови), была получена путем выполнения той же самой операции, что и для материала 18 для очистки крови, за исключением того, что добавленное количество TEPA было изменено на 1,64 г.

[0219]

(Измерение содержания аминогруппы в нерастворимом в воде материале 22, включенном в материал 22 для очистки крови)

Та же самая операция, что и для материала 1 для очистки крови, была выполнена для того, чтобы измерить содержание аминогруппы в нерастворимом в воде материале 22, включенном в материал 22 для очистки крови. Результаты показаны в Таблице 5.

[0220]

(Измерение содержания группы амида в нерастворимом в воде материале 22, включенном в материал 22 для очистки крови)

Та же самая операция, что и для материала 1 для очистки крови, была выполнена для того, чтобы измерить содержание группы амида в нерастворимом в воде материале 22, включенном в материал 22 для очистки крови. Результаты показаны в Таблице 5.

[0221]

(Подготовка материала 23 для очистки крови)

NMCA в количестве 4,6 г был добавлен к раствору смеси 31 г нитробензола и 31 г 98 мас.% серной кислоты, и полученная смесь перемешивалась при 10°C до тех пор, пока NMCA не растворился в этом растворе, чтобы получить раствор NMCA. Затем 0,2 г PFA было добавлено к смеси растворов 2,0 г нитробензола и 2,0 г 98 мас.% серной кислоты, и полученная смесь перемешивалась при 20°C до тех пор, пока PFA не растворился в этом растворе, чтобы получить раствор PFA. Раствор PFA в количестве 4,2 г был охлажден до 5°C и смешан с 64,3 г раствора NMCA, полученная смесь перемешивалась в течение 5 мин, 1 г трикотажной ткани B был добавлен к этой смеси для пропитки на 4 часа. Пропитанная трикотажная ткань B была погружена в 200 мл нитробензола с температурой 0°C, чтобы тем самым остановить реакцию, и нитробензол, присоединенный к ткани, был удален путем экстракции метанолом.

[0222]

TEPA в количестве 0,24 г и триэтиламин в количестве 2,1 г были растворены в 51 г диметилсульфоксида, и к этому раствору трикотажная ткань B, полученная после экстракции метанолом, была добавлена в том виде, как она есть. Ткань пропитывалась этим раствором при 40°C в течение 3 час. Трикотажная ткань была собрана на стеклянном фильтре с помощью фильтрации и промыта 500 мл диметилсульфоксида.

[0223]

К 47 г диметилсульфоксида, который был предварительно высушен путем дегидратации с активированными молекулярными ситами 3A, 0,075 г п-хлорфенилизоцианата было добавлено в атмосфере азота, полученная смесь была нагрета до 30°C, и все количество промытой трикотажной ткани B пропитывалось этой смесью в течение 1 час. Трикотажная ткань была собрана на стеклянном фильтре путем фильтрации для того, чтобы получить трикотажную ткань 23, которая была материалом для очистки крови (в дальнейшем упоминаемым как материал 23 для очистки крови).

[0224]

(Измерение содержания аминогруппы в нерастворимом в воде материале 23, включенном в материал 23 для очистки крови)

Та же самая операция, что и для материала 1 для очистки крови, была выполнена для того, чтобы измерить содержание аминогруппы в нерастворимом в воде материале 23, включенном в материал 23 для очистки крови. Результаты показаны в Таблице 6.

[0225]

(Измерение содержания группы амида в нерастворимом в воде материале 23, включенном в материал 23 для очистки крови)

Та же самая операция, что и для материала 1 для очистки крови, была выполнена для того, чтобы измерить содержание группы амида в нерастворимом в воде материале 23, включенном в материал 23 для очистки крови. Результаты показаны в Таблице 6.

[0226]

(Измерение содержания п-хлорфенильной группы в нерастворимом в воде материале 23, включенном в материал 23 для очистки крови)

Содержание п-хлорфенильной группы в нерастворимом в воде материале 23, включенном в материал 23 для очистки крови было измерено путем гидролиза связывающего агента, включенного в нерастворимый в воде материал 23, и количественного определения элюированного п-хлоранилина. Подробности будут описаны ниже.

[0227]

Четыре листа площадью 2 см2 были вырезаны из нерастворимого в воде материала 23, и эти листы были высушены и взвешены для определения сухого веса. Затем 4 мл 6М соляной кислоты и вырезанные четыре листа материала были добавлены в стеклянную бутылку под давлением с последующим нагреванием при 110°С в течение 20 час. Через 20 час 1 мл раствора был взят из этой бутылки и помещен в пробирку для образцов. В эту пробирку было последовательно добавлено 12 мл 0,5М соляной кислоты, содержащей 5 мг азотнокислого натрия, 12 мл 0,5 мас.% водного раствора TWEEN20, содержащего 36 мг сульфамата аммония, 12 мл 0,5 мас.% водного раствора TWEEN20, содержащего 8 мг 1-нафтилэтилендиаминдигидрохлорида для придания полученной смеси красного цвета. Полученный красный раствор был измерен для определения поглощения света на длине волны 545 нм. Водный раствор, имеющий известную концентрацию п-хлоранилина, был окрашен тем же самым образом для подготовки калибровочной кривой, по которой концентрация п-хлоранилина в растворе количественно определялась после гидролиза. Кроме того, содержание группы п-хлорфенила вычислялось с использованием Уравнения 3. Результаты показаны в Таблице 6.

Содержание группы п-хлорфенила (ммоль/г)=Концентрация п-хлоранилина в растворе после гидролиза (ммоль/мл) × Количество раствора после гидролиза (4 мл) × Разбавление раствора для измерения (в 37 раз)/Сухой вес добавленного нерастворимого в воде материала (г) ⋅⋅⋅ Уравнение 3

[0228]

(Подготовка материала 24 для очистки крови)

Трикотажная ткань 24, которая была материалом для очистки крови (в дальнейшем упоминаемым как материал 24 для очистки крови), была получена путем выполнения той же самой операции, что и для материала 23 для очистки крови, за исключением того, что добавленное количество TEPA было изменено с 0,24 г на 0,36 г, и добавленное количество п-хлорфенилизоцианата было изменено с 0,075 г на 1,5 г.

[0229]

(Измерение содержания аминогруппы в нерастворимом в воде материале 24, включенном в материал 24 для очистки крови)

Та же самая операция, что и для материала 1 для очистки крови, была выполнена для того, чтобы измерить содержание аминогруппы в нерастворимом в воде материале 24, включенном в материал 24 для очистки крови. Результаты показаны в Таблице 6.

[0230]

(Измерение содержания группы амида в нерастворимом в воде материале 24, включенном в материал 24 для очистки крови)

Та же самая операция, что и для материала 1 для очистки крови, была выполнена для того, чтобы измерить содержание группы амида в нерастворимом в воде материале 24, включенном в материал 24 для очистки крови. Результаты показаны в Таблице 6.

[0231]

(Измерение содержания п-хлорфенильной группы в нерастворимом в воде материале 24, включенном в материал 24 для очистки крови)

Та же самая операция, что и для материала 23 для очистки крови, была выполнена для того, чтобы измерить содержание п-хлорфенильной группы в нерастворимом в воде материале 24, включенном в материал 24 для очистки крови. Результаты показаны в Таблице 6.

[0232]

(Подготовка материала 25 для очистки крови)

Трикотажная ткань 25, которая была материалом для очистки крови (в дальнейшем упоминаемым как материал 25 для очистки крови), была получена путем выполнения той же самой операции, что и для материала 24 для очистки крови, за исключением того, что добавленный п-хлорфенилизоцианат был заменен на п-хлорбензоилхлорид.

[0233]

(Измерение содержания аминогруппы в нерастворимом в воде материале 25, включенном в материал 25 для очистки крови)

Та же самая операция, что и для материала 1 для очистки крови, была выполнена для того, чтобы измерить содержание аминогруппы в нерастворимом в воде материале 25, включенном в материал 25 для очистки крови. Результаты показаны в Таблице 6.

[0234]

(Измерение содержания группы амида в нерастворимом в воде материале 25, включенном в материал 25 для очистки крови)

Та же самая операция, что и для материала 1 для очистки крови, была выполнена для того, чтобы измерить содержание группы амида в нерастворимом в воде материале 25, включенном в материал 25 для очистки крови. Результаты показаны в Таблице 6.

[0235]

(Измерение содержания п-хлорфенильной группы в нерастворимом в воде материале 25, включенном в материал 25 для очистки крови)

Содержание п-хлорфенильной группы в нерастворимом в воде материале 25, включенном в материал 25 для очистки крови было измерено путем гидролиза связывающего агента, включенного в нерастворимый в воде материал 25, и количественного определения элюированной п-хлорбензойной кислоты. Подробности будут описаны ниже.

[0236]

Четыре листа площадью 6 см2 были вырезаны из нерастворимого в воде материала 25, и эти листы были высушены и взвешены для определения сухого веса. Затем 4 мл 6М соляной кислоты и вырезанные четыре листа материала были добавлены в стеклянную бутылку под давлением с последующим нагреванием при 110°С в течение 20 час. Через 20 час весь раствор был взят из этой бутылки и помещен в пробирку для образцов. Эта пробирка была высушена под вакуумом, и 5мМ раствор хлороформа в 1 мл диметилсульфоксида-d6 был добавлен в эту пробирку для растворения остатка. Этот раствор был измерен с помощью 1H NMR, и содержание п-хлорфенильной группы было вычислено с использованием Уравнения 4 из отношения значения интеграла пика п-хлорбензойной кислоты (δ=7,4-7,8 частей на миллион) к значению интеграла пика хлороформа (δ=7,3 частей на миллион). Результаты показаны в Таблице 6.

Содержание п-хлорфенильной группы (ммоль/г)=Концентрация хлороформа (5 мМ) × (Значение интеграла пика п-хлорбензойной кислоты/Значение интеграла пика хлороформа) × Количество протонов ароматического кольца п-хлорбензойной кислоты (4) × Количество жидкого диметилсульфоксида-d6 (1 мл)/Вес нерастворимого в воде материала 25 (г) ⋅⋅⋅ Уравнение 4

[0237]

(Подготовка материала 26 для очистки крови)

Трикотажная ткань 26, которая была материалом для очистки крови (в дальнейшем упоминаемым как материал 26 для очистки крови), была получена путем выполнения той же самой операции, что и для материала 23 для очистки крови, за исключением того, что добавленное количество п-хлорфенилизоцианата было изменено с 1,5 г на 0,02 г.

[0238]

(Измерение содержания аминогруппы в нерастворимом в воде материале 26, включенном в материал 26 для очистки крови)

Та же самая операция, что и для материала 1 для очистки крови, была выполнена для того, чтобы измерить содержание аминогруппы в нерастворимом в воде материале 26, включенном в материал 26 для очистки крови. Результаты показаны в Таблице 6.

[0239]

(Измерение содержания группы амида в нерастворимом в воде материале 26, включенном в материал 26 для очистки крови)

Та же самая операция, что и для материала 1 для очистки крови, была выполнена для того, чтобы измерить содержание группы амида в нерастворимом в воде материале 26, включенном в материал 26 для очистки крови. Результаты показаны в Таблице 6.

[0240]

(Измерение содержания п-хлорфенильной группы в нерастворимом в воде материале 26, включенном в материал 26 для очистки крови)

Та же самая операция, что и для материала 23 для очистки крови, была выполнена для того, чтобы измерить содержание п-хлорфенильной группы в нерастворимом в воде материале 26, включенном в материал 26 для очистки крови. Результаты показаны в Таблице 6.

[0241]

(Подготовка материала 27 для очистки крови)

Трикотажная ткань 27, которая была материалом для очистки крови (в дальнейшем упоминаемым как материал 27 для очистки крови), была получена путем выполнения той же самой операции, что и для материала 23 для очистки крови, за исключением того, что добавленное количество п-хлорфенилизоцианата было изменено с 1,5 г на 0,1 г.

[0242]

(Измерение содержания аминогруппы в нерастворимом в воде материале 27, включенном в материал 27 для очистки крови)

Та же самая операция, что и для материала 1 для очистки крови, была выполнена для того, чтобы измерить содержание аминогруппы в нерастворимом в воде материале 27, включенном в материал 27 для очистки крови. Результаты показаны в Таблице 6.

[0243]

(Измерение содержания группы амида в нерастворимом в воде материале 27, включенном в материал 27 для очистки крови)

Та же самая операция, что и для материала 1 для очистки крови, была выполнена для того, чтобы измерить содержание группы амида в нерастворимом в воде материале 27, включенном в материал 27 для очистки крови. Результаты показаны в Таблице 6.

[0244]

(Измерение содержания п-хлорфенильной группы в нерастворимом в воде материале 27, включенном в материал 27 для очистки крови)

Та же самая операция, что и для материала 23 для очистки крови, была выполнена для того, чтобы измерить содержание п-хлорфенильной группы в нерастворимом в воде материале 27, включенном в материал 27 для очистки крови. Результаты показаны в Таблице 6.

[0245]

(Подготовка материала 28 для очистки крови)

Трикотажная ткань 28, которая была материалом для очистки крови (в дальнейшем упоминаемым как материал 28 для очистки крови), была получена путем выполнения той же самой операции, что и для материала 24 для очистки крови, за исключением того, что добавленное количество п-хлорфенилизоцианата было изменено с 1,5 г на 0,5 г.

[0246]

(Измерение содержания аминогруппы в нерастворимом в воде материале 28, включенном в материал 28 для очистки крови)

Та же самая операция, что и для материала 1 для очистки крови, была выполнена для того, чтобы измерить содержание аминогруппы в нерастворимом в воде материале 28, включенном в материал 28 для очистки крови. Результаты показаны в Таблице 6.

[0247]

(Измерение содержания группы амида в нерастворимом в воде материале 28, включенном в материал 28 для очистки крови)

Та же самая операция, что и для материала 1 для очистки крови, была выполнена для того, чтобы измерить содержание группы амида в нерастворимом в воде материале 28, включенном в материал 28 для очистки крови. Результаты показаны в Таблице 6.

[0248]

(Измерение содержания п-хлорфенильной группы в нерастворимом в воде материале 28, включенном в материал 28 для очистки крови)

Та же самая операция, что и для материала 23 для очистки крови, была выполнена для того, чтобы измерить содержание п-хлорфенильной группы в нерастворимом в воде материале 28, включенном в материал 28 для очистки крови. Результаты показаны в Таблице 6.

[0249]

(Подготовка материала 29 для очистки крови)

Трикотажная ткань 29, которая была материалом для очистки крови (в дальнейшем упоминаемым как материал 29 для очистки крови), была получена путем выполнения той же самой операции, что и для материала 23 для очистки крови, за исключением того, что добавленное количество TEPA было изменено с 0,24 г на 0,56 г, и добавленное количество п-хлорфенилизоцианата было изменено с 0,075 г на 2,5 г.

[0250]

(Измерение содержания аминогруппы в нерастворимом в воде материале 29, включенном в материал 29 для очистки крови)

Та же самая операция, что и для материала 1 для очистки крови, была выполнена для того, чтобы измерить содержание аминогруппы в нерастворимом в воде материале 29, включенном в материал 29 для очистки крови. Результаты показаны в Таблице 6.

[0251]

(Измерение содержания группы амида в нерастворимом в воде материале 29, включенном в материал 29 для очистки крови)

Та же самая операция, что и для материала 1 для очистки крови, была выполнена для того, чтобы измерить содержание группы амида в нерастворимом в воде материале 29, включенном в материал 29 для очистки крови. Результаты показаны в Таблице 6.

[0252]

(Измерение содержания п-хлорфенильной группы в нерастворимом в воде материале 29, включенном в материал 29 для очистки крови)

Та же самая операция, что и для материала 23 для очистки крови, была выполнена для того, чтобы измерить содержание п-хлорфенильной группы в нерастворимом в воде материале 29, включенном в материал 29 для очистки крови. Результаты показаны в Таблице 6.

[0253]

(Подготовка материала 30 для очистки крови)

Трикотажная ткань 30, которая была материалом для очистки крови (в дальнейшем упоминаемым как материал 30 для очистки крови) была получена путем выполнения той же самой операции, что и для материала 13 для очистки крови, за исключением того, что добавленное количество TEPA было изменено на 0,82 мл 6М водного раствора аммиака.

[0254]

(Измерение содержания аминогруппы в нерастворимом в воде материале 30, включенном в материал 30 для очистки крови)

Та же самая операция, что и для материала 1 для очистки крови, была выполнена для того, чтобы измерить содержание аминогруппы в нерастворимом в воде материале 30, включенном в материал 30 для очистки крови. Результаты показаны в Таблице 7.

[0255]

(Измерение содержания группы амида в нерастворимом в воде материале 30, включенном в материал 30 для очистки крови)

Та же самая операция, что и для материала 1 для очистки крови, была выполнена для того, чтобы измерить содержание группы амида в нерастворимом в воде материале 30, включенном в материал 30 для очистки крови. Результаты показаны в Таблице 7.

[0256]

(Подготовка материала 31 для очистки крови)

Трикотажная ткань 31, которая была материалом для очистки крови (в дальнейшем упоминаемым как материал 31 для очистки крови), была получена путем выполнения той же самой операции, что и для материала 13 для очистки крови, за исключением того, что добавленное количество TEPA было изменено на 0,44 г диэтилентриамина.

[0257]

(Измерение содержания аминогруппы в нерастворимом в воде материале 31, включенном в материал 31 для очистки крови)

Та же самая операция, что и для материала 1 для очистки крови, была выполнена для того, чтобы измерить содержание аминогруппы в нерастворимом в воде материале 31, включенном в материал 31 для очистки крови. Результаты показаны в Таблице 7.

[0258]

(Измерение содержания группы амида в нерастворимом в воде материале 31, включенном в материал 31 для очистки крови)

Та же самая операция, что и для материала 1 для очистки крови, была выполнена для того, чтобы измерить содержание группы амида в нерастворимом в воде материале 31, включенном в материал 31 для очистки крови. Результаты показаны в Таблице 7.

[0259]

(Подготовка материала 32 для очистки крови)

Трикотажная ткань 32, которая была материалом для очистки крови (в дальнейшем упоминаемым как материал 32 для очистки крови), была получена путем выполнения той же самой операции, что и для материала 13 для очистки крови, за исключением того, что добавленное количество TEPA было изменено на 0,50 г полиэтиленимина (имеющего средневесовую молекулярную массу 600).

[0260]

(Измерение содержания аминогруппы в нерастворимом в воде материале 32, включенном в материал 32 для очистки крови)

Та же самая операция, что и для материала 1 для очистки крови, была выполнена для того, чтобы измерить содержание аминогруппы в нерастворимом в воде материале 32, включенном в материал 32 для очистки крови. Результаты показаны в Таблице 7.

[0261]

(Измерение содержания группы амида в нерастворимом в воде материале 32, включенном в материал 32 для очистки крови)

Та же самая операция, что и для материала 1 для очистки крови, была выполнена для того, чтобы измерить содержание группы амида в нерастворимом в воде материале 32, включенном в материал 32 для очистки крови. Результаты показаны в Таблице 7.

[0262]

(Подготовка материала 33 для очистки крови)

Трикотажная ткань 33, которая была материалом для очистки крови (в дальнейшем упоминаемым как материал 33 для очистки крови), была получена путем выполнения той же самой операции, что и для материала 15 для очистки крови, за исключением того, что используемая трикотажная ткань А была заменена на трикотажную ткань C.

[0263]

(Измерение содержания аминогруппы в нерастворимом в воде материале 33, включенном в материал 33 для очистки крови)

Та же самая операция, что и для материала 1 для очистки крови, была выполнена для того, чтобы измерить содержание аминогруппы в нерастворимом в воде материале 33, включенном в материал 33 для очистки крови. Результаты показаны в Таблице 10.

[0264]

(Измерение содержания группы амида в нерастворимом в воде материале 33, включенном в материал 33 для очистки крови)

Та же самая операция, что и для материала 1 для очистки крови, была выполнена для того, чтобы измерить содержание группы амида в нерастворимом в воде материале 33, включенном в материал 33 для очистки крови. Результаты показаны в Таблице 10.

[0265]

(Измерение доли отверстий материала 33 для очистки крови)

Та же самая операция, что и для материала 15 для очистки крови, была выполнена для того, чтобы вычислить долю отверстий материала 33 для очистки крови. Результаты показаны в Таблице 10.

[0266]

(Подготовка материала 34 для очистки крови)

Трикотажная ткань 34, которая была материалом для очистки крови (в дальнейшем упоминаемым как материал 34 для очистки крови), была получена путем выполнения той же самой операции, что и для материала 15 для очистки крови, за исключением того, что используемая трикотажная ткань А была заменена на трикотажную ткань D.

[0267]

(Измерение содержания аминогруппы в нерастворимом в воде материале 34, включенном в материал 34 для очистки крови)

Та же самая операция, что и для материала 1 для очистки крови, была выполнена для того, чтобы измерить содержание аминогруппы в нерастворимом в воде материале 34, включенном в материал 34 для очистки крови. Результаты показаны в Таблице 10.

[0268]

(Измерение содержания группы амида в нерастворимом в воде материале 34, включенном в материал 34 для очистки крови)

Та же самая операция, что и для материала 1 для очистки крови, была выполнена для того, чтобы измерить содержание группы амида в нерастворимом в воде материале 34, включенном в материал 34 для очистки крови. Результаты показаны в Таблице 10.

[0269]

(Измерение доли отверстий материала 34 для очистки крови)

Та же самая операция, что и для материала 33 для очистки крови, была выполнена для того, чтобы вычислить долю отверстий материала 34 для очистки крови. Результаты показаны в Таблице 10.

[0270]

(Подготовка материала 35 для очистки крови)

Трикотажная ткань 35, которая была материалом для очистки крови (в дальнейшем упоминаемым как материал 35 для очистки крови), была получена путем выполнения той же самой операции, что и для материала 15 для очистки крови, за исключением того, что используемая трикотажная ткань А была заменена на трикотажную ткань E.

[0271]

(Измерение содержания аминогруппы в нерастворимом в воде материале 35, включенном в материал 35 для очистки крови)

Та же самая операция, что и для материала 1 для очистки крови, была выполнена для того, чтобы измерить содержание аминогруппы в нерастворимом в воде материале 35, включенном в материал 35 для очистки крови. Результаты показаны в Таблице 10.

[0272]

(Измерение содержания группы амида в нерастворимом в воде материале 35, включенном в материал 35 для очистки крови)

Та же самая операция, что и для материала 1 для очистки крови, была выполнена для того, чтобы измерить содержание группы амида в нерастворимом в воде материале 35, включенном в материал 35 для очистки крови. Результаты показаны в Таблице 10.

[0273]

(Измерение доли отверстий материала 35 для очистки крови)

Та же самая операция, что и для материала 33 для очистки крови, была выполнена для того, чтобы вычислить долю отверстий материала 35 для очистки крови. Результаты показаны в Таблице 10.

[0274]

(Подготовка материала 36 для очистки крови)

Трикотажная ткань 36, которая была материалом для очистки крови (в дальнейшем упоминаемым как материал 36 для очистки крови), была получена путем выполнения той же самой операции, что и для материала 15 для очистки крови, за исключением того, что используемая трикотажная ткань А была заменена на трикотажную ткань F.

[0275]

(Измерение содержания аминогруппы в нерастворимом в воде материале 36, включенном в материал 36 для очистки крови)

Та же самая операция, что и для материала 1 для очистки крови, была выполнена для того, чтобы измерить содержание аминогруппы в нерастворимом в воде материале 36, включенном в материал 36 для очистки крови. Результаты показаны в Таблице 10.

[0276]

(Измерение содержания группы амида в нерастворимом в воде материале 36, включенном в материал 36 для очистки крови)

Та же самая операция, что и для материала 1 для очистки крови, была выполнена для того, чтобы измерить содержание группы амида в нерастворимом в воде материале 36, включенном в материал 36 для очистки крови. Результаты показаны в Таблице 10.

[0277]

(Измерение доли отверстий материала 36 для очистки крови)

Та же самая операция, что и для материала 33 для очистки крови, была выполнена для того, чтобы вычислить долю отверстий материала 36 для очистки крови. Результаты показаны в Таблице 10.

[0278]

(Подготовка материала 37 для очистки крови)

Раствор смеси 21 мл нитробензола и 42 мл 98 мас.% серной кислоты был охлажден до 5°C, 5,7 г NMCA было добавлено и растворено в этом растворе, и к полученной смеси был добавлен 1 л холодного нитробензола и раствор 2 г полисульфона марки Udel P3500 (полимера, имеющего средневесовую молекулярную массу 30000) в 1 л нитробензола с достаточным перемешиванием. Затем полученная смесь дополнительно перемешивалась при 5°C 3 час. После этого реакционная смесь была помещена в большой избыток холодного метанола, и осадок был хорошо промыт метанолом и высушен для получения 2 г амидометилированного полисульфона.

В раствор 1 г амидометилированного полисульфона в 50 мл DMF 6 г трикотажной ткани из полипропиленового волокна, имеющего диаметр одиночной нити 1 мкм и полную тонину 97 децитекс, с сухим весом 0,0095 г/см2 и объемной плотностью 0,33 г/см3, были погружены на 4 час. Затем эта трикотажная ткань была дегидратирована центрифугированием для того, чтобы получить трикотажную ткань для покрытия.

[0279]

TEPA в количестве 0,32 г и триэтиламин в количестве 2,1 г были растворены в 51 г диметилсульфоксида, и к этому раствору была добавлена трикотажная ткань для покрытия. Ткань пропитывалась этим раствором при 40°C в течение 3 час. Трикотажная ткань была собрана на стеклянном фильтре путем фильтрации, промыта 500 мл диметилсульфоксида, 3 л дистиллированной воды и физиологическим раствором для того, чтобы получить трикотажную ткань 37, которая была материалом для очистки крови (в дальнейшем упоминаемым как материал 37 для очистки крови).

[0280]

(Измерение содержания аминогруппы в нерастворимом в воде материале 37, включенном в материал 37 для очистки крови)

Та же самая операция, что и для материала 1 для очистки крови, была выполнена для того, чтобы измерить содержание аминогруппы в нерастворимом в воде материале 37, включенном в материал 37 для очистки крови. Результаты показаны в Таблице 11.

[0281]

(Измерение содержания группы амида в нерастворимом в воде материале 37, включенном в материал 37 для очистки крови)

Та же самая операция, что и для материала 1 для очистки крови, была выполнена для того, чтобы измерить содержание группы амида в нерастворимом в воде материале 37, включенном в материал 37 для очистки крови. Результаты показаны в Таблице 11.

[0282]

(Пример 1)

Для того, чтобы подтвердить эффективность очистки крови материалом 9 для очистки крови, материал 9 для очистки крови пропитывался раствором цитокина в течение предопределенного времени, а затем был вынут и измерен на предмет уменьшения количества цитокинов в растворе до и после пропитки. Способ измерения будет описан ниже.

[0283]

Материал 9 для очистки крови был нарезан на диски, имеющие диаметр 6 мм, и четыре из этих дисков были помещены в контейнер из полипропилена. В этот контейнер добавлялась эмбриональная бычья сыворотка (упоминаемая в дальнейшем как FBS), приготовленная таким образом, чтобы она имела интерлeйкин-6 (упоминаемый в дальнейшем как IL-6) и интерлeйкин-8 (упоминаемый в дальнейшем как IL-8) в концентрации каждого 2000 пг/мл, каждый из которых представляет собой один вид цитокинов, таким образом, чтобы ее объем составлял 30 мл на 1 см3 материала для очистки крови, и полученное содержимое перемешивалось путем переворачивания в термостате при 37°C в течение 2 час с последующим измерением концентрации каждого из IL-6 и IL-8 в FBS с помощью ELISA. Коэффициент адсорбции IL-6 и коэффициент адсорбции IL-8 были вычислены из концентрации IL-6 и концентрации IL-8, измеренной перед смешиванием переворачиванием, с использованием следующих Уравнения 5 и Уравнения 6. Результаты показаны в Таблице 5.

Коэффициент адсорбции IL-6 материала 1 для очистки крови (%)=100 × {Концентрация IL-6, измеренная перед смешиванием переворачиванием (пг/мл)/Концентрация IL-6, измеренная после смешивания переворачиванием (пг/мл)} ⋅⋅⋅ Уравнение 5

Коэффициент адсорбции IL-8 материала 1 для очистки крови (%)=100 × {Концентрация IL-8, измеренная перед смешиванием переворачиванием (пг/мл)/Концентрация IL-8, измеренная после смешивания переворачиванием (пг/мл)} ⋅⋅⋅ Уравнение 6

[0284]

(Пример 2)

Для материала 10 для очистки крови, та же самая операция, что и в Примере 1, была выполнена для вычисления скорости адсорбции IL-6 и скорости адсорбции IL-8. Результаты показаны в Таблице 5.

[0285]

(Пример 3)

Для материала 11 для очистки крови, та же самая операция, что и в Примере 1, была выполнена для вычисления скорости адсорбции IL-6 и скорости адсорбции IL-8. Результаты показаны в Таблице 5.

[0286]

(Пример 4)

Для материала 14 для очистки крови, та же самая операция, что и в Примере 1, была выполнена для вычисления скорости адсорбции IL-6 и скорости адсорбции IL-8. Результаты показаны в Таблице 5.

[0287]

(Пример 5)

Для материала 15 для очистки крови, та же самая операция, что и в Примере 1, была выполнена для вычисления скорости адсорбции IL-6 и скорости адсорбции IL-8. Результаты показаны в Таблице 5.

[0288]

(Пример 6)

Для материала 16 для очистки крови, та же самая операция, что и в Примере 1, была выполнена для вычисления скорости адсорбции IL-6 и скорости адсорбции IL-8. Результаты показаны в Таблице 5.

[0289]

(Пример 7)

Для материала 19 для очистки крови, та же самая операция, что и в Примере 1, была выполнена для вычисления скорости адсорбции IL-6 и скорости адсорбции IL-8. Результаты показаны в Таблице 5.

[0290]

(Пример 8)

Для материала 20 для очистки крови, та же самая операция, что и в Примере 1, была выполнена для вычисления скорости адсорбции IL-6 и скорости адсорбции IL-8. Результаты показаны в Таблице 5.

[0291]

(Пример 9)

Для материала 21 для очистки крови, та же самая операция, что и в Примере 1, была выполнена для вычисления скорости адсорбции IL-6 и скорости адсорбции IL-8. Результаты показаны в Таблице 5.

[0292]

(Пример 10)

Для проверки степени адгезии тромбоцитов материала 15 для очистки крови у здорового добровольца было взято 50 мл крови для сбора гепарина (концентрация гепарина: 30 ед/мл) с последующим проведением следующего измерения.

[0293]

Материал 15 для очистки крови был нарезан на диски, имеющие диаметр 8 мм, и шесть из этих дисков были загружены в контейнер из полипропилена. Кроме того, LPS и гепарин (в дальнейшем упоминаемый как HP) добавлялись в кровь при 37°C в течение 1 часа (концентрация LPS: 70 ЕЭ/мл, концентрация HP), и полученная смесь добавлялась в контейнер, а затем перемешивалась путем переворачивания. До и после того, как кровь была приведена в контакт с материалом для очистки крови, количество тромбоцитов было измерено с использованием последовательного многоканального анализатора клеток крови с последующим вычислением коэффициента адгезии тромбоцитов с использованием следующего Уравнения 7. Результаты показаны в Таблице 6.

Степень адгезии тромбоцитов (%)=(Тромбоциты в крови, измеренные после теста адсорбции тромбоцитов)/(Тромбоциты в крови, измеренные перед тестом адсорбции тромбоцитов) ⋅⋅⋅ Уравнение 7

[0294]

(Пример 11)

Для материала 23 для очистки крови, та же самая операция, что и в Примере 1, была выполнена для вычисления скорости адсорбции IL-6 и скорости адсорбции IL-8. Кроме того, для материала 23 для очистки крови та же самая операция, что и в Примере 10, была выполнена для того, чтобы вычислить степень адгезии тромбоцитов. Результаты показаны в Таблице 6.

[0295]

(Пример 12)

Для материала 24 для очистки крови, та же самая операция, что и в Примере 1, была выполнена для вычисления скорости адсорбции IL-6 и скорости адсорбции IL-8. Кроме того, для материала 24 для очистки крови та же самая операция, что и в Примере 10, была выполнена для того, чтобы вычислить степень адгезии тромбоцитов. Результаты показаны в Таблице 6.

[0296]

(Пример 13)

Для материала 25 для очистки крови, та же самая операция, что и в Примере 1, была выполнена для вычисления скорости адсорбции IL-6 и скорости адсорбции IL-8. Кроме того, для материала 25 для очистки крови та же самая операция, что и в Примере 10, была выполнена для того, чтобы вычислить степень адгезии тромбоцитов. Результаты показаны в Таблице 6.

[0297]

(Пример 14)

Для материала 26 для очистки крови, та же самая операция, что и в Примере 1, была выполнена для вычисления скорости адсорбции IL-6 и скорости адсорбции IL-8. Кроме того, для материала 26 для очистки крови та же самая операция, что и в Примере 10, была выполнена для того, чтобы вычислить степень адгезии тромбоцитов. Результаты показаны в Таблице 6.

[0298]

(Пример 15)

Для материала 27 для очистки крови, та же самая операция, что и в Примере 1, была выполнена для вычисления скорости адсорбции IL-6 и скорости адсорбции IL-8. Кроме того, для материала 27 для очистки крови та же самая операция, что и в Примере 10, была выполнена для того, чтобы вычислить степень адгезии тромбоцитов. Результаты показаны в Таблице 6.

[0299]

(Пример 16)

Для материала 28 для очистки крови, та же самая операция, что и в Примере 1, была выполнена для вычисления скорости адсорбции IL-6 и скорости адсорбции IL-8. Кроме того, для материала 28 для очистки крови та же самая операция, что и в Примере 10, была выполнена для того, чтобы вычислить степень адгезии тромбоцитов. Результаты показаны в Таблице 6.

[0300]

(Пример 17)

Для материала 29 для очистки крови, та же самая операция, что и в Примере 1, была выполнена для вычисления скорости адсорбции IL-6 и скорости адсорбции IL-8. Кроме того, для материала 29 для очистки крови та же самая операция, что и в Примере 10, была выполнена для того, чтобы вычислить степень адгезии тромбоцитов. Результаты показаны в Таблице 6.

[0301]

(Пример 18)

Для материала 30 для очистки крови, та же самая операция, что и в Примере 1, была выполнена для вычисления скорости адсорбции IL-6 и скорости адсорбции IL-8. Результаты показаны в Таблице 7.

[0302]

(Пример 19)

Для материала 31 для очистки крови, та же самая операция, что и в Примере 1, была выполнена для вычисления скорости адсорбции IL-6 и скорости адсорбции IL-8. Результаты показаны в Таблице 7.

[0303]

(Пример 20)

Для материала 32 для очистки крови, та же самая операция, что и в Примере 1, была выполнена для вычисления скорости адсорбции IL-6 и скорости адсорбции IL-8. Результаты показаны в Таблице 7.

[0304]

(Пример 21)

Для того, чтобы подтвердить эффективность очистки крови материала 14 для очистки крови, была более подробно измерена скорость удаления каждого из комплекса активированный гранулоцит-активированный тромбоцит, комплекса активированный моноцит-активированный тромбоцит, активированного гранулоцита и активированного моноцита. Способ измерения будет описан ниже.

Диски с диаметром 1 см, вырезанные из материала 14 для очистки крови для Примера 21, были загружены в форме ламината в цилиндрическую колонку, имеющую вход и выход для раствора сверху и снизу (1 см внутреннего диаметра × 1,2 см в высоту, объемом 0,94 см3, 2 см наружного диаметра, сделанную из поликарбоната), чтобы тем самым подготовить колонку, включающую в себя материал 14 для очистки крови для Примера 21. LPS был добавлен к крови здорового человеческого добровольца до концентрации 70 ЕЭ/мл, полученная кровь встряхивалась при 65 об/мин и 37°C в течение 30 мин, активированная кровь пропускалась через колонку при скорости потока 0,63 мл/мин, и образцы крови были взяты на входе и выходе колонки. Предполагая, что кровь начинала поступать в колонку в момент времени 0 мин, образец был взят на выходе колонки в момент времени от 3,5 до 6,5 мин. Антигены поверхности клеток образцов, полученных после прохождения крови через колонку, были окрашены флуоресцентно маркированным антителом, показанным в Таблице 8, а затем образцы были подвергнуты гемолизу с использованием VersaLyse, оставлены на льду и хранились в темном месте, после чего было быстро измерено количество клеток в каждом образце. В этой связи для различения живых клеток использовался окрашивающий раствор 7-AAD Viability Staining Solution (производства компании Biolegend), а для подсчета количества клеток использовался прибор Flow Count (производства компании BECKMAN COULTER). Для измерения использовалась потоковая цитометрия (BD Cytometer Setup and Tracking Beads производства компании Becton, Dickinson and Company). Для анализа использовалось программное обеспечение BD FACS Diva версии 6.1.3 (производства компании Becton, Dickinson and Company) или FLOWJO (производства компании Tomy Digital Biology Co., Ltd.). Концентрации комплекса активированный гранулоцит-активированный тромбоцит, комплекса активированный моноцит-активированный тромбоцит, активированного гранулоцита и активированного моноцита вычислялись с последующим вычислением соответствующих коэффициентов удаления до входа в колонку и после выхода из колонки с использованием следующих Уравнений 8-11. Результаты показаны в Таблице 9.

Доля удаления активированного гранулоцита (%)={(Концентрация активированного гранулоцита на входе колонки) - (Концентрация активированного гранулоцита на выходе колонки)}/(Концентрация активированного гранулоцита на входе колонки) × 100 ⋅⋅⋅ Уравнение 8

Доля удаления комплекса активированный гранулоцит-активированный тромбоцит (%)={(Концентрация комплекса активированный гранулоцит-активированный тромбоцит на входе колонки) - (Концентрация комплекса активированный гранулоцит-активированный тромбоцит на выходе колонки)}/(Концентрация комплекса активированный гранулоцит-активированный тромбоцит на входе колонки) × 100 ⋅⋅⋅ Уравнение 9

Доля удаления активированного моноцита (%)={(Концентрация активированного моноцита на входе колонки) - (Концентрация активированного моноцита на выходе колонки)}/(Концентрация активированного моноцита на входе колонки) × 100 ⋅⋅⋅ Уравнение 10

Доля удаления комплекса активированный моноцит-активированный тромбоцит (%)={(Концентрация комплекса активированный моноцит-активированный тромбоцит на входе колонки) - (Концентрация комплекса активированный моноцит-активированный тромбоцит на выходе колонки)}/(Концентрация комплекса активированный моноцит-активированный тромбоцит на входе колонки) × 100 ⋅⋅⋅ Уравнение 11

[0305]

(Пример 22)

Для материала 15 для очистки крови та же самая операция, что и в Примере 21, была выполнена для того, чтобы вычислить скорость удаления каждого из активированного гранулоцита, комплекса активированный гранулоцит-активированный тромбоцит, активированного моноцита и комплекса активированный моноцит-активированный тромбоцит. Результаты показаны в Таблице 9.

[0306]

(Пример 23)

Для материала 16 для очистки крови та же самая операция, что и в Примере 21, была выполнена для того, чтобы вычислить скорость удаления каждого из активированного гранулоцита, комплекса активированный гранулоцит-активированный тромбоцит, активированного моноцита и комплекса активированный моноцит-активированный тромбоцит. Результаты показаны в Таблице 9.

[0307]

(Пример 24)

Для материала 23 для очистки крови та же самая операция, что и в Примере 21, была выполнена для того, чтобы вычислить скорость удаления каждого из активированного гранулоцита, комплекса активированный гранулоцит-активированный тромбоцит, активированного моноцита и комплекса активированный моноцит-активированный тромбоцит. Результаты показаны в Таблице 9.

[0308]

(Пример 25)

Для материала 24 для очистки крови та же самая операция, что и в Примере 21, была выполнена для того, чтобы вычислить скорость удаления каждого из активированного гранулоцита, комплекса активированный гранулоцит-активированный тромбоцит, активированного моноцита и комплекса активированный моноцит-активированный тромбоцит. Результаты показаны в Таблице 9.

[0309]

(Пример 26)

Для материала 25 для очистки крови та же самая операция, что и в Примере 21, была выполнена для того, чтобы вычислить скорость удаления каждого из активированного гранулоцита, комплекса активированный гранулоцит-активированный тромбоцит, активированного моноцита и комплекса активированный моноцит-активированный тромбоцит. Результаты показаны в Таблице 9.

[0310]

(Пример 27)

Для материала 26 для очистки крови та же самая операция, что и в Примере 21, была выполнена для того, чтобы вычислить скорость удаления каждого из активированного гранулоцита, комплекса активированный гранулоцит-активированный тромбоцит, активированного моноцита и комплекса активированный моноцит-активированный тромбоцит. Результаты показаны в Таблице 9.

[0311]

(Пример 28)

Для материала 27 для очистки крови та же самая операция, что и в Примере 21, была выполнена для того, чтобы вычислить скорость удаления каждого из активированного гранулоцита, комплекса активированный гранулоцит-активированный тромбоцит, активированного моноцита и комплекса активированный моноцит-активированный тромбоцит. Результаты показаны в Таблице 9.

[0312]

(Пример 29)

Для материала 28 для очистки крови та же самая операция, что и в Примере 21, была выполнена для того, чтобы вычислить скорость удаления каждого из активированного гранулоцита, комплекса активированный гранулоцит-активированный тромбоцит, активированного моноцита и комплекса активированный моноцит-активированный тромбоцит. Результаты показаны в Таблице 9.

[0313]

(Пример 30)

Для материала 29 для очистки крови та же самая операция, что и в Примере 21, была выполнена для того, чтобы вычислить скорость удаления каждого из активированного гранулоцита, комплекса активированный гранулоцит-активированный тромбоцит, активированного моноцита и комплекса активированный моноцит-активированный тромбоцит. Результаты показаны в Таблице 9.

[0314]

(Пример 31)

Моделируемая кровь использовалась для измерения потери давления материала 33 для очистки крови. Диски с диаметром 1 см, вырезанные из материала 33 для очистки крови, были загружены в форме ламината в цилиндрическую колонку, имеющую вход и выход для раствора сверху и снизу (1 см внутреннего диаметра × 1,2 см в высоту, объемом 0,94 см3, 2 см наружного диаметра, сделанную из поликарбоната), чтобы тем самым подготовить колонку, в которой диски имели объемную плотность 0,30 г/см3. Моделируемая кровь (50 мас.% водного раствора глицерина), температура которой поддерживалась равной 37°C (внешняя температура), пропускалась через каждую колонку при скорости потока 0,65 мл/мин с последующим измерением давления на входе и давления на выходе колонки. Скорость потока устанавливалась в соответствии со следующим вычислением: 100 мл/мин/145 см3 × 0,94 см3=0,65 мл/мин. Значение, получаемое путем вычитания значения давления на выходе через 10 мин после начала прохождения крови из значения давления на входе через 10 мин после начала прохождения крови, вычислялось как моделируемая потеря кровяного давления. Результаты показаны в Таблице 10.

[0315]

(Пример 32)

Для материала 34 для очистки крови та же самая операция, что и в Примере 31, была выполнена для того, чтобы измерить потерю давления с использованием моделируемой крови, с последующим вычислением моделируемой потери кровяного давления. Результаты показаны в Таблице 10.

[0316]

(Пример 33)

Для материала 15 для очистки крови та же самая операция, что и в Примере 31, была выполнена для того, чтобы измерить потерю давления с использованием моделируемой крови, с последующим вычислением моделируемой потери кровяного давления. Результаты показаны в Таблице 10.

[0317]

(Пример 34)

Для материала 35 для очистки крови та же самая операция, что и в Примере 31, была выполнена для того, чтобы измерить потерю давления с использованием моделируемой крови, с последующим вычислением моделируемой потери кровяного давления. Результаты показаны в Таблице 10.

[0318]

(Пример 35)

Для материала 36 для очистки крови та же самая операция, что и в Примере 31, была выполнена для того, чтобы измерить потерю давления с использованием моделируемой крови, с последующим вычислением моделируемой потери кровяного давления. Результаты показаны в Таблице 10.

[0319]

(Пример 36)

Для материала 37 для очистки крови те же самые операции, что и в Примере 1 и Примере 21, были выполнены для того, чтобы вычислить скорость адсорбции IL-6, скорость адсорбции IL-8 и скорость удаления каждого из комплекса активированный гранулоцит-активированный тромбоцит, комплекса активированный моноцит-активированный тромбоцит, активированного гранулоцита и активированного моноцита. Результаты показаны в Таблице 11.

[0320]

(Сравнительный пример 1)

Для материала 1 для очистки крови, та же самая операция, что и в Примере 1, была выполнена для вычисления скорости адсорбции IL-6 и скорости адсорбции IL-8. Результаты показаны в Таблице 5.

[0321]

(Сравнительный пример 2)

Для материала 2 для очистки крови, та же самая операция, что и в Примере 1, была выполнена для вычисления скорости адсорбции IL-6 и скорости адсорбции IL-8. Результаты показаны в Таблице 5.

[0322]

(Сравнительный пример 3)

Для материала 3 для очистки крови, та же самая операция, что и в Примере 1, была выполнена для вычисления скорости адсорбции IL-6 и скорости адсорбции IL-8. Результаты показаны в Таблице 5.

[0323]

(Сравнительный пример 4)

Для материала 4 для очистки крови, та же самая операция, что и в Примере 1, была выполнена для вычисления скорости адсорбции IL-6 и скорости адсорбции IL-8. Результаты показаны в Таблице 5.

[0324]

(Сравнительный пример 5)

Для материала 5 для очистки крови, та же самая операция, что и в Примере 1, была выполнена для вычисления скорости адсорбции IL-6 и скорости адсорбции IL-8. Результаты показаны в Таблице 5.

[0325]

(Сравнительный пример 6)

Для материала 6 для очистки крови, та же самая операция, что и в Примере 1, была выполнена для вычисления скорости адсорбции IL-6 и скорости адсорбции IL-8. Результаты показаны в Таблице 5.

[0326]

(Сравнительный пример 7)

Для материала 7 для очистки крови, та же самая операция, что и в Примере 1, была выполнена для вычисления скорости адсорбции IL-6 и скорости адсорбции IL-8. Результаты показаны в Таблице 5.

[0327]

(Сравнительный пример 8)

Для материала 8 для очистки крови, та же самая операция, что и в Примере 1, была выполнена для вычисления скорости адсорбции IL-6 и скорости адсорбции IL-8. Результаты показаны в Таблице 5.

[0328]

(Сравнительный пример 9)

Для материала 12 для очистки крови, та же самая операция, что и в Примере 1, была выполнена для вычисления скорости адсорбции IL-6 и скорости адсорбции IL-8. Результаты показаны в Таблице 5.

[0329]

(Сравнительный пример 10)

Для материала 13 для очистки крови, та же самая операция, что и в Примере 1, была выполнена для вычисления скорости адсорбции IL-6 и скорости адсорбции IL-8. Результаты показаны в Таблице 5.

[0330]

(Сравнительный пример 11)

Для материала 17 для очистки крови, та же самая операция, что и в Примере 1, была выполнена для вычисления скорости адсорбции IL-6 и скорости адсорбции IL-8. Результаты показаны в Таблице 5.

[0331]

(Сравнительный пример 12)

Для материала 18 для очистки крови, та же самая операция, что и в Примере 1, была выполнена для вычисления скорости адсорбции IL-6 и скорости адсорбции IL-8. Результаты показаны в Таблице 5.

[0332]

(Сравнительный пример 13)

Для материала 22 для очистки крови, та же самая операция, что и в Примере 1, была выполнена для вычисления скорости адсорбции IL-6 и скорости адсорбции IL-8. Результаты показаны в Таблице 5.

[0333]

(Сравнительный пример 14)

Для материала 17 для очистки крови та же самая операция, что и в Примере 21, была выполнена для того, чтобы вычислить скорость удаления каждого из комплекса активированный гранулоцит-активированный тромбоцит, комплекса активированный моноцит-активированный тромбоцит, активированного гранулоцита и активированного моноцита. Результаты показаны в Таблице 9.

[0334]

[Таблица 5]

Содержание группы амида
(ммоль/г)
Содержание аминогруппы
(ммоль/г)
Степень адсорбции IL-6 Степень адсорбции IL-8
Пример 1 Материал 9 для очистки крови 3,0 1,0 66% 70% Пример 2 Материал 10 для очистки крови 3,0 4,3 80% 80% Пример 3 Материал 11 для очистки крови 3,0 6,7 70% 70% Пример 4 Материал 14 для очистки крови 4,7 1,1 80% 97% Пример 5 Материал 15 для очистки крови 4,7 3,8 92% 95% Пример 6 Материал 16 для очистки крови 4,7 6,1 80% 88% Пример 7 Материал 19 для очистки крови 7,0 1,4 80% 88% Пример 8 Материал 20 для очистки крови 7,0 4,9 80% 97% Пример 9 Материал 21 для очистки крови 7,0 6,9 51% 56% Сравнительный пример 1 Материал 1 для очистки крови 1,5 2,3 2% 6% Сравнительный пример 2 Материал 2 для очистки крови 1,1 2,3 2% 6% Сравнительный пример 3 Материал 3 для очистки крови 2,7 0,8 0% 5% Сравнительный пример 4 Материал 4 для очистки крови 2,7 1,2 4% 8% Сравнительный пример 5 Материал 5 для очистки крови 2,7 4,0 2% 6% Сравнительный пример 6 Материал 6 для очистки крови 2,7 6,5 3% 4% Сравнительный пример 7 Материал 7 для очистки крови 2,7 7,5 4% 13% Сравнительный пример 8 Материал 8 для очистки крови 3,0 0,9 34% 45% Сравнительный пример 9 Материал 12 для очистки крови 3,0 7,3 20% 35% Сравнительный пример 10 Материал 13 для очистки крови 4,7 0,6 35% 55% Сравнительный пример 11 Материал 17 для очистки крови 4,7 7,2 12% 33% Сравнительный пример 12 Материал 18 для очистки крови 7,0 0,9 38% 42% Сравнительный пример 13 Материал 22 для очистки крови 7,0 7,9 18% 0%

[0335]

Из результатов, показанных в Таблице 5, очевидно, что материал для очистки крови в соответствии с настоящей патентной заявкой имеет превосходную эффективность очистки крови.

[0336]

[Таблица 6]

Содержание группы амида
(ммоль/г)
Содержание аминогруппы
(ммоль/г)
Содержание фенильной группы
(ммоль/г)
Степень адсорбции IL-6 Степень адсорбции IL-8 Степень адгезии тромбоцитов
Пример 10 Материал 15 для очистки крови 4,7 3,8 0 92% 95% 83% Пример 11 Материал 23 для очистки крови 4,7 3,8 0,02 92% 95% 78% Пример 12 Материал 24 для очистки крови 4,7 3,8 1,0 92% 95% 75% Пример 13 Материал 25 для очистки крови 4,7 3,8 1,0 92% 95% 75% Пример 14 Материал 26 для очистки крови 4,7 3,8 0,01 93% 96% 79% Пример 15 Материал 27 для очистки крови 4,7 3,8 005 94% 97% 79% Пример 16 Материал 28 для очистки крови 4,7 3,8 0,3 93% 95% 75% Пример 17 Материал 29 для очистки крови 4,7 3,8 2,5 91% 93% 72%

[0337]

Из результатов, показанных в Таблице 6, очевидно, что в соответствии с настоящей патентной заявкой введение фенильной группы (групп) в материал для очистки крови позволяет дополнительно ингибировать адгезию тромбоцитов.

[0338]

[Таблица 7]

Содержание группы амида
(ммоль/г)
Содержание аминогруппы
(ммоль/г)
Степень удаления IL-6 Степень удаления IL-8
Пример 18 Материал 30 для очистки крови 4,7 3,2 95% 98% Пример 19 Материал 31 для очистки крови 4,7 3,4 90% 96% Пример 20 Материал 32 для очистки крови 4,7 3,0 84% 95%

[0339]

Из результатов, показанных в Таблице 7, очевидно, что материал для очистки крови в соответствии с настоящей патентной заявкой, структура аминогруппы которого может изменяться, проявляет превосходную эффективность очистки крови.

[Таблица 8]

Название антитела Производитель Каталожный № Мышь APC
Античеловеческий CD11b
(активированный)
BioLegend 301410
Мышь PE/Cy7
Античеловеческий CD14
BioLegend 556619
Мышь BV510
Античеловеческий CD45
BioLegend 304036
Мышь BV421
Античеловеческий CD62P
BioLegend 304926
Мышь FITC
Античеловеческий CD66b
BioLegend 557749
Мышь APC
Контрольный изотип IgG1
BD Biosciences 340442
Мышь PE/Cy7
Контрольный изотип IgG2a
BioLegend 400232
Мышь BV510
Контрольный изотип IgG1
BioLegend 400172
Мышь BV421
Контрольный изотип IgG1 к
BioLegend 400158
Мышь FITC
Контрольный изотип IgM
BD Biosciences 349041

[0340]

[Таблица 9]

Содержание группы амида
(ммоль/г)
Содержание аминогруппы
(ммоль/г)
Содержание фенильной группы
(ммоль/г)
Степень удаления активированного гранулоцита Степень удаления комплекса активированный гранулоцит - активированный тромбоцит Степень удаления активированного моноцита Степень удаления комплекса активированный моноцит - активированный тромбоцит
Пример 21 Материал 14 для очистки крови 4,7 1,1 0 20% 52% 30% 58% Пример 22 Материал 15 для очистки крови 4,7 3,8 0 22% 55% 33% 63% Пример 23 Материал 16 для очистки крови 4,7 6,1 0 12% 8% 15% 13% Пример 24 Материал 23 для очистки крови 4,7 3,8 0,02 23% 56% 34% 68% Пример 25 Материал 24 для очистки крови 4,7 3,8 1,0 27% 61% 35% 70% Пример 26 Материал 25 для очистки крови 4,7 3,8 1,0 26% 58% 36% 69% Пример 27 Материал 26 для очистки крови 4,7 3,8 0,01 24% 59% 33% 66% Пример 28 Материал 27 для очистки крови 4,7 3,8 0,05 26% 58% 36% 69% Пример 29 Материал 28 для очистки крови 4,7 3,8 0,3 26% 58% 36% 69% Пример 30 Материал 29 для очистки крови 4,7 3,8 2,5 28% 60% 36% 70% Сравнительный пример 14 Материал 17 для очистки крови 4,7 7,2 0 5% 1% 0% 2%

Из результатов, показанных в Таблице 9, очевидно, что содержанием аминогруппы и содержанием группы фенила в материале для очистки крови в соответствии с настоящей патентной заявкой можно управлять для удаления активированных гранулоцитов, комплексов активированный гранулоцит-активированный тромбоцит, активированных моноцитов и комплексов активированный моноцит-активированный тромбоцит.

[0341]

[Таблица 10]

Содержание группы амида
(ммоль/г)
Содержание аминогруппы
(ммоль/г)
Доля отверстий Моделируемая потеря кровяного давления (мм рт.ст.)
Пример 31 Материал 33 для очистки крови 4,7 3,7 0,1% 45 Пример 32 Материал 34 для очистки крови 4,7 3,8 1,2% 28 Пример 33 Материал 15 для очистки крови 4,7 3,8 8,3% 3 Пример 34 Материал 35 для очистки крови 4,7 3,9 13,2% 9 Пример 35 Материал 36 для очистки крови 4,7 4,0 30,0% 19

Из результатов, показанных в Таблице 10, очевидно, что материал для очистки крови в соответствии с настоящей патентной заявкой может выполнять очистку крови с низкой потерей давления.

[0342]

[Таблица 11]

Содержание группы амида
(ммоль/г)
Содержание аминогруппы
(ммоль/г)
Степень удаления IL-6 Степень удаления IL-8 Степень удаления активированного гранулоцита Степень удаления комплекса активированный гранулоцит - активированный тромбоцит Степень удаления активированного моноцита Степень удаления комплекса активированный моноцит - активированный тромбоцит
Пример 36 Материал 37 для очистки крови 4,7 5,8 53% 58% 15% 11% 18% 22%

Из результатов, показанных в Таблице 11, очевидно, что материал для очистки крови в соответствии с настоящей патентной заявкой проявляет превосходную эффективность очистки крови независимо от вида подложки.

ПРОМЫШЛЕННАЯ ПРИМЕНИМОСТЬ

[0343]

Материал для очистки крови в соответствии с настоящим изобретением может использоваться для очистки компонентов крови в медицинских областях, особенно для удаления цитокинов и комплексов активированный лейкоцит - активированный тромбоцит.

СПИСОК ССЫЛОЧНЫХ ОБОЗНАЧЕНИЙ

[0344]

1. Материал для очистки крови (трикотажная ткань)

2. Волокно (черные части)

3. Части отверстий (белые части)

4. Колонка

5. Моделируемая кровь или человеческая кровь, которая должна пройти через колонку

6. Моделируемая кровь или человеческая кровь, которая прошла через колонку

7. Схема

8. Устройство измерения давления на входе

9. Устройство измерения давления на выходе

10. Насос

11. Водяная баня с постоянной температурой

12. Нагреватель

Похожие патенты RU2749419C2

название год авторы номер документа
МАТЕРИАЛ ФИЛЬТРА ДЛЯ СЕЛЕКТИВНОГО УДАЛЕНИЯ ЛЕЙКОЦИТОВ, АППАРАТ ФИЛЬТРА НА ЕГО ОСНОВЕ, СИСТЕМА СЕЛЕКТИВНОГО УДАЛЕНИЯ ЛЕЙКОЦИТОВ И СПОСОБ ЛЕЧЕНИЯ РАССТРОЙСТВА КЛЕТОЧНОГО ИММУНИТЕТА 2003
  • Куно Сусуму
  • Онодера Хироказу
  • Сакураи Масами
RU2323946C2
ЛИСТОВОЙ МАТЕРИАЛ 2018
  • Фуруи, Таканори
  • Канеко, Макото
  • Сикури, Рюдзи
  • Коиде, Ген
  • Ямамото, Хирохито
  • Нисимура, Макото
  • Есида, Дзун
RU2756215C2
СПОСОБ ВЫДЕЛЕНИЯ ПЛАЗМИНОГЕНА ИЛИ ПЛАЗМИНА В ПРИСУТСТВИИ ФИБРИНОГЕНА ИЗ СМЕСИ 2002
  • Нур Исраэль
  • Бар Лилиана
  • Ацахи Малкит
RU2458067C2
ВОЛОКНИСТЫЙ МАТЕРИАЛ И КОЛОНКА ОЧИСТКИ 2017
  • Фудзиеда, Хироаки
  • Уено, Йосиюки
  • Ямада, Масаюки
RU2692888C1
УДАЛЕНИЕ ПЛАЗМИН(ОГЕН)А ИЗ БЕЛКОВЫХ РАСТВОРОВ 2002
  • Нур Исраэль
  • Бар Лилиана
  • Ацахи Малкит
RU2344143C2
ГЕМОСТАТИЧЕСКИЙ ПОРОШОК 2020
  • Керевер, Абрахам Рейнир
  • Феликс Ланао, Роза Пилар
  • Опстен, Йост
  • Бендер, Йоханнес Каспар Матиас Элизабет
RU2820476C2
ПОРИСТЫЕ УГРЕРОДНЫЕ КОМПОЗИЦИОННЫЕ МАТЕРИАЛЫ И СПОСОБ ИХ ПОЛУЧЕНИЯ, А ТАКЖЕ АДСОРБЕНТЫ, КОСМЕТИЧЕСКИЕ СРЕДСТВА, СРЕДСТВА ОЧИСТКИ И КОМПОЗИЦИОННЫЕ ФОТОКАТАЛИТИЧЕСКИЕ МАТЕРИАЛЫ, СОДЕРЖАЩИЕ ИХ 2009
  • Иида Хиронори
  • Табата Сейитиро
  • Ямада Синитиро
  • Ногути Цутому
  • Яманои Сун
RU2521384C2
ПОВЯЗКИ НА РАНУ, СОДЕРЖАЩИЕ БЕЛКОВЫЙ ПОЛИМЕР И ПОЛИФУНКЦИОНАЛЬНЫЙ СПЕЙСЕР 2005
  • Харрис Рой
  • Наси Ваэл
RU2349347C2
ПОРИСТЫЙ ГЕМОСТАТИЧЕСКИЙ ПРОДУКТ СО СВОЙСТВОМ АДГЕЗИИ К ТКАНЯМ 2015
  • Бендер Йоханнес Каспар Матиас Элизабет
  • Бурман Марсел Александер
RU2704259C2
КОЛОНКА ДЛЯ ОЧИСТКИ КРОВИ 2012
  • Окуда Хироюки
RU2533734C1

Иллюстрации к изобретению RU 2 749 419 C2

Реферат патента 2021 года МАТЕРИАЛ ДЛЯ ОЧИСТКИ КРОВИ

Группа изобретений относится к фармацевтической промышленности, а именно к материалу для очистки крови и устройству для очистки крови. Материал для очистки крови, включающий нерастворимый в воде материал, в котором лиганд, имеющий группу (группы) амида и группу (группы) амина, связан с подложкой, в котором содержание группы (групп) амида составляет 3,0-7,0 ммоль на 1 г сухого веса нерастворимого в воде материала; в котором содержание группы (групп) амина составляет 1,0-7,0 ммоль на 1 г сухого веса нерастворимого в воде материала; где лиганд имеет определенную структуру; где подложка является полистиролом, или полисульфоном, или их производным; и где материал для очистки крови имеет форму волокон или частиц. Устройство для очистки крови, где устройство имеет форму контейнера, имеющего вход и выход для крови и содержащего материал для очистки крови. Вышеописанное изобретение позволяет использовать заявленный материал и устройство для очистки крови, чтобы удалять цитокины и комплексы активированный лейкоцит-активированный тромбоцит. 2 н. и 4 з.п. ф-лы, 2 ил., 11 табл., 8 пр.

Формула изобретения RU 2 749 419 C2

1. Материал для очистки крови, содержащий нерастворимый в воде материал, в котором лиганд, имеющий группу (группы) амида и группу (группы) амина, связан с подложкой,

в котором содержание группы (групп) амида составляет 3,0-7,0 ммоль на 1 г сухого веса нерастворимого в воде материала;

в котором содержание группы (групп) амина составляет 1,0-7,0 ммоль на 1 г сухого веса нерастворимого в воде материала;

где лиганд имеет структуру, представленную нижеприведенной Формулой (I) или Формулой (II):

где X - аминогруппа; а волнистая линия показывает положение, в котором лиганд связывается с подложкой,

где X - аминогруппа; A - мостик; B - атом водорода или атом галогена; а волнистая линия показывает положение, в котором лиганд связывается с подложкой;

где подложка является полистиролом, или полисульфоном, или их производным; и

где материал для очистки крови имеет форму волокон или частиц.

2. Материал для очистки крови по п. 1, в котором лиганд, имеющий структуру, представленную нижеприведенной Формулой (I), связан с подложкой:

(где X - аминогруппа; а волнистая линия показывает положение, в котором лиганд связывается с подложкой).

3. Материал для очистки крови по п. 1 или 2, в котором лиганд имеет группу фенила и лиганд, имеющий структуру, представленную нижеприведенной Формулой (II), связан с подложкой:

(где X - аминогруппа; A - мостик; B - атом водорода или атом галогена; а волнистая линия показывает положение, в котором лиганд связывается с подложкой); и

в котором содержание группы фенила составляет больше чем 0 ммоль и не больше чем 7,0 ммоль на 1 г сухого веса нерастворимого в воде материала.

4. Материал для очистки крови по любому из пп. 1-3, в котором материал имеет форму трикотажной ткани, полученной из волокон и имеющей долю отверстий 0,1-30,0%.

5. Материал для очистки крови по любому из пп. 1-4, который предназначен для удаления цитокина и комплекса активированный лейкоцит-активированный тромбоцит.

6. Устройство для очистки крови, где устройство имеет форму контейнера, имеющего вход и выход для крови и содержащего материал для очистки крови по любому из пп. 1-5.

Документы, цитированные в отчете о поиске Патент 2021 года RU2749419C2

JP 4591974 B2, 01.12.2010
УСТРОЙСТВО ДЛЯ ОЧИСТКИ КРОВИ ТИПА ВЫСОКОВОДОПРОНИЦАЕМЫХ МЕМБРАН ИЗ ПОЛЫХ ВОЛОКОН И СПОСОБ ЕГО ПОЛУЧЕНИЯ 2005
  • Мабути Кимихиро
  • Йокота Хидеюки
  • Монден Норико
  • Кояма Синия
  • Като Нориаки
  • Хатакеяма Юуки
  • Сунохара Такаси
  • Масуда Тосиаки
RU2389513C2
JP 4035191 B2, 16.01.2008
JP 4224621 B2, 18.02.2009
WO 2012133399 A1, 28.07.2014
СПОСОБ ПОЛУЧЕНИЯ ТОНКОФИЛАМЕНТНОЙ ЦЕЛЛЮЛОЗНОЙ НИТИ 2008
  • Бутягин Павел Анатольевич
  • Барсова Лидия Ивановна
  • Мажирина Галина Семеновна
  • Романов Владимир Владимирович
  • Клинаев Виталий Михайлович
  • Сафонова Татьяна Анатольевна
RU2371526C1
БЕЛИКОВ В.Г
Фармацевтическая химия, М., Высшая школа, 1993, с
Зубчатое колесо со сменным зубчатым ободом 1922
  • Красин Г.Б.
SU43A1

RU 2 749 419 C2

Авторы

Канда, Сунго

Такахаси, Хироси

Томита, Наотоси

Даты

2021-06-09Публикация

2017-09-08Подача