Настоящее изобретение относится к средствам защиты растений и средствам, которые содержат определенные соединения в качестве средств защиты для снижения фитотоксического действия агрохимикатов, в частности гербицидов. В частности, настоящее изобретение относится к некоторым производным [(1,5-дифенил-1Н-1,2,4-триазол-3-ил)окси]уксусной кислоты и их солям в качестве средств защиты и способам их получения.
При использовании пестицидов для борьбы с нежелательными организмами в сельскохозяйственных и лесных культурах культуры часто также повреждаются в большей или меньшей степени применяемыми пестицидами, такими как гербициды, инсектициды, фунгициды и другие. Этот нежелательный фитотоксический побочный эффект проявляется в определенной степени при использовании многочисленных гербицидов, и прежде всего, когда они применяются после появления всходов - на посевах полезных растений, таких как, например, кукуруза, рис или злаки. В некоторых случаях использование так называемых «защитных средств» или «антидотов» может защитить полезные растения от фитотоксических свойств пестицидов без снижения или существенного ослабления пестицидного действия на вредные организмы. В некоторых случаях улучшенный пестицидный эффект против вредных организмов, таких как сорняки, наблюдался даже в присутствии защитных средств.
Соединения, известные на сегодняшний день в качестве защитных средств, принадлежат к большому количеству различных классов химической структуры, и их пригодность для использования в качестве защитных средств, как правило, также зависит от химической структуры пестицидов и культур полезных растений.
Защитное действие соединений из группы производных фенокси- или гетероарилоксиалкановых кислот известно давно при применении этих соединений в сочетании с гербицидами. Примерами таких соединений являются МСРА и подобные соединения, которые также проявляют гербицидную активность против вредных растений, или клоквинтосет-мексил.
Также известны защитные средства из группы производных сложных эфиров N-фенилзамещенных гетероароматических карбоновых кислот, имеющих множество гетероатомов в гетероцикле. Примерами таких защитных средств являются мефенпир-диэтил и изоксадифен-этил, используемые в коммерческих продуктах.
В WO 2004/084631 раскрыто применение производных гидроксизамещенных ароматических карбоновых кислот. В WO 2005/015994 описаны конкретные производные салициловой кислоты в качестве защитных средств. Они особенно подходят для использования в качестве защитных средств в посевах кукурузы и сои.
Кроме того, из WO 2005/112630 производные 1,2-дигидрохиноксалин-2-она и из WO 2008/131860 пиридонкарбоксамиды известны в качестве защитных средств.
Активные вещества из химического класса производных [(1,5-дифенил-1Н-1,2,4-триазол-3-ил)окси]уксусной кислоты с активными в отношении растений свойствами не известны из литературы.
В различных публикациях описаны производные [(1,5-дифенил-1Н-1,2,4-триазол-3-ил)окси]уксусной кислоты с лечебными свойствами. Из Polish J. Chem. 2006, 80, 889-897 и Bioorganic & Medicinal Chemistry 2018, 26, 3321-3344 известны производные [(1,5-дифенил-1Н-1,2,4-триазол-3-ил)окси]уксусной кислоты.
Производные [(1,5-диарил-1Н-пиразол-3-ил)окси]уксусной кислоты известны из J. Heterocycle Chemistry 2010, 47 (4), 897-902 и J. Heterocycle Chemistry 2012, 49 (6), 1370-1375.
В ЕР 0310555 А1 описаны производные 1,5-дифенил-1Н-1,2,4-триазол-3-карбоновой кислоты для защиты сельскохозяйственных культур от фитотоксического действия гербицидов.
Было показано, что при использовании защитных средств для защиты полезных растений от повреждения пестицидами известные защитные средства во многих случаях могут иметь недостатки. К ним относятся, например, что (а) защитные свойства растений недостаточны или (b) в сочетании с конкретным гербицидом диапазон культур, на которых должно использоваться защитное средство/гербицид, недостаточно велик.
По упомянутым причинам существует повышенная потребность в альтернативных соединениях с более безопасным эффектом.
Настоящее изобретение относится к новым соединениям для защиты растений общей формулы (I) или их солям 
для снижения фитотоксического действия пестицидов, в частности гербицидов, на полезные или культурные растения,
в которой
R1 и R2 независимо друг от друга представляют собой водород, галоген, циано, нитро, (С1-С6)алкил, (С2-С6)алкенил, (С2-С6)алкинил, (С3-С8)циклоалкил, (С3-С8)циклоалкенил, (С1-С6)алкокси или (С1-С6)алкилS(O)р, причем последние семь радикалов являются незамещенными или замещены одним или несколькими радикалами из группы, состоящей из галогена, циано, (С1-С6)алкокси и (С1-С6)алкилS(O)р,
R3 представляет собой водород или (С1-С6)алкил,
R4 представляет собой водород, (С1-С18)алкил, (С1-С18)галоалкил, (C1-С18)цианоалкил, (С2-С18)алкенил, (С2-С18)алкинил, (С3-С12)циклоалкил, (С3-С12)циклоалкенил, арил, гетероарил, (С1-С18)алкокси-(C1-С18)алкил, (С1-С18)алоалкокси-(С1-С18)алкил, (С1-С18)алкокси-(С1-С18)галоалкил, (С1-С18)алкилтио-(С1-С18)алкил, (C1-С18)галоалкилтио-(С1-С18)алкил, (С2-С18)галоалкенил, (С2-С18)галоалкинил, гетероциклил-(С1-С18)алкил, арил-(С1-С18)алкил, (С3-С12)циклоалкил-(С1-С18)алкил, (C1-С18)алкоксикарбонил-(С1-С18)алкил, или (С1-С18)алкоксикарбонил-(С3-С12)циклоалкил-(С1-С18)алкил,
представляет собой радикал формулы -NRaRb или -N=CRcRd,
причем в вышеуказанных 2 радикалах каждый из радикалов Ra, Rb, Rc и Rd независимо друг от друга представляет собой водород, (С1-С4)алкил, (С2-С4)алкенил, (С2-С4)алкинил, бензил, замещенный бензил, фенил или замещенный фенил,
или Ra и Rb вместе с атомом N образуют 3-8-членный гетероцикл, который, помимо атома N, может содержать один или два дополнительных кольцевых гетероатома из группы N, О и S, и который является незамещенным или замещен одним или несколькими радикалами из группы, состоящей из (С1-С4)алкила и (С1-С4)галоалкила,
или Rc и Rd вместе с атомом С образуют 3-8-членный карбоциклический или гетероциклический радикал, который может содержать от 1 до 3 кольцевых гетероатома из группы N, О и S, причем карбоциклический или гетероциклический радикал является незамещенным или замещен одним или несколькими радикалами из группы, состоящей из (С1-С4)алкила и (С1-С4)галоалкила,
n и m независимо друг от друга представляют собой число от 0 до 5,
и
p представляет собой 0, 1 или 2,
за исключением этил[(1,5-дифенил-1Н-1,2,4-триазол-3-ил)окси]ацетата (CAS [931426-67-4]).
Соединения общей формулы (I) могут быть синтезированы добавлением подходящей неорганической или органической кислоты, такой как минеральные кислоты, например HCl, HBr, H2SO4, Н3РО4 или HNO3, или органических кислот, как например, карбоновые кислоты, такие как муравьиная кислота, уксусная кислота, пропионовая кислота, щавелевая кислота, молочная кислота или салициловая кислота, или сульфоновые кислоты, такие как n-толуолсульфокислота, к основной группы, такой как амино, алкиламино, диалкиламино, пиперидино, морфолино или пиридино. Эти соли в таком случае содержат сопряженное основание кислоты в виде аниона. Подходящие заместители, которые находятся в депротонированной форме, такие как, например, сульфокислоты, некоторые амиды сульфокислот или карбоновые кислоты, могут образовывать внутренние соли с группами, которые сами могут быть протонированы, такими как аминогруппы. Образование солей может также происходить при действии основания на соединения общей формулы (I). Подходящими основаниями являются, например, органические амины, такие как триалкиламины, морфолин, пиперидин и пиридин и аммоний, гидроксиды, карбонаты и бикарбонаты щелочных или щелочноземельных металлов, в частности гидроксид натрия и калия, карбонат натрия и калия и бикарбонат натрия и калия. Эти соли представляют собой соединения, в которых кислотный водород заменен катионом, подходящим для сельского хозяйства, например, соли металлов, в частности, соли щелочных металлов или соли щелочноземельных металлов, в частности соли натрия и калия, или также соли аммония, соли с органическими аминами или соли четвертичного аммония, например, с катионами формулы [NReRfRgRh]+, где Re-Rh каждый независимо представляет собой органический радикал, в частности алкил, арил, арилалкил или алкиларил. Также подходящими являются соли алкилсульфония и алкилсульфоксония, такие как соли (С1-С4)-триалкилсульфония и (С1-С4)-триалкилсульфоксония.
Соединения формулы (I), используемые согласно настоящему изобретению, и их соли упоминаются ниже как «соединения общей формулы (I)».
Предпочтительным объектом настоящего изобретения являются соединения общей формулы (I), в которых
R1 и R2 независимо друг от друга представляют собой водород, галоген, циано, нитро, (С1-С4)алкил, (С2-С4)алкенил, (С2-С4)алкинил, (С3-С6)циклоалкил, (С3-С6)циклоалкенил, (С1-С4)алкокси или (С1-С4)алкилS(O)р, причем последние семь радикалов являются незамещенными или замещены одним или несколькими радикалами из группы, состоящей из галогена, циано, (С1-С4)алкокси или (С1-С4)алкилS(O)р,
R3 представляет собой водород или (С1-С4)алкил,
R4 представляет собой водород, (С1-С18)алкил, (С1-С18)галоалкил, (C1-С18)Цианоалкил, (С2-С18)алкенил, (С2-С18)алкинил, (С3-С12)циклоалкил, (С3-С12)циклоалкенил, арил, гетероарил, (С1-С18)алкокси-(С1-С18)алкил, (С1-С18)галоалкокси-(С1-С18)алкил, (С1-С18)алкокси-(С1-С18)галоалкил, (С1-С18)алкилтио-(С1-С18)алкил, (C1-С18)галоалкилтио-(С1-С18)алкил, (С2-С18)галоалкенил, (С2-С18)галоалкинил, гетероциклил-(С1-С18)алкил, арил-(С1-С18)алкил, (С3-С12)циклоалкил-(С1-С18)алкил, (C1-С18)алкоксикарбонил-(С1-С18)алкил, или (С1-С18)алкоксикарбонил-(С3-С12)циклоалкил-(С1-С18)алкил,
n и m независимо друг от друга представляют собой число от 0 до 4, и
p представляет собой 0, 1 или 2,
за исключением этил[(1,5-дифенил-1H-1,2,4-триазол-3-ил)окси]ацетата.
В частности, предпочтительным объектом настоящего изобретения являются соединения общей формулы (I), в которых
R1 и R2 независимо друг от друга представляют собой водород, галоген, циано, метил, CF3, CH2F, CHF2, ОСН3, OCF3, SCH3 или SCF3,
R3 представляет собой водород, СН2СН3 или СН3,
R4 представляет собой водород, (С1-С18)алкил, (С1-С18)галоалкил, (C1-С18)Цианоалкил, (С2-С18)алкенил, (С2-С18)алкинил, (С3-С12)циклоалкил, (С3-С12)циклоалкенил, арил, гетероарил, (С1-С18)алкокси-(С1-С18)алкил, (С1-С18)галоалкокси-(С1-С18)алкил, (С1-С18)алкокси-(С1-С18)галоалкил, (С1-С18)алкилтио-(С1-С18)алкил, (C1-С18)галоалкилтио-(С1-С18)алкил, (С2-С18)галоалкенил, (С2-С18)галоалкинил, гетероциклил-(С1-С18)алкил, арил-(С1-С18)алкил, (С3-С12)циклоалкил-(С1-С18)алкил, (C1-С18)алкоксикарбонил-(С1-С18)алкил, или (С1-С18)алкоксикарбонил-(С3-С12)циклоалкил-(С1-С18)алкил.
n и m независимо друг от друга представляют собой число от 0, 1, 2 или 3,
за исключением этил[(1,5-дифенил-1H-1,2,4-триазол-3-ил)окси]ацетата.
Особенно предпочтительным объектом настоящего изобретения являются соединения общей формулы (I), в которых
R1 и R2 независимо друг от друга представляют собой водород, фтор, хлор, бром, иод, CN, метил, CF3, CH2F, CHF2, ОСН3, OCF3, SCH3 или SCF3,
R3 представляет собой водород или СН3,
R4 представляет собой водород, (С1-С10)алкил, (С1-С10)галоалкил, (C1-С10)Цианоалкил, (С2-С10)алкенил, (С2-С10)алкинил, (С3-С9)циклоалкил, (С3-С9)циклоалкенил, арил, гетероарил, (С1-С10)алкокси-(С1-С10)алкил, (С1-С10)галоалкокси-(С1-С10)алкил, (С1-С10)алкокси-(С1-С10)галоалкил, (С1-С10)алкилтио-(С1-С10)алкил, (C1-С10)галоалкилтио-(С1-С10)алкил, (С2-С18)галоалкенил, (С2-С18)галоалкинил, гетероциклил-(С1-С10)алкил, арил-(С1-С10)алкил, (С3-С9)циклоалкил-(С1-С10)алкил, (C1-С10)алкоксикарбонил-(С1-С10)алкил или (С1-С10)алкоксикарбонил-(С3-С9)циклоалкил-(С1-С10)алкил,
n и m независимо друг от друга представляют собой число 0, 1, 2 или 3,
за исключением этил[(1,5-дифенил-1H-1,2,4-триазол-3-ил)окси]ацетата.
Особенно предпочтительным объектом настоящего изобретения являются соединения общей формулы (I), в которых
R1 и R2 независимо друг от друга представляют собой водород, фтор, хлор, бром, иод, циано, метил, CF3, CH2F, CHF2, ОСН3, OCF3, SCH3 или SCF3,
R3 представляет собой водород,
R4 представляет собой водород, метил, этил, н-пропил, изопропил, н-бутил, н-пентил, фенил, бензил, CH2(4-Cl-Ph), CH2(4-F-Ph), CH2(4-OMe-Ph), 2-метоксиэтил, тетрагидрофуран-2-ил-метил, тетрагидрофуран-3-ил-метил, тетрагидропиран-2-ил-метил, тетрагидропиран-3-ил-метил, тетрагидропиран-4-ил-метил, метилпропионат-3-ил, этилпропионат-3-ил, метилацетат-2-ил, этилацетат-2-ил, метилпивалат-2-ил, этилпивалат-3-ил, метил-2-метилпропаноат-3-ил, метил-2,2-диметилпропаноат-3-ил, этил-2-метилпропаноат-3-ил, метил-2-пропаноат-2-ил, этил-2-пропаноат-2-ил, метил-ацетат-2-ил, этил-ацетат-2-ил, метил-1-метилциклопропанкарбоксилат-2-ил, этил-1-метилциклопропанкарбоксилат-2-ил, 2-(диметиламино)этил, оксетан-3-ил, (3-метилоксетан-3-ил)метил, 2,2,2-трифторэтил, 2,2-дифторэтил, 2-фторэтил, 2,2,3,3,3-пентафторпропил, циклопропилметил, 1-циклопропил-этил, (1-метил-циклопропил)-метил, (2,2-дихлорциклопропил)-метил, (2,2-диметил-циклопропил)-метил, аллил, пропаргил (проп-2-ин-1-ил), 2-хлорпроп-2-ен-1-ил, 3-фенилпроп-2-ин-1-ил, 3,3-дихлорпроп-2-ен-1-ил, 3,3-дихлор-2-фтор-проп-2-ен-1-ил, метилпроп-2-ин-1-ил, 2-метилпроп-2-ен-1-ил, бут-2-ен-1-ил, бут-3-ен-1-ил, бут-2-ин-1-ил, бут-3-ин-1-ил, 4-хлор-бут-2-ин-1-ил, 3-метил-бут-2-ен-1-ил, 3-метил-бут-1-ен-1-ил, 1-(2Е)-1-метил-бут-2-ен-1-ил, (Е)-пент-3-ен-2-ил или (Z)-пент-3-ен-2-ил, циклобутилметил, циклопентилметил, циклогексилметил, гептан-2-ил, изо-бутил, 1,3-диоксолан-2-илметил или 1-этил-5-метил-1Н-пиразол-4-метил,
n и m независимо друг от друга представляют собой число от 0, 1, 2 или 3,
за исключением этил[(1,5-дифенил-1Н-1,2,4-триазол-3-ил)окси]ацетата.
Наиболее конкретным предпочтительным объектом настоящее изобретения являются соединения общей формулы (I), где
(R1)n-фенил представляет собой группу Q-1.1 - Q-1.53
и (R2)m-фенил представляет собой группу Q-2.1 - Q-2.53
R3 представляет собой водород,
и
R4 представляет собой водород, метил, этил, н-пропил, изопропил, н-бутил, н-пентил, фенил, бензил, CH2(4-Cl-Ph), CH2(4-F-Ph), CH2(4-OMe-Ph), 2-метоксиэтил, тетрагидрофуран-2-ил-метил, тетрагидрофуран-3-ил-метил, тетрагидропиран-2-ил-метил, тетрагидропиран-3-ил-метил, тетрагидропиран-4-ил-метил, метилпропионат-3-ил, этилпропионат-3-ил, метилацетат-2-ил, этилацетат-2-ил, метилпивалат-2-ил, этилпивалат-3-ил, метил-2-метилпропаноат-3-ил, метил-2,2-диметилпропаноат-3-ил, этил-2-метилпропаноат-3-ил, метил-2-пропаноат-2-ил, этил-2-пропаноат-2-ил, метил-ацетат-2-ил, этил-ацетат-2-ил, метил-1-метилциклопропанкарбоксилат-2-ил, этил-1-метилциклопропанкарбоксилат-2-ил, 2-(диметиламино)этил, оксетан-3-ил, (3-метилоксетан-3-ил)метил, 2,2,2-трифторэтил, 2,2-дифторэтил, 2-фторэтил, 2,2,3,3,3-пентафторпропил, циклопропилметил, 1-циклопропил-этил, (1-метил-циклопропил)-метил, (2,2-дихлорциклопропил)-метил, (2,2-диметил-циклопропил)-метил, аллил, пропаргил (проп-2-ин-1-ил), 2-хлорпроп-2-ен-1-ил, 3-фенилпроп-2-ин-1-ил, 3,3-дихлорпроп-2-ен-1-ил, 3,3-дихлор-2-фтор-проп-2-ен-1-ил, метилпроп-2-ин-1-ил, 2-метилпроп-2-ен-1-ил, бут-2-ен-1-ил, бут-3-ен-1-ил, бут-2-ин-1-ил, бут-3-ин-1-ил, 4-хлор-бут-2-ин-1-ил, 3-метил-бут-2-ен-1-ил, 3-метил-бут-1-ен-1-ил, 1-(2Е)-1-метилБут-2-ен-1-ил, (Е)-пент-3-ен-2-ил или (Z)-пент-3-ен-2-ил, циклобутилметил, циклопентилметил, циклогексилметил, гептан-2-ил, изо-бутил, 1,3-диоксолан-2-илметил или 1-этил-5-метил-1Н-пиразол-4-метил,
за исключением этил[(1,5-дифенил-1Н-1,2,4-триазол-3-ил)окси]ацетата.
Определения радикалов, данные выше, в целом или в предпочтительных пределах применимы как к конечным продуктам общей формулы (I), так и соответственно к исходным материалам или промежуточным соединениям, необходимым в каждом случае для получения. Эти определения радикалов можно комбинировать друг с другом, т.е. также между указанными предпочтительными диапазонами, по желанию.
В частности, по причинам более высокого гербицидного действия, лучшей селективности и/или лучшей способности к получению особый интерес представляют упомянутые соединения общей формулы (I) или их соли или их применение согласно настоящему изобретению, в которых отдельные радикалы являются одним из уже упомянутых или упомянутые ниже, имеют предпочтительные значения или, в частности, те, в которых одно или несколько предпочтительных значений, уже упомянутых или упомянутых ниже, встречаются в комбинации.
Что касается соединений согласно настоящему изобретению, поясняются используемые выше и ниже обозначения. Они известны специалистам в данной области техники и, в частности, имеют значения, поясненные ниже:
Если не указано иное, для обозначения химических групп обычно применимо то, что соединение присоединяется к основной цепи или остальной части молекулы через последний упомянутый структурный элемент рассматриваемой химической группы, т.е., например, в случае (С2-С8)-алкенилокси через атом кислорода, а в случае гетероциклил-(С1-С8)-алкила или алкил-О(О)С-(С1-С8)-алкила в каждом случае через атом углерода алкильной группы.
В контексте настоящего изобретения «алкилсульфонил», если не указано иное в другом месте, сам по себе или как часть химической группы, представляет собой алкилсульфонил с прямой или разветвленной цепью, предпочтительно имеющий, например, от 1 до 8 или от 1 до 6 атомов углерода, например, (без ограничения) (C1-С6)-алкилсульфонил, такой как метилсульфонил, этилсульфонил, пропилсульфонил, 1-метилэтилсульфонил, бутилсульфонил, 1-метилпропилсульфонил, 2-метил-пропилсульфонил, 1,1-диметилэтилсульфонил, пентилсульфонил, 1-метилбутилсульфонил, 2-метилбутилсульфонил, 3-метилбутилсульфонил, 1,1-диметилпропилсульфонил, 1,2-диметилпропилсульфонил, 2,2-диметилпропилсульфонил, 1-этилпропилсульфонил, гексилсульфонил, 1-метилпентилсульфонил, 2-метил-пентилсульфонил, 3-метилпентилсульфонил, 4-метилпентилсульфонил, 1,1-диметилбутилсульфонил, 1,2-диметилбутилсульфонил, 1,3-диметилбутилсульфонил, 2,2-диметилбутилсульфонил, 2,3-диметилбутилсульфонил, 3,3-диметилбутилсульфонил, 1-этилбутилсульфонил, 2-этилбутилсульфонил, 1,1,2-триметилпропилсульфонил, 1,2,2-триметилпропилсульфонил, 1-этил-1-метилпропилсульфонил и 1-этил-2-метил-пропилсульфонил.
В контексте настоящего изобретения «алкилтио», если не указано иное в другом месте, сам по себе или как часть химической группы, представляет собой неразветвленный или разветвленный S-алкил, предпочтительно содержащий от 1 до 8, или от 1 до 6 атомов углерода, такой как (C1-С10)-, (C1-C6)- или (С1-С4)-алкилтио, например, (без ограничения) (С1-С6)-алкилтио, такой как метилтио, этилтио, пропилтио, 1-метилэтилтио, бутилтио, 1-метилпропилтио, 2-метилпропилтио, 1,1-диметилэтилтио, пентилтио, 1-метилбутилтио, 2-метилбутилтио, 3-метилбутилтио, 1,1-диметилпропилтио, 1,2-диметилпропилтио, 2,2-диметилпропилтио, 1-этилпропилтио, гексилтио, 1-метилпентилтио, 2-метилпентилтио, 3-метилпентилтио, 4-метилпентилтио, 1,1-диметилбутилтио, 1,2-диметилбутилтио, 1,3-диметилбутилтио, 2,2-диметилбутилтио, 2,3-диметилбутилтио, 3,3-диметилбутилтио, 1-этилбутилтио, 2-этилбутилтио, 1,1,2-три-метилпропилтио, 1,2,2-триметилпропилтио, 1-этил-1-метилпропилтио и 1-этил-2-метил-пропилтио.
В контексте настоящего изобретения «алкилсульфинил (алкил-S(=О)-)», если не указано иное в другом месте, представляет собой алкильные радикалы, которые связаны со скелетом через -S(=О)-, такие как (C1-C6)- или (С1-С4)-алкилсульфинил, например, (без ограничения) (С1-С6)-алкилсульфинил, как например, метилсульфинил, этилсульфинил, пропилсульфинил, 1-метилэтилсульфинил, бутилсульфинил, 1-метилпропилсульфинил, 2-метилпропилсульфинил, 1,1-диметилэтилсульфинил, пентилсульфинил, 1-метилбутилсульфинил, 2-метилбутилсульфинил, 3-метилбутилсульфинил, 1,1-диметилпропилсульфинил, 1,2-диметилпропилсульфинил, 2,2-диметилпропилсульфинил, 1-этилпропилсульфинил, гексилсульфинил, 1-метилпентилсульфинил, 2-метилпентил-сульфинил, 3-метилпентилсульфинил, 4-метилпентилсульфинил, 1,1-диметилбутилсульфинил, 1,2-диметилбутилсульфинил, 1,3-диметилбутилсульфинил, 2,2-диметилбутилсульфинил, 2,3-диметилбутилсульфинил, 3,3-диметилбутилсульфинил, 1-этилбутилсульфинил, 2-этилбутилсульфинил, 1,1,2-триметилпропилсульфинил, 1,2,2-триметилпропилсульфинил, 1-этил-1-метилпропилсульфинил и 1-этил-2-метилпропилсульфинил.
В контексте настоящего изобретения «алкокси» означает алкильный радикал, связанный через атом кислорода, например, (без ограничения) (С1-С6)-алкокси, такой как, метокси, этокси, пропокси, 1-метилэтокси, бутокси, 1-метилпропокси, 2-метилпропокси, 1,1-диметилэтокси, пентокси, 1-метилбутокси, 2-метилбутокси, 3-метилбутокси, 1,1-диметилпропокси, 1,2-диметилпропокси, 2,2-диметилпропокси, 1-этилпропокси, гексокси, 1-метилпентокси, 2-метилпентокси, 3-метилпентокси, 4-метилпентокси, 1,1-диметилбутокси, 1,2-диметилбутокси, 1,3-диметилбутокси, 2,2-диметилбутокси, 2,3-диметилбутокси, 3,3-диметилбутокси, 1-этилбутокси, 2-этилбутокси, 1,1,2-триметилпропокси, 1,2,2-триметилпропокси, 1-этил-1-метилпропокси и 1-этил-2-метилпропокси. Алкенилокси означает алкенильный радикал, связанный через атом кислорода, алкинилокси означает алкинильный радикал, связанный через атом кислорода, такой как (С2-С10)-, (С2-С6)- или (С2-С4)-алкенокси или (С3-С6)- или (С3-С4)-алкинокси.
В контексте настоящего изобретения «алкилкарбонил» (алкил-С(=О)-), если не указано иное в другом месте, представляет собой алкильные радикалы, которые связаны со скелетом через С(=О), такие как (C1-С10)-, (C1-C6)- или (С1-С4)-алкилкарбонил. Число атомов углерода относится к алкильному радикалу в алкилкарбонильной группе.
«Алкоксикарбонил (алкил-ОС(=О)-)» согласно изобретению, если не указано иное в другом месте, представляет собой алкильные радикалы, которые связаны со скелетом посредством -ОС(=О)-, такие как (C1-С10)-, (C1-С6)- или (С1-С4)-алкоксикарбонил. Число атомов углерода относится к алкильному радикалу в алкоксикарбонильной группе. «Алкенилоксикарбонил» и «алкинилоксикарбонил» имеют аналогичное значение согласно изобретению, если иное не указано в другом месте, для алкенильных или алкинильных радикалов, которые связаны со скелетом посредством -ОС(=О)-, таких как (С2-С10)-, (С2-С6)- или (С2-С4)-алкенилоксикарбонил или (С3-С10)-, (С3-C6)- или (С3-С4)-алкинилоксикарбонил. Число атомов углерода относится к алкенильному или алкинильному радикалу в алкен- или алкинилоксикарбонильной группе.
Термин «алкилкарбонилокси» (алкил-С(=О)-О-), если не указано иное в другом месте, представляет собой алкильные радикалы, присоединенные к основной цепи через атом кислорода карбонилоксигруппы (-С(=О)-О-), такие как (C1-С10)-, (C1-С6)- или (С1-С4)-алкилкарбонилокси. Число атомов углерода относится к алкильному радикалу в алкилкарбонилоксигруппе.
Термин «арил» означает необязательно замещенную моно-, би- или полициклическую ароматическую систему с предпочтительно от 6 до 14, в частности от 6 до 10 атомами углерода в кольце, например, фенил, нафтил, антрил, фенантренил и т.п., предпочтительно фенил.
Термин «необязательно замещенный арил» также включает полициклические системы, такие как тетрагидронафтил, инденил, инданил, флуоренил, бифенилил, где сайт связывания находится в ароматической системе. Систематически «арил» обычно также включается в термин «необязательно замещенный фенил». Предпочтительными арильными заместителями здесь являются, например, водород, галоген, алкил, циклоалкил, циклоалкилалкил, циклоалкенил, гало цикл о алкил, алкенил, алкинил, арил, арилалкил, гетероарил, гетероарилалкил, гетероциклил, гетероциклилалкил, алкоксиалкил, алкилтио, галоалкилтио, галоалкил, алкокси, галоалкокси, циклоалкокси, циклоалкилалкокси, арилокси, гетерогарилокси, алкоксиалкокси, алкинилалкокси, алкенилокси, бис-алкиламиноалкокси, трис-[алкил]силил, бис-[алкил]арилсилил, бис-[алкил]алкилсилил, трис-[алкил]силилалкинил, алкилалкинил, циклоалкилалкинил, галоалкилалкинил, гетероциклил-N-алкокси, нитро, циано, амино, алкиламино, бис-алкиламино, алкилкарбониламино, циклоалкилкарбониламино, арилкарбониламино, алкоксикарбониламино, алкоксикарбонилалкиламино, арилалкоксикарбонилалкиламино, гидроксикарбонил, алкоксикарбонил, аминокарбонил, алкиламинокарбонил, циклоалкиламинокарбонил, бис-алкиламинокарбонил, гетероарилалкокси, арилалкокси.
Гетероциклический радикал (гетероциклил) содержит по меньшей мере одно гетероциклическое кольцо (=карбоциклическое кольцо, в котором по меньшей мере один атом углерода заменен гетероатомом, предпочтительно гетероатомом из группы N, О, S, Р), которое является насыщенным, ненасыщенным, частично насыщенным или гетероароматическим и может быть незамещенным или замещенным, при этом сайт связывания расположен при кольцевом атоме. Когда гетероциклический радикал или гетероциклическое кольцо необязательно замещены, они могут быть конденсированы с другими карбоциклическими или гетероциклическими кольцами. В случае необязательно замещенного гетероциклила также включаются полициклические системы, такие как, например, 8-азабицикло[3.2.1]октанил, 8-азабицикло[2.2.2]октанил или 1-азабицикло[2.2.1]гептил. В случае необязательно замещенного гетероциклила также включаются спироциклические системы, такие как 1-окса-5-азаспиро[2.3]гексил. Если не указано иное, гетероциклическое кольцо предпочтительно содержит от 3 до 9 атомов в кольце, в частности от 3 до 6 атомов в кольце, и один или более, предпочтительно от 1 до 4, в частности 1, 2 или 3 гетероатома в гетероциклическом кольце, предпочтительно из группы N, О и S, но два атома кислорода не должны быть непосредственно соседними, как например, с гетероатомом из группы N, О и S, такие как 1- или 2- или 3-пирролидинил, 3,4-дигидро-2Н-пиррол-2- или 3-ил, 2,3-дигидро-1Н-пиррол-1- или 2- или 3- или 4- или 5-ил; 2,5-дигидро-1Н-пиррол-1- или 2- или 3-ил, 1- или 2- или 3- или 4-пиперидинил; 2,3,4,5-тетрагидропиридин-2- или 3- или 4- или 5-ил или 6-ил; 1,2,3,6-тетрагидропиридин-1- или 2- или 3- или 4- или 5- или 6-ил; 1,2,3,4-тетрагидропиридин-1-или 2- или 3- или 4- или 5- или 6-ил; 1,4-дигидропиридин-1- или 2- или 3- или 4-ил; 2,3-дигидропиридин-2- или 3- или 4- или 5- или 6-ил; 2,5-дигидропиридин-2- или 3- или 4- или 5- или 6-ил, 1- или 2- или 3- или 4-азепанил; 2,3,4,5-тетрагидро-1Н-азепин-1- или 2- или 3- или 4- или 5- или 6- или 7-ил; 2,3,4,7-тетрагидро-1Н-азепин-1- или 2- или 3- или 4- или 5- или 6- или 7-ил; 2,3,6,7-тетрагидро-1Н-азепин-1- или 2- или 3- или 4-ил; 3,4,5,6-тетрагидро-2Н-азепин-2- или 3- или 4- или 5- или 6- или 7-ил; 4,5-дигидро-1Н-азепин-1- или 2- или 3- или 4-ил; 2,5-дигидро-1Н-азепин-1- или -2- или 3- или 4- или 5- или 6- или 7-ил; 2,7-дигидро-1Н-азепин-1- или -2- или 3- или 4-ил; 2,3-дигидро-1Н-азепин-1- или -2- или 3- или 4- или 5- или 6- или 7-ил; 3,4-дигидро-2Н-азепин-2- или 3- или 4- или 5- или 6- или 7-ил; 3,6-дигидро-2Н-азепин-2- или 3- или 4- или 5- или 6- или 7-ил; 5,6-дигидро-2Н-азепин-2- или 3- или 4- или 5- или 6- или 7-ил; 4,5-дигидро-3Н-азепин-2- или 3- или 4- или 5- или 6- или 7-ил; 1Н-азепин-1- или -2- или 3- или 4- или 5- или 6- или 7-ил; 2Н-азепин-2- или 3- или 4- или 5- или 6- или 7-ил; 3Н-азепин-2- или 3- или 4- или 5- или 6- или 7-ил; 4Н-азепин-2- или 3- или 4- или 5- или 6- или 7-ил, 2- или 3-оксоланил (= 2- или 3-тетрагидрофуранил); 2,3-дигидрофуран-2- или 3- или 4- или 5-ил; 2,5-дигидрофуран-2- или 3-ил, 2- или 3- или 4-оксанил (= 2- или 3- или 4-тетрагидропиранил); 3,4-дигидро-2Н-пиран-2- или 3- или 4- или 5- или 6-ил; 3,6-дигидро-2Н-пиран-2- или 3- или 4- или 5- или 6-ил; 2Н-пиран-2- или 3- или 4- или 5- или 6-ил; 4Н-пиран-2- или 3- или 4-ил, 2- или 3- или 4-оксепанил; 2,3,4,5-тетрагидрооксепин-2- или 3- или 4- или 5- или 6- или 7-ил; 2,3,4,7-тетрагидрооксепин-2- или 3- или 4- или 5- или 6- или 7-ил; 2,3,6,7-тетрагидрооксепин-2- или 3- или 4-ил; 2,3-дигидрооксепин-2- или 3- или 4- или 5- или 6- или 7-ил; 4,5-дигидрооксепин-2- или 3- или 4-ил; 2,5-дигидрооксепин-2- или 3- или 4- или 5- или 6- или 7-ил; Оксепин-2- или 3- или 4- или 5- или 6- или 7-ил; 2- или 3-тетрагидротиофенил; 2,3-дигидротиофен-2- или 3- или 4- или 5-ил; 2,5-дигидротиофен-2- или 3-ил; Тетрагидро-2Н-тиопиран-2- или 3- или 4-ил; 3,4-дигидро-2Н-тиопиран-2- или 3- или 4- или 5- или 6-ил; 3,6-дигидро-2Н-тиопиран-2- или 3- или 4- или 5- или 6-ил; 2Н-тиопиран-2- или 3- или 4- или 5- или 6-ил; 4Н-тиопиран-2- или 3- или 4-ил. Примерами предпочтительных 3-кольцевых и 4-кольцевых гетероциклов являются 1- или 2-азиридинил, оксиранил, тииранил, 1-, 2- или 3-азетидинил, 2- или 3-оксетанил, 2- или 3-тиетанил, 1,3-диоксетан-2-ил. Другими примерами «гетероциклила» является частично или полностью гидрированный гетероциклический радикал, имеющий два гетероатома из группы N, О и S, такой как 1- или 2- или 3- или 4-пиразолидинил; 4,5-дигидро-3Н-пиразол-3- или 4- или 5-ил; 4,5-дигидро-1Н-пиразол-1- или 3- или 4- или 5-ил; 2,3-дигидро-1Н-пиразол-1- или 2- или 3- или 4- или 5-ил; 1- или 2- или 3- или 4-имидазолидинил; 2,3-дигидро-1Н-имидазол-1- или 2- или 3- или 4-ил; 2,5-дигидро-1Н-имидазол-1- или 2- или 4- или 5-ил; 4,5-дигидро-1Н-имидазол-1- или 2- или 4- или 5-ил; гексагидроксипиридазин-1- или 2- или 3- или 4-ил; 1,2,3,4-тетрагидропиридазин-1- или 2- или 3- или 4- или 5- или 6-ил; 1,2,3,6-тетрагидропиридазин-1- или 2- или 3- или 4- или 5- или 6-ил; 1,4,5,6-тетрагидропиридазин-1- или 3- или 4- или 5- или 6-ил; 3,4,5,6-тетрагидропиридазин-3- или 4- или 5-ил; 4,5-дигидропиридазин-3- или 4-ил; 3,4-дигидропиридазин-3- или 4- или 5- или 6-ил; 3,6-дигидропиридазин-3- или 4-ил; 1,6-дигидропиридазин-1- или 3- или 4- или 5- или 6-ил; Гексагидропиримидин-1- или 2- или 3- или 4-ил; 1,4,5,6-тетрагидропиримидин-1- или 2- или 4- или 5- или 6-ил; 1,2,5,6-тетрагидропиримидин-1- или 2- или 4- или 5- или 6-ил; 1,2,3,4-тетрагидропиримидин-1- или 2- или 3- или 4- или 5- или 6-ил; 1,6-дигидропиримидин-1- или 2- или 4- или 5- или 6-ил; 1,2-дигидропиримидин-1- или 2- или 4- или 5- или 6-ил; 2,5-дигидропиримидин-2- или 4- или 5-ил; 4,5-дигидропиримидин-4- или 5- или 6-ил; 1,4-дигидропиримидин-1- или 2- или 4- или 5- или 6-ил; 1- или 2- или 3-пиперазинил; 1,2,3,6-тетрагидропиразин-1- или 2- или 3- или 5- или 6-ил; 1,2,3,4-тетрагидропиразин-1- или 2- или 3- или 4- или 5- или 6-ил; 1,2-дигидропиразин-1- или 2- или 3- или 5- или 6-ил; 1,4-дигидропиразин-1- или 2- или 3-ил; 2,3-дигидропиразин-2- или 3- или 5- или 6-ил; 2,5-дигидропиразин-2- или 3-ил; 1,3-диоксолан-2- или 4- или 5-ил; 1,3-диoксoл-2- или 4-ил; 1,3-диоксaн-2- или 4- или 5-ил; 4Н-1,3-диоксин-2- или 4- или 5- или 6-ил; 1,4-диоксан-2- или 3- или 5- или 6-ил; 2,3-дигидро-1,4-диоксин-2- или 3- или 5- или 6-ил; 1,4-диоксин-2- или 3-ил; 1,2-дитиолан-3- или 4-ил; 3Н-1,2-дитиол-3- или 4- или 5-ил; 1,3-дитиолан-2- или 4-ил; 1,3-дитиол-2- или 4-ил; 1,2-дитиан-3- или 4-ил; 3,4-дигидро-1,2-дитиин-3- или 4- или 5- или 6-ил; 3,6-дигидро-1,2-дитиин-3- или 4-ил; 1,2-дитиин-3- или 4-ил; 1,3-дитиан-2- или 4- или 5-ил; 4Н-1,3-дитиин-2- или 4- или 5- или 6-ил; изоксазолидин-2- или 3- или 4- или 5-ил; 2,3-дигидроизоксазол-2- или 3- или 4- или 5-ил; 2,5-дигидроизоксазол-2- или 3- или 4- или 5-ил; 4,5-дигидроизоксазол-3- или 4- или 5-ил; 1,3-оксазолидин-2- или 3- или 4- или 5-ил; 2,3-дигидро-1,3-оксазол-2- или 3- или 4- или 5-ил; 2,5-дигидро-1,3-оксазол-2- или 4- или 5-ил; 4,5-дигидро-1,3-оксазол-2- или 4- или 5-ил; 1,2-оксазинан-2- или 3- или 4- или 5- или 6-ил; 3,4-дигидро-2Н-1,2-оксазин-2- или 3- или 4- или 5- или 6-ил; 3,6-дигидро-2Н-1,2-оксазин-2- или 3- или 4- или 5- или 6-ил; 5,6-дигидро-2Н-1,2-оксазин-2- или 3- или 4- или 5- или 6-ил; 5,6-дигидро-4Н-1,2-оксазин-3- или 4- или 5- или 6-ил; 2Н-1,2-оксазин-2- или 3- или 4- или 5- или 6-ил; 6Н-1,2-оксазин-3- или 4- или 5- или 6-ил; 4Н-1,2-оксазин-3- или 4- или 5- или 6-ил; 1,3-оксазинан-2- или 3- или 4- или 5- или 6-ил; 3,4-дигидро-2Н-1,3-оксазин-2- или 3- или 4- или 5- или 6-ил; 3,6-дигидро-2Н-1,3-оксазин-2- или 3- или 4- или 5- или 6-ил; 5,6-дигидро-2Н-1,3-оксазин-2- или 4- или 5- или 6-ил; 5,6-дигидро-4Н-1,3-оксазин-2- или 4- или 5- или 6-ил; 2Н-1,3-оксазин-2- или 4- или 5- или 6-ил; 6Н-1,3-оксазин-2- или 4- или 5- или 6-ил; 4Н-1,3-оксазин-2- или 4- или 5- или 6-ил; морфолин-2- или 3- или 4-ил; 3,4-дигидро-2Н-1,4-оксазин-2- или 3- или 4- или 5- или 6-ил; 3,6-дигидро-2Н-1,4-оксазин-2- или 3- или 5- или 6-ил; 2Н-1,4-оксазин-2- или 3- или 5- или 6-ил; 4Н-1,4-оксазин-2- или 3-ил; 1,2-оксазепан-2- или 3- или 4- или 5- или 6- или 7-ил; 2,3,4,5-тетрагидро-1,2-оксазепин-2- или 3- или 4- или 5- или 6- или 7-ил; 2,3,4,7-тетрагидро-1,2-оксазепин-2- или 3- или 4- или 5- или 6- или 7-ил; 2,3,6,7-тетрагидро-1,2-оксазепин-2- или 3- или 4- или 5- или 6- или 7-ил; 2,5,6,7-тетрагидро-1,2-оксазепин-2- или 3- или 4- или 5- или 6- или 7-ил; 4,5,6,7-тетрагидро-1,2-оксазепин-3- или 4- или 5- или 6- или 7-ил; 2,3-дигидро-1,2-оксазепин-2- или 3- или 4- или 5- или 6- или 7-ил; 2,5-дигидро-1,2-оксазепин-2- или 3- или 4- или 5- или 6- или 7-ил; 2,7-дигидро-1,2-оксазепин-2- или 3- или 4- или 5- или 6- или 7-ил; 4,5-дигидро-1,2-оксазепин-3- или 4- или 5- или 6- или 7-ил; 4,7-дигидро-1,2-оксазепин-3- или 4- или 5- или 6- или 7-ил; 6,7-дигидро-1,2-оксазепин-3- или 4- или 5- или 6- или 7-ил; 1,2-оксазепин-3- или 4- или 5- или 6- или 7-ил; 1,3-Oxazepan-2- или 3- или 4- или 5- или 6- или 7-ил; 2,3,4,5-тетрагидро-1,3-оксазепин-2- или 3- или 4- или 5- или 6- или 7-ил; 2,3,4,7-тетрагидро-1,3-оксазепин-2- или 3- или 4- или 5- или 6- или 7-ил; 2,3,6,7-тетрагидро-1,3-оксазепин-2- или 3- или 4- или 5- или 6- или 7-ил; 2,5,6,7-тетрагидро-1,3-оксазепин-2- или 4- или 5- или 6- или 7-ил; 4,5,6,7-тетрагидро-1,3-оксазепин-2- или 4- или 5- или 6- или 7-ил; 2,3-дигидро-1,3-оксазепин-2- или 3- или 4- или 5- или 6- или 7-ил; 2,5-дигидро-1,3-оксазепин-2- или 4- или 5- или 6- или 7-ил; 2,7-дигидро-1,3-оксазепин-2- или 4- или 5- или 6- или 7-ил; 4,5-дигидро-1,3-оксазепин-2- или 4- или 5- или 6- или 7-ил; 4,7-дигидро-1,3-оксазепин-2- или 4- или 5- или 6- или 7-ил; 6,7-дигидро-1,3-оксазепин-2- или 4- или 5- или 6- или 7-ил; 1,3-оксазепин-2- или 4- или 5- или 6- или 7-ил; 1,4-Oxazepan-2- или 3- или 5- или 6- или 7-ил; 2,3,4,5-тетрагидро-1,4-оксазепин-2- или 3- или 4- или 5- или 6- или 7-ил; 2,3,4,7-тетрагидро-1,4-оксазепин-2- или 3- или 4- или 5- или 6- или 7-ил; 2,3,6,7-тетрагидро-1,4-оксазепин-2- или 3- или 5- или 6- или 7-ил; 2,5,6,7-тетрагидро-1,4-оксазепин-2- или 3- или 5- или 6- или 7-ил; 4,5,6,7-тетрагидро-1,4-оксазепин-2- или 3- или 4- или 5- или 6- или 7-ил; 2,3-дигидро-1,4-оксазепин-2- или 3- или 5- или 6- или 7-ил; 2,5-дигидро-1,4-оксазепин-2- или 3- или 5- или 6- или 7-ил; 2,7-дигидро-1,4-оксазепин-2- или 3- или 5- или 6- или 7-ил; 4,5-дигидро-1,4-оксазепин-2- или 3- или 4- или 5- или 6- или 7-ил; 4,7-дигидро-1,4-оксазепин-2- или 3- или 4- или 5- или 6- или 7-ил; 6,7-дигидро-1,4-оксазепин-2- или 3- или 5- или 6- или 7-ил; 1,4-оксазепин-2- или 3- или 5- или 6- или 7-ил; изотиазолидин-2- или 3- или 4- или 5-ил; 2,3-дигидроизотиазол-2- или 3- или 4- или 5-ил; 2,5-дигидроизотиазол-2- или 3- или 4- или 5-ил; 4,5-дигидроизотиазол-3- или 4- или 5-ил; 1,3-тиазолидин-2- или 3- или 4- или 5-ил; 2,3-дигидро-1,3-тиазол-2- или 3- или 4- или 5-ил; 2,5-дигидро-1,3-тиазол-2- или 4- или 5-ил; 4,5-дигидро-1,3-тиазол-2- или 4- или 5-ил; 1,3-тиазинан-2- или 3- или 4- или 5- или 6-ил; 3,4-дигидро-2Н-1,3-тиазин-2- или 3- или 4- или 5- или 6-ил; 3,6-дигидро-2Н-1,3-тиазин-2- или 3- или 4- или 5- или 6-ил; 5,6-дигидро-2Н-1,3-тиазин-2- или 4- или 5- или 6-ил; 5,6-дигидро-4Н-1,3-тиазин-2- или 4- или 5- или 6-ил; 2Н-1,3-тиазин-2- или 4- или 5- или 6-ил; 6Н-1,3-тиазин-2- или 4- или 5- или 6-ил; 4Н-1,3-тиазин-2- или 4- или 5- или 6-ил. Другими примерами «гетероциклила» является частично или полностью гидрированный гетероциклический радикал, содержащий 3 гетероатома из группы N, О и S, такой как 1,4,2-диоксазолидин-2- или 3- или 5-ил; 1,4,2-диоксазол-3- или 5-ил; 1,4,2-диоксазинан-2- или -3- или 5- или 6-ил; 5,6-дигидро-1,4,2-диоксазин-3- или 5- или 6-ил; 1,4,2-диоксазин-3- или 5- или 6-ил; 1,4,2-диоксазепан-2- или 3- или 5- или 6- или 7-ил; 6,7-дигидро-5Н-1,4,2-диоксазепин-3- или 5- или 6- или 7-ил; 2,3-дигидро-7Н-1,4,2-диоксазепин-2- или 3- или 5- или 6- или 7-ил; 2,3-дигидро-5Н-1,4,2-диоксазепин-2- или 3- или 5- или 6- или 7-ил; 5Н-1,4,2-диоксазепин-3- или 5- или 6- или 7-ил; 7Н-1,4,2-диоксазепин-3- или 5- или 6- или 7-ил. Структурные примеры необязательно дополнительно замещенных гетероциклов также перечислены ниже:
Перечисленные выше гетероциклы предпочтительно имеют заместители, например, водород, галоген, алкил, галоалкил, гидрокси, алкокси, циклоалкокси, арилокси, алкоксиалкил, алкоксиалкокси, циклоалкил, галоциклоалкил, арил, арилалкил, гетероарил, гетероциклил, алкенил, алкилкарбонил, циклоалкилкарбонил, арилкарбонил, гетероарилкарбонил, алкоксикарбонил, гидроксикарбонил, циклоалкоксикарбонил, циклоалкилалкоксикарбонил, алкоксикарбонилалкил, арилалкоксикарбонил, арилалкоксикарбонилалкил, алкинил, алкинилалкил, алкилалкинил, трис-алкилсилилалкинил, нитро, амино, циано, галоалкокси, галоалкилтио, алкилтио, гидротио, гидроксиалкил, оксо, гетероарилалкокси, арилалкокси, гетероциклилалкокси, гетероциклилалкилтио, гетероциклилокси, гетероциклилтио, гетероарилокси, бис-алкиламино, алкиламино, циклоалкиламино, гидроксикарбонилалкиламино, алкоксикарбонилалкиламино, арилалкоксикарбонилалкил амино, алкоксикарбонилалкил(алкил)амино, аминокарбонил, алкиламинокарбонил, бис-алкиламино карбонил, циклоалкиламинокарбонил, гидроксикарбонилалкиламинокарбонил, алкоксикарбонилалкиламино карбонил, арилалкоксикарбонилалкиламинокарбонил.
Если основная структура замещена «одним или несколькими радкалами» из перечня радикалов (=группы) или группы радикалов, определенной в общем, это включает одновременную замену несколькими идентичными и/или структурно различными радикалами.
Если это частично или полностью насыщенный азотом гетероцикл, он может быть связан с остальной частью молекулы либо через углерод, либо через азот.
Подходящими заместителями для замещенного гетероциклического радикала являются заместители, упомянутые ниже, а также оксо- и тиоксо-группы. Оксогруппа в качестве заместителя у атома углерода в кольце означает, например, карбонильную группу в гетероциклическом кольце. Это предпочтительно также включает лактоны и лактамы. Оксогруппа также может встречаться при атомах гетероцикла, которые могут существовать в различных степенях окисления, например, при N и S, а затем образовывать, например, двухвалентные группы N(O), S(O) (также короткий SO) и S(О)2 (также короткий SO2) в гетероциклическом кольце. В случае групп -N(O)- и -S(O)-включены оба энантиомера.
Согласно настоящему изобретению выражение «гетероарил» означает гетероароматические соединения, т.е. полностью ненасыщенные ароматические гетероциклические соединения, предпочтительно 5-7-членные кольца с 1-4, предпочтительно 1 или 2 одинаковыми или разными гетероатомами, предпочтительно О, S или Н. Гетероарилы согласно настоящему изобретению представляют собой, например 1Н-пиррол-1-ил; 1Н-пиррол-2-ил; 1Н-пиррол-3-ил; фуран-2-ил; фуран-3-ил; тиен-2-ил; тиен-3-ил, 1Н-имидазол-1-ил; 1Н-имидазол-2-ил; 1Н-имидазол-4-ил; 1Н-имидазол-5-ил; 1Н-пиразол-1-ил; 1Н-пиразол-3-ил; 1Н-пиразол-4-ил; 1Н-пиразол-5-ил, 1Н-1,2,3-триазол-1-ил, 1Н-1,2,3-триазол-4-ил, 1Н-1,2,3-триазол-5-ил, 2Н-1,2,3-триазол-2-ил, 2Н-1,2,3-триазол-4-ил, 1Н-1,2,4-триазол-1-ил, 1Н-1,2,4-триазол-3-ил, 4Н-1,2,4-триазол-4-ил, 1,2,4-оксадиазол-3-ил, 1,2,4-оксадиазол-5-ил, 1,3,4-оксадиазол-2-ил, 1,2,3-оксадиазол-4-ил, 1,2,3-оксадиазол-5-ил, 1,2,5-оксадиазол-3-ил, азепинил, пиридин-2-ил, пиридин-3-ил, пиридин-4-ил, пиразин-2-ил, пиразин-3-ил, пиримидин-2-ил, пиримидин-4-ил, пиримидин-5-ил, пиридазин-3-ил, пиридазин-4-ил, 1,3,5-триазин-2-ил, 1,2,4-триазин-3-ил, 1,2,4-триазин-5-ил, 1,2,4-триазин-6-ил, 1,2,3-триазин-4-ил, 1,2,3-триазин-5-ил, 1,2,4-, 1,3,2-, 1,3,6- и 1,2,6-оксазинил, изоксазол-3-ил, изоксазол-4-ил, изоксазол-5-ил, 1,3-оксазол-2-ил, 1,3-оксазол-4-ил, 1,3-оксазол-5-ил, изотиазол-3-ил, изотиазол-4-ил, изотиазол-5-ил, 1,3-тиазол-2-ил, 1,3-тиазол-4-ил, 1,3-тиазол-5-ил, оксепинил, тиепинил, 1,2,4-триазолонил и 1,2,4-диазепинил, 2Н-1,2,3,4-тетразол-5-ил, 1Н-1,2,3,4-тетразол-5-ил, 1,2,3,4-оксатриазол-5-ил, 1,2,3,4-тиатриазол-5-ил, 1,2,3,5-оксатриазол-4-ил, 1,2,3,5-тиатриазол-4-ил. Гетероарильные группы согласно настоящему изобретению также могут быть замещены одним или несколькими одинаковыми или разными радикалами. Если два соседних атома углерода являются частью дополнительного ароматического кольца, это конденсированные гетероароматические системы, такие как бензоконденсированные или многократно конденсированные гетероароматические соединения. Предпочтительными являются, например, хинолины (например, хинолин-2-ил, хинолин-3-ил, хинолин-4-ил, хинолин-5-ил, хинолин-6-ил, хинолин-7-ил, хинолин-8-ил); изохинолины (например, изохинолин-1-ил, изохинолин-3-ил, изохинолин-4-ил, изохинолин-5-ил, изохинолин-6-ил, изохинолин-7-ил, изохинолин-8-ил); хиноксалин; хиназолин; циннолин; 1,5-нафтиридин; 1,6-нафтиридин; 1,7-нафтиридин; 1,8-нафтиридин; 2,6-нафтиридин; 2,7-нафтиридин; фталазин; пиридопиразины; пиридопиримидины; пиридопиридазины; птеридины; пиримидопиримидины. Примерами гетероарила также являются 5- или 6-членные бензоконденсированные кольца из группы 1Н-индол-1-ил, 1Н-индол-2-ил, 1Н-индол-3-ил, 1Н-индол-4-ил, 1Н-индол-5-ил, 1Н-индол-6-ил, 1Н-индол-7-ил, 1-бензофуран-2-ил, 1-бензофуран-3-ил, 1-бензофуран-4-ил, 1-бензофуран-5-ил, 1-бензофуран-6-ил, 1-бензофуран-7-ил, 1-бензотиофен-2-ил, 1-бензотиофен-3-ил, 1-бензотиофен-4-ил, 1-бензотиофен-5-ил, 1-бензотиофен-6-ил, 1-бензотиофен-7-ил, 1Н-индазол-1-ил, 1Н-индазол-3-ил, 1Н-индазол-4-ил, 1Н-индазол-5-ил, 1Н-индазол-6-ил, 1Н-индазол-7-ил, 2Н-индазол-2-ил, 2Н-индазол-3-ил, 2Н-индазол-4-ил, 2Н-индазол-5-ил, 2Н-индазол-6-ил, 2Н-индазол-7-ил, 2Н-изоиндол-2-ил, 2Н-изоиндол-1-ил, 2Н-изоиндол-3-ил, 2Н-изоиндол-4-ил, 2Н-изоиндол-5-ил, 2Н-изоиндол-6-ил; 2Н-изоиндол-7-ил, 1Н-бензимидазол-1-ил, 1Н-бензимидазол-2-ил, 1Н-бензимидазол-4-ил, 1Н-бензимидазол-5-ил, 1Н-бензимидазол-6-ил, 1Н-бензимидазол-7-ил, 1,3-бензоксазол-2-ил, 1,3-бензоксазол-4-ил, 1,3-бензоксазол-5-ил, 1,3-бензоксазол-6-ил, 1,3-бензоксазол-7-ил, 1,3-бензтиазол-2-ил, 1,3-бензтиазол-4-ил, 1,3-бензтиазол-5-ил, 1,3-бензтиазол-6-ил, 1,3-бензтиазол-7-ил, 1,2-бензизоксазол-3-ил, 1,2-бензизоксазол-4-ил, 1,2-бензизоксазол-5-ил, 1,2-бензизоксазол-6-ил, 1,2-бензизоксазол-7-ил, 1,2-бензизотиазол-3-ил, 1,2-бензизотиазол-4-ил, 1,2-бензизотиазол-5-ил, 1,2-бензизотиазол-6-ил, 1,2-бензизотиазол-7-ил.
Термин «галоген» означает, например, фтор, хлор, бром или йод. Когда термин используется для обозначения радикала, «гало» означает, например, атом фтора, хлора, брома или йода.
В контексте настоящего изобретения «алкил» означает прямой или разветвленный насыщенный углеводородный радикал с открытой цепью, который необязательно является моно- или полизамещенным, и в последнем случае его называют «замещенным алкилом». Предпочтительными заместителями являются атомы галогена, алкокси, галоалкокси, циано, алкилтио, галогеналкилтио, циклоалкил, алкоксикарбонил, гидроксикарбонил, гетероциклил, гетарил, арил, амино или нитрогруппы, особенно предпочтительными являются метокси, метил, фторалкил, циано, нитро, фтор, хлор, бром или йод. Приставка «бис» также включает комбинацию различных алкильных радикалов, например, метил (этил) или этил (метил).
«Галогеналкил», «-алкенил» и «алкинил» означают алкил, алкенил или алкинил, который частично или полностью замещен одинаковыми или разными атомами галогена, например, моногалогеналкил (=моногалогеналкил), такой как, например, CH2CH2Cl, CH2CH2Br, CHClH3, CH2Cl, CH2F; Пергалоалкил, как например, CCl3, CClF2, CFCl2, CF2CClF2, CF2CClFCF3; Полигалоалкил, как например, CH2CHFCl, CF2CClFH, CF2CBrFH, CH2CF3; Термин пергалогеналкил также включает термин перфторалкил.
«Частично фторированный алкил» означает насыщенный углеводород с прямой или разветвленной цепью, который один или несколько раз замещен фтором, где соответствующие атомы фтора могут присутствовать в качестве заместителей у одного или нескольких различных атомов углерода углеводорода с прямой или разветвленной цепью, как например, CHFCH3, CH2CH2F, CH2CH2CF3, CHF2, CH2F, CHFCF2CF3
«Частично фторированный галогеналкил» означает насыщенный углеводород с прямой или разветвленной цепью, замещенный различными атомами галогена, имеющим по меньшей мере один атом фтора, при этом все другие необязательно присутствующие атомы галогена выбирают из группы, состоящей из фтора, хлора или брома, йода. Соответствующие атомы галогена могут присутствовать в качестве заместителей у одного или нескольких различных атомов углерода прямой или разветвленной углеводородной цепи. Частично фторированный галогеналкил также включает полное замещение прямой или разветвленной цепи галогеном с участием по меньшей мере одного атома фтора.
«Галоалкокси» включает, например, OCF3, OCHF2, OCH2F, OCF2CF3, OCH2CF3 и OCH2CH2Cl; То же самое относится к галогеналкенилу и другим радикалам, замещенным галогеном.
Выражение «(С1-С4)-алкил» упомянутое здесь в качестве примера, означает аббревиатуру алкила с прямой или разветвленной цепью с числом атомов углерода от одного до четырех, соответствующее диапазону, указанному для атомов С, т.е. включает радикалы метил, этил, 1-пропил, 2-пропил, 1-бутил, 2-бутил, 2-метилпропил или трет-бутил. Общие алкильные радикалы с более широким диапазоном атомов углерода, например, «(С1-С6)-алкил», соответственно, также включают неразветвленные или разветвленные алкильные радикалы с большим числом атомов углерода, т.е. согласно примеру также алкильные радикалы с 5 и 6 атомами углерода.
Если специально не указано, в случае углеводородных радикалов, таких как алкильный, алкенильный и алкинильный радикалы, в том числе в составных радикалах, предпочтение отдается низшим углеродным скелетам, например, имеющим от 1 до 6 атомов углерода, или, в случае ненасыщенных групп, имеющим от 2 до 6 атомов углерода. Алкильные радикалы, включая радикалы соединения, такие как алкокси, галогеналкил и т.д., означают, например, метил, этил, н- или изопропил, н-, изо-, трет- или 2-бутил, пентилы, гексилы, такие как н-гексил, изогексил и 1,3-диметилбутил, гептилы, такие как н-гептил, 1-метилгексил и 1,4-диметилпентил; алкенильные и алкинильные радикалы имеют значение возможных ненасыщенных радикалов, соответствующих алкильным радикалам, при наличии по меньшей мере одной двойной связи или тройной связи. Предпочтительны радикалы с двойной или тройной связью.
Термин «алкенил» также включает, в частности, углеводородные радикалы с прямой или разветвленной цепью с более чем одной двойной связью, такие как 1,3-бутадиенил и 1,4-пентадиенил, а также алленильные или кумуленильные радикалы с одной или несколькими кумулятивными двойными связями, такие как, например, алленил (1,2-пропадиенил), 1,2-бутадиенил и 1,2,3-пентатриенил. Алкенил означает, например, винил, который необязательно может быть замещен другими алкильными остатками, как например, (без ограничения) (С2-С6)-алкенил, такой как этенил, 1-пропенил, 2-пропенил, 1-метилэтенил, 1-бутенил, 2-бутенил, 3-бутенил, 1-метил-1-пропенил, 2-метил-1-пропенил, 1-метил-2-пропенил, 2-метил-2-пропенил, 1-пентенил, 2-пентенил, 3-пентенил, 4-пентенил, 1-метил-1-бутенил, 2-метил-1-бутенил, 3-метил-1-бутенил, 1-метил-2-бутенил, 2-метил-2-бутенил, 3-метил-2-бутенил, 1-метил-3-бутенил, 2-метил-3-бутенил, 3-метил-3-бутенил, 1,1-диметил-2-пропенил, 1,2-диметил-1-пропенил, 1,2-диметил-2-пропенил, 1-этил-1-пропенил, 1-этил-2-пропенил, 1-гексенил, 2-гексенил, 3-гексенил, 4-гексенил, 5-гексенил, 1-метил-1-пентенил, 2-метил-1-пентенил, 3-метил-1-пентенил, 4-метил-1-пентенил, 1-метил-2-пентенил, 2-метил-2-пентенил, 3-метил-2-пентенил, 4-метил-2-пентенил, 1-метил-3-пентенил, 2-метил-3-пентенил, 3-метил-3-пентенил, 4-метил-3-пентенил, 1-метил-4-пентенил, 2-метил-4-пентенил, 3-метил-4-пентенил, 4-метил-4-пентенил, 1,1-диметил-2-бутенил, 1,1-диметил-3-бутенил, 1,2-диметил-1-бутенил, 1,2-ди-метил-2-бутенил, 1,2-диметил-3-бутенил, 1,3-диметил-1-бутенил, 1,3-диметил-2-бутенил, 1,3-диметил-3-бутенил, 2,2-диметил-3-бутенил, 2,3-диметил-1-бутенил, 2,3-диметил-2-бутенил, 2,3-диметил-3-бутенил, 3,3-диметил-1-бутенил, 3,3-диметил-2-бутенил, 1-этил-1-бутенил, 1-этил-2-бутенил, 1-этил-3-бутенил, 2-этил-1-бутенил, 2-этил-2-бутенил, 2-этил-3-бутенил, 1,1,2-триметил-2-пропенил, 1-этил-1-метил-2-пропенил, 1-этил-2-метил-1-пропенил и 1-этил-2-метил-2-пропенил.
Термин «алкинил» также включает, в частности, углеводородные радикалы с прямой или разветвленной цепью с более чем одной тройной связью или также с одной или более тройными связями и одной или более двойными связями, такие как 1,3-бутатринил или 3-пентен-1-ин-1-ил. (С2-С6)-алкинил означает, например, этинил, 1-пропинил, 2-пропинил, 1-бутинил, 2-бутинил, 3-бутинил, 1-метил-2-пропинил, 1-пентинил, 2-пентинил, 3-пентинил, 4-пентинил, 1-метил-2-бутинил, 1-метил-3-бутинил, 2-метил-3-бутинил, 3-метил-1-бутинил, 1,1-диметил-2-пропинил, 1-этил-2-пропинил, 1-гексинил, 2-гексинил, 3-гексинил, 4-гексинил, 5-гексинил, 1-метил-2-пентинил, 1-метил-3-пентинил, 1-метил-4-пентинил, 2-метил-3-пентинил, 2-метил-4-пентинил, 3-метил-1-пентинил, 3-метил-4-пентинил, 4-метил-1-пентинил, 4-метил-2-пентинил, 1,1-ди-метил-2-бутинил, 1,1-диметил-3-бутинил, 1,2-диметил-3-бутинил, 2,2-диметил-3-бутинил, 3,3-диметил-1-бутинил, 1-этил-2-бутинил, 1-этил-3-бутинил, 2-этил-3-бутинил и 1-этил-1-метил-2-пропинил.
Термин «циклоалкил» означает карбоциклическую насыщенную кольцевую систему с предпочтительно 3-8 атомами углерода в кольце, например циклопропил, циклобутил, циклопентил или циклогексил, которая необязательно дополнительно замещена, предпочтительно водородом, алкилом, алкокси, циано, нитро, алкилтио, галогеналкилтио, галогеном, алкенилом, алкинилом, галогеналкилом, амино, алкиламино, бисалкиламино, алкоксикарбонилом, гидроксикарбонилом, арилалкоксикарбонилом, аминокарбонилом, алкиламинокарбонилом, циклоалкиламинокарбонилом. В случае необязательно замещенного циклоалкила включены циклические системы с заместителями, где заместители имеют двойную связь на циклоалкильном радикале, например, алкилиденовая группа, такая как метилиден. В случае необязательно замещенного циклоалкила также включаются полициклические алифатические системы, такие как бицикло[1.1.0]бутан-1-ил, бицикло[1.1.0]бутан-2-ил, бицикло[2.1.0]пентан-1-ил, бицикло[1.1.1]пентан-1-ил, бицикло[2.1.0]пентан-2-ил, бицикло[2.1.0]пентан-5-ил, бицикло[2.1.1]гексил, бицикло[2.2.1]гепт-2-ил, бицикло[2.2.2]октан-2-ил, бицикло[3.2.1]октан-2-ил, бицикло[3.2.2]нонан-2-ил, адамантан-1-ил и адамантан-2-ил, а также системы, как например, 1,1'-би(циклопропил)-1-ил, 1,1'-би(циклопропил)-2-ил. Термин «(С3-С7)-Циклоалкил» означает аббревиатуру циклоалкила, имеющего от трех до семи атомов углерода, что соответствует диапазону, указанному для атомов С.
В случае замещенного циклоалкила также включаются спироциклические алифатические системы, такие как спиро[2.2]пент-1-ил, спиро[2.3]гекс-1-ил, спиро[2.3]гекс-4-ил, 3-спиро[2.3]гекс-5-ил, спиро[3.3]гепт-1-ил, спиро[3.3]гепт-2-ил.
«Циклоалкенил» означает карбоциклическую, неароматическую, частично ненасыщенную кольцевую систему, предпочтительно содержащую 4-8 атомов углерода, например, 1-циклобутенил, 2-циклобутенил, 1-циклопентенил, 2-циклопентенил, 3-циклопентенил или 1-циклогексенил, 2-циклогексенил, 3-циклогексенил, 1,3-циклогексадиенил или 1,4-циклогексадиенил с заместителями, имеющими двойную связь при циклоалкенильном радикале, например, алкилиденовая группа, такая как метилиден. В случае необязательно замещенного циклоалкенила соответственно применимы определения для замещенного циклоалкила.
Термин «алкилиден», например, также в форме (C1-С10)-алкилиден, означает радикал углеводорода с прямой или разветвленной открытой цепью, который связан двойной связью. Конечно, только положения в исходной структуре, где два атома H могут быть заменены двойной связью, могут рассматриваться как сайты связывания для алкилидена; радикалом является, например, =СН2, =СН-СН3, =С(СН3)-СН3, =С(СН3)-С2Н5 или =С(С2Н5)-С2Н5. Циклоалкилиден означает карбоциклический радикал, связанный по двойной связи.
«Алкоксиалкил» означает алкоксирадикал, связанный через алкильную группу, а «алкоксиалкокси» означает алкоксиалкильный радикал, связанный через атом кислорода, например (но не ограничиваясь ими) метоксиметокси, метоксиэтокси, этоксиэтокси, метокси-н-пропилокси.
«Алкилтиоалкил» означает алкилтиорадикал, связанный через алкильную группу, а «алкилтиоалкилтио» означает алкилтиоалкилрадикал, связанный через атом кислорода.
«Арилалкоксиалкил» означает арилоксирадикал, связанный через алкильную группу, а «гетероарилоксиалкил» означает гетероарилоксирадикал, связанный через алкильную группу.
«Галоалкоксиалкил» означает связанный галогеналкоксирадикал, а «галогеналкилтиоалкил» означает галогеналкилтиорадикал, связанный через алкильную группу.
«Арилалкил» означает арильный радикал, связанный через алкильную группу, «гетероарилалкил» означает гетероарильный радикал, связанный через алкильную группу, и «гетероциклилалкил» означает гетероциклильный радикал, связанный через алкильную группу.
«Циклоалкилалкил» представляет собой циклоалкильный радикал, связанный через алкильную группу, например, (но не ограничиваясь ими) циклопропилметил, циклобутилметил, циклопентилметил, циклогексилметил, 1-циклопропилэт-1-ил, 2-циклопропил-1-ил, 1-циклопропилпроп-1-ил, 3-циклопропилпроп-1-ил.
Согласно изобретению «галогеналкилтио», сам по себе или как часть химической группы, представляет собой неразветвленный или разветвленный S-галогеналкил, предпочтительно содержащий от 1 до 8, или от 1 до 6 атомов углерода, такой как (C1-C8)-, (C1-С6)- или (С1-С4)-галоалкилтио, например, (без ограничения) трифторметилтио, пентафторэтилтио, дифторметил, 2,2-дифторэт-1-илтио, 2,2,2-дифторэт-1-илтио, 3,3,3-проп-1-илтио.
«Галоциклоалкил» и «галогенциклоалкенил» обозначают частично или полностью замещенный одинаковыми или разными атомами галогена, такими как, например, В, F, Cl и Br, или галогеналкилом, таким как трифторметил или дифторметил, циклоалкил или циклоалкенил, как например, 1-фторциклопроп-1-ил, 2-фторциклопроп-1-ил, 2,2-дифторциклопроп-1-ил, 1-фторциклобут-1-ил, 1-трифторметилциклопроп-1-ил, 2-трифторметилциклопроп-1-ил, 1-хлорциклопроп-1-ил, 2-хлорциклопроп-1-ил, 2,2-дихлорциклопроп-1-ил, 3,3-дифторциклобутил.
Согласно настоящему изобретению термин «триалкилсилил», сам по себе или как часть химической группы -, представляет собой неразветвленный или разветвленный Si-алкил, предпочтительно содержащий от 1 до 8, или от 1 до 6 атомов углерода, такой как три-[(C1-C8)-, (C1-C6)- или (С1-С4)-алкил]силил, например, (без ограничения) триметилсилил, триэтилсилил, три-(н-пропил)силил, три-(изо-пропил)силил, три-(н-бутил)силил, три-(1-метилпроп-1-ил)силил, три-(2-метилпроп-1-ил)силил, три(1,1-диметилэт-1-ил)силил, три(2,2-диметилэт-1-ил)силил.
Если соединения могут образовывать таутомеры путем водородного сдвига, которые структурно и формально не охватываются общей формулой (I), эти таутомеры, тем не менее, включаются в определение соединений общей формулы (I) согласно настоящему изобретению, если только конкретный таутомер не является объектом рассмотрения. Например, многие карбонильные соединения могут существовать как в кетоформе, так и в енольной форме, причем обе формы охватываются определением соединения общей формулы (I).
В зависимости от типа и связи заместителей соединения общей формулы (I) могут присутствовать в виде стереоизомеров. Все возможные стереоизомеры, определяемые их конкретной пространственной формой, такие как энантиомеры, диастереомеры, Z- и Е-изомеры, охватываются общей формулой (I). Если, например, присутствует одна или несколько алкенильных групп, могут возникать диастереомеры (изомеры Z и Е). Например, если присутствует один или несколько асимметричных атомов углерода, могут возникать энантиомеры и диастереомеры. Стереоизомеры могут быть получены из смесей, полученных при получении, обычными методами разделения. Хроматографическое разделение можно проводить как в аналитическом масштабе для определения энантиомерного избытка или диастереомерного избытка, так и в препаративном масштабе для получения испытуемых образцов для биологических испытаний. Стереоизомеры также могут быть получены селективно с использованием стереоселективных реакций с использованием оптически активных исходных материалов и/или вспомогательных веществ. Таким образом, изобретение также относится ко всем стереоизомерам, охватываемым общей формулой (I), но не указанным в их конкретной стереоформе, и их смесям.
Если соединения получают в виде твердых веществ, их также можно очистить перекристаллизацией или вывариванием. Если отдельные соединения (I) не являются удовлетворительно доступными путями, описанными ниже, их можно получить путем дериватизации других соединений общей формулы (I).
Подходящими способами выделения, очистки и разделения стереоизомеров соединений общей формулы (I) являются способы, которые в целом известны специалисту в данной области техники, например, физические методы, такие как кристаллизация, хроматографические методы, особенно колоночная хроматография и ВЭЖХ (жидкостная хроматография высокого давления), дистилляция, необязательно при пониженном давлении, экстракция и другие способы, любые оставшиеся смеси обычно можно разделить хроматографическим разделением, например, на хиральных твердых фазах. Для препаративных количеств или в промышленных масштабах подходят такие процессы, как кристаллизация, например, диастереомерных солей, которые могут быть получены из диастереомерных смесей с оптически активными кислотами и, если присутствуют кислотные группы, с оптически активными основаниями.
Синтез производных [(1,5-дифенил-1Н-1,2,4-триазол-3-ил)окси]уксусной кислоты общей Формулы (I)
Производные [(1,5-дифенил-1Н-1,2,4-триазол-3-ил)окси]уксусной кислоты общей формулы (I) согласно настоящему изобретению могут быть получены исходя из известных способов. Используемые и исследованные пути синтеза основаны на коммерчески доступных или легко получаемых замещенных бензойных кислотах, соответственно замещенных амидах бензойных кислот и коммерчески доступных химических веществах, таких как замещенные фенил гидразины и дифенилкарбонат. Группы R1, R2, R3, R4, m, n и p общей формулы (I) имеют ранее определенные значения на приведенных ниже схемах, если не даны иллюстративные, но не ограничивающие определения.
Соединения общей формулы (Ia) согласно настоящему изобретению синтезируют реакцией соединения общей формулы (II) с соединением общей формулы (III) в присутствии основания, такого как, например, карбонат калия. Реакцию предпочтительно проводят в диапазоне температур от 0°С до 120°С в подходящем растворителе, таком как ацетонитрил (см. схему 1).
Соединения общей формулы (II) синтезируют посредством циклизации соединения общей формулы (IV) в присутствии реагента конденсации, такого как, например, полифосфорная кислота. Реакция предпочтительно по существу протекает в диапазоне температур от 0°С до 180°С (см. Схему 2).
Синтез соединений общей формулы (IV) может быть осуществлен взаимодействием соединения общей формулы (V) с фенилгидразином общей формулы (VI) в подходящем растворителе, таком как ацетонитрил, в диапазоне температур от -20°С до 100°С, предпочтительно от -5°С до 50°С. Реакция протекает в присутствии основания, такого как триэтиламин. Вместо фенил гидразинов общей формулы (VI) также можно использовать гидрогалогениды фенил гидразинов общей формулы (VII) (схема 3).
Синтез соединения общей формулы (V) может быть осуществлен взаимодействием соединения общей формулы (VIII) с дифенилкарбонатом (IX) в присутствии основания, такого как гидрид натрия (см схему 4). Реакция предпочтительно протекает в диапазоне температур от -20°С до 150°С в подходящем растворителе, таком как ТГФ. Соединения общих формул (VIII) и (IX) имеются в продаже или могут быть получены способами или аналогично способам, известным специалистам в данной области техники.
Кислоту общей формулы (X) можно синтезировать омылением соединения общей формулы (Ia) способами, известными специалистам в данной области техники, или аналогичным образом.
Омыление можно проводить в присутствии основания или кислоты Льюиса. Основанием может быть гидр оксидная соль щелочного металла (такого как литий, натрий или калий, схема 5), и реакция омыления предпочтительно протекает в диапазоне температур от комнатной температуры до 100°С. Кислота Льюиса может представлять собой трибромид бора, и реакцию можно проводить в диапазоне температур от -20°С до 100°С, предпочтительно от -5°С до 50°С.
Соединения общей формулы (Ia) согласно настоящему изобретению синтезируют путем этерификации кислоты общей формулы (X) спиртом общей формулы (XII) в присутствии связующего агента, такого как, например, Т3Р, дициклогексилкарбодиимид, N-(3-диметиламинопропил)-N'-этилкарбодиимид, N,N'-кабонилдиимидазол, 2-хлор-1,3-диметилимидазолия хлорид или 2-хлор-1-метилпиридиния йодид (см. Chemistry of Peptide Synthesis, Ed. N. Leo Benoiton, Taylor & Francis, 2006, ISBN-10: 1-57444-454-9). Реагенты, связанные с полимером, такие как дициклогексилкарбодиимид, связанный с полимером, также подходят для этой реакции сочетания. Реакцию предпочтительно проводят в диапазоне температур от 0°С до 80°С в подходящем растворителе, таком как дихлорметан, ацетонитрил, N,N-диметилформамид или этилацетат, и в присутствии основания, такого как триэтиламин, N,N диизопропилэтиламин или 1,8-диазабицикло[5.4.0]ундец-7-цен (см. схему 6). Условия связывания Т3Р см. в Organic Process Research & Development 2009, 13, 900-906.
На схеме 7 показан синтез соединения общей формулы (II); синтез осуществляют реакцией соединения общей формулы (XIII) в присутствии кислоты Бренстеда, такой как 33% HBr, в уксусной кислоте. Реакция предпочтительно протекает в диапазоне температур от 0°С до 180°С. См. Bioorganic & Medicinal Chemistry 2018, 26, 3321-3344.
Соединения общей формулы (XIII) могут быть получены реакцией соединения общей формулы (XIV) и фенилгидразина общей формулы (VI) в подходящем растворителе, таком как этанол (см. схему 8). Реакцию предпочтительно проводят в диапазоне температур от 0°С до 150°С.
Соединения общей формулы (XIV) могут быть получены реакцией галогенидов бензойной кислоты общей формулы (XV) с солью роданида общей формулы (XVI) в присутствии метанола в подходящем растворителе, таком как ацетон (см. схему 9). Галогениды бензойной кислоты либо имеются в продаже, либо могут быть получены способами или аналогично способам, известным специалистам в данной области. См. Tetrahedron 1968, 24, 5205-5214; J. Chem. Soc. 1957, 1091; JP81 53,664 (1981); Justus Liebigs Ann. Chem. 1964, 675, 180 и J. Heterocycl. Chem. 1983, 20, 1533.
Ниже перечислены избранные подробные примеры синтеза соединений общей формулы (I) согласно настоящему изобретению. Приведенные номера примеров соответствуют нумерации, приведенной в таблицах I.1 - I.77 ниже. Спектроскопические данные 1Н ЯМР, 13С ЯМР и 19F ЯМР приведены для химических примеров, описанных в следующих разделах (400 МГц при 1Н ЯМР и 150 МГц при 13С ЯМР и 375 МГц при 19F-ЯМР, растворитель CDCl3, CD3OD или d6-ДМСО, внутренний стандарт: тетраметилсилан δ=0,00 ppm) получали с использованием прибора Bruker, и указанные сигналы имеют значения, указанные ниже: br = широкий; s = синглет, d = дублет, t = триплет, dd = двойной дублет, ddd = дублет двойного дублета, m = мультиплет, q = квартет, quint = квинтет, sext = секстет, sept = септет, dq = двойной квартет, dt = двойная тройка. В случае смесей диастереомеров даются либо значимые сигналы обоих диастереомеров, либо характерный сигнал основного диастереомера. Сокращения, используемые для химических групп, имеют, например, следующие значения: Me=СН3, Et=СН2СН3, t-Hex=С(СН3)2СН(СН3)2, t-Bu=С(СН3)3, n-Bu = неразветвленный бутил, n-Pr = неразветвленный пропил, i-Pr = разветвленный пропил, с-Pr = циклопропил, с-Нех = Циклогексил.
Примеры синтеза:
Пример синтеза №: I.42-7
Стадия синтеза 1: фенил-(2,4-дифторбензоил)карбамат
2,4-дифторбензамид (10 г, 63,65 ммоль, 1,0 экв.) и дифенилкарбонат (20,45 г, 1,5 экв.) растворяли в ТГФ (100 мл) в атмосфере аргона и нагревали до 0°С при охлаждении на ледяной бане. К раствору порциями добавляли гидрид натрия (60% в минеральном масле, 2,55 г, 63,65 ммоль, 1,0 экв.). Остерегайтесь образования газа! Затем баню со льдом удаляют и реакционную смесь перемешивают при комнатной температуре в течение 1 часа. По истечении этого времени реакционную смесь концентрировали в вакууме до 1/3 с образованием хлопьев в виде белого твердого вещества. Образовавшееся твердое вещество отсасывали и сушили на воздухе. Фенил(2,4-дифторбензоил)карбамат выделяют в виде белого твердого вещества (11,51 г, 61% от теории). 1H-ЯМР (400 МГц, DMSO-d6 δ, ppm) 7.76 (m, 1Н), 7.36-7.28 (m, 2H), 7.18-6.99 (m, 4H), 6.77-6.74 (m, 2H).
Стадия синтеза 2: 2-(4-хлорфенил)-N-(2,4-дифторбензоил)гидразинкарбоксамид
Фенил(2,4-дифторбензоил)карбамат (8 г, 28,86 ммоль, 1,0 экв.) растворяли в ацетонитриле (85 мл) и затем обрабатывали при комнатной температуре гидрохлоридом (4-хлорфенил)гидразина (1:1) (5,68 г, 31,74 ммоль, 1,1 экв.) и триэтиламином (8,04 мл, 57,72 ммоль, 2,0 экв.). Раствор становился розовым примерно через 15-30 мин, и выпадало твердое вещество бежевого цвета. Реакционную смесь перемешивали при комнатной температуре в течение 1 ч, после чего образовавшийся осадок отфильтровывали и сушили на воздухе. 2-(4-Хлорфенил)-N-(2,4-дифторбензоил)гидразинкарбоксамид выделяют в виде твердого вещества бежевого цвета (3,67 г, 38% от теории). 1H-ЯМР (400 МГц, DMSO-d6 δ, ppm) 9.74 (bs, 1Н), 8.11 (bs, 1H), 7.75 (m, 1H), 7.48-7.29 (m, 2H), 7.18 (d, 2 H), 6.73 (d, 2H).
Стадия синтеза 3: 1-(4-хлорфенил)-5-(2,4-дифторфенил)-1Н-1,2,4-триазол-3-ол
2-(4-Хлорфенил)-N-(2,4-дифторбензоил)гидразинкарбоксамид (3 г, 11,21 ммоль, 1,0 экв.) смешивали с полифосфорной кислотой (50 мл) и затем при 100°С в течение 2 ч, давая реакцию смесь сжижена. После охлаждения до комнатной температуры реакционную смесь по каплям добавляли к ледяной воде и светло-бежевое твердое вещество отсасывали. Осадок, отфильтрованный с вакуум-фильтром, сушили при 55°С в вакуумном сушильном шкафу. 1-(4-Хлорфенил)-5-(2,4-дифторфенил)-1Н-1,2,4-триазол-3-ол выделяют в виде твердого вещества светло-бежевого цвета (1,73 г, 49% от теории). 1H-ЯМР (400 МГц, DMSO-d6 δ, ppm) 11.57 (bs, 1Н), 7.68 (m, 1Н), 7.49 (d, 2H), 7.37 (m, 1Н), 7.32-7.24 (m, 3Н).
Стадия синтеза 4: Метил-{[1-(4-хлорфенил)-5-(2,4-дифторфенил)-1Н-1,2,4-триазол-3-ил]окси}ацетат (Пример синтеза I.40-7)
1-(4-Хлорфенил)-5-(2,4-дифторфенил)-1Н-1,2,4-триазол-3-ол (1,7 г, 5,53 ммоль, 1,0 экв.) и карбонат калия (1,53 г, 11,05 ммоль, 2 экв) суспендировали в ацетонитриле (20 мл) и затем добавляли метилбромацетат (0,48 г, 6,63 ммоль, 1,2 экв). Затем суспензию перемешивали при комнатной температуре в течение ночи, твердое вещество отфильтровывали и реакционную смесь концентрировали в вакууме. Остаток очищали колоночной хроматографией (градиент этилацетат/гептан). Метил-{[1-(4-хлорфенил)-5-(2,4-дифторфенил)-1Н-1,2,4-триазол-3-ил]окси}ацетат выделяли в виде бесцветного масла (1,62 г, 76% теории). 1Н-ЯМР (400 МГц, CDCl3 δ, ppm) 7.59 (m, 1Н), 7.33 (d, 2H), 7.20 (d, 2H), 7.00 (m, 1Н), 6.79 (m, 1H), 4.94 (s, 2H), 3.81 (s, 3H).
Стадия синтеза 5: {[1-(4-хлорфенил)-5-(2,4-дифторфенил)-1Н-1,2,4-триазол-3-ил]окси} уксусная кислота (Пример синтеза I.42-7)
Метил {[1-(4-хлорфенил)-5-(2,4-дифторфенил)-1Н-1,2,4-триазол-3-ил]окси}ацетат (1,6 г, 4,21 ммоль, 1,0 экв.) и гидроксид лития (101 мг, 4,21 ммоль, 1 экв.) растворяли в смеси ТГФ/вода (7:2, 20 мл) с последующим перемешиванием в течение 1 часа при комнатной температуре. Реакционную смесь концентрировали в вакууме. Остаток растворяли в воде и доводили до рН=2 с помощью 2 M соляной кислоты, при этом выпадало светло-желтое твердое вещество. Осадок отфильтровывали и сушили при 55°С в вакуумном сушильном шкафу. {[1-(4-Хлорфенил)-5-(2,4-дифторфенил)-1Н-1,2,4-триазол-3-ил]окси}уксусную кислоту выделяют в виде светло-желтого твердого вещества (1,44 г, 92% от теории). 1Н-ЯМР (400 МГц, DMSO-d6 δ, ppm) 13.09 (bs, 1H), 7.77 (m, 1H), 7.53 (d, 2H), 7.41-7.26 (m, 4H), 4.87 (s, 2H).
Пример синтеза №: I.61-49
Стадия синтеза 1: 2,4-дихлорбензоилизотиоцианат
2,4-Дихлорбензоилхлорид (10 г, 47,74 ммоль, 1,0 экв.) растворяли в толуоле (70 мл). К раствору порциями добавляли тиоцианат калия (5,57 г, 1,2 экв.). Затем реакционную смесь нагревали до кипения в течение 3 часов. Затем растворитель удаляли в вакууме. Неочищенный продукт использовали на следующей стадии без дополнительной очистки. 2,4-Дихлорбензоилизотиоцианат выделяют в виде твердого вещества желтого цвета (15,63 г, 68% теории, чистота 70%). 1H-ЯМР (400 МГц, CDCl3 δ, ppm) 7.97 (d, 1Н), 7.53 (d, 1Н), 7.34 (d, 1Н).
Стадия синтеза 2: S-аллил-(2,4-дихлорбензоил)карбамотиоат
2,4-Дихлорбензоилизотиоцианат (15,6 г, 67,22 ммоль, 1,0 экв.) растворяли в толуоле (250 мл). К раствору порциями добавляли аллиловый спирт (4,69 г, 80,66 ммоль, 1,2 экв.). Затем реакционную смесь нагревали до кипения в течение 4 часов. Затем растворитель удаляли в вакууме. Неочищенный продукт использовали на следующей стадии без дополнительной очистки. S-аллил(2,4-дихлорбензоил)карбамотиоат выделяли в виде твердого вещества желтого цвета (17,75 г, 81% теории, чистота 90%). 1H-ЯМР (400 МГц, CDCl3 δ, ppm) 8.82 (bs, 1Н), 7.78 (d, 1Н), 7.48 (s, 1Н), 7.36 (d, 1Н), 5.89 (m, 1Н), 5.33 (m, 1Н), 5.18 (m, 1Н), 3.61 (d, 1Н).
Стадия синтеза 3: 2-(4-хлор-2-фторфенил)-N-(2,4-дихлорбензоил)гидразинкарбоксамид
S-аллил(2,4-дихлорбензоил)карбамотиоат (17,75 г, 61,17 ммоль, 1,0 экв.) растворяли в толуоле (180 мл) и затем обрабатывали при комнатной температуре гидрохлоридом (4-хлор-2-фторфенил)гидразина (1:1) (12,05 г, 61,17 ммоль, 1,0 экв.) и триэтиламин (8,53 мл, 61,17 ммоль, 1,0 экв.). Реакционную смесь перемешивали при температуре кипения в течение 2 часов и после охлаждения образовавшийся осадок отфильтровывали и сушили в течение 2 часов при 55°С в вакуумно-сушильном шкафу. 2-(4-Хлор-2-фторфенил)-N-(2,4-дихлорбензоил)гидразинкарбоксамид выделяют в виде светло-желтого твердого вещества (27,33 г, 94% теории, чистота 80%). 1H-ЯМР (400 МГц, DMSO-d6 δ, ppm) 11.18 (bs, 1H), 10.41 (bs, 1H), 9.68 (bs, 1H), 8.02 (s, 1H), 7.71 (s, 1 H), 7.62 (d, 1H), 7.53 (d, 1H), 7,31-7,12 (m, 2H), 8.86 (t, 1H).
Стадия синтеза 4: 1-(4-хлор-2-фторфенил)-5-(2,4-дихлорфенил)-1Н-1,2,4-триазол-3-ол
2-(4-Хлор-2-фторфенил)-N-(2,4-дихлорбензоил)гидразинкарбоксамид (110,30 г, 234,31 ммоль, 1,0 экв.) растирали в полифосфорной кислоте (1100 мл) с последующим выдерживанием в течение 2 ч при 100°С, в ходе которого реакционная смесь сжижается. После охлаждения до комнатной температуры реакционную смесь по каплям добавляли к ледяной воде и светло-бежевое твердое вещество отсасывали. Осадок, отфильтрованный с вакуум-фильтром, сушили при 55°С в вакуумном сушильном шкафу. 1-(4-Хлор-2-фторфенил)-5-(2,4-дихлорфенил)-1Н-1,2,4-триазол-3-ол выделяют в виде твердого вещества светло-бежевого цвета (70,88 г, 83% от теории). 1H-ЯМР (400 МГц, DMSO-d6 δ, ppm) 7.75 (s, 1H), 7.63 (d, 1H), 7.59 (d, 1H), 7.55-7.51 (m, 2H), 7.39 (t, 1H), 3.83 (bs, 1H).
Стадия синтеза 5: Метил-{[1-(4-хлор-2-фторфенил)-5-(2,4-дихлорфенил)-1Н-1,2,4-триазол-3-ил]окси}ацетат (Пример синтеза I.43-49)
1-(4-Хлор-2-фторфенил)-5-(2,4-дихлорфенил)-1Н-1,2,4-триазол-3-ол (70,80 г, 197,44 ммоль, 1,0 экв.) и карбонат калия (54,57 г, 394,88 ммоль, 2 экв) суспендировали в ацетонитриле (700 мл), а затем добавляли метилбромацетат (36,25 г, 236,93 ммоль, 1,2 экв). Затем суспензию перемешивали при комнатной температуре в течение ночи, твердое вещество отфильтровывали и реакционную смесь концентрировали в вакууме. Остаток очищали колоночной хроматографией (градиент этилацетат/гептан). Метил-{[1-(4-хлор-2-фторфенил)-5-(2,4-дихлорфенил)-1Н-1,2,4-триазол-3-ил]окси}ацетат выделяли в виде светло-коричневого масла (57,91 г, 67% от теории). 1H-ЯМР (400 МГц, CDCl3 δ, ppm) 7.40-7.29 (m, 4H), 7.19 (dd, 1H), 7.12 (dd, 1H), 4.94 (s, 2H), 3.81 (s, 3H).
Стадия синтеза 6: {[1-(4-хлор-2-фторфенил)-5-(2,4-дихлорфенил)-1Н-1,2,4-триазол-3-ил]окси} уксусная кислота (Пример синтеза I.45-49)
Метил {[1-(4-хлор-2-фторфенил)-5-(2,4-дихлорфенил)-1Н-1,2,4-триазол-3-ил]окси}ацетат (5,0 г, 11,61 ммоль, 1,0 экв.) и гидроксид лития (417 мг, 17,42 ммоль, 1,5 экв.) растворяли в смеси ТГФ/вода (7:2, 20 мл) и затем перемешивали при комнатной температуре в течение 1 часа. Реакционную смесь концентрировали в вакууме. Остаток растворяли в воде и доводили до рН=2 с помощью 2 M соляной кислоты, при этом выпадало светло-желтое твердое вещество. Осадок отфильтровывали и сушили при 55°С в вакуумном сушильном шкафу. {[1-(4-Хлор-2-фторфенил)-5-(2,4-дихлорфенил)-1Н-1,2,4-триазол-3-ил]окси}уксусную кислоту выделяли в виде светло-бежевого твердого вещества (2,99 г, 61% теории). 1Н-ЯМР (400 МГц, CDCl3 δ, ppm) 7.41-7.27 (m, 4H), 7.18 (d, 1Н), 7.11 (d, 1Н), 4.94 (s, 2H).
Стадия синтеза 7: Метил-3-(2-{[1-(4-хлор-2-фторфенил)-5-(2,4-дихлорфенил)-1Н-1,2,4-триазол-3-ил]окси}acetoxy)пропаноат (Пример синтеза I.61-49)
Метил-3-гидроксипропаноат (47 мг, 0,39 ммоль, 1,1 экв.) растворяли в дихлорметане (3 мл) и затем обрабатывали {[1-(4-хлор-2-фторфенил)-5-(2,4-дихлорфенил)-1Н-1,2,4-триазол-3-ил]окси}уксусная кислота (150 мг, 0,36 ммоль, 1,0 экв.). К этому раствору пипеткой добавляли Т3Р (0,32 мл, 0,54 ммоль, 1,5 экв.) и реакционную смесь перемешивали при комнатной температуре в течение 1 часа. После этого реакционную смесь обрабатывали триэтиламином (0,13 мл, 0,90 ммоль, 2,5 экв.) и DMAP (9 мг, 0,072 ммоль, 0,2 экв.) и реакционную смесь перемешивали при комнатной температуре в течение ночи. После этого реакционный раствор экстрагировали водой и дихлорметаном и фазы разделяли с помощью фазового сепаратора. Органическую фазу концентрировали в вакууме. Остаток очищали колоночной хроматографией (градиент этилацетат/гептан). Метил 3-(2-{[1-(4-хлор-2-фторфенил)-5-(2,4-дихлорфенил)-1Н-1,2,4-триазол-3-ил]окси}ацетокси)пропаноат выделяют в виде бесцветного масла (100 мг, 53% от теории). 1Н-ЯМР (400 МГц, CDCl3 δ, ppm) 7.41-7.29 (m, 4H), 7.19 (d, 1H), 7.12 (d, 1H), 4.92 (s, 2H), 4.49 (t, 2H), 4.14 (q, 2H), 2.67 (t, 2H), 1.25 (t, 3H).
По аналогии с примерами получения, приведенными выше и приведенными в соответствующем месте, и с учетом общей информации о получении замещенных производных [(1,5-дифенил-1Н-1,2,4-триазол-3-ил)окси]уксусной кислоты получили следующие соединения:
Таблица I.1: Предпочтительными соединениями формулы (I.1) являются соединения I.1-1 - I.1-53, в которых Q имеет значения из таблицы 1, приведенные в соответствующей строке. Таким образом, соединения I.1-1 - I.1-53 в Таблице I.1 идентифицируются по значению соответствующих позиций №1-53 для Q в Таблице 1.
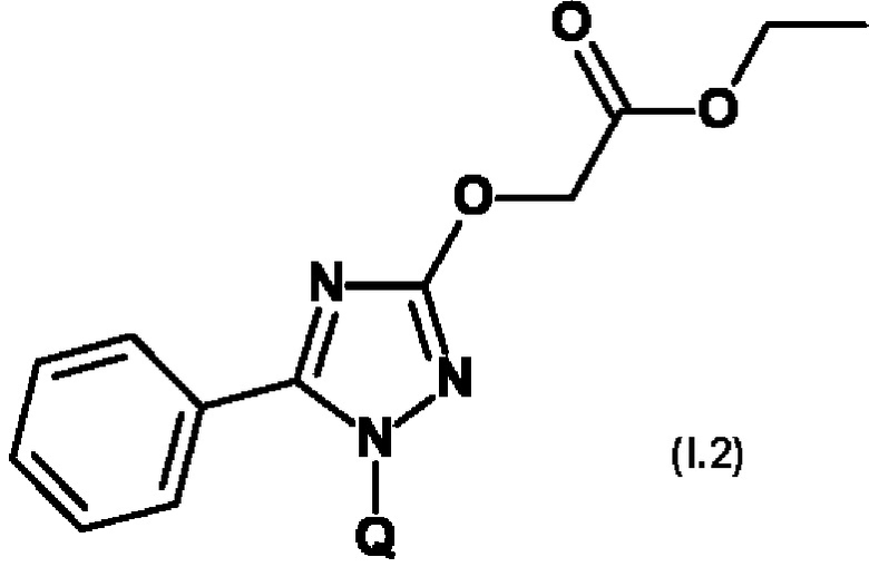
Таблица I.2: Предпочтительными соединениями формулы (I.2) являются соединения I.2-2 - I.2-53, в которых Q имеет значения из таблицы 1, приведенные в соответствующей строке. Таким образом, соединения I.2-2 - I.2-53 в Таблице I.2 определяются значением соответствующего номера из №2-53 для Q в Таблице 1.
Таблица I.3: Предпочтительными соединениями формулы (I.3) являются соединения I.3-1 - I.3-53, в которых Q имеет значения из таблицы 1, приведенные в соответствующей строке. Таким образом, соединения I.3-1 - I.3-53 в Таблице I.3 идентифицируются по значению соответствующих позиций №1-53 для Q в Таблице 1.
Таблица I.4: Предпочтительными соединениями формулы (I.4) являются соединения I.4-1 - I.4-53, в которых Q имеет значения из таблицы 1, приведенные в соответствующей строке. Таким образом, соединения I.4-1 - I.4-53 в Таблице I.4 идентифицируются по значению соответствующих позиций №1-53 для Q в Таблице 1.
Таблица I.5: Предпочтительными соединениями формулы (I.5) являются соединения I.5-1 - I.5-53, в которых Q имеет значения из таблицы 1, приведенные в соответствующей строке. Таким образом, соединения I.5-1 - I.5-53 в Таблице I.5 идентифицируются по значению соответствующих позиций №1-53 для Q в Таблице 1.
Таблица I.6: Предпочтительными соединениями формулы (I.6) являются соединения I.6-1 - I.6-53, в которых Q имеет значения из таблицы 1, приведенные в соответствующей строке. Таким образом, соединения I.6-1 - I.6-53 в Таблице I.6 идентифицируются по значению соответствующих позиций №1-53 для Q в Таблице 1.
Таблица I.7: Предпочтительными соединениями формулы (I.7) являются соединения I.7-1 - I.7-53, в которых Q имеет значения из таблицы 1, приведенные в соответствующей строке. Таким образом, соединения I.7-1 - I.7-53 в Таблице I.7 идентифицируются по значению соответствующих позиций №1-53 для Q в Таблице 1.
Таблица I.8: Предпочтительными соединениями формулы (I.8) являются соединения I.8-1 - I.8-53, в которых Q имеет значения из таблицы 1, приведенные в соответствующей строке. Таким образом, соединения I.8-1 - I.8-53 в Таблице I.8 идентифицируются по значению соответствующих позиций №1-53 для Q в Таблице 1.
Таблица I.9: Предпочтительными соединениями формулы (I.9) являются соединения I.9-1 - I.9-53, в которых Q имеет значения из таблицы 1, приведенные в соответствующей строке. Таким образом, соединения I.9-1 - I.9-53 в Таблице I.9 идентифицируются по значению соответствующих позиций №1-53 для Q в Таблице 1.
Таблица I.10: Предпочтительными соединениями формулы (I.10) являются соединения I.10-1 - I.10-53, в которых Q имеет значения из таблицы 1, приведенные в соответствующей строке. Таким образом, соединения I.10-1 - I.10-53 в Таблице I.10 идентифицируются по значению соответствующих позиций №1-53 для Q в Таблице 1.
Таблица I.11: Предпочтительными соединениями формулы (I.11) являются соединения I.11-1 - I.11-53, в которых Q имеет значения из таблицы 1, приведенные в соответствующей строке. Таким образом, соединения I.11-1 - I.11-53 в Таблице I.11 идентифицируются по значению соответствующих позиций №1-53 для Q в Таблице 1.
Таблица 1.12: Предпочтительными соединениями формулы (1.12) являются соединения 1.12-1 - 1.12-53, в которых Q имеет значения из таблицы 1, приведенные в соответствующей строке. Таким образом, соединения 1.12-1 - 1.12-53 в Таблице 1.12 идентифицируются по значению соответствующих позиций №1 - 53 для Q в Таблице 1.
Таблица 1.13: Предпочтительными соединениями формулы (1.13) являются соединения 1.13-1 - 1.13-53, в которых Q имеет значения из таблицы 1, приведенные в соответствующей строке. Таким образом, соединения 1.13-1 - 1.13-53 в Таблице 1.13 идентифицируются по значению соответствующих позиций №1 - 53 для Q в Таблице 1.
Таблица 1.14: Предпочтительными соединениями формулы (1.14) являются соединения 1.14-1 - 1.14-53, в которых Q имеет значения из таблицы 1, приведенные в соответствующей строке. Таким образом, соединения 1.14-1 - 1.14-53 в Таблице 1.14 идентифицируются по значению соответствующих позиций №1 - 53 для Q в Таблице 1.
Таблица 1.15: Предпочтительными соединениями формулы (1.15) являются соединения 1.15-1 - 1.15-53, в которых Q имеет значения из таблицы 1, приведенные в соответствующей строке. Таким образом, соединения 1.15-1 - 1.15-53 в Таблице 1.15 идентифицируются по значению соответствующих позиций №1 - 53 для Q в Таблице 1.
Таблица 1.16: Предпочтительными соединениями формулы (1.16) являются соединения 1.16-1 - 1.16-53, в которых Q имеет значения из таблицы 1, приведенные в соответствующей строке. Таким образом, соединения 1.16-1 - 1.16-53 в Таблице 1.16 идентифицируются по значению соответствующих позиций №1 - 53 для Q в Таблице 1.
Таблица 1.17: Предпочтительными соединениями формулы (1.17) являются соединения 1.17-1 - 1.17-53, в которых Q имеет значения из таблицы 1, приведенные в соответствующей строке. Таким образом, соединения 1.17-1 - 1.17-53 в Таблице 1.17 идентифицируются по значению соответствующих позиций №1 - 53 для Q в Таблице 1.
Таблица 1.18: Предпочтительными соединениями формулы (1.18) являются соединения 1.18-1 - 1.18-53, в которых Q имеет значения из таблицы 1, приведенные в соответствующей строке. Таким образом, соединения 1.18-1 - 1.18-53 в Таблице 1.18 идентифицируются по значению соответствующих позиций №1 - 53 для Q в Таблице 1.
Таблица 1.19: Предпочтительными соединениями формулы (1.19) являются соединения 1.19-1 - 1.19-53, в которых Q имеет значения из таблицы 1, приведенные в соответствующей строке. Таким образом, соединения 1.19-1 - 1.19-53 в Таблице 1.19 идентифицируются по значению соответствующих позиций №1 - 53 для Q в Таблице 1.
Таблица 1.20: Предпочтительными соединениями формулы (1.20) являются соединения 1.20-1 - 1.20-53, в которых Q имеет значения из таблицы 1, приведенные в соответствующей строке. Таким образом, соединения 1.20-1 - 1.20-53 в Таблице 1.20 идентифицируются по значению соответствующих позиций №1 - 53 для Q в Таблице 1.
Таблица 1.21: Предпочтительными соединениями формулы (1.21) являются соединения 1.21-1 - 1.21-53, в которых Q имеет значения из таблицы 1, приведенные в соответствующей строке. Таким образом, соединения 1.21-1 - 1.21-53 в Таблице 1.21 идентифицируются по значению соответствующих позиций №1 - 53 для Q в Таблице 1.
Таблица 1.22: Предпочтительными соединениями формулы (1.22) являются соединения 1.22-1 - 1.22-53, в которых Q имеет значения из таблицы 1, приведенные в соответствующей строке. Таким образом, соединения 1.22-1 - 1.22-53 в Таблице 1.22 идентифицируются по значению соответствующих позиций №1 - 53 для Q в Таблице 1.
Таблица 1.23: Предпочтительными соединениями формулы (1.23) являются соединения 1.23-1 - 1.23-53, в которых Q имеет значения из таблицы 1, приведенные в соответствующей строке. Таким образом, соединения 1.23-1 - 1.23-53 в Таблице 1.23 идентифицируются по значению соответствующих позиций №1 - 53 для Q в Таблице 1.
Таблица 1.24: Предпочтительными соединениями формулы (1.24) являются соединения 1.24-1 - 1.24-53, в которых Q имеет значения из таблицы 1, приведенные в соответствующей строке. Таким образом, соединения 1.24-1 - 1.24-53 в Таблице 1.24 идентифицируются по значению соответствующих позиций №1 - 53 для Q в Таблице 1.
Таблица 1.25: Предпочтительными соединениями формулы (1.25) являются соединения 1.25-1 - 1.25-53, в которых Q имеет значения из таблицы 1, приведенные в соответствующей строке. Таким образом, соединения 1.25-1 - 1.25-53 в Таблице 1.25 идентифицируются по значению соответствующих позиций №1 - 53 для Q в Таблице 1.
Таблица 1.26: Предпочтительными соединениями формулы (1.26) являются соединения 1.26-1 - 1.26-53, в которых Q имеет значения из таблицы 1, приведенные в соответствующей строке. Таким образом, соединения 1.26-1 - 1.26-53 в Таблице 1.26 идентифицируются по значению соответствующих позиций №1 - 53 для Q в Таблице 1.
Таблица 1.27: Предпочтительными соединениями формулы (1.27) являются соединения 1.27-1 - 1.27-53, в которых Q имеет значения из таблицы 1, приведенные в соответствующей строке. Таким образом, соединения 1.27-1 - 1.27-53 в Таблице 1.27 идентифицируются по значению соответствующих позиций №1 - 53 для Q в Таблице 1.
Таблица 1.28: Предпочтительными соединениями формулы (1.28) являются соединения 1.28-1 - 1.28-53, в которых Q имеет значения из таблицы 1, приведенные в соответствующей строке. Таким образом, соединения 1.28-1 - 1.28-53 в Таблице 1.28 идентифицируются по значению соответствующих позиций №1 - 53 для Q в Таблице 1.
Таблица 1.29: Предпочтительными соединениями формулы (1.29) являются соединения 1.29-1 - 1.29-53, в которых Q имеет значения из таблицы 1, приведенные в соответствующей строке. Таким образом, соединения 1.29-1 - 1.29-53 в Таблице 1.29 идентифицируются по значению соответствующих позиций №1 - 53 для Q в Таблице 1.
Таблица 1.30: Предпочтительными соединениями формулы (1.30) являются соединения 1.30-1 - 1.30-53, в которых Q имеет значения из таблицы 1, приведенные в соответствующей строке. Таким образом, соединения 1.30-1 - 1.30-53 в Таблице 1.30 идентифицируются по значению соответствующих позиций №1 - 53 для Q в Таблице 1.
Таблица 1.31: Предпочтительными соединениями формулы (1.31) являются соединения 1.31-1 - 1.31-53, в которых Q имеет значения из таблицы 1, приведенные в соответствующей строке. Таким образом, соединения 1.31-1 - 1.31-53 в Таблице 1.31 идентифицируются по значению соответствующих позиций №1 - 53 для Q в Таблице 1.
Таблица 1.32: Предпочтительными соединениями формулы (1.32) являются соединения 1.32-1 - 1.32-53, в которых Q имеет значения из таблицы 1, приведенные в соответствующей строке. Таким образом, соединения 1.32-1 - 1.32-53 в Таблице 1.32 идентифицируются по значению соответствующих позиций №1 - 53 для Q в Таблице 1.
Таблица 1.33: Предпочтительными соединениями формулы (1.33) являются соединения 1.33-1 - 1.33-53, в которых Q имеет значения из таблицы 1, приведенные в соответствующей строке. Таким образом, соединения 1.33-1 - 1.33-53 в Таблице 1.33 идентифицируются по значению соответствующих позиций №1 - 53 для Q в Таблице 1.
Таблица 1.34: Предпочтительными соединениями формулы (1.34) являются соединения 1.34-1 - 1.34-53, в которых Q имеет значения из таблицы 1, приведенные в соответствующей строке. Таким образом, соединения 1.34-1 - 1.34-53 в Таблице 1.34 идентифицируются по значению соответствующих позиций №1 - 53 для Q в Таблице 1.
Таблица 1.35: Предпочтительными соединениями формулы (1.35) являются соединения 1.35-1 - 1.35-53, в которых Q имеет значения из таблицы 1, приведенные в соответствующей строке. Таким образом, соединения 1.35-1 - 1.35-53 в Таблице 1.35 идентифицируются по значению соответствующих позиций №1 - 53 для Q в Таблице 1.
Таблица 1.36: Предпочтительными соединениями формулы (1.36) являются соединения 1.36-1 - 1.36-53, в которых Q имеет значения из таблицы 1, приведенные в соответствующей строке. Таким образом, соединения 1.36-1 - 1.36-53 в Таблице 1.36 идентифицируются по значению соответствующих позиций №1 - 53 для Q в Таблице 1.
Таблица 1.37: Предпочтительными соединениями формулы (1.37) являются соединения 1.37-1 - 1.37-53, в которых Q имеет значения из таблицы 1, приведенные в соответствующей строке. Таким образом, соединения 1.37-1 - 1.37-53 в Таблице 1.37 идентифицируются по значению соответствующих позиций №1 - 53 для Q в Таблице 1.
Таблица 1.38: Предпочтительными соединениями формулы (1.38) являются соединения 1.38-1 - 1.38-53, в которых Q имеет значения из таблицы 1, приведенные в соответствующей строке. Таким образом, соединения 1.38-1 - 1.38-53 в Таблице 1.38 идентифицируются по значению соответствующих позиций №1 - 53 для Q в Таблице 1.
Таблица 1.39: Предпочтительными соединениями формулы (1.39) являются соединения 1.39-1 - 1.39-53, в которых Q имеет значения из таблицы 1, приведенные в соответствующей строке. Таким образом, соединения 1.39-1 - 1.39-53 в Таблице 1.39 идентифицируются по значению соответствующих позиций №1 - 53 для Q в Таблице 1.
Таблица 1.40: Предпочтительными соединениями формулы (1.40) являются соединения 1.40-1 - 1.40-53, в которых Q имеет значения из таблицы 1, приведенные в соответствующей строке. Таким образом, соединения 1.40-1 - 1.40-53 в Таблице 1.40 идентифицируются по значению соответствующих позиций №1 - 53 для Q в Таблице 1.
Таблица 1.41: Предпочтительными соединениями формулы (1.41) являются соединения 1.41-1 - 1.41-53, в которых Q имеет значения из таблицы 1, приведенные в соответствующей строке. Таким образом, соединения 1.41-1 - 1.41-53 в Таблице 1.41 идентифицируются по значению соответствующих позиций №1 - 53 для Q в Таблице 1.
Таблица 1.42: Предпочтительными соединениями формулы (1.42) являются соединения 1.42-1 - 1.42-53, в которых Q имеет значения из таблицы 1, приведенные в соответствующей строке. Таким образом, соединения 1.42-1 - 1.42-53 в Таблице 1.42 идентифицируются по значению соответствующих позиций №1 - 53 для Q в Таблице 1.
Таблица 1.43: Предпочтительными соединениями формулы (1.4) являются соединения 1.43-1 - 1.43-53, в которых Q имеет значения из таблицы 1, приведенные в соответствующей строке. Таким образом, соединения 1.43-1 - 1.43-53 в Таблице 1.43 идентифицируются по значению соответствующих позиций №1 - 53 для Q в Таблице 1.
Таблица 1.44: Предпочтительными соединениями формулы (1.44) являются соединения 1.44-1 - 1.44-53, в которых Q имеет значения из таблицы 1, приведенные в соответствующей строке. Таким образом, соединения 1.44-1 - 1.44-53 в Таблице 1.44 идентифицируются по значению соответствующих позиций №1 - 53 для Q в Таблице 1.
Таблица 1.45: Предпочтительными соединениями формулы (1.45) являются соединения 1.45-1 - 1.45-53, в которых Q имеет значения из таблицы 1, приведенные в соответствующей строке. Таким образом, соединения 1.45-1 - 1.45-53 в Таблице 1.45 идентифицируются по значению соответствующих позиций №1 - 53 для Q в Таблице 1.
Таблица 1.46: Предпочтительными соединениями формулы (1.46) являются соединения 1.46-1 - 1.46-53, в которых Q имеет значения из таблицы 1, приведенные в соответствующей строке. Таким образом, соединения 1.46-1 - 1.46-53 в Таблице 1.46 идентифицируются по значению соответствующих позиций №1 - 53 для Q в Таблице 1.
Таблица 1.47: Предпочтительными соединениями формулы (1.47) являются соединения 1.47-1 - 1.47-53, в которых Q имеет значения из таблицы 1, приведенные в соответствующей строке. Таким образом, соединения 1.47-1 - 1.47-53 в Таблице 1.47 идентифицируются по значению соответствующих позиций №1 - 53 для Q в Таблице 1.
Таблица 1.48: Предпочтительными соединениями формулы (1.48) являются соединения 1.48-1 - 1.48-53, в которых Q имеет значения из таблицы 1, приведенные в соответствующей строке. Таким образом, соединения 1.48-1 - 1.48-53 в Таблице 1.48 идентифицируются по значению соответствующих позиций №1 - 53 для Q в Таблице 1.
Таблица 1.49: Предпочтительными соединениями формулы (1.49) являются соединения 1.49-1 - 1.49-53, в которых Q имеет значения из таблицы 1, приведенные в соответствующей строке. Таким образом, соединения 1.49-1 - 1.49-53 в Таблице 1.49 идентифицируются по значению соответствующих позиций №1 - 53 для Q в Таблице 1.
Таблица 1.50: Предпочтительными соединениями формулы (1.50) являются соединения 1.50-1 - 1.50-53, в которых Q имеет значения из таблицы 1, приведенные в соответствующей строке. Таким образом, соединения 1.50-1 - 1.50-53 в Таблице 1.50 идентифицируются по значению соответствующих позиций №1 - 53 для Q в Таблице 1.
Таблица 1.51: Предпочтительными соединениями формулы (1.51) являются соединения 1.51-1 - 1.51-53, в которых Q имеет значения из таблицы 1, приведенные в соответствующей строке. Таким образом, соединения 1.51-1 - 1.5153 в Таблице 1.51 идентифицируются по значению соответствующих позиций №1 - 53 для Q в Таблице 1.
Таблица 1.52: Предпочтительными соединениями формулы (1.52) являются соединения 1.52-1 - 1.52-53, в которых Q имеет значения из таблицы 1, приведенные в соответствующей строке. Таким образом, соединения 1.52-1 - 1.52-53 в Таблице 1.52 идентифицируются по значению соответствующих позиций №1 - 53 для Q в Таблице 1.
Таблица 1.53: Предпочтительными соединениями формулы (1.53) являются соединения 1.53-1 - 1.53-53, в которых Q имеет значения из таблицы 1, приведенные в соответствующей строке. Таким образом, соединения 1.53-1 - 1.53-53 в Таблице 1.53 идентифицируются по значению соответствующих позиций №1 - 53 для Q в Таблице 1.
Таблица 1.54: Предпочтительными соединениями формулы (1.54) являются соединения 1.54-1 - 1.54-53, в которых Q имеет значения из таблицы 1, приведенные в соответствующей строке. Таким образом, соединения 1.54-1 - 1.54-53 в Таблице 1.54 идентифицируются по значению соответствующих позиций №1 - 53 для Q в Таблице 1.
Таблица 1.55: Предпочтительными соединениями формулы (1.55) являются соединения 1.55-1 - 1.55-53, в которых Q имеет значения из таблицы 1, приведенные в соответствующей строке. Таким образом, соединения 1.55-1 - 1.55-53 в Таблице 1.55 идентифицируются по значению соответствующих позиций №1 - 53 для Q в Таблице 1.
Таблица 1.56: Предпочтительными соединениями формулы (1.56) являются соединения 1.56-1 - 1.56-53, в которых Q имеет значения из таблицы 1, приведенные в соответствующей строке. Таким образом, соединения 1.56-1 - 1.56-53 в Таблице 1.56 идентифицируются по значению соответствующих позиций №1 - 53 для Q в Таблице 1.
Таблица 1.57: Предпочтительными соединениями формулы (1.57) являются соединения 1.57-1 - 1.57-53, в которых Q имеет значения из таблицы 1, приведенные в соответствующей строке. Таким образом, соединения 1.57-1 - 1.57-53 в Таблице 1.57 идентифицируются по значению соответствующих позиций №1 - 53 для Q в Таблице 1.
Таблица 1.58: Предпочтительными соединениями формулы (1.58) являются соединения 1.58-1 - 1.58-53, в которых Q имеет значения из таблицы 1, приведенные в соответствующей строке. Таким образом, соединения 1.58-1 - 1.58-53 в Таблице 1.58 идентифицируются по значению соответствующих позиций №1 - 53 для Q в Таблице 1.
Таблица 1.59: Предпочтительными соединениями формулы (1.59) являются соединения 1.59-1 - 1.59-53, в которых Q имеет значения из таблицы 1, приведенные в
соответствующей строке. Таким образом, соединения 1.59-1 - 1.59-53 в Таблице 1.59 идентифицируются по значению соответствующих позиций №1 - 53 для Q в Таблице 1.
Таблица 1.60: Предпочтительными соединениями формулы (1.60) являются соединения 1.60-1 - 1.60-53, в которых Q имеет значения из таблицы 1, приведенные в соответствующей строке. Таким образом, соединения 1.60-1 - 1.60-53 в Таблице 1.60 идентифицируются по значению соответствующих позиций №1 - 53 для Q в Таблице 1.
Таблица 1.61: Предпочтительными соединениями формулы (1.61) являются соединения 1.61-1 - 1.61-53, в которых Q имеет значения из таблицы 1, приведенные в соответствующей строке. Таким образом, соединения 1.61-1 - 1.61-53 в Таблице 1.61 идентифицируются по значению соответствующих позиций №1 - 53 для Q в Таблице 1.
Таблица 1.62: Предпочтительными соединениями формулы (1.62) являются соединения 1.62-1 - 1.62-53, в которых Q имеет значения из таблицы 1, приведенные в соответствующей строке. Таким образом, соединения 1.62-1 - 1.62-53 в Таблице 1.62 идентифицируются по значению соответствующих позиций №1 - 53 для Q в Таблице 1.
Таблица 1.63: Предпочтительными соединениями формулы (1.63) являются соединения 1.63-1 - 1.63-53, в которых Q имеет значения из таблицы 1, приведенные в соответствующей строке. Таким образом, соединения 1.63-1 - 1.63-53 в Таблице 1.63 идентифицируются по значению соответствующих позиций №1 - 53 для Q в Таблице 1.
Таблица 1.64: Предпочтительными соединениями формулы (1.64) являются соединения 1.64-1 - 1.64-53, в которых Q имеет значения из таблицы 1, приведенные в соответствующей строке. Таким образом, соединения 1.64-1 - 1.64-53 в Таблице 1.64 идентифицируются по значению соответствующих позиций №1 - 53 для Q в Таблице 1.
Таблица 1.65: Предпочтительными соединениями формулы (1.65) являются соединения 1.65-1 - 1.65-53, в которых Q имеет значения из таблицы 1, приведенные в соответствующей строке. Таким образом, соединения 1.65-1 - 1.65-53 в Таблице 1.65 идентифицируются по значению соответствующих позиций №1 - 53 для Q в Таблице 1.
Таблица 1.66: Предпочтительными соединениями формулы (1.66) являются соединения 1.66-1 - 1.66-53, в которых Q имеет значения из таблицы 1, приведенные в соответствующей строке. Таким образом, соединения 1.66-1 - 1.66-53 в Таблице 1.66 идентифицируются по значению соответствующих позиций №1 - 53 для Q в Таблице 1.
Таблица 1.67: Предпочтительными соединениями формулы (1.67) являются соединения 1.67-1 - 1.67-53, в которых Q имеет значения из таблицы 1, приведенные в соответствующей строке. Таким образом, соединения 1.67-1 - 1.67-53 в Таблице 1.67 идентифицируются по значению соответствующих позиций №1 - 53 для Q в Таблице 1.
Таблица 1.68: Предпочтительными соединениями формулы (1.68) являются соединения 1.68-1 - 1.68-53, в которых Q имеет значения из таблицы 1, приведенные в соответствующей строке. Таким образом, соединения 1.68-1 - 1.68-53 в Таблице 1.68 идентифицируются по значению соответствующих позиций №1 - 53 для Q в Таблице 1.
Таблица 1.69: Предпочтительными соединениями формулы (1.69) являются соединения 1.69-1 - 1.69-53, в которых Q имеет значения из таблицы 1, приведенные в соответствующей строке. Таким образом, соединения 1.69-1 - 1.69-53 в Таблице 1.69 идентифицируются по значению соответствующих позиций №1 - 53 для Q в Таблице 1.
Таблица 1.70: Предпочтительными соединениями формулы (1.70) являются соединения 1.70-1 - 1.70-53, в которых Q имеет значения из таблицы 1, приведенные в соответствующей строке. Таким образом, соединения 1.70-1 - 1.70-53 в Таблице 1.70 идентифицируются по значению соответствующих позиций №1 - 53 для Q в Таблице 1.
Таблица 1.71: Предпочтительными соединениями формулы (1.71) являются соединения 1.71-1 - 1.71-53, в которых Q имеет значения из таблицы 1, приведенные в соответствующей строке. Таким образом, соединения 1.71-1 - 1.71-53 в Таблице 1.71 идентифицируются по значению соответствующих позиций №1 - 53 для Q в Таблице 1.
Таблица 1.72: Предпочтительными соединениями формулы (1.72) являются соединения 1.72-1 - 1.72-53, в которых Q имеет значения из таблицы 1, приведенные в соответствующей строке. Таким образом, соединения 1.72-1 - 1.72-53 в Таблице 1.72 идентифицируются по значению соответствующих позиций №1 - 53 для Q в Таблице 1.
Таблица 1.73: Предпочтительными соединениями формулы (1.73) являются соединения 1.73-1 - 1.73-53, в которых Q имеет значения из таблицы 1, приведенные в соответствующей строке. Таким образом, соединения 1.73-1 - 1.73-53 в Таблице 1.73 идентифицируются по значению соответствующих позиций №1 - 53 для Q в Таблице 1.
Таблица 1.74: Предпочтительными соединениями формулы (1.74) являются соединения 1.74-1 - 1.74-53, в которых Q имеет значения из таблицы 1, приведенные в соответствующей строке. Таким образом, соединения 1.74-1 - 1.74-53 в Таблице 1.74 идентифицируются по значению соответствующих позиций №1 - 53 для Q в Таблице 1.
Таблица 1.75: Предпочтительными соединениями формулы (1.75) являются соединения 1.75-1 - 1.75-53, в которых Q имеет значения из таблицы 1, приведенные в соответствующей строке. Таким образом, соединения 1.75-1 - 1.75-53 в Таблице 1.75 идентифицируются по значению соответствующих позиций №1 - 53 для Q в Таблице 1.
Таблица 1.76: Предпочтительными соединениями формулы (1.76) являются соединения 1.76-1 - 1.76-53, в которых Q имеет значения из таблицы 1, приведенные в соответствующей строке. Таким образом, соединения 1.76-1 - 1.76-53 в Таблице 1.76 идентифицируются по значению соответствующих позиций №1 - 53 для Q в Таблице 1.
Таблица 1.77: Предпочтительными соединениями формулы (1.77) являются соединения 1.77-1 - 1.77-53, в которых Q имеет значения из таблицы 1, приведенные в соответствующей строке. Таким образом, соединения 1.77-1 - 1.77-53 в Таблице 1.77 идентифицируются по значению соответствующих позиций №1 - 53 для Q в Таблице 1.
Спектроскопические данные выбранных примеров таблиц:
Ниже перечислены выбранные подробные примеры синтеза соединений общей формулы (I) согласно настоящему изобретению. Спектроскопические данные 1Н ЯМР, 13С ЯМР и 19F ЯМР приведены для химических примеров, описанных в следующих разделах (400 МГц при 1Н ЯМР и 150 МГц при 13С ЯМР и 375 МГц при 19F-ЯМР, растворитель CDCl3, CD3OD или d6-ДМСО, внутренний стандарт: тетраметилсилан δ=0,00 ppm) получали с использованием прибора Bruker, и указанные сигналы имеют значения, указанные ниже: br = широкий; s = синглет, d = дублет, t = триплет, dd = двойной дублет, ddd = дублет двойного дублета, m = мультиплет, q = квартет, quint = квинтет, sext = секстет, sept = септет, dq = двойной квартет, dt = двойная тройка. В случае смесей диастереомеров даются либо значимые сигналы обоих диастереомеров, либо характерный сигнал основного диастереомера. Сокращения, используемые для химических групп, имеют, например, следующие значения: Me=СН3, Et=СН2СН3, t-Hex=С(СН3)2СН(СН3)2, t-Bu=С(СН3)3, n-Bu = неразветвленный бутил, n-Pr = неразветвленный пропил, i-Pr = разветвленный пропил, с-Pr = циклопропил, с-Нех = циклогексил.
Спектроскопические данные выбранных примеров таблицы, перечисленных ниже, были оценены с использованием классической интерпретации 1Н-ЯМР или с использованием методов перечня пиков ЯМР.
Классическая интерпретация 1Н ЯМР
Пример №I.77-49:
1Н-ЯМР (400 МГц, CDCl3 δ, ppm) 7.59 (m, 1H), 7.37 (t, 1H), 7.22 (m, 1H), 7.14 (dd, 1H), 6.97 (m, 1H), 6.77 (m, 1H), 4.92 (s, 2Н), 4.20 (t, 2Н), 1.67-1.63 (m, 2Н), 1.32-1.26 (m, 4Н), 0.87 (t, 3Н).
Пример №I.71-49:
1Н-ЯМР (400 МГц, CDCl3 δ, ppm) 7.59 (m, 1H), 7.40 (t, 1Н), 7.22 (dd, 1H), 7.14 (dd, 1H), 6.97 (dt, 1H), 6.77 (dt, 1H), 5.24 (q, 1H), 5.01 (s, 2Н), 3.74 (s, 3Н).
Пример №I.70-49:
1Н-ЯМР (400 МГц, CDCl3 δ, ppm) 7.60 (m, 1H), 7.40 (t, 1H), 7.21 (m, 1H), 7.14 (m, 1H), 6.96 (m, 1H), 6.77 (m, 1H), 5.05 (s, 2Н), 4.75 (s, 2Н), 3.77 (s, 3Н).
Пример №I.72-49:
1Н-ЯМР (400 МГц, CDCl3 δ, ppm) 7.57 (m, 1H), 7.37 (t, 1H), 7.21 (m, 1H), 7.14 (dd, 1H), 6.96 (dt, 1H), 6.77 (dt, 1H), 4.93 (s, 2H), 3.99 (d, 2H), 1.95 (m, 1H), 0.90 (d, 6H).
Перечень ЯМР-пиков
1Н-ЯМР данные выбранных примеров приводятся в форме перечня 1Н-ЯМР-пиков. Для каждого сигнального пика приводится значение химического сдвига δ в ppm и интенсивность сигнала в круглых скобках. Между парами значение δ - интенсивность сигнала ставятся точки с запятыми в качестве разделителей.
Перечень пиков примера имеет форму:
δ1 (интенсивность 1); δ2 (интенсивность 2); …; δi (интенсивность i); …; δn (интенсивность n).
Интенсивность резких сигналов коррелирует с высотой сигналов в напечатанном примере ЯМР спектра в см и показывает реальные отношения интенсивностей сигналов. Из широких сигналов могут быть показаны несколько пиков или среднее сигнала и его относительной интенсивности по сравнению с наиболее интенсивным сигналом в спектре.
Для калибровки химического сдвига для 1H-ЯМР-спектра, применяли тетраметилсилан и/или химический сдвиг применяемого растворителя, особенно в случае спектра, измеренного в DMSO. Поэтому в перечнях ЯМР пиков может встречаться пик тетраметилсилана, но необязательно.
Перечни 1Н-ЯМР пиков подобны классическим 1Н-ЯМР отпечаткам и поэтому, как правило, содержит все пики, которые перечисляются при классической ЯМР-интерпретации.
Дополнительно, они могут показывать, подобно классическим 1H-ЯМР отпечаткам, сигналы растворителей, стереоизомеров целевых соединений, что также охватывается настоящим изобретением, и/или пики примесей.
Чтобы показать сигналы соединения в дельта-диапазоне растворителей и/или воды, обычные пики растворителей, например, пики DMSO в DMSO-D6, и пик воды показаны в наших перечнях 1H-ЯМР пиков и имеют, как правило, среднюю высоту интенсивности.
Пики стереоизомеров целевых соединений и/или пики примесей имеют, как правило, в среднем более низкую интенсивность, чем пики целевых соединений (например, с чистотой >90%).
Такие стереоизомеры и/или примеси могут быть типичными для конкретного способа получения. Поэтому их пики могут помочь распознать воспроизведение способа получения согласно настоящему изобретению «побочные продукты-фингерпринты".
Эксперт, кто вычисляет пики целевых соединений известными способами (MestreC, ACD-симуляция, но также с эмпирически оцененными ожидаемыми значениями), может выделить пики целевых соединений, при необходимости необязательно применяя дополнительные фильтры интенсивности. Это выделение будет подобно релевантному пику, выделяемому при классической интерпретации 1Н-ЯМР.
Более подробное описание ЯМР-данных с перечнями пиков можно найти в Research Disclosure Database Number 564025.
Объектом настоящего изобретения также является способ защиты сельскохозяйственных культур или полезных растений от фитотоксического действия агрохимикатов, таких как пестициды, в частности гербициды, которые наносят ущерб урожаю или полезным растениям, характеризующийся тем, что соединения общей формулы (I) и их соли в качестве антидотов, предпочтительно в эффективном количестве соединений общей формулы (I) и их солей, наносят на растения, части растений и их семя (семенной материал).
Соединения общей формулы (I) (= защитное средство), как указано выше, являются подходящими вместе с активными ингредиентами (пестицидами) для селективной борьбы с вредными организмами для использования для ряда сельскохозяйственных культур, например, для экономически важных культурах, таких как зерновые (пшеница, ячмень, тритикале, рожь, рис, кукуруза, просо), сахарная свекла, сахарный тростник, рапс, хлопок, подсолнечник, горох, бобы и соевые бобы. Комбинации гербицид-защитное средство с защитными средствами общей формулы (I) также подходят для борьбы с вредными растениями на грядках и участках полезных и декоративных растений, таких как газоны с полезными или декоративными газонами, особенно райграсом, мятликом или бермудской травой.
Полезные и сельскохозяйственные растения, для которых комбинации гербицид-защитное средство с указанными защитными средствами общей формулы (I) также могут быть использованы, включают полностью или частично устойчивые к пестицидам мутантные культуры или полностью или частично устойчивые трансгенные растения представляющей интерес культуры, например, культуры кукурузы, устойчивые к глюфосинату и глифосату, или культуры сои, устойчивые к повреждающим растения имидазолинонам. Однако особым преимуществом используемых новых защитных средств общей формулы (I) является их эффективное действие на сельскохозяйственные культуры, которые обычно не обладают достаточной устойчивостью к используемым пестицидам.
Для общего применения с пестицидами соединения общей формулы (I) можно применять одновременно или в любой последовательности с активными ингредиентами, и тогда они способны уменьшать или полностью предотвращать повреждающие побочные эффекты этих активных ингредиентов в случае сельскохозяйственных культур, без ухудшения или значительного снижения эффективности этих активных ингредиентов в отношении нежелательных вредных организмов. Здесь также можно значительно уменьшить или полностью предотвратить ущерб, возникающий в результате применения более чем одного пестицида, например, более чем одного гербицида или гербицидов в сочетании с инсектицидами или фунгицидами.
Это может значительно расширить область применения обычных пестицидов.
Если средства согласно изобретению содержат пестициды, то эти средства при соответствующем разбавлении наносят либо непосредственно на зону выращивания, либо на уже проросшие вредные и/или полезные растения, либо на уже появившиеся вредные и/или полезные растения. Если средства согласно настоящему изобретению не содержат никаких пестицидов, эти средства можно использовать с помощью так называемого метода баковой смеси, что означает, что пользователь смешивает и разбавляет отдельно составленные продукты (= полезная композиция для защиты растений и пестицид) непосредственно перед применением на обрабатываемую площадь, или до применения пестицида, или после применения пестицида, или для предварительной обработки семян, т.е., например, для протравливания семян полезных растений. Предпочтение отдается быстрому применению защитного средства вместе с пестицидом, особенно когда защитное средство наносят на растения после гербицида. Благоприятное действие соединений общей формулы (I) наблюдается при их совместном применении с пестицидами довсходовым или послевсходовым способом, например, в случае одновременного применения в виде баковой смеси или в качестве совместного состава со-или в виде отдельного применения параллельно или последовательно (разделенное применение). Также можно повторить применение более одного раза. Иногда также может быть целесообразно комбинировать предварительное применение с последующим. Одним из вариантов обычно является применение в качестве послевсходовой обработки полезного растения или сельскохозяйственной культуры с одновременным или более поздним применением пестицида. Другим вариантом является применение соединений (I) согласно настоящему изобретению для протравливания семян, обработки (окунанием) рассады (например, риса) или обработки другого материала для размножения (например, клубней картофеля).
При применении соединений общей формулы (I) в сочетании с гербицидами, помимо защитного действия, часто наблюдается усиление гербицидного действия на вредные растения. Кроме того, во многих случаях улучшается рост полезных и культурных растений и повышается урожайность сельскохозяйственных культур.
Средства согласно настоящему изобретению могут содержать один или несколько пестицидов. Подходящими в качестве пестицидов, являются, например, гербициды, инсектициды, фунгициды, акарициды и нематоциды, применение которых в каждом случае может привести к фитотоксичному повреждению сельскохозяйственных культур или повреждение может быть вероятным. Соответствующие пестицидные активные ингредиенты из групп гербицидов, инсектицидов, акарицидов, нематицидов и фунгицидов, в частности гербициды, представляют особый интерес.
Массовое соотношение защитного средства (общей формулы (I)) и пестицида может варьироваться в широких пределах и обычно находится в пределах от 1:100 до 100:1, предпочтительно от 1:20 до 20:1, в частности 1: от 10 до 10:1. Оптимальное массовое соотношение защитного средства и пестицида обычно зависит как от защитного средства, используемого в каждом конкретном случае, и как от рассматриваемого пестицида, так и от типа защищаемого полезного растения и сельскохозяйственной культуры. Требуемая норма внесения защитного средства может варьироваться в широких пределах в зависимости от применяемого пестицида и вида защищаемой культуры и обычно находится в пределах от 0,001 до 10 кг, предпочтительно от 0,01 до 1 кг, в частности от 0,01 до 0,2 кг защитного средства гектар. Количество и массовые соотношения, необходимые для успешной обработки, можно определить с помощью простых предварительных тестов.
В случае протравливания семян, например, от 0,005 до 20 г защитного средства (общей формулы (I)) на килограмм семян, предпочтительно от 0,01 до 10 г защитного средства на килограмм семян, в частности от 0,05 до 5 г защитного средства на килограмм семян.
При использовании растворов защитного средства (общей формулы (I)) для обработки семя и семенного материала или всходы смачивают растворами соответствующей концентрации обычно в диапазоне от 1 до 10000 частей на миллион, предпочтительно от 100 до 1000 частей на миллион по массе. Количества и массовые соотношения, необходимые для успешной обработки, можно определить с помощью простых предварительных тестов.
Защитные средства общей формулы (I) могут быть составлены обычным образом отдельно или вместе с пестицидами. Таким образом, также предложены полезные средства для защиты растений или сельскохозяйственных культур.
Предпочтение отдается совместному применению защитного средства и пестицида, в частности защитного средства и гербицида в виде готового к применению состава и в виде баковых смесей.
Также же предпочтительным является применение защитного средства общей формулы (I) при обработке семян с последующим внесением пестицидов, предпочтительно гербицидов, после посева довсходовым способом и послевсходовым способом.
Соединения общей формулы (I) и их соли можно использовать как таковые и в виде их препаратов (составы) с другими пестицидно-активными веществами, как, например, инсектицидами, акарицидами, нематоцидами, гербицидами, фунгицидами, защитными средствами, удобрениями и/или регуляторами роста в комбинации, например, в виде готового к применению состава или в виде баковых смесей. Комбинированные составы могут быть изготовлены на основе вышеуказанных составов с учетом физических свойств и стабильности комбинированных активных ингредиентов.
В качестве партнера для комбинации для соединений согласно настоящему изобретению в составах смесей или в баковой смеси, например, могут использоваться активные ингредиенты, основанные на ингибировании, например, ацетолактатсинтаза, ацетил-КоА-карбоксилаза, целлюлозе интаза, енолпирувилшикимат-3-фосфатсинтаза, глутаминсинтетаза, п-гидроксифенилпируватдиоксигеназа, фитоендесатураза, фотосистема I, фотосистема II на основе протопорфириногеноксидазы, известные, например, из Weed Research 26 (1986) 441-445 или «The Pesticide Manual», 16th edition, The British Crop Protection Council и the Royal Soc. of Chemistry, 2006 и цитируемой там литературе. Известные гербициды и регуляторы роста растений, которые можно комбинировать с соединениями согласно настоящему изобретению, перечислены ниже в качестве примера, причем эти активные ингредиенты указаны либо с использованием их «обычного названия» в англоязычном варианте в соответствии с Международной организацией по стандартизации (ISO), либо с использованием химического названия или кодового номера. Это всегда включает все формы применения, такие как кислоты, соли, сложные эфиры, а также все изомерные формы, такие как стереоизомеры и оптические изомеры, даже если они не упомянуты явно.
Примерами таких гербицидных партнеров по смешиванию являются:
ацетохлор, ацифлуорфен, ацифлуорфен-натрий, аклонифен, алахлор, аллидохлор, аллоксидим, аллоксидим-натрий, аметрин, амикарбазон, амидохлор, амидосульфурон, 4-амино-3-хлор-6-(4-хлор-2-фтор-3-метилфенил)-5-фторпиридин-2-карбоновая кислота, аминоциклопирахлор, аминоциклопирахлор-калий, аминоциклопирахлор-метил, аминопиралид, амитрол, сульфамат аммония, анилофос, асулам, атразин, азафенидин, азимсульфурон, бефлубутамид, беназолин, беназолин-этил, бенфлуралин, бенфурезат, бенсульфурон, бенсульфурон-метил, бенсулид, бентазон, бе изо бицикл он, бензофенап, бициклопирон, бифенокс, биланафос, биланафос-натрий, бисспирибак, биспирибак-натрий, бромацил, бромбутид, бромфеноксим, бромоксинил, бромоксинилбутират, -калия, -гептаноат и -октаноат, бутоксинон, бутахлор, бутафенацил, бутамифос, бутенахлор, бутралин, бутрооксидим, бутилат, кафенстрол, карбетамид, карфентразон, карфентразон этил, хлорамбен, хлорбромурон, хлорфенак, хлорфенак-натрий, хлорфенпроп, хлорф луренол, хлорфлуренол-метил, хлоридазон, хлоримурон, хлоримурон-этил, хлорофталим, хлортолурон, хлортал-диметил, хлорсульфурон, цинидон, цинидон-этил, цинметилин, циносульфурон, клацифос, клетодим, клодинафоп, клодинафоп-пропаргил, кломазон, кломепроп, клопиралид, клорансулам, клорансулам-метил, кумилурон, цианамид, цианазин, циклоат, циклопириморат, циклосульфамурон, циклоксидим, цигалофоп, цигалофоп-бутил, ципразин, 2,4-D, 2,4-D-бутотил, -бутил, -диметиламмоний, -диоламин, -этил, 2-этилгексил, -изобутил, -изооктил, -изопропиламмоний, -калий, триизопропаноламмоний и -троламин, 2,4-DB, 2,4-DB-бутил, -диметиламмоний, изооктил, -калий и -натрий, даймурон (димрон), далапон, дазомет, н-деканол, десмедифам, детозил-пиразолат (DTP), дикамба, дихлобенил, 2-(2,4-дихлорбензил)-4,4-диметил-1,2-оксазолидин-3-он, 2-(2,5-дихлорбензил)-4,4-диметил-1,2-оксазолидин-3-он, дихлорпроп, дихлорпроп-Р, диклофоп, диклофоп-метил, диклофоп-Р-метил, диклосулам, дифензокват, дифлуфеникан, дифлуфензопир, дифлуфензопир-натрий, димефурон, димепиперат, диметахлор, диметаметрин, диметенамид, диметенамид-Р, диметрасульфурон, динитрамин, динотерб, дифенамид, дикват, дикват-дибромид, дитиопир, диурон, DNOC, эндотал, ЕРТС, эспрокарб, эталфлуралин, этаметсульфурон, этаметсульфурон-метил, этиозин, этофумезат, этоксифен, этоксифен-этил, этоксисульфурон, этобензанид, F-бензанид 9600, F-5231, т.е. N-[2-хлор-4-фтор-5-[4-(3-фторпропил1)-4,5-дигидро-5-оксо-1Н-тетразол-1-ил]-фенил]этансульфонамид, F-7967, т.е. 3-[7-хлор-5-фтор-2-(трифторметил)-1Н-бензимидазол-4-ил]-1-метил-6-(трифторметил)пиримидин-2,4(1Н,3Н)-дион, феноксапроп, феноксапроп-Р, феноксапроп-этил, феноксапроп-Р-этил, феноксасульфон, фенхинотрион, фентразамид, флампроп, флампроп-Р-изопропил, флампроп-М-метил, флазасульфурон, флорасулам, флуазифоп, флуазифоп-Р, флуазифоп-бутил, флуазифоп-п-бутил, флукарбазон, флукарбазон-натрий, флуцетосульфурон, флухлоралин, флуфенацет, флуфенпир, флуфенпир-этил, флуметсулам, флумиклорак, флумиклорак-пентил, флумиоксазин, флуометурон, флуренол, флуренол-бутил, диметиламмоний и -метил, фторгликофен, фторгликофен-этил, флупропанат, флупирсульфурон, флупирсульфурон-метил-натрий, флуридон, флюрохлоридон, флуроксипир, флуроксипир-мептил, флуртамон, флутиацет, флутиацет-метил, фомесафен, фомесафен-натрий, форамсульфурон, фозамин, глюфосинат, глюфосинат-аммоний, глюфосинат-Р-натрий, глюфосинат-Р-аммоний, глюфосинат-Р-натрий, глифосат, глифосат-аммоний, -изопропиламмоний, -диаммоний, -диметиламмоний, -калий, -натрий и -тримезий, Н-9201, т.е. 0-(2,4-диметил-1-6-нитрофенил)-О-этилизопропилфосфорамидотиоат, галаксифен, галауксифен-метил, галосафен, галосульфурон, галосульфурон-метил, галоксифоп, галоксифоп-Р, галоксифоп-этоксиэтил, галоксифоп-Р-этоксиэтил, галоксифоп-метил, галоксифоп-Р-метил, гексазинон, HW-02, т.е. 1-(диметоксифосфорил)-этил-(2,4-дихлорфенокси)ацетат, имазаметабенз, имазаметабенз-метил, имазамокс, имазамокс-аммоний, имазапик, имазапик-аммоний, имазапир, имазапир-изопропиламмоний, имазахин, имазахин-аммоний, имазетапир, имазетапир-иммоний, имазосульфурон, инданофан, индазифлам, йодосульфурон, йодосульфурон-метил-натрий, иоксинил, иоксинил-октаноат, -калия и натрия, ипфенкарбазон, изопротурон, изоурон, изоксабен, изоксафлутол, карбутилат Н-9201, т.е. 0-(2,4-диметил-1-6-нитрофенил)-0-этилизопропилфосфорамидотиоат, галаксифен, галоксифен-метил, галосафен, галосульфурон, галосульфурон-метил, галоксифоп, галоксифоп- Р, галоксифоп-этоксиэтил, галоксифоп-Р-этоксиэтил, галоксифоп-метил, галоксифоп-Р-метил, гексазинон, HW-02, т.е. 1-(диметоксифосфорил)-этил-(2,4-дихлорфенокси)ацетат, имазаметабенз, имазаметабенз-метил, имазамокс, имазамокс-аммоний, имазапик, имазапик-аммоний, имазапир, имазапир-изопропиламмоний, имазахин, имазахин-аммоний, имазетапир, имазетапир-иммоний, имазосульфурон, инданофан, индазифлам, йодосульфурон, йодосульфурон-метил-натрий, иоксинил, иоксинил-октаноат, -калия и натрия, ипфенкарбазон, изопротурон, изоурон, изоксабен, изоксафлутол, карбутилат, KUH-043, т.е. 3-({15-(дифторметил)-1-метил-3-(трифторметил)-1Н-пиразол-4-ил)метил}сульфонил)-5,5-диметил-4,5-дигидро-1,2-оксазол, кетоспирадокс, лактофен, ленацил, линурон, МСРА, МСРА-бутотил, -диметиламмоний, -2-этилгексил, -изопропиламмоний, -калий и -натрий, МСРВ, МСРВ-метил, -этил и -натрий, мекопроп, мекопроп-натрий и -бутотил, мекопроп-Р, мекопроп-Р-бутотил, -диметиламмоний, -2-этилгексил и -калий, мефенацет, мефлюидид, мезосульфурон, мезосульфурон-метил, мезотрион, метабензтиазурон, метам, метамифоп, метамитрон, метазахлор, метазосульфурон, метабензтиазурон, метиопирсульфурон, метиозолин, метилизотиоцианат, метобромурон, метолахлор, S-метолахлор, метосулам, метоксурон, метрибузин, метсульфурон, метсульфурон-метил, молинат, монолинурон, моносульфурон, моносульфурон-эфир, МТ-5950, т.е. N-[3-хлор-4-(1-метилэтил)фенил-2-метилпентанамид, NGGC-011, напропамид, NC-310, т.е. 4-(2,4-дихлорбензоил)-1-метил-5-бензилоксипиразол, небурон, никосульфурон, нонановая кислота (пеларгоновая кислота), норфлуразон, олеиновая кислота (жирные кислоты), орбенкарб, ортосульфамурон, оризалин, оксадиаргил, оксадиазон, оксасульфурон, оксацикломефон, оксифлуорфен, паракват, паракват дихлорид, пебулят, пендиметалин, пенокссулам, пентахлорфенол, пентоксазон, петоксамид, нефтяные масла, фенмедифам, пиклорам, пиколинафен, пиноксаден, пиперофос, притимулахлор, примисульфурон, проксиметилсульфурон, прометон, прометрин, пропахлор, пропанил, пропаквизафоп, пропазин, профам, -пропизохлор, пропоксикарбазон, пропоксикарбазон-натрий, пропириссульфурон, пропизамид, просульфокарб, просульфурон, пираклонил, пирафлуфен, пирафлуфен-этил, пирасульфотол, пиразолинат (пиразолат), пиразосульфурон, пиразос сульфурон-этил, пиразоксифен, пирибамбенз, пирибамбенз-изопропил, пирибамбенз-пропил, пирибензоксим, пирибутикарб, пиридафол, пиридат, пирифталид, пириминобак, пириминобак-метил, пиримисульфан, пиритиобак, пиритобак-натрий, пироксасульфон, пирокссулам, хинклорак, хинмерак, хиноютамин, квизалофоп, квизалофоп-этил, квизалофоп-Р, квизалофоп-Р-этил, квизалофоп-Р-тефурил, римсульфурон, сафлуфенацил, сэтоксидим, сидурон, симазин, симетрин, SL-261, сулкотрион, сульфентразон, сульфометурон, сульфометурон-метил, сульфосульфурон, SYP-249, т.е. 1-этокси-3-метил-1-оксобут-3-ен-2-ил-5-[2-хлор-4-(трифторметил)фенокси]-2-нитробензоат, SYP-300, т.е. 1-[7-фтор-3-оксо-4-(проп-2-ин-1-ил)-3,4-дигидро-2Н-1,4-бензоксазин-6-ил]-3-пропил-2-тиохоимидазолидин-4,5-дион, 2,3,6-ТВА, ТСА (трифторуксусная кислота), ТСА-натрий, тебутиурон, тефурилтрион, темботрион, тепралоксидим, тербацил, тербукарб, тербуметон, тербутилазин, тербутрин, тенилхлор, тиен, тиазопир карбазон, тиенкарбазон-метил, тифенсульфурон, тифенсульфурон-метил, тиобенкарб, тиафенацил, толпиралат, топрамезон, тралкоксидим, триафамон, триаллат, триасульфурон, триазифлам, трибенурон, трибенурон-метил, триклопир, триэтазин, трифлоксисульфурон, трифлоксисульфурон-натрий, трифлудимоксазин, трифлусульфурон, метифлутилфурон, метифлутилсульфурон, метифлутилфурон, сульфат мочевины, вернолат, XDE-848, ZJ-0862, т.е. 3,4-дихлор-N-{2-[(4,6-диметоксипиримидин-2-ил)окси]бензил}анилин, а также следующие соединения:
Примеры регуляторов роста растений в качестве возможных партнеров для смешивания:
Ацибензолар, ацибензолар-в-метил, 5-аминолевулин, анцимидол, 6-бензиламинопурин, брассинолид, кате хин, хлормекват хлорид, клопроп, цикланилид, 3-(циклопроп-1-енил)пропион, даминозид, дазомет, н-деканол, дикегулак, дикегулак-натрий, эндотал, эндотал-дикалий, -динатрий и моно(N,N-диметилалкиламмоний), этефон, флуметралин, флуренол, флуренол-бутил, флурпримидол, форхлорфенурон, гибберелловая кислота, инабенфид, индол-3-уксусная кислота (IAA), 4-индол-3-илмасляная кислота, изопротиолан, пробеназол, жасмоновая кислота, метиловый эфир жасмоновой кислоты, гидразид малеиновой кислоты, мепикватхлорид, 1-метилциклопропен, 2-(1-нафтил)ацетамид, 1-нафтилуксусная кислота, 2-нафтилоксиуксусная кислота кислота, смесь нитрофенолятов, 4-оксо-4[(2-фенилэтил)амино]масляная кислота, паклобутразол, N-фенилфталамовая кислота, прогексадион, прогексадион-кальций, прогидрожасмон, салициловая кислота, стриголактон, текназен, тидиазурон, триаконтанол, тринексапак, тринексапак-этил, цитодеф, униконазол, униконазол-Р.
В случае использования в качестве составов с активными ингредиентами или со-составов они обычно содержат, в зависимости от обстоятельств, соответственно обычные связующие вещества, смачивающие вещества, диспергаторы, эмульгаторы, пенетранты, консерванты, антифризы и растворители, наполнители, носители и красители, пеногасители, ингибиторы испарения и модификаторы рН и вязкости.
Соединения общей формулы (I) и их комбинации с одним или несколькими упомянутыми пестицидами могут быть приготовлены различными способами в зависимости от определенных физико-химических и биологических параметров. Подходящие примеры типов составов включают:
- эмульгируемые концентраты, которые получают растворением активных ингредиентов в органическом растворителе, например, бутаноле, циклогексаноне, диметилформамиде, ксилоле или еще относительно высококипящих углеводородах или смесях органических растворителей, с добавлением одного или нескольких ионных и/или или неионных поверхностно-активных веществ (эмульгаторов). Подходящими эмульгаторами являются, например, алкиларилсульфонаты кальция, полигликолевые эфиры жирных кислот, алкиларилполигликолевые эфиры, полигликолевые эфиры жирных спиртов, продукты конденсации оксида пропилена и оксида этилена, алкиловые полиэфиры, сложные эфиры сорбитана и сложные эфиры полиоксиэтиленсорбитана и жирных кислот;
- продукты для опыления, которые получают путем измельчения активных ингредиентов с тонкоизмельченными твердыми неорганическими или органическими веществами, как например, тальк, природные глины, такие как каолин, бентонит и пирофиллит, диатомовая земля или мука;
- суспензионные концентраты на основе воды или масла, которые могут быть получены, например, мокрым помолом с использованием бисерных мельниц;
- водорастворимый порошок;
- водорастворимые концентраты;
- Гранулы, такие как водорастворимые гранулы, вододиспергируемые гранулы и гранулы для внесения в подстилку и почву;
- смачивающиеся порошки, которые помимо активные вещества содержат также разбавители, инертные вещества и поверхностно-активные вещества;
- капсульные суспензии и микрокапсулы;
- составы сверхмалого объема.
Упомянутые выше типы составов известны специалистам в данной области техники и представляют собой, например, как описано в: K. Martens, «Spray Drying Handbook)), 3rd Ed., G. Goodwin Ltd., London. 1979; W.van Valkenburg, «Pesticide Formulations)), Marcel Dekker, N.Y. 1973; Winacker-Kuchler, «Chemische Technologie», Band 7, C. Hanser Verlag Munchen, 4. Auflage 1986; «Perry's Chemical Engineer's Handbook)), 5th Ed., McGraw-Hill, N.Y. 1973, Seiten 8-57.
Необходимые вспомогательные вещества, такие как инертные материалы, поверхностно-активные вещества, растворители и другие добавки также известны и описаны, например, в: McCutcheon's «Detergents and Emulsifiers Annual)), MC Publ. Corp., Ridgewood N.J.; C. Marsden, «Solvents Guide», 2nd Ed., Interscience, N.Y. 1963; H. von Olphen, «Introduction to Clay Colloid Chemistry)), 2nd Ed., J. Wiley & Sons, N.Y.; Schonfeldt, «Grenzflachenaktive Athylenoxidaddukte», Wiss. Verlagsgesellschaft, Stuttgart 1976; Sisley and Wood, «Encуclopedia of Surface Active Agents)), Chem. Publ. Co. Inc., N.Y. 1964; Watkins, «Handbook of Insecticide Dust Diluents and Carriers)), 2nd Ed., Darland Books, Caldwell N. J.; Winnacker-Kuchler, «Chemische Technologie», Band 7, C. Hanser Verlag Munchen, 4. Auflage 1986.
Помимо вышеупомянутых вспомогательных веществ, полезные составы средства защиты растений могут, в зависимости от обстоятельств, содержать обычные смачивающие вещества, связующие вещества, диспергаторы, пенетранты, эмульгаторы, консерванты, антифризы, наполнители, носители и красители, пеногасители, ингибиторы испарения и модификаторы рН или вязкости.
В зависимости от типа состава средства защиты растений обычно содержат от 0,1 до 99 мас. %, в частности от 0,2 до 95 мас. %, одного или нескольких защитных средств общей формулы (I) или комбинации защитного средства и пестицида. Они также содержат от 1 до 99,9 мас. %, в частности от 4 до 99,5 мас. %, одной или нескольких твердых или жидких добавок и от 0 до 25 мас. %, в частности от 0,1 до 25 мас. %, поверхностно-активного вещества. В эмульгируемых концентратах концентрация активного ингредиента, т.е. концентрация защитного средства и/или пестицида, обычно составляет от 1 до 90 мас. %, в частности от 5 до 80 мас. %.
Дусты обычно содержат от 1 до 30 мас. %, предпочтительно от 5 до 20 мас. % активного ингредиента. В смачивающихся порошках концентрация активного вещества обычно составляет от 10 до 90 мас. %. В диспергируемых в воде гранулах содержание активного вещества составляет, например, от 1 до 95 мас. %, предпочтительно от 10 до 80 мас. %.
Для применения составы, которые доступны в коммерческой форме, необязательно разбавляют обычным способом, например, в случае смачивающихся порошков, эмульгируемых концентратов, дисперсий и вододиспергируемых гранулы, водой. Пылевидные препараты, гранулы, а также распыляемые растворы обычно далее не смешивают с другими инертными веществами перед применением. Требуемая норма внесения защитного средства общей формулы (I) зависит от внешних условий, таких как температура, влажность, тип используемого гербицида
В следующих примерах, которые иллюстрируют настоящее изобретение, но не ограничивают его, количества приведены по массе, если не указано иное.
Пример
1. Примеры составов
1.1 Пылевидный продукт
Пылевидный продукт получают смешиванием 10 мас. частей соединения, представленного общей формулой (I) (защитное средство) или смеси активного ингредиента пестицида (например, гербицида) и защитного средства общей формулы (I) и 90 мас. частей талька в качестве инертного вещества, измельчением в молотковой мельнице.
1.2 Диспергируемый в воде порошок
Легко диспергируемый в воде смачивающийся порошок получают путем смешивания 25 мас. частей соединения общей формулы (I) или смеси активного ингредиента пестицида (например, гербицида) и защитного средства общей формулы (I), 64 мас. частей каолинсодержащего кварца в качестве инертного вещества, 10 мас. частей лигносульфоната калия и 1 мас. части олеоилметилтаурата натрия в качестве смачивающего агента и диспергатора, и измельчения смеси в тарельчатой мельнице.
1.3 Диспергируемый в воде концентрат
Концентрат вододиспергируемой дисперсии получают путем смешивания 20 мас. частей соединения общей формулы (I) или смеси активных ингредиентов пестицида (например, гербицида) и защитного средства формулы (I) с 6 мас. частями алкилфенолполигликолевого эфира (®Triton X 207), 3 мас. частями изотридеканолполигликолевого эфира и 71 мас. частями парафинового минерального масла, и измельчения в шаровой мельнице с трением до крупности менее 5 мкм.
1.4 Эмульгируемый концентрат
Эмульгируемый концентрат получают из 15 мас. частей соединения общей формулы (I) или смеси активных ингредиентов, состоящей из пестицида (например, гербицида) и защитного средства общей формулы (I), 75 мас. частей циклогексанона в качестве растворителя и 10 мас. частей этоксилированного нонилфенола в качестве эмульгатора.
1.5 Диспергируемые в воде гранулы
Диспергируемые в воде гранулы получают путем смешивания:
75 мас. частей защитного средства общей формулы (I) или смеси пестицида и защитного средства общей формулы (I),
10 мас. частей лигносульфоната кальция,
5 мас. частей л аур ил сульфата натрия,
3 мас. частей поливинилового спирта и
7 мас. частей поливинилового спирта
7 мас. частей каолина
измельчения смеси в мельнице с поршневыми дисками и гранулирования порошка в псевдоожиженном слое путем распыления воды в качестве гранулирующей жидкости.
Диспергируемые в воде гранулы получают также из 25 мас. частей защитного средства общей формулы (I) или смеси пестицид и защитного средства общей формулы
(I),
5 мас. частей 2,2'-динафтилметан-6,6'-дисульфокислота натрия,
2 мас. частей олеоилметилтаурата натрия,
17 мас. частей карбоната кальция,
50 мас. частей воды и
1 мас. части поливинилового спирта,
гомогенизируют на коллоидной мельнице, измельчают, затем перемалывают в бисерной мельнице и полученную суспензию распыляют в распылительной башне с помощью однокомпонентной форсунки и сушат.
2. Биологические примеры
2.1 Абсолютный эффект выбранных соединений согласно настоящему изобретению на примере снижения повреждения мезосульфурон-метилом яровой пшеницы (TRZAS)
Семена обрабатываемых культур раскладывают на супеси в древесноволокнистых или пластиковых горшках (диаметром ~4 см), засыпают грунтом и выращивают в теплице при хороших условиях для прорастания и роста. Опытные растения обрабатывали на ранней стадии листьев (ВВСН10 - ВВСН12). При этом заявляемые соединения общей формулы (I), приготовленные в виде смачивающихся порошков (WP), распыляли на надземные части растений в виде водной суспензии с нормой внесения воды, соответствующей 800 л/Га с добавлением смачивающего агента (например, 0,2% агротина) в указанной дозе.
Затем последовало применение гербицидов. Для этого мезосульфурон-метил, приготовленный в виде вододиспергируемых гранул (WG) применяли для опрыскивания надземных частей растений в виде водной дисперсии с нормой внесения воды, соответствующей 800 л/Га с добавлением смачивающего вещества (например, 0,2% агротина) в дозе 20 г/Га. Дозу гербицида выбирали таким образом, чтобы на момент оценки он вызывал умеренное, визуально четко различимое повреждение (мин. 30%, макс.75%) в контрольной группе культур без обработки защитным средством по сравнению с необработанными культурами.
После нанесения растения культивировали в теплице при хороших условиях роста. Визуальную оценку повреждения проводили через 14-21 день после нанесения.
Вредоносность оценивали визуально по шкале от 0 до 100% по сравнению с необработанными контрольными растениями и усредняли по 2-3 повторам на обработку. Примеры:
0% = отсутствие заметного эффекта по сравнению с необработанным растением
20% = обработанная популяция растений повреждена на 20% по сравнению с необработанной контрольной популяцией (например, высота роста, повреждение листьев и т.д.)
100% = обработанные растения полностью повреждены или погибли.
Опыты показывают, что повреждение урожая яровой пшеницы (TRZAS; сорт Трисо), вызванное гербицидом Мезосульфурон-метил (= гербицидное повреждение без соединения формулы (I) в дальнейшем в Таблице) при обработке веществами согласно настоящему изобретения (= повреждение гербицидом с соединением Формулы (I) в следующей Таблице) значительно снижается:
2.2 Абсолютный эффект выбранных соединений согласно настоящему изобретению на примере снижения повреждения мезосульфурон-метилом ярового ячменя (HORVS)
Семена обрабатываемых культур раскладывали в супесчаной почве в древесноволокнистых и пластиковых горшках (диаметр ~4 см), засыпали почвой и выращивали в теплице при хороших условиях для прорастания и роста. Тестовые растения обрабатывали на стадии раннего листа (ВВСН10 - ВВСН12). При этом заявляемые соединения общей формулы (I), приготовленные в виде смачивающихся порошков (WP), распыляли на надземные части растений в виде водной суспензии с нормой внесения воды, соответствующей 800 л/Га с добавлением смачивающего агента (например, 0,2% агротина) в указанной дозе.
Затем последовало применение гербицидов. Для этого мезосульфурон-метил, приготовленный в виде вододиспергируемых гранул (WG) применяли для опрыскивания надземных частей растений в виде водной дисперсии с нормой внесения воды, соответствующей 800 л/Га с добавлением смачивающего вещества (например, 0,2% агротина) в дозе 20 г/Га. Дозу гербицида выбирали таким образом, чтобы на момент оценки он вызывал умеренное, визуально четко различимое повреждение (мин. 30%, макс.75%) в контрольной группе культур без обработки защитным средством по сравнению с необработанными культурами.
После применения растения культивировали в теплице при хороших условиях роста. Визуальную оценку повреждения проводили через 14-21 день после нанесения.
Вредоносность оценивали визуально по шкале от 0 до 100% по сравнению с необработанными контрольными растениями и усредняли по 2-3 повторам на обработку. Примеры:
0% = отсутствие заметного эффекта по сравнению с необработанным растением
20% = обработанная популяция растений повреждена на 20% по сравнению с
необработанной контрольной популяцией (например, высота роста, повреждение листьев и т.д.)
100% = обработанные растения полностью повреждены или погибли.
Эксперименты показывают, что повреждение урожая ярового ячменя (ХОРВС; сорт Монтойя), вызванное гербицидом Мезосульфурон-метил (= гербицидное повреждение без соединения формулы (I) в следующей Таблице) при обработке соединениями согласно настоящему изобретению (= повреждение гербицидом с соединением формулы (I) в следующей Таблице) значительно снижается:
2.3 Относительный эффект выбранных соединений согласно настоящему изобретению на примере снижения повреждения мезосульфурон-метилом яровой пшеницы (TRZAS)
Семена обрабатываемых культур раскладывали в супесчаной почве в пластиковых горшках (диаметр ~4 см), засыпали почвой и выращивали в теплице при хороших условиях для прорастания и роста. Тестовые растения обрабатывали на стадии раннего листа (ВВСН10 ВВСН12). Соединения общей формулы (I) согласно изобретению, приготовленные в виде смачивающихся порошков (WP), применяли в виде водной суспензии с нормой внесения, соответствующей 800 л/га, с добавлением смачивающих агентов (например, 0,2% Генапол-LRO или 0,2% Mero), опрыскивая в указанной дозе надземные части растения.
Затем применяли гербицид. Для этого Мезосульфурон-Метил в виде вододиспергируемых гранул (WG) в виде водной дисперсии с нормой внесения воды, соответствующей 800 л/Га, с добавлением смачивающего агента (например, 0,2% Генапол- LRO или 1 л/Га биопорошка) в дозе 40-60 г/га опрыскивают на надземные части растения. Дозу гербицида выбирали таким образом, чтобы на момент оценки он вызывал умеренное, визуально четко различимое повреждение (минимум 30%, максимум 75%) в контрольной группе культур без обработки защитным средством по сравнению с необработанными культурами.
После применения растения культивировали в теплице при хороших условиях роста. Через 9-13 дней после нанесения визуально оценивали эффективность испытуемых соединений. Для этого внешний вид растений, обработанных испытуемым соединением и гербицидом, сравнивали с соответствующими контрольными гербицидами (без защитного средства; с четко различимыми повреждениями) и с необработанными контролями (без повреждений). Действие испытуемых соединений в отношении повреждения оценивали в «Кодах эффективности» в соответствии со следующей схемой:
0: нет снижения повреждения (внешний вид в соответствии с гербицидным контролем)
1: слабое снижение повреждения
2: Значительное снижение повреждения
3: сильное снижение повреждения
4: полное снижение повреждения (внешний вид соответствует необработанному контролю)
Испытания показывают явную эффективность соединений согласно настоящему изобретению в отношении снижения повреждения посевов яровой пшеницы (TRZAS; сорт Трисо), вызванного гербицидом мезосульфурон-метил:
2.4 Относительный эффект выбранных соединений согласно настоящему изобретению на примере снижения повреждения мезосульфурон-метилом ярового ячменя (HORVS)
Семена обрабатываемых культур раскладывали в супесчаной почве в пластиковых горшках (диаметр ~4 см), засыпали почвой и выращивали в теплице при хороших условиях для прорастания и роста. Тестовые растения обрабатывали на стадии раннего листа (ВВСН10 - ВВСН12). Соединения общей формулы (I) согласно изобретению, приготовленные в виде смачивающихся порошков (WP), применяли в виде водной суспензии с нормой внесения, соответствующей 800 л/га, с добавлением смачивающих агентов (например, 0,2% Генапол- LRO или 0,2% Mero), опрыскивая в указанной дозе надземные части растения.
Затем применяли гербицид. Для этого Мезосульфурон-Метил в виде вододиспергируемых гранул (WG) в виде водной дисперсии с нормой внесения воды, соответствующей 800 л/га, с добавлением смачивающего агента (например, 0,2% Генапол-LRO или 1 л /га биопорошок) в дозе 40-60 г/га опрыскивали на надземные части растения. Дозу гербицида выбирали таким образом, чтобы на момент оценки он вызывал умеренное, визуально четко различимое повреждение (минимум 30%, максимум 75%) в контрольной группе культур без обработки антидотом по сравнению с необработанными культурами.
После применения растения культивировали в теплице при хороших условиях роста. Через 9-13 дней после нанесения визуально оценивали эффективность испытуемых соединений. Для этого внешний вид растений, обработанных испытуемым соединением и гербицидом, сравнивали с соответствующими контрольными гербицидами (без защитного средства; с четко различимыми повреждениями) и с необработанными контролями (без повреждений). Действие испытуемых соединений в отношении повреждения регистрировали отдельно для 2 повторов в «Кодах эффективности» по следующей схеме:
1: слабое снижение повреждения
2: значительное снижение повреждения
3: сильное снижение повреждения
4: полное снижение повреждения (внешний вид соответствует необработанному контролю).
D Эксперименты показывают четкую эффективность веществ согласно настоящему изобретению в отношении снижения повреждения, причиняемого гербицидом мезосульфурон-метил посевам ярового ячменя (HORVS; сорт Монтойя):
| название | год | авторы | номер документа |
|---|---|---|---|
| БИЦИКЛИЧЕСКИЕ ЛАКТАМЫ И СПОСОБЫ ИХ ПРИМЕНЕНИЯ | 2016 |
|
RU2827714C1 |
| ГЕТЕРОЦИКЛИЛПИРИДИНИЛПИРАЗОЛЫ В КАЧЕСТВЕ ФУНГИЦИДНОГО СРЕДСТВА | 2012 |
|
RU2616293C2 |
| ФАРМАЦЕВТИЧЕСКОЕ СРЕДСТВО, СОДЕРЖАЩЕЕ ИНГИБИТОР НАТРИЙЗАВИСИМОГО ПЕРЕНОСЧИКА ФОСФАТА | 2015 |
|
RU2811864C1 |
| БЕНЗОКСАЗЕПИНОВЫЕ ИНГИБИТОРЫ PI3 И СПОСОБЫ ПРИМЕНЕНИЯ | 2010 |
|
RU2654068C1 |
| ФАРМАЦЕВТИЧЕСКОЕ СРЕДСТВО, СОДЕРЖАЩЕЕ ИНГИБИТОР НАТРИЙЗАВИСИМОГО ПЕРЕНОСЧИКА ФОСФАТА | 2015 |
|
RU2740008C2 |
| БЕНЗОКСАЗЕПИНОВЫЕ ИНГИБИТОРЫ PI3K И СПОСОБЫ ПРИМЕНЕНИЯ | 2010 |
|
RU2600927C2 |
| КЛАСС КОНДЕНСИРОВАННЫХ КОЛЬЦЕВЫХ СОЕДИНЕНИЙ И ИХ ПОЛУЧЕНИЕ И ПРИМЕНЕНИЕ | 2021 |
|
RU2831125C1 |
| КАРБОКСАМИДНЫЕ СОЕДИНЕНИЯ И ИХ ПРИМЕНЕНИЕ В КАЧЕСТВЕ ИНГИБИТОРОВ КАЛЬПАИНА | 2010 |
|
RU2567392C2 |
| СОДЕРЖАЩАЯ ПРОИЗВОДНОЕ С ТРЕМЯ КОНДЕНСИРОВАННЫМИ КОЛЬЦАМИ СОЛЬ ИЛИ КРИСТАЛЛИЧЕСКАЯ ФОРМА И ФАРМАЦЕВТИЧЕСКАЯ КОМПОЗИЦИЯ НА ИХ ОСНОВЕ | 2020 |
|
RU2835105C1 |
| НОВЫЕ ГЕТЕРОАРИЛТРИАЗОЛЬНЫЕ СОЕДИНЕНИЯ В КАЧЕСТВЕ ПЕСТИЦИДОВ | 2020 |
|
RU2824488C2 |
Группа изобретений относится к области сельскохозяйственной химии и включает соединение формулы (I), а также средство для защиты полезных или сельскохозяйственных растений и способы снижения фитотоксического действия гербицидов на полезные или сельскохозяйственные растения на основе соединения формулы (I). В формуле (I) R1 и R2 независимо друг от друга представляют собой водород, фтор, хлор, бром, иод, циано, метил, CF3, CH2F, CHF2, ОСН3, OCF3, SCH3 или SCF3, R3 представляет собой водород, R4 представляет собой водород, метил, этил, н-пропил, изопропил, н-бутил, н-пентил, фенил, бензил, CH2(4-Cl-Ph), CH2(4-F-Ph), CH2(4-OMe-Ph), 2-метоксиэтил, тетрагидрофуран-2-ил-метил, тетрагидрофуран-3-ил-метил, тетрагидропиран-2-ил-метил, тетрагидропиран-3-ил-метил, тетрагидропиран-4-ил-метил, метилпропионат-3-ил, этилпропионат-3-ил, метилацетат-2-ил, этилацетат-2-ил, метилпивалат-2-ил, этилпивалат-3-ил, метил-2-метилпропаноат-3-ил, метил-2,2-диметилпропаноат-3-ил, этил-2-метилпропаноат-3-ил, метил-2-пропаноат-2-ил, этил-2-пропаноат-2-ил, метил-ацетат-2-ил, этил-ацетат-2-ил, метил-1-метилциклопропанкарбоксилат-2-ил, этил-1-метилциклопропанкарбоксилат-2-ил, 2-(диметиламино)этил, оксетан-3-ил, (3-метилоксетан-3-ил)метил, 2,2,2-трифторэтил, 2,2-дифторэтил, 2-фторэтил, 2,2,3,3,3-пентафторпропил, циклопропилметил, 1-циклопропил-этил, (1-метил-циклопропил)-метил, (2,2-дихлорциклопропил)-метил, (2,2-диметил-циклопропил)-метил, аллил, пропаргил (проп-2-ин-1-ил), 2-хлорпроп-2-ен-1-ил, 3-фенилпроп-2-ин-1-ил, 3,3-дихлорпроп-2-ен-1-ил, 3,3-дихлор-2-фтор-проп-2-ен-1-ил, метилпроп-2-ин-1-ил, 2-метилпроп-2-ен-1-ил, бут-2-ен-1-ил, бут-3-ен-1-ил, бут-2-ин-1-ил, бут-3-ин-1-ил, 4-хлор-бут-2-ин-1-ил, 3-метил-бут-2-ен-1-ил, 3-метил-бут-1-ен-1-ил, 1-(2Е)-1-метилбут-2-ен-1-ил, (Е)-пент-3-ен-2-ил или (Z)-пент-3-ен-2-ил, циклобутилметил, циклопентилметил, циклогексилметил, гептан-2-ил, изо-бутил, 1,3-диоксолан-2-илметил или 1-этил-5-метил-1Н-пиразол-4-метил, n и m независимо друг от друга представляют собой число от 0, 1, 2 или 3, за исключением этил[(1,5-дифенил-1Н-1,2,4-триазол-3-ил)окси]ацетата. Технический результат - соединение формулы (I), применяемой для снижения фитотоксического действия гербицидов на полезные или сельскохозяйственные растения. 4 н. и 2 з.п. ф-лы, 77 табл., 6 пр.
1. Соединение общей формулы (I)
где
R1 и R2 независимо друг от друга представляют собой водород, фтор, хлор, бром, иод, циано, метил, CF3, CH2F, CHF2, ОСН3, OCF3, SCH3 или SCF3,
R3 представляет собой водород,
R4 представляет собой водород, метил, этил, н-пропил, изопропил, н-бутил, н-пентил, фенил, бензил, CH2(4-Cl-Ph), CH2(4-F-Ph), CH2(4-OMe-Ph), 2-метоксиэтил, тетрагидрофуран-2-ил-метил, тетрагидрофуран-3-ил-метил, тетрагидропиран-2-ил-метил, тетрагидропиран-3-ил-метил, тетрагидропиран-4-ил-метил, метилпропионат-3-ил, этилпропионат-3-ил, метилацетат-2-ил, этилацетат-2-ил, метилпивалат-2-ил, этилпивалат-3-ил, метил-2-метилпропаноат-3-ил, метил-2,2-диметилпропаноат-3-ил, этил-2-метилпропаноат-3-ил, метил-2-пропаноат-2-ил, этил-2-пропаноат-2-ил, метил-ацетат-2-ил, этил-ацетат-2-ил, метил-1-метилциклопропанкарбоксилат-2-ил, этил-1-метилциклопропанкарбоксилат-2-ил, 2-(диметиламино)этил, оксетан-3-ил, (3-метилоксетан-3-ил)метил, 2,2,2-трифторэтил, 2,2-дифторэтил, 2-фторэтил, 2,2,3,3,3-пентафторпропил, циклопропилметил, 1-циклопропил-этил, (1-метил-циклопропил)-метил, (2,2-дихлорциклопропил)-метил, (2,2-диметил-циклопропил)-метил, аллил, пропаргил (проп-2-ин-1-ил), 2-хлорпроп-2-ен-1-ил, 3-фенилпроп-2-ин-1-ил, 3,3-дихлорпроп-2-ен-1-ил, 3,3-дихлор-2-фтор-проп-2-ен-1-ил, метилпроп-2-ин-1-ил, 2-метилпроп-2-ен-1-ил, бут-2-ен-1-ил, бут-3-ен-1-ил, бут-2-ин-1-ил, бут-3-ин-1-ил, 4-хлор-бут-2-ин-1-ил, 3-метил-бут-2-ен-1-ил, 3-метил-бут-1-ен-1-ил, 1-(2Е)-1-метилбут-2-ен-1-ил, (Е)-пент-3-ен-2-ил или (Z)-пент-3-ен-2-ил, циклобутилметил, циклопентилметил, циклогексилметил, гептан-2-ил, изо-бутил, 1,3-диоксолан-2-илметил или 1-этил-5-метил-1Н-пиразол-4-метил,
n и m независимо друг от друга представляют собой число от 0, 1, 2 или 3,
за исключением этил[(1,5-дифенил-1Н-1,2,4-триазол-3-ил)окси]ацетата.
2. Соединение общей формулы (I) по п. 1,
где
(R1)n-фенил представляет собой группу Q-1.1 - Q-1.53
(R2)m-фенил представляет собой группу Q-2.1 - Q-2.53
R3 представляет собой водород,
и
R4 представляет собой водород, метил, этил, н-пропил, изопропил, н-бутил, н-пентил, фенил, бензил, CH2(4-Cl-Ph), CH2(4-F-Ph), CH2(4-OMe-Ph), 2-метоксиэтил, тетрагидрофуран-2-ил-метил, тетрагидрофуран-3-ил-метил, тетрагидропиран-2-ил-метил, тетрагидропиран-3-ил-метил, тетрагидропиран-4-ил-метил, метилпропионат-3-ил, этилпропионат-3-ил, метилацетат-2-ил, этилацетат-2-ил, метилпивалат-2-ил, этилпивалат-3-ил, метил-2-метилпропаноат-3-ил, метил-2,2-диметилпропаноат-3-ил, этил-2-метилпропаноат-3-ил, метил-2-пропаноат-2-ил, этил-2-пропаноат-2-ил, метил-ацетат-2-ил, этил-ацетат-2-ил, метил-1-метилциклопропанкарбоксилат-2-ил, этил-1-метилциклопропанкарбоксилат-2-ил, 2-(диметиламино)этил, оксетан-3-ил, (3-метилоксетан-3-ил)метил, 2,2,2-трифторэтил, 2,2-дифторэтил, 2-фторэтил, 2,2,3,3,3-пентафторпропил, циклопропилметил, 1-циклопропил-этил, (1-метил-циклопропил)-метил, (2,2-дихлорциклопропил)-метил, (2,2-диметил-циклопропил)-метил, аллил, пропаргил (проп-2-ин-1-ил), 2-хлорпроп-2-ен-1-ил, 3-фенилпроп-2-ин-1-ил, 3,3-дихлорпроп-2-ен- 1-ил, 3,3-дихлор-2-фтор-проп-2-ен-1 -ил, метилпроп-2-ин-1-ил, 2-метилпроп-2-ен-1-ил, бут-2-ен-1-ил, бут-3-ен-1-ил, бут-2-ин-1-ил, бут-3-ин-1-ил, 4-хлор-бут-2-ин-1-ил, 3-метил-бут-2-ен-1-ил, 3-метил-бут-1-ен-1-ил, 1-(2Е)-1-метилбут-2-ен-1-ил, (Е)-пент-3-ен-2-ил или (Z)-пент-3-ен-2-ил, циклобутилметил, циклопентилметил, циклогексилметил, гептан-2-ил, изо-бутил, 1,3-диоксолан-2-илметил или 1-этил-5-метил-1Нпиразол-4-метил,
за исключением этил[(1,5-дифенил-1Н-1,2,4-триазол-3-ил)окси]ацетата.
3. Средство для защиты полезных или сельскохозяйственных растений для снижения фитотоксического действия гербицидов на полезные или сельскохозяйственные растения, отличающееся тем, что оно содержит по меньшей мере одно соединение общей формулы (I) по п. 1 или 2 в эффективном количестве и, при необходимости, вспомогательные вещества состава.
4. Средство по п. 3, содержащее по меньшей мере один гербицид.
5. Способ снижения фитотоксического действия гербицидов на полезные или сельскохозяйственные растения посредством применения одного или нескольких соединений по п. 1 или 2 или средства по п. 3 или 4.
6. Способ снижения фитотоксического действия гербицидов на полезные или сельскохозяйственные растения, отличающийся тем, что одно или несколько соединений общей формулы (I) по п. 1 или 2 наносят на растения, части растений, их семя или семенной материал.
| Способ защиты металлов от атмосферной коррозии | 1968 |
|
SU310555A1 |
| Y | |||
| LIU et al | |||
| Synthesis, crystal structure, and fungicidal activity of novel 1,5-diaryl-1H-pyrazol-3-oxy derivatives containing oxyacetic acid or oxy(2-thioxothiazolidin-3-yl)ethanone moieties | |||
| Journal of heterocyclic chemistry, 2012, vol.49, p.1370-1375 | |||
| Y | |||
| LIU et al | |||
| Synthesis, crystal structure, and fungicidal | |||
Авторы
Даты
2024-11-07—Публикация
2020-11-24—Подача