ОБЛАСТЬ ТЕХНИКИ
Настоящее изобретение относится к области синтеза лекарственных средств и, в частности, относится к соли производной соли с тремя конденсированными кольцами и ее кристаллической форме, способу их получения и их применению.
ПРЕДШЕСТВУЮЩИЙ УРОВЕНЬ ТЕХНИКИ
Семейство белков фосфатидилинозитол-3-киназы (PI3K) подразделяется на четыре основных класса: I, II, III и IV и участвует в регуляции различных клеточных функций, таких как клеточный рост, пролиферация, дифференциация, выживаемость, метаболизм глюкозы и тому подобное. Четыре класса белков PI3K имеют различные структуры и функции, среди которых наиболее широко изученным является класс I PI3K, который дополнительно подразделяется на четыре подтипа: PI3Kα, PI3Kβ, PI3Kδ и PI3Kγ. Среди них PI3Kα является активирующим мутантным и амплифицированным в различных опухолях и тесно связан с возникновением и развитием опухолей. Сообщалось, что PI3Kβ может активировать тромбоциты и играет важную роль в возникновении и развитии тромбоза и других заболеваний. PI3Kδ и PI3Kγ в основном экспрессируются в кровяной системе и тесно связаны с иммунной системой и возникновением воспаления. Кроме того, PI3Kγ тесно связан со стабильностью артериального давления и сокращением гладких мышц.
PI3Kα является активирующим мутантным и амплифицированным в различных опухолях и является драйвером туморогенеза. PI3Kα представляет собой гетеродимер, состоящий из каталитической субъединицы р110 и регуляторной субъединицы р85. PI3Kα активируется рецепторными тирозинкиназами (RTK) и рецепторами, сопряженными с G-белком (GPCR). После активации он катализирует выработку фосфатидилинозитол-3-фосфата (PIP3) из фосфатидилинозитол-2-фосфата (PIP2), и указанный PIP3 может дополнительно активировать протеинкиназу В (PKB, также известную как АКТ) и ее нисходящие сигнальные пути. Различные факторы роста клеток, такие как эпидермальный фактор роста (EGF), фактор роста фибробластов (FGF), фактор роста эндотелия сосудов (VEGF), фактор роста гепатоцитов (HGF) и инсулин, могут активировать PI3Kα, тем самым активируя нисходящие сигнальные пути пролиферации в клетках. Аномальная активация PI3Kα может привести к быстрой пролиферации клеток, тем самым вызывая туморогенез.
PI3Kα является важной мишенью для исследований и разработки противоопухолевых лекарственных средств, но большинство соединений являются PI3K-ингибиторами широкого спектра действия, что приводит к серьезным побочным эффектам в клинических исследованиях, что серьезно ограничивает разработку PI3K-ингибиторов. Текущие исследования показали, что большинство побочных эффектов PI3K-ингибиторов широкого спектра действия вызваны ингибированием подтипов PI3Kβ, PI3Kδ и PI3Kγ. Среди них PI3Kβ играет важную роль в механизме побочных эффектов тромбоцитопении и тромбоза. Ингибирование PI3Kδ может привести к нарушениям иммунной системы. Аутоиммунные и инфекционные токсические эффекты, такие как пневмония, гепатит и диарея/энтерит, тесно связаны с ингибированием PI3Kδ-мишеней. PI3Kγ тесно связан со стабильностью артериального давления и сокращением гладких мышц и является основной мишенью, которая вызывает побочный эффект гипертензию. Следовательно, разработка высокоактивных и селективных PDKα-ингибиторов может дополнительно улучшить противоопухолевое действие PI3Kα-ингибиторов и уменьшить или устранить различные серьезные побочные эффекты, такие как воспаление, тромбоцитопению, гипертензию и тому подобное, которые вызваны ингибированием других подтипов.
Селективный PI3Kα-ингибитор BYL-719, разработанный Novartis, в настоящее время находится в фазе III клинического исследования, селективный PI3Kα-ингибитор MLN1117, разработанный Takeda, вошел в фазу II клинического исследования, а селективный ингибитор GDC-0077, разработанный Genentech, также находится в фазе I клинического исследования.
В международных заявках WO 2010029082 A1 и WO 2011022439 A1 сообщалось о соединениях, связанных с селективными P13Kα-ингибиторами, но более поздние исследования показали, что ни одно из соединений не обладает высокой клеточной активностью, что влияет на их клиническое противоопухолевое действие. Поэтому существует острая необходимость в разработке селективных PI3Kα-ингибиторов с высокой активностью и высокой селективностью. Селективные PI3Kα-ингибиторы могут быть использованы для лечения различных множественных опухолей с помощью PI3Kα-активирующих мутаций или амплификации и имеют большую ценность для клинического применения.
В заявках РСТ на патент (номера заявок: PCT/CN 2019/088788 и PCT/CN 2019/104558) компании Jiangsu Hansoh Pharmaceutical Group Co., Ltd. раскрыт ряд структур ингибиторов на основе производных с тремя конденсированными кольцами. В последующих исследованиях и разработках для того, чтобы сделать продукты простыми в обращении, фильтрации и сушке и улучшить растворимость продуктов, а также для поиска подходящих характеристик для легкого хранения, долгосрочной стабильности продукта, высокой биодоступности и тому подобного, в настоящем изобретении проведено всестороннее исследование солей указанных выше веществ и раскрыто получение наиболее подходящих солей и кристаллических форм.
КРАТКОЕ ОПИСАНИЕ ИЗОБРЕТЕНИЯ
В настоящем изобретении может быть приведено все содержимое заявок на патент PCT/CN 2019/088788 и PCT/CN 2019/104558.
Целью настоящего изобретения является получение соли присоединения кислоты формулы (I), имеющей следующую структуру:
где:
W выбран из группы, состоящей из -О-, -S- и -NRaa-;
G выбран из группы, состоящей из -О-, -S-, -CRaaRbb,- и-NRaa-;
каждый из R1 и R1' выбран из группы, состоящей из водорода, дейтерия, циано, галогена, нитро, амино, C1-6 алкила, C1-6 галогеналкила, C1-6 алкокси, C1-6 гидроксиалкила, цианозамещенного C1-6 алкила, С3-8 циклоалкила, 3-8-членного гетероциклила, С6-10 арила, 5-10-членного гетероарила, -(CH2)nRcc, -(CH2)nORcc и -CRaaRbbORcc;
или R1 и R1' соединены вместе с образованием С3-8 циклоалкила или 3-8-членного гетероциклила, где указанный С3-8 циклоалкил или 3-8-членный гетероциклил необязательно дополнительно замещен одним или более заместителями, выбранными из группы, состоящей из водорода, дейтерия, циано, галогена, нитро, амино, С1-6 алкила, С1-6 галогеналкила, C1-6 алкокси, C1-6 гидроксиалкила, С3-8 циклоалкила, 3-8-членного гетероциклила, С6-10 арила и 5-10-членного гетероарила;
R2 выбран из группы, состоящей из водорода, дейтерия, циано, галогена, нитро, амино, C1-6 алкила, C1-6 галогеналкила, С1-6 алкокси, C1-6 гидроксиалкила, С3-8 циклоалкила, 3-8-членного гетероциклила, С6-10 арила, 5-10-членного гетероарила и -(CH2)nORcc;
или любые два R2 соединены вместе с образованием С3-8 циклоалкила или 3-8-членного гетеро циклила, где указанный С3-8 циклоалкил или 3-8-членный гетероциклил необязательно дополнительно замещен одним или более заместителями, выбранными из группы, состоящей из водорода, дейтерия, циано, галогена, нитро, амино, C1-6 алкила, C1-6 галогеналкила, C1-6 алкокси, C1-6 гидроксиалкила, С3-8 циклоалкила, 3-8-членного гетероциклила, С6-10 арила и 5-10-членного гетероарила;
каждый из R3 и R3' выбран из группы, состоящей из водорода, дейтерия, циано, галогена, нитро, амино, C1-6 алкила, C1-6 галогеналкила, C1-6 алкокси, C1-6 гидроксиалкила, С3-8 циклоалкила, 3-8-членного гетероциклила, С6-10 арилаи 5-10-членного гетероарила;
или R3 и R3' соединены вместе с образованием оксо, С3-8 циклоалкила или 3-8-членного гетероциклила, где указанный С3-8 циклоалкил или 3-8-членный гетероциклил необязательно дополнительно замещен одним или более заместителями, выбранными из группы, состоящей из водорода, дейтерия, циано, галогена, нитро, амино, C1-6 алкила, C1-6 галогеналкила, C1-6 алкокси, C1-6 гидроксиалкила, С3-8 циклоалкила, 3-8-членного гетероциклила, С6-10арила и 5-10-членного гетероарила;
R4 выбран из группы, состоящей из водорода, дейтерия, циано, галогена, нитро, амино, C1-6 алкила, C1-6 галогеналкила, C1-6 алкокси, C1-6 гидроксиалкила, С3-8 циклоалкила, 3-8-членного гетероциклила, С6-10арила и 5-10-членного гетероарила;
R5 выбран из группы, состоящей из водорода, дейтерия, C1-6 алкила и C1-6 галогеналкила;
или R1 или R1' соединены с R5 с образованием 3-8-членного гетероциклила, где указанный 3-8-членный гетероциклил необязательно дополнительно замещен одним или более заместителями, выбранными из группы, состоящей из водорода, дейтерия, циано, галогена, нитро, амино, C1-6 алкила, C1-6 галогеналкила, C1-6 алкокси, C1-6 гидроксиалкила, С3-8циклоалкила, 3-8-членного гетероциклила, С6-10 арила и 5-10-членного гетероарила;
каждый из Raa, Rbb и Rcc независимо выбран из группы, состоящей из водорода, дейтерия, циано, галогена, нитро, амино, C1-6 алкила, C1-6 галогеналкила, C1-6 алкокси, C1-6 гидроксиалкила, С3-8 циклоалкила, 3-8-членного гетероциклила, С6-10 арила и 5-10-членного гетероарила;
М представляет собой неорганическую кислоту или органическую кислоту, где указанная неорганическая кислота выбрана из группы, состоящей из соляной кислоты, серной кислоты, азотной кислоты, бромистоводородной кислоты, фтористоводородной кислоты, иодистоводородной кислоты и фосфорной кислоты; и указанная органическая кислота выбрана из группы, состоящей из 2,5-дигидроксибензойной кислоты, 1-гидрокси-2-нафтойной кислоты, уксусной кислоты, дихлоруксусной кислоты, трихлоруксусной кислоты, ацетогидроксамовой кислоты, адипиновой кислоты, бензолсульфоновой кислоты, 4-хлорбензолсульфоновой кислоты, бензойной кислоты, 4-ацетамидобензойной кислоты, 4-аминобензойной кислоты, каприновой кислоты, капроновой кислоты, каприловой кислоты, коричной кислоты, лимонной кислоты, цикламовой кислоты, камфорсульфоновой кислоты, аспарагиновой кислоты, камфорной кислоты, глюконовой кислоты, глюкуроновой кислоты, глутаминовой кислоты, изоаскорбиновой кислоты, молочной кислоты, яблочной кислоты, миндальной кислоты, пироглутаминовой кислоты, винной кислоты, додецилсерной кислоты, дибензоилвинной кислоты, этан-1,2-дисульфоновой кислоты, этансульфоновой кислоты, муравьиной кислота, фумаровой кислота, галактоновой кислоты, гентизиновой кислоты, глутаровой кислоты, 2-кетоглутаровой кислоты, гликолевой кислоты, гиппуровой кислоты, изетионовой кислоты, лактобионовой кислоты, аскорбиновой кислоты, аспарагиновой кислоты, лауриновой кислоты, камфорной кислоты, малеиновой кислоты, малоновой кислоты, метансульфоновой кислоты, 1,5-нафталиндисульфоновой кислоты, нафталин-2-сульфоновой кислоты, никотиновой кислоты, олеиновой кислоты, оротовой кислоты, щавелевой кислоты, пальмитиновой кислоты, эмбоновой кислоты, пропионовой кислоты, салициловой кислоты, 4-аминосалициловой кислоты, себациновой кислоты, стеариновой кислоты, янтарной кислоты, тиоциановой кислоты, ундециленовой кислоты, трифторуксусной кислоты, бензолсульфоновой кислоты, п-толуолсульфоновой кислоты и L-яблочной кислоты;
n представляет собой целое число от 0 до 3;
х представляет собой целое число от 0 до 3; и
у представляет собой целое число от 1 до 5, предпочтительно целое число от 1 до 3 и более предпочтительно 1.
В предпочтительных вариантах осуществления настоящего изобретения в соли присоединения кислоты формулы (I)
каждый из R1 и R1' выбран из группы, состоящей из водорода, C1-6 алкила, C1-6 гидроксиалкила, C1-6 галогеналкила, С1-6 алкокси, 3-8-членного гетероциклила, -(CH2)nORcc и -CRaaRbbORcc, предпочтительно водорода, С1-3 алкила, С1-3 гидроксиалкила, С1-3 галогеналкила, C1-3 алкокси, 3-6-членного гетероциклила, -(CH2)nORcc и -CRaaRbbORcc, более предпочтительно водорода, метила, этила, пропила, изопропила, метокси, этокси, пропокси, фторметила, фторэтила, фторпропила, хлорметила, хлорэтила, хлорпропила, гидроксиметила, гидроксиэтила, гидроксипропила, оксациклопропила, оксациклобутила, оксациклопентила, оксациклогексила, азациклопропила, азациклобутила, азациклопентила, азациклогексила, -(СН2)ОСН3, -(СН2)2OCH3, -СН(СН3)ОСН3 и -С(СН3)2OCH3 и еще более предпочтительно водорода, метила, метокси, изопропила, фторсодержащего метила, гидроксиметила, оксациклобутила, -СН2ОСН3 и -СН(СН3)ОСН3.
В более предпочтительных вариантах осуществления настоящего изобретения в соли присоединения кислоты формулы (I)
R2 выбран из группы, состоящей из водорода, C1-6 алкила, галогена, циано и -(CH2)nORcc, предпочтительно водорода, C1-3 алкила, галогена, циано и -(CH2)nORcc, более предпочтительно водорода, метила, этила, пропила, метокси, этокси, пропокси, фтора, хлора, брома и циано и еще более предпочтительно водорода, фтора, метила, метокси и циано;
или любые два R2 соединены вместе с образованием замещенного или незамещенного С3-6 циклоалкила или замещенного или незамещенного 3-6-членного гетероциклила, предпочтительно замещенного или незамещенного С3-6 циклоалкила или замещенного или незамещенного 3-6-членного гетероциклила, содержащего от 1 до 3 атомов, выбранных из группы, состоящей из N, О и S, более предпочтительно циклопропила, циклобутила, циклопентила, циклогексила, оксациклопропила, оксациклобутила, оксациклопентила, оксациклогексила, азациклопропила, азациклобутила, азациклопентила или азациклогексила и еще более предпочтительно циклобутила, циклопентила, 1,3-диоксоциклопентила или 1,3-диоксоциклогексила.
В дополнительных предпочтительных вариантах осуществления настоящего изобретения в соли присоединения кислоты формулы (I)
каждый из R3 и R3' выбран из группы, состоящей из водорода, C1-6 алкила, галогена, циано и C1-6 алкокси, предпочтительно водорода, C1-3 алкила, галогена, циано и C1-3 алкокси, более предпочтительно водорода, метила, этила, пропила, фтора, хлора, брома, циано, метокси, этокси и пропокси и более предпочтительно водорода, фтора, метила, метокси и циано;
или R3 и R3' соединены вместе с образованием оксо, С3-6 циклоалкила или 3-6-членного гетероциклила, предпочтительно оксо, С3-6 циклоалкила или 3-6-членного гетероциклила, содержащего от 1 до 3 атомов N, О или S, более предпочтительно оксо, циклопропила, циклобутила, циклопентила, циклогексила, оксациклопропила, оксациклобутила, оксациклопентила, оксациклогексила, азациклопропила, азациклобутила, азациклопентила или азациклогексила и еще более предпочтительно оксо, циклопропила или оксациклобутила.
В еще более предпочтительных вариантах осуществления настоящего изобретения в соли присоединения кислоты формулы (I)
R4 выбран из группы, состоящей из водорода, C1-6 алкила, галогена, циано, C1-6 галогеналкила и С3-8 циклоалкила, предпочтительно водорода, С1-3 алкила, галогена, циано, С1-3 галогеналкила и С3-6 циклоалкила, более предпочтительно водорода, метила, этила, пропила, фтора, хлора, брома, циано, фторметила, фторэтила, хлорметила, хлорэтила, трифторметила, трифторэтила, трихлорметила, трихлорэтила, циклопропила, циклобутила, циклопентила и циклогексила и еще более предпочтительно водорода, фтора, хлора, метила, трифторметила, циано и циклопропила.
В предпочтительных вариантах осуществления настоящего изобретения в соли присоединения кислоты формулы (I)
R5 выбран из группы, состоящей из водорода, C1-6 алкила и C1-6 галогеналкила, предпочтительно водорода, С1-3 алкила и С1-3 галогеналкила, более предпочтительно водорода, метила, этила, пропила, фторсодержащего метила, фторсодержащего этила, фторсодержащего пропила, хлорсодержащего метила, хлорсодержащего этила и хлорсодержащего пропила и еще более предпочтительно водорода и метила;
или R1 или R1' соединены с R5 с образованием 3-6-членного гетероциклила, необязательно замещенного одним или более заместителями, выбранными из группы, состоящей из фтора, хлора, брома, метила, этила и пропила, предпочтительно азациклопропила, азациклобутила, азациклопентила, азациклогексила, фторзамещенного азациклопропила, фторзамещенного азациклобутила, фторзамещенного азациклопентила, фторзамещенного азациклогексила, метилзамещенного азациклопропила, метилзамещенного азациклобутила, метилпирролидинила или метилзамещенного азациклогексила и еще более предпочтительно азациклобутила, азациклопентила или метилпирролидинила.
В предпочтительных вариантах осуществления настоящего изобретения в соли присоединения кислоты формулы (I)
каждый из Raa, Rbb и Rcc независимо выбран из группы, состоящей из водорода, C1-6 алкила, C1-6 алкокси, С3-8 циклоалкила и 3-8-членного гетероциклила, предпочтительно водорода, С1-3 алкила, С1-3 алкокси, С3-6 циклоалкила или 3-6-членного гетероциклила, содержащего от 1 до 3 атомов N, О или S, более предпочтительно водорода, метила, этила, пропила, метокси, этокси, пропокси, циклопропила, циклобутила, циклопентила, циклогексила, оксациклопропила, оксациклобутила, оксациклопентила и оксациклобутила и еще более предпочтительно водорода, метила, этила, изопропила, метокси, циклопропила и оксациклобутила.
В предпочтительных вариантах осуществления настоящего изобретения в соли присоединения кислоты формулы (I)
М выбран из группы, состоящей из серной кислоты, фосфорной кислоты, бензолсульфоновой кислоты, коричной кислоты, винной кислоты, этан-1,2-дисульфоновой кислоты, этансульфоновой кислоты, фумаровой кислоты и метансульфоновой кислоты, предпочтительно серной кислоты, винной кислоты, этан-1,2-дисульфоновой кислоты, этансульфоновой кислоты, фумаровой кислоты и метансульфоновой кислоты, более предпочтительно серной кислоты, этан-1,2-дисульфоновой кислоты, этансульфоновой кислоты и метансульфоновой кислоты и еще более предпочтительно этансульфоновой кислоты.
В дополнительных предпочтительных вариантах осуществления настоящего изобретения в соли присоединения кислоты формулы (I) W представляет собой О.
В дополнительных предпочтительных вариантах осуществления настоящего изобретения в соли присоединения кислоты формулы (I) G представляет собой О или S.
В дополнительных предпочтительных вариантах осуществления настоящего изобретения в соли присоединения кислоты формулы (I) R5 представляет собой водород.
В дополнительных предпочтительных вариантах осуществления настоящего изобретения в соли присоединения кислоты формулы (I) R1' и R3' представляют собой водород.
В дополнительных предпочтительных вариантах осуществления настоящего изобретения в соли присоединения кислоты формулы (I)
W выбран из группы, состоящей из -О-, -S- и-NRaa-;
G выбран из группы, состоящей из -О- и -S-;
каждый из R1 и R1' выбран из группы, состоящей из водорода, метила, метокси, изопропила, фтор содержащего метила, гидроксиметила, оксациклобутила, -СН2ОСН3 и -СН(СН3)ОСН3;
R2 выбран из группы, состоящей из водорода, фтора, метила, метокси и циано; каждый из R3 и R3' выбран из группы, состоящей из водорода, фтора, метила, метокси и циано;
R4 выбран из группы, состоящей из водорода, фтора, хлора, метила, трифторметила, циано и циклопропила;
R5 выбран из группы, состоящей из водорода и метила;
каждый из Raa, Rbb и Rcc независимо выбран из группы, состоящей из водорода, метила, этила, изопропила, метокси, циклопропила и оксациклобутила.
В дополнительных предпочтительных вариантах осуществления настоящего изобретения, когда W представляет собой -О-, R5 представляет собой водород, R1 представляет собой метил, R1' представляет собой водород, R2 представляет собой водород, R3 и R3' представляют собой водород, и R4 представляет собой водород, G не представляет собой -О-.
В дополнительных предпочтительных вариантах осуществления настоящего изобретения структура соли присоединения кислоты формулы (I) является такой, как показано в формуле (II-А) или (II-В):
В дополнительных предпочтительных вариантах осуществления настоящего изобретения соль присоединения кислоты формулы (I) находится в кристаллической форме или аморфной форме.
В дополнительных предпочтительных вариантах осуществления настоящего изобретения соль присоединения кислоты формулы (I) включает как кристаллическую форму, так и аморфную форму, причем указанная соль присоединения кислоты формулы (I) представляет собой гидрат или ангидрат, предпочтительно ангидрат.
В настоящем изобретении дополнительно предложен способ получения соли присоединения кислоты формулы (I), в частности включающий следующие стадии:
1) приготовление маточного раствора: взвешивание свободного основания соединения и добавление органического растворителя с получением прозрачного или суспендированного маточного раствора;
2) приготовление кислого раствора противоиона: добавление кислоты с противоионами М в органический растворитель или воду с получением прозрачного кислого раствора противоиона;
3) получение соли соединения: добавление кислого раствора противоиона к маточному раствору с получением прозрачного раствора соли, перемешивание раствора соли для осаждения твердого вещества и высушивание указанного твердого вещества;
где:
органический растворитель представляет собой один или более растворителей, выбранных из группы, состоящей из спиртов, сложных эфиров, углеводородов, кетонов, простых эфиров, бензолов, амидов и нитрилов, предпочтительно один или более из метанола, этанола, изопропанола, трет-бутанола, этилацетата, н-гексана, гептана, дихлорметана, хлороформа, тетрахлорметана, дихлорэтана, ацетона, 2-бутанона, 3-пентанона, изопропилового эфира, петролейного эфира, метил-трет-бутилового эфира, тетрагидрофурана, 1,4-диоксана, бензола, толуола, N,N-диметилформамида и ацетонитрила, более предпочтительно один или более из метанола, этанола, изопропанола, этилацетата, ацетона, дихлорметана и ацетонитрила и еще более предпочтительно один или более из метанола, этанола, изопропанола, ацетона и ацетонитрила;
кислота с противоионами выбрана из группы, состоящей из соляной кислоты, серной кислоты, азотной кислоты, бромистоводородной кислоты, фтористоводородной кислоты, иодистоводородной кислоты, фосфорной кислоты, 2,5-дигидроксибензойной кислоты, 1-гидрокси-2-нафтойной кислоты, уксусной кислоты, дихлоруксусной кислоты, трихлоруксусной кислоты, ацетогидроксамовой кислоты, адипиновой кислоты, бензолсульфоновой кислоты, 4-хлорбензолсульфоновой кислоты, бензойной кислоты, 4-ацетамидобензойной кислоты, 4-аминобензойной кислоты, каприновой кислоты, капроновой кислоты, каприловой кислоты, коричной кислоты, лимонной кислоты, цикламовой кислоты, камфорсульфоновой кислоты, аспарагиновой кислоты, камфорной кислоты, глюконовой кислоты, глюкуроновой кислоты, глутаминовой кислоты, изоаскорбиновой кислоты, молочной кислоты, яблочной кислоты, миндальной кислоты, пироглутаминовой кислоты, D-винной кислоты, памовой кислоты, додецилсерной кислоты, дибензоилвинной кислоты, этан-1,2-дисульфоновой кислоты, этансульфоновой кислоты, муравьиной кислоты, фумаровой кислоты, галактоновой кислоты, гентизиновой кислоты, глутаровой кислоты, 2-кетоглутаровой кислоты, гликолевой кислоты, гиппуровой кислоты, изетионовой кислоты, лактобионовой кислоты, аскорбиновой кислоты, аспарагиновой кислоты, лауриновой кислоты, камфорной кислоты, малеиновой кислоты, малоновой кислоты, метансульфоновой кислоты, 1,5-нафталиндисульфоновой кислоты, нафталин-2-сульфоновой кислоты, никотиновой кислоты, олеиновой кислоты, оротовой кислоты, щавелевой кислоты, пальмитиновой кислоты, эмбоновой кислоты, пропионовой кислоты, салициловой кислоты, 4-аминосалициловой кислоты, себациновой кислоты, стеариновой кислоты, янтарной кислоты, тиоциановой кислоты, ундециленовой кислоты, трифторуксусной кислоты, бензолсульфоновой кислоты, п-толуолсульфоновой кислоты и L-яблочной кислоты, предпочтительно серной кислоты, фосфорной кислоты, бензолсульфоновой кислоты, коричной кислоты, винной кислоты, этан-1,2-дисульфоновой кислоты, этансульфоновой кислоты, фумаровой кислоты и метансульфоновой кислоты, более предпочтительно серной кислоты, винной кислоты, этан-1,2-дисульфоновой кислоты, этансульфоновой кислоты, фумаровой кислоты и метансульфоновой кислоты, еще более предпочтительно серной кислоты, этан-1,2-дисульфоновой кислоты, этансульфоновой кислоты и метансульфоновой кислоты и еще более предпочтительно этансульфоновой кислоты.
Концентрация органического растворителя на стадии 2) составляет от 0,8 до 3,0 моль/л, предпочтительно от 1,0 до 2,5 моль/л и более предпочтительно от 1,2 до 2,2 моль/л.
Предпочтительно температура вакуума на стадии 3) составляет от 30 до 60°С, предпочтительно от 35 до 50°С и более предпочтительно 40°С.
Более предпочтительно, количество кислоты с противоионами на стадии 3) составляет от 0,4 до 2,0 эквивалентов, предпочтительно от 0,5 до 1,5 эквивалентов и более предпочтительно от 0,6 до 1,2 эквивалентов.
В настоящем изобретении дополнительно предложен способ получения соединения формулы (I) и его кристаллической формы, в частности включающий следующие стадии:
1) взвешивание соответствующего количества свободного основания и суспендирование его в слабом растворителе;
2) необязательно взвешивание соответствующего количества кислоты с противоионами М и растворение его в органическом растворителе;
3) необязательно добавление раствора со стадии 2) к суспензии со стадии 1) и перемешивание полученной смеси для осаждения твердого вещества;
4) необязательно добавление органического растворителя к твердому веществу, полученному на стадии 3), и перемешивание полученной смеси для осаждения кристалла;
5) перемешивание и охлаждение смеси с последующим осаждением кристалла с получением целевого продукта;
где:
слабый растворитель представляет собой один или более растворителей из группы, состоящей из спиртов, сложных эфиров, кетонов, простых эфиров, бензолов, амидов и нитрилов, предпочтительно один или более из метанола, этанола, н-пропанола, изопропанола, н-бутанола, изобутанола, трет-бутанола, этилацетата, ацетона, 2-бутанона, тетрагидрофурана, 1,4-диоксана, бензола, толуола, N,N-диметилформамида, N,N-диметилацетамида и ацетонитрила, более предпочтительно один или более из метанола, этанола, изопропанола, тетрагидрофурана, этилацетата, ацетонитрила и ацетона и еще более предпочтительно один или более из метанола, этанола, изопропанола, тетрагидрофурана, этилацетата, ацетонитрила или 88% ацетона;
органический растворитель на стадии 2) представляет собой один или более растворителей, выбранных из группы, состоящей из спиртов, сложных эфиров, углеводородов, кетонов, простых эфиров, бензолов, амидов и нитрилов, предпочтительно одного или более из метанола, этанола, изопропанола, трет-бутанола, этилацетата, дихлорметана, хлороформа, тетрахлорметана, дихлорэтана, н-гексана, гептана, ацетона, 2-бутанона, 3-пентанона, петролейного эфира, тетрагидрофурана, метил-трет-бутило в ого эфира, изопропилового эфира, 1,4-диоксана, бензола, толуола, N,N-диметилформамида и ацетонитрила, более предпочтительно один или более из метанола, этанола, изопропанола, трет-бутанола, ацетона, тетрагидрофурана, толуола, N,N-диметилформамида и ацетонитрила и более предпочтительно один или более из метанола, этанола, изопропола, ацетона и ацетонитрила;
вышеуказанные хорошие растворители и органические растворы должны быть смешиваемыми при использовании;
кислота с противоионами выбрана из группы, состоящей из соляной кислоты, серной кислоты, азотной кислоты, бромистоводородной кислоты, фтористоводородной кислоты, иодистоводородной кислоты, фосфорной кислоты, 2,5-дигидроксибензойной кислоты, 1-гидрокси-2-нафтойной кислоты, уксусной кислоты, дихлоруксусной кислоты, трихлоруксусной кислоты, ацетогидроксамовой кислоты, адипиновой кислоты, бензолсульфоновой кислоты, 4-хлорбензолсульфоновой кислоты, бензойной кислоты, 4-ацетамидобензойной кислоты, 4-аминобензойной кислоты, каприновой кислоты, капроновой кислоты, каприловой кислоты, коричной кислоты, лимонной кислоты, цикламовой кислоты, камфорсульфоновой кислоты, аспарагиновой кислоты, камфорной кислоты, глюконовой кислоты, глюкуроновой кислоты, глутаминовой кислоты, изоаскорбиновой кислоты, молочной кислоты, яблочной кислоты, миндальной кислоты, пироглутаминовой кислоты, винной кислоты, додецилсерной кислоты, дибензоилвинной кислоты, этан-1,2-дисульфоновой кислоты, этансульфоновой кислоты, муравьиной кислоты, фумаровой кислоты, галактоновой кислоты, гентизиновой кислоты, глутаровой кислоты, 2-кетоглутаровой кислоты, гликолевой кислоты, гиппуровой кислоты, изетионовой кислоты, лактобионовой кислоты, аскорбиновой кислоты, аспарагиновой кислоты, лауриновой кислоты, камфорной кислоты, малеиновой кислоты, малоновой кислоты, метансульфоновой кислоты, 1,5-нафталиндисульфоновой кислоты, нафталин-2-сульфоновой кислоты, никотиновой кислоты, олеиновой кислоты, оротовой кислоты, щавелевой кислоты, пальмитиновой кислоты, эмбоновой кислоты, пропионовой кислоты, салициловой кислоты, 4-аминосалициловой кислоты, себациновой кислоты, стеариновой кислоты, янтарной кислоты, тиоциановой кислоты, ундециленовой кислоты, трифторуксусной кислоты, бензолсульфоновой кислоты, п-толуолсульфоновой кислоты и L-яблочной кислоты, предпочтительно серной кислоты, фосфорной кислоты, бензолсульфоновой кислоты, коричной кислоты, винной кислоты, этан-1,2-дисульфоновой кислоты, этансульфоновой кислоты, фумаровой кислоты и метансульфоновой кислоты, более предпочтительно серной кислоты, винной кислоты, этан-1,2-дисульфоновой кислоты, этансульфоновой кислоты, фумаровой кислоты и метансульфоновой кислоты, еще более предпочтительно серной кислоты, этан-1,2-дисульфоновой кислоты, этансульфоновой кислоты и метансульфоновой кислоты и еще более предпочтительно этансульфоновой кислоты.
Органический растворитель на стадии 4) представляет собой один или более растворителей, выбранных из группы, состоящей из спиртов, сложных эфиров и простых эфиров, предпочтительно один или более из метанола, этанола, н-пропанола, изопропанола, этилацетата, петролейного эфира, метил-трет-бутилового эфира, тетрагидрофурана и 1,4-диоксана, более предпочтительно один или более из метанола, этанола, н-пропанола, изопропанола, этилацетата, метил-трет-бутилового эфира и тетрагидрофурана и еще более предпочтительно один или более из метанола, этанола, изопропанола, этилацетата и метил-трет-бутилового эфира.
В настоящем изобретении дополнительно предложен способ получения соединения формулы (I) и его кристаллической формы, в частности включающий следующие стадии:
1) взвешивание соответствующего количества соли соединения и суспендирование его в слабом растворителе;
2) встряхивание суспензии, полученной выше;
3) центрифугирование указанной выше суспензии, удаление супернатанта и вакуумная сушка оставшегося твердого вещества с получением целевого продукта;
где:
слабый растворитель представляет собой один или более растворителей, выбранных из группы, состоящей из спиртов, кетонов, сложных эфиров, простых эфиров, бензолов, амидов и нитрилов, предпочтительно один или более из метанола, этанола, н-пропанола, изопропанола, н-бутанола, изобутанола, трет-бутанола, ацетона, 2-бутанона, этилацетата, тетрагидрофурана, 1,4-диоксана, бензола, толуола, N,N-диметилформамида, N,N-диметилацетамида и ацетонитрила и еще более предпочтительно один или более из метанола, этанола, н-пропанола, изопропанола, 88% ацетона и ацетонитрила.
Плотность суспензии на стадии 1) составляет от 20 до 200 мг/мл, предпочтительно от 30 до 150 мг/мл и более предпочтительно от 50 до 100 мг/мл;
предпочтительно температура на стадии 2) составляет от 20 до 80°С, предпочтительно от 25 до 60°С и более предпочтительно от 25 до 40°С; время составляет от 1 до 15 дней и предпочтительно от 1 до 10 дней;
более предпочтительно, температура вакуумной сушки составляет от 20 до 60°С, предпочтительно от 20 до 50°С и более предпочтительно 40°С.
В настоящем изобретении дополнительно предложен способ получения соединения формулы (I) и его кристаллической формы, в частности включающий следующие стадии: 1) взвешивание соответствующего количества соли соединения и подвергание соли соединения воздействию определенного уровня влажности в течение определенного периода времени,
где:
указанная влажность представляет собой относительную влажность (RH) от 70 до 95%, предпочтительно RH от 75 до 95%, более предпочтительно RH от 80 до 95% и еще более предпочтительно RH 92,5%; и указанное время составляет от 1 ч до 3 дней, предпочтительно от 1 ч до 2 дней, более предпочтительно от 1 ч до 1 дня и еще более предпочтительно 3 ч.
В настоящем изобретении еще дополнительно предложен способ получения соединения формулы (I) и его кристаллической формы, в частности включающий следующие стадии:
1) взвешивание соответствующего количества свободного основания и суспендирование его в слабом растворителе;
2) взвешивание соответствующего количества кислоты с противоионами М и растворение его в органическом растворителе;
3) добавление раствора со стадии 2) к суспензии со стадии 1) и нагревание реакции;
4) необязательно добавление органического растворителя к раствору со стадии 3);
5) необязательно добавление соли соединения к раствору со стадии 4);
6) охлаждение смеси для осаждения кристалла;
предпочтительно слабый растворитель представляет собой один или более растворителей, выбранных из группы, состоящей из спиртов, кетонов, сложных эфиров, простых эфиров, бензолов, амидов и ацетонитрила, предпочтительно один или более из метанола, этанола, н-пропанола, изопропанола, н-бутанола, изобутанола, трет-бутанола, ацетона, 2-бутанона, этилацетата, тетрагидрофурана, 1,4-диоксана, бензола, толуола, N,N-диметилформамида, N,N-диметилацетамида и ацетонитрила и более предпочтительно один или более из метанола, этанола, н-пропанола, изопропанола, ацетона и ацетонитрила;
предпочтительно кислота с противоионами выбрана из группы, состоящей из соляной кислоты, серной кислоты, азотной кислоты, бромистоводородной кислоты, фтористоводородной кислоты, йодисто водородной кислоты, фосфорной кислоты, 2,5-дигидроксибензойной кислоты, 1-гидрокси-2-нафтойной кислоты, уксусной кислоты, дихлоруксусной кислоты, трихлоруксусной кислоты, ацетогидроксамовой кислоты, адипиновой кислоты, бензолсульфоновой кислоты, 4-хлорбензолсульфоновой кислоты, бензойной кислоты, 4-ацетамидобензойной кислоты, 4-аминобензойной кислоты, каприновой кислоты, капроновой кислоты, каприловой кислоты, коричной кислоты, лимонной кислоты, цикламовой кислоты, камфорсульфоновой кислоты, аспарагиновой кислоты, камфорной кислоты, глюконовой кислоты, глюкуроновой кислоты, глутаминовой кислоты, изоаскорбиновой кислоты, молочной кислоты, яблочной кислоты, миндальной кислоты, пироглутаминовой кислоты, винной кислоты, додецилсерной кислоты, дибензоилвинной кислоты, этан-1,2-дисульфоновой кислоты, этансульфоновой кислоты, муравьиной кислоты, фумаровой кислоты, галактоновой кислоты, гентизиновой кислоты, глутаровой кислоты, 2-кетоглутаровой кислоты, гликолевой кислоты, гиппуровой кислоты, изетионовой кислоты, лактобионовой кислоты, аскорбиновой кислоты, аспарагиновой кислоты, лауриновой кислоты, камфорной кислоты, малеиновой кислоты, малоновой кислоты, метансульфоновой кислоты, 1,5-нафталиндисульфоновой кислоты, нафталин-2-сульфоновой кислоты, никотиновой кислоты, олеиновой кислоты, оротовой кислоты, щавелевой кислоты, пальмитиновой кислоты, эмбоновой кислоты, пропионовой кислоты, салициловой кислоты, 4-аминосалициловой кислоты, себациновой кислоты, стеариновой кислоты, янтарной кислоты, тиоциановой кислоты, ундециленовой кислоты, трифторуксусной кислоты, бензолсульфоновой кислоты, п-толуолсульфоновой кислоты и L-яблочной кислоты, предпочтительно серной кислоты, фосфорной кислоты, бензолсульфоновой кислоты, коричной кислоты, винной кислоты, этан-1,2-дисульфоновой кислоты, этансульфоновой кислоты, фумаровой кислоты и метансульфоновой кислоты, более предпочтительно серной кислоты, винной кислоты, этан-1,2-дисульфоновой кислоты, этансульфоновой кислоты, фумаровой кислоты и метансульфоновой кислоты, еще более предпочтительно серной кислоты, этан-1,2-дисульфоновой кислоты, этансульфоновой кислоты и метансульфоновой кислоты и еще более предпочтительно этансульфоновой кислоты и метансульфоновой кислоты;
предпочтительно органический растворитель на стадии 2) выбран из спиртовых растворителей, предпочтительно одного или более из метанола, этанола, н-пропанола, изопропанола, н-бутанола, изобутанола и трет-бутанола и предпочтительно одного или более из метанола, этанола, изопропанола и трет-бутанола;
предпочтительно температура нагревания на стадии 3) составляет от 30 до 80°С, предпочтительно от 40 до 60°С и более предпочтительно 50°С;
предпочтительно органический растворитель на стадии 4) представляет собой один или более растворителей, выбранных из группы, состоящей из спиртов, сложных эфиров и простых эфиров, предпочтительно один или более из метанола, этанола, н-пропанола, изопропанола, этилацетата, петролейного эфира, метил-трет-бутилового эфира, тетрагидрофурана и 1,4-диоксана, более предпочтительно один или более из метанола, этанола, н-пропанола, изопропанола, этилацетата, метил-трет-бутилового эфира и тетрагидрофурана и еще более предпочтительно один или более из метанола, этанола, изопропанола, этилацетата и метил-трет-бутилового эфира.
В настоящем изобретении дополнительно предложен способ получения соединения формулы (I) и его кристаллической формы, в частности включающий следующие стадии:
1) взвешивание соответствующего количества свободного основания и суспендирование его в слабом растворителе;
2) взвешивание соответствующего количества кислоты с противоионами М и растворение его в органическом растворителе;
3) добавление раствора со стадии 2) к суспензии со стадии 1) и добавление органического растворителя после растворения;
4) необязательно добавление соответствующего количества соли соединения к раствору со стадии 3) и перемешивание полученной смеси для осаждения кристалла;
предпочтительно слабый растворитель представляет собой один или более растворителей, выбранных из группы, состоящей из спиртов, кетонов, сложных эфиров, простых эфиров, бензолов, амидов и ацетонитрила, предпочтительно один или более из метанола, этанола, н-пропанола, изопропанола, н-бутанола, изобутанола, трет-бутанола, ацетона, 2-бутанона, этилацетата, тетрагидрофурана, 1,4-диоксана, бензола, толуола, N,N-диметилформамида, N,N-диметилацетамида и ацетонитрила и более предпочтительно один или более из метанола, этанола, н-пропанола, изопропанола, ацетона и ацетонитрила;
предпочтительно кислота с противоионами выбрана из группы, состоящей из соляной кислоты, серной кислоты, азотной кислоты, бромистоводородной кислоты, фтористоводородной кислоты, иодистоводородной кислоты, фосфорной кислоты, 2,5-дигидроксибензойной кислоты, 1-гидрокси-2-нафтойной кислоты, уксусной кислоты, дихлоруксусной кислоты, трихлоруксусной кислоты, ацетогидроксамовой кислоты, адипиновой кислоты, бензолсульфоновой кислоты, 4-хлорбензолсульфоновой кислоты, бензойной кислоты, 4-ацетамидобензойной кислоты, 4-аминобензойной кислоты, каприновой кислоты, капроновой кислоты, каприловой кислоты, коричной кислоты, лимонной кислоты, цикламовой кислоты, камфорсульфоновой кислоты, аспарагиновой кислоты, камфорной кислоты, глюконовой кислоты, глюкуроновой кислоты, глутаминовой кислоты, изоаскорбиновой кислоты, молочной кислоты, яблочной кислоты, миндальной кислоты, пироглутаминовой кислоты, винной кислоты, додецилсерной кислоты, дибензоилвинной кислоты, этан-1,2-дисульфоновой кислоты, этансульфоновой кислоты, муравьиной кислоты, фумаровой кислоты, галактоновой кислоты, гентизиновой кислоты, глутаровой кислоты, 2-кетоглутаровой кислоты, гликолевой кислоты, гиппуровой кислоты, изетионовой кислоты, лактобионовой кислоты, аскорбиновой кислоты, аспарагиновой кислоты, лауриновой кислоты, камфорной кислоты, малеиновой кислоты, малоновой кислоты, метансульфоновой кислоты, 1,5-нафталиндисульфоновой кислоты, нафталин-2-сульфоновой кислоты, никотиновой кислоты, олеиновой кислоты, оротовой кислоты, щавелевой кислоты, пальмитиновой кислоты, эмбоновой кислоты, пропионовой кислоты, салициловой кислоты, 4-аминосалициловой кислоты, себациновой кислоты, стеариновой кислоты, янтарной кислоты, тиоциановой кислоты, ундециленовой кислоты, трифторуксусной кислоты, бензолсульфоновой кислоты, п-толуолсульфоновой кислоты и L-яблочной кислоты, предпочтительно серной кислоты, фосфорной кислоты, бензолсульфоновой кислоты, коричной кислоты, винной кислоты, этан-1,2-дисульфоновой кислоты, этансульфоновой кислоты, фумаровой кислоты и метансульфоновой кислоты, более предпочтительно серной кислоты, винной кислоты, этан-1,2-дисульфоновой кислоты, этансульфоновой кислоты, фумаровой кислоты и метансульфоновой кислоты, еще более предпочтительно серной кислоты, этан-1,2-дисульфоновой кислоты, этансульфоновой кислоты и метансульфоновой кислоты и еще более предпочтительно этансульфоновой кислоты и метансульфоновой кислоты;
предпочтительно органический растворитель на стадии 2) выбран из спиртовых растворителей, предпочтительно одного или более из метанола, этанола, н-пропанола, изопропанола, н-бутанола, изобутанола и трет-бутанола и предпочтительно одного или более из метанола, этанола, изопропанола и трет-бутанола;
предпочтительно органический растворитель на стадии 3) представляет собой один или более растворителей, выбранных из группы, состоящей из спиртов, сложных эфиров и простых эфиров, предпочтительно один или более из метанола, этанола, н-пропанола, изопропанола, этилацетата, петролейного эфира, метил-трет-бутилового эфира, тетрагидрофурана и 1,4-диоксана, более предпочтительно один или более из метанола, этанола, н-пропанола, изопропанола, этилацетата, метил-трет-бутилового эфира и тетрагидрофурана и еще более предпочтительно один или более из метанола, этанола, изопропанола, этилацетата и метил-трет-бутилового эфира.
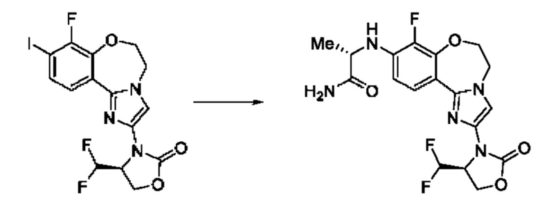
В предпочтительных вариантах осуществления настоящего изобретения соединение формулы (I) представляет собой этансульфонатную, мезилатную или сульфатную соль (S)-2-((2-((R)-4-(дифторметил)-2-оксотиазолидин-3-ил)-5,6-дигидробензо[f]имидазо[1,2-d][1,4]оксазепин-9-ил)амино)пропионамида.
В дополнительных предпочтительных вариантах осуществления настоящего изобретения соединение формулы (I) представляет собой кристаллическую форму (S)-2-((2-((R)-4-(дифторметил)-2-оксотиазолидин-3-ил)-5,6-дигидробензо[f]имидазо[1,2-d][1,4]оксазепин-9-ил)амино)пропионамида, где М представляет собой этансульфоновую кислоту, и у представляет собой 1, то есть кристаллическую форму А этансульфонатной соли, имеющую следующую структуру:
при этом порошковая рентгеновская дифрактограмма которой включает один или более дифракционных пиков при 2θ, равном 6,8±0,2° и 13,4±0,2°, 14,7±0,2° и 19,5±0,2°, 20,1±0,2°, 23,9±0,2°, 24,4±0,2°, 25,0±0,2°, 23±0,2°, 23,6±0,2°, 9,3±0,2° и 17,3±0,2°; и предпочтительно включает необязательные 2, 4, 6, 8 или 10 из указанных выше дифракционных пиков;
или рентгеновская порошковая дифрактограмма которой включает два или три дифракционных пика при 2θ, равном 6,8±0,2°, 13,4±0,2°, 14,7±0,2° и 19,5±0,2°, необязательно дополнительно включающая один или более дифракционных пиков при 29, равном 20,1±0,2°, 23,9±0,2°, 24,4±0,2°, 25,0±0,2°, 23±0,2° и 23,6±0,2°; и предпочтительно включающая 2, 3, 4, 5 или 6 из указанных выше дифракционных пиков;
например, рентгеновская порошковая дифрактограмма которой имеет характеристические пики при 13,4±0,2°, 14,7±0,2°, 19,5±0,2°, 20,1±0,2°, 23±0,2°, 23,9±0,2°, 24,4±0,2° и 25,0±0,2;
рентгеновская порошковая дифрактограмма которой имеет характеристические пики при 6,8±0,2°, 13,4±0,2°, 14,7±0,2°, 19,5±0,2°, 20,1±0,2°, 23,9±0,2°, 23±0,2° и 23,6±0,2°;
рентгеновская порошковая дифрактограмма которой имеет характеристические пики при 6,8±0,2°, 13,4±0,2°, 14,7±0,2°, 19,5±0,2°, 29,1±0,2°, 23,9±0,2°, 24,4±0,2° и 25,0±0,2;
рентгеновская порошковая дифрактограмма которой имеет характеристические пики при 6,8±0,2°, 13,4±0,2°, 14,7±0,2°, 19,5±0,2°, 20,1±0,2°, 23,9±0,2°, 24,4±0,2° и 25,0±0,2°, 23±0,2° и 23,6±0,2°.
В предпочтительных вариантах осуществления настоящего изобретения рентгеновская порошковая дифрактограмма имеет дифракционные пики при 2θ, равном 6,8±0,2°, 9,3±0,2°, 13,4±0,2° и 14,7±0,2°; дополнительно имеет дифракционные пики при 2θ, равном 17,3±0,2°, 19,5±0,2°, 20,8±0,2°, 23,9±0,2° и 25,0±0,2°; еще дополнительно имеет дифракционные пики при 2θ, равном 9,8±0,2°, 18,4±0,2°, 19,1±0,2°, 29,1±0,2°, 23,0±9,2°, 23,6±0,2°, 24,4±0,2°, 27,3±0,2° и 30,7±0,2°; и еще дополнительно имеет дифракционные пики при 2θ, равном 10,5±0,2°, 17,5±0,2°, 26,9±0,2°, 27,7±0,2°, 28,6±0,2°, 29,6±0,2°, 35,7±0,2° и 37,6±0,2°;
или рентгеновская порошковая дифрактограмма имеет дифракционные пики при 2θ, равном 6,8±0,2° и 13,4±0,2°; предпочтительно также имеет дифракционные пики при 2θ, равном 14,7±0,2° и 19,5±0,2°; более предпочтительно также имеет дифракционные пики при 2θ (±0,2°), равном 20,1±0,2°, 23,9±0,2°, 24,4±0,2° и 25,0±0,2°; более предпочтительно также имеет дифракционные пики при 23±0,2° и 23,6±0,2°; более предпочтительно также имеет дифракционные пики при 9,3±0,2° и 17,3±0,2°; еще более предпочтительно также имеет дифракционные пики при 2θ, равном 9,8±0,2°, 18,4±0,2°, 19,1±0,2°, 23,6±0,2°, 27,3±0,2° и 30,7±0,2°; и еще более предпочтительно также имеет дифракционные пики при 2θ, равном 10,5±0,2°, 17,5±0,2°, 26,9±0,2°, 27,7±0,2°, 28,6±0,2°, 29,6±0,2°, 35,7±0,2° и 37,6±0,2°.
Полученные используя Cu-Kα излучение, характеристические пики рентгеновской дифракции, представленные значением угла 2θ и межплоскостного расстояния d, показаны в Таблице 1.
Соединение формулы (I) согласно настоящему изобретению представляет собой кристаллическую форму А этансульфонатной соли
(S)-2-((2-((R)-4-(дифторметил)-2-оксотиазолидин-3-ил)-5,6-дигидробензо[f]имидазо[1,2-d][1,4]оксазепин-9-ил)амино)пропионамида, рентгеновская порошковая дифрактограмма которой по существу представляет собой такую, как показано на Фигуре 1; профиль термогравиметрического анализа (ТГА) которой по существу представляет собой такой, как показано на Фигуре 2; и профиль дифференциальной сканирующей калориметрии (ДСК) которой по существу представляет собой такой, как показано на Фигуре 3.
В дополнительных предпочтительных вариантах осуществления настоящего изобретения соединение формулы (I) представляет собой кристаллическую форму (S)-2-((2-((R)-4-(дифторметил)-2-оксотиазолидин-3-ил)-5,6-дигидробензо[f]имидазо[1,2-d][1,4]оксазепин-9-ил)амино)пропионамида, где М представляет собой мезилатную соль, и у представляет собой 1, то есть кристаллическую форму А мезилатной соли, имеющую следующую структуру:
при этом рентгеновская порошковая дифрактограмма которой включает один или более дифракционных пиков при 2θ, равном 6,1±0,2°, 7,5±0,2°, 8,0±0,2°, 14,9±0,2°, 23,8±0,2°, 8,4±0,2°, 18,8±0,2°, 20,7±0,2°, 22,3±0,2° и 22,8±0,2°; и предпочтительно включает необязательные 2, 4, 6, 8 или 10 из указанных выше дифракционных пиков;
или рентгеновская порошковая дифрактограмма которой включает два или три дифракционных пика при 2θ, равном 6,1±0,2°, 7,5±0,2° и 8,0±0,2°, необязательно дополнительно включает один или более дифракционных пиков при 2θ, равном 14,9±0,2°, 18,8±0,2°, 20,7±0,2°, 22,3±0,2°, 22,8±0,2° и 23,8±0,2°; и предпочтительно включает 2, 3, 4, 5 или 6 из указанных выше дифракционных пиков;
например, рентгеновская порошковая дифрактограмма которой имеет характеристические пики при 6,1±0,2°, 7,5±0,2°, 8,0±0,2°, 14,9±0,2°, 18,8±0,2°, 22,3±0,2°, 22,8±0,2° и 23,8±0,2°.
Или рентгеновская порошковая дифрактограмма которой имеет дифракционные пики при 2θ, равном 6,1±0,2°, 7,5±0,2°, 8,0±0,2°, 14,9±0,2° и 23,8±0,2°; дополнительно имеет дифракционные пики при 2θ, равном 8,4±0,2°, 18,8±0,2°, 20,7±0,2°, 22,3±0,2° и 22,8±0,2°; и еще дополнительно имеет дифракционные пики при 2θ, равном 13,5±0,2° и 25,2±0,2°.
Полученные с использование Cu-Kα излучение, характеристические пики рентгеновской дифракции, представленные значением угла 2θ и межплоскостного расстояния d, показаны в Таблице 2.
Соединение формулы (I) в соответствии с настоящим изобретением представляет собой кристаллическую форму А мезилатной соли
(S)-2-((2-((R)-4-(дифторметил)-2-оксотиазолидин-3-ил)-5,6-дигидробензо[f]имидазо[1,2-d][1,4]оксазепин-9-ил)амино)пропионамида, и рентгеновская порошковая дифрактограмма которой по существу представляет собой такую, как показано на Фигуре 4.
В дополнительных предпочтительных вариантах осуществления настоящего изобретения соединение формулы (I) представляет собой кристаллическую форму (S)-2-((2-((R)-4-(дифторметил)-2-оксотиазолидин-3-ил)-5,6-дигидробензо[f]имидазо[1,2-d][1,4]оксазепин-9-ил)амино)пропионамида, где М представляет собой мезилатную соль, и у представляет собой 1, то есть кристаллическую форму В мезилатной соли, имеющую следующую структуру:
при этом рентгеновская порошковая дифрактограмма которой включает один или более дифракционных пиков при 2θ, равном 24,4±0,2°, 13,3±0,2°, 23,8±0,2°, 20,3±0,2°, 19,7±0,2°, 17,2±0,2°, 26,7±0,2°, 9,0±0,2°, 23,1±0,2°, 9,9±0,2°, 14,3±0,2° и 21,6±0,2°; и предпочтительно включает необязательные 2, 4, 6, 8 или 10 из указанных выше дифракционных пиков;
или рентгеновская порошковая дифрактограмма которой включает два или три дифракционных пика при 24,4±0,2°, 13,3±0,2° и 23,8±0,2°, необязательно дополнительно включает один или более дифракционных пиков при 2θ, равном 9,9±0,2°, 9,9±0,2°, 26,7±0,2°, 17,2±0,2° и 23,1±0,2°; и предпочтительно включает 2, 3, 4 или 5 из указанных выше дифракционных пиков;
например, рентгеновская порошковая дифрактограмма которой имеет характеристические пики при 24,4±0,2°, 13,3±0,2°, 23,8±0,2°, 9,9±0,2°, 9,9±0,2°, 26,7±0,2°, 17,2±0,2° и23,1±0,2°.
Или рентгеновская порошковая дифрактограмма которой имеет дифракционные пики при 2θ, равном 9,9±0,2°, 13,3±0,2°, 19,7±0,2° и 23,1±0,2°; дополнительно имеет дифракционные пики при 2θ, равном 9,9±0,2°, 17,2±0,2°, 20,3±0,2° и 26,7±0,2°; еще дополнительно имеет дифракционные пики при 2θ, равном 14,3±0,2°, 21,6±0,2°, 23,8±0,2° и 28,4±0,2°; и еще дополнительно включает дифракционные пики при 2θ, равном 24,4±0,2°, 30,5±0,2° и 32,6±0,2°.
Полученные с использованием Cu-Kα излучение, характеристические пики рентгеновской дифракции, представленные значением угла 2θ и межплоскостного расстояния d, показаны в Таблице 3.
Соединение формулы (Ia) согласно настоящему изобретению представляет собой кристаллическую форму В мезилатной соли (S)-2-((2-((R)-4-(дифторметил)-2-оксотиазолидин-3-ил)-5,6-дигидробензо[f]имидазо[1,2-d][1,4]оксазепин-9-ил)амино)пропионамида, и рентгеновская порошковая дифрактограмма которой по существу представляет собой такую, как показано на Фигуре 5.
В дополнительных предпочтительных вариантах осуществления настоящего изобретения соединение формулы (I) представляет собой кристаллическую форму (S)-2-((2-((R)-4-(дифторметил)-2-оксотиазолидин-3-ил)-5,6-дигидробензо[f]имидазо[1,2-d][1,4]оксазепин-9-ил)амино)пропионамида, где М представляет собой мезилатную соль, и у представляет собой 1, то есть кристаллическую форму С мезилатной соли, имеющую следующую структуру:
при этом рентгеновская порошковая дифрактограмма которой включает один или более дифракционных пиков при 2θ, равном 22,5±0,2°, 8,5±0,2°, 7,2±0,2°, 14,4±0,2°, 26,7±0,2°, 25,3±0,2°, 12,8±0,2°, 16,7±0,2°, 6,1±0,2°, 12,1±0,2°, 15,2±0,2° и 22,0±0,2°; и предпочтительно включает необязательные 2, 4, 6, 8 или 10 из указанных выше дифракционных пиков;
или рентгеновская порошковая дифрактограмма которой включает два или три дифракционных пика при 2θ, равном 22,5±0,2°, 8,5±0,2° и 7,2±0,2°, необязательно дополнительно включает один или более дифракционных пиков при 2θ, равном 14,4±0,2°, 26,7±0,2°, 12,8±0,2°, 16,7±0,2° и 6,1±0,2°; и предпочтительно включает 2, 3, 4 или 5 из указанных выше дифракционных пиков;
например, рентгеновская порошковая дифрактограмма которой имеет характеристические пики при 2θ, равном 22,5±0,2°, 8,5±0,2°, 7,2±0,2°, 14,4±0,2°, 26,7±0,2°, 12,8±0,2°, 16,7±0,2° и 6,1±0,2°.
Или рентгеновская порошковая дифрактограмма которой имеет дифракционные пики при 2θ, равном 7,2±0,2°, 14,4±0,2°, 22,5±9,2° и 26,7±9,2°; дополнительно имеет дифракционные пики при 2θ, равном 6,1±0,2°, 12,8±0,2°, 16,7±0,2° и 20,8±0,2°; еще дополнительно имеет дифракционные пики при 2θ, равном 8,5±0,2°, 15,2±0,2°, 22,0±0,2° и 25,3±0,2°; и еще дополнительно имеет дифракционные пики при 2θ, равном 12,1±0,2°, 19,1±0,2° и 23,8±0,2°.
Полученные с использованием Cu-Kα излучение, характеристические пики рентгеновской дифракции, представленные значением угла 2θ и межплоскостного расстояния d, показаны в Таблице 4.
Соединение формулы (Ia) согласно настоящему изобретению представляет собой кристаллическую форму С мезилатной соли
(S)-2-((2-((R)-4-(дифторметил)-2-оксотиазолидин-3-ил)-5,6-дигидробензо[f]имидазо[1,2-d][1,4]оксазепин-9-ил)амино)пропионамида, и рентгеновская порошковая дифрактограмма которой по существу представляет собой такую, как показано на Фигуре 6.
В дополнительных предпочтительных вариантах осуществления настоящего изобретения соединение формулы (I) представляет собой кристаллическую форму (S)-2-((2-((R)-4-(дифторметил)-2-оксотиазолидин-3-ил)-5,6-дигидробензо[f]имидазо[1,2-d][1,4]оксазепин-9-ил)амино)пропионамида, где М представляет собой сульфатную соль, и у представляет собой 1, то есть кристаллическую форму А сульфатной соли, имеющую следующую структуру:
при этом рентгеновская порошковая дифрактограмма которой включает один или более дифракционных пиков при 2θ, равном 8,4±0,2°, 7,2±0,2°, 20,1±0,2°, 22,7±0,2°, 24,5±0,2°, 25,7±0,2°, 18,9±0,2°, 26,7±0,2°, 16,4±0,2°, 18,2±0,2°, 22,0±0,2° и 12,6±0,2°; и предпочтительно включает необязательные 2, 4, 6, 8 или 10 из указанных выше дифракционных пиков;
или рентгеновская порошковая дифрактограмма которой включает два или три дифракционных пика при 2θ, равном 8,4±0,2°, 7,2±0,2° и 20,1±0,2°, необязательно дополнительно включает один или более дифракционных пиков при 2θ, равном 22,7±0,2°, 24,5±0,2°, 25,7±0,2°, 18,9±0,2° и 16,4±0,2°; и предпочтительно включает 2, 3, 4 или 5 из указанных выше дифракционных пиков;
например, рентгеновская порошковая дифрактограмма которой имеет дифракционные пики при 2θ, равном 8,4±0,2°, 7,2±0,2°, 20,1±0,2°, 22,7±0,2°, 24,5±0,2°, 25,7±0,2°, 18,9±0,2° и 16,4±0,2°.
Или рентгеновская порошковая дифрактограмма которой имеет дифракционные пики при 2θ, равном 7,2±0,2°, 8,4±0,2°, 20,1±0,2° и 22,7±0,2°; дополнительно имеет дифракционные пики при 2θ, равном 5,8±0,2°, 16,4±0,2°, 18,9±0,2° и 26,7±0,2°; еще дополнительно имеет дифракционные пики при 2θ, равном 12,6±0,2°, 14,7±0,2°, 17,2±0,2° и 25,1±0,2°; и еще дополнительно имеет дифракционные пики при 2θ, равном 14,4±0,2°, 18,2±0,2°, 24,5±0,2° и 25,7±0,2°.
Полученные с использованием Cu-Kα излучение, характеристические пики рентгеновской дифракции, представленные значением угла 2θ и межплоскостного расстояния d, показаны в Таблице 5.
Соединение формулы (Ia) в соответствии с настоящим изобретением представляет собой кристаллическую форму А сульфатной соли (S)-2-((2-((R)-4-(дифторметил)-2-оксотиазолидин-3-ил)-5,6-дигидробензо[f]имидазо[1,2-d][1,4]оксазепин-9-ил)амино)пропионамида, и рентгеновская порошковая дифрактограмма которой по существу представляет собой такую, как показано на Фигуре 7.
В дополнительных предпочтительных вариантах осуществления настоящего изобретения соединение формулы (I) представляет собой кристаллическую форму (S)-2-((2-((R)-4-(дифторметил)-2-оксотиазолидин-3-ил)-5,6-дигидробензо[f]имидазо[1,2-d][1,4]оксазепин-9-ил)амино)пропионамида, где М представляет собой сульфатную соль, и у представляет собой 1, то есть кристаллическую форму В сульфатной соли, имеющую следующую структуру:
при этом рентгеновская порошковая дифрактограмма которой включает один или более дифракционных пиков при 2θ, равном 4,8±0,2°, 7,6±0,2°, 12,2±0,2°, 14,0±0,2°, 18,5±0,2°, 22,9±0,2°, 23,8±0,2° и 24,9±0,2°; и предпочтительно включает необязательные 2, 4, 6 или 8 из указанных выше дифракционных пиков;
например, рентгеновская порошковая дифрактограмма которой имеет дифракционные пики при 2θ, равном 4,8±0,2°, 7,6±0,2°, 12,2±0,2°, 14,0±0,2°, 18,5±0,2°, 22,9±0,2°, 23,8±0,2° и 24,9±0,2°.
Или рентгеновская порошковая дифрактограмма которой имеет дифракционные пики при 2θ, равном 4,8±0,2° и 7,6±0,2°; и дополнительно имеет дифракционные пики при 2θ, равном 12,2±0,2°, 14,0±0,2°, 18,5±0,2°, 22,9±0,2° и 23,8±0,2°.
Полученные с использованием Cu-Kα излучения, характеристические пики рентгеновской дифракции, представленные значением угла 2θ и межплоскостного расстояния d, показаны в Таблице 6.
Соединение формулы (I) в соответствии с настоящим изобретением представляет собой кристаллическую форму В сульфатной соли (S)-2-((2-((R)-4-(дифторметил)-2-оксотиазолидин-3-ил)-5,6-дигидробензо[f]имидазо[1,2-d][1,4]оксазепин-9-ил)амино)пропионамида, и рентгеновская порошковая дифрактограмма которой по существу представляет собой такую, как показано на Фигуре 8.
В дополнительных предпочтительных вариантах осуществления настоящего изобретения соединение формулы (I) представляет собой кристаллическую форму (S)-2-((2-((R)-4-(дифторметил)-2-оксотиазолидин-3-ил)-5,6-дигидробензо[f]имидазо[1,2-d][1,4]оксазепин-9-ил)амино)пропионамида, где М представляет собой сульфатную соль, и у представляет собой 1, то есть кристаллическую форму С сульфатной соли, имеющую следующую структуру:
при этом рентгеновская порошковая дифрактограмма которой включает один или более дифракционных пиков при 2θ, равном 24,5±0,2°, 13,3±0,2°, 23,9±0,2°, 9,0±0,2°, 17,3±0,2°, 19,4±0,2°, 26,9±0,2°, 20,4±0,2°, 17,7±0,2°, 9,9±0,2°, 20,0±0,2° и 28,3±0,2°; и предпочтительно включает необязательные 2, 4, 6, 8 или 10 из указанных выше дифракционных пиков;
или рентгеновская порошковая дифрактограмма которой включает два или три дифракционных пика при 2θ, равном 24,5±0,2°, 13,3±0,2° и 23,9±0,2°, необязательно дополнительно включает один или более дифракционных пиков при 2θ, равном 9,0±0,2°, 17,3±0,2°, 19,4±0,2°, 17,7±0,2° и 9,9±0,2°; и предпочтительно включает 2, 3, 4 или 5 из указанных выше дифракционных пиков;
например, рентгеновская порошковая дифрактограмма которой имеет дифракционные пики при 2θ, равном 24,5±0,2°, 13,3±0,2°, 23,9±0,2°, 9,0±0,2°, 17,3±0,2°, 19,4±0,2°, 17,7±0,2° и 9,9±0,2°.
Или рентгеновская порошковая дифрактограмма которой имеет дифракционные пики при 2θ, равном 9,0±0,2°, 13,3±0,2°, 17,3±0,2° и 24,5±0,2°; дополнительно имеет дифракционные пики при 2θ, равном 9,9±0,2°, 17,7±0,2°, 19,4±0,2° и 26,9±0,2°; еще дополнительно имеет дифракционные пики при 2θ, равном 14,3±0,2°, 18,6±0,2°, 28,3±0,2° и 37,5±0,2°; и еще дополнительно имеет дифракционные пики при 2θ, равном 16,7±0,2°, 20,0±0,2°, 20,4±0,2°, 24,0±0,2° и 30,4±0,2°.
Полученные с использованием Cu-Kα излучения, характеристические пики рентгеновской дифракции, представленные значением угла 2θ и межплоскостного расстояния d, показаны в Таблице 7.
Соединение формулы (Ia) согласно настоящему изобретению представляет собой кристаллическую форму С сульфатной соли (S)-2-((2-((R)-4-(дифторметил)-2-оксотиазолидин-3-ил)-5,6-дигидробензо[f]имидазо[1,2-d][1,4]оксазепин-9-ил)амино)пропионамида, и рентгеновская порошковая дифрактограмма которой по существу представляет собой такую, как показано на Фигуре 9.
В дополнительных предпочтительных вариантах осуществления настоящего изобретения соединение формулы (I) представляет собой кристаллическую форму (S)-2-((2-((R)-4-(дифторметил)-2-оксотиазолидин-3-ил)-5,6-дигидробензо[f]имидазо[1,2-d][1,4]оксазепин-9-ил)амино)пропионамида, где М представляет собой сульфатную соль, и у представляет собой 1, то есть кристаллическую форму D сульфатной соли, имеющую следующую структуру:
при этом рентгеновская порошковая дифрактограмма которой включает один или более дифракционных пиков при 2θ, равном 7,6±0,2°, 22,5±0,2°, 8,9±0,2°, 15,0±0,2°, 23,9±9,2°, 26,6±0,2°, 24,6±9,2°, 5,8±9,2°, 12,9±9,2°, 19,9±0,2°, 29,7±9,2° и 11,6±0,2°; и предпочтительно включает необязательные 2, 4, 6, 8 или 10 из указанных выше дифракционных пиков;
или рентгеновская порошковая дифрактограмма которой включает два или три дифракционных пика при 2θ, равном 7,6±0,2°, 22,5±0,2° и 8,9±0,2°, необязательно дополнительно включает один или более дифракционных пиков при 2θ, равном 15,9±9,2°, 26,6±9,2°, 5,8±9,2°, 12,9±9,2° и 11,6±9,2°; и предпочтительно включает 2, 3, 4 или 5 из указанных выше дифракционных пиков;
например, рентгеновская порошковая дифрактограмма имеет дифракционные пики при 2θ, равном 7,6±9,2°, 22,5±9,2°, 8,9±9,2°, 15,9±9,2°, 26,6±9,2°, 5,8±9,2°, 12,9±9,2° и 11,6±9,2°.
Или рентгеновская порошковая дифрактограмма которой имеет дифракционные пики при 2θ, равном 7,6±9,2°, 15,9±9,2°, 22,5±9,2° и 23,9±9,2°; дополнительно имеет дифракционные пики при 2θ, равном 5,8±9,2°, 12,9±9,2°, 19,9±9,2° и 26,6±9,2°; еще дополнительно имеет дифракционные пики при 29, равном 8,9±0,2°, 16,8±9,2°, 29,7±9,2° и 24,6±9,2°; и еще дополнительно имеет дифракционные пики при 2θ, равном 19,1±9,2°, 11,6±9,2°, 17,4±0,2°, 18,2±0,2°, 19,1±9,2°, 21,9±0,2°, 25,4±0,2° и 27,7±9,2°.
Полученные с использованием Cu-Kα излучения, характеристические пики рентгеновской дифракции, представленные значением угла 2θ и межплоскостного расстояния d, показаны в Таблице 8.
Соединение формулы (Ia) согласно настоящему изобретению представляет собой кристаллическую форму D сульфатной соли (S)-2-((2-((R)-4-(дифторметил)-2-оксотиазолидин-3-ил)-5,6-дигидробензо[f]имидазо[1,2-d][1,4]оксазепин-9-ил)амино)пропионамида, и рентгеновская порошковая дифрактограмма которой по существу представляет собой такую, как показано на Фигуре 10.
В дополнительных предпочтительных вариантах осуществления настоящего изобретения соединение формулы (I) представляет собой кристаллическую форму (S)-2-((2-((R)-4-(дифторметил)-2-оксотиазолидин-3-ил)-5,6-дигидробензо[f]имидазо[1,2-d][1,4]оксазепин-9-ил)амино)пропионамида, где М представляет собой сульфатную соль, и у представляет собой 1, то есть кристаллическую форму Е сульфатной соли, имеющую следующую структуру:
при этом рентгеновская порошковая дифрактограмма которой включает один или более дифракционных пиков при 2θ, равном 17,7±0,2°, 23,5±0,2°, 24,8±0,2°, 9,9±0,2°, 22,6±0,2°, 21,2±0,2°, 19,1±0,2°, 29,4±0,2°, 16,9±0,2°, 28,4±0,2°, 17,3±0,2° и 24,5±0,2°; и предпочтительно включает необязательные 2, 4, 6, 8 или 10 из указанных выше дифракционных пиков;
или рентгеновская порошковая дифрактограмма которой включает два или три дифракционных пика при 2θ, равном 17,7±0,2°, 23,5±0,2° и 24,8±0,2°, необязательно дополнительно содержит один или более дифракционных пиков при 2θ, равном 9,9±0,2°, 22,6±0,2°, 21,2±0,2°, 19,1±0,2° и 29,4±0,2°; и предпочтительно включает 2, 3, 4 или 5 из указанных выше дифракционных пиков;
например, рентгеновская порошковая дифрактограмма которой имеет дифракционные пики при 2θ, равном 17,7±0,2°, 23,5±0,2°, 24,8±0,2°, 9,9±0,2°, 22,6±0,2°, 21,2±9,2°, 19,1±9,2° и 29,4±9,2°.
Или рентгеновская порошковая дифрактограмма которой имеет дифракционные пики при 2θ, равном 9,9±0,2°, 17,7±0,2°, 22,6±9,2° и 24,8±9,2°; дополнительно имеет дифракционные пики при 2θ, равном 16,9±9,2°, 21,2±9,2°, 23,5±9,2° и 29,4±9,2°; еще дополнительно имеет дифракционные пики при 2θ, равном 17,3±9,2°, 19,1±9,2°, 28,4±9,2° и 39,5±9,2°; и еще дополнительно имеет дифракционные пики при 2θ, равном 14,1±9,2°, 16,2±9,2°, 19,6±9,2°, 29,7±9,2°, 24,5±9,2° и 26,5±9,2°.
Полученные с использованием Cu-Kα излучения, характеристические пики рентгеновской дифракции, представленные значением угла 2θ и межплоскостного расстояния d, показаны в Таблице 9.
Соединение формулы (Ia) согласно настоящему изобретению представляет собой кристаллическую форму Е сульфатной соли (S)-2-((2-((R)-4-(дифторметил)-2-оксотиазолидин-3-ил)-5,6-дигидробензо[f]имидазо[1,2-d][1,4]оксазепин-9-ил)амино)пропионамида, и рентгеновская порошковая дифрактограмма которой по существу представляет собой такую, как показано на Фигуре 11.
Другой целью настоящего изобретения является обеспечение фармацевтической композиции, содержащей терапевтически эффективное количество соединения формулы (I) и его кристаллической формы и одного или более фармацевтически приемлемых носителей, разбавителей или эксципиентов,
где:
W выбран из группы, состоящей из -О-, -S- H-NRaa-;
G выбран из группы, состоящей из -О-, -S-, -CRaaRbb- H-NRaa-;
каждый из R1 и R1' выбран из группы, состоящей из водорода, дейтерия, циано, галогена, нитро, амино, C1-6 алкила, C1-6 галогеналкила, C1-6 алкокси, C1-6 гидроксиалкила, цианозамещенного C1-6 алкила, С3-8 циклоалкила, 3-8-членного гетероциклила, C6-10арила, 5-10-членного гетероарила, -(CH2)nRcc, -(CH2)nORcc и -CRaaRbbORcc;
или R1 и R1' соединены вместе с образованием С3-8 циклоалкила или 3-8-членного гетероциклила, где указанный С3-8 циклоалкил или 3-8-членный гетероциклил необязательно дополнительно замещен одним или более заместителями, выбранными из группы, состоящей из дейтерия, циано, галогена, нитро, амино, С1-6 алкила, С1-6 галогеналкила, C1-6 алкокси, C1-6 гидроксиалкила, С3-8 циклоалкила, 3-8-членного гетероциклила, C6-10 арила и 5-10-членного гетероарила;
R2 выбран из группы, состоящей из водорода, дейтерия, циано, галогена, нитро, амино, C1-6 алкила, С1-6 галогеналкила, С1-6 алкокси, С1-6 гидроксиалкила, С3-8 циклоалкила, 3-8-членного гетероциклила, С6-10 арила, 5-10-членного гетероарила и -(CH2)nORcc;
или любые два R2 соединены вместе с образованием С3-8 циклоалкила или 3-8-членного гетероциклила, где указанный С3-8 циклоалкил или 3-8-членный гетероциклил необязательно дополнительно замещен одним или более заместителями, выбранными из группы, состоящей из дейтерия, циано, галогена, нитро, амино, С1-6 алкила, C1-6 галогеналкила, C1-6 алкокси, C1-6 гидроксиалкила, С3-8 циклоалкила, 3-8-членного гетероциклила, C6-10 арила и 5-10-членного гетероарила;
каждый из R3 и R3' выбран из группы, состоящей из водорода, дейтерия, циано, галогена, нитро, амино, C1-6 алкила, C1-6 галогеналкила, C1-6 алкокси, C1-6 гидроксиалкила, С3-8 циклоалкила, 3-8-членного гетероциклила, C6-10 арила и 5-10-членного гетероарила;
или R3 и R3' соединены вместе с образованием оксо, С3-8 циклоалкила или 3-8-членного гетероциклила, где указанный С3-8 циклоалкил или 3-8-членный гетероциклил необязательно дополнительно замещен одним или более заместителями, выбранными из группы, состоящей из дейтерия, циано, галогена, нитро, амино, C1-6 алкила, C1-6 галогеналкила, C1-6 алкокси, C1-6 гидроксиалкила, С3-8 циклоалкила, 3-8-членного гетероциклила, С6-10 арила и 5-10-членного гетероарила;
R4 выбран из группы, состоящей из водорода, дейтерия, циано, галогена, нитро, амино, C1-6 алкила, C1-6 галогеналкила, C1-6 алкокси, C1-6 гидроксиалкила, С3-8 циклоалкила, 3-8-членного гетероциклила, C6-10 арила и 5-10-членного гетероарила;
R5 выбран из группы, состоящей из водорода, дейтерия, С1-6 алкила и C1-6 галогеналкила;
или R1 или R1' соединены с R5 с образованием 3-8-членного гетероциклила, где указанный 3-8-членный гетероциклил необязательно дополнительно замещен одним или более заместителями, выбранными из группы, состоящей из дейтерия, циано, галогена, нитро, амино, C1-6 алкила, C1-6 галогеналкила, C1-6 алкокси, C1-6 гидроксиалкила, С3-8 циклоалкила, 3-8-членного гетероциклила, C6-10 арила и 5-10-членного гетероарила;
каждый из Raa, Rbb и Rcc независимо выбран из группы, состоящей из водорода, дейтерия, циано, галогена, нитро, амино, C1-6 алкила, C1-6 галогеналкила, C1-6 алкокси, C1-6 гидроксиалкила, С3-8 циклоалкила, 3-8-членного гетероциклила, C6-10 арила и 5-10-членного гетероарила;
М представляет собой неорганическую кислоту или органическую кислоту, где указанная неорганическая кислота выбрана из группы, состоящей из соляной кислоты, серной кислоты, азотной кислоты, бромистоводородной кислоты, фтористоводородной кислоты, иодистоводородной кислоты и фосфорной кислоты; и указанная органическая кислота выбрана из группы, состоящей из 2,5-дигидроксибензойной кислоты, 1-гидрокси-2-нафтойной кислоты, уксусной кислоты, дихлоруксусной кислоты, трихлоруксусной кислоты, ацетогидроксамовой кислоты, адипиновой кислоты, бензолсульфоновой кислоты, 4-хлорбензолсульфоновой кислоты, бензойной кислоты, 4-ацетамидобензойной кислоты, 4-аминобензойной кислоты, каприновой кислоты, капроновой кислоты, каприловой кислоты, коричной кислоты, лимонной кислоты, циклоаминовой кислоты, камфорсульфоновой кислоты, аспарагиновой кислоты, камфорной кислоты, глюконовой кислоты, глюкуроновой кислоты, глутаминовой кислоты, изоаскорбиновой кислоты, молочной кислоты, яблочной кислоты, миндальной кислоты, пироглутаминовой кислоты, винной кислоты, додецилсерной кислоты, дибензоилвинной кислоты, этан-1,2-дисульфоновой кислоты, этансульфоновой кислоты, муравьиной кислоты, фумаровой кислоты, галактоновой кислоты, гентизиновой кислоты, глутаровой кислоты, 2-кетоглутаровой кислоты, гликолевой кислоты, гиппуровой кислоты, изетионовой кислоты, лактобионовой кислоты, аскорбиновой кислоты, аспарагиновой кислоты, лауриновой кислоты, камфорной кислоты, малеиновой кислоты, малоновой кислоты, метансульфоновой кислоты, 1,5-нафталиндисульфоновой кислоты, нафталин-2-сульфоновой кислоты, никотиновой кислоты, олеиновой кислоты, оротовой кислоты, щавелевой кислоты, пальмитиновой кислоты, эмбоновой кислоты, пропионовой кислоты, салициловой кислоты, 4-аминосалициловой кислоты, себациновой кислоты, стеариновой кислоты, янтарной кислоты, тиоциановой кислоты, ундециленовой кислоты, трифторуксусной кислоты, бензолсульфоновой кислоты, п-толуолсульфоновой кислоты и L-яблочной кислоты;
n представляет собой целое число от 0 до 3;
х представляет собой целое число от 0 до 3; и
у представляет собой целое число от 1 до 5, предпочтительно целое число от 1 до 3, более предпочтительно 1.
В предпочтительных вариантах осуществления настоящего изобретения в соли присоединения кислоты формулы (I)
каждый из R1 и R1' выбран из группы, состоящей из водорода, C1-6 алкила, C1-6 гидроксиалкила, C1-6 галогеналкила, C1-6 алкокси, 3-8-членного гетероциклила, -(CH2)nORcc и -CRaaRbbORcc, предпочтительно водорода, C1-3 алкила, C1-3 гидроксиалкила, C1-3 галогеналкила, С1-3 алкокси, 3-6-членного гетероциклила, -(CH2)nORcc и -CRaaRbbORcc, более предпочтительно водорода, метила, этила, пропила, изопропила, метокси, этокси, пропокси, фторметила, фторэтила, фторпропила, хлорметила, хлорэтила, хлорпропила, гидроксиметила, гидроксиэтила, гидроксипропила, оксациклопропила, оксациклобутила, оксациклопентила, оксациклогексила, азациклопропила, азациклобутила, азациклопентила, азациклогексила, -СН2ОСН3, -(СН2)2OCH3, -СН(СН3)ОСН3 и -С(СН3)2ОСН3, более предпочтительно водорода, метила, метокси, изопропила, фторсодержащего метила, гидроксиметила, оксациклобутила, -СН2ОСН3 и -СН(СН3)ОСН3.
В предпочтительных вариантах осуществления настоящего изобретения в соли присоединения кислоты формулы (I)
R2 выбран из группы, состоящей из водорода, C1-6 алкила, галогена, циано и -(CH2)nORcc, предпочтительно водорода, С1-3 алкила, галогена, циано и -(CH2)nORcc, более предпочтительно водорода, метила, этила, пропила, метокси, этокси, пропокси, фтора, хлора, брома и циано и еще более предпочтительно водорода, фтора, метила, метокси и циано;
или любые два R2 соединены вместе с образованием замещенного или незамещенного С3-6 циклоалкила или замещенного или незамещенного 3-6-членного гетероциклила, предпочтительно замещенного или незамещенного C3-6 циклоалкила или замещенного или незамещенного 3-6-членного гетероциклила, содержащего от 1 до 3 атомов, выбранных из группы, состоящей из N, О и S, более предпочтительно циклопропила, циклобутила, циклопентила, циклогексила, оксациклопропила, оксациклобутила, оксациклопентила, оксациклогексила, азациклопропила, азациклобутила, азациклопентила или азациклогексила и еще более предпочтительно циклобутила, циклопентила, 1,3-диоксоциклопентила или 1,3-диоксоциклогексила.
В предпочтительных вариантах осуществления настоящего изобретения в соли присоединения кислоты формулы (I)
каждый из R3 и R3' выбран из группы, состоящей из водорода, С1-6 алкила, галогена, циано и C1-6 алкокси, предпочтительно водорода, C1-3 алкила, галогена, циано и C1-3 алкокси, более предпочтительно водорода, метила, этила, пропила, фтора, хлора, брома, циано, метокси, этокси и пропокси, более предпочтительно водорода, фтора, метила, метокси и циано;
или R3 и R3' соединены вместе с образованием оксо, С3-6 циклоалкила или 3-6-членного гетероциклила, предпочтительно оксо, С3-6 циклоалкила или 3-6-членного гетероциклила, содержащего от 1 до 3 атомов N, О или S, более предпочтительно оксо, циклопропила, циклобутила, циклопентила, циклогексила, оксациклопропила, оксациклобутила, оксациклопентила, оксациклогексила, азациклопропила, азациклобутила, азациклопентила или азациклогексила и еще более предпочтительно оксо, циклопропила или оксациклобутила.
В предпочтительных вариантах осуществления настоящего изобретения в соли присоединения кислоты формулы (I)
R4 выбран из группы, состоящей из водорода, C1-6 алкила, галогена, циано, C1-6 галогеналкила и С3-8 циклоалкила, предпочтительно водорода, С1-3 алкила, галогена, циано, C1-3 галогеналкила и С3-6 циклоалкила, более предпочтительно водорода, метила, этила, пропила, фтора, хлора, брома, циано, фторметила, фторэтила, хлорметила, хлорэтила, трифторметила, трифторэтила, трихлорметила, трихлорэтила, циклопропила, циклобутила, циклопентила и циклогексила и еще более предпочтительно водорода, фтора, хлора, метила, трифторметила, циано и циклопропила.
В предпочтительных вариантах осуществления настоящего изобретения в соли присоединения кислоты формулы (I)
R5 выбран из группы, состоящей из водорода, C1-6 алкила и C1-6 галогеналкила, предпочтительно водорода, C1-3 алкила и С1-3 галогеналкила, более предпочтительно водорода, метила, этила, пропила, фторсодержащего метила, фторсодержащего этила, фторсодержащего пропила, хлорсодержащего метила, хлорсодержащего этила и хлорсодержащего пропила и еще более предпочтительно водорода и метила;
или R1 или R1' соединены с R5 с образованием 3-6-членного гетероциклила, необязательно замещенного одним или более заместителями, выбранными из группы, состоящей из фтора, хлора, брома, метила, этила и пропила, предпочтительно азациклопропила, азациклобутила, азациклопентила, азациклогексила, фторзамещенного азациклопропила, фторзамещенного азациклобутила, фторзамещенного азациклопентила, фторзамещенного азациклогексила, метилзамещенного азациклопропила, метилзамещенного азациклобутила, метилпирролидинила или метилзамещенного азациклогексила и еще более предпочтительно азациклобутила, азациклопентила или метилпирролидинила.
В предпочтительных вариантах осуществления настоящего изобретения в соли присоединения кислоты формулы (I)
каждый из Raa, Rbb и Rcc независимо выбран из группы, состоящей из водорода, C1-6 алкила, C1-6 алкокси, С3-8 циклоалкила и 3-8-членного гетероциклила, предпочтительно водорода, C1-3 алкила, С1-3 алкокси, С3-6 циклоалкила или 3-6-членного гетероциклила, содержащего от 1 до 3 атомов N, О или S, более предпочтительно водорода, метила, этила, пропила, метокси, этокси, пропокси, циклопропила, циклобутила, циклопентила, циклогексила, оксациклопропила, оксациклобутила, оксациклопентила и оксациклобутила и еще более предпочтительно водорода, метила, этила, изопропила, метокси, циклопропила и оксациклобутила.
В предпочтительных вариантах осуществления настоящего изобретения в соли присоединения кислоты формулы (I)
М выбран из группы, состоящей из серной кислоты, фосфорной кислоты, бензолсульфоновой кислоты, коричной кислоты, винной кислоты, этан-1,2-дисульфоновой кислоты, этансульфоновой кислоты, фумаровой кислоты и метансульфоновой кислоты, предпочтительно серной кислоты, винной кислоты, этан-1,2-дисульфоновой кислоты, этансульфоновой кислоты, фумаровой кислоты и метансульфоновой кислоты, более предпочтительно серной кислоты, этан-1,2-дисульфоновой кислоты, этансульфоновой кислоты и метансульфоновой кислоты и еще более предпочтительно этансульфоновой кислоты.
В предпочтительных вариантах осуществления настоящего изобретения в соли присоединения кислоты формулы (I) W представляет собой -О-.
В предпочтительных вариантах осуществления настоящего изобретения в соли присоединения кислоты формулы (I) G представляет собой -О- или -S-.
В предпочтительных вариантах осуществления настоящего изобретения в соли присоединения кислоты формулы (I) R5 представляет собой водород.
В предпочтительных вариантах осуществления настоящего изобретения в соли присоединения кислоты формулы (I) R1' и R3' представляют собой водород.
В предпочтительных вариантах осуществления настоящего изобретения соль присоединения кислоты формулы (I) дополнительно представляет собой такую, как показано в формуле (II-А) или (II-В):
В предпочтительных вариантах осуществления настоящего изобретения конкретная структура соли присоединения кислоты формулы (I) является следующей:
Другой целью настоящего изобретения является обеспечение применения соединения формулы (I) и его кристаллической формы, а также фармацевтической композиции, содержащей их, для получения PI3K-ингибирующего лекарственного препарата и предпочтительно PI3Kα-ингибирующего лекарственного препарата.
Другой целью настоящего изобретения является обеспечение соединения формулы (I), соли
(S)-2-((2-((R)-4-(дифторметил)-2-оксотиазолидин-3-ил)-5,6-дигидробензо[f]имидазо[1,2-d][1,4]оксазепин-9-ил)амино)пропионамида и их кристаллической формы и одного или более фармацевтически приемлемых носителей, разбавителей или эксципиентов.
Другой целью настоящего изобретения является обеспечение применения соединения формулы (I), соли (S)-2-((2-((R)-4-(дифторметил)-2-оксотиазолидин-3-ил)-5,6-дигидробензо[f]имидазо[1,2-d][1,4]оксазепин-9-ил)амино)пропионамида и их кристаллической формы, и содержащей их фармацевтической композиции для получения PI3K-ингибирующего лекарственного препарата и предпочтительно PI3Kα-ингибирующего лекарственного препарата.
Применение представляет собой применение для получения лекарственного препарата для лечения рака, заболевания костей, воспалительного заболевания, иммунного заболевания, заболевания нервной системы, метаболического заболевания, респираторного заболевания и заболевания сердца; где рак представляет собой рак, выбранный из группы, состоящей из рака молочной железы, рака поджелудочной железы, не мелкоклеточного рака легкого (НМРЛ), рака щитовидной железы, семиномы, меланомы, рака мочевого пузыря, рака печени, рака почки, миелодиспластического синдрома (МДС), острого миелоидного лейкоза (ОМЛ) и колоректального рака.
ОПИСАНИЕ ГРАФИЧЕСКИХ МАТЕРИАЛОВ
Фигура 1 представляет собой рентгеновскую порошковую дифрактограмму (XRPD) кристаллической формы А этансульфонатной соли (S)-2-((2-((R)-4-(дифторметил)-2-оксотиазолидин-3-ил)-5,6-дигидробензо[f]имидазо[1,2-d][1,4]оксазепин-9-ил)амино)пропионамида.
Фигура 2 представляет собой профиль термогравиметрического анализа (ТГА) кристаллической формы А этансульфонатной соли (S)-2-((2-((R)-4-(дифторметил)-2-оксотиазолидин-3-ил)-5,6-дигидробензо[f]имидазо[1,2-d][1,4]оксазепин-9-ил)амино)пропионамида.
Фигура 3 представляет собой профиль дифференциальной сканирующей калориметрии (ДСК) кристаллической формы А этансульфонатной соли (S)-2-((2-((R)-4-(дифторметил)-2-оксотиазолидин-3-ил)-5,6-дигидробензо[f]имидазо[1,2-d][1,4]оксазепин-9-ил)амино)пропионамида.
Фигура 4 представляет собой рентгеновскую порошковую дифрактограмму (XRPD) кристаллической формы А мезилатной соли (S)-2-((2-((R)-4-(дифторметил)-2-оксотиазолидин-3-ил)-5,6-дигидробензо[f]имидазо[1,2-d][1,4]оксазепин-9-ил)амино)пропионамида.
Фигура 5 представляет собой рентгеновскую порошковую дифрактограмму (XRPD) кристаллической формы В мезилатной соли (S)-2-((2-((R)-4-(дифторметил)-2-оксотиазолидин-3-ил)-5,6-дигидробензо[f]имидазо[1,2-d][1,4]оксазепин-9-ил)амино)пропионамида.
Фигура 6 представляет собой рентгеновскую порошковую дифрактограмму (XRPD) кристаллической формы С мезилатной соли (S)-2-((2-((R)-4-(дифторметил)-2-оксотиазолидин-3-ил)-5,6-дигидробензо[f]имидазо[1,2-d][1,4]оксазепин-9-ил)амино)пропионамида.
Фигура 7 представляет собой рентгеновскую порошковую дифрактограмму (XRPD) кристаллической формы А сульфатной соли (S)-2-((2-((R)-4-(дифторметил)-2-оксотиазолидин-3-ил)-5,6-дигидробензо[f]имидазо[1,2-d][1,4]оксазепин-9-ил)амино)пропионамида.
Фигура 8 представляет собой рентгеновскую порошковую дифрактограмму (XRPD) кристаллической формы В сульфатной соли (S)-2-((2-((R)-4-(дифторметил)-2-оксотиазолидин-3-ил)-5,6-дигидробензо[f]имидазо[1,2-d][1,4]оксазепин-9-ил)амино)пропионамида.
Фигура 9 представляет собой рентгеновскую порошковую дифрактограмму (XRPD) кристаллической формы С сульфатной соли (S)-2-((2-((R)-4-(дифторметил)-2-оксотиазолидин-3-ил)-5,6-дигидробензо[f]имидазо[1,2-d][1,4]оксазепин-9-ил)амино)пропионамида.
Фигура 10 представляет собой рентгеновскую порошковую дифрактограмму (XRPD) кристаллической формы D сульфатной соли (S)-2-((2-((R)-4-(дифторметил)-2-оксотиазолидин-3-ил)-5,6-дигидробензо[f]имидазо[1,2-d][1,4]оксазепин-9-ил)амино)пропионамида.
Фигура 11 представляет собой рентгеновскую порошковую дифрактограмму (XRPD) кристаллической формы Е сульфатной соли (S)-2-((2-((R)-4-(дифторметил)-2-оксотиазолидин-3-ил)-5,6-дигидробензо[f]имидазо[1,2-d][1,4]оксазепин-9-ил)амино)пропионамида.
ПОДРОБНОЕ ОПИСАНИЕ ИЗОБРЕТЕНИЯ
Если не указано иное, термины, используемые в описании и формуле изобретения, имеют приведенные ниже значения.
Термин "алкил" относится к насыщенной алифатической углеводородной группе, которая представляет собой прямую или разветвленную группу, содержащую от 1 до 20 атомов углерода, предпочтительно алкил, содержащий от 1 до 8 атомов углерода, более предпочтительно алкил, содержащий от 1 до 6 атомов углерода, и наиболее предпочтительно алкил, содержащий от 1 до 3 атомов углерода. Неограничивающие примеры включают метил, этил, н-пропил, изопропил, н-бутил, изобутил, трет-бутил, втор-бутил, н-пентил, 1,1-диметилпропил, 1,2-диметилпропил, 2,2-диметилпропил, 1-этилпропил, 2-метилбутил, 3-метилбутил, н-гексил, 1-этил-2-метилпропил, 1,1,2-триметилпропил, 1,1-диметилбутил, 1,2-диметилбутил, 2,2-диметилбутил, 1,3-диметилбутил, 2-этилбутил, 2-метилпентил, 3-метил пентил, 4-метилпентил, 2,3-диметилбутил, н-гептил, 2-метилгексил, 3-метилгексил, 4-метилгексил, 5-метилгексил, 2,3-диметилпентил, 2,4-диметилпентил, 2,2-диметилпентил, 3,3-диметилпентил, 2-этилпентил, 3-этилпентил, н-октил, 2,3-диметилгексил, 2,4-диметилгексил, 2,5-диметилгексил, 2,2-диметилгексил, 3,3-диметилгексил, 4,4-диметилгексил, 2-этилгексил, 3-этилгексил, 4-этилгексил, 2-метил-2-этилпентил, 2-метил-3-этилпентил, н-децил, 2-метил-2-этилгексил, 2-метил-3-этилгексил, 2,2-диэтилпентил, н-децил, 3,3-диэтилгексил, 2,2-диэтилгексил и их различные разветвленные изомеры. Алкил может быть замещенным или незамещенным. В случае, если он является замещенным, группа(ы) заместителя(ей) может быть включена в любое доступное место замещения. Группа(ы) заместителя(ей) предпочтительно представляет собой одну или более групп, независимо выбранных из группы, состоящей из алкила, алкенила, алкинила, алкокси, алкилтио, алкиламино, галогена, тиола, гидрокси, нитро, циано, циклоалкила, гетероциклила, арила, гетероарила, циклоалкокси, гетероциклоалкокси, циклоалкилтио, гетероциклилтио, оксо, карбокси и алкоксикарбонила. Алкил согласно настоящему изобретению предпочтительно выбран из группы, состоящей из метила, этила, изопропила, трет-бутила, галогеналкила, дейтерированного алкила, алкоксизамещенного алкила, гидроксизамещенного алкила и циано-замещенного алкила.
Термин "алкилен" относится к алкилу, в котором один атом водорода является дополнительно замещенным, например, "метилен" относится к -СН2-, "этилен" относится к -(СН2)2-, "пропилен" относится к -(СН2)3-, "бутилен" относится к -(СН2)4- и тому подобное. Вышеуказанные группы заместителей могут быть связаны с различными атомами углерода с образованием углеродной цепи или могут быть связаны с одним атомом углерода с образованием циклоалкила. Термин "алкенил" относится к алкилу, как определено выше, который состоит из по меньшей мере двух атомов углерода и по меньшей мере одной углерод-углеродной двойной связи, например, этенил, 1-пропенил, 2-пропенил, 1-, 2- или 3-бутенил и тому подобное. Алкенил может быть замещенным или незамещенным. В случае, если он является замещенным, группа(ы) заместителя(ей) предпочтительно представляет собой одну или более групп, независимо выбранных из группы, состоящей из алкила, алкенила, алкинила, алкокси, алкилтио, алкиламино, галогена, тиола, гидрокси, нитро, циано, циклоалкила, гетероциклила, арила, гетероарила, циклоалкокси, гетероциклоалкокси, циклоалкилтио и гетероциклилтио.
Термин "циклоалкил" относится к насыщенной или частично ненасыщенной моноциклической или полициклической углеводородной группе заместителя, имеющей от 3 до 20 атомов углерода, предпочтительно от 3 до 8 атомов углерода, более предпочтительно от 3 до 6 атомов углерода. Неограничивающие примеры моноциклического циклоалкила включают циклопропил, циклобутил, циклопентил, циклопентенил, циклогексил, циклогексенил, циклогексадиенил, циклогептил, циклогептатриенил, циклооктил и тому подобное. Полициклический циклоалкил включает циклоалкил, имеющий спиро-кольцо, конденсированное кольцо или мостиковое кольцо. Циклоалкил предпочтительно представляет собой циклопропил, циклобутил, циклогексил, циклопентил и циклогептил.
Термин "гетероциклил" относится к 3-20-членной насыщенной или частично ненасыщенной моноциклической или полициклической углеводородной группе, где один или более кольцевых атомов представляют собой гетероатомы, выбранные из группы, состоящей из азота, кислорода и S(O)m (где m представляет собой целое число от 0 до 2), но исключая кольцевой фрагмент -О-О-, -O-S- или -S-S-, при этом остальные кольцевые атомы представляют собой атомы углерода. Предпочтительно гетероциклил имеет от 3 до 12 кольцевых атомов, где от 1 до 4 атомов представляют собой гетероатомы; более предпочтительно от 3 до 8 кольцевых атомов, и наиболее предпочтительно от 3 до 8 кольцевых атомов. Неограничивающие примеры моноциклического гетероциклила включают оке ацикло бутил, пирролидинил, пирролидонил, имидазолидинил, тетрагидрофуранил, тетрагидротиенил, дигидроимидазолил, дигидрофуранил, дигидро пиразол ил, дигидропирролил, пиперидинил, пиперазинил, морфолинил, тиоморфолинил, гомопиперазинил, пиранил и тому подобное, и предпочтительно оксациклобутил, пирролидонил, тетрагидрофуранил, пиразолидинил, морфолинил, пиперазинил и пиранил. Полициклический гетероциклил включает гетероциклил, имеющий спиро-кольцо, конденсированное кольцо или мостиковое кольцо. Гетероциклил, имеющий спиро-кольцо, конденсированное кольцо или мостиковое кольцо, необязательно связан с другими группами посредством одинарной связи или дополнительно конденсирован с другими циклоалкилами, гетероциклилами, арилами и гетероарилами через любые два или более атомов в кольце.
Термин "алкокси" относится к группе -О-(алкил) и -O-(незамещенный циклоалкил), где алкил является таким, как определено выше. Алкокси предпочтительно представляет собой алкокси, имеющий от 1 до 8 атомов углерода, более предпочтительно алкокси, имеющий от 1 до 6 атомов углерода, и наиболее предпочтительно алкокси, имеющий от 1 до 3 атомов углерода. Неограничивающие примеры алкокси включают метокси, этокси, пропокси, бутокси, циклопропокси, циклобутокси, циклопентилокси и циклогексилокси. Алкокси может быть необязательно замещенным или незамещенным. В случае, если он является замещенным, группа(ы) заместителя(ей) предпочтительно представляет собой одну или более групп, независимо выбранных из группы, состоящей из алкила, алкенила, алкинила, алкокси, алкилтио, алкиламино, галогена, тиола, гидрокси, нитро, циано, циклоалкила, гетероциклила, арила, гетероарила, циклоалкокси, гетероциклоалкокси, циклоалкилтио, гетероциклилтио, карбокси и алкоксикарбонила.
Термин "галогеналкил" относится к алкилу, замещенному одним или более галогенами, где алкил является таким, как определено выше.
Термин "галогеналкокси" относится к алкокси, замещенному одним или более галогенами, где алкокси является таким, как определено выше.
Термин "гидроксиалкил" относится к алкилу, замещенному гидрокси, где алкил является таким, как определено выше.
Термин "гидрокси" относится к группе -ОН.
Термин "галоген" относится к фтору, хлору, брому или иоду.
Термин "амино" относится к группе -NH2.
Термин "циано" относится к группе -CN.
Термин "нитро" относится к группе -NO2.
Термин "ТГФ" относится к тетрагидрофурану.
Термин "EtOAc" относится к этилацетату.
Термин "ДМСО" относится к диметилсульфоксиду.
Термин "LDA" относится к диизопропиламиду лития.
Термин "DMAP" относится к 4-диметиламинопиридину.
Термин "EtMgBr" относится к бромиду этилмагния.
Термин "HOSu" относится к N-гидроксисукцинимиду.
Термин "EDCl" относится к гидрохлориду 1-(3-диметиламинопропил)-3-этилкарбодиимида.
Термин "IPA" относится к изопропанолу.
Термин "МеОН" относится к метанолу.
Термин "EtOH" относится к этанолу.
Термин "ДМФА" относится к N,N-диметилформамиду.
Термин "ДИПЭА" относится к N,N-диизопропилэтиламину.
Термин "HEPES" относится к 4-гидроксиэтилпиперазинэтансульфоновой кислоте.
Различные выражения, такие как "X выбран из группы, состоящей из А, В или С", "X выбран из группы, состоящей из А, В и С", "X представляет собой А, В или С", "X представляет собой А, В и С" и тому подобное, имеют одно и то же значение, а именно, что X может быть любым одним или более из А, В и С.
"Необязательный" или "необязательно" означает, что событие или обстоятельство, описанное впоследствии, может, но не обязательно должно, произойти, и описание включает ситуацию, в которой событие или обстоятельство происходит или не происходит.
"Замещенный" относится к одному или более атомам водорода в группе, предпочтительно вплоть до 5 и более предпочтительно от 1 до 3 атомов водорода, независимо замещенным соответствующим количеством групп заместителей. Само собой разумеется, что группы заместителей находятся только в своих возможных химических положениях. Специалист в данной области техники способен определить, возможно или невозможно провести замещение, с помощью осуществления экспериментов или на основании теоретических знаний, не прилагая чрезмерных усилий. Например, комбинация амино- или гидроксигрупп, имеющих свободные атомы водорода, и атомов углерода, имеющих ненасыщенные связи (такие как олефиновые), может быть нестабильной.
"Стереоизомерия" включает геометрическую изомерию (цис-транс изомерию), оптическую изомерию и конформационную изомерию.
Все атомы водорода в настоящем изобретении могут быть заменены изотопом дейтерия, и любой атом водорода в соединениях, участвующих в примерах настоящего изобретения, также может быть заменен атомом дейтерия.
"Фармацевтическая композиция" относится к смеси, содержащей одно или более соединений, описанных в настоящем документе, или их физиологически/фармацевтически приемлемую соль, или пролекарство с другими химическими компонентами и другими компонентами, например, физиологически/фармацевтически приемлемым носителем и эксципиентом. Назначение фармацевтической композиции заключается в облегчении введения лекарственного средства в организм и в улучшении абсорбции активного ингредиента для того, чтобы оказывать биологическую активность.
"Фармацевтически приемлемая соль" относится к соли соединения по настоящему изобретению, которая является безопасной и эффективной для применения у млекопитающих и обладает желаемой биологической активностью.
Как описано в настоящем документе, новые кристаллические формы могут быть идентифицированы с помощью рентгеновских порошковых дифрактограмм. Однако специалистам в данной области техники известно, что интенсивности пиков и/или пиковые условия рентгеновской порошковой дифракции могут варьироваться в зависимости от различных экспериментальных условий, таких как различные условия испытания на дифракцию и/или предпочтительные ориентации. Между тем, из-за различной точности различных приборов измеренное значение 2θ будет иметь погрешность около ±0,2, а отдельные пики могут иметь погрешность около ±0,3 или ±0,4. Однако известно, что значения относительной интенсивности пиков в большей степени зависят от определенных свойств измеряемого образца, таких как размер кристаллов в образце, ориентация кристаллов и чистота анализируемого материала, чем положение пиков. Следовательно, показанная интенсивность пика может иметь отклонение в диапазоне около ±20% или более.
Термин "ТГА" относится к эксперименту термогравиметрического анализа (ТГА).
Термин "ДСК" относится к эксперименту дифференциальной сканирующей калориметрии (ДСК).
Термин "XRPD" относится к эксперименту порошковой рентгеновской дифракции (XRPD).
Термин "ВЭЖХ" относится к эксперименту высокоэффективной жидкостной хроматографии (ВЭЖХ).
Термин "ФК" относится к фармакокинетическому (ФК) эксперименту.
Настоящее изобретение будет дополнительно описано со ссылкой на следующие примеры, которые не следует рассматривать как ограничивающие объем настоящего изобретения.
I. Получение соединений
Примеры: Структуры соединений по настоящему изобретению определяли с помощью ядерного магнитного резонанса (ЯМР) или/и жидкостной хромато-масс-спектрометрии (ЖХ-МС). Химический сдвиг в ЯМР (δ) указан в единицах частей на миллион (ppm). ЯМР измеряли с помощью ядерного магнитного спектрометра Bruker AVANCE-400. Растворители для измерения представляли собой дейтерированный диметилсульфоксид (ДМСО-d6), дейтерированный метанол (CD3OD) и дейтерированный хлороформ (CDCl3). Внутренним стандартом был тетраметилсилан (ТМС).
Жидкостную хромато-масс-спектрометрию (ЖХ-МС) проводили на масс-спектрометре Agilent 1200 Infinity Series. Высокоэффективную жидкостную хроматографию (ВЭЖХ) проводили на жидкостном хроматографе высокого давления Agilent 1200DAD (колонка Sunfire С18 150×4,6 мм) и жидкостном хроматографе высокого давления Waters 2695-2996 (колонка Gimini С18 150×4,6 мм).
В качестве силикагелевых пластин для тонкослойной хроматографии (ТСХ) использовали силикагелевые пластины Yantai Huanghai HSGF254 или Qingdao GF254. Размер силикагелевой пластины, используемой в ТСХ, составлял от 0,15 мм до 0,2 мм, а размер силикагелевой пластины, используемой при очистке продукта, составлял от 0,4 мм до 0,5 мм. В качестве носителя для колоночной хроматографии обычно использовали силикагель Yantai Huanghai 200-300 меш.
Исходные материалы в примерах настоящего изобретения известны и коммерчески доступны или могут быть синтезированы с использованием способов, известных в данной области техники.
Если не указано иное, все реакции по настоящему изобретению проводят при непрерывном магнитном перемешивании в атмосфере сухого азота или аргона, растворитель представляет собой сухой растворитель, а температуру реакции задают в единицах градусов Цельсия.
Промежуточное соединение 1
(S)-4-(дифторметил)оксазолидин-2-он
Стадия 1: получение (R)-3-бензил-4-(гидроксиметил)оксазолидин-2-она
(R)-оксапропан-2-илметанол (3,7 г, 50,0 ммоль) и (изоцианатометил)бензол (6,66 г, 50,0 ммоль) смешивали в дихлорметане (50 мл). Реакционный раствор нагревали до 45°С в атмосфере азота и перемешивали в течение ночи. После охлаждения добавляли 100 мл насыщенного водного раствора бикарбоната натрия и экстрагировали реакционный раствор дихлорметаном (100 мл × 2). Органические фазы объединяли, промывали насыщенным солевым раствором, сушили над безводным сульфатом натрия, концентрировали при пониженном давлении и подвергали колоночной хроматографии с получением указанного в заголовке соединения (R)-3-бензил-4-(гидроксиметил)оксазолидин-2-она (4,14 г, 40%).
МС m/z (ESI): 208,2 [М+Н]+.
Стадия 2: получение (S)-3-бензил-4-(дигидроксиметил)оксазолидин-2-она
(R)-3-бензил-4-(гидроксиметил)оксазолидин-2-он (4,14 г, 20,0 ммоль) и IBX (2-иодоксибензойная кислота, 16,8 г, 60,0 ммоль) смешивали в этилацетате (100 мл) и реакционный раствор перемешивали в атмосфере азота при 85°С в течение 3 часов. После охлаждения реакционный раствор фильтровали, и фильтрат концентрировали при пониженном давлении с получением 4,46 г неочищенного продукта (S)-3-бензил-4-(дигидроксиметил)оксазолидин-2-она, который непосредственно использовали на следующей стадии.
МС m/z (ESI): 224,2 [М+Н]+.
Стадия 3: получение (S)-3-бензил-4-(дифторметил)оксазолидин-2-она
(S)-3-бензил-4-(дигидроксиметил)оксазолидин-2-он (4,46 г, 20,0 ммоль) растворяли в дихлорметане (100 мл). DAST (4-диметиламино-N-метил-4-стилбазолия тозилат, 6,45 г, 40,0 ммоль) добавляли по каплям в атмосфере азота на ледяной бане, и реакционный раствор естественным образом нагревали до комнатной температуры и оставляли реагировать в течение 3 часов. Реакционный раствор медленно по каплям добавляли к предварительно охлажденному насыщенному водному раствору бикарбоната натрия и экстрагировали дихлорметаном (200 мл × 2). Органические фазы объединяли, концентрировали при пониженном давлении и подвергали колоночной хроматографии с получением указанного в заголовке соединения (S)-3-бензил-4-(дифторметил)оксазолидин-2-она (1,82 г, двухстадийный выход: 40%).
МС m/z (ESI): 228,2 [М+Н]+.
Стадия 4: получение (S)-4-(дифторметил)оксазолидин-2-она
(S)-3-бензил-4-(дифторметил)оксазолидин-2-он (1,82 г, 8 ммоль) растворяли в этаноле (100 мл). Добавляли Pd(OH)2/C (300 мг) и реакционный раствор перемешивали в атмосфере водорода при 70°С в течение ночи. Реакционный раствор охлаждали и фильтровали. Фильтрат концентрировали при пониженном давлении с получением указанного в заголовке соединения (S)-4-(дифторметил)оксазолидин-2-она (0,88 г, 80%).
1Н ЯМР (400 МГц, CDCl3) δ 4,05-4,18 (m, 1H), 4,39-4,45 (m, 1H), 4,54 (t, J=9,3 Гц, 1H), 5,78 (td, J=55,3, 4,7 Гц, 1H), 6,07 (s, 1H);
MCm/z (ESI): 138,1 [М+Н]+.
Промежуточное соединение 2
9-бром-2-иод-5,6-дигидробензо[f]имидазо[1,2-d][1,4]оксазепин
Стадия 1: получение 5-бром-2-(1Н-имидазол-2-ил)фенола
К метанольному раствору (250 мл) 4-бром-2-гидроксибензальдегида (24,0 г, 119 ммоль) добавляли водный раствор глиоксаля (40 мас. %, 87 г, 597 ммоль). Затем медленно по каплям добавляли водный аммиак (28 мас. %, 121 г, 860 ммоль) к реакционному раствору на водяной бане при перемешивании. Процесс добавления по каплям продолжался в течение 30 минут, и температуру реакционного раствора контролировали на уровне не выше 40°С. Затем смесь перемешивали при 35°С в течение двух дней, охлаждали и концентрировали при пониженном давлении для удаления органического растворителя и получения неочищенного продукта 5-бром-2-(1Н-имидазол-2-ил)фенола, который непосредственно использовали на следующей стадии.
МС m/z (ESI): 239,0 [М+Н]+.
Стадия 2: получение 9-бром-5,6-дигидробензо[f]имидазо[1,2-d][1,4]оксазепина
Неочищенный продукт 5-бром-2-(1Н-имидазол-2-ил)фенол (около 29 г, 119 ммоль), карбонат цезия (158 г, 485 ммоль) и 1,2-дибромэтан (42 мл, 485 ммоль) смешивали в ДМФА (250 мл). Реакционный раствор перемешивали при 85°С в течение ночи, охлаждали и разбавляли большим количеством этилацетата. Органическую фазу несколько раз промывали насыщенным солевым раствором, затем сушили над безводным сульфатом натрия, концентрировали и подвергали колоночной хроматографии с получением указанного в заголовке соединения 9-бром-5,6-дигидробензо[f]имидазо[1,2-d][1,4]оксазепина (12,5 г, двухстадийный выход: 38%).
МС m/z (ESI): 265,0 [М+Н]+.
Стадия 3: получение 9-бром-2,3-дииод-5,6-дигидробензо[f]имидазо[1,2-d][1,4]оксазепина
К раствору 9-бром-5,6-дигидробензо[f]имидазо[1,2-d][1,4]оксазепина (11,7 г, 44,1 ммоль) в ДМФА (150 мл) партиями добавляли NIS (N-иодсукцинимид, 29,8 г, 132 ммоль) при комнатной температуре. Реакционный раствор перемешивали при 60°С в течение ночи и охлаждали, затем добавляли воду для осаждения твердого вещества. После фильтрования твердое вещество растворяли в этилацетате, последовательно промывали 1 М водным раствором NaOH и насыщенным солевым раствором, сушили над безводным сульфатом натрия и концентрировали с получением указанного в заголовке соединения 9-бром-2,3-дииод-5,6-дигидробензол[f]имидазо[1,2-d][1,4]оксазепина (22,5 г, выход: 98,7%).
МС m/z (ESI): 516,7 [М+Н]+.
Стадия 4: получение 9-бром-2-иод-5,6-дигидробензо[f]имидазо[1,2-d][1,4]оксазепина
К раствору 9-бром-2,3-дииод-5,6-дигидробензо[f]имидазо[1,2-d][1,4]оксазепина (21,0 г, 40,6 ммоль) в ТГФ (140 мл) медленно по каплям добавляли EtMgBr (1,0 М раствор в ТГФ, 60,9 мл, 60,9 ммоль) при минус 20°С. После завершения добавления по каплям реакционный раствор перемешивали при минус 15°С в течение 3 часов. Реакционный раствор медленно нагревали до комнатной температуры, затем по каплям добавляли насыщенный водный раствор хлорида аммония. Реакционный раствор перемешивали в течение 15 минут и несколько раз экстрагировали этилацетатом. Органические фазы объединяли, промывали насыщенным солевым раствором, сушили над безводным сульфатом натрия, концентрировали и подвергали колоночной хроматографии с получением указанного в заголовке соединения 9-бром-2-иод-5,6-дигидробензо[f]имидазо[1,2-d][1,4]оксазепина (12,5 г, выход: 79%).
МС m/z (ESI): 390,9 [М+Н]+.
Стадия 5: получение (S)-3-(9-бром-5,6-дигидробензо[f]имидазо[1,2-d][1,4]оксазепин-2-ил)-4-(дифторметил)оксазолидин-2-она
9-бром-2-иод-5,6-дигидробензо[f]имидазо[1,2-d][1,4]оксазепин (300 мг, 0,77 ммоль), (S)-4-(дифторметил)оксазолидин-2-он (105 мг, 0,77 ммоль), (1R,2R)-N1,N2-диметилциклогексан-1,2-диамин (43 мг, 0,30 ммоль), ацетат меди (27 мг, 0,15 ммоль) и карбонат цезия (489 мг, 1,5 ммоль) смешивали в 2-метилтетрагидрофуране (6 мл). Реакционную систему продували азотом три раза, и реакцию проводили при 78°С в течение 22 часов. Реакционный раствор охлаждали до комнатной температуры и добавляли 15% водный аммиак. Реакционный раствор перемешивали в течение 5 минут и экстрагировали EtOAc три раза. Органические фазы объединяли, а затем промывали насыщенным водным раствором хлорида натрия. Фильтрат сушили над безводным сульфатом натрия, концентрировали при пониженном давлении для удаления органического растворителя, а затем подвергали разделению с помощью колоночной хроматографии с получением указанного в заголовке соединения (S)-3-(9-бром-5,6-дигидробензо[f]имидазо[1,2-d][1,4]оксазепин-2-ил)-4-(дифторметил)оксазолидин-2-она (186 мг, 61%).
1Н ЯМР (400 МГц, CDCl3) δ 4,35-4,41 (m, 2Н), 4,44-4,52 (m, 2Н), 4,53-4,55 (m, 1Н), 4,73-4,76 (m, 1H), 4,89-4,91 (m, 1H), 6,62-6,71 (m, 1H), 7,19-7,28 (m, 2Н), 7,30 (s, 1H), 8,21 (d, J=8,6 Гц, 1H);
МС m/z (ESI): 400,1 [М+Н]+.
Пример 1
Получение
(S)-2-((2-((S)-4-(дифторметил)-2-оксооксазолидин-3-ил)-3-фтор-5,6-дигидробензо[f]имидазо[1,2-d][1,4]оксазепин-9-ил)амино)пропионамида
Стадия 1: получение 9-бром-3-фтор-2-иод-5,6-дигидробензо[f]имидазо[1,2-d][1,4]оксазепина
К раствору LDA (1,28 мл, 2,56 ммоль) в тетрагидрофуране (10 мл) по каплям добавляли раствор 9-бром-2-иод-5,6-дигидробензо[f]имидазо[1,2-d][1,4]оксазепина (500 мг, 1,28 ммоль) в тетрагидрофуране (10 мл) при минус 78°С. После завершения добавления по каплям реакционный раствор перемешивали при минус 78°С в течение 30 минут. Раствор N-фторбензолсульфонамида (806 мг, 2,56 ммоль) в тетрагидрофуране (9 мл) добавляли по каплям, и реакционный раствор перемешивали при этой температуре в течение 30 минут. Реакцию гасили насыщенным водным раствором хлорида аммония. Реакционный раствор экстрагировали дихлорметаном (100 мл × 2). Органическую фазу промывали насыщенным солевым раствором, сушили над безводным сульфатом натрия, концентрировали и подвергали колоночной хроматографии с получением указанного в заголовке соединения 9-бром-3-фтор-2-иод-5,6-дигидробензо[f]имидазо[1,2-d][1,4]оксазепина (150 мг, 29%).
1Н ЯМР (400 МГц, ДМСО-d6) δ 4,31-4,34 (m, 2Н), 4,43-4,48 (m, 2Н), 7,19-7,34 (m, 2Н), 8,17 (d, J=8,6 Гц, 1H);
МС m/z (ESI): 408,9 [М+Н]+.
Стадия 2: получение (S)-3-(9-бром-3-фтор-5,6-дигидробензо[f]имидазо[1,2-d][1,4]оксазепин-2-ил)-4-(дифторметил)оксазолидин-2-она
9-бром-3-фтор-2-иод-5,6-дигидробензо[f]имидазо[1,2-d][1,4]оксазепин (100 мг, 0,24 ммоль), (S)-4-(дифторметил)оксазолидин-2-он (33,5 мг, 0,24 ммоль), (1R,2R)-N1,N2-диметилциклогексан-1,2-диамин (35 мг, 0,24 ммоль), иодид меди (46 мг, 0,24 ммоль) и фосфат калия (155 мг, 0,73 ммоль) смешивали в диметилсульфоксиде (10 мл) и реакцию проводили при 130°С в течение 3 часов. Реакционный раствор охлаждали до комнатной температуры и добавляли 15% водный аммиак. Реакционный раствор перемешивали в течение 5 минут и экстрагировали EtOAc три раза. Органические фазы объединяли, промывали насыщенным хлоридом натрия, сушили над безводным сульфатом натрия, концентрировали при пониженном давлении и подвергали колоночной хроматографии с получением указанного в заголовке соединения (S)-3-(9-бром-3-фтор-5,6-дигидробензо[f]имидазо[1,2-d][1,4]оксазепин-2-ил)-4-(дифторметил)оксазолидин-2-она (21 мг, 20%).
1Н ЯМР (400 МГц, CDCl3) δ 4,25-4,29 (m, 1H), 4,42-4,50 (m, 2Н), 4,56-4,69 (m, 4Н), 6,16-6,35 (m, 1H), 7,20-7,25 (m, 2Н), 8,15 (d, J=8,4 Гц, 1H);
МС m/z (ESI): 417,9 [М+Н]+.
Стадия 3: получение (2-((S)-4-(дифторметил)-2-оксооксазолидин-3-ил)-3-фтор-5,6-дигидробензо[f]имидазо[1,2-d][1,4]оксазепин-9-ил)-L-аланина
((S)-3-(9-бром-3-фтор-5,6-дигидробензо[f]имидазо[1,2-d][1,4]оксазепин-2-ил)-4-(дифторметил)оксазолидин-2-он (21 мг, 0,05 ммоль), L-аланин (13,5 мг, 0,15 ммоль), иодид меди (4,8 мг, 0,025 ммоль) и фосфат калия (21 мг, 0,1 ммоль) смешивали в диметилсульфоксиде (3 мл). Реакционную систему продували азотом три раза, и реакцию проводили при 100°С в течение 5 часов. Реакционный раствор охлаждали до комнатной температуры и непосредственно использовали на следующей стадии без обработки.
МС m/z (ESI): 427,1 [М+Н]+.
Стадия 4: получение (S)-2-((2-((S)-4-(дифторметил)-2-оксооксазолидин-3-ил)-3-фтор-5,6-дигидробензо[f]имидазо[1,2-d][1,4]оксазепин-9-ил)амино)пропионамида
К неочищенному реакционному раствору (2-((S)-4-(дифторметил)-2-оксооксазолидин-3-ил)-3-фтор-5,6-дигидробензо[f]имидазо[1,2-d][1,4]оксазепин-9-ил)-L-аланина с предыдущей стадии добавляли хлорид аммония (16 мг, 0,29 ммоль) и триэтиламин (76 мг, 0,75 ммоль). После перемешивания в течение 5 минут добавляли 0-(7-азабензотриазол-1-ил)-N,N,N',N'-тетраметилурония гексафторфосфат (166 мг, 0,44 ммоль). Реакционный раствор перемешивали при комнатной температуре в течение 2 часов и фильтровали. К фильтрату добавляли насыщенный водный раствор бикарбоната натрия с последующей экстракцией этилацетатом три раза. Органические фазы объединяли, сушили над безводным сульфатом натрия, концентрировали при пониженном давлении для удаления органического растворителя, а затем подвергали разделению с помощью колоночной хроматографии с получением указанного в заголовке соединения
(S)-2-((2-((S)-4-(дифторметил)-2-оксооксазолидин-3-ил)-3-фтор-5,6-дигидробензо[f]имидазо[1,2-d][1,4]оксазепин-9-ил)амино)пропионамида (8,5 мг, 39%).
1H ЯМР (400 МГц, CDCl3) δ 1,55 (d, J=7,0 Гц, 3Н), 3,70-3,87 (m, 1H), 4,21 (d, J=3,6 Гц, 2Н), 4,43 (d, J=5,2 Гц, 2Н), 4,57-4,66 (m, 2Н), 5,35 (s, 1Н), 6,10-6,27 (m, 2Н), 6,37-6,50 (m, 2Н), 8,07 (d, J=8,6 Гц, 1Н).
МС m/z (ESI): 426,1 [М+Н]+.
Пример 2
Получение
(S)-1-(2-((S)-4-(дифторметил)-2-оксооксазолидин-3-ил)-3-фтор-5,6-дигидробензо[Пимидазо[1,2-d][1,4] оксазепин-9-ил)пирролидин-2-карбоксамида
(S)-1-(2-((S)-4-(дифторметил)-2-оксооксазолидин-3-ил)-3-фтор-5,6-дигидробензо[f]имидазо[1,2-d][1,4]оксазепин-9-ил)пирролидин-2-карбоксамид получали способом, описанным в примере 1.
МС m/z (ESI): 452,1 [М+Н]+.
Пример 3
Получение
(S)-2-((3-хлор-2-((S)-4-(дифторметил)-2-оксооксазолидин-3-ил)-5,6-дигидробензо[Пимидазо[1,2-d][1,4]оксазепин-9-ил)амино)пропионамида
(S)-2-((3-хлор-2-((S)-4-(дифторметил)-2-оксооксазолидин-3-ил)-5,6-дигидробензо[f]имидазо[1,2-d][1,4]оксазепин-9-ил)амино)пропионамид получали способом, описанным в примере 1.
1H ЯМР (400 МГц, CD3OD) δ 1,46 (d, J=7,0 Гц, 3H), 3,80-3,86 (m, 1Н), 4,29-4,32 (m, 2Н), 4,43-4,46 (m, 2Н), 4,57-4,67 (m, 3H), 6,07-6,31 (m, 2Н), 6,43-6,46 (m, 1H), 7,98 (d, J=8,8 Гц, 1H);
МС m/z (ESI): 442,1 [М+Н]+.
Пример 4
Получение
(S)-2-((2-((S)-4-(дифторметил)-2-оксооксазолидин-3-ил)-3-метил-5,6-дигидробензо[f]имидазо[1,2-d][1,4]оксазепин-9-ил)амино)пропионамида
Стадия 1: получение 5-бром-2-(5-метил-1Н-имидазол-2-ил)фенола
К раствору 4-бром-2-гидроксибензальдегида (5 г, 119 ммоль) в метаноле (100 мл) добавляли водный раствор метилглиоксаля (40 мас. %, 80 мл). Затем медленно по каплям добавляли водный аммиак (28 мас. %, 40 г) на водяной бане при перемешивании. Процесс добавления по каплям продолжался в течение 30 минут, и температура раствора контролировалась на уровне не выше 40°С. Затем реакционный раствор перемешивали при 75°С в течение 2 часов, затем охлаждали до комнатной температуры для осаждения твердого вещества, которое фильтровали с получением указанного в заголовке соединения 5-бром-2-(5-метил-1Н-имидазол-2-ил)фенола (3,6 г, 57%).
МС m/z (ESI): 253,0 [М+Н]+.
Стадия 2: получение 9-бром-3-метил-5,6-дигидробензо[f]имидазо[1,2-d] [1,4]оксазепина
5-бром-2-(5-метил-1Н-имидазол-2-ил)фенол (2,5 г, 9,8 ммоль), карбонат цезия (12,2 г, 37,5 ммоль) и 1,2-дибромэтан (42,0 мл, 37,5 ммоль) смешивали в ДМ ФА (30 мл) и реакционный раствор перемешивали при 85°С в течение ночи. Реакционный раствор охлаждали до комнатной температуры и разбавляли большим количеством этилацетата. Органическую фазу несколько раз промывали насыщенным солевым раствором, затем сушили над безводным сульфатом натрия, концентрировали и подвергали колоночной хроматографии с получением указанного в заголовке соединения 9-бром-3-метил-5,6-дигидробензо[f]имидазо[1,2-d][1,4]оксазепина (0,92 г, 33%).
1H ЯМР (400 МГц, CDCl3) δ 2,25 (s, 3H), 4,12-4,29 (m, 2Н), 4,40-4,53 (m, 2Н), 6,94 (s, 1Н), 7,14-7,18 (m, 1Н), 7,20-7,22 (m, 1H), 8,37 (d, J=8,6 Гц, 1Н);
МС m/z (ESI): 279,1 [М+Н]+.
Стадия 3: получение
9-бром-2-иод-3-метил-5,6-дигидробензо[f]имидазо[1,2-d] [1,4]оксазепина
9-бром-2-иод-3-метил-5,6-дигидробензо[f]имидазо[1,2-d][1,4]оксазепин получали способом, описанным в примере 1.
МС m/z (ESI): 404,9 [М+Н]+.
Стадия 4: получение
(S)-3-(9-бром-3-метил-5,6-дигидробензо[f]имидазо[1,2-d][1,4]оксазепин-2-ил)-4-(дифторметил)оксазолидин-2-она
(S)-3-(9-бром-3-метил-5,6-дигидробензо[f]имидазо[1,2-d][1,4]оксазепин-2-ил)-4-(дифторметил)оксазолидин-2-он получали способом, описанным в примере 1.
МС m/z (ESI): 414,0 [М+Н]+.
Стадия 5: получение (2-((S)-4-(дифторметил)-2-оксооксазолидин-3-ил)-3-метил-5,6-дигидробензо[f]имидазо[1,2-d] [1,4]оксазепин-9-ил)-L-аланина
(2-((S)-4-(дифторметил)-2-оксооксазолидин-3-ил)-3-метил-5,6-дигидробензо[f]имидазо[1,2-d][1,4]оксазепин-9-ил)-L-аланин получали способом, описанным в примере 1.
МС m/z (ESI): 423,1 [М+Н]+.
Стадия 6: синтез
(S)-2-((2-((S)-4-(дифторметил)-2-оксооксазолидин-3-ил)-3-метил-5,6-дигидробензо[f]имидазо[1,2-d][1,4]оксазепин-9-ил)амино)пропионамида
(S)-2-((2-((S)-4-(дифторметил)-2-оксооксазолидин-3-ил)-3-метил-5,6-дигидробензо[f]имидазо[1,2-d][1,4]оксазепин-9-ил)амино)пропионамид получали способом, описанным в примере 1.
1H ЯМР (400 МГц, CD3OD) δ 1,37 (d, J=7,0 Гц, 3H), 2,08 (s, 3H), 3,68-3,75 (m, 1H), 4,18-4,24 (m, 2Н), 4,32-4,35 (m, 2Н), 4,45-4,61 (m, 3H), 6,10 (m, 2Н), 6,34 (d, J=8,8 Гц, 1Н), 7,83 (d, J=8,8 Гц, 1Н).
МС m/z (ESI): 422,2 [М+Н]+.
Пример 5
Получение
(S)-1-(2-((S)-4-(дифторметил)-2-оксооксазолидин-3-ил)-3-метил-5,6-дигидробензо[f]имидазо[1,2-d][1,4]оксазепин-9-ил)пирролидин-2-карбоксамида
(S)-1-(2-((S)-4-(дифторметил)-2-оксооксазолидин-3-ил)-3-метил-5,6-дигидробензо[f]имидазо[1,2-d][1,4]оксазепин-9-ил)пирролидин-2-карбоксамид получали способом, описанным в примере 4.
МС m/z (ESI): 448,2 [M+H]+.
Пример 6
Получение
(S)-2-((2-((S)-4-(дифторметил)-2-оксооксазолидин-3-ил)-3-(трифторметил)-5,6-дигидробензо[f]имидазо[1,2-d][1,4]оксазепин-9-ил)амино)пропионамида
(S)-2-((2-((S)-4-(дифторметил)-2-оксооксазолидин-3-ил)-3-(трифторметил)-5,6-дигидробензо[f]имидазо[1,2-d][1,4]оксазепин-9-ил)амино)пропионамид получали способом, описанным в примере 4.
МС m/z (ESI): 476,1 [М+Н]+.
Пример 7
Получение
(S)-2-((3-циано-2-((S)-4-(дифторметил)-2-оксооксазолидин-3-ил)-5,6-дигидробензо[f]имидазо[1,2-d][1,4]оксазепин-9-ил)амино)пропионамида
(S)-2-((3-циано-2-((S)-4-(дифторметил)-2-оксооксазолидин-3-ил)-5,6-дигидробензо[f]имидазо[1,2-d][1,4]оксазепин-9-ил)амино)пропионамид получали способом, описанным в примере 4.
МС m/z (ESI): 433,1 [М+Н]+.
Пример 8
Получение
(S)-1-(3-циано-2-((S)-4-(дифторметил)-2-оксооксазолидин-3-ил)-5,6-дигидробензо[f]имидазо[1,2-d][1,4]оксазепин-9-ил)пирролидин-2-карбоксамида
(S)-1-(3-циано-2-((S)-4-(дифторметил)-2-оксооксазолидин-3-ил)-5,6-дигидробензо[f]имидазо[1,2-d][1,4]оксазепин-9-ил)пирролидин-2-карбоксамид получали способом, описанным в примере 4.
МС m/z (ESI): 459,2 [М+Н]+.
Пример 9
Получение
(S)-2-((3-циклопропил-2-((S)-4-(дифторметил)-2-оксооксазолидин-3-ил)-5,6-дигидробензо[f]имидазо[1,2-d][1,4]оксазепин-9-ил)амино)пропионамида
(S)-2-((3-циклопропил-2-((S)-4-(дифторметил)-2-оксооксазолидин-3-ил)-5,6-дигидробензо[f]имидазо[1,2-d][1,4]оксазепин-9-ил)амино)пропионамид получали способом, описанным в примере 4.
МС m/z (ESI): 448,2 [М+Н]+.
Пример 10
Получение
(S)-2-((2-((S)-4-(дифторметил)-2-оксооксазолидин-3-ил)-5,6,10,11-тетрагидроциклобута[5,6]бензо[1,2-f]имидазо[1,2-d][1,4]оксазепин-9-ил)амино)пропионамида
Стадия 1: получение 1-(бицикло[4.2.0]окт-1(6),2,4-триен-3-ил)этан-1-она

AlCl3 (3,33 г, 25 ммоль) суспендировали в нитрометане (25 мл). Раствор бицикло[4.2.0]окта-1(6),2,4-триена (2,08 г, 20 ммоль) и ацетилхлорида (1,73 г, 22 ммоль) в нитрометане (25 мл) добавляли по каплям в атмосфере N2 на ледяной бане. Реакционный раствор естественным образом нагревали до комнатной температуры и проводили реакцию в течение ночи. Реакционный раствор добавляли к 200 мл ледяной воды и экстрагировали ДХМ (200 мл × 2). Органические фазы объединяли, концентрировали при пониженном давлении и подвергали колоночной хроматографии с получением указанного в заголовке соединения 1-(бицикло[4.2.0]окт-1(6),2,4-триен-3-ил)этан-1-она (800 мг, 27%).
Стадия 2: получение 1-(5-бромбицикло[4.2.0]окт-1(6),2,4-триен-3-ил)этан-1-она
1-(бицикло[4.2.0]окт-1(6),2,4-триен-3-ил)этан-1-он (731 мг, 5 ммоль) растворяли в уксусной кислоте (20 мл). Бром (878,9 мг, 5,5 ммоль) добавляли по каплям в атмосфере N2, и реакцию проводили при комнатной температуре в течение 3 часов. Реакционный раствор концентрировали, к концентрату добавляли ДХМ (дихлорметан) и насыщенный водный раствор бикарбоната натрия и две фазы разделяли. Органическую фазу концентрировали при пониженном давлении и затем подвергали колоночной хроматографии с получением указанного в заголовке соединения
1-(5-бромбицикло[4.2.0]окт-1(6),2,4-триен-3-ил)этан-1-она (900 мг, 80%).
Стадия 3: получение 5-бромбицикло[4.2.0]окт-1(6),2,4-триен-3-илацетата
1-(5-бромбицикло[4.2.0]окт-1(6),2,4-триен-3-ил)этан-1-он (900 мг, 4 ммоль) и m-СРВА (м-хлорнадбензойная кислота, 75%, 2,30 г, 10 ммоль) смешивали в ДХМ (20 мл), и реакционный раствор кипятили с обратным холодильником и оставляли реагировать в атмосфере N2 в течение ночи. После охлаждения до комнатной температуры реакционный раствор фильтровали для удаления нерастворимых веществ и промывали насыщенным водным раствором бикарбоната натрия. Органическую фазу концентрировали при пониженном давлении и затем подвергали колоночной хроматографии с получением указанного в заголовке соединения 5-бромбицикло[4.2.0]окт-1(6),2,4-триен-3-илацетата (723 мг, 75%).
Стадия 4: получение 5-бромбицикло[4.2.0]окт-1(6),2,4-триен-3-ола
5-бромбицикло[4.2.0]окт-1(6),2,4-триен-3-илацетат (723 мг, 3 ммоль) растворяли в метаноле (20 мл). Добавляли 5 Н водный раствор гидроксида натрия (3 мл) и проводили реакцию при комнатной температуре в течение ночи. Добавляли 50 мл воды и доводили рН реакционного раствора до 5 с помощью 1 Н соляной кислоты. Реакционный раствор экстрагировали ДХМ (50 мл × 2). Органические фазы объединяли, концентрировали при пониженном давлении и подвергали колоночной хроматографии с получением указанного в заголовке соединения 5-бромбицикло[4.2.0]окт-1(6),2,4-триен-3-ола (567 мг, 95%).
Стадия 5: получение
5-бром-3-гидроксибицикло[4.2.0]окта-1(6),2,4-триен-2-карбальдегида
5-бромбицикло[4.2.0]окт-1(6),2,4-триен-3-ол (567,2 мг, 2,85 ммоль), хлорид магния (407 мг, 4,28 ммоль) и TEA (триэтиламид, 1,15 г, 11,4 ммоль) добавляли к ацетонитрилу (5 мл). Реакционный раствор нагревали до 40°С и оставляли реагировать в течение 30 мин. Добавляли параформальдегид (770 мг, 8,55 ммоль) и реакцию осуществляли при 80°С в течение ночи. После охлаждения до комнатной температуры добавляли 50 мл воды и доводили рН реакционного раствора до 5 с помощью 4 Н соляной кислоты. Реакционный раствор экстрагировали ДХМ (50 мл × 2). Органические фазы объединяли, концентрировали при пониженном давлении и подвергали колоночной хроматографии с получением указанного в заголовке соединения 5-бром-3-гидроксибицикла[4.2.0]окта-1(6),2,4-триен-2-карбальдегида (517,6 мг, 80%).
Стадия 6: получение
(S)-2-((2-((S)-4-(дифторметил)-2-оксооксазолидин-3-ил)-5,6,10,11-тетрагидроциклобута[5,6]бензо[1,2-f]имидазо[1,2-d][1,4]оксазепин-9-ил)амино)пропионамида
(S)-2-((2-((S)-4-(дифторметил)-2-оксооксазолидин-3-ил)-5,6,10,11-тетрагидроциклобута[5,6]бензо[1,2-f]имидазо[1,2-d][1,4]оксазепин-9-ил)амино)пропионамид получали способом, описанным в примере 1.
МС m/z (ESI): 434,2 [М+Н]+.
Пример 11
Получение
(S)-2-((2-((S)-4-(дифторметил)-2-оксооксазолидин-3-ил)-5,6,10,11-тетрагидроциклобута[5,6]бензо[1,2-f]имидазо[1,2-d][1,4]оксазепин-9-ил)амино)-2-метоксиацетамида
(S)-2-((2-((S)-4-(дифторметил)-2-оксооксазолидин-3-ил)-5,6,10,11-тетрагидроциклобута[5,6]бензо[1,2-f]имидазо[1,2-d][1,4]оксазепин-9-ил)амино)-2-метоксиацетамид получали способом, описанным в примере 10.
МС m/z (ESI): 450,1 [М+Н]+.
Пример 12
Получение
(S)-2-((2-((S)-4-(дифторметил)-2-оксооксазолидин-3-ил)-5,6,11,12-тетрагидро-10Н-имидазо[1,2-d]индено[4,5-f][1,4]оксазепин-9-ил)амино)пропионамида
(S)-2-((2-((S)-4-(дифторметил)-2-оксооксазолидин-3-ил)-5,6,11,12-тетрагидро-10Н-имидазо[1,2-d]индено[4,5-f][1,4]оксазепин-9-ил)амино)пропионамид получали способом, описанным в примере 10.
МС m/z (ESI): 448,1 [M+H]+.
Пример 13
Получение
(S)-2-((11-((S)-4-(дифторметил)-2-оксооксазолидин-3-ил)-7,8-дигидро-[1,3]диоксазоло[4',5':5,6]бензо[1,2-f]имидазо[1,2-d][1,4]оксазепин-4-ил)амино)пропионамида
(S)-2-((11-((S)-4-(дифторметил)-2-оксооксазолидин-3-ил)-7,8-дигидро-[1,3]диоксазоло[4',5':5,6]бензо[1,2-f]имидазо[1,2-d][1,4]оксазепин-4-ил)амино)пропионамид получали способом, описанным в примере 10.
МС m/z (ESI): 452,1 [М+Н]+.
Пример 14
Получение
(S)-2-((2-((S)-4-(дифторметил)-2-оксооксазолидин-3-ил)-5,6-дигидробензо[f]имидазо[1,2-d][1,4]оксазепин-9-ил)амино)-3-метилбутанамида
(S)-2-((2-((S)-4-(дифторметил)-2-оксооксазолидин-3-ил)-5,6-дигидробензо[f]имидазо[1,2-d][1,4]оксазепин-9-ил)амино)-3-метилбутанамид получали способом, описанным в примере 1.
1H ЯМР (400 МГц, CD3OD) δ 1,09 (t, J=6,1 Гц, 6Н), 2,13 (d, J=7,0 Гц, 1H), 3,60 (d, J=6,4 Гц, 1H), 4,38 (d, J=19,3 Гц, 4Н), 4,68-4,60 (m, 3H), 6,27 (s, 1H), 6,43-6,78 (m, 2Н), 7,17 (s, 1H), 8,06 (d, J=8,7 Гц, 1H);
МС m/z (ESI): 436,1 [М+Н]+.
Пример 15
Получение
(S)-2-((2-((S)-4-(дифторметил)-2-оксооксазолидин-3-ил)-5,6-дигидробензо[f]имидазо[1,2-d][1,4]оксазепин-9-ил)амино)-2-метоксиацетамида
(S)-2-((2-((S)-4-(дифторметил)-2-оксооксазолидин-3-ил)-5,6-дигидробензо[f]имидазо[1,2-d][1,4]оксазепин-9-ил)амино)-2-метоксиацетамид получали способом, описанным в примере 1.
МС m/z (ESI): 424,1 [М+Н]+.
Пример 16
Получение
(R)-2-((2-((S)-4-(дифторметил)-2-оксооксазолидин-3-ил)-5,6-дигидробензо[f]имидазо[1,2-d][1,4]оксазепин-9-ил)амино)-3-фторпропионамида
(R)-2-((2-((S)-4-(дифторметил)-2-оксооксазолидин-3-ил)-5,6-дигидробензо[f]имидазо[1,2-d][1,4]оксазепин-9-ил)амино)-3-фторпропионамид получали способом, описанным в примере 1.
МС m/z (ESI): 426,1 [М+Н]+.
Пример 17
Получение
(S)-2-((2-((S)-4-(дифторметил)-2-оксооксазолидин-3-ил)-5,6-дигидробензо[f]имидазо[1,2-d][1,4]оксазепин-9-ил)амино)-2-(оксетан-3-ил)ацетамида
(S)-2-((2-((S)-4-(дифторметил)-2-оксооксазолидин-3-ил)-5,6-дигидробензо[f]имидазо[1,2-d][1,4]оксазепин-9-ил)амино)-2-(оксетан-3-ил)ацетамид получали способом, описанным в примере 1.
1Н ЯМР (400 МГц, CD3OD) δ 3,26-3,33 (m, 2Н), 4,08 (d, J=9,6 Гц, 1H), 4,22-4,25 (m, 2Н), 4,29-4,31 (m, 2Н), 4,40-4,50 (m, 5Н), 4,61-4,69 (m, 1H), 6,18 (d, J=2,2 Гц, 1H), 6,44-6,50 (m, 2Н), 7,06 (s, 1H), 7,97 (d, J=8,8 Гц, 1H);
МС m/z (ESI): 450,1 [М+Н]+.
Пример 18
Получение
(S)-2-((2-(4-(дифторметил)-2-оксооксазолидин-3-ил)-5,6-дигидробензо[f]имидазо[1,2-d][1,4]оксазепин-9-ил)амино)-2-метилпропионамида
(S)-2-((2-4-(дифторметил)-2-оксооксазолидин-3-ил)-5,6-дигидробензо[f]имидазо[1,2-d][1,4]оксазепин-9-ил)амино)-2-метилпропионамид получали способом, описанным в примере 1.
1H ЯМР (400 МГц, CD3OD) δ 1,50 (s, 6Н), 4,31-4,36 (m, 2Н), 4,38-4,43 (m, 2Н), 4,61-4,65 (m, 2Н), 4,95 (d, J=10,6 Гц, 1H), 6,19 (d, J=2,2 Гц, 1H), 6,64-6,81 (m, 2Н), 7,17 (s, 1H), 8,05 (d, J=8,8 Гц, 1H);
МС m/z (ESI): 422,1 [М+Н]+.
Пример 19
Получение
(S)-2-((2-((S)-4-(дифторметил)-2-оксооксазолидин-3-ил)-5,6-дигидробензо[f]имидазо[1,2-d][1,4]оксазепин-9-ил)(метил)амино)пропионамида
(S)-2-((2-((S)-4-(дифторметил)-2-оксооксазолидин-3-ил)-5,6-дигидробензо[f]имидазо[1,2-d][1,4]оксазепин-9-ил)метил)амино)пропионамид получали способом, описанным в примере 1.
1H ЯМР (400 МГц, CD3OD): δ 1,40 (d, J=6,8 Гц, 3H), 2,90 (s, 3H), 4,37-4,64 (m, 7Н), 4,96 (m, 1H), 6,41 (s, 1H), 6,46-6,74 (m, 2H), 7,16 (s, 1H), 8,13 (d, J=9,2 Гц, 1H); MC m/z (ESI): 422,1 [M+H]+.
Пример 20
Получение
(S)-3-((2-(4-(дифторметил)-2-оксооксазолидин-3-ил)-5,6-дигидробензо[f]имидазо[1,2-d][1,4]оксазепин-9-ил)амино)оксетан-3-карбоксамида
(S)-3-((2-(4-(дифторметил)-2-оксооксазолидин-3-ил)-5,6-дигидробензо[f]имидазо[1,2-d][1,4]оксазепин-9-ил)амино)оксетан-3-карбоксамид получали способом, описанным в примере 1.
1Н ЯМР (400 МГц, CD3OD) δ 4,35 (m, 4Н), 4,63 (m, 4Н), 4,90 (m, 1Н), 5,10 (d, J=8,0 Гц, 2Н), 5,90 (s, 1H), 6,29 (d, J=8,0 Гц, 1H), 6,59 (t, J=56 Гц, 1H), 7,16 (s, 1H), 8,10 (d, J=8,0 Гц, 1H);
МС m/z (ESI): 436,1 [М+Н]+.
Пример 21
Получение
(S)-1-(2-((S)-4-(дифторметил)-2-оксооксазолидин-3-ил)-5,6-дигидробензо[f]имидазо[1,2-d][1,4]оксазепин-9-ил)азетидин-2-карбоксамида
(S)-1-(2-((S)-4-(дифторметил)-2-оксооксазолидин-3-ил)-5,6-дигидробензо[f]имидазо[1,2-d][1,4]оксазепин-9-ил)азетидин-2-карбоксамид получали способом, описанным в примере 1.
1H ЯМР (400 МГц, CD3OD) δ 2,30-2,40 (m, 1H), 2,52-2,58 (m, 1H), 3,66-3,72 (m, 1H), 3,91-3,96 (m, 1Н), 4,22-4,27 (m, 2Н), 4,28-4,34 (m, 2Н), 4,48-4,59 (m, 2Н), 4,79-4,85 (m, 2Н), 6,00 (d, J=2,2 Гц, 1H), 6,20-6,22 (m, 1Н), 6,37-6,65 (m, 1H), 7,08 (s, 1H), 8,06 (d, J=8,7 Гц, 1Н).
МС m/z (ESI): 420,1 [M+H]+.
Пример 22
Получение
(S)-2-((2-((R)-4-(дифторметил)-2-оксотиазолидин-3-ил)-5,6-дигидробензо[f]имидазо[1,2-d][1,4]оксазепин-9-ил)амино)пропионамида
Стадия 1: получение
(S)-3-(9-бром-5,6-дигидробензо[f]имидазо[1,2-d][1,4]оксазепин-2-ил)-4-(дифторметил)оксазолидин-2-тиона
К раствору
(S)-3-(10-бром-6,7-дигидро-5Н-бензо[b]имидазо[2,1-d][1,5]оксазин-2-ил)-4-(дифторметил) оксазолидин-2-она (100 мг, 0,25 ммоль) в толуоле (10 мл) добавляли реагент Лавессона (1,01 г, 2,5 ммоль), и подвергали реакционный раствор обработке в микроволновой печи при 140°С и оставляли реагировать в течение трех часов. После охлаждения до комнатной температуры реакционный раствор фильтровали. Осадок на фильтре промывали EtOAc (20 мл). Фильтрат сушили над безводным сульфатом натрия, концентрировали при пониженном давлении и подвергали колоночной хроматографии с получением указанного в заголовке соединения (S)-3-(9-бром-5,6-дигидробензо[f]имидазо[1,2-d][1,4]оксазепин-2-ил)-4-(дифторметил)оксазолидин-2-тиона (42 мг, 40%).
1Н ЯМР (400 МГц, ДМСО-d6) δ 4,43-4,52 (m, 4Н), 4,79-4,86 (m, 2Н), 5,24-5,35 (m, 1H), 6,57-6,85 (m, 1H), 7,23-7,38 (m, 2Н), 8,10 (s, 1H), 8,26 (d, J=8,6 Гц, 1H);
MC m/z (ESI): 416,1 [М+Н]+.
Стадия 2: получение
(R)-3-(9-бром-5,6-дигидробензо[f]имидазо[1,2-d][1,4]оксазепин-2-ил)-4-(дифторметил)тиаз
олидин-2-она
К раствору (S)-3-(10-бром-6,7-дигидро-5Н-бензо[b]имидазо[2,1-d][1,5]оксазин-2-ил)-4-(дифторметил) оксазолидин-2-тиона (33 мг, 0,079 ммоль) в толуоле (1 мл) добавляли димер дихлор(п-метилизопропилфенил) рутения (II) (14,7 мг, 0,024 ммоль) и 2-дициклогексилфосфин-2',6'-диметоксибифенил (9,7 мг, 0,024 ммоль), и реакцию проводили в атмосфере воздуха при 110°С в течение 12 часов. Реакционный раствор охлаждали до комнатной температуры и разбавляли EtOAc. Органическую фазу промывали насыщенным водным раствором хлорида натрия, сушили над безводным сульфатом натрия, концентрировали при пониженном давлении и подвергали колоночной хроматографии с получением указанного в заголовке соединения (R)-3-(9-бром-5,6-дигидробензо[f]имидазо[1,2-d][1,4]оксазепин-2-ил)-4-(дифторметил)тиазолидин-2-она (26 мг, 79%).
1Н ЯМР (400 МГц, CDCl3) δ 3,57-3,72 (m, 2Н), 4,28-4,41 (m, 2Н), 4,44-4,47 (m, 2Н) 5,14-5,24 (m, 1H), 6,29-6,67 (m, 1H), 7,14-7,25 (m, 2Н), 7,42 (s, 1H), 8,21 (d, J=8,8 Гц, 1H);
MCm/z (ESI): 416,1 [М+Н]+.
Стадия 3: получение
(S)-2-((2-((R-4-(дифторметил)-2-оксотиазолидин-3-ил)-5,6-дигидробензо[f]имидазо[1,2-d][1,4]оксазепин-9-ил)амино)пропионамида
(R)-3-(9-бром-5,6-дигидробензо[f]имидазо[1,2-d][1,4]оксазепин-2-ил)-4-(дифторметил)тиазолидин-2-он (26 мг, 0,062 ммоль), L-аланин (19,5 мг, 0,22 ммоль), иодид меди (6 мг, 0,03 ммоль) и фосфат калия (40 мг, 0,19 ммоль) смешивали в диметилсульфоксиде (3 мл). Реакционную систему продували азотом три раза и проводили реакцию при 100°С в течение 12 часов. Реакционный раствор охлаждали до комнатной температуры, затем добавляли хлорид аммония (20 мг, 0,37 ммоль) и триэтиламин (95 мг, 0,94 ммоль).
Реакционный раствор перемешивали в течение 5 минут и добавляли O-(7-азабензотриазол-1-ил)-N,N,N',N'-тетраметилурония гексафторфосфат (212 мг, 0,56 ммоль). Реакционный раствор перемешивали при комнатной температуре в течение 2 часов и фильтровали. Добавляли насыщенный водный раствор бикарбоната натрия и экстрагировали реакционный раствор этилацетатом три раза. Органические фазы объединяли, сушили над безводным сульфатом натрия, концентрировали при пониженном давлении и подвергали колоночной хроматографии с получением указанного в заголовке соединения
(S)-2-((2-((R)-4-(дифторметил)-2-оксотиазолидин-3-ил)-5,6-дигидробензо[f]имидазо[1,2-d][1,4]оксазепин-9-ил)амино)пропионамида (15 мг, 56%).
1Н ЯМР (400 МГц, CD3OD) δ 1,37 (d, J=7,2 Гц, 3Н), 3,57-3,61 (m, 1H), 3,83-3,87 (m, 2Н), 4,33-4,41 (m, 4Н), 5,12-5,19 (m, 1H), 6,15-6,17 (m, 1Н), 6,47-6,52 (m, 2Н), 7,28 (s, 1Н), 8,10 (d, J=8,8 Гц, 1H);
МС m/z (ESI): 424,1 [М+Н]+.
Пример 23
Получение
(S)-2-((2-((S)-5-(дифторметил)-2-оксоимидазолидин-1-ил)-5,6-дигидробензо[f]имидазо[1,2-d][1,4]оксазепин-9-ил)амино)пропионамида
(S)-2-((2-((S)-5-(дифторметил)-2-оксооксазолидин-1-ил)-5,6-дигидробензо[f]имидазо[1,2-d][1,4]оксазепин-9-ил)амино)пропионамид получали способом, описанным в примере 22.
МС m/z (ESI): 407,2 [М+Н]+.
Пример 24
Получение
(S)-2-((2-((S)-5-(дифторметил)-3-метил-2-оксоимидазолидин-1-ил)-5,6-дигидробензо[f]имидазо[1,2-d][1,4]оксазепин-9-ил)амино)пропионамида
(S)-2-((2-((S)-5-(дифторметил)-3-метил-2-оксоимидазолидин-1-ил)-5,6-дигидробензо[f]имидазо[1,2-d][1,4]оксазепин-9-ил)амино)пропионамид соответствует примеру 22.
1Н ЯМР (400 МГц, CD3OD) δ 1,46 (d, J=7,0 Гц, 3Н), 2,85 (s, 3Н), 3,62-3,68 (m, 2Н), 3,79-3,85 (m, 1H), 4,27-4,30 (m, 2Н), 4,35-4,37 (m, 2Н), 4,63-4,69 (m, 1H), 6,17 (d, J=2,0 Гц, 1H), 6,34-6,62 (m, 2Н), 7,05 (s, 1H), 8,01 (d, J=8,8 Гц, 1H);
МС m/z (ESI): 421,2 [М+Н]+.
Пример 25
Получение
(S)-2-((2-((4S,5R)-4-(дифторметил)-5-метил-2-оксооксазолидин-3-ил)-5,6-дигидробензо[f]имидазо[1,2-d][1,4]оксазепин-9-ил)амино)пропионамида
Стадия 1: получение метил (4S,5R)-5-метил-2-оксооксазолидин-4-карбоксилата
Гидрохлорид метил-L-треонината (500 мг, 2,95 ммоль) растворяли в дихлорметане (15 мл) и полученный раствор охлаждали до 0°С на водяной бане со льдом. Добавляли трифосген (289 мг, 0,97 ммоль) и по каплям добавляли раствор этиламина (895 мг, 8,84 ммоль) в дихлорметане (2 мл). После завершения добавления реакцию проводили при 0°С в течение 1 часа. Добавляли воду и экстрагировали реакционный раствор дихлорметаном. Органическую фазу сушили над безводным сульфатом натрия, концентрировали при пониженном давлении для удаления органического растворителя, а затем неочищенный продукт очищали с помощью колоночной хроматографии с получением указанного в заголовке соединения метил (4S,5R)-5-метил-2-оксооксазолидин-4-карбоксилата (251 мг, 53%).
MCm/z (ESI): 160,1 [M+H]+.
Стадия 2: получение метил (4S,5R)-3-бензил-5-метил-2-оксооксазолидин-4-карбоксилата
Метил (4S,5R)-5-метил-2-оксооксазолидин-4-карбоксилат (200 мг, 1,26 ммоль) растворяли в ДМФА (5 мл) и охлаждали полученный раствор до минус 15°С. Добавляли NaH (60% в керосине, 50 мг, 1,26 ммоль) и перемешивали реакционный раствор при этой температуре в течение одного часа. Добавляли бензилбромид (322 мг, 1,89 ммоль) и перемешивали реакционный раствор в течение 2 часов. Реакцию гасили добавлением воды, и реакционный раствор экстрагировали дихлорметаном. Органическую фазу сушили над безводным сульфатом натрия, концентрировали при пониженном давлении для удаления органического растворителя, а затем неочищенный продукт очищали с помощью колоночной хроматографии с получением указанного в заголовке соединения метил (4S,5R)-3-бензил-5-метил-2-оксооксазолидин-4-карбоксилата (260 мг, 83%).
МС m/z (ESI): 250,1 [М+Н]+.
Стадия 3: получение
(4S,5R)-3-бензил-4-(гидроксиметил)-5-метилоксазолидин-2-она
(4S,5R)-3-бензил-5-метил-2-оксооксазолидин-4-карбоксилат (260 мг, 1,0 ммоль) растворяли в метаноле (5 мл) и полученный раствор охлаждали до 0°С на водяной бане со льдом. Боргидрид натрия (11 мг, 3,1 ммоль) добавляли партиями. Реакционный раствор постепенно нагревали до комнатной температуры и проводили реакцию в течение 2 часов. Реакционный раствор концентрировали, а затем неочищенный продукт очищали с помощью колоночной хроматографии с получением указанного в заголовке соединения (4R,5R)-3-бензил-4-(гидроксиметил)-5-метилоксазолидин-2-она (180 мг, 78%).
МС m/z (ESI): 222,1 [М+Н]+.
Стадия 4: получение (4S,5R)-3-бензил-5-метил-2-оксооксазолидин-4-карбальдегида
(4S,5R)-3-бензил-4-(гидроксиметил)-5-метилоксазолидин-2-он (180 мг, 0,81 ммоль) и IBX (683 мг, 2,44 ммоль) смешивали в этилацетате (10 мл) и проводили реакцию в атмосфере азота при 85°С в течение 3 часов. После охлаждения реакционный раствор фильтровали и концентрировали при пониженном давлении с получением 178 мг неочищенного продукта (4S,5R)-3-бензил-5-метил-2-оксооксазолидин-4-карбальдегида, который непосредственно использовали на следующей стадии.
МС m/z (ESI): 220,2 [М+Н]+.
Стадия 5: получение (4S,5R)-3-бензил-4-(дифторметил)-5-метилоксазолидин-2-она
(4S,5R)-3-бензил-5-метил-2-оксооксазолидин-4-карбальдегид (178 мг, 0,81 ммоль) растворяли в дихлорметане (10 мл) и охлаждали полученный раствор до 0°С в атмосфере азота на водяной бане со льдом. Добавляли DAST (262 мг, 1,62 ммоль) по каплям и реакционный раствор естественным образом нагревали до комнатной температуры и оставляли реагировать в течение 3 часов. Реакционный раствор медленно по каплям добавляли к предварительно охлажденному насыщенному водному раствору бикарбоната натрия и экстрагировали дихлорметаном (20 мл × 2). Органические фазы объединяли, сушили над безводным сульфатом натрия, концентрировали при пониженном давлении для удаления органического растворителя, а затем подвергали разделению с помощью колоночной хроматографии с получением указанного в заголовке соединения (4S,5R)-3-бензил-4-(дифторметил)-5-метилоксазолидин-2-она (110 мг, двухстадийный выход: 56%).
1Н ЯМР (400 МГц, CDCl3) δ 1,33 (d, J=6,4 Гц, 3Н), 3,27-3,33 (m, 1H), 4,16-4,20 (m, 1H), 4,41-4,64 (m, 1H), 4,91 (d, J=15,0 Гц, 1H), 5,56-5,88 (m, 1H), 7,27-7,44 (m, 5Н);
МС m/z (ESI): 242,1 [М+Н]+.
Стадия 6: получение (4S,5R)-4-(дифторметил)-5-метилоксазолидин-2-она
(4S,5R)-3-бензил-4-(дифторметил)-5-метилоксазолидин-2-он (110 мг, 0,46 ммоль) растворяли в мезитилене (2 мл) с последующим добавлением метансульфоновой кислоты (438 мг, 4,56 ммоль). Реакционный раствор нагревали до 135°С и проводили реакцию в течение 5 часов. Реакционный раствор охлаждали до комнатной температуры, медленно по каплям добавляли к предварительно охлажденному насыщенному водному раствору бикарбоната натрия и экстрагировали дихлорметаном (20 мл × 2). Органические фазы объединяли, сушили над безводным сульфатом натрия, концентрировали при пониженном давлении для удаления органического растворителя и подвергали разделению с помощью колоночной хроматографии с получением 68 мг неочищенного указанного в заголовке соединения (4S,5R)-4-(дифторметил)-5-метилоксазолидин-2-она, которое непосредственно использовали на следующей стадии.
MCm/z (ESI): 152,1 [М+Н]+.
Стадия 7: получение
(4S,5R)-3-(9-бром-5,6-дигидробензо[f]имидазо[1,2-d][1,4]оксазепин-2-ил)-4-(дифторметил)-5-метилоксазолидин-2-она
9-бром-2-иод-5,6-дигидробензо[f]имидазо[1,2-d][1,4]оксазепин (100 мг, 0,25 ммоль), (4S,5R)-4-(дифторметил)-5-метилоксазолидин-2-он (38,5 мг, 0,25 ммоль), (1R,2R)-N1,N2-диметилциклогексан-1,2-диамин (22 мг, 0,15 ммоль), иодид меди (14 мг, 0,08 ммоль) и фосфат калия (108 мг, 051 ммоль) смешивали в диметилсульфоксиде (3 мл), и проводили реакцию при 130°С в течение 3 часов. Реакционный раствор охлаждали до комнатной температуры и добавляли 15% водный аммиак (5 мл). Реакционный раствор перемешивали в течение 5 минут и экстрагировали этилацетатом три раза. Органические фазы объединяли, промывали насыщенным хлоридом натрия, сушили над безводным сульфатом натрия, концентрировали при пониженном давлении для удаления органического растворителя и затем подвергали колоночной хроматографии с получением указанного в заголовке соединения (S)-3-(9-бром-3-фтор-5,6-дигидробензо[f]имидазо[1,2-d][1,4]оксазепин-2-ил)-4-(дифторметил)оксазолидин-2-она (61 мг, 57%).
МС m/z (ESI): 414,2 [М+Н]+.
Стадия 8: получение
(S)-2-((2-((4S,5R)-4-(дифторметил)-5-метил-2-оксооксазолидин-3-ил)-5,6-дигидробензо[f]имидазо[1,2-d][1,4]оксазепин-9-ил)амино)пропионамида
(4S,5R)-3-(9-бром-5,6-дигидробензо[f]имидазо[1,2-d][1,4]оксазепин-2-ил)-4-(дифторметил)-5-метилоксазолидин-2-он (61 мг, 0,15 ммоль), L-аланин (39 мг, 0,44 ммоль), иодид меди (14 мг, 0,07 ммоль) и фосфат калия (94 мг, 0,44 ммоль) смешивали в диметилсульфоксиде (5 мл). Реакционную систему продували азотом три раза и проводили реакцию при 100°С в течение 5 часов. Реакционный раствор охлаждали до комнатной температуры, затем добавляли хлорид аммония (47 мг, 0,88 ммоль) и триэтиламин (223 мг, 2,21 ммоль). Реакционный раствор перемешивали в течение 5 минут и добавляли O-(7-азабензотриазол-1-ил)-N,N,N',N'-тетраметилурония гексафторфосфат (505 мг, 1,33 ммоль). Реакционный раствор перемешивали при комнатной температуре в течение 2 часов и фильтровали. Добавляли насыщенный водный раствор бикарбоната натрия и экстрагировали реакционный раствор этилацетатом три раза. Органические фазы объединяли, сушили над безводным сульфатом натрия, концентрировали при пониженном давлении для удаления органического растворителя и затем подвергали разделению с помощью колоночной хроматографии с получением указанного в заголовке соединения (S)-2-((2-((S)-4-(дифторметил)-2-оксооксазолидин-3-ил)-6,7-дигидро-5Н-бензо[b]имидазо[2,1-d][1,5]оксазин-10-ил)амино)пропионамида (33 мг, 53%).
1H ЯМР (400 МГц, CD3OD) δ 1,46 (d, J=6,8 Гц, 3Н), 1,53 (d, J=6,2 Гц, 3Н), 3,79-3,85 (m, 1H), 4,32-4,39 (m, 4Н), 4,46-4,55 (m, 1Н), 4,93-4,95 (m, 1H), 6,17 (s, 1Н), 6,39-6,72 (m, 2Н), 7,14 (s, 1H), 8,03 (d, J=8,6 Гц, 1H);
МС m/z (ESI): 422,1 [М+Н]+.
Пример 26
Получение
(R)-2-((2-((4S,5R)-4-(дифторметил)-5-метил-2-оксооксазолидин-3-ил)-5,6-дигидробензо[f]имидазо[1,2-d][1,4]оксазепин-9-ил)амино)пропионамида
(R)-2-((2-((4S,5R)-4-(дифторметил)-5-метил-2-оксооксазолидин-3-ил)-5,6-дигидробензо[f]имидазо[1,2-d][1,4]оксазепин-9-ил)амино)пропионамид получали способом, описанным в примере 25.
МС m/z (ESI): 422,2 [М+Н]+.
Пример 27
Получение
(S)-2-((2-((S)-4-(дифторметил)-5,5-диметил-2-оксооксазолидин-3-ил)-5,6-дигидробензо[f]имидазо[1,2-d][1,4]оксазепин-9-ил)амино)пропионамида
(S)-2-((2-((S)-4-(дифторметил)-5,5-диметил-2-оксооксазолидин-3-ил)-5,6-дигидробензо[f]имидазо[1,2-d][1,4]оксазепин-9-ил)амино)пропионамид получали способом, описанным в примере 25.
МС m/z (ESI): 436,2 [М+Н]+.
Пример 28
Получение
(S)-2-((2-((S)-7-(дифторметил)-5-оксо-4-окса-6-азаспиро[2.4]гептан-6-ил)-5,6-дигидробензо[f]имидазо[1,2-d][1,4]оксазепин-9-ил)амино)пропионамида
(S)-2-((2-((S)-7-(дифторметил)-5-оксо-4-окса-6-азаспиро[2.4]гептан-6-ил)-5,6-дигидробензо[f]имидазо[1,2-d][1,4]оксазепин-9-ил)амино)пропионамид получали способом, описанным в примере 25.
МС m/z (ESI): 434,2 [М+Н]+.
Пример 29
Получение
(S)-2-((2-((S)-8-(дифторметил)-6-оксо-2,5-диокса-7-азаспиро[3.4]октан-7-ил)-5,6-дигидробензо[f]имидазо[1,2-d][1,4]оксазепин-9-ил)амино)пропионамида
(S)-2-((2-((S)-8-(дифторметил)-6-оксо-2,5-диокса-7-азаспиро[3.4]октан-7-ил)-5,6-дигидробензо[f]имидазо[1,2-d][1,4]оксазепин-9-ил)амино)пропионамид получали способом, описанным в примере 25.
МС m/z (ESI): 450,2 [М+Н]+.
Пример 30
Получение
(S)-2-((2-((S)-5-(дифторметил)-3-метил-2,4-диоксоимидазолидин-1-ил)-5,6-дигидробензо[f]имидазо[1,2-d][1,4]оксазепин-9-ил)амино)пропионамида
(S)-2-((2-((S)-5-(дифторметил)-3-метил-2,4-диоксооксазолидин-1-ил)-5,6-дигидробензо[f]имидазо[1,2-d][1,4]оксазепин-9-ил)амино)пропионамид получали способом, описанным в примере 1.
МС m/z (ESI): 435,2 [М+Н]+.
Пример 31
Получение
(S)-2-((2-((S)-4-(дифторметил)-2-оксооксазолидин-3-ил)-8-фтор-5,6-дигидробензо[f]имидазо[1,2-d][1,4]оксазепин-9-ил)амино)пропионамида 
Стадия 1: получение 4-бром-3-фтор-2-метоксибензальдегида
К раствору 4-бром-2,3-дифторбензальдегида (2,0 г, 9,05 ммоль) в метаноле (25 мл) добавляли метоксид натрия (733 мг, 13,56 ммоль) при комнатной температуре и реакцию проводили при 65°С в течение 2 часов. Реакционный раствор концентрировали и очищали с помощью колоночной хроматографии с получением 4-бром-3-фтор-2-метоксибензальдегида (1,78 г, 85%).
МС m/z (ESI): 233,0 [М+Н]+.
Стадия 2: получение 4-бром-3-фтор-2-гидроксибензальдегида
К раствору 4-бром-3-фтор-2-метоксибензальдегида (1,78 г, 7,67 ммоль) в уксусной кислоте (15 мл) добавляли бромистоводородную кислоту (8,7 мл, 48%) при комнатной температуре и реакцию проводили при 120°С в течение 16 часов. Реакционный раствор охлаждали и концентрировали при пониженном давлении. Затем в реакционную колбу добавляли воду и этилацетат, а затем две фазы разделяли. Органическую фазу сушили над безводным сульфатом натрия, концентрировали при пониженном давлении для удаления органического растворителя, а затем очищали путем разделения с помощью колоночной хроматографии с получением 4-бром-3-фтор-2-гидроксибензальдегида (1,12 г, 67%).
МС m/z (ESI): 219,0 [М+Н]+.
Стадия 3: получение 3-бром-2-фтор-6-(1Н-имидазол-2-ил)фенола
К метанольном раствору (12 мл) 4-бром-3-фтор-2-гидроксибензальдегида (1,12 г, 5,14 ммоль) добавляли водный раствор глиоксаля (40 мас. %, 3,73 г, 25,7 ммоль). Затем медленно по каплям добавляли водный аммиак (28 мас. %, 5,14 г, 51,4 ммоль) на водяной бане при перемешивании. Процесс добавления по каплям продолжался в течение 30 минут и температуру реакционного раствора контролировали на уровне не выше 40°С. Затем смесь перемешивали при 35°С в течение двух дней, охлаждали, концентрировали при пониженном давлении для удаления органического растворителя и очищали с помощью колоночной хроматографии с получением 3-бром-2-фтор-6-(1Н-имидазол-2-ил)фенола (1,31 г, 100%).
МС m/z (ESI): 257,0 [М+Н]+.
Стадия 4: получение
9-бром-8-фтор-5,6-дигидробензо[f]имидазо[1,2-d][1,4]оксазепина
3-бром-2-фтор-6-(1Н-имидазол-2-ил)фенол (1,31 г, 5,14 ммоль), карбонат цезия (6,3 г, 19,53 ммоль) и 1,2-дибромэтан (3,6 г, 19,12 ммоль) смешивали в ДМФА (12 мл) и реакционный раствор перемешивали при 85°С в течение ночи. Реакционный раствор охлаждали и разбавляли этилацетатом. Органическую фазу несколько раз промывали насыщенным солевым раствором, затем сушили над безводным сульфатом натрия, концентрировали при пониженном давлении для удаления органического растворителя и очищали с помощью колоночной хроматографии с получением указанного в заголовке соединения 9-бром-8-фтор-5,6-дигидробензо[f]имидазо[1,2-d][1,4]оксазепина (995 мг, 69%).
МС m/z (ESI): 283,0 [М+Н]+.
Стадия 5: получение
9-бром-8-фтор-2,3-дииод-5,6-дигидробензо[f]имидазо[1,2-d][1,4]океазепина
К раствору 9-бром-8-фтор-5,6-дигидробензо[f]имидазо[1,2-d][1,4]оксазепина (995 мг, 3,53 ммоль) в ДМФА (8 мл) добавляли NIS (2,23 г, 9,88 ммоль) при комнатной температуре и перемешивали реакционный раствор при 60°С в течение ночи. Реакционный раствор охлаждали и добавляли воду для осаждения твердого вещества. После фильтрования твердое вещество растворяли в этилацетате, последовательно промывали 1 М водным раствором NaOH и насыщенным солевым раствором, сушили над безводным сульфатом натрия и концентрировали с получением указанного в заголовке соединения 9-бром-8-фтор-2,3-дииод-5,6-дигидробензо[f]имидазо[1,2-d][1,4]оксазепин (1,79 г, 94%).
МС m/z (ESI): 534,7 [М+Н]+.
Стадия 6: получение
9-бром-8-фтор-2-иод-5,6-дигидробензо[f]имидазо[1,2-d][1,4]оксазепина
К раствору 9-бром-8-фтор-2,3-дииод-5,6-дигидробензо[f]имидазо[1,2-d][1,4]оксазепина (1,79 г, 3,35 ммоль) в ТГФ (10 мл) медленно по каплям добавляли EtMgBr (1,0 М раствор в ТГФ, 1,23 мл, 3,69 ммоль) при минус 20°С. После завершения добавления по каплям реакционный раствор перемешивали при минус 15°С в течение 3 часов и медленно нагревали до комнатной температуры. Затем по каплям добавляли насыщенный водный раствор хлорида аммония. Реакционный раствор перемешивали в течение 15 минут и несколько раз экстрагировали этилацетатом. Органические фазы объединяли, а затем промывали насыщенным солевым раствором. Органическую фазу отделяли и сушили над безводным сульфатом натрия, концентрировали при пониженном давлении для удаления органического растворителя и подвергали разделению с помощью колоночной хроматографии с получением указанного в заголовке соединения 9-бром-8-фтор-2-иод-5,6-дигидробензо[f]имидазо[1,2-d][1,4]оксазепина (610 мг, 45%).
МС m/z (ESI): 408,9 [М+Н]+.
Стадия 7: получение
(S)-4-(дифторметил)-3-(8-фтор-9-иод-5,6-дигидробензо[f]имидазо[1,2-d][1,4]оксазепин-2-ил)оксазолидин-2-она
9-бром-8-фтор-2-иод-5,6-дигидробензо[f]имидазо[1,2-d][1,4]оксазепин (300 мг, 0,74 ммоль), (S)-4-(дифторметил)оксазолидин-2-он (102 мг, 0,74 ммоль), (1R,2R)-N1,N2-диметилциклогексан-1,2-диамин (42 мг, 0,30 ммоль), иодид меди (28 мг, 0,15 ммоль) и карбонат калия (205 мг, 1,5 ммоль) смешивали в 1,4-диоксане (6 мл). Реакционную систему продували азотом три раза и проводили реакцию при 105°С в течение 5 часов. Реакционный раствор охлаждали до комнатной температуры и добавляли 15% водный аммиак. Реакционный раствор перемешивали в течение 5 минут и экстрагировали EtOAc три раза. Органические фазы объединяли, промывали насыщенным водным раствором хлоридом натрия, сушили над безводным сульфатом натрия, концентрировали при пониженном давлении и затем подвергали колоночной хроматографии с получением указанного в заголовке соединения (S)-4-(дифторметил)-3-(8-фтор)-9-иод-5,6-дигидробензо[f]имидазо[1,2-d][1,4]оксазепин-2-ил)оксазолидин-2-она (225 мг, 65%).
МС m/z (ESI): 466,0 [М+Н]+.
(S)-2-((2-((S)-4-(дифторметил)-2-оксооксазолидин-3-ил)-8-фтор-5,6-дигидробензо[f]имидазо[1,2-d][1,4]оксазепин-9-ил)амино)пропионамид впоследствии получали способом, описанным в примере 1.
1Н ЯМР (400 МГц, CD3OD) δ 1,50 (d, J=7,0 Гц, 3Н), 3,95-4,01 (m, 1H), 4,36-4,41 (m, 2Н), 4,47-4,53 (m, 2Н), 4,57-4,67 (m, 2Н), 4,93-4,98 (m, 1H), 6,37-6,42 (m, 1H), 6,44-6,73 (m, 1Н), 7,20 (s, 1H),7,87-7,91 (m, 1Н);
МС m/z (ESI): 426,1 [М+Н]+.
Пример 32
Получение
(S)-2-((2-((S)-4-(дифторметил)-2-оксооксазолидин-3-ил)-11-фтор-5,6-дигидробензо[f]имидазо[1,2-d][1,4]оксазепин-9-ил)амино)пропионамида
(S)-2-((2-((S)-4-(дифторметил)-2-оксооксазолидин-3-ил)-11-фтор-5,6-дигидробензо[f]имидазо[1,2-d][1,4]оксазепин-9-ил)амино)пропионамид получали способом, описанным в примере 31.
1H ЯМР (400 МГц, CD3OD) δ 1,46 (d, J=4,0 Гц, 3Н), 3,84 (m, 1H), 4,24 (m, 2Н), 4,49 (m, 2Н), 4,60 (m, 3Н), 6,19 (s, 1H), 6,28 (d, J=8,0 Гц, 1H), 6,49 (t, J=56 Гц, 1H), 7,30 (s, 1Н);
МС m/z (ESI): 426,1 [М+Н]+.
Пример 33
Получение
(S)-2-((2-((S)-4-(дифторметил)-2-оксооксазолидин-3-ил)-10-фтор-5,6-дигидробензо[f]имидазо[1,2-d][1,4]оксазепин-9-ил)амино)пропионамида
(S)-2-((2-((S)-4-(дифторметил)-2-оксооксазолидин-3-ил)-10-фтор-5,6-дигидробензо[f]имидазо[1,2-d][1,4]оксазепин-9-ил)амино)пропионамид получали способом, описанным в примере 31.
1H ЯМР (400 МГц, CD3OD): δ 1,52 (d, J=6,8 Гц, 3Н), 3,86-3,96 (m, 1H), 4,30-4,42 (m, 4Н), 4,60-4,69 (m, 3Н), 4,91-5,00 (m, 1H), 6,19-6,25 (m, 1H), 6,46-6,76 (m, 1H), 7,18 (s, 1H), 8,04 (d, J=13,4 Гц, 1H).
МС m/z (ESI): 426,1 [М+Н]+.
Пример 34
Получение
(S)-2-((2-((S)-4-(дифторметил)-2-оксооксазолидин-3-ил)-8-метил-5,6-дигидробензо[f]имидазо[1,2-d][1,4]оксазепин-9-ил)амино)пропионамида
(S)-2-((2-((S)-4-(дифторметил)-2-оксооксазолидин-3-ил)-8-метил-5,6-дигидробензо[f]имидазо[1,2-d][1,4]оксазепин-9-ил)амино)пропионамид получали способом, описанным в примере 31.
1H ЯМР (400 МГц, CD3OD) δ 1,51 (d, J=6,9 Гц, 3Н), 2,15 (s, 3Н), 3,99-4,02 (m, 1Н), 4,33-4,37 (m, 2Н), 4,43-4,47 (m, 2Н), 4,55-4,68 (m, 2Н), 4,93-4,97 (m, 1H), 6,36 (d, J=8,9 Гц, 1H), 6,43-6,71 (m, 1H), 7,19 (s, 1H), 7,94 (d, J=8,8 Гц, 1H);
МС m/z (ESI): 422,1 [М+Н]+.
Пример 35
Получение
(S)-2-((2-((S)-4-(дифторметил)-2-оксооксазолидин-3-ил)-11-метил-5,6-дигидробензо[f]имидазо
дазо[1,2-d][1,4]оксазепин-9-ил)амино)пропионамида
(S)-2-((2-((S)-4-(дифторметил)-2-оксооксазолидин-3-ил)-11-метил-5,6-дигидробензо[f]имидазо[1,2-d][1,4]оксазепин-9-ил)амино)пропионамид получали способом, описанным в примере 31.
МС m/z (ESI): 422,1 [М+Н]+.
Пример 36
Получение
(S)-2-((2-((S)-4-(дифторметил)-2-оксооксазолидин-3-ил)-10-метил-5,6-дигидробензо[f]имидазо[1,2-d][1,4]оксазепин-9-ил)амино)пропионамида
(S)-2-((2-((S)-4-(дифторметил)-2-оксооксазолидин-3-ил)-10-метил-5,6-дигидробензо[f]имидазо[1,2-d][1,4]оксазепин-9-ил)амино)пропионамид получали способом, описанным в примере 31.
1Н ЯМР (400 МГц, CD3OD): δ 1,52 (d, J=6,9 Гц, 3Н), 2,19 (s, 3Н), 3,85-3,93 (m, 1Н), 4,25-4,36 (m, 4H), 4,55-4,67 (m, 2H), 4,92-4,96 (m, 1H), 6,09 (s, 1H), 6,43-6,71 (m, 1H), 7,12 (s, 1H), 7,90 (s, 1H).
MC m/z (ESI): 422,1 [M+H]+.
Пример 37
Получение
(S)-2-((2-((S)-4-(дифторметил)-2-оксооксазолидин-3-ил)-8-метокси-5,6-дигидробензо[f]имидазо[1,2-d][1,4]оксазепин-9-ил)амино)пропионамида
(S)-2-((2-((S)-4-(дифторметил)-2-оксооксазолидин-3-ил)-8-метокси-5,6-дигидробензо[f]имидазо[1,2-d][1,4]оксазепин-9-ил)амино)пропионамид получали способом, описанным в примере 31.
МС m/z (ESI): 438,1 [М+Н]+.
Пример 38
Получение
(S)-2-((2-((S)-4-(дифторметил)-2-оксооксазолидин-3-ил)-11-метокси-5,6-дигидробензо[f]имидазо[1,2-d][1,4]оксазепин-9-ил)амино)пропионамида
(S)-2-((2-((S)-4-(дифторметил)-2-оксооксазолидин-3-ил)-11-метокси-5,6-дигидробензо[f]имидазо[1,2-d][1,4]оксазепин-9-ил)амино)пропионамид получали способом, описанным в примере 31.
МС m/z (ESI): 438,1 [М+Н]+.
Пример 39
Получение
(S)-2-((2-((S)-4-(дифторметил)-2-оксооксазолидин-3-ил)-10-метокси-5,6-дигидробензо[f]имидазо[1,2-d][1,4]оксазепин-9-ил)амино)пропионамида
(S)-2-((2-((S)-4-(дифторметил)-2-оксооксазолидин-3-ил)-10-метокси-5,6-дигидробензо[f]имидазо[1,2-d][1,4]оксазепин-9-ил)амино)пропионамид получали способом, описанным в примере 31.
МС m/z (ESI): 438,1 [М+Н]+.
Пример 40
Получение
(S)-2-((8-циано-2-((S)-4-(дифторметил)-2-оксооксазолидин-3-ил)-5,6-дигидробензо[f]имидазо[1,2-d] [1,4]оксазепин-9-ил)амино)пропионамида
(S)-2-((8-циано-2-((S)-4-(дифторметил)-2-оксооксазолидин-3-ил)-5,6-дигидробензо[f]имидазо[1,2-d][1,4]оксазепин-9-ил)амино)пропионамид получали способом, описанным в примере 31.
МС m/z (ESI): 433,1 [М+Н]+.
Пример 41
Получение
(S)-2-((11-циано-2-((S)-4-(дифторметил)-2-оксооксазолидин-3-ил)-5,6-дигидробензо[f]имидазо[1,2-d][1,4]оксазепин-9-ил)амино)пропионамида
(S)-2-((11-циано-2-((S)-4-(дифторметил)-2-оксооксазолидин-3-ил)-5,6-дигидробензо[f]имидазо[1,2-d][1,4]оксазепин-9-ил)амино)пропионамид получали способом, описанным в примере 31.
МС m/z (ESI): 433,1 [М+Н]+.
Пример 42
Получение
(S)-2-((10-циано-2-((S)-4-(дифторметил)-2-оксооксазолидин-3-ил)-5,6-дигидробензо[f]имидазо[1,2-d][1,4]оксазепин-9-ил)амино)пропионамида
(S)-2-((10-циано-2-((S)-4-(дифторметил)-2-оксооксазолидин-3-ил)-5,6-дигидробензо[f]имидазо[1,2-d][1,4]оксазепин-9-ил)амино)пропионамид получали способом, описанным в примере 31.
МС m/z (ESI): 433,1 [М+Н]+.
Пример 43
Получение
(S)-2-((2-((S)-4-(дифторметил)-2-оксооксазолидин-3-ил)-5,6-дигидробензо[f]имидазо[1,2-d][1,4]оксазепин-9-ил)амино)-3-метоксипропионамида
(S)-2-((2-((S)-4-(дифторметил)-2-оксооксазолидин-3-ил)-5,6-дигидробензо[f]имидазо[1,2-d][1,4]оксазепин-9-ил)амино)-3-метоксипропионамид получали способом, описанным в примере 1.
1Н ЯМР (400 МГц, CD3OD) δ 3,39 (s, 3Н), 3,67-3,76 (m, 2Н), 3,94-3,98 (m, 1Н), 4,30-4,34 (m, 2H), 4,37-4,41 (m, 2H), 4,57-4,66 (m, 2H), 4,91-4,96 (m, 1H), 6,21-6,25 (m, 1H), 6,43-6,46 (m, 1H), 6,48-6,73 (m, 1H), 7,15 (s, 1H), 8,06 (d, J=8,8 Гц, 1H);
MC m/z (ESI): 438,2 [M+H]+.
Пример 44
Получение
(2S,3R)-2-((2-((S)-4-(дифторметил)-2-оксооксазолидин-3-ил)-5,6-дигидробензо[f]имидазо[1,2-d][1,4]оксазепин-9-ил)амино)-3-метоксибутанамида
(2S,3R)-2-((2-((S)-4-(дифторметил)-2-оксооксазолидин-3-ил)-5,6-дигидробензо[f]имидазо[1,2-d][1,4]оксазепин-9-ил)амино)-3-метоксибутанамид получали способом, описанным в примере 1.
1Н ЯМР (400 МГц, CD3OD): δ 1,23-1,27 (d, J=6,9 Гц, 3Н), 3,39 (s, 3Н), 3,75-3,80 (m, 1H), 3,88-3,93 (m, 1H), 4,29-4,43 (m, 4H), 4,56-4,68 (m, 2H), 4,89-4,98 (m, 1H), 6,22-6,25 (m, 1H), 6,43-6,74 (m, 2H), 7,15 (s, 1H), 8,03-8,08 (d, J=8,8 Гц, 1H);
MC m/z (ESI): 452,2 [M+H]+.
Пример 45
Получение
(2S,3S)-2-((2-((S)-4-(дифторметил)-2-оксооксазолидин-3-ил)-5,6-дигидробензо[f]имидазо[1,2-d][1,4]оксазепин-9-ил)амино)-3-метоксибутанамида
(2S,3S)-2-((2-((S)-4-(дифторметил)-2-оксооксазолидин-3-ил)-5,6-дигидробензо[f]имидазо[1,2-d][1,4]оксазепин-9-ил)амино)-3-метоксибутанамид получали способом, описанным в примере 1.
МС m/z (ESI): 452,2 [М+Н]+.
Пример 46
Получение
(S)-2-((2-((S)-2-(дифторметил)-5-оксопирролидин-1-ил)-5,6-дигидробензо[f]имидазо[1,2-d][1,4]оксазепин-9-ил)амино)пропионамида
(S)-2-((2-((S)-2-(дифторметил)-5-оксопирролидин-1-ил)-5,6-дигидробензо[f]имидазо[1,2-d][1,4]оксазепин-9-ил)амино)пропионамид получали способом, описанным в примере 1.
1Н ЯМР (400 МГц, ДМСО-d6) δ 1,30 (d, J=8,0 Гц, 3Н), 2,20-2,45 (m, 3Н), 3,31 (d, J=8,0 Гц, 1H), 3,76 (t, J=7,6 Гц, 1H), 4,32-4,36 (m, 4Н), 4,69-4,78 (m, 1H), 6,08 (s, 1H), 6,15 (d, J=8,0 Гц, 1H), 6,41 (d, J=8,0 Гц, 1H), 6,66 (t, J=56 Гц, 1H), 7,00 (s, 1H), 7,38 (d, J=8,0 Гц, 1H), 7,40 (s, 1H), 8,00 (d, J=8,0 Гц, 1H);
MC m/z (ESI): 406,2 [M+H]+.
Пример 47
Получение
(S)-2-((2-((3S,5S)-5-(дифторметил)-3-метокси-2-оксопирролидин-1-ил)-5,6-дигидробензо[f]имидазо[1,2-d][1,4]оксазепин-9-ил)амино)пропионамида
(S)-2-((2-((3S,5S)-5-(дифторметил)-3-метокси-2-оксопирролидин-1-ил)-5,6-дигидробензо[f]имидазо[1,2-d][1,4]оксазепин-9-ил)амино)пропионамид получали способом, описанным в примере 1.
1Н ЯМР (400 МГц, CD3OD) δ 1,46 (d, J=7,0 Гц, 3Н), 2,10-2,20 (m, 1Н), 2,74-2,84 (m, 1H), 3,57 (s, 3H), 3,81 (q, J=7,0 Гц, 1H), 4,25-4,40 (m, 5H), 4,71-4,84 (m, 1H), 6,13-6,18 (m, 1H), 6,37-6,70 (m, 2H), 7,38 (s, 1H), 8,04 (d, J=8,8 Гц, 1H);
MC m/z (ESI): 436,2 [M+H]+.
Пример 48
Получение
(S)-2-((2-((3R,5S)-5-(дифторметил)-3-метокси-2-оксопирролидин-1-ил)-5,6-дигидробензо[f]имидазо[1,2-d][1,4]оксазепин-9-ил)амино)пропионамида
(S)-2-((2-((3R,5S)-5-(дифторметил)-3-метокси-2-оксопирролидин-1-ил)-5,6-дигидробензо[f]имидазо[1,2-d][1,4]оксазепин-9-ил)амино)пропионамид получали способом, описанным в примере 1.
МС m/z (ESI): 436,2 [М+Н]+.
Пример 49
Получение
(S)-2-((2-((S)-4-(дифторметил)-2-оксооксазолидин-3-ил)-5,6-дигидробензо[f]имидазо[1,2-(1][1,4]оксазепин-9-ил)амино)-3-гидроксипропионамида
(S)-2-((2-((S)-4-(дифторметил)-2-оксооксазолидин-3-ил)-5,6-дигидробензо[f]имидазо[1,2-d][1,4]оксазепин-9-ил)амино)-3-гидроксипропионамид получали способом, описанным в примере 1.
1Н ЯМР (400 МГц, CD3OD) δ 3,87 (s, 2Н), 4,34 (d, J=4,3 Гц, 2Н), 4,37-4,43 (m, 2Н), 4,62 (m, 4Н), 6,23 (d, J=2,6 Гц, 1H), 6,41-6,62 (m, 2H), 7,16 (s, 1H), 8,06 (d, J=8,8 Гц, 1H);
MC m/z (ESI): 424,1 [M+H]+.
Пример 50
Получение
(S)-2-((2-((R)-4-(дифторметил)-2-оксотиазолидин-3-ил)-8-фтор-5,6-дигидробензо[f]имидазо[1,2-d][1,4] оксазепин-9-ил)амино)пропионамида
Стадия 1: получение 4-бром-3-фтор-2-метоксибензальдегида
К раствору 4-бром-2,3-дифторбензальдегида (2,0 г, 9,05 ммоль) в метаноле (25 мл) добавляли метоксид натрия (733 мг, 13,56 ммоль) при комнатной температуре. Реакционный раствор нагревали до 65°С и оставляли реагировать в течение 2 часов. Реакционный раствор концентрировали и очищали с помощью колоночной хроматографии с получением 4-бром-3-фтор-2-метоксибензальдегида (1,78 г, 85%).
МС m/z (ESI): 233,0 [М+Н]+.
Стадия 2: получение 4-бром-3-фтор-2-гидроксибензальдегида
К раствору 4-бром-3-фтор-2-метоксибензальдегида (1,78 г, 7,67 ммоль) в уксусной кислоте (15 мл) добавляли бромистоводородную кислоту (8,7 мл, 48%) при комнатной температуре. Реакционный раствор нагревали до 120°С и оставляли реагировать в течение 16 часов. Реакционный раствор охлаждали и затем концентрировали при пониженном давлении. Затем в реакционную колбу добавляли воду и этилацетат, а затем две фазы разделяли. Органическую фазу сушили над безводным сульфатом натрия, концентрировали при пониженном давлении для удаления органического растворителя, а затем очищали путем разделения с помощью колоночной хроматографии с получением 4-бром-3-фтор-2-гидроксибензальдегида (1,12 г, 67%).
МС m/z (ESI): 219,0 [М+Н]+.
Стадия 3: получение 3-бром-2-фтор-6-(1Н-имидазол-2-ил)фенола
К раствору 4-бром-3-фтор-2-гидроксибензальдегида (1,12 г, 5,14 ммоль) в метаноле (12 мл) добавляли водный раствор глиоксаля (40 мас. %, 3,73 г, 25,7 ммоль). Затем медленно по каплям добавляли водный аммиак (28 мас. %, 5,14 г, 51,4 ммоль) на водяной бане при перемешивании. Процесс добавления по каплям продолжался в течение 30 минут и температуру реакционного раствора контролировали на уровне не выше 40°С. Затем смесь перемешивали при 35°С в течение двух дней, охлаждали и очищали с помощью колоночной хроматографии после удаления органического растворителя при пониженном давлении с получением 3-бром-2-фтор-6-(1Н-имидазол-2-ил)фенола (1,31 г, 100%).
МС m/z (ESI): 257,0 [М+Н]+.
Стадия 4: получение
9-бром-8-фтор-5,6-дигидробензо[f]имидазо[1,2-d][1,4]оксазепина
3-бром-2-фтор-6-(1Н-имидазол-2-ил)фенол (1,31 г, 5,14 ммоль), карбонат цезия (6,3 г, 19,53 ммоль) и 1,2-дибромэтан (3,6 г, 19,12 ммоль) смешивали в ДМФА (12 мл) и перемешивали при 85°С в течение ночи. Реакционный раствор охлаждали и разбавляли этилацетатом. Органическую фазу несколько раз промывали насыщенным солевым раствором, затем сушили над безводным сульфатом натрия, концентрировали при пониженном давлении для удаления органического растворителя и затем очищали с помощью колоночной хроматографии с получением указанного в заголовке соединения 9-бром-8-фтор-5,6-дигидробензо[1]имидазо[1,2-d][1,4]оксазепина (995 мг, 69%).
МС m/z (ESI): 283,0 [М+Н]+.
Стадия 5: получение
9-бром-8-фтор-2,3-дииод-5,6-дигидробензо[f]имидазо[1,2-d][1,4] оксазепина
К раствору 9-бром-8-φτop-5,6-дигидробензо[f]имидазо[1,2-d][1,4]оксазепина (995 мг, 3,53 ммоль) в ДМФА (8 мл) добавляли NIS (2,23 г, 9,88 ммоль) при комнатной температуре с последующим перемешиванием при 60°С в течение ночи. После охлаждения добавляли воду для осаждения твердого вещества. После фильтрования твердое вещество растворяли в этилацетате, последовательно промывали 1 Μ водным раствором NaOH и насыщенным солевым раствором, сушили над безводным сульфатом натрия и концентрировали с получением указанного в заголовке соединения 9-бром-8-фтор-2,3-дииод-5,6-дигидробензо[f]имидазо[1,2-d][1,4]оксазепин (1,79 г, 94%).
МС m/z (ESI): 534,7 [М+Н]+.
Стадия 6: получение
9-бром-8-фтор-2-иод-5,6-дигидробензо[f] имидазо[1,2-d][1,4]оксазепина
К раствору 9-бром-8-фтор-2,3-дииод-5,6-дигидробензо[f]имидазо[1,2-d][1,4]оксазепина (1,79 г, 3,35 ммоль) в ТГФ (10 мл) медленно по каплям добавляли EtMgBr (1,0 Μ раствор в ТГФ, 1,23 мл, 3,69 ммоль) при минус 20°С. После завершения добавления по каплям смесь перемешивали при минус 15°С в течение 3 часов и медленно нагревали до комнатной температуры. Затем по каплям добавляли насыщенный водный раствор хлорида аммония. Реакционный раствор перемешивали в течение 15 минут и несколько раз экстрагировали этилацетатом. Органические фазы объединяли, а затем промывали насыщенным солевым раствором. Органическую фазу отделяли и сушили над безводным сульфатом натрия, концентрировали при пониженном давлении для удаления органического растворителя и подвергали колоночной хроматографии с получением указанного в заголовке соединения 9-бром-8-фтор-2-иод-5,6-дигидробензо[f]имидазо[1,2-d][1,4]оксазепина (610 мг, 45%).
МС m/z (ESI): 408,9 [М+Н]+.
Стадия 7: получение
(S)-4-(дифторметил)-3-(8-фтор-9-иод-5,6-дигидробензо[f]имидазо[1,2d][1,4]оксазепин-2-ил)оксазолидин-2-она
9-бром-8-фтор-2-иод-5,6-дигидробензо[f]имидазо[1,2-d][1,4]оксазепин (300 мг, 0,74 ммоль), (S)-4-(дифторметил)оксазолидин-2-он (102 мг, 0,74 ммоль), (1R,2R)-N1,Ν2-диметилциклогексан-1,2-диамин (42 мг, 0,30 ммоль), иодид меди (28 мг, 0,15 ммоль) и карбонат калия (205 мг, 1,5 ммоль) смешивали в 1,4-диоксане (6 мл). Реакционную систему продували азотом три раза и проводили реакцию при 105°С в течение 5 часов. Реакционный раствор охлаждали до комнатной температуры и добавляли 15% водный аммиак. Реакционный раствор перемешивали в течение 5 минут и экстрагировали EtOAc три раза. Органические фазы объединяли, промывали насыщенным водным раствором хлорида натрия, сушили над безводным сульфатом натрия, концентрировали при пониженном давлении и подвергали колоночной хроматографии с получением указанного в заголовке соединения (S)-4-(дифторметил)-3-(8-фтор)-9-иод-5,6-дигидробензо[f]имидазо[1,2-d][1,4]оксазепин-2-ил)оксазолидин-2-она (225 мг, 65%).
МС m/z (ESI): 466,0 [М+Н]+.
Стадия 8: получение
(S)-4-(дифторметил)-3-(8-фтор-9-иод-5,6-дигидробензо[f]имидазо[1,2-d][1,4]оксазепин-2-ил)оксазолидин-2-тиона
К раствору (S)-4-(дифторметил)-3-(8-фтор-9-иод-5,6-дигидробензо[f]имидазо[1,2-d][1,4]оксазин-2-ил)оксазолидин-2-она (220 мг, 0,47 ммоль) в толуоле (20 мл) добавляли реагент Лавессона (1,92 г, 4,73 ммоль). Реакционный раствор нагревали до 145°С и проводили реакцию в течение 6 часов. После охлаждения до комнатной температуры реакционный раствор фильтровали. Осадок на фильтре промывали EtOAc (20 мл). Фильтрат сушили над безводным сульфатом натрия, концентрировали при пониженном давлении и подвергали колоночной хроматографии с получением указанного в заголовке соединения (S)-3-(9-бром-8-фтор-5,6-дигидробензо[f]имидазо[1,2-d][1,4]оксазепин-2-ил)-4-(дифторметил)оксазолидин-2-тиона (105 мг, 46%).
МС m/z (ESI): 482,1 [М+Н]+.
Стадия 9: получение
(R)-4-(дифторметил)-3-(8-фтор-9-иод-5,6-дигидробензо[f]имидазо[1,2-d][1,4]оксазепин-2-ил)тиазолидин-2-она
К раствору (S)-3-(9-бром-8-фтор-5,6-дигидробензо[f]имидазо[1,2-d][1,4]оксазепин-2-ил)-4-(дифторметил)оксазолидин-2-тиона (105 мг, 0,22 ммоль) в толуоле (3 мл) добавляли диполимер дихлор(п-метилизопропилфенил)рутения (II) (27 мг, 0,045 ммоль) и 2-дициклогексилфосфин-2',6'-диметоксибифенил (27 мг, 0,065 ммоль). Реакцию проводили в атмосфере воздуха при 115°С в течение 16 часов. Реакционный раствор охлаждали до комнатной температуры и разбавляли EtOAc. Органическую фазу промывали насыщенным водным раствором хлорида натрия, сушили над безводным сульфатом натрия, концентрировали при пониженном давлении и подвергали колоночной хроматографии с получением указанного в заголовке соединения (R)-4-(дифторметил)-3-(8-фтор)-9-иод-5,6-дигидробензо[f]имидазо[1,2-d][1,4]оксазепин-2-ил)тиазолидин-2-она (55 мг, 52%).
МС m/z (ESI): 482,1 [М+Н]+.
Стадия 10: получение
(S)-2-((2-((R)-4-(дифторметил)-2-оксотиазолидин-3-ил)-8-фтор-5,6-дигидробензо[f]имидазо[1,2-d][1,4]оксазепин-9-ил)амино)пропионамида
(R)-4-(дифторметил)-3-(8-фтор-9-иод-5,6-дигидробензо[f]имидазо[1,2-d][1,4]оксазепин-2-ил)тиазолидин-2-он (40 мг, 0,083 ммоль), L-аланин (15 мг, 0,17 ммоль), иодид меди (6,3 мг, 0,033 ммоль) и фосфат калия (53 мг, 0,25 ммоль) смешивали в диметилсульфоксиде (3 мл). Реакционную систему продували азотом три раза и проводили реакцию при 125°С в течение 1,5 часов. Реакционный раствор охлаждали до комнатной температуры, затем добавляли хлорид аммония (27 мг, 0,5 ммоль) и DMAP (161 мг, 1,25 ммоль). Реакционный раствор перемешивали в течение 5 минут и добавляли O-(7-азабензотриазол-1-ил)-N,N,N',N'-тетраметилурония гексафторфосфат (284 мг, 0,75 ммоль). Реакционный раствор перемешивали при комнатной температуре в течение 2 часов и фильтровали. Добавляли насыщенный водный раствор бикарбоната натрия и реакционный раствор экстрагировали этилацетатом три раза. Органические фазы объединяли, сушили над безводным сульфатом натрия, концентрировали при пониженном давлении и затем подвергали колоночной хроматографии с получением указанного в заголовке соединения
(S)-2-((2-((R)-4-(дифторметил)-2-оксотиазолидин-3-ил)-8-фтор-5,6-дигидробензо[f]имидазо[1,2-d][1,4]оксазепин-9-ил)амино)пропионамида (7,9 мг, 22%).
1Н ЯМР (400 МГц, CD3OD) δ 1,49 (d, J=7,0 Гц, 3Н), 3,54-3,60 (m, 1Н), 3,76-3,93 (m, 1H), 3,95-4,00 (m, 1H), 4,36-4,40 (m, 2H), 4,47-4,52 (m, 2H), 5,10-5,20 (m, 1H), 6,32-6,62 (m, 2H), 7,32 (s, 1H), 7,85-7,91 (m, 1H);
MC m/z (ESI): 442,1 [M+H]+.
Пример 51 Получение
(S)-2-((2-((R)-4(дифторметил)-2-оксотиазолидин-3-ил)-8-фтор-5,6-дигидробензо[f]имидазо[1,2-d][1,4]оксазепин-9-ил)амино)-3-метоксипропионамида
(S)-2-((2-((R)-4(дифторметил)-2-оксотиазолидин-3-ил)-8-фтор-5,6-дигидробензо[f]имидазо[1,2-d][1,4]оксазепин-9-ил)амино)-3-метоксипропионамид получали способом, описанным в примере 50.
1Н ЯМР (400 МГц, CD3OD) δ 3,40 (s, 3Н), 3,53-3,60 (m, 1H), 3,69-3,83 (m, 3Н), 4,06-4,13 (m, 1H), 4,35-4,41 (m, 2H), 4,47-4,52 (m, 2H), 5,10-5,21 (m, 1H), 6,30-6,60 (m, 2H), 7,32 (s, 1H), 7,89 (d, J=8,5 Гц, 1H);
MC m/z (ESI): 472,1 [M+H]+.
Пример 52
Получение
(S)-2-((2-((R)-4-(дифторметил)-2-оксотиазолидин-3-ил)-5,6-дигидробензо[а]имидазо[1,2-d][1,4]оксазепин-9-ил)амино)-3-метоксипропионамида
Стадия 1: получение
(S)-2-((2-((R)-4-(дифторметил)-2-оксотиазолидин-3-ил)-5,6-дигидробензо[f]имидазо[1,2-d][1,4]оксазепин-9-ил)амино)-3-метоксипропионамида
(R)-3-(9-бром-5,6-дигидробензо[f]имидазо[1,2-d][1,4]оксазепин-2-ил)-4-(дифторметил)тиазолидин-2-он (26 мг, 0,062 ммоль), О-метил-L-серин (22 мг, 0,18 ммоль), иодид меди (6,0 мг, 0,03 ммоль) и фосфат калия (40 мг, 0,19 ммоль) смешивали в диметилсульфоксиде (3 мл). Реакционную систему продували азотом три раза и проводили реакцию при 100°С в течение 12 часов. Реакционный раствор охлаждали до комнатной температуры, затем добавляли хлорид аммония (20 мг, 0,37 ммоль) и триэтиламин (95 мг, 0,94 ммоль). Реакционный раствор перемешивали в течение 5 минут и добавляли O-(7-азабензотриазол-1-ил)-N,N,N',N'-тетраметилурония гексафторфосфат (212 мг, 0,56 ммоль). Реакционный раствор перемешивали при комнатной температуре в течение 2 часов и фильтровали. Добавляли насыщенный водный раствор бикарбоната натрия и экстрагировали реакционный раствор этилацетатом три раза. Органические фазы объединяли, сушили над безводным сульфатом натрия, концентрировали при пониженном давлении для удаления органического растворителя и подвергали разделению с помощью колоночной хроматографии с получением указанного в заголовке соединения (S)-2-((2-((R)-4-(дифторметил)-2-оксотиазолидин-3-ил)-5,6-дигидробензо[f]имидазо[1,2-d][1,4]оксазепин-9-ил)амино)-3-метоксипропионамида (13 мг, 46%).
1Н ЯМР (400 МГц, CD3OD) δ 3,39 (s, 3Н), 3,53-3,57 (m, 1Н), 3,62-3,76 (m, 3Н), 3,93-3,98 (m, 1H), 4,16-4,30 (m, 4H), 5,06-5,16 (m, 1H), 6,21-6,23 (m, 1H), 6,28-6,52 (m, 2H), 7,23 (s, 1H), 8,02 (d, J=8,8 Гц, 1H);
MC m/z (ESI): 454,1 [M+H]+.
Пример 53
Получение
(S)-1-(2-((R)-4-(дифторметил)-2-оксотиазолидин-3-ил)-5,6-дигидробензо[f]имидазо[1,2-d][1,4]оксазепин-9-ил)пирролидин-2-карбоксамида
(S)-1-(2-((R)-4-(дифторметил)-2-оксотиазолидин-3-ил)-5,6-дигидробензо[f]имидазо[1,2-d][1,4]оксазепин-9-ил)пирролидин-2-карбоксамид получали способом, описанным в примере 22.
1Н ЯМР (400 МГц, ДМСО-d6) δ 1,83-1,92 (m, 2Н), 2,09-2,15 (m, 1H), 3,72-3,81 (m, 4Н), 4,25-4,32 (m, 4Н), 5,07-5,15 (m, 1H), 5,93-5,97 (m, 1H), 6,22-6,28 (m, 1H), 6,35-6,65 (s, 1Н), 7,00 (s, 1H), 7,26 (s, 1H), 7,35 (s, 1H), 7,99 (d, J=8,6 Гц, 1H);
MC m/z (ESI): 450,1 [M+H]+.
Пример 54
Получение
(S)-2-((2-((R)-4-(дифторметил)-2-оксотиазолидин-3-ил)-5,6-дигидробензо[f]имидазо[1,2-d][1,4]оксазепин-9-ил)(метил)амино)пропионамида
(S)-2-((2-((R)-4-(дифторметил)-2-оксотиазолидин-3-ил)-5,6-дигидробензо[f]имидазо[1,2-d][1,4]оксазепин-9-ил)метил)амино)пропионамид получали способом, описанным в примере 22.
1H ЯМР (400 МГц, CD3OD) δ 1,40 (d, J=7,0 Гц, 3Н), 2,90 (s, 3H), 3,53-3,58 (m, 1H), 3,75-3,80 (m, 1H), 4,30-4,44 (m, 4H), 4,46-4,51 (m, 1H), 5,08-5,18 (m, 1H), 6,22-6,41 (m, 2H), 6,51-6,73 (m, 1H), 7,28 (s, 1H), 8,11 (d, J=9,0 Гц, 1H);
MC m/z (ESI): 438,1 [M+H]+.
Пример 55
Получение
(2S,3R)-1-(2-((S)-4-(дифторметил)-2-оксооксазолидин-3-ил)-5,6-дигидробензо[f]имидазо[1,2-d][1,4]оксазепин-9-ил)-3-метилпирролидин-2-карбоксамида
(2S,3R)-1-(2-((S)-4-(дифторметил)-2-оксооксазолидин-3-ил)-5,6-дигидробензо[f]имидазо[1,2-d][1,4]оксазепин-9-ил)-3-метилпирролидин-2-карбоксамид получали способом, описанным в примере 1.
MC m/z (ESI): 448,1 [М+Н]+.
Пример 56
Получение
(S)-2-((2-((S)-4-(дифторметил)-2-оксооксазолидин-3-ил)-7-метил-6,7-дигидро-5H-бензо[f]имидазо[1,2-d][1,4]диазогептин-9-ил)амино)пропионамида
Стадия 1: получение 5-бром-2-(1Н-имидазол-2-ил)анилина
К раствору 2-амино-4-бромбензальдегида (4,9 г, 24,6 ммоль) в метаноле (50 мл) добавляли водный раствор глиоксаля (40 мас. %, 18 г, 124 ммоль). Затем медленно по каплям добавляли водный аммиак (28 мас. %, 24 г, 172 ммоль) на водяной бане при перемешивании. Процесс добавления по каплям продолжался в течение 30 минут, и температуру реакционного раствора контролировали на уровне не выше 40°С. Затем смесь перемешивали при 35°С в течение ночи, охлаждали, концентрировали при пониженном давлении и подвергали колоночной хроматографии с получением указанного в заголовке соединения 5-бром-2-(1Н-имидазол-2-ил)анилина (3,5 г, выход: 60%).
МС m/z (ESI): 238,0 [M+H]+.
Стадия 2: получение 10-бром-5,6,7,8-тетрагидробензо[с]имидазо[1,2-а][1,5]диазина
5-бром-2-(1Н-имидазол-2-ил)анилин (3,3 г, 14 ммоль), 1,2-дибромэтан (1,38 мл, 15,9 ммоль) и карбонат цезия (10,4 г, 31,8 ммоль) смешивали в N,N-диметилформамиде (50 мл) и перемешивали реакционный раствор при комнатной температуре в течение 1,5 часов. Добавляли воду, реакционный раствор перемешивали в течение 5 минут и экстрагировали EtOAc три раза. Органические фазы объединяли, сушили над безводным сульфатом натрия, концентрировали при пониженном давлении, а затем подвергали колоночной хроматографии с получением указанного в заголовке соединения 10-бром-5,6,7,8-тетрагидробензо[с]имидазо[1,2-а][1,5]диазина (1,55 г, выход: 40%).
МС m/z (ESI): 278,0 [М+Н]+.
Стадия 3: получение 9-бром-2,3-дииод-6,7-дигидро-5Н-бензо[f]имидазо[1,2-d][1,4]диазепина
К раствору 10-бром-5,6,7,8-тетрагидробензо[с]имидазо[1,2-а][1,5]диазепина (1,55 г, 5,6 ммоль) в ДМФА (30 мл) партиями добавляли NIS (3,8 г, 16,8 ммоль) при комнатной температуре с последующим перемешиванием при 60°С в течение ночи. После охлаждения добавляли воду для осаждения твердого вещества. После фильтрования твердое вещество растворяли в этилацетате, последовательно промывали 1 М водным раствором NaOH и насыщенным солевым раствором, сушили над безводным сульфатом натрия и концентрировали с получением указанного в заголовке соединения 9-бром-2,3-дииод-6,7-дигидро-5Н-бензо[f]имидазо[1,2-d][1,4]диазепин (2,6 г, выход: 90,2%).
MC m/z (ESI): 515,8 [M+H]+.
Стадия 4: получение 9-бром-2-иод-6,7-дигидро-5Н-бензо[f]имидазо[1,2-d][1,4]диазепина
К раствору 9-бром-2,3-дииод-6,7-дигидро-5Н-бензо[f]имидазо[1,2-d][1,4]диазепина (2,52 г, 4,9 ммоль) в ТГФ (20 мл) медленно по каплям добавляли EtMgBr (1,0 М раствор в ТГФ, 10 мл, 10 ммоль) при минус 20°С. После завершения добавления по каплям реакционный раствор перемешивали при минус 15°С в течение 3 часов и медленно нагревали до комнатной температуры. Затем по каплям добавляли насыщенный водный раствор хлорида аммония. Реакционный раствор перемешивали в течение 15 минут и экстрагировали этилацетатом три раза. Органические фазы объединяли, промывали насыщенным солевым раствором, сушили над безводным сульфатом натрия, концентрировали и затем подвергали колоночной хроматографии с получением указанного в заголовке соединения 9-бром-2-иод-6,7-дигидро-5Н-бензо[f]имидазо[1,2-d][1,4]диазепина (1,52 г, выход: 80%).
МС m/z (ESI): 389,9 [M+H]+.
Стадия 5: получение (S)-3-(9-бром-6,7-дигидро-5H-бензо[f]имидазо[1,2-d][1,4]диазогептин-2-ил)-4-(дифторметил)оксазолидин-2-она
9-бром-2-иод-6,7-дигидро-5Н-бензо[f]имидазо[1,2-d][1,4]диазепин (179 мг, 0,46 ммоль), (S)-4-(дифторметил)оксазолидин-2-он (63 мг, 0,46 ммоль), (1R,2R)-N1,N2-диметилциклогексан-1,2-диамин (28,4 мг, 0,2 ммоль), иодид меди (19,0 мг, 0,1 ммоль) и карбонат калия (138 мг, 1,0 ммоль) смешивали в 1,4-диоксане (4 мл). Реакционный раствор нагревали до 100°С и проводили реакцию в течение 5 часов. Реакционный раствор охлаждали до комнатной температуры и добавляли 14% водный аммиак. Реакционный раствор перемешивали в течение 5 минут и экстрагировали EtOAc три раза. Органические фазы объединяли, промывали насыщенным водным раствором хлорида натрия, сушили над безводным сульфатом натрия, концентрировали при пониженном давлении, а затем подвергали колоночной хроматографии с получением указанного в заголовке соединения (S)-3-(9-бром-6,7-дигидро-5H-бензо[f]имидазо[1,2-d][1,4]диазогептин-2-ил)-4-(дифторметил)оксазолидин-2-она (111 мг, выход: 60%).
МС m/z (ESI): 399,1 [М+Н]+.
Стадия 6: получение (S)-3-(9-бром-7-метил-6,7-дигидро-5H-бензо[f]имидазо[1,2-d][1,4]диазогептин-2-ил)-4-(дифторметил)оксазолидин-2-она
(S)-3-(9-бром-6,7-дигидро-5H-бензо[f]имидазо[1,2-d][1,4]диазогептин-2-ил)-4-(дифторметил)оксазолидин-2-он (111 мг, 0,28 ммоль) растворяли в метаноле (5 мл). Добавляли каталитическое количество уксусной кислоты и водного формальдегида (37% водный раствор, 50 мг, 0,62 ммоль) и перемешивали реакционный раствор при комнатной температуре в течение 30 минут. Добавляли цианоборгидрид натрия (39 мг, 0,62 ммоль). Реакцию проводили при комнатной температуре в течение 3 часов и гасили насыщенным водным раствором хлорида аммония. Реакционный раствор экстрагировали EtOAc три раза. Органические фазы объединяли, промывали насыщенным водным раствором хлорида натрия, сушили над безводным сульфатом натрия, концентрировали при пониженном давлении, а затем подвергали колоночной хроматографии с получением указанного в заголовке соединения (S)-3-(9-бром-7-метил-6,7-дигидро-5H-бензо[f]имидазо[1,2-d][1,4]диазогептин-2-ил)-4-(дифторметил)оксазолидин-2-она (81 мг, выход: 70%).
MC m/z (ESI): 413,1 [M+H]+.
Стадия 7: получение (S)-2-((2-((S)-4-(дифторметил)-2-оксооксазолидин-3-ил)-7-метил-6,7-дигидро-5H-бензо[f]имидазо[1,2-d][1,4]диазогептин-9-ил)амино)пропионамида
(S)-3-(9-бром-7-метил-6,7-дигидро-5H-бензо[f]имидазо[1,2-d][1,4]диазогептин-2-ил)-4-(дифторметил)оксазолидин-2-он (49,4 мг, 0,12 ммоль), L-аланин (21,4 мг, 0,24 ммоль), иодид меди (4,6 мг, 0,024 ммоль) и фосфат калия (51,5 мг, 0,24 ммоль) смешивали в диметилсульфоксиде (2 мл) и проводили реакцию при 100°С в течение 5 часов. Реакционный раствор охлаждали до комнатной температуры, затем добавляли хлорид аммония (39 мг, 0,72 ммоль) и триэтиламин (184 мг, 1,8 ммоль). Реакционный раствор перемешивали в течение 5 минут и добавляли O-(7-азабензотриазол-1-ил)-N,N,N',N'-тетраметилурония гексафторфосфат (418 мг, 1,1 ммоль). Реакционный раствор перемешивали при комнатной температуре в течение 2 часов и фильтровали. Добавляли насыщенный водный раствор бикарбоната натрия и экстрагировали реакционный раствор этилацетатом три раза. Органические фазы объединяли, сушили над безводным сульфатом натрия, концентрировали при пониженном давлении и подвергали колоночной хроматографии с получением указанного в заголовке соединения
(S)-2-((2-((S)-4-(дифторметил)-2-оксооксазолидин-3-ил)-7-метил-6,7-дигидро-5H-бензо[f]имидазо[1,2-d][1,4]диазогептин-9-ил)амино)пропионамида (20 мг, выход: 40%).
1H ЯМР (400 МГц, CD3OD) δ 1,47 (d, J=7,0 Гц, 3Н), 2,95 (s, 3H), 3,43-3,50 (m, 2H), 3,86 (q, J=7,0 Гц, 1H), 4,15 (t, J=5,2 Гц, 2H), 4,54-4,67 (m, 2H), 4,90-4,95 (m, 1H), 6,18 (d, J=2,2 Гц, 1H), 6,27 (dd, J=8,7, 1,1 Гц, 1H), 6,35-6,68 (m, 1H), 7,16 (s, 1H), 7,84 (d, J=8,7 Гц, 1H);
MC m/z (ESI): 421,1 [M+H]+.
Пример 57
Получение
(S)-2-((2-((S)-4-(дифторметил)-2-оксооксазолидин-3-ил)-6,7-дигидро-5H-бензо[f]имидазо[1,2-d][1,4]диазогептин-9-ил)амино)пропионамида
(S)-2-((2-((S)-4-(дифторметил)-2-оксооксазолидин-3-ил)-6,7-дигидро-5H-бензо[f]имидазо[1,2-d][1,4]диазогептин-9-ил)амино)пропионамид получали способом, описанным в примере 56.
1H ЯМР (400 МГц, CD3OD) δ 1,45 (d, J=7,0 Гц, 3Н), 3,42-3,49 (m, 2H), 3,78 (q, J=7,0 Гц, 1H), 4,12-4,18 (m, 2H), 4,54-4,67 (m, 2H), 4,90-4,96 (m, 1H), 5,86 (d, J=2,3 Гц, 1H), 6,17 (dd, J=8,8, 2,3 Гц, 1H), 6,32-6,62 (m, 1H), 7,05 (s, 1H), 7,91 (d, J=8,8 Гц, 1H);
МС m/z (ESI): 407,1 [M+H]+.
Пример 58
Получение
(S)-2-((2-((S)-4-(дифторметил)-2-оксооксазолидин-3-ил)-7-этил-6,7-дигидро-5H-бензо[f]имидазо[1,2-d][1,4]диазогептин-9-ил)амино)пропионамида
(S)-2-((2-((S)-4-(дифторметил)-2-оксооксазолидин-3-ил)-7-этил-6,7-дигидро-5H-бензо[f]имидазо[1,2-d][1,4]диазогептин-9-ил)амино)пропионамид получали способом, описанным в примере 56.
МС m/z (ESI): 435,1 [M+H]+.
Пример 59
Получение
(S)-2-((2-((S)-4-(дифторметил)-2-оксооксазолидин-3-ил)-7-изопропил-6,7-дигидро-5H-бензо[f]имидазо[1,2-d][1,4]диазогептин-9-ил)амино)пропионамида
(S)-2-((2-((S)-4-(дифторметил)-2-оксооксазолидин-3-ил)-7-изопропил-6,7-дигидро-5Н-бензо[f]имидазо[1,2-d][1,4]диазогептин-9-ил)амино)пропионамид получали способом, описанным в примере 56.
МС m/z (ESI): 449,1 [M+H]+.
Пример 60
Получение
(S)-2-((7-циклопропил-2-((S)-4-(дифторметил)-2-оксооксазолидин-3-ил)-6,7-дигидро-5H-бензо[f]имидазо[1,2-d][1,4]диазогептин-9-ил)амино)пропионамида
(S)-2-((7-циклопропил-2-((S)-4-(дифторметил)-2-оксооксазолидин-3-ил)-6,7-дигидро-5Н-бензо[f]имидазо[1,2-d][1,4]диазогептин-9-ил)амино)пропионамид получали способом, описанным в примере 56.
МС m/z (ESI): 447,1 [M+H]+.
Пример 61
Получение
(S)-2-((2-((S)-4-(дифторметил)-2-оксооксазолидин-3-ил)-7-(оксбутан-3-ил)-6,7-дигидро-5H-бензо[f]имидазо[1,2-d][1,4]диазогептин-9-ил)амино)пропионамида
(S)-2-((2-((S)-4-(дифторметил)-2-оксооксазолидин-3-ил)-7-(оксбутан-3-ил)-6,7-дигидро-5Н-бензо[f]имидазо[1,2-d][1,4]диазогептин-9-ил)амино)пропионамид получали способом, описанным в примере 56.
МС m/z (ESI): 463,1 [M+H]+.
Пример 62
Получение
(S)-2-((2-((S)-4-(дифторметил)-2-оксооксазолидин-3-ил)-5,6-дигидробензо[f]имидазо[1,2-d][1,4]тиазепин-9-ил)амино)пропионамида
Стадия 1: получение 2-(5-бром-2-фторфенил)-1Н-имидазола
5-бром-2-фторбензальдегид (5,0 г, 24,6 ммоль) растворяли в изопропаноле/воде (25 мл/25 мл) при комнатной температуре с последующим добавлением ацетата аммония (17,6 г, 221,7 ммоль) и добавлением по каплям глиоксаля (4,5 мл, 221,7 ммоль) и перемешивали реакционный раствор в течение ночи. Реакционный раствор разбавляли изопропанолом, фильтровали и затем концентрировали при пониженном давлении. К концентрату добавляли дихлорметан и воду и две фазы разделяли. Органические фазы объединяли, а затем сушили над безводным сульфатом натрия, концентрировали при пониженном давлении и подвергали колоночной хроматографии с получением указанного в заголовке соединения 2-(5-бром-2-фторфенил)-1Н-имидазола (3,3 г, выход: 56%).
1H ЯМР (400 МГц, ДМСО-d6) δ 8,16-8,10 (m, 1Н), 7,60-7,56 (m, 1H), 7,38-7,33 (m, 1H), 7,27-7,18 (m, 2H).
MC m/z (ESI): 241,0 [M+H]+.
Стадия 2: получение 9-бром-5,6-дигидробензо[f]имидазо[1,2-d][1,4]тиазепина
2-(5-бром-2-фторфенил)-1Н-имидазол (2,0 г, 8,4 ммоль) растворяли в N,N-диметилформамиде (10 мл) с последующим добавлением гидрида натрия (442 мг, 9,2 ммоль) на водяной бане со льдом и перемешивали реакционный раствор в течение 10 минут. Добавляли этиленсульфид (612 мг, 10,2 ммоль). Реакционный раствор нагревали до 95°С и перемешивали в течение 6 часов. После охлаждения до комнатной температуры в реакционную колбу добавляли насыщенный водный раствор хлорида аммония. Реакционный раствор экстрагировали дихлорметаном три раза. Органические фазы объединяли, затем сушили над безводным сульфатом натрия, концентрировали при пониженном давлении и подвергали колоночной хроматографии с получением указанного в заголовке соединения 9-бром-5,6-дигидробензо[f]имидазо[1,2-d][1,4]тиазепина (1,0 г, выход: 43%).
MC m/z (ESI): 281,0 [M+H]+.
Стадия 3: получение 9-бром-2,3-дииод-5,6-дигидробензо[f]имидазо[1,2-d][1,4]тиазепина
К раствору 9-бром-5,6-дигидробензо[f]имидазо[1,2-d][1,4]тиазепина (980 мг, 3,5 ммоль) в ДМФА (20 мл) партиями добавляли NIS (2,4 г, 10,5 ммоль) при комнатной температуре с последующим перемешиванием при 60°С в течение ночи. После охлаждения добавляли воду для осаждения твердого вещества. После фильтрования твердое вещество растворяли в этилацетате, последовательно промывали 1 М водным раствором NaOH и насыщенным солевым раствором, сушили над безводным сульфатом натрия и концентрировали с получением указанного в заголовке соединения 9-бром-2,3-дииод-5,6-дигидробензо[f]имидазо[1,2-d][1,4]тиазепина (1,6 г, выход: 86%).
MC m/z (ESI): 532,8 [M+H]+.
Стадия 4: получение 9-бром-2-иод-5,6-дигидробензо[f]имидазо[1,2-d][1,4]тиазепина
К раствору 9-бром-2,3-дииод-5,6-дигидробензо[f]имидазо[1,2-d][1,4]тизепина (1,6 г, 3,0 ммоль) в ТГФ (10 мл) медленно по каплям добавляли EtMgBr (1,0 М раствор в ТГФ, 3,3 мл, 3,3 ммоль) при минус 20°С. После завершения добавления по каплям реакционный раствор перемешивали при минус 15°С в течение 3 часов и медленно нагревали до комнатной температуры. Затем по каплям добавляли насыщенный водный раствор хлорида аммония. Реакционный раствор перемешивали в течение 15 минут и экстрагировали этилацетатом три раза. Органические фазы объединяли, промывали насыщенным солевым раствором, сушили над безводным сульфатом натрия, концентрировали и подвергали колоночной хроматографии с получением указанного в заголовке соединения 9-бром-2-иод-5,6-дигидробензо[f]имидазо[1,2-d][1,4]тиазепина (1,03 г, выход: 85%).
МС m/z (ESI): 406,9 [M+H]+.
Стадия 5: получение (S)-3-(9-бром-5,6-дигидробензо[f]имидазо[1,2-d][1,4]тиазепин-2-ил)-4-(дифторметил)оксазолидин-2-она
9-бром-2-иод-5,6-дигидробензо[f]имидазо[1,2-d][1,4]тиазепин (186,7 мг, 0,46 ммоль), (S)-4-(дифторметил)оксазолидин-2-он (63 мг, 0,46 ммоль), (1R,2R)-N1,N2-диметилциклогексан-1,2-диамин (28,4 мг, 0,2 ммоль), иодид меди (19,0 мг, 0,1 ммоль) и карбонат калия (138 мг, 1,0 ммоль) смешивали в 1,4-диоксане (4 мл) и проводили реакцию при 100°С в течение 5 часов. Реакционный раствор охлаждали до комнатной температуры и добавляли 14% водный аммиак. Реакционный раствор перемешивали в течение 5 минут и экстрагировали EtOAc три раза. Органические фазы объединяли, промывали насыщенным водным раствором хлорида натрия, сушили над безводным сульфатом натрия, концентрировали при пониженном давлении, а затем подвергали колоночной хроматографии с получением указанного в заголовке соединения (S)-3-(9-бром-5,6-дигидробензо[f]имидазо[1,2-d][1,4]тиазепин-2-ил)-4-(дифторметил)оксазолидин-2-она (124 мг, выход: 65%).
МС m/z (ESI): 416,0 [M+H]+.
Стадия 6: получение (S)-2-((2-((S)-4-(дифторметил)-2-оксооксазолидин-3-ил)-5,6-дигидробензо[f]имидазо[1,2-d][1,4]тиазепин-9-ил)амино)пропионамида
(S)-3-(9-бром-5,6-дигидробензо[f]имидазо[1,2-d][1,4]тиазепин-2-ил)-4-(дифторметил)оксазолидин-2-он (49,8 мг, 0,12 ммоль), L-аланин (21,4 мг, 0,24 ммоль), иодид меди (4,6 мг, 0,024 ммоль) и фосфат калия (51,5 мг, 0,24 ммоль) смешивали в диметилсульфоксиде (2 мл) и проводили реакцию при 100°С в течение 5 часов. Реакционный раствор охлаждали до комнатной температуры, затем добавляли хлорид аммония (39 мг, 0,72 ммоль) и триэтиламин (184 мг, 1,8 ммоль). Реакционный раствор перемешивали в течение 5 минут и добавляли O-(7-азабензотриазол-1-ил)-N,N,N',N'-тетраметилурония гексафторфосфат (418 мг, 1,1 ммоль). Реакционный раствор перемешивали при комнатной температуре в течение 2 часов и фильтровали. Добавляли насыщенный водный раствор бикарбоната натрия и экстрагировали реакционный раствор этилацетатом три раза. Органические фазы объединяли, сушили над безводным сульфатом натрия, концентрировали при пониженном давлении, а затем подвергали колоночной хроматографии с получением указанного в заголовке соединения (S)-2-((2-((S)-4-(дифторметил)-2-оксооксазолидин-3-ил)-5,6-дигидробензо[f]имидазо[1,2-d][1,4]тиазепин-9-ил)амино)пропанамида (18 мг, выход: 35%).
1H ЯМР (400 МГц, CDCl3) δ 1,56 (d, J=7,0 Гц, 3Н), 3,44-3,52 (m, 2H), 3,84-3,92 (m, 1H), 4,12-4,21 (m, 2H), 4,48-4,56 (m, 1H), 4,68-4,74 (m, 1H), 4,88-5,02 (m, 1H), 5,36 (s, 1H), 6,40 (s, 1H), 6,45-6,77 (m, 2H), 6,83-6,88 (m, 1H), 7,33 (s, 1H), 7,61 (d, J=8,4 Гц, 1Н);
МС m/z (ESI): 424,1 [M+H]+.
II. Биологический анализ и оценка соединений
Настоящее изобретение будет дополнительно описано со ссылкой на следующие примеры испытаний, но эти примеры не ограничивают объем настоящего изобретения.
1. Определение ингибирующего действия соединений согласно примерам настоящего изобретения в отношении активности киназы PI3Kα/β/γ/δ
1.1 Цель эксперимента:
Целью данного тестового примера являлась проверка ингибирующей активности соединений согласно примерам в отношении активности киназы PI3Kα/β/γ/δ.
1.2 Экспериментальные приборы:
Центрифуга (5810R) была приобретена у компании Eppendorf. Пипетки были приобретены у компании Eppendorf или Rainin.
Считывающее устройство для микропланшетов было приобретено у компании BioTek, США, модель: SynergyH1 Hybrid Multi-Mode Microplate Reader.
1.3 Экспериментальный метод:
В этом эксперименте использовали ADP-Glo Lipid Kinase Assay (Promega #V9102) от Promega. Липидные киназы PI3Kα/β/γ/δ катализировали реакцию АТФ (аденозинтрифосфат) до АДФ (аденозиндифосфат) в присутствии субстрата PIP2:3PS и АТФ. Активность липидкиназы охарактеризовывали путем измерения содержания АДФ в реакции и получали концентрации полумаксимального ингибирования IC50 соединений в отношении активности киназы PI3Kα/β/γ/δ.
Конкретный экспериментальный процесс заключался в следующем:
Киназные реакции проводили в белых 384-луночных планшетах (Perkin Elmer #6007299). В каждую лунку добавляли 2 мкл соединения различных концентраций, разведенного ddH2O, содержащей 1% ДМСО, и в лунки положительного контроля добавляли 2 мкл ddH2O, содержащей 1% ДМСО. Затем в каждую лунку добавляли 2 мкл 0,1-2 нМ раствора киназы PI3K, разбавленного 5× киназным буфером (HEPES 250 мМ, MgCl2 15 мМ, NaCl 250 мМ, BSA (бычий сывороточный альбумин) 0,05%), и в лунки отрицательного контроля добавляли 2 мкл 5× киназного буфера. Во все лунки добавляли 4 мкл 50 мкМ субстрата PIP2:3PS (Promega#V1701), приготовленного с помощью 10× буфера для разведения и ddH2O. Наконец, для начала реакции добавляли 2 мкл 50-100 мкМ раствора АТФ, разбавленного водой. После того, как реакцию проводили при комнатной температуре в течение 90-120 минут, в каждую лунку добавляли 10 мкл реагента ADP-Glo (содержащего 10 мМ MgCl2) и проводили реакцию при комнатной температуре в течение 60 минут для устранения избытка аденозинтрифосфата (АТФ) в реакции. Затем в каждую лунку добавляли 20 мкл реагента для обнаружения киназ (Kinase Detection Reagent). После того, как реакцию проводили в течение 20 минут при комнатной температуре в темноте, измеряли хемилюминесценцию с помощью считывающего устройства для микропланшетов BioTek Synergy H1.
Экспериментальный способ обработки данных:
Данные процентного ингибирования обработанной соединением лунки рассчитывали на основании лунок положительного контроля (лунки контроля ДМСО) и лунок отрицательного контроля (без добавления киназы) на планшете {% ингибирования = 100 - [(значение для тестового соединения - значение для отрицательного контроля)] / (значение для положительного контроля - значение для отрицательного контроля) × 100}. Значения IC50 рассчитывали с использованием GraphPad prism и четырехпараметрической нелинейной логистической формулы для апроксимации данных различных концентраций и соответствующего процента ингибирования.
1.4 Экспериментальное заключение:
Согласно вышеприведенной схеме, соединения согласно примерам настоящего изобретения продемонстрировали биологическую активность в тесте активности киназы PI3Kα/β/γ/δ, как показано в таблице 7 ниже.
Приведенные выше данные показывают, что соединения согласно примерам настоящего изобретения обладают хорошей активностью и селективностью в отношении активности киназы PI3Kα/β/γ/δ.
2. Определение ингибирующего пролиферацию действия для соединений согласно примерам настоящего изобретения в отношении PI3Kα-мутантных раковых клеток
2.1 Цель эксперимента:
Целью данного тестового примера являлась проверка ингибирующей пролиферацию активности для соединений согласно примерам в отношении PI3Kα-мутантных раковых клеток НСС1954 (H1047R), HGC-27 (E542K) и MKN1 (E545K).
2.2 Экспериментальные приборы:
Центрифуга (5702R) была приобретена у компании Eppendorf.
Инкубатор диоксида углерода был приобретен у Thermo.
Шкаф биологической безопасности был приобретен у компании Shanghai Boxun.
Пипетки были приобретены у компании Eppendorf или Rainin.
Считывающее устройство для микропланшетов было приобретено у компании BioTek, США, модель: SynergyH1 Hybrid Multi-Mode Microplate Reader.
2.3 Экспериментальный метод:
Ингибирующее пролиферацию действие соединений согласно примерам в отношении PI3Kα-мутантных клеточных линий рака (НСС1954, HGC-27 и MKN1) обнаруживали методом Cell Titer-Glo. Клеточные линии культивировали в среде RPMI 1640 (Gibco #22400089), содержащей 10% FBS (фетальная бычья сыворотка, Gibco #10091148) и 1% P/S (Hyclone #SV30010) в условиях 37°С и 5% CO2. Клетки собирали перед экспериментом, а плотность клеток корректировали после подсчета клеток. Клетки высевали в белый 96-луночный планшет (Corning #3610) с плотностью от 1000 до 10000 клеток/лунку и инкубировали в инкубаторе при 37°С и 5% СО2 в течение ночи. Полученные растворы соединений различных концентраций и соответствующие контроли растворителей добавляли на планшет. Планшет снова инкубировали в инкубаторе при 37°С и 5% СО2 в течение 48-96 часов. Затем планшет с клетками и его содержимое кондиционировали до комнатной температуры. В каждую лунку добавляли от 20 до 100 мкл раствора Cell Titer-Glo (Promega #G7573), планшет встряхивали и хорошо перемешивали, затем инкубировали при комнатной температуре в течение 5-30 минут в темноте. Хемилюминесценцию измеряли с помощью считывающего устройства для микропланшетов SynergyH1 от BioTek.
2.4 Экспериментальный способ обработки данных:
Данные процентного ингибирования для лунки, обработанной соединением, рассчитывали на основе лунок контроля растворителя на планшете {% ингибирования = 100 - (значение для тестового соединения - значение для контроля растворителя) × 100}. Значения IC50 рассчитывали с использованием GraphPad prism и четырехпараметрической нелинейной логистической формулы для апроксимации данных различных концентраций и соответствующего процента ингибирования.
2.5 Экспериментальное заключение эксперимента:
Согласно вышеприведенной схеме, соединения согласно примерам настоящего изобретения продемонстрировали биологическую активность в испытании ингибирующей пролиферацию активности в отношении PI3Kα-мутантных раковых клеток НСС1954 (H1047R), HGC-27 (E542K) и MKN1 (E545K), как показано в таблице 8 ниже.
Приведенные выше данные демонстрируют, что соединения согласно примерам настоящего изобретения обладают хорошей активностью с точки зрения ингибирующей пролиферацию активности в отношении PI3Kα-мутантных раковых клеток НСС1954 (H1047R), HGC-27(E542K) и MKN1 (E545K).
3. Тест на токсичность 7-дневного многократного внутрижелудочного введения у крыс линии SD (Спрег-Доули)
3.1 Цель эксперимента
Целью данного исследования являлось изучение возможных токсических реакций GDC-0077, соединений согласно примеру 22 и примеру 62 у крыс линии SD после 7-дневного многократного внутрижелудочного введения и сравнение различий токсичности GDC-0077, соединений согласно примеру 22 и примеру 62.
3.2 Экспериментальные материалы и приборы
3.2.1 Тестовые соединения
Тестовое соединение 1: GDC-0077
Тестовое соединение 2: соединения согласно примеру 22 и примеру 62
3.2.2 Носитель
Наименование: 20% водный раствор SBE-β-CD (Captisol)
3.2.3 Информация о животных
Виды и штаммы: крыса Спрег-Доули (SD)
Класс животного: SPF (свободный от специфических патогенов) класс
Количество и пол животных: 160 крыс, половина самцов и половина самок.
3.2.4 Приборы
Для подсчета количества клеток крови использовали гематологическую систему ADVIA® серии 2120 с автослайдом;
Для обнаружения индикаторов функции свертывания крови использовали анализатор свертываемости SYSMEX СА-500;
Для определения биохимических показателей крови использовали автоматический биохимический анализатор TBA-120FR;
Для обнаружения электролитов использовали анализатор электролитов Easylyte;
Детектор жидкостной масс-спектрометрии модели API4000;
Для биоаналитического анализа образцов плазмы использовали электронно-распылительную ионизацию (ESI) в режиме положительных ионов и колонку типа Agilent ZORBAX XDB-C18 (3,5 мкм, 2,1×50 мм).
3.3 Экспериментальный метод
1) В эксперименте 160 крыс (80 крыс/пол) разделяли на 20 групп по их полу и массе тела, при этом 100 крыс использовали для токсикологического исследования (группы 1-10, 5 крыс/пол/группа) и 60 крыс использовали для токсикокинетического исследования (группы 11-20, 3 крысы/пол/группа);
2) В качестве контрольной группы носителя животным в группах 1 и 11 внутрижелудочно вводили 20% водный раствор SBE-β-CD (Captisol);
3) Животным в группах 2 и 12, группах 3 и 13 и группах 4 и 14 внутрижелудочно вводили 10, 30 и 60 мг/кг GDC-0077, соответственно;
4) Животным в группах 5 и 15, группах 6 и 16 и группах 7 и 17 внутрижелудочно вводили 10, 30 и 60 мг/кг соединения согласно примеру 22, соответственно;
5) Животным в группах 8 и 18, группах 9 и 19, группах 10 и 20 внутрижелудочно вводили 10, 30 и 60 мг/кг соединения согласно примеру 62, соответственно;
5) Животным вводили один раз в день в течение 7 последовательных дней (животным в группах 7, 17, 10 и 20 вводили в течение 6 последовательных дней).
6) Объем введения составлял 10 мл/кг.
7) В ходе эксперимента изучали такие характеристики, как клиническое наблюдение, масса тела, потребление пищи, клинико-патологические показатели (количество клеток крови, функция свертывания крови, биохимия крови), токсикокинетика и тому подобное.
8) Всех животных умерщвляли на 8-й день (животных в группах 7, 10, 17 и 20 умерщвляли после введения на 6-й день).
9) В ходе эксперимента проводили макроскопическое анатомическое наблюдение за животными в группах 1-10, животными в группах 17 и 20 и мертвыми животными (включая животных в токсикологическом исследовании). Гистопатологическое исследование проводили на аномальных тканях, тканях желудочно-кишечного тракта (таких как толстая кишка, слепая кишка) и иммунных тканях (таких как вилочковая железа).
3.4 Экспериментальное заключение
При дозе 30 мг средняя AUC (площадь под фармакокинетической кривой, описывающей зависимость "концентрация/время") системного воздействия соединения согласно примеру 22 после последнего введения (самец: 11400 ч×нг/мл, самка: 15900 ч×нг/мл) составляла примерно в 2,4-3,8 раза выше, чем у GDC-0077 в той же дозе (самец: 3000 ч×нг/мл, самка: 6510 чх×нг/мл), и была аналогична таковой у GDC-0077 в дозе 60 мг/кг после первого введения (самец: 15400 ч×нг/мл, самка: 22800 ч×нг/мл).
При дозе 10 мг средняя AUC системного воздействия соединения согласно примеру 22 после последнего введения (самец: 2110 ч×нг/мл, самка: 3170 ч×нг/мл) составляла примерно в 1,4-2,5 раза выше, чем у GDC-0077 (самец: 845 ч×нг/мл, самка: 2250 ч×нг/мл).
Таким образом, системное воздействие соединения согласно примеру 22 было значительно выше, чем у GDC-0077 в той же дозе.
В условиях этого эксперимента тестовые соединения GDC-0077 и Пример 22 вводили многократно внутрижелудочно крысам SD в течение 7 дней в дозах 10, 30 и 60 мг/кг (один раз в сутки). Летальная доза GDC-0077 и соединения согласно примеру 22 составляла 60 мг/кг, а максимальная переносимая доза (МПД) составляла 30 мг/кг. При дозе 30 мг/кг Cmax и AUC(0-24 ч) соединения согласно примеру 22 были значительно выше, чем у GDC-0077. Толерантность к соединению согласно примеру 22 была лучше, чем для GDC-0077.
В условиях этого эксперимента тестовые соединения GDC-0077, пример 22 и пример 62 вводили многократно внутрижелудочно крысам SD в течение 7 дней в дозах 10, 30 и 60 мг/кг (один раз в сутки). Cmax и AUC(0-24 ч) соединений согласно примеру 22 и примеру 62 были значительно выше, чем для GDC-0077. Толерантность к соединению согласно примеру 22 и примеру 62 была лучше, чем для GDC-0077.
4. Испытание на эффективность in vivo соединений согласно примерам настоящего изобретения
4.1 Цель эксперимента
Целью являлся скрининг соединений с более значительной эффективностью и меньшей токсичностью и побочными эффектами с помощью экспериментов по оценке эффективности in vivo.
4.2 Основные экспериментальные приборы и материалы
4.2.1 Приборы:
1. Шкаф биологической безопасности (BSC-1300II А2, Shanghai Boxun Medical Biological Instrument Corp.)
2. Ультрачистое рабочее пространство (CJ-2F, Suzhou Fengshi Laboratory Animal Equipment Co., Ltd.)
3. Инкубатор CO2 (Thermo-311)
4. Центрифуга (Centrifuge 5702R, Eppendorf)
5. Автоматический счетчик клеток (Countess II, Life)
6. Пипетки (10-20 мкл, Eppendorf)
7. Микроскоп (TS2, Nikon)
8. Штангельциркуль с нониусом (CD-6''AX, Mitutoyo, Япония)
9. Колбы для культивирования клеток (Т75/Т225, Corning)
10. Электронные весы (CPA2202S, Sartorius)
4.2.2 Реагенты:
1. Среда RPMI-1640 (22400-089, Gibco)
2. Фетальная бычья сыворотка (FBS) (10091-148, Gibco)
3. 0,25% трипсин (25200-056, Gibco)
4. Пенициллин-стрептомицин антибиотики двойного действия (15140-122, Gibco)
5. Фосфатно-солевой буфер (PBS) (10010-023, Gibco)
6. Матригель (Matrigel Matrix, 356234, Corning)
4.2.3 Животные:
Бестимусные мыши BALB/c (в возрасте от 6 до 8 недель,
) были приобретены у Shanghai Xipuer-Bikai Laboratory Animal Co., Ltd.
4.3 Экспериментальный процесс
4.3.1 Культура клеток и приготовление клеточной суспензии
a. Штамм клетки НСС1954 отбирали из банка клеток, восстанавливали с помощью среды RPMI-1640 (RPMI-1640 + 10% FBS + 1% SP), высевали в колбу для культивирования клеток (тип клетки, дату, имя экспериментатора и т.п. отмечали на стенке колбы) и культивировали в инкубаторе СО2 (температура составляла 37°С, а концентрация СО2 составляла 5% в инкубаторе).
b. Клетки пересевали, когда они покрывали от 80 до 90% дна колбы для культивирования. После пересевания клетки продолжали культивировать в инкубаторе СО2. Этот процесс повторяли до тех пор, пока количество клеток не было достаточным для проведения испытания эффективности in vivo.
c. Культивированные клетки собирали и подсчитывали с помощью автоматического счетчика клеток, а затем ре суспендировали с помощью PBS и Matrigel Matrix в соответствии с результатами подсчета для получения клеточной суспензии (плотность 5×107/мл), которую помещали в холодильный шкаф для применения.
4.3.2 Инокуляция клеток
a. Бестимусных мышей помечали одноразовыми универсальными ушными бирками для крыс и мышей перед инокуляцией.
b. Во время инокуляции клеточную суспензию хорошо перемешивали. Отбирали от 0,1 до 1 мл клеточной суспензии с помощью шприца объемом 1 мл, удаляли пузырьки воздуха, а затем помещали шприц на пакет со льдом для применения.
c. Бестимусную мышь ограничивали по левой руке. Место на правой стороне спины рядом с правым плечом бестимусной мыши (место инокуляции) дезинфицировали 75% спиртом. Инокуляцию начинали через 30 секунд.
d. Тестовых бестимустных мышей последовательно инокулировали (каждой мыши инокулировали 0,1 мл клеточной суспензии).
4.3.3 Измерение опухоли, группирование и введение для мышей, несущих опухоль
a. В соответствии с ростом опухоли, опухоли измеряли на 14-18 день после инокуляции и рассчитывали размер опухоли.
Расчет объема опухоли: объем опухоли (мм3) = длина (мм) × ширина (мм) × ширина (мм)/2
b. Мышей, несущих опухоль, группировали в соответствии с их массой тела и размером опухоли путем случайного группирования.
c. Тестовые соединения вводили в соответствии с результатами группирования (путь введения: пероральное введение; доза введения: 10 мг/кг; объем введения: 10 мл/кг; частота введения: один раз в сутки; цикл введения: 21 день; носитель: 0,5% СМС(карбоксиметилциллюлоза)/1% Tween 80).
d. Опухоли измеряли и взвешивали два раза в неделю после начала введения тестовых соединений.
e. Животных умерщвляли в конце эксперимента.
f. Данные обрабатывали с помощью программного обеспечения, такого как Excel. Расчет степени ингибирования роста опухоли TGI (%) соединения: когда опухоль не регрессирует, TGI (%) = [(1 - (средний объем опухоли в группе, подвергавшеся обработке, в конце введения - средний объем опухоли в группе, подвергавшеся обработке, в начале введения)) / (средний объем опухоли контрольной группы носителя в конце обработки - средний объем опухоли контрольной группы носителя в начале обработки)] × 100%. При регрессии опухоли TGI (%) = [1 - (средний объем опухоли в группе, подвергавшеся обработке, в конце введения - средний объем опухоли в группе, подвергавшеся обработке, в начале введения) / средний объем опухоли в группе, подвергавшеся обработке, в начале введения] × 100%.
4.5 Экспериментальные результаты:
Из приведенных выше результатов видно, что вышеуказанные соединения по настоящему изобретению имеют хорошие степени ингибирования роста опухоли.
5. Фармакокинетический (ФК) анализ соединений согласно примерам настоящего изобретения на мышах
Фармакокинетический анализ предпочтительных соединений согласно примерам настоящего изобретения на мышах проводили на самцах мышей Balb/c (Shanghai Jiesijie Laboratory Animal Co., Ltd.).
5.1 Путь введения: однократное внутрижелудочное введение.
5.2 Доза введения: 5 мг/10 мл/кг (масса тела).
5.3 Состав: соединение растворяли в 0,5% CMC-Na с помощью ультразвука с получением прозрачного раствора или однородной суспензии.
5.4 Точки отбора проб: через 0,5, 1, 2, 4, 6, 8 и 24 часа после введения.
5.5 Обработка образцов:
1) 0,1 мл орбитальной крови собирали и помещали в пробирку с K2-ЭДТА, центрифугировали при 1000-3000×g при комнатной температуре в течение 5-20 минут для отделения плазмы, которую затем хранили при минус 80°С.
2) 160 мкл ацетонитрила добавляли к 40 мкл образца плазмы для осаждения. После перемешивания образец центрифугировали при 500-2000×g в течение 5-20 минут.
3) 100 мкл супернатанта после обработки отбирали и анализировали с помощью анализа ЖХ/МС/МС для определения концентраций соединения согласно примеру.
5.6 Анализ ЖХ-МС/МС:
Условие жидкостной хроматографии: насос Shimadzu LC-20AD
Условие масс-спектрометрии: масс-спектрометр АВ Sciex API 4000
Хроматографическая колонка: phenomenex Gemiu 5 мкм С18 50×4,6 мм
Подвижная фаза: раствор А представлял собой 0,1% водный раствор муравьиной кислоты, а раствор В представлял собой ацетонитрил
Скорость потока 0,8 мл/мин
Время элюирования: от 0 до 4 минут, градиентное элюирование
5.7 Фармакокинетика:
Основные параметры рассчитывали с помощью WinNonlin 6.1, а экспериментальные результаты фармакокинетического анализа на мышах приведены в таблице 10 ниже:
Из результатов фармакокинетического анализа на мышах, представленных в таблице, видно, что соединения согласно примерам настоящего изобретения показали хорошие метаболические свойства, и как AUC для воздействия на плазму, так и максимальная концентрация в плазме Cmax были хорошими.
III. Исследование солей и кристаллических форм (S)-2-((2-((R)-4-(дифторметил)-2-оксотиазолидин-3-ил)-5,6-дигидробензо[f]имидазо[1,2-d][1,4]оксазепин-9-ил)амино)пропионамида
1. Скрининг солей и кристаллических форм соединения
1.1 Скрининг солей соединения
1.1.1 Цель эксперимента:
Цель состоит в том, чтобы идентифицировать кислоты с противоионами, которые могут образовывать соли с соединением, путем выбора различных кислот с противоионами и подходящих способов кристаллизации.
1.1.2 Экспериментальные стадии:
1) Инструменты и оборудование
2) Процедура выполнения операций
(1) ТГФ использовали в качестве растворителя в реакции в системе жидкость-жидкость для кристаллизации
Взвешивали 300 мг свободного основания, добавляли 15 мл ТГФ и нагревали смесь до 50°С для полного растворения. Раствор свободного основания в ТГФ разделяли на 8 равных частей и в каждую часть добавляли определенное количество кислоты (молярное соотношение в реакции основание : кислота составляет 1:1,2), подробно описано далее:
(2) Ацетон использовали в качестве растворителя в реакции в системе твердое тело-жидкость для кристаллизации
20 мг свободного основания взвешивали, добавляли 0,2 мл ацетона, смесь перемешивали и суспендировали при комнатной температуре. Кислоту (молярное соотношение в реакции основание : кислота составляло 1:1,2) добавляли в суспензионную систему для реакции, подробно описано далее:
(3) Ацетон использовали в качестве растворителя в реакции кристаллизации
Около 20 мг свободного основания взвешивали и суспендировали в 400 мкл ацетона при комнатной температуре. Для реакции добавляли следующие кислоты:
(4) ДМФА использовали в качестве растворителя для кристаллизации
Около 20 мг свободного основания взвешивали и растворяли в 200 мкл ДМФА с получением прозрачного раствора при комнатной температуре. Для реакции добавляли следующие кислоты:
(5) Метанол использовали в качестве растворителя для кристаллизации
20 мг свободного основания взвешивали, добавляли 0,2 мл метанола и смесь перемешивали и суспендировали при 50°С. Кислоту (молярное соотношение в реакции основание : кислота составляло 1:1,2) добавляли в суспензионную систему для реакции, подробно описано далее:
(6) Метод естественного испарения использовали для получения солей
ТГФ использовали в качестве растворителя в №1-10 и свободное основание растворяли в ТГФ с образованием прозрачного раствора, а затем добавляли кислоту. Этанол использовали в качестве растворителя в №11-14, свободное основание суспендировали в этаноле, и прозрачный раствор образовывался после добавления кислоты. Прозрачный раствор, образованный в №1-14, оставляли при комнатной температуре без герметизации контейнера для испарения растворителя.
1.1.3 Экспериментальные результаты
При скрининговом эксперименте с солевыми формами, солевые формы, полученные с кристаллическими формами, представляли собой этансульфонатные, метансульфонатные и сульфатные соли.
2 Скрининг кристаллических форм солей соединения
По результатам скрининга солевой формы были выбраны подходящие методы кристаллизации для скрининга различных кристаллических форм этансульфонатных, метансульфонатных и сульфатных солей.
2.1 Экспериментальные приборы
2.1.1 Некоторые параметры приборов физико-химических испытаний
2.2 Приборы и условия анализа жидкой фазы 2.2.1 Инструменты и устройства
2.2.2 Условия хроматографии
Хроматографическая колонка: ZORBAX (SB-C8, 3,5 мкм, 4,6×75 мм)
Скорость потока: 1 мл/мин
Температура колонки: 40°С
Длина волны обнаружения: 220/328 нм
Объем инъекции: 5,0 мкл
Время работы: 12 min
Разбавитель: ACN (ацетонитрил)-вода (об./об., 1:1)
Подвижная фаза: А: вода (0,05% трифторуксусная кислота); В: ацетонитрил (0,05% трифторуксусная кислота)
2.3 Процедура выполнения операций
(1) Получение кристаллической формы А этансульфонатной соли (S)-2-((2-((R)-4-(дифторметил)-2-оксотиазолидин-3-ил)-5,6-дигидробензо[f]имидазо[1,2-d][1,4]оксазепин-9-ил)амино)пропионамида
Взвешивали 60 мг
(S)-2-((2-((R)-4-(дифторметил)-2-оксотиазолидин-3-ил)-5,6-дигидробензо[f]имидазо[1,2-d][1,4]оксазепин-9-ил)амино)пропионамида, добавляли 1,2 мл ацетона и перемешивали смесь при 50°С с получением суспензии. Добавляли 0,18 мл 1 М этансульфоновой кислоты в метаноле в систему для образования прозрачного раствора, который перемешивали для осаждения большого количества твердого вещества. Наконец, реакционный раствор перемешивали и оставляли реагировать при 50°С в течение 2 часов, затем охлаждали, фильтровали и сушили с получением в итоге кристаллической формы А этансульфонатной соли
(S)-2-((2-((R)-4-(дифторметил)-2-оксотиазолидин-3-ил)-5,6-дигидробензо[f]имидазо[1,2-d][1,4]оксазепин-9-ил)амино)пропионамида. После обнаружения и анализа она имела дифрактограмму XRPD, как показано на Фигуре 1, профиль ТГА, как показано на Фигуре 2, и профиль ДСК, как показано на Фигуре 3.
(2) Получение кристаллической формы А мезилатной соли (S)-2-((2-((R)-4-(дифторметил)-2-оксотиазолидин-3-ил)-5,6-дигидробензо[f]имидазо[1,2-d][1,4]оксазепин-9-ил)амино)пропионамида
Взвешивали 60 мг
(S)-2-((2-((R)-4-(дифторметил)-2-оксотиазолидин-3-ил)-5,6-дигидробензо[f]имидазо[1,2-d][1,4]оксазепин-9-ил)амино)пропионамида, добавляли 3 мл этанола и перемешивали смесь при 50°С с получением суспензии. К системе добавляли 0,18 мл 1 М метансульфоновой кислоты в метаноле с образованием прозрачного раствора, и при этом быстро осаждалось большое количество твердого вещества. Добавляли 0,6 мл этанола, реакционный раствор перемешивали и оставляли реагировать при 50°С в течение 2 часов, затем охлаждали, фильтровали и сушили с получением в итоге кристаллической формы А мезилатной соли (S)-2-((2-((R)-4-(дифторметил)-2-оксотиазолидин-3-ил)-5,6-дигидробензо[f]имидазо[1,2-d][1,4]оксазепин-9-ил)амино)пропионамида. После обнаружения и анализа она имела дифрактограмму XRPD, как показано на Фигуре 4.
(3) Получение кристаллической формы В мезилатной соли (S)-2-((2-((R)-4-(дифторметил)-2-оксотиазолидин-3-ил)-5,6-дигидробензо[f]имидазо[1,2-d][1,4]оксазепин-9-ил)амино)пропионамида
Взвешивали 30 мг кристаллической формы А мезилатной соли (S)-2-((2-((R)-4-(дифторметил)-2-оксотиазолидин-3-ил)-5,6-дигидробензо[f]имидазо[1,2-d][1,4]оксазепин-9-ил) амино)пропионамида, добавляли 200 мкл метанола и суспендировали смесь при комнатной температуре в течение 10 дней. Наконец, твердое вещество центрифугировали и супернатант удаляли. Затем твердое вещество сушили в вакуумной сушильной печи при 40°С до постоянной массы с получением кристаллической формы В мезилатной соли
(S)-2-((2-((R)-4-(дифторметил)-2-оксотиазолидин-3-ил)-5,6-дигидробензо[f]имидазо[1,2-d][1,4]оксазепин-9-ил)амино)пропионамида. После обнаружения и анализа она имела дифракто грамму XRPD, как показано на Фигуре 5.
(4) Получение кристаллической формы С мезилатной соли (S)-2-((2-((R)-4-(дифторметил)-2-оксотиазолидин-3-ил)-5,6-дигидробензо[f]имидазо[1,2-d][1,4]оксазепин-9-ил)амино)пропионамида
Взвешивали 30 мг кристаллической формы А мезилатной соли (S)-2-((2-((R)-4-(дифторметил)-2-оксотиазолидин-3-ил)-5,6-дигидробензо[f]имидазо[1,2-d][1,4]оксазепин-9-ил)амино)пропионамида и оставляли стоять при комнатной температуре при относительной влажности 92,5% в течение 3 ч с получением кристаллической формы С мезилатной соли
(S)-2-((2-((R)-4-(дифторметил)-2-оксотиазолидин-3-ил)-5,6-дигидробензо[f]имидазо[1,2-d][1,4]оксазепин-9-ил)амино)пропионамида. После обнаружения и анализа она имела дифрактограмму XRPD, как показано на Фигуре 6.
(5) Получение кристаллической формы А сульфатной соли (S)-2-((2-((R)-4-(дифторметил)-2-оксотиазолидин-3-ил)-5,6-дигидробензо[f]имидазо[1,2-d][1,4]оксазепин-9-ил)амино)пропионамида
Взвешивали 14 мг
(S)-2-((2-((R)-4-(дифторметил)-2-оксотиазолидин-3-ил)-5,6-дигидробензо[f]имидазо[1,2-d][1,4]оксазепин-9-ил)амино)пропионамида, добавляли 280 мкл изопропанола и суспендировали смесь при 40°С. Добавляли 39 мкл 1 М H2SO4 в этаноле, и при этом образовывалось и прилипало к стенке масло. Затем реакционную систему перемешивали для осаждения большого количества твердого вещества, которое после центрифугирования характеризовали как аморфное. К полученному аморфному твердому веществу добавляли 200 мкл этилацетата и после суспендирования смеси при комнатной температуре кристалл все еще не наблюдали. Затем добавляли 100 мкл этанола, и система полностью растворялась с образованием прозрачного раствора. Добавляли небольшое количество метил-трет-бутилового эфира при комнатной температуре, и раствор становился мутным. После перемешивания, окончательно осажденное твердое вещество представляло собой кристаллическую форму А сульфатной соли (S)-2-((2-((R)-4-(дифторметил)-2-оксотиазолидин-3-ил)-5,6-дигидробензо[f]имидазо[1,2-d][1,4]оксазепин-9-ил)амино)пропионамида. После обнаружения и анализа она имела дифракто грамму XRPD, как показано на Фигуре 7.
(6) Получение кристаллической формы В сульфатной соли (S)-2-((2-((R)-4-(дифторметил)-2-оксотиазолидин-3-ил)-5,6-дигидробензо[f]имидазо[1,2-d][1,4]оксазепин-9-ил)амино)пропионамида
Взвешивали 15 мг
(S)-2-((2-((R)-4-(дифторметил)-2-оксотиазолидин-3-ил)-5,6-дигидробензо[f]имидазо[1,2-d][1,4]оксазепин-9-ил)амино)пропионамида, добавляли 300 мкл изопропанола и суспендировали смесь при комнатной температуре. Добавляли 42 мкл 1 М H2SO4 в этаноле, реакции не наблюдали и свободное основание оставалось. После того, как смесь нагревали до 50°С, перемешивали в течение 1 часа и оставляли стоять при комнатной температуре в течение ночи, кристаллов все еще не наблюдали. Добавляли 100 мкл метанола, образовывалось и прилипало к стенке небольшое количество масла. Смесь перемешивали при 50°С с получением прозрачного раствора. Добавляли небольшое количество метил-трет-бутилового эфира, и раствор становился мутным, его перемешивали при комнатной температуре в течение 48 часов, а затем при 50°С. Добавляли 200 мкл метанола и 400 мкл метил-трет-бутилового эфира, и в итоге смесь становилась мутной с осаждением большого количества твердого вещества, которое представляло собой кристаллическую форму В сульфатной соли (S)-2-((2-((R)-4-(дифторметил)-2-оксотиазолидин-3-ил)-5,6-дигидробензо[f]имидазо[1,2-d][1,4]оксазепин-9-ил)амино)пропионамида. После обнаружения и анализа она имела дифрактограмму XRPD, как показано на Фигуре 8.
(7) Получение кристаллической формы С сульфатной соли (S)-2-((2-((R)-4-(дифторметил)-2-оксотиазолидин-3-ил)-5,6-дигидробензо[f]имидазо[1,2-d][1,4]оксазепин-9-ил)амино)пропионамида
Взвешивали 23,5 мг
(S)-2-((2-((R)-4-(дифторметил)-2-оксотиазолидин-3-ил)-5,6-дигидробензо[f]имидазо[1,2-d][1,4]оксазепин-9-ил)амино)пропионамида, добавляли 235 мкл метанола и суспендировали смесь при 50°С. Добавляли 66 мкл 1 М H2SO4 в этаноле, и реакционный раствор становился прозрачным. Добавляли 300 мкл метил-трет-бутилового эфира, и реакционный раствор становился мутным. Затем добавляли небольшое количество кристаллической формы А сульфатной соли
(S)-2-((2-((R)-4-(дифторметил)-2-оксотиазолидин-3-ил)-5,6-дигидробензо[f]имидазо[1,2-d][1,4]оксазепин-9-ил)амино)пропионамида, и осаждалось большое количество твердого вещества. Наконец, добавляли 400 мкл метанола, и твердое вещество не растворялось. Через 1 ч реакции добавляли 400 мкл метил-трет-бутилового эфира. Наконец, твердое вещество центрифугировали и сушили с получением кристаллической формы С сульфатной соли
(S)-2-((2-((R)-4-(дифторметил)-2-оксотиазолидин-3-ил)-5,6-дигидробензо[f]имидазо[1,2-d][1,4]оксазепин-9-ил)амино)пропионамида. После обнаружения и анализа она имела дифракто грамму XRPD, как показано на Фигуре 9.
(8) Получение кристаллической формы D сульфатной соли
(S)-2-((2-((R)-4-(дифторметил)-2-оксотиазолидин-3-ил)-5,6-дигидробензо[f]имидазо[1,2-d][1,4]оксазепин-9-ил)амино)пропионамида
Взвешивали 60 мг
(S)-2-((2-((R)-4-(дифторметил)-2-оксотиазолидин-3-ил)-5,6-дигидробензо[f]имидазо[1,2-d][1,4]оксазепин-9-ил)амино)пропионамида, добавляли 1,2 мл ацетона и перемешивали смесь при 50°С с образованием суспензии. Добавляли 0,18 мл 1 М H2SO4 в этаноле в систему для получения прозрачного раствора. Затем добавляли 2,4 мл метил-трет-бутилового эфира, и раствор слегка мутнел. Затем в качестве зародышей кристаллов добавляли небольшое количество кристаллической формы С сульфатной соли (S)-2-((2-((R)-4-(дифторметил)-2-оксотиазолидин-3-ил)-5,6-дигидробензо[f]имидазо[1,2-d][1,4]оксазепин-9-ил)амино)пропионамида. Большое количество твердого вещества осаждалось после перемешивания. Наконец, реакционный раствор перемешивали и оставляли реагировать при 50°С в течение 2 часов, затем охлаждали, фильтровали и сушили с получением в итоге кристаллической формы D сульфатной соли (S)-2-((2-((R)-4-(дифторметил)-2-оксотиазолидин-3-ил)-5,6-дигидробензо[f]имидазо[1,2-d][1,4]оксазепин-9-ил)амино)пропионамида. После обнаружения и анализа она имела дифрактограмму XRPD, как показано на Фигуре 10.
(9) Получение кристаллической формы Е сульфатной соли (S)-2-((2-((R)-4-(дифторметил)-2-оксотиазолидин-3-ил)-5,6-дигидробензо[f]имидазо[1,2-d][1,4]оксазепин-9-ил)амино)пропионамида
Взвешивали 30 мг кристаллической формы D сульфатной соли (S)-2-((2-((R)-4-(дифторметил)-2-оксотиазолидин-3-ил)-5,6-дигидробензо[f]имидазо[1,2-d][1,4]оксазепин-9-ил)амино)пропионамида, добавляли 200 мкл ацетона и суспендировали смесь при комнатной температуре в течение 10 дней. Наконец, твердое вещество центрифугировали и супернатант удаляли. Затем твердое вещество сушили в вакуумной сушильной печи при 40°С до постоянной массы с получением кристаллической формы Е сульфатной соли
(S)-2-((2-((R)-4-(дифторметил)-2-оксотиазолидин-3-ил)-5,6-дигидробензо[f]имидазо[1,2-d][1,4]оксазепин-9-ил)амино)пропионамида. После обнаружения и анализа она имела дифракто грамму XRPD, как показано на Фигуре 11.
3. Эксперимент по стабильности твердых веществ 3.1 Цель эксперимента
Целью являлось исследование физико-химической стабильности кристаллической формы А мезилатной соли, кристаллической формы С сульфатной соли и кристаллической формы А этансульфонатной соли
(S)-2-((2-((R)-4-(дифторметил)-2-оксотиазолидин-3-ил)-5,6-дигидробензо[f]имидазо[1,2-d][1,4]оксазепин-9-ил)амино)пропионамида в условиях ускоренной деградации или влияющих факторов и обеспечение основы для скрининга солевых форм и хранения солей соединения.
3.2 Экспериментальная схема:
Около 2 мг кристаллической формы А мезилатной соли, кристаллической формы С сульфатной соли и кристаллической формы А этансульфонатной соли (S)-2-((2-((R)-4-(дифторметил)-2-оксотиазолидин-3-ил)-5,6-дигидробензо[f]имидазо[1,2-d][1,4]оксазепин-9-ил)амино)пропионамида помещали в герметичную печь при 60°С, в негерметичный контейнер при комнатной температуре при RH 95% (насыщенный водный раствор KNO3) и в световой короб (5000 лк ±500 лк) и наблюдали в течение 5 дней и 10 дней. Содержание соли определяли методом ВЭЖХ с использованием метода внешнего стандарта. Изменения родственного вещества соли в веществах, связанных с солями, рассчитывали путем нормализации площади хроматографического пика.
3.3 Экспериментальные результаты:
При сравнении жидких хроматограмм было обнаружено, что в отношении кристаллической формы А мезилатной соли появилась 1 новая примесь с увеличением 0,523% в условиях освещения в течение 10 дней по сравнению с 0 днями, и увеличение примеси составило менее 0,05% как при 60°С, так и при комнатной температуре при RH 95% в течение 10 дней по сравнению с 0 днями; в отношении кристаллической формы С сульфатной соли появилась 1 новая примесь с увеличением 0,172% в условиях освещения в течение 10 дней по сравнению с 0 днями, и увеличение примеси составило менее 0,05% как при 60°С, так и при комнатной температуре при RH 95% в течение 10 дней по сравнению с 0 днями; в отношении кристаллической формы А этансульфонатной соли появилась 1 новая примесь с увеличением 0,134% в условиях освещения в течение 10 дней по сравнению с 0 днями, и увеличение примеси составило менее 0,05% как при 60°С, так и при комнатной температуре при RH 95% в течение 10 дней по сравнению с 0 днями.
3.4 Экспериментальное заключение
Кристаллические формы солей соединения нестабильны в условиях освещения и должны быть защищены от света в последующем процессе хранения. Однако если говорить относительно, соли соединения и их кристаллические формы являются относительно стабильными в условиях освещения. Кроме того, соли соединения и их кристаллические формы являются более стабильными при 60°С и при комнатной температуре при RH 95%.
4. Эксперимент по гигроскопичности
4.1 Цель эксперимента
Целью являлось исследование гигроскопичности кристаллической формы А мезилатной соли, кристаллической формы D сульфатной соли и кристаллической формы А этансульфонатной соли
(S)-2-((2-((R)-4-(дифторметил)-2-оксотиазолидин-3-ил)-5,6-дигидробензо[f]имидазо[1,2-d][1,4]оксазепин-9-ил)амино)пропионамида в условиях различной отсносительной влажности и обеспечение основы для скрининга и хранения солей соединения.
4.2 Экспериментальная схема:
Кристаллическую форму А мезилатной соли, кристаллическую форму D сульфатной соли и кристаллическую форму А этансульфонатной соли (S)-2-((2-((R)-4-(дифторметил)-2-оксотиазолидин-3-ил)-5,6-дигидробензо[f]имидазо[1,2-d][1,4]оксазепин-9-ил)амино)пропионамида помещали в насыщенный водяной пар с различной относительной влажностью, так что соединение и водяной пар достигали динамического равновесия, и рассчитывали процент гигроскопического прироста массы соединения после равновесия.
4.3 Результаты экспериментов:
4.3.1 Гигроскопичность кристаллической формы А мезилатной соли, кристаллической формы D сульфатной соли и кристаллической формы А этансульфонатной соли
(S)-2-((2-((R)-4-(дифторметил)-2-оксотиазолидин-3-ил)-5,6-дигидробензо[f]имидазо[1,2-d][1,4]оксазепин-9-ил)амино)пропионамида
1) Кристаллическая форма А мезилатной соли (S)-2-((2-((R)-4-(дифторметил)-2-оксотиазолидин-3-ил)-5,6-дигидробензо[f]имидазо[1,2-d][1,4]оксазепин-9-ил)амино)пропионамида имела гигроскопический прирост массы 3,6% при RH 80% и обладала гигроскопичностью. После 1 цикла увлажнения и осушения при относительной влажности от 0 до 95% изменилась дифрактограмма XRPD кристаллической формы А мезилатной соли соединения (S)-2-((2-((R)-4-(дифторметил)-2-оксотиазолидин-3-ил)-5,6-дигидробензо[f]имидазо[1,2-d][1,4]оксазепин-9-ил)амино)пропионамида, т.е. кристаллическая форма изменилась, и измененная кристаллическая форма представляла собой кристаллическую форму С мезилатной соли.
2) Кристаллическая форма D сульфатной соли
(S)-2-((2-((R)-4-(дифторметил)-2-оксотиазолидин-3-ил)-5,6-дигидробензо[f]имидазо[1,2-d][1,4]оксазепин-9-ил)амино)пропионамида имела гигроскопический прирост массы 1,256% при RH 80% и имела гигроскопичность.
3) Кристаллическая форма А этансульфонатной соли
(S)-2-((2-((R)-4-(дифторметил)-2-оксотиазолидин-3-ил)-5,6-дигидробензо[f]имидазо[1,2-d][1,4]оксазепин-9-ил)амино)пропионамида имела гигроскопический прирост массы 0,207% при RH 80%, имела небольшую гигроскопичность и не имела явных изменений в гигроскопичности. После 1 цикла увлажнения и осушения при относительной влажности от 0 до 95% дифрактограмма XRPD кристаллической формы А этансульфонатной соли соединения
(S)-2-((2-(((R)-4-(дифторметил)метил))-2-оксотиазолидин-3-ил)-5,6-дигидробензо[f]имидаз о[1,2-d][1,4]оксазепин-9-ил)амино)пропионамида не изменилась, т.е. кристаллическая форма не изменилась.
5. Эксперимент по растворимости в различных средах
5.1 Цель эксперимента
Цель состоит в том, чтобы сравнить растворимость кристаллической формы А этансульфонатной соли
(S)-2-((2-((R)-4-(дифторметил)-2-оксотиазолидин-3-ил)-5,6-дигидробензо[f]имидазо[1,2-d][1,4]оксазепин-9-ил)амино)пропионамида в средах с различными значениями рН, воде, искусственном желудочном соке (SGF), искусственном кишечном соке натощак (FaSSIF) и искусственном кишечном соке в состоянии сытости (FeSSIF), а также для обеспечения основы для оценки лекарственной способности солей.
5.2 Экспериментальная схема:
Около 2 мг кристаллической формы А этансульфонатной соли (S)-2-((2-((R)-4-(дифторметил)-2-оксотиазолидин-3-ил)-5,6-дигидробензо[f]имидазо[1,2-d][1,4]оксазепин-9-ил)амино)пропионамида суспендировали в различных средах в течение 24 часов. Термодинамическую растворимость соединения при 37°С определяли с помощью ВЭЖХ с использованием метода внешнего стандарта.
5.3 Экспериментальные результаты: Как показано в Таблице 15.
5.4 Экспериментальное заключение
Из результатов растворимости кристаллической формы А этансульфонатной соли (S)-2-((2-((R)-4-(дифторметил)-2-оксотиазолидин-3-ил)-5,6-дигидробензо[f]имидазо[1,2-d][1,4]оксазепин-9-ил)амино)пропионамида в вышеуказанных различных средах видно, что (S)-2-((2-((R)-4-(дифторметил)-2-оксотиазолидин-3-ил)-5,6-дигидробензо[f]имидазо[1,2-d][1,4]оксазепин-9-ил)амино)пропионамид после солеобразования имел несколько меньшую растворимость в средах буфера с рН от 4 до 8, но солеобразование повышало растворимость
(S)-2-((2-(R)-4-(дифторметил)-2-оксотиазолидин-3-ил)-5,6-дигидробензо[f]имидазо[1,2-d][1,4]оксазепин-9-ил)амино)пропионамида в других средах, наиболее очевидно, в воде.
6. Эксперимент по скринингу полиморфов
6.1 Цель эксперимента:
Цель состоит в том, чтобы найти более стабильные кристаллические формы с помощью скрининга полиморфов.
6.2 Экспериментальная схема:
Органические растворители и воду с определенной растворимостью выбирали для суспендирования соединения в системе растворителей и смесь перемешивали и суспендировали при комнатной температуре в течение 1 недели, а затем центрифугировали. Супернатант отбрасывали, а твердое вещество сушили в вакууме (-0,1 МПа) при 40°С в течение ночи. Затем измеряли XRPD твердого вещества и сравнивали с XRPD соли соединения.
6.3 Экспериментальные результаты:
В процессе суспендирования, замены растворителя для кристаллизации, модели кристаллизации и т.п. была получена только этансульфонатная соль (S)-2-(((2-((R)-4-(дифторметил)-2-оксотиазолидин-3-ил)-5,6-дигидробензо[f]имидазо[1,2-d][1,4]оксазепин-9-ил)амино)пропионамида в кристаллической форме А.
7. ФК исследования на животных
7.1 Цель эксперимента:
7.1.1 Целью являлось сравнение различий воздействия кристаллической формы А мезилатной соли, кристаллической формы D сульфатной соли и кристаллической формы А этансульфонатной соли
(S)-2-((2-((R)-4-(дифторметил)-2-оксотиазолидин-3-ил)-5,6-дигидробензо[f]имидазо[1,2-d][1,4]оксазепин-9-ил)амино)пропионамида у животных in vivo с помощью ФК исследований на животных.
7.2 Экспериментальная схема:
7.2.1 Кристаллическую форму А мезилатной соли, кристаллическую форму D сульфатной соли и кристаллическую форму А этансульфонатной соли (S)-2-((2-((R)-4-(дифторметил)-2-оксотиазолидин-3-ил)-5,6-дигидробензо[f]имидазо[1,2-d][1,4]оксазепин-9-ил)амино)пропионамида равномерно суспендировали в водном растворе, содержащем 0,5% НРМС (гидроксипропилметилцеллюлозы) K4M, а затем внутрижелудочно вводили крысам в двух повторностях в дозе 30 мг/кг. Количество соединения полностью преобразовалось в количество того же соединения (S)-2-((2-((R)-4-(дифторметил)-2-оксотиазолидин-3-ил)-5,6-дигидробензо[f]имидазо[1,2-d][1,4]оксазепин-9-ил)амино)пропионамида.
7.3 Экспериментальные результаты:
7.3.1 Экспериментальные результаты ФК эксперимента кристаллической формы А мезилатной соли, кристаллической формы D сульфатной соли и кристаллической формы А этансульфонатной соли
(S)-2-((2-((R)-4-(дифторметил)-2-оксотиазолидин-3-ил)-5,6-дигидробензо[f]имидазо[1,2-d][1,4]оксазепин-9-ил)амино)пропионамида представлены в таблице 16 ниже:
Результаты ФК у крыс показали, что кристаллическая форма А мезилатной соли, кристаллическая форма D сульфатной соли и кристаллическая форма А этансульфонатной соли
(S)-2-((2-((R)-4-(дифторметил)-2-оксотиазолидин-3-ил)-5,6-дигидробензо[f]имидазо[1,2-d][1,4]оксазепин-9-ил)амино)пропионамида имели более высокие воздействия. 7.4 Экспериментальное заключение
Воздействие лекарственного средства на крыс может быть увеличено за счет солеобразования.
| название | год | авторы | номер документа |
|---|---|---|---|
| ИНГИБИТОР, СОДЕРЖАЩИЙ ТРИЦИКЛИЧЕСКОЕ ПРОИЗВОДНОЕ, СПОСОБ ЕГО ПОЛУЧЕНИЯ И ЕГО ПРИМЕНЕНИЕ | 2019 |
|
RU2800543C2 |
| СОЕДИНЕНИЯ БЕНЗОКСАЗЕПИНОКСАЗОЛИДИНОНОВ И СПОСОБЫ ПРИМЕНЕНИЯ | 2016 |
|
RU2730529C2 |
| БЕНЗОКСАЗЕПИНОВЫЕ ИНГИБИТОРЫ PI3K И СПОСОБЫ ПРИМЕНЕНИЯ | 2010 |
|
RU2600927C2 |
| СОЛИ ПРОИЗВОДНОГО ИНДАЗОЛА И ИХ КРИСТАЛЛЫ | 2017 |
|
RU2747399C2 |
| БЕНЗОКСАЗЕПИНОВЫЕ ИНГИБИТОРЫ PI3 И СПОСОБЫ ПРИМЕНЕНИЯ | 2010 |
|
RU2654068C1 |
| СОЛЬ МОНОЦИКЛИЧЕСКОГО ПРОИЗВОДНОГО ПИРИДИНА И ЕЕ КРИСТАЛЛ | 2015 |
|
RU2658821C1 |
| СОЛЬ АГОНИСТА ОПИОИДНОГО РЕЦЕПТОРА (MOR), КРИСТАЛЛИЧЕСКАЯ ФОРМА I ЕГО ФУМАРАТНОЙ СОЛИ И СПОСОБ ИХ ПОЛУЧЕНИЯ | 2018 |
|
RU2779119C2 |
| Кристалл (6S,9aS)-N-бензил-8-({ 6-[3-(4-этилпиперазин-1-ил)азетидин-1-ил]пиридин-2-ил} метил)-6-(2-фтор-4-гидроксибензил)-4,7-диоксо-2-(проп-2-ен-1-ил)гексагидро-2H-пиразино[2,1-c][1,2,4]триазин-1(6H)-карбоксамида | 2016 |
|
RU2723551C2 |
| МОДИФИКАТОР ПРОИЗВОДНОГО ЧЕТЫРЕХЧЛЕННОГО КОЛЬЦА, СПОСОБ ЕГО ПОЛУЧЕНИЯ И ЕГО ПРИМЕНЕНИЕ | 2020 |
|
RU2833027C1 |
| СПОСОБ ПОЛУЧЕНИЯ БЕНЗОКСАЗЕПИНОВЫХ СОЕДИНЕНИЙ | 2014 |
|
RU2649976C2 |
Изобретение относится к соли присоединения кислоты формулы (II-B)
где R1 представляет собой метил; R2 представляет собой водород; R3 представляет собой водород; M представляет собой неорганическую кислоту или органическую кислоту, где указанная неорганическая кислота представляет собой серную кислоту; и указанная органическая кислота выбрана из группы, состоящей из этансульфоновой кислоты и метансульфоновой кислоты; x представляет собой целое число от 0 до 3; и y представляет собой целое число 1, а также к их кристаллическим формам, способу получения, фармацевтической композиции и применению соли присоединения кислоты, кристаллической формы или фармацевтической композиции для получения PI3K (фосфатидилинозитол-3-киназа)-ингибирующего лекарственного препарата. Технический результат: получены новые соли присоединения кислоты формулы (II-В), которые могут быть применимы для получения PI3K (фосфатидилинозитол-3-киназа)-ингибирующего лекарственного препарата. 8 н. и 17 з.п. ф-лы, 16 табл., 62 пр., 11 ил.
1. Соль присоединения кислоты формулы (II-B), имеющая следующую структуру:
где:
R1 представляет собой метил;
R2 представляет собой водород;
R3 представляет собой водород;
M представляет собой неорганическую кислоту или органическую кислоту, где указанная неорганическая кислота представляет собой серную кислоту; и указанная органическая кислота выбрана из группы, состоящей из этансульфоновой кислоты и метансульфоновой кислоты;
x представляет собой целое число от 0 до 3; и
y представляет собой целое число 1.
2. Соль присоединения кислоты, характеризующаяся тем, что ее конкретная структура представляет собой следующую:
M представляет собой неорганическую кислоту или органическую кислоту, где указанная неорганическая кислота представляет собой серную кислоту; указанная органическая кислота выбрана из группы, состоящей из этансульфоновой кислоты и метансульфоновой кислоты; и
y равно 1.
3. Соль присоединения кислоты формулы (II-B) по п. 1, характеризующаяся тем, что указанная соль присоединения кислоты представляет собой этансульфонатную или мезилатную соль (S)-2-((2-((R)-4-(дифторметил)-2-оксотиазолидин-3-ил)-5,6-дигидробензо[f]имидазо[1,2-d][1,4]оксазепин-9-ил)амино)пропионамида.
4. Соль присоединения кислоты формулы (II-B) по п. 3, характеризующаяся тем, что указанная соль присоединения кислоты представляет собой
5. Способ получения соли присоединения кислоты по любому из пп. 1-4, в частности включающий следующие стадии:
1) взвешивание свободного основания соединения и добавление органического растворителя с получением прозрачного или суспендированного маточного раствора;
2) добавление кислоты M в органический растворитель или воду с получением кислого раствора противоиона;
3) добавление кислого раствора противоиона к маточному раствору с получением раствора соли, перемешивание раствора соли для осаждения твердого вещества и высушивание указанного твердого вещества;
органический растворитель на стадии 1) или 2) представляет собой один или более растворителей, выбранных из группы, состоящей из метанола, этанола, изопропанола, этилацетата, ацетона, дихлорметана и ацетонитрила.
6. Соль присоединения кислоты по любому из пп. 1-4, характеризующаяся тем, что соль присоединения кислоты находится в кристаллической форме или аморфной форме.
7. Соль присоединения кислоты по любому из пп. 1-4, характеризующаяся тем, что соль присоединения кислоты представляет собой гидрат или ангидрат.
8. Кристаллическая форма соли присоединения кислоты по п. 6, характеризующаяся тем, что кристаллическая форма представляет собой кристаллическую форму A этансульфонатной соли (S)-2-((2-((R)-4-(дифторметил)-2-оксотиазолидин-3-ил)-5,6-дигидробензо[f]имидазо[1,2-d][1,4]оксазепин-9-ил)амино)пропионамида, рентгеновская порошковая дифрактограмма которой включает 4, 6, 8 или 10 дифракционных пиков при 2θ, равном 6,8±0,2°, 13,4±0,2°, 14,7±0,2°, 19,5±0,2°, 20,1±0,2°, 23,9±0,2°, 24,4±0,2°, 25,0±0,2°, 23±0,2°, 23,6±0,2°, 9,3±0,2° и 17,3±0,2°;
кристаллическая форма представляет собой кристаллическую форму A мезилатной соли соединения (S)-2-((2-((R)-4-(дифторметил)-2-оксотиазолидин-3-ил)-5,6-дигидробензо[f]имидазо[1,2-d][1,4]оксазепин-9-ил)амино)пропионамид, рентгеновская порошковая дифрактограмма которой включает 4, 6, 8 или 10 дифракционных пиков при 2θ, равном 6,1±0,2°, 7,5±0,2°, 8,0±0,2°, 14,9±0,2°, 23,8±0,2°, 8,4±0,2°, 18,8±0,2°, 20,7±0,2°, 22,3±0,2° и 22,8±0,2°;
кристаллическая форма представляет собой кристаллическую форму В мезилатной соли соединения (S)-2-((2-((R)-4-(дифторметил)-2-оксотиазолидин-3-ил)-5,6-дигидробензо[f]имидазо[1,2-d][1,4]оксазепин-9-ил)амино)пропионамид, рентгеновская порошковая дифрактограмма которой включает 4, 6, 8 или 10 дифракционных пиков при 2θ, равном 24,4±0,2°, 13,3±0,2°, 23,8±0,2°, 20,3±0,2°, 19,7±0,2°, 17,2±0,2°, 26,7±0,2°, 9,0±0,2°, 23,1±0,2°, 9,9±0,2°, 14,3±0,2° и 21,6±0,2°;
кристаллическая форма представляет собой кристаллическую форму С мезилатной соли соединения (S)-2-((2-((R)-4-(дифторметил)-2-оксотиазолидин-3-ил)-5,6-дигидробензо[f]имидазо[1,2-d][1,4]оксазепин-9-ил)амино)пропионамид, рентгеновская порошковая дифрактограмма которой включает 4, 6, 8 или 10 дифракционных пиков при 2θ, равном 22,5±0,2°, 8,5±0,2°, 7,2±0,2°, 14,4±0,2°, 26,7±0,2°, 25,3±0,2°, 12,8±0,2°, 16,7±0,2°, 6,1±0,2°, 12,1±0,2°, 15,2±0,2° и 22,0±0,2°;
кристаллическая форма представляет собой кристаллическую форму A сульфатной соли соединения (S)-2-((2-((R)-4-(дифторметил)-2-оксотиазолидин-3-ил)-5,6-дигидробензо[f]имидазо[1,2-d][1,4]оксазепин-9-ил)амино)пропионамид, рентгеновская порошковая дифрактограмма которой включает 4, 6, 8 или 10 дифракционных пиков при 2θ, равном 8,4±0,2°, 7,2±0,2°, 20,1±0,2°, 22,7±0,2°, 24,5±0,2°, 25,7±0,2°, 18,9±0,2°, 26,7±0,2°, 16,4±0,2°, 18,2±0,2°, 22,0±0,2° и 12,6±0,2°;
кристаллическая форма представляет собой кристаллическую форму B сульфатной соли соединения (S)-2-((2-((R)-4-(дифторметил)-2-оксотиазолидин-3-ил)-5,6-дигидробензо[f]имидазо[1,2-d][1,4]оксазепин-9-ил)амино)пропионамид, рентгеновская порошковая дифрактограмма которой включает 4, 6, 8 или 10 дифракционных пиков при 2θ, равном 4,8±0,2°, 7,6±0,2°, 12,2±0,2°, 14,0±0,2°, 18,5±0,2°, 22,9±0,2°, 23,8±0,2° и 24,9±0,2°;
кристаллическая форма представляет собой кристаллическую форму C сульфатной соли соединения (S)-2-((2-((R)-4-(дифторметил)-2-оксотиазолидин-3-ил)-5,6-дигидробензо[f]имидазо[1,2-d][1,4]оксазепин-9-ил)амино)пропионамид, рентгеновская порошковая дифрактограмма которой включает 4, 6, 8 или 10 дифракционных пиков при 2θ, равном 24,5±0,2°, 13,3±0,2°, 23,9±0,2°, 9,0±0,2°, 17,3±0,2°, 19,4 ±0,2°, 26,9±0,2°, 20,4±0,2°, 17,7±0,2°, 9,9±0,2°, 20,0±0,2° и 28,3±0,2°;
кристаллическая форма представляет собой кристаллическую форму D сульфатной соли соединения (S)-2-((2-((R)-4-(дифторметил)-2-оксотиазолидин-3-ил)-5,6-дигидробензо[f]имидазо[1,2-d][1,4]оксазепин-9-ил)амино)пропионамид, рентгеновская порошковая дифрактограмма которой включает 4, 6, 8 или 10 дифракционных пиков при 2θ, равном 7,6±0,2°, 22,5±0,2°, 8,9±0,2°, 15,0±0,2°, 23,9±0,2°, 26,6±0,2°, 24,6±0,2°, 5,8±0,2°, 12,9±0,2°, 19,9±0,2°, 20,7±0,2° и 11,6±0,2°;
кристаллическая форма представляет собой кристаллическую форму E сульфатной соли соединения (S)-2-((2-((R)-4-(дифторметил)-2-оксотиазолидин-3-ил)-5,6-дигидробензо[f]имидазо[1,2-d][1,4]оксазепин-9-ил)амино)пропионамид, рентгеновская порошковая дифрактограмма которой включает 4, 6, 8 или 10 дифракционных пиков при 2θ, равном 17,7±0,2°, 23,5±0,2°, 24,8±0,2°, 9,9±0,2°, 22,6±0,2°, 21,2±0,2°, 19,1±0,2°, 29,4±0,2°, 16,9±0,2°, 28,4±0,2°, 17,3±0,2° и 24,5±0,2°.
9. Кристаллическая форма соли присоединения кислоты по п. 8, характеризующаяся тем, что кристаллическая форма представляет собой кристаллическую форму A этансульфонатной соли (S)-2-((2-((R)-4-(дифторметил)-2-оксотиазолидин-3-ил)-5,6-дигидробензо[f]имидазо[1,2-d][1,4]оксазепин-9-ил)амино)пропионамида, рентгеновская порошковая дифрактограмма которой включает дифракционные пики при 2θ, равном 6,8±0,2°, 13,4±0,2°, 14,7±0,2°, и 19,5±0,2°, необязательно дополнительно включает 2, 3, 4, 5 или 6 дифракционных пиков при 2θ, равном 20,1±0,2°, 23,9±0,2°, 24,4±0,2°, 25,0±0,2°, 23±0,2°, 23,6±0,2°;
кристаллическая форма представляет собой кристаллическую форму A мезилатной соли соединения (S)-2-((2-((R)-4-(дифторметил)-2-оксотиазолидин-3-ил)-5,6-дигидробензо[f]имидазо[1,2-d][1,4]оксазепин-9-ил)амино)пропионамид, рентгеновская порошковая дифрактограмма которой включает дифракционные пики при 2θ, равном 6,1±0,2°, 7,5±0,2° и 8,0±0,2°, необязательно дополнительно включает 2, 3, 4, 5 или 6 дифракционных пиков при 2θ, равном 14,9±0,2°, 18,8±0,2°, 20,7±0,2°, 22,3±0,2°, 22,8±0,2° и 23,8±0,2°;
кристаллическая форма представляет собой кристаллическую форму В мезилатной соли соединения (S)-2-((2-((R)-4-(дифторметил)-2-оксотиазолидин-3-ил)-5,6-дигидробензо[f]имидазо[1,2-d][1,4]оксазепин-9-ил)амино)пропионамид, рентгеновская порошковая дифрактограмма которой включает дифракционные пики при 24,4±0,2°, 13,3±0,2° и 23,8±0,2°, необязательно дополнительно включает 2, 3, 4 или 5 дифракционных пиков при 2θ, равном 9,0±0,2°, 9,9±0,2°, 26,7±0,2°, 17,2±0,2° и 23,1±0,2°;
кристаллическая форма представляет собой кристаллическую форму С мезилатной соли соединения (S)-2-((2-((R)-4-(дифторметил)-2-оксотиазолидин-3-ил)-5,6-дигидробензо[f]имидазо[1,2-d][1,4]оксазепин-9-ил)амино)пропионамид, рентгеновская порошковая дифрактограмма которой включает дифракционные пики при 2θ, равном 22,5±0,2°, 8,5±0,2° и 7,2±0,2°, необязательно дополнительно включает 2, 3, 4 или 5 дифракционных пиков при 2θ, равном 14,4±0,2°, 26,7±0,2°, 12,8±0,2°, 16,7±0,2° и 6,1±0,2°;
кристаллическая форма представляет собой кристаллическую форму A сульфатной соли соединения (S)-2-((2-((R)-4-(дифторметил)-2-оксотиазолидин-3-ил)-5,6-дигидробензо[f]имидазо[1,2-d][1,4]оксазепин-9-ил)амино)пропионамид, рентгеновская порошковая дифрактограмма которой включает дифракционные пики при 2θ, равном 8,4±0,2°, 7,2±0,2° и 20,1±0,2°, необязательно дополнительно включает 2, 3, 4 или 5 дифракционных пиков при 2θ, равном 22,7±0,2°, 24,5±0,2°, 25,7±0,2°, 18,9±0,2° и 16,4±0,2°;
кристаллическая форма представляет собой кристаллическую форму C сульфатной соли соединения (S)-2-((2-((R)-4-(дифторметил)-2-оксотиазолидин-3-ил)-5,6-дигидробензо[f]имидазо[1,2-d][1,4]оксазепин-9-ил)амино)пропионамид, рентгеновская порошковая дифрактограмма которой включает дифракционные пики при 2θ, равном 24,5±0,2°, 13,3±0,2° и 23,9±0,2°, необязательно дополнительно включает 2, 3, 4 или 5 дифракционных пиков при 2θ, равном 9,0±0,2°, 17,3±0,2°, 19,4±0,2°, 17,7±0,2° и 9,9±0,2°;
кристаллическая форма представляет собой кристаллическую форму D сульфатной соли соединения (S)-2-((2-((R)-4-(дифторметил)-2-оксотиазолидин-3-ил)-5,6-дигидробензо[f]имидазо[1,2-d][1,4]оксазепин-9-ил)амино)пропионамид, рентгеновская порошковая дифрактограмма которой включает дифракционные пики при 2θ, равном 7,6±0,2°, 22,5±0,2° и 8,9±0,2°, необязательно дополнительно включает 2, 3, 4 или 5 дифракционных пиков при 2θ, равном 15,0±0,2°, 26,6±0,2°, 5,8±0,2°, 12,9±0,2° и 11,6±0,2°;
кристаллическая форма представляет собой кристаллическую форму E сульфатной соли соединения (S)-2-((2-((R)-4-(дифторметил)-2-оксотиазолидин-3-ил)-5,6-дигидробензо[f]имидазо[1,2-d][1,4]оксазепин-9-ил)амино)пропионамид, рентгеновская порошковая дифрактограмма которой включает дифракционные пики при 2θ, равном 17,7±0,2°, 23,5±0,2° и 24,8±0,2°, необязательно дополнительно включает 2, 3, 4 или 5 дифракционных пиков при 2θ, равном 9,9±0,2°, 22,6±0,2°, 21,2±0,2°, 19,1±0,2° и 29,4±0,2°.
10. Кристаллическая форма соли присоединения кислоты по п. 8, характеризующаяся тем, что кристаллическая форма представляет собой кристаллическую форму A этансульфонатной соли (S)-2-((2-((R)-4-(дифторметил)-2-оксотиазолидин-3-ил)-5,6-дигидробензо[f]имидазо[1,2-d][1,4]оксазепин-9-ил)амино)пропионамида, рентгеновская порошковая дифрактограмма которой имеет характеристические пики при 13,4±0,2°, 14,7±0,2°, 19,5±0,2°, 20,1±0,2°, 23±0,2°, 23,9±0,2°, 24,4±0,2° и 25,0±0,2°;
или рентгеновская порошковая дифрактограмма которой имеет характеристические пики при 6,8±0,2°, 13,4±0,2°, 14,7±0,2°, 19,5±0,2°, 20,1±0,2°, 23,9±0,2°, 23±0,2° и 23,6±0,2°;
или рентгеновская порошковая дифрактограмма которой имеет характеристические пики при 6,8±0,2°, 13,4±0,2°, 14,7±0,2°, 19,5±0,2°, 20,1±0,2°, 23,9±0,2°, 24,4±0,2° и 25,0±0,2°;
или рентгеновская порошковая дифрактограмма которой имеет характеристические пики при 6,8±0,2°, 13,4±0,2°, 14,7±0,2°, 19,5±0,2°, 20,1±0,2°, 23,9±0,2°, 24,4±0,2°, 25,0±0,2°, 23±0,2° и 23,6±0,2°;
кристаллическая форма представляет собой кристаллическую форму A мезилатной соли соединения (S)-2-((2-((R)-4-(дифторметил)-2-оксотиазолидин-3-ил)-5,6-дигидробензо[f]имидазо[1,2-d][1,4]оксазепин-9-ил)амино)пропионамид, рентгеновская порошковая дифрактограмма которой имеет характеристические пики при 6,1±0,2°, 7,5±0,2°, 8,0±0,2°, 14,9±0,2°, 18,8±0,2°, 22,3±0,2°, 22,8±0,2° и 23,8±0,2°;
кристаллическая форма представляет собой кристаллическую форму В мезилатной соли соединения (S)-2-((2-((R)-4-(дифторметил)-2-оксотиазолидин-3-ил)-5,6-дигидробензо[f]имидазо[1,2-d][1,4]оксазепин-9-ил)амино)пропионамид, рентгеновская порошковая дифрактограмма которой имеет характеристические пики при 24,4±0,2°, 13,3±0,2°, 23,8±0,2°, 9,0±0,2°, 9,9±0,2°, 26,7±0,2°, 17,2±0,2° и 23,1±0,2°;
кристаллическая форма представляет собой кристаллическую форму С мезилатной соли соединения (S)-2-((2-((R)-4-(дифторметил)-2-оксотиазолидин-3-ил)-5,6-дигидробензо[f]имидазо[1,2-d][1,4]оксазепин-9-ил)амино)пропионамид, рентгеновская порошковая дифрактограмма которой имеет характеристические пики при 2θ, равном 22,5±0,2°, 8,5±0,2°, 7,2±0,2°, 14,4±0,2°, 26,7±0,2°, 12,8±0,2°, 16,7±0,2° и 6,1±0,2°;
кристаллическая форма представляет собой кристаллическую форму A сульфатной соли соединения (S)-2-((2-((R)-4-(дифторметил)-2-оксотиазолидин-3-ил)-5,6-дигидробензо[f]имидазо[1,2-d][1,4]оксазепин-9-ил)амино)пропионамид, рентгеновская порошковая дифрактограмма которой имеет дифракционные пики при 2θ, равном 8,4±0,2°, 7,2±0,2°, 20,1±0,2°, 22,7±0,2°, 24,5±0,2°, 25,7±0,2°, 18,9±0,2° и 16,4±0,2°;
кристаллическая форма представляет собой кристаллическую форму B сульфатной соли соединения (S)-2-((2-((R)-4-(дифторметил)-2-оксотиазолидин-3-ил)-5,6-дигидробензо[f]имидазо[1,2-d][1,4]оксазепин-9-ил)амино)пропионамид, рентгеновская порошковая дифрактограмма которой имеет дифракционные пики при 2θ, равном 4,8±0,2°, 7,6±0,2°, 12,2±0,2°, 14,0±0,2°, 18,5±0,2°, 22,9±0,2°, 23,8±0,2° и 24,9±0,2°;
кристаллическая форма представляет собой кристаллическую форму C сульфатной соли соединения (S)-2-((2-((R)-4-(дифторметил)-2-оксотиазолидин-3-ил)-5,6-дигидробензо[f]имидазо[1,2-d][1,4]оксазепин-9-ил)амино)пропионамид, рентгеновская порошковая дифрактограмма которой имеет дифракционные пики при 2θ, равном 24,5±0,2°, 13,3±0,2°, 23,9±0,2°, 9,0±0,2°, 17,3±0,2°, 19,4 ±0,2°, 17,7±0,2° и 9,9±0,2°;
кристаллическая форма представляет собой кристаллическую форму D сульфатной соли соединения (S)-2-((2-((R)-4-(дифторметил)-2-оксотиазолидин-3-ил)-5,6-дигидробензо[f]имидазо[1,2-d][1,4]оксазепин-9-ил)амино)пропионамид, рентгеновская порошковая дифрактограмма которой имеет дифракционные пики при 2θ, равном 7,6±0,2°, 22,5±0,2°, 8,9±0,2°, 15,0±0,2°, 26,6±0,2°, 5,8±0,2°, 12,9±0,2° и 11,6±0,2°;
кристаллическая форма представляет собой кристаллическую форму E сульфатной соли соединения (S)-2-((2-((R)-4-(дифторметил)-2-оксотиазолидин-3-ил)-5,6-дигидробензо[f]имидазо[1,2-d][1,4]оксазепин-9-ил)амино)пропионамид, рентгеновская порошковая дифрактограмма которой имеет дифракционные пики при 2θ, равном 17,7±0,2°, 23,5±0,2°, 24,8±0,2°, 9,9±0,2°, 22,6±0,2°, 21,2±0,2°, 19,1±0,2° и 29,4±0,2°.
11. Кристаллическая форма соли присоединения кислоты по п. 6, характеризующаяся тем, что кристаллическая форма представляет собой кристаллическую форму A этансульфонатной соли (S)-2-((2-((R)-4-(дифторметил)-2-оксотиазолидин-3-ил)-5,6-дигидробензо[f]имидазо[1,2-d][1,4]оксазепин-9-ил)амино)пропионамида,
рентгеновская порошковая дифрактограмма которой имеет дифракционные пики при 2θ, равном 6,8±0,2°, 9,3±0,2°, 13,4±0,2° и 14,7±0,2°;
или рентгеновская порошковая дифрактограмма которой имеет дифракционные пики при 2θ, равном 6,8±0,2°, 13,4±0,2°, 14,7±0,2° и 19,5±0,2°;
кристаллическая форма представляет собой кристаллическую форму A мезилатной соли соединения (S)-2-((2-((R)-4-(дифторметил)-2-оксотиазолидин-3-ил)-5,6-дигидробензо[f]имидазо[1,2-d][1,4]оксазепин-9-ил)амино)пропионамид, рентгеновская порошковая дифрактограмма которой имеет дифракционные пики при 2θ, равном 6,1±0,2°, 7,5±0,2°, 8,0±0,2°, 14,9±0,2° и 23,8±0,2°;
кристаллическая форма представляет собой кристаллическую форму B мезилатной соли соединения (S)-2-((2-((R)-4-(дифторметил)-2-оксотиазолидин-3-ил)-5,6-дигидробензо[f]имидазо[1,2-d][1,4]оксазепин-9-ил)амино)пропионамид, рентгеновская порошковая дифрактограмма которой имеет дифракционные пики при 2θ, равном 9,0±0,2°, 13,3±0,2°, 19,7±0,2° и 23,1±0,2°;
кристаллическая форма представляет собой кристаллическую форму C мезилатной соли соединения (S)-2-((2-((R)-4-(дифторметил)-2-оксотиазолидин-3-ил)-5,6-дигидробензо[f]имидазо[1,2-d][1,4]оксазепин-9-ил)амино)пропионамид, рентгеновская порошковая дифрактограмма которой имеет дифракционные пики при 2θ, равном 7,2±0,2°, 14,4±0,2°, 22,5±0,2° и 26,7±0,2°;
кристаллическая форма представляет собой кристаллическую форму A сульфатной соли соединения (S)-2-((2-((R)-4-(дифторметил)-2-оксотиазолидин-3-ил)-5,6-дигидробензо[f]имидазо[1,2-d][1,4]оксазепин-9-ил)амино)пропионамид, рентгеновская порошковая дифрактограмма которой имеет дифракционные пики при 2θ, равном 7,2±0,2°, 8,4±0,2°, 20,1±0,2° и 22,7±0,2°;
кристаллическая форма представляет собой кристаллическую форму B сульфатной соли соединения (S)-2-((2-((R)-4-(дифторметил)-2-оксотиазолидин-3-ил)-5,6-дигидробензо[f]имидазо[1,2-d][1,4]оксазепин-9-ил)амино)пропионамид, рентгеновская порошковая дифрактограмма которой имеет дифракционные пики при 2θ, равном 4,8±0,2° и 7,6±0,2°;
кристаллическая форма представляет собой кристаллическую форму C сульфатной соли соединения (S)-2-((2-((R)-4-(дифторметил)-2-оксотиазолидин-3-ил)-5,6-дигидробензо[f]имидазо[1,2-d][1,4]оксазепин-9-ил)амино)пропионамид, рентгеновская порошковая дифрактограмма которой имеет дифракционные пики при 2θ, равном 9,0±0,2°, 13,3±0,2°, 17,3±0,2° и 24,5±0,2°;
кристаллическая форма представляет собой кристаллическую форму D сульфатной соли соединения (S)-2-((2-((R)-4-(дифторметил)-2-оксотиазолидин-3-ил)-5,6-дигидробензо[f]имидазо[1,2-d][1,4]оксазепин-9-ил)амино)пропионамид, рентгеновская порошковая дифрактограмма которой имеет дифракционные пики при 2θ, равном 7,6±0,2°, 15,0±0,2°, 22,5±0,2° и 23,9±0,2°;
кристаллическая форма представляет собой кристаллическую форму E сульфатной соли соединения (S)-2-((2-((R)-4-(дифторметил)-2-оксотиазолидин-3-ил)-5,6-дигидробензо[f]имидазо[1,2-d][1,4]оксазепин-9-ил)амино)пропионамид, рентгеновская порошковая дифрактограмма которой имеет дифракционные пики при 2θ, равном 9,9±0,2°, 17,7±0,2°, 22,6±0,2° и 24,8±0,2°.
12. Кристаллическая форма соли присоединения кислоты по п. 11, характеризующаяся тем, что кристаллическая форма представляет собой кристаллическую форму A этансульфонатной соли (S)-2-((2-((R)-4-(дифторметил)-2-оксотиазолидин-3-ил)-5,6-дигидробензо[f]имидазо[1,2-d][1,4]оксазепин-9-ил)амино)пропионамида,
рентгеновская порошковая дифрактограмма которой также имеет дифракционные пики при 2θ, равном 17,3±0,2°, 19,5±0,2°, 20,8±0,2°, 23,9±0,2° и 25,0±0,2°;
или рентгеновская порошковая дифрактограмма которой также имеет один или два дифракционных пика при 2θ, равном 14,7±0,2° и 19,5±0,2°;
кристаллическая форма представляет собой кристаллическую форму A мезилатной соли соединения (S)-2-((2-((R)-4-(дифторметил)-2-оксотиазолидин-3-ил)-5,6-дигидробензо[f]имидазо[1,2-d][1,4]оксазепин-9-ил)амино)пропионамид, рентгеновская порошковая дифрактограмма которой также имеет дифракционные пики при 2θ, равном 8,4±0,2°, 18,8±0,2°, 20,7±0,2°, 22,3±0,2° и 22,8±0,2°;
кристаллическая форма представляет собой кристаллическую форму B мезилатной соли соединения (S)-2-((2-((R)-4-(дифторметил)-2-оксотиазолидин-3-ил)-5,6-дигидробензо[f]имидазо[1,2-d][1,4]оксазепин-9-ил)амино)пропионамид, рентгеновская порошковая дифрактограмма которой также имеет дифракционные пики при 2θ, равном 9,9±0,2°, 17,2±0,2°, 20,3±0,2° и 26,7±0,2°;
кристаллическая форма представляет собой кристаллическую форму C мезилатной соли соединения (S)-2-((2-((R)-4-(дифторметил)-2-оксотиазолидин-3-ил)-5,6-дигидробензо[f]имидазо[1,2-d][1,4]оксазепин-9-ил)амино)пропионамид, рентгеновская порошковая дифрактограмма которой также имеет дифракционные пики при 2θ, равном 6,1±0,2°, 12,8±0,2°, 16,7±0,2° и 20,8±0,2°;
кристаллическая форма представляет собой кристаллическую форму A сульфатной соли соединения (S)-2-((2-((R)-4-(дифторметил)-2-оксотиазолидин-3-ил)-5,6-дигидробензо[f]имидазо[1,2-d][1,4]оксазепин-9-ил)амино)пропионамид, рентгеновская порошковая дифрактограмма которой также имеет дифракционные пики при 2θ, равном 5,8±0,2°, 16,4±0,2°, 18,9±0,2° и 26,7±0,2°;
кристаллическая форма представляет собой кристаллическую форму C сульфатной соли соединения (S)-2-((2-((R)-4-(дифторметил)-2-оксотиазолидин-3-ил)-5,6-дигидробензо[f]имидазо[1,2-d][1,4]оксазепин-9-ил)амино)пропионамид, рентгеновская порошковая дифрактограмма которой также имеет дифракционные пики при 2θ, равном 9,9±0,2°, 17,7±0,2°, 19,4 ±0,2° и 26,9±0,2°;
кристаллическая форма представляет собой кристаллическую форму D сульфатной соли соединения (S)-2-((2-((R)-4-(дифторметил)-2-оксотиазолидин-3-ил)-5,6-дигидробензо[f]имидазо[1,2-d][1,4]оксазепин-9-ил)амино)пропионамид, рентгеновская порошковая дифрактограмма которой также имеет дифракционные пики при 2θ, равном 5,8±0,2°, 12,9±0,2°, 19,9±0,2° и 26,6±0,2°;
кристаллическая форма представляет собой кристаллическую форму E сульфатной соли соединения (S)-2-((2-((R)-4-(дифторметил)-2-оксотиазолидин-3-ил)-5,6-дигидробензо[f]имидазо[1,2-d][1,4]оксазепин-9-ил)амино)пропионамид, рентгеновская порошковая дифрактограмма которой также имеет дифракционные пики при 2θ, равном 16,9±0,2°, 21,2±0,2°, 23,5±0,2° и 29,4±0,2°.
13. Кристаллическая форма соли присоединения кислоты по п. 12, характеризующаяся тем, что кристаллическая форма представляет собой кристаллическую форму A этансульфонатной соли (S)-2-((2-((R)-4-(дифторметил)-2-оксотиазолидин-3-ил)-5,6-дигидробензо[f]имидазо[1,2-d][1,4]оксазепин-9-ил)амино)пропионамида,
рентгеновская порошковая дифрактограмма которой также имеет дифракционные пики при 2θ, равном 9,8±0,2°, 18,4±0,2°, 19,1±0,2°, 20,1±0,2°, 23,0±0,2°, 23,6±0,2°, 24,4±0,2°, 27,3±0,2° и 30,7±0,2°;
или рентгеновская порошковая дифрактограмма которой также имеет один или более дифракционных пиков при 2θ (±0,2°), равном 20,1±0,2°, 23,9±0,2°, 24,4±0,2° и 25,0±0,2°;
кристаллическая форма представляет собой кристаллическую форму A мезилатной соли соединения (S)-2-((2-((R)-4-(дифторметил)-2-оксотиазолидин-3-ил)-5,6-дигидробензо[f]имидазо[1,2-d][1,4]оксазепин-9-ил)амино)пропионамид, рентгеновская порошковая дифрактограмма которой также имеет дифракционные пики при 2θ, равном 13,5±0,2° и 25,2±0,2°;
кристаллическая форма представляет собой кристаллическую форму B мезилатной соли соединения (S)-2-((2-((R)-4-(дифторметил)-2-оксотиазолидин-3-ил)-5,6-дигидробензо[f]имидазо[1,2-d][1,4]оксазепин-9-ил)амино)пропионамид, рентгеновская порошковая дифрактограмма которой также имеет дифракционные пики при 2θ, равном 14,3±0,2°, 21,6±0,2°, 23,8±0,2° и 28,4±0,2°;
кристаллическая форма представляет собой кристаллическую форму C мезилатной соли соединения (S)-2-((2-((R)-4-(дифторметил)-2-оксотиазолидин-3-ил)-5,6-дигидробензо[f]имидазо[1,2-d][1,4]оксазепин-9-ил)амино)пропионамид, рентгеновская порошковая дифрактограмма которой также имеет дифракционные пики при 2θ, равном 8,5±0,2°, 15,2±0,2°, 22,0±0,2° и 25,3±0,2°;
кристаллическая форма представляет собой кристаллическую форму A сульфатной соли соединения (S)-2-((2-((R)-4-(дифторметил)-2-оксотиазолидин-3-ил)-5,6-дигидробензо[f]имидазо[1,2-d][1,4]оксазепин-9-ил)амино)пропионамид, рентгеновская порошковая дифрактограмма которой также имеет дифракционные пики при 2θ, равном 12,6±0,2°, 14,7±0,2°, 17,2±0,2° и 25,1±0,2°;
кристаллическая форма представляет собой кристаллическую форму C сульфатной соли соединения (S)-2-((2-((R)-4-(дифторметил)-2-оксотиазолидин-3-ил)-5,6-дигидробензо[f]имидазо[1,2-d][1,4]оксазепин-9-ил)амино)пропионамид, рентгеновская порошковая дифрактограмма которой также имеет дифракционные пики при 2θ, равном 14,3±0,2°, 18,6±0,2°, 28,3±0,2° и 37,5±0,2°;
кристаллическая форма представляет собой кристаллическую форму D сульфатной соли соединения (S)-2-((2-((R)-4-(дифторметил)-2-оксотиазолидин-3-ил)-5,6-дигидробензо[f]имидазо[1,2-d][1,4]оксазепин-9-ил)амино)пропионамид, рентгеновская порошковая дифрактограмма которой также имеет дифракционные пики при 2θ, равном 8,9±0,2°, 16,8±0,2°, 20,7±0,2° и 24,6±0,2°;
кристаллическая форма представляет собой кристаллическую форму E сульфатной соли соединения (S)-2-((2-((R)-4-(дифторметил)-2-оксотиазолидин-3-ил)-5,6-дигидробензо[f]имидазо[1,2-d][1,4]оксазепин-9-ил)амино)пропионамид, рентгеновская порошковая дифрактограмма которой также имеет дифракционные пики при 2θ, равном 17,3±0,2°, 19,1±0,2°, 28,4±0,2° и 30,5±0,2°.
14. Кристаллическая форма соли присоединения кислоты по п. 13, характеризующаяся тем, что кристаллическая форма представляет собой кристаллическую форму A этансульфонатной соли (S)-2-((2-((R)-4-(дифторметил)-2-оксотиазолидин-3-ил)-5,6-дигидробензо[f]имидазо[1,2-d][1,4]оксазепин-9-ил)амино)пропионамида,
рентгеновская порошковая дифрактограмма которой также имеет дифракционные пики при 2θ, равном 10,5±0,2°, 17,5±0,2°, 26,9±0,2°, 27,7±0,2°, 28,6±0,2°, 29,6±0,2°, 35,7±0,2° и 37,6±0,2°;
или рентгеновская порошковая дифрактограмма которой также имеет дифракционные пики при 2θ (±0,2°), равном 23±0,2° и 23,6±0,2°;
кристаллическая форма представляет собой кристаллическую форму B мезилатной соли соединения (S)-2-((2-((R)-4-(дифторметил)-2-оксотиазолидин-3-ил)-5,6-дигидробензо[f]имидазо[1,2-d][1,4]оксазепин-9-ил)амино)пропионамид, рентгеновская порошковая дифрактограмма которой также имеет дифракционные пики при 2θ, равном 24,4±0,2°, 30,5±0,2° и 32,6±0,2°;
кристаллическая форма представляет собой кристаллическую форму C мезилатной соли соединения (S)-2-((2-((R)-4-(дифторметил)-2-оксотиазолидин-3-ил)-5,6-дигидробензо[f]имидазо[1,2-d][1,4]оксазепин-9-ил)амино)пропионамид, рентгеновская порошковая дифрактограмма которой также имеет дифракционные пики при 2θ, равном 12,1±0,2°, 19,1±0,2° и 23,8±0,2°;
кристаллическая форма представляет собой кристаллическую форму A сульфатной соли соединения (S)-2-((2-((R)-4-(дифторметил)-2-оксотиазолидин-3-ил)-5,6-дигидробензо[f]имидазо[1,2-d][1,4]оксазепин-9-ил)амино)пропионамид, рентгеновская порошковая дифрактограмма которой также имеет дифракционные пики при 2θ 14,4±0,2°, 18,2±0,2°, 24,5±0,2° и 25,7±0,2°;
кристаллическая форма представляет собой кристаллическую форму C сульфатной соли соединения (S)-2-((2-((R)-4-(дифторметил)-2-оксотиазолидин-3-ил)-5,6-дигидробензо[f]имидазо[1,2-d][1,4]оксазепин-9-ил)амино)пропионамид, рентгеновская порошковая дифрактограмма которой также имеет дифракционные пики при 2θ, равном 16,7±0,2°, 20,0±0,2°, 20,4±0,2°, 24,0±0,2° и 30,4±0,2°;
кристаллическая форма представляет собой кристаллическую форму D сульфатной соли соединения (S)-2-((2-((R)-4-(дифторметил)-2-оксотиазолидин-3-ил)-5,6-дигидробензо[f]имидазо[1,2-d][1,4]оксазепин-9-ил)амино)пропионамид, рентгеновская порошковая дифрактограмма которой также имеет дифракционные пики при 2θ, равном 10,1±0,2°, 11,6±0,2°, 17,4±0,2°, 18,2±0,2°, 19,1±0,2°, 21,9±0,2°, 25,4±0,2° и 27,7±0,2°;
кристаллическая форма представляет собой кристаллическую форму E сульфатной соли соединения (S)-2-((2-((R)-4-(дифторметил)-2-оксотиазолидин-3-ил)-5,6-дигидробензо[f]имидазо[1,2-d][1,4]оксазепин-9-ил)амино)пропионамид, рентгеновская порошковая дифрактограмма которой также имеет дифракционные пики при 2θ, равном 14,1±0,2°, 16,2±0,2°, 19,6±0,2°, 20,7±0,2°, 24,5±0,2° и 26,5±0,2°.
15. Кристаллическая форма соли присоединения кислоты по п. 14, характеризующаяся тем, что кристаллическая форма представляет собой кристаллическую форму A этансульфонатной соли (S)-2-((2-((R)-4-(дифторметил)-2-оксотиазолидин-3-ил)-5,6-дигидробензо[f]имидазо[1,2-d][1,4]оксазепин-9-ил)амино)пропионамида,
рентгеновская порошковая дифрактограмма которой также имеет дифракционные пики при 2θ, равном 10,5±0,2°, 17,5±0,2°, 26,9±0,2°, 27,7±0,2°, 28,6±0,2°, 29,6±0,2°, 35,7±0,2° и 37,6±0,2°;
или рентгеновская порошковая дифрактограмма которой также имеет один или два дифракционных пика при 9,3±0,2° и 17,3±0,2°.
16. Кристаллическая форма соли присоединения кислоты по п. 15, характеризующаяся тем, что кристаллическая форма представляет собой кристаллическую форму A этансульфонатной соли (S)-2-((2-((R)-4-(дифторметил)-2-оксотиазолидин-3-ил)-5,6-дигидробензо[f]имидазо[1,2-d][1,4]оксазепин-9-ил)амино)пропионамида,
рентгеновская порошковая дифрактограмма которой также имеет дифракционные пики при 2θ, равном 10,5±0,2°, 17,5±0,2°, 26,9±0,2°, 27,7±0,2°, 28,6±0,2°, 29,6±0,2°, 35,7±0,2° и 37,6±0,2°;
или рентгеновская порошковая дифрактограмма которой также имеет один или два дифракционных пика при 2θ, равном 9,8±0,2°, 18,4±0,2°, 19,1±0,2°, 23,6±0,2°, 27,3±0,2° и 30,7±0,2°.
17. Кристаллическая форма соли присоединения кислоты по п. 16, характеризующаяся тем, что кристаллическая форма представляет собой кристаллическую форму A этансульфонатной соли (S)-2-((2-((R)-4-(дифторметил)-2-оксотиазолидин-3-ил)-5,6-дигидробензо[f]имидазо[1,2-d][1,4]оксазепин-9-ил)амино)пропионамида,
рентгеновская порошковая дифрактограмма которой также имеет дифракционные пики при 2θ, равном 10,5±0,2°, 17,5±0,2°, 26,9±0,2°, 27,7±0,2°, 28,6±0,2°, 29,6±0,2°, 35,7±0,2° и 37,6±0,2°;
или рентгеновская порошковая дифрактограмма которой также имеет один или два дифракционных пика при 2θ, равном 10,5±0,2°, 17,5±0,2°, 26,9±0,2°, 27,7±0,2°, 28,6±0,2°, 29,6±0,2°, 35,7±0,2° и 37,6±0,2°.
18. Кристаллическая форма соли присоединения кислоты по п. 17, характеризующаяся тем, что кристаллическая форма представляет собой кристаллическую форму A этансульфонатной соли (S)-2-((2-((R)-4-(дифторметил)-2-оксотиазолидин-3-ил)-5,6-дигидробензо[f]имидазо[1,2-d][1,4]оксазепин-9-ил)амино)пропионамида,
рентгеновская порошковая дифрактограмма которой по существу представляет собой такую, как показано на Фигуре 1;
кристаллическая форма представляет собой кристаллическую форму A мезилатной соли соединения (S)-2-((2-((R)-4-(дифторметил)-2-оксотиазолидин-3-ил)-5,6-дигидробензо[f]имидазо[1,2-d][1,4]оксазепин-9-ил)амино)пропионамид, рентгеновская порошковая дифрактограмма которой по существу представляет собой такую, как показано на Фигуре 4;
кристаллическая форма представляет собой кристаллическую форму B мезилатной соли соединения (S)-2-((2-((R)-4-(дифторметил)-2-оксотиазолидин-3-ил)-5,6-дигидробензо[f]имидазо[1,2-d][1,4]оксазепин-9-ил)амино)пропионамид, рентгеновская порошковая дифрактограмма которой по существу представляет собой такую, как показано на Фигуре 5;
кристаллическая форма представляет собой кристаллическую форму C мезилатной соли соединения (S)-2-((2-((R)-4-(дифторметил)-2-оксотиазолидин-3-ил)-5,6-дигидробензо[f]имидазо[1,2-d][1,4]оксазепин-9-ил)амино)пропионамид, рентгеновская порошковая дифрактограмма которой по существу представляет собой такую, как показано на Фигуре 6;
кристаллическая форма представляет собой кристаллическую форму A сульфатной соли соединения (S)-2-((2-((R)-4-(дифторметил)-2-оксотиазолидин-3-ил)-5,6-дигидробензо[f]имидазо[1,2-d][1,4]оксазепин-9-ил)амино)пропионамид, рентгеновская порошковая дифрактограмма которой по существу представляет собой такую, как показано на Фигуре 7;
кристаллическая форма представляет собой кристаллическую форму B сульфатной соли соединения (S)-2-((2-((R)-4-(дифторметил)-2-оксотиазолидин-3-ил)-5,6-дигидробензо[f]имидазо[1,2-d][1,4]оксазепин-9-ил)амино)пропионамид, рентгеновская порошковая дифрактограмма которой по существу представляет собой такую, как показано на Фигуре 8;
кристаллическая форма представляет собой кристаллическую форму C сульфатной соли соединения (S)-2-((2-((R)-4-(дифторметил)-2-оксотиазолидин-3-ил)-5,6-дигидробензо[f]имидазо[1,2-d][1,4]оксазепин-9-ил)амино)пропионамид, рентгеновская порошковая дифрактограмма которой по существу представляет собой такую, как показано на Фигуре 9;
кристаллическая форма представляет собой кристаллическую форму D сульфатной соли соединения (S)-2-((2-((R)-4-(дифторметил)-2-оксотиазолидин-3-ил)-5,6-дигидробензо[f]имидазо[1,2-d][1,4]оксазепин-9-ил)амино)пропионамид, рентгеновская порошковая дифрактограмма которой по существу представляет собой такую, как показано на Фигуре 10;
кристаллическая форма представляет собой кристаллическую форму E сульфатной соли соединения (S)-2-((2-((R)-4-(дифторметил)-2-оксотиазолидин-3-ил)-5,6-дигидробензо[f]имидазо[1,2-d][1,4]оксазепин-9-ил)амино)пропионамид, рентгеновская порошковая дифрактограмма которой по существу представляет собой такую, как показано на Фигуре 11.
19. Кристаллическая форма соли присоединения кислоты по п. 18, характеризующаяся тем, что кристаллическая форма представляет собой кристаллическую форму A этансульфонатной соли (S)-2-((2-((R)-4-(дифторметил)-2-оксотиазолидин-3-ил)-5,6-дигидробензо[f]имидазо[1,2-d][1,4]оксазепин-9-ил)амино)пропионамида,
профиль термогравиметрического анализа (ТГА) которой по существу представляет собой такой, как показано на Фигуре 2.
20. Кристаллическая форма соли присоединения кислоты по п. 19, характеризующаяся тем, что кристаллическая форма представляет собой кристаллическую форму A этансульфонатной соли (S)-2-((2-((R)-4-(дифторметил)-2-оксотиазолидин-3-ил)-5,6-дигидробензо[f]имидазо[1,2-d][1,4]оксазепин-9-ил)амино)пропионамида,
профиль дифференциальной сканирующей калориметрии (ДСК) которой по существу представляет собой такой, как показано на Фигуре 3.
21. Способ получения кристаллической формы A этансульфонатной соли по любому из пп. 8-20, в частности включающий следующие стадии:
1) взвешивание свободного основания и суспендирование его в слабом растворителе;
2) взвешивание этансульфоновой кислоты и растворение ее в органическом растворителе;
3) добавление раствора со стадии 2) к суспензии со стадии 1) и перемешивание полученной смеси для осаждения твердого вещества;
4) перемешивание и охлаждение смеси с последующим осаждением кристалла с получением целевого продукта;
слабый растворитель представляет собой один или более растворителей, выбранных из группы, состоящей из метанола, этанола, изопропанола, тетрагидрофурана, этилацетата, ацетонитрила и ацетона;
органический растворитель на стадии 2) представляет собой один или более растворителей, выбранных из группы, состоящей из метанола, этанола, изопропанола, трет-бутанола, ацетона, тетрагидрофурана, толуола, N,N-диметилформамида и ацетонитрила.
22. Фармацевтическая композиция, обладающая ингибирующим действием на PI3Kα, содержащая терапевтически эффективное количество соли присоединения кислоты по любому из пп. 1-4 и 6-7 или кристаллической формы по любому из пп. 8-20 и один или более фармацевтически приемлемых носителей или эксципиентов.
23. Фармацевтическая композиция по п. 22, характеризующая тем, что соль присоединения кислоты представляет собой
где M выбран из группы, состоящей из серной кислоты, этансульфоновой кислоты и метансульфоновой кислоты.
24. Применение соли присоединения кислоты по любому из пп. 1-4 и 6-7, кристаллической формы по любому из пп. 8-20 или фармацевтической композиции по п. 23 для получения PI3K (фосфатидилинозитол-3-киназа)-ингибирующего лекарственного препарата, причем лекарственный препарат предназначен для лечения рака, заболевания костей, воспалительного заболевания, иммунного заболевания, заболевания нервной системы, метаболического заболевания, респираторного заболевания и заболевания сердца; где указанный рак выбран из группы, состоящей из рака молочной железы, рака поджелудочной железы, немелкоклеточного рака легкого, рака щитовидной железы, семиномы, меланомы, рака мочевого пузыря, рака печени, рака почки, миелодиспластического синдрома, острого миелоидного лейкоза и колоректального рака.
25. Применение по п. 24, где PI3K представляет собой PI3Kα.
| WO 2017001645 A1, 05.01.2017 | |||
| WO 2018197653 A1, 01.11.2018 | |||
| MINO R CAIRA, "CRYSTALLINE POLYMORPHISM OF ORGANIC COMPOUNDS", TOPICS IN CURRENT CHEMISTRY, vol | |||
| Складная решетчатая мачта | 1919 |
|
SU198A1 |
| Деревянное стыковое устройство | 1920 |
|
SU163A1 |
| БЕНЗОКСАЗЕПИНОВЫЕ ИНГИБИТОРЫ PI3K И СПОСОБЫ ПРИМЕНЕНИЯ | 2010 |
|
RU2600927C2 |
Авторы
Даты
2025-02-21—Публикация
2020-11-19—Подача